F LC 7500 Lamdachrome Laser Dyes
User Manual: LC-7500
Open the PDF directly: View PDF .
Page Count: 294 [warning: Documents this large are best viewed by clicking the View PDF Link!]

Lambdachrome®
Laser Dyes
Ulrich Brackmann
Lambda Physik AG · D-37079 Goettingen · Germany
Ulrich Brackmann
Lambdachrome®
Laser Dyes
3rd Edition
Dr. Ulrich Brackmann
Lambda Physik AG
Hans-Boeckler-Strasse 12
D-37079 Goettingen· Germany
Tel.: +49 (551) 6938-0
Lambda Physik AG
Hans-Boeckler-Strasse 12
D-37079 Goettingen· Germany
Tel.: +49 (551) 6938-0/0800EXCIMER
Fax: +49 (551) 6869-1
Email: salesgermany@lambdaphysik.com
Lambda Physik USA, Inc.
3201 West Commercial Boulevard
Fort Lauderdale, FL 33309 · USA
Tel.: +1 (800) EXCIMER/+1 (954) 486-1500
Fax: +1 (954) 486-1501
Email: laserdyes@lambdaphysik.com
Marubun Corp.
Marubun Daiya Building
8-1 Nihonbashi Odenmacho
Chuo-ku, Tokyo 103-8577 · Japan
Tel.: +81 (3) 3639-9811
Fax: +81 (3) 3662-1349
© 2000 · Lambda Physik AG · D-37079 Göttingen · Germany
All rights reserved. No part of this book may be reproduced in any form
without permission of the publisher.
World Wide Web: www.lambdaphysik.com
All laser dyes mentioned in this book are immediately available from Lambda
Physik. For more information please call or write. All major credit cards
accepted.
Lambda Physik reserves the right to modify any information given herein.
Every effort is made to ensure utmost accuracy; however, no liability is as-
sumed for errors occurring in the tables.
Lambdachrome® is a registered trademark of Lambda Physik.
Third Edition (January 2000)
Contents
Preface to the 3rd Edition .................................................................................................. ix
Preface to the 2nd Edition ................................................................................................. xi
Preface to the First Edition ............................................................................................ xiii
Dye Lasers and Laser Dyes................................................. 1
Dye Solvents .................................................................... 9
Benzyl Alcohol ..................................................................................................................... 17
Cyclohexane .......................................................................................................................... 18
Dichloroethane ...................................................................................................................... 19
Dichloromethane .................................................................................................................. 20
Dioxane .................................................................................................................................. 21
DMSO ..................................................................................................................................... 23
Ethanol ................................................................................................................................... 24
Ethylene Glycol ..................................................................................................................... 26
Hexane .................................................................................................................................... 27
Methanol ................................................................................................................................ 28
Toluene .................................................................................................................................. 30
Laser Dyes.......................................................................32
BM-Terphenyl (LC 3300) ................................................................................................... 34
p-Terphenyl (LC 3400) ....................................................................................................... 36
TMQ (LC 3500) .................................................................................................................... 38
BMQ (LC 3570) .................................................................................................................... 40
DMQ (LC 3590) .................................................................................................................... 42
Butyl-PBD (LC 3600) .......................................................................................................... 44
PBD (LC 3640) ...................................................................................................................... 46
TMI (LC 3650) ...................................................................................................................... 48
QUI (LC 3690) ...................................................................................................................... 50
PPO (LC 3700) ...................................................................................................................... 52
PPF (LC 3720) ...................................................................................................................... 54
p-Quaterphenyl (LC 3740) ................................................................................................. 56
BBD (LC 3780) ..................................................................................................................... 58
Polyphenyl 1 (LC 3800) ...................................................................................................... 60
Polyphenyl 2 (LC 3810) ..................................................................................................... 62
BiBuQ (LC 3860) ................................................................................................................. 64
Quinolon 390 (LC 3900) ..................................................................................................... 66
TBS (LC 3930) ..................................................................................................................... 68
α-NPO (LC 3950) ................................................................................................................. 70
Furan 2 (LC 3990) ............................................................................................................... 72
PBBO (LC 4000) ................................................................................................................... 74
DPS (LC 4090) ..................................................................................................................... 76
Stilbene 1 (LC 4100) .......................................................................................................... 78
BBO (LC 4150) ..................................................................................................................... 80
Stilbene 3 (LC 4200) .......................................................................................................... 82
