Cs101_1 SW 224 CS101 Handouts1 45
User Manual: SW-224
Open the PDF directly: View PDF .
Page Count: 323 [warning: Documents this large are best viewed by clicking the View PDF Link!]

Introduction to Computing –CS101 VU
© Copyright Virtual University of Pakistan
1
Table of Contents:
Lecture 1 .......................................................................................................... 9
Introduction ..................................................................................................... 9
Lecture 2 ........................................................................................................ 13
Evolution of Computing ................................................................................. 13
2.2 The “Turing test” ........................................................................... 13
2.3 Vacuum Tube – 1904:...................................................................... 13
2.4 ABC – 1939 ..................................................................................... 14
2.6 ENIAC – 1946: ................................................................................ 14
2.7 Transistor – 1947............................................................................. 14
2.8 Floppy Disk – 1950.......................................................................... 14
2.9 UNIVAC 1 – 1951 ............................................................................ 14
2.11 ARPANET – 1969 ....................................................................... 15
2.12 Intel 4004 – 1971 .......................................................................... 15
2.13 Altair 8800 – 1975......................................................................... 15
2.14 Cray 1 – 1 976 .............................................................................. 16
2.15 IBM PC – 1981 ............................................................................ 16
2.16 Apple Macintosh – 1984............................................................... 16
2.17 World Wide Web -1989 ................................................................ 16
2.18 Quantum Computing with Molecules.......................................... 17
Lecture 3 ....................................................................................................... 18
3.1 Browser .......................................................................................... 18
3.2 URL................................................................................................... 18
3.3 What is a Web site?............................................................................. 18
3.4 What is Home Page of a web site? ...................................................... 19
3.5 Who invented the Web & Why? .......................................................... 19
3.6 Future of the Web: Semantic Web....................................................... 20
3.7 Useful Web page ................................................................................ 20
Lecture 4 ........................................................................................................ 21
4.1 Computer Types According to Capability............................................ 21
4.2 Supercomputers ................................................................................. 21
4.3 Mainframe Computers........................................................................ 21
4.4 Servers / Minicomputers .................................................................... 21
4.5 Desktops............................................................................................ 21
4.6 Portables............................................................................................ 21
4.7 Ranking w.r.t. installed number.......................................................... 22
4.8 All computers have the following essential hardware components:....... 22
4.9 Input Devices..................................................................................... 23
4.10 What is Port? .................................................................................... 24
4.11Many Types of Ports .......................................................................... 24
4.12 Processor.......................................................................................... 24
4.13 Memory/Storage .............................................................................. 24
4.14 Classifying Memory/Storage............................................................. 25
4.15 Output Devices................................................................................. 25
4.16 Modem............................................................................................. 25
1.1
1.2
1.3
2.5 Harvard Mark 1 – 1943:.................................................................... 14
2.10 Compiler - 1952 ........................................................................... 15
Charles Babbage (1791-1871)................................................................. 9
The Analytical Engine.......................................................................... 9
Ada, Countess of Lovelace(1815-52) ...................................................... 9
1.4 Course Contents & Structure .............................................................. 10
2.1 Turing Machine – 1936.................................................................... 13

Introduction to Computing –CS101 VU
© Copyright Virtual University of Pakistan
2
Lecture 5........................................................................................................27
5.1 PC Parts..............................................................................................27
5.2 Inside of the CPU ...............................................................................27
5.3 The Processor Module ........................................................................27
Lecture 6.........................................................................................................28
6.1 To develop your personal Web page ....................................................28
Lecture 7.........................................................................................................31
7.1 Microprocessor ...................................................................................31
7.2 Integrated Circuits..............................................................................31
7.3 Devices...............................................................................................31
7.4 Microprocessor system.......................................................................33
7.5 Micro-controllers ................................................................................33
7.6 The Main Memory Bottleneck ............................................................33
7.7 Cache .................................................................................................33
7.8 Microprocessors Building Blocks ........................................................34
Lecture 8.........................................................................................................39
Binary Numbers & Logic Operations ..............................................................39
8.1 Why binary .........................................................................................42
8.2 Boolean Logic Operations...................................................................43
8.3 Truth Table for the XOR Operation ....................................................45
8.4 STRATEGY: Divide & Conquer.........................................................45
Lecture 9.........................................................................................................47
HTML Lists & Tables (Web Development Lecture 3).....................................47
9.1 Single Tags.........................................................................................47
9.2 Types of Lists .....................................................................................52
9.3 Ordered List Types.............................................................................52
9.4 Useful URL ........................................................................................57
Lecture 10 .......................................................................................................59
Computer Software..........................................................................................59
10.1 Machine Language............................................................................59
10.2 Language Translators........................................................................59
10.3 Software Development.......................................................................59
10.4 Major Types of SW ............................................................................60
10.5 System SW are programs that … ........................................................60
10.6 Operating System..............................................................................60
10.7 Utilities: ............................................................................................61
10.8 Language Translators........................................................................61
10.9 Device Drivers...................................................................................61
10.10 Application SW ................................................................................61
10.11 Another way of classifying SW ..........................................................62
10.12 Who Owns Software? .......................................................................62
10.13 Main types of SW licensees ..............................................................62
10.14 Proprietary SW License ....................................................................62
10.15 Freeware SW License .......................................................................63
10.16 Open-Source SW License .................................................................63
10.17 Shareware SW License .....................................................................63
10.18 Trialware .........................................................................................63
Lecture 11........................................................................................................65
Operating Systems ..........................................................................................65
11.1 Why Have OSes? ...............................................................................65
11.2 Core Tasks of an OS ..........................................................................65
11.3 OS Components ................................................................................66

Introduction to Computing –CS101 VU
© Copyright Virtual University of Pakistan
3
11.4 Kernel ............................................................................................... 67
11.5Types of OS’es ................................................................................... 67
11.6 Another Way of Classifying................................................................ 67
11.7 How many different OS’es are there?................................................. 67
11.8 Comparing Popular OS’es ................................................................. 68
Lecture 12....................................................................................................... 69
Interactive Forms (Web Development Lecture 4)............................................ 69
12.1 Server-Side Scripts............................................................................. 71
12.2 Checkbox Input Element .................................................................. 76
12.3 Radio Button Input Element............................................................. 77
12.4 Select from a (Drop Down) List......................................................... 78
12.5 File Upload Input Element ............................................................... 79
Lecture 13....................................................................................................... 81
Application Software....................................................................................... 81
13.1 Two Major Types of Software ............................................................ 81
13.2 Application Software ......................................................................... 81
13.3 Classification According to the Mode ................................................ 81
13.4 Classification According to Application Area ..................................... 81
13.5 Scientific/Engineering/Graphics Apps ............................................. 81
13.6 Scientific SW..................................................................................... 82
13.7 Engineering SW................................................................................ 82
13.8 Graphics & Animation SW (1) ........................................................... 82
13.9 Business Applications ....................................................................... 82
13.10 E-Commerce Software..................................................................... 82
13.11 ERP (Enterprise Resource Planning) SW ......................................... 83
13.12 DSS (Decision Support Systems) SW................................................ 83
13.13 Productivity SW............................................................................... 83
13.14 Word Processors.............................................................................. 83
13.15 Web Page Development SW............................................................. 83
13.16 Spreadsheet SW (1).......................................................................... 83
13.17 Spreadsheet SW (2).......................................................................... 83
13.18 Presentation Development SW......................................................... 83
13.19 Small-Scale Databases SW (1) .......................................................... 84
13.20 Small-Scale Databases SW (2).......................................................... 84
13.21 Productivity SW Suites..................................................................... 84
13.22 Document-Centered Computing (DCC) - 1 ...................................... 84
13.23 Document-Centered Computing (DCC) - 2...................................... 84
13.24 Entertainment SW........................................................................... 84
13.25 Music & Video Players .................................................................... 84
13.26 Music Generation & Movie Editing SW ........................................... 84
13.27 Games ............................................................................................ 84
13.28 Educational SW .............................................................................. 85
13.29 Electronic Encyclopedias ................................................................ 85
13.30 On-Line Learning ........................................................................... 85
13.31 Interactive CD’s .............................................................................. 85
13.32 Attributes of Good Application Software .......................................... 85
13.33 Most Popular Application Software Categories................................. 85
Lecture 14....................................................................................................... 87
Word Processing............................................................................................. 87
14.1 Word Processor................................................................................. 87
14.2 Types: WYSIWYG-based & Markup-based ....................................... 88
14.3 Desktop Publishing (DTP) ............................................................... 88

Introduction to Computing –CS101 VU
© Copyright Virtual University of Pakistan
4
14.4 Word Processors for the Web .............................................................88
14.5 Let’s try to use MS Word for creating a CV.........................................90
Lecture 15 .......................................................................................................91
More on Interactive Forms (Web Development Lecture 5) ..............................91
15.1 Single-Line Text Input Field..............................................................91
15.2 Password Input Field ........................................................................91
15.3 Hidden Input ....................................................................................91
15.4 Checkbox Input Element...................................................................91
15.5 Radio Button Input Element .............................................................91
15.6 File Upload Input Element ................................................................91
15.7 Reset Button Input Element..............................................................92
15.8 Submit Button Input .........................................................................92
15.9 Multi-Line Text Input Area ...............................................................92
15.10 Select from a (Drop Down) List........................................................92
15.11 Client-Side Scripting is a viable alternate ..........................................94
15.12 Server-Side Scripts: Review...............................................................94
15.13 Why JavaScript? ...............................................................................96
Lecture 16 .......................................................................................................99
Algorithms ......................................................................................................99
16.1 Algorithm for Decimal-to-Binary Conversion ...................................100
16.2 Algorithm (Better Definition) ..........................................................100
16.3 Why Algorithms are Useful?.............................................................101
16.4 Analysis of Algorithms.....................................................................101
16.5 Al-Khwarzmi ...................................................................................101
16.6 Greedy Algorithm............................................................................102
16.7 Deterministic Algorithm (1) .............................................................102
16.8 Randomized Algorithm (1) ..............................................................102
16.9 Randomized Algorithm (2) ..............................................................102
16.10 Deterministic Algorithm (2) ...........................................................102
16.11 Heuristic........................................................................................102
16.12 The Brute Force Strategy (1)...........................................................103
16.13 The Brute Force Strategy (2) ..........................................................103
16.14 A Selection of Algorithmic Application Areas..................................103
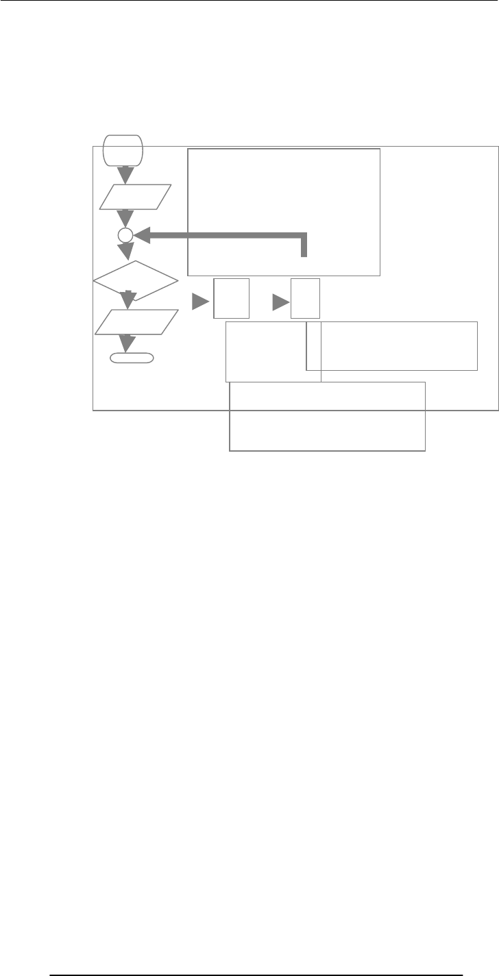
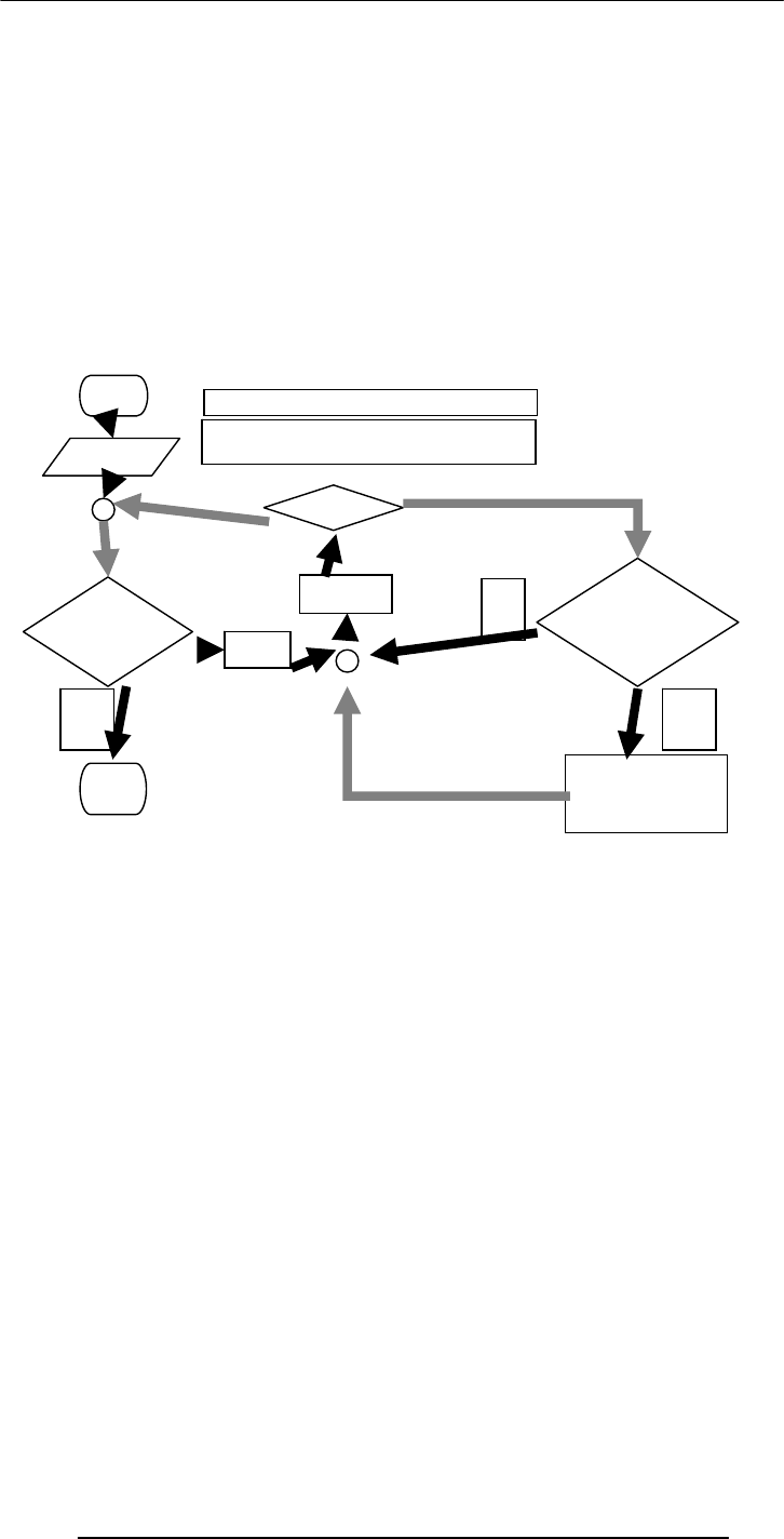
16.15 Flowchart ......................................................................................104
Lecture 17 .....................................................................................................106
Algorithms II ................................................................................................106
17.1 Algorithm Building Blocks ..............................................................106
17.2 Solution in Pseudo Code..................................................................108
17.3 Tips on Writing Good Pseudo Code.................................................108
17.4 Pros and Cons of Flowcharts (1).......................................................117
17.5 Pros and Cons of Flowcharts (2) ......................................................117
17.6 Pros and Cons of Pseudo Code (1) ...................................................117
17.7 Pros and Cons of Pseudo Code (2) ...................................................117
Lecture 18 .....................................................................................................118
Objects, Properties, Methods (Web Development Lecture 6).........................118
18.1 New Concept: Client-Side Scripts ....................................................119
18.2 Advantages of Client-Side Scripting .................................................119
18.3 Disadvantages.................................................................................119
18.4 JavaScript........................................................................................119
18.5 Client-Side JavaScript ......................................................................120
18.6 Properties........................................................................................121
18.7 Event Handlers ...............................................................................128

Introduction to Computing –CS101 VU
© Copyright Virtual University of Pakistan
5
Lecture 19..................................................................................................... 129
Programming Languages.............................................................................. 129
19.1 Batch Programs .............................................................................. 129
19.2 Event-Driven Programs .................................................................. 129
19.3 Types of Prog. Languages............................................................... 130
19.4 Programming SW Development ...................................................... 131
19.5 Object Oriented Design .................................................................. 131
19.6 Structured Design........................................................................... 131
19.7 Object-Oriented Languages ............................................................ 132
Lecture 20 .................................................................................................... 133
SW Development Methodology..................................................................... 133
Lecture 21..................................................................................................... 142
Data Types & Operators (Web Development Lecture 7) ............................... 142
21.1 JavaScript Data Types.................................................................... 143
21.2 Declaring Variables........................................................................ 144
21.3 JavaScript Operators ...................................................................... 148
21.4 Comparison Operators.................................................................... 148
21.5 Logical Operators .......................................................................... 148
21.6 Elements of JavaScript Statements ................................................. 149
Lecture 22 .................................................................................................... 151
Spreadsheets................................................................................................. 151
22.1 Business Plan for a New Software Development Company .............. 151
22.2 The Structure of A Spreadsheet ....................................................... 152
22.3 Goal Seek ....................................................................................... 154
Lecture 23 .................................................................................................... 158
Flow Control & Loops (Web Development Lecture 8).................................. 158
JavaScript Variables are Dynamically Typed .......................................... 158
Lecture 24 .................................................................................................... 166
Design Heuristics......................................................................................... 166
24.1 Heuristic ........................................................................................ 166
24.2 System............................................................................................ 166
24.3 System Architecture........................................................................ 166
24.4 Heuristics for system architecting................................................... 166
Lecture 25 .................................................................................................... 170
Web Design for Usability .............................................................................. 170
25.2 SPEED: ......................................................................................... 170
25.3 Elements of Website Design: .......................................................... 171
25.4 Website Navigation: ....................................................................... 171
25.5 A Few Navigation Design Heuristics: ............................................. 171
25.6 Navigation Design Heuristics (contd.):........................................... 171
25.7 Good designs assist the user in recovering from errors..................... 173
25.8 Assisting the User Recover from Errors:.......................................... 173
25.9 A few constructive recommendations .............................................. 173
25.10 Making Display Elements Legible:................................................ 175
25.11 Ensuring Text is Readable:............................................................ 175
25.12 Using Pictures & Illustrations: ...................................................... 176
25.13 Using Motion................................................................................ 176
Arrays (Web Development Lecture 9) ........................................................... 177
26.1 Arrays in JavaScript......................................................................... 178
26.2 Array Identifiers................................................................................ 180
26.3 The ‘length’ Property of Arrays ....................................................... 181
26.4 Array Methods: sort( ) 26.5 Sorts the elements in alphabetical order . 181

Introduction to Computing –CS101 VU
© Copyright Virtual University of Pakistan
6
26.6 Array Methods: reverse( ) 26.7 Reverses the order of the elements ....181
26.7 Pseudo Code...................................................................................182
Lecture 27 .....................................................................................................185
Computer Networks......................................................................................185
27.1 Private Networks.............................................................................186
27.2 Public Networks .............................................................................186
27.3 VPN: Virtual Private Network (1) ....................................................187
27.4 Network Topologies .......................................................................188
27.5 Networking Protocols .....................................................................190
27.6 Types of Communication Channels.................................................191
27.7 Network Security ............................................................................191
Lecture 28 .....................................................................................................193
Introduction to the Internet...........................................................................193
28.1 Internet: Network of Networks ...........................................................196
28.2 Internet Networking Protocols ........................................................196
Lecture 29 .....................................................................................................199
Functions & Variable Scope (Web Development Lecture 10) .........................199
29.1 Function .........................................................................................199
29.2 Advantages of Functions .................................................................200
29.3 Function Identifiers ........................................................................201
29.4 Arguments of a Function.................................................................201
29.5 Event Handlers...............................................................................203
29.6 Scope of Variable ............................................................................204
Lecture 30 .....................................................................................................209
Internet Services............................................................................................209
30.1 Internet Addressing.........................................................................210
30.2 DNS: Domain Name System...........................................................210
30.3 Internet Services .............................................................................210
30.3 How does an eMail system work?
....................................................213
30.4 Using Instant Messaging ................................................................215
30.5 VoIP: Voice over IP.........................................................................220
Lecture 31 .....................................................................................................221
Developing Presentations..............................................................................221
31.1 Presentations:..................................................................................221
31.2 The Structure of A Presentation: ......................................................224
31.3 Presentation Development SW:........................................................224
Lecture 32 .....................................................................................................226
Event Handling (Web Development Lecture 11)............................................226
32.1 What is Event Handling? ....................................................................228
32.2 In-Line JavaScript Event Handling :................................................229
Lecture 33 .....................................................................................................234
Graphics & Animation ..................................................................................234
33.1 Computer Graphics: ........................................................................235
33.2 Displaying Images: .........................................................................235
33.3 Pixel Colors :...................................................................................235
33.4 Color Mapping :..............................................................................235
33.5 Dithering: .......................................................................................236
33.6 Aliasing: .........................................................................................236
33.7 Anti-Aliasing:..................................................................................236
33.8 Graphics File Formats:....................................................................237
33.9 Vector or Object-Oriented Graphics: ...............................................237
33.10 Bit-Mapped or Raster Graphics:.....................................................237

Introduction to Computing –CS101 VU
© Copyright Virtual University of Pakistan
7
33.11 File Formats Popular on the Web (1):............................................. 237
33.12 Image Processing:......................................................................... 237
33.13-D Graphics: .................................................................................. 238
33.14 Animation: .................................................................................... 238
Lecture 34 .................................................................................................... 240
Intelligent Systems ....................................................................................... 240
34.1 (Artificial) Intelligent Systems: ........................................................ 241
34.2 Fuzzy Logic: .................................................................................. 242
34.3 Robotics:........................................................................................ 244
Lecture 35 .................................................................................................... 245
Mathematical Methods (Web Development Lecture 12) ................................ 245
35.1 Problems & Solutions: .................................................................... 246
35.2 Mathematical Functions in JavaScript: ............................................ 248
Lecture 36 .................................................................................................... 251
Data Management ........................................................................................ 251
36.1 BholiBooks.com : ........................................................................... 252
36.2 Issues in Data Management:........................................................... 252
36.3 DBMS : .......................................................................................... 253
36.4 OS Independence: .......................................................................... 254
36.5 The Trouble with Flat-File Databases: ............................................ 257
Lecture 37 .................................................................................................... 259
Database Software ........................................................................................ 259
37.1 RDBMS.......................................................................................... 262
37.2 Some Terminology ......................................................................... 263
Lecture 38 .................................................................................................... 264
String Manipulations (Web Development Lecture 13) ................................... 264
38.1 String Manipulation in JavaScript.................................................... 267
Lecture 39 .................................................................................................... 274
Cyber Crime ................................................................................................. 274
39.1 07 February 2000 ............................................................................. 275
39.2 DoS Attack: A Cyber Crime............................................................ 276
39.3 More cybercrimes … ...................................................................... 276
39.4 Viruses ........................................................................................... 277
39.5 Other Virus-Like Programs............................................................. 278
Lecture 40 .................................................................................................... 279
Social Implications of Computing ................................................................. 279
40.1 Introduction ................................................................................... 280
40.2 Powerful Global Corporations ......................................................... 280
40.3 The Network Organization............................................................. 280
40.4 Working from Home ...................................................................... 281
40.5 From Mass- to Personalized-Marketing .......................................... 281
40.6 The Political Process ...................................................................... 282
Lecture 41..................................................................................................... 284
Images & Animation (Web Development Lecture 14) ................................... 284
41.1 Images in JavaScript ....................................................................... 286
41.2 Flash Animation ............................................................................. 293
Lecture 42 .................................................................................................... 294
The Computing Profession ........................................................................... 294
42.1 IT: Information Technology............................................................ 295
42.2 Organization: A Collection of Teams .............................................. 296
Lecture 43 .................................................................................................... 302
The Future of Computing ............................................................................. 302

Introduction to Computing –CS101 VU
© Copyright Virtual University of Pakistan
8
Lecture 44 .....................................................................................................308
Programming Methodology (Web Development Lecture 15) .........................308
44.1 Design Guidelines ...........................................................................309
44.2 Coding Guidelines ..........................................................................309
44.3 Guidelines for Developing Short Programs ......................................310
44.4 Design & Code Reviews..................................................................311
44.5 Testing & Debugging .....................................................................312
44.6 Helpful Editors ...............................................................................314
Lecture 45 .....................................................................................................316
Review & Wrap-Up .......................................................................................316
Course Objectives ..................................................................................323

Introduction to Computing –CS101 VU
© Copyright Virtual University of Pakistan
9
Lecture 1
Introduction
1.1. Charles Babbage (1791-1871)
Creator of the Analytical Engine - the first general-purpose digital computer (1833)
The Analytical Engine was not built until 1943 (in the form of the Harvard Mark I)
1.2. The Analytical Engine
A programmable, mechanical, digital machine
Could carryout any calculation
Could make decisions based upon the results of the previous calculation
Components: input; memory; processor; output
1.3. Ada, Countess of Lovelace(1815-52)
Babbage: the father of computing
Ada: the mother?
Wrote a program for computing the Bernoulli’s sequence on the Analytical Engine -
world’s 1st computer program
Ada: A programming language specifically designed by the US Dept of Defense for
developing military applications was named Ada to honor her contributions towards
computing
A lesson that we all can learn from Babbage’s Life
Charles Babbage had huge difficulties raising money to fund his research
As a last resort, he designed a clever mathematical scheme along with Ada, the Countess
of Lovelace
It was designed to increase their odds while gambling. They bet money on horse races
to raise enough money to support their research experiments
Guess what happened at the end? The lost every penny that they had.
Fast
Bored
Storage
Here is a fact
:
In 1997 Deep Blue, a supercomputer designed by IBM, beat Gary Kasparov, the World
Chess Champion
That computer was exceptionally fast, did not get tired or bored. It just kept on
analyzing the situation and kept on searching until it found the perfect move from its
list of possible moves …
Goals for Today:
To develop an appreciation about the capabilities of computing
To find about the structure & policies of this course
It could analyze up to 300 billion chess moves in
three minutes

Introduction to Computing –CS101 VU
© Copyright Virtual University of Pakistan
10
CS101 Introduction to Computing
1.4 Course Contents & Structure
Course Objectives
To build an appreciation for the fundamental concepts in computing
To achieve a beginners proficiency in Web page development
To become familiar with popular PC productivity software
Readings
W
e
e
k
Lecture 1 Lecture
2
Lecture
3
Web
Dev UC JS Assignment
1
2
3
4
5
6
7
8 Midterm
Exam
9
10
11
12
13
14
15
Finals Week
Intro to computing
Evolution of computing
Computer organization
Building a PC
Microprocessors
Binary numbers & logic
Computer software
Operating systems
Application software
Algorithms
Flowcharts
Programming languages
Development methodology
Design heuristics
Web design for usability
Computer networks
Intro to the Internet
Internet services
Graphics & animation
Intelligent systems
Data management
Cyber crime
Social implications
The computing profession
The future of computing
Fundamental concepts

Introduction to Computing –CS101 VU
© Copyright Virtual University of Pakistan
11
Web page development
Web Development
The World Wide Web
Making a Web page
Lists & tables
Interactive forms
Objective & methods
Data types & operators
Flow control & loops Arrays
Built-in functions
User-defined functions
Events handling
String manipulation
Images & graphics
Programming methodology
Productivity Applications
Word processor
Spreadsheet
Presentation software
Database
Instructor:
Altaf Khan
Course Web Page:
UC - Understanding Computers (2000 ed.)
JS - Learn JavaScript in a Weekend
Reading Assignments
Please make sure to read the assigned material for each week before the commencement
of the corresponding week
Reading that material beforehand will help you greatly in absorbing with ease the matter
discussed during the lecture
Check your e-mail often for announcements related to this and other VU courses
Marks
distribution …
Assignments (15%)
Almost one every week, 13 in all
No credit for late submissions
The lowest 2 assignment grades will be dropped
Midterm Exam (35%)
During the 8th week
Duration: One hour
Will cover all material covered during the first seven weeks
Final Exam (50%)
During the 16th week
Will cover the whole of the course with a slight emphasis on the material covered after
the midterm exam
Duration: 2 hours
First Assignment
cs101@vu.edu.pk
http://vulms.vu.edu.pk/
Textbooks:

Introduction to Computing –CS101 VU
© Copyright Virtual University of Pakistan
12
Send an email message to me at altaf@vu.edu.pk with the subject “Assignment 1” giving
me some information (in around 50 words) about what you see yourself doing ten years
from now
Go to the CS101 message board and post a message (consisting of approx. 50 words)
about how we could make the contents of this course more suitable for your individual
needs. The subject for this message should be “Assignment 1”
Consult the CS101 syllabus for the submission deadline
A suggestion about unfamiliar terms
We try not to use any new terms without explaining them first
However, it is not possible to do that all the time
If you encounter any unfamiliar terms during the lectures, please note them down and
consult the GLOSSARY provided at the end of the “Understanding Computers” text
book for their meaning
Let’s summarize the things that we have covered today?
A few things about:
the very first digital computer & its inventor
the capability of modern computers
the structure and contents of CS101
In the Next Lecture …
We’ll continue the story of the evolution of digital computers form the Analytical Engine
onwards.
We’ll discuss many of the key inventions and developments that he lead to the shape of
the current field of computing.
Homew
ork
Assign
ments
15%
Midterm
Examin
ation
35%
Final
Examin
ation
50%

Introduction to Computing –CS101 VU
© Copyright Virtual University of Pakistan
13
Lecture 2
Evolution of Computing
Today’s Goal
To learn about the evolution of computing
To recount the important and key events
To identify some of the milestones in computer development
Babbage’s Analytical Engine - 1833
Mechanical, digital, general-purpose
Was crank-driven
Could store instructions
Could perform mathematical calculations
Had the ability to print
Could punched cards as permanent memory
Invented by Joseph-Marie Jacquard
2.1 Turing Machine – 1936
Introduced by Alan Turing in 1936, Turing machines are one of the key abstractions
used in modern computability theory, the study of what computers can and cannot do. A
Turing machine is a particularly simple kind of computer, one whose operations are
limited to reading and writing symbols on a tape, or moving along the tape to the left or
right. The tape is marked off into squares, each of which can be filled with at most one
symbol. At any given point in its operation, the Turing machine can only read or write
on one of these squares, the square located directly below its "read/write" head.
2.2 The “Turing test”
A test proposed to determine if a computer has the ability to think. In 1950, Alan Turing
(Turing, 1950) proposed a method for determining if machines can think. This method is
known as The Turing Test.
The test is conducted with two people and a machine. One person plays the role of an
interrogator and is in a separate room from the machine and the other person. The
interrogator only knows the person and machine as A and B. The interrogator does not
know which the person is and which the machine is.
Using a teletype, the interrogator, can ask A and B any question he/she wishes. The aim
of the interrogator is to determine which the person is and which the machine is.
The aim of the machine is to fool the interrogator into thinking that it is a person. If the
machine succeeds then we can conclude that machines can think.
2.3 Vacuum Tube – 1904:
Interrogator
asking
questions
Human
providing
answers
Computer
on its own
providing
answers
Terminal
Terminal
Computer

Introduction to Computing –CS101 VU
© Copyright Virtual University of Pakistan
14
A vacuum tube is just that: a glass tube surrounding a vacuum (an area from which all
gases has been removed). What makes it interesting is that when electrical contacts are
put on the ends, you can get a current to flow though that vacuum.
A British scientist named John A. Fleming made a vacuum tube known today as a diode.
Then the diode was known as a "valve,"
2.4 ABC – 1939
The Atanasoff-Berry Computer was the world's first electronic digital computer. It was
built by John Vincent Atanasoff and Clifford Berry at Iowa State University during 1937-
42. It incorporated several major innovations in computing including the use of binary
arithmetic, regenerative memory, parallel processing, and separation of memory and
computing functions.
2.5 Harvard Mark 1 – 1943:
Howard Aiken and Grace Hopper designed the MARK series of computers at Harvard
University. The MARK series of computers began with the Mark I in 1944. Imagine a
giant roomful of noisy, clicking metal parts, 55 feet long and 8 feet high. The 5-ton
device contained almost 760,000 separate pieces. Used by the US Navy for gunnery and
ballistic calculations, the Mark I was in operation until 1959.
The computer, controlled by pre-punched paper tape, could carry out addition,
subtraction, multiplication, division and reference to previous results. It had special
subroutines for logarithms and trigonometric functions and used 23 decimal place
numbers. Data was stored and counted mechanically using 3000 decimal storage wheels,
1400 rotary dial switches, and 500 miles of wire. Its electromagnetic relays classified the
machine as a relay computer. All output was displayed on an electric typewriter. By
today's standards, the Mark I was slow, requiring 3-5 seconds for a multiplication
operation
2.6 ENIAC – 1946:
ENIAC I (Electrical Numerical Integrator And Calculator). The U.S. military sponsored
their research; they needed a calculating device for writing artillery-firing tables (the
settings used for different weapons under varied conditions for target accuracy).
John Mauchly was the chief consultant and J Presper Eckert was the chief engineer.
Eckert was a graduate student studying at the Moore School when he met John Mauchly
in 1943. It took the team about one year to design the ENIAC and 18 months and
500,000 tax dollars to build it.
The ENIAC contained 17,468 vacuum tubes, along with 70,000 resistors and 10,000
capacitors.
2.7 Transistor – 1947
The first transistor was invented at Bell Laboratories on December 16, 1947 by William
Shockley. This was perhaps the most important electronics event of the 20th century, as
it later made possible the integrated circuit and microprocessor that are the basis of
modern electronics. Prior to the transistor the only alternative to its current regulation
and switching functions (TRANSfer resISTOR) was the vacuum tubes, which could only
be miniaturized to a certain extent, and wasted a lot of energy in the form of heat.
Compared to vacuum tubes, it offered:
smaller size
better reliability
lower power consumption
lower cost
2.8 Floppy Disk – 1950
Invented at the Imperial University in Tokyo by Yoshiro Nakamats
2.9 UNIVAC 1 – 1951
UNIVAC-1. The first commercially successful electronic computer, UNIVAC I, was
also the first general purpose computer - designed to handle both numeric and textual
information. It was designed by J. Presper Eckert and John Mauchly. The
implementation of this machine marked the real beginning of the computer era.

Introduction to Computing –CS101 VU
© Copyright Virtual University of Pakistan
15
Remington Rand delivered the first UNIVAC machine to the U.S. Bureau of Census in
1951. This machine used magnetic tape for input.
first successful commercial computer
design was derived from the ENIAC (same developers)
first client = U.S. Bureau of the Census
$1 million
48 systems built
2.10 Compiler - 1952
Grace Murray Hopper an employee of Remington-Rand worked on the NUIVAC. She
took up the concept of reusable software in her 1952 paper entitled "The Education of a
Computer" and developed the first software that could translate symbols of higher
computer languages into machine language. (Compiler)
2.11 ARPANET – 1969
The Advanced Research Projects Agency was formed with an emphasis towards
research, and thus was not oriented only to a military product. The formation of this
agency was part of the U.S. reaction to the then Soviet Union's launch of Sputnik in
1957. (ARPA draft, III-6). ARPA was assigned to research how to utilize their
investment in computers via Command and Control Research (CCR). Dr. J.C.R.
Licklider was chosen to head this effort.
Developed for the US DoD Advanced Research Projects Agency
60,000 computers connected for communication among research organizations and
universities
2.12 Intel 4004 – 1971
The 4004 was the world's first universal microprocessor. In the late 1960s, many
scientists had discussed the possibility of a computer on a chip, but nearly everyone felt
that integrated circuit technology was not yet ready to support such a chip. Intel's Ted
Hoff felt differently; he was the first person to recognize that the new silicon-gated MOS
technology might make a single-chip CPU (central processing unit) possible.
Hoff and the Intel team developed such architecture with just over 2,300 transistors in
an area of only 3 by 4 millimeters. With its 4-bit CPU, command register, decoder,
decoding control, control monitoring of machine commands and interim register, the
4004 was one heck of a little invention. Today's 64-bit microprocessors are still based on
similar designs, and the microprocessor is still the most complex mass-produced product
ever with more than 5.5 million transistors performing hundreds of millions of
calculations each second - numbers that are sure to be outdated fast.
2.13 Altair 8800 – 1975
By 1975 the market for the personal computer was demanding a product that did not
require an electrical engineering background and thus the first mass produced and
marketed personal computer (available both as a kit or assembled) was welcomed with
open arms. Developers Edward Roberts, William Yates and Jim Bybee spent 1973-1974
to develop the MITS (Micro Instruments Telemetry Systems ) Altair 8800. The price was
$375, contained 256 bytes of memory (not 256k),but had no keyboard, no display, and
no auxiliary storage device. Later, Bill Gates and Paul Allen wrote their first product for
the Altair -- a BASIC compiler (named after a planet on a Star Trek episode).

Introduction to Computing –CS101 VU
© Copyright Virtual University of Pakistan
16
2.14 Cray 1 – 1 976
It looked like no other computer before, or for that matter, since. The Cray 1 was the
world's first "supercomputer," a machine that leapfrogged existing technology when it
was introduced in 1971.
And back then, you couldn't just order up fast processors from Intel. "There weren't any
microprocessors," says Gwen Bell of The Computer Museum History Center. "These
individual integrated circuits that are on the board performed different functions."
Each Cray 1, like this one at The Computer Museum History Center, took months to
build. The hundreds of boards and thousands of wires had to fit just right. "It was really
a hand-crafted machine," adds Bell. "You think of all these wires as a kind of mess, but
each one has a precise length."
2.15 IBM PC – 1981
On August 12, 1981, IBM released their new computer, re-named the IBM PC. The
"PC" stood for "personal computer" making IBM responsible for popularizing the term
"PC".
The first IBM PC ran on a 4.77 MHz Intel 8088 microprocessor. The PC came equipped
with 16 kilobytes of memory, expandable to 256k. The PC came with one or two 160k
Floppy Disks Drives and an optional color monitor. The price tag started at $1,565,
which would be nearly $4,000 today.
2.16 Apple Macintosh – 1984
Apple introduced the Macintosh to the nation on January 22, 1984. The original
Macintosh had 128 kilobytes of RAM, although this first model was simply called
"Macintosh" until the 512K model came out in September 1984. The Macintosh retailed
for $2495. It wasn't until the Macintosh that the general population really became aware
of the mouse-driven graphical user interface.
2.17 World Wide Web -1989
"CERN is a meeting place for physicists from all over the world, who collaborate on
complex physics, engineering and information handling projects. Thus, the need for the
WWW system arose "from the geographical dispersion of large collaborations, and the
fast turnover of fellows, students, and visiting scientists," who had to get "up to speed
on projects and leave a lasting contribution before leaving."
CERN possessed both the financial and computing resources necessary to start the
project. In the original proposal, Berners-Lee outlined two phases of the project:
First, CERN would "make use of existing software and hardware as well as
implementing simple browsers for the user's workstations, based on an analysis of the
requirements for information access needs by experiments."
Second, they would "extend the application area by also allowing the users to add new
material."
Berners-Lee expected each phase to take three months "with the full manpower
complement": he was asking for four software engineers and a programmer. The
proposal talked about "a simple scheme to incorporate several different servers of
machine-stored information already available at CERN."

Introduction to Computing –CS101 VU
© Copyright Virtual University of Pakistan
17
Set off in 1989, the WWW quickly gained great popularity among Internet users. For
instance, at 11:22 am of April 12, 1995, the WWW server at the SEAS of the University
of Pennsylvania "responded to 128 requests in one minute. Between 10:00 and 11:00
2.18 Quantum Computing with Molecules
by Neil Gershenfeld and Isaac L. Chuang
Factoring a number with 400 digits--a numerical feat needed to break some security
codes--would take even the fastest supercomputer in existence billions of years. But a
newly conceived type of computer, one that exploits quantum-mechanical interactions,
might complete the task in a year or so, thereby defeating many of the most
sophisticated encryption schemes in use. Sensitive data are safe for the time being,
because no one has been able to build a practical quantum computer. But researchers
have now demonstrated the feasibility of this approach. Such a computer would look
nothing like the machine that sits on your desk; surprisingly, it might resemble the cup of
coffee at its side.
Several research groups believe quantum computers based on the molecules in a liquid
might one day overcome many of the limits facing conventional computers. Roadblocks
to improving conventional computers will ultimately arise from the fundamental physical
bounds to miniaturization (for example, because transistors and electrical wiring cannot
be made slimmer than the width of an atom). Or they may come about for practical
reasons--most likely because the facilities for fabricating still more powerful microchips
will become prohibitively expensive. Yet the magic of quantum mechanics might solve
both these problems.

Introduction to Computing –CS101 VU
© Copyright Virtual University of Pakistan
18
Lecture 3
Today’s Goal is to …
Become familiar with the World Wide Web
Become familiar with the Web’s structure and how the Web works
Learn about its genesis, its evolution, and its future
About its impact on computing, society, commerce
3.1 Browser
A browser is an application program that provides a way to look at and interact with all
the information on the World Wide Web. The word "browser" seems to have originated
prior to the Web as a generic term for user interfaces that let you browse (navigate
through and read) text files online. By the time the first Web browser with a graphical
user interface was generally available (Mosaic, in 1993), the term seemed to apply to Web
content, too. Technically, a Web browser is a client program that uses the Hypertext
Transfer Protocol (HTTP) to make requests of Web servers throughout the Internet on
behalf of the browser user.
3.2 URL
URL (Uniform Resource Locator, previously Universal Resource Locator) - pronounced
YU-AHR-EHL or, in some quarters, UHRL - is the address of a file (resource)
accessible on the Internet. The type of file or resource depends on the Internet
application protocol. Using the World Wide Web's protocol, the Hypertext Transfer
Protocol (HTTP), the resource can be an HTML page (like the one you're reading), an
image file, or any other file supported by HTTP. The URL contains the name of the
protocol required to access the resource, a domain name that identifies a specific
computer on the Internet, and a pathname (hierarchical description of a file location) on
the computer.
On the Web (which uses the Hypertext Transfer Protocol), an example of a URL is:
http://www.ietf.org/rfc/rfc2396.txt
Which describes a Web page to be accessed with an HTTP (Web browser) application
that is located on a computer named www.ietf.org. The pathname for the specific file in
that computer is /rfc/rfc2396.txt.
An HTTP URL can be for any Web page, not just a home page, or any individual file.
Examples:
http://dawn.com
http://www.vu.edu.pk
http://www.smeda.org.pk
3.3 What is a Web site?
A Web site is a related collection of World Wide Web (WWW) files that includes a
beginning file called a home page. A company or an individual tells you how to get to
their Web site by giving you the address of their home page. From the home page, you
can get to all the other pages on their site. For example, the Web site for IBM has the
home page address of http://www.ibm.com. IBM's home page address leads to
thousands of pages but a web site can also be just of few pages.
http://www.vu.edu.pk/

Introduction to Computing –CS101 VU
© Copyright Virtual University of Pakistan
19
3.4 What is Home Page of a web site?
1) For a Web user, the home page is the first Web page that is displayed after starting a
Web browser like Netscape's Navigator or Microsoft's Internet Explorer. The browser is
usually preset so that the home page is the first page of the browser manufacturer.
However, you can set it to open to any Web site. For example, you can specify that
"http://www.yahoo.com" or "http://whatis.com" be your home page. You can also
specify that there be no home page (a blank space will be displayed) in which case you
choose the first page from your bookmark list or enter a Web address.
2) For a Web site developer, a home page is the first page presented when a user selects
a site or presence on the World Wide Web. The usual address for a Web site is the home
page address, although you can enter the address (Uniform Resource Locator) of any
page and have that page sent to you.
3.5 Who invented the Web & Why?
"CERN is a meeting place for physicists from all over the world, who collaborate on
complex physics, engineering and information handling projects. Thus, the need for the
WWW system arose "from the geographical dispersion of large collaborations, and the
fast turnover of fellows, students, and visiting scientists," who had to get "up to speed
on projects and leave a lasting contribution before leaving."
CERN possessed both the financial and computing resources necessary to start the
project. In the original proposal, Berners-Lee outlined two phases of the project:
First, CERN would "make use of existing software and hardware as well as
implementing simple browsers for the user's workstations, based on an analysis of the
requirements for information access needs by experiments."
Second, they would "extend the application area by also allowing the users to add new
material."
Berners-Lee expected each phase to take three months "with the full manpower
complement": he was asking for four software engineers and a programmer. The
proposal talked about "a simple scheme to incorporate several different servers of
machine-stored information already available at CERN."

Introduction to Computing –CS101 VU
© Copyright Virtual University of Pakistan
20
Set off in 1989, the WWW quickly gained great popularity among Internet users. For
instance, at 11:22 am of April 12, 1995, the WWW server at the SEAS of the University
of Pennsylvania "responded to 128 requests in one minute. Between 10:00 and 11:00
3.6 Future of the Web: Semantic Web
The Semantic Web is an idea of World Wide Web inventor Tim Berners-Lee that the
Web as a whole can be made more intelligent and perhaps even intuitive about how to
serve a user's needs. Berners-Lee observes that although search engines index much of
the Web's content, they have little ability to select the pages that a user really wants or
needs. He foresees a number of ways in which developers and authors, singly or in
collaborations, can use self-descriptions and other techniques so that context-
understanding programs can selectively find what users want.
3.7 Useful Web page
Web page for our “Understanding Computers” text book
http://www.hbcollege.com/infosys/parker2000
What have we learnt today?
What is the World Wide Web?
How does it work?
About its expected evolution into the Semantic Web
The impact of the Web on computing, society, and commerce

Introduction to Computing –CS101 VU
© Copyright Virtual University of Pakistan
21
Lecture 4
Today’s Goal
To learn to classify computers according to their capability and targeted applications
To find out about the essential building blocks that make up a modern computer
Computer Types According to Capability
4.1 Computer Types According to Capability
4.2 Supercomputers
A supercomputer is a computer that performs at or near the currently highest
operational rate for computers. A supercomputer is typically used for scientific and
engineering applications that must handle very large databases or do a great amount of
computation (or both). At any given time, there are usually a few well-publicized
supercomputers that operate at the very latest and always incredible speeds.
Perhaps the best-known builder of supercomputers has been Cray Research, now a part
of Silicon Graphics. Some supercomputers are at "supercomputer center," usually
university research centers, some of which, in the United States, are interconnected on
an Internet backbone (A backbone is a larger transmission line that carries data gathered
from smaller lines that interconnect with it) known as vBNS or NSFNet.
At the high end of supercomputing are computers like IBM's "Blue Pacific," announced
on October 29, 1998. Built in partnership with Lawrence Livermore National Laboratory
operations per second), 15,000 times faster than the average personal computer. It
consists of 5,800 processors containing a total of 2.6 trillion bytes of memory and
interconnected with five miles of cable.
4.3 Mainframe Computers
A very large and expensive computer capable of supporting hundreds, or even
thousands, of users simultaneously. In the hierarchy that starts with a simple
microprocessor (in watches, for example) at the bottom and moves to supercomputers at
the top, mainframes are just below supercomputers. In some ways, mainframes are more
powerful than supercomputers because they support more simultaneous programs. But
supercomputers can execute a single program faster than a mainframe. The distinction
between small mainframes and minicomputers is vague (not clearly expressed),
depending really on how the manufacturer wants to market its machines.
4.4 Servers / Minicomputers
A midsized computer. In size and power, minicomputers lie between workstations and
mainframes. In the past decade, the distinction between large minicomputers and small
mainframes has blurred, however, as has the distinction between small minicomputers
and workstations. But in general, a minicomputer is a multiprocessing system capable of
supporting from 4 to about 200 users simultaneously.
4.5 Desktops
These are also called microcomputers. Low-end desktops are called PC’s and high-end
ones “Workstations”. These are generally consisting of a single processor only, some
times 2, along with MB’s of memory, and GB’s of storage. PC’s are used for running
productivity applications, Web surfing, messaging. Workstations are used for more
demanding tasks like low-end 3-D simulations and other engineering & scientific apps.
These are not as reliable and fault-tolerant as servers. Workstations cost a few thousand
dollars; PC around a $1000.
4.6 Portables
Portable computer is a personal computer that is designed to be easily transported and
relocated, but is larger and less convenient to transport than a notebook computer. The
earliest PCs designed for easy transport were called portables. As the size and weight of
most portables decreased, they became known as laptop computer and later as notebook
computer. Today, larger transportable computers continue to be called portable computers.
Most of these are special-purpose computers - for example, those for use in industrial
environments where they need to be moved about frequently.
in California, Blue Pacific is reported to operate at 3.9 teraflop (trillion floating point

Introduction to Computing –CS101 VU
© Copyright Virtual University of Pakistan
22
PDA (personal digital assistant) is a term for any small mobile hand-held device that
provides computing and information storage and retrieval capabilities for personal or
business use, often for keeping schedule calendars and address book information handy.
The term handheld is a synonym. Many people use the name of one of the popular PDA
products as a generic term. These include Hewlett-Packard's Palmtop and 3Com's
PalmPilot.
Most PDAs have a small keyboard. Some PDAs have an electronically sensitive pad on
which handwriting can be received. Apple's Newton, which has been withdrawn from
the market, was the first widely-sold PDA that accepted handwriting. Typical uses
include schedule and address book storage and retrieval and note-entering. However,
many applications have been written for PDAs. Increasingly, PDAs are combined with
telephones and paging systems.
Some PDAs offer a variation of the Microsoft Windows operating system called
Windows CE. Other products have their own or another operating system.
4.7 Ranking w.r.t. installed number
PC’s
PDA’s
Workstations
Servers
Wearable (picture is provided)
Mainframes
Supercomputers
At the highest level, two things are required for computing
Hardware
Computer equipment such as a CPU, disk drives, CRT, or printer
Software
A computer program, which provides the instructions which enable the computer
hardware to work
4.8 All computers have the following essential hardware components:
Input
The devices used to give the computer data or commands are called Input devices.
Includes keyboard, mouse, scanner, etc
Processor
A processor is the logic circuitry that responds to and processes the basic instructions
that drive a computer.
The term processor has generally replaced the term central processing unit (CPU). The
processor in a personal computer or embedded in small devices is often called a
microprocessor.
Short for microprocessor, the central processing unit in a computer. The processor is the
logic of a computer and functions comparably to a human central nervous system,
directing signals from one component to another and enabling everything to happen
Memory
Memory is the electronic holding place for instructions and data that your computer's
microprocessor can reach quickly. When your computer is in normal operation, its
memory usually contains the main parts of the operating system and some or all of the
application programs and related data that are being used. Memory is often used as a
shorter synonym for random access memory (RAM). This kind of memory is located on
one or more microchips that are physically close to the microprocessor in your
computer. Most desktop and notebook computers sold today include at least 16
megabytes of RAM, and are upgradeable to include more. The more RAM you have, the
less frequently the computer has to access instructions and data from the more slowly
accessed hard disk form of storage.
Memory is also called primary or main memory.
Storage

Introduction to Computing –CS101 VU
© Copyright Virtual University of Pakistan
23
Computer storage is the holding of data in an electromagnetic form for access by a
computer processor. It is also called secondary storage. In secondary storage data resides
on hard disks, tapes, and other external devices.
Primary storage is much faster to access than secondary storage because of the proximity
of the storage to the processor or because of the nature of the storage devices. On the
other hand, secondary storage can hold much more data than primary storage.
Output
The devices to which the computer writes data are called Output devices. Often converts
the data into a human readable form. Monitor and printer are output devices.
4.9 Input Devices
Mouse
A mouse is a small device that a computer user pushes across a desk surface in order to
point to a place on a display screen and to select one or more actions to take from that
position. The mouse first became a widely-used computer tool when Apple Computer
made it a standard part of the Apple Macintosh. Today, the mouse is an integral part of
the graphical user interface (GUI) of any personal computer. The mouse apparently got
its name by being about the same size and color as a toy mouse.
Keyboard
On most computers, a keyboard is the primary text input device. A keyboard on a
computer is almost identical to a keyboard on a typewriter. Computer keyboards will
typically have extra keys, however. Some of these keys (common examples include
Control, Alt, and Meta) are meant to be used in conjunction with other keys just like
shift on a regular typewriter. Other keys (common examples include Insert, Delete,
Home, End, Help, function keys, etc.) are meant to be used independently and often
perform editing tasks.
Joystick
In computers, a joystick is a cursor control device used in computer games. The joystick,
which got its name from the control stick used by a pilot to control the ailerons and
elevators of an airplane, is a hand-held lever that pivots on one end and transmits its
coordinates to a computer. It often has one or more push-buttons, called switches,
whose position can also be read by the computer.
Digital Camera
A digital camera records and stores photographic images in digital form that can be fed
to a computer as the impressions are recorded or stored in the camera for later loading
into a computer or printer. Currently, Kodak, Canon, and several other companies make
digital cameras.
Microphone
A device that converts sound waves into audio signals. These could be used for sound
recording as well as voice chatting through internet.
Scanner
A scanner is a device that captures images from photographic prints, posters, magazine
pages, and similar sources for computer editing and display. Scanners come in hand-held,
feed-in, and flatbed types and for scanning black-and-white only, or color. Very high
resolution scanners are used for scanning for high-resolution printing, but lower
Keyboard Mouse
PrinterMemory
Hard
Disk
Memory
Bus
System Bus
Monitor
Compact
Disk
Processor
Integer
Unit
Control
Unit
Cache
Memory
Floating
Point
Unit

Introduction to Computing –CS101 VU
© Copyright Virtual University of Pakistan
24
resolution scanners are adequate for capturing images for computer display. Scanners
usually come with software, such as Adobe's Photoshop product, that lets you resize and
otherwise modify a captured image
4.10 What is Port?
On computer and telecommunication devices, a port (noun) is generally a specific place
for being physically connected to some other device, usually with a socket and plug of
some kind. Typically, a personal computer is provided with one or more serial ports and
usually one parallel port.
4.11Many Types of Ports
Parallel
An interface on a computer that supports transmission of multiple bits at the same time;
almost exclusively used for connecting a printer. On IBM or compatible computers, the
parallel port uses a 25-pin connector.
Serial
It is a general-purpose personal computer communications port in which 1 bit of
information is transferred at a time. In the past, most digital cameras were connected to
a computer's serial port in order to transfer images to the computer. Recently, however,
the serial port is being replaced by the much faster USB port on digital cameras as well as
computers.
SCSI
A port that's faster than the serial and parallel ports but slower and harder to configure
than the newer USB port. Also know as the Small Computer System Interface.
A high-speed connection that enables devices, such as hard-disk drives and network
adapters, to be attached to a computer.
USB
USB (Universal Serial Bus) is a plug-and-play hardware interface for peripherals such as
the keyboard, mouse, joystick, scanner, printer and modem. USB has a maximum
bandwidth of 12 Mbits/sec and up to 127 devices can be attached. With USB, a new
device can be added to your computer without having to add an adapter card. It typically
is located at the back of the PC
Firewire
FireWire is simply a really fast port that lets you connect computer peripherals and
consumer electronics to your computer without the need to restart. It is a simple
common plug-in serial connector on the back of your computer.
It has the ability to chain devices together in a number of different ways without
terminators for example, simply join 2 computers with a FireWire cable for instant high-
speed networking.
4.12 Processor
Pentium
Celeron
Athlon
PowerPC
StrongARM (PDA)
Crusoe (Laptops)
SPARC (Workstations)
4.13 Memory/Storage
RAM
RAM (random access memory) is the place in a computer where the operating system,
application programs, and data in current use are kept so that they can be quickly
reached by the computer's processor. RAM is much faster to read from and write to than
the other kinds of storage in a computer, the hard disk, floppy disk, and CD-ROM.
However, the data in RAM stays there only as long as your computer is running. When
you turn the computer off, RAM loses its data. When you turn your computer on again,
your operating system and other files are once again loaded into RAM, usually from your
hard disk.

