UD50系列通用变频器 Kinco CV100 VFD User Manual EN20160428
User Manual: Kinco CV100 VFD User Manual-EN20160428
Open the PDF directly: View PDF
.
Page Count: 120 [warning: Documents this large are best viewed by clicking the View PDF Link!]

Preface
Thank you for using CV100 series Variable Frequency Drive made by Kinco Automation.
CV100 satisfies the high performance requirements by using a unique control method to achieve high torque, high
accuracy and wide speed-adjusting range. Its anti-tripping function and capabilities of adapting to severe power
network, temperature, humidity and dusty environment exceed those of similar product made by other companies,
which improves the product’s reliability noticeably;Without PG connector, strong speed control, flexiable input/output
terminal, pulse frequency setting, saving parameters at power outage and stop, frequency setting channel, master and
slave frequency control and so on, all these satisfy various of high accuracy and complex drive command, at the same
time we provide the OEM customer high integration total solution, it values highly in system cost saving and
improving the system reliability.
CV100 can satisfy the customers’ requirements on low noise and EMI by using optimized PWM technology and
EMC design.
This manual provides information on installation, wiring, parameters setting, trouble-shooting, and daily
maintenance. To ensure the correct installation and operation of CV100, please read this manual carefully before
starting the drive and keep it in a proper place and to the right person.
Unpacking Inspection Note
Upon unpacking, please check for:
- Any damage occurred during transportation;
- Check whether the rated values on the nameplate of the drive are in accordance with your order.
Our product is manufactured and packed at factory with great care. If there is any error, please contact us or
distributors.
The user manual is subject to change without notifying the customers due to the continuous process of product
improvements
VFD model rule
CV 1 00 – 4 T– XXXX G–U–000
Reserved
VFD code
CV: Mini type
Customize hardware:
U:None
The first gerneration
Power
0002: 200w
0004: 400w
……
Power supply
1: 100V
2: 200V
4: 400V
43:460V
00:Standard model
S: signal phase
T: 3-phase
43:460V
G: Constant torque
L: Constant power
43:460V

Content
Chapter 1 Safety ................................................................................................................................................................ 1
1.1 Safety .................................................................................................................................................................... 1
1.2 Notes for Installations........................................................................................................................................... 1
1.3 Notes for Using CV100 ........................................................................................................................................ 1
1.3.1 About Motor and Load ............................................................................................................................. 1
1.3.2 About Variable Frequency Drive ............................................................................................................ 2
1.4 Disposing Unwanted Driver ................................................................................................................................. 3
Chapter 2 Product introduction ....................................................................................................................................... 4
2.1 Genernal sepcifications ........................................................................................................................................ 4
2.2 Introduction of product series ............................................................................................................................... 5
2.3 Structure of VFD .................................................................................................................................................. 6
2.4 External dimension and weight ............................................................................................................................ 6
2.4.1 External dimension and weight ............................................................................................................... 6
2.4.2 Operation panel and installation box ....................................................................................................... 8
Chapter 3 Installation Environment ................................................................................................................................ 9
Chapter 4 Wiring Guide of VFD ................................................................................................................................... 10
4.1 Wiring and Configuration of Main circuit terminal ........................................................................................... 10
4.1.1 Terminal Type of Main Loop’s Input and Output .................................................................................. 10
4.1.2 Wiring of VFD for Basic Operation ....................................................................................................... 11
4.2 Wiring and configuration of control circuit ........................................................................................................ 12
4.2.1 Wiring of control circuit termial. ............................................................................................................ 12
Chapter 5 Operation Instructions of Kinco VFD .......................................................................................................... 17
5.1 Using Operation Panel .................................................................................................................................. 17
5.1.1 Operation panel appearance and keys’ function description .................................................................. 17
5.1.2 Function Descriptions of LED and Indicators ........................................................................................ 18
5.1.3 Display status of operation panel ............................................................................................................ 18
5.1.4 Panel Operation ...................................................................................................................................... 18
5.2 Operation mode of VFD ............................................................................................................................... 20
5.2.1 Control mode of VFD ............................................................................................................................. 20
5.2.2 Operating Status ..................................................................................................................................... 20
5.2.3 Control mode and operation mode of Kinco VFD ................................................................................. 20
5.2.4 The channels to set the VFD frequency .................................................................................................. 21
5.3 Power on the Drive for the first time ............................................................................................................ 21
5.3.1 Checking before power on ...................................................................................................................... 21
5.3.2 Operations when start up the first time ................................................................................................... 21
Chapter 6 Parameter Introductions ................................................................................................................................ 23
6.1 Group A0 ............................................................................................................................................................ 23

6.2 Group A1 ............................................................................................................................................................ 25
6.3 Group A2 ............................................................................................................................................................ 28
6.4 Group A3 ............................................................................................................................................................ 29
6.5 Group A4 ............................................................................................................................................................ 31
6.6 Group A5 ............................................................................................................................................................ 32
6.7 Group A6 ............................................................................................................................................................ 34
6.8 Group A7 ............................................................................................................................................................ 43
6.9 Group A8 ............................................................................................................................................................ 43
6.10 Group b0 ........................................................................................................................................................... 44
6.11 Group b1 ........................................................................................................................................................... 46
6.12 Group b2 ........................................................................................................................................................... 48
6.13 Group b3 ........................................................................................................................................................... 50
6.14 Group b4 ........................................................................................................................................................... 50
6.15 Group C0 .......................................................................................................................................................... 51
6.16 Group C1 .......................................................................................................................................................... 51
6.17 Group C2 .......................................................................................................................................................... 55
6.18 Group C3 .......................................................................................................................................................... 58
6.19 Group d0 ........................................................................................................................................................... 59
6.20 Group d1 ........................................................................................................................................................... 61
6.21 Group d2 ........................................................................................................................................................... 61
Chapter 7 Troubleshooting .............................................................................................................................................. 63
Chapter 8 Maintenance .................................................................................................................................................... 69
8.1 Daily Maintenance.............................................................................................................................................. 69
8.2 Periodical Maintenance ...................................................................................................................................... 69
8.3 Replacing Wearing Parts .................................................................................................................................... 70
8.4 Storage ................................................................................................................................................................ 71
Chapter 9 List of Parameters ........................................................................................................................................... 72
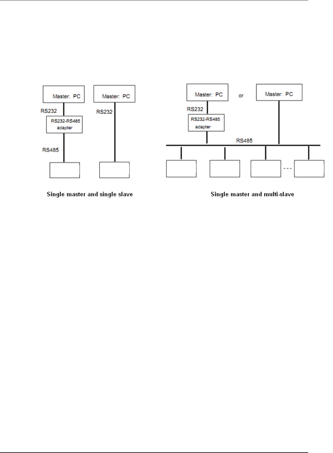
Communication Protocol ............................................................................................................................................... 107
1. Networking Mode ............................................................................................................................................... 107
2. Interfaces ............................................................................................................................................................ 107
3. Communication Modes ...................................................................................................................................... 107
4. Protocol Format .................................................................................................................................................. 107
1. RTU mode ................................................................................................................................................. 108
2. ASCII mode ............................................................................................................................................... 108
5. Protocol Function ............................................................................................................................................... 109
6.Control parameters and status parameters of VFD .............................................................................................. 110

1
Chapter 1 Safety
1.1 Safety
Danger
Operations without following instructions
can cause personal injury or death.
!
Attention
Operations without following instructions
can cause personal injury or damage to
product or other equments
1.2 Notes for Installations
Danger
· Please install the drive on fire-retardant material like
metal, or it may cause fire.
· Keep the drive away from combustible material and
explosive gas, or it may cause fire.
· Only qualified personnel shall wire the drive, or it
may cause electric shock.,
· Never wire the drive unless the input AC supply is
totally disconnected, or it may cause electric shock.,
· The drive must be properly earthed to reduce
electrical accident
· Install the cover before switching on the drive, to
reduce the danger of electric shock and explosion.
· For drives that have been stored for longer than 2
years, increase its input voltage gradually before
supplying full rated input voltage to it, in order to
avoid electric shock and explosion
· Don't touch the live control terminals with bare
hands
· Don’t operate the drive with wet hands
· Perform the maintenance job after confirming that
the charging LED is off or the DC Bus voltage is
below 36V, or it may cause electric shock.,
· Only trained professionals can change the
components, it is prohibited to leave wires or metal
parts inside the drive so as to avoid the risk of fire.
· Parameter settings of the control panel that has been
changed must be revised, otherwise accidents may
occur.
· The bare portions of the power cables must be bound
with insulation tape
1.3 Notes for Using CV100
Pay attention to the following issues when using CV100.
1.3.1 About Motor and Load
Compared to the power frequency operation
!
Attention
· Don’t carry the drive by its cover. The cover can not
support the weight of the drive and may drop.
· Please install the drive on a strong support, or the
drive may fall off.
· Don’t install the drive in places where water pipes
may leak onto it.
· Don't allow screws, washers and other metal foreign
matters to fall inside the drive, otherwise there is a
danger of fire or damage;
· Don't operate the drive if parts are damaned or not
complete,otherwise there is a danger of a fire or human
injury;
· Don't install the drive under direct sunshine,
otherwise it may be damaged;
· Don’t short circuit +//B1 and terminal (-), otherwise
there is a danger of fire or the drive may be damaged.
· Cable lugs must be connected to main terminals
firmly
· Don’t apply supply voltage (AC 220V or higher) to
control terminals except terminals R1a, R1b and R1c.
·B1 and B2 are used to connect the brake resistor, do
not shortcut them, or the brake unit may be damaged

2
CV100 series drives are voltage type variable frequency
drive. The output voltage is in PWM wave with some
harmonics. Therefore, temperature rise, noise and
vibration of motor are higher compared to the rated
frequency.
Low Speed operation with Constant Torque
Driving a common motor at low speed for a long time,
the drive’s rated output torque will be reduced
considering the deteriorating heat dissipation effect, so a
special variable frequency motor is needed if operation
at low speed with constant torque for a long term.
Motor’s over-temperature protecting threshold
When the motor and driver are matched, the drive can
protect the motor from over-temperature. If the rated
capacity of the driven motor is not in compliance with
the drive, be sure to adjust the protective threshold or
take other protective measures so that the motor is
properly protected.
Operation above 50Hz
When running the motor above 50Hz, there will be
increase in vibration and noise. The rate at which the
torque is available from the motor is inversely
proportional to its increase in running speed. Ensure that
the motor can still provide sufficient torque to the load.
Lubrication of mechanical devices
Over time, the lubricants in mechanical devices, such as
gear box, geared motor, etc. when running at low speed,
will deteriorate. Frequent maintenance is recommended.
Braking Torque
Braking torque is developed in the machine when the
drive is hoisting a load down. The drive will trip when it
cannot cope with dissipating the regenerative energy of
the load. Therefore, a braking unit with proper
parameters setting in the drive is required.
The mechanical resonance point of load
The drive system may encounter mechanical resonance
with the load when operating within certain band of
output frequency. Skip frequencies have been set to
avoid it.
Start and stop frequntly
The drive should be started and stopped via its control
terminals. It is prohibited to start and stop the drive
directly through input line contactors, which may
damage the drive with frequent operations.
Insulation of Motors
Before using the drive, the insulation of the motors must
be checked, especially, if it is used for the first time or if
it has been stored for a long time. This is to reduce the
risk of the Drive from being damaged by the poor
insulation of the motor. Wiring diagram is shown in Fig.
1-1. Please use 500V insulation tester to measure the
insulating resistance. It should not be less than 5MΩ.
Fig. 1-1 checking the insulation of motor
1.3.2 About Variable Frequency Drive
Varistors or Capacitors Used to Improve the Power
Factor
Considering the drive output PWM pulse wave, please
don't connect any varistor or capacitor to the output
terminals of the drive, , otherwise tripping or damaging
of components may occur; as shown in fig 1.2

3
Fig. 1-2 Capacitors are prohibited to be used.
Circuit breakers connected to the output of VFD
If circuit breaker or contactor needs to be connected
between the drive and the motor, be sure to operate these
circuit breakers or contactor when the drive has no
output, to avoid damaging of the drive.
Using VFD beyond the range of rated voltage
The drive is not suitable to be used out of the
specified range of operation voltage. If needed, please
use suitable voltage regulation device.
Protection from lightning
There is lightingstrike overcurrent device inside the
Drive which protects it against lighting.
Derating due to altitude
Derating must be considered when the drive is
installed at high altitude, greater than 1000m. This is
because the cooling effect of drive is deteriorated due to
the thin air, as shown in Fig.1-3 that indicates the
relationship between the altitude and rated current of the
driver.
Fig. 1-3 Derating Drive's output current with altitude
1.4 Disposing Unwanted Driver
When disposing the VFD, pay attention to the following
issues:
The electrolytic capacitors in the driver may explode
when they are burnt.
Poisonous gas may be generated when the plastic parts
like front covers are burnt.
Please dispose the drive as industrial waste.
M
U
V
W
CV100

4
Chapter 2 Product introduction
In this chapter we introduce the basic product information of specifications, model, and structure and so on.
2.1 General specifications
Table 2-1 General specifications
Item
Description
Input
Rated voltage and
frequency
4T:3-phase,380V~440V AC; 50Hz/60Hz;
2S:Single-phase,200V~240V;50Hz/60Hz;
1S:Single-phase, 100~120V; 50/60HZ
Allowable voltage
range
4T: 320V~460V AC; 2S:180V~260V; 1S: 90~132V; Voltage tolerance<3%;
Frequency: ±5%
Output
Rated voltage
0~Rated input voltage
Frequency
0Hz~300Hz (Custom 0Hz~1000Hz)
Overload capacity
G type : 150% rated current for 1 minute, 180% rated current for 10 seconds;
L type :110% rated current for 1 minute, 150% rated current for 1 second
Control
Characteristi
cs
Control mode
Vector control without PG, V/F control
Modulation mode
Space vector PWM modulation
Starting torque
0.5Hz 150%rated torque(Vector control without PG)
Frequency accuracy
Digital setting:Max frequency ×±0.01%;Analog setting:Max. frequency ×±0.2%
Frequency
resolution
Digital setting: 0.01Hz;Analog setting: Max frequency×0.05%
Torque boost
Manual torque boost :0%~30.0%
V/F pattern
4 patterns: 1 V/F curve mode set by user and 3 kinds of torque-derating modes
(2.0 order, 1.7 order, and 1.2 order)
Acc/Dec curve
Linear acceleration/deceleration, Four kinds of acceleration/deceleration time
Auto current limit
Limit current during the operation automatically to prevent frequent overcurrent
trip
Customized
function
Jog
Range of jog frequency: 0.00Hz~50.00Hz; Acc/Dec time of Jog operation:
0.1~60.0s, Interval of Jog operation is also settable.
Multiple speed
operation
Implement multiple speed operation by digital inputs
Operation
function
Operation command
Keypad setting, terminal setting, communication setting.
Frequency
command setting
Keypad setting, Analog input, Communication setting

5
Auxiliary frequency
setting
Implement flexible auxiliary frequency trim and frequency synthesis.
Pulse output
0~100KHz pulse output.
Analog output
1 channels analog output(0/4~20mA or 0/2~10V).
Operation
panel
LED Display
Display setting frequency, output frequency , output voltage, output current and so
on, about 20 parameters.
Parameters copy
Copy parameters by operation panel.
Keys lock and
function selection
Lock part of keys or all the keys. Define the function of part of keys
Protection function
Open phase protection (optional), overcurrent protection, overvoltage protection,
undervoltage protection, overheat protection, overload protection and so on.
Environment
Operating site
Indoor , installed in the environment free from direct sunlight, dust, corrosive gas,
combustible gas, oil mist, steam and drip.
Altitude
Derated above 1000m, the rated output current shall be decreased by 10% for
every rise of 1000m
Ambient
temperature
-10℃~40℃, derated at 40℃~ 50℃
Humidity
5%~95%RH, non-condensing
Vibration
Less than 5.9m/s2 (0.6g)
Storage
temperature
-40℃~+70℃
Structure
Protection class
IP20
Cooling method
Air cooling, with fan control.
Installation method
Wall-mounted
Effeciency
≥90%
2.2 Introduction of product series
Table 2-1 Series of Kinco VFD
Model of VFD
Rated capacity(kVA)
Rated input
current(A)
Rated output
current(A)
Motor power(kW)
CV100-1S-0002G
0.6
6.0
2.5
0.2
CV100-1S-0004G
1.0
9.0
4.0
0.4
CV100-1S-0007G
1.5
18.0
7.5
0.75
CV100-1S-0011G
3.0
25.0
10.0
1.1
CV100-2S-0002G
0.5
2.3
1.3
0.2
CV100-2S-0004G
1.0
5.3
2.5
0.4
CV100-2S-0007G
1.5
8.2
4.0
0.75
CV100-2S-0015G
3.0
14
7.5
1.5
CV100-2S-0022G
4.0
23
10
2.2

6
Model of VFD
Rated capacity(kVA)
Rated input
current(A)
Rated output
current(A)
Motor power(kW)
CV100-4T-0007G
1.5
3.4
2.3
0.75
CV100-4T-0015G
3.0
5.0
3.7
1.5
CV100-4T-0022G
4.0
5.8
5.5
2.2
CV100-4T-0037G
5.9
10.5
8.8
3.7
CV100-4T-0055G
8.5
14.5
13.0
5.5
CV100-4T-0075G
11.0
20.5
17.0
7.5
2.3 Structure of VFD
The structure of VFD is as following figure.
Fig.2-1 Structure chart of VFD
2.4 External dimension and weight
2.4.1 External dimension and weight
External dimension and weight is as following figure.

7
Fig 2-2 CV100-2S-0002G~ CV100-4T-0075G/ CV100-1S-0002G~CV100-1S-0011G
Tabble 2-2 Mechanical parameters
VFD model
(G:Constant torque
load;
L: Draught fan and
water pump load)
External dimension and (mm)
Weight
(kg)
W
H
D
W1
H1
D1
T1
Installation
hole(d)
CV100-1S-0002G
85
142
122
73
130
112
10
5
0.8
CV100-1S-0004G
CV100-1S-0007G
CV100-1S-0011G
101
152
127
89
140
117
10
5
1.0
CV100-2S-0002G
85
142
122
73
130
112
10
5
0.8
CV100-2S-0004G
CV100-2S-0007G
CV100-2S-0015G
CV100-2S-0022G
CV100-4T-0007G
101
152
127
89
140
117
10
5
1.0
CV100-4T-0015G
CV100-4T-0022G
CV100-4T-0037G
125
220
266
109.5
205
254
10
5.5
3.4
CV100-4T-0055G
CV100-4T-0075G

8
2.4.2 Operation panel and installation box
Fig 2-3 Operation panel dimension
RUN Hz AV
MENU
SHIFT
ENTER
M
RUN
STOP
RST
50.00

9
Chapter 3 Installation Environment
In this chapter we introduce the installation environment of VFD
Please mount the drive vertically inside a well-ventilated location.
When considering mounting environment, the following issues should be taken into account:
- Ambient temperature should be within the range of-10℃~40℃. If the temperature is higher than 40 ℃, the drive
should be derated and forced ventilation is required;
- Humidity should be lower than 95%,non-condensing
- Install in the location where vibration is less than 5.9m/s2 (0.6G);
- Install in the location free of direct sunlight.
- Install in the location free of dust, metal powder.
- Install in the location free of corrosive gas or combustible gas.
If there are any special requirements for installation, please contact us for clarifications.
The requirements on mounting space and clearance are shown in Fig. 3-1 and Fig. 3-2.
Fig 3-1 Installation interval (Power below 45kW)
Fig 3-2 Installation interval(Power above 55kW)
When two VFD are mounted one on top the other, an air flow diverting plate should be fixed in between them as
shown in Fig. 3-3.
Fig 3-3 Installation of servial VFD
>
5
c
m
>
1
0
c
m
Fan airflow
>
5
c
m
>
1
0
c
m

10
Chapter 4 Wiring Guide of VFD
In this chapter we introduce the wiring of VFD
Danger
·Wiring can only be done after the drive’s AC power is disconnected, all the LEDs on the operation panel are off
and waiting for at least 5 minutes. Then, you can remove the panel.
·Wiring job can only be done after confirming the charge indicator on the right bottom is off and the voltage
between main circuit power terminals + and - is below DC36V.
·Wire connections can only be done by trained and authorized person
·Check the wiring carefully before connecting emergency stop or safety circuits.
·Check the drive’s voltage level before supplying power to it, otherwise human injuries or equipment damage
may happen.
!
Attention
·Check whether the Variable Speed Drive’s rated input voltage is in compliant with the AC supply voltage
before using.
·Dielectric strength test of the drive has been done in factory, so you need not do it again.
·Refer to chapter 2 on connected braking resistor or braking kit.
·It is prohibited to connect the AC supply cables to the drive’s terminals U, V and W.
·Grounding cables should be copper cables with section area bigger than 3.5mm2, and the grounding resistance
should be less than 10Ω.
·There is leakage current inside the drive. The total leakage current is greater than 3.5mA, depending on the
usage conditions. To ensure safety, both the drive and the motor should be grounded, and a leakage current
protector (RCD) should be installed. It is recommended to choose B type RCD and set the leakage current at
300mA.
·The drive should be connected to the AC supply via a circuit breaker or fuse to provide convenience to input
over-current protection and maintainance.
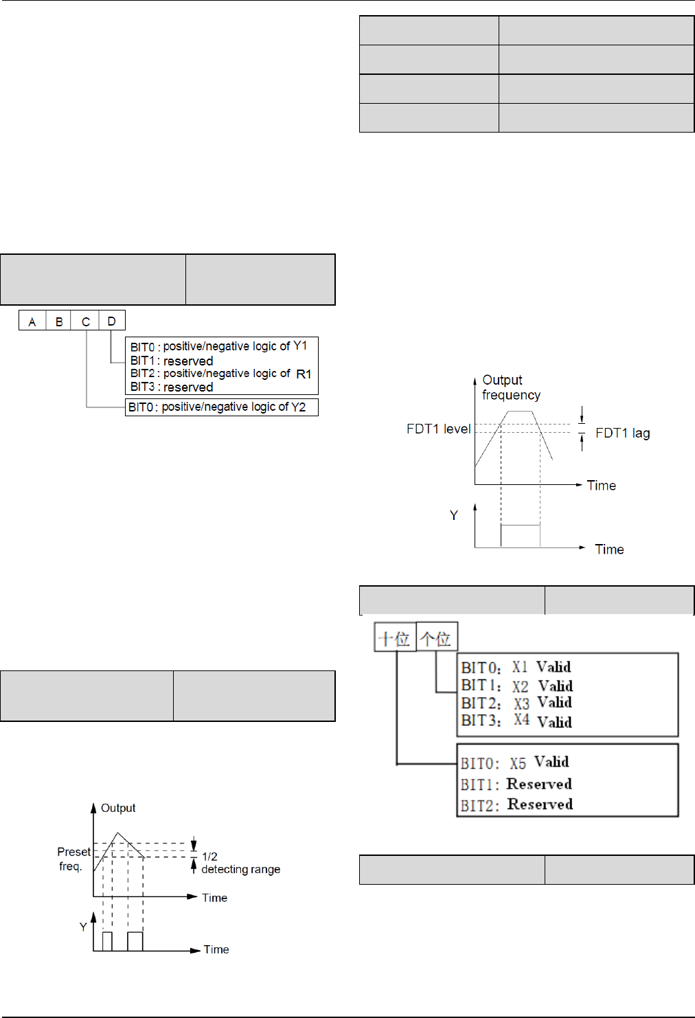
4.1 Wiring and Configuration of Main circuit terminal
4.1.1 Terminal Type of Main Loop’s Input and Output
Terminal Type
Applicable Model: CV100-2S-0002G~CV100-4T-0075G/ CV100-1S-0002G~CV100-1S-0011G

11
Table 4-1 Description of main loop terminal
Terminal
name
Function description
L,N
Single phase 220VAC input
terminal
R,S,T
3-phase 380VAC input termianl
+/B1、B2
Braking resistor terminal
U,V,W
3-phase AC output terminal
PE
Shield PE terminal
RS+
RS485+
RS-
RS485-
4.1.2 Wiring of VFD for Basic Operation
Applicable model: CV100-2S-0002G~CV100-4T-0075G/ CV100-1S-0002G~CV100-1S-0011G

12
Fig.4-1 Basic wiring chart
4.2 Wiring and configuration of control circuit
4.2.1 Wiring of control circuit termial.
Wire the terminals correctly before using the Drive. Refer to the table 4-2 for control circuit terminal function
Note
It is recommended to use cables bigger than 1mm2 to connect to the terminals.
Arrangement of control circuit terminals is as follows
Fig.4-2 Arrangement of control terminals
Refer to table 4-2 for description of each terminal
Table 4-2 function list of each list
Category
Terminals
Name
Function description
Specification
Shield
PE
Shielded PE
PE terminal connected to shielding
Connected to circuit PE inside the

13
Category
Terminals
Name
Function description
Specification
layer.Analog singal, 485
communication,motor power cable
shield can be connected here
drive
Power
supply
+10
+10V Power
supply
Provide +10V power supply
Maximum output current is 5mA
Analog
input
AI1
Signal-ended
input AI1
Can accept analog voltage/current
input, jumper AI1 can select voltage or
current input mode. (Reference ground:
GND)
Input voltage range: -10V~10V
(Input impedance 45KΩ)
Resolution: 1/4000
Input current range : 0mA~20
mA, Resolution: 1/2000(Need
jumper)
AI2
Signal-ended
input AI2
Can accept analog voltage/current
input, jumper AI2 can select voltage or
current input mode. (Reference ground:
GND)
Analog
output
AO1
Analog output 1
Providing analog voltage or current
output, they are selected by the jumper
AO1. The default setting is output
voltage, refer to the function code
A6.28(Reference ground: GND)
Voltage output range: 0V~10V
Current output range:
0/4~20mA
AO2
Analog output 2
Providing analog voltage or current
output, they are selected by the jumper
AO2. The default setting is output
voltage, refer to the function code
A6.29(Reference ground: GND)
Voltage output range: 0V~10V
Current output range:
0/4~20mA
Multi-fun
ction
input
terminal
X1
Multi-function
input terminal 1
Can be defined as multi-function digital
input terminal.(Refer to the A6 group,
from A6.00 to A6.04)
Optocoupler isolation input
Input resistor: R=3.3kΩ
Maximum input frequency of
X1~X5: 200Hz
Input voltage range:20~30v
X2
Multi-function
input terminal 2
X3
Multi-function
input terminal 3
X4
Multi-function
input terminal 4
X5
Multi-function
input terminal 5
Multi-fun
ction
output
terminal
Y1
Bi-direction
open-collector
output
Can be defined as multi-function digital
output terminal , refer to the A6.14
desctription (Com port: COM)
Optocoupler isolation output
Maximum working voltage: 30v
Maximum output current: 50mA
+24V
X1、。。。 X5
PLC
+3.3V
COM
24V
R