Carbostyryl 7 (LC 4220) ..................................................................................................... 84
POPOP (LC 4230) ................................................................................................................. 86
Coumarin 4 (LC 4240) ......................................................................................................... 88
Bis-MSB (LC 4250) ............................................................................................................. 90
Furan 1 (LC 4260) ............................................................................................................... 92
Carbostyryl 3 (LC 4350) ..................................................................................................... 94
Coumarin 120 (LC 4400) .................................................................................................... 96
Coumarin 2 (LC 4500) ......................................................................................................... 98
DASPI (LC 4650) ................................................................................................................ 100
Coumarin 466 (LC 4660) ...................................................................................................102
Coumarin 47 (LC 4700) .....................................................................................................104
Coumarin 102 (LC 4800) .................................................................................................. 106
Coumarin 152A (LC 4810) .................................................................................................108
Coumarin 152 (LC 4850) .................................................................................................. 110
Coumarin 151 (LC 4900) ...................................................................................................112
Coumarin 6H (LC 4910) .....................................................................................................114
Coumarin 307 (LC 5000) .................................................................................................. 116
Coumarin 500 (LC 5010) .................................................................................................. 118
Coumarin 314 (LC 5040) .................................................................................................. 120
Coumarin 510 (LC 5100) ...................................................................................................122
Coumarin 30 (LC 5150) .....................................................................................................124
Coumarin 334 (LC 5210) ...................................................................................................126
Coumarin 522 (LC 5220) ...................................................................................................128
DASBTI (LC 5280) ............................................................................................................. 130
Coumarin 7 (LC 5350) ........................................................................................................132
Brillantsulfaflavin (LC 5360) ...........................................................................................134
Coumarin 6 (LC 5370) ....................................................................................................... 136
Coumarin 153 (LC 5400) .................................................................................................. 138
DOCI (LC 5410) ....................................................................................................................140
Pyrromethene 546 (LC 5450) ............................................................................................142
DMETCI (LC 5460) ............................................................................................................. 144
Uranin (LC 5520) ............................................................................................................... 146
Fluorescein 27 (LC 5530) ................................................................................................. 148
Fluorol 7GA (LC 5550) ...................................................................................................... 150
Pyrromethene 556 (LC 5560) ........................................................................................... 152
Pyrromethene 567 (LC 5670) ............................................................................................154
Rhodamine 110 (LC 5700) .................................................................................................156
Rhodamine 19 (LC 5750) ...................................................................................................158
Pyrromethene 580 (LC 5805) ............................................................................................160
Rhodamine 6G (LC 5900) ...................................................................................................162
DQOCI (LC 5920) .................................................................................................................166
DCI-2 (LC 5950) ...................................................................................................................168
Pyrromethene 597 (LC 5970) ............................................................................................170
Rhodamine B (LC 6100) ....................................................................................................172
Sulforhodamine B (LC 6200) ...........................................................................................174
Malachit Green (LC 6220) .................................................................................................176
DTCI (LC 6250) ....................................................................................................................178
DQTCI (LC 6290) .................................................................................................................180
Rhodamine 101 (LC 6400) .................................................................................................182
DCM (LC 6500) ....................................................................................................................184
Pyrromethene 650 (LC 6505) ............................................................................................186
DODCI (LC 6550) .................................................................................................................188
Sulforhodamine 101 (LC 6600) ........................................................................................190
Cresyl Violet (LC 6700) ......................................................................................................192
Phenoxazone 9 (LC 6750) ..................................................................................................194