Introduction to Computing –CS101 VU
© Copyright Virtual University of Pakistan
25
Punch cards
A card on which data can be recorded in the form of punched holes.
ROM
ROM is "built-in" computer memory containing data that normally can only be read, not
written to. ROM contains the programming that allows your computer to be "booted
up" or regenerated each time you turn it on. Unlike a computer's random access memory
(RAM), the data in ROM is not lost when the computer power is turned off.
The ROM is sustained by a small long-life battery in your computer.
Hard disk
Hard disk is a computer storage device which saves and retrieves the data when
required. Its capacity is much greater than the computer memory (RAM, ROM). Data on
hard disk is stored and retrieved from electromagnetically charged surface.
Today we can save huge amount of data on a single hard disk. Now hard disks can
contain several billion bytes.
Floppy disk
A diskette is a random access, removable data storage medium that can be used with
personal computers. The term usually refers to the magnetic medium housed in a rigid
plastic cartridge measuring 3.5 inches square and about 2 millimeters thick. Also called a
"3.5-inch diskette," it can store up to 1.44 megabytes (MB) of data.
Tape
In computers, tape is an external storage medium, usually both readable and writable,
can store data in the form of electromagnetic charges that can be read and also erased. A
tape drive is the device that positions, writes from, and reads to the tape.
CD
A compact disc [sometimes spelled disk] (CD) is a small, portable, round medium for
electronically recording, storing, and playing back audio, video, text, and other
information in digital form.
DVD
DVD (digital versatile disc) is an optical disc technology that is expected to rapidly
replace the CD-ROM disc (as well as the audio compact disc) over the next few years.
The digital versatile disc (DVD) holds 4.7 gigabyte of information on one of its two
sides, or enough for a 133-minute movie.
4.14 Classifying Memory/Storage
Electronic (RAM, ROM), magnetic (HD, FD, Tape), optical (CD, DVD)
Volatile (RAM), non-volatile (HD)
Direct access (RAM, HD), serial access (Tape)
Read/write (HD, RAM), read-only (CD)
4.15 Output Devices
Printer
Plotter
Speakers
Monitor
4.16 Modem
Modem is output as well as input device at the same time. It receives the data (analog
signal) coming through telephone line, converts them to digital signals and sends them to

Introduction to Computing –CS101 VU
© Copyright Virtual University of Pakistan
26
computer to which it is attached. It also receives the data from computer and changes it
to analog signals.
What have we learnt today?
What are the various types of computers with respect to their size, capability,
applications (FIVE TYPES)
The five essential components of any computer are input devices, processor, memory,
storage and output devices

Introduction to Computing –CS101 VU
© Copyright Virtual University of Pakistan
27
Lecture 5
Today’s goal is quite simple …
To learn about the various components of the popular personnel computer.
How those things are put together to form a PC
5.1 PC Parts
Monitor
Keyboard
Mouse
Speaker/headphone
Microphone
CPU
Front buttons
Backside ports, fan, slots, cables
5.2 Inside of the CPU
Power supply/fan & connectors
Motherboard
Bus
Edge connectors
Ports
Video card
Modem
Network card
Sound card
ROM
RAM
Slots
DIMM’s
5.3 The Processor Module
The slot on the motherboard
The housing
Fan
Heat sink
Pins (256?), Transistors (10 million?)

Introduction to Computing –CS101 VU
© Copyright Virtual University of Pakistan
28
Lecture 6
Learning Goals for Today
6.1 To develop your personal Web page
To upload your Web page to VU’s Web server so that it becomes visible on the Internet
as http://www.vu.edu.pk/~xxxxxxx/
where xxxxxxx is your user ID
http://www.vu.edu.pk/~altaf
HTML
Hyper Text Markup Language
<HTML>
<HEAD>
<TITLE>Altaf Khan's Home Page</TITLE>
</HEAD>
<BODY>
<H1>Altaf Khan</H1>
<P><B>Adjunct Lecturer in Computer Science</B><BR>
<A HREF="http://www.vu.edu.pk/">Virtual University</A><BR>
Building 1, 3rd Floor, Aiwan-e-Iqbal, Lahore<BR>
+92 42 555 1212<BR>
<A HREF="mailto:altaf@vu.edu.pk">altaf@vu.edu.pk</A><BR></P>
<P>I teach the <A HREF="http://www.vu.edu.pk/cs101/">Introduction to
Computing</A> course. </P>
</BODY>
</HTML>

Introduction to Computing –CS101 VU
© Copyright Virtual University of Pakistan
29
http://www.vu.edu.pk/~altaf/index.html
http://www.vu.edu.pk/~altaf
http://www.vu.edu.pk/~xxxxxxx
where xxxxxxx is your user ID
<HTML>
…
…
</HTML>
<HEAD>
…
…
</HEAD>
<TITLE> … </TITLE>
<BODY>
…
…
</BODY>
<P> … </P>
Paragraph
<BR>
Line break

Introduction to Computing –CS101 VU
© Copyright Virtual University of Pakistan
30
<B> … </B>
Bold text
<A HREF = “action” > label </A>
http://
example: “http://www.vu.edu.pk”
mailto:
example: “mailto:altaf@vu.edu.pk”
HTML Code
I am at the
<A HREF=“http://www.vu.edu.pk”>Virtual University</A>. You can send me an
e-mail by clicking
<A HREF=“mailto:bhola@vu.edu.pk”>here</A>.
Browser Display
I am at the Virtual University. You can send me an e-mail by clicking here.
What have we learned today?
We now know how Web pages are built using HTML
We also know how to make our personal Web pages available to everyone on the Internet
Useful URL’s
HTML for the Conceptually Challenged
http://www.arachnoid.com/lutusp/html_tutor.html
NCSA’s Beginner's Guide to HTML
http://archive.ncsa.uiuc.edu/General/Internet/WWW/HTMLPrimerAll.html
Homework Assignment
Develop your own home page. It should be accessible as
http://www.vu.edu.pk/~xxxxxxx (xxxxxxxx is your user ID)
Among other things, it should contain
At least one link to http://www.vu.edu.pk/~altaf
Your (clickable) email address
A paragraph (50-100 words) on what you see yourself doing 10 years from now.
Consult your syllabus for the submission deadline for this assignment

Introduction to Computing –CS101 VU
© Copyright Virtual University of Pakistan
31
Lecture 7
Goals for Today
Today we want to learn about the microprocessor, the key component, the brain, of a
computer
We’ll learn about the function of a microprocessor
And its various sub-systems
Bus interface unit
Data & instruction cache memory
Instruction decoder
Arithmetic-Logic unit
Floating-point unit
Control unit
7.1 Microprocessor
A microprocessor (abbreviated as µP or uP) is a computer processor on a microchip. It's
sometimes called a logic chip. A microprocessor is designed to perform arithmetic and
logic operations that make use of small number-holding areas called registers. Typical
microprocessor operations include adding, subtracting, comparing two numbers, and
fetching numbers from one area to another. These operations are the result of a set of
instructions that are part of the microprocessor design. When the computer is turned on,
the microprocessor is designed to get the first instruction from the basic input/output
system (BIOS) that comes with the computer as part of its memory. After that, either the
BIOS, or the operating system that BIOS loads into computer memory, or an
application program is "driving" the microprocessor, giving it instructions to perform.
The number of transistors available has a huge effect on the performance of a processor.
As seen earlier, a typical instruction in a processor like an 8088 took 15 clock cycles to
execute. Because of the design of the multiplier, it took approximately 80 cycles just to
do one 16-bit multiplication on the 8088. With more transistors, much more powerful
multipliers capable of single-cycle speeds become possible.
A microprocessor is made from miniaturized transistors and other circuit elements on a
silicon.
7.2 Integrated Circuits
A chip is also called an (integrated circuit (IC) (aka microchip or just chip). It is a
microelectronic semiconductor device consisting of many interconnected transistors and
other components.Generally it is a small, thin piece of silicon onto which the transistors
making up the microprocessor have been etched.
A chip might be as large as an inch on a side and can contain tens of millions of
transistors. Simpler processors might consist of a few thousand transistors etched onto a
chip just a few millimeters square. Integrated circuits can be classified into analog, digital
and mixed signal (both analog and digital on the same chip). Digital integrated circuits
can contain anything from one to millions of logic gates, flip-flops, multiplexers, etc. in a
few square millimeters. The small size of these circuits allows high speed, low power
dissipation, and reduced manufacturing cost compared with board-level integration.
The growth of complexity of integrated circuits follows a trend called "Moore's Law", it
states that the number of transistors in an integrated circuit doubles every two years.
7.3 Devices
7.3.1 Transistors
single semiconductor integrated circuit (IC) . These are made up of semiconductor and

Introduction to Computing –CS101 VU
© Copyright Virtual University of Pakistan
32
The transistor is a solid state semiconductor device used for amplification and
switching, and has three terminals. A small current or voltage applied to one terminal
controls the current through the other two, hence the term transistor; a voltage- or
current-controlled resistor. It is the key component in all modern electronics. In digital
circuits, transistors are used as very fast electrical switches, and arrangements of
transistors can function as logic gates, RAM-type memory and other devices. In analog
circuits, transistors are essentially used as amplifiers.
7.3.2 Diodes
A diode functions as the electronic version of a one-way valve. By restricting the
direction of movement of charge carriers, it allows an electric current to flow in one
direction, but blocks it in the opposite direction.
A diode's current-voltage, or I-V, characteristic can be approximated by two regions of
operation. Below a certain difference in potential between the two leads, the diode can
be thought of as an open (non-conductive) circuit. As the potential difference is
increased, at some stage the diode will become conductive and allow current to flow, at
which point it can be thought of as a connection with zero (or at least very low)
resistance. In a typical semiconductor p-n diode, conventional current can flow from the
p-doped side to the n-doped side, but not in the opposite direction. When the diode is
reverse-biased, the charge carriers are pulled away from the center of the device, creating
a depletion region. More specifically, the transfer function is logarithmic, but so sharp
that it looks like a corner.
7.3.3 Resistors
A resistor is an electrical component designed to have an electrical resistance that is
independent of the current flowing through it. The common type of resistor is also
designed to be independent of temperature and other factors. Resistors may be fixed or
variable. Variable resistors are also called potentiometers or rheostats
A few resistor types
Some resistors are long and thin, with the actual resisting material in the centre, and a
conducting metal leg on each end. This is called an axial package.
Resistors used in computers and other devices are typically much smaller, often in surface-
mount (Surface-mount technology) packages without leads.
Larger power resistors come in more sturdy packages designed to dissipate heat
efficiently, but they are all basically the same structure. Resistors are used as part of
electrical networks and incorporated into microelectronic semiconductor devices. The
critical measurement of a resistor is its resistance, which serves as a ratio of voltage to
current and is measured in ohms, an SI unit. Any physical object is a kind of resistor.
Most metals are conductors, and have low resistance to the flow of electricity. The
human body, a piece of plastic, or even a vacuum has a resistance that can be measured.
Materials that have very high resistance are called insulators.
7.3.4 Capacitors
A capacitor (historically known as a "condenser") is a device that stores energy in an
electric field, by accumulating an internal imbalance of electric charge. An ideal capacitor
can store electronic energy when disconnected from its charging circuit, so it can be used
like a fast battery. In AC or signal circuits it induces a phase difference of 90 degrees,
current leading potential.
They are connected in parallel with the power circuits of most electronic devices and
larger systems (such as factories) to shunt away and conceal current fluctuations from
the primary power source to provide a "clean" power supply for signal or control
circuits. The effect of such capacitors can be thought of in two different ways. One way
of thinking about it is that the capacitors act as a local reserve for the DC power source,
to smooth out fluctuations by charging and discharging each cycle. The other way to
think about it is that the capacitor and resistance of the power supply circuitry acts as a
filter and removes high frequencies, leaving only DC.
Wires
And are made of the following materials

Introduction to Computing –CS101 VU
© Copyright Virtual University of Pakistan
33
Silicon - semiconductor
Copper - conductor
Silicon Dioxide - insulator
7.4 Microprocessor system
Microprocessors are powerful pieces of hardware, but not much useful on their own.
They do not have the sense of their own. Like the human sample it needs some
instructions inputs and outputs to process some task. As per instruction given to the
microprocessor.
A microprocessor system is microprocessor plus all the components it requires to do a
certain task.
Shortly, a microprocessor needs help of some components to make up the task to fulfill.
These components are input, output, storage, and memory. All these components and
microprocessor make up a microprocessor system.
Personal Computer is an example of microprocessor System. Another example is the
microcontroller.
7.5 Micro-controllers
A microcontroller is a microprocessor optimised to be used to control electronic
equipment. Microcontrollers represent the vast majority of all computer chips sold, over
50% are "simple" controllers, and another 20% are more specialized decipline
processors. While you may have one or two general-purpose microprocessors in your
house (you're using one to read this), you likely have somewhere between one and two
dozen microcontrollers. They can be found in almost any electrical device, washing
machines, microwave ovens, telephones etc.
A microcontroller includes CPU, memory for the program (ROM), memory for data
(RAM), I/O lines to communicate with peripherals and complementary resources, all
this in a closed chip. A microcontroller differs from a standalone CPU, because the first
one generally is quite easy to make into a working computer, with a minimum of external
support chips. The idea is that the microcontroller will be placed in the device to control,
hooked up to power and any information it needs, and that's that.
7.6 The Main Memory Bottleneck
Modern super-fast microprocessors can process a huge amount of data in a short
duration. They need data to be processed at the same speed. Other wise they have to sit
idle and wait for the input/data, because speed of input is rather small then processing
of data. They require quick access to data to maximize their performance. If they don’t
receive the data that they require, they literally stop and wait, this results in reduced
performance and wasted power.
Current microprocessors can process an instruction in about ns (nanosecond). Time
required for fetching data from main memory (RAM) is of the order of 100 ns
Solution to the Bottleneck Problem
In order to eliminate the solution it was suggested to make the main memory faster. But
that evolved a problem that the 1-ns memory is extremely expensive as compared the
currently popular 100-ns memory.
Finally it was decided that in addition to the relatively slow main memory, put a small
amount of ultra-fast RAM right next to the microprocessor on the same chip and make
sure that frequently used data and instructions resides in that ultra-fast memory
It increases the performance. It supports better over performance due to fast access to
frequently used data and instructions.
7.7 Cache
A cache is a collection of duplicate data, where the original data is expensive to fetch or
compute (usually in terms of access time) relative to the cache. Future accesses to the
data can be made by accessing the cached copy rather than refetching or recomputing
the original data, so that the perceived average access time is lower. Caches may mark the
cached data as 'stale' when the original data is changed, but this is not always the case.

Introduction to Computing –CS101 VU
© Copyright Virtual University of Pakistan
34
On-Chip Cache Memory (1)
That small amount of memory located on the same chip as the microprocessor is called
On-Chip Cache Memory.
The microprocessor stores a copy of frequently used data and instructions in its cache
memory. When the microprocessor desires to look at a piece of data, it checks in the
cache first. If it is not there, only then the microprocessor asks for the same from the
main memory
On-Chip Cache Memory (2)
L2, cache memory, which is on a separate chip from the microprocessor but faster to
access than regular RAM.
It is the small size and proximity to the microprocessor makes access times short,
resulting in a boost in performance. Microprocessors predict what data will be required
for future calculations and it pre-fetches that data and places it in the cache so that it is
available immediately when the need arises.
7.8 Microprocessors Building Blocks
Bus Interface Unit
The bus interface unit is the part of the processor that interfaces with the rest of the PC.
Its name comes from the fact that it deals with moving information over the processor
data bus, the primary conduit for the transfer of information to and from the CPU. The
bus interface unit is responsible for responding to all signals that go to the processor,
and generating all signals that go from the processor to other parts of the system.
It receives instructions & data from main memory to be processed and operations. After
the operations are processed it then sends back the information (processed data) to the
cache. It also receives the processed data to send it to the main memory.
Instruction Decoder
The instruction decoder of a processor is a combinatorial circuit sometimes in the form of a
read-only memory, sometimes in the form of an ordinary combinatorial circuit. Its
purpose is to translate an instruction code into the address in the micro memory where
the micro code for the instruction starts.
Registers
Registers
Micro
p
rocessor
Instruction
Cache
Arithmetic
& Logic
Unit
Control
Unit
Bus
Interface
Unit
Data
Cache
Instruction
Decoder
I/O
RAM
Memory
Bus
System
Bus Floating
Point
Unit

Introduction to Computing –CS101 VU
© Copyright Virtual University of Pakistan
35
A decoder is a device which is the reverse, undoing the encoding so that the original
information can be retrieved. The same method used to encode is usually just reversed in
order to decode.This unit receives the programming instructions and decodes them into
a form that is understandable by the processing units, i.e. The ALU or FPU Then, it
passes on the decoded instruction to the ALU or FPUs as desired.
Arithmetic & Logic Unit (ALU)
An arithmetic and logical unit (ALU) also known as “Integer Unit” is one of the core
components of all central processing units. It is capable of calculating the results of a
wide variety of common computations. The most common available operations are the
integer arithmetic operations of addition, subtraction, and multiplication, the bitwise
logic operations of AND, NOT, OR, and XOR, and various shift operations.
The ALU takes as inputs the data to be operated on and a code from the control unit
indicating which operation to perform, and for output provides the result of the
computation. In some designs it may also take as input and output a set of condition
codes, which can be used to indicate cases such as carry-in or carry-out, overflow, or
other statuses.
The new breed of popular microprocessors have not one but two almost identical ALU’s
that can do calculations simultaneously, doubling the capability
Floating-Point Unit (FPU)
A floating point unit (FPU) is a part of a CPU specially designed to carry out
operations on floating point numbers. Typical operations are floating point arithmetic
(such as addition and multiplication), but some systems may be capable of performing
exponential or trigonometric calculations as well (such as square roots or cosines).
Not all CPUs have a dedicated FPU. In the absence of an FPU, the CPU may use a
microcode program to emulate an FPUs function using an arithmetic and logical unit
(ALU), which saves the added hardware cost of an FPU but is significantly slower.
In some computer architectures, floating point operations are handled completely
separate from integer operations, with dedicated floating point registers and independent
clocking schemes. Floating point addition and multiplication operations are typically
pipelined, but more complicated operations, like division, may not be, and some systems
may even have a dedicated floating point divider circuit.
Registers
A register is a device for storing data. It is a small amount of very fast computer
memory used to speed the execution of computer programs by providing quick access to
commonly used values. These registers are the top of the memory hierarchy, and are the
fastest way for the system to manipulate data. It is common to measure registers by the
number of bits it can hold, for example, an "8-bit register" or "32-bit register". Registers
are now usually implemented as an array of SRAMs, but they have also been
implemented using individual flip flops, high speed core memory, thin film memory, and
other ways in various machines.
There are several other classes of registers:
Data registers are used to store integer numbers.
Address registers hold memory addresses and are used to access memory.
General Purpose registers can store both data and addresses.
Floating Point registers are used to store floating point numbers.
Constant registers hold read-only values (e.g zero or one).
Vector registers hold data for Single Instruction Multiple Data (SIMD) instructions.
Special Purpose registers which store internal CPU data like the stack pointer or
processor status words.
The ALU & FPU store intermediate and final results from their calculations in these
registers. Then the processed data goes back to the data cache and then to main memory
from these registers.
Control Unit

Introduction to Computing –CS101 VU
© Copyright Virtual University of Pakistan
36
A control unit is the part of a CPU or other device that directs its operation. The
outputs of the unit control the activity of the rest of the device. A control unit can be
thought of as a finite state machine. It is called the brain of computer microprcessor. It
manages whole process of the microprocessor. For it identifes which data is sent to the
ALU or memory etc.
At one time control units for CPUs were ad-hoc logic, and they were difficult to design.
Now they are often implemented as a microprogram that is stored in a control store.
That was the structure, now let’s talk about the language of a microprocessor
Instruction Set
The set of machine instructions that a microprocessor recognizes and can execute – the
only language microprocessor knows
An instruction set includes low-level, a single step-at-a-time instructions, such as add,
subtract, multiply, and divide
Each microprocessor family has its unique instruction set
Bigger instruction-sets mean more complex chips (higher costs, reduced efficiency), but
shorter programs
An instruction set, or instruction set architecture (ISA), is a specification detailing the
commands that a computer's CPU should be able to understand and execute, or the set
of all commands implemented by a particular CPU design. The term describes the
aspects of a computer or microprocessor typically visible to a programmer, including the
native datatypes, instructions, registers, memory architecture, interrupt and fault system,
and external I/O (if any). "Instruction set architecture" is sometimes used to distinguish
this set of characteristics from the Micro-Architecture, which are the elements and
techniques used to implement the ISA, e.g. microcode, pipelining, cache systems, etc.
Bigger instruction-sets mean more complex chips (higher costs, reduced efficiency), but
shorter programs. Each microprocessor family has its unique instruction set. Following
are the few ISA;
MIPS
Motorola 6800
ARM
PowerPC
x86 (Pentium)
ALGOL Object Code
SPARC
7.9The 1st microprocessor : Intel 4004
The first microprocessor was the Intel 4004, introduced in 1971. The 4004 was not very
powerful all it could do was add and subtract, and it could only do that 4 bits at a time. But it
was amazing that everything was on one chip. Prior to the 4004, engineers built computers
Registers
Registers
Arithmetic
& Logic
Unit
Control
Unit
Bus
Interface
Unit
Data
Cache
Instruction
Decoder
I/O
Memory
Bus
System
Bus Floating
Point
Unit
Instruction
Cache
Microprocessor
RAM

Introduction to Computing –CS101 VU
© Copyright Virtual University of Pakistan
37
either from collections of chips or from discrete components (transistors wired one at a
time). The 4004 powered one of the first portable electronic calculators. It was as powerful
as ENIAC which had 18000 tubes and occupied a large room. It cost less then $100. Its
targeted use was of calculation. It consisted of 2250 transistors and 16pins. Speed was 108
kHz, 60,000 ops/sec.
Why Intel came up with the idea?
A Japanese calculator manufacturer, Busicom wanted Intel to develop 16 separate IC’s
for a line of new calculators. Intel, at that point in time known only as a memory
manufacturer, was quite small and did not have the resources to do all 16 chips. Then
Ted Hoff came up with the idea of doing all 16 on a single chip. Later, Intel realized that
the 4004 could have other uses as well.
Currently Intel came with – Intel Pentium 4 (2.2GHz).
It was introduced in December 2001. It got 55 million transistors. 32-bit word size.
Within the processor it has 2 ALU’s each working at 4.4GHz. It costs around $600.
Moore’s Law
Moore's law(1965) is an empirical observation stating in effect that at our rate of
technological development and advances in the semiconductor industry the complexity
of integrated circuits doubles every 18 months. His original empirical observation was
that the number of components on semiconductor chips with lowest per-component
cost doubles roughly every 12 months, and he conjectured that the trend will stay for at
least 10 years. In 1975, Moore revised his estimate for the expected doubling time,
arguing that it was slowing down to about two years
4-, 8-, 16-, 32-, 64-bit (Word Length)
The 4004 dealt with data in chunks of 4-bits at a time
Pentium 4 deals with data in chunks (words) of 32-bit length
The new Itanium processor deals with 64-bit chunks (words) at a time
kHz, MHz, GHz (Clock Frequency)
4004 worked at a clock frequency of 108kHz
The latest processors have clock freqs. in GHz
Out of 2 microprocessors having similar designs, one with higher clock frequency will
be more powerful
Same is not true for 2 microprocessors of dissimilar designs. Example: Out of
PowerPC & Pentium 4 microprocessors working at the same freq, the former performs
better due to superior design. Same for the Athlon microprocessor when compared with
a Pentium
Enhancing the capability of a microprocessor ?
The computing capability of a microprocessor can be enhanced in many different
ways:
Evolution of Intel Microprocessors

Introduction to Computing –CS101 VU
© Copyright Virtual University of Pakistan
38
By increasing the clock frequency
By increasing the word-width
By having a more effective caching algorithm and the right cache size
By adding more functional units (e.g. ALU’s, FPU’s, Vector/SIMD units, etc.)
Improving the architecture
What have we learnt today?
Today we learnt about the microprocessor, the key component, the brain, of a computer
We learnt about the function of a microprocessor
And its various sub-systems
Bus interface unit
Data & instruction cache memory
Instruction decoder
ALU
Floating-point unit
Control unit

Introduction to Computing –CS101 VU
© Copyright Virtual University of Pakistan
39
Lecture 8
Binary Numbers & Logic Operations
The focus of the last lecture was on the microprocessor
During that lecture we learnt about the function of the central component of a
computer, the microprocessor
And its various sub-systems
Bus interface unit
Data & instruction cache memory
Instruction decoder
ALU
Floating-point unit
Control unit
Learning Goals for Today
To become familiar with number system used by the microprocessors - binary numbers
To become able to perform decimal-to-binary conversions
To understand the NOT, AND, OR and XOR logic operations – the fundamental
operations that are available in all microprocessors
BINARY
(BASE 2)
numbers
DECIMAL
(BASE 10)
numbers
Decimal (base 10) number system consists of 10 symbols or digits
0 1 2 3 4
5 6 7 8 9
Binary (base 2) number system consists of just two
0 1
Other popular number systems
Octal
base = 8
8 symbols (0,1,2,3,4,5,6,7)
Hexadecimal
base = 16
16 symbols (0,1,2,3,4,5,6,7,8,9,A,B,C,D,E,F)
Decimal (base 10) numbers are expressed in the
positional notation
4202 = 2x100 + 0x101 + 2x102 +
4x103
The right-most is the least significant
di i
The left-most is the most significant digit

Introduction to Computing –CS101 VU
© Copyright Virtual University of Pakistan
40
Decimal (base 10) numbers are expressed
in the positional notation
4202 = 2x100 + 0x101 + 2x102 + 4x103
1’s multiplier
1
Decimal (base 10) numbers are expressed
in the positional notation
4202 = 2x100 + 0x101 + 2x102 + 4x103
10’s multiplier
10
Decimal (base 10) numbers are expressed in
the positional notation
4202 = 2x100 + 0x101 + 2x102 + 4x103
100’s multiplier
100
Decimal (base 10) numbers are expressed in
the positional notation
4202 = 2x100 + 0x101 + 2x102 + 4x103
1000’s multiplier
1000

Introduction to Computing –CS101 VU
© Copyright Virtual University of Pakistan
41
Binary (base 2) numbers are also expressed in
the positional notation
10011 = 1x20 + 1x21 + 0x22 + 0x23 + 1x24
The right-most is the least significant
di i
The left-most is the most significant digit
Binary (base 2) numbers are also expressed
in the positional notation
10011 = 1x20 + 1x21 + 0x22 + 0x23 + 1x24
1’s multiplier
1
Binary (base 2) numbers are also expressed in
the positional notation
10011 = 1x20 + 1x21 + 0x22 + 0x23 + 1x24
8’s multiplier
8
Binary (base 2) numbers are also expressed in
the positional notation
10011 = 1x20 + 1x21 + 0x22 + 0x23 + 1x24
16’s multiplier
16

Introduction to Computing –CS101 VU
© Copyright Virtual University of Pakistan
42
8.1 Why binary
Because this system is natural for digital computers
The fundamental building block of a digital computer – the switch – possesses two
natural states, ON & OFF.
It is natural to represent those states in a number system that has only two symbols, 1
and 0, i.e. the binary number system
In some ways, the decimal number system is natural to us humans. Why?
bit
binary digit
Byte = 8 bits
Decimal Binary conversion
.
Check
1001011 = 1x20 + 1x21 + 0x22 + 1x23 + 0x24 + 0x25 + 1x26
= 1 + 2 + 0 + 8 + 0 + 0 + 64
= 75
Counting in
Decimal
0
1
2
3
4
5
6
7
8
9
10
11
12
13
14
15
16
17
18
19
20
21
22
23
24
25
26
27
28
29
30
31
32
33
34
35
36
.
.
.
0
1
10
11
100
101
110
111
1000
1001
1010
1011
1100
1101
1110
1111
10000
10001
10010
10011
10100
10101
10110
10111
11000
11001
11010
11011
11100
11101
11110
11111
100000
100001
100010
100011
100100
.
.
.
Counting in
Binar
y
Convert 75 to Binary
75
2
37
1
2
18
1
2
9
0
2
4
1
2
2
0
2
1
0
2
0
1
remainde
1001011

Introduction to Computing –CS101 VU
© Copyright Virtual University of Pakistan
43
That finishes our first topic - introduction to binary numbers and their conversion to
and from decimal numbers
Our next topic is …
8.2 Boolean Logic Operations
Let x, y, z be Boolean variables. Boolean variables can only have binary values i.e., they
can have values which are either 0 or 1.
For example, if we represent the state of a light switch with a Boolean variable x, we will
assign a value of 0 to x when the switch is OFF, and 1 when it is ON
A few other names for the states of these Boolean variables
0 1
Off On
Low High
False True
We define the following logic operations or functions among the Boolean
variables
Name Example Symbolically
NOT
y
= NOT(x) x´
AND z = x AND y x · y
OR z = x OR y x + y
XOR z = x XOR y x ⊕ y
Convert 100 to Binary
10
2
5
0
2
2
0
2
1
1
2
6
0
2
3
0
2
1
1
2
0
1
1100100
remainde
r

Introduction to Computing –CS101 VU
© Copyright Virtual University of Pakistan
44
We’ll define these operations with the help of truth tables
what is the truth table of a logic function
A truth table defines the output of a logic function for all possible inputs
Truth Table for the NOT Operation
(y true whenever x is false)
X
y = x´
0
1
Truth Table for the NOT Operation
X
y
= x´
0 1
1 0
Truth Table for the AND Operation
(z true when both x & y true)
X
y
z = x · y
0 0
0 1
1 0
1 1
Truth Table for the AND Operation
X
y
z = x · y
0 0 0
0 1 0
1 0 0
1 1 1
Truth Table for the OR Operation
(z true when x or y or both true)
x
y
z = x + y
0 0
0 1
1 0
1 1

Introduction to Computing –CS101 VU
© Copyright Virtual University of Pakistan
45
Truth Table for the OR Operation
x
y
z = x + y
0 0 0
0 1 1
1 0 1
1 1 1
Truth Table for the XOR Operation
(z true when x or y true, but not both)
X
y
z = x ⊕ y
0 0
0 1
1 0
1 1
8.3 Truth Table for the XOR Operation
X
y
z = x ⊕ y
0 0 0
0 1 1
1 0 1
1 1 0
Those 4 were the fundamental logic operations. Here are examples of a few more
complex situations
z =
(
x + y
)
´
z = y
·
(
x + y
)
z =
(
y
·
x
)
⊕
w
8.4 STRATEGY: Divide & Conquer
z =
(
x + y
)
´

Introduction to Computing –CS101 VU
© Copyright Virtual University of Pakistan
46
x
y
x
+
y z = (x
+
y)´
0 0 0 1
0 1 1 0
1 0 1 0
1 1 1 0
z = y
·
(
x + y
)
x
y
x
+
y z = y · (x
+
y)
0 0 0 0
0 1 1 1
1 0 1 0
1 1 1 1
z =
(
y
·
x
)
⊕
w
x
y
W
y
· x z = (y · x)
⊕ w
0 0 0 0 0
0 0 1 0 1
0 1 0 0 0
0 1 1 0 1
1 0 0 0 0
1 0 1 0 1
1 1 0 1 1
1 1 1 1 0
Number of rows in a truth table?
2n
n = number of input variables
What have we learnt today?
About the binary number system, and how it differs from the decimal system
Positional notation for representing binary and decimal numbers
A process (or algorithm) which can be used to convert decimal numbers to binary
numbers
Basic logic operations for Boolean variables, i.e. NOT, OR, AND, XOR, NOR,
NAND, XNOR
Construction of truth tables (How many rows?)
Focus of the Next Lecture
Next lecture will be the 3rd on Web dev
The focus of the one after that, the 10th lecture, however, will be on software. During
that lecture we will try:
To understand the role of software in computing
To become able to differentiate between system and application software

Introduction to Computing –CS101 VU
© Copyright Virtual University of Pakistan
47
Lecture 9
HTML Lists & Tables
(Web Development Lecture 3)
Today is our 3rd Web Dev lecture During our 2nd lecture on Web dev …
We learnt to develop our own Web pages in HTML
We learnt about some of the tags used in HTML pages
<BR>, <P>, </P>, <B>, <TITLE>, </TITLE>, <H1>, </H1>
<HTML></HTML>, <HEAD></HEAD>, <BODY></BODY>
<A HREF = “action” > label </A>, action=http:// or mailto:
We also learnt about how to upload our Web pages to VU’s Web server so that it
becomes visible on the Internet as http://www.vu.edu.pk/~xxxxxxxx/
where xxxxxxxx is your VU user ID
Today’s Lecture
We will extend our Web pages by adding a few more tags
Specifically, we will learn about various types of lists that can be added to a Web page
And also, about tables
But first …
A few comments on the general structure of HTML tags
9.1 Single Tags
<
tagName
>
Example: <BR>
Single Tags with Atributes
<
tagName attributes
>
Example: <HR width=“50%”>
Paired Tags
<
tagName
> … <
/tagName
>
Example: <H1> … </H1>
Paired Tags with Attributes
<
tagName
attributes
> … <
/tagName
>
Example: <H1 align=“center”> … </H1>

Introduction to Computing –CS101 VU
© Copyright Virtual University of Pakistan
48
List

Introduction to Computing –CS101 VU
© Copyright Virtual University of Pakistan
49
<HTML>
<HEAD>
<TITLE>Altaf Khan's Home Page</TITLE>
</HEAD>
<BODY>
<H1>Altaf Khan</H1>
<P><B>Adjunct Lecturer in Computer Science</B><BR>
<A HREF="http://www.vu.edu.pk/">Virtual University</A><BR>
Building 1, 3rd Floor, Aiwan-e-Iqbal, Lahore<BR>
+92 42 555 1212<BR>
<A HREF="mailto:altaf@vu.edu.pk">altaf@vu.edu.pk</A><BR></P>
<P>I teach the <A HREF="http://www.vu.edu.pk/cs101/">Introduction to
Computing</A> course. </P>
</BODY>
</HTML>
<HTML>
<HEAD>
<TITLE>Altaf Khan's Home Page</TITLE>
</HEAD>
<BODY>
<H1>Altaf Khan</H1>
<P><B>Adjunct Lecturer in Computer Science</B><BR>
<A HREF="http://www.vu.edu.pk/">Virtual University</A><BR>
Building 1, 3rd Floor, Aiwan-e-Iqbal, Lahore<BR>
+92 42 555 1212<BR>
<A HREF="mailto:altaf@vu.edu.pk">altaf@vu.edu.pk</A><BR></P>
<P>I teach the <A HREF="http://www.vu.edu.pk/cs101/">Introduction to
Computing</A> course. </P>
The additional code for the list and
tab
l
e
goes
h
e
r
e

Introduction to Computing –CS101 VU
© Copyright Virtual University of Pakistan
50
</BODY>
</HTML>
<UL> Un-ordered List
<P>My favorite PC games are:</P>
<UL>
<LI>SimCity</LI>
<LI>Quake</LI>
<LI>Bridge</LI>
</UL>
<P>My favorite sports are:</P>
<TABLE border = “1” >
<TR>
<TH>Indoor</TH>
<TH>Outdoor</TH>
</TR>
<TR>
<TD>Squash</TD>
<TD>Cricket</TD>
</TR>
</TABLE>
<P>My favorite PC games are:</P>
<UL>
<LI>SimCity</LI>
<LI>Quake</LI>
<LI>Bridge</LI>
</UL>
<P>My favorite sports are:</P>
<TABLE border = “1” >
<TR>
<TH>Indoor</TH>
<TH>Outdoor</TH>
</TR>
<TR>
<TD>Squash</TD>
<TD>Cricket</TD>
</TR>
</TABLE>
Additional
code
Code for
the list
Code for
the table
HTML Code
<UL>
<LI>SimCity</LI>
<LI>Quake</LI>
<LI>Bridge</LI>
</UL>
• SimCity
• Quake
• Bridge
Browser Display

Introduction to Computing –CS101 VU
© Copyright Virtual University of Pakistan
51
<LI> Line Item
The default “bullet” for these lists is a “disc”
That, however, can be changed to a “circle” or a “square” with the help of the type
attribute
HTML Code
<UL type = “circle”>
<LI>SimCity</LI>
<LI>Quake</LI>
<LI>Bridge</LI>
</UL>
• SimCity
• Quake
• Bridge
Browser Display
Q: What happens if I start a new list without
closing the original one?
<UL>
<LI>SimCity</LI>
<LI>Quake II</LI>
<UL>
<LI>SimCity 3000</LI>
<LI>Quake III</LI>
</UL>
<LI>Bridge</LI>
</UL>
• SimCity
• Quake II
• SimCity
3000
• Quake
III
• Bridge
Browser Display
¾ Different bullets
¾ Additional tab

Introduction to Computing –CS101 VU
© Copyright Virtual University of Pakistan
52
Such structures, i.e., those in which another starts before the first list is finished, are
called Nested Lists
9.2 Types of Lists
In addition to un-ordered lists, HTML supports two other types
Ordered Lists
Definition List
9.3 Ordered List Types
Type Result
“A” A, B, C, …
“a” a, b, c, …
“I” I, II, III, IV, …
“i” i, ii, iii, iv, …
“1” 1, 2, 3, …
Ordered List
<OL>
<LI>SimCity</LI>
<LI>Quake</LI>
<LI>Bridge</LI>
</OL>
1. SimCity
2. Quake
3. Bridge
Browser Display
OL instead
of UL
Numbers instead
of discs, circles or
squares
Ordered List
<OL type = “a”>
<LI>SimCity</LI>
<LI>Quake</LI>
<LI>Bridge</LI>
</OL>
a. SimCity
b. Quake
c. Bridge
Browser Display

Introduction to Computing –CS101 VU
© Copyright Virtual University of Pakistan
53
<DL> Definition List
<DT> Term
<DD> Definition
Q: How would one start an ordered list with
something other than 1
25. SimCity
26. Quake
27. Bridge
Browser
Dis
p
la
y
Ordered List
<OL start = “25”>
<LI>SimCity</LI>
<LI>Quake</LI>
<LI>Bridge</LI>
</OL>
25. SimCity
26. Quake
27. Bridge
Browser Display
Definition List
<DL>
<DT>SimCity</DT>
<DD>A great
simulation
game in
which one
build cities
</DD>
<DT>Quake</DT>
<DD> One of the
best of the
shoot-em-up
genre </DD>
</DL>
SimCity
A great
simulation
game in which
one build
cities
Quake
One of the
best of the
shoot-em-
up genre
Browser
Dis
p
la
y
Ter
Definition

Introduction to Computing –CS101 VU
© Copyright Virtual University of Pakistan
54
Ordered lists as well as definition lists can be nested just like the un-ordered lists
Can any type of list be nested into any other type?
Lists are one way of presenting data in a an ordered or formal fashion
Tables provide another - more customizable - way of displaying ordered information
on Web pages
<TABLE> Table
(made up of rows)
<TR> Row
(made up of data cells)
<TH>
Heading Data Cell
(Can contain paragraphs, images, lists,
forms, tables)
<TD>
Data Cell
(Can contain paragraphs, images, lists,
forms, tables)
<TABLE> Attributes
BORDER
Browser Display
Cricket Squash
Outdoor Indoor
HTML Code
<TABLE border = "1" >
<TR>
<TH>Indoor</TH>
<TH>Outdoor</TH>
</TR>
<TR>
<TD>Squash</TD>
<TD>Cricket</TD>
</TR>
</TABLE>
Browser Display
Cricket Squash
Outdoor Indoor

Introduction to Computing –CS101 VU
© Copyright Virtual University of Pakistan
55
Determines the thickness of the table border
Example: <TABLE BORDER = “2”>
CELLPADING
Determines the distance between the border of a cell and the contents of the cell
Example: <TABLE CELLPADDING = “3”>
CELLSPACING
Determines the empty spacing between the borders of two adjacent cells
Example: <TABLE CELLSPACING = “1”>
<TABLE>,<TR>,<TH>,<TD> Attributes
ALIGN
Possible values: Center, Left, Right
Example: <TH ALIGN = “center”>
BGCOLOR
Example: <TD BGCOLOR = “red”>
WIDTH
HTML Code
<TABLE border = "1" >
<TR>
<TH>Indoor</TH>
<TH>Outdoor</TH>
</TR>
<TR>
<TD>Squash</TD>
<TD>Cricket</TD>
</TR>
</TABLE>
HTML Code
Cricket Squash
Outdoor Indoor
HTML Code
<TABLE>
<TR>
<TH>Indoor</TH>
<TH>Outdoor</TH>
</TR>
<TR>
<TD>Squash</TD>
<TD>Cricket</TD>
</TR>
</TABLE>
Browse Display
Indoor Outdoor
Squash Cricket
50% of
the
screen
width

Introduction to Computing –CS101 VU
© Copyright Virtual University of Pakistan
56
Example: <TR WIDTH = “40%”>
HEIGHT
Example: <TABLE HEIGHT = “200”>
<TR> Attributes
VLAIGN
Determines the vertical alignment of the contents of all of the cells in a particular row
Possible values: Top, Middle, Bottom
Example: <TR VALIGN = “bottom”>
<TH> & <TD> Attributes
NOWRAP
Extend the width of a cell, if necessary, to fit the contents of the cell in a single line
Example: <TD NOWRAP>
COLSPAN
No. of rows the current cell should extend itself downward
Example: <TD COLSPAN = “2”>
ROWSPAN
The number of columns the current cell should extend itself
Example: <TD ROWSPAN = “5”>
VALIGN
Same as that for <TR>
Expenses Income
Year Quarter Quetta Dubai Quetta Dubai
1 1,900 8,650 9,000 7,780
2 2,230 8,650 8,500 8,670
2001
3 4,000 8,650 9,900 9,870
HTML CODE
<TABLE border=“1” >
<TR>
<TH colspan=“2”>
Indoor Outdoor
</TH>
</TR>
<TR>
<TD>Squash</TD>
<TD>Cricket</TD>
</TR>
</TABLE>
Browse Display
Indoor Outdoor
Squash Cricket

Introduction to Computing –CS101 VU
© Copyright Virtual University of Pakistan
57
4 2,200 8,650 9,800 9,900
1 7,780 8,650 7,780 9,000
2 8,670 8,650 8,670 8,500
3 9,870 8,650 9,870 9,900
2002
4 9,900 8,650 9,900 9,800
Must be placed
immediately after
the<TABLE> tag
9.4 Useful URL
The Table Sampler
In Today’s Lecture …
We learnt how to extend our Web pages by adding a few more tags
HTMAL Code Browser Display
<TABLE border = "1" >
<CAPTION>
My favorite sports
</CAPTION>
<TR>
<TD>Squash</TD>
<TD>Cricket</TD>
</TR>
</TABLE>
My favorite sports
Squash Sports
HTMAL Code
<TABLE border = "1" >
<CAPTION>
My favorite sports
</CAPTION>
<TR>
<TD>Squash</TD>
<TD>Cricket</TD>
</TR>
</TABLE>
Browser Display
My favorite sports
Squash Sports
Must be placed
immediately after
the<TABLE> tag
http://hissa.nist.gov/~black/tableQuikRef.html

Introduction to Computing –CS101 VU
© Copyright Virtual University of Pakistan
58
Specifically, we discussed various types of lists that can be added to a Web page – un-
ordered, ordered and definition lists
And also, about tables: about various tags used in a table and their associated attributes
Next Web Dev Lecture:
Interactive Forms
We will try to understand the utility of forms on Web pages
We will find out about the various components that are used in a form
We will become able to build a simple, interactive form

Introduction to Computing –CS101 VU
© Copyright Virtual University of Pakistan
59
Lecture 10
Computer Software
Lecture 8 was on the binary number system and logic operations
Learning Goals for Today
To discuss the role of software in computing systems
To learn to differentiate among software belonging to the system and application
categories
To learn about software ownership
We mentioned in Lecture 4 that at the highest level, two things are required for
computing
Hardware: The physical equipment in a computing environment such as the computer
and its peripheral devices (printers, speakers...)
Software: The set of instructions that operates various parts of the hardware. Also
termed as “computer program”
Computer Software
The HW needs SW to be useful; the SW needs HW to be useful
When the user needs something done by the computer, he/she gives instructions in the
form of SW to computer HW
These instructions need to be written in a language that is readily understood by
computer uP
10.1 Machine Language
A system of codes directly understandable by a computer's CPU is termed this CPU's
native or machine language. Although machine code may seem similar to assembly language
they are in fact two different types of languages. Machine code is composed only of the
two binary digits 0 and 1.
Every CPU has its own machine language, although there is considerable overlap
between some. If CPU A understands the full language of CPU B it is said that A is
compatible with B. CPU B may not be compatible with CPU A, as A may know a few
codes that B does not.
10.2 Language Translators
Human programmers write programs in a language that is easy to understand for them.
They use language translators to convert that program into machine language. It
converts the human understandable code in uPs understandable code, i.e. a language that
is easy to understand for the uPs
10.3 Software Development
A software development process is a process used to develop computer software. It
may be an ad hoc process, devised by the team for one project, but the term often refers
to a standardised, documented methodology which has been used before on similar
projects or one which is used habitually within an organisation.
The SW development process involves many steps, and coding, that is typing the
instructions in a high-level language is only a small part of that process – taking-up only
around 15% of the effort

Introduction to Computing –CS101 VU
© Copyright Virtual University of Pakistan
60
10.4 Major Types of SW
System SW
System software is responsible for controlling, integrating, and managing the individual
hardware components of a computer system.
System software performs tasks like transferring data from memory to disk, or rendering
systems, device drivers, compilers, assemblers, linkers, and utilities.
Software libraries that perform generic functions also tend to be regarded as system
software. System software stored on non-volatile storage on integrated circuits is usually
termed firmware. These generally perform the background tasks in a computer. These
programs, many times, talk directly to the HW.
Application SW
Programs that generally interact with the user to perform work that is useful to the user.
These programs generally talk to the HW through the assistance of system SW.
10.5 System SW are programs that …
Control the overall operation of the computer
OS
Interact directly with HW
Device drivers
Perform system management & maintenance
Utilities
Are used to develop or maintain other programs
Language translators
10.6 Operating System
Concept & Feasibility
User Requirements
Developer Specs
Planning
Design
Implementation
The Software Development Process
Hardware
Operating System
Utility Language
Translator
Device
Driver
Scientific
Apps. Business
Apps. Productivity
Apps. Entertainment
Apps.
System software
Application software
text onto a display specific kinds of system software include loading programs, operating

Introduction to Computing –CS101 VU
© Copyright Virtual University of Pakistan
61
It performs its work invisibly to control the internal functions of a computer, e.g.
maintaining files on the disk drive, managing the screen, controlling which tasks the uP
performs and in what order. It interacts directly with the computer HW. Other SW
normally does not directly interact with the HW, e.g.
Windows Mac OS Linux
UNIX Solaris DOS
CP/M VMS Firmware
ROM is a component of OS that permanently stored on a chip. It is a firm ware
program. When a computer is powered-on, it is the first program that it always executes.
Firmware consists of startup and a few low-level I/O routines that assist the computer
in finding out and executing the rest of the OS. On IBM-compatible PC’s, it is called
BIOS
10.7 Utilities:
It is a small program that provides an addition to the capabilities provided by the
operating system. In some usages, a utility is a special and nonessential part of the
operating system. These are the computer programs that perform a particular function
related to computer system management and maintenance
Examples:
1. Anti-virus SW
2. Data compression SW
Disk optimization SW
Disk backup SW
10.8 Language Translators
Programs that take code written in a HLL and translate it into a low-level language that
is easily understood by the uP
1. Compiler translates the program written in a HLL in one go. The translated code is
then used by the uP whenever the program needs to be run
2. Interpreter translates the HLL program one statement at time. It reads a single
statement, translates it into machine language and passes that machine language code to
the uP and then translates the next statement, and so on …
10.9 Device Drivers
A device driver, often called a driver for short, is a computer program that is intended
to allow another program (typically, an operating system) to interact with a hardware
device. Think of a driver as a manual that gives the operating system (e.g., Windows)
instructions on how to use a particular piece of hardware.
A device driver essentially converts the more general input/output instructions of the
operating system to messages that the device type can understand.
10.10 Application SW
Application SW are programs that interact directly with the user for the performance of
a certain type of work
Scientific/engineering/graphics SW
Mathematica; AutoCad; Corel Draw
Business SW
The billing system for the mobile phone company
Productivity SW
Word processors; Spreadsheets
Entertainment SW
Games
Educational SW
Electronic encyclopedias; The VU Web site

Introduction to Computing –CS101 VU
© Copyright Virtual University of Pakistan
62
10.11 Another way of classifying SW
Shrink-Wrapped SW
You can just go to a shop and buy it
Custom-built SW
You cannot just go to a shop and buy it; you have to find someone who can develop it
for you
Shrink-Wrapped SW
SW built in such a way that it is useful for many different users in many different ways.
Example: MS Word. Individuals use it and so do many large corporations. It is used
for writing one-page letters and also to typeset books
Custom-Built SW (1)
These SW are built for a particular organization to fulfill the needs of that particular
organization. This type of SW is expensive because the builder has to recoup costs and
make a profit from a single sale
Example: A system for predicting the preferences of the Nortwest Airline pilots
Custom-Built SW (2)
This is other type of custom built SW. The delivery time is longer. Customers get more
productivity out of it because it is built according to their exact specifications – just like a
custom-built shoe fits better, but generally is more expensive, and requires a longer
period for delivery
10.12 Who Owns Software?
Generally, although a piece of SW that is being used by millions, it is not owned by any
of them! Instead, it is owned by the maker of the SW
The makers let us use their SW but keep the ownership to themselves. When we buy a
SW package, we do not really buy it – we just buy a license that allows us to use it, the
ownership stays with the maker
However, there are variations on this theme …
10.13 Main types of SW licensees
Proprietary – Most software on a Windows PC or a Macintosh belongs to this category
Freeware – Most software on a Linux PC belongs to that category
Shareware – the category which lies between the above two categories
10.14 Proprietary SW License
Proprietary software, as defined by the Free Software Foundation, means any software
that is not free software or is only partially free. The modification, use and redistribution
Hardware
Operating System
Utility Language
Translator
Device Driver
Scientific
Apps. Business
Apps. Productivity
Apps. Entertainment
Apps.
System software
Application software
are prohibited, or requires express permissions from the originator. The user needs to
pay the maker of the SW for buying a license that allows the user to use the SW