14
Category
Terminals
Name
Function description
Specification
Common
port
COM
Common port of
24V power
supply
Three common ports in all, cooperate
with other terminals
Relay
output
terminal 1
RA
Relay output
Can be defined as multi-function relay
output terminal(Refer to the A6.16 for
function description)
R1a-R1b:Normally closed,
R1a-R1c:normally open
Contact capacity :
AC250V/2A(COSΦ=1)
AC250V/1A(COSΦ=0.4)
DC30V/1A
Input voltage of relay output
terminal 's overvoltage class is
overvoltage class II
RB
RC
Arrangement of control circuit terminals is as follows
J606
24V PLC
AI1 AI2 +10V X1 X2 X3 X4 X5 Y1 AO1 AO2 OP COM PE
RA RB RC
Wiring of OP
1:When: J606
24V PLC
Use internal +24V power supply
Wirings of multiple function input terminal and operation terminal
AI1 AI2 +10V X1 X2 X3 X4 X5 Y1 AO1 AO2 OP COM PE
RA RB RC
2:When: J606
24V PLC
Use external power supply
Wirings of multiple function input terminal and operation terminal
AI1 AI2 +10V X1 X2 X3 X4 X5 Y1 AO1 AO2 OP COM PE
RA RB RC
+
-
Wiring of analog input
1)AI1, AI2 can be connected to analog voltage or current sigle-ended input. Voltage or current mode can be seleted by
AI1and AI2. The wiring is as follows:

15
Fig 4-3 AI1,AI2 terminal wiring
Wiring of analog output terminal
If the analog output terminals AO1,AO2 are connected to analog meters, then various kinds of physical values can be
measured. The jumper can select current output (0~20mA) or voltage output (0~10V). The wiring is as follows:
Fig.4-4 Wiring of analog output
Notes:
1.When using analog input, a common mode inductor can be installed between input signal and COM.
2.The analog input voltage is better under 15v.
3.Analog input and output signals are easily disturbed by noise, so shielded cables must be used to transmit these
signals and the cable length should be as short as possible.
4.The analog output terminal can stand the voltage under 15v
Wirings of Multi-function output terminal wiring
1. Multi-function output terminal Y1 can use the internal
24 power supply, the wiring is as shown in Fig.4-11
Fig 4-11 Wiriing method 1 of multi-function
output terminal
2. Multi-function output terminal Y1 can use the external
24 power supply too, the wiring is as shown in Fig.4-12.
Fig 4-12 Wiriing method 2 of multi-function output
terminal
Wiring of relay output terminals Ra, Rb and Rc
DC
CV100
COM
Y1
24V
+5V
+24V
+ -
Relay
CV100
24V
+5V
+24V
COM
Y1
Relay
AO1
GND
CV100
Shield cable connect
to PE
A
I
1
,
A
I
2
G
N
D
+
1
0
-
1
0
~
+
1
0
V
Or
0
~
2
0
m
A
P
E
CV100
Analog meters

16
If the drive drives an inductive load (such as
electromagnetic relays and contactor), then a surge
suppressing circuit should be added, such as RC
snubbing circuit (Notice that the leakage current must be
smaller than the holding current of the controlled relay
or contactor) and varistor or a free-wheeling diode (Used
in the DC electric-magnetic circuit and pay attention to
the polarity when installing). Snubbing components
should be as close to the coils of relay or contactor as
possible.
Note
1. Don’t short circuit terminals 24V and COM,
otherwise the control board may be damaged.
2. Please use multi-core shielded cable or multi-stranded
cable(above 1mm) to connect the control terminals.3.
When using a shielded cable, the shielded layer’s end
that is nearer to the drive should be connected to PE.
4. The control cables should be as far away(at least
20cm) from the main circuits and high voltage cables as
possible (including power supply cables, motor cables,
relay cables and contactor cables and so on). The cables
should be vertical to each other to reduce the disturbance
to minimum.
5. The resistors R in Fig. 4-11 and Fig.4-12 should be
removed for 24V input relays, and the resistance of R
should be selected according the parameters of relay for
non-24V relay.
6. Digital output terminal can not stand the voltage
higher than 30V

17
Chapter 5 Operation Instructions of Kinco VFD
In this chapter we introduce the necessary knowledge of Kinco VFD and related operations.
5.1 Using Operation Panel
5.1.1 Operation panel appearance and keys’ function description
Operation panel is used to setup the drive and display parameters, it is LED display . As shown in Fig.5-1
Fig.5-1 Illustration of operation panel
There are 9 keys on the operation panel and functions of each key are shown in Table 4-1.
Table 5-1 Function list of operation panel
Key
Name
Function
MENU
Program/ exit key
Enter or exit programming status
ENTER
Function/ data key
Enter next level menu or confirm data
∧
Increase key
Increase data or parameter
∨
Decrease key
Decrease data or parameter
SHIFT
Shift key
In editing status, pressing this key select the Bit to be modified. In other
status, this key is used to switch parameters.
M
Multi-function key
Use the b4.02 to cofigure thw function of this key

18
Key
Name
Function
RUN
Run key
In panel control mode, press this key to run the drive.
STOP/RST
Stop/reset key
Press this key to stop or reset the drive.
Rotary knob
Frequency setting
rotary knob
Rotate it to set the frequency.
5.1.2 Function Descriptions of LED and Indicators
The operation panel consists of a 4-digits eight
segments LED display, 3 unit indicators and 1 status
indicator as shown in Fig.5-1. The LED display can
display the status parameters, function codes and error
codes of the drive. 1 status indicator,its description is
shown in table 5-2
Table 5-2
Indicator
Status
Current status of drive
Running
indicator(RUN)
Off
Stop
On
Running
5.1.3 Display status of operation panel
CV100 operation panel can display the parameters in
stopping status, running status, parameters editing
status..
1. Parameters displayed in stopping status
When the drive is in stop status, the operation panel
displays the stopping staus parameter. Pressing the
SHIFT key can display different stop status parameters
(Defined by function code b4.05)
2. Parameters displayed in running status
When the drive receives operating command, it starts
running and its panel will display the running status
parameters, the RUN indicator turns on.The unit
indicator display the unit of the parameter, by pressing
the SHIFT key can display different operation
parameters (Defined by function code b4.05)
3. Parameters displayed in error status
When the drive detects a fault signal, the panel will
display the flashing fault code..
Press the SHIFT key to display the stop staus
parametere and error code. By pressing the STOP/RST,
control terminal or communication command to reset
the error. If the error still exists, then the panel keeps
displaying the error code.
4. Parameter editing status
When the drive is in stop, running or error state, press
MENU can enter edit status(If password needed,
please refer to description of A0.00),. Edit state
displays in 2-level menu, they are: function codegroup
or function code number→function code parameter
value. You can press ENTER to enter parameter
displayed status. In function parameter displayed
sttatus, press ENTER to save the settings, and press
MENU to exit the menu.
5.1.4 Panel Operation
Various operations can be done on the operation
panel,follows are 5 common examples. Refer to
parameter list in chapter 9 for detail function code
description.
Example 1:Set parameters
Example: Change the value in A0.03 from 50.00Hz to
30Hz
1. In the stop parameter displaying state, press MENU
to enter the fiest level A0.00;
2. Press ∧ to change A0.00 to A0.03;
3. Press ENTER to enter the second level menu
4. Press the SHIFT to change the marker to the highest
bit
5. Press the ∨ to change the 50.00 to 30.00
6. Press the ENTER to confirm above change and back
to the fist level menu. Then the parameter is changed
successfully.
The above operations are shown in following picture.

19
Fig 5-2 Example of setting parameter
In function parameter displaying status, if there is no
bit flashing. It means that this function code can not be
changed, the possible reason are:
1. This function code is unchangeable parameter. Like
actual detected parameter, operation log parameter and
so on
2. This parameter can not be changed when operating;
you need stop the VFD to edit the parameter
3. The parameters are protected. When the b4.02 is 1,
function code can not be changed. It is to protect the
VFD from wrong operatingon. If you want to edit this
parameter, you need set function code b4.02 to 0.
Example 2: Regulate the setting frequency
Press the ∧ ∨ or rotary knob to change the setting
frequency directly when power on VFD
Note:
When the Operating Speed, Setting Speed, Operating
Line Speed, and Setting Line Speed is displayed on the
panel. Press ∧ or ∨ is to modify the value of
Setting Speed and Setting Line Speed.
Example: changing the setting frequency from
50.00Hz to 40.00Hz.
After the VFD power on (in this example the LED is in
voltage display status AI1), Press ∨ to modify the
setting frequency (Holding ∨ can speed up the
modification) from 50.00Hz to 40.00Hz. So the setting
frequency is modified.
The above steps are as the following figure:
Fig 5-3 Modify the setting frequency
After modification, if there are no operations in 5
seconds. The LED back to display the voltage, it is the
display status before modification.
Example 3: Set the password
To protect parameters, the VFD provides the password
protection function. The user needs to input the right
password to edit the parameters if the VFD been set
password. For some manufacturer parameters, the
manufacturer password is needed.
Note:
Do not try to change the manufacturer parameters, if
they are not set probably, the VFD may can not work
or be damanged.
Function code A0.00 is to set user password. Refer to
Chapter 6.1 A0 group for more information
Suppose the user’s password is set as 1234, then the
VFD is locked, and you can not do any operation to
VFD. Then you can follow the following steps to
unlock the VFD.
1 when the VFD is locked, press MENU. The LED
enter the password display status: 0000;
2 Change 0000 to 1234;
3 Press ENTER to confirm. Then the LED displays
A0.01. So the VFD is unlocked
Note:
After unlock the password, if there is no operation in 5
minutes, VFD will be locked again.
Example 4: Lock the operation panel
The b4.00 is used to lock the operation board. Refere
to chapter 6.1 A0 group for more information

20
Example: Lock all the keys of the operation panel
Undrer stop parameter displaying status.
1 press MENU to enter A.00
2 Press ∧ to choose the function code b4.00
3 Press ENTER to entere the second level menu
4 Press ∧ to change the hundreds place from 0 to 1
5 Press ENTER to confirm
6 Press MENU to back the stop parameter displaying
status;
7 Press ENTER and hold, then press MENU, so the
key board is locked
Example 5: Unlock the keys of the operation panel
When the operation panel is locked, follow the follow
operations to unlock it:
Press the ENTER and hold , then press the ∨ three
times
Note:
Whatever setting is in b4.00, after the VFD power on,
the operation board is in unlock status.
5.2 Operation mode of VFD
In the follow-up sections, you may encounter the terms
describing the control, running and status of drive
many times. Please read this section carefully. It will
help you to understand and use the functions discussed
in the follow chapters correctly.
5.2.1 Control mode of VFD
It defines the physical channels by which drive
receives operating commands like START, STOP, JOG
and others, there are two channels:
1 Operation panel control: The drive is controlled by
RUN, STOP and M keys on the operation panel;
2 Terminal control: The drive is controlled by
terminals Xi、Xj and COM (2-wire mode), or by
terminal Xk (3-wire mode);
The control modes can be selected by function code
A0.04, multi-function input terminal (Function No.
15~17 are selected by A6.00~A6.04 )
Note:
Before you change the control mode, make sure that
the mode suitable for the application. Wrong selection
of control mode may cause damage to equipment or
human injury!
5.2.2 Operating Status
There are 3 operating status: stop, motor parameters
auto-tuning, and operating.
1.Stop status: After the drive is switched on and
initialized, if no operating command is accepted or the
stop command is executed, then the drive in stop
status.
2.Running status: The drive enters running status after
it receives the operating command.
3.Motor parameters auto-tuning status: If there is an
operating command after b0.11 is set to 1 or 2, the
drive enters motor parameters auto-tuning status, and
then enters stopping status after auto-tuning process
finishes.
5.2.3 Control mode and operation mode of Kinco
VFD
Control mode
CV100 VFD has three control methods, it is set by
A0.01:
0. Vector control without PG: it is vector control
without speed sensor, need not to install the PG, at the
same time it has very high control performance, it can
control the speed and torque of motor accurately. It has
the characteristics like low frequency with high torque
and steady speed with high accuracy. It is often used in
the applications that the V/F control mode can not
stisfy, but requires high robustness.
1. Reserved

21
2. V/F control: It is used in the applications that do not
require very high performance, such as one VFD
controls multiple motors.
Operation mode
Speed control: Control the speed of motor accurately,
related function codes in group A5 should be set.
Torque control: Control the torque of motor accurately,
related function codes in group A5 should be set.
5.2.4 The channels to set the VFD frequency
CV100 supports 5 kinds of operating modes in speed
control mode which can be sequenced according to the
priority: Jog>Close loop process operation>PLC
operation>Multiple speed operation>simple operation.
It is shown as follows:
Fig 5-4 Operating mode in speed control mode
The three operating modes provide three basic
frequency sourse.Two of them can use the auxiliary
frequency to stacking and adjusting (except Jog mode),
the descriptions of each mode are as follows:
1) JOG operation:
When the drive is in STOP state, and receives the JOG
command (for example the M key on the panel is
pressed), then the drive jogs at the JOG frequency
(refer to A2.04 and A2.05)
2) Close-loop process operation:
If the close-loop operating function is enabled
(C1.00=1), the drive will select the close-loop
operation mode, that is, it will perform closed-loop
regulation according to the given and feedback value
(refere to Group C1). This mode can be deactived by
the multi-function terminals, and switch to the lower
priority mode.
3) PLC operation
This function is customized, description is omitted.
4) Multi-step (MS) speed operation:
Select Multiple frequency 1~15(C0.00~C0.14)to
start Mulitple speed operation by the ON/OFF
combinations of the multi-function terminals (No.27,
28, 29 and 30 function). If all the terminals are
“OFF”,it is in simple operation.
Note:
About the frequency setting channel under speed mode,
please refer to the chapter 6 for detail information
5.3 Power on the Drive for the first
time
5.3.1 Checking before power on
Please wire the drive correctly according to chapter 4
5.3.2 Operations when start up the first time
After checking the wiring and AC supply, switch on
the circuit breaker of the drive to supply AC power to
it. The drive’s panel will display “8.8.8.8.” at first, and
then the contactor closes. If the LED displays the

22
setting frequency,that is to say the initialization of the
drive is completed.
Procedures of first-time start-up are as follows:
Fig.5-5 Procedures of first-time start-up
N
Y
N
Y
N
Y
N
Y
N
Y
Properly wiring
Power on
Display
8.8.8.8?
.
Contactor closed?
Successful
Check the reason
Start
Check wiring
Check input
voltage
Display frequency?
Failed
Cut off the power

23
Chapter 6 Parameter Introductions
Note :
6.1 Group A0
A0.00 User password
00000~65535
【00000】
This function is used to prevent the irrelevant personnel
from inquiring and changing the parameter as to protect
the safety of the inverter parameters.
0000: No password protection.
Set password:
Input four digits as user password, and press ENTER
key for confirmation. After 5 minutes without any other
operation,the password will be effective automatically.
Change password:
Press MENU key to enter the password verification
status. Input correct password and it enters parameter
editing status. Select A0.00 (parameter A0.00 displayed
as 00000).Input new password and press ENTER key for
confirmation. After 5 minutes without any other
operation, the password will be effective automatically.
Note:
Please safekeeping the user password.
A0.01 Control mode
0~2【0】
0: Vector control without PG (Open loop vector control)
It is a vector control mode without speed sensor
feedback.It is applicable to most applications.
1: Reserved
2:V/F control
It is used to control voltage/frequence constantly.It is
applicable to most application, especially for the
application of one drive driving multiple motors.
A0.02 Main reference
frequency selector
0~4【0】
0: Digital setting.
The initial reference frequency is the value of A0.03.
It can be adjusted via ▲ and ▼ key,or via terminal
UP/DOWN.
1: Set via AI1 terminal.
The reference frequency is set by analog input via
terminal AI1 and the voltage range is -10V~10V. The
relationship between voltage and reference frequency
can be set in Group A3.
2: Set via AI2 terminal.
The reference frequency is set by analog input via
terminal AI2 and the voltage range is -10V~10V. The
relationship between voltage and reference frequency
can be set in Group A3.
3:Set via potentiometer.
A0.03 Set the operating
frequency in digital mode
Range: Lower limit of
frequency ~upper limit
of frequency
【50.00Hz】
When the reference frequency is set in digital
mode(A0.02=0), this setting of this parameter is the
drive’s initial frequency value.
A0.04 Methods of inputting
operating commands
0~2【1】
CV100 has two control modes.
0: Panel control: Input operating commands via panel
Start and stop the drive by pressing RUN, STOP and M
on the panel.
1: Terminal control: Input operating commands via
terminals.
Use external terminals Xi(Set function code
A6.00~A6.04 to 1 and 2),M Forward, M Reverse to start
and stop the drive.
2:Modbus communication.
A0.05 Set running direction
0~1【0】
This function is active in panel control mode and serial
XX
.
XX
YYYYYYYY
N1
~
N2
【
D
】
Parameter
No.
Parameter
Name
Range
Default
value

24
port control mode, and inactive in terminal control
mode.
0: Forward
1: Reverse
A0.06 Acc time 1
0.0~6000.0s
【6.0s】
A0.07 Dec time 1
0.0~6000.0s
【6.0s】
Default value of Acc/Dec time 1:
2KW or below:6.0S
30KW~45KW:20.0S
45KW or above:30.0S
Acc time is the time taken for the motor to accelerate
from 0Hz to the maximum frequency (as set in A0.08).
Dec time is the time taken for the motor to decelerate
from maximum frequency (A0.08) to 0Hz.
CV100 series VFD has defined 4 kinds of Acc/Dec
time.(Here only Acc/Dec time 1 is defined, and Acc/Dec
time 2~4 will be defined in A4.01~A4.06),and the
Acc/Dec time 1~4 can be selected via the combination
of multiple function input terminals,please refer to
A6.00~A6.04.
A0.08 Max. output
frequency
Max{50.00,A0.11 upper
limit of frequency}~300.00Hz
【50.00】
A0.09 Max. output
voltage
0~480V【VFD’s rating
values】
A0.10 Upper limit
of frequency
A0.12~A0.09【50.00】
A0.11 Lower limit
of frequency
0.00~A0.11【00.00】
A0.12 Basic
operating frequency
0.00~Max. output frequency
A0.08【50.00】
Max output frequency is the highest permissible output
frequency of the drive, as shown in Fig. 6-1 as Fmax;
Max output voltage is the highest permissible output
voltage of the drive, as shown in Fig. 6-1 as Vmax
Upper limit of frequency is the highest permissible
operating frequency of the user setting, as shown in Fig.
6-1 as FH.
Lower limit of frequency is the lowest permissible
operating frequency of the user setting,as shown in
Fig.6-1 as FL.
Basic operating frequency is the Min. frequency when
the drive outputs the max voltage in V/F mode, as shown
in Fig. 6-1 as Fb
Fig.6-1 Characteristic parameters
Note:
1.Please set Fmax, FH and FL carefully according to
motor
Parameters and operating states.
2.FH and FL is invalid for JOG mode and auto tuning
mode.
3.Besides the upper limit of frequency and lower limit
of frequency,the drive is limited by the setting value of
frequency of starting,starting frequency of DC braking
and hopping frequency.
4.The Max. output frequency,upper limit frequency and
lower limit frequency is as shown in Fig.6-1.
5.The upper/lower limit of frequency are used to limit
the actual output frequency.If the preset frequency is
higher than upper limit of frequency,then it will run in
upper limit of frequency.If the preset frequency is lower
than the lower limit of frequency,then it will run in lower
limit of frequency.If the preset frequency is lower than
starting frequency,then it will run in 0Hz.
F
L
F
H
F
b
F
m
a
x
V
m
a
x
Output
Voltage
Output frequency

25
A0.13 Torque boost of motor 1
0.0~30.0%【0.0%】
In order to compensate the torque drop at low frequency,
the drive can boost the voltage so as to boost the torque.
If A0.13 is set to 0, auto torque boost is enabled and if
A0.13 is set non-zero, manual torque boost is enabled,
as shown in Fig. 6-2.
Fig.6-2 Torque boost(shadow area is the boostedvalue)
Note:
1. Wrong parameter setting can cause overheat or
over-current protection of the motor.
2. Refer to b1.07 for definition of Fz.
6.2 Group A1
A1.00 Starting mode
0、1、2【0】
0. Start from the starting frequency
Start at the preset starting frequency (A1.01) within the
holding time of starting frequency (A1.02).
1.Brake first and then start
Brake first(refer to A1.03 and A1.04), and then start in
mode 0.
2.Speed tracking
Notes:
Starting mode 1 is suitable for starting the motor that is
running forward or reverse with small inertia load when
the drive stops. For the motor with big inertial load, it is
not recommended to use starting mode 1.
A1.01 Starting frequency
0.00 ~60.00Hz
【0.00Hz】
A1.02 Holding time of starting
frequency
0.00~10.00s【0.00s】
Starting frequency is the initial frequency when the drive
starts, as shown in Fig. 6-3 as FS.Holding time of
starting frequency is the time during which the drive
operates at the starting frequency, as shown in Fig. 6-3
as t1
Fig.6-3 Starting frequency and starting time
Note:
Starting frequency is not restricted by the lower limit of
frequency.
A1.03 DC injection braking
current at start
0.0~100.0%【 0.0%】
A1.04 DC injection braking
time at start
0.00~30.00s【0.00s】
A1.03 and A1.04 are only active when A1.00 is set to 1
(starting mode 1 is selected), as shown in Fig. 6-4.
DC injection braking current at start is a percentage
value of drive’s rated current. There is no DC injection
braking when the braking time is 0.0s.
t1
Time( t)
F
s
max
F
Frequency(Hz)
Vb:Manual torque boost Vmax:Max. output voltage
Fz:Cut-off frequency for torque boost Fb:Basic operating frequency
Output
voltage
F
b
V
b
V
max
Output frequency
F
z

26
Fig.6-4 Starting mode 1
A1.05 Stopping mode
0、1、2【0】
0: Dec-to-stop
After receiving the stopping command, the drive reduces
its output frequency according to the Dec time, and stops
when the frequency decreases to 0.
1: Coast-to-stop
After receiving the stopping command, the drive stops
outputting power immediately and the motor stops under
the effects of mechanical inertia.
2: Dec-to-stop+DC injection braking
After receiving the STOP command, the drive reduces
its output frequency according to the Dec time and starts
DC injection braking when its output frequency reaches
the initial frequency of braking process.
Refer to the introductions of A1.06~A1.09 for the
functions of DC injection braking.
A1.06 DC injection braking
initial frequency at stop
0.00~60.00Hz
【0.00Hz】
A1.07 Injection braking
waiting time at stop
0.00~10.00s【0.00s】
A1.08 DC injection braking
current at stop
0.0~100.0%【0.0%】
A1.09 DC injection braking
time at stop
0.00~30.00s【0.00s】
DC injection braking waiting time at stop: The duration
from the time when operating frequency reaches the DC
injection braking initial frequency(A1.06) to the time
when the DC injection braking is applied.
The drive has no output during the waiting time. By
setting waiting time, the current overshoot in the initial
stage of braking can be reduced when the drive drives a
high power motor.
DC injection braking current at stop is a percentage of
drive’s rated current. There is no DC injection braking
when the braking time is 0.0s.
Fig.6-5 Dec-to-stop + DC injection braking
Note:
DC injection braking current at stop(A1.08) is a
percentage
value of drive’s rated current.
A1.10 Restart after power
failure
0、1【0】
A1.11 Delay time for restart
after power failure
0.0~10.0s【0.0s】
A1.10 and A1.11 decide whether the drive starts
automatically and the delay time for restart when the
drive is switched off and then switched on in different
control modes.
If A1.10 is set to 0, the drive will not run automatically
after restarted.
If A1.10 is set to 1, when the drive is powered on after
power failure, it will wait certain time defined by A1.11
and then start automatically depending on the current
Output
Freqency
Initial Frequency
of braking
Braking
energy
Braking time
Operating
command
Waiting time
Output
Frequency
DC Braking
energy
DC injection
Braking time
Runing
command
Time
Time
o
Output
Voltage
(effective
Value)
Output
Voltage
(RMS value)

27
control mode and the drive’s status before power failure.
See Table 6-1.
Table 6-1 Restarting conditions
Settin
g of
A1.10
Status
before
power
off
Panel
Serial
port
3-wire
modes
1 and
2
2-wire
modes 1
and 2
Without control command
With
0
Stop
0
0
0
0
0
Run
0
0
0
0
0
1
Stop
0
0
0
0
1
Run
1
1
1
0
1
Table 6-1 shows the drive’s action under different
conditions. “0” means the drive enter ready status and
“1” means the drive start operation automatically.
Note:
1.When using the panel or serial port or 3-wire mode 1
and 2 to start or stop the drive, the command signal is in
pulse mode and there is no operating command when the
drive is switched on.
2.If there is a stopping command, the drive will stop
first. 3.When the function of restart after power failure is
enabled, the drive will start on the fly after power on if it
is not switched off totally (that is, the motor still runs
and drive’s LED displays “P.OFF”). It will start in the
starting mode defined in A1.00 after power on if it is
switched off totally (LED turns off).
A1.12 Anti-reverse running
function
0、1【0】
0: Disabled
1: Enabled
Note:
This function is effective in all control modes.
A1.13 Delay time of run reverse/
forward
0~3600s【0.0s】
The delay time is the transition time at zero frequency
when the drive switching its running direction as shown
in Fig. 6-6 as t1.
Fig.6-6 Delay time from reverse running to forward
running or from forward running to reverse running
A1.14 Switch mode of run
reverse/forward
0、1【0】
0:Switch when pass 0Hz
1:Switch when pass starting frequency
A1.15 Detecting frequency of
stop
0.00~150.00Hz
A1.16 Action voltage of
braking unit
650~750【700】
A1.17 Dynamic braking
0、1【0】
0:Dynamic braking is disabled
1:Dynamic braking is enabled
Note:
This parameter must be set correctly according to the
actual
conditions, otherwise the control performance may be
affected.
A1.18 Ratio of working time
of braking unit to drive’s total
working time
0.0~100.0%【80.0%】
This function is effective for the drive with built-in
braking
resistor.
Note:
Resistance and power of the braking resistor must be
taken into consideration when setting this parameters.
Time
t
1
Output
frequency

28
6.3 Group A2
A2.00 Auxiliary
reference
frequency selector
0~5【0】
0: No auxiliary reference frequency
Preset frequency only determined by main reference
frequency, auxiliary reference frequency is 0Hz by
default.
1: Set by AI1 terminal
The auxiliary frequency is set by AI1 terminal.
2: Set by AI2 terminal
The auxiliary frequency is set by AI2 terminal.
3: Reserved
4: Set by DI terminal(PULSE)
5: Set by output frequency of process PID.
A2.01 Main and auxiliary
reference frequency
calculation
0~3【0】
0:”+”
Preset frequency=Main+auxiliary.
1:”-”
Preset frequency=Main-auxiliary.
2:MAX
Set the max. absolute value between Main and auxiliary
reference frequency as preset frequency.
Set Main reference frequency as preset frequency when
the polarity of auxiliary frequency is opposite to main
frequency.
3:MIN
Set the min. absolute value between Main and auxiliary
reference frequency as preset frequency.
Set preset frequency as 0Hz when the polarity of
auxiliary frequency is opposite to main frequency.
A2.02 UP/DN rate
0.01~99.99Hz/s【1.00】
A2.02 is used to define the change rate of reference
frequency that is changed by terminal UP/DN or ▲/▼
key.
A2.03 UP/DN regulating
control
0~11H【00】
Note:
In this manual,there are many .Their
meanings are as following:
A means the thousand’s place of LED display.
B means the hundred’s place of LED display.
C means the ten’s place of LED display.
D means the unit’s place of LED display.
A2.04 Jog operating
frequency
0.01 ~50.00Hz
【5.00Hz】
A2.04 is used to set the jog operating frequency.
Note:
Jog operation can be controlled by panel(M key),
terminals.
A2.05 Interval of Jog operation
0.0~100.0s【0.0】
Interval of Jog operation (A2.05) is the interval from the
time when the last Jog operation command is ended to
the time when the next Jog operation command is
executed.
The jog command sent during the interval will not be
executed. If this command exists until the end of the