Nile Blue (LC 6900) ...........................................................................................................196
Oxazine 4 (LC 6950) ...........................................................................................................198
Rhodamine 700 (LC 7000) .................................................................................................200
Pyridine 1 (LC 7100) ..........................................................................................................202
Carbazine 122 (LC 7200) ...................................................................................................204
Oxazine 170 (LC 7210) .......................................................................................................206
Oxazine 1 (LC 7250) ...........................................................................................................208
DTDCI (LC 7260) .................................................................................................................210
Oxazine 750 (LC 7270) .......................................................................................................212
Pyridine 2 (LC 7300) ..........................................................................................................214
HIDCI (LC 7400) ...................................................................................................................216
Cryptocyanine (LC 7450) ...................................................................................................218
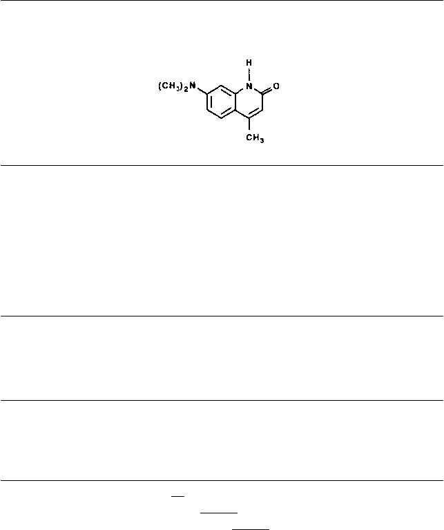
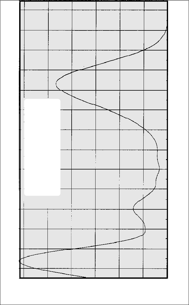
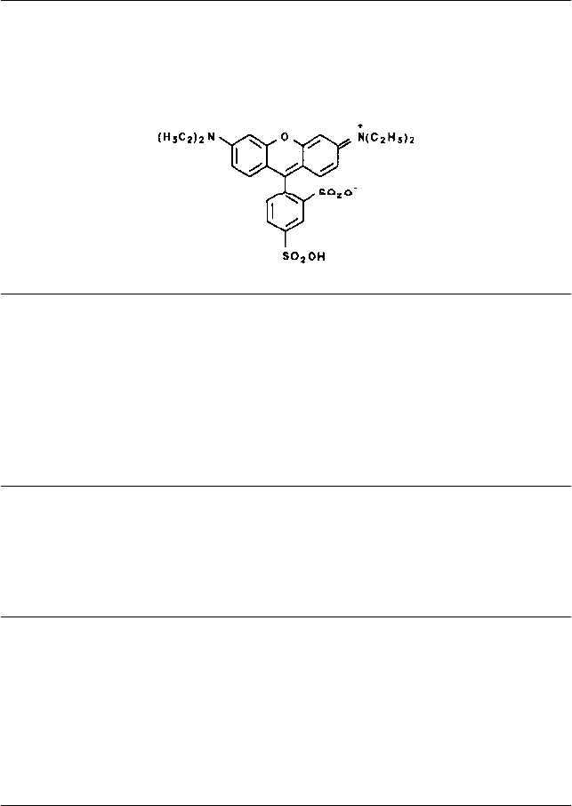
Styryl 6 (LC 7500) ..............................................................................................................220
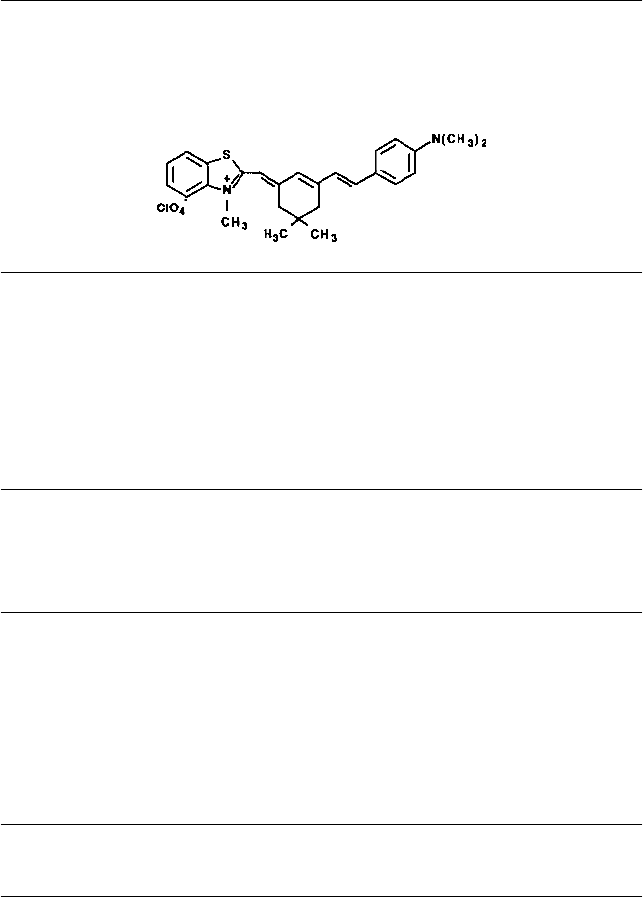
Styryl 8 (LC 7550) ..............................................................................................................222
DDI (LC 7700) ......................................................................................................................224
Pyridine 4 (LC 7710) ..........................................................................................................226
Methyl-DOTCI (LC 7800) ...................................................................................................228
Styryl 11 (LC 7950) ............................................................................................................230
Rhodamine 800 (LC 8000) .................................................................................................232
Styryl 9M (LC 8400) ...........................................................................................................234
HITCI (LC 8500) ...................................................................................................................238
IR 125 (LC 8630)..................................................................................................................240
DTTCI (LC 8760) .................................................................................................................242
IR 144 (LC 8800)..................................................................................................................244
Styryl 15 (LC 8810) ............................................................................................................246
DNTTCI (LC 8850) ..............................................................................................................248
HDITCI (LC 9200) ................................................................................................................250
DDTTCI (LC 9280) ..............................................................................................................252
DDCI-4 (LC 9300) ................................................................................................................254
IR 140 (LC 9310)..................................................................................................................256
Styryl 14 (LC 9450) ............................................................................................................258
IR 132 (LC 9500)..................................................................................................................260
Styryl 20 (LC 9940) ............................................................................................................262
IR 26 (LC 1080) ....................................................................................................................264
IR 5 (LC 1090) ......................................................................................................................266
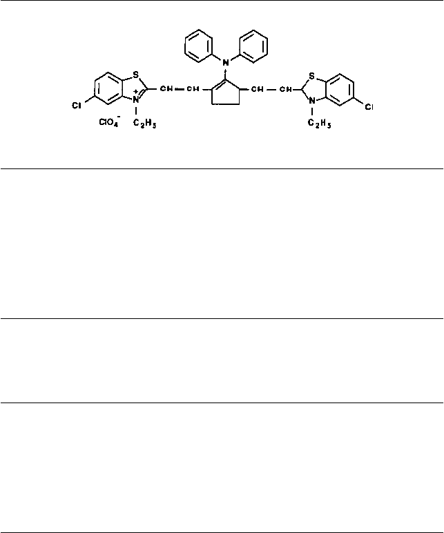
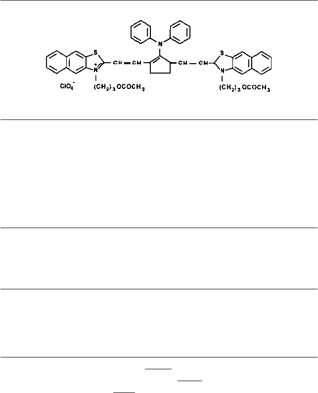
Saturable Absorbers ..........................................................................................................268
Reference List ......................................................................................................................271
Tuning Curves ............................................................... 274
Preface to the 3rd Edition
Dyes and solvents from Lambda Physik periodically change in availability and
composition. In order to ensure that researchers and users of Lambda Physik
products have the most up-to-date information possible, this 3rd Edition of
Lambdachrome® Laser Dyes is provided as an update to previous editions.
Lambda Physik reserves the right to modify any information given herein.
Every effort is made to ensure utmost accuracy; however, no liability is as-
sumed for errors occurring in the tables.
January 2000
Preface to the 2nd Edition
The second edition of Lambdachrome® Laser Dyes has been updated with
additional dyes, dye laser measurements, and evaluation of the latest literature.
In this way it should be possible for any dye laser user to get a quick overview
of the most important information regarding the use of laser dyes.
Meanwhile, the standard dye laser technique has been completed by several
solid state lasers showing very interesting features such as high operating
lifetime of the active medium and high output power in a small IR spectral
range (compared to the accessible fundamental tuning range of an excimer laser
pumped dye). However, the use of laser dyes still guarantees:
•easy tunability over a wide range of frequencies or wavelengths without the
need of changing gratings or mirrors
•hyperfine tuning
•high average power in pulsed and cw operation mode
•high peak power
•ideal light source for the generation of ultrashort pulses
February 1994
Preface to the 1st Edition
The intention of this book is to give information on the most frequently asked
questions about commercially available dyes, their chemical formulas, lasing
wavelengths, solvents, pump sources, performance, and literature references.