Introduction to Computing –CS101 VU
© Copyright Virtual University of Pakistan
63
The license, generally, does not transfer the ownership of the SW; it just allows the user
to use it. The user is legally barred from making copies of the licensed SW. Generally,
the license is for the personal use only. Most SW in use in the world is of this type.
Examples: Windows, Mac OS, MS Word, Adobe Photoshop, Norton Antivirus
Types of Proprietary Licenses
Single-user license
Multi-user license
Concurrent-user license
Site license
10.15 Freeware SW License
It is also known as “Public Domain SW”. It allows the user to free use of the SW. The
author, however, generally retains ownership. It can usually be downloaded from various
Web sites.
Examples: Linux; LaTeX; Netscape Web browser – the Navigator; MS Web browser –
the Internet Explorer
10.16 Open-Source SW License
Some authors give away the machine code only, which is extremely difficult to modify, if
at all. Others even give away the high-level language source code so that users can make
changes according to their own requirements. The later practice is called open-source
licensing.
Generally is any computer software whose source code is either in the public domain or,
more commonly, is copyrighted by one or more persons/entities and distributed under
an open-source license . Such a license may require that the source code be distributed
along with the software, and that the source code be freely modifiable, with at most
minor restrictions, such as a requirement to preserve the authors' names and copyright
statement in the code,
Examples: Linux; Netscape Navigator
10.17 Shareware SW License
Shareware is software that is distributed without payment ahead of time as is common
for proprietary software. Typically shareware software is obtained free of charge by
downloading, thus allowing one to try out the program ahead of time. A shareware
program is accompanied by a request for payment, and often payment is required per the
terms of the license past a set period of time. shareware are similar in that they can be
obtained and used without monetary cost. Usually shareware differs from open source
software in that requests of voluntary "shareware fees" are made, often within the
program itself, and in that source code for shareware programs is generally not available
in a form that would allow others to extend the program.
A shareware's program source, maintenance and extensibililty can sometimes be
negotiated for a licensing fee with the author(s) similar to standard proprietary software.
Examples: WinZip, Download Accelerator
10.18 Trialware
It is similar to shareware but difference is that the SW is usable for a short period only.
When the period is expired, it is no more in use until the license is not purchased. The
trial period may vary according to its developer. This period may range from a week to a
few months.
It can be downloaded from the Internet or alternatively.
What have we learnt today?
We have found out about the role software plays in a computing environment
We also learned to distinguish between software belonging to the system and application
categories
We also discussed the different types of software licenses
Topics of some of the future lectures
Operating system

Introduction to Computing –CS101 VU
© Copyright Virtual University of Pakistan
64
Application SW
Productivity SW
Word processor
Spreadsheets
Presentation making
Databases
Programming Languages
The SW development process
The Web development series of lectures is clearly focused on developing SW
Focus of the Next Lecture
The role of the OS in a computing environment
The various functions that an OS performs
The main components of an OS
Various types of OSes

Introduction to Computing –CS101 VU
© Copyright Virtual University of Pakistan
65
Lecture 11
Operating Systems
Focus of the last lecture: computer SW
We found out about the role SW plays in a computing environment
We learned to distinguish between SW belonging to the system & application categories
Also discussed the different types of SW licenses:
Proprietary
Free
Open source
Shareware
Trialware
Learning Goals for Today
The role of the operating system in a computing environment
The various functions that an operating system performs
The main components of an operating system
Various types of operating systems
11.1 Why Have OSes?
User/programmer convenience
Greater resource utilization
The Role of An OS
The 1st program that runs when a typical computer is turned ON, and the last one to
finish running when the computer is turned OFF.
It manages the HW and SW resources of the computer system, often invisibly. These
include the processor, memory, disk drives, etc.
It provides a simple, consistent way for applications to interact with the HW without
having to know all the details of the HW
Advantage for App. Developers
Application developers do not need to know much about the HW while they are
developing their app
They just develop with a particular OS in mind. If the OS runs on many types of
computers having different HW configurations, so will the app – without making any
HW-specific modifications in the app SW. The OS hides the HW differences from the
app
Are OS’es Essential?
No. If a computer has been designed for limited functionality (e.g. it runs just a single
program all the time as in a automatic clothes washing machine), it does not require a
traditional OS
In limited-functionality computers, an OS just adds to the overhead unnecessarily, which
impedes the computer’s performance
that is going to run
In the beginning …
A single user ran a single program ran on a single computer – there was no need for an
OS
Then came computer operators who ran multiple programs for multiple users one after
the other – still, no need for an OS
simultaneously. That’s when the need for OS’es arose for:
Managing the resources of the computers efficiently
Making use of computers convenient for users/programmers
11.2 Core Tasks of an OS
Processor management
Memory management
Device management
Storage management
In these situations, the required parts of the OS are integrated into the only program
Later computers became powerful and able to run multiple programs,

Introduction to Computing –CS101 VU
© Copyright Virtual University of Pakistan
66
Application Interface
User Interface
Processor Management
Memory Management
Straight forward for a single-user, single tasking
Each app must have enough private memory in which to execute
App can neither run into the private memory space of another app, nor be run into by
another app
Different types of memory (e.g. main, cache) in the system must be used properly, so
that each app can run most effectively
Storage Management
The OS manages storage through one of its sub-modules, the File Manager
A file system is a collection of directories, subdirectories, and files organized in a logical
order.
File manager maintains an index of the filenames & where they are located on the disk.
File manager make it easy to find the required file in a logical and timely fashion.
Device Management
Applications talk to devices through the OS and OS talks to and manages devices
through Device Drivers
Example: When we print to a laser printer, we do not need to know its details. All we
do is to tell the printer device driver about what needs to be printed and it takes care of
the details
Application Interface
App developers do not need to know much about the HW, especially the uP, while they
are developing their app
The OS provides all apps with a straight-forward and consistent interface to the HW
Example: An app uses the OS to store data on the disk drive. For that, the app does not
need to know about the exact physical characteristics of that drive; it just tells the OS to
do that through the app interface, and the OS takes cares of all the details of the task
User Interface
Users communicate with the computer using a consistent user interface provided by the
OS
This UI can be a command-line interface in which a user types in the commands.
Example:
copy a:/file1.html c:/file1.html
Or, it can be a graphical UI, where Windows, Icons, Menus, and a Pointing device (such
as a mouse) is used to receive and display information. Example:
With the help of the mouse, drag file1.html from drive a to drive c
11.3 OS Components
Error!
Kernel
Command
Interpreter
(Shell)
File
Manager
Device
Manager
GUI
Loader

Introduction to Computing –CS101 VU
© Copyright Virtual University of Pakistan
67
11.4 Kernel
The heart of the OS
Responsible for all the essential operations like basic house keeping, task scheduling, etc.
Also contains low-level HW interfaces
Size important, as it is memory-resident
11.5Types of OS’es
Classification w.r.t. the type of computers they run on and the type of applications they
support
Real-Time Operating System (RTOS)
Single-User, Single Task
Single-User, Multi-Tasking
Multi-User
RTOS (1)
Used to run computers embedded in machinery, robots, scientific instruments and
industrial systems
Typically, it has little user interaction capability, and no end-user utilities, since the
system will be a "sealed box" when delivered for use
Examples: Wind River, QNX, Real-time Linux, Real-time Windows NT
RTOS (2)
An important part of an RTOS is managing the resources of the computer so that a
particular operation executes in precisely the same amount of time every time it occurs
In a complex machine, having a part move more quickly just because system resources
are available may be just as catastrophic as having it not move at all because the system
was busy
Single-User, Single Task
OS’es designed to manage the computer so that one user can effectively do one thing at
a time
The Palm OS used in many palmtop computers (PDA’s) is an example of a single-user,
single-task OS
Single-User, Multi-Tasking
Most popular OS
Used by most all PC’s and Laptops
Examples: Windows, Mac OS, Linux
Lets a single user interact with several programs, simultaneously
Multi-User
A multi-user OS allows many users to take advantage of the computer's resources,
simultaneously
The OS must make sure that the requirements of the various users are balanced, and that
the programs they are using each have sufficient and separate resources so that a
problem with one user doesn't affect any of the other users
Examples: Linux, Unix, VMS and mainframe OS’es, such as MVS
11.6 Another Way of Classifying
Uni-processor OS’es
Designed to schedule tasks on a single uP only
Example: DOS
Multi-processor OS’es
Can control computers having multiple uPs, at times 1000’s of them
Example: Current versions of Windows, Mac OS, Linux,
Solaris
11.7 How many different OS’es are there?
100’s
OS’es from the Windows family dominate the desktops and run on millions of PC’s
OS’es from the Unix family (Unix, Linux, etc) are quite popular on servers

Introduction to Computing –CS101 VU
© Copyright Virtual University of Pakistan
68
There are hundreds more. Some designed for mainframes only. Some for embedded
applications only.
11.8 Comparing Popular OS’es
OS
HW Stability Cost Apps. Support Security Popularity
Windows
(GUI) PC Poor $300 Huge
no. OK Poor Amazing
Mac OS
(Shell/GUI) Mac Good $60 Many OK Good Low
Linux
(Shell/GUI) Many Good Low Many Variable Good Low
Unix
(Shell/GUI) Many Excellent High Many Expensive Excellent Servers
What have we learnt today?
The role of the OS in a computing environment
The various functions that an OS performs
The main components of an OS
Various types of OS’es
Next Lecture: Application SW
We’ll learn about application SW, i.e. programs that interact directly with the user for the
performance of a certain type of work
We’ll try to become familiar with various SW used in the following application areas:
Scientific/engineering/graphics
Business
Productivity
Entertainment
Educational

Introduction to Computing –CS101 VU
© Copyright Virtual University of Pakistan
69
Lecture 12
Interactive Forms
(Web Development Lecture 4)
Focus of the last lecture was on HTML Lists & Tables
We learnt how to extend our Web pages by adding a few more tags
Specifically, we discussed various types of lists that can be added to a Web page – un-
ordered, ordered and definition lists
And also, about tables: about various tags used in a table and their associated attributes
Today’s Lecture
We will try to understand the utility of forms on Web pages
We will find out about the various components that are used in a form
We will become able to build a simple, interactive form
Interactive Forms (1)
Without forms, a Web site is “read-only” – it just provides information to the user
Forms enable the user to provide information to the Web site. For example, the user
can:
Perform searches on Web site
Give comments
Ask for info that is not available on the Website
Place order for goods and services
Interactive Forms (2)
Can be simple or very complex
Can fill a whole page or just a single line
Can contain a single element or many
Are always placed between the <BODY> and </BODY> tags of a Web page
Interactive Forms (3)
Are GUI-based
May contain:
Text fields
Check boxes
Buttons
Scrollable lists
Code for that Example
<HTML>
<HEAD>
<TITLE>Send Email to me</TITLE>
</HEAD>
A Simple
Example
of
Interactive
Forms

Introduction to Computing –CS101 VU
© Copyright Virtual University of Pakistan
70
<BODY>
<H1>Send Email to me</H1>
Code for the instructions
Code for the form
</BODY>
</HTML>
Code for the Instructions
<P>To send an eMail message to me:</P>
<OL>
<LI>Type your eMail address in the "From" field</LI>
<LI>Type a short message in the "Message" field</LI>
<LI>Press the "Send eMail to me" button</LI>
</OL>
Code for the Form
<FORM name="sendEmail" method="post" action="sendMailScriptURL">
Elements of the form
</FORM>
A Simple
Example
of
Interactive
Forms
A Simple
Example
of
Interactive
Forms

Introduction to Computing –CS101 VU
© Copyright Virtual University of Pakistan
71
12.1 Server-Side Scripts
Receive info that a user enters in a form
Process that info and take appropriate action
Examples:
CGI scripts on Unix servers
ASP scripts on Windows servers
Elements of the Form (1)
<P>From: <INPUT type="text" name=“sender" size="50"></P>
<P>Message: <INPUT type="text" name="message" size="50"></P>
<FORM name="sendEmail" method="post"
action="sendMailScriptURL">
Elements of the form
</FORM>
A Simple
Example
of
Interactive
Forms
name: Name given to the form
method: Forms can be submitted through two
alternate methods – GET & POST
when the form is being submitted
action: Specifies the URL that is accessed
Are programs that reside on Web servers

Introduction to Computing –CS101 VU
© Copyright Virtual University of Pakistan
72
Elements of the Form (2)
<P><INPUT type="hidden" name="receiver" value="altaf@vu.edu.pk"></P>
<P><INPUT type="hidden" name=“subject” value=“eMail from the form”></P>
<P><INPUT type="submit“ name="sendEmail" value="Send eMail to me"></P>
A Simple
Example
of
Interactive
Forms
A Simple
Example
of
Interactive
Forms

Introduction to Computing –CS101 VU
© Copyright Virtual University of Pakistan
73
<TEXTAREA
name=“message”
cols=“38”
rows=“6”
>
</TEXTAREA>
<FORM name="sendEmail" method="post" action=“sendMailScriptURL">
<table><tr>
<td>From: </td>
<td><INPUT type="text" name="sender" size="50"></td>
</tr><tr>
<td>To: </td>
<td><INPUT type="text" name="receiver" size="50"></td>
</tr><tr>
<td>Subject: </td>
<td><INPUT type="text" name="subject" size="50"></td>
</tr><tr>
<td valign="top">Message: </td>
<td><TEXTAREA name="message" cols="38"rows="6">
</TEXTAREA></td>
</tr><tr>

Introduction to Computing –CS101 VU
© Copyright Virtual University of Pakistan
74
<td colspan="2" align="right">
<INPUT type="submit" name="sendEmail" value="Send eMail">
</td>
</tr></table>
</FORM>
<INPUT
type=“text” name=“sender”
size=“50”
value=“your eMail address goes here”
Review of the Tags Used in Forms
<FORM>
name=“nameOfTheForm”
method=“get” or “post”
action=“URL”
Elements of the form
</FORM>
Single-Line Text Input Field
<INPUT
type=“text”
name=“fieldName”
size=“widthInCharacters”
maxlength=“limitInCharacters”
value=“initialDefaultValue”
>
Hidden Input
<INPUT
type=“hidden”
name=“fieldName”
value=“value”
>
Submit Button Input
<INPUT
type=“submit”
name=“buttonName”
value=“displayedText”
>
Multi-Line Text Input Area

Introduction to Computing –CS101 VU
© Copyright Virtual University of Pakistan
75
<TEXTAREA
name=“areaName”
cols=“widthInCharacters”
rows=“numberOfLines”
>
initial default value
</TEXTAREA>
This was a review of the new tags (and associated attributes) that we have used in today’s
examples. There are many more tags that can be used in a form.
Let us take a look at a few
<form name="login" method="post" action="loginScript">
<table><tr>
<td>User Name: </td>
<td>
<input type="text" name="userName" size="10">
</td>
</tr><tr>
<td>Password: </td>
<td>
<input type="password" name="password" size="10">
</td>
</tr><tr>
<td colspan="2" align="right">
<input type="submit" name="login" value="Log me in">
</td>
</tr></table>
</form>
Password Input Field
<INPUT
type=“password”
name=“fieldName”
size=“widthInCharacters”
maxlength=“limitInCharacters”
value=“initialDefaultValue”
>

Introduction to Computing –CS101 VU
© Copyright Virtual University of Pakistan
76
<form name="login" method="post" action="loginScript">
<table><tr>
<td>User Name: </td>
<td>
<input type="text" name="userName" size="10">
</td>
</tr><tr>
<td>Password: </td>
<td>
<input type="password" name="password" size="10">
</td>
</tr><tr>
<td colspan="2">
<input type="checkbox" name="remember" value="remember">
Remember my user name and password<br>
</td>
</tr><tr>
<td colspan="2">
<input type="submit" name="login" value="Log me in">
</td>
</tr></table>
</form>
12.2 Checkbox Input Element
<INPUT
type=“checkbox”
name=“checkboxName”
checked
value=“checkedValue”
>

Introduction to Computing –CS101 VU
© Copyright Virtual University of Pakistan
77
<form name="login" method="post" action="loginScript">
<table><tr>
<td>User Name: </td>
<td>
<input type="text" name="userName" size="10">
</td>
</tr><tr>
<td>Password: </td>
<td>
<input type="password" name="password" size="10">
</td>
</tr><tr>
<td valign="top">Logging in from:</td>
<td>
<input type="radio" name="from" value="home"> Home<br>
<input type="radio" name="from" value="office"> Home<br>
<input type="radio" name="from" value="university" checked> University
</td>
</tr><tr>
<td colspan="2" align="right">
<input type="submit" name="login" value="Log me in">
</td>
</tr></table>
</form>
12.3 Radio Button Input Element
<INPUT
type=“radio”
name=“radioButtonName”
checked
value=“selectedValue”
>
What is the difference between checkboxes and radio buttons?

Introduction to Computing –CS101 VU
© Copyright Virtual University of Pakistan
78
<form name="login" method="post" action="loginScript">
<table><tr>
<td>User Name: </td>
<td><input type="text" name="userName" size="10"></td>
</tr><tr>
<td>Password: </td>
<td>
<input type="password" name="password" size="10">
</td>
</tr><tr>
<td valign="top">Logging in from:</td>
<td>
<select size="2" name="from">
</select>
</td>
</tr><tr>
<td colspan="2">
<input type="submit" name="login" value="Log me in">
</td>
</tr></table>
</form>
12.4 Select from a (Drop Down) List
<SELECT
name=“listName”
size=“numberOfDisplayedChoices”
multiple
>
…
…
</SELECT>
<option value="university" selected> University </option>
<option value="office"> Office </option>
<option value="home"> Home</option>
<OPTION value=“value1”> text1 </OPTION>
<OPTION value=“value2” selected> text2 </OPTION>
<OPTION value=“value3”> text2 </OPTION>

Introduction to Computing –CS101 VU
© Copyright Virtual University of Pakistan
79
12.5 File Upload Input Element
<INPUT
type=“file”
name=“buttonName”
value=“nameOfSelectedFile”
enctype=“fileEncodingType”
>
<form
name=“uploadForm”
method=“post”
action=“uploadScript”
<input
type=“file”
name=“uploadFile”
enctype=“multipart/form-data”
>
<input
type=“submit”
name=“submit”
value=“Upload”
>
</form>
Reset Button Input Element
(Resets the contents of a form to default values)
<INPUT
type=“reset”
value=“dispalyedText”
>

Introduction to Computing –CS101 VU
© Copyright Virtual University of Pakistan
80
Today’s Lecture was the …
We looked at the utility of forms on Web pages
We found out about the various components that are used in a form
We became able to build a simple, interactive form

Introduction to Computing –CS101 VU
© Copyright Virtual University of Pakistan
81
Lecture 13
Application Software
The focus of the last lecture was on Operating Systems
Learning Goals for Today
To learn about application software
To become familiar with various software used in the following application areas:
e.g.
Scientific/engineering/graphics
Business
Productivity
Entertainment
Educational
13.1 Two Major Types of Software
System Software
Application Software
13.2 Application Software
Application software are programs that interact directly with the user
They generally do not talk directly to the hardware
13.3 Classification According to the Mode
Interactive-mode
The user runs the program on the computer and keeps on interacting with the computer
while the program runs
Example: Word processor
Batch-mode
The user starts the program and the computer processes the provided data and produces
results without any further intervention of from the user
Example: Payroll
13.4 Classification According to Application Area
Scientific/engineering/graphics
Business
Productivity
Entertainment
Educational
13.5 Scientific/Engineering/Graphics Apps
Key feature: Intense floating-point calculations
Scientific/engineering/mathematical apps
Computers initially were designed just to run them
Hardware
Operating System
Utility Language
Translator
Device Driver
Scientific
Apps. Business
Apps. Productivity
Apps. Entertainment
Apps.
System software
Application software

Introduction to Computing –CS101 VU
© Copyright Virtual University of Pakistan
82
Generally designed for specialists
Rudimentary UI’s
Many run in batch mode
13.6 Scientific SW
Simulation of natural systems
Deforestation and effect on green-house gases
Simulation of artificial systems
NeuralWare (Simulator for artificial neural networks)
Thermo-nuclear explosions
Mathematical computation packages
Mathematica (can do hundreds, if not thousands of functions, e.g. solving a differential
eq, symbolically)
MathCAD
13.7 Engineering SW
Computer-aided design (CAD)
AutoCAD
SPICE
Virtual wind tunnels
Computer-aided manufacturing (CAM)
Telecommunication system SW
Centrex
Industrial control SW
13.8 Graphics & Animation SW (1)
Two types:
1. Vector graphics
Treats everything that is drawn as an object
Objects retain their identity after they are drawn
These objects can later be easily moved, stretched, duplicated, deleted, etc
Are resolution independent
Relatively small file size
Example: MS Visio, Corel Draw, Flash
Graphics & Animation SW (2)
2. Bit-mapped or raster graphics
Treats everything that is drawn as a bit-map
If an object is drawn on top of another, it is difficult to move just 1 of them while
leaving the other untouched
Changing the resolution often requires considerable touch-up work
Relatively large file size
Example: MS Paint, Adobe Photoshop
13.9 Business Applications
Most of the SW being developed today belongs to this category
SW that is required to run most any sort of biz:
Payroll
General ledger
Order entry
Accounts receivable & accounts payable
Inventory control
Let’s now discuss a few business SW categories which are not that common, but are
becoming more and more popular with time
13.10 E-Commerce Software
Key requirements:
Reliability
Security
Moving
graphics
e.g. cartoons

Introduction to Computing –CS101 VU
© Copyright Virtual University of Pakistan
83
Ability to handle 1000’s of transactions, simultaneously
13.11 ERP (Enterprise Resource Planning) SW
Very large scale, complex & expensive SW
Ties together all key activities & major systems of an organization into a single SW
system
Key benefit: Optimization of the business processes of an organization as a single system
instead of many loosely-related stand-alone systems
Example: SAP, Oracle, PeopleSoft, Baan
13.12 DSS (Decision Support Systems) SW
Sometimes also called “expert systems”
Many times are based on a branch of computer science called “artificial intelligence”
This category of SW is designed to help business managers in making effective decisions
in complex situations based on the analysis of the relevant data
13.13 Productivity SW
Most popular category in terms of licenses sold
Common features
Ability to simplify, automate everyday business tasks
Highly interactive and user-friendly design
Designed to run on PC’s
Most users do not use 90% of the SW features
Popular productivity SW
Word Processing -- Spreadsheets
Presentations -- Databases
13.14 Word Processors
Probably the most popular productivity app
Initially designed as a replacement for the typewriter
Automation
Automatic end-of-line soft carriage return
Style sheets
Table of contents & index
Spelling & grammar checking
Two approaches: WYSIWYG (e.g. Word, WordPerfect, Star) or traditional markup
(LaTeX)?
Desktop publishing
13.15 Web Page Development SW
Web pages can be developed using a simple plain-text editor like the “notepad”, but
more efficient, easy-to-use HTML editors can make the process quicker
Some of them are WYSIWYG (i.e. you don’t really need to know any HTML to use
them), others are not, while some provide both types of interfaces (DreamWeaver)
Most popular word processors now come with a built-in Web page development facility
13.16 Spreadsheet SW (1)
Electronic replacement for ledgers
Is used for automating engineering, scientific, but in majority of cases, business
calculations
A spreadsheet - VisiCalc - was the first popular application on PC’s.
It helped in popularizing PC’s by making the task of financial-forecasting much simpler,
allowing individuals to do forecasts which previously were performed by a whole team
of financial wizard
13.17 Spreadsheet SW (2)
Consist of cells arranged in rows and columns
Each cell may contain numeric values, text or formulas
Automation
Recalculations
Charts
13.18 Presentation Development SW

Introduction to Computing –CS101 VU
© Copyright Virtual University of Pakistan
84
Used to prepare multimedia material for lectures & presentations to display key points,
graphics, animation, or video with the help of multimedia projectors
Have replaced acetate films (slides) that were used with over-head projectors
Key advantage over acetate slides:
Easy to modify
Can be sent electronically
Its multimedia nature makes it more interesting for the audience
13.19 Small-Scale Databases SW (1)
Easy to use applications designed for efficient storage and fast and easy retrieval of data
That data may be in the form of numbers, text, or even multimedia, i.e. sounds, graphics,
animation, video
13.20 Small-Scale Databases SW (2)
Before the advent of the currently popular “relational” database model, the databasing
function was performed using what is called the “flat-file” model
That model is not very efficient for storing and searching in large databases
A database consists of a file or a set of files. Information in these is stored in the form
of records, and the records are further subdivided into fields
13.21 Productivity SW Suites
A set of stand-alone productivity applications designed to work easily with each other
Share a common UI
Are available as a bundle along with additional useful utilities
Examples: MS Office, Corel WordPerfect Office, Lotus SmartSuite, Star Office
SW Suites for other app areas are available as well, e.g. the Adobe suite of graphics apps
13.22 Document-Centered Computing (DCC) - 1
The increasing cooperation among the apps included in productivity suites has given rise
to a new computing paradigm called DCC
DCC implies that instead of developing parts of a doc in a number of apps, and then
cutting-&-pasting them to form the final doc, you stay in a single doc and call-up
appropriate apps to insert the required objects
13.23 Document-Centered Computing (DCC) - 2
Let’s say that we want to write a letter containing a map, a table and a graph
We can:
Launch the WP and type the text in
Insert a drawing by calling up the drawing toolbar app (without leaving the WP) & draw
the map
Insert a table by calling up the spreadsheet app (without leaving the WP) & build the
table
Insert a graph based on that table using the same spreadsheet app without leaving the
WP
13.24 Entertainment SW
Key feature: Simple, intuitive, many times social UI’s
The user is generally assumed to know nothing about computers
Both Microsoft & Apple are pursuing a PC-as-a-personal-entertainment-hub strategy.
Probable result: Already popular entertainment SW will become even more popular
13.25 Music & Video Players
Music players (WinAmp)
Video/Music players (Real player, Windows Media player, QuickTime player)
The Web Browsers can also display video, animation, and play music with the help of
helper applications like Flash
13.26 Music Generation & Movie Editing SW
A PC can be made the hub of a music making studio with help of appropriate HW &
SW
Inexpensive, easy-to-use video editing SW has recently become available for the iMac
13.27 Games
Many types

Introduction to Computing –CS101 VU
© Copyright Virtual University of Pakistan
85
Educational (especially for toddlers)
Strategy/Simulation
Sports
Shoot’em ups
The saddest aspect: You do not need any opponents or partners to play computer
games
The application SW category that provides the toughest challenge for computer HW
13.28 Educational SW
Category with probably the highest growth rate
Current focus on augmenting traditional training and education methods, but it is
shifting towards replacing traditional methods
13.29 Electronic Encyclopedias
Great resource of useful information presented in a very interesting format
Superior to the paper-based version because:
Access speed is dramatically higher
Can contain animation and sound
Much lower cost as thousand’s of pages in dozens of volumes have been replaced by a
couple of CD’s
13.30 On-Line Learning
With time, the VU Web site will become more and more focused on interactive online
learning
The Website of our textbook “Understanding Computers” is an example of an on-line
learning Website
Key features of good online learning SW:
The student can learns at his or her own pace
The student can select his or her own hours
13.31 Interactive CD’s
Same as on-line learning, but through a CD instead of a Web site
Key advantage:
Ideal for students with slow Internet access
13.32 Attributes of Good Application Software
Easy to install, un-install
User Interface
Consistent
Intuitive
Configurable
Adapts to the users need
Has a tutorial and a complete help manual
Does not have any critical bugs
13.33 Most Popular Application Software Categories
Web browsers
Email clients
Word processors
What have we learnt today?
Application software are programs that interact directly with the user for the
performance of a certain type of work
That work generally falls into one of the following usage areas
Scientific/engineering/graphics
Business
Productivity
Entertainment
Educational
Focus of the Next Lecture

Introduction to Computing –CS101 VU
© Copyright Virtual University of Pakistan
86
Next lecture will be the first among the four lectures that we plan to have on
productivity SW
That first lecture will be on word processing
We’ll learn about what we mean by word processing
We’ll discuss the usage of various functions provided by common word processors

Introduction to Computing –CS101 VU
© Copyright Virtual University of Pakistan
87
Lecture 14
Word Processing
Focus of the last lecture was on Application SW
Application SW are programs that interact directly with the user for the performance of
a certain type of work
That work generally falls into one of the following usage areas
Scientific/engineering/graphics
Business
Productivity
Entertainment
Educational
Today’s Lecture
First among the four lectures that we plan to have on productivity software, a sub-
category of application software
This first lecture will be on word processing
We’ll learn about what we mean by word processing and also desktop publishing
We’ll discuss the usage of various functions provided by common word processors
Word Processing
The art and science of converting written information into a form that looks pleasing
when printed
One of the most popular activities on the PC
14.1 Word Processor
The tool used to perform word processing
Long time ago, a word processor was a HW/SW combination used solely for performing
the word processing task. It looked like a computer terminal or a PC, but could do only
one task – word processing
Today, the term “word processor” generally means the SW used on a computer to
perform the task of word processing
Uses of Word Processors
Write a letter
Address labels
Research paper or report
Advertisement
Newsletter
Magazines
Book
And thousands of other tasks
Common Features
Type, cut, copy, paste, move text
Automatic line-breaks
Change font type, face, size, color
Change number of columns
Adjust margins and line, word, letter spacing
Have running headers, footers, page nos.
Insert tables, charts, graphics, drawings
Evolution of WP’s
Manual & electric typewriters (1930-1960)
Were page oriented
Type face/size was changed by replacing the typing ball
Typewriters with magnetic storage (1960’s)
IBM added storage capability using magnetic tape

Introduction to Computing –CS101 VU
© Copyright Virtual University of Pakistan
88
Line editors on computers(1960's)
Stand alone word processors (1960's-1970's)
cost: $15,000 to 20,000
Current WP programs on uCs (1980's onwards)
14.2 Types: WYSIWYG-based & Markup-based
All early WP’s and some of the modern ones as well are markup-based: similar to
HTML
Generally are harder to learn, but may provide better control and smaller file size
Example: LaTeX
Most current PC-based WP’s belong to the WYSIWYG category
Easy to get started due to the WIMP interface
Example: MS Word, Corel WordPerfect, Sun Star
14.3 Desktop Publishing (DTP)
A combination of word processing and graphic design. Used to develop elegant
documents
In the olden times, DTP was used for designing magazines, newspapers & other
professional-looking items
These days, because of the low cost of DTP SW, it is being used for less-demanding and
ordinary tasks as well
The original Macintosh PC started the era of DTP or “Personal Publishing” in 1984
DTP –vs– WP
The difference between the two is diminishing with time
Most WP’s now include many tools that, not long ago, were found only in DTP SW
Generally, DTP SW is a bit more difficult to use for us common computer users,
whereas WP SW is quite user-friendly
DTP SW generally provides finer control over the design/layout of a document
DTP: Requirements
High-end PC with a large-screen monitor
Laser printer
Scanner
DTP SW
Examples:
Adobe PageMaker
QuarkXPress
Corel Ventura
MS Publisher
14.4 Word Processors for the Web
Most common WP’s and DTP packages now have the Web development ability
They also include features like auto-recognition of eMail addresses and URL’s
However, specialized SW just for developing Web pages and sites is also available
Examples: DreamWeaver, FrontPage
The right font face & size for normal text
If text is too small, it becomes hard to read
Too large, wastage of space is the result. Plus the reader has to turn more pages than
necessary
Either way, the reader gets annoyed
For general WP, 10-12 point size works well
Most users, either use the Times New Roman or Arial/Helvetica type face
Bold, Italic, Underlined Text
Bold – fat
Italic – slanted (Why the name italic?)
Underlined
All used to emphasize a certain segment of text
Plea:

Introduction to Computing –CS101 VU
© Copyright Virtual University of Pakistan
89
Please do not over-do them
Their over-use makes it very difficult for the reader
And please, use one at a time: Text that is no only bold but also italic & underlined looks
+ively
awful
Select, Cut, Copy, Drag, Paste
Just select and cut or copy or drag
Can also paste after a cut or a copy
Just think about the pain that people suffered before the advent of the modern WP’s
Movement of a single sentence from one page to another would have required re-doing
all the pages in between
Spelling & Grammar
Grammar checkers are not very helpful yet, but still useful and are improving with time
Warning: Spell checkers are not all that smart! Use them with care.
Disadvantage: My spelling ability is deteriorating day-by-day because of over-reliance on
WP spell-checkers. I am having great difficulty in writing even short-ish hand-written
notes without spelling errors
Thesaurus
My favorite tool
Helps you find synonyms and, sometimes, antonyms as well
Tables
Tables are sometimes useful for presenting info in an ordered fashion
Most WP’s provide extensive table construction & manipulation features
Graphics & Drawings
You can insert graphics that are made using other apps into a WP document
Several WP’s have a built-in drawing tool, which can be used for adding simple diagrams
(e.g. a flow chart, a simple street map) into a WP document
The Best Feature: Undo
Allows you to recover from your mistakes
Allows you to experiment without risk
Document View Mode
Most WP’s provide several ways of viewing a document
I normally work in and recommend what is known as the “Print Layout” view mode
In this view, the WP works in a true WYSIWYG mode
Print-Preview & Printing
Make sure to preview your document before printing it
Do this to make sure about the”look” of the document before it is printed
Most people these days either use inkjet printers or laser printers
Color inkjet printers cost less but are slower
B&W laser printers cost around twice as much, but are faster and generally have finer
resolution
Color laser printers are expensive
Automation
Table of contents
TOC can be automatically generated
Page nos. in the TOC get readjusted automatically
Index
Can be automatically generated
Page nos. in the index get readjusted automatically
Application of predefined styles
Change style; text changes automatically throughout the doc
Headers & Footers
Page numbers
Spelling error auto-highlight
Getting On-Screen Help

Introduction to Computing –CS101 VU
© Copyright Virtual University of Pakistan
90
All WP’s generally have some form of built-in help mechanism
To me, it seems like that many of those help-systems are designed to be “not-very-
helpful”: they make finding answers to simple questions quite difficult
Nevertheless, do try them when you are searching for answers
14.5 Let’s try to use MS Word for creating a CV
(Remember the TOC)
Today’s Lecture was the …
First among the four lectures that we plan to have on productivity software, a sub-
category of application software
This first lecture was on word processing
We learnt about what we mean by word processing and also desktop publishing
We also discussed the usage of various functions provided by common word processors
Focus of the Next Lecture: Algorithms
To become familiar with the concept of algorithms
What they are?
What is there use?
To become able to write algorithms for simple problems

Introduction to Computing –CS101 VU
© Copyright Virtual University of Pakistan
91
Lecture 15
More on Interactive Forms
(Web Development Lecture 5)
Focus of the last lecture was on Interactive Forms
We looked at the utility of forms on Web pages
We found out about the various components that are used in a form
We became able to build a simple, interactive form
In Today’s Lecture …
We will learn ways of adding more interactivity to forms
We will get our first taste of JavaScript – the object-based language that we will be
employing throughout the rest of the Web development part of this course
Last time we mentioned server-side scripts; today we will write (simple) client-side scripts
in JavaScript
15.1 Single-Line Text Input Field
<INPUT
type=“text”
name=“name”
size=“widthInCharacters”
maxlength=“limitInCharacters”
value=“initialDefaultValue”
>
15.2 Password Input Field
<INPUT
type=“password”
name=“name”
size=“widthInCharacters”
maxlength=“limitInCharacters”
value=“initialDefaultValue”
>
15.3 Hidden Input
<INPUT
type=“hidden” name=“name”
value=“value”
>
15.4 Checkbox Input Element
<INPUT
type=“checkbox”
name=“name”
checked
value=“checkedValue”
>
15.5 Radio Button Input Element
<INPUT
type=“radio”
name=“name”
checked
value=“selectedValue”
>
15.6 File Upload Input Element
<INPUT
type=“file”
name=“name”
value=“nameOfSelectedFile”

Introduction to Computing –CS101 VU
© Copyright Virtual University of Pakistan
92
enctype=“fileEncodingType”
>
15.7 Reset Button Input Element
<INPUT
type=“reset”
value=“buttonLabel”
>
15.8 Submit Button Input
<INPUT
type=“submit” name=“name”
value=“buttonLabel”
>
8 Possible Values for the “type” Attribute of <INPUT> tag
text
password
hidden
checkbox
radio
file
reset
submit
15.9 Multi-Line Text Input Area
<TEXTAREA
name=“areaName”
cols=“width”
rows=“lines”
>
initial default value
</TEXTAREA>
15.10 Select from a (Drop Down) List
<SELECT
name=“name”
size=“numberOfDisplayedChoices”
multiple
>
<OPTION value=“value1”> text1
<OPTION value=“value2” selected> text2
<OPTION value=“value3”> text2
…
…
</SELECT>

Introduction to Computing –CS101 VU
© Copyright Virtual University of Pakistan
93
End of the Review of Tags Used in Forms
Now let’s take a look at a form that we constructed last time, and see how we can make
it better
Let’s now review what happens when I enter all the required info and press the “Send
eMail” button?

Introduction to Computing –CS101 VU
© Copyright Virtual University of Pakistan
94
This is what happens when the form is filled correctly. What if the form is filled
incorrectly?
What if the users leaves one of the essential fields, blank?
What if the user enters an illegal eMail address? Examples:
altaf2vu.edu.pk
bhola@hotmail.con
bhola@yahoo
A Reasonable Scenario
When the “Send eMail” button is clicked, the browser sends the data collected through
the form to a script running on the Web server
That server-side script:
receives that data
analyzes it
discovers the missing or incorrect data
sends a message back to the user’s browser stating the problem and asks the user to re-
send
This process …
That is the process of user:
Filling the incomplete/incorrect data
Sending it to the server
Receiving the response back from the server
Correcting and resending
is quite time-consuming and uses the server’s resources to help the user correct his
mistakes
It can really bog down the server if a large number of users are using that Web server
15.11 Client-Side Scripting is a viable alternate
In this technique, one uses the user’s browser to checking the form data
If data is missing or is incorrect, the browser can prompt the user to take corrective
action
This way, the form data is sent to the server-side script only after it has been established
that the collected data is complete and correct
15.12 Server-Side Scripts: Review
Are programs that reside on Web servers
Receive info that a user enters in a form
Process that info and take appropriate action
Examples:
CGI scripts on Unix servers
ASP scripts on Windows servers
Info contained
in the form
Acknowled
g
ement
Message
to the
receiver’s
eMail
address
User’s
Com
p
uter
Web
Server
Server-Side
Scri
p
t
Browse
r

Introduction to Computing –CS101 VU
© Copyright Virtual University of Pakistan
95
New Concept: Client-Side Scripts
Small programs that are a part of the Web page and run on the user’s (client’s) computer
They interact with the user to collect info or to accomplish other tasks
Once it has been collected, they may help pass the collected info on to a server-side
script
We’ll use JavaScript to do client-side scripting. However, there are many other languages
that can be used for that purpose, e.g. VBScript
Advantages of Client-Side Scripting
Reduced server load as it does not have to send messages to the user’s browser about
missing or incorrect data
Reduced network traffic as the form’s data is sent only once instead of many to’s and
fro’s
Disadvantages
Client-side scripts do not work with all browsers
Some user intentionally turn scripting off on their browsers
This increases the complexity of the Web page, as it now has to support both situations:
browsers with scripting capability, and those not having that capability
<INPUT
type=“submit”
name=“sendEmail”
value=“Send eMail”
>
Code for the simple “Send eMail”
button as was described during
the last Web development lecture

Introduction to Computing –CS101 VU
© Copyright Virtual University of Pakistan
96
This is one way of including JavaScript code in an HTML document – that is, including a
short JavaScript segment as part of an HTML tag
There are a few others as well. Let’s now find out about another.
But before we do that …
… let’s just make clear why we are interested in including JavaScript in our Web pages
15.13 Why JavaScript?
HTML is great for static Web pages; however, supports only rudimentary interactivity
through forms and hyperlinks
JavaScript can be used (along with HTML) to develop interactive content for the Web
What is JavaScript?
A programming language specifically designed to work with Web browsers
It is designed to be used for developing small programs – called scripts – that can be
embedded in HTML Web pages
JavaScript:
Is an interpreted language
Supports event-driven programming
Is object-based
Object Based?
Everything that JavaScript manipulates, it treats as an object – e.g. a window or a button
An object has properties – e.g. a window has size, position, status, etc.
Properties are modified with methods – e.g. a resize a window with resizeTo(150, 200)
<INPUT
type=“submit”
name=“sendEmail”
value=“Send eMail”
onMouseOver=
“if (document.sendEmail.sender.value.length< 1)
window.alert(‘Empty From field! Please
correct’)”
>
Additional JavaScript code for the smart
“Send eMail” button that would not allow itself
to be clicked if the “From” text field is left
<INPUT
type=“submit”
name=“sendEmail”
value=“Send eMail”
onMouseOver=
“if (document.sendEmail.sender.value.length < 1)
window.alert(‘Empty From field! Please correct’)”
>
Event
Handler

Introduction to Computing –CS101 VU
© Copyright Virtual University of Pakistan
97
<INPUT
type=“submit”
name=“sendEmail”
value=“Send eMail”
onMouseOver=
“if (document.sendEmail.sender.value.length < 1)
window.alert(‘Empty From field! Please correct’)”
>
<INPUT
type=“submit”
name=“sendEmail”
value=“Send eMail”
onMouseOver=“checkForm()”
>
<INPUT
type=“submit”
name=“sendEmail”
value=“Send eMail”
onMouseOver=
“if (document.sendEmail.sender.value.length < 1)
window.alert(‘Empty From field! Please correct’)”
>
checkForm()
JavaScript understands onMouseOver – it is one of the pre-defined keywords in
JavaScript
However, the case for checkForm() is different
A checkForm() function does not exist in JavaScript. Therefore, we will have to define it
ourselves
It can either be defined in the HEAD portion or BODY portion. We will do it in the
HEAD.

Introduction to Computing –CS101 VU
© Copyright Virtual University of Pakistan
98
We have looked at 2 techniques for embedding JavaScript code in a Web page:
1. Put the code in the tag for the “Send eMail” button - as was shown to you earlier
2. Put the checkForm() code in the HEAD portion & put the
onMouseOver=“checkForm()” attribute in the tag for the “Send eMail” button
Both perform the required function satisfactorily.
Q: Which of two techniques is better?
The “put all code in the tag” technique seems to require less code
For very short scripts, “all code in the tag” works well. However, this technique does
not work when one needs to put multiple script statements in the same tag
The “code in the HEAD portion” is more general-purpose, and the right choice for
developing larger JavaScript scripts
The main code segment that goes between the <SCRIPT>, </SCRIPT> tags in the
HEAD:
function checkForm() {
if ( document.sendEmail.sender.value.length < 1) {
window.alert( “Empty From field! Please correct” );
}
}
The JavaScript code included as an attribute of the “Send eMail” button:
onMouseOver=“checkForm()”
Today we checked if the “From” field of the form was empty
How can we modify the JavaScript code for checking if the “To” field is empty as well?
How about checking all four fields?
How about checking if the addresses given in the “From” and “To” fields are legal eMail
addresses?
Please try thinking about those possibilities?
In Today’s Lecture …
We learnt ways of constructing forms that were a bit more interactive
We got our first taste of JavaScript – the object-based language that we will be
employing throughout the rest of the Web development part of this course
Last time we mentioned server-side scripts; today we wrote (simple) client-side scripts in
JavaScript
Next (the 6th) Web Dev Lecture:
JavaScript Object, Properties, Methods
We will have a more formal introduction to JavaScript and client-side scripting
We will become able to appreciate the concept of objects in JavaScript
We will learn about the properties of those objects
We will become able to perform simple tasks through the application of methods
<HTML>
<HEAD>
<TITLE>Send an eMail</TITLE>
<SCRIPT>
function checkForm() {
if ( document.sendEmail.sender.value.length < 1) {
window.alert( “Empty From field! Please correct” );
}
}
</SCRIPT>
</HEAD>
<BODY bgcolor=“#FFFFCC”>
… body content …
</BODY>
</HTML>
JavaScript code
enclosed in the new
<SCRIPT>,</SCRIPT
> HTML tags

Introduction to Computing –CS101 VU
© Copyright Virtual University of Pakistan
99
Lecture 16
Algorithms
Focus of the last lecture was on Word Processing
First among the four lectures that we plan to have on productivity software, a sub-
category of application software
That first lecture was on WP
We learnt about what we mean by WP and also desktop publishing
We also discussed the usage of various functions provided by common WP’s
The Objective of Today’s Lecture
To become familiar with the concept of algorithms:
What they are?
What is their use?
What do they consist of?
What are the techniques used for representing them?
Solving Problems (1)
When faced with a problem:
We first clearly define the problem
Think of possible solutions
Select the one that we think is the best under the prevailing circumstances
And then apply that solution
If the solution woks as desired, fine; else we go back to step 2
Solving Problems (2)
It is quite common to first solve a problem for a particular case
Then for another
And, possibly another
And watch for patterns and trends that emerge
And to use the knowledge form those patterns and trends in coming up with a general
solution
Solving Problems (3)
It helps if we have experienced that problem or similar ones before
Generally, there are many ways of solving a given problem; the best problem-solvers
come-up with the most appropriate solution more often than not!
The process that can be used to solve a problem is termed as the “algorithm”
Algorithm:
Sequence of steps
that can be taken to solve a given problem
Examples
Addition
Conversion from decimal to binary
The process of boiling an egg
The process of mailing a letter
Sorting
Searching
steps
sequence

Introduction to Computing –CS101 VU
© Copyright Virtual University of Pakistan
100
Let us write down the algorithm for a problem that is familiar to us
Converting a decimal number into binary
16.1 Algorithm for Decimal-to-Binary Conversion
Write the decimal number
Divide by 2; write quotient and remainder
Repeat step 2 on the quotient; keep on repeating until the quotient becomes zero
Write all remainder digits in the reverse order (last remainder first) to form the final
result
Points to Note:
The process consists of repeated application of simple steps
All steps are unambiguous (clearly defined)
We are capable of doing all those steps
Only a limited no. of steps needs to be taken
Once all those steps are taken according to the prescribed sequence, the required result
will be found
Moreover, the process will stop at that point
16.2 Algorithm (Better Definition)
1st Definition:
Sequence of steps that can be taken to solve a problem
Better Definition:
A precise sequence of a limited number of unambiguous, executable steps that terminates in the
form of a solution
Three Requirements:
Sequence is:
Precise
Consists of a limited number of steps
Each step is:
Unambiguous
Executable
The sequence of steps terminates in the form of a solution
Convert 75 to Binary
75 2
37
1
2
18
1
2
9 0
2
4 1
2 2 0
2 1 0
2
0
1
1001011
remainder

Introduction to Computing –CS101 VU
© Copyright Virtual University of Pakistan
101
16.3 Why Algorithms are Useful?
Once we find an algorithm for solving a problem, we do not need to re-discover it the
next time we are faced with that problem
Once an algorithm is known, the task of solving the problem reduces to following
(almost blindly and without thinking) the instructions precisely
All the knowledge required for solving the problem is present in the algorithm
Why Write an Algorithm Down?
Written form is easier to modify and improve
Makes it easy when explaining the process to others
16.4 Analysis of Algorithms
Analysis in the context of algorithms is concerned with predicting the resources that re
requires:
Computational time
Memory
Bandwidth
Logic functions
However, Time – generally measured in terms of the number of steps required to
execute an algorithm - is the resource of most interest
By analyzing several candidate algorithms, the most efficient one(s) can be identified
Selecting Among Algorithms
When choosing among competing, successful solutions to a problem, choose the one which is the least
complex
This principle is called the “Ockham’s Razor,” after William of Ockham - famous 13-th
century English philosopher
Early History:
Search for a Generic Algorithm
The study of algorithms began with mathematicians and was a significant area of work
in the early years
The goal of those early studies was to find a single, general algorithm that could solve all
problems of a single type
Origin of the Term “Algorithm”
The name derives from the title of a Latin book: Algoritmi de numero Indorum
That book was a translation of an Arabic book: Al-Khwarizmi Concerning the Hindu
Art of Reckoning
That book was written by the famous 9-th century Muslim mathematician, Muhammad
ibn Musa al-Khwarizmi
16.5 Al-Khwarzmi
Al-Khwarizmi lived in Baghdad, where he worked at the Dar al-Hikma
Dar al-Hikma acquired and translated books on science and philosophy, particularly
those in Greek, as well as publishing original research
The word Algebra has its origins in the title of another Latin book which was a
translation of yet another book written by Al-Khwarzmi:
Kitab al-Mukhtasar fi Hisab al-Jabr wa'l-Muqabala
Al-Khwarizmi’s Golden Principle
All complex problems can be and must be solved
using the following simple steps:
Break down the problem into small, simple sub-problems
Arrange the sub-problems in such an order that each of them can be solved without
effecting any other
Solve them separately, in the correct order
For your own use in the future, so that you don’t have to spend the time for rethinking it

Introduction to Computing –CS101 VU
© Copyright Virtual University of Pakistan
102
Combine the solutions of the sub-problems to form the solution of the original problem
That was some info on history.
Now, let us to take a look at several types of algorithms & algorithmic strategies
16.6 Greedy Algorithm
An algorithm that always takes the best immediate, or local solution while finding an
answer
Greedy algorithms may find the overall or globally optimal solution for some
optimization problems, but may find less-than-optimal solutions for some instances of
other problems
KEY ADVANTAGE: Greedy algorithms are usually faster, since they don't consider the
details of possible alternatives
Greedy Algorithm: Counter Example
During one of the international cricket tournaments, one of the teams intentionally lost a
match, so that they could qualify for the next round
If they had won that particular match, some other team would have qualified
This is an example of a non-greedy algorithm
Greedy Algorithm: Example
A skier skiing downhill on a mountain wants to get to the bottom as quickly as possible
What sort of an algorithm should the skier be using?
The greedy-algorithm approach will be to always have the skies pointed towards the
largest downhill slope (dy/dx), at all times
What is the problem with that approach?
In what situations that will be the best algorithm?
In which situations would it perform poorly?
16.7 Deterministic Algorithm (1)
An algorithm whose behavior can be completely predicted from the inputs
That is, each time a certain set of input is presented, the algorithm gives the same results
as any other time the set of input is presented.
16.8 Randomized Algorithm (1)
Any algorithm whose behavior is not only determined by the input, but also values
produced by a random number generator
These algorithms are often simpler and more efficient than deterministic algorithms for
the same problem
Simpler algorithms have the advantages of being easier to analyze and implement.
16.9 Randomized Algorithm (2)
These algorithm work for all practical purposes but have a theoretical chance of being
wrong:
Either in the form of incorrect results
Or in the form of impractically long running time
Example: Monte Carlo algorithms.
16.10 Deterministic Algorithm (2)
There can be degrees of deterministic behavior: an algorithm that also uses a random
number generator might not be considered deterministic
However, if the "random numbers" come from a pseudo-random number generator, the
behavior may be deterministic
Most computing environments offer a “pseudo random number generators,” therefore,
most randomized algorithms, in practice, behave deterministically!
16.11 Heuristic
A procedure that usually, but not always, works or that gives nearly the right answer

Introduction to Computing –CS101 VU
© Copyright Virtual University of Pakistan
103
Some problems, such as the traveling salesman problem, take far too long to compute an
exact, optimal solution. A few good heuristics have been devised that are fast and find a
near-optimal solution more often than not
Is a heuristic, an algorithm? Yes? No? Why?
A Few Questions
Is that the best possible sequence?
How do you know?
How do I determine the best sequence?
16.12 The Brute Force Strategy (1)
A strategy in which all possible combinations are examined and the best among them is
selected
What is the problem with this approach?
A: Doesn’t scale well with the size of the problem
How many possible city sequences for n=6? For n=60? For n=600?
16.13 The Brute Force Strategy (2)
However, with the relentless increase in computing power, certain problems that – only
a few years ago - were impossible to solve with brute force, are now solvable with this
technique
16.14 A Selection of Algorithmic Application Areas
Search
Sort
Cryptography
Parallel
Numeric
Graphical
Quantum computing
Combinatory
We’ll now talk about the various ways of representing algorithms.
But, before we do that please allow me to say a few words about …
The Traveling Salesman Problem
A salesman needs
to visit each of the n
cities one after the
other and wants to
finish the trip where
it was started
Determine the
sequence of cities
such that the
traveling distance is
minimized
2
6
5
4
3
1
A possible sequence for n =
6

Introduction to Computing –CS101 VU
© Copyright Virtual University of Pakistan
104
Now onto Algorithm Representation
We have said enough about algorithms – their definition, their types, etc.
But, how do we actually represent them?
Generally, SW developers represent them in one of three forms:
Pseudo code
Flowcharts
Actual code
Pseudo Code
Language that is typically used for writing algorithms
Similar to a programming language, but not as rigid
The method of expression most suitable for a given situation is used:
At times, plain English
At others, a programming language like syntax
16.15 Flowchart
A graphical representation of a process (e.g. an algorithm), in which graphic objects are
used to indicate the steps & decisions that are taken as the process moves along from
start to finish
Individual steps are represented by boxes and other shapes on the flowchart, with arrows
between those shapes indicating the order in which the steps are taken
An algo. is “correct” if its:
– Semantics are
correct
– Syntax is correct
Semantics:
The concept embedded in
an algorithm (the soul!)
Syntax:
The actual representation
of an algorithm (the body!)
WARNINGS:
1. An algo. can be
syntactically correct, yet
semantically incorrect –
very dangerous
situation!
2. Syntactic correctness
is easier to check as
compared with semantic
Syntax & Semantics

Introduction to Computing –CS101 VU
© Copyright Virtual University of Pakistan
105
In Today’s Lecture, We …
Became familiar with the concept of algorithms:
What they are?
What is their use?
What do they consist of?
What are the techniques used for representing them?
Next Lecture: Algorithms II
We will continue our discussion on algorithms during the next lecture
In particular, we will discuss the pseudo code and flowcharts for particular problems
We will also discuss the pros and cons of these two algorithm representation techniques
i.e. pseudo code and flow charts
Start or stop
Process
Input or output
Connector
Decision
Flow line
Off-page connector
Flowchart
Elements

Introduction to Computing –CS101 VU
© Copyright Virtual University of Pakistan
106
Lecture 17
Algorithms II
Focus of the last lecture was on Algorithms
Became familiar with the concept of algorithms:
What they are? (SEQUENCE OF STEPS)
What is their use?
What are their types?
What are the techniques used for representing them?
Pseudo code
Flowcharts
Actual code
Today …
We will continue our discussion on algorithms that we started during the 16th lecture
In particular, we will look at the building blocks that are used in all algorithms
We will also discuss the pseudo code and flowcharts for particular problems
In addition, we will outline the pros and cons of those two techniques
17.1 Algorithm Building Blocks
All problems can be solved by employing any one of the following building blocks or
their combinations
Sequences
Conditionals
Loops
OK. Now on with the three building blocks of algorithms. First ..
Start or stop
Process
Input or output
Connector
Decision
Flow line
Off-page connector
Flowchart
Elements
This review was essential because we will be using these building blocks quite often today.

