Contents Eurocode 2 2004 WALL 002

User Manual: Eurocode 2-2004 WALL-002

Open the PDF directly: View PDF PDF.
Page Count: 5

Page 1 of 5 - Contents Eurocode 2-2004 WALL-002
Page 2 of 5 - Contents Eurocode 2-2004 WALL-002
Page 3 of 5 - Contents Eurocode 2-2004 WALL-002
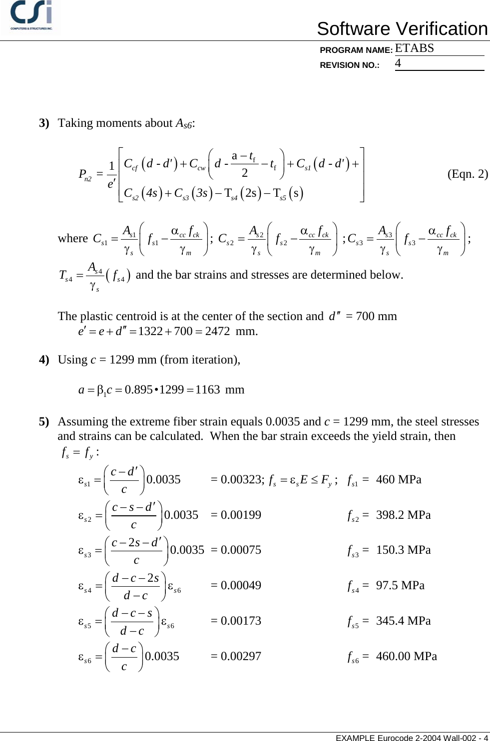
Page 4 of 5 - Contents Eurocode 2-2004 WALL-002
Page 5 of 5 - Contents Eurocode 2-2004 WALL-002

Navigation menu