The following topics are discussed:
•Solvents frequently used for laser dyes and their general and physical
properties, safety precautions, and waste disposal procedures
•General considerations about the choice of a solvent for laser dyes, solvent
handling, preparation of dye solutions, and the cleaning of the dye circula-
tion system
•Precautions for the use of laser dyes and their solutions
•All Lambdachrome® laser dyes are listed, including more than one hundred
dyes along with their chemical names, chemical structures, trivial names,
and trade names
•Absorption and fluorescence data in addition to appearance
•The absorption spectrum of each dye
•The application of the dyes in a variety of solvents under the most common
pumping conditions as well as the dye laser characteristics (peak, range,
efficiency, concentration, and solvent)
•Tuning curves for excimer, nitrogen, and ion laser pumped dye lasers
•Several hundred literature references
This book is written for general users of dye lasers. Researchers of laser dyes
may refer to the mentioned publications for more detailed information.
July 1985

1
Dye Lasers and Laser Dyes
Dye lasers are "the fulfillment of an experimenter's pipe dream that was as
old as the laser itself: To have a laser that is easily tunable over a wide
range of frequencies or wavelengths" (Schaefer, 1977). Dye lasers can be
pumped by incoherent or laser sources, both pulsed and continuous wave
(CW), and offer the possibilities of broad wavelength control, multijoule
pulsed operation, ultranarrow linewidths, or ultrashort pulses. They are
conveniently divided into three broad technological categories:
•Continuous-wave jet-streamed dye lasers can provide narrow CW band-
widths and can be synchronously pumped or passively modelocked to
generate short pulses.
•Flashlamp-pumped dye lasers have a larger bandwidth and less wave-
length stability than CW laser-pumped dye lasers, but they have the
advantage that large volumes of active dye medium can be pumped,
yielding large output pulse energies and active powers.
•Dye lasers that are pumped by Cu vapor or nitrogen, excimer lasers, and
the frequency-doubled or -tripled output from pulsed Nd:YAG lasers
provide high peak powers. Also, the pulse duration of 4 to 60 nsec
makes narrow bandwidths and a high spectral purity possible.
Typical output characteristics from commercial dye lasers are shown in Table 1.
Continuous-Wave Dye Lasers
CW laser systems consist of three major elements: the optical resonator, the
dye flow system, and the tuning element. The resonator is responsible for
maintaining a rigid optical alignment of all cavity components. The dye
Table 1.
Commercial Dye Laser Output Characteristics
Pump Source Argon/Krypton Ion Laser FlashlampNd:YAG Excimer
CW Mode-Locked/ Laser Laser
Cavity Dumped
Tuning Range [nm] 380-950 580-880 335-850 410-880 320-1,024
Average Power [W] 5 0.1 3 2 10
Repetition Rate [Hz] CW 3.8M 2-30 10-40 1-500
Peak Power [kW] - 10 7,000 20,000
10,000
Energy/pulse [mJ] - 0.01 3,500 10-120 40-120
Pulsewidth [nsec] -0.0001 260-600 5-10 7-250
Linewidth [GHz] 0.0005 to 40 Various 2 0.6 0.15

2
flow system, consisting of dye, circulation pump, and dye jet nozzle, must
provide an optically flat stream of dye across the laser's optical axis. The
tuning element allows the user to continuously tune to the required output
wavelength.
Excitation in a CW dye laser is provided by an input pump beam from
another CW light source, typically an ion laser. This beam is focused onto
the dye stream and causes an extremely high level of fluorescence. The
fluorescence is focused between two highly reflective concave mirrors that
feed back the fluorescent light, initiating the lasing process.
The dye laser emission described above is broadband, typically exhibiting a
40-GHz linewidth. Many applications require narrow-linewidth single-
frequency operation. This is accomplished by inserting one or two etalons
into the dye laser cavity. A dye laser with an etalon, when coupled with
electronic stabilization, can narrow the linewidth to less than 1 MHz.
Pulsed Dye Lasers
Of the various pulsed dye lasers, two types tend to dominate because of
their versatility, broad spectral coverage and high output power. They are
Nd:YAG and excimer pumped dye lasers.
The use of Nd:YAG and excimer pump lasers allows dye laser pulses to be
produced at energy levels up to 100 mJ or more. Their performance is
wavelength-dependent. At the long wavelengths, more energy is provided by
pumping with a frequency-doubled Q-switched Nd:YAG than with an excimer
laser. However, UV-emitting excimer pumps allow dye lasers to operate
directly at UV wavelengths down to 308 nm and at repetition rates of 500
Figure 1.
Tuning Range of Dyes for Excimer-Pumped Dye Lasers

3
Hz. The strongest Nd:YAG lasing line is at 1064 nm, which is unsuitable to
pump dyes. Fortunately, its high peak power and near-diffraction-limited
beam quality lend themselves to rather efficient frequency doubling, tripling
and quadrupling. This provides suitable pump wavelengths of 532, 355, and
266 nm. Considerable engineering effort has gone into reducing the inten-
sity fluctuations that are amplified by the inherent nonlinear frequency-
doubling process. The tuning range can be covered by using one of these
pump wavelengths and an appropriate dye.
The Nd:YAG laser has certain advantages with respect to the efficient
pumping with certain dyes, especially when pumped longitudinally, i.e.,
collinearly to the laser beam. Rhodamine 6G, for example, can be excited
very efficiently in this manner (>50 percent). Since excellent beam quality
is achieved with the longitudinal arrangement, one also gets high conver-
sion rates with all nonlinear frequency changes (by frequency mixing, 367
nm, and by frequency doubling, 280 nm).
The discovery of rare gas halide lasers, i.e., the excimer laser, in 1976,
introduced a new and powerful tool for dye laser pumping. It combines the
advantages of the nitrogen system (high repetition rate, ease of operation,
and low cost) with those of the Nd:YAG system (high peak power and
sufficiently long pulse duration). Furthermore, the excimer laser is scalable
to very high repetition rates (>1 kHz) and high pulse energies (>1 J).
Figure 2.