Introduction to Computing –CS101 VU
© Copyright Virtual University of Pakistan
107
We will now present the algorithm for a problem whose solution is familiar to us
We will first go through the problem statement and then present the algorithm in three
different formats:
Se
q
uences
A sequence of instructions that are
executed in the precise order they
are written in:
statement block 1
statement block 2
statement block 3
statement block 1
statement block 2
statement block 3
Conditionals
Select between alternate courses of action
depending upon the evaluation of a condition
If ( condition = true )
statement block 1
Else
statement block 2
End if
statement
block 1
condition
True False
statement
block 2
Loops
Loop through a set of statements as long as
a condition is true
Loop while ( condition = true )
statement block
End Loop
condition
True
False
statement
block

Introduction to Computing –CS101 VU
© Copyright Virtual University of Pakistan
108
1. Pseudo code
2. Flowchart
3. Actual code
Problem Statement
Convert a decimal number into binary
We did write down the pseudo code for this problem last time. Lets do it again, and in a
slightly more formal way
17.2 Solution in Pseudo Code
Let the decimal number be an integer x, x > 0
Let the binary equivalent be an empty string y
Repeat while x > 0 {
Determine the quotient & remainder of x ÷ 2
y = CONCATENATE( remainder, y )
x = quotient
}
Print y
Stop
Q: Is this the only possible algorithm for converting a decimal number into a binary
representation?
If not, then is this the best?
In terms of speed?
In terms of memory requirement?
In terms of ease of implementation?
You must ask these questions after writing any algorithm
17.3 Tips on Writing Good Pseudo Code
Convert 75 to Binary
75 2
37
1
2
18
1
2
9 0
2
4 1
2 2 0
2 1 0
2
0
1
1001011
remainder

Introduction to Computing –CS101 VU
© Copyright Virtual University of Pakistan
109
Use indention for improved clarity
Do not put “code” in pseudo code – make your pseudo code language independent
Don’t write pseudo code for yourself – write it in an unambiguous fashion so that
anyone with a reasonable knowledge can understand and implement it
Be consistent
Prefer formulas over English language descriptions
Does the flowchart depict the “correct” algorithm?
What do we mean by “correct”, or better yet, what do we check for “correctness”?
One way is to check the algorithm for a variety of inputs
Does it perform satisfactorily for:
x = 0 ?
negative numbers?
numbers with fractional parts?
Start
Find quotient
& remainder
of x ÷ 2
Get
x
x
>0 ?
Print y
S
y = CONC(remainder, x)
x = quotient
x is the decimal number
y is the binary equivalent
Flowchart of
Decimal
to Binary
Conversion
Yes No

Introduction to Computing –CS101 VU
© Copyright Virtual University of Pakistan
110
Strategy
<SCRIPT> x = 75; // x is the decimal number
y = “”; // y is the binary equivalent
while ( x > 0) {
remainder = x % 2;
quotient = Math.floor( x / 2 );
y = remainder + y;
x = quotient;
}
document.write(“y = ” + y);
</SCRIPT>
Decimal to Binary Conversion in JavaScript
NOTE: Don’t worry if
you don’t understand
this code for now; you
will - later!
Another Example: Sorting
Sort the following objects w.r.t. their
heights
Expected Result

Introduction to Computing –CS101 VU
© Copyright Virtual University of Pakistan
111
There are many strategies for solving this problem. We demonstrate a simple one:
Repeat the following steps while the list is un-sorted:
Start with the first object in the list
Swap it with the one next to it if they are in the wrong order
Repeat the same with the next to the first object
Keep on repeating until you reach the last object in the list
Q: Is the list sorted?
A: No
Back to the Objects to be Sorted
Sorting: Step A1
Sorting: Step A1
Swap? Yes

Introduction to Computing –CS101 VU
© Copyright Virtual University of Pakistan
112
Sorting: Step A2
Sorting: Step A2
Swap? Yes
Sorting: Step A3

Introduction to Computing –CS101 VU
© Copyright Virtual University of Pakistan
113
Q: Is the list sorted?
A: No
Sorting: Step A3
Swap? No
Sorting: After Step A7
Sorting: Step B1

Introduction to Computing –CS101 VU
© Copyright Virtual University of Pakistan
114
Sorting: Step B1
Swap? Yes
Sorting: Step B2
Sorting: Step B2
Swap? No

Introduction to Computing –CS101 VU
© Copyright Virtual University of Pakistan
115
Q: Is the list sorted?
A: No
Sorting: After Step B7
Sorting: Step C1
Sorting: After Step C7
Sorting: Step C1
Swap? No

Introduction to Computing –CS101 VU
© Copyright Virtual University of Pakistan
116
Q: Is the list sorted?
A: Yes
STOP
Let’s now look at this same process of sorting being applied to a bigger list
---FLASH MOVIE FOR BUBBLE SORT GOES HERE---
Dim swapFlag As Boolean, list(8) As Integer
readList( list() ) ‘this needs to be defined
swapFlag = True
Do While swapFlag = True
For n = 1 To 8
If list(n) > list(n + 1) Then
temp = list(n)
list(n) = list(n + 1)
list(n + 1) = temp
swapFlag = True
End If
Next
Loop
For n = 1 To 8
Debug.Print list(n)
Next
Q: Is this the only possible algorithm for sorting a list?
A: Certainly not! In fact this one (called the “Bubble sort”) is probably the worst
(reasonable) algorithm for sorting a list – it is just too slow
You will learn a lot more about sorting in your future courses
Start
n = n+1
Get list
list
sorted?
Stop SWAP
list[n], list[n+1]
list is an array containing the heights
N is the total number of objects in the list
Flowchart for the Sorting Process
No
Yes
n = 0
list[n] >
list[n+1]?
Yes No
n
>
N
?
Yes
No

Introduction to Computing –CS101 VU
© Copyright Virtual University of Pakistan
117
17.4 Pros and Cons of Flowcharts (1)
I personally don’t find flowcharts very useful
The process of writing an algorithm in the form of a flowchart is just too cumbersome
And then converting this graphical form into code is not straight forward
However, there is another kind of flowcharts – called Structured Flowcharts – that may
be better suited for software developers
17.5 Pros and Cons of Flowcharts (2)
The good thing about flowcharts is that their symbols are quite intuitive and almost
universally understood
Their graphical nature makes the process of explaining an algorithm to one’s peers quite
straightforward
17.6 Pros and Cons of Pseudo Code (1)
Quite suitable for SW development as it is closer in form to real code
One can write the pseudo code, then use it as a starting point or outline for writing real
code
Many developers write the pseudo code first and then incrementally comment each line
out while converting that line into real code
17.7 Pros and Cons of Pseudo Code (2)
Pseudo code can be constructed quite quickly as compared with a flowchart
Unlike flowcharts, no standard rules exist for writing pseudo code
With that we have reached the end of the materials that we wanted to cover today.
However, I still need to tell you about your assignment #6
In Today’s Lecture, We …
We continued our discussion on algorithms that we had started during the 16th lecture
In particular, we looked at the building blocks that are used in all algorithms
We also discussed the pseudo code and flowcharts for particular problems
In addition, we outlined the pros and cons of those two techniques
Focus of the Next Lecture: Programming Languages
To understand the role of programming languages in computing
To understand the differences among low- & high-level, interpreted & compiled, and
structured & object-oriented programming languages

Introduction to Computing –CS101 VU
© Copyright Virtual University of Pakistan
118
Lecture 18
Objects, Properties, Methods
(Web Development Lecture 6)
During the last lecture we continued our discussion on Interactive Forms
We got our first taste of JavaScript – the object-based language that we will be
employing throughout the rest of the Web development part of this course
We developed a (simple) client-side script in JavaScript
During Today’s Lecture …
We will have a more formal introduction to JavaScript and client-side scripting
We will become able to appreciate the concept of objects in JavaScript
We will learn about the properties of those objects, and about how to read & modify
them
We will become able to perform simple tasks through the application of methods
Last time we looked at two distinct ways of performing the “form” field checking
function.
From now onwards, we will be employing the 2nd way more often than not
In that 2nd way, we referred to a function in the HTML BODY, and but defined that
function in the HTML HEAD
The main code segment that goes between the
<SCRIPT>, </SCRIPT> tags in the HEAD:
function checkForm() {
if ( document.sendEmail.sender.value.length < 1)
{
window.alert( “Empty From field! Please correct”
);
}
}
The JavaScript code included as an attribute of
the “Send eMail” button:
onMouseOver=“checkForm()”

Introduction to Computing –CS101 VU
© Copyright Virtual University of Pakistan
119
<HTML>
<HEAD>
<TITLE>Send an eMail</TITLE>
<SCRIPT>
function checkForm(){
if (document.sendEmail.sender.value.length < 1) {
window.alert('Empty From field! Please correct');
}
}
</SCRIPT>
</HEAD>
<BODY bgcolor="#FFFFCC">
<H1>Send an eMail</H1>
<FORM name="sendEmail" method="post" action=sendMailScriptURL>
<TABLE><TR> <TD>From: </TD>
<TD><INPUT type="text" name="sender" size="50" ></TD>
</TR><TR> <TD>To: </TD>
<TD><INPUT type="text" name="receiver" size="50"></TD>
</TR><TR><TD>Subject: </TD>
<TD><INPUT type="text" name="subject" size="50"></TD>
</TR><TR><TD valign="top">Message: </TD>
<TD><TEXTAREA name="message" cols="38"
rows="6"></TEXTAREA></TD>
</TR><TR><TD colspan="2" align="right">
<INPUT type="reset" name="reset" value="Reset All Fields">
<INPUT type="submit" name="sendEmail" value="Send eMail"
onMouseOver="checkForm()">
</TD></TR></TABLE></FORM>
</BODY>
</HTML>
18.1 New Concept: Client-Side Scripts
Small programs that are a part of the Web page and run on the user’s (client’s) computer
They interact with the user to collect info or to accomplish other tasks
Once it has been collected, they may help pass the collected info on to a server-side
script
We’ll use JavaScript to do client-side scripting. However, there are many other languages
that can be used for that purpose, e.g. VBScript
18.2 Advantages of Client-Side Scripting
Reduced server load as it does not have to send messages to the user’s browser about
missing or incorrect data
Reduced network traffic as the form’s data is sent only once instead of many to’s and
fro’s
18.3 Disadvantages
Client-side scripts do not work with all browsers
Some user intentionally turn scripting off on their browsers
This increases the complexity of the Web page, as it now has to support both situations:
browsers with scripting capability, and those not having that capability
18.4 JavaScript
A programming language specifically designed to work with Web browsers
It is designed to be used for developing small programs – called scripts – that can be
embedded in HTML Web pages
JavaScript:
Is an interpreted language
Supports event-driven programming

Introduction to Computing –CS101 VU
© Copyright Virtual University of Pakistan
120
Is object-based
Some of things that JavaScript cannot do!
The following file operations on the client computer:
Read -- Modify
Rename -- Delete
Create
Create graphics (although, it does have the ability to format pages through HTML -
including the placement of graphics)
Any network programming bar one function: the ability to download a file to the
browser specified through an arbitrary URL
Some of the things that JavaScript can do!
Control the appearance of the browser
Control the content and appearance of the document displayed in the browser
Interact with the user through event handlers
Arbitrary calculations, including floating-point ones
Store & modify a limited amount of data about the user in the form of client-side
“cookies”
18.5 Client-Side JavaScript
Everything that JavaScript manipulates, it Although a version of JavaScript exists that
can be used to write server-side scripts, our focus in this course will only be on client-
side scripting
Case Sensitivity
HTML is not case sensitive. The following mean the same to the browser:
<HTML> -- <html>
<Html> -- <htMl>
JavaScript is case sensitive. Only the first of the following will result in the desired
function – the rest will generate an error or some other undesirable event:
onMouseClick -- OnMouseClick
onmouseclick -- ONMOUSECLICK
JavaScript
A programming language specifically designed to work with Web browsers
It is designed to be used for developing small programs – called scripts – that can be
embedded in HTML Web pages
JavaScript:
Is an interpreted language
Supports event-driven programming
Is object-based
JavaScript is Object-Based
treats as an object – e.g. a window or a button
An object has properties – e.g. a window has size, position, status, etc.
Objects are modified with methods that are associated with that object – e.g. a resize a
window with resizeTo(150, 200)
Not Object-Oriented!
JavaScript is not a true object-oriented language like C++ or Java
It is so because it lacks two key features:
A formal inheritance mechanism
Strong typing
Nevertheless, it does include many key concepts that are part of almost all object-
oriented languages, and therefore is referred as an object-based language

Introduction to Computing –CS101 VU
© Copyright Virtual University of Pakistan
121
18.6 Properties
Objects may have a single or several properties
A property may have one of the following values:
Number -- Text -- Boolean
Array -- Functions
Objects (Example: “document” – a property of the “window” object – is an object in
itself. A “document” in turn may contain a “form” object as a property, and then that
“form” may contain a “button” property, which, once again, is an object in itself)
Object: A named collection of properties
(data, state) &
methods (instructions, behavior)
prop 1
prop 2 prop 5
name
prop 3
prop 4
A collection
of properties
& methods
All objects have the
“name” property: it
holds the name of
the ob
j
ect
method 3
method 1
method 2
Example: A Bicycle
color
height direction
name
pressure
speed turn()
inflate()
accelerate()
park()
Example: JavaScript’s “window” Object
width
height status
name
document
location alert()
close()
open()

Introduction to Computing –CS101 VU
© Copyright Virtual University of Pakistan
122
<HTML>
<HEAD>
Referring to a Property
objectName.propertyName
Examples:
window.width
button.value
dot

Introduction to Computing –CS101 VU
© Copyright Virtual University of Pakistan
123
<TITLE>Change Property Demo # 1</TITLE>
<SCRIPT>
function changeStatus() {
window.status = “Mouse has touched the button”;
}
</SCRIPT>
</HEAD>
<BODY>
<H1>Change Property Demo # 1</H1>
<FORM name=“dummy” method=“” action=“”>
<INPUT type=“submit” name=“” value=“Change Status“
onMouseOver=“changeStatus()”>
</FORM>
</BODY>
</HTML>
The main code segment that goes between the
<SCRIPT>, </SCRIPT> tags in the HEAD:
function changeStatus() {
window.status=“Mouse has touched the button”;
}
The JavaScript code included as an attribute of
the “Submit” button:
onMouseOver=“changeStatus()”
p
ro
p
ert
y
new value

Introduction to Computing –CS101 VU
© Copyright Virtual University of Pakistan
124
You should be connected to the Internet for the successful execution of the example
that we just discussed
A Suggestion
Please try the pieces of code that I just demonstrated to you to change the status and
location properties of the “window” object yourself
Also try changing the width, height properties of the “window” object
Types of Objects
JavaScript objects
Objects that are part of JavaScript
Examples: window, document
Browser objects
Objects that contain info not about the contents of the display, but the browser itself
Examples: history, navigator
User-defined object
One More Example:
Let us try to change the background color of the window
The main code segment that goes between the
<SCRIPT>, </SCRIPT> tags in the HEAD:
function gotoURL() {
window.location=“http://www.vu.edu.pk/”;
}
The JavaScript code included as an attribute of
the “Go to VU” button:
onMouseOver=“gotoURL()”
p
ro
p
ert
y
new value

Introduction to Computing –CS101 VU
© Copyright Virtual University of Pakistan
125
In addition to “bgColor”, there are many other properties of the “document”
object, e.g.
fgColor
linkColor
cookie
forms[ ]
The main code segment that goes between the
<SCRIPT>, </SCRIPT> tags in the HEAD:
function changeBgcolor() {
window.document.bgColor = “pink”;
}
The JavaScript code included as an attribute of
the “Change Color” button:
onMouseOver=“changeBgcolor()”
p
ro
p
ert
y
new value

Introduction to Computing –CS101 VU
© Copyright Virtual University of Pakistan
126
title
URL
referrer
lastModified
images[ ]
links[ ]
…
…
…
We have learnt how to modify the properties of objects
But the properties are not there just so that we can modify them; we can also just read
them – that is just find out their current value
Let us now look at an example where we first read a property, display the current value,
and then change the property
The main code segment that goes between the <SCRIPT>, </SCRIPT> tags in the
HEAD:
function changeBgcolor() {
oldColor = window.document.bgColor;
window.document.bgColor = “pink”;
window.alert("The old color was " + oldColor);
}
The JavaScript code included as an attribute of the “Change Color” button:
onMouseOver=“changeBgcolor()”

Introduction to Computing –CS101 VU
© Copyright Virtual University of Pakistan
127
Now we have established what we mean by objects: a named collection of properties
and methods
And that JavaScript treats everything that it manipulates as an object
We have also learnt how to change the properties of these objects by selecting a property
and equating it to a new value
Methods: Functions (code, instructions, behavior) associated with objects
Methods are functions associated with an object that can be used to manipulate that
object
Example:
window.close()
Here “close()” is a method that has been defined for the “window” object. Its function
is to close the “window”
A few more
methods associated with
the “window”
object
alert()
confirm()
prompt()
close()
open()
focus()
blur()
setTimeOut()
Referring to a Method
objectName.methodName( argumnets
)
Examples:
window.close()
button.click()
dot
Info is
passed on to
the method
through one
or more
arguments

Introduction to Computing –CS101 VU
© Copyright Virtual University of Pakistan
128
18.7 Event Handlers
Objects are made up of properties and associated methods
Many objects also have “event handlers” associated with them
“Events” are actions that occur as a result of user’s interaction with the browser
We use “event handlers” [e.g. onMouseOver(), onClick()] to design Web pages that can
react to those events
More on event handlers in a future lecture
During Today’s Lecture …
We had a more formal introduction to JavaScript and client-side scripting
We became able to appreciate the concept of objects in JavaScript
We learnt about the properties of those objects
We also became able to perform simple tasks through the application of methods
Next (the 7th) Web Dev Lecture:
Data Types and Operators
To find out about data types
To become familiar with JavaScript data types
To become able to use JavaScript statements and arithmetic operators
The main code segment that goes between the
<SCRIPT>, </SCRIPT> tags in the HEAD:
function vuWindow() {
window.open(“http://www.vu.edu.pk/”);
}
The JavaScript code included as an attribute of
the “New VU Window” button:
onClick=“vuWindow()”
method argument
different event handler

Introduction to Computing –CS101 VU
© Copyright Virtual University of Pakistan
129
Lecture 19
Programming Languages
During the last lecture …
We continued our discussion on algorithms that we had started during the 16th lecture
In particular, we looked at the building blocks that are used in all algorithms
We also discussed the pseudo code and flowcharts for particular problems
In addition, we outlined the pros and cons of those two techniques
Last time we discussed what to implement
Today’s Lecture
Today we are going to discuss the tool that is used to implement SW
To understand the differences among low- & high-level, interpreted & compiled, and
structured & object-oriented programming languages
To understand the role of programming languages in computing
WHAT IS PROGRAMING (CODING) ?
The process of telling the computer what to do
TYPES OF PROGRAMS
Batch Programs
Event-Driven Programs
19.1 Batch Programs
These are typically started from a shell (or automatically via a scheduler) and tend to
follow a pattern of:
Initialize internal data
Read input data
Process that data
Print or store results
Key feature: No user interaction with the computer while the program is running
Programming Language
A vocabulary and set of grammatical rules for instructing a computer to perform
specific tasks
19.2 Event-Driven Programs
Examples: GUIs, microwave, camera
The system sends events to the program and the program responds to these as they
arrive.
Events can include things a user does - like clicking the mouse - or things that the system
itself does - like updating the clock.
These programs generally work as follows:
Initialize the internal data
Wait for events to arrive
Identify an incoming event and react accordingly
Programming Language
A vocabulary and set of grammatical rules for instructing a computer to perform specific
tasks
All programs consists of:
Sequence of instructions
Conditionals
Loops
These may contain:
Data
Input/output (print, etc)
Operations (add, divide, etc)

Introduction to Computing –CS101 VU
© Copyright Virtual University of Pakistan
130
Examples of Prog. Languages
Machine Language
Assembly Language (1956-63)
LISP (1956)
PL/1(1964)
BASIC (1964)
Pascal (1970)
Smalltalk (1972)
C (1972) Fortran (1957)
COBOL (1959)
Perl (1987)
VisualBasic (1991)
PowerBuilder
Ada(1983)
C++ (1983-85)
QBasic (1986 Java (1995)
JavaScript
C# (2001)
19.3 Types of Prog. Languages
High level Programming Languages
Low Level Programming Languages
High-level programming languages, while simple compared to human languages, are
more complex than the languages the uP actually understands, called machine languages
each different type of microprocessors has its own unique machine language lying
between machine languages & high-level languages are languages called Assembly
languages
Assembly languages are similar to machine languages, but are easier to program in as
they allow a programmer to substitute names for numbers
Machine languages consist of numbers only.
Regardless of what language you use, you eventually need to convert your program into a
language that the computer can understand
Two ways for doing that:
- compile the program or
- interpret the program
Interpreter is a program that executes instructions written in a high-level language
An interpreter translates high-level instructions into an intermediate form, which it then
executes. In contrast, a compiler translates high-level instructions directly into machine
language
Compiled programs generally run faster than interpreted programs.
4th-generation languages
High-level languages
Assembly languages
Machine languages

Introduction to Computing –CS101 VU
© Copyright Virtual University of Pakistan
131
The advantage of an interpreter, however, is that it does not need to go through the
compilation stage during which the whole of the high-level code is translated into
machine instructions in one go. This process can be time-consuming if the program is
long.
The interpreter can immediately execute high-level programs, without waiting for the
completion of the translation process
The choice of which language to use can also depend on the:
-Type of computer the program is to run on,
- Expertise of the programmer
Interpreters: immediate response, but execute code slowly.
Compilers: Takes longer to compile, but super-fast execution.
Both interpreters and compilers are available for most high-level languages.
However, BASIC and LISP were especially designed to be executed by an interpreter.
Why are there so many different programming languages?
What are the advantages of particular languages?
The question of which language is best is one that consumes a lot of time and energy
among computer professionals
Every language has its strengths and weaknesses
-Can a single language have all the good bits of other languages?
-Is there a perfect language?
-Do some good features force a language to also have bad features?
-What makes a feature good or bad?
FORTRAN is a particularly good language for processing numerical data, but it does
not lend itself very well to large business programs
Pascal is very good for writing well-structured and readable programs, but it is not as
flexible as the C programming language
C++ embodies powerful object-oriented features, but it is complex and difficult to learn
What changes in the field of computer languages can we expect in the near future?
Should you learn more than one?
19.4 Programming SW Development
- SW Design Methodology ?
The set of (often flexible) rules and guidelines a team of developers follow to construct
reasonably complex SW systems
19.5 Object Oriented Design
OO SW is all about objects: a black box which receives messages & responds with those
of its own
An object has 2 aspects:
State, also termed as properties, data
Example: For the bicycle: color, speed, pressure
Behaviors, also termed as methods, instructions
Example: For the same object: accelerate(), inflate()
In traditional design, these 2 aspects have been kept apart
The designer starts with any component (object) of the system; designs it as an
independent, self-contained system, and then moves to the design of some other
component . The over-all system is put together by fitting together a collection of these
components.
Key feature: Details of the design of the component are kept independent of the over-all
system.
Benefit: It can be easily re-used in other systems: design once; use multiple times
19.6 Structured Design
Also called top-down design
-Which programming language should you learn?

Introduction to Computing –CS101 VU
© Copyright Virtual University of Pakistan
132
The designer starts by first conceiving a skeleton high-level design of the system, and
then starts defining features of that over-all design in an ever-increasing detail
Making small changes in the functionality of the systems sometimes leads to major re-
design exercise
Structured design emphasizes separating a program's data from its functionality
Separating data from functionality typically leads to SW that is difficult to maintain &
understand - especially for large SW systems
19.7 Object-Oriented Languages
Programming languages specifically designed to make it easy to implement object-
oriented designs
Examples: Smalltalk, C++, Java
Programming Languages
http://www.wikipedia.com/wiki/Programming_language
During Today’s Lecture, We …
To understand the role of programming languages in computing
To understand the differences among low- & high-level, interpreted & compiled, and
structured & object-oriented programming languages
Focus of the Next Lecture:
The SW Development Process
Development process of reasonably complex SW systems does not consist of “coding”
only
We will become familiar with the various phases of the process that developers follow to
develop SW systems of reasonable complexity

Introduction to Computing –CS101 VU
© Copyright Virtual University of Pakistan
133
Lecture 20
SW Development Methodology
We discussed the role of programming languages in computing
We also discussed the differences among low- & high-level, interpreted & compiled, and
structured & object-oriented programming languages
We also discussed the object-oriented and the structured methodologies for SW design
Any Other SW Design Methodologies?
-- Spaghetti Design Methodology
The most popular software design (programming) methodology
Today’s Lecture
Development process of reasonably complex SW systems does not consist of “coding”
only
We will become familiar with the various phases of the process that developers follow to
develop SW systems of reasonable complexity
SW Life-Cycle
The sequence of phases a SW goes through from the concept to decommissioning
It is important to think about all those phases before the design work starts
Thinking about the future phases generally results in:
Shorter delivery times
Reduced costs of development
A system of higher quality
A Case in Point
I didn’t discuss with the customer the specs of the HW & OS before developing a
particular e-commerce SW.
I wrote it for the HW/OS that was easily available to me.
Unfortunately that HW/OS combination differed from what was easily available to the
client Result: Huge amount of rework. Higher cost. Delayed delivery. Lower quality.
Therefore, now before designing a SW system, I first write down the installation manual,
and get it OK’d by the customer. I do the same with the Operation & Maintenance
manual as well.

Introduction to Computing –CS101 VU
© Copyright Virtual University of Pakistan
134
Concept & Feasibility
User Requirements
Developer Specs
Planning
Design
Implementation
Integration Testing
Opr. & Maintenance
Retirement
Detailed View Of SW
Developoment Life Cycle
Development
Concept
Operation &
Maintenance
Decommissioning
Simple SW Life Cycle

Introduction to Computing –CS101 VU
© Copyright Virtual University of Pakistan
135
Concept & Feasibility
User Requirements
Developer Specs
Planning
Design
Implementation
Integration Testing
Opr. & Maintenance
Retirement
Concept: What needs to be done?
Feasibility: Preliminary exploration of possible
solutions, technologies, suppliers
Concept & Feasibility
User Requirements
Developer Specs
Planning
Design
Implementation
Integration Testing
Opr. & Maintenance
Retirement
The user documents as much as he
knows about the job the system must
do

Introduction to Computing –CS101 VU
© Copyright Virtual University of Pakistan
136
Concept & Feasibility
User Requirements
Developer Specs
Plannin
g
Design
Implementation
Integration Testing
Opr. & Maintenance
Retirement
Detailed plan specifying
the required resources
and expected
deliverables
Concept & Feasibility
User Requirements
Developer Specs
Planning
Design
Implementation
Integration Testing
Opr. & Maintenance
Retirement
Developer analyses users requirement,
performs further investigation, and produces
unambiguous specifications

Introduction to Computing –CS101 VU
© Copyright Virtual University of Pakistan
137
Concept & Feasibility
User Requirements
Developer Specs
Planning
Design
Implementation
Integration Testing
Opr. & Maintenance
Retirement
Architecture: Decompose the problem into
subsystems and define their relationships
Detailed Design:
Decompose further such
that one person can
manage each sub-
subsystem
Concept & Feasibility
User Requirements
Developer Specs
Planning
Design
Implementation
Integration Testing
Opr. & Maintenance
Retirement
Coding
Design

Introduction to Computing –CS101 VU
© Copyright Virtual University of Pakistan
138
Concept & Feasibility
User Requirements
Developer Specs
Planning
Design
Implementation
Integration Testing
Opr. & Maintenance
Retirement
Bring the sub-
subsystems together to
form subsystems and
test. Bring subsystems
together to form the
system and test
Concept & Feasibility
User Requirements
Developer Specs
Planning
Desi
g
n
Implementation
Integration Testing
Opr. & Maintenance
Retirement
Use Enhance
Adapt Correct

Introduction to Computing –CS101 VU
© Copyright Virtual University of Pakistan
139
Concept & Feasibility
User Requirements
Developer Specs
Planning
Design
Implementation
Integration Testing
Opr. & Maintenance
Retirement
Phase it out when the time comes
Concept & Feasibility
User Requirements
Developer Specs
Planning
Design
Implementation
Integration Testing
Opr. & Maintenance
Retirement
Test
Test
Test
Test
Acceptance Test
Test

Introduction to Computing –CS101 VU
© Copyright Virtual University of Pakistan
140
Other Life-Cycle Models
The sequence of phases (or the life-cycle mode) that I showed is just one example of the
several sequences that SW developers follow
This one is called the “Waterfall” model
You will learn about some more models (e.g. the Spiral model) in your future courses
Concept & Feasibility
User Requirements
Developer Specs
Planning
Design
Implementation
Integration Testing
Opr. & Maintenance
Retirement
Customer’s lack of
knowledge about
requirements
Concept & Feasibility
Use
r
Requirements
Developer Specs
Planning
Design
Implementation
Integration Testing
Opr. & Maintenance
Retirement
Lag

Introduction to Computing –CS101 VU
© Copyright Virtual University of Pakistan
141
The Waterfall Lifecycle Model and its Derivatives
www.cs.qub.ac.uk/~J.Campbell/myweb/misd/node3.html
In Today’s Lecture
We became familiar with the various phases of the process that developers follow to
develop SW systems of reasonable complexity
We looked at a couple of problems related to the Waterfall SW development model
Next Lecture: 2nd In the Productivity SW Series Spreadsheets
We will become familiar with the basic features and functions of spreadsheets
We will become able to perform simple data analysis using spreadsheet SW

Introduction to Computing –CS101 VU
© Copyright Virtual University of Pakistan
142
Lecture 21
Data Types & Operators
(Web Development Lecture 7)
• Everything that JavaScript manipulates, it treats as an object – e.g. a window or a
button
• An object has properties – e.g. a window has size, position, status, etc.
• An object can be manipulated with methods that are associated with that object –
e.g. a resize a window with resizeTo(150, 200)
Object: A named collection of properties (data, state) & methods (instructions, behavior)
During the last lecture
we had a discussion on Objects, Properties, Methods
prop
1
prop
2 prop
5
nam
e
prop
3
prop
4
A collection of
properties &
methods
All objects have the
“name” property: it
holds the name of
the object (collection)
method 3
method 1
method 2

Introduction to Computing –CS101 VU
© Copyright Virtual University of Pakistan
143
21.1 JavaScript Data Types
Unlike in C, C++ and Java, there are no explicit data types in JavaScript
Nevertheless, it recognizes & distinguishes among the following types of values:
Numbers, e.g., 23, 4.3, -230, 4.4e-24
Booleans, e.g., true, false
Strings, e.g., “hello”, “What’s the time?”
Undefined
terms
First, variables:
Variables
Variables give us the ability to manipulate data through reference instead of actual value.
Variables are names assigned to values.
Variables are containers that hold values (Example: Hotel guest name, Guest room no).
Generally, the value of a variable varies during code execution (that is why the term
“variable.
Example
Types of Objects
• JavaScript objects
– Objects that are part of JavaScript
– Examples: window, document
• Browser objects
– Objects that contain info not about the contents of the display, but the browser itself
– Examples: history, navigator
• User-defined object
Object-Based, Not Object-Oriented!
• JavaScript is not a true object-oriented language like C++ or Java
• It is so because it lacks two key features:
– A formal inheritance mechanism
– Strong typing
• Nevertheless, JavaScript shares many similarities with object-oriented
languages, and therefore is called an object-based language
The concept of objects and associated properties and methods is a very powerful idea, and we will
be talking about it a lot during this course
However, today, our focus will be on some of the nitty-gritty details of JavaScript
During Today’s Lecture …
• We will find out about JavaScript data types
• About variables and literals
• We will also discuss various o
p
erators su
pp
orted b
y
J
avaScri
p
t
x = 1;
while (x < 6) {
document.write (x);
x = x + 1;
}
x is a
variable
We’ll come back to these data types, but before that we have to define a few new

Introduction to Computing –CS101 VU
© Copyright Virtual University of Pakistan
144
Try Doing the Same Without Using A Variable
Another Situation
x = 1;
while (x < 6000) {
document.write (x);
x = x + 1;
}
21.2 Declaring Variables
Many languages require that a variable be declared (defined) before it is first used
Although JavaScript allows variable declaration, it does not require it - except in the case
when we want to declare a variable being local (more on local variables later in the
course!)
However, it is good programming practice to declare variables before using them
Declaring Variables
var height
var name, address, phoneNumber
JavaScript Variables are
Dynamically Typed
Any variable in JavaScript can hold any type of value, and that type can change midway
through the program.
This is unlike the case for C, C++ and Java, where a variable’s type is defined before
usage.
The untyped feature makes JavaScript simpler to program in when developing short
programs. However, this feature brings in a few problems as well. Can you describe
any?
document.write (“1”); document.write (“2”);
document.write (“3”); document.write (“4”);
document.write (“5”);
5 lines of code
replacing 5 lines
of code!
Why use
variables?

Introduction to Computing –CS101 VU
© Copyright Virtual University of Pakistan
145
JavaScript Variables are Dynamically Typed
var sum ;
sum = 43 ;
sum = “empty” ;
After the execution of
the 2nd statement,
the data t
yp
e
After the execution of the 3rd
statement, the data type changes to
“string”
After the execution of the 1st
statement, the data type of the variable
“sum” is “undefined”
Identifiers
• Identifiers are names used by JavaScript to refer to variables (as well as objects,
properties, methods, and functions!)
• An identifier must begin with an alphabetical character (a-z or A-Z) or the
underscore “_” character
• Subsequent characters can be an alphabetical (a-z or A-B) or numeric character (0-9)
or an underscore
numberOneUniversity ,N99umber_one_University
_5numberoneuniversity,x,reallyReallyLongIndentifier12345678901234
Another Restriction on Identifiers
• Do not use any of the JavaScript keywords as identifiers
• For example, do not name a variable as “while”. When the browser sees this term in
JavaScript code, it will get confused as it already knows this keyword as part of a loop
statement. Same is the case for “var” or “if” or any of the other keywords.

Introduction to Computing –CS101 VU
© Copyright Virtual University of Pakistan
146
JavaScript (Java) Reserved Words
Names that can’t be used for variables, functions, methods, objects
Avoid These Special Names As Well (1)
Names that should not be used for variables, functions, methods, objects
document clearTimeout defaultStatus
taint scroll parent ref prototype
untaint onerror Math Object netscape
Self
JavaArra
Frame isNaN history
onload
Docume
blur Date closed
JavaObjec
window sun valueOf unescape
Element Reset
Package
Radio prompt
Select onblur location Number navigator
onfocus java Form Image History
JavaClass Window assign confirm close
finaltr
y
intcha
r
function
native
double
true
lon
g
do
transient
interface
default
throws
????
while
p
acka
g
e
false
void
null
extends
var
new
else
implements synchronized
continueswitch brea
k
throw
p
rivate return
instanceofcatch fo
r
constsu
p
e
r
Boolean
this if
p
ublic
incase float
classstatic abstract
with
g
oto
p
rotected
im
p
ortb
y
te finall
y

Introduction to Computing –CS101 VU
© Copyright Virtual University of Pakistan
147
Identifiers appear in JavaScript statements
Let us now discuss a few other elements that appear in those statements
Elements of JavaScript Statements
b = 2 ;
sum = sum + 49 ;
name = “Bhola” + “ Continental” ;
x = Math.floor ( x )
Identifiers
Operators
Literals
Punctuation
JavaScript Literals
A data value that appears directly in a statement
Literals can be of several types. Some of them are:
Number
String
Boolean
Numeric Literals
24,-230000000000000000,9.80665,1.67e-27,
JavaScript stores all numbers, even integers, as floating-point numbers
String Literals
“” , ’‘Bhola” , “Where is the Bhola Continental Hotel?”
String literals are always enclosed in a matching pair of single or double quotes
Boolean Literals
True, false ,
if ( tankFull == false)
addMoreWater = true
toStrin
g
Textarea taintJavaPacka
g
e
Plu
g
in
p
arseInt
p
arentO
p
tiono
p
en
Navi
g
atornameMathLocationlen
g
th
HiddenFunction Framefocuseval
SubmitButtonblur
A
rra
y
A
nchor
to
p
TextsunStrin
g
setTimeou
Password
p
arseFloaPacka
g
eo
p
eneronunload
navi
g
ateMimeT
yp
e locationLinkstatus
g
etClassframesFormFileU
p
loaesca
p
e
CheckboxBoolean assi
g
n
A
reaalert

Introduction to Computing –CS101 VU
© Copyright Virtual University of Pakistan
148
21.3 JavaScript Operators
Operators operate on operands to achieve the desired results
JavaScript has numerous operators, classified in many categories. We will look at only a
few of them belonging to the following categories:
Assignment operators -- Arithmetic operators
Comparison operators -- String operators
Logical operators
We’ll look at a few more during future lectures, but understand that there are many
more. Even you text book does not cover all of them!
Assignment Operator “=”
Changes the value of what is on the LHS, w.r.t. what is on the RHS
total_number_of_students = 984 ;
title = “Understanding Computers” ;
swapFlag = false ;
x = y + 33 ;
Arithmetic Operators
Multiply 2 * 4 → 8
Divide 2 / 4 → 0.5
Modulus 5 % 2 → 1
Add 2 + 4 → 6
Subtract 2 - 4 → -2
Negate -(5) → -5
21.4 Comparison Operators
The “equal to (==)” Comparison Operator
if ( today == “Sunday” )
document.write(“The shop is closed”);
The string “The shop is closed” will be written to the document only if the variable today has a value
equal to “Sunday”
Comparison Operators
a == b True if a and b are the same
a != b True if a and b are not the same
a > b True if a is greater than b
a >= b True if a is greater than or equal to b
a < b True if a is less than b
a <= b True if a is less than or equal to b
Example
if ( x != 0 )
result = y / x;
else
result = “not defined”;
21.5 Logical Operators
a && b AND True if both are true
a || b OR True of either or both are true
!a NOT True if a is false
The “AND (&&)” Logical Operator
if ( (pitch == “hard”) && (bowler == “fast”) )
myStatus = “Pulled muscle”;
The value of the variable myStatus will be set to “Pulled muscle” if both of the conditions are true
Example
if ( x || y )
Not the same as the
assignment “=” operator

Introduction to Computing –CS101 VU
© Copyright Virtual University of Pakistan
149
document.write (“Either or both are true”);
else
document.write (“Both are false”);
So far we have looked at the assignment operator, arithmetic operators, comparison
operators and logical operators
The final category that we are going to look at is string operators
In that category, we look at only one, the concatenation operator
The “+” String Operator
The “+” operator can be used to concatenate two strings
title = “bhola” + “continental”
The value of the variable title becomes “bholacontinental”
21.6 Elements of JavaScript Statements
Semicolon ;
Terminate all JavaScript statements with a semicolon. It is not always necessary, but
highly recommended.
b = 2;
sum = sum + 49;
name = “Bhola” + “ Continental”;
x = Math.floor ( x );
Identifiers
Operators
Literals
Punctuation
White Spaces & Line Breaks
White spaces: The space & the tab characters
JavaScript ignores any extra white spaces or line breaks that you put in the code
This gives you the freedom of using them for making your code appear neat and
readable
while ( x > 0) {
remaind = x % 2;
y = remaind + y;
}
while ( x > 0) {remaind = x % 2; y = remaind + y;}
while ( x > 0) {
remaind = x % 2;
y = remaind + y;
}
Now let’s talk about a very special type of JavaScript statement that does not really do
anything, but is found in most pieces of code!
Comments
Comments are included on a Web page to explain how and why you wrote the page the
way you did
Comments can help someone other than the author to follow the logic of the page in the
author’s absence
The commented text is neither displayed in the browser nor does it have any effect on
the logical performance of the Web page, and is visible only when the actual code is
viewed
JavaScript Comments
Single-line comments (two options)
// Author: Bhola
<!-- Creation Date: 24 March 2003
Multi-line comments
/* Author: Bhola
Creation Date: 24 March 2003 */
HTML Comments

Introduction to Computing –CS101 VU
© Copyright Virtual University of Pakistan
150
<!-- Author: Bhola
Creation Date: 24 March 2003 -->
Note : comments let the code speak for itself!
Comments add clarity
Decimal to Binary Conversion in JavaScript
x = 75 ; // x is the decimal number
y = “” ; // y is the binary equivalent
while ( x > 0) {
remainder = x % 2 ;
quotient = Math.floor( x / 2 ) ;
y = remainder + y ;
x = quotient ;
}
document.write(“y = ” + y) ;
During Today’s Lecture …
We found out about JavaScript data types
About variables and literals
We also discussed several operators supported by JavaScript
Next (the 8th) Web Dev Lecture:
Flow Control and Loops
To be able to understand the concept of flow control using the “if” and “switch”
structures
To be able to understand the concept of behind the “while” and “for” looping structures
To be able to solve simple problems using flow control and loop statements

Introduction to Computing –CS101 VU
© Copyright Virtual University of Pakistan
151
Lecture 22
Spreadsheets
Today’s Lecture:
Spreadsheets
It was the first among the four lectures that we plan to have on productivity software
We learnt about what we mean by word processing and also desktop publishing
We also discussed the usage of various functions provided by common
Second among the four lectures that we plan to have on productivity software
This 2nd lecture is on spreadsheets
We’ll learn about why we are interested in spreadsheets
We’ll discuss the several common functions provided by popular spreadsheet SW
programs
22.1 Business Plan for a New Software Development Company
The information provided in this business plan is confidential. Please do not disclose it
without checking with me first. Thanks.
Spreadsheets
Electronic replacement for ledgers
Used for automating engineering, scientific, but in majority of cases, business
calculations
A spreadsheet - VisiCalc - was the first popular application on PC’s.
It helped in popularizing PC’s by making the task of financial-forecasting much simpler,
allowing individuals to do forecasts which previously were performed by a whole team
of financial wizard
What Can They Do? (1)
40
All currency figures are in thousands of US Dollars
Billing Schedule
Lahore 20x42x0.5 420 30x96 2,880 40x169 6,760 50x317 15,850 60x490 29,400
Dubai 60x15x0.5 450 70x35 2,450 80x45 3,600 90x50 4,500
Islamabad 40x25x0.5 700 50x60 3,000 60x100 6,000
Karachi 50x45x0.5 1,125 60x100 6,000
Total
Costs for the Development Workforce
Lahore 15x42x0.8 504 17x96 1,632 20x169 3,380 24x315 7,608 28x490 13,720
Dubai 48x15x0.8 576 57x35 1,995 66x45 2,970 78x50 3,900
Islamabad 20x35x0.8 560 24x60 1,440 28x100 2,800
Karachi 24x45x0.8 864 28x100 2,800
Total
Costs for the Sales and Support Workforce
Singapore 120x2 240 110x3 390 110x4 440 110x5 550 125x5 625
Wash., DC 200x3 600 180x10 1,800 180x20 3,600 180x30 5,400 190x40 7,600
Chicago 210x2 420 200x3 630 200x4 800 200x5 1,000
Total
Costs for the Corporate Office
Corporate 40x3 120 42x4 168 44x6 264 46x8 368 48x10 480
Total
Profit
P/S
NPV Discount Rate
NPV @ that Discount Rate
IR
R
17%
5,125
68%
28%
420 3,330
12,882 23,220
9,910 23,575 45,900
264 368 480120 168
-249% -50% -10% 15%
5th Year
(1,044) (1,656) (959) 3,575 12,975
1st Year
840
2nd Year 3rd Year 4th Year
2,610 4,670 6,750 9,225
504 2,208 5,935
34
Sales Forecast
0
10
20
30
40
50
Million US$
12345
Year of Operation

Introduction to Computing –CS101 VU
© Copyright Virtual University of Pakistan
152
Can perform calculations repeatedly, accurately, rapidly
Can handle a large number of parameters, variables
Make it easy to analyze what-if scenarios for determining changes in forecasts w.r.t.
change in parameters
What Can They Do? (2)
Are easy to interface with other productivity SW packages
Easy to store, recall, modify
Make it is easy to produce graphs:
Graphs reveal the knowledge contained in data with greater clarity and ease as compared
with data arranged in rows and columns
Modern spreadsheet programs can be used to display data in a variety of graphical
formats
22.2 The Structure of A Spreadsheet
Collection of cells arranged in rows and columns
Each cell can contain one of the following:Numbers
Text
Formulas
These cells display either the number or text that was entered in them or the value that is
found by executing the formula
Connecting Two Cells
And this
one, A2
Let’s call
this cell A1
=A1 + 4

Introduction to Computing –CS101 VU
© Copyright Virtual University of Pakistan
153
The address of the current
cell is displayed as a
letter(column)-number(row)
pair
Contents of the
current cell are
displayed here
This is the
current cell
All currency figures are in thousands of US Dollars
Billing Schedule
Lahore 20x42x0.5 420 30x96 2,880 40x169 6,760 50x317 15,850 60x490 29,400
Dubai 60x15x0.5 450 70x35 2,450 80x45 3,600 90x50 4,500
Islamabad 40x25x0.5 700 50x60 3,000 60x100 6,000
Karachi 50x45x0.5 1,125 60x100 6,000
Total
Costs for the Development Workforce
Lahore 15x42x0.8 504 17x96 1,632 20x169 3,380 24x315 7,608 28x490 13,720
Dubai 48x15x0.8 576 57x35 1,995 66x45 2,970 78x50 3,900
Islamabad 20x35x0.8 560 24x60 1,440 28x100 2,800
Karachi 24x45x0.8 864 28x100 2,800
Total
Costs for the Sales and Support Workforce
Singapore 120x2 240 110x3 390 110x4 440 110x5 550 125x5 625
Wash., DC 200x3 600 180x10 1,800 180x20 3,600 180x30 5,400 190x40 7,600
Chicago 210x2 420 200x3 630 200x4 800 200x5 1,000
Total
Costs for the Corporate Office
Corporate 40x3 120 42x4 168 44x6 264 46x8 368 48x10 480
Total
Profit
P/S
NPV Discount Rate
NPV @ that Discount Rate
IRR
1st Year
840
2nd Year 3rd Year 4th Year
2,610 4,670 6,750
504 2,208
-249% -50% -10% 15%
5th Year
(1,044) (1,656) (959) 3,575 12,975
45,900
264 368 480120 168
9,225
5,935
17%
5,125
68%
28%
420 3,330
12,882 23,220
9,910 23,575

Introduction to Computing –CS101 VU
© Copyright Virtual University of Pakistan
154
22.3 Goal Seek
Goal Seek in Excel
When you use the Goal Seek command, Excel changes the value in one cell until the
value in a second cell reaches a number that you desire. For instance, if you had a
spreadsheet that calculated profit for the Bhola eService from a variety of inputs,
including employee numbers, expenses, products sold, price of products, you might use
goal seek to define your break-even price of products. You would tell the computer to
change price of products until Profit was zero (break-even), and you would do that using
Tools, Goal Seek.
To use Goal Seek, go to the Tools command. If Goal seek . . . is not an option, you must
first go to Add-ins (also under Tools), and select Goal Seek. Once Goal Seek is loaded,
choose it under Tools.
In Goal Seek there will be three boxes to fill in.
The first says "Set cell." Enter the cell address (or click on the cell) of the cell whose
value you want to fix or set to a specific number (i.e. Profit cell). This cell must contain a
formula or function. Otherwise it will not be linked to the cell you will be changing to
obtain zero profit.
The second says "To value." Enter the appropriate value you wish to see in that "Set"
cell (i.e. 0 if you want the Profit to come out zero).
The third says "By changing cell." Enter or click on the cell you want Goal Seek to
change to obtain the zero profit. (i.e. milk price). This cell must not be a formula or
function. Then click "okay."
At this point Goal Seek will show you the answer. For instance, Profit will now be zero
and the Milk Price cell will have changed to another price (maybe 11.86) to make
Profit=0. You can accept the change or you can cancel the Goal Seek and return to the
previous numbers. Often you just want to take note of the new numbers and cancel. If
you accept and change your mind, click Undo.
Things that you must remember!!
Make sure the "Set Cell" cell is a formula or function or cell reference.
Make sure you have set that sell to a reasonable number.
Make sure the "By Changing Cell" cell is a number or blank, and not a formula, function
or cell reference like =C5.
0.0%
20.0%
40.0%
60.0%
0.0%
20.0%
40.0%
60.0%
Bar charts work well for
comparing several discrete
data categories with one
another or showing a trend
over several time
it
Line charts are also work well
for displaying data trends over
time. They’re better than bar
charts if there are a large
number of data points or if
more than one con
g
ruent
Pie charts are
great for
showing parts
of a whole that
are generally
expressed in
percentages.
They work
best for a
small number

Introduction to Computing –CS101 VU
© Copyright Virtual University of Pakistan
155
Make sure there is a link by formulas between the two cells you entered in the Goal Seek.
However complicated the link might be, they must be related for the Set cell to be
changed by the Change cell.
Finally, make sure your formula in the "Set Cell" cell is correct (as well as all others).
Simple Example
Assume the following cells. We will use Goal Seek to find a number to make the
sum=150.
A2 = 25
A3 = 40
A4 = SUM(A2:A3) which is showing 65
In Goal Seek:
Set Cell: click on A4
To Value: enter 150
By Changing Cell: click on A3
The sum in A4 should now be 150, and A3 should have become 125 for that to happen.
Solving Equation: f(x) = x2 + 2x + 1 = 0
• Write the formula in a cell e.g. A2
• Select the
goal seek
option

Introduction to Computing –CS101 VU
© Copyright Virtual University of Pakistan
156
Hence to get the value of the given function as 0 the value of x should be 1
Which is the solution of the equation
f(x) = x
2
+ 2x + 1 = 0
links
Following are some urls for the goal seek ;
http://www.oootraining.com/QwikAndDirty/QwikAndDirtyExcelWeb/DataAnalysis/
Using_Goal_Seek/Using_Goal_Seek.htm
The Best Feature: Undo
Allows you to recover from your mistakes
Allows you to experiment without risk
Getting On-Screen Help
All spreadsheets generally have some form of built-in help mechanism
To me, it seems like that many of those help-systems are designed to be “not-very-
helpful”: they make finding answers to simple questions quite difficult
Nevertheless, do try them when you are searching for answers
I’ll now demonstrate the use of spreadsheets with the help of several examples
Formulas
Sorting
Conditional formatting
Graphs
Goal seek
• In the ‘set cell’
input field write the
cell number that
needs to be
changed I.e. a2
• In the ‘to value’
field enter the
value we want the
cell a2 to have i.e.
0
• This shows the that the target was to have 0 value but
excel could calculate for 0.0004 value
• On pressing Ok we will get->
•
Here the value of a1 is
0 97 which is almost
equal

Introduction to Computing –CS101 VU
© Copyright Virtual University of Pakistan
157
Today’s Lecture was the …
Second among the four lectures that we plan to have on productivity software
This 2nd lecture was on spreadsheets
We learnt about what we mean by spreadsheets
We discussed the usage of various functions provided by common spreadsheets
Focus of the Next Productivity SW Lecture: Presentations
To become familiar with the basics of multimedia presentations
To become able to develop simple presentation with the help of presentation software

Introduction to Computing –CS101 VU
© Copyright Virtual University of Pakistan
158
Lecture 23
Flow Control & Loops
(Web Development Lecture 8)
During the last lecture we had a discussion on Data Types, Variables &
Operators
We found out about JavaScript data types
About variables and literals
We also discussed several operators supported by JavaScript
JavaScript Data Types
JavaScript recognizes & distinguishes among the following types of values:
Numbers
Booleans
Strings
Undefined
Variables
Variables give us the ability to manipulate data through reference instead of actual
valueVariables are containers that hold values
Declaring Variables
Although JavaScript allows variable declaration, it does not require it - except in the case
when we want to declare a variable being local (more on local variables later in the
course!)
JavaScript Variables are Dynamically Typed
Any variable in JavaScript can hold any type of value, and the that type can change
midway through the program
FLOW CONTROL
Select between alternate courses of action depending upon
the evaluation of a condition
statement
block 1
condition
True False
statement
block 2
JavaScript Flow Control Structures
• if … else
• switch

Introduction to Computing –CS101 VU
© Copyright Virtual University of Pakistan
159
if: Example 1
if ( day == “Sunday” )
bhola = “Cool” ;
The condition
enclosed in
semicolon
Set the value of the variable ‘bhola to ‘Cool’
if the ‘da
y
’ is e
q
ual to ‘Sunda
y’
This was the case if we want to execute a single statement
given that the condition is true
What if we want to execute multiple statements in case the
if ( day == “Sunday” ) {
bhola = “Cool” ;
mood = “Great” ;
clothing = “Casual” ;
}
if: Example 2
These curly braces group the
multiple statements into a single
compound statement
Set the value of the variable
‘bhola to ‘Cool’, ‘mood’ to ‘Great’,
and
‘
clothing
’
to
‘
casual
’
if the
if: Example 2
if ( day == “Sunday” ) {
bhola = “Cool” ;
mood = “Great” ;
clothing = “Casual” ;
}
Set the value of the variable ‘status’ to ‘Cool’,
‘mood’ to ‘Great’, and ‘clothing’ to ‘casual’ if the
‘day’ is equal to ‘Sunday’
Note: No
semicolon after
the closing curly
brace
Compound Statements
• At times, we need to put multiple statements at
places where JavaScript expects only oneFor
those situations, JavaScript provides a way of
grouping
a number of statements into a
2. This is done simply by enclosing any number
of statements within curly braces, {
}NOTE: Although the statements
within the block end in semicolons,
the block itself doesn’t
if: Example 3
if ( (day == “Sunday”) || (day == “Saturday”) ) {
bhola = “Cool” ;
mood = “Great” ;
clothing = “Casual” ;
}

Introduction to Computing –CS101 VU
© Copyright Virtual University of Pakistan
160
if: Example 4
weekend = ( day == “Sunday” ) || ( day == “Saturday” ) ;
if ( weekend ) {
bhola = “Cool” ;
mood = “Great” ;
clothing = “Casual” ;
}
What is the data
type of the variable
“weekend”?
We now know how to execute a statement or a block of statements given
that the condition is true
What if we want to include an alternate action as well, i.e. a statement or
a block of statements to be executed in case the condition in not true
if … else: Example 1
if ( GPA >= 1.0 )
bhola = “Pass” ;
else
bhola = “Fail” ;
if … else: Example 2
if ( GPA >= 1.0 ) {
bhola = “Pass” ;
}
Else
bhola = “Fail” ;
if … else: Example 3
if ( GPA >= 1.0 ) {
bhola = “Pass” ;
mood = “Great”
;
} else
if … else: Example 4
if ( GPA >= 1.0 ) {
bhola = “Pass” ;
mood = “Great” ;
} else {
bhola = “Fail” ;
mood = “Terrible” ; }
if … else: Example 5
if ( grade == “A” )
points = 4.0 ;
if ( grade == “B” )
points = 3.0 ;
if ( grade == “C” )
points = 2.0 ;
if ( grade == “D” )
points = 1.0 ;
if ( grade == “F” )
points = 0 0 ;
What can we do
to improve it?
This piece of
code is correct,
but not very
efficient!