29
interval, it will be executed.
A2.06 Skip frequency 1
0.00~300.0Hz【0.00Hz】
A2.07 Range of skip
frequency 1
0.00~30.00Hz【0.00Hz】
A2.08 Skip frequency 2
0.00~300.0Hz【0.00Hz】
A2.09 Range of skip
frequency 2
0.00~30.00Hz【0.00Hz】
A2.10 Skip frequency 3
0.00~300.0Hz【0.00Hz】
A2.11 Range of skip
frequency 3
0.00~30.00Hz【0.00Hz】
A2.06~A2.11 define the output frequency that will
cause
resonant with the load, which should be avoided.
Therefore, the drive will skip the above frequency as
shown in Fig. 6-7. Up to 3 skip frequencies can be set.
Fig.6-7 Skip frequency and skip range
6.4 Group A3
A3.00 Reference frequency
curve selection
0000~3333H【0000】
A3.01 Max reference of curve 1
A3.03 ~110.0%
【100.0%】
A3.02 Actual value
corresponding to the Max
reference of curve 1
0.0% ~100.0%
【100.0%】
A3.03 Min reference of curve 1
0.0%~A3.01【0.0%】
A3.04 Actual value
corresponding to the Min
reference of curve 1
0.0% ~100.0%
【0.0%】
A3.05 Max reference of curve 2
A3.07 ~110.0%
【100.0%】
A3.06 Actual value
corresponding to the Max
reference of curve 2
0.0% ~100.0%
【100.0%】
A3.07 Min reference of curve 2
0.0%~A3. 05【0.0%】
A3.08 Actual value
corresponding to the Min
reference of curve 2
0.0% ~100.0 %
【0.0%】
A3.09 Max reference of curve 3
A3.11 ~110.0%
【100.0%】
A3.10 Actual value
corresponding to the Max
reference of curve 3
0.0% ~100.0%
【100.0%】
A3.11 Min reference of curve 3
0.0%~A3. 09【0.0%】
A3.12 Actual value
corresponding to the Min
reference of curve 3
0.0% ~100.0 %
【0.0%】
A3.13 Max reference of curve 4
A3.15 ~110.0%
【100.0%】
A3.14 Actual value
corresponding to the Max
reference of curve 4
0.0% ~100.0%
【100.0%】
A3.15 Reference of inflection
point 2 of curve 4
A3.17 ~A3.13
【100.0%】
A3.16 Actual value
corresponding to the Min
reference of inflection point 2
of curve 4
0.0% ~100.0%
【100.0%】
A3.17 Reference of inflection
point 1 of curve 4
A3.19 ~A3.15
【0.0%】
A3.18 Actual value
corresponding to the Min
reference of inflection point 1
of curve 4
0.0% ~100.0%
【0.0%】
A3.19 Min reference of curve 4
0.0%~A3. 17【0.0%】
A3.20 Actual value
corresponding to the Min
0.0% ~100.0%
【0.0%】
Skip
Frequency 1
Skip
Frequency 2
Skip
frequency 3
Adjusted preset
frequency
Skip range 1
Skip range 2
Skip range 3
Preset
frequency

30
reference of curve 4
Reference frequency signal is filtered and amplified, and
then its relationship with the preset frequency is
determined by Curve 1,2,3 or 4. Curve 1 is defined by
A3.01 ~A3.04.Curve 2 is defined by A3.05 ~
A3.08.Curve 3 is defined by A3.09~A3.12.Curve 4 is
defined by A3.13~A3.20. Take preset frequency as
example, positive and negative characteristics are shown
in Fig.6-8.In Fig.6-8,the inflection points are set the
same as the corresponding relationship of Min. or Max
reference.
Fig.6-8 Freq. coreesponding to Min. frequency
Analog input value(A) is a percentage without unit, and
100% corresponds to 10V or 20mA. Pulse frequency (P)
is also a percentage without unit, and 100% corresponds
to the Max pulse frequency defined by A6.10.
The time constant of the filter used by the reference
selector is defined in Group A6.
A3.00 is used to select the analog input curve and pulse
input curve,as show in Fig.6-9.
Fig.6-9 Frequency curve selection
For example, the requirements are:
1.Use the analog signal(AI1) input to set the
reference frequency;
2.Input signal: 0V~10V;
3.0.5V input signal corresponds to 50Hz reference
frequency, and 4V input signal corresponds to 10Hz
reference frequency, 6V input signal corresponds to
40Hz reference frequency, 10V input signal corresponds
to 5Hz reference frequency.
According to the above requirements, the parameter
settings are:
1)A0.02=1, select AI1 input to set the reference
frequency.
3)A3.00=0003, select curve 4.
4)A0.08=50.0kHz,set the Max output frequency to 50
Hz.
5)A3.13=10÷10×100%=100.0%, set the percentage
that the Max reference (10V) corresponds to 10V
6)A3.14=5.00Hz÷A0.08*100%, set the percentage that
the max input signal corresponds to the the reference
frequency
7)A3.15=6÷10×100%=60.0%,the percentage that
inflection2 reference(6V) of curve 4 corresponds to the
10V.
8)A3.16=40.00Hz÷A0.08*100%,set the percentage
that inflection2 reference (6V) corresponds to the
reference frequency.
A
I
1
Curve selection
0:Curve 1 1:Curve 2
A
I
2
Curve selection
Reserved
Reserved
A
B
C
D
2:Curve 3 3:Curve 4
0:Curve 1 1:Curve 2
2:Curve 3 3:Curve 4
Preset frequency
Preset frequency
Positive
Negative
P
F
m
a
x
F
m
i
n
P
m
i
n
A
m
i
n
A
m
a
x
(
1
)
(
2
)
P
m
a
x
P
m
i
n
A
m
i
n
P
m
a
x
A
m
a
x
P
A
A
F
m
i
n
F
m
a
x
P
:
Pulse terminal input
P
m
i
n
、
A
m
i
n
:
Min. reference
P
m
a
x
、
A
m
a
x
:
Max. reference
F
m
i
n
:
Freq. coreesponding
To Min. frequency
F
m
a
x
:
Freq. coreesponding
To Max. frequency
A
:
AI1~AI3 terminal input

31
9)A3.17=4÷10×100%=40.0%,the percentage that
inflection1 refererece (4V) of curve 4 corresponds to the
10V
10)A3.18=10.00Hz÷A0.08*100%,set the percentage
that inflection1 reference (4V) of curve 4 corresponds
to the reference frequency.
11)A3.19=0.5÷10×100%=5.0%,set the percentage
that the Minimum reference(0.5V) of curve 4
corresponds to the 10V
12)A3.20=50.00Hz÷A0.08*100%,set the percentage
that the minimum reference(0.5V) corresponds to the
reference frequency.
Fig.6-10 Pulse signal input 1
If there is no setting of inflection point in the 3rd
requirement,means to change the requirement as 0.5V
input signal corresponds to 50Hz reference frequency,
and 10V input signal corresponds to 5Hz reference
frequency.Then we can set the inflection point 1 the
same as Min. reference(A3.17=A3.19,A3.18=A3.20)
and inflection point 2 the same as Max. reference(A3.13
=A3.15,A3.14=A3.16).As shown in Fig.6-11.
Fig.6-11 Pulse signal input 2
Note:
1.If user set the reference of inflection point 2 of curve
4the same as Max. reference(A3.15=A3.13),then the
drive will force A3.16=A3.14,means the setting of
inflection point 2 is invalid.If reference of inflection
point 2 is the same as reference of inflection point
1(A3.17 =A3.15),then the drive will force
A3.18=A3.16,means the setting of inflection point is
invalid.If reference of inflection point 1 is the same as
Min. reference(A3.19=A3.17),then the drive will force
A3.20=A3.18,means the setting of Min. reference is
invalid.The setting of curve 1 is in the same manner.
2.The range of the actual value that corresponds to the
reference of curve 1,2,3 and 4 is 0.0 %~
100.0%,corresponds to torque is 0.0%~300.0%,and
corresponds to frequency,its range is 0.0%~100.0%。
6.5 Group A4
A4.00 Acc/Dec mode
0~1【0】
0:Linear Acc/Dec mode
Output frequency increases or decreases according to a
constant rate, as shown in Fig. 6-12.
Fig.6-12 Linear Acc/Dec
1:S curve Acc/Dec mode.
The output frequency accelerates and decelerates
according to S curve,as shown in Fig.6-13.
A3.13
A3.15
A3.17
A3.19
Pulse signal input
Output frequency(%)
.
A3.14=10%
5
%
4
0
%
6
0
%
1
0
0
%
A3.16=80%
A3.18=20%
A3.20=100%
Frequency
Time
F
max
t
1
t
2

32
Fig.6-13 S curve Acc/Dec
S curve Acc/Dec mode can smooth acceleration and
deceleration,suitable for application like lift,conveyer
belt.
A4.01 Acc time 2
0.1~6000.0s【6.0s】
A4.02 Dec time 2
0.1~6000.0s【6.0s】
A4.03 Acc time 3
0.1~6000.0s【6.0s】
A4.04 Dec time 3
0.1~6000.0s【6.0s】
A4.05 Acc time 4
0.1~6000.0s【6.0s】
A4.06 Dec time 4
0.1~6000.0s【6.0s】
Acc time is the time taken for the motor to accelerate
from 0Hz to the maximum frequency (as set in A0.08),
see t2 in Fig.6-12. Dec time is the time taken for the
motor to decelerate from maximum frequency (A0.08)
to 0Hz, see t2 in Fig.6-12.
CV100 define three kinds of Acc/Dec time,and the
drive’s Acc/Dec time 1~4 can be selected by different
combinations of control terminals, refer to the
introductions of A6.00~A6.04 for the definitions of
terminals used to select Acc/Dec time.
A4.07 S curve acceleration
starting time
10.0%~50.0%
(Acc time)【20.0%】
A4.08 S curve acceleration
ending time
10.0%~70.0%
(Acc time)【20.0%】
A4.09 S curve deceleration
starting time
10.0%~50.0%
(Dec time)【20.0%】
A4.10 S curve deceleration
ending time
10.0%~70.0%
(Dec time)【20.0%】
A4.07~A4.10 is only valid when A4.00 is set as 1 (S
curve Acc/Dec mode),and it must make sure
A4.07+A4.08≤90%, A4.09+ A4.10≤90%,as shown in
Fig.6-14.
Fig.6-14 Acc/Dec starting time and ending time
A4.11 Quick start-stop selctor
0~3【0】
0:Disable
1:Quick start,normal stop
2:Normal start,quick stop
3:Quick start,quick stop
A4.12 Start ACR-P
0.1~200.0【20.0】
A4.13 Start ACR-I
0.000~10.000s【0.200s】
A4.14 Start AVR-P
0.1~200.0【20.0】
A4.15 Start AVR-I
0.000~10.000s【0.200s】
A4.16 Stop ACR-P
0.1~200.0【20.0】
A4.17 Stop ACR-I
0.000~10.000s【0.200s】
A4.18 Stop AVR-P
0.1~200.0【20.0】
A4.19 Stop AVR-I
0.000~10.000s【0.200s】
6.6 Group A5
A5.00:Reserved
A5.01 ASR1-P
0.1~200.0【20.0】
A5.02 ASR1-I
0.000~10.000s【0.200s】
A5.03 ASR1 output filter
0~8【0】
A5.04 ASR2-P
0.1~200.0【20】
A5.05 ASR2-I
0.000~10.000s【0.200s】
A5.06 ASR2 output filter
0~8【0】
A5.07 ASR1/2 switching
frequency
0~100.0%【10.0Hz】

33
The parameters A5.00~A5.07 are only valid for vector
control mode.
Under vector control mode,it can change the speed
response character of vector control through adjusting
the proportional gain P and integral time I for speed
regulator.
1.The structure of speed regulator (ASR) is shown in
Fig.6-15.In the figure, KP is proportional gain P. TI is
integral time I.
Fig.6-15 Speed regulator
When integral time is set to 0 (A5.02=0,A5.05=
0),then the integral is invalid and the speed loop is just a
proportional regulator.
2.Tuning of proportional gain P and integral time I for
speed regulator(ASR).
Fig.6-16 The relationship between step response and PI
parameters of speed regulator(ASR)
When increasing proportional gain P,it can speed up the
system’s dynamic response.But if P is too big,the system
will become oscillating.
When decreasing integral time I,it can speed up the
system’s dynamic response.But if I is too small,the
sysem will become overshoot and easily oscillating.
Generally, to adjust proportional gain P firstly.The value
of P can be increased as big as possible if the system
don’t become oscillating.Then adjust integral time to
make the system with fast response but small
overshoot.The speed step response curve of speed,when
set a better value to P and I parameters,is shown in
Fig.6-17.(The speed response curve can be observed by
analog output terminal AO1,please refer to Group A6)
Fig.6-17 The step response with better dynamic
performance
Note:
If the PI parameters are set incorrectly,it will cause
over-voltage fault when the system is accelerated to high
speed quickly(If the system doesn’t connect external
braking resistor or braking unit),that is because the
energy return under the system’s regenerative braking
when the system is dropping after speed overshoot.It can
be avoided by adjusting PI parameters
3.The PI parameters’ adjustment for speed
regulator(ASR) in the high/low speed running occasion
To set the switching frequency of ASR (A5.07) if the
system requires fast response in high and low speed
running with load.Generally when the system is running
at a low frequency,user can increase proportional gain P
and decrease integral time I if user wants to enhance the
dynamic response.The sequence for adjusting the
parameters of speed regulator is as following:
1)Select a suitable switching frequency( A5.07).
2)Adjust the proportional gain (A5.01) and integral
time(A5.02) when running at high speed,ensure the
Speed
Command
Speed
command
Proportional gain
is bigger
Proportional gain
is smaller
Speed
command
Integral time is smaller
Integral time is bigger
(a)
(b)
A6.10, A6.11

34
system doesn’t become oscillating and the dynamic
response is good.
3)Adjust the proportional gain (A5.04) and integral
time(A5.05) when running at low speed, ensure the
system doesn’t become oscillating and the dynamic
response is good.
4.Get the reference torque current through a delay filter
for the output of speed regulator.A5.03 and A5.06 are
the time constant of output filter for ASR1 and ASR2.
A5.08~A5.09
Reserved
Reserved function
A5.10 Driving torque limit
0.0%~+300.0%【180.0%】
A5.11 Braking torque limit
0.0%~+300.0%【180.0%】
Driving torque limit is the torque limit in motoring
condition.
Braking torque limit is the torque limit in
generating condition
In setting value, 100% is corresponding to drive’s
rated torque.
A5.12 ~A5.16
Reserved
Reserved function
A5.17 ACR-P
1~5000【1000】
A5.18 ACR-I
0.5~100.0mS【8.0ms】
A5.17 and A5.18 are the parameters for PI regulator of
current loop.Increasing P or decreasing I of current loop
can speed up the dynamic response of torque.Decreasing
P or increasing I can enhance the system’s stability.
Note:
For most applications, there is no need to adjust the PI
parameters of current loop, so the users are suggested to
change these parameters carefully.
6.7 Group A6
A6.00 Multi-function terminal X1
0~41【0】
A6.01 Multi-function terminal X2
0~41【0】
A6.02 Multi-function terminal X3
0~41【0】
A6.03 Multi-function terminal X4
0~41【0】
A6.04 Multi-function terminal X5
0~41【0】
A6.05
Reserved
A6.06
Reserved
A6.07: Reserved
The functions of multi-function input terminal X1~X5
are extensive. You can select functions of X1~X5
according to your application by setting A6.00~A6.04.
Refer to Table 6-2.
Table 6-2 Multi-function selection
Setting
Function
Setting
Function
0
No function
1
Forward
2
Reverse
3
Forward jog
operation
4
Reverse jog
operation
5
3-wire operation
control
6
External RESET
signal input
7
External fault
signal input
8
External interrupt
signal input
9
Drive operation
prohibit
10
External stop
command
11
DC injection
braking
command
12
Coast to stop
13
Frequency ramp
up (UP)
14
Frequency ramp
down (DN)
15
Switch to panel
control
16
Switch to terminal
control
17
Reserved
18
Main reference
frequency via AI1
19
Main reference
frequency via
AI2
20
Reserved
21
Main reference

35
Setting
Function
Setting
Function
frequency via DI
22
Auxiliary
reference
frequency invalid
23
Reserved
24
Reserved
25
Reserved
26
Reserved
27
Preset frequency
1
28
Preset frequency 2
29
Preset frequency
3
30
Preset frequency 4
31
Acc/Dec time 1
32
Acc/Dec time 2
33
Multi-closed
loop reference 1
34
Multi-closed loop
reference 2
35
Multi-closed
loop reference 3
36
Multi-closed loop
reference 4
37
Forward prohibit
38
Reverse prohibit
39
Acc/Dec
prohibit
40
Process closed
loop prohibit
41
Switch speed
control and
torque control
42
Main frequency
switch to digital
setting
43
PLC pause
44
PLC prohibit
45
PLC stop
memory clear
46
Swing input
47
Swing reset
48~49
Reserved
50
Timer 1 start
51
Timer 2 start
53
Counter input
54
Counter clear
Introductions to functions listed in Table 6-2:
1: Forward. 2: Reverse. 5: 3-wire operation control
These are used for terminal control mode.More details
please refer to descriptions of A6.09.
3~4: Forward/reverse jog operation.
They are used to jog control of terminal control mo
de.The jog operation frequency,jog interval and jog
Acc/Dec time are defined by A2.04~A2.05,A4.05~A
4.06.
6: External RESET signal input.
The drive can be reset via this terminal when the drive
has a fault. The function of this terminal is the same with
that of RST on the panel.
7: External fault signal input.
If the setting is 7, the fault signal of external equipment
can be input via the terminal, which is convenient for the
drive to monitor the external equipment. Once the drive
receives the fault signal, it will display “E015”.
8. External interrupt signal input
If the setting is 8, the terminal is used to cut off the
output and the drive operates at zero frequency when the
terminal is enabled. If the terminal is disabled, the drive
will start on automatically and continue the operation.
9: Drive operation prohibits.
If terminal is enabled, the drive that is operating will
coast to stop and is prohibited to restart. This function is
mainly used in application with requirements of safety
protection.
10: External stop command.
This stopping command is active in all control
modes.When terminal 35 is enabled; the drive will stop
in the mode defined in A1.05.
11: DC injection braking command.
If the setting is 11, the terminal can be used to perform
DC injection braking to the motor that is running so as to
realize the emergent stop and accurate location of the
motor. Initial braking frequency, braking delay time and
braking current are defined by A1.06~A1.08. Braking
time is the greater value between A1.09 and the effective
continuous time defined by this control terminal.
12: Coast to stop.
If the setting is 12, the function of the terminal is the
same with that defined by A1.05. It is convenient for
remote control.
13~14: Frequency ramp UP/DN.
If the setting is 13~14, the terminal can be used to
increase or decrease frequency. Its function is the same

36
with ▲ and ▼ keys on the panel, which enables remote
control. This terminal is enabled when A0.02=0 or
A0.04=1. Increase or decrease rate is determined by
A2.02 and A2.03.
15: Switch to panel control.
It is used to set the control mode as panel control.
16: Switch to terminal control
It is used to set the control mode as terminal control
17: Reserved.
18: Main reference frequency via AI1
19: Main reference frequency via AI2
20: Reseved
21: Main reference frequency via DI
These functions are used to set the main reference
frequency controlled by AI1,AI2 or DI.
22: Auxiliary reference frequency invalid.
Auxiliary reference frequency is invalid when the
terminal activate
23~26: Reserved.
27~30: Preset frequency selection.
Up to 15 speed references can be set through different
ON/OFF combinations of these terminals K4, K3, K2
and K1.
Table 6-3 On/Off combinations of terminals
The frequency references will be used in multiple speed
operation. Following is an example: Definitions of
terminals X1, X2, X3and X4 as following:
After setting A6.00 to 27, A6.01 to 28 and A6.03 to 30,
terminals X1~X4 can be used in multiple speed
operation, as shown in Fig. 6-18.
Fig.6-18 Multi-step speed operation
31~32:Acc/Dec time selection
Table 6-4 Acc/Dec time selection
Terminal 2
Terminal1
Acc/Dec time selection
OFF
OFF
Acc time 1/Dec time 1
OFF
ON
Acc time 2/Dec time 2
ON
OFF
Acc time 3/Dec time 3
ON
ON
Acc time 4/Dec time 4
K4
K3
K2
K1
Frequency setting
OFF
OFF
OFF
OFF
Common operating
frequency
OFF
OFF
OFF
ON
Preset frequency1
OFF
OFF
ON
OFF
Preset frequency 2
OFF
OFF
ON
ON
Preset frequency 3
OFF
ON
OFF
OFF
Preset frequency 4
OFF
ON
OFF
ON
Preset frequency 5
OFF
ON
ON
OFF
Preset frequency 6
OFF
ON
ON
ON
Preset frequency 7
ON
OFF
OFF
OFF
Preset frequency 8
ON
OFF
OFF
ON
Preset frequency 9
ON
OFF
ON
OFF
Preset frequency 10
ON
OFF
ON
ON
Preset frequency 11
ON
ON
OFF
OFF
Preset frequency 12
ON
ON
OFF
ON
Preset frequency 13
ON
ON
ON
OFF
Preset frequency 14
ON
ON
ON
ON
Preset frequency 15
K
4
K
K
2
K
3
Speed 1
Output frequency
Time
Common
command
Speed 15
Common
Operating
frequency

37
Through the On/Off combinations of terminal 1 and 2,
Acc/Dec time 1~4 can be selected.
33~36: Reserved.
37: Forward prohibit.
The drive will coast to stop if the terminal activate when
running forward.If the terminal activate before the drive
run forward,the drive will run in 0Hz.
38: Reverse prohibits.
The drive will coast to stop if the terminal activate when
running reverse.If the terminal activate before the drive
run reverse,the drive will run in 0Hz.
39: Acc/Dec prohibit
Keep the mortor from the controlling of external signal
(except the STOP command), so the the motor can runs
at the current speed.
40:Process closed loop prohibit
Forbid process closed loop control.
41:Reseverd
42:Main frequency switch to digital setting
Switch the main frequency selector to digital setting.
43:PLC pause
Pause PLC function control.
44:PLC prohibit
Forbid PLC function running.
45:PLC stop memory clear
Clear the memory which store the steps before PLC
function stop.
46:Swing input
When this signal is valid,the drive will start swing
operation.This function is only valid when the swing
operation mode is set as 1.
47:Swing reset
When this signal is valid,it will clear swing status
information.When this signal is invalid,the drive will
start swing function again.
A6.08 Terminal filter
0~500ms【10ms】
A6.08 is used to set the time of filter for input
terminals.When the state of input terminals change,it
must keep the state for the filter time,or the new state
won’t be valid.
A6.09 Terminal control mode
selection
0~3【0】
This parameter defines four operating modes controlled
by external terminals.
0: 2-wire operating mode 1
Fig.6-19 2-wire operating mode 1
1:2-wire operating mode 2
Fig.6-20 2-wire operating mode 2
2:3-wire operating mode 1
Fig.6-21 3-wire operating mode 1
Where:
SB1: Stop button
SB2: Run forward button
SB3: Run reverse button
Terminal Xi is the multi-function input terminal of
X1~X5.At this time, the function of this terminal should
be defined as No.5 function of “3-wire operation”.
3:3-wire operation mode 2
CV100

38
Fig.6-22 3-wire operation mode 2
Where:
SB1: Stop button
SB2: Run button
Terminal Xi is the multi-function input terminal of
X1~X5.At this time, the function of this terminal should
be defined as No.5 function of “3-wire operation”.
A6.10
Reserved
A6.11
Reserved
A6.12
Reserved
A6.13 Input terminal’s
positive and negative logic
00~FFH【00H】
Fig.6-23 terminal’s positive and negative logic
A6.13 defines the input terminal’s positive and negative
logic
Positive logic: Terminal Xi is enabled if it is connected
to the common terminal;
Negative logic: Terminal Xi is disabled if it is connected
to the common terminal;
If the bit is set at 0, it means positive logic; if set at 1, it
means negative logic.
For example:
If X1~X4 are required to be positive logic, and X5 is
required to be negative logic,then the settings are as
following:
Logic status of X4~X1 is 0000, and the hex value is 0.
Logic status of X5 is 001, and the hex value is 1. The
display on LED decade is 1; so the value in A6.13
should be set as 10..
Table 6-5 Conversion of binary code and hex value
Binary settings
Hex value
(Displaying of LED)
BIT3
BIT2
BIT1
BIT0
0
0
0
0
0
0
0
0
1
1
0
0
1
0
2
0
0
1
1
3
0
1
0
0
4
0
1
0
1
5
0
1
1
0
6
0
1
1
1
7
1
0
0
0
8
1
0
0
1
9
1
0
1
0
A
1
0
1
1
B
1
1
0
0
C
1
1
0
1
D
1
1
1
0
E
1
1
1
1
F
Note:
Factory setting of all the terminals is positive logic.
A6.14 Bi-direction pen-collector
output terminal Y1
0~20【0】
A6.15
Reserved
A6.16 Output functions of relay R1
0~20【0】
A6.17
Reserved
Refer to chapter 3 for the output characteristics of Y1
that are bi-direction open-collector output terminal and
the relay’s output terminal. Table 6-6 shows the
functions of the above 2 terminals. One function can be
selected repeatedly.
Table 6-6 Functions of output terminals
Setting
Function
Setting
Function

39
Setting
Function
Setting
Function
0
Drive running
signal (RUN)
1
Frequency arriving
signal (FAR)
2
Frequency
detection
threshold
(FDT1)
3
Frequency detection
threshold (FDT2)
4
Reserved
5
Low voltage
lock-up signal (LU)
6
External
stopping
command
(EXT)
7
High limit of
frequency (FHL)
8
Lower limit of
frequency
(FLL)
9
Zero-speed running
10
Reserved
11
Reserved
12
PLC running
step finish
signal
13
PLC running cycle
finish signal
14
Swing limit
15
Drive ready (RDY)
16
Drive fails
17
Reserved
18
Reserved
19
Torque limiting
20
Drive running
forward/reverse
21
Timer 1 reach
22
Timer 2 reach
23
Counter reach
24
Intermediate
counter reach
The instructions of the functions in Table 6-6 as
following:
0: Drive running signal (RUN)
When the drive is in operating status, there will be
running indication signal output by this terminal.
1: Frequency arriving signal (FAR)
See A6.19.
2: Frequency detection threshold (FDT1)
See A6.20~A6.21.
3: Frequency detection threshold (FDT2)
See A6.22~A6.23.
4: Reserved.
5: Low voltage lock-up signal (LU)
The terminal outputs the indicating signal if the DC bus
voltage is lower than the low voltage limit, and the LED
displays “P.oFF”.
6: External stopping command (EXT)
The terminal outputs the indicating signal if the drive
outputs tripping signal caused by external fault (E015).
7: High limit of frequency (FHL)
The terminal outputs the indicating signal if the preset
frequency is higher than upper limit of frequency and the
operating frequency reaches the upper limit of
frequency.
8: Lower limit of frequency (FLL)
The terminal outputs the indicating signal if the preset
frequency is higher than lower limit of frequency and the
operating frequency reaches the lower limit of
frequency.
9: Zero-speed running
The terminal outputs the indicating signal if the drive’s
output frequency is 0 and the drive is in operating status.
10~14:Reserved.
15: drive ready (RDY)
If RDY signal is output, it means the drive has no fault,
its DC bus voltage is normal and it can receive starting
command.
16: Drive fails
The terminal outputs the indicating signal if the drive
has faults.
17~18: Reserved.
19: Torque limiting
The terminal outputs the indicating signal if the torque
reach drive torque limit or brake torque limit.
20: Drive running forward/reverse
The terminal outputs the indicating signal according to
the drive’s current running direction.
21:Timer 1 reach
22:Timer 2 reach

40
When timer reach the setting value(A6.37,A6.38),this
output will enable.When timer reset,then the output will
disable.
23:Counter reach
When the counter reach the target value(A6.39),this
output will enable.
24:Intermediate counter reach
When the counter reach middle value(A6.40),then this
output will enable.
A6.18 Ouput terminal’s
positive and negative logic
00~1FH【00H】
Fig.6-24 Ouput terminal’s positive and negative logic
A6.18 defines the output terminal’s positive and
negative logic.
Positive logic: Terminal is enabled if it is connected to
the common terminal;
Negative logic: Terminal is disabled if it is connected to
the common terminal;
If the bit is set at 0, it means positive logic; if set at 1, it
means negative logic.
A6.19 Frequency arriving
signal (FAR)
0.00~300.0Hz【2.50Hz】
As shown in Fig. 6-25, if the drive’s output frequency is
within the detecting range of preset frequency, a pulse
signal will be output.
Fig.6-25 Frequency arriving signal
A6.20 FDT1 level
0.00~300.0Hz【50.00Hz】
A6.21 FDT1 lag
0.00~300.0Hz【1.00Hz】
A6.22 FDT2 level
0.00~300.0Hz【25.00Hz】
A6.23 FDT2 lag
0.00~300.0Hz【1.00Hz】
A6.20~A6.21 is a complement to the No.2 function in
Table 6-6. A6.22~A6.23 is a complement to the No.3
function in Table 6-6. Their functions are the same.Take
A6.20~A6.21 for example:
When the drive’s output frequency reaches a certain
preset frequency (FDT1 level), it outputs an indicating
signal until its output frequency drops below a certain
frequency of FDT1 level (FDT1 level-FDT1 lag), as
shown in Fig. 6-26
Fig.6-26 FDT level
A6.24 Virtual terminal setting
0~007FH【00h】
A6.25 Y2 terminal output
0~88【0】
0~50:Y2 is used as Y terminal output; its function is the
same as Table 6-6.
51~88:Y2 function.