Extension of Tuning Range of Pulsed Dye Lasers into UV

4
Excimer laser wavelengths range from 193 nm (ArF) to 351 nm (XeF). The
strongest lines are at 248 nm (KrF) and 308 nm (XeCl). Most dyes have an
absorption band at 308 nm. The result is that nearly the entire range of
commercially available dyes can be pumped with a XeCl laser (see Figure
1).
A major advantage of pulsed dye lasers over CW is the ease with which the
output can be frequency-doubled, thus extending the tuning range into the
UV. Using a combination of KDP and BBO (beta barium borate) crystals,
wavelengths from 207 to 350 nm can be produced. Further extension down
to 197 nm can be achieved by frequency mixing (see Figure 2).
Dyes
Dyes, either as solutions or vapors, are the active medium in pulsed and
CW dye lasers as well as ultrafast shutters for Q-switching and passive
modelocking. They emit in a comparatively narrow spectral region (typically
30 nm); thus a variety of dyes is necessary in order to cover the entire
(visible) spectral range (Figure 1).
Figure 3.
Schematic Energy Levels of
Dye Molecule.

5
The optical excitation of dyes corresponds to transitions of molecules in the
singlet state, with the absorption S0 --> S1 being the strongest (see Figure
3), and is specific for each dye molecule. For optimum pumping (S0 --> S1)
of the various dyes, one would therefore need a number of pump-laser
wavelengths.
Fortunately, nearly all dyes have additional absorption bands in the UV
range (see Figure 4). These absorptions correspond to transitions to higher
singlet states (Figure 3) from which fast internal relaxation processes lead
to the upper laser level (S1) with high quantum efficiency. This is the
reason most dyes can be pumped by a single UV laser. However, the
attractive excitation scheme of one pump laser for all dyes brings other
problems:
(a) The inner efficiency of dye lasers is lower as a result of excitation in
higher S-states because a considerable part of the excitation energy is
converted into heat (large Stokes shift). However, the high efficiency of
pulsed lasers more than compensates for this disadvantage.
Figure 4.
Absorption Bands of Rhodamine 6G
Note the small absorption cross section of UV wavelengths.

6
(b) A multiphoton excitation can lead to destruction of the cell and the
solvent molecules. In this process, a previously excited molecule
absorbs additional photons (sequential absorption), or a molecule
absorbs several photons at the same time. In these absorption pro-
cesses, the molecule can absorb so much energy that the binding energy
is surpassed, and the molecule dissociates, or at least changes, its
structure. This process is more probable during excitation with UV light
than with visible light. Thus, one must expect a reduced photostability
of the dye when pumping with UV light.
The photostability of the most common dyes is summarized in Table 2
(Antonov and Hohla, 1983). For example, the value of 50 Wh/l corre-
sponds to 5 x 105 total shots as the point at which the dye laser energy
falls to 50 percent of the initial value, i.e., when the dye solution (one
liter) is excited with 360 mJ per pulse at 10 Hz.
(c) Another problem results from the small absorption cross section at
short wavelengths (Figure 4). To excite as many molecules as possible,
a very high pump power density Ip (Ip being inversely proportional to the
absorption cross section), or high dye concentrations is required. Ip is
limited to values <30 MW/cm2 due to the stability of most solvents. To
Table 2.
Photochemical Stablility of Laser Dyes
Dye Center of Excimer-pumped CW laser-pumped
Emission [nm] [Wh] [Wh]
p-Terphenyl 340 451 -
QUI 380 1457 -
Polyphenyl 1 380 870 -
Stilbene 1 410 10 200
Stilbene 3 430 14 300
Coumarin 2 450 31 100
Coumarin 47 470 45 -
Coumarin 102 480 244 100
Coumarin 30 515 -100
Rhodamine 6G 590 316 1000
Rhodamine B 610 144 200
DCM 650 348 500
Rhodamine 700 700 80 1000
Styryl 9 840 73 500
HITCI 875 12 100
IR 140 960 10 100
7
keep Ip as low as possible, high-power dye lasers have to be pumped
transversely.
Transverse pumping configurations have been used for some time, and in
contrast to the end-on pumped configurations, they lead to a non-Gaussian
energy distribution, for which rising spatial filters can compsensate.
There are two types of transverse-pumped dye laser cells: the longitudinal
and the transverse flowing. The transverse configuration, in which the dye
flows vertically to the dye laser, results in a high repetition rate, whereas
longitudinal flowing, in which dye flows in the direction of the dye laser, is
characterized by a symmetrical energy distribution but small repetition
rates.
8
References
Antonov, V. V. and K. L. Hohla. Appl. Phys. B30 (1983): 109 - 166, B32
(1983): 9 - 14
Berlman, I. B. Handbook of Fluorescence Spectra of Aromatic Molecules. 2d
ed. New York, New York, USA: Academic Press, 1971.
Birks, J. B. Photophysics of Aromatic Molecules. New York, New York,
USA: John Wiley and Sons, 1970.
Brackmann, U. Lambdachrome Laser Dyes. First edition compendium.
Goettingen, Germany: Lambda Physik GmbH, 1986.
Drexhage, K. H. "Structure and Properties of Laser Dyes." Dye Lasers. Vol.
1 Topics in Applied Physics, F. P. Schaefer, ed. (1973/1977) Springer
Verlag, Hamburg, Germany.
Jaffe, H. H. and M. Orchin. Theory and Applications of Ultraviolet Spectros-
copy. New York, New York, USA: John Wiley and Sons, 1962.
Maeda, M. Laser Dyes. Tokyo, Japan: Ohmsha Ltd./Tokyo, Japan, Or-
lando, Florida, USA, & London, UK: Academic Press, 1984.
Schaefer, F. P. Dye Lasers. 2d ed Vol. 1. Topics in Applied Physics, F. P.
Schaefer, ed. (1977) Springer Verlag, New York, New York, USA.
Steppel, R. "Organic Dye Lasers." Lasers and Masers. Vol. 1. Handbook of
Science and Technology. M. J. Wever, ed. Boca Raton, Florida, USA: CRC
Press, 1982.