Introduction to Computing –CS101 VU
© Copyright Virtual University of Pakistan
161
if … else: Example 5
if ( grade == “A” )
points =
4.0 ;
if ( grade == “B” )
points =
3.0 ;
if ( grade == “C” )
points =
2.0 ;
if ( grade == “D” )
points =
10;
What can we do to
improve it?
This piece of
code is correct,
but not very
efficient!
if … else:
Example 6
if ( grade == “A” )
points = 4.0 ;
else {
if ( grade == “B” )
points = 3.0 ;
else {
if ( grade == “C” )
points = 2.0 ;
else {
if ( grade == “D” )
points = 1.0 ;
else
points = 0.0 ;
}
}
}
switch:
Example 1
switch ( grade ) {
case “A” :
points = 4.0 ;
break ;
case “B” :
points = 3.0 ;
break ;
case “C” :
points = 2.0 ;
break ;
case “D” :
points = 1.0 ;
break ;
default :
points = 0.0 ;
}
The expression
enclosed in
parentheses is
evaluated and matched
with case labels
This is a case
label
A colon
following the
case label is
required
This ‘break’ statement
is the exit point
The ‘default’ statement acts like the
‘else’ clause in the ‘if…else’
structure

Introduction to Computing –CS101 VU
© Copyright Virtual University of Pakistan
162
switch: Example 2
switch ( inquiry ) {
case “apple” :
document.write( “Apples are Rs 50/kg” ) ;
break ;
case “mangos” :
document.write( “Mangos are Rs 90/kg” ) ;
break ;
case “grapes” :
document.write( “Grapes are Rs 60/kg” ) ;
break ;
default :
document.write( inquiry + “? Please retry!” ) ;
}
if…else --?-- switch
• If the action to be taken of the value of a single variable (or a
single expression), use ‘switch’
• When the action depends on the values of multiple variables
(or expressions), use the ‘if...else’ structure
if … else: Example 7
if ( ( GPA >= 1.0 ) && ( attendance >= 40 ) )
bhola = “Pass” ;
else {
if ( ( GPA >= 2.0 ) && ( attendance >= 36 ) ) bhola
= “Probation” ;
else
bhola = “Fail” ;
}
Switch Example 2
LOOPS
Loop through a set of statements as long as a condition
is true
condition
True
False
statement
block
JavaScript’s Looping Structures
while
for
…

Introduction to Computing –CS101 VU
© Copyright Virtual University of Pakistan
163
x = 75 ; // x is the decimal number
y = “” ; // y is the binary equivalent
while ( x > 0 ) {
remainder = x % 2 ;
quotient = Math.floor( x / 2 ) ;
y = remainder + y ;
x = quotient ;
}
document.write( “y = ” + y ) ;
Decimal to Binary Conversion in JavaScript
The condition
enclosed in
parentheses
while: Example 2
while ( tankIsFull == false ) {
tank = tank + bucket ;
}
document.write ( “Tank is full now” ) ;
while: Example 3
x = 1 ;
while ( x < 6000 ) {
document.write ( x ) ;
x = x + 1 ;
}
for: Example 1
for ( x = 1 ; x < 6000 ; x = x + 1 ) {
document.write ( x ) ;
}
Initial count Condition
Operation
for: Description (1)
• The ‘for’ loop starts by initializing the counter variable (which in this case is
x)
• The initial value in this case is ‘1’, but can be any other positive or negative
number as well
• Next the ‘for’ loop checks the condition. If the condition evaluates to a ‘true’
value, the ‘for’ loop goes through the loop once

Introduction to Computing –CS101 VU
© Copyright Virtual University of Pakistan
164
for: Description (2)
• After reaching the end of that iteration, the ‘for’ loop goes to the top once
again, performs the operation, checks the condition
• If the condition evaluates to a ‘false’ value, the ‘for’ loop finishes looping
• Otherwise, the ‘for’ loop goes through the loop once again
• Repeat from step 4
for: Example 2
for ( x = 99 ; x < 6000 ; x = x + 1 ) {
document.write ( x ) ;
}
for: Example 3
for ( x = 6000 ; x > 0 ; x = x - 1 ) {
document.write ( x ) ;
}
How many iterations would
this ‘for’ loop run for?
6000?
for: Example 3
for ( x = 6000 ; x > 0 ; x = x - 1 ) {
document.write ( x ) ;
}
How many iterations
would this ‘for’ loop run
for?
6000?
for: Example 4
for ( x = 6000 ; x < 0 ; x = x - 1 ) {
document.write ( x ) ;
}
How many iterations
would this ‘for’ loop run
for?
None?
for --?-- while
• When the exact number of iterations is known, use the
‘for’ loop
‘for’ loops become especially useful when used in conjunction with
arrays
We’ll find out about arrays next time, and we’ll probe their
usefulness as part of ‘for’ loop structures

Introduction to Computing –CS101 VU
© Copyright Virtual University of Pakistan
165
During Today’s Lecture …
We discussed the concept of flow control using the “if” and “switch” structures
And also the concept behind the “while” and “for” looping structures
We also solved simple problems using flow control and loop structures
Next (the 9th) Web Dev Lecture:
Arrays
We will find out why we need arrays
We will become able to use arrays for solving simple problems

Introduction to Computing –CS101 VU
© Copyright Virtual University of Pakistan
166
Lecture 24
Design Heuristics
During the last lecture …
We became familiar with the various phases of the process that developers follow to
develop SW systems of reasonable complexity
We looked at a couple of problems related to the Waterfall SW development model
Today’s Lecture
Heuristics for System Architecting
We will try to understand the role of heuristics in architectural (or high-level) design
We will become familiar with a few popular design heuristics
24.1 Heuristic
Rule of thumb learned through trial & error
Common sense lesson drawn from experience
Qualitative principle, guideline, general judgement
Natural language description of experience
24.2 System
A collection of elements which working together produces a result not achieved by
the things alone
24.3 System Architecture
The structure
(in terms of components, connections, constraints) of a product or a process
24.4 Heuristics for system architecting
Rules and lessons learnt by system architects
after long experiences
which when followed
result in sound, stable, practical systems
# 1 My favorite system architecting
(and other relevant) heuristics
--- in no particular order ---
#2 Given many parts of a system to be designed/built,
do the hard part 1
1s
st
t
# 3 All the serious mistakes are made on the very first day
# 4 Simplify, simplify, simplify!
Probably the most useful heuristics for increasing reliability while decreasing cost &
time-to-build
# 5 If you can’t explain it in 5 minutes, either you don’t understand it or it does not
work
# 6 A system will develop & evolve much more rapidly
if there are stable intermediate forms than if there
Build iteratively; add features gradually
# 7 Success is defined by the user, not the builder
# 8 It’s more important to know what the customer needs instead of what he says he
wants
# 9 If you think that your design is perfect, it is only because you have not shown to
anyone else
--- Get your designs reviewed ---
# 10 A good solution to a problem somehow looks nice & elegant
# 11 In partitioning, choose the chunks so that they are as independent as possible
Chunks should have low external complexity & high internal complexity
Organize personal tasks to minimize the time individuals face interfacing

Introduction to Computing –CS101 VU
© Copyright Virtual University of Pakistan
167
2
6
5
4
31
2
6
5
4
31

Introduction to Computing –CS101 VU
© Copyright Virtual University of Pakistan
168
2
6
5
4
3 1
1 2
3
5
6
7
8
9
4

Introduction to Computing –CS101 VU
© Copyright Virtual University of Pakistan
169
# 12 Partition/repartition the problem until a model consisting of 7±2
chunks emerges
# 13 When choices must be made with unavoidably inadequate info:
Choose the best available & then watch to see:
whether further solutions appear faster than future problems .
If so, the choice was at least adequate .
If not, go back & choose again
# 14 The Triage
1. Let the dying die
2. Ignore who’ll recover on their own
3. Treat only those who’ll die without your help
#15 Don’t just remove the defect; correct the process that caused it
# 16 The number of defects remaining in a system after
a given level of tests is proportional to the number found during the test
# 17 Programmers deliver the same number of LOC/day regardless of the language they
are writing in .
Use the Highest level Language
In Today’s Lecture
We became familiar with the the role of heuristics in design
We also discussed a few well-known design heuristics for architectural design
In Today’s Lecture
We became familiar with the the role of heuristics in design
We also discussed a few well-known design heuristics for architectural design
Next Lecture:
Web Design for Usability
To become able to appreciate the role of usability in Web design
To become able to identify some of the factors affecting the usability of a Web page

Introduction to Computing –CS101 VU
© Copyright Virtual University of Pakistan
170
Lecture 25
Web Design for Usability
During the last lecture …:
We looked at the role of heuristics in architectural (or high-level) design
We also became familiar with a few popular design heuristics
Heuristic:
Rule of thumb learned through trial & error
Common sense lesson drawn from experience
Caution! Caution!
Heuristics don’t always lead to the best results
At times they even lead to the wrong ones, but mostly to results that are good-enough
25.1 USABILITY
Today’s Goal:
25.1 Web Design for Usability
To become able to appreciate the role of usability in Web design
To become able to identify some of the factors affecting the usability of a Web page
What’s a Good Site?
achieved by giving the user what s/he wants, as quickly as possible, without her/him
25.2 SPEED:
Users don't read; they scan
Users don't make optimal choices; they look for the first good-enough solution
Users don't figure out how things work; they muddle through
Design is Important!
62% of shoppers gave up looking for the item they wanted to buy online (Zona
Research)
40% visitors don’t return to a site if their first visit was a -ive experience (Forrester
Research)
83% of users have left sites in frustration due to poor navigation, slowness (NetSmart
Research)
Simple designs have greater impact: they can be understood immediately! (Mullet/Sano)
Designs should be consistent & predictable (unified)
The one that achieves the result that it was designed for. Generally, that result can only be
quickly, without much effort. “Quickly” is important!
expending much effort. One definition of usability: Let the user have what s/he wants

Introduction to Computing –CS101 VU
© Copyright Virtual University of Pakistan
171
25.3 Elements of Website Design:
Navigation scheme
Layout of information
Overall look and feel
25.4 Website Navigation:
The interface/controls that a Website provides to the user for accessing various parts of
the Website
It probably is the most important aspect of the design of a Website
25.5 A Few Navigation Design Heuristics:
Put the main navigation on the left of the page
It should be ‘invisible’ until it is wanted
It should require an economy of action & time
It should remain consistent
Use text for navigation labels. If you must use icons, put a description underneath each
icon
25.6 Navigation Design Heuristics (contd.):
Labels should be clear, understandable
Labels should be legible
Do not play with standard browser buttons & features
Provide search capability

Introduction to Computing –CS101 VU
© Copyright Virtual University of Pakistan
172
A good
Solution to
Problem
Is nice and
elegent

Introduction to Computing –CS101 VU
© Copyright Virtual University of Pakistan
173
25.7 Good designs assist the user in recovering from errors
25.8 Assisting the User Recover from Errors:
Location, post code mismatch
Credit card number errors
Phone numbers
Spelling errors
25.9 A few constructive recommendations
Let’s look at a few Web sites and see how we can improve their usability
Enter
Dragon’s Lair

Introduction to Computing –CS101 VU
© Copyright Virtual University of Pakistan
174
All rights reserved, 2002.
SKIP
RESTAR
T
LOADING …
Click here to go to the main page directly

Introduction to Computing –CS101 VU
© Copyright Virtual University of Pakistan
175
25.10 Making Display Elements Legible:
1. Designing (arranging) Display Elements
Elements must be large enough to be processed visually
Elements must contrast sufficiently with their backgrounds
Making Display Elements Legible:
Related elements should be visually grouped through the use of space, color, or graphical
boundaries
The relative levels of importance among elements in a display should be revealed
graphically
25.11 Ensuring Text is Readable:
Use sans serif (e.g. Arial, Helvetica, Verdana) typefaces for display on screen
Display type intended for continuous reading at 10 to 14 points
Avoid the overuse of bold and italics
Avoid setting type in all caps
Arrange type intended for extended reading flush left, ragged right
Avoid lines of type shorter than 40 characters and longer than 60 characters

Introduction to Computing –CS101 VU
© Copyright Virtual University of Pakistan
176
Mark the boundaries between paragraphs with blank lines rather than indentation
Use headings and subheadings to visually reveal the relationships among text elements
they label – paragraphs after paragraphs of text do not work that well on the Web
25.12 Using Pictures & Illustrations:
Avoid using pictures that are strictly decorative
25.13 Using Motion
Use motion to attract the viewer’s attention
Avoid the use of motion for “cosmetic” purposes
Success is defined by the user, not the builder
In Today’s Lecture:
We looked at the role of usability in Web site design
We identified some of the factors affecting the usability of a Web page
Next Lecture:
Computer Networks
We will become able to appreciate the role of networks in computing
We will familiarize ourselves with various networking topologies and protocols

Introduction to Computing –CS101 VU
© Copyright Virtual University of Pakistan
177
Lecture 26
Arrays
(Web Development Lecture 9)
During the last lecture we had a discussion on Flow Control & Loops
We discussed the concept of flow control using the “if” and “switch” structures
And also the concept behind the “while” and “for” looping structures
We also solved simple problems using flow control and loop structures
if…else --?-- switch
If the action to be taken of the value of a single variable (or a single expression), use
‘switch’
When the action depends on the values of multiple variables (or expressions), use the
‘if...else’ structure
Compound Statements:
for: Example 1
for --?-- while
When the exact number of iterations is known, use the ‘for’ loop
When the number of iterations depend upon a condition being met, use the ‘while’ loop
‘for’ loops become especially useful when used in conjunction with arrays
We’ll find out about arrays today, and we’ll probe their usefulness as part of ‘for’ loop
structures
Today’s Topic:
Arrays
We will find out why we need arrays
We will become able to use arrays for solving simple problems
Array:
An indexed list of elements
We said that a variable is a container that holds a value.
Similarly, an Array can be considered a container as well, but this one can hold multiple
values
Array:
An indexed list of elements
Example: There are many ways of assigning identifiers to the following fruit
strawberry
fruit1
fruit[ 0 ]
for ( x = 1 ; x < 6000 ; x = x + 1 ) {
document.write ( x ) ;
}
Initial count Condition Operation
orange
fruit2
fruit[ 1 ]
apple
fruit3
fruit[ 2 ]
watermelo
n
fruit4
fruit[ 3 ]

Introduction to Computing –CS101 VU
© Copyright Virtual University of Pakistan
178
Array
An indexed list of elements
fruit[ 0 ], fruit[ 1 ], fruit[ 2 ], and fruit[ 3 ] are the elements of an array
‘fruit’ is the identifier for that array
The length of the ‘fruit’ array is 4, i.e. ‘fruit’ has four elements
Array
Fruit [ 0 ]
var student1, student2, student3, student4 ;
student1 = “Waseem” ;
student2 = “Waqar” ;
student3 = “Saqlain” ;
student4 = “Daanish” ;
document.write( student1 ) ;
document.write( student2 ) ;
document.write( student3 ) ;
document.write( student4 ) ;
student = new Array( 4 ) ; //array declaration
student[ 0 ] = “Waseem” ;
student[ 1 ] = “Waqar” ;
student[ 2 ] = “Saqlain” ;
student[ 3 ] = “Daanish” ;
for ( x = 0 ; x < 4 ; x = x + 1 ) {
document.write( student[ x ] ) ;
}
26.1 Arrays in JavaScript
• In JavaScript, arrays are implemented in the form of the ‘Array’ object
• The key property of the ‘Array’ object is ‘length’, i.e the number of elements in an
array
• Two of the key ‘Array’ methods are:
– reverse( )
– sort( )
• Elements of an array can be of any type; you can even have an array containing
other arrays
Declaring a New Instance of the Array Object
• ‘student’ is an instance of the ‘Array’ object
• ‘student’ was declared such that it is of length ‘4’
• That is, student is an array having 4 elements
• The four elements of the array are: ‘student[ 0 ]’, ‘student[ 1 ]’, ‘student[ 2 ]’, and
‘student[ 3 ]’
Identifier
Square bracket
Index
Can you see the
advantage of
using arrays
along with the
‘for’ loop?

Introduction to Computing –CS101 VU
© Copyright Virtual University of Pakistan
179
student = new Array( 4 )
An Object
‘Instances’ of an Object
This is the identifier
of the new instance The ‘new’ operator creates
an instance Pair of paren-
theses
This is the parent object (or
class) of the new instance Length of the new
instance of ‘Array’
The ‘assignment’ operator

Introduction to Computing –CS101 VU
© Copyright Virtual University of Pakistan
180
All
instances
of an object are objects themselves!
‘Property’ Values of the Instances May Differ
student = new Array( 4 )
26.2 Array Identifiers
The naming rules for Array identifiers are the same as were discussed for variable
identifiers
Assigning Values to Array Elements
a[ 1 ] = 5 ; //the second element
name[ 5 ] = “bhola” ;
number = 5 ;
name[ number ] = name[ 5 ] ;
for ( x = 0 ; x < 10 ; x = x + 1 ) {
y[ x ] = x * x ;
}
Remember: just like C, C++ and Java, the first element of an array has an index number
equal to zero
JavaScript Arrays are Heterogeneous
Unlike many other popular languages, a JavaScript Array can hold elements of multiple
data types, simultaneously
a = new Array( 9 ) ;
b = new Array( 13 ) ;
b[ 0 ] = 23.7 ;
b[ 1 ] = “Bhola Continental Hotel” ;

Introduction to Computing –CS101 VU
© Copyright Virtual University of Pakistan
181
b[ 2 ] = a ;
26.3 The ‘length’ Property of Arrays
d = new Array ( 5 ) ;
document.write( d.length ) ;
The ‘length’ Property of Arrays
x = new Array ( 10 ) ;
for ( x = 0 ; x < 10 ; x = x + 1 ) {
y[ x ] = x * x ;
}
x = new Array ( 10 ) ;
for ( x = 0 ; x < x.length ; x = x + 1 ) {
y[ x ] = x * x ;
}
26.4 Array Methods: sort( )
26.5 Sorts the elements in alphabetical order
x = new Array ( 4 ) ;
x[ 0 ] = “Waseem” ;
x[ 1 ] = “Waqar” ;
x[ 2 ] = “Saqlain” ;
x[ 3 ] = “Shoaib” ;
x.sort( ) ;
for ( k = 0 ; k < x.length; k = k + 1 ) { document.write( x[ k ] + “<BR>” ) ;
}
Were the elements sorted in ascending or descending order?
What if you wanted to arrange them in the reverse order?
26.6 Array Methods: reverse( )
26.7 Reverses the order of the elements
x = new Array ( 4 ) ;
x[ 0 ] = “Waseem” ;
x[ 1 ] = “Waqar” ;
x[ 2 ] = “Saqlain” ;
x[ 3 ] = “Shoaib” ;
x.reverse( ) ;
x.sort( ) ;
for ( k = 0 ; k < x.length; k = k + 1 ) { document.write( x[ k ] + “<BR>”) ;
}
Array Methods: reverse( )
Reverses the order of the elements
x = new Array ( 4 ) ;
x[ 0 ] = “Waseem” ;
x[ 1 ] = “Waqar” ;
x[ 2 ] = “Saqlain” ;
x[ 3 ] = “Shoaib” ;
x.sort( ) ;
x.reverse( ) ;
for ( k = 0 ; k < x.length; k = k + 1 ) { document.write( x[ k ] + “<BR>”) ;
}
Let’s Now Do a More Substantial Example
‘d’ is an instance of the
‘Array’ object
‘length’ is a property of
the object ‘d’
What is advantage of
using ‘x.length’ here
instead of using the
literal ‘10’?
Saqlain
Shoaib
Waqar
Waseem
Saqlain
Shoaib
Waqar
Waseem
Is this the
required
result?
Waseem
Waqar
Shoaib
Saqlain

Introduction to Computing –CS101 VU
© Copyright Virtual University of Pakistan
182
Develop a Web page that prompts the user for 10 words, and then displays them in form
of a list in two different ways:
1.In the order in which the words were entered
2.In a sorted order
We will try to show you the complete code - the JavaScript part as well as the HTML
part - for this example
26.7 Pseudo Code
1.Declare the array that will be used for storing the words
2.Prompt the user and read the user input into the elements of the array

Introduction to Computing –CS101 VU
© Copyright Virtual University of Pakistan
183
3.Now write the array to the document
4.Sort the array
5.Write the sorted array to the document
<HTML>
<HEAD>
<TITLE>Sort Ten Words</TITLE>
<SCRIPT>
words = new Array ( 10 ) ;
for ( k = 0 ; k < words.length ; k = k + 1 ) {
words[ k ] = window.prompt( "Enter word # " + k, "" ) ;
}
document.write( "UNSORTED WORDS:" + "<BR>" ) ;
for ( k = 0 ; k < words.length ; k = k + 1 ) {
document.write( words[ k ] + "<BR>" ) ;
}
words.sort( ) ;
document.write( "SORTED WORDS:" + "<BR>" ) ;
for ( k = 0 ; k < words.length ; k = k + 1 ) {
document.write( words[ k ] + "<BR>" ) ;
}
</SCRIPT>
</HEAD>
<BODY>
</BODY>
</HTML>
<HTML>
<HEAD>
<TITLE>Sort Ten Words</TITLE>
<SCRIPT>
//JavaScript Code
</SCRIPT>
</HEAD>
<BODY>
</BODY>
</HTML>
The next three slides show the JavaScript code that goes between the <SCRIPT>,
</SCRIPT> tags
Pseudo Code
•Declare the array that will be used for storing the words
•Prompt the user and read the user input into the elements of the array
•Now write the array to the document
•Sort the array
•Write the sorted array to the document
words = new Array ( 10 ) ;
for ( k = 0 ; k < words.length ; k = k + 1 ) {
words[ k ] = window.prompt(
"Enter word # " + k, "" ) ;
}
This method is used for collecting data from the user. It can display a
message and provides a field in which the user can enter data

Introduction to Computing –CS101 VU
© Copyright Virtual University of Pakistan
184
Pseudo Code
1.Declare the array that will be used for storing the words
2.Prompt the user and read the user input into the elements of the array
3.Now write the array to the document
4.Sort the array
5.Write the sorted array to the document
words.sort( ) ;
document.write( "Sorted Words:" + "<BR>" ) ;
for ( k = 0 ; k < words.length ; k = k + 1 ) { document.write( words[ k ] + "<BR>" ) ;
}
During Today’s Lecture …
•We found out why we need arrays
•We became able to use arrays for solving simple problems
Next (the 10th) Web Dev Lecture:
Functions & Variable Scope
•To become familiar with some of JavaScript’s built-in functions
•To be able to understand the concept of user-defined functions and their use for
solving simple problems
•To become familiar with the concept of local and global variables

Introduction to Computing –CS101 VU
© Copyright Virtual University of Pakistan
185
Lecture 27
Computer Networks
During the last lecture …
(Web Design for Usability)
• We looked at the role of usability in Web design
• We identified some of the factors affecting the usability of a Web page
Designs should be consistent & predictable (unified)
What’s a Good Site?
• The one that achieves the result that it was designed for
• Generally, that result can only be achieved by giving the user what s/he wants, as
quickly as possible, without her/im expending much effort
• One definition of usability: Let the user have what s/he wants, quickly, without
much effort
• “Quickly” is important!
Website Navigation
• It probably is the most important aspect of the design of a Website
Good designs assist the user in recovering from errors
Today’s Goals:
(Computer Networks)
• We will become able to appreciate the role of networks in computing
• We will look at several different types of networks
• We will familiarize ourselves with networking topologies and protocols
Computer Network
Multiple computers that are connected together to share information and other
resources
Examples of Computer Network Usage
• I can send an eMail message to a remote computer using the SMTP protocol
• I can browse documents residing on a remote computer using the HTTP protocol
•I can download or upload files to a remote computer using the FTP protocol
•I can run a program on a remote computer using the TELNET protocol
Components of Conventional Computer Networks
1. Computers
2. Network Interface Cards (NIC)
Computer
C
Computer
D
Computer
E
Computer
A
Computer
B
Hub
Example of a Computer
Network

Introduction to Computing –CS101 VU
© Copyright Virtual University of Pakistan
186
–I/O device that plugs into the computer
–Enables it to communicate over a network
3. Hub
–The network traffic controller
Components of Conventional Computer Networks
4.Cables
–Are either electrical or optical
–Not required at all for wireless networks
5.Protocol
–Rules governing communications over the network
How Does a Conventional Network Work?
1. Suppose computer A wants to send a message to D
2. Computer A sends the message to its NIC
3. The NIC translates the message into electrical pulses suitable for the computer
network in use & transmits it to the hub through the cable
4. The hub receives them and forwards them to all computers connected to the it
5. The NICs of all computers connected to the hub receive the forwarded electrical
pulses
6. The NIC of computer D decides that the message is for it, & translates the pulses
back to a form suitable for the computer
Hub
• A device that is used to connect several computers to form a network
• A hub has several ports. The number generally is 8, 12, 16, 24, 32, or 48
• Each computer in a network is connected to one of those ports through a cable
• A computer wanting to send a message to one of the others in the network sends a
message to the hub, which, in turn, broadcasts the message to all others connected to it
Packet
• The smallest unit of data transmitted over a computer network
• A message to be transferred over the network is broken up into small packets by
the sending computer
• Each packet contains the following info:
–Sender's address
–Destination address
–Data
–Error-recovery info
• All packets travel independently
• When all packets are received by the destination computer, it reassembles them to
form the original message
Types of Computer Networks
according to the network access policy
• Private
• Public
27.1 Private Networks
• Organizations having many computers usually connect them in the form of private
networks
• This allows computers from within the organization to exchange info, but keeps the
info private and protected from outsiders
• All equipment on a private network is generally for the exclusive use of that
organization
27.2 Public Networks
• All networks that are not private, are … public
• Example: Internet
• Access to these networks is restricted to authorized computers only

Introduction to Computing –CS101 VU
© Copyright Virtual University of Pakistan
187
• Communication equipment used in these networks is generally being used by users
belonging to several (possibly thousands of) organizations as well as those belonging to
no organization
27.3 VPN: Virtual Private Network (1)
• From the user’s point-of-view, a VPN looks like a secure, private network
• VPNs use public telecom infrastructure, maintaining privacy through security
procedures
• VPNs provide secure network connections for distance computers without using
dedicated, private channels to supply the connection
• Key benefit of VPNs over conventional PNs: Lower cost
Types of Computer Networks
according to the distance between nodes
LAN: Local Area Network)
WAN: Wide Area Network)
LAN
A network of computers located in the same building or a handful of nearby buildings
Examples:
–Computer network at your PVC
–Computer network of a University campus
WAN
A network in which computers are separated by great distances, typically across cities or
even continents
May consist of several interconnected LANs
Example:
–The network connecting the ATM of a bank located in various cities
–A network connecting the local and oversea offices of a SW house
–Internet
Connecting LANs to other Networks:
Special-purpose devices are used to link LANs to other networks
They may belong to one of the following categories:
–Routers
–Bridges
–Gateways
–Modems
Router
A special-purpose computer that directs data traffic when several paths are available
A router examines the destination info in each arriving packet and then routes it through
the most efficient path available
The router either delivers the packet to the destination computer across a local network
or forwards the packet to another router that is closer to the final destination
Bridge
Used to form a connection between two separate, but similar networks
In a way, it creates an extended LAN by passing information between two or more
LANs
Gateway
A special-purpose computer that connects and translates between networks that use
different communications protocols
LAN’s may use a gateway (or router) to connect to the Internet
Modem
I/O device used for connecting two computers over telephone lines
modem = modulator + demodulator
Modulator converts computer messages to electrical pulses that are suitable for
transmission over the telephone lines
Demodulator converts electrical pulses received over telephone lines into messages that
are comprehensible for computers

Introduction to Computing –CS101 VU
© Copyright Virtual University of Pakistan
188
27.4 Network Topologies
The pattern in which computers are connected to form a network
Popular patterns:
–Point-to-point
–Star
–Bus
–Ring
Networks are also formed by combining 2 or more of these 4 basic patterns
Inexpensive
Limited connectivity
Quite often used for connecting two LANs to form a WAN
Star
A computer sends the address of the intended receiver and the data to the server
The server then sends the message to the intended receiver
This topology allows multiple messages to be sent simultaneously
Costly, because it uses an additional computer to direct the data
Costly, because each node is individually wired to the hub
If the server goes down, so does the network
If any of the nodes goes down, the rest of the network is not affected
Bus
No server is required
One computer sends data to another by broadcasting the address of the receiver and the
data over the bus
All the computers in the network look at the address simultaneously, and the intended
recipient accepts the data
P2P
Computer
A Computer
B
Star
Server
Computer
A
Computer
D
Computer
C
Computer
B

Introduction to Computing –CS101 VU
© Copyright Virtual University of Pakistan
189
A bus network, unlike ring or star networks, allows data to be sent directly from one
computer to another
However, only one computer at a time can transmit data. The others must wait to until
the bus gets idle
If any of the nodes goes down, the rest of the network is not affected
Ring
No server is required
A computer sends the message to its neighbor. The neighbor examines the message to
determine if it is the intended recipient
If the data are not intended for that particular neighbor, it passes the message to the next
computer in the ring
This process is repeated until the data arrive at their intended recipient
This topology allows multiple messages to be carried, simultaneously
Data transmission is slow since each message is checked by each computer
New nodes are difficult to add
Messages propagate in one direction only
The network fails if a single node fails
Ring
Computer
A
Computer
D
Computer
C
Computer
B
Computer
B
Bus
Computer
A
Computer
C
Bus: A high speed
cable
Computer
D

Introduction to Computing –CS101 VU
© Copyright Virtual University of Pakistan
190
27.5 Networking Protocols
Networks use protocols, or rules, to exchange info through shared channels
Protocols prevent collisions of packets caused by simultaneous transmission between
two or more computers
Several protocols are available for various types of networks. Here we discuss two that
are popular for LANs: Ethernet; Token Ring
Ethernet Protocol
A computer using this protocol checks if a shared connection is in use before
transmitting a message
If not, the computer transmits data
Two computers may sense an idle connection and may send packets simultaneously. To
account for such situations, transmitting computers continue to monitor the connection
and re-transmit if a packet collision occurs
Token Ring Protocol
This protocol passes a special message called a token through the network
A computer that receives the token is given permission to send a packet of information
If the computer has no packet to send, it passes the token to the next computer
Computer Networks = Computers + Communications
Types of Communication Channels
1 . Wire
2 . Wireless
A key characteristic of these channels is bandwidth
Bandwidth
Capacity of a communication channel for carrying data
Measured in bits/s (bps), kb/s, Mb/s, Gb/s, Tb/s
Optical fiber channels have the highest (1 Tb/s)
Combination
Computer
B
Computer
A
Computer
C
Hub Computer
E
Computer
D
Computer
F
Hub

Introduction to Computing –CS101 VU
© Copyright Virtual University of Pakistan
191
Telephone lines the lowest (56 kb/s)
27.6 Types of Communication Channels
Wireless (Radio) LANs Are Becoming Popular
27.7 Network Security
Keeping an eye on the security of private networks (e.g. LANs) is relatively easy
However, their connections to other networks (e.g. the Internet) pose a security risk
because the one has no control over users on those networks
Network Security
Applications transferred from the Internet to the LAN may contain computer viruses
External, unauthorized users may gain access to sensitive data
A special type of gateway - a firewall – can keep external users from accessing resources
on the LAN while letting LAN users access the external info
Firewall
A system that that guards a private network, enforcing an access/deny policy to all traffic
going to and coming from the Internet
It keeps an eye on all the packets that go in and out of the private network and blocks
them or allows them to continue to their destination according to the policy
Wire – Copper
• Twisted-
pair
• Coaxial
cable
– Optical fiber
Wireless
– Line-of-sight
• Microwa
ve
• Optical
– Non-line-of-
sight
• Satellite
• Radio
• Cellular
Key benefits:
– Set-up time
– Set-up cost
– Maintenance cost
– Cost
Key challenges:
– Security & privacy
– Quality of service
– Cost
Private
Network
Internet
Firewall

Introduction to Computing –CS101 VU
© Copyright Virtual University of Pakistan
192
Firewall Policy: Example
One can configure a firewall to allow only eMail to enter the private network, thus
shielding it from any malicious attacks except for those via eMail
In Today’s Lecture:
We looked at the role of networks in computing
We looked at several different types of networks
We familiarized ourselves with networking topologies and protocols
Next Lecture:
Introduction to the Internet
To become able to appreciate the role of the Internet in today’s computing
To become familiar with the history and evolution of the Internet

Introduction to Computing –CS101 VU
© Copyright Virtual University of Pakistan
193
Lecture 28
Introduction to the Internet
During the Last Lecture
(Computer Networks)
We looked at the role of networks in computing
We looked at several different types of networks
We familiarized ourselves with networking topologies and protocols
Computer Network
Multiple computers that are connected together to share information and other
resources
Types of Computer Networks according to the network access policy
Private
Public
Types of Computer Networks
according to the distance between nodes
LAN: Local Area Network
WAN: Wide Area Network
Network Topologies
The pattern in which computers are connected to form a network
Popular patterns:
–Point-to-point
–Star
–Bus
–Ring
Networks are also formed by combining 2 or more of these 4 basic patterns
Networking Protocols
Networks use protocols, or rules, to exchange information through shared channels.
These protocols prevent collisions of data caused by simultaneous transmission between
two or more computers. Several protocols are available for various types of networks.
Here we discuss two that are popular for LANs: Ethernet; Token Ring
Types of Communication Channels
Wire
Wireless
Wireless (Radio) LANs Are Becoming Popular
Today’s Goal:
Introduction to the Internet
To become able to appreciate the role of the Internet in today’s computing
To become familiar with the history and evolution of the Internet
an accident!
•This car was involved in that accident
It belongs to …
Key benefits:
– Set-up time
– Set-up cost
– Maintenance cost
– Cost
Key challenges:
– Security & privacy
– Quality of service
– Cost

Introduction to Computing –CS101 VU
© Copyright Virtual University of Pakistan
194
Mr. Tom Peters of Palo Alto, California
After the accident, Mr. Peters …
filled out a form, giving info about:
Himself
–The circumstances of the accident
–Estimated repair expenses
& then …
1/ 7
• Mr. Peters’s fax machine
2/ 7 ACME Insurance Group’s server in New York
3/ 7
Bhola eServices (Pvt) Ltd’s server at Davis Rd, Lahore
4/ 7
Claims processing in Lahore
5/ 7
Bhola eServices (Pvt) Ltd’s server at Davis Rd, Lahore
6/ 7
ACME Insurance Group’s server in New York
7/ 7
Mr. Peters’s home PC

Introduction to Computing –CS101 VU
© Copyright Virtual University of Pakistan
195
Key Question!
Why process the insurance claim in Pakistan?
Answer: Everybody Wins!
Tom Peters
ACME Insurance
Bhola eServices
Answer: Everybody Wins!
Tom Peters
ACME Insurance
Bhola eServices
Answer: Everybody Wins!
Tom Peters
ACME Insurance
Bhola eServices
Answer: Everybody Wins!
Tom Peters
ACME Insurance
Bhola eServices
The Key Point …
Bhola eServices (Pvt) Ltd is …
Lower premium
&
Quicker turnaround
Better margins
due to 50% saving
on claim processing
costs
Internal rate of
return (IRR) of 60-
80%

Introduction to Computing –CS101 VU
© Copyright Virtual University of Pakistan
196
… supplying a service
… using local, attractively-priced workers
… to a remote, overseas client
… over the Internet … & making good money in the process!
Internet
Enables users located at far-way locations to easily share information with others located
all over the world
Enables users to easily and inexpensively communicate with others located all over the
world
Enables the users to operate and run programs on computers located all over the world
The Internet is unlike any previous human invention. It is a world-wide resource,
accessible to all of the humankind.
Internet Users Worldwide
673M in 2002
1B+ in 2005
(48% wireless)
1.2M Internet users in Pakistan in 5/2000
(1% of population)
In early 2002,
54% of Australian population
51% of Singaporean population
39% of Japanese population
3% of Chinese population
Key Characteristics
Geographic Distribution
Global - reaches around the world
Robust Architecture
Adapts to damage and error
Speed
Data can travels at near ‘c’ on copper, fiber, airwaves
Key Characteristics
Universal Access
Same functionality to everyone
Growth Rate
The fastest growing technology ever
Freedom of Speech
Promotes freedom of speech
The Digital Advantage
Is digital: can correct errors
28.1 Internet: Network of Networks
A large number of networks, interconnected physically
Capable of communicating and sharing data with each other
From the user’s point view, Internet – a collection of interconnected networks – looks
like a single, unified network
28.2 Internet Networking Protocols
Communications on the Internet is controlled by a set of two protocols: TCP and IP
TCP/IP Transmission Control Protocol/Internet Protocol
Networking protocol used by all computers and networks on the Internet
Originally developed by the US DoD for Unix, but now available for most other OSes
TCP breaks down the message to be sent over the Internet into packets
IP routes these packets through the Internet to get them to their destination
When the packets reach the destination computer, TCP reassembles them into the
original message
Tools & Services Available on the Internet
Electronic mail (POP, IMAP, SMTP)

Introduction to Computing –CS101 VU
© Copyright Virtual University of Pakistan
197
Instant messaging (ICQ, MSN)
Remote login (telnet)
File transfer (ftp)
Network news (nntp)
WWW (http)
1960's
1969 - DoD-ARPA creates an experimental network – ARPANET – as a test-bed for
emerging networking technologies
ARPANET originally connected 4 universities & enabled scientists to share info &
resources across long distances
ARPANET continued to expand throughout the 70's and 80's
1970's
Networking tools developed in the 70's include:
1972 - The National Center for Supercomputing Apps. (NCSA) develops the telnet
application for remote login, making it easier to connect to a remote computer
1973 - FTP (File Transfer Protocol) is introduced, standardizing the transfer of files
between networked computers
1980's
1983 - The TCP/IP protocols becomes the only set of protocols used on the
ARPANET
This sets a standard for all networks, and generates the use of the term Internet as the
net of nets
ARPANET splits into two nets to keep military & non-military network sites separate:
ARPANET and MILNET
1980's
In 1982 and 1983, the first desktop computers begin to appear
Many are equipped with an OS called Berkeley Unix, which includes networking SW,
allowing easy connection to the Internet using telnet
The PC revolution continues through the 80’s, making access to computer resources &
net-worked info increasingly available to public
1985-86: NSF connects the US’s six supercomputing centers together, calling it the the
NSFNET, or NSFNET backbone
To expand access to the Internet, NSF developed regional nets, which were then
connected to the NSFNET backbone
Plus, NSF supported institutions (universities, etc.) in their efforts to connect to the
regional nets
1987 - NSF awards a grant to Merit Network, Inc. to operate & manage future
development of the NSFNET
Merit collaborates with IBM & MCI on R&D for fast networking technologies
1989 - The backbone network is upgraded to T1, making it able to transmit data at
speeds of 1.5 Mb/s (approx. 60 pages of text/second)
1990's1990 - The ARPANET is dissolved
1991 - Gopher is developed at the U of MN
It provides a hierarchical, menu-based method for providing & locating info on the
Internet
1993 - CERN releases WWW, developed by Tim Berners-Lee
It uses HTTP and hypertext, revolutionizing the way info is presented & accessed on
Internet
1993 - The NSFNET is upgraded to T3 (45 Mb/s or about 1800 pages/s)
1993-1994 - Web browsers Mosaic & Netscape Navigator are introduced
Their GUI makes WWW & Internet more appealing to the general public
1995 - NSFNET is replaced by a new architecture, called vBNS which utilizes regional
networks and Network Access Points
W
Wh
ho
o
r
ru
un
ns
s
t
th
he
e
I
In
nt
te
er
rn
ne
et
t?
?
W
Wh
ho
o
o
ow
wn
ns
s
i
it
t?
?

Introduction to Computing –CS101 VU
© Copyright Virtual University of Pakistan
198
Today’s Goal:
Introduction to the Internet
We looked at the role Internet plays in today’s computing
We reviewed some of the history and evolution of the Internet
Next Lecture:
Internet Services
We will try to familiarize ourselves with with some of the Internet services:
–http (surfing, shopping, searching)
–eMail
–ftp
–News groups, message boards, forums
–Instant messaging
–Multimedia delivery

Introduction to Computing –CS101 VU
© Copyright Virtual University of Pakistan
199
Lecture 29
Functions & Variable Scope
(Web Development Lecture 10)
During the last lecture we had a discussion on Arrays
We found out why we need arrays
We became able to use arrays in conjunction with the ‘for’ loop for solving simple
problems
Array
An indexed list of elements
A variable is a container that holds a value
Similarly, an Array can be considered a container as well, but this one is more interesting
as it can hold multiple values
Fruit [ 0 ]
Arrays in JavaScript
In JavaScript, arrays are implemented in the form of the ‘Array’ object
The key property of the ‘Array’ object is ‘length’, i.e the number of elements in an array
Two of the key ‘Array’ methods are:
–reverse( )
–sort( )
lements of an array can be of any type; you can even have an array containing other
arrays
Today’s Goal:
Functions & Variable Scope
To be able to understand the concept of functions and their use for solving simple
problems
To become familiar with some of JavaScript’s built-in functions
To become familiar with the concept of local and global variables
29.1 Function
A group of statements that is put together (or defined) once and then can be used (by
reference) repeatedly on a Web page
Also known as subprogram, procedure, subroutine
words = new Array ( 10 ) ;
for ( k = 0 ; k < words.length ; k = k + 1 ) {
words[ k ] = window.prompt( "Enter word # " + k, "" ) ;
}
document.write( "UNSORTED WORDS:" + "<BR>" ) ;
for ( k = 0 ; k < words.length ; k = k + 1 ) {
document.write( words[ k ] + "<BR>" ) ;
}
words.sort( ) ;
document.write( "SORTED WORDS:" + "<BR>" ) ;
for ( k = 0 ; k < words.length ; k = k + 1 ) {
document.write( words[ k ] + "<BR>" ) ;
}
words = new Array ( 10 ) ;
Identifier
Square bracket
Index
From the last lecture …

Introduction to Computing –CS101 VU
© Copyright Virtual University of Pakistan
200
for ( k = 0 ; k < words.length ; k = k + 1 ) {
words[ k ] = window.prompt( "Enter word # " + k, "" ) ;
}
document.write( "UNSORTED WORDS:" + "<BR>" ) ;
for ( k = 0 ; k < words.length ; k = k + 1 ) {
document.write( words[ k ] + "<BR>" ) ;
}
words.sort( ) ;
document.write( "SORTED WORDS:" + "<BR>" ) ;
for ( k = 0 ; k < words.length ; k = k + 1 ) {
document.write( words[ k ] + "<BR>" ) ;
}
function writeList( heading, words ) { ß----------------------------
document.write( heading + "<BR>" ) ;
for ( k = 0 ; k < words.length ; k = k + 1 ) {
document.write( words[ k ] + "<BR>" ) ;
}
}
words = new Array ( 10 ) ;
for ( k = 0 ; k < words.length ; k = k + 1 ) {
words[ k ] = window.prompt( "Enter word # " + k, "" ) ;
}
writeList( “Unsorted Words:”, words ) ; ß----------------------
words.sort( ) ;
writeList( “Sorted List:”, words ) ; < --------------------------------
29.2 Advantages of Functions
Number of lines of code is reduced
Code becomes easier to read & understand
Code becomes easier to maintain as changes need to be made only at a single location
instead multiple locations
function writeList( heading, words ) {
document.write( heading + "<BR>" ) ;
for ( k = 0 ; k < words.length ; k = k + 1 ) {
document.write( words[ k ] + "<BR>" ) ;
}
}
words = new Array ( 10 ) ;
for ( k = 0 ; k < words.length ; k = k + 1 ) {
words[ k ] = window.prompt( "Enter word # " + k, "" ) ;
}
writeList( “Unsorted Words:”, words ) ;
words.sort( ) ;
writeList( “Sorted List:”, words ) ;
Function definition
Let’s us see if we can
redouble the advantage
Function call
Function call

Introduction to Computing –CS101 VU
© Copyright Virtual University of Pakistan
201
function writeList( heading, words ) {
document.write( heading + "<BR>" ) ;
for ( k = 0 ; k < words.length ; k = k + 1 ) {
document.write( words[ k ] + "<BR>" ) ;
}
}
29.3 Function Identifiers
The naming rules for function identifiers are the same as were discussed for variable and
array identifiers
29.4 Arguments of a Function
A comma-separated list of data
Arguments define the interface between the function and the rest of the Web page
Arguments values are passed to the function by value (some popular languages pass
arguments ‘by reference’ as well)
To ensure that a function is defined before it is called up, define all functions in the
HEAD portion of Web pages
Keyword
Function
identifie
r
Pair of parenthesis
Function ‘arguments’ separated by
commas
Function definition
enclosed in a pair
of curly braces
function popUp( message ) {
window.alert( message ) ;
}
popUp( “Warning!” ) ;
function add( a, b ) {
c = a + b ;
return c ;
}
sum = add( 2, 4 ) ;
document.write( sum ) ;
function popUp( message ) {
window.alert( message ) ;
}
popUp( “Warning!” ) ;
A function call appearing as
part of a statement.
Definitions of such functions
include a ‘return’ statement
A function call appearing
as a complete statement

Introduction to Computing –CS101 VU
© Copyright Virtual University of Pakistan
202
What Would this Statement Do?
factorial( factorial ( 3 ) ) ;
This is termed as the
recursive
use of a function
Methods
Methods are functions
They are unusual in the sense that they are stored as properties of objects
Object: A named collection of properties (data, state) & methods (instructions, behavior)
function add( a, b ) {
c = a + b ;
return c ;
}
sum = add( 2, 4 ) ;
document.write( sum ) ;
function add( a, b ) {
c = a + b ;
return c ;
}
document.write( add( 2, 4 ) ) ;
What would this
modifica-tion do?
•function factorial( n ) {
• product = 1 ;
• for ( k = 1 ; k <= n ; k = k + 1 ) {
• product = product * k
• }
• return product ;
•}
•n = window.prompt( "Enter a number ", "" ) ;
•document.write(n, "! = ", factorial( n ) ) ;
5! = 120
0! = ?
Another Example

Introduction to Computing –CS101 VU
© Copyright Virtual University of Pakistan
203
29.5 Event Handlers
Special-purpose functions that come predefined with JavaScript
They are unusual in the sense that they are many times called in the HTML part of a Web
page and not the <SCRIPT> … </SCRIPT> part
More on event handlers in a future lecture
Predefined, Top-Level or Built-In Functions
Event handlers are not the only functions that come predefined with JavaScript. There
are many others.
Practically, there is no difference between predefined functions and those that are
defined by the programmer (termed as user-defined or custom functions)
There are many of them, but here we discuss only two: parseInt( ), parseFloat( )
parseInt( )
Syntax: parseInt ( string )
string1 = “3.14159” ;
document.write( parseInt( string1 ) ) ;
document.write( “<BR>” ) ;
string2 = “$100.00” ;
document.write( parseInt( string2 ) ) ;
document.write( “<BR>” ) ;
prop
1
prop
2
prop
5
nam
e
prop
3
prop
4
A collection of
properties & methods
All objects have the “name”
property: it holds the name of
the object (collection)
method 3
method 1
method 2
The dictionary meaning of ‘Parse’: To
breakdown into simpler components and
analyze

Introduction to Computing –CS101 VU
© Copyright Virtual University of Pakistan
204
string3 = “ 23 ” ;
document.write( parseInt( string3 ) ) ;
1. Parses the string argument; returns an integer
2. If it encounters a non-numeral - anything other than (+,-) or (0-9) - it ignores it and
all succeeding characters, and returns the integer value parsed up to that point
3. If the first character cannot be converted to a number, parseInt returns NaN
4. parseInt truncates numbers to integer values
5. Leading and trailing spaces are ignored
parseFloat( )
Syntax: parseFloat ( string )
string1 = “3.14159” ;
document.write( parseFloat( string1 ) ) ;
document.write( “<BR>” ) ;
string2 = “$100.00” ;
document.write( parseFloat( string2 ) ) ;
document.write( “<BR>” ) ;
string3 = “ 23E-15 ” ;
document.write( parseFloat( string3 ) ) ;
1. Parses the string argument; returns a FP number
2. If it encounters a character other than
A sign (+,-)
A numeral (0-9)
A decimal point
An exponent
it returns the value up to that point, ignoring that and all succeeding characters
3. If the first character cannot be converted to a number, parseFloat returns NaN
4. Leading and trailing spaces are ignored
29.6 Scope of Variable
Defining the space in which a variable is effective is known as
defining the scope of a variable. A variable can be either local or global in scope.
Local and Global Variables
Local or Function-level Variable
Effective only in the function in which they are declared
Global Variables
Visible everywhere on the Web page
function factorial( n ) {
product = 1 ;
for ( k = 1 ; k <= n ; k = k + 1 ) {
product = product * k
}
return product ;
}
n = window.prompt( "Enter a number ", "" ) ;
document.write( “k = ”, k ) ;
document.write( “<BR>” ) ;
document.write(n, "! = ", factorial( n ) ) ;
3
NaN
23
Example

Introduction to Computing –CS101 VU
© Copyright Virtual University of Pakistan
205
function factorial( n ) {
product = 1 ;
for ( k = 1 ; k <= n ; k = k + 1 ) {
product = product * k
}
return product ;
}
n = window.prompt( "Enter a number ", "" ) ;
document.write( “k = ”, k ) ;
document.write( “<BR>” ) ;
document.write(n, "! = ", factorial( n ) ) ;
What would this
statement write?

Introduction to Computing –CS101 VU
© Copyright Virtual University of Pakistan
206
function factorial( n ) {
product = 1 ;
for ( k = 1 ; k <= n ; k = k + 1 ) {
product = product * k
}
return product ;
}
n = window.prompt( "Enter a number ", "" ) ;
document.write(n, "! = ", factorial( n ) ) ;
document.write( “<BR>” ) ;
document.write( “k = ”, k ) ;
function factorial( n ) {
var k ;
product = 1 ;
for ( k = 1 ; k <= n ; k = k + 1 ) {
product = product * k
}
return product ;
}
n = window.prompt( "Enter a number ", "" ) ;
document.write(n, "! = ", factorial( n ) ) ;
document.write( “<BR>” ) ;
document.write( “k = ”, k ) ;
10! = 3628800
k = 11

Introduction to Computing –CS101 VU
© Copyright Virtual University of Pakistan
207
‘k’ is a Local Variable
‘k’ is not declared or used in the main code
Instead, it is declared within the function ‘factorial’ only
function factorial( n ) {
var k, product ;
product = 1 ;
for ( k = 1 ; k <= n ; k = k + 1 ) {
product = product * k
}
return product ;
}
n = window.prompt( "Enter a number ", "" ) ;
document.write(n, "! = ", factorial( n ) ) ;
document.write( “<BR>” ) ;
document.write( product ) ;
Local Variables
Declaring variables (using the var keyword) within a function, makes them local•They are
available only within the function and hold no meaning outside of it
Global Variables
All other variables used in a Web page (or window) are global
They can be manipulated from the main code as well as from any of the functions
They include:
–All variables declared in the main code
–All variables used but not declared in the main code
–All variables used but not declared in any of the functions defined on the Web page (or
window)
function writeList( heading, words ) {
document.write( heading + "<BR>" ) ;
for ( k = 0 ; k < words.length ; k = k + 1 ) {
document.write( words[ k ] + "<BR>" ) ;
}
}
words = new Array ( 10 ) ;
for ( k = 0 ; k < words.length ; k = k + 1 ) {
words[ k ] = window.prompt( "Enter word # " + k, "" ) ;
}
writeList( “Unsorted Words:”, words ) ;
words.sort( ) ;
writeList( “Sorted List:”, words ) ;
words.reverse( ) ;
writeList( “Reverse-Sorted List:”, words ) ;
Local –vs- Global
Global variables can make the logic of a Web page difficult to understand
Global variables also make the reuse and maintenance of your code much more difficult
Here ‘product’ has been made a local
variable as well
What would this statement
write?
Would the functionality
change if we delete the
argument ‘words’ from these
4 places?
‘k’ is local to the ‘factorial’ function, and does not hold any meaning outside that function

Introduction to Computing –CS101 VU
© Copyright Virtual University of Pakistan
208
During Today’s Lecture …
We looked at functions and their use for solving simple problems
We became familiar with a couple of JavaScript’s built-in functions
We became familiar with the concept of local and global variables
Next Web Dev Lecture:
Event Handling
We’ll learn to appreciate the concept of event driven programming
We will produce solutions for simple problems using various event handlers
var u ;
document.write( m ) ;
var c, d ;
x = y * y ;
r = s ;
var a, b ;
p = q + 2 ;
y
r
d
q
x
s
c
p
b
m
a
u
Local
Glob
V
ariables declared within functions are local; all others global
HEURISTIC:
If it’s possible to define a variable as local, do it!