41
Pulse frequency frequency of Y2:0~Max pulse output
frequency(Defined in A6.26).
The linear relationship between the displaying range and
the output values of Y2 is shown as Table 6-7.
Table 6-7 Displaying range of Analog output
Setting
Function
Range
0
No function
No function
1
Output frequency
0~Max. output frequency
2
Preset frequency
0~Max. output frequency
3
Preset frequency
(After Acc/Dec)
0~Max. output frequency
4
Motor speed
0~Max. speed
5
Output current
0~2 times of drive’s
rated current
6
Output current
0~2 times of motor’s
rated current
7
Output torque
0~3 times of motor’s
rated torque
8
Output torque
current
0~3 times of motor’s
rated torque
9
Output voltage
0~1.2 times of drive’s
rated voltage
10
Bus voltage
0~800V
11
AI1
0~Max. analog input
12
AI2
0~Max. analog input
64
DI Pulse input
0-Max.pulse input
Others
Reserved
Reserved
A6.26 Max. output pulse
frequency
0.1~100kHz【10.0】
This parameter defines the permissible maximum pulse
frequency of Y2.
A6.27 Centre point of
pulse output selection
0~2【0】
This parameter defines different centre point mode of Y2
pulse output.
0:No centre point.Shown as following figure:
Fig.6-27 No centre point mode
All the corresponding value of pulse output frequency
are positive.
1: Centre point mode 1.Shown as following figure.
Fig.6-28 Centre point mode 1
There is a centre point in pulse output.The value of the
centre point is a half of max. output pulse frequency
(A6.26).The corresponding value is positive when the
output pulse frequency is less than centre point.
2:Centre point mode 2
There is a centre point in pulse output.The value of the
centre point is a half of max. output pulse frequency
(A6.26).The corresponding value is positive when the
input pulse frequency is greater than centre point.
Fig.6-29 Centre point mode 2
A6.28 Functions of terminal
AO1
0~36【0】
A6.29 Functions of terminal
0~36【0】
A
6
.
2
6
0
2
26
.
6
A
Corresponding
value
A
6
.
2
6
0
Corresponding
value
2
26
.
6
A
A
6
.
2
6
0
Corresponding
value
Frequency
Frequency
Frequency

42
AO2
Refer to section 4.2 for the output characteristics of AO1
The relationship between the displaying range and the
output values of AO1 is shown as Table 6-8
Table 6-8 Displaying range of Analog output
Setting
Function
Range
0
No function
No function
1
Output frequency
0~Max. output frequency
2
Preset frequency
0~Max. output frequency
3
Preset frequency
(After Acc/Dec)
0~Max. output frequency
4
Motor speed
0~Max. speed
5
Output current
0~2 times of drive’s
rated current
6
Output current
0~2 times of motor’s
rated current
7
Output torque
0~3 times of motor’s
rated torque
8
Output torque
current
0~3 times of motor’s
rated torque
9
Output voltage
0~1.2 times of drive’s
rated voltage
10
Bus voltage
0~800V
11
AI1
0~Max. analog input
12
AI2
0~Max. analog input
Others
Reserved
Reserved
Note:
The external resistor is advised to be lower than 400Ω
when AO output current signal.
A6.30 Gain of AO1
0.0~200.0%【100.0%】
A6.31 Zero offset calibration
of AO1
-100.0~100.0%【0.0%】
For the analog output AO1,adjust the gain if user need to
change the display range or calibrate the gauge outfit
error.
100% of zero offset of analog output is corresponding to
the maximum output (10V or 20Ma).Take output voltage
for example,the relationship between the value before
adjustment and with after adjustment is as following:
AO output value =(Gain of AO)×(value before
adjustment)+(Zero offset calibration)×10V
The relationship curve between analog output and gain
and between analog output and zero offset calibration
are as Fig.6-30 and Fig.6-31.
Fig.6-30 Relationship curve between analog
output and gain
Fig.6-31 The relationship curve between analog
output and zero offset
Note:
The parameters of gain and zero offset calibration affect
the
analog output all the time when it is chaning.
A6.32
Reserved
A6.33
Reserved
A6.34 AI1 filter
0.01~10.00s【0.05】
Value before adjustment(V)
Value after adjustment(V)
1
0
-
1
0
1
0
-
1
0
5
5
A
6
.
3
1
=
0
A
6
.
3
1
=
5
0
%
0
A
6
.
3
0
=
1
0
0
%
A
6
.
3
0
=
2
0
0
%
Value before adjustment(V)
Value after adjustment(V)
1
0
-
1
0
1
0
-
1
0
5
-
5
0

43
A6.35 AI2 filter
0.01~10.00s【0.05】
A6.36
Reserved
A6.34~A6.36 define the time constant of AI filter.The
longer the filter time,the stronger the anti-interference
ability,but the response will become slower.The shorter
the filter time,the faster the response,but the
anti-interference ability will become weaker.
A6.37 Analog input zero
offset calibration
0~1【0】
0:Disable calibration
1:Enable calibration
Note:
Make sure there is no input signal to AI terminal or
short-circuit AI and GND terminals when enabling
calibration.
A6.38 Gain of AI1
0.00%~200%【110%】
A6.39 Gain of AI2
0.00%~200%【110%】
A6.40~A6.43 Reserved
0.00%~200%【110%】
AI input gain is used to adjust the corresponding
relationship between external input and internal
value.When increasing the value of AI gain,the
corresponding internal value will also increase,vice
versa.It can adjust the relationship between analog input
and setting frequency by using together with A6.37.
A6.44 Setting value of timer 1
0.0~10.0s【0】
A6.45 Setting value of timer 2
0~100s【0】
These parameters are used for target value for timer 1
and 2,they are used together with function 51 and 52 in
Xi terminal.
A6.46 Counter target value
0~65535【100】
A6.47 Counter intermediate
value
0~65535【50】
6.8 Group A7
The parameters in this group are reserved
6.9 Group A8
A8.00 Protective action of relay
0~1111H【0000】
A8.01 Fault masking selection 1
0~2222H【0000】
A8.02 Fault masking selection 2
0~22H【00】
Please set the fault masking selection
function carefully,or it may cause worse accident,bodily
injury and property damage.
A8.03 Motor overload protection
mode selection
0、1、2【1】
0: Disabled
Attention
!

44
The overload protection is disabled. Be careful to use
this function because the drive will not protect the motor
when overload occurs.
1:Common motor (with low speed compensation)
Since the cooling effects of common motor deteriorates
at low speed (below 30Hz), the motor’s overheat
protecting threshold should be lowered, which is called
low speed compensation.
2: Variable frequency motor (without low speed
compensation)
The cooling effects of variable frequency motor is not
affected by the motor’s speed, so low speed
compensation is not necessary.
A8.04 Auto reset times
0~100【0】
A8.05 Reset interval
2.0~20.0s【5.0s】
Auto reset function can reset the fault in preset times and
interval. When A8.04 is set to 0, it means “auto reset” is
disabled and the protective device will be activated in
case of fault.
Note:
The IGBT protection (E010) and external equipment
fault (E015) cannot be reset automatically.
A8.06 Fault locking
function selection.
0~1【0】
0:Disable.
1:Enable.
6.10 Group b0
b0.00 Rated power
0.4~999.9kW【dependent on
drive’s model】
b0.01Rated voltage
0~rated volotage of drive
【dependent on drive’s
model】
b0.02 Rated current
0.1~999.9A【dependent on
drive’s model】
b0.03 Rated frequency
1.00~300.00Hz【dependent
on drive’s model】
b0.04 Number of
polarities of motor
2~24【4】
b0.05 Rated speed
0~60000RPM【1440RPM】
These parameters are used to set the motor’s parameters.
In order to ensure the control performance, please set
b0.00~b0.05 with reference to the values on the motor’s
nameplate.
Note:
The motor’s power should match that of the
drive.Generally the motor’s power is allowed to be
lower than that of the drive by 20% or bigger by 10%,
otherwise the control performance cannot be ensured.
b0.06 Resistance of
stator %R1
0.00~50.00%【dependent
on drive’s model】
b0.07 Leakage
inductance %Xl
0.00~50.00%【dependent
on drive’s model】
b0.08 Resistance of
rotor %R2
0.00~50.00%【dependent
on drive’s model】
b0.09 Exciting
inductance %Xm
0.0~2000.0%【dependent
on drive’s model】
b0.10 Current without
load I0
0.1~999.9A【dependent
on drive’s model】
See Fig. 6-32 for the above parameters.
R
1
jX
11
R
2
jX
21
I
1
I
2
I
0
X
m
U
1
1-S
S R
2
Fig. 6-32 Motor’s equivalent circuit
In Fig. 6-32, R1, X1l, R2, X2l, Xm and I0 represent
stator’s
resistance, stator’s leakage inductance, rotor’s resistance,
rotor’s leakage inductance, exciting inductance and
current without load respectively. The setting of b0.07 is

45
the sum of stator’s leakage inductance and rotor’s
inductance.
The settings of b0.06 ~b0.09 are all percentage values
calculated by the formula below:
%% 100
)3/(
IV
R
R
(1)
R: Stator’s resistance or rotor’s resistance that is
converted to the rotor’s side;
V: Rated voltage;
I: Motor’s rated current
Formula used for calculating inducatance (leakage
inductance or exciting inductance):
%% 100
)3/(
IV
X
X
(2)
X: sum of rotor’s leakage inductance and stator’s
leakage inductance (converted to stator’s side)or the
exciting inductance based on base frequency.
V: Rated voltage;
I: Motor’s rated current
If motor’s parameters are available, please set
b0.06~b0.09 to the values calculated according to the
above formula. b0.10 is the motor current without
load,the user can set this parameter directly.
If the drive performs auto-tuning of motor’s
parameters,the results will be written to b0.06~b0.10
automatically.After motor power (b0.00) is changed, the
drive will change b0.02~b0.10 accordingly(b0.01 is the
rated voltage of motor,user need to set this parameter by
manual according to the value on the motor’s
nameplate.)
b0.11 Auto-tuning
0~3【0】
0: Auto-tuning is disabled
1: Stationary auto-tuning (Start auto-tuning to a
standstill motor)
Values on the motor’s nameplate must be input correctly
before starting auto-tuning (b0.00 ~b0.05 ).When
starting auto-tuning to a standstill motor, the stator’s
resistance (%R1), rotor’s resistance (%R2) and the
leakage inductance (%X1) will be detected and written
into b0.06、b0.07 and b0.08 automatically.
2: Rotating auto-tuning
Values on the motor’s nameplate must be input correctly
before starting auto-tuning (b0.00 ~b0.05 ).When
starting a rotating auto-tuning, the motor is in standstill
status at first, and the stator’s resistance (%R1), rotor’s
resistance (%R2) and the leakage inductance (%X1) will
be detected, and then the motor will start rotating,
exciting inductance (%Xm and I0 will be detected. All
the above parameters will be saved in b0.06、b0.07、
b0.08、b0.09 and b0.10 automatically.After auto-tuning,
b0.05 will be set to 0 automatically.
Auto-tuning procedures:
1). A0.13(Torque boost of motor 1) is suggested to set as
0.
2). Set the parameters b0.00(Rated power),b0.01(Rated
voltage),b0.02(Rated current),b0.03(Rated
frequency),b0.04 (Number of polarities of motor ) and
b0.05(Rated speed) correctly;
3). Set the parameter A0.10 correctly.The setting value
of A0.10 can’t be lower than rated frequency.
4). Remove the load from the motor and check the
Safety when set the parameter b0.11 as 2.
5). Set b0.11 to 1 or 2, press ENTER, and then press
RUN to start auto-tuning;
6). When the operating LED turns off, that means the
auto-tuning is over.
3:Reserved.
Note:
1.When setting b0.11 to 2, Acc/Dec time can be
increased if over-current or over-voltage fault occurs in
the auto-tuning process;
2.When setting b0.11 to 2, the motor’s load must be
removed
first before starting rotating auto-tuning;
3.The motor must be in standstill status before starting
the

46
auto-tuning, otherwise the auto-tuning cannot be
executed
normally;
4.In some applications, for example, the motor cannot
break
away from the load or if you have no special
requirement on motor’s control performance, you can
select stationary auto-tuning. You can also give up the
auto-tuning. At this time, please input the values on the
motor’s nameplate correctly .
5.If the auto-tuning cannot be applied and the correct
motor’s
parameters are available, the user should input the values
on the motor’s nameplate correctly (b0.00~b0.05), and
then input the calculated values (b0.06~b0.10). Be sure
to set the parameters correctly.
6.If auto-tuning is not successful, the drive will alarm
and display fault code E024.
b0.12 Motor’s overload
protection coefficient
20.0% ~110.0%
【100.0%】
In order to apply effective overload protection to
different
kinds of motors, the Max. output current of the drive
should be adjusted as shown in Fig. 6-33.
Fig.6-33 Motor’s overload protection coefficient
This parameter can be set according to the user’s
requirement.In the same condition,set b0.12 to a lower
value if the user need fast protection for overload of
motor,or set it to a bigger value.
Note:
If the motor’s rated current does not match that of the
drive,
motor’s overload protection can be realized by setting
b0.12.
b0.13 Oscillation inhibition
coefficient
0~255【10】
Adjust this parameter can prevent motor oscillation
when drive using V/F control.
6.11 Group b1
b1.00 V/F curve setting
0~3【0】
b1.01 V/F frequency value
F3 of motor 1
b1.03~A0.08【0.00Hz】
b1.02 V/F voltage value V3
of motor 1
b1.04~100.0%【0.0%】
b1.03 V/F frequency value
F2 of motor 1
b1.05~b1.01【0.00Hz】
b1.04 V/F voltage value V2
of motor 1
b1.06~b1.02【0.0%】
b1.05 V/F frequency value
F1 of motor 1
0.00~b1.03【0.00Hz】
b1.06 V/F voltage value V1
of motor 1
0.0~b1.04【0.0%】
This group of parameters define the V/F setting modes
of CV100 so as to satisfy the requirements of different
loads. 3 preset curves and one user-defined curve can
be selected according to the setting of b1.00.
If b1.00 is set to 1, a 2-order curve is selected, as shown
in Fig. 6-34 as curve 1;
If b1.00 is set to 2, a 1.7-order curve is selected, as
shown in Fig. 6-34 as curve 2;
If b1.00 is set to 3, a 1.2-order curve is selected, as
shown in Fig. 6-34 as curve 3;
The above curves are suitable for the variable-torque
loads such as fan & pumps. You can select the curves

47
according to the actual load so as to achieve best
energy-saving effects.
Fig.6-34 Torque-reducing curve
If b1.00 is set to 0, you can define V/F curve via
b1.01~b1.06, as shown in Fig. 6-30. The V/F curve can
be defined by connecting 3 points of (V1,F1), (V2,F2)
and (V3, F3), to adapt to special load characteristics.
Default V/F curve set by factory is a direct line as show
in Fig. 6-35 as curve 0.
Fig.6-35 V/F curve defined by user
b1.07 Cut-off point used
for manual torque boost
0.0%~50.0%【10.0%】
b1.07 defines the ratio of the cut-off frequency used for
manual torque boost to the basic operating frequency
(defined by A0.12), as shown in Fig. 6-2 as Fz.This
cut-off frequency adapts to any V/F curve defined by
b1.00.
b1.08 AVR function
0~2【1】
0:Disable
1:Enable all the time
2:Disabled in Dec process
AVR means automatic voltage regulation.
The function can regulate the output voltage and make it
constant. Therefore, generally AVR function should be
enabled, especially when the input voltage is higher than
the rated voltage.
In Dec-to-stop process, if AVR function is disabled, the
Dec time is short but the operating current is big. If AVR
function is enabled all the time, the motor decelerates
steadily, the operating current is small but the Dec time
is prolonged.
Example 1:The output voltage in V/F mode is controlled
by AI.
Set a value(not zero) to b1.09 to select a analog input to
control the output voltage.
This function can be only valid in V/F control mode,the
output voltage VO is separated from output
frequency.The output voltage is not controlled by the
curve of V/F but controlled by analog input as shown in
Fig.6-36.
Fig.6-36 Curve of output voltage
Example 2:The output voltage in V/F mode is adjusted
by AI.
Set a value(not zero) to b1.10 to select a adjustment for
output voltage.As shown in Fig.6-37
V1~V3: Voltage of sections 1~3
F1~F3: Freq of sections 1~3
Fb:Basic operating frequency of A0.12

48
Fig.6-37 Offset of output voltage
The relationship between analog input and offse voltage
is as follows:
-10V~0V/4mA of VAI is corresponding to offset voltage
–V/F.
10V/20mA of VAI is corresponding to offset voltage
V/F.
Output voltage VO=V/F+Vb.
Note
Output offset voltage of AI can be only valid in V/F
control mode.
6.12 Group b2
b2.00 Carrier wave frequency
2.0~15.0kHz【8kHz】
Drive’s type and carrier wave frequency(CWF)
Drives power
Default CWF value
2.2~5.5 kW
10kHz
7.5~55 kW
8kHz
55~250 kW
2kHz
Note:
1.The carrier wave frequency will affect the noise when
motor running,generally the carrier wave frequency is
supposed to set as 3~5KHz.For some special situation
where require operating mutely,the carrier wave
frequency is supposed to set as 6~8KHz.
2.When set the carrier wave frequency larger than
defaultvalue,then the power of drive need to derate 5%
by every increase of 1KHz.
b2.01Auto adjusting of CWF
0~1【0】
0:Disable
1:Enable
b2.02 Voltage adjustment
selection
000~111H【001H】
b2.03 Overvoltage point at
stall
120~150%【140.0%】
During deceleration, the motor’s decelerate rate may be
lower than that of drive’s output frequency due to the
load inertia. At this time, the motor will feed the energy
back to the drive, resulting in the voltage rise on the
drive's DC bus. If no measures taken, the drive will trip
due to over voltage.
During the deceleration, the drive detects the bus voltage
and compares it with the over voltage point at stall
defined by b2.03. If the bus voltage exceeds the stall
overvoltage point, the drive will stop reducing its output
frequency. When the bus voltage become lower than the
point, the deceleration continues, as shown in Fig.6-36.
The hundred’s place is used to set overmodulation
function of V/F control.For vector control,the
overmodulation function will be always
enable.Overmodulation means when the voltage of
power grid is low for long term(Lower than 15% of
rated voltage),or is overload working for long term,then
the drives will increase the use ratio of its own bus
voltage to increase output voltage.

49
Fig.6-38 Over-voltage at stall
b2.04: Reserved
b2.05 Auto current limiting
threshold
20.0~200.0%【150.0%】
b2.06 Frequency decrease rate
when current limiting
0.00~99.99Hz/s
【10.00Hz/s】
b2.07 Auto current limiting
selection
0~1【1】
Auto current limiting function is used to limit the load
current smaller than the value defined by b2.05 in real
time. Therefore the drive will not trip due to surge
over-current. This function is especially useful for the
applications with big load inertia or big change of load.
b2.05 defines the threshold of auto current limiting. It is
a percentage of the drive’s rated current.
b2.06 defines the decrease rate of output frequency when
the drive is in auto current limiting status.
If b2.06 is set too small, overload fault may occur. If it is
set too big, the frequency will change too sharply and
therefore, the drive may be in generating status for long
time, which may result in overvoltage protection.
Auto current limiting function is always active in Acc or
Dec process. Whether the function is active in constant
speed operating process is decided by b2.07.
b2.07=0, Auto current limiting function is disabled in
constant speed operating process;
b2.07=1, Auto current limiting function is enabled in
constant speed operating process;
In auto current limiting process, the drive’s output
frequency may change; therefore, it is recommended not
to enable the function when the drive’s output frequency
is required stable.
When the auto current limiting function is enabled, if
b2.05 is set too low, the output overload capacity will be
impaired.
b2.08 Gain of slip
compensation
0.0~300.0%【100%】
b2.09 Limit of slip
compensation
0.0~250.0%【200%】
b2.10 Slip compensation
time constant
0.1~25.0s【2】
b2.11 Energy-saving function
0:Disable. 1:Enable. 【0】
b2.12 Frequency decrease
rate at voltage compensation
0.00~99.99Hz
【10.00 Hz/s】
b2.13Threshold of
zero-frequency operation
0.00~300.00Hz
【0.50 Hz/s】
This parameter is used together with No.9 function of
digital output terminal.
b2.14 Reserved
b2.15 Fan control
0~1【0】
0:Auto operating mode.
The fan runs all the time when the drive is operating.
After the drive stops, its internal temperature detecting
program will be activated to stop the fan or let the fan
continue to run according to the IGBT’s temperature.
The drive will activate the internal temperature detecting
program automatically when it is operating,and run or
stop the fan according to the IGBT’s temperature.If the
fan is still running before the drive stop,then the fan will
continue running for three minutes after the drive stops
and then activate the internal temperature detecting
program.
1:The fan operates continuously.
The fan operates continuously after the drive is switched
on.
Note:This function is only valid in power above 7.5KW.