Suzuki, H. Electronic Absorption Spectra and Geometry of Organic Mol-
ecules. New York, New York, USA: 1967.

9
Dye Solvents
The heart of any dye laser is the laser dye. Either dissolved in an appropriate
solvent or in a vapor state, these very often highly colored substances play the
major role in the overall performance of any dye laser. Both pulsed and
continuous operation is possible. In addition, their unique photophysical
properties make them ideal candidates for the generation of ultrashort light
pulses. With mode-locking, pulses shorter than 100 femtoseconds have been
obtained. Hyperfine tuning of the output has permitted many exciting experi-
ments in spectroscopy.
Solvents for Laser Dyes
Prepared laser dye solutions usually contain very small quantities of dye.
Typical dye concentrations are 102 to 105 molar. For this reason, the solvent in
which the dye is dissolved plays an important role when defining physical
properties and potential hazards.
Lasing wavelength and energy are very sensitive to the choice of solvent. Most
laser dyes are polar molecules, and excitation into their lowest-lying singlet
state is accompanied by an increase in the dipole moment. Accordingly,
solvent polarity plays an important role in shifting the lasing wavelength. In a
majority of circumstances, increasing solvent polarity will shift the gain curve
toward longer wavelength. In the case of more polar dyes, the shift can be as
high as 20-60 nm. Table 3 gives an impression of this effect (Drexhage, 1973).
Some solvents cannot be used with longer wavelength lasing dyes because the
solvents have vibrational overtones that interfere with the lasing process.
Solvents such as water, methanol and ethanol, which would appear to be
optimal for many dyes, are often not useful solvents for near-IR and IR dyes
Table 3.
Maximum of Main Absorption Band in Different Solvents
RHODAMINE 6G COUMARIN 102
Solvent Labs [nm] SolventLabs [nm]
HFIP 514 HFIP 418
TFE 516 TFE 405
EtOH 530 MeOH 390
DPA 537 NMP 383
DMSO 540
10
because of the presence of hydroxyl group overtones in this spectral range.
Accordingly, the solvent DMSO or polychlorinated aromatics, which lack
hydroxyl resonances, are commonly used for dyes that lase in the near-IR and
IR regions of the spectrum. Unfortunately these solvents are toxic. DMSO
especially facilitates the transfer of toxic dyes through the skin and into the
body if accidentally spilled. Therefore, it is strongly recommended that all
laser dyes and solutions containing laser dyes are handled in well ventilated
environments. All individuals handling the solutions should wear rubber
gloves.
A summary is given below of the general and physical properties, application,
and safety of the most frequently used solvents for laser dyes. Most of this
information has been taken from the literature cited at the end of this article.
Choice of Solvent
Although very often a specific solvent is recommended for use with a particular
dye, it is important to recognize that other solvents can also be used, particu-
larly if the user is interested in shifting the gain curve to different wave-
lengths.
The following are criteria for choosing appropriate solvents for laser dyes:
a) The solvent must be transparent at the pump wavelength and the emission
wavelength of the dye laser.
b) The dye should be soluble in the solvent under consideration. In all cases,
the rule "similia similibus solvuntur" applies, meaning that the solubility of
nonpolar dyes, e.g. PTP, in nonpolar solvents, e.g. cyclohexane, is greater
than in polar solvents, e.g. methanol, and vice versa.
c) The solvent must be photochemically stable when exposed to the pump
light. In particular, solvents containing chlorine, such as chloroform, and
secondary alcohols, such as isopropanol, are not useful as solvents for laser
dyes because of their low photochemical stability.
d) Some solvents are often not useful for near-IR and IR dyes due to the
presence of hydroxyl group overtones in this spectral region (see above).
The following solvents are recommended for different pumping conditions:
a) Those appropriate for pumping with a pump source emitting below 300 nm
(e.g., KrF: 248 nm, Nd:YAG 4th harmonic: 266 nm):
•Cyclohexane
•Ethylene glycol
•Glycerol
•Trifluoroethanol
•p-Dioxane
11
•Ethanol
•Methanol
•Hexafluoroisopropanol
b) Solvents appropriate for pumping with a pump source emitting between 300
and 400 nm (e.g., XeCl: 308 nm, nitrogen: 337 nm, Nd:YAG 3rd harmonic:
355 nm), in addition to those listed in (a):
•N,N-Dipropylacetamide
•Dimethylsulfoxide (DMSO)
•N,N-Dimethylformamide (DMF)
•Tetrahydrofurane
•1-Methyl-2-pyrrolidinone (NMP)
•Tetrahydrothiophenedioxide (sulfolane)
c) Appropriate solvents for pumping in the visible and near-IR spectral range
(e.g., Nd:YAG 2nd harmonic: 532 nm, CW-ion lasers), in addition to those
listed in (a) and (b):
•Toluene
•Chlorobenzene
•Chloroform
•Benzylalcohol
•1,2-Dichloroethane
•1,1,1-Trichloroethane
•o-Dichlorobenzene
•Dichloromethane
Purity of Solvent
The output power of dye lasers is strongly dependent on the purity of the
solvent. Impurities and additives may strongly affect upper state lifetime of
the dye or may catalyse photochemical reactions. Therefore, for best results,
only high quality solvents are to be recommended.
Very often we are asked whether it is necessary to use spectroscopic grade
solvents. Our experience is that it is NOT necessary. Commercially available
qualities of the grade "pro analysis" (p.a.) or "for synthesis" are sufficient for
dye laser applications. Some suppliers will call them HPLC.
However, bulk quantities of these solvents are very often of poor quality and
are not offered as p.a. grade. Under such circumstances, it is highly recom-
mended that the transparency of the solvent is checked in a 1 cm cuvette at the
pump wavelength of the dye laser with a simple absorption spectrometer. The
measured value should be greater than 98 percent.