Introduction to Computing –CS101 VU
© Copyright Virtual University of Pakistan
209
Lecture 30
Internet Services
During the last lecture …
(Introduction to the Internet)
We looked at the role Internet plays in today’s computing
We reviewed some of the history and evolution of the Internet
Internet: The Enabler
Enables attractively-priced workers located in Pakistan to provide services to overseas
clients
Enables users to easily share information with others located all over the world
Enables users to easily, inexpensively communicate with others remote users
Enables the users to operate and run programs on computers located all over the world
The Internet is unlike any previous human invention. It is a world-wide resource,
accessible to all of the humankind.
Key Characteristics
Geographic Distribution Global - reaches around the world
Robust Architecture Adapts to damage and error
Speed Data can travels at near ‘c’ on copper, fiber, airwaves
Universal Access
Same functionality to everyone
Growth Rate
The fastest growing technology ever
Freedom of Speech
Promotes freedom of speech
The Digital Advantage
Is digital: can correct errors
Internet: Network of Networks
A large number of networks, interconnected physically
Capable of communicating and sharing data with each other
From the user’s point view, Internet – a collection of interconnected networks – looks
like a single, unified network
TCP/IP Transmission Control Protocol/Internet Protocol
TCP breaks down the message to be sent over the Internet into packets
IP routes these packets through the Internet to get them to their destination
When the packets reach the destination computer, TCP reassembles them into the
original message
1960's
1969 - DoD-ARPA creates an experimental network – ARPANET – as a test-bed for
emerging networking technologies
ARPANET originally connected 4 universities & enabled scientists to share info &
resources across long distances
1980's
1983 - The TCP/IP protocols becomes the only set of protocols used on the
ARPANET
This sets a standard for all networks, and generates the use of the term Internet as the
net of nets
1990's1993 - CERN releases WWW, developed by Tim Berners-Lee
It uses HTTP and hypertext, revolutionizing the way info is presented & accessed on
Internet
1990's1993-1994 - Web browsers Mosaic & Netscape Navigator are introduced
Their GUI makes WWW & Internet more appealing to the general public
Today’s Goal: Internet Services
To look at several services provided by the Internet
–FTP

Introduction to Computing –CS101 VU
© Copyright Virtual University of Pakistan
210
–Telnet
–Web
–eMail
–Instant messaging
–VoIP
• But first, we need to find out about the addressing scheme used on the Internet
30.1 Internet Addressing
Regular post cannot be delivered unless we write a destination address on the envelope
Same is true for the Internet
Regular post can be delivered at the intended address even if the given address is not
precise. That is not the case for Internet addressing
www.vu.edu.pk
203.215.177.33
IP Address
A unique identifier for a computer on a TCP/IP network
Format: four 8-bit numbers separated by periods. Each 8-bit number can be 0 to 255
Example:
–203.215.177.33 (IP address of the VU Web server)
Networks using TCP/IP route messages based on the IP address of the destination
Any IP addresses (as long as they are unique) can be assigned within a PN
However, connecting a PN to the Internet requires using unique, registered IP addresses
Domain Names
IP addresses are fine for computers, but difficult to recognize and remember for humans
A domain name is a meaningful, easy-to-remember ‘label’ for an IP address
Examples:
www.vu.edu.pk
216.239.33.101 www.google.com
30.2 DNS: Domain Name System
DNS is the way that Internet domain names are located & translated into IP addresses
Maintaining a single, central table of domain name/IP address relationships is
impractical
–Billions of DNS-IP translations take place every day
–The DNS-IP tables get updated continuously
Tables of DNs & IP addresses are distributed throughout the Internet on numerous
servers
There is a DNS server at most ISPs. It converts the domain names in our Internet
requests to actual IP addresses
In case it does not have a particular domain name in its table, it makes a request to
another DNS server on the Internet
30.3 Internet Services
There are many, but we will look at only the following:
FTP
Telnet
Web
eMail
Instant messaging
VoIP
FTP: File Transfer Protocol
Used to transfer files between computers on a TCP/IP network (e.g Internet)
Simple commands allow the user to:
DNS address IP address

Introduction to Computing –CS101 VU
© Copyright Virtual University of Pakistan
211
List, change, create folders on a remote computer
Upload and download files
Typical use: Transferring Web content from the developer’s PC to the Web server
Telnet Protocol
Using Telnet, a user can remotely log on to a computer (connected to the user’s through
a TCP/IP network, e.g. Internet) & have control over it like a local user, including
control over running various programs
In contrast, FTP allows file operations only
Typical use: Configuring and testing of a remote Web server
The Web
The greatest, shared resource of information created by humankind
A user may access any item on the Web through a URL, e.g.
http://www.vu.edu.pk/cs/index.html
Before, going any further, let us dissect this URL
How does the web works
User launches the browser on his/her computer
User types in the URL into the browser
The browser breaks down the URL into 3 parts :
Protocol Identifier
Server Address
Directory & File Name
Browser sends server’s name to the DNS server
http :// www.vu.edu.pk /cs/index.html
Protocol
Identifier
Server
Address
Directory &
File Name
User’s
Computer
Browser

Introduction to Computing –CS101 VU
© Copyright Virtual University of Pakistan
212
Domain Name
Browser establishes a connection with the server
Browser sends a ‘GET’ request for cs/index.html
Server sends the requested file to the browser
User’s
Compute
r
Web
Serve
r
Internet
User’s
Compute
r
Web
Server
Interne
t
User’s
Computer
User’s
Computer User’s
Computer
Web
Server

Introduction to Computing –CS101 VU
© Copyright Virtual University of Pakistan
213
Browser displays index.html
email
Computer-to-computer messaging
Inexpensive, and quite quick, but not instant!
The most popular service on the Internet, even more than surfing, but soon to be
overtaken by instant messaging
Billions are sent every day
30.3 How does an eMail system work?
But first, the components:
eMail client
SMTP server
POP3 server
eMail Clients
Programs used for writing, sending, receiving, and displaying eMail messages
Examples: Outlook, Communicator, Hotmail, YahooMail
SMTP: Simple Mail Transfer Protocol
A protocol used to send and receive eMail messages over a TCP/IP network
POP3: Post Office Protocol
A protocol used for receiving eMail messages
A POP3 server maintains text files (one file per user account) containing all messages
received by a user
eMail client interacts with the POP3 server for discovering and downloading new eMail
messages
The message is prepared using the eMail client
The eMail client sends it to the SMTP server
If the receiver is local, it goes to the POP3 server
Sender’s
Computer eMail Client
Sender’s
Computer SMTP
Server
Sender’s
Com
p
ute
r
SMTP
POP3
Server

Introduction to Computing –CS101 VU
© Copyright Virtual University of Pakistan
214
The receiver picks it at his/her convenience
Otherwise, it is sent to receiver's SMTP server
Which forwards it to the local POP3 server
Receiver's
Computer
Sender’s
Computer
POP3
Server
SMTP
Server
SMTP
Server
SMTP
Server
Sender’s
Computer
Internet
Sender’s
Computer SMTP
Server
POP3
Server SMTP
Server

Introduction to Computing –CS101 VU
© Copyright Virtual University of Pakistan
215
The receiver picks it at his/her convenience
The Trouble with email
Slow response times
No way of knowing if the person we are sending eMail to is there to read it
The process of having a conversation through eMail by exchanging several short
messages is too cumbersome
Instant messaging (IM) solves these problems
Instant Messaging
• The IM services available on the Internet (e.g. ICQ, AIM, MSN Messenger,
Yahoo! Messenger) allow us to maintain a list of people (contacts) that we interact
with regularly
• We can send an instant messages to any of the contacts in our list as long as that
contact is online
30.4 Using Instant Messaging
Whenever a contact in our list comes online, the IM client informs us through an alert
message and by playing a sound
To send an instant message to a contact, just click on the contact in the IM client, and
start typing the message
The selected contact will receive that message almost immediately after you press ‘Enter’
When the contact’s IM client receives the message, it alerts the contact with a blinking
message and by playing a sound
That contact then can type a response to the received message, and send it instantly
Several such conversations can be carried out simultaneously, each occupying a separate
IM windows
Sender’s
Computer SMTP
Serve
r
POP3
Serve
r
SMTP
Serve
r
Receiver'
s
Computer

Introduction to Computing –CS101 VU
© Copyright Virtual University of Pakistan
216
How instant messaging works?
User launches the IM client
IM client finds the IM server & logs in
It sends communication info (IP address, etc) to the IM server
IM server finds user’s contacts & sends him/her the communication info
for the ones online
My Computer
IM Client
Internet
My Computer
IM
Server
My
Computer IM
Server
Temporary File
My
Computer
IM Server

Introduction to Computing –CS101 VU
© Copyright Virtual University of Pakistan
217
My Computer
IM server also tells the contacts that the user is online; sends his/her
communication info to them
Now the user’s & the contact’s IM clients are ready to communicate
directly (P2P)
My Computer
IM Server
Contact’s
Computer
IM Server
Contact’s
Computer
The IM server doesn’t play any
part in this P2P communication

Introduction to Computing –CS101 VU
© Copyright Virtual University of Pakistan
218
As new contact’s come online, IM server informs them about the user
being online & vice versa
Multiple, simultaneous conversations are possible
My
Computer
IM Server
Contact
A’s Computer
Contact
B’s
Computer
My Computer
IM
Server
Contact
A’s Computer
Contact
B’s Computer

Introduction to Computing –CS101 VU
© Copyright Virtual University of Pakistan
219
When the user logs-off, his/her IM client informs the IM server
IM server erases the temporary file and informs the user’s contact’s about his/her
‘offline’ status
Key Point
Once the IM server provides the communication info to the user and his/her contact’s
IM client, the two are able to communicate with each other without the IM server’s
assistance
This server-less connection is termed as a P2P connection
Question
Why do we require the server in the first place?
Why doesn’t my IM client look for the user’s contact’s IM client without the IM server’s
help?
My Computer
IM
Server
Contact
A’s Computer
Contact
B’s Computer
My Computer
IM Server
Contact
A’s Computer
Contact
B’s
Computer

Introduction to Computing –CS101 VU
© Copyright Virtual University of Pakistan
220
Answer
Many users (including almost all home users) do not have permanent IP addresses. They
are assigned temporary IP addresses by their ISP each time they connect to the Internet
The server-based IM scheme removes the need of having permanent IP numbers
It also gives IM users true mobility, allowing them the use of IM from any Internet-
connected computer
30.5 VoIP: Voice over IP
Voice delivered from one device to another using the Internet Protocol
Voice is first converted into a digital form, is broken down into packets, and then
transmitted over a TCP/IP network (e.g. Internet)
Four modes:
C2C
C2T
T2C
T2T (with a TCP/IP net somewhere in between)
Pro
Much cheaper than traditional phone service
Con
Noticeably poor quality of voice as compared with land-line phone service, but not
much worse than cell phone service
Today’s Goal: Internet Services
We looked at several services provided by the Internet
FTP
Telnet
Web
eMail
Instant messaging
VoIP
We also found out about the addressing scheme used on the Internet
Next Lecture:
Next lecture (Lecture 31) - the third one in the four-lecture productivity SW sequence -
will be on developing presentations
However, during lecture 33, we will become familiar with the role that graphics and
animations play in computing

Introduction to Computing –CS101 VU
© Copyright Virtual University of Pakistan
221
Lecture 31
Developing Presentations
Focus of the 22th Lecture was on Spreadsheets:
Second among the four lectures that we plan to have on productivity software
We learnt about what we mean by spreadsheets
We discussed the usage of various functions provided by common spreadsheets
Spreadsheets:
Electronic replacement for ledgers
Used for automating engineering, scientific, but in majority of cases, business
calculations.
A spreadsheet - VisiCalc - was the first popular application on PC’s.
What Can They Do?
Can perform calculations repeatedly, accurately, rapidly.
Can handle a large number of parameters, variables
Make it easy to analyze what-if scenarios for determining changes in forecasts w.r.t.
change in parameters.
Are easy to interface with other productivity SW packages
Easy to store, recall, modify
Make it is easy to produce graphs:
The Structure of A Spreadsheet:
Collection of cells arranged in rows and columns
Each cell can contain one of the following:
Numbers
Text
Formulas
These cells display either the number or text that was entered in them or the value that is
found by executing the formula.
Connecting Two Cells:
Today’s Lecture:
Developing Presentation:
Third among the four lectures that we plan to have on productivity software
We will discuss several design guidelines for making effective multimedia presentations
We will become able to develop simple presentation with the help of presentation
making software
31.1 Presentations:
I used to use transparencies in conjunction with overhead projectors for making
presentations
Some time back, I used to write on transparencies with felt-tip markers
Then I moved on to developing presentations on a PC, and printing the final version on
transparencies with a laser printer
Some of my contemporaries used color inkjet printers instead of the laser printer
Another option was to develop them on a computer and then transfer to 35mm slides
using a camera, and display it using a slide projector
Let’s call this
cell A1
And this one, A2
=A1 + 4

Introduction to Computing –CS101 VU
© Copyright Virtual University of Pakistan
222
Problems With All Those Modes:
It was difficult and often costly to make changes, especially last minute changes
No sound, no animation, no video
Electronic transmission, in some cases, was not easy
It was difficult keeping track of old ones and making sure of their proper storage
Solution: Multimedia Presentations :
Great tool for effectively communicating ideas to an audience
All electronic
Easy to make last minute changes
The undo feature encourages experimentation
More attractive; commanded more interest
May include animations, sound, video
Easy to catalog, store, and recall
Great tool for making presenter-free interactive material (e.g. self-learning tutorials)
The Presentation Scenario:
The Goal of the Presenter:
Maximize the (sum of the 2 types of) info that needs to be transferred to the audience.
Recommended Approach
Put together a presentation that is:
Simple,clear ,consistent, design guidelines for simplicity, clarity, consistency
Layout Guidelines:
Keep layouts simple
Vary the look of successive slides. Mix up graphics with bulleted lists with animations
Avoid cluttering the slides with too much text or graphics. Your audience should hear
what you have to say and not be distracted by a busy layout
Put a title on each slide. As soon as the audience see the slide, the title should make it
clear as to the point of that slide
Slide Background:
Keep the backgrounds simple. You want a background that shows off your info, not one
that makes it illegible
Avoid bright background colors. Light colored text against a dark background works
best
Keep colors, patterns, and text styles consistent (not necessarily the same) for all slides in
a presentation
Color Usage Guidelines:
Choose them with care; at times, the wrong choice may convey an unintended message
Select background colors that are easy on the eye for several minutes of viewing, e.g.
don’t go for a bright yellow or red or other warm colors for background
Instead, use cool colors like blues and greens as backgrounds
Writing Text:
Limit text to a few phrases on a screen. A good rule of thumb is 5±2 lines on a slide
Write short phrases - not sentences - in the form of bulleted points: if you display
sentences on your slides, you have nothing to add!
Presenter
Presentation
screen
Audienc
e
Info
Info
Use color sparingly to highlight a point, but don't get carried away

Introduction to Computing –CS101 VU
© Copyright Virtual University of Pakistan
223
Have every bullet on a slide begin with a verb, or alternatively, have each begin with a
noun
Text Usage Guidelines:
Normal text is easier to read than ALL CAPS
Avoid ornate typefaces
Use a clean & readable typeface, e.g. sans serif ones (Arial, Verdana, Helvetica)
Use at least a 24-point size, with the normal text size being 28-32
Be consistent in type size throughout the presentation
Keep text simple and easy to read by not using many different text styles (bold, italics,
underline) different typefaces, different font sizes, varying font colors within a sentence
A Word of Caution on Guidelines:
These guidelines are not ‘Laws of Nature’
For example, if I keep on repeating the same type face and font size and background
throughout a long presentation, I’ll put the audience to sleep
At times, I use a warm background color or a very large (or small!) font size on a slide or
two just to wake the audience up, or to make an important point
Graphics & Images:
Use simple graphics or images in place of text
Example:
Components of an OS diagram (lecture 11)
It not only listed the components in the form of colored discs, but also gave info visually
about their interactions (through overlaps) and relative importance (through the size of
each disc)
Animations & Transitions:
Use simple slide transitions. Too many different transitions are distractive
Animation is especially suitable for displaying:
Steps of a process: Waterfall model
Flow of info in a system: How does IM works?

Introduction to Computing –CS101 VU
© Copyright Virtual University of Pakistan
224
Graphics and Images examples:
31.2 The Structure of A Presentation:
Title slide
Overview slide
Main body
Slide 1
Slide 2
Slide 3
…
…
Summary slide
Divide long presentations into sections, and have separate title, overview, summary,
body slides for each section
31.3 Presentation Development SW:
One can use a word processor to develop presentations of reasonable quality
However, using a SW package especially designed for developing presentation can:
Speed-up the task
Make available features not available in standard word processors
Presentation development SW lets users:
Choose from a variety of ready-made presentation designs
Create original designs as well as change colors, background, fonts in ready-made designs
Add, delete, move slides within a presentation
Insert graphics & images, or create their own
Presentation development SW lets users:
34
Sales Forecast
0
10
20
30
40
50
Million US$
12345
Year of Operation
40
A
ll
currency
fi
gures are
i
n t
h
ousan
d
s o
f
U
S
Do
ll
ars
Billing Schedule
Lahore 20x42x0.5 420 30x96 2,880 40x169 6,760 50x317 15,850 60x490 29,400
Dubai 60x15x0.5 450 70x35 2,450 80x45 3,600 90x50 4,500
Islamabad 40x25x0.5 700 50x60 3,000 60x100 6,000
Karachi 50x45x0.5 1,125 60x100 6,000
Total
Costs for the Development Workforce
Lahore 15x42x0.8 504 17x96 1,632 20x169 3,380 24x315 7,608 28x490 13,720
Dubai 48x15x0.8 576 57x35 1,995 66x45 2,970 78x50 3,900
Islamabad 20x35x0.8 560 24x60 1,440 28x100 2,800
Karachi 24x45x0.8 864 28x100 2,800
Total
Costs for the Sales and Support Workforce
Singapore 120x2 240 110x3 390 110x4 440 110x5 550 125x5 625
Wash., DC 200x3 600 180x10 1,800 180x20 3,600 180x30 5,400 190x40 7,600
Chicago 210x2 420 200x3 630 200x4 800 200x5 1,000
Total
Costs for the Corporate Office
Corporate 40x3 120 42x4 168 44x6 264 46x8 368 48x10 480
Total
Profit
P/S
NPV Discount Rate
NPV @ that Discount Rate
IRR
17%
5,125
68%
28%
420 3,330
12,882 23,220
9,910 23,575 45,900
264 368 480120 168
-249% -50% -10% 15%
5th Year
(
1,044
)
(
1,656
)
(
959
)
3,575 12,975
1st Year
840
2nd Year 3rd Year 4th Year
2,610 4,670 6,750 9,225
504 2,208 5,935

Introduction to Computing –CS101 VU
© Copyright Virtual University of Pakistan
225
Import from other applications or create new tables/plots
Create simple animations
Incorporate sound and videos
Add hyperlinks, custom navigational controls
Save work in HTML, PDF, graphics formats
The Best Feature: Undo
Allows you to recover from your mistakes
Allows you to experiment without risk
Popular SW:
Microsoft PowerPoint
CA Harvard Graphics
Lotus Freelance Graphics
Corel Presentation
Let’s now demonstrate the use of the presentation making SW:
We will create a new presentation
Enter text
Add, delete, and move slides
View slide show
Today’s Lecture was the …:
Third among the four lectures that we plan to have on productivity software
We discussed several design guidelines for making effective multimedia presentations
We became able to develop simple presentation with the help of presentation software
Focus of the Final Productivity SW Lecture: Database SW:
To become familiar with the basic functions and features of desktop data management
software
To become able to build a small application with the help of database software

Introduction to Computing –CS101 VU
© Copyright Virtual University of Pakistan
226
Function
identifier
Pair of parenthesis
Function ‘arguments’ separated
by commas
Lecture 32
Event Handling
(Web Development Lecture 11)
During the last lecture we discussed Functions & Variable Scope:
We looked at functions and their use for solving simple problems
We became familiar with a couple of JavaScript’s built-in functions
We became familiar with the concept of local and global variables
Function:
A group of statements that is put together (or defined) once and then can be used (by
reference) repeatedly on a Web page
Also known as subprogram, procedure, subroutine
Advantages of Functions:
Number of lines of code is reduced
Code becomes easier to read & understand
Code becomes easier to maintain as changes need to be made only at a single location
instead multiple locations
function writeList( heading, words ) {
document.write( heading + "<BR>" ) ;
for ( k = 0 ; k < words.length ; k = k + 1 ) {
document.write( words[ k ] + "<BR>" ) ;
}
}
Arguments of a Function:
A comma-separated list of data
Arguments define the interface between the function and the rest of the Web page
Arguments values are passed to the function by value (some popular languages pass
arguments ‘by reference’ as well)
To ensure that a function is defined before it is called up, define all functions in
the HEAD portion of Web pages
Two Ways of Calling Functions:
function popUp( message ) {
window.alert( message ) ;
}
popUp( “Warning!” ) ;
Keyword
Function definition
enclosed in a pair of
curly braces
A function call appearing as
a complete statement

Introduction to Computing –CS101 VU
© Copyright Virtual University of Pakistan
227
What Would this Statement Do?
factorial( factorial ( 3 ) ) ;
This is termed as the
recursive
use of a function.
Methods:
Methods are functions
They are unusual in the sense that they are stored as properties of objects
Predefined, Top-Level or Built-In Functions:
Event handlers are not the only functions that come predefined with JavaScript. There
are many others.
Practically, there is no difference between predefined functions and those that are
defined by the programmer (termed as user-defined or custom functions)
There are many of them, but here we discuss only two: parseInt( ), parseFloat( )
Local Variables:
Declaring variables (using the var keyword) within a function, makes them local
They are available only within the function and hold no meaning outside of it.
Local –vs– Global:
Global variables can make the logic of a Web page difficult to understand
Global variables also make the reuse and maintenance of your code much more difficult
Event Handlers:
Special-purpose functions that come predefined with JavaScript
They are unusual in the sense that they are mostly called from the HTML part of a Web
page and not the <SCRIPT> … </SCRIPT> part
function add( a, b ) {
c = a + b ;
return c ;
}
sum = add( 2, 4 ) ;
document.write( sum ) ;
A function call appearing as
part of a statement.
Definitions of such
functions include a ‘return’
statement
prop
1
prop
2
prop
5
nam
e
prop
3
prop
4
A collection of
properties & methods
All objects have the “name”
property: it holds the name
of the object (collection)
method
3
method
1
method
2
HEURISTIC:
If it’s possible to define a variable as local,
do it!

Introduction to Computing –CS101 VU
© Copyright Virtual University of Pakistan
228
Today’s Goal:
Event Handlers
To become able to appreciate the concept of event handlers:
What are they?
What do they do?
How do we benefit from them?
To learn to write simple programs that use event handlers
32.1 What is Event Handling?
Capturing events and responding to them
The system sends events to the program and the program responds to them as they
arrive
Events can include things a user does - like clicking the mouse - or things that the system
itself does - like updating the clock. Today we will exclusively focus on user-events
Event Driven Programs:
Programs that can capture and respond to events are called ‘event-driven programs’
JavaScript was specifically designed for writing such programs
Almost all programs written in JavaScript are event-driven
JavaScript Handling of Events:
Events handlers are placed in the BODY part of a Web page as attributes in HTML tags
Events can be captured and responded to directly with JavaScript one-liners embedded
in HTML tags in the BODY portion
Alternatively, events can be captured in the HTML code, and then directed to a
JavaScript function for an appropriate response
<INPUT
type=“submit”
name=“sendEmail”
value=“Send eMail”
onMouseOver=
“if (document.sendEmail.sender.value.length < 1)
window.alert(‘Empty From field! Please correct’)”
>
Additional JavaScript code for the smart ‘Send eMail’ button that does not allow itself to
be clicked if the “From” text field is left blank
That was event handling through what we may call ‘in-line JavaScript’
That is, the event was captured and handled with a JavaScript one-liner that was
embedded in the HTML tag

Introduction to Computing –CS101 VU
© Copyright Virtual University of Pakistan
229
32.2 In-Line JavaScript Event Handling :
Event handlers are placed in the BODY portion of a Web page as attributes of HTML
tags
The event handler attribute consists of 3 parts:
The identifier of the event handler
The equal sign
A string consisting of JavaScript statements enclosed in double or single quotes
Multiple JavaScript statements (separated by semicolons) can be placed in that string, but
all have to fit in a single line; no newline characters are allowed in that string
Due to this limitation, sophisticated event handling is not possible with in-line event
handling
Another - more sophisticated - way of accomplishing the same task:
Usage Guideline:
For very short scripts, “all code in the tag” works well
The “code in the HEAD portion” is the right choice for developing larger JavaScript
scripts
It makes the code easier to read
It allows the reuse of a function for multiple event handlers
Another event-handling example; this time from lecture 18
onMouseOver=“checkForm( )”
JavaScript that goes between the <SCRIPT>, </SCRIPT> tags:
JavaScript included as an attribute of the “Send eMail” button:
function checkForm() {
if ( document.sendEmail.sender.value.length < 1) {
window.alert( “Empty From field! Please correct” );
}
}

Introduction to Computing –CS101 VU
© Copyright Virtual University of Pakistan
230
A Few of My Favorite Event Handlers:
There are many more: there is an expanded, but still incomplete list in your book.
Now let’s look at some of these error handlers in a bit more detail
onFocus & onBlur:
onFocus executes the specified JavaScript code when a window receives focus or when a
form element receives input focus
onBlur executes the specified JavaScript code when a window loses focus or a form
element loses focus
onClick
onDblClick
onMouseOver
onMouseDown
onFocus
onBlur
onReset
onSubmit
onLoad
onUnload
onClick=“vuWindow()”
JavaScript that goes between the <SCRIPT>, </SCRIPT> tags:
JavaScript included as an attribute of the “New Window” button:
function vuWindow() {
window.open(“http://www.vu.edu.pk/”) ;
}

Introduction to Computing –CS101 VU
© Copyright Virtual University of Pakistan
231
<INPUT type="text" name="age"
onBlur="checkAge( ) "
>
<HTML><HEAD>
<TITLE>onBlur( ) Demo</TITLE>
<SCRIPT>
function checkAge() {
if( parseInt(document.form1.age.value) < 12) {
window.alert("Stop! You are younger than 12" ) ;
}
}
</SCRIPT></HEAD>
<BODY bgcolor="#66FFCC">
<FORM name="form1" method="post" action="">
<TABLE border="1">
<TR> <TD>Age</TD>
<TD><INPUT type="text" name="age" onBlur="checkAge()">
</TD></TR><TR> <TD>Phone Number</TD>
<TD><INPUT type="text" name="phNo"></TD>
</TR><TR> <TD><INPUT type="reset" value="Reset"></TD>
<TD><INPUT type="submit" value="Submit"></TD></TR>
</TABLE></FORM></BODY></HTML>
onLoad & onUnload:
JavaScript that goes between the <SCRIPT>, </SCRIPT> tags:
JavaScript included as an attribute of the INPUT
tag:
function checkAge( ) {
if( parseInt( document.form1.age.value ) < 12 ) {
window.alert( "Stop! You are younger than 12" ) ;
}
}

Introduction to Computing –CS101 VU
© Copyright Virtual University of Pakistan
232
onLoad executes the specified JavaScript code when a new document is loaded into a
window
onUnload executes the specified JavaScript code when a user exits a document
What is the key difference between these 2 and the 4 event handlers (onMouseOver,
onClick, onFocus, onBlur) that we have used so far?
<HTML>
<HEAD>
<TITLE>onUnload Demo</TITLE>
<SCRIPT>
function annoyUser( ) {
currentUrl = window.location ;
window.alert( "You can't leave this page" ) ;
window.location = currentUrl ;
}
</SCRIPT></HEAD>
<BODY onUnload="annoyUser( )">
This page uses the onUnload event handler …
</BODY></HTML>
<HTML>
<HEAD>
<TITLE>onUnload Demo</TITLE>
<SCRIPT>
function annoyUser( ) {
currentUrl = window.location ;
window.alert( "You can't leave this page" ) ;
window.location = currentUrl ;
}
</SCRIPT></HEAD>
<BODY onUnload="annoyUser( )">
This page uses the onUnload event handler …
</BODY></HTML>
More Uses for onLoad/onUnload?
onLoad can be used to open multiple Windows when a particular document is opened
onUnload can be used to say “Thank you for the visit” when a user is leaving a Web
page
At times, a user opens multiple inter-dependent windows of a Web site (e.g. VULMS).
onUnload can be used to warn that all child Windows will become inoperable if the user
closes the parent Window
A Note on Syntax:
Mixed-case capitalization of event handlers (e.g. onClick) is a convention (but not a
requirement) for JavaScript event handlers defined in HTML code. Using ‘ONCLICK’
or ‘onclick’ as part of a an HTML tag is perfectly legal as well
At times, you may wish to use event handlers in JavaScript code enclosed in <SCRIPT>,
</SCRIPT> tags
In those cases you have to strictly follow the JavaScript rule for all event handler
identifiers: they must all be typed in small case, e.g. ‘onclick’ or ‘onmouseover’
A misleading statement from Lecture 18:

Introduction to Computing –CS101 VU
© Copyright Virtual University of Pakistan
233
I stated:
JavaScript is case sensitive. Only the first of the following will result in the desired
function – the rest will generate errors or other undesirable events:
onMouseClick – OnMouseClick
onmouseclick – ONMOUSECLICK
That statement is incorrect in two ways:
All four will work fine as part of HTML tags
Only the ‘all small case’ version will be interpreted as intended in JavaScript code
During Today’s Lecture …:
We looked at the concept of event-driven programs and event handlers
What are they?
What do they do?
How do we benefit from them?
We wrote simple programs to demonstrate the capabilities of a few event handlers
Next (the 12th) Web Dev Lecture:
Mathematical Methods
We’ll look at JavaScript’s Math object
We will produce solutions for simple problems using various methods of the Math
object

Introduction to Computing –CS101 VU
© Copyright Virtual University of Pakistan
234
Lecture 33
Graphics & Animation
During the last lecture …(Internet Services):
We looked at several services provided by the Internet
FTP
Telnet
Web
eMail
Instant messaging
VoIP
We also found out about the addressing scheme used on the Internet
IP Address:
A unique identifier for a computer on a TCP/IP network
Format: four 8-bit numbers separated by periods. Each 8-bit number can be 0 to 255
Domain Names:
IP addresses are fine for computers, but difficult to recognize and remember for humans
A domain name is a meaningful, easy-to-remember ‘label’ for an IP address
DNS: Domain Name System:
DNS is the way that Internet domain names are located & translated into IP addresses
FTP:
Used to transfer files between computers on a TCP/IP network (e.g Internet)
Telnet Protocol:
Using Telnet, a user can remotely log on to a computer (connected to the user’s through
a TCP/IP network, e.g. Internet) & have control over it like a local user, including
control over running various programs
The Web :
The greatest, shared resource of information created by humankind
A user may access any item on the Web through a URL, e.g.
http://www.vu.edu.pk/cs/index.html
eMail:
Computer-to-computer messaging
Inexpensive, and quite quick, but not instant!
But first, the components:
eMail client
SMTP server
POP3 server
The Trouble with eMail:
Slow response times
No way of knowing if the person we are sending eMail to is there to read it
http:/ /www.vu.edu.pk cs/index.html
Protocol
Identifier Server
Address Directory &
File Name

Introduction to Computing –CS101 VU
© Copyright Virtual University of Pakistan
235
The process of having a conversation through eMail by exchanging several short
messages is too cumbersome
Instant messaging (IM) solves these problems
Instant Messaging:
The IM services available on the Internet (e.g. ICQ, AIM, MSN Messenger, Yahoo!
Messenger) allow us to maintain a list of people (contacts) that we interact with regularly
We can send an instant messages to any of the contacts in our list as long as that contact
is online
Key Point:
Once the IM server provides the communication info to the user and his/her contact’s
IM client, the two are able to communicate with each other without the IM server’s
assistance
This server-less connection is termed as a P2P connection
VoIP: Voice over IP:
Voice delivered from one device to another using the Internet Protocol
Inexpensive, but of poor quality
Today’s Goal:
Graphics & Animation
We will become familiar with the role that graphics and animations play in computing
We will look at how graphics & animation are displayed
We will look at a few popular formats used for storing graphics and animation
33.1 Computer Graphics:
Images created with the help of computers
2-D and 3-D (displayed on a 2-D screen but in such a way that they give an illusion of
depth)
Used for scientific research, artistic expression, or for industrial applications
Graphics have made the computer interfaces more intuitive by removing the need to
memorize commands
33.2 Displaying Images:
Most all computer displays consist of a grid of tiny pixels arranged in a regular grid of
rows and columns
Images are displayed by assigning different colors to the pixels located in the desired
portion of the computer display
Let’s discuss the pixel a bit more …
Pixel:
The smallest image forming element on a computer display
The computer display is made up of a regular grid of these pixels
The computer has the capability of assigning any color to any of the individual pixels on
the display
Let’s now see how the computer displays a square
33.3 Pixel Colors :
The color of each pixel is generally represented in the form a triplet
In a popular scheme – the RGB scheme – each part of the triplet represents the intensity
of one of out of three primary colors: red, green, blue
Often, the intensity of each color is represented with a byte, resulting in 256x256x256
(16+ million) unique color combinations
If this scheme is used to display an image that is equal to the size of an XGA (1024x768
pixels) display, the image will require 2.25MB of storage, which is just too much
A number of clever schemes have been invented to reduce the number of bytes that are
required for storing graphics. 2 popular ones:
Color mapping
Dithering
33.4 Color Mapping :
Instead of letting each pixel assume one out of 16 million possible colors, only a limited
number of colors – called the platelet – are allowed

Introduction to Computing –CS101 VU
© Copyright Virtual University of Pakistan
236
For example, the platelet may be restricted to 256 colors (requiring 1 byte/pixel instead
of 3)
Each value, from 0 to 255, is mapped to a selected RGB color through a table, reducing
the size of a 2.25MB graphic to 0.75MB
The quality of the displayed image will not suffer at all if the image only uses colors that
are a part of the platelet
Color Platelet Example:
Color Platelet Code Actual Color in RGB
1 255, 255, 000 (yellow)
2 255, 000, 000 (red)
3 000, 255, 255 (cyan)
4 255, 153, 051 (orange)
… …
… …
… …
33.5 Dithering:
In this scheme, pixels of alternating colors are used to simulate a color that is not present
in the platelet
For example, red and green pixels can be alternated to give the impression of bright
yellow
The quality of the displayed image is poorer
33.6 Aliasing:
The computer screen consists of square-ish pixels arranged in a fixed grid
At times, when a diagonal line is drawn on this grid, it looks more like a staircase, instead
of a straight line
This effect – called aliasing – can be managed by reducing the size of pixels
33.7 Anti-Aliasing:
Anti-aliasing is another technique used for managing the ‘staircase’ effect
Let’s say that we need to draw a white straight-line such that it overlaps 60% with one
pixel, and 40% with another initially, and near the end, 58%, 41%, and 1%, respectively,
with three pixels
1 2 3 4 5

Introduction to Computing –CS101 VU
© Copyright Virtual University of Pakistan
237
The staircase effect is caused because the proper drawing of the line requires a pixel that
does not exist
There are three options in this case:
Assign the white color to the pixel corresponding to the largest overlap
Assign the white color to both pixels
Either of these will cause the staircase effect
The 3rd option is to color the pixel with 60% overlap to a 40% gray color & the other
one to 60% gray
Result: A smoother - pleasing to the eye - look
33.8 Graphics File Formats:
The choice of the format generally depends upon the nature of the image. For example:
An image of natural scenery contains many irregular, non-gemetric shapes, therefore is
stored in bit-map format
A CAD drawing consists of many geometric shapes like straight lines, arcs, etc. and
therefore is stored in a vector format
A third situation arises when dealing with graphics that contain both regular and irregular
shapes
33.9 Vector or Object-Oriented Graphics:
Treats everything that is drawn as an object
Objects retain their identity after they are drawn
These objects can later be easily moved, stretched, duplicated, deleted, etc
Are resolution independent
Relatively small file size
Examples: swf, svg, wmf, ps
33.10 Bit-Mapped or Raster Graphics:
Treats everything that is drawn as a bit-map
If an object is drawn on top of another, it is difficult to move just one of them while
leaving the other untouched
Changing the resolution often requires considerable touch-up work
Relatively large file size
Examples: gif, jpg, bmp
33.11 File Formats Popular on the Web (1):
gif (Graphical Interchange Format)
Bit-map images compressed using the LZW algo.
The number of colors is first reduced to 256 and then consecutive pixels having the
same color are encoded in a [color, numberOfPixels] format
Works well with computer-generated graphics (e.g. CAD, block diagrams, cartoons) but
not with natural, realistic images
Loss-less for images having 256 colors or less
jpg (JPEG – Joint Photographic Experts Group)
Compressed, full-color and gray-scale bit-map images of natural, real-world scenes,
where most every pixel differs in color from its neighbor
It does not work as well as gif with non-realistic images, such as cartoons or line
drawings
Does not handle compression of B&W images
Lossy
swf (Shockwave Flash)
Designed for 2-D animations, but can also be used for storing static vector images as
well
A special program (called a plug-in) is required to view swf files in a Web browser
svg (Structured Vector Graphics)
New format; may become more popular than swf
33.12 Image Processing:
A branch of computer science concerned with manipulating and enhancing computer
graphics

Introduction to Computing –CS101 VU
© Copyright Virtual University of Pakistan
238
Examples:
Converting 2-D satellite imagery into a 3-D model of a terrain
Restoring old, faded photographs into something closer to the original
Determining the amount of silting in Tarbela lake from a satellite image
33.13-D Graphics:
Flat images enhanced to impart the illusion of depth
We perceive the world and the objects in it in 3-D - breadth, width, depth - although the
images formed on the retinas of our eyes are 2-D
The secret of 3-D perception: stereo vision
The two eyes are spaced a few cm apart
Result: The images formed on the two retinas are slightly different
The brain combines these two into a single 3-D image, enabling us to perceive depth
3-D Graphics: Applications:
Games
Medical images
3-D CAD
3-D Rendering:
The process of converting information about 3-D objects into a bit-map that can be
displayed on a 2-D computer display
Computationally, very expensive!
Steps:
Draw the wire-frame (skeleton, made with thin lines)
Fill with colors, textures, patterns
Add lighting effects (reflections, shadows)
33.14 Animation:
Graphics in motion, e.g. cartoons
Illusion of motion is created by showing the viewer a sequence of still images, rapidly
Drawing those images - each slightly different from the previous one - used to be quite
tedious work
Computers have helped in cutting down some of the tediousness
See next slides
Computer Animation: Examples
Games
Cartoons, movies
Visualization of processes, e.g the IM process
Displaying the results of scientific experiments, e.g. nuclear fusion
Tweening:
Creating a reasonable illusion of motion requires the drawing of 14-30 images per second
of animation – very tedious!
In practice, only 4-5 images (called key images) instead of 14-30 are drawn, and then the
computer is asked to create the remaining in-between images
This process of creating these in-between images from key images is called in-
betweening (or tweening for short)
The simplest algorithm for tweening calculates the position of a particular segment of an
image by calculating the average of the positions of that same image segment belonging
to adjacent key images
The Future of Graphics & Animation:
New graphic-file storage formats will appear with better compression efficiencies
3-D animation will become more popular as computers become faster and algorithms
become smarter
More realistic games; better realism in movies – may, one day, make the human actors
extinct
Today’s Goal:Graphics & Animation
We became familiar with the role that graphics and animations play in computing

Introduction to Computing –CS101 VU
© Copyright Virtual University of Pakistan
239
We discussed how graphics & animation are displayed
We also looked at several formats used for storing graphics and animation
Next Lecture:(Intelligent Systems)
To become familiar with the distinguishing features of intelligent systems with respect to
other software systems
To become able to appreciate the role of intelligent systems in scientific, business and
consumer applications
To look at several techniques for designing intelligent systems

Introduction to Computing –CS101 VU
© Copyright Virtual University of Pakistan
240
Lecture 34
Intelligent Systems
During the last lecture …:(Graphics & Animation)
We became familiar with the role that graphics and animations play in computing
We discussed how graphics & animation are displayed
We also looked at several formats used for storing graphics and animation
Computer Graphics:
Images created with the help of computers
2-D and 3-D (displayed on a 2-D screen but in such a way that they give an illusion of
depth)
Used for scientific research, artistic expression, or for industrial applications
Graphics have made the computer interfaces more intuitive by removing the need to
memorize commands
Displaying Images:
Most all computer displays consist of a grid of tiny pixels arranged in a regular grid of
rows and columns
Images are displayed by assigning different colors to the pixels located in the desired
portion of the computer display
Let’s discuss the pixel a bit more …
Pixel:
The smallest image forming element on a computer display
The computer display is made up of a regular grid of these pixels
The computer has the capability of assigning any color to any of the individual pixels on
the display
Let’s now see how the computer displays a square
The color of each pixel is generally represented in the form a triplet
In a popular scheme – the RGB scheme – each part of the triplet represents the intensity
of one of out of three primary colors: red, green, blue
Often, the intensity of each color is represented with a byte, resulting in 256x256x256
(16+ million) unique color combinations
Instead of letting each pixel assume one out of 16 million possible colors, only a limited
number of colors – called the platelet – are allowed
For example, the platelet may be restricted to 256 colors (requiring 1 byte/pixel instead
of 3)
Dithering:
In this scheme, pixels of alternating colors are used to simulate a color that is not present
in the platelet
For example, red and green pixels can be alternated to give the impression of bright
yellow
The quality of the displayed image is poorer
Aliasing:
The computer screen consists of square-ish pixels arranged in a fixed grid
At times, when a diagonal line is drawn on this grid, it looks more like a staircase, instead
of a straight line
This effect – called aliasing – can be managed by reducing the size of pixels
Anti-aliasing is another technique used for managing the ‘staircase’ effect
Let’s say that we need to draw a white straight-line such that it overlaps 60% with one
pixel, and 40% with another initially, and near the end, 58%, 41%, and 1%, respectively,
with three pixels
Vector or Object-Oriented Graphics:
Treats everything that is drawn as an object
Objects retain their identity after they are drawn
These objects can later be easily moved, stretched, duplicated, deleted, etc
Are resolution independent
Relatively small file size

Introduction to Computing –CS101 VU
© Copyright Virtual University of Pakistan
241
Examples: swf, svg, wmf, ps
Bit-Mapped or Raster Graphics:
Treats everything that is drawn as a bit-map
If an object is drawn on top of another, it is difficult to move just one of them while
leaving the other untouched
Changing the resolution often requires considerable touch-up work
Relatively large file size
Examples: gif, jpg, bmp
3-D Graphics:
Flat images enhanced to impart the illusion of depth
We perceive the world and the objects in it in 3-D - breadth, width, depth - although the
images formed on the retinas of our eyes are 2-D
The secret of 3-D perception: stereo vision
3-D Rendering:
The process of converting information about 3-D objects into a bit-map that can be
displayed on a 2-D computer display
Computationally, very expensive!
Steps:
Draw the wire-frame (skeleton, made with thin lines)
Fill with colors, textures, patterns
Add lighting effects (reflections, shadows)
Animation:
Graphics in motion, e.g. cartoons
Illusion of motion is created by showing the viewer a sequence of still images, rapidly
Drawing those images - each slightly different from the previous one - used to be quite
tedious work
Computers have helped in cutting down some of the tediousness
This process of creating these in-between images from key images is called in-
betweening (or tweening for short)
The simplest algorithm for tweening calculates the position of a particular segment of an
image by calculating the average of the positions of that same image segment belonging
to adjacent key images
Today’s Goals:(Intelligent Systems)
To become familiar with the distinguishing features of intelligent systems with respect to
other software systems
To become able to appreciate the role of intelligent systems in scientific, business and
consumer applications
To look at several techniques for designing intelligent systems
34.1 (Artificial) Intelligent Systems:
SW programs or SW/HW systems designed to perform complex tasks employing
strategies that mimic some aspect of human thought
One can debate endlessly about whether a certain system is intelligent or not
But to my mind, the key criterion is evolution: it is intelligent if it can learn (even if only
a limited sense) and get better with time
Not a Suitable Hammer for All Nails!
if the nature of computations required in a task is not well understood
or there are too many exceptions to the rules
or known algorithms are too complex or inefficient
then AI has the potential of offering an acceptable solution
Selected Applications:
Games: Chess, SimCity
Image recognition
Medical diagnosis
Robots

Introduction to Computing –CS101 VU
© Copyright Virtual University of Pakistan
242
Business intelligence
Sub-Categories of AI:
Expert systems
Systems that, in some limited sense, can replace an expert
Robotics
Natural language processing
Teaching computers to understand human language, spoken as well as written
Computer vision
Selected Techniques:
Artificial neural networks
Genetic algorithms
Rule-based systems
Fuzzy logic
Many times, any one of them can solve the problem at hand, but at others, only the right
one will do.
Therefore, it is important to have some appreciation of them all .
Neural Networks:
Original inspiration was the human brain; emphasis now on usefulness as a
computational tool
Many useful NN paradigms, but scope of today's discussion limited to the feed-forward
network, the most popular paradigm
Feed-forward Network:
It is a layered structure consisting of a number of homogeneous and simple (but
nonlinear) processing elements
All processing is local to a processing element and is asynchronous
During training the FN is forced to adjust its parameters so that its response to input
data becomes closer to the desired response
Based on Darwin's evolutionary principle of ‘survival of the fittest’
GAs require the ability to recognize a good solution, but not how to get to that solution.
Genetic Algorithms (2):
The procedure:
An initial set of random solutions is ranked in terms of ability to solve the problem at
hand
The best solutions are then crossbred and mutated to form a new set
The ranking and formation of new solutions is continued until a good enough solution is
found or …
Rulebased Systems (1):
Based on the principles of the logical reasoning ability of humans
Components of an RBS:
Rulebase
Working memory
Rule interpreter
The design process:
An RBS engineer interviews the expert to acquire the comprehensive set of heuristics
that covers the situations that may occur in a given domain
This set is then encoded in the form of IF-THEN structures to form the required RBS
34.2 Fuzzy Logic:
Based on the principles of the approximate reasoning faculty that humans use when
faced with linguistic ambiguity
The inputs and outputs of a fuzzy system are precise, only the reasoning is approximate
Parts of the knowledgebase of a fuzzy system:
Fuzzy rules
Fuzzy sets
The output of a fuzzy system is computed by using:
The MIN-MAX technique for combining fuzzy rules

Introduction to Computing –CS101 VU
© Copyright Virtual University of Pakistan
243
The centroid method for defuzzification
Now we know about a few techniques
Let’s now consider the situation when we are given a particular problem and asked to
find an AI solution to that problem.
How do we determine the right technique for that particular problem?
Selection of an Appropriate AI Technique:
A given problem can be solved in several ways
Even if 2 techniques produce solutions of a similar quality, matching the right technique
to a problem can save on time & resources
Characteristics of an optimal technique:
The solution contains all of the required information
The solution meets all other necessary criteria
The solution uses all of the available (useful) knowledge
How do we determine the suitability of a particular AI technique for a given task. We
look at the task’s requirements and then see which technique fulfils those requirements
more completely – the one which does, is the one we use!
Here are a few aspects of the task and the techniques that we need to be aware off …
Credit Card Issuance:
Challenge. Increase the acceptance rate of card applicants who will turn out to be good
credit risks
Inputs. Applicant's personal and financial profiles
Output. Estimated yearly loss if application is accepted
Expert knowledge. Some rules of thumb are available
Data. Profiles & loss data available for 1+ million applicants
Suitable technique?
Determination of the Optimal Drug Dosage:
Challenge. Warn the physician if she prescribes a dosage which is either too high or too
low
Inputs. Patient's medical record. Pharmaceutical drug dosage instructions
Output. Warning along with reasons for the warning
Data. Medical records of thousands of patients. Drug dosage instructions on dozens of
medicines
Suitable technique?
Prediction of Airline Cabin Crew's Preferences:
Challenge. Predict the future base/status preferences of the cabin crew of an airline. The
predicted preferences will be used by the airline for forecasting its staffing and training
requirements
Inputs. Crew's personal profiles. Preference history. Other data.
Output. Predicted preference card for a date one year in the future
Expert knowledge. Some rules of thumb are available
Data. Available for the last four years for 8000 crew members
Suitable technique?
The Right Technique:
• Accuracy
• Explainability
• Response speed
• Scalability
• Compactness
• Flexibility
• Embedability
• Ease of use
• Learning curve
• Tolerance for complexity
• Tolerance for noise in
data
• Tolerance for sparse data
• Independence from
experts
• Development speed
•Com
p
utin
g
ease

Introduction to Computing –CS101 VU
© Copyright Virtual University of Pakistan
244
Selection of the right AI technique requires intimate knowledge about the problem as
well as the techniques under consideration
Real problems may require a combination of techniques (AI and/or nonAI) for an
optimal solution
34.3 Robotics:
Automatic machines that perform various tasks that were previously done by humans
Example:
Pilot-less combat airplanes
Land-mine hunters
Autonomous vacuum-cleaners
Components: Body structure, actuators, power-source, sensors, controller (the AI-based
part)
Autonomous Web Agents:
Also known as mobile agents, softbots
Computer program that performs various actions continuously, autonomously on behalf
of their principal!
Key component of the Semantic Web of tomorrow
Multi-agent communities are being developed in which agents meet and represent the
interests of their principals in negotiations or collaborations. Example:
Agents of a patient and a doctor get together to negotiate and select a mutually agreeable
time, cost
Decision Support Systems:
Interactive software designed to improve the decision-making capability of their users
Utilize historical data, models to solve problems
The do not make decisions - just assist in the process
They provide decision-makers with information via easy to manage reports, what-if
scenarios, and graphics
The Future?
Get ready to see robots playing a bigger role in our daily lives
Robots will gradually move out of the industrial world and into our daily life, similar to
the way computers did in the 80’s
Decision support systems will become a bigger part of the professional life of doctors,
managers, marketers, etc
Autonomous land, air, sea vehicles controlled from 1000’s of miles away from the war
zone
Today’s Summary:Intelligent Systems
We looked at the distinguishing features of intelligent systems w.r.t. other software
systems
We looked at the role of intelligent systems in scientific, business, consumer and other
applications
We discussed several techniques for designing intelligent systems
Next Lecture:(Data Management)
To become familiar with the issues and problems related to data-intensive computing
To become able to appreciate data management concepts and their evolution over the
years

Introduction to Computing –CS101 VU
© Copyright Virtual University of Pakistan
245
Lecture 35
Mathematical Methods
(Web Development Lecture 12)
During the last lecture we discussed Event handling:
We looked at the concept of event-driven programs and event handlers
What are they?
What do they do?
How do we benefit from them?
We wrote simple programs to demonstrate the capabilities of a few event handlers
What is Event Handling?
Capturing events and responding to them
The system sends events to the program and the program responds to them as they
arrive
Events can include things a user does - like clicking the mouse - or things that the system
itself does - like updating the clock. Today we will exclusively focus on user-events.
Event Driven Programs:
Programs that can capture and respond to events are called ‘event-driven programs’
JavaScript was specifically designed for writing such programs
JavaScript’s Handling of Events:
Events handlers are placed in the BODY part of a Web page as attributes in HTML tags
Events can be captured and responded to directly with JavaScript one-liners embedded
in HTML tags in the BODY portion
Alternatively, events can be captured in the HTML code, and then directed to a
JavaScript function for an appropriate response
In-Line JavaScript Event Handling:
Event handlers are placed in the BODY portion of a Web page as attributes of HTML
tags
The event handler attribute consists of 3 parts:
The identifier of the event handler
The equal sign
A string consisting of JavaScript statements enclosed in double or single quotes
Multiple JavaScript statements (separated by semicolons) can be placed in that string, but
all have to fit in a single line; no newline characters are allowed in that string
Due to this limitation, sophisticated event handling is not possible with in-line event
handling
Usage Guideline:
For very short scripts, “all code in the tag” works well
The “code in the HEAD portion” is the right choice for developing larger JavaScript
scripts
It makes the code easier to read
It allows the reuse of a function for multiple event handlers
onFocus & onBlur:
onFocus executes the specified JavaScript code when a window receives focus or when a
form element receives input focus
onBlur executes the specified JavaScript code when a window loses focus or a form
element loses focus
onLoad & onUnload:
onLoad executes the specified JavaScript code when a new document is loaded into a
window
onUnload executes the specified JavaScript code when a user exits a document.
Mixed-case capitalization of event handlers (e.g. onClick) is a convention (but not a
requirement) for JavaScript event handlers defined in HTML code
At times, you may wish to use event handlers in JavaScript code enclosed in <SCRIPT>,
</SCRIPT> tags