50
6.13 Group b3
Details please refer to the Group b3 of function list in
chapter 9.
6.14 Group b4
b4.00 Key-lock function selection
0~4【0】
0: The keys on the operation panel are not locked, and
all the keys are usable.
1: The keys on the operation panel are locked, and all the
keys are unusable.
2: All the keys except for the multi-functional key are
unusable.
3: All the keys except for the SHIFT key are unusable.
4:All the keys except for the RUN AND STOP keys are
unusable.
b4.01 Multi-functional key
function
0~5【4】
0: Jog
1: Coast to stop
2: Quick stop
3: Operating commands switchover
4:Switch of forward and reverse(Save after power
failure)
5:Switch of forward and reverse(Not save after power
failure)
b4.02 Parameter protection
0~2【0】
0: All parameters are allowed modifying;
1: Only A0.03 and b4.02 can be modified;
2: Only b4.02 can be modified.
b4.03 Parameter initialization
0~2【0】
0: No operation
1: Clear falt information in memory
2: Restore to factory settings
b4.04 Parameter copy
0~3【0】
0: No action
1: parameters upload
2: parameters download
3: parameters download (except the parameters related
to drive type)
b4.05 Display parameters
selection
0~7FFFH【1007H】
B4.05 defines the parameters that can be displayed by
LED in operating status.
If Bit is 0, the parameter will not be displayed;
If Bit is 1, the parameter will be displayed.
Note: If all the BITs are 0, the drive will display setting
frequency at stop and display output frequency at
operating.
b4.06 Linear speed
coefficient
0.00~99.99【0.00】
Display linear speed=Operating frequency*b4.06
b4.07 Rotary speed
coefficient
0.00~99.99【0.00】
Display rotary speed=Setting speed*b4.07

51
6.15 Group C0
C0.00 Preset frequency 1
Lower limit of
frequency~upper limit of
frequency【5.00Hz】
C0.01 Preset frequency 2
Lower limit of
frequency~upper limit of
frequency【10.00Hz】
C0.02 Preset frequency 3
Lower limit of
frequency~upper limit of
frequency【20.00Hz】
C0.03 Preset frequency 4
Lower limit of
frequency~upper limit of
frequency【30.00Hz】
C0.04 Preset frequency 5
Lower limit of
frequency~upper limit of
frequency【40.00Hz】
C0.05 Preset frequency 6
Lower limit of
frequency~upper limit of
frequency【45.00Hz】
C0.06 Preset frequency 7
Lower limit of
frequency~upper limit of
frequency【50.00Hz】
C0.07 Preset frequency 8
Lower limit of
frequency~upper limit of
frequency【5.00Hz】
C0.08 Preset frequency 9
Lower limit of
frequency~upper limit of
frequency【10.00Hz】
C0.09 Preset frequency 10
Lower limit of
frequency~upper limit of
frequency【20.00Hz】
C0.10 Preset frequency 11
Lower limit of
frequency~upper limit of
frequency【30.00Hz】
C0.11 Preset frequency 12
Lower limit of
frequency~upper limit of
frequency【40.00Hz】
C0.12 Preset frequency 13
Lower limit of
frequency~upper limit of
frequency【45.00Hz】
C0.13 Preset frequency 14
Lower limit of
frequency~upper limit of
frequency【50.00Hz】
C0.14 Preset frequency 15
Lower limit of
frequency~upper limit of
frequency【50.00Hz】
These frequencies will be used in multi-step speed
operation, refer to the introductions of No.27,28,29 and
30 function of A6.00~A6.04.
6.16 Group C1
Process close-loop control
The process closed-loop control type of CV100 is analog
close-loop control. Fig.6-39 shows the typical wiring of
analog close-loop control.
Fig.6-39 Analog feedback control system with
internal process close-loop
Analog feedback control system:
An analog feedback control system uses a pressure
transmitter as the feedback sensor of the internal
close-loop.As shown in Fig. 6-37, pressure reference
(voltage signal) is input via terminal AI2, while the
feedback pressure value is input into terminal AI1 in the
form of 0(4)~20mA current signal. The reference signal
and feedback signal are detected by the analog
channel.The start and stop of the drive can be controlled
by terminal Xi.
The above system can also use a TG (speed measuring
generator) in close speed-loop control.
CV10
0
U
M
QF
+10V
+10V
AI1
Xi
COM
P
AC
input
Pressure
transmitter
Output
V
W
PE
-10V
AI2
R
S
T
GND

52
Note:
The reference can also be input via panel or serial port.
Operating principles of internal process close-loop of
CV100 is shown in the Fig. 6-38.
In the above Fig., KP: proportional gain; Ki: integral
gain
In Fig. 6-40, refer to C1.00~C1.14 for the definitions of
close-loop reference, feedback, error limit and
proportional and Integral parameters.
Fig.6-40 Principle diagram of process close-loop control
There are two features of internal close-loop of CV100:
The relationship between reference and feedback can be
defined by C1.05~C1.08
For example: In Fig. 6-38, if the reference is analog
signal of -10~10V, the controlled value is 0~1MP, and
the signal of pressure sensor is 4~20mA, then the
relationship between reference and feedback is shown
in Fig. 6-41.
Fig.6-41 Reference and feedback
After the control type is determined, follow the
procedures below to set close loop parameters.
1)Determine the close-loop reference and feedback
channel (C1.01 and C1.02);
2)The relationship between close-loop reference and
feedback value (C1.05~C1.08) should be defined for
analog close-loop control;
3)Determine the close-loop regulation characteristic, if
the relationship between motor speed and the reference
is opposite,then set the close-loop regulation
characteristic as negative characteristic(C1.15=1).
4)Set up the integral regulation function and close-loop
frequency presetting function (C1.16~C1.18);
5)Adjust the close-loop filtering time, sampling cycle,
error limit and gain(C1.09~C1.14).
C1.00 Close-loop control function
0、1【0】
0:Disable.
1:Enable.
C1.01 Reference channel selection
0、1、2、3【1】
0: digital input(Take the value of C1.03).
1: AI1 analog input.
2: AI2 analog input
C1.02 Feedback channel selection
0~5【1】
0:AI1 analog input
1:AI2 analog input
2:AI1+ AI2
3:AI1-AI2
4:Min{ AI1,AI2}
5:Max{ AI1,AI2}
6:DI (Pulse)
Settings of AI are the same as above.
1
0
V
-
1
0
V
Referenc
e
4
m
A
2
0
m
A
Feedbac
k
Reference
Reference
regulation
(
C
1
.
0
5
、
C
1
.
0
7
)
ε
Error limit
(
C
1
.
1
4
)
+
-
Feedback
K
P
×
(
C
1
.
0
9
)
K
i
×
(
C
1
.
1
0
)
Regulation
(
C
1
.
1
5
)
ε
ε
∑
+
+
Output
Feedback regulation
(
C
1
.
0
6
、
C
1
.
0
8
)

53
C1.03 Digital setting of
reference
-10.00~10.00V【0.00】
This function can realize digital setting of reference via
panel or serial port.
C1.04 Close-loop speed
reference
0~39000rpm
C1.05 Min reference
0.0%~C1.08【0.0%】
C1.06 Feedback value
corresponding to the Min
reference
0.0~100.0%【0.0%】
C1.07 Max reference
C1.06 ~100.0%
【100.0%】
C1.08 Feedback value
corresponding to the Max
reference
0.0~100.0%【100.0%】
The regulation relationship between C1.05,C1.07 and
reference is shown in Fig.6-42.When the analog input
6V,if C1.05=0% and C1.07=100%,then adjusted value
is 60%.If C1.05=25% and C1.07=100%,then the
adjusted value is 46.6%.
Fig.6-42 Regulation curve of reference
Note:
1.Fig.6-42,0%~100% in X axis is corresponding to
analog input -10V ~10V,10V of analog input is
corresponding to 100%,and-10V is corresponding to
0%,6V is corresponding to 80%.
2.If the analog type is current input,because the
currentinput range is 4~20mA,then the range of X axis
is 50%~100%.
3.The adjusted value can be observed in d0.24.
The regulation relationship between C1.06,C1.08 and
feedback is similar to reference regulation.Its adjusted
value can be observed in d0.25.
C1.09 Proportional gain
KP
0.000~10.000【2.000】
C1.10 Integral gain Ki
0.000~10.000【0.100】
C1.11 Differential gain
Kd
0.000~10.000【0.100】
C1.12 Sampling cycle T
0.01~50.00s【0.50s】
The bigger the proportional gain of KP, the faster the
response, but oscillation may easily occur.
If only proportional gain KP is used in regulation, the
error cannot be eliminated completely. To eliminate the
error, please use the integral gain Ki to form a PI control
system. The bigger the Ki, the faster the response, but
oscillation may easily occur if Ki is too big.
The sampling cycle T refers to the sampling cycle of
feedback value. The PI regulator calculates once in each
sampling cycle. The bigger the sampling cycle the
slower the response.
C1.13 Output filter
0.01~10.00【0.05】
This parameter defines the filter time of the close-loop
output (Frequency or torque).The bigger the output
filter,the slower the response.
C1.14 Error limit
0.0~20%【2.0%】
This parameter defines the max. deviation of the output
from the reference, as shown in Fig. 6-43. Close-loop
regulator stops operation when the feedback value is
within this range.Setting this parameter correctly is
-
1
0
0
%
1
0
0
%
Analog input
Adjusted value
0
%
1
0
0
%
5
0
%
2
5
%
C
1
.
0
5
=
2
5
%
C
1
.
0
7
=
1
0
0
%
C
1
.
0
5
=
0
%
C
1
.
0
7
=
1
0
0
%
8
0
%
(
6
V
)
6
0
%
4
6
.
6
%

54
helpful to improve the system output accuracy and
stability.
Fig.6-43 Error limit
C1.15 Close-loop regulation characteristic
0、1【0】
0: Positive
Set C1.15 to 0 if the motor speed is required to be
increased with the increase of the reference.
1: Negative
Set C1.15 to 1 if the motor speed is required to decrease
with the increase of the reference.
C1.16 Integral regulation
selection
0、1【0】
0: Stop integral regulation when the frequency reaches
the upper and lower limits
1: Continue the integral regulation when the frequency
reaches the upper and lower limits
It is recommended to disable the integral regulation for
the system that requires fast response.
C1.17 Preset close-loop
frequency
0.00~1000.0Hz【0.00Hz】
C1.18 Holding time of
preset close-loop
frequency
0.0~3600.0s【0.0s】
This function can make the close-loop regulation enter
stable status quickly.
When the close-loop function is enabled, the frequency
will ramp up to the preset close-loop frequency (C1.17)
within the Acc time, and then the drive will start
close-loop operation after operating at the preset
frequency for certain time(defined by C1.18).
Fig.6-44 Preset frequency of close-loop operation
Note:
You can disable the function by set both C1.17 and
C1.18 to 0.
C1.19 Preset close-loop
reference 1
-10.00~10.00V【0.00V】
C1.20 Preset close-loop
reference 2
-10.00~10.00V【0.00V】
C1.21 Preset close-loop
reference 3
-10.00~10.00V【0.00V】
C1.22 Preset close-loop
reference 4
-10.00~10.00V【0.00V】
C1.23 Preset close-loop
reference 5
-10.00~10.00V【0.00V】
C1.24 Preset close-loop
reference 6
-10.00~10.00V【0.00V】
C1.25 Preset close-loop
reference 7
-10.00~10.00V【0.00V】
C1.26 Preset close-loop
reference 8
-10.00~10.00V【0.00V】
C1.27 Preset close-loop
reference 9
-10.00~10.00V【0.00V】
C1.28 Preset close-loop
reference 10
-10.00~10.00V【0.00V】
C1.29 Preset close-loop
reference 11
-10.00~10.00V【0.00V】
C1.30 Preset close-loop
-10.00~10.00V【0.00V】
Error limit
Feedback value
Ooutput
frequency
Time
Time
Holding time of
Preset frequency
Output frequency
Preset frequency
T(time)
Reference

55
reference 12
C1.31 Preset close-loop
reference 13
-10.00~10.00V【0.00V】
C1.32 Preset close-loop
reference 14
-10.00~10.00V【0.00V】
C1.33 Preset close-loop
reference 15
-10.00~10.00V【0.00V】
Among the close-loop reference selectors, besides the 3
selectors defined by C1.01, the voltage value defined by
C1.19~C1.33 can also be used as the close-loop
reference.
Voltage of preset close-loop reference 1~15 can be
selected by terminals, refer to introductions to
A6.00~A6.04 for details.
The priority preset close-loop reference control is higher
than the reference selectors defined by C1.01
C1.34 Close-loop output reversal
selection
0、1【0】
0:The close-loop output is negative,the drive will
operate
at zero frequency.
1:The close-loop output is negative,and the drive
operate reverse.If the anti-reverse function is
activated,then the drive will operate at zero
frequency.Refer to the instructions of A1.12.
C1.35 Sleep function selection
0,1【0】
0:Disable
1:Enable.
C1.36 Sleep level
0.0~100.0%【50.0%】
C1.37 Sleep latency
0.0~6000.0s【30.0s】
C1.38 Wake-up level
0.0~100%【50.0%】
As shown in Fig.6-43,when the output frequency is
lower than the sleep level(C1.36),timer for sleep latency
will start.When the output frequency is larger than the
sleep level,the timer for sleep latency will stop and
clear.If the time of the situation that the output frequency
is lower than the sleep level is longer than sleep
latency(C1.37),then the driver will stop.When the actual
feedback value is higher than wake-up level(C1.38),the
driver will start again.
In Sleep level(C1.36),100% is corresponding to the
frequency in A0.08.
In Wake-up level(C1.38),100% is corresponding to 10V
or 20mA.
Fig.6-45 Sleep Function
6.17 Group C2
Simple PLC function
Simple PLC function is used to run different frequency
and direction in different time automatically,as shown in
Fig.6-46
Fig.6-46 Simple PLC function
In Fig.6-46,a1~a15 and d1~d15 are the acceleration and
deceleration of the steps.f1~f15 and T1~T15 are the
Detected
value

56
setting frequency and operating time of the steps.There
parameters are defined in group C2.
PLC step finish signal and PLC cycle finish signal can
be defined in open collector output Y1,
C2.00 Simple PLC operation
mode selector
0~1123H【0000】
The unit’s place of LED:PLC function running mode
0:No function.
Simple PLC function is invalid.
1:Stop after single cycle.
As shown in Fig.6-47,the drive will stop automatically
after finishing one cycle running,the wait for another
start signal to startup.
Fig.6-47 Stop after single cycle
2.Keep final states after single cycle
As shown in Fig.6-48,the drive will keep running at the
frequency and direction in last step after finishing single
cycle.
Fig.6-48 Keep final states after single cycle
3.Continuous cycle
As shown in Fig.6-49,the drive will continue next cycle
after finishing one cycle,and stop when there is stop
command.
Fig.6-49 Continuous cycle
The ten’s place of LED:Start modes
0:Start from first step
If the drive stop while it was running(Caused by stop
command,fault or power failure), then it will start from
first step when it restart.
1:Start from the step before stop(or alarm)
If the drive stop while it was running(Caused by stop
command or fault), then it will record the operating time
of current step,and start from this step and continue the
left operating time when it restart,as shown in Fig.6-50.
A
B
C
D
0:
No function
1:
Stop after single cycle
2:
Keep final states after single cycle
3:
Continuous cycle
0:
Start from first step
1:
Start from the step before stop
(or alarm).
2:
before stop(or alarm)
Start from the step and frequency
Storage after power off
0:
Disable
1:
Save the segment,frequency when
power off
Time unit selector for each step
0:
Second
1:
Minute
Start mode

57
Fig.6-50 Start mode 1 of PLC function
2.Start from the step,frequency before stop(or alarm)
If the drive stop while it was running(Caused by stop
command or fault),it will record the operating time of
current step and also record the operating frequency,then
when it restart,it will return to the operating frequency
before stop and continue the left operating time,as
shown in Fig.6-51.
Fig.6-51 Start mode 2 of PLC function
Hundred’s place of LED:Save after power off
0:Not save
The drive will not save the PLC operating status after
power off.It will start from first step after power on
again.
1:Save the segment frequency after power off
It will save the PLC operating status including
step,operating frequency and operating time,then it will
restart according the the setting in ten’s place of LED
when power on again.
Thousand’s place of LED:Time unit selector of each step
0:Second
Each steps will use second as the unit of operating time.
1:Minute
Each steps will use minute as the unit of operating time.
This unit selector is only valid for PLC operating time.
C2.01 Step 1 setting mode
selector
0~323H【0000】
C2.02 Step 1 operating time
0.0~6500.0【20.0】
C2.03 Step 2 setting mode
selector
Same as C2.01
C2.04 Step 2 operating time
0.0~6500.0【20.0】
C2.05 Step 3 setting mode
selector
Same as C2.01
C2.06 Step 3 operating time
0.0~6500.0【20.0】
C2.07 Step 4 setting mode
selector
Same as C2.01
C2.08 Step 4 operating time
0.0~6500.0【20.0】
C2.09 Step 5 setting mode
selector
Same as C2.01
C2.10 Step 5 operating time
0.0~6500.0【20.0】
C2.11 Step 6 setting mode
selector
Same as C2.01
C2.12 Step 6 operating time
0.0~6500.0【20.0】
C2.13 Step 7 setting mode
selector
Same as C2.01
C2.14 Step 7 operating time
0.0~6500.0【20.0】
C2.15 Step 8 setting mode
selector
Same as C2.01
C2.16 Step 8 operating time
0.0~6500.0【20.0】
C2.17 Step 9 setting mode
selector
Same as C2.01
C2.18 Step 9 operating time
0.0~6500.0【20.0】
C2.19 Step 10 setting mode
selector
Same as C2.01
C2.20 Step 10 operating time
0.0~6500.0【20.0】
C2.21 Step 11 setting mode
selector
Same as C2.01
C2.22 Step 11 operating time
0.0~6500.0【20.0】
C2.23 Step 12 setting mode
Same as C2.01

58
selector
C2.24 Step 12 operating time
0.0~6500.0【20.0】
C2.25 Step 13 setting mode
selector
Same as C2.01
C2.26 Step 13 operating time
0.0~6500.0【20.0】
C2.27 Step 14 setting mode
selector
Same as C2.01
C2.28 Step 14 operating time
0.0~6500.0【20.0】
C2.29 Step 15 setting mode
selector
Same as C2.01
C2.30 Step 15 operating time
0.0~6500.0【20.0】
C2.01~C2.30 are used to set the operating frequency,direction,
Acc/Dec time and operating time for PLC function.Here takes
C2.01 as example,as shown in Fig.6-52.
Fig.6-52 PLC steps setting
The unit’s place of LED:
0:Multiple frequency N(N:corresponding to current step)
The frequency of current step depends on the multiple
frequency N.About the details of multiple frequency
setting,please refer to Group C0.
1:Defined by A0.02.
Use A0.02 to set the frequency of current step.
2.Multiple closed loop reference N(N:corresponding to
current step)
The frequency of current step depends on the multiple
closed loop reference N.About multiple closed loop
setting,please refer to C1.19~C1.33.
3:Defined by C1.01.
PLC runs in process closed loop mode,the closed loop
reference is defined by C1.01.
Ten’s place of LED:
0:Forward
Set the direction of current step as forward
1:Reverse
Set the direction of current step as reverse
2:Defined by operation command
The direction of current step is defined by the operation
command of terminals.
Note:
If the operation direction of current step can not be
confirmed,then it will continue the previous direction.
6.18 Group C3
Swing function is suitable for application like spinning
which requires winding and swing function.Its typical
operation is as shown in Fig.6-53.
Fig.6-53 Swing operation
The process of swing control:Firstly the drive accelerate
to preset swing frequency(Set in C3.02),and wait for
some time(Set in C3.03),then accelerate to centre
frequency,and run cyclic according to the swing
amplitude(C3.04),Jump frequency(C3.05),Swing
cycle(C3.06) and Triangle wave rising time(C3.07),and
then stop in dec time when there is stop command.
C3.00 Swing function
selector
0~1【0】
0:Disable
1:Enable
A
B
C
D
0:
Multiple frequency N(N:
1:
corresponding to current step)
2:
Multiple closed-loop reference N
3:
Defined by A0.02cycle
0:
Forward
1:
Reverse
2:
Defined by operation command
0:
Acc/Dec time 1
(N:corresponding to current step)
Defined by C1.01
Acc/Dec time 2
1:
Acc/Dec time 3
2:
Acc/Dec time 4
3:

59
C3.01 Swing Operation
mode
0~1111H【0000】
C3.02 Main reference
frequency
-300.0~300.0Hz【0.00】
C3.03 Waiting time for
preset swing frequency
0.0~3600.0s【0.0s】
C3.02 is used to set the operating frequency of swing
operation.C3.03 is used to set the continuous time of
preset swing frequency,C3.03 is invalid when swing
operation mode is set as 1.
C3.04 Swing amplitude
0.0%~50.0%【0.0%】
Swing amplitude setting value is the percentage corresponding to
centre frequency or max. frequency.
For centre frequency: Swing amplitude frequency=centre
frequency * C3.04.
For max. frequency: Swing amplitude frequency=Max. frequency
* C3.04.
C3.05 Jump frequency
0.0%~50.0%【0.0%】
As shown in Fig.6-53,when C3.05 is set to 0,then there is no
jumping frequency.
C3.06 Swing cycle
0.1~999.9s【0.1s】
Swing cycle is the time from rising and falling of swing
frequency.
C3.07 Triangle wave rising
time
0.0%~100.0%(Swing
cycle) 【50.0%】
C3.07 is the percentage corresponding to swing cycle,as shown in
Fig.6-53.
Note:
Centre frequency:It is the setting value of main reference
frequency.
Max. frequency:It is the setting value of A0.08.
6.19 Group d0
The parameters of Group d0 are used to monitor some
states of drives and motors.
d0.00 Main reference
frequency
-300.0~300.0Hz【0.00】
This parameter is used to monitor main reference
frequency at normal operation mode.
d0.01 Auxiliary reference
frequency
-300.0~300.0Hz【0.00】
This parameter is used to monitor the auxiliary reference
frequency at normal operation mode.
d0.02 Preset frequency
-300.0~300.0Hz【0.00】
This parameter is used to monitor the frequency
combined by main reference frequency and auxiliary
reference frequency.Positive indicates running forwards,
negative indicates running reverse.
d0.03 Frequency after
Acc/Dec
-300.0~300.0Hz【0.00】
This parameter is used to monitor the drive’s output
frequency(include direction) after the drive accelerating
or decelerating.
d0.04 Output frequency
-300.0~300.0Hz【0.00】
This parameter is used to monitor the drive’s output
frequency(include direction).
d0.05 Output voltage
0~480V【0】
This parameter is used to monitor the drive’s output
voltage.
d0.06 Output current
0.0~3Ie【0】
This parameter is used to monitor the drive’s output
current.
A
B
C
D
0:
Auto mode
1:
By terminal
0:
Reference centre frequency
1:
Reference max.frequency
Swing states storage
0:
Save after stop
1:
Not save after stop
Swing states storage after power failure
0:
Save
1:
Not save
Swing control
Startup method

60
d0.07 Torque current
-300.0% ~300.0%
【0.0%】
This parameter is used to monitor the percentage of
drive’s torque current that corresponding to the motor’s
rated current.
d0.08 Magnetic flux current
0.0%~100.0%【0.0】
This parameter is used to monitor the percentage of
drive’s magnetic flux current that corresponding to the
motor’s rated current.
d0.09 Motor power
0.0%~200.0%【0.0】
This parameter is used to monitor the percentage of
drive’s output power that corresponding to the motor’s
rated power.
d0.10 Motor estimated
frequency
-300.00 ~300.00Hz
【0.00】
This parameters is used to monitor the estimated motor
rotor frequency under the condition of open-loop vector
control.
d0.11 Motor actual
frequency
-300.00 ~300.00Hz
【0.00】
This parameter is used to monitor the actual motor rotor
frequency measured by encoder under the condition of
close-loop vector control.
d0.12 Bus voltage
0~800V【0】
This parameter is used to monitor the drive’s bus
voltage.
d0.13 Drive operation
status
0000~FFFFH【0000】
Fig.6-38 The drive’s operation status
d0.14 Input terminals status
00~FFH【00】
Fig.6-39 Input terminals status
This parameter is used to display the status of X1~X5.
0 indicates OFF status,1 indicates ON status.
d0.15 Output terminals status
0~1FH【0】
Fig.6-40 Output terminal status
This parameter is used to display the status of output
terminals.When there is signal output,the corresponding
bit will be set as 1.
D
BIT0
:
Y1
terminal status
BIT1
:Reserved
BIT2
:
R01
relay status
BIT
3
:
Reserved
C
D
BIT0
:
X1
terminal status
BIT1
:
X2
terminal status
BIT2
:
X3
terminal status
BIT
3
:
X4
terminal status
BIT0
:
X5
terminal status
BIT1
BIT2
:
BIT
3
:
Reserved
A
B
C
D
BIT0
:
0:Stop. 1:Run
BIT1
:
0:Forward. 1:Reverse
BIT2
:Operating at zero frequecy
BIT
3
:Accelerating
BIT0
:Decelerating
BIT1
:Operating at constant speed
BIT2
:Pre-commutation
BIT
3
:Tuning
BIT0
:Over-current limiting
BIT1
:DC over-voltage limiting
BIT2
:Torque limiting
BIT
3
Reversed
BIT0
:Drive fault
BIT1
:Speed control
BIT2
:Reserved
BIT
3
:Reserved

61
d0.16 AI1 input
-10.00~10.00V【0.00】
d0.17 AI2 input
-10.00~10.00V【0.00】
d0.18 AI3 input
-10.00~10.00V【0.00】
d0.16~d0.18 are used to display the analog input value
before regulation.
d0.19 Percentage of AI1 after
regulation
-100.0%~100.0%【0.0】
d0.20 Percentage of AI2 after
regulation
-100.0%~100.0%【0.0】
d0.21 Reserved
d0.19~d0.21 are used to display the percentage of
analog input after regulation.
d0.22 AO1 output
0.0%~100.0%【0.0】
d0.23
Reserved
d0.22、d0.23 are used to diplay the percentage of analog
output that corresponding to the full range.
d0.24 Process close-loop
reference
-100.0%~100.0%【0.0】
d0.25 Process close-loop
feedback
-100.0%~100.0%【0.0】
d0.26 Process close-loop
error
-100.0%~100.0%【0.0】
d0.27 Process close-loop
output
-100.0%~100.0%【0.0】
d0.28 Temperature of heatsink 1
0.0~150.0℃【0.0】
d0.29 Temperature of heatsink 2
0.0~150.0℃【0.0】
Temperature of heatsink 1 is the temperature of IGBT
modules. Different IGBT modules have different
over-temperature threshold.
Temperature of heatsink 2 is the temperature of rectifier.
The drive of 30kW or below does not detect this
temperature.
Temperature display range:0~100℃.Accuracy:5%
d0.30 Total conduction time
0~65535 hours【0】
d0.31 Total operating time
0~65535 hours【0】
d0.32 Total fan’s operating time
0~65535 hours【0】
d0.30 ~d0.32 define the drive’s total conduction
time,operating time and fan’s operating time after
production.
d0.33 ASR controller output
-300.0~300.0%
(Corresponding to
rated torque of motor
d0.34 Reference torque
-300.0~300.0%
(Corresponding to
rated torque of motor
6.20 Group d1
d1.00 Fault record 1
0~50【0】
d1.01 Bus voltage of the latest
failure
0~999V【0】
d1.02 Actual current of the latest
failure
0.0~999.9A【0】
d1.03 Operation frequency of the
latest failure
0.00~300.0Hz【0.00】
d1.04 Operation status of the
latest failure
0~FFFFH【0000】
d1.05 Fault record 2
0~50【0】
d1.06 Fault record 3
0~50【0】
CV100 support 50 kinds of protection alarm and can
record the latest three fault code (d1.00,d1.05,d1.06) and
bus voltage, current,operation frequency and operation
status of the latest fault.
Fault record 1 is the latest fault record.
See Chapter 7 of failure and alarm information during
failures recently occurred for the ease of Trouble
Shooting and repair.
6.21 Group d2
d2.00 Serial number
0~FFFF【100】

62
d2.01 Software version
number
0.00~99.99【1.00】
d2.02 Custom-made version
number
0~9999【0】
d2.03 Rated capacity
0~999.9KVA【Factory】
d2.04 Rated voltage
0~999V【Factory】
d2.05 Rated current
0~999.9A【Factory 】
This group of parameters can be changed by user.