12
Solvent Handling
With the exception of water, all solvents should be considered hazardous. In
many instances, the solvent in which the dye is dissolved plays a major role in
the hazard presented by the final solution. Some of the solvents listed above
are highly toxic, irritants, narcotics, and/or anaesthetics. These hazards must
be addressed carefully in dye handling and solution preparation.
Nearly all solvents are highly flammable. Therefore, a small fire extinguisher
should be installed near the laser in a readily accessible and unobstructed
area.
A particular fire hazard that is not commonly known occurs with nonpolar and,
hence, nonconductive solvents. If these solvents are circulated at a high speed
through plastic tubings, the pump unit acts as a van de Graff generator,
producing up to 100 kV, and sparks may pierce the tubing and ignite the
solvent. The dye selectors use grounding wires inside the plastic tubings to
eliminate these problems. However, when using such solvents, check first for
static electricity before opening the reservoir. Static electricity is present when
hair on the back of your hand or forearm is attracted to the plastic tubing. Do
not circulate dye solutions made with such solvents for more than a minute,
unless the cuvette has been placed into the crate and is grounded.
Preparation of the Dye Solution
As a rule of thumb, the dye concentration is selected to absorb 90 percent of
the pump light within 0.5 mm, or the dye solution has to have an absorbance of
OD = 2/mm for the wavelength of the pump light.
When in doubt about the concentration of the dye solution, measure the absor-
bance of the dye solution used for the oscillator in a spectrophotometer, using
either a 1 mm cuvette or, after diluting by a factor of 10, a 10 mm standard
cuvette. The cuvettes must be of fused-silica type if you measure the absor-
bance for a pump wavelength smaller than 300 nm. The absorbance of your
oscillator dye solution should be within the range of OD = 1.8 to 2.2/mm. For
an unknown dye, dissolve a known amount (a few milligrams) in a known
volume and measure the absorbance at the pump wavelength in use; the dye
concentration (in g/l) is then calculated according Beer's law:
20 g (sample)
g/l =---------------------------- x -------------------
OD (solution/10 mm) Vol (sample)
The measurements should, of course, be made against pure solvent in a cuvette
of the same pathlength in the reference beam of the spectrophotometer.
13
A concentration of OD = 2/mm is convenient for the oscillator solution. The
amplifier needs only 1/3 this concentration. The amplifier solution is prepared
by filling the reservoir bottle of the amplifier circulator with one part stock
solution and then adding two parts pure solvent.
To prepare the dye solution, weigh out the amount of dye and transfer it into a
500 ml (or 1 liter) glass bottle. If some are available, use brown bottles. Make
sure that the entire measure of dye is transferred to the bottle and be careful
not to spill it. Most errors occur at this step. Fill the bottle to the 500 ml (or
1 liter) mark. Adding 10 percent more or less solvent does not affect the
operation appreciably. Make the stock solution "fatter" than recommended,
since solvent can always be added directly to the reservoir of the circulators
later on. Some dyes do not dissolve instantly. Use of an ultrasonic bath is
recommended.
NOTICE:
Do not use the dye solution until it is completely translucent and no floating
dye particles are observed.
Some dyes have to be used close to their saturation level. It may take some
dyes up to 30 minutes to dissolve completely. If necessary, heat gently and
with caution.
Optimizing the Dye Solution
There is an optimum concentration for a given dye gain, i.e. for a given dye,
wavelength, and input power. This optimum concentration may vary from that
giving an optical density of OD = 2/mm. Higher concentrations will cause a
slightly red shift the tuning curves, while lower concentrations will result in a
blue shift.
Optimization of the dye concentration is accomplished by adding either pure
solvent or solution of higher concentration than that recommended in small
increments to the solution in the dye circulation system until power is at
maximum.
The concentrations for the amplifier solutions of excimer and Nd:YAG-pumped
dye lasers are about 1/3 and 1/6 of the oscillator solutions, respectively.
Cleaning the Dye Circulation System
Should it be necessary to change the dye solution, it is only necessary to rinse
three times with 100 to 200 ml of solvent. It is recommended that the dye filter
be changed. If it is not possible to change the dye selector when changing the
dye, especially when going from a longer wavelength to a shorter one, the
cuvette, the reservoir, the pump, and the tubings must be carefully cleaned and
14
the filter must be exchanged. The cleaning process is complete only when no
fluorescence is observed after rinsing for approximately 15 minutes. It is
advisable to use small quantities of solvent and few rinses. The rinsing
process can take many hours. Low output power on changing the dyes can
often be traced to dye residue in the pump and the tubings.
Precautions for the Use of Laser Dyes
Cautious handling of dyes and dye solutions is advised, especially because
those used in the infrared may be toxic or because solvents such as DMSO,
Methanol, Dioxane, and Benzyl Alcohol have the ability to carry their solutes
through the skin and into the body (Mosovsky, 1983; Kues, 1975).
In most cases the exact toxicity of laser dyes is not well known, but they
should, like all chemicals, be considered dangerous until proven otherwise.
The safest precaution is to use butyl rubber gloves when handling the dye
solutions and to immediately clean any skin that comes into contact with the
dye solutions or the dye itself.
Solvents should be kept away from heat, sparks, and open flames because they
are extremely flammable or combustible. They should be handled in a hood
due to their stench or potential danger if inhaled.
Lambda Physik provides, on request, a complete set of Material Safety Data
Sheets (MSDS). These data sheets give more information on laser dye toxicity,
hazards, and recommended controls. As already mentioned above, the exact
toxicity of laser dyes is not well known in most cases. Therefore, it is impor-
tant to know that the MSDS only describes general aspects of dye toxicity.
NOTICE:
The responsibility for the safe use of our Lambdachrome laser dyes
rests with the user.