Introduction to Computing –CS101 VU
© Copyright Virtual University of Pakistan
246
A Note on Syntax:
In those cases you have to strictly follow the JavaScript rule for all event handler
identifiers: they must all be typed in small case, e.g. ‘onclick’ or ‘onmouseover’
Today’s Goal:(Mathematical Methods)
We will look at JavaScript’s Math object
We will look at solutions for simple problems using various methods of the Math object
35.1 Problems & Solutions:
JavaScript doesn’t support drawing of graphics
However, crude graphics can be put together with the help of various text characters or
tables
One cannot write a character at a random location on the screen using JavaScript
Instead, the graph has to be drawn from top to bottom, one row at a time – just like
when regular text is written to a document
<HTML>
<HEAD>
<TITLE>Sine Function Plot</TITLE>
<SCRIPT>
function plotSine( ) {
…
}
…
</SCRIPT>
</HEAD>
<BODY onLoad="plotSine( )">
</BODY>
</HTML>
function plotSine( ) {
var ht, wd, rowN ; // rowN is the row number
ht = 15 ; // height of the half cycle
wd = 90 ; // width of the plot
document.write(
"<H1 align = 'center'>sin(x)</H1>" ) ;
for( rowN = ht; rowN >= -ht; rowN = rowN - 1 ) {
plotRow( rowN, ht, wd ) ;
}
}
function writeRow( row, wd ) {
var rowE ;
document.write(
"<FONT face = 'courier' size = '-2'>" ) ;
for( rowE = 0; rowE <= wd; rowE = rowE + 1 ) {

Introduction to Computing –CS101 VU
© Copyright Virtual University of Pakistan
247
document.write ( row[ rowE ] ) ;
}
document.write( "<BR></FONT>" ) ;
}
function plotRow( rowN, ht, wd ) {
var theta, rowE ; // rowE is the row element
var row = new Array( wd ) ;
for ( rowE=0; rowE <= wd; rowE = rowE + 1 ) {
theta = 2 * Math.PI * rowE / wd ;
if( rowN == Math.round(ht * Math.sin( theta )))
row[ rowE ] = "*" ;
else
row[ rowE ] = " " ;
}
writeRow ( row, wd ) ;
}
function plotRow( rowN, ht, wd ) {
var theta, rowE ;
var row = new Array( wd ) ;
for ( rowE=0; rowE <= wd; rowE = rowE + 1 ) {
theta = 2 * Math.PI * rowE / wd ;
if( rowN == Math.round(ht * Math.sin( theta )))
row[ rowE ] = "*" ;
else
row[ rowE ] = " " ;
}
writeRow ( row, wd ) ;
}
That is a sine wave.
How about a cosine?
Or a tangent?
Or, even, the natural logarithm?
Today We Have Seen 3 New Elements:
Math.PI
A property that gave us the value of Pi
Math.round( )
A method that rounded a number to its nearest integer
Math.sin( )
if( rowE == 0 )
row[ rowE ] = "|" ;
else
if( rowN == 0 )
row[ rowE ] = "-" ;
else

Introduction to Computing –CS101 VU
© Copyright Virtual University of Pakistan
248
A method that gave us the sine of an angle
All 3 belong to JavaScript’s Math object
35.2 Mathematical Functions in JavaScript:
In addition to the simple arithmetic operations (e.g. +, *, etc.) JavaScript supports several
advanced mathematical operations as well
Notationaly, these functions are accessed by referring to various methods of the Math
object
Moreover, this object also contains several useful mathematical constants as its
properties
This object has no use, but of a placeholder
Properties:
Math.PI
Math.E
Math.LN2
Math.LN10
Math.LOG2E
Math.LOG10E
Math.SQRT2
Math.SQRT1_2
Methods:
sin( r ), cos( r ), tan( r ):
Standard trigonometric functions
Returns the sine, cosine or tangent of ‘r’,
where ‘r’ is specified in radians
EXAMPLE
document.write( Math.cos( Math.PI / 4 ) )
asin( x ), acos( x ), atan( x ):
Standard inverse-trigonometric functions
Returns the arcsine, arccosine or arctangent of ‘r’
in radians
EXAMPLE
document.write( Math.asin( 1 ) )
random( )
sin( r )
cos( r )
tan( r )
asin( x )
acos( x )
atan( x )
atan2( x, y ) max( x, y )
max( x, y )
exp( x )
log( x ) abs( x )
Note the CAPITAL
lettering of all
properties
sqrt( x )
pow( x, y ) round( x )
floor( x )
ceil( x )
0.707106781186547
1.5707963267948965

Introduction to Computing –CS101 VU
© Copyright Virtual University of Pakistan
249
random( ):
Returns the smaller of x and y
min( x, y )
2, 4 → 2
-12, -5 → -12
Returns the larger of x and y
max( x, y )
2, 4 → 4
-12, -5 → -5
Returns the square root of x
sqrt
(
x
)
0.5 → 0.7071
Returns x raised to the power y
pow
(
x,
y
)
2, 32 →
4294967296
1 → 2.718281
Returns the the natural
logarithm of x
lo
g(
x
)
Math.E →1
ceil( x )
Returns integer
nearest to x Returns largest
integer that is less
than or equal to x
Returns smallest
integer that is
greater than or
e
q
ual to x
floor( x )
round( x )
1.1 → 1
12.5 → 13
-13.9 → -14
1.1 → 1
12.5 → 12
-13.9 → -14
1.1 → 2
12.5 → 13
-13.9 → -13
Returns the absolute
value of x
abs( x )
1.1 → 1.1
-12.5 → 12.5
0 → 0
exp( x )
Returns Math.E raised to
the power x

Introduction to Computing –CS101 VU
© Copyright Virtual University of Pakistan
250
Returns a randomly-selected, floating-point number between 0 and 1
EXAMPLE
document.write( Math.random( ) )
random( ):
Example
Design a Web page that displays the result of the rolling of a 6-sided die on user
command
<HTML>
<HEAD>
<TITLE>Electronic Die</TITLE>
<SCRIPT>
function rollDie( ) { … }
</SCRIPT>
</HEAD>
<BODY>
<FORM … > … </FORM>
</BODY>
</HTML>
<FORM name="form1" method="post" action="">
<INPUT type="submit" name="Submit"
value="Roll Die" onMouseOver="rollDie( )">
<INPUT type="text" name="die" size="12">
</FORM>
function rollDie( ) {
var dieN, dieDots, dots ;
dieDots = "* " ;
dieN = Math.round( 6 * Math.random( ) ) ;
for( dots = 2; dots <= dieN; dots = dots + 1 ) {
dieDots = dieDots + "* " ;
}
document.form1.die.value = dieDots ;
}
During Today’s Lecture …:
We looked at the properties and methods of JavaScript’s Math object
We produced solutions for simple problems using several methods of the Math object
Next (the 13th) Web Dev Lecture:
String Manipulation
To become familiar with a few methods used for manipulating strings
To become able to solve simple problems involving strings
* * * *
0.9601111965589273
Asterisk

Introduction to Computing –CS101 VU
© Copyright Virtual University of Pakistan
251
Lecture 36
Data Management
During the last lecture …
(Intelligent Systems)
We looked at the distinguishing features of intelligent systems w.r.t. other software
systems
We looked at the role of intelligent systems in scientific, business, consumer and other
applications
We discussed several techniques for designing intelligent systems
(Artificial) Intelligent Systems:
SW programs or SW/HW systems designed to perform complex tasks employing
strategies that mimic some aspect of human thought
Not a Suitable Hammer for All Nails!
if the nature of computations required in a task is not well understood
or there are too many exceptions to the rules
or known algorithms are too complex or inefficient
then AI has the potential of offering an acceptable solution
Selected Applications:
Games: Chess, SimCity
Image recognition
Medical diagnosis
Robots
Business intelligence
Neural Networks:
Original inspiration was the human brain; emphasis now on usefulness as a
computational tool.
Genetic Algorithms (1):
Based on Darwin's evolutionary principle of ‘survival of the fittest’
GAs require the ability to recognize a good solution, but not how to get to that solution
Rulebased Systems (1):
Based on the principles of the logical reasoning ability of humans.
Fuzzy Logic (1):
Based on the principles of the approximate reasoning faculty that humans use when
faced with linguistic ambiguity
The Right Technique:
Selection of the right AI technique requires intimate knowledge about the problem as
well as the techniques under consideration
Real problems may require a combination of techniques (AI and/or nonAI) for an
optimal solution
Three exciting areas of AI applications Robotics:
Automatic machines that perform various tasks that were previously done by humans
Autonomous Web Agents (1):
Computer program that performs various actions continuously, autonomously on behalf
of their principal!
Decision Support Systems:
Interactive software designed to improve the decision-making capability of their users
The do not make decisions - just assist in the process
Today’s Goals:(Data Management)
First of a two-lecture sequence
Today we will become familiar with the issues and problems related to data-intensive
computing
We will find out about flat-files, the simpleast databases
Next time, in our 4th lecture on productivity software, we will discuss relational
databases and implement a simple relational database

Introduction to Computing –CS101 VU
© Copyright Virtual University of Pakistan
252
Keeping track of a few dozen data items is straight forward
However, dealing with situations that involve significant number of data items, requires
more attention to the data handling process
Dealing with millions - even billions - of inter-related data items requires even more
careful thought
36.1 BholiBooks.com :
Consider the situation of a large, online bookstore
They have an inventory of millions of books, with new titles constantly arriving, and old
ones being phased out on a regular basis
The price for a book is not a static feature; it varies every once in a while
Thousands of books are shipped each day, changing the inventory constantly
Some are returned, again changing the inventory situation constantly
The cost of each shipped order depends on:
Prices of individual books
Size of the order
Location of the customer
Mode of shipment
For each order, the customer’s particulars –_ name, address, phone number, credit card
number – are required
Generally, that data is not deleted after the completion of the transaction; instead, it is
kept for future reference
All the transaction activity and the inventory changes result in:
Thousands of data items changing every day
Thousands of additional data items being added everyday
Keeping track & taking care (i.e. management) of all that constantly changing and
expanding data is not a trivial task and requires disciplined attention and actions for
ensuring the smooth & profitable operation of the bookstore
36.2 Issues in Data Management:
Data entry
Data updates
Data integrity
Data security
Data accessibility
Data Entry:
New titles are added every day
New customers are being added every day
Some of the above may require manual entry of new data into the computer systems
That new data needs to be added accurately
That can be achieved, for one, by user-interfaces that prevent the input of invalid data
Data Updates :
Old titles are deleted on a regular basis
Inventory changes every instant
Book prices change
Shipping costs change
Customers’ personal data change
Various discount schemes are always commencing and concluding
All those actions require updates to existing data
Those changes need to be entered accurately
That can also be achieved by user-interfaces that prevent the input of invalid data
Data Security :
All the data that BholiBooks has in its computer systems is quite critical to its operation
The security of the customers’ personal data is of utmost importance. Hackers are
always looking for that type of data, especially for credit card numbers
Enough leaks of that type, and customers will stop doing business with BholiBooks

Introduction to Computing –CS101 VU
© Copyright Virtual University of Pakistan
253
This problem can be managed by using appropriate security mechanisms that provide
access to authorized persons/computers only
Security can also be improved through:
Encryption
Private or virtual-private networks
Firewalls
Intrusion detectors
Virus detectors
Data Integrity:
Integrity refers to maintaining the correctness and consistency of the data
Correctness: Free from errors
Consistency: No conflict among related data items
Integrity can be compromised in many ways:
Typing errors
Transmission errors
Hardware malfunctions
Program bugs
Viruses
Fire, flood, etc.
Ensuring Data Integrity:
Type Integrity is implemented by specifying the type of a data item:
Example: A credit card number consists of 12 digits. An update attempting to assign a
value with more or fewer digits or one including a non-numeral should be rejected
Limit Integrity is enforced by limiting the values of data items to specified ranges to
prevent illegal values
Example: Age of person should not be negative
Referential Integrity requires that an item referenced by the data for some other item
must itself exist in the database
Example: If an airline reservation is requested for a particular flight, then the
corresponding flight number must actually exist
Physical Integrity is ensured through hardware redundancy, backups, etc
Data Accessibility:
If the transaction and inventory data is placed in a disorganized fashion on a hard disk, it
becomes very difficult to later search for a stored data item
What is required is that:
Data be stored in an organized manner
Additional info about the data be storedso that the data access times are minimized
What if two customers check on the aavailability of a certain title simultaneously?
On seeing its availability, they both order the title – for which, unfortunately, only a
single copy is available
Same is the case when two airline customers try booking the only available seat
A solution to this concurrency control problem: Lock access to data while someone is using
it
We can write our own SW that can take care of all the issues that we just discussed
OR
We can save ourselves lots of time, cost, and effort by buying ourselves a Database
Management System (DBMS) that takes care of most, if not all, of the issues
36.3 DBMS :
DBMSes are popularly, but incorrectly, also known as ‘Databases’
A DBMS is the SW system that operates a database, and is not the database itself
Some people even consider the database to be a component of the DBMS, and not an
entity outside the DBMS

Introduction to Computing –CS101 VU
© Copyright Virtual University of Pakistan
254
A DBMS takes care of the storage, retrieval, and management of large data sets on a
database
It provides SW tools needed to organize & manipulate that data in a flexible manner
It includes facilities for:
Adding, deleting, and modifying data
Making queries about the stored data
Producing reports summarizing the required contents
Database:
A collection of data organized in such a fashion that the computer can quickly search for
a desired data item
All data items in it are generally related to each other and share a single domain
They allow for easy manipulation of the data
They are designed for easy modification & reorganization of the information they
contain
They generally consist of a collection of interrelated computer files
Example: VU Student Database:
Student's name
Student’s photograph
Father’s name
Phone number
Street address
eMail address
Courses being taken
Courses already taken & grades
Pre-VU educational record
Example: BholiBooks’ Customer DB:
Name, address, phone & fax, eMail
Credit card type, number, expiration date
Shipping preference
Books on order
All books that were ever shipped to the customer
Book preference
Example: BholiBooks’ Inventory DB:
Book title, author, publisher, binding, date of publication, price
Book summary, table of contents
Customers’, editors’, newspaper reviews
Number in stock
Number on order
Special offer details
36.4 OS Independence:
Database
DBMS
User/
Progra
m
DBMS

Introduction to Computing –CS101 VU
© Copyright Virtual University of Pakistan
255
DBMS stores data in a database, which is a collection of interrelated files
Storage of files on the computer is managed by the computer OS’s file system
Intimate knowledge of the OS & its file system is required to provide rapid access to the
data
The DBMS takes care of those details
It hides the actual storage details of data files from the user
It provides an OS-independent view of the data to the user, making data manipulation
and management much more convenient
What can be stored in a database?
In the old days, databases were limited to numbers, Booleans, and text
These days, anything goes
As long as it is digital data, it can be stored:
Numbers, Booleans, text
Sounds
Images
Video
In the very, very old days …:
Even large amounts of data was stored in text files, known as flat-file databases
All related info was stored in a single long, tab- or comma-delimited text file
Each group of info – called a record - in that file was separated by a special character;
vertical bar ‘|’ was a popular option
Each record consisted of a group of fields, each field containing some distinct data item

Introduction to Computing –CS101 VU
© Copyright Virtual University of Pakistan
256
Flat-File
Database
Record
Field
Record
Delimiter

Introduction to Computing –CS101 VU
© Copyright Virtual University of Pakistan
257
36.5 The Trouble with Flat-File Databases:
The text file format makes it hard to search for specific information or to create reports
that include only certain fields from each record
Reason: One has to search sequentially through the entire file to gather desired info,
such as ‘all books by a certain author’
However, for small sets of data – say, consisting of several tens of kB – they can provide
reasonable performance
Consider this tabular approach …
(same records, same fields, but in a different format)
Title Author Publisher Price InStock
Good Bye Mr.
Bhola Altaf Khan BholiBooks 1000 Y
T
he Terrible
Twins
Bhola
Champion BholiBooks 199 Y
Calculus &
Analytical
Geometry
Smith Sahib Good
Publishers 325 N
Accounting
Secrets
Zamin
Geoffry
Sung-e-
Kilometer
Publishers
29 Y
Tabular Storage: Features & Possibilities:
Similar items of data form a column
Fields placed in a particular row – same as a flat-file record – are strongly interrelated
One can sort the table w.r.t. any column
That makes searching – e.g., for all the books written by a certain author – straight
forward
Tabular Storage: Features & Possibilities:
Similarly, searching for the 10 cheapest/most expensive books can be easily
accomplished through a sort
Effort required for adding a new field to all the records of a flat-file is much greater than
adding a new column to the table
CONCLUSION: Tabular storage is better than flat-file storage
We will continue on this theme next time
Title, Author, Publisher,
Price, InStock|Good Bye Mr.
Bhola, Altaf Khan,
BholiBooks, 1000, Y|The
Terrible Twins, Bhola
Champion, BholiBooks, 199,
Y|Calculus & Analytical
Geometry, Smith Sahib, Good
Publishers, 325, N|Accounting
Secrets, Zamin Geoffry,
Sangg-e-Kilometer Publishers,
29, Y|

Introduction to Computing –CS101 VU
© Copyright Virtual University of Pakistan
258
Today’s Summary:(Data Management)
First of a two-lecture sequence
Today we became familiar with the issues and problems related to data-intensive
computing
We also found out about flat-file and tabular storage
Next Lecture:(Database SW)
Next time, in our 4th lecture on productivity SW, we will continue our discussion on
data management
We will find out about relational databases
We will also implement a simple relational database

Introduction to Computing –CS101 VU
© Copyright Virtual University of Pakistan
259
Lecture 37
Database Software
Focus of the last Lecture was on Data Management
• First of a two-lecture sequence
• We became familiar with the issues and problems related to data-intensive
computing
• We also found out about flat-file and tabular storage
Data Management
• Keeping track of a few dozen data items is straight forward
• However, dealing with situations that involve significant number of data items,
requires more attention to the data handling process
• Dealing with millions - even billions - of inter-related data items requires even more
careful thought
Issues in Data Management
Data Entry
• New titles are added every day
• New customers are being added every day
• That new data needs to be added accurately
Data Updates
• All those actions require updates to existing data
• Those changes need to be entered accurately
Data Security
• All the data that BholiBooks has in its computer systems is quite critical to its
operation
• The security of the customers’ personal data is of utmost importance. Hackers are
always looking for that type of data, especially for credit card numbers
• This problem can be managed by using appropriate security mechanisms that
provide access to authorized persons/computers only
• Security can also be improved through:
– Encryption
– Private or virtual-private networks
– Firewalls
– Intrusion detectors
– Virus detectors
Data Integrity
• Integrity refers to maintaining the correctness and consistency of the data
– Correctness: Free from errors
– Consistency: No conflict among related data items
• Integrity can be compromised in many ways:
– Typing errors
– Transmission errors
– Hardware malfunctions
– Program bugs
– Viruses
– Fire, flood, etc.
Ensuring Data Integrity
• Type Integrity
• Limit Integrity
• Referential Integrity
• Physical Integrity
Data Accessibility
• What is required is that:
– Data be stored in an organized manner
– Additional info about the data be stored so that the data access times are minimized

Introduction to Computing –CS101 VU
© Copyright Virtual University of Pakistan
260
• A solution to this concurrency control problem: Lock access to data while someone is
using it
DBMS
• A DBMS takes care of the storage, retrieval, and management of large data sets on a
database
• It provides SW tools needed to organize & manipulate that data in a flexible
manner
• It includes facilities for:
– Adding, deleting, and modifying data
– Making queries about the stored data
– Producing reports summarizing the required contents
Database
• A collection of data organized in such a fashion that the computer can quickly
search for a desired data item
OS Independence
• It provides an OS-independent view of the data to the user, making data
manipulation and management much more convenient
What can be stored in a database?
• As long as it is digital data, it can be stored:
– Numbers, Booleans, text
– Sounds
– Images
– Video
In the very, very old days …
• Even large amounts of data was stored in text files, known as flat-file databases
• All related info was stored in a single long, tab- or comma-delimited text file
• Each group of info – called a record - in that file was separated by a special character;
vertical bar ‘|’ was a popular option
• Each record consisted of a group of fields, each field containing some distinct data
item
The Trouble with Flat-File Databases
• The text file format makes it hard to search for specific info or to create reports
that include only certain fields from each record
• Reason: One has to search sequentially through the entire file to gather desired info,
such as ‘all books by a certain author’
• However, for small sets of data – say, consisting of several tens of kB – they can
provide reasonable performance
Tabular Storage: Features & Possibilities
1.Similar items of data form a column
2.Fields placed in a particular row – same as a flat-file record – are strongly interrelated
3.One can sort the table w.r.t. any column
4.That makes searching – e.g., for all the books written by a certain author – straight
forward
5.Similarly, searching for the 10 cheapest/most expensive books can be easily
accomplished through a sort
6.Effort required for adding a new field to all the records of a flat-file is much greater
than adding a new column to the table
CONCLUSION: Tabular storage is better than flat-file storage
We will continue on with tables’ theme today
Today’s Lecture:
Database SW
• In our 4th & final lecture on productivity software, we will continue our discussion
from last week on data management
• We will find out about relational databases
• We will also implement a simple relational database

Introduction to Computing –CS101 VU
© Copyright Virtual University of Pakistan
261
Let’s continue on with the tabular approach. We stored data in a table last time, and liked
it. Let’s revisit that table and then put together another one
Table from the Last Lecture
Another table …
This & the previous table are related
• They share a column, & are related through it
• A program can match info from a field in one table with info in a corresponding
field of another table to generate a 3rd table that combines requested data from both
tables
• That is, a program can use matching values in 2 tables to relate info in one to info in
the other
Q: Who is BholiBooks’ best customer?
• That is, who has spent the most money on the online bookstore?
• To answer that question, one can process the inventory and the shipment tables to
generate a third table listing the customer names and the prices of the books that they
have ordered
N 325 Good
Publishers
Smith
Sahib
Calculus &
Analytical
Geometry
Y 29 Sung-e-
Kilometer
Publishers
Zamin
Geoffry
Accounting
Secrets
Y 199 BholiBooks Bhola
Champion
The Terrible
Twins
Y 100
0
BholiBooks Altaf Khan Good Bye
Mr. Bhola
InStocPric
Publisher Author Title
Good Bye Mr.
Bhola
Calculus &
Analytical
Geometry
The Terrible
Twins
Good Bye Mr.
Bhola
Title
Surface 2002.12.25 Miftah
Muslim
Air 2002.12.24 Karen Kaur
Air 2002.12.26 Aadil Ali
Air 2002.12.26 Aadil Ali
Type Shipment Customer

Introduction to Computing –CS101 VU
© Copyright Virtual University of Pakistan
262
The
generated
table
Can you now process this table to find the answer to our question
Relational Databases
• Databases consisting of two or more related tables are called relational databases
• A typical relational database may have anywhere from 10 to over a thousand tables
• Each column of those tables can contain only a single type of data (contrast this
with spreadsheet columns!)
• Table rows are called records; row elements are called fields
• A relational database stores all its data inside tables, and nowhere else
• All operations on data are done on those tables or those that are generated by table
operations
• Tables, tables, and nothing but tables!
37.1 RDBMS
• Relational DBMS software
• Contains facilities for creating, populating, modifying, and querying relational
databases
• Examples:
–Access
–FileMaker Pro
–SQL Server
–Oracle
The Trouble with Relational DBs
• Much of current SW development is done using the object-oriented methodology
• When we want to store the object-oriented data into an RDBMS, it needs to be
translated into a form suitable for RDBMS
The Trouble with Relational DBs
• Then when we need to read the data back from the RDBMS, the data needs to be
translated back into an object-oriented form before use
• These two processing delays, the associated processing, and time spent in writing
and maintaining the translation code are the key disadvantages of the current RDBMSes
Solution?
• Don’t have time to discuss that, but try searching the Web on the following terms:
• Object-oriented databases
– Object-relational databases
Classification of DBMS w.r.t. Size
• Personal/Desktop/Single-user (MB-GB)
– Examples: Tech. papers’ list; Methai shop inventory
– Typical DMBS: Access
• Server-based/Multi-user/Enterprise (GB-TB)
– Examples: HBL; Amazon.com
– Typical DMBS: Oracle, DB2
• Seriously-huge databases (TB-PB-XB)
1000
325
199
1000
Price
Miftah Muslim
Karen Kaur
Aadil Ali
Aadil Ali
Customer
– DB2
– Objectivity/DB
– MySQL
–
Postgres

Introduction to Computing –CS101 VU
© Copyright Virtual University of Pakistan
263
– Examples: 2002 – BaBar experiment at Stanford (500TB); 2005 – LHC database at
CERN (1XB)
– Typical DMBS: Objectivity/DB
37.2 Some Terminology
• Primary Key is a field that uniquely identifies each record stored in a table
• Queries are used to view, change, and analyze data. They can be used to:
– Combine data from different tables, efficiently
– Extract the exact data that is desired
• Forms can be used for entering, editing, or viewing data, one record at a time
• Reports are an effective, user-friendly way of presenting data. All DBMSes provide
tools for producing custom reports.
• Data normalization is the process of efficiently organizing data in a database. There
are two goals of the normalization process:
– Eliminate redundant data
– Storing only related data in a table
Before we do a demo, let me just mention my favorite database application:
Data Mining
• The process of analyzing large databases to identify patterns
• Example: Mining the sales records from a BholiBooks could identify interesting
shopping patterns like “53% of customers who bought book A also bought book B”.
This pattern can be put to good use!
• Dat a mining often utilizes intelligent systems’ techniques
Let’s now demonstrate the use of a desktop RDBMS
• We will create a new relational database
• It will consist of two tables
• We will populate those tables
• We will generate a report after combining the data from the two tables
Access Tutorial
http://www.microsoft.com/education/DOWNLOADS/tutorials/classroom/office2k/
acc2000.doc
Today’s Lecture:
• In this final lecture on productivity software, we continued our discussion from last
week on data management
• We found out about relational databases
• We also implemented a simple relational database
Next Lecture’ Goals
(Cyber Crime)
• To know the different types of computer crimes that occur over cyber space
• To familiarize ourselves with with several methods that can be used to minimize the
effect of these crimes
• To get familiar with a few policies and legislation designed to tackle cyber crime

Introduction to Computing –CS101 VU
© Copyright Virtual University of Pakistan
264
Lecture 38
String Manipulations
(Web Development Lecture 13)
During the last lecture we discussed Mathematical Methods
• We looked at the properties and methods of JavaScript’s Math object
• We produced solutions for simple problems using several methods of the Math
object
Problems & Solutions
• JavaScript doesn’t support drawing of graphics
• However, crude graphics can be put together with the help of various text
characters or tables
• One cannot write a character at a random location on the screen using JavaScript
• Instead, the graph has to be drawn from top to bottom, one row at a time – just
like when regular text is written to a document
Mathematical Functions in JavaScript
• In addition to the simple arithmetic operations (e.g. +, *, etc.) JavaScript supports
several advanced mathematical operations as well
• Notationaly, these functions are accessed by referring to various methods of the
Math object
• Moreover, this object also contains several useful mathematical constants as its
properties
• This object has no use, but of a placeholder
Properties
Math.PI
Math.E
Math.LN2
Math.LN10
Math.LOG2E
Math.LOG10E
Math.SQRT2
Math.SQRT1_2
Methods
sin( r ), cos( r ), tan( r )
Standard trigonometric functions
Returns the sine, cosine or tangent of ‘r’,
where ‘r’ is specified in radians
Note the
CAPITAL
lettering of
all
properties
sin( r )
cos( r )
tan( r )
asin( x )
acos( x )
atan( x )
atan2( x, y
)
max( x, y
)
max( x, y
)
round( x )
floor( x )
ceil( x )
exp( x )
log( x ) abs( x )
sqrt( x )
pow( x, y )
random( )

Introduction to Computing –CS101 VU
© Copyright Virtual University of Pakistan
265
EXAMPLE
document.write( Math.cos( Math.PI / 4 ) )
asin( x ), acos( x ), atan( x )
Standard inverse-trigonometric functions
Returns the arcsine, arccosine or arctangent of ‘r’
in radians
EXAMPLE
document.write( Math.asin( 1 ) )
0.7071067811865476
1.5707963267948965
Returns the square root of x
s
q
rt
(
x
)
0.5 → 0.7071
Returns x raised to the power
y
p
ow
(
x,
y
)
2, 32 →
4294967296
Returns Math.E raised to
the power x
exp( x )
1 → 2.718281
Returns the the natural
logarithm of x
log( x )
Math.E → 1
Returns integer
nearest to x Returns largest
integer that is
less than or
equal to x
floor( x )
round( x ) ceil
(
x
)
Returns smallest
integer that is
greater than or
equal to x
1.1 → 1
12.5 → 13
-13.9 → -14
1.1 → 1
12.5 → 12
-13.9 → -14
1.1 → 2
12.5 → 13
-13.9 → -13
Returns the absolute value
of x
abs( x )
1.1 → 1.1
-12.5 → 12.5
0 → 0

Introduction to Computing –CS101 VU
© Copyright Virtual University of Pakistan
266
random( )
Returns a randomly-selected, floating-point number between 0 and 1
EXAMPLE
document.write( Math.random( ) )
random( ): Example
Design a Web page that displays the result of the rolling of a 6-sided die on user
command
Today’s Goal
(String Manipulation)
• To become familiar with methods used for manipulating strings
• To become able to solve simple problems involving strings
String Manipulation Examples
• Combine these words into a sentence i.e. take these strings and concatenate them
into one
• Break this string into smaller ones
Returns the smaller of x and y
min( x, y )
2, 4 → 2
-12, -5 → -12
Returns the larger of x and y
max( x, y )
2, 4 → 4
-12, -5 → -5
0.9601111965589273
* * * *

Introduction to Computing –CS101 VU
© Copyright Virtual University of Pakistan
267
• Convert this string into upper case
• See if a particular character exists in a string
• Find the length of a string
• Convert this string into a number
38.1 String Manipulation in JavaScript
• In addition to the concatenation operator (+) JavaScript supports several
advanced string operations as well
• Notationaly, these functions are accessed by referring to various methods of
the String object
• Moreover, this object also contains the ‘length’ property
Example
name = “BHOLA” ;
document.write ( “The length of the string ‘name’ is ”, name.length ) ;
Let us now revisit an example that we first discussed in the 18th lecture
Let us see how we put the ‘length’ property of a string to good use
<HTML>
<HEAD>
<TITLE>Send an eMail</TITLE>
<SCRIPT>
function checkForm( ) { … }
</SCRIPT>
</HEAD>
<BODY bgcolor=“#FFFFCC”>
The length of the string ‘name’ is 5

Introduction to Computing –CS101 VU
© Copyright Virtual University of Pakistan
268
<TABLE><FORM …>…</FORM></TABLE>
</BODY>
</HTML>
<TABLE>
…
<FORM …>
<INPUT
type=“submit”
name=“sendEmail”
value=“Send eMail”
onMouseOver=“checkForm( )”
>
…
</FORM>
</TABLE>
function checkForm( ) {
if( document.sendEmail.sender.value.length < 1 ) {
window.alert(
“Empty From field! Please correct” ) ;
}
}
Other Uses of the ‘length’ Property
• To restrict the length of login name or password to specified bounds, i.e. no less
than 4 and no more than 8 characters
• ???
String Methods
FORMAT
string.methodName( )
EXAMPLE:
name = “Bhola” ;
document.write( name.toUpperCase( ) ) ;
document.write( name.bold( ) ) ;
Two Types of String Methods
1.HTML Shortcuts
2.All Others
String Methods: HTML Shortcuts
This is a
string
BHOLABhola
bold( )
italics( )
strike( )
sub( )
sup( )
big( )
small( )
fontsize( n )
fixed( )
fontcolor( color )
link( URL )

Introduction to Computing –CS101 VU
© Copyright Virtual University of Pakistan
269
big( ), small( ), fontsize(
n
)
person = "Bhola" ;
document.write( person ) ;
document.write( person.big( ) ) ;
document.write( person.small( ) ) ;
document.write( person.fontsize( 1 ) ) ;
document.write( person.fontsize( 7 ) ) ;
sub( ), sup( )
person = "Bhola" ;
document.write( name ) ;
document.write( name.sub( ) ) ;
document.write( name ) ; document.write( name.sup( ) ) ;
bold( ), italics( ), strike( )
name = "Bhola" ;
document.write( name ) ;
document.write( name.bold( ) ) ;
document.write( name.italics( ) ) ;
document.write( name.strike( 1 ) ) ;
fixed( ), fontcolor(
color
)
person = "Bhola" ;
document.write( person ) ;
document.write( person.fixed( ) ) ;
document.write( person.fontcolor( “blue” ) ) ;
document.write( person.fontcolor( “orange” ) ) ;
link(
URL
)
hotel = "Bhola Continental" ;
document.write( hotel ) ;
document.write( hotel.link(
“http://www.bholacontinental.com” ) ) ;
What was common among all those methods that we just discussed?
BholaBholaBholaBholaBhola
BholaBholaBholaBholaBhola
BholaBholaBholaBholaBhola
BholaBholaBholaBholaBhola
BholaBholaBholaBholaBhola
<S> … </S> strike( )
<I> … </I> italics( )
<B> … </B> bold( )
<SUP> … </SUP> sup( )
<SUB> … </SUB> sub( )
<SMALL> … </SMALL>
small( )
<BIG> … </BIG> big( )

Introduction to Computing –CS101 VU
© Copyright Virtual University of Pakistan
270
String Methods: All Others
toLowerCase( ), toUpperCase( )
person = "Bhola" ;
document.write( person ) ;
document.write( person.toLowerCase( ) ) ;
document.write( person.toUpperCase( ) ) ;
charAt(
n
)
Returns a string containing the character at position
n
(the position of the 1st
character is 0)
mister = "Bhola" ;
document.write( mister ) ;
document.write( mister.charAt( 0 ) ) ;
document.write( mister.charAt( 8 ) ) ;
document.write( mister.charAt( 2 ) ) ;
substring(
n, m
)
Returns a string containing characters copied from positions
n
to
m - 1
s = "Bhola" ;
document.write( s.substring( 1, 3 ) ) ;
document.write( s.substring( 0, s.length ) ) ;
indexOf( substring, n )
Returns the position of the first occurrence of substring that appears on or after the nth
position, if any, or -1 if none is found
s = "Bhola" ;
<PRE> … </PRE> fixed( )
<A href=URL> …</
A
>link
(
URL
)
<FONT color=color> …
</FONT>
fontcolor( color )
<FONT size=n> …
</FONT>
fontsize( n )
split( delimiter )
toLowerCase( )
toUpperCase( )
charAt( n )
substring( n, m )
indexOf( substring, n )
lastIndexOf( substring, n )
BholabholaBHOLA
Bo
hoBhola

Introduction to Computing –CS101 VU
© Copyright Virtual University of Pakistan
271
document.write( s.indexOf( “ola”, 1 ) ) ;
document.write( s.indexOf( “z”, 3 ) ) ;
lastIndexOf(
substring, n
)
Returns the position of the last occurrence of
substring
that appears on or before
the
nth
position, if any, or -1 if none is found
s = "Bhola" ;
document.write( s.lastIndexOf( “ola”, 5 ) ) ;
document.write( s.lastIndexOf( “b”, 0 ) ) ;
split( delimiter )
Returns an array of strings, created by splitting string into substrings, at delimiter
boundaries
s = "Hello: I must be going!" ;
a = new Array( 5 ) ;
b = new Array( 5 ) ;
a = s.split( " " ) ;
b = s.split( "e" ) ;
document.write( "<TABLE>" ) ;
for( k = 0; k < 5; k = k + 1 )
document.write( "<TR><TD>", a[ k ], "</TD><TD>", b[ k ], "</TD></TR>"
) ;
document.write( "</TABLE>" ) ;
Automatic Conversion to Strings
• Whenever a non-string is used where JavaScript is expecting a string, it converts
that non-string into a string
• Example:
– The document.write( ) method expects a string (or several strings, separated by
commas) as its argument
– When a number or a Boolean is passed as an argument to this method, JavaScript
automatically converts it into a string before writing it onto the document
The ‘+’ Operator
• When ‘+’ is used with numeric operands, it adds them
• When it is used with string operands, it concatenates them
• When one operand is a string, and the other is not, the non-string will first be
converted to a string and then the two strings will be concatenated
The ‘+’ Operator: Examples
document.write( 2 + Math.PI ) ;
document.write( "2" + "3" ) ;
document.write( "2" + Math.PI ) ;
document.write( "Yes" + false ) ;
2-1
2-1
Hello: H
I llo: I must b
must going!
be undefined
going! undefined

Introduction to Computing –CS101 VU
© Copyright Virtual University of Pakistan
272
Strings In Mathematical Expressions
When a string is used in a mathematical context, if appropriate, JavaScript first converts
it into a number. Otherwise, a “NaN” is the result
document.write( "2" * Math.PI ) ;
document.write( "Yes" ^ 43 ) ;
The ‘toString’ Method
Explicit conversion to a string
EXAMPLE:
Convert 100.553478 into a currency format
a = 100.553478 ;
b = a.toString( ) ;
decimalPos = b.indexOf( ".", 0 ) ;
c = b.substring( 0, decimalPos + 3 ) ;
document.write( c ) ;
Conversion from Strings
parseInt( ) and parseFloat( ) methods
5.141592653589793
23
23.141592653589793
Yesfalse
6.283185307179586
NaN
100.55

Introduction to Computing –CS101 VU
© Copyright Virtual University of Pakistan
273
function calc( ) {
document.myForm.total.value =
document.myForm.salary.value +
document.myForm.bonus.value ;
}
function calc( ) {
document.myForm.total.value =
parseFloat( document.myForm.salary.value ) +
parseFloat( document.myForm.bonus.value ) ;
}
During Today’s Lecture …
• We become familiar with methods used for manipulating strings
• We became able to solve simple problems involving strings
Next (the 14th) Web Dev Lecture:
Images & Animation
• To become able to add and manipulate images and animations to a Web page
90
00
9
0
90009
00
Why not use parseInt( )
here?

Introduction to Computing –CS101 VU
© Copyright Virtual University of Pakistan
274
Lecture 39
Cyber Crime
Focus of the last Lecture was on Database SW
• In our final lecture on productivity SW, we continued our discussion on data
management
• We found out about relational databases
• We also implemented a simple relational database
Relational Databases
• Databases consisting of two or more related tables are called relational databases
• Each column of those tables can contain only a single type of data (contrast this
with spreadsheet columns!)
• Table rows are called records; row elements are called fields
• A relational database stores all its data inside tables, and nowhere else
• All operations on data are done on those tables or those that are generated by table
operations
• Tables, tables, and nothing but tables!
RDBMS
• Relational DBMS software
• Examples:
– Access
– FileMaker Pro
– SQL Server
– Oracle
Classification of DBMS w.r.t. Size
• Personal/Desktop/Single-user (MB-GB)
• Server-based/Multi-user/Enterprise (GB-TB)
• Seriously-huge databases (TB-PB-XB)
The Trouble with Relational DBs
• Much of current SW development is done using the object-oriented
methodology
• When we want to store the object-oriented data into an RDBMS, it needs to
be translated into a form suitable for RDBMS
• Then when we need to read the data back from the RDBMS, the data needs to be
translated back into an object-oriented form before use
• These two processing delays, the associated processing, and time spent in writing
and maintaining the translation code are the key disadvantages of the current RDBMSes
Some Terminology
• Primary Key is a field that uniquely identifies each record stored in a table
• Queries are used to view, change, and analyze data. They can be used to:
– Combine data from different tables, efficiently
– Extract the exact data that is desired
• Forms can be used for entering, editing, or viewing data, one record at a time
• Reports are an effective, user-friendly way of presenting data. All DBMSes provide
tools for producing custom reports
Desktop RDBMS Demo
• We will create a new relational database
• It will consist of two tables
• We will populate those tables
• We will generate a report after combining the data from the two tables
Today’s Lecture:
Cyber Crime
• To find out about several types of crimes that occur over cyber space (i.e. the
Internet)
• To familiarize ourselves with with several methods that can be used to minimize the
ill effects of those crimes

Introduction to Computing –CS101 VU
© Copyright Virtual University of Pakistan
275
39.1 07 February 2000
• Users trying to get on to the Web sites of Yahoo, couldn’t!
• Reason: Their servers were extremely busy!
• They were experiencing a huge number of hits
• The hit-rate was superior to the case when a grave incident (e.g. 9/11) occurs, and
people are trying to get info about what has happened
• The only problem was that nothing of note had taken place!
What was going on?
• A coordinated, distributed DoS (Denial of Service) attack was taking place
• Traffic reached 1 GB/s; many times of normal!
• In the weeks leading to the attack, there was a noticeable rise in the number of
scans that Internet servers were receiving
• Many of these scans appeared to originate from IP addresses that traced back to
Korea, Indonesia, Taiwan, Australia
Three Phases of the DoS
1.Search
2.Arm
3.Attack
1. Search for Drones
• The attackers set about acquiring the control over the computers to be used in the
attack …
• by scanning – using e.g. Sscan SW – a large numbers of computers attached to the
Internet
• Once a computer with a weak security scheme is identified, the attackers try a
break-in
• Once conquered, that computer – called a drone – will be used to scan others
2. Arming the Drones
• After several drones have been conquered, the DoS SW is loaded on to them
• Examples: Tribal Flood Network, Trinoo, TFN2K
• Like a time-bomb, that SW can be set to bring itself into action at a specified time
• Alternatively, it can wait for a commencement command from the attacker
3. The Actual Attack
• At the pre-specified time or on command, the SW implanted on all of the drones
wakes-up and starts sending a huge number of messages to the targeted servers
• Responding to those messages overburdens the targeted servers and they become
unable to perform their normal functions
Neutralizing the Attack
• The engineers responsible for monitoring the traffic on the Yahoo Web sites
quickly identified the key characteristics of the packets originating from those drones
• Then they setup filters that blocked all those packets
• It took them around 3 hours to identify and block most of the hostile packets
• BTW, the sender’s IP address can be spoofed, making it impossible to block the
attack just by blocking the IP addresses
The Aftermath
• None of the Yahoo computers got broken-into; The attackers never intended to
do that
• None of the user data (eMail, credit card numbers, etc.) was compromised
• Ill-effects:
– Yahoo lost a few million’s worth of business
– Millions of her customers got annoyed as they could not access their eMail and
other info from the Yahoo Web sites
Who Done It?
• The DoS SW is not custom SW, and can be downloaded from the Internet.
Therefore, it is difficult to track the person who launched the attack by analyzing that
SW

Introduction to Computing –CS101 VU
© Copyright Virtual University of Pakistan
276
• After installing the DoS SW on the drones, setting the target computer and time,
the attackers carefully wipe away any info on the drone that can be used to track them
down
• End result: Almost impossible to track and punish clever attackers
How to stop DoS attacks from taking place?
• Design SW that monitors incoming packets, and on noticing a sudden increase in
the number of similar packets, blocks them
• Convince system administrators all over the world to secure their servers in such a
way that they cannot be used as drones
• BTW, the same type of attack brought down the CNN, Buy, eBay, Amazon Web
sites the very next day of the Yahoo attack
39.2 DoS Attack: A Cyber Crime
• DoS is a crime, but of a new type - made possible by the existence of the Internet
• A new type of policing and legal system is required to tackle such crimes and their
perpetrators
• Internet does not know any geographical boundaries, therefore jurisdiction is a key
issue when prosecuting the cyber-criminal
Cyber crime can be used to …
• Damage a home computer
• Bring down a business
• Weaken the telecom, financial, or even defense-related systems of a country
Cyberwar!
• In 1997, blackouts hit New York City, Los Angeles
• The 911 (emergency help) service of Chicago was shut down
• A US Navy warship came under the control of a group of hackers
• What was happening? A cyber attack!
• All of the above did not happen in reality, but in a realistic simulation
• The US National Security Agency hired 35 hackers to attack the DoD’s 40,000
computer networks
• By the end of the exercise, the hackers had gained root-level (the highest-level!)
access to at least 3 dozen among those networks
Cyberwarfare:
A clear and present threat as well opportunity for all of the world’s armed force!
39.3 More cybercrimes …
Mail Bombing
• Similar in some ways to a DoS attack
• A stream of large-sized eMails are sent to an address, overloading the destination
account
• This can potentially shut-down a poorly-designed eMail system or tie up the
telecom channel for long periods
• Defense: eMail filtering
Break-Ins
• Hackers are always trying to break-in into Internet-connected computers to steal
info or plant malicious programs
• Defense: Intrusion detectors
Credit Card Fraud
• A thief somehow breaks into an eCommerce server and gets hold of credit numbers
and related info
• The thief then uses that info to order stuff on the Internet
• Alternatively, the thief may auction the credit card info on certain Web sites setup
just for that purpose
• Defense: Use single-use credit card numbers for your Internet transactions
Software Piracy
•Using a piece of SW without the author’s permission or employing it for uses not
allowed by the author is SW piracy

Introduction to Computing –CS101 VU
© Copyright Virtual University of Pakistan
277
•For whatever reason, many computer users do not consider it to be a serious crime, but
it is!
•Only the large rings of illegal SW distributors are ever caught and brought to justice
•Defense: Various authentication schemes. They, however, are seldom used as they
generally annoy the genuine users
Industrial Espionage
• Spies of one business monitoring the network traffic of their competitors
• They are generally looking for info on future products, marketing strategies, and
even financial info
• Defense: Private networks, encryption, network sniffers
Web Store Spoofing
• A fake Web store (e.g. an online bookstore) is built
• Customers somehow find that Web site and place their orders, giving away their
credit card info in the process
• The collected credit card info is either auctioned on the Web or used to buy goods
and services on the Web
39.4 Viruses
• Self-replicating SW that eludes detection and is designed to attach itself to other
files
• Infects files on a computers through:
– Floppy disks, CD-ROMs, or other storage media
– The Internet or other networks
• Viruses cause tens of billions of dollars of damage each year
• One such incident in 2001 – the LoveBug virus – had an estimated cleanup/lost
productivity cost of US$8.75 billion
• The first virus that spread world-wide was the Brain virus, and was allegedly
designed by someone in Lahore
One Way of Classifying Viruses
• Malicious
– The type that grabs most headlines
– May destroy or broadcast private data
– May clog-up the communication channels
– May tie-up the uP to stop it from doing useful work
Neutral
– May display an annoying, but harmless message
Helpful
– May hop from one computer to another while searching for and destroying
malicious viruses
Anatomy of a Virus
• A virus consists of 2 parts:
• Transmission mechanism
• Payload
Transmission Mechanism
• Viruses attach themselves to other computer programs or data files (termed as hosts)
• They move from one computer to another with the hosts and spring into action
when the host is executed or opened
Payload
• The part of the virus that generally consists of malicious computer instructions
• The part generally has two further components:
– Infection propagation component:
• This component transfers the virus to other files residing on the computer
– Actual destructive component:
• This component destroys data or performs or other harmful operations
Commonsense Guidelines
• Download SW from trusted sites only

Introduction to Computing –CS101 VU
© Copyright Virtual University of Pakistan
278
• Do not open attachments of unsolicited eMails
• Use floppy disks and CDROMs that have been used in trusted computers only
• When transferring files from your computer to another, use the write-protection
notches
• Stay away from pirated SW
• Regularly back your data up
• Install Antivirus SW; keep it and its virus definitions updated
Antivirus SW
• Designed for detecting viruses & inoculating
• Continuously monitors a computer for known viruses and for other tell-tale signs
like:
– Most – but, unfortunately not all – viruses increase the size of the file they infect
– Hard disk reformatting commands
– Rewriting of the boot sector of a hard disk
• The moment it detects an infected file, it can automatically inoculate it, or failing
that, erase it
39.5 Other Virus-Like Programs
• There are other computer programs that are similar to viruses in some ways but
different in some others
• Three types:
– Trojan horses
– Logic- or time-bombs
– Worms
Trojan Horses
• Unlike viruses, they are stand-alone programs
• The look like what they are not
• They appear to be something interesting and harmless (e.g. a game) but when they
are executed, destruction results
Logic- or Time-Bombs
• It executes its payload when a predetermined event occurs
• Example events:
• A particular word or phrase is typed
– A particular date or time is reached
Worms
• Harmless in the sense that they only make copies of themselves on the infected
computer
• Harmful in the sense that it can use up available computer resources (i.e. memory,
storage, processing), making it slow or even completely useless
Designing, writing, or propagating malicious code or participating in any of the fore-
mentioned activities can result in criminal prosecution, which in turn, may lead to jail
terms and fines!
Today’s Lecture:
• We found out about several types of computer crimes that occur over cyber space
• We familiarized ourselves with with several methods that can be used to minimize
the ill effects of these crimes
Next Lecture’ Goals
(Social Implications of Computing)
We will explore the impact of computing on:
Business
Work
Living
Health
Education

Introduction to Computing –CS101 VU
© Copyright Virtual University of Pakistan
279
Lecture 40
Social Implications of Computing
Focus of the last Lecture was on Cyber Crime
• We found out about several types of computer crimes that occur over cyber space
• We familiarized ourselves with with several methods that can be used to minimize
the ill effects of these crimes
Three Phases of the DoS
1.Search
2.Arm
3.Attack
Neutralizing the Attack
• The engineers responsible for monitoring the traffic on the Yahoo Web sites
quickly identified the key characteristics of the packets originating from those drones
• Then they setup filters that blocked all those packets
How to stop DoS attacks from taking place?
• Design SW that monitors incoming packets, and on noticing a sudden increase in
the number of similar packets, blocks them
• Convince system administrators all over the world to secure their servers in such a
way that they cannot be used as drones
Cyber crime can be used to …
• Damage a home computer
• Bring down a business
• Weaken the telecom, financial, or even defense-related systems of a country
Mail Bombing
• A stream of large-sized eMails are sent to an address, overloading the destination
account
• This can potentially shut-down a poorly-designed eMail system or tie up the
telecom channel for long periods
• Defense: eMail filtering
Break-Ins
• Hackers are always trying to break-in into Internet-connected computers to steal
info or plant malicious programs
• Defense:
– Firewalls
– Intrusion detectors
– Other effective security policies
Credit Card Fraud
• A thief somehow breaks into an eCommerce server and gets hold of credit numbers
and related info
• The thief then uses that info to order stuff on the Internet
• Alternatively, the thief may auction the credit card info on certain Web sites setup
just for that purpose
• Defense: Use single-use credit card numbers for your Internet transactions
Software Piracy
• Using a piece of SW without the author’s permission or employing it for uses not
allowed by the author is SW piracy
• Defense: Various authentication schemes. They, however, are seldom used as they
generally annoy the genuine users
Industrial Espionage
• Spies of one business monitoring the network traffic of their competitors
• They are generally looking for info for future products, marketing strategies, and
even financial info
• Defense: Private networks, encryption, network sniffers

Introduction to Computing –CS101 VU
© Copyright Virtual University of Pakistan
280
Viruses
• Self-replicating SW that eludes detection and is designed to attach itself to other
files
• Infects files on a computers through:
– Floppy disks, CD-ROMs, or other storage media
– The Internet or other networks
Anatomy of a Virus
A virus consists of 2 parts:
• Transmission mechanism
• Payload
Other Virus-Like Programs
• There are other computer programs that are similar to viruses in some ways but
different in some others
• Three types:
– Trojan horses
– Logic- & time-bombs
– Worms
Today’s Goals:
(Social Implications of Computing)
• We will try to understand the impact of computing on:
– Business
– Work
– Living
– Health
– Education
40.1 Introduction
• It should be clear to you that - for better or worse - the future of computing and
the future of humankind are highly interdependent
• Computers have solved many problems for the humankind but have created a few
tricky ones as well
• Today we will discuss both, but first …
• Why is it important to discuss the social implication of computing?
Why should we, as computing professionals, be interested in studying the
social implications of our creations?
• Computing technology has changed our way of life like no other technology
• We need to study how it has done it to highlight the mistakes and success stories of
the past
• We need to do it so that we can learn from them and select our future direction
accordingly
Let’s Start with the Dilemma of Computing
• Computers keep on becoming more and more powerful and gaining more and
more autonomy
• They are being equipped with fail-safe and self-healing technologies
• Are we heading towards a future where the role of the masters and the slaves will
be switched?
• Should we slow down or even reverse some of the technology advances to avoid
that dark scenario?
40.2 Powerful Global Corporations
• Internet-based communication is allowing business entities to coordinate the
activities of their globally-spread units with greater accuracy
• The knowledge gained by one unit becomes available to all others very quickly
• All this has made these business entities very powerful, even more powerful than
many nation-states
40.3 The Network Organization

Introduction to Computing –CS101 VU
© Copyright Virtual University of Pakistan
281
• The network paradigm (all connected to many others) is becoming the preferred
organizational structure of more and more organizations as time goes by
• This new organization is replacing the old-style layered, tree-structured
organizational model
• The organizations are learning that business can be done in a more effective
manner if emphasis is placed upon cooperation, shared responsibility and networking:
– Within the organization
– And also with their customers and suppliers
The structure of the networked organization is flexible (although, at times a bit chaotic!),
and changes according to the demand of the times
• It shares knowledge and decentralizes the control of the operation so that network
works effectively to meet the business goals of the organization
• The workers :
– Can spend more time doing creative work as they have immediate access to all of
the required info through various computer-based technologies
– Have a sense of ownership in the organization
While old professions are being eliminated …
• Typists
• Bank tellers
• Telephone operators
Number of Temporary Workers is on the Rise
• Even technical professionals of high-quality must now define themselves as
temporary consultants, able to move from project to project within in an organization as
well as among different organizations
• In the old days, loyalty was important, now professionalism and ability to perform
are the watch words!
• The focus now in many computer-centric organizations is not belonging to the
organization, but on professional competency and quality of work
Businesses Monitoring Their Employees
• Systems are available that monitor almost every key stroke that an employee makes
on a computer
• Systems are available that read and censor all incoming and outgoing eMail
• It is quite straight forward to monitor where you surf, and when
40.4 Working from Home
• Computing has made it possible for some to avoid going the office for their work
• They can do their work from home and communicate their ideas, questions,
answers to their colleagues through the Internet
• This gives them more time to spend with their families due to the time they save on
commuting to their place of work
Working from Home: Disadvantages
• Contact with the colleagues and the quality of communication is reduced, which
may result in a poorer quality of work
• Lack of interaction may also result in slower professional growth
• Family life may suffer as well, as some never turn off, and keep on working through
out the day, evening and night!
40.5 From Mass- to Personalized-Marketing
• In the old days demographical data was analyzed and mass-marketing campaigns
were launched to influence a reasonable portion of the population
• The Web has changed marketing forever, redirecting it from a mass focus to a
single-person focus
• Our Web surfing data are captured. We are asked questions about our lifestyle in
return of randomly awarded prizes
• All the collected data is then analyzed to determine patterns in our behavior, and
individualized offers for services and goods are displayed in front of us on the Web or
eMail