63
Chapter 7 Troubleshooting
Table 7-1 list the possible faults of CV100, the fault code varies from E001 to E050. Once a fault occurs, you may
check it against the table and record the detailed phenomena before seeking service from your supplier.
Table 7-1 Faults and actions
Fault code
Fault categories
Possible reasons for fault
Actions
E001
Over-current
during
accerleration
Acc time is too short
Prolong the Acc time
Parameters of motor are wrong
Atuo-tune the parameters of
motor
Coded disc breaks down, when PG is running
Check the coded disc and the
connection
Drive power is too small
Select a higher power drive
V/F curve is not suitable
Check and adjust V/F curve,
adjust torque boost
E002
Over-current
during
deceleration
Deceleration time is too short
Prolong the Dec time
The load generates energy or the load inertial is too big
Connect suitable braking kit
Coded disc breaks down, when PG is running
Check the coded disc and the
connection
Drive power is too small
Select a higher power drive
E003
Over-current in
constant speed
operation
Acceleration /Deceleration time is too short
Prolong Acceleration/
Deceleration time
Sudden change of load or Abnormal load
Check the load
Low AC supply voltage
Check the AC supply voltage
Coded disc breaks down, when PG is running
Check the coded disc and the
connection
Drive power is too small
Select a higher power drive
E004
Over voltage
during
acceleration
Abnormal AC supply voltage
Check the power supply
Too short acceleration time
Prolong accerlation time
E005
Over voltage
during
deceleration
Too short Deceleration time (with reference to
generated energy)
Prolong the deceleration time
The load generates energy or the load inertial
is too big
Connect suitable braking kit
E006
Over voltage in
constant-speed
operating
process
Wrong ASR parameters, when drive run in the vector
control mode
Refer to A5. ASR parameter
seting
Acceleration /Deceleration time is too short
Prolong Acceleration/
Deceleration time
Abnormal AC supply voltage
Check the power supply
Abnormal change of input voltage
Install input reactor
Too big load inertia
Connect suitable braking kit

64
Fault code
Fault categories
Possible reasons for fault
Actions
E007
Drive’s control
power supply
over voltage
Abnormal AC supply voltage
Check the AC supply voltage
or seek service
E008
Input phase
loss
Any of phase R, S and T cannot be detected
Check the wiring and
installation
Check the AC supply voltage
E009
Output phase
loss
Any of Phase U, V and W cannot be detected
Check the drive’s output
wiring
Check the cable and the
motor
E010
Protections of
IGBT act
Short-circuit among 3-phase output or
line-to-ground short circuit
Rewiring, please make sure
the insulation of motor is
good
Instantaneous over-current
Refer to E001~E003
Vent is obstructed or fan does not work
Clean the vent or replace the
fan
Over-temperature
Lower the ambient
temperature
Wires or connectors of control board are loose
Check and rewiring
Current waveform distorted due to output
phase loss
Check the wiring
Auxiliary power supply is damaged or IGBT
driving voltage is too low
Seek service
Short-circuit of IGBT bridge
Seek service
Control board is abnormal
Seek service
E011
IGBT module’s
heatsink
overheat
Ambient over-temperature
Lower the ambient
temperature
Vent is obstructed
Clean the vent
Fan does not work
Replace the fan
IGBT module is abnormal
Seek service
E012
Rectifier’s
heatsink
overheat
Ambient over-temperature
Lower the ambient
temperature
Vent is obstructed
Clean the vent
Fan does not work
Replace the fan
E013
Drive overload
Parameters of motor are wrong
Atuo-tune the parameters of
motor
Too heavy load
Select the drive with bigger
power
DC injection braking current is too big
Reduce the DC injection
braking current and prolong

65
Fault code
Fault categories
Possible reasons for fault
Actions
the braking time
Too short acceleration time
Prolong accerlation time
Low AC supply voltage
Check the AC supply voltage
Improper V/F curve
Adjust V/F curve or torque
boost value
E014
Motor
over-load
Improper motor’s overload protection threshold
Modify the motor’s overload
protection threshold.
Motor is locked or load suddenly become too big
Check the load
Common motor has operated with heavy load
at low speed for a long time.
Use a special motor if the
motor is required to operate
for a long time.
Low AC supply voltage
Check the AC supply voltage
Improper V/F curve
Set V/F curve and torque
boost value correctly
E015
external
equipment fails
Terminal used for stopping the drive in
emergent status is closed
Disconnect the terminal if the
external fault is cleared
E016
EEPROM R/W
fault
R/W fault of control parameters
Press STOP/RST to reset,
seek service
E017
reserved
reserved
reserved
E018
Contactor not
closed
Low AC supply voltage
Check the AC supply voltage
Contactor damaged
Replace the contactor in main
circuit and seek service
Soft start resistor is damaged
Replace the soft start resistor
and seek service
Control circuit is damaged
Seek service
Input phase loss
Check the wiring of R, S, T.
E019
Current
detection
circuit
fails
Wires or connectors of control board are loose
Check and re-wire
Auxiliary power supply is damaged
Seek service
Hall sensor is damaged
Seek service
Amplifying circuit is abnormal
Seek service
E020
System
interference
Terrible interference
Press STOP/RST key to reset
or add a power filter in front of
power supply input
DSP in control board read/write by mistake
Press STOP/RST key or seek
service.
E023
Parameter copy
error
Panel’s parameters are not complete or the
version of the parameters are not the same
as that of the main control board
Update the panel’s
parameters and version again.
First set b4.04 to 1 to upload
the parameters and then set
b4.04 to 2 or 3 to download

66
the parameters.
Panel’s EEPROM is damaged
Seek service
E024
Auto-tuning
fault
Improper settings of parameters on the
nameplate
Set the parameters correctly
according to the nameplate
Fault code
Fault categories
Possible reasons for fault
Actions
Prohibiting contrarotation Auto-tuing during rollback
Cancel prohibiting rollback
Overtime of auto-tuning
Check the motor’s wiring
Check the set value of
A0.10(upper limiting
frequency), make sure if it is
lower than the rated
frequency or not
E025
PG fails
With PG vector control, the signal of encoder is lost
Check the wiring of the
encoder, and re-wiring
E026
The load of
drive is lost
The load is lost or reduced
Check the situation of the
load
E027
Brake unit fault
Brake tube is broken
Seek service
E028~E0
50
Reserved
Note:
The short circuit of the brake resistance can lead to the damage of brake unit fault.
Table 7-2 Abnormal phenomena and handling methods
Phenomena
Conditions
Possible reasons of fault
Actions
No response
of operation
panel
Part of the keys or
all the keys are
disabled
Panel is locked up
In stopping status, first press ENTER and
hold on, then press ∨ 3 times
continuously to unlock the panel
Power-on the drive after it shuts down
completely
Panel’s cables are not well
connected.
Check the wiring
Panel’s keys are damaged.
Replace operation panel or seek service
Settings of
parameters
cannot be
changed
Operating status
cannot be changed
Parameters are not allowed
changing during
operation
Change the parameters at STOP status
Part of parameters
cannot be
changed.
b4.02 is set to 1 or 2
Set b4.02 to 0
Parameters are actually detected,
not allowed changing
Do not try to change these parameters,
users are not allowed to chaged these
MENU is disabled
Panel is locked up
See “No response of operation panel”

67
Phenomena
Conditions
Possible reasons of fault
Actions
Parameter not
displayed when
pressing MENU.
User’s password is required
Input correct user’s password
Instead, “0.0.0.0.”
is displayed
Seek service
The drive
stops during
operating
process
The drive stops
and its “RUN”
LED is off, while
there is no
“STOP” command
Fault alarm occurs
Find the fault reason and reset the drive
AC supply is interrupted
Check the AC supply condition
Control mode is changed
Check the setting of relevant
parameters
Logic of control terminal changes
Check the settings of A6.13
Motor stops when
there is no
stopping
command, while
the drive’s “RUN”
LED illuminates
and operates at
zero frequency
Auto-reset upon a fault
Check the setting of auto-reset
Stopping command is input from
external terminal
Check the setting of this external
terminal
Preset frequency is 0
Check the frequency setting
Start frequency is larger than
preset frequency
Check the start frequency
Skip frequency is set incorrectly
Check the setting of skip frequency
Enable “ Ban forwarding” when
run forward
Check the set of terminal funtion
Enable “Ban revesing” when run
reversely
Check the set of terminal function
The drive
does not work
The drive does not
work and its
“RUN” LED is off
when the “RUN”
key is pressed.
Terminal used for coasting to stop
is enabled
Check the terminal used for coasting to
stop
Terminal used for prohibiting
running
of the drive is enabled.
Check the terminal used for prohibiting
running of the drive is enabled.
Terminal used for stopping the
drive is enabled
Check the terminal used for stopping the
drive
In 3-wire control mode, the
terminal used to control the 3-wire
operation is not closed.
Set and close the terminal
Fault alarm occurs C
Clear the fault
Positive and negative logic of
input
terminal are not set correctly
Check the setting of A6.13
“P.oFF”
is reported
when the drive
begin to run
immediately
Transistor or
contactor
disconnected and
overload
Since the transistor or contactor is
disconnected, the bus voltage
drops at heavy load, therefore, the
drive
displays P.Off, not E018
Run the drive until the transistor or
contactor is connected.

68
Phenomena
Conditions
Possible reasons of fault
Actions
after
power-on.
message

69
Chapter 8 Maintenance
Many factors such as ambient temperature, humidity, dust, vibration, internal component aging, wear and tear will give
rise to the occurrence of potential faults. Therefore, it is necessary to conduct routine maintenance to the drives.
Notes:
As safety precautions, before carrying out check and maintenance of the drive, please ensure that :
The drive has been switched off;
The charging LED lamp inside the drive is off.
Use a volt-meter to test the voltage between terminals (+) and (-) and the voltage should be below 36V.
8.1 Daily Maintenance
The drive must be operated in the environment specified in the Section 2.1. Besides, some unexpected accidents may
occur during operation. You should maintain the drive conditions according to the table below, record the operation
data, and find out problems in the early stage.
Table 8-1 Daily checking items
Items
Instructions
Criterion
Items
Cycle
Checking methods
Operating
environment
Temperature and
humidity
Any time
Thermometer and
hygrometer
-10℃~+40℃,
derating at 40℃
~50℃
Dust and water dripping
Visual inspection
Gas
olfactometry
Drive
Vibration and heating
Any time
Touch the case
Stable vibration and
proper
temperature
Noise
Listen
No abnormal sound
Motor
Heating
Any time
Touch by hand
No overheat
Noise
Listen
Low and regular
noise
Operating
status
parameters
Output current
Any time
Current meter
Within rated range
Output voltage
Volt-meter
Within rated range
Internal temperature
Thermometer
Temperature rise is
less than 35℃
8.2 Periodical Maintenance
Customer should check the drive every 3 months or 6 months according to the actual environment.
Notes:
1. Only trained personnel can dismantle the drive to replace or repair components;
2. Don't leave metal parts like screws or pads inside the drive; otherwise the equipment may be damaged.

70
General Inspection:
1. Check whether the screws of control terminals are loose. If so, tighten them with a screwdriver;
2. Check whether the main circuit terminals are properly connected; whether the mains cables are over heated;
3. Check whether the power cables and control cables are damaged, check especially for any wear on the cable tube;
4. Check whether the insulating tapes around the cable lugs are stripped;
5. Clean the dust on PCBs and air ducts with a vacuum cleaner;
6. For drives that have been stored for a long time, it must be powered on every 2 years. When supplying AC
power to the drive, use a voltage regulator to raise the input voltage to rated input voltage gradually. The drive
should be powered for 5 hours without load.
7. Before performing insulation tests, all main circuit input/output terminals should be short-circuited with conductors.
Then proceed insulation test to the ground. Insulation test of single main circuit terminal to ground is forbidden;
otherwise the drive might be damaged.
Please use a 500V Mega-Ohm-Meter.
8. Before the insulation test of the motor, disconnect the motor from the drive to avoid damaging it.
Note:
Dielectric Strength test of the drive has already been conducted in the factory. Do not do the test again, otherwise, the
internal components might be damaged.
Using different component to substitute the original component may damage the dirver.
8.3 Replacing Wearing Parts
The components that are easily damaged are: cooling fan and electrolytic capacitors of filters. Their lifetime depends
largely on their application environment and preservation. Normally, lifetime is shown in following table.
Table 8-2 Lifetime of components
Components
Lifetime
Fan
3~40,000 hours
electrolytic capacitor
4~50,000 hours
Relay
About 10,000 times
You can decide the time when the components should be replaced according to their service time.
1.Cooling fan
Possible cause of damages: wear of the bearing, aging of the fan vanes.
Criteria:After the drive is switched off, check whether abnormal conditions such as crack exists on fan vanes and other
parts. When the drive is switched on, check whether drive running is normal, and check whether there is any abnormal
vibration.
2. Electrolytic capacitors
Possible cause of damages: high ambient temperature, aging of electrolyte and large pulse current caused by rapid
changing loads.
Criteria: Check if there is any leakage of liquids. Check if the safety valve protrudes. Measure static capacitance and
insulation resistance.
3.Relay
Possible cause of damages: corrosion, frequent-switching.
Criteria: Check whether the relay has open and shut failure.

71
8.4 Storage
The following points must be followed for the temporary and long-term storage of drive:
1. Store in locations free of high temperature, humidity, dust, metal powder, and with good ventilation.
2. Long-term storage will cause the deterioration of electrolytic capacitors. Therefore, the drive must be switched on
for a test within 2 years at least for 5 hours. The input voltage must be boosted gradually by the voltage regulator to the
rated value.

72
Chapter 9 List of Parameters
CV100 series VFD’s parameters are organized in groups. Each group has several parameters that are identified by
“Group No.+ Function Code. There are AX,YZ letters in other content in this manual,it indicate the YZ function code
in group X.For example,“A6.08” belongs to group A6 and its function code is 8.
The parameter descriptions are listed in the tables below.
Table 9-1 Descriptions of Function Code Parameter Structure Table
No.
Name
Description
1
Function code
The number of function code
2
Name
The name of function code
3
Setting range
The setting range of parameters.
4
Unit
The minimum unit of the setting value of parameters.
5
Factory setting
The setting value of parameters after the product is delivered
6
Modification
The “modification” column in the parameter table means whether the parameter can be
modified.
“○”:Denotes the parameters can be modified during operation or at STOP state;
“×”:Denotes the parameters cannot be modified during operating;
“* ”:Denotes the parameters are actually detected and cannot be revised;
“—”:Denotes the parameters are defaulted by factory and cannot be modified ;
(When you try to modify some parameters, the system will check their modification
property automatically to avoid mis-modification.)
Note:
1.Parameter settings are expressed in decimal (DEC) and hexadecimal (HEX). If the parameter is expressed in
hexadecimal, the bits are independent to each other.The value of the bits can be 0~F.
2.“Factory settings” means the default value of the parameter. When the parameters are initialized, they will resume
to the factory settings. But the actual detected or recorded parameters cannot be initialized;
It is defaulted that no parameters except A0.03 are allowed changing. If you need change them, please
first set b4.02(parameter write-in protection) from 1 to 0.
Table 9-2 List of Parameters
Function
code
Name
Descriptions
Unit
Factory
setting
Modif.
Setting
range
Group A0:Basic operating parameters
A0.00
User password
0:No password protection.
Others:Password protection.
1
0
○
0~FFFF
A0.01
Control mode
0:Vector control without PG
1:Vector control with PG
1
0
×
0~2

73
Function
code
Name
Descriptions
Unit
Factory
setting
Modif.
Setting
range
2: V/F control
A0.02
Main reference
frequency selector
0:Digital setting
1:AI1
2:AI2
3:Potentiometer
1
0
○
0~5
A0.03
Set the operating
frequency in
digital mode
A0.11~A0.10
0.01Hz
50.00
○
0~30000
A0.04
Methods of
inputting operating
commands
0:Panel control
1:Terminal control
2:Communication control
1
1
○
0~2
A0.05
Set running
direction
0:Forward 1:Reverse
1
0
○
0~1
A0.06
Acc time 1
0.0~6000.0
0.1S
2KW or
below:6.
0S
30KW~
45KW:2
0.0S
45KW
or
above:30
.0S
○
0~60000
A0.07
Dec time 1
0.0~6000.0
0.1S
2KW or
below:6.
0S
30KW~
45KW:2
0.0S
45KW
or
above:30
.0S
○
0~60000
A0.08
Max. output
frequency
upper limit of frequency A0.11~
300.00Hz
0.01Hz
50.00
×
0~30000

74
Function
code
Name
Descriptions
Unit
Factory
setting
Modif.
Setting
range
A0.09
Max. output
voltage
0~480
1V
VFD’s
rated
values
×
0~480
A0.10
Upper limit of
frequency
A0.12~A0.08
0.01Hz
50.00
○
0~30000
A0.11
Lower limit of
frequency
0.00~A0.11
0.01Hz
0.00
○
0~30000
A0.12
Basic operating
frequency
0.00~Max.output frequency A0.08
0.01Hz
50.00
○
0~30000
A0.13
Torque boost
0.0%(Auto), 0.1%~30.0%
0.1%
0.0%
○
0~300
Group A1:Start and stop parameters
A1.00
Starting mode
0 Start from the starting frequency
1 Brake first and then start
2 Start on the fly(including
direction judgement), start at
starting frequency
1
0
×
0~2
A1.01
Starting frequency
0.00~60.00Hz
0.01Hz
0.00Hz
○
0~6000
A1.02
Holding time of
starting frequency
0.00~10.00s
0.01s
0.00s
○
0~1000
A1.03
DC injection
braking current at
start
0.0%~100.0% drive’s rated current
0.1%
0.0%
○
0~1000
A1.04
DC injection
braking
time at start
0.00(No action)
0.01~30.00s
0.01s
0.00s
○
0~3000
A1.05
Stopping mode
0:Dec-to-stop
1:Coast-to-stop
2:Dec-to-stop+DC injection
braking
1
0
×
0~2
A1.06
DC injection
braking initial
frequency at stop
0.00~60.00Hz
0.01Hz
0.00Hz
○
0~6000
A1.07
Injection braking
waiting time at
stop
0.00~10.00s
0.01s
0.00s
○
0~1000

75
Function
code
Name
Descriptions
Unit
Factory
setting
Modif.
Setting
range
A1.08
DC injection
braking current at
stop
0.0%~100.0% drive’s rated current
0.1%
0.0%
○
0~1000
A1.09
DC injection
braking time at
stop
0.0(No action)
0.01~30.00s
0.01s
0.00s
○
0~3000
A1.10
Restart after power
failure
0:Disable
1:Enable
1
0
×
0~1
A1.11
Delay time for
restart after power
failure
0.0~10.0s
0.1s
0.0s
○
0~100
A1.12
Anti-reverse
running function
0:Disabled
1:Enabled (It will operate at zero
frequency when input a reverse
command)
1
0
×
0~1
A1.13
Delay time of run
reverse/forward
0.00~360.00s
0.01s
0.00s
○
0~36000
A1.14
Switch mode of
run
reverse/forward
(Reserved)
0:Switch when pass 0Hz
1:Switch when pass starting
frequency
1
0
×
0~1
A1.15
Detecting
frequency of stop
0.00~150.00Hz
0.01Hz
0.10Hz
×
0~15000
A1.16
Action voltage of
braking unit
650~750V
1
720
×
650~750
A1.17
Dynamic braking
0:Disable
1:Enable
1
0
×
0~1
A1.18
Ratio of working
time of braking
unit to drive’s total
working time
0.0~100.0%
0.1%
80.0%
○
0~1000
Group A2:Frequency setting
A2.00
Auxiliary
reference
frequency selector
0:No auxiliary reference frequency
1:AI1
2:AI2
3:Reserved
1
0
○
0~5

76
Function
code
Name
Descriptions
Unit
Factory
setting
Modif.
Setting
range
4:Reserved
5:Output by PID process
A2.01
Main and auxiliary
reference
frequency
calculation
0:+
1:-
2:MAX(Main reference,Auxiliary
reference)
3:MIN(Main reference,Auxiliary
reference)
1
0
○
0~3
A2.02
UP/DN rate
0.01~99.99Hz/s
0.01
1.00
○
1~9999
A2.03
UP/DN regulating
control
Unit’s place of LED:
0:Save reference frequency upon
power outage
1:Not save reference frequency
upon power outage.
Ten’s place of LED:
0: Hold reference frequency at
stop
1:Clear reference frequency at stop
Hundred’s place of LED:
0:UP/DN integral time valid
1:UP/DN speed value
1
00
○
0~11H
A2.04
Jog operating
frequency
0.10~50.00Hz
0.01Hz
5.00
○
10~5000
A2.05
Interval of Jog
operation
0.0~100.0s
0.1s
0.0
○
0~1000
A2.06
Skip frequency 1
0.00~300.00Hz
0.01Hz
0.00
×
0~30000
A2.07
Range of skip
frequency 1
0.00~30.00Hz
0.01Hz
0.00
×
0~3000
A2.08
Skip frequency 2
0.00~300.00Hz
0.01Hz
0.00
×
0~30000
A2.09
Range of skip
frequency
0.00~30.00Hz
0.01Hz
0.00
×
0~3000
A2.10
Skip frequency 3
0.00~300.00Hz
0.01Hz
0.00
×
0~30000
A2.11
Range of skip
frequency 3
0.00~30.00Hz
0.01Hz
0.00
×
0~3000
Group A3:Setting curve

77
Function
code
Name
Descriptions
Unit
Factory
setting
Modif.
Setting
range
A3.00
Reference
frequency
curve selection
LED unit’s place :AI1 curve
selection
0:Curve 1
1:Curve 2
2:Curve 3
3:Curve 4
LED ten’s place :AI2 curve
selection
0:Curve 1
1:Curve 2
2:Curve 3
3:Curve 4
LED hundred’s place:Reserved
LED thousand’s place:Reserved
1
0000
○
0~3333H
A3.01
Max reference of
curve 1
A3.03~110.00%
0.01%
100.00%
○
0~11000
A3.02
Actual value
corresponding to
the Max reference
of curve 1
Reference frequency:
0.0~100.00%Fmax
Torque:0.0~300.00%Te
0.01%
100.00%
○
0~10000
A3.03
Min reference of
curve 1
0.0%~A3.01
0.01%
0.00%
○
0~11000
A3.04
Actual value
corresponding to
the Min reference
of curve 1
The same as A3.02
0.01%
0.00%
○
0~10000
A3.05
Max reference of
curve 2
A3.07~110.00%
0.01%
100.00%
○
0~11000
A3.06
Actual value
corresponding to
the Max reference
of curve 2
The same as A3.02
0.01%
100.00%
○
0~10000
A3.07
Min reference of
curve 2
0.0%~A3.05
0.01%
0.00%
○
0~11000
A3.08
Actual value
corresponding to
The same as A3.02
0.01%
0.00%
○
0~10000

78
Function
code
Name
Descriptions
Unit
Factory
setting
Modif.
Setting
range
the Min reference
of curve 2
A3.09
Max reference of
curve 3
A3.11~110.00%
0.01%
100.00%
○
0~11000
A3.10
Actual value
corresponding to
the Max reference
of curve 3
The same as A3.02
0.01%
100.00%
○
0~10000
A3.11
Min reference of
curve 3
0.0%~A3.09
0.01%
0.00%
○
0~11000
A3.12
Actual value
corresponding to
the Min reference
of curve 3
The same as A3.02
0.01%
0.00%
○
0~10000
A3.13
Max reference of
curve 4
A3.15~110.00%
0.01%
100.00%
○
0~11000
A3.14
Actual value
corresponding to
the Max reference
of curve 4
The same as A3.02
0.01%
100.00%
○
0~10000
A3.15
Reference of
inflection point 2
of curve 4
A3.17~A3.13
0.01%
100.00%
○
0~11000
A3.16
Actual value
corresponding to
the Min reference
of inflection point
2 of curve 4
The same as A3.02
0.01%
100.00%
○
0~10000
A3.17
Reference of
inflection point 1
of curve 4
A3.19~A3.15
0.01%
0.00%
○
0~11000
A3.18
Actual value
corresponding to
the Min reference
of inflection point
1 of curve 4
The same as A3.02
0.01%
0.00%
○
0~10000
A3.19
Min reference of
0.0%~A3.17
0.01%
0.00%
○
0~11000

79
Function
code
Name
Descriptions
Unit
Factory
setting
Modif.
Setting
range
curve 4
A3.20
Actual value
corresponding to
the Min reference
of curve 4
The same as A3.02
0.01%
0.00%
○
0~10000
Group A4:Acc/Dec parameters
A4.00
Acc/Dec mode
0:Linear Acc/Dec
1:S Curve
1
0
×
0~1
A4.01
Acc time 2
0.0~6000.0
0.1S
20.0S
○
0~60000
A4.02
Dec time 2
0.0~6000.0
0.1S
20.0S
○
0~60000
A4.03
Acc time 3
0.0~6000.0
0.1S
20.0S
○
0~60000
A4.04
Dec time 3
0.0~6000.0
0.1S
20.0S
○
0~60000
A4.05
Acc time 4
0.0~6000.0
0.1S
20.0S
○
0~60000
A4.06
Dec time 4
0.0~6000.0
0.1S
20.0S
○
0~60000
A4.07
S curve acceleration
starting time
10.0%~50.0%(Acc time)
A4.07+ A4.08≤90%
0.1%
20.0%
○
100~500
A4.08
S curve acceleration
ending time
10.0%~70.0%(Acc time)
A4.07+ A4.08≤90%
0.1%
20.0%
○
100~800
A4.09
S curve deceleration
starting time
10.0%~50.0%(Dec time)
A4.09+ A4.10≤90%
0.1%
20.0%
○
100~500
A4.10
S curve deceleration
ending time
10.0%~70.0%(Dec time)
A4.09+ A4.10≤90%
0.1%
20.0%
○
100~800
A4.11
Quick start-stop
selctor
0:Disable
1:Quick start,normal stop
2:Normal start,quick stop
3:Quick start,quick stop
1
0
×
0~3
A4.12
Start ACR-P
0.1~200.0
0.1
20.0
○
1~2000
A4.13
Start ACR-I
0.000~10.000S
0.001S
0.200s
○
0~10000
A4.14
Start AVR-P
0.1~200.0
0.1
20.0
○
1~2000
A4.15
Start AVR-I
0.000~10.000S
0.001S
0.200s
○
0~10000
A4.16
Stop ACR-P
0.1~200.0
0.1
20.0
○
1~2000
A4.17
Stop ACR-I
0.000~10.000S
0.001S
0.200s
○
0~10000
A4.18
Stop AVR-P
0.1~200.0
0.1
20.0
○
1~2000
A4.19
Stop AVR-I
0.000~10.000S
0.001S
0.200s
○
0~10000
Group A5:Control parameters

80
Function
code
Name
Descriptions
Unit
Factory
setting
Modif.
Setting
range
A5.00
Speed/torque
control mode
0:Speed control mode
1:Reserved
1
0
×
0~1
A5.01
ASR1-P
0.1~200.0
0.1
20.0
○
1~2000
A5.02
ASR1-I
0.000~10.000S
0.001S
0.200s
○
0~10000
A5.03
ASR1 output filter
0~8(Corresponding to
0~2^8/10ms)
1
0
○
0~8
A5.04
ASR2-P
0.1~200.0
0.1
20.0
○
1~2000
A5.05
ASR2-I
0.000~10.000S
0.001S
0.200s
○
0~10000
A5.06
ASR2 output filter
0~8(Corresponding to
0~2^8/12.5ms)
1
0
○
0~8
A5.07
ASR1/2 switching
frequency
0.0%~100.0%
0.1
10.0%
○
0~1000
A5.08
Maximum speed
limit for forward
running when
torque control
0.0%~+100.0%
0.1%
100.0%
○
0~1000
A5.09
Maximum speed
limit for reverse
running when
torque control
0.0%~+100.0%
0.1%
100.0%
○
0~1000
A5.10
Driving torque
limit
0.0%~+300.0%
0.1%
180.0%
○
0~3000
A5.11
Braking torque
limit
0.0%~+300.0%
0.1%
180.0%
○
0~3000
A5.12
Reserved
A5.13
Reserved
A5.14
Reserved
A5.15
Reserved
A5.16
Reserved
A5.17
ACR-P
1~5000
1
1000
○
1~5000
A5.18
ACR-I
0.5~100.0mS
0.1
8.0
○
5~1000
Group A6:Control terminals parameters
A6.00~A
6.04
Multi-function
terminal X1~X5
0:No function
1:Forward
2:Reverse
1
0
×
0~41

81
Function
code
Name
Descriptions
Unit
Factory
setting
Modif.
Setting
range
3:Forward jog operation
4:Reverse jog operation
5:3-wire operation control
6:External RESET signal input
7:External fault signal input
8:External interrupt signal input
9:Drive operation prohibit
10:External stop command
11:DC injection braking command
12:Coast to stop
13:Frequency ramp up (UP)
14:Frequency ramp down (DN)
15:Switch to panel control
16:Switch to terminal control
17 :Switch to communication
control mode
18:Main reference frequency via
AI1
19:Main reference frequency via
AI2
20:Reserved
21:Main reference frequency via
DI
22:Auxiliary reference frequency
invalid
23:Auxiliary reference frequency
via AI1 (Reserved)
24:Auxiliary reference frequency
via AI2 (Reserved)
25:(Reserved)
26:Auxiliary reference frequency
via DI (Reserved)
27:Preset frequency 1
28:Preset frequency 2