Hazards
Solvents should be handled only by qualified people trained in laboratory
procedures and familiar with their potential hazards. Some solvents are highly
toxic, irritants, narcotics, and/or anaesthetics. Some form hazardous com-
pounds upon decomposition; others are highly reactive. In the following tables,
hazard warnings and literature references, such as Sax (Dangerous Properties
of Industrial Materials) and the Registry of Toxic Effects of Chemical Sub-
stances (RTECS) are provided, so that the information about possible hazards
are available to the trained technical person using the dye, solvent, and/or dye
solution.
15
The absence of a warning must not be interpreted as an indication of safety. In
several cases information is not available on the possible hazards of many
compounds.
Waste Disposal Procedures
The disposal methods outlined below are intended as guides to the users of
laser dye solutions or solvents. Careful consideration must be given to the
chemical and physical properties of the substances. In addition, local laws and
regulations may preclude the use of these methods which are primarily de-
signed for quantities of one to five liters. All federal, state, and local laws
concerning health and pollution must be observed.
Definitions
Boiling point
The temperature at which the vapor pressure of the liquid is equal to the
opposing pressure. Values listed in the tables refer to an opposing pressure of
760 torr unless otherwise stated.
Density
The density of a substance is defined as the mass per unit of volume.
Dielectric constant
A measure of the relative effect a solvent has on the electronic force with
which two oppositely charged plates are attracted to each other.
Flash point
The flash point is usually not considered a common physical property. It is
included because of its widespread use in classifying solvents for storage and
shipping.
Ionization potential
The work (expressed in electron volts) required to remove a given electron from
its atomic orbit and place it at rest at an infinite distance.
Melting point
The temperature at which a solid compound changes into the liquid state.
Minimum ignition temperature
The minimum temperature at which, under certain conditions, the mixture
combined with air may ignite.
16
Molecular weight
The sum of the atomic weights of all atoms in a molecule.
Refractive index
The the ratio of the velocity of light in a particular substance to the velocity of
light in vacuum. Values usually reported refer to the ratio of the velocity in air
to that in the substance saturated with air.
Threshold Limit Value (TLV)
The maximum permissible concentration of a chemical that is permissable for
prolonged exposure. The TLV gives a conentration of vapors to which an
average sized person can safely be exposed for 8 hours per day, 5 days per
week.
Viscosity
The coefficient of viscosity is defined as the force per unit area necessary to
maintain a unit velocity gradient between two parallel planes a unit distance
apart.

17
Benzyl Alcohol
Phenylcarbinol
General Properties
Colorless liquid with aromatic odor. It is only slightly soluble in water.
Physical Properties
Molecular weight: 108.14
Freezing point (°C): -15.3
Boiling point (°C): 205.45
Flash point (°C): 100
Min. ignition temp. (°C): 435
Density (g/cm3): 1.049315 1.041325 1.0376530
Refractive Index: 1.5403520 1.45383725
Viscosity (cPoise): 7.7615 4.6535
Dielectric constant: 13.1
Ionization potential (eV): 9.14
Solubility: 0.08% in water, organic solvents
Optical properties:
Wavelength (nm) 290 300 310 320 340 350 380
Transmission (%) 423 70 85 90 95 98
Application
Benzyl alcohol, due to its high viscosity, is a frequently used solvent in jet
stream dye lasers. Its dissolving capacity makes it suitable for polar dyes like
Coumarins.
Safety
RTECS # DN3150000; Sax 5, 409 · TLV:
Hazards
Harmful by inhalation and if swallowed. Benzyl alcohol is a toxic solvent. It
is believed that benzyl alcohol that is present in a poorly ventilated area is the
cause of violent headaches, vertigo, nausea, and other symptoms.
Safety Precautions
In case of contact with eyes, rinse immediately with plenty of water and seek
medical advice. Don't smoke, eat, or drink when handling the solvent. Keep
all containers and solutions tightly closed.
WasteDisposal Procedures
Do not dispose of Benzyl Alcohol in the sink. Place it in appropriately labelled,
suitable containers. Only trained and licensed waste disposal experts should
dispose of accumulated waste material in accordance with governmental
regulations.

18
Cyclohexane
Hexahydrobenzene
General Properties
Colorless, water insoluble, highly flammable liquid. Sweet, aromatic odor.
Physical Properties
Molecular weight: 84.16
Freezing point (°C): 6.54
Boiling point (°C): 80.73
Flash point (°C): -18
Min. ignition temp. (°C): 260
Densitiy (g/cm3): 0.778525 0.773825
Refractive Index: 1.426220 1.423525
Viscosity (cPoise): 0.9820 0.89825
Dielectric constant: 2.023
Ionization potential (eV): 9.8
Solubility: 0.01% in water, nonpolar organic solvents
Optical properties:
Wavelength (nm) 200 210 220 230 240 250 300
Transmission (%) 515 45 75 90 98 100
Application
Suitable solvent for nonpolar laser dyes like p-Terphenyl. Its high optical
transparency in the UV allows the application in dye lasers pumped below 300
nm. The photochemical stability of Cyclohexane is poor.
Safety
RTECS # GU6300000; Sax 6, 831 · TLV: 300 ppm or 1050 mg/m3
Hazards
Highly flammable. Absorbed by inhalation. The vapor is mildly irritating to
the mucous membranes. The liquid is a fat solvent and thus irritates the skin.
Safety Precautions
Keep container in a well-ventilated place. Keep away from source of ignition.
Take precautionary measures against static dis-charges. Avoid skin contact. Do
not smoke, eat, or drink when handling the solvent. Keep all containers tightly
closed away from sparks and open flames.
Waste Disposal Procedures
Do not dispose of Cyclohexane in the sink. Place it in appropriately labelled,
suitable containers. Only trained and licensed waste disposal experts should
dispose of accumulated waste material in accordance with governmental
regulations.

19
Dichloroethane
Ethylene