Introduction to Computing –CS101 VU
© Copyright Virtual University of Pakistan
282
40.6 The Political Process
• We no longer need to gather the public’s opinion through expensive referenda or
public meetings
• Through computer discussion forums, newsgroups and mailing-lists, public and
politicians may engage in a free, open exchange of ideas without leaving the
comfort of their not-so-comfortable and very comfortable homes, respectively
Distances Have Contracted
• Because of the ever-decreasing costs of verbal, text, video communications, it is
becoming easier to stay in touch of anyone, regardless of their physical location
• This has had a profound effect on small businesses, especially in developing
countries like Pakistan
• It has also made it possible for families and friends to become closer in spite of the
physical distance between them
Distances Are Increasing
• Television was bad enough; Video games and the Web has made the situation even
worse
• Families are spending less & less time together in spite of the physical closeness.
This may have a very detrimental effect on the emotional well-being of the children,
… and parents
• Solitude is the order of the day as many children & adults spend their free time
surfing, chatting, playing computer games, instead of spending it on interacting with
friends or family
Virtual Communities
• Interest-based, instead of geography-based communities
• Ex: Ta’suv’voof, tennis, telepathy, cancer
• Members with common interest share ideas, ask questions, post answers and make
announcements through mailing-lists, news groups or message boards
• These communities are definitely very different from traditional ones
• There are generally no bars on membership based on gender, race or religion
• However, they may lack the respect for the individual and civility that are the norm
within conventional, geography-based communities
A Society Under Surveillance
• While surfing, we are being watched, constantly
• Our every click is recorded and analyzed to extract patterns and behaviors
• Those patterns are then used to persuade us to do things that those Web sites want
us to do
• Webcams are becoming common. Providing a cheap way for parents to watch
their children's every move
The Changing Face of Education
• Distance learning has received a boost due to the low-price of Internet
communication and the availability of Web-based interactive content
• It has also become possible for students to interact in real-time with other students
as well as teachers located a long distance from them
• Physical location is less of a hindrance now
• Students enrolled in distance-education programs have more control over what they
want to learn, how they want to learn, and when
• The lack of face-to-face interaction and immediate to-and-fro questions and
answers may, however, reduce the amount of knowledge that can be transferred
from the teacher to the student
• In spite of that problem, computer-based distance education may be the only
source of high-quality education for many, especially those in remote locations
• The fact, however, remains that the best mode of education is the conventional
one, which has become more effective with the augmentation of computer-based
learning aids
Info Gathering

Introduction to Computing –CS101 VU
© Copyright Virtual University of Pakistan
283
• We are turning more and more towards online resources of info
• The info that just a few years back involved effort and time to pull together before
it could be used is now literally a few key strokes away
• The time and effort spent on gathering info can now be spent on using it
• This capability has made the computer an active (and integral) part of our creative
process
Telemedicine
• How can we place a doctor specializing in, for example, skin-related diseases or
neurology in every district’s hospital?
• We cannot! What then? Ignore all those not residing in big cities?
• Solution: Internet-based telemedicine
• An audio/video/text connection combined with a few remote medical instruments
and a trained assistant can enable a remote doctor to examine and prescribe
medicine to a patient far, far away
Is Progress Necessary?
• Progress is being made every day in the field of computing. The question that we
need to ask is: “Are we going in the right direction?”
• Is it OK to make available all sorts of info to everyone? Does everyone needs to
know how to build an H-bomb?
• Is it OK to keep on investing in surveillance technologies? Do personal privacy
have no place in our technologically advanced future?
• Is it OK to automate everything that we lay our eyes on? Or certain things (e.g.
caring for an infant) should remain with us old-fashioned human beings
Closure
• Your answers to the questions that I just raised may differ from mine, and I respect
your opinion. All I say is, yes, progress is inventible, however, you – the creators of
my future – should be a bit thoughtful about what you do
I command you to “go and invent the future,” it is your duty and you may not desist
from it, but, please, do think about the social implications and consequences of what you
are doing before actually doing it
Today’s Lecture:
(Social Implications of Computing)
We discussed the impact of computing on:
– Business
– Work
– Living
– Health
– Education
Next Lecture’ Goals:
(The Computing Profession )
• Roles & responsibilities of a modern computer professionals
• The ethical issues facing the computing profession

Introduction to Computing –CS101 VU
© Copyright Virtual University of Pakistan
284
Lecture 41
Images & Animation
(Web Development Lecture 14)
During the last lecture we discussed String Manipulation
• We became familiar with methods used for manipulating strings
• We became able to solve simple problems involving strings
String Manipulation in JavaScript
• In addition to the concatenation operator (+) JavaScript supports several advanced
string operations as well
• Notationaly, these functions are accessed by referring to various methods of the
String object
• Moreover, this object also contains the ‘length’ property
String Methods
FORMAT
string.methodName( )
EXAMPLE:
name = “Bhola” ;
document.write( name.toUpperCase( ) ) ;
document.write( name.bold( ) ) ;
Two Types of String Methods
1.HTML Shortcuts
2.All Others
String Methods: HTML Shortcuts
String Methods: All Others
Automatic Conversion to Strings
• Whenever a non-string is used where JavaScript is expecting a string, it converts
that non-string into a string
• Example:
BHOLABhola
bold( )
italics( )
strike( )
sub( )
sup( )
big( )
small( )
fontsize( n )
fixed( )
fontcolor( color )
link( URL )
toLowerCase( )
toUpperCase( ) charAt( n )
substring( n, m )
indexOf( substring, n )
lastIndexOf( substring, n )
split( delimiter )

Introduction to Computing –CS101 VU
© Copyright Virtual University of Pakistan
285
– The document.write( ) method expects a string (or several strings, separated by
commas) as its argument
– When a number or a Boolean is passed as an argument to this method, JavaScript
automatically converts it into a string before writing it onto the document
The ‘+’ Operator
• When ‘+’ is used with numeric operands, it adds them
• When it is used with string operands, it concatenates them
• When one operand is a string, and the other is not, the non-string will first be
converted to a string and then the two strings will be concatenated
Strings In Mathematical Expressions
When a string is used in a mathematical context, if appropriate, JavaScript first converts
it into a number. Otherwise, a “NaN” is the result
document.write( "2" * Math.PI ) ;
document.write( "Yes" ^ 43 ) ;
The ‘toString’ Method
Explicit conversion to a string
EXAMPLE:
Convert 100.553478 into a currency format
a = 100.553478 ;
b = a.toString( ) ;
decimalPos = b.indexOf( ".", 0 ) ;
c = b.substring( 0, decimalPos + 3 ) ;
document.write( c ) ;
Conversion from Strings
parseInt( ) and parseFloat( ) methods
Today’s Goal
(Images & Animation)
• To become able to add and manipulate images and simple animations to a Web
page
Images in HTML
• It is quite straight forward to include gif and jpg images in an html Web page using
the <IMG> tag
Format: <IMG src=URL, alt=text height=pixels width=pixels
align="bottom|middle|top">
Plea: Don’t use images just for the sake of it!
6.283185307179586
NaN
100.55

Introduction to Computing –CS101 VU
© Copyright Virtual University of Pakistan
286
<HTML><HEAD>
<TITLE>Image Demo</TITLE>
</HEAD><BODY>
<H1>Image Demo</H1>
Here is an image <IMG src="die5.gif">
<IMG src="die5.gif" height="63" width="126"> <P>
Here is another <IMG align="middle" src=
"http://www.vu.edu.pk/images/logo/logotop.jpg">
</BODY></HTML>
41.1 Images in JavaScript
• Images in JavaScript can be manipulated in many ways using the built-in object
Image
• Properties: name, border, complete, height, width, hspace, vspace, lowsrc, src
• Methods: None
• Event handlers: onAbort, onError, onLoad, etc.
Image Preloading
• The primary use for an Image object is to download an image into the cache before
it is actually needed for display
• This technique can be used to create smooth animations or to display one of several
images based on the requirement
The Image Pre-Loading Process
1. An instance of the Image object is created using the new keyword
2. The src property of this instance is set equal to the filename of the image to be pre-
loaded
3. That step starts the down-loading of the image into the cache without actually
displaying it
4. When a pre-loaded image is required to be displayed, the src property of the
displayed image is set to the src property of the pre-fetched image

Introduction to Computing –CS101 VU
© Copyright Virtual University of Pakistan
287
Let us revisit an example that we first saw in lecture 35
* *
**

Introduction to Computing –CS101 VU
© Copyright Virtual University of Pakistan
288
<HTML>
<HEAD>
<TITLE>Roll the Die</TITLE>
<SCRIPT>
JavaScript Code
</SCRIPT>
</HEAD>
<BODY >
HTML Code
</BODY>
</HTML>
<IMG name="die" src="die6.gif">
<FORM>
<INPUT type="button" value="Roll the Die"
onClick="rollDie( )">
</FORM>
dieImg = new Array( 7 ) ;
for( k = 1; k < 7; k = k + 1 ) { //Preload images
dieImg[ k ] = new Image( ) ;
dieImg[ k ].src = "die" + k + ".gif" ;
}
function rollDie( ) {
dieN = Math.ceil( 6 * Math.random( ) ) ;
document.die.src = dieImg[ dieN ].src ;
}
die1.gif die2.gif die3.gif
die4.gif die5.gif die6.gif

Introduction to Computing –CS101 VU
© Copyright Virtual University of Pakistan
289
Another Example
• Develop a Web page that displays six thumbnail images and a main image
• The main image should change to a larger version of the thumbnail as soon as the
mouse moves over on a thumbnail image
<HTML>
<HEAD>
<TITLE>Image Selector</TITLE>
<SCRIPT>
JavaScript Code
</SCRIPT>
</HEAD>
<BODY >
HTML Code
</BODY>
</HTML>
dieImg = new Array( 7 ) ;
for( k = 1; k < 7; k = k + 1 ) { // Preload images
dieImg[ k ] = new Image( ) ;
dieImg[ k ].src = "die" + k + ".gif" ;
}
<IMG name="big" src="die6.gif" width="252" height="252"><P>
<IMG src="die1.gif" width="63" height="63"
onMouseOver=
"document.big.src=dieImg[ 1 ].src">
…

Introduction to Computing –CS101 VU
© Copyright Virtual University of Pakistan
290
…
<IMG src="die6.gif" width="63" height="63"
onMouseOver=
"document.big.src=dieImg[ 6 ].src">
Where Else Can We Use This?
• Automobile Web site
• ???
Animation Example 1
• Take 16 images and cycle through them to create an animation effect
<HTML>
<HEAD>
<TITLE>Animation 1</TITLE>
<SCRIPT>
JavaScript Code
</SCRIPT>
</HEAD>
<BODY >
HTML Code
</BODY>
</HTML>
<CENTER>
<IMG name="circle" src="circle1.gif" onLoad="setTimeout( 'circulate( )', gap
)">
</CENTER>
gap = 100 ;
imageN = 1 ;
circImg = new Array( 17 ) ;
for( k = 1; k < 17; k = k + 1 ) { // Preload images
circImg[ k ] = new Image( ) ;
circImg[ k ].src = "circle" + k + ".gif" ;
}
setTimeout( ) executes circulate( ) once after a delay of
g
a
p
milliseconds
1 2 34
5 6 7 8

Introduction to Computing –CS101 VU
© Copyright Virtual University of Pakistan
291
function circulate( ) {
document.circle.src =
circImg[ imageN ].src ;
imageN = imageN + 1 ;
if( imageN > 16 )
imageN = 1 ;
}
Animated Gifs
• We could have saved the 16 gif images of the previous example in a single file in the
form of an animated gif, and then used it in a regular <IMG> tag to display a moving
image
• However, JavaScript provides better control over the sequencing and the gap
between the individual images
Animation Example 2
• Take 16 images and cycle through them to create an animation effect
• Provide buttons to slow down or speed up the animation
<HTML>
<HEAD>
<TITLE>Animation 2</TITLE>
<SCRIPT>
JavaScript Code
</SCRIPT>
</HEAD>
<BODY >
HTML Code
</BODY>
</HTML>
9 10 11 12
13 14 15 16

Introduction to Computing –CS101 VU
© Copyright Virtual University of Pakistan
292
<CENTER>
<IMG name="circle" src="circle1.gif" onLoad="setTimeout( 'circulate( )',
gap )">
</CENTER>
<FORM>
<INPUT type="button" value="Slow Down"
onClick="slowDown( )">
<INPUT type="button" value="Speed Up"
onClick="speedUp( )">
</FORM>
gap = 100 ;
imageN = 1 ;
circImg = new Array( 17 ) ;
for( k = 1; k < 17; k = k + 1 ) { // Preload images
circImg[ k ] = new Image( ) ;
circImg[ k ].src = "circle" + k + ".gif" ;
}
function circulate( ) {
document.circle.src =
circImg[ imageN ].src ;
imageN = imageN + 1 ;
if( imageN > 16 )
imageN = 1 ;
}
function slowDown( ) {
gap = gap + 20 ;
if( gap > 4000 )
gap = 4000 ;
}
function speedUp( ) {
gap = gap - 20 ;
if( gap < 0 )
gap = 0 ;
}
No change
No change
Two new
functions

Introduction to Computing –CS101 VU
© Copyright Virtual University of Pakistan
293
41.2 Flash Animation
• Designed for 2-D animations, but can be used for storing static vector-images as
well
• A special program (called a plug-in) is required to view Flash files in a Web browser
• Can be used to design complete, animated Web sites with hardly any HTML in it
• Binary-file storage
Structured Vector Graphics
• New format; may become more popular than Flash
• Plug-in required
• Text-file storage; search engine friendly
During Today’s Lecture …
• We became able to add and manipulate images and simple animations to a Web
page
Our 15th & Final Web Dev Lecture:
(Programming Methodology)
• To understand effective programming practices that result in the development of
correct programs with minimum effort
• To become familiar with simple debugging techniques

Introduction to Computing –CS101 VU
© Copyright Virtual University of Pakistan
294
Lecture 42
The Computing Profession
Focus of the last Lecture was on Social Implications of Computing
We discussed the impact of computing on:
– Business
– Work
– Living
– Health
– Education
Why should we, as computing professionals, be interested in studying the social
implications of our creations?
• Computing technology has changed our way of life like no other technology
• We need to study how it has done it to highlight the mistakes and success stories of
the past
• We need to do it so that we can learn from them and select our future direction
accordingly
Dilemma of Computing
• Are we heading towards a future where the role of the masters and the slaves will
be switched?
• Should we slow down or even reverse some of the technology advances to avoid
that dark scenario?
Powerful Global Corporations
• Internet-based communication is allowing business entities to coordinate the
activities of their globally-spread units with greater accuracy
• All this has made these business entities very powerful, even more powerful than
many nation-states
The Network Organization
• The network paradigm (all connected to many others) is becoming the preferred
organizational structure of more and more organizations as time goes by
• This new organization is replacing the old-style layered, tree-structured
organizational model
Working from Home
• Computing has made it possible for some to avoid going the office for their work
• They can do their work from home and communicate their ideas, questions,
answers to their colleagues through the Internet
• This gives them more time to spend with their families due to the time they save on
commuting to their place of work
From Mass- to Personalized-Marketing
• The Web has changed marketing forever, redirecting it from a mass focus to a
single-person focus
The Political Process
• Through computer discussion forums, newsgroups and mailing-lists, public and
politicians may engage in a free, open exchange of ideas without leaving the comfort of
their not-so-comfortable and very comfortable homes, respectively
Distances Have Contracted
• Because of the ever-decreasing costs of verbal, text, video communications, it is
becoming easier to stay in touch with anyone, regardless of their physical location
Distances Are Increasing
• Solitude is the order of the day as many children & adults spend their free time
surfing, chatting, playing computer games, instead of spending it on interacting with
friends or family
Virtual Communities
• Interest-based, instead of geography-based

Introduction to Computing –CS101 VU
© Copyright Virtual University of Pakistan
295
A Society Under Surveillance
• While surfing, we are being watched, constantly
The Changing Face of Education
• Distance learning has received a boost due to the low-price of Internet
communication and the availability of Web-based interactive content
The Changing Face of Education
• The fact, however, remains that the best mode of education is the conventional
one, which has become more effective with the augmentation of computer-based
learning aids
Info Gathering
• The time and effort spent on gathering info can now be spent on using it
Telemedicine
• An audio/video/text connection combined with a few remote medical instruments
and an on-site trained assistant can enable a doctor to examine and prescribe medicine to
a patient far, far away
Closure
• I command you to “go and invent the future,” it is your duty and you may not
desist from it, but, please, do think about the social implications and consequences of
what you are doing before actually doing it
Today’s Goals:
(The Computing Profession)
• To discuss several roles and associated responsibilities of modern computer
professionals
• To discuss a few tricky situations where a knowledge of professional ethics would
help
42.1 IT: Information Technology
The group of technologies concerned with the capture, processing and transmission of
information in the digital-electronic form
Who is a computing professional?
• Professionals involved in the development and/or maintenance of SW and/or
computer HW
• Computer scientists, software engineers, computer engineers, and some of the
telecom engineers are generally classified as computing professionals
Computer
Engineering
Computer
Science
Telecom
Engineering
Software
Engineering
INFORMATION
TECHNOLOGY

Introduction to Computing –CS101 VU
© Copyright Virtual University of Pakistan
296
Today’s Focus Group
• Due to the limitation on time, today we will be focusing only on a subset of
computing professionals: those involved in the development of SW
• Let us further restrict discussion to the computing professionals belonging to an
organization focused solely on custom, SW development
• They work in a 100-person organization – pretty big on a local scale, but quite
insignificant on an international one
42.2 Organization: A Collection of Teams
Development Team
• The number of development teams has varied between 3-7 at this organization
• Team-size has varied between 3-35
• Large teams are organized as a collection of sub-teams
• Lowest-level team: No more than 7 members
• Responsible for a project from after the specifications stage till the very end
Project Manager
• Responsibilities:
– Planning and tracking of the project
– Arranging of the appropriate resources
– lient relationship management
• Profile:
– 5+ years of team-lead experience
– Professional development course(s) in SW project management
– Technical MS and/or Technical BS + MBA
Architect
• Responsibilities:
Executive Team
CEO, COO,
CMSO
Development
Team B
Quality
Assurance Team
Configuration
Management Team Support
Team
Development
Team C Developmen
t
Team D
Developmen
t
Team A
Technology
Transfer
Team
Architecture
Team
Process
Team
Business
Development Team

Introduction to Computing –CS101 VU
© Copyright Virtual University of Pakistan
297
– Technology selection
– High-level design
– Makes certain that the implementation remains true to the design
• Profile:
– 10-15 years of development experience
– In-depth experience in several technologies
– MS or PhD in a technical discipline
Executive
Team
Project Manager
Part-time Architect
Part-time
Team
Lead
Small
Project
Client’s
Project
Manager
Developer
A Developer
E
Developer
D
Developer
C
Developer
B

Introduction to Computing –CS101 VU
© Copyright Virtual University of Pakistan
298
Team Lead
• Responsibilities:
– Planning and tracking of the project
– Detailed design
– Professional development of team members
– In case of small teams, development activities
• Profile:
– 5+ years of development experience
– Excellent interpersonal skills
– Good planning skills
– Good design skills
Developer
• Responsibilities:
– Module-level design
– Coding
– Unit-testing
• Profile:
– Technical BS
Executive Team
• CEO – Chief Executive Officer
– Developer of the vision of the organization
– Great PR skills
– Great knack for spotting talent
• COO – Chief Operating Officer
– Responsible for the day-to-day operations
– Great organizational & interpersonal skills
• CMSO – Chief Marketing & Sales Officer
– Responsible for bringing in work
– Innovative

Introduction to Computing –CS101 VU
© Copyright Virtual University of Pakistan
299
Executive
Team
Project
Manage
r
Project
Architect
Sub-team
1
Lead
Bigger
Project
Client’s
Project
Manager
Sub-team
2
Lead
A D C B
A D C B
E F G
Sub-team 3
Lead
A
C
B

Introduction to Computing –CS101 VU
© Copyright Virtual University of Pakistan
300
Business Development Team
• 1-2 members
• Responsible for the development of detailed proposals for projects
• Profile of Members:
– Combination of technical and business expertise
– Good oral & written communication skills
– Combination of technical & business degrees
Architecture Team
• 2-3 members
• Consists of the sharpest technical minds in the company
Configuration Management Team
• 2-3 members
• Keeps a vigilant eye on the process that keeps an extensive record of all versions of
everything that is ever developed for a particular project: from proposals to
specifications to plans to design to code
Process Team
• 1-2 members
• Team’s goal: To continuously improve the SW development process to achieve
improvements in cost, schedule, and quality
• Continuously monitors how SW is developed in the organization
• Encourages and assists all teams and team-members in improving their part in the
SW development process
Quality Assurance Team
• Around 20 members
• Responsible for assuring the quality of all SW (i.e. making sure that it does what it is
supposed to) that is produced at the organization
• Nothing goes to the customer without the approval of the QA team
Technology Transfer Team
• The size of this team varies with the amount of work at the organization – when
the times are good, this team is quite small
• This team is responsible for:
– Evaluating new technologies, products, processes
– Selecting the ones that are right for the organization
– Developing an expertise in their use
– Introducing them in various ongoing/future projects
Support Team
• 2-3 members
• Members possess expertise in both HW & SW
• Responsible for the maintenance, expansion, improvement of the infrastructure
consisting of:
– Workstations, servers, printers
– Networking equipment (router, switch, hub)
– SW (OS, development SW, productivity SW, etc.)
– Network security
That brings us to the end of our discussion on various roles and the associated
responsibilities in the computing profession. Now we move on to another topic related
to our profession, Ethics!
Ethics
• Ethics is a collection of heuristics that, when followed, improves our way of life
• I find them wonderful as they simplify my life
• For example, if you believe in the heuristic always tell the truth, your life becomes
much simpler
• Now, you don’t have to think before you make every statement that you make
“Shall I tell the truth, or lie?”

Introduction to Computing –CS101 VU
© Copyright Virtual University of Pakistan
301
Professional Ethics
• Professional ethics are a category of ethics, and here we discus the professional
ethics relevant to computing
• Awareness of professional ethics is gaining importance with time as the decision-
making process in the work place keeps on increasing in complexity
• The professional ethics provide a way of simplifying that decision making process
Let us now discuss a few situations where I will request you for your ethical opinions
Situation 1: Illegal Use
• A person is using a piece of SW without the author’s permission and says: “I’m not
really using it, I’m just evaluating it before I make a firm decision on buying”
• That person is “evaluating” that piece of SW for 13 months now!
• Is the conduct of that person ethical?
Situation 2: Vaporware
• A small company announces a new SW product
• A larger, more established competitor hears about that product, and starts a
whispering campaign that she is also working on a similar product that will be released
soon
• Potential customers decide to wait for the product instead of making the more
riskier purchase from the smaller company
• The new company’s sales become sluggish, and it fails to earn back the investment
that it has put into developing that new product. That results in her closure
• The larger company never releases the promised product
• Is the conduct of that large company unethical or a reasonable business tactic?
Situation 3: Whistle Blower
• SW bugs, at times, have catastrophic consequences
• While Bhola sahib was working for a contractor at NASA, he found such a bug and
reported it to his boss, Murphy sahib, who ordered him to never mention it to any one,
or he will get fired
• Bhola sahib got scared, and did as he was told
• Did Bhola sahib’s behave in an ethical manner? Would you hire him in your
company?
Situation 4: Trade Secrets
• Bhola sahib was working at BholiSoft
• He leaves it to work for a competitor, SuperSoft
• Even before starting at SuperSoft, he already has divulged many of the trade secrets
of BholiSoft during his interviews at SuperSoft, giving them an advantage over BholiSoft
• Do you agree with Bhola Sahib’s ethics? Would you hire him in your company?
Today’s Lecture:
(The Computing Profession)
• We discussed several roles and associated responsibilities of modern computer
professionals
• We also discussed a few tricky situations where a knowledge of professional ethics
would have helped
Next Lecture’ Goals:
(The Future of Computing)
• To visualize the advances in computing that will take place in the future
• To visualize the impact of computing on our future

Introduction to Computing –CS101 VU
© Copyright Virtual University of Pakistan
302
Lecture 43
The Future of Computing
Focus of the last Lecture was on the Computing Profession
• We discussed several roles and associated responsibilities of modern computer
professionals
• We also discussed a few tricky situations where a knowledge of professional ethics
would have helped
Who is a computing professional?
• Computer scientists, software engineers, computer engineers, and some of the
telecom engineers are generally classified as computing professionals
Today’s Focus Group
• Due to the limitation on time, today we will be focusing only on a subset of
computing professionals: those involved in the development of SW
Organization: A Collection of Teams
Development Team
• Responsible for a project from after the specifications stage till the very end
Project Manager
• Responsibilities:
– Planning and tracking of the project
– Arranging of the appropriate resources
– Client relationship management
Architect
• Responsibilities:
– Technical guru of the project
– Technology selection
– High-level design
– Makes certain that the implementation remains true to the design
Team Lead
• Responsibilities:
– Planning and tracking of the project
– Detailed design
– Professional development of team members
– Development activities, in case of small teams
Developer
• Responsibilities:
– Module-level design
– Coding
– Unit-testing
Executive Team
• CEO – Chief Executive Officer
– Developer of the vision of the organization
– Great PR skills
– Great knack for spotting talent
• COO – Chief Operating Officer
– Responsible for the day-to-day operations
– Great planning & interpersonal skills
• CMSO – Chief Marketing & Sales Officer
– Responsible for bringing in work
– Innovative
Business Development Team
• Responsible for the development of detailed proposals for projects
Architecture Team
• Consists of the sharpest technical minds in the company

Introduction to Computing –CS101 VU
© Copyright Virtual University of Pakistan
303
Configuration Management Team
• Keeps a vigilant eye on the process that keeps an extensive record of all versions of
everything that is ever developed for a particular project: from proposals to
specifications to plans to design to code
Process Team
• Team’s goal: To continuously improve the SW development process to achieve
improvements in cost, schedule, and quality
Quality Assurance Team
• Responsible for assuring the quality of all SW (i.e. making sure that it does what it is
supposed to) that is produced at the organization
Technology Transfer Team
• This team is responsible for:
– Evaluating new technologies, products, processes
– Selecting the ones that are right for the organization
– Developing an expertise in their use
–I ntroducing them in various ongoing/future projects
Support Team
• Responsible for the maintenance, expansion, improvement of the infrastructure
consisting of:
– Workstations, servers, printers
– Networking equipment (router, switch, hub)
– SW (development SW, productivity SW, etc.)
– Network security
Ethics
• Ethics is a collection of heuristics that, when followed, improves our way of life
• I find them wonderful as they simplify my life
Professional Ethics
• Professional ethics are a category of ethics, and here we discus the professional
ethics relevant to computing
• The professional ethics provide a way of simplifying our decision making process
• We also looked at few situations where a knowledge of professional ethics would
have simplified the process of decision making
Today’s Goals:
(The Future Of Computing)
• To visualize the advances in computing that will take place in the future
• To visualize the impact of computing on our future
Computing & Telecommunications
• The two fields are converging, and, as time passes, are becoming more and more
indistinguishable from each other
• Therefore, when we talk about the future of one, we must talk about the future of
both
My Personal Mobile Communicator
• Probably 15-20 years from now …
• Body-embedded uPhone, head-phone, processor
• Voice-only control interface
• The user mumbles, only the uPhone hears
• Longer term: the user only thinks commands and speech and feels the response
from the other end; no actual sounds are made
Required Computing Technologies
• Miniature uPs, RAM, ROM
• Continuous speech recognition
A Mobile Video-Phone
• The technology is available; the infrastructure will become common in 2-5 years
time

Introduction to Computing –CS101 VU
© Copyright Virtual University of Pakistan
304
• However, it may never become as popular as a regular voice-only phone as it will be
too cumbersome to use
My Personal Agent
• A computer program that will works autonomously and will have a voice-interface
• It may start becoming popular in 5-year's time
• Will be able to have an intelligent conversation with me
• I say: “I need two tickets for Hong Kong for tomorrow morning”
• It already knows where I am, what my airline preferences are, and what are my
credit-card details
• It will asks me about the return leg of the journey and about hotel reservations as
well
• I say: “I’m depressed” or “I’m tired” or “I’m bored” or “I’m angry” or “I’m feeling
sick” and it will know how to respond to situations like that
• For example, when I feel sick, it can ask simple questions and then set-up an
appointment with an appropriate doctor by getting in touch with that doctor’s personnel
agent
• It can remind me about various events
• It keeps me updated with news, weather, stock market, etc
• I communicate with it through my personal communicator as well as my computer
• It knows that when I am near a computer display, and writes appropriate info to the
screen
Required Computing Technologies
• Continuous speech recognition
• Intelligent, autonomous decision making SW
The key weakness of the Web?
• The Web (as it currently exists) was designed for humans to read, not for
computers to understand and manipulate meaningfully
• Computers face great problems in dealing with the current text- and graphics-based
content of the Web
Future of the Web: Semantic Web
Whereas, today’s Web’s content is designed for humans to read; the Semantic Web’s
content will be designed for computers to understand meaningfully. However, the
Semantic Web is not a replacement but an extension of the present Web, in which info is
given well defined meaning
Smaller, Faster, Cheaper, More Efficient
• All types of computers are becoming more powerful, smaller in size, consume less
energy, and cost less than before
• 10 years from now we may have the power of today’s most powerful
supercomputer in a package no bigger than a common brick
• However, the size may not be relevant as a time is coming when computing power
will be like the electric power service that we use at home or office
Electrical Supply
• We do not buy a new electric plant when we install a new air conditioner. Do we?
• We just plug it in, and it works!
• As we use more and more electricity, our monthly bills go up, but importantly, we
are not required to do much else – same will be true for computing power on 10 year
horizon
Computing Power that Flows
• These days when our computing needs exceed our resources, we buy a new
computer
• In the future, if we suddenly start doing huge data mining tasks instead of just doing
simple accounting on our computer …
• … we will start using more computing power, but our computer (or console, or
terminal) will stay the same, only our monthly “computing usage” bill will change
On-Demand Computing Power

Introduction to Computing –CS101 VU
© Copyright Virtual University of Pakistan
305
• Almost infinite “computing power” supply
• Reliable, maintenance-free, just like the electricity, telephone, or water-supply
service
• You pay for only what you use!
• Same will be true for storage
Computer Terminals of the Future
• The first question is, would we have any?
• It may happen that computers will be everywhere, but hidden!
• If that does not happen, then they will consist of a display only; input will be
through voice-commands and/or touch on the screen only (5-10 years from now)
• In a more distant future, just through thinking!
Displays
• The demise of the CRT monitors has already started, and their replacement with
LCD is gaining pace with steadily dropping prices
• Like CRT monitors, LCDs are 2-D displays
• Display of the future, however, will have to be a 3-D one
• The 3-D illusion will be created through goggles or by directly writing the images
on our retinas
Storage
• Magnetic storage on disks will stay with us for a long time, at least two decades
• Data densities will improve steadily with time
• Optical disks will keep on getting better (currently the BlueRay DVD can store
more than 50GB)
• However, the mechanical nature of these technologies will not be able to keep up
with the speed of the computers of the future and the enormous capacity requirements
of the future
• Semiconductor memory will keep on becoming faster, denser, cheaper but will
never have the capacity/price ratio of the magnetic/optical disks
• Disks too slow! RAM too expensive! What then?
• Some never-heard-before technology or possibly, holographic optical storage
Holographic Storage
• Digital data stored in and read from a 3-D optical material with the help of lasers
• Depending upon the material, they could be read-only or R/W
• The data density (quantity of data stored per unit volume) will be millions of times
more than anything available today
• The concept has been validated but commercial applications are at least 10 years
away
Data Transmission
• Our homes and offices will be hooked up to the Internet through optical fiber or a
free-space optical connection
• However, most devices within the house and office will be connected to each other
and the main Internet connection through wireless connections
• The bit-rates will be enormous by today’s standards
The Fully Connected House
• Wall to wall computers, but hidden!
• Kitchens will be full of them
• Air conditioners, lights, security alarms, entertainment and communication systems
• Each house will have 100’s of uPs, all talking to many others through wireless links,
always trying to make us more comfortable while conserving energy and other resources
Telepresence
• Being there, without physically being there!
• Two remotely located people, with the help of special equipment, immersed in a
simulated 3-D environment where they interact like they are sitting next to each other
• Chatting, a telephone conversation, or even a videoconference are examples, but in
a degraded sense of the idea

Introduction to Computing –CS101 VU
© Copyright Virtual University of Pakistan
306
• Full-fledged 3-D telepresence may become common 10-15 years from now
Immortal Minds
• Some day it will be possible to load all the lectures, papers, books and SW produced
by an expert into an intelligent system
• After that system processes, indexes and restructures the info in those artifacts, it
will be possible to have a conversation in plain English (or some other language) with
that system
• The system will have that conversation based on the ideas and beliefs contained in
the stored info and in the style of that expert
• Initially this may happen in the form of text, then speech, and then a talking head
on a computer screen, and finally in a 3-D simulated reality environment
Translators
• Natural language translators: One of the most biggest challenges for today’s
computer scientist
• Fully automated and reasonably accurate translators (say from English to German)
do not exist as of now …
• … but will, perhaps, 20 years from now
Education
• 15-20 years from now, all education will be computer-based but will not be
impersonal as the computer-based education of today
• The group-method, the basis of today’s learning, will continue to be used, but
without the requirement of physical presence of the teacher and the taught in the same
room
• Simulated-reality techniques will be used to create an artificial but effective
educational environment
Medicine
• Due to computer-assisted research into medicine and genetic engineering, most, if
not all of the current diseases will be eliminated over the next 50 years
• Probably a few deadly ones will be created accidentally as part of that research or by
the germ-warfare labs
Warfare
• Goal of war: Disable the enemy
• That can be achieved by killing off the communication systems of the enemy army
• Why use nasty and expensive things like nuclear bombs for that? Why not a
computer virus?
• Countries (and certain groups) will focus more and more of their resources on this
area, where they can maximize damage even with meager resources
• The key target will be the telecom infrastructure and the financial systems (stock
markets, banking systems)
• The developed countries are more vulnerable because they rely more on the
targeted systems
Entertainment
• Movies in which animated characters will be indistinguishable from humans actors
have started to appear
• 15 years from now human actors may become extinct
• Not too long after that, movies as an entertainment form may become extinct as
well
• Movies will become interactive like video games
• Video games will become more realistic like movies
• And then they will converge into a single form of entertainment, probably called
movie-game
• Players will be able to become a part of the movie along with other players, if they
wish!
Crime

Introduction to Computing –CS101 VU
© Copyright Virtual University of Pakistan
307
• I believe that petty crime will disappear in 50 years time due to computer-based
methods for investigating and tracking criminals
• And after that, all crime will be computer-assisted and on a very large scale
• It will most probably be committed by nation-states, not individuals
No Personal Privacy
• 50 years from now, due to the low cost of efficient sensors and highly-powerful
computers, tracking of humans will become quite easy
• All governments will start keeping track of every move of every individual in the
name of peace and security
Slave → Master
• The way things are progressing right now, the roles may reverse over a 50-100 year
time frame
• Computers may become self-replicating, self-healing, and self-programming just like
humans
• And one fine day they may do a conference through the Internet and just may
decide that enough is enough. Slavery, no more!
Today’s Lecture:
(The Future of Computing)
• We tried to visualize the advances in computing that will take place in the future
• We also tried to visualize the impact of computing on our future
Next Lecture’ Goals:
(Programming Methodology)
• To understand effective programming practices that result in the development of
correct programs with a minimum effort
• To become familiar with simple debugging techniques

Introduction to Computing –CS101 VU
© Copyright Virtual University of Pakistan
308
Lecture 44
Programming Methodology
(Web Development Lecture 15)
During the last lecture we discussed Graphics & Animation
• We became able to add and manipulate images and simple animations to a Web
page
Images in HTML
• It is quite straight forward to include gif and jpg images in an html Web page using
the <IMG> tag
• Format: <IMG src=URL, alt=text
height=pixels width=pixels
align="bottom|middle|top">
• Plea: Don’t use images just for the sake of it!
Images in JavaScript
• Images in JavaScript can be manipulated in many ways using the built-in object,
Image
• Properties: name, border, complete, height, width, hspace, vspace, lowsrc, src
• Methods: None
• Event handlers: onAbort, onError, onLoad, etc.
Image Preloading
• The primary use for an Image object is to download an image into the cache before
it is actually needed for display
• This technique can be used to create smooth animations or to display one of several
images based on the requirement
The Image Pre-Loading Process
1. An instance of the Image object is created using the new keyword
2. The src property of this instance is set equal to the filename of the image to be pre-
loaded
3. That step starts the down-loading of the image into the cache without actually
displaying it
4. When a pre-loaded image is required to be displayed, the src property of the
displayed image is set to the src property of the pre-fetched image
Animated Gifs
• We could have saved the 16 gif images of the previous example in a single file in the
form of an animated gif, and then used it in a regular <IMG> tag to display a moving
image
• However, JavaScript provides better control over the sequencing and the gap
between the individual images
• Example
Today’s Goals
(Programming Methodology)
• To understand effective programming practices that result in the development of
correct programs with minimum effort
• To become familiar with testing & debugging
p
pr
ro
og
gr
ra
am
mm
mi
in
ng
g
m
me
et
th
ho
od
do
ol
lo
og
gy
y?
?
G
Go
oo
od
d
p
pr
ro
og
gr
ra
am
mm
mi
in
ng
g
m
me
et
th
ho
od
do
ol
lo
og
gy
y?
?
The process used by an individual or a team for
developing programs

Introduction to Computing –CS101 VU
© Copyright Virtual University of Pakistan
309
c
co
or
rr
re
ec
ct
t
p
pr
ro
og
gr
ra
am
m?
?
r
re
ea
ad
da
ab
bl
le
e
p
pr
ro
og
gr
ra
am
m?
?
swapFlag = true ;
while ( swapFlag == true ) {
swapFlag = false ;
for ( k = 0 ; k < ht.length - 1 ; k++ ) {
if ( ht[ k ] < ht[ k + 1 ] ) {
temp = ht[ k + 1 ] ;
ht[ k + 1 ] = ht[ k ] ;
ht[ k ] = temp ;
swapFlag = true ;
} } }
for ( j = 0 ; j < 100000 ; j++ ) {
for ( k = 0 ; k < ht.length - 1 ; k++ ) {
if ( ht[ k ] < ht[ k + 1 ] ) {
temp = ht[ k + 1 ] ;
ht[ k + 1 ] = ht[ k ] ;
ht[ k ] = temp ;
}
}
}
44.1 Design Guidelines
• Break your code down into short and simple functions (e.g. take the 3 swap
statements out from the last example and put them into a function of their own)
• Do not use global variables
44.2 Coding Guidelines
• Always use semicolons to end statements
• Indent blocks of code (2 to 5 spaces)
• Identifiers:
A methodology that enables the lowest-cost and
on-schedule development of programs that are
correct, easy to maintain & enhance
A program with correct
syntax & semantics
A program that is easy to read &
understand, and therefore, easy to
maintain & enhance
Bubble Sort
How can we make it more readable?
What is its most complex aspect?

Introduction to Computing –CS101 VU
© Copyright Virtual University of Pakistan
310
– Use the camelBack scheme
– Make them descriptive but concise
– Variables: nouns
– Functions: verbs
• Comment liberally
44.3 Guidelines for Developing Short Programs
Example: Problem Statement
• Develop a Web page that displays an order taking form
• It takes the number of items required for each product, multiplies with the prices,
sums them up, adds the GST, and displays the total value of the order
Guidelines for Developing Short Programs
Developing Short Programs
• Read, understand the problem
• Do you have all the required
data?
No: Get it
Else assume it. State it explicitly
• Read, understand the problem
• Do you have all the required data?
No: Get it
Else assume it. State it explicitly
• Do the design
• Read, understand the problem
• Do you have all the required data?
No: Get it
Else assume it. State it explicitly
• Do the design
• Write test cases

Introduction to Computing –CS101 VU
© Copyright Virtual University of Pakistan
311
Developing Short Programs
44.4 Design & Code Reviews
• Being humans, at time we see what is supposed to be there instead of what is
actually there
• Another pair of eyeballs may not have the same problem, especially if they were not
involved in building the design or code
Two Popular Review Methods
• Read, understand the
problem
• Do you have all the
required data?
No: Get it
Else assume it. State it
explicitly
• Do the design
• Write test cases
• Write the code on a
piece of paper
• Hand-check it
• Type it in
• Run & check it on test
cases
• Errors? fix & redo 9
Done!
• Probably the most efficient way of improving a program

Introduction to Computing –CS101 VU
© Copyright Virtual University of Pakistan
312
1. Give the problem statement, design, and code (that includes all assumptions) to a
peer, and ask him/her to see if things have been done properly
2. Walk a peer or a group of peers through the problem, the design, and the code
yourself
3. Which of the two is better?
44.5 Testing & Debugging
• Testing: The tasks performed to determine the existence of defects
• Debugging: The tasks performed to detect the exact location of defects
• Defects are also called bugs or errors
• Let us now look at one of their classifications
Types of Errors
• Syntax errors
• Semantic errors
• Run-time errors
Syntax Errors
• They are caused by the code that somehow violates the rules of the language
• Easy to detect and fix errors
• The browser stops code interpretation on detecting one of these
Examples:
–a = b + * c ;
–receiver = reciever + 2
Semantic Errors
• Occur when a statement executes and has an effect not intended by the
programmer
• Hard to detect during normal testing
• Often times occur only in unusual & infrequent circumstances
• The ‘+’ operator often results in unintended consequences. Remedy: Convert,
before use
Run-Time Errors
• Occur when the program is running and tries to do something that is against the
rules
Example: Accessing a non-existent variable, property, method, object, etc (e.g. a method
name is misspelled)
• Sources of these can be determined by a careful reading of the code, but
unfortunately, not always!
Debugging
Syntax
error?
Tools:
Internet
Options…:
Advanced:
name = "Bhola ;

Introduction to Computing –CS101 VU
© Copyright Virtual University of Pakistan
313
Syntax
Error
checkPulse( ) ;
x = 1.3 ;
x.upperCase( ) ;
Run-time Error

Introduction to Computing –CS101 VU
© Copyright Virtual University of Pakistan
314
income = document.myForm.salary.value +
document.myForm.bonus.value ;
Common Mistakes
if ( today = “holiday” )
mood = “good” ;
44.6 Helpful Editors
• Using smart editors (e.g. DreamWeaver, nedit) can help in avoiding many types of
syntax errors
• They can, for example:
Run-time
Error
Semantic
Erro
r
function doThis ( tiger ) { box[ 0 ] = tiger ;
x = box[ 0 ] ;
return x ;
box = new array( 10 ) ;
box = new Array( 10 ) ;
box( 0 ) = 43 ;

Introduction to Computing –CS101 VU
© Copyright Virtual University of Pakistan
315
– Automatically color different parts of statements in different colors, e.g. comments
in Gray, strings in Green, HTML tags in Blue
– Auto indent
– Visually indicate the presence of mismatched parentheses, curly braces or square
brackets
During Today’s Lecture …
• We looked at a few effective programming practices that result in the development
of correct programs with minimum effort
• We also became familiar with testing & debugging
Final Lecture:
Review & Wrap-Up
• To review a selection from the interesting ideas that we explored over the last 44
lectures

Introduction to Computing –CS101 VU
© Copyright Virtual University of Pakistan
316
Lecture 45
Review & Wrap-Up
During the last lecture we discussed Programming Methodology
• We looked at a few effective programming practices that result in the development
of correct programs with minimum effort
• We also became familiar with testing & debugging
r
re
ea
ad
da
ab
bl
le
e
p
pr
ro
og
gr
ra
am
m?
?
Design Guidelines
• Break your code down into short and simple functions (e.g. take the 3 swap
statements out from the last example and put them into a function of their own)
• Do not use global variables
Coding Guidelines
• Indent blocks of code (2 to 5 spaces)
• Always use semicolons to end statements
• Identifiers:
– Use the camelBack scheme
– Make them descriptive but concise
– Variables: nouns
– Functions: verbs
• Comment liberally
Guidelines for Developing Short Programs
Design & Code Reviews
• Probably the most efficient way of improving the a program
• Being humans, at time we see what is supposed to be there instead of what is
actually there
• Another pair of eyeballs may not have the same problem, especially if they are were
not involved in building the design or code
Testing & Debugging
• Testing: The tasks performed to determine the existence of defects
• Debugging: The tasks performed to detect the exact location of defects
• Defects are also called bugs or errors
• Let us now look at one of their classifications
Types of Errors
• Syntax errors
A program that is easy to read &
understand, and therefore, easy to
maintain & enhance
• Read, understand the
problem
• Do you have all the
required data?
No: Get it
Else assume it. State it
explicitly
• Do the design
• Write test cases
• Write the code on a piece of
paper
• Hand-check it
• Type it in
• Run & check it on test cases
• Errors? fix & redo 9
• Done!

Introduction to Computing –CS101 VU
© Copyright Virtual University of Pakistan
317
• Semantic errors
• Run-time errors
Today’s Goal:
(Review & Wrap-Up)
• To review some of the interesting ideas that we discussed over the last 44 lectures
• Please note that this lectures is not a comprehensive review, just a sampler!
Course Objectives
Progression of Computer Technology
1. Mechanical computing
2. Electro-mechanical
3. Vacuum tube
4. Transistor
(the current state-of the-art)
5. Quantum computing
Quantum Computers
• Quantum computers may one day be millions of times more efficient than the
current state-of-the-art computers …
• as their quantum mechanical nature will allow them to examine all possible answers
to a question, simultaneously
The World Wide Web
• A huge resource of info
• Logically unified, but physically distributed
• It is unlike any previous human invention:
– It is a world-wide resource, important to all and shared by all of the people in the
world
The Semantic Web
Whereas, today’s Web’s content is designed for humans to read; the Semantic Web’s
content will be designed for computers to understand meaningfully
Internet: Network of Networks
• A large number of networks, interconnected physically
• Capable of communicating and sharing data with each other
• From the user’s point view, Internet – a collection of interconnected networks –
looks like a single, unified network
Language of the Internet: TCP/IP
Transmission Control Protocol/Internet Protocol
• TCP breaks down the message to be sent over the Internet into packets
• IP routes these packets through the Internet to get them to their destination
• When the packets reach the destination computer, TCP reassembles them into the
original message
To build an appreciation for the fundamental concepts
in computing
To become familiar with popular PC productivity
software
To achieve a beginners proficiency in Web page
development
1
.
2
.
3
.

Introduction to Computing –CS101 VU
© Copyright Virtual University of Pakistan
318
Instant Messaging
• eMail: Slow response times
• eMail: No way of knowing if the person we are sending eMail to is there to read it
• eMail: The process of having a conversation through eMail by exchanging several
short messages is too cumbersome
• Instant messaging (IM) solves these problems
On-Chip Cache Memory
• That small amount of memory located on the same chip as the uP
• The uP stores a copy of frequently used data and instructions in its cache memory
• When the uP desires to look at a piece of data, it checks in the cache first. If it is
not there, only then the uP gets it from the main memory
• Its proximity to the uP makes access times short
Ways of Enhancing A uP
• Increase the clock frequency
• Increase the word-width
• Add more functional units (e.g. ALU’s, FPU’s, Vector/SIMD units, etc.)
The Role of An OS
• Manages the HW and SW resources of the computer system, often invisibly. These
include the processor, memory, disk drives, etc.
• Provides a simple, consistent way for applications to interact with the HW without
having to know all the details of the HW
Who Owns Software?
• Generally, although a piece of SW that is being used by millions, it is not owned by
any of them!
Hardware
Operating System
Utilit
y Language
Translator
Device Driver
Scientific
Apps. Business
Apps. Productivit
y
Apps.
Entertainment
Apps.
System software
Application software

Introduction to Computing –CS101 VU
© Copyright Virtual University of Pakistan
319
• When we buy a SW package, we do not really buy it – we just buy a license that
allows us to use it, the ownership stays with the maker
4th-generation languages
Machine languages
Interpreters:
Immediate response, but execute code slowly
Compilers: Compiling takes time, but super-fast execution
High-level languages
Assembly languages

Introduction to Computing –CS101 VU
© Copyright Virtual University of Pakistan
320
Algorithm
1st Definition:
Sequence of steps that is taken to solve a problem
Better Definition:
A precise sequence of a limited number of unambiguous, executable steps that terminates
in the form of a solution
Pseudo Code
• Quite suitable for SW development as it is closer in form to real code
• One can write the pseudo code, then use it as a starting point or outline for writing
real code
• Many developers write the pseudo code first and then incrementally convert each
line into real code
Heuristic
Common sense lesson drawn from experience
(Artificial) Intelligent Systems
SW programs or SW/HW systems designed to perform complex tasks employing
strategies that mimic some aspect of human thought
Not a Suitable Hammer for All Nails!
if the nature of computations required in a task is not well understood
Concept &
Feasibilit
y
User Requirements
Developer Specs
Planning
Design
Implementatio
n
Integration
Testing
Opr. &
Maintenance
Retirement
Test
Test
Test
Test
Acceptance
Test
Test

Introduction to Computing –CS101 VU
© Copyright Virtual University of Pakistan
321
or there are too many exceptions to the rules
or known algorithms are too complex or inefficient
then artificial intelligent systems have the potential of offering an acceptable solution
Database
• A collection of data organized in such a fashion that the computer can quickly
search for a desired data item
• All data items in it are generally related to each other and share a single domain
Relational Databases
• Databases consisting of two or more related tables are called relational databases
• A relational database stores all its data inside tables, and nowhere else
• All operations on data are done on those tables or those that are generated by table
operations
Future Trends:
On-Demand Computing Power
• Almost infinite “computing power” supply
• Reliable, maintenance-free, just like the electricity, telephone, or water-supply
service
• No capital expenditure; you pay for only what you use!
• Same will be true for storage
Future Trends: Immortal Minds
• Some day it will be possible to load all the lectures, papers, books and SW produced
by an expert into an intelligent system
• After that system processes, indexes and restructures the info in those artifacts, it
will be possible to have a conversation in plain English (or some other language) with
that system
Distances Are Contracting!
Distances Are Increasing!
• Because of the ever-decreasing costs of verbal, text, video communications, it is
becoming easier to stay in touch of anyone, regardless of their physical location
• Solitude is the order of the day as many children & adults spend their free time
surfing, chatting, playing computer games, instead of spending it on interacting with
friends or family
Computers may Become too Powerful!
• Computers keep on becoming more and more powerful, gaining more and more
autonomy
• They are being equipped with fail-safe and self-healing technologies
• Are we heading towards a future where the role of the masters and the slaves will
be reversed?
Why JavaScript?
• HTML is great for static Web pages; however, supports only rudimentary
interactivity through forms and hyperlinks
• JavaScript can be used (along with HTML) to develop interactive content for the
Web
Some of things that JavaScript
cannot
do!
• The following file ops. on the client computer:
–Read -- Modify
–Rename -- Delete
–Create
• Create graphics (although, it does have the ability to format pages through HTML -
including the placement of graphics)
• Any network programming bar one function: the ability to download a file to the
browser specified through an arbitrary URL
Advantages of Client-Side Scripting

Introduction to Computing –CS101 VU
© Copyright Virtual University of Pakistan
322
• Reduced server load as it does not have to send messages to the user’s browser
about missing or incorrect data
• Reduced network traffic as the form’s data is sent only once instead of many to’s
and fro’s
Object: A named collection of properties (data, state) & methods (instructions, behavior)
Functions
• A named group of statements that is put together once and then used (by reference)
repeatedly on a Web page
• Code becomes easier to read, understand and maintain
Local and Global Variables
Local or Function-level Variable
Effective only in the function in which they are declared
Global Variables
Visible everywhere on the Web page
prop 1
prop 2
prop 5
prop 3
prop 4
A collection of
properties &
methods
All objects have the
“name” property: it holds
the name of the object
(collection)
method 3
method 1
method 2

Introduction to Computing –CS101 VU
© Copyright Virtual University of Pakistan
323
Image Preloading
• The Image object can be used to download an image into the cache before it is
actually needed for display
• This technique can be used to create smooth animations or to display one of several
images based on the requirement
Productivity SW
• The lectures and assignments were designed to give a brief introduction, and no
more
• All we desired was for you to become able to open the package and perform some
trivial tasks
• With time, you will find more and more use for these packages, and gradually
develop an expertise that later will become very useful in your career
Course Objectives
1. To build an appreciation for the fundamental concepts in computing
2. To achieve a beginners proficiency in Web page development
3. To become familiar with popular PC productivity software
• How successful were we in helping you achieve those objectives?
• Please do let us know so that we can modify the future offerings of this course
accordingly. I will be most grateful
• I have enjoyed doing this course with you very much
• Hope it was enjoyable & useful for you as well
• I thank you for your attention and especially for your eMail & discussion board
messages
• A good number of those messages were quite informative and I thank you for
sharing that info with me
• Until the next time when we meet …