82
Function
code
Name
Descriptions
Unit
Factory
setting
Modif.
Setting
range
29:Preset frequency 3
30:Preset frequency 4
31:Acc/Dec time 1
32:Acc/Dec time 2
33:Multiple close-loop reference
selection 1
34:Multiple close-loop
reference selection 2
35:Multiple close-loop
reference selection 3
36:Multiple close-loop
reference selection 4
37:Forward prohibit
38:Reverse prohibit
39:Acc/Dec prohibit
40:Process close-loop prohibit
41:Reserved
42 :Main frequency switch to
digital setting
43:PLC pause
44:PLC prohibit
45:PLC stop memory clear
46:Swing input
47:Swing reset
48~49:Reserved
50:Timer 1 start
51:Timer 2 start
53:Counter input
54:Counter clear
Others:Reserved
A6.08
Terminal filter
0~500ms
1
10
○
0~500
A6.09
Terminal control
mode selection
0:2-wire operating mode 1
1:2-wire operating mode 2
2:3-wire operating mode 1
1
0
×
0~3

83
Function
code
Name
Descriptions
Unit
Factory
setting
Modif.
Setting
range
3:3-wire operation mode 2
A6.10
Reserved
A6.11
Reserved
A6.12
Reserved
A6.13
Input terminal’s
positive and
negative logic
Binary setting
0:Positive logic: Terminal Xi is
enabled if it is connected to
corresponding common terminal,
and disabled if it is disconnected.
1:Negative logic: Terminal Xi is
disabled if it is connected to
corresponding common terminal,
and enabled is it is disconnected.
Unit’s place of LED:BIT0~BIT3:
X1~X4
Ten’s place of LED:BIT0~BIT2:
X5
1
00
○
0~FFH
A6.14
Bi-direction
pen-collector
output terminal Y1
0:Running signal(RUN)
1:frequency arriving signal(FAR)
2:frequency detection threshold
(FDT1)
3:frequency detection threshold
(FDT2)
4:overload signal(OL)
5:low voltage signal(LU)
6:external fault signal(EXT)
7:frequency high limit(FHL)
8:frequency low limit(FLL)
9:zero-speed running
10:Terminal X1(Reserved)
11:Terminal X2(Reserved)
12:PLC running step complete
signal
13:PLC running cycle complete
signal
1
0
×
0~50

84
Function
code
Name
Descriptions
Unit
Factory
setting
Modif.
Setting
range
14:Swing limit
15:Drive ready (RDY)
16:Drive fault
17:Switching signal of host
18:Reserved
19:Torque limiting
20: Drive running forward/reverse
21: Timer 1 reach
22: Timer 2 reach
23: Preset counter reach
24: Intermediate counter reach
Others:Reserved
A6.15
Bi-direction
pen-collector
output terminal Y2
Same as A6.14
1
1
×
0~50
A6.16
Output functions
of relay R1
The same as A6.14
1
15
×
0~50
A6.17
Reserved
1
16
×
0~20
A6.18
Ouput terminal’s
positive and
negative logic
Binary setting:
0: Terminal is enabled if it is
connected to
corresponding common terminal,
and disabled if it is disconnected.
1: Terminal is disabled if it is
connected to
corresponding common terminal,
and
enabled is it is disconnected.
Unit’s place of LED:
BIT0:Y1
BIT2:R1
Ten’s place of LED:
Reserved
1
0
○
0~1FH
A6.19
Frequency arriving
signal (FAR)
0.00~300.00Hz
0.01Hz
2.50Hz
○
0~30000
A6.20
FDT1 level
0.00~300.00Hz
0.01Hz
50.00Hz
○
0~30000

85
Function
code
Name
Descriptions
Unit
Factory
setting
Modif.
Setting
range
A6.21
FDT1 lag
0.00~300.00Hz
0.01Hz
1.00Hz
○
0~30000
A6.22
FDT2 level
0.00~300.00Hz
0.01Hz
25.00Hz
○
0~30000
A6.23
FDT2 lag
0.00~300.00Hz
0.01Hz
1.00Hz
○
0~30000
A6.24
Virtual terminal
setting
Binary setting
0:Disable
1:Enable
Unit’s place of LED:
BIT0~BIT3:X1~X4
Ten’s place of LED:
BIT0~BIT2:X5
1
00
○
0~FFH
A6.25
Reserved
A6.25
Reserved
A6.26
Reserved
A6.27
Reserved
A6.28
Functions of
terminal AO1
0:No function
1:Output frequency(0~ Max.
output frequency)
2:Preset frequency(0~ Max. output
frequency)
3:Preset frequency(After Acc/Dec)
(0~ Max. output frequency)
4:Motor speed(0~ Max. speed)
5:Output current(0~2*Iei)
6:Output current(0~2*Iem)
7:Output torque(0~3*Tem)
8:Output power(0~2*Pe)
9:Output voltage(0~1.2*Ve)
10:Bus voltage(0~800V)
11:AI1
12:AI2
13:Reserved
14:Reserved
15:Percentage of host(0~4095)
1
0
○
0~36

86
Function
code
Name
Descriptions
Unit
Factory
setting
Modif.
Setting
range
16~36:Reserved
A6.29
Functions of
terminal AO2
Same as A6.28
1
0
○
0~36
A6.30
Gain of AO1
0.0%~200.0%
0.1%
100.0%
○
0~2000
A6.31
Zero offset
calibration of AO1
-100.0%~100.0%
0.1%
0.0
○
0~2000
A6.32
Reserved
A6.33
Reserved
A6.34
AI1 filter
0.01~10.00s
0.01s
0.05
○
1~1000
A6.35
AI2 filter
0.01~10.00s
0.01s
0.05
○
1~1000
A6.36
Reserved
○
0~1
A6.37
Analog input zero
offset calibration
0~1
1
0
○
0~20000
A6.38
Gain of AI1
0.00%~200%
0.01%
110%
○
0~20000
A6.39
Gain of AI2
0.00%~200%
0.01%
110%
0~20000
A6.40
Reserved
0.00%~200%
0.01%
110%
0~20000
A6.41
Zero offset value
AI1
0~65535
1
3584
×
0~65535
A6.42
Zero offset value
AI2
0~65535
1
3584
×
0~65535
A6.43
Reserved
0~65535
1
3584
×
0~65535
A6.44
Setting value of
timer 1
0.0~10.0s
0.1s
0.0
○
1~100
A6.45
Setting value of
timer 2
0~100s
1s
0
○
1~100
A6.46
Target value of
counter
0~65535
1
100
○
0~65535
A6.47
Intermediate value
of counter
0~65535
1
50
○
0~65535
Group A7:Reserved
Group A8:Fault parameters
A8.00
Protective action
of relay
Unit’s place of LED:
Action selection for under-voltage
fault indication.
0:Disable
1
0000
×
0~1111H

87
Function
code
Name
Descriptions
Unit
Factory
setting
Modif.
Setting
range
1:Enable
Ten’s place of LED:
Action selection for auto reset
interval fault indication.
0:Disable
1:Enable
Hundred’s place of LED:
Selection for fault locked function.
0:Disable
1:Enable
Thousand’place of LED:
Reserved
A8.01
Fault masking
selection 1
Unit’s place of LED:
Communication fault masking
selection
Ten’s place of LED:
Relay faultmasking selection
Hundred’s place of LED:
EEPROMfault masking selection
Thousand’s place of LED:
Reserved
0:Disable.Stop when fault
happen
1:Disable.Continue operating
when fault happen
2:Enable
1
0000
×
0~2222H
A8.02
Fault masking
selection 2
Unit’s place of LED:
Open phase fault masking selection
for input
Ten’s place of LED:
Open phase fault masking selection
for output
0:Disable.Stop when fault happen
1:Disable.Continue operating when
fault happen
2:Enable
1
00
×
0~22H
A8.03
Motor overload
0: Disabled
1
1
×
0~2

88
Function
code
Name
Descriptions
Unit
Factory
setting
Modif.
Setting
range
protection mode
selection
1:Common mode (with low speed
compensation)
2: Variable frequency motor
(without low speed compensation)
A8.04
Auto reset times
0:No function
1~100:Auto reset times
Note: The IGBT protection (E010)
and external equipment fault (E015)
cannot be reset automatically.
1
0
×
0~100
A8.05
Reset interval
2.0~20.0s/time
0.1s
5.0s
×
20~200
A8.06
Fault locking
function selection.
0:Disable.
1:Enable.
1
0
×
0~1
Group b0:Motor parameters
b0.00
Rated power
0.4~999.9KW
0.1
0
×
4~9999
b0.01
Rated voltage
0~ rated volotage of drive
1
0
×
0~999
b0.02
Rated current
0.1~999.9A
0.1A
Depende
nt
on
drive’s
model
×
1~9999
b0.03
Rated frequency
1.00~1000.00Hz
0.01Hz
Depende
nt
on
drive’s
model
×
100~3000
0
b0.04
Number of
polarities of motor
2~24
1
4
×
2~24
b0.05
Rated speed
0~60000RPM
1RPM
1440RP
M
×
0~60000
b0.06
Resistance of
stator %R1
0.00%~50.00%
0.01%
Depende
nt
on
drive’s
model
×
0~5000
b0.07
Leakage
inductance %Xl
0.00%~50.00%
0.01%
Depende
nt
on
×
0~5000

89
Function
code
Name
Descriptions
Unit
Factory
setting
Modif.
Setting
range
drive’s
model
b0.08
Resistance of rotor
%R2
0.00%~50.00%
0.01%
Depende
nt
on
drive’s
model
×
0~5000
b0.09
Exciting
inductance %Xm
0.0%~2000.0%
0.1%
Depende
nt
on
drive’s
model
×
0~20000
b0.10
Current without
load I0
0.1~999.9A
0.1A
Depende
nt on
drive’s
model
×
1~9999
b0.11
Auto-tuning
0: Auto-tuning is disabled
1: Stationary auto-tuning (Start
auto-tuning to a standstill motor)
2: Rotating auto-tuning
3:Reserved.
1
0
×
0~3
b0.12
Motor’s overload
protection
coefficient
20.0%~110.0%
0.1%
100.0%
×
200~1100
b0.13
Oscillation
inhibition
coefficient
0~255
1
10
○
0~255
Group b1:V/F parameters
b1.00
V/F curve setting
0:V/F curve is defined by user
1:2-order curve
2:1.7-order curve
3:1.2-order curve
1
0
×
0~3
b1.01
V/F frequency
value F3
B1.03~A0.08
0.01Hz
0.00Hz
×
0~30000
b1.02
V/F voltage value
V3
B1.04~100.0%
0.1%
0.0%
×
0~1000

90
Function
code
Name
Descriptions
Unit
Factory
setting
Modif.
Setting
range
b1.03
V/F frequency
value F2
B1.05 ~B1.01
0.01Hz
0.00Hz
×
0~30000
b1.04
V/F voltage value
V2
B1.06~B1.02
0.1%
0.0%
×
0~1000
b1.05
V/F frequency
value F1
0.00~B1.03
0.01Hz
0.00Hz
×
0~30000
b1.06
V/F voltage value
V1
0~B1.04
0.1%
0.0%
×
0~1000
b1.07
Cut-off point used
for manual torque
boost
0.0%~50.0%( Corresonding to
A0.12)
0.1%
10.0%
○
0~500
b1.08
AVR function
0:Disable
1:Enable all the time
2:Disabled in Dec process
1
2
×
0~2
Group b2:Enhanced parameters
b2.00
Carrier wave
frequency
2.0~15.0KHz
0.1
8.0
○
20~150
b2.01
Auto adjusting of
CWF
0:Disable
1:Enable
1
1
○
0~1
b2.02
Voltage adjustment
selection
Unit’s place of LED:
Over-voltage at stall Selection
0:Disable(When install brake
resistor)
1:Enable
Ten’s place of LED:
Not stop when instantaneous stop
function selection
0:Disable
1:Enable(Low voltage
compensation)
Hundred’s place of LED:
Overmodulation selection
0:Disable
1:Enable
1
001
×
0~111H
b2.03
Overvoltage point
at stall
120.0%~150.0%Udce
0.1%
140.0%
×
1200~150
0

91
Function
code
Name
Descriptions
Unit
Factory
setting
Modif.
Setting
range
b2.04
Droop control
0:Disable,0.01~10.00Hz
0.01
0.00Hz
○
0~1000
b2.05
Auto current
limiting threshold
20.0%~200.0%Ie
0.1%
150.0%
×
200~2000
b2.06
Frequency
decrease
rate when current
limiting
0.00~99.99Hz/s
0.01Hz/
S
10.00
Hz/s
○
0~9999
b2.07
Auto current
limiting
selection
0:Invalid at constant speed
1:Valid at constant speed
Note:It is valid all the time at
Acc/Dec
1
1
×
0~1
b2.08
Gain of Slip
compensation
0.0~300.0%
0.1%
100.0%
○
0~3000
b2.09
Slip compensation
limit
0.0~250.0%
0.1%
200.0%
○
0~2500
b2.10
Slip compensation
time constant
0.1~25.0s
0.1s
2.0s
○
0~250
b2.11
auto energy-saving
function
0:Disable
1:Enable
1
0
×
0~1
b2.12
Frequency
decrease
rate at voltage
compensation
0.00~99.99Hz/s
0.01Hz/
S
10.00
Hz/s
○
0~9999
b2.13
Zero-frequency
operation
threshold
0.00~300.00Hz
0.01Hz
0.50Hz
○
0~30000
b2.14
Zero-frequency
Hysteresis
(Reserved)
0.00~300.00Hz
0.01Hz
0.00Hz
○
0~30000
b2.15
Fan control
(Reserved)
0:Auto operation mode
1:Fan operate continuously when
power is on
Note: 1.Continue to operate for 3
minutes .
2.This parameter is only valid for
1
0
×
0~1

92
Function
code
Name
Descriptions
Unit
Factory
setting
Modif.
Setting
range
drive of power above 7.5KW.
Group b3:Communication parameter
b3.00
Communication
configuration
Unit’s place of LED:
Baud rate selection
0:4800BPS
1:9600BPS
2:19200BPS
3:38400BPS
4:115200BPS
5:125000BPS
Ten’s place of LED:
Data format
0:1-8-2-N format,RTU
1:1-8-1-E format,RTU
2:1-8-1-O format, RTU
3:1-8-2-N format,ASCII
4:1-8-1-E format,ASCII
5:1-8-1-O format,ASCII
Hundred’s place of LED:
wiring mode
0:Direct connection via cable
(RS232/485)
1: MODEM (RS232)
1
001
×
0~155H
b3.01
Local address
0~127 ,0 is the broadcasting
address
1
5
×
0~127
b3.02
Time threshold for
judging
the communication
status
0.0~1000.0S
0.1
0.0S
×
0~10000
b3.03
Delay for
responding to
control PC
0~1000mS
1
5mS
×
0~1000
Group b4:Keyboard parameters
b4.00
Key-lock function
selection
0: The keys on the operation panel
are not locked, and all the keys are
usable.
1
0
○
0~4

93
Function
code
Name
Descriptions
Unit
Factory
setting
Modif.
Setting
range
1: The keys on the operation panel
are locked, and all the keys are
unusable.
2: All the keys except for the
multi-functional key are unusable.
3: All the keys except for the SHIFT
key are unusable.
4:All the keys except for the RUN
AND STOP keys are unusable.
b4.01
Multi-function key
definition
0: Jog function
1: Coast-to-stop
2: Quick stop
3: Switch of operating command
4:Switch of forward and
reverse(Save after power failure)
5:Switch of forward and
reverse(Not save after power
failure)
1
4
○
0~5
b4.02
Parameter
protection
0: All parameters are allowed
modifying;
1: Only A0.03 and b4.02 can be
modified;
2: Only b4.02 can be modified.
1
1
○
0~2
b4.03
Parameter
initialization
0: No operation
1: Clear falt information in memory
2: Restore to factory settings
1
0
×
0~2
b4.04
Parameter copy
0: No action
1: parameters upload
2: parameters download
3: parameters download (except the
parameters related
to drive type)
Note:Not to upload/download
drive’s parameters.
1
0
×
0~3
b4.05
Display
parameters
selection
Binary setting:
BIT1:Operating
0:No display;1:Display
1
1007H
○
0~7FFFH

94
Function
code
Name
Descriptions
Unit
Factory
setting
Modif.
Setting
range
Unit’s place of LED:
BIT0:Output frequency(No
display at stop.Display power
frequency at energy feedback
mode)
BIT1:Setting frequency
(Flicking.No display at energy
feedback mode)
BIT2:Output current(No display
at stop.Display power frequency
at energy feedback mode)
BIT3:Output voltage(No display at
stop.Display power frequency at
energy feedback mode)
Ten’s place of LED:
BIT0:AI1
BIT1:AI2
BIT2:Reserved
BIT3:Reserved
Hundred’s place of LED:
BIT0:Output power(No display
at stop and energy feedback
mode)
BIT1:Output torque(No display
at stop and energy feedback
mode)
BIT2:Analog close-loop feedback
(%)(No display at feedback mode)
BIT3:Analog close-loop setting
(%)(Flicking, no display at
feedback mode)
Thousand’s place of LED:
BIT0:Bus voltage
BIT1:Speed(R/MIN)(No display at
feedback mode)
BIT2:Setting speed(R/MIN)

95
Function
code
Name
Descriptions
Unit
Factory
setting
Modif.
Setting
range
(Flicking, no display at feedback
mode)
BIT3:Linear speed
Note:If all the BITs are 0,the drive
will display setting frequency at
stop,display output frequency at
operating and display bus voltage at
energy feedback mode.
b4.06
Linear speed
coefficient
Display linear speed=Operating
frequency*b4.06
0.01
0.00
○
0.00~99.9
9
b4.07
Rotary speed
coefficient
Display rotary speed=Setting
speed*b4.07
0.01
0.00
○
0.00~99.9
9
Group C0:Multi-section parameters
C0.00
Preset frequency 1
A0.12(Lower limit of frequency)
~A0.11(upper limit of frequency)
0.01Hz
5.00Hz
○
0~30000
C0.01
Preset frequency 2
Same as above
0.01Hz
10.00Hz
○
0~30000
C0.02
Preset frequency 3
Same as above
0.01Hz
20.00Hz
○
0~30000
C0.03
Preset frequency 4
Same as above
0.01Hz
30.00Hz
○
0~30000
C0.04
Preset frequency 5
Same as above
0.01Hz
40.00Hz
○
0~30000
C0.05
Preset frequency 6
Same as above
0.01Hz
45.00Hz
○
0~30000
C0.06
Preset frequency 7
Same as above
0.01Hz
50.00Hz
○
0~30000
C0.07
Preset frequency 8
Same as above
0.01Hz
5.00Hz
○
0~30000
C0.08
Preset frequency 9
Same as above
0.01Hz
10.00Hz
○
0~30000
C0.09
Preset frequency
10
Same as above
0.01Hz
20.00Hz
○
0~30000
C0.10
Preset frequency
11
Same as above
0.01Hz
30.00Hz
○
0~30000
C0.11
Preset frequency
12
Same as above
0.01Hz
40.00Hz
○
0~30000
C0.12
Preset frequency
13
Same as above
0.01Hz
45.00Hz
○
0~30000
C0.13
Preset frequency
14
Same as above
0.01Hz
50.00Hz
○
0~30000
C0.14
Preset frequency
15
Same as above
0.01Hz
50.00Hz
○
0~30000
Group C1:Process PID parameters

96
Function
code
Name
Descriptions
Unit
Factory
setting
Modif.
Setting
range
C1.00
Close-loop control
function
0:Disable
1:Enable
1
0
×
0~1
C1.01
Reference channel
selection
0:Digital input
1:AI1;
2:AI2;
3:Reserved;
1
1
○
0~3
C1.02
Feedback channel
selection
0:AI1;
1:AI2;
2:AI1+AI2;
3:AI1-AI2;
4:MIN(AI1,AI2);
5:MAX(AI1,AI2);
6: DI
1
1
○
0~6
C1.03
Digital setting of
reference
-10.00V~10.00V
0.01
0.00
○
0~2000
C1.04
Close-loop speed
reference
0~39000rpm
1rpm
0
○
0~39000
C1.05
Min reference
0.0%~(C1.07)
(Ratio of Min reference to base
value of 10V/20mA))
0.1%
0.0%
○
0~1000
C1.06
Feedback value
corresponding to
the Min reference
0.0~100.0%
(Ratio of Min reference to base
value of 10V/20mA)
0.1%
0.0%
○
0~1000
C1.07
Max reference
(C1.05)~100.0%
(Ratio of Max reference to base
value of 10V/20mA)
0.1%
100.0%
○
0~1000
C1.08
Feedback value
corresponding to
the Max reference
0.0~100%
(Ratio of Max reference to base
value of 10V/20mA)
0.1%
100.0%
○
0~1000
C1.09
Proportional gain
KP
0.000~10.000
0.001
2.000
○
0~10000
C1.10
Integral gain Ki
0.000~10.000
0.001
0.100
○
0~10000
C1.11
Differential gain
Kd
0.000~10.000
0.001
0.100
○
0~10000
C1.12
Sampling cycle T
0.01~50.00s
0.01s
0.50s
○
1~5000

97
Function
code
Name
Descriptions
Unit
Factory
setting
Modif.
Setting
range
C1.13
Output filter
0.01~10.00s
0.01s
0.05
○
1~1000
C1.14
Error limit
0.0~20.0%
(Corresponding to close-loop
reference)
0.1%
2.0%
○
0~200
C1.15
Close-loop
regulation
characteristic
0:Positive
1:Negative
1
0
×
0~1
C1.16
Integral regulation
selection
0: Stop integral regulation when the
frequency reaches the upper and
lower limits
1: Continue the integral regulation
when the frequency reaches the
upper and lower limits
1
0
×
0~1
C1.17
Preset close-loop
frequency
0.00~300.00Hz
0.01Hz
0.00Hz
○
0~30000
C1.18
Holding time of
preset close-loop
frequency
0.0~3600.0S
0.1S
0.0S
×
0~36000
C1.19
Preset close-loop
reference 1
-10.00V ~10.00V
0.01V
0.00V
○
0~2000
C1.20
Preset close-loop
reference 2
-10.00V ~10.00V
0.01V
0.00V
○
0~2000
C1.21
Preset close-loop
reference 3
-10.00V ~10.00V
0.01V
0.00V
○
0~2000
C1.22
Preset close-loop
reference 4
-10.00V ~10.00V
0.01V
0.00V
○
0~2000
C1.23
Preset close-loop
reference 5
-10.00V ~10.00V
0.01V
0.00V
○
0~2000
C1.24
Preset close-loop
reference 6
-10.00V ~10.00V
0.01V
0.00V
○
0~2000
C1.25
Preset close-loop
reference 7
-10.00V ~10.00V
0.01V
0.00V
○
0~2000
C1.26
Preset close-loop
reference 8
-10.00V ~10.00V
0.01V
0.00V
○
0~2000
C1.27
Preset close-loop
reference 9
-10.00V ~10.00V
0.01V
0.00V
○
0~2000

98
Function
code
Name
Descriptions
Unit
Factory
setting
Modif.
Setting
range
C1.28
Preset close-loop
reference 10
-10.00V ~10.00V
0.01V
0.00V
○
0~2000
C1.29
Preset close-loop
reference 11
-10.00V ~10.00V
0.01V
0.00V
○
0~2000
C1.30
Preset close-loop
reference 12
-10.00V ~10.00V
0.01V
0.00V
○
0~2000
C1.31
Preset close-loop
reference 13
-10.00V ~10.00V
0.01V
0.00V
○
0~2000
C1.32
Preset close-loop
reference 14
-10.00V ~10.00V
0.01V
0.00V
○
0~2000
C1.33
Preset close-loop
reference 15
-10.00V ~10.00V
0.01V
0.00V
○
0~2000
C1.34
Close-loop output
reversal selection
0:The close-loop output is
negative,
the drive will operate at zero
frequency.
1:The close-loop output is
negative,
and the drive operate reverse.
1
0
○
0~1
C1.35
Sleep function
selection
0:Disable
1:Enable.
1
0
○
0~1
C1.36
Sleep level
0.0~100.0%
0.1%
50.0%
○
0~1000
C1.37
Sleep latency
0.0~6000.0s
0.1s
30.0s
○
0~60000
C1.38
Wake-up level
0.0~100.0%
0.1%
50.0%
○
0~1000
C2:Simple PLC
C2.00
Simple PLC
operation
mode selector
Unit’s place of LED:
PLC operation mode
0:No function
1:Stop after single cycle
2:Keep final states after single
cycle
3:Continuous cycle
Ten’s place of LED:
Start mode
1
0000
×
0~1123H

99
Function
code
Name
Descriptions
Unit
Factory
setting
Modif.
Setting
range
0:Start from first step
1:Start from the step before
stop(or alarm).
2:Start from the step and
frequency before stop(or alarm)
Hundred’s place of LED:
Storage after power off
0:Disable
1:Save the segment,frequency
when power off
Thousand’s place of LED:
Time unit selector for each step
0:Second
1:Minute
C2.01
Step 1 setting
Unit’s of LED:
0:Multiple frequency
N(N:corresponding to current step)
1:Defined by A0.02
2:Multiple closed-loop
reference N(N:corresponding to
current step)
3:Defined by C1.01
Ten’s place of LED:
0:Forward
1:Reverse
2:Defined by operation
command
Hundred’s place of LED:
0:Acc/Dec time 1
1:Acc/Dec time 2
2:Acc/Dec time 3
3:Acc/Dec time 4
1
000
○
0~323H
C2.02
Step 1 operating
time
0.0~6500.0
0.1
20.0
○
0~65000

100
Function
code
Name
Descriptions
Unit
Factory
setting
Modif.
Setting
range
C2.03
Step 2 setting
Same as C2.01
1
000
○
0~323H
C2.04
Step 2 operating
time
0.0~6500.0
0.1
20.0
○
0~65000
C2.05
Step 3 setting
Same as C2.01
1
000
○
0~323H
C2.06
Step 3 operating
time
0.0~6500.0
0.1
20.0
○
0~65000
C2.07
Step 4setting
Same as C2.01
1
000
○
0~323H
C2.08
Step 4 operating
time
0.0~6500.0
0.1
20.0
○
0~65000
C2.09
Step 5 setting
Same as C2.01
1
000
○
0~323H
C2.10
Step 5 operating
time
0.0~6500.0
0.1
20.0
○
0~65000
C2.11
Step 6 setting
Same as C2.01
1
000
○
0~323H
C2.12
Step 6 operating
time
0.0~6500.0
0.1
20.0
○
0~65000
C2.13
Step 7 setting
Same as C2.01
1
000
○
0~323H
C2.14
Step 7 operating
time
0.0~6500.0
0.1
20.0
○
0~65000
C2.15
Step 8 setting
Same as C2.01
1
000
○
0~323H
C2.16
Step 8 operating
time
0.0~6500.0
0.1
20.0
○
0~65000
C2.17
Step 9 setting
Same as C2.01
1
000
○
0~323H
C2.18
Step 9 operating
time
0.0~6500.0
0.1
20.0
○
0~65000
C2.19
Step 10 setting
Same as C2.01
1
000
○
0~323H
C2.20
Step 10 operating
time
0.0~6500.0
0.1
20.0
○
0~65000
C2.21
Step 11 setting
Same as C2.01
1
000
○
0~323H
C2.22
Step 11 operating
time
0.0~6500.0
0.1
20.0
○
0~65000
C2.23
Step 12 setting
Same as C2.01
1
000
○
0~323H
C2.24
Step 12 operating
time
0.0~6500.0
0.1
20.0
○
0~65000
C2.25
Step 13 setting
Same as C2.01
1
000
○
0~323H
C2.26
Step 13 operating
time
0.0~6500.0
0.1
20.0
○
0~65000
C2.27
Step 14 setting
Same as C2.01
1
000
○
0~323H

101
Function
code
Name
Descriptions
Unit
Factory
setting
Modif.
Setting
range
C2.28
Step 14 operating
time
0.0~6500.0
0.1
20.0
○
0~65000
C2.29
Step 15 setting
Same as C2.01
1
000
○
0~323H
C2.30
Step 15 operating
time
0.0~6500.0
0.1
20.0
○
0~65000
Group C3:Swing parameters
C3.00
Swing function
selector
0:Disable
1:Enable
1
0
×
0~1
C3.01
Swing Operation
mode
Unit’s place of LED :Startup
method
0:Auto mode
1:By terminal
Ten’s place of LED:Swing control
0:Reference centre frequency
1:Reference max. frequency
Hundred’s place of LED:Swing
states storage
0:Save after stop
1:Not save after stop
Thousand’s place of LED:Swing
states
storage after power failure
0:Save
1:Not save
1
0000
×
0~1111H
C3.02
Preset swing
frequency
0.00Hz~Max. frequency
0.01Hz
0.00Hz
○
0~100000
C3.03
Waiting time for
preset swing
frequency
0.0~3600.0s
0.1s
0.0s
○
0~36000
C3.04
Swing amplitude
0.0%~50.0%
0.1%
0.0%
○
0~500
C3.05
Jump frequency
0.0%~50.0%
0.1%
0.0%
○
0~500
C3.06
Swing cycle
0.1~999.9s
0.1s
10.0s
○
1~9999
C3.07
Triangle wave
rising time
0.0%~100.0%(Swing cycle)
0.1%
50.0%
○
0~1000
Group d0:Status display

102
Function
code
Name
Descriptions
Unit
Factory
setting
Modif.
Setting
range
d0.00
Main reference
frequency
-300.00~300.00Hz
0.01Hz
0.00
*
0~60000
d0.01
Auxiliary
reference
frequency
-300.00~300.00Hz
0.01Hz
0.00
*
0~60000
d0.02
Preset frequency
-300.00~300.00Hz
0.01Hz
0.00
*
0~60000
d0.03
Frequency after
Acc/Dec
-300.00~300.00Hz
0.01Hz
0.00
*
0~60000
d0.04
Output frequency
-300.00~300.00Hz
0.01Hz
0.00
*
0~60000
d0.05
Output voltage
0~480V
1V
0
*
0~480
d0.06
Output current
0.0~3Ie
0.1A
0.0
*
0~65535
d0.07
Torque current
-300.0~+300.0%
0.1%
0.0%
*
0~6000
d0.08
Magnetic flux
current
0~+100.0%
0.1%
0.0%
*
0~1000
d0.09
Motor power
0.0~200.0%(Corresponding to the
motor’s rated power)
0.1%
0.0%
*
0~2000
d0.10
Motor estimated
frequency
-300.00~300.00Hz
0.01
0.00
*
0~60000
d0.11
Motor actual
frequency
-300.00~300.00Hz
0.01
0.00
*
0~60000
d0.12
Bus voltage
0~800V
1V
0
*
0~800
d0.13
Drive operation
status
0~FFFH
bit0:Run/Stop
bit1:Reverse/Forward
bit2:Operating at zero
frequency
bit3:Accelerating
bit4:Decelerating
bit5:Operating at constant speed
bit6:Pre-commutation
bit7:Tuning
bit8:Over-current limiting
bit9:DC over-voltage limiting
bit10:Torque limiting
bit11:Speed limiting
1
0
*
0~FFFFH

103
Function
code
Name
Descriptions
Unit
Factory
setting
Modif.
Setting
range
bit12:Drive fault
bit13:Speed control
bit14:Torque control
bit15:Position control(Reserved)
d0.14
Input terminals
status
0~FFH,0:OFF;1:ON
1
00
*
0~FFH
d0.15
Output terminals
status
0~1FH,0:OFF;1:ON
1
0
*
0~1FH
d0.16
AI1 input
-10.00~10.00V
0.01V
0.00
*
0~2000
d0.17
AI2 input
-10.00~10.00V
0.01V
0.00
*
0~2000
d0.18
Reserved
d0.19
Percentage of AI1
after regulation
-100.00%~110.00%
0.01%
0.00
*
0~20000
d0.20
Percentage of AI2
after regulation
-100.00%~110.00%
0.01%
0.00
*
0~20000
d0.21
Reserved
-100.00%~110.00%
0.01%
0.00
*
0~20000
d0.22
AO1 output
0.0~100.0% (Ratio of the full
range)
0.1%
0.0%
*
0~1000
d0.23
Reserved
d0.24
Process close-loop
reference
-100.0~100.0% (Ratio of the full
range)
0.1%
0.0%
*
0~2000
d0.25
Process close-loop
feedback
-100.0~100.0% (Ratio of the full
range)
0.1%
0.05%
*
0~2000
d0.26
Process close-loop
error
-100.0~100.0% (Ratio of the full
range)
0.1%
0.0%
*
0~2000
d0.27
Process close-loop
-100.0~100.0% (Ratio of the full
range)
0.1%
0.0%
*
0~2000
d0.28
Temperature of
heatsink 1
0.0~150.0℃
0.1℃
0.0
*
0~1500
d0.29
Temperature of
heatsink 2
0.0~150.0℃
0.1℃
0.0
*
0~1500
d0.30
Total conduction
time
0~65535 hours
1 hours
0
*
0~65535
d0.31
Total operating
time
0~65535 hours
1 hours
0
*
0~65535
d0.32
Total fan’s
0~ 65535 hours
1 hours
0
*
0~65535

104
Function
code
Name
Descriptions
Unit
Factory
setting
Modif.
Setting
range
operating time
d0.33
ASR controller
output
-300.0~300.0% (Corresponding to
drive’s rated torque)
0.1%
0.0%
*
0~6000
d0.34
Reference torque
-300.0~300.0%(Corresponding to
drive’s rated torque)
0.1%
0.0%
*
0~6000
Group d1:Fault record
d1.00
Fault record 1
0:No fault records
1:Over-current during acceleration
(E001)
2:Over-current during deceleration
(E002)
3:Over-current in constant speed
operation (E003)
4:Over voltage during acceleration
(E004)
5:Over voltage during deceleration
(E005)
6:Over voltage in constant-speed
operating process (E006)
7:Drive’s control power supply
over voltage (E007)
8:Input phase loss (E008)
9:Output phase failure (E009)
10:Protections of IGBT act (E010)
11 :IGBT module’s heatsink
overheat (E011)
12:Rectifier’s heatsink overheat
(E012)
13:Drive overload (E013)
14:Motor over-load (E014)
15:External equipment fails (E015)
16:EEPROM R/W fault (E016)
17:RS232/RS485 communication
failure (E017)
1
0
*
0~50

105
Function
code
Name
Descriptions
Unit
Factory
setting
Modif.
Setting
range
18:Contactor not closed (E018)
19:Current detection circuit has
fault,Hall sensor or amplifying
circuit(E019 )
20:Reserved
21:Reserved
22:Reserved
23:Parameter copy error(E023)
24:Auto-tuning fails(E024)
25:Reserved
26:Reserved
27:Brake unit failure(E027)
Note:
① E007 is not detected if the the
model is 18.5G/22G or blow.
② Fault E010 can’t be reset until
delaying 10 seconds.
③ The over-current fault can’tbe
reset until delaying 6 seconds.
④ The keypad will diplay fault
A××× when fault warning
appears.(For example,when
contactor failure,the keypad
will display E018 if it is action
protection,and the keypad will
display A018 if it is warning
and continue to run).
d1.01
Bus voltage of the
latest failure
0~999V
1V
0V
*
0~999
d1.02
Actual current of
the latest failure
0.0~999.9A
0.1A
0.0A
*
0~9999
d1.03
Operation
frequency of the
latest failure
0.00Hz~300.00Hz
0.01Hz
0.00Hz
*
0~30000
d1.04
Operation status of
the latestfailure
0~FFFFH
1
0000
*
0~FFFFH

106
Function
code
Name
Descriptions
Unit
Factory
setting
Modif.
Setting
range
d1.05
Fault record 2
0~55
1
0
*
0~50
d1.06
Fault record 3
0~55
1
0
*
0~50
Group d2:Product Identity Parameters
d2.00
Serial number
0~FFFF
1
100
*
0~65535
d2.01
Software version
number
0.00~99.99
1
1.00
*
0~9999
d2.02
Custom-made
version number
0~9999
1
0
*
0~9999
d2.03
Rated capacity
Output power ,0~999.9KVA
(Dependent on drive’s model)
0.1KVA
Factory
setting
*
0~9999
d2.04
Rated voltage
0~999V (Dependent on drive’s
model)
1V
Factory
setting
*
0~999
d2.05
Rated current
0~999.9A (Dependent on drive’s
model)
0.1A
Factory
setting
*
0~9999
Group U0:Factory parameters
U0.00
Factory password
****
Note:Other parameters in this group
can’t display until entering the right
password.
1
Factory
setting
-
0~FFFF
Note:○:Can be modified during operation;
×:Cannot be modified during operating;
*:Actually detected and cannot be revised;
-:Defaulted by factory and cannot be modified.

107
Communication Protocol
1. Networking Mode
According to the following pic 10-1, there are two networking modes: Single master and multi-slave, Single master
and single slave.
Pic 10-1
2. Interfaces
RS485 or RS232: asynchronous, semi-duplex
Default: 8-N-1, 9600bps, RTU. Refer to Group b3 for parameter settings.
3. Communication Modes
1. The commnication protocol for the drive is Modbus. It support normal reading and writing of the registers, also
supports managing the funtion code.
2. The drive is a slave in the network. It communicates in “point to point” mode.
3. When there is multi-station communication or the communication distance is long, please connect a 100~200 ohm
resistance to the positive and minus terminal of the master’s signal wire in parallel.
4. FV 100 normally provides RS485 interface, if you need RS232, please choose to add a RS232/RS485 conversion
equipment.
4. Protocol Format
CV100 support Modbus RTU and ASCII,its frame format is shown in Fig.10-2.
CV100
CV100
CV100
CV100
CV100
CV100

108
Fig.10-2 Modbus protocol format
Modbus use “Big Endian” of encoder mode, which means sending data with high byte in front and low byte behind.
1. RTU mode
In RTU mode,there must be a idle of at least 3.5 characters between two frames.It use CRC-16 for data check.
Following is an example for read the parameter of internal register 0101(A1.01) from No.5 slave.
Request frame:
Slave
address
Function
code
Data
Checksum
Register address
Length
0x05
0x03
0x01
0x01
0x00
0x01
0xD5
0xB2
Response frame:
Slave
address
Function
code
Data
Checksum
Response
length
Register
content
0x05
0x03
0x02
0x13
0x88
0x44
0xD2
Therein, checksum is CRC value.
2.ASCII mode
In ASCII mode, characters are used to start and end a frame. The colon “0x3A” is used to flag the start of a message
and each message is ended with a “0x0D,0x0A” combination. Except frame header and end of frame,all other
messages are coded in hexadecimal values, represented with readable ASCII characters. Only the characters 0...9 and
A...F are used for coding. Herein the data use LRC as error checksum.
Following is an example for writing value 0003(0x0003) into the parameter of internal register 0201(A2.01) from No.5
slave.
Request frame:
Frame
header
Slave
address
Function
code
Data
Check
code
Frame trail
Register address
Setting value
Character
:
0
5
0
6
0
2
0
1
0
0
0
3
E
F
CR
LF
ASCII
3A
30
35
30
36
30
32
30
31
30
30
30
33
45
46
0D
0A
Therein,the check code is LRC checksum,which value is equal to the complement of (05+06+02+01+0x00+0x03).
Response frame:
Frame
header
Slave
address
Function
code
Data
Check
code
Frame trail
Register address
Setting value
Start(The space of
the frame is 3.5
characters at least)
Slave
address
Function
code
Data
Check sum
End(The space of
frame is 3.5
characters at least)
Modbus
Mode
RTU
Format
Start
(
0x3A
)
Slave
address
Function
code
Data
Check sum
End
(0x0D,ETX bytes)
Modbus
Frame
ASCII
Mode

109
Character
:
0
5
0
6
0
2
0
1
0
0
0
3
E
F
CR
LF
ASCII
3A
30
35
30
36
30
32
30
31
30
30
30
33
45
46
0D
0A
VFD can set different delay time for response according to different application.For RTU mode,the actual delay time
for response is 3.5 characters interval at least.For ASCII mode,the actual delay time for response is 1 ms at least.
5. Protocol Function
The main functions of Modbus are read and write parameters.Different function codes need different operation
request.The modbus protocol of VFD support the operations in the following table.
Function code
Meaning
0x03
Read parameters of VFD,including function code parameters,control parameters and status
parameters.
0x06
Rewrite single function code or control parameter with 16bit length,the value of the
parameter can’t be saved after VFD power off.
0x08
Diagnosis.
0x10
Rewrite multiple function code or control parameters,the vaule of the parameters can’t be
saved after VFD power off.
0x41
Rewrite single function code or control parameter with 16bit length,the value
can be saved after VFD power off.
0x42
Manage function code of VFD.
0x43
Rewrite multiple function code or control parameters,the vaule of the parameters can be
saved after VFD power off.
All the function code, control parameters and status parametes of VFD are mapping to the read/write register of
Modbus.The group number of function code is mapping to the high byte of register address and the index address in
the group is mapping to the low byte of register address.The corresponding relationship between group number and
register address is shown in following table.
Group No.
High bye of mapping
address
Group No.
High bye of mapping
address
Group A0
0x00
Group B2
0x0C
Group A1
0x01
Group B3
0x0D
Group A2
0x02
Group B4
0x0E
Group A3
0x03
Group C0
0x14
Group A4
0x04
Group C1
0x15
Group A5
0x05
Group D0
0x1E
Group A6
0x06
Group D1
0x1F
Group A7
0x07
Group D2
0x20
Group A8
0x08
Group U0
0x5A
Group B0
0x0A
Control parameter
0x32
Group B1
0x0B
Status parameter
0x33
For example, the register address of function code A3.02 is 0x0302, and the register address of the first control
parameter (Control command 1) is 0x3200.

110
6.Control parameters and status parameters of VFD
The control parameters of VFD can achieve the function such as startup, stop,setting operating frequency and so
on.Retrieving the status parameters of VFD can obtain the parameters such as operating frequency,output
current,output torque and so on.
1.Control parameter
The control parameters of VFD are shown in following table.
Register
Parameter Name
Saved after powered off
Note
0X3200
Control word 1
No
0x3201
Main setting
No
The main setting
frequency: In the common
operation mode, the
channel of main setting is
serial communication, it
tack effects if the bit8 of
control word 1 is set on.
Wether it saves or not
depends on the setting in
A2.03
0x3202
Operation frequency setting
No
Same as above
0x3203
Digital closed loop setting
yes
Takes effects after the
closed loop is enabled
0x3204
Pulse closed loop setting
/
Do not support
0x3205
Analog outprut AO1 setting
No
Enable when A6.28=15
0x3206
Reserved
0x3207
Digital output DO setting
No
Enable when A6.25=65
0x3208
Frequency Proportion
setting
Do not support
0x3209
Virtual terminal control
setting
No
Bit0~bit4: X1~X5.
Corresponding to on state
of the bits in A6.24
Bit10~bit13: Y1
/RO1/RO2, They are
enabled when
A6.14~A6.17=17
0x320A
Set the acceleration time
Yes
0x320B
Set the deceleration time
Yes
Ox3212
Control command word 2
No
Note:
(1)When read control parameters,it will return the value which is rewrote in the previous communication.
(2)In control parameters,the preset value,range of input/output setting value and decimal point scaling should
refer to the corresponding function code.

111
The bits for the control command word 1 are defined as follows:
Bit
Value
Function
Note
bit2~bit0
111B
Running command
Start VFD(enable when jog is disable)
110B
Stop mode 0
Stop according to the preset deceleration
time(enable when jog is disable)
101B
Stop mode 1
Coast to stop
100B
Stop by external fault
Coast to stop and VFD display external
fault
011B
Stop mode 2
Not support
Others
Reserved
bit3
1
Reverse
Set the operating direction when run
command is enable
0
Forward
bit4
1
Jog forward
No action when bits for jog forward and
reverse are enable at the same time,and jog
stop when both are disable at the same time.
0
Jog forward disable
bit5
1
Jog reverse
0
Jog reverse disable
bit6
1
Enable Acc/Dec
The bit5~bit0 of control word 1 are enable
when this bit is enable.
0
Disable Acc/Dec
bit7
1
Host computer control word 1
enable
Selection bit of host computer control word
1
0
Host computer control word 1
disable
bit8
1
Main reference enable
Selection bit of main reference
0
Main reference disable
bit9
1
Fault reset enable
Selection bit of fault reset
0
Fault reset disable
bit15~bit10
000000B
Reserved
Note:
(1)The host computer control word(control word1 and control word 2) is enable when set “Methods of inputting
operating commands” to “communication control”.The control word 1 is enabled when the bit7 of control word 1 is
enable.And bit5~bit0 are enable when the bit6 of control word 1 is enable.
(2)Processing of fault and alarm in host computer:when VFD is failure,all the command of control word 1 and
control word 2,except fault reset command,are disable,it need to reset fault firstly before sending other
commands.When the alarm happens,the control words is still enable.
The bits definitions of control word 2 are shown as follows:
Bit
Value
Function
Note

112
bit0
1
VFD operation disable
Selection bit for VFD operation
enable/disable
0
VFD operation enable
bit1
1
Running(The direction refer to
function code)
Running direction
0
Other operation status(Refer to
control word 1)
bit2
1
Auxiliary reference enable
The selection bit for auxiliary
reference frequency.
0
Auxiliary reference disable
bit3
1
The control word 2 enable
The selection bit for control word
2.
0
The control word 2 disable
bit15~bit4
Reserved
Note: control word 2 is enabling when the bit3 of control word 2 is enable.
2.Status parameters
Register address
Parameters name
Note
0x3300
VFD operation status word 1
0x3301
Current main reference value
Current operating
frequency
0x3302
Slave model
0x3303
VFD model
0x3304
Software version
0x3305
Current operating frequency
0x3306
Output current
0x3307
Output voltage
0x3308
Output power
0x3309
Operating rotary speed
0x330A
Operating line speed
0x330B
Analog close-loop feedback
0x330C
Bus voltage
0x330D
External counter
Not support
0x330E
Output torque
0x330F
Digital input/output terminal status
bit0~bit4:
X1~X5;
bit10~bit12:
Y1 /RO1。
0x3310
Actual length
Not support
0x3311
Operating frequency after compensation
Not support
0x3312
The first operating fault
0x3313
The second operating fault
0x3314
The latest operating fault
0x3315
Operating frequency setting
0x3316
Rotary speed setting
0x3317
Analog close-loop setting
0x3318
Line speed setting

113
Register address
Parameters name
Note
0x3319
AI1
0x331A
AI2
0x331B
Length setting
Not support
0x331C
Acceleration time 1 setting
0x331D
Deceleration time 1 setting
0x331E
Methods of inputting
operating commands
0:Panel control
1:Terminal control
2:Communication control
0x331F
VFD operating status word 2
0x3320
Main reference frequency selector
0:Digital setting 1(Keypad ∧∨ setting)
1:Digital setting 2(Terminal UP/DN setting)
2:Digital setting 3 (Serial port)
3:AI analog setting
4:DI pulse setting
5:Expansion card.
0x3321
Accumulated length
Not support
Note:
(1)Status parameters don’t support write operation.
(2)The encoding rules of slave model is as follows:the range of slave model is 0~999.
The bit definitions of VFD operating status word 1 are shown in following table:
Bit
Value
Function
Note
bit0
1
VFD running
0
VFD stop
bit1
1
VFD reverse rotation
0
VFD forward rotation
bit2
1
Reach main reference
0
Not reach main reference
bit3
1
Serial port control enable
0
Serial port control disable
bit4
1
Serial port setting enable
0
Serial port setting disable
bit5~bit6
Reserved
bit7
1
Alarm
When this bit is 0,the bit15~8 of control word
1show the status.If bit15~8 are 0,means
normal.If not,means failure.
0
Fault or normal
bit15~ bit8
0x00~0xFF
Fault/alarm code
0: normal.
Not 0: fault/alarm.
The bit definitions of VFD operating status word 2 are shown in following table:
Bit
Value
Function
Note
bit0
1
Jog running
0
Non-jog running
bit1
1
Close loop running
0
Non-close loop running

114
bit2
1
PLC running
0
Non-PLC running
bit3
1
Multi-section frequency
operation
0
Non multi-section
frequency operation.
bit4
1
Common operation
0
Non-common operation
bit5
1
Swing frequency
0
Non-swing frequency
bit6
1
Under voltage
0
Normal voltage
bit7
Reserved
bit8
Servo operation
bit9
Customized operation
bit10
Synchronous speed
operation
Others
Reserved
The bit definitions of VFD operating status word 3 are shown as following table:
Bit
Value
Function
Note
bit0~bit1
Reserved
bit2
Zero speed operation
bit3
Accelerating
bit4
Decelerating
bit5
Constant speed running
bit6
Pre-excitation
bit7
Tuning
bit8
Over-current limiting
bit9
DC over-voltage
limiting
bit10
Torque limiting
bit11
Speed limiting
bit12
VFD failure
bit13
Speed control
bit14
Torque control
bit15
Position control
1. Some instructions
1.For function code 0x10 and 0x43,when rewrite multiple continous function codes,if any one of the function
codes is invalid for write operation,then it will return error information and all of the parameters can’t be
rewritten.When rewrite multiple continuous control parameters,if any one of the parameters is invalid for write
operation, then it will return error information and this parameter and others behind can’t be rewritten,but other
parameters before this parameter can be rewritten normally.
2.For some special function code,Using 0x06 and 0x41 or 0x10 and 0x43 are the same function,in write
operation,the parameters can be saved after power failure.
Function code
Description

115
B4.02
Parameters protection setting
A6.00~A6.04
Selection of input terminal X1~X5
A2.03
Main reference frequency control
A2.03
Auxiliary reference frequency control
C2.00
PLC operation mode
C3.00
Swing frequency operation mode
B0.00
Motor rated power
U0.01
Machine model setting(Factory parameter)
U0.09
VFD series selection(Factory parameter)
3.Some control parameters can’t save in EEPROM,so for these parameters,using function code 0x41 and 0x06 or
0x43and 0x10 are the same,mean parameters can be saved after power failure.
4.Some internal parameters of VFD are reserved and can’t be changed via communication, refer to following
table:
Function code
Description
B4.04
Parameters copy
B0.11
Motor parameters auto-tuning
5.The operation of user password and factory password in host computer
(1)User password
1)Protection of user password:Read/write function code, function code management (except “read address of
displaydata” and”switch display data”)
2)If you set user password(A0.00!=0),then you must enter the right password to A0.00 when you want to visit
function code,but control parameters and status parameters are not protected by user password.
3)User password can’t be set,change or cancel by host computer,it can only operated by keypad. To A0.00 of
write operation, only effective in two situations: one is in the password decryption; Second,write 0 is in the situation of
no password.It will return invalid operation information in other situations.
4)The operation of host computer and keypad to user password is independent. Even if the keyboard completes
decryption, but host computer still need to decrypt when it want to access function codes, and vice versa.
5)After host computer acquire the access right of parameters,when reading user password,it will return “0000”
instead of actual user password.
6)The host computer will acquire the access right of function code after decryption,if there is no communication
for 5minutes,then the access right will disable.And if it want to access function code,it need to enter user password
again.
7)When host computer has acquired access right(no user password or has decryption),if the user password is
rewritten by keypad at this moment,the host computer has still the current access right and no need to decryption
again.
(2)Factory password
1)Protection range of factory password:Read/write parameters of Group U0, function code management of Group
U0.

116
2)Host computer can only access function code of Group U0 after decryption(write correct factory password into
U0.00).If there is no communication for 5 minutes after acquiring access right,the right will disable automatically,and
it need to enter password again to access Group U0.
3)After acquiring the access right of Group U0,if host computer read U0.00,it will return 0000 instead of actual
factory password.
4)The operation of host computer and keypad to user password is independent. They need to enter the correct
password separately to acquire the access right.
5)Host computer has no right to modify factory password.When host computer write data into U0.00, it will
return invalid operation unless the data is correct password.
2. Application example
CV100 only support 16bit access.
Start No.5 VFD to perform forward rotation.
Data frame
Address
Function code
Register address
Register content
Checksum
Request
0x05
0x06
0x3200
0x00C7
0xC764
Response
0x05
0x06
0x3200
0x00C7
0xC764
No.5 VFD stops in mode 0.
Data frame
Address
Function code
Register address
Register content
Checksum
Request
0x05
0x06
0x3200
0x00C6
0x06A4
Response
0x05
0x06
0x3200
0x00C6
0x06A4
No.5 VFD jogs forward.
Data frame
Address
Function code
Register address
Register content
Checksum
Request
0x05
0x06
0x3200
0x00D0
0x876A
Response
0x05
0x06
0x3200
0x00D0
0x876A
No.5 VFD stop jogging.
Data frame
Address
Function code
Register address
Register content
Checksum
Request
0x05
0x06
0x3200
0x00C0
0x86A6
Response
0x05
0x06
0x3200
0x00C0
0x86A6
No.5 VFD reset fault:
Data frame
Address
Function code
Register address
Register content
Checksum
Request
0x05
0x06
0x3200
0x0280
0x8636
Response
0x05
0x06
0x3200
0x0280
0x8636
Read the operating frequency of No.5 VFD and the response operating frequency of the VFD is 50.00Hz:
Data frame
Address
Function code
Register
address
Number of
registers or
bytes
Register
content
Checksum
Request
0x05
0x03
0x3301
0x0001
None
0xDB0A
Response
0x05
0x03
None
0x02
0x1388
0x44D2

117
Rewrite the acceleration time 1(Function code A0.06) of No.5 VFD to 10.0s and can’t save after power failure.
Data frame
Address
Function code
Register address
Register content
Checksum
Request
0x05
0x06
0x0006
0x0064
0x69A4
Response
0x05
0x06
0x0006
0x0064
0x69A4
Read the output current of No.5 VFD and the response output current of the VFD is 30.0A.
Data frame
Address
Function code
Register
address
Number of
registers or
bytes
Register
content
Checksum
Request
0x05
0x03
0x3306
0x0001
None
0x6ACB
Response
0x05
0x03
None
0x02
0x012C
0x49C9
Read the deceleration time 1(Function code A0.07) of No.5 VFD and the response deceleration time of the VFD
is 6.0s.
Data frame
Address
Function code
Register
address
Number of
registers or
bytes
Register
content
Checksum
Request
0x05
0x03
0x0007
0x0001
None
0x344F
Response
0x05
0x03
None
0x02
0x003C
0x344F
Scaling relationship of VFD:
A)Scaling of frequency C is 1:100.
If you want to make the VFD run at 50Hz,then the main reference should be set as 0x1388(5000).
B)Scaling of time is 1:10
If you want to set the acceleration time of the VFD as 30s,then the function code should be set as 0x012C(300).
C)Scaling of current is 1:10
If the response current of VFD is 0x012C(300),then current of the VFD is 30A.
D)Output power is the absolute value.
E)Other (such as the input and output terminals, etc.) please reference inverter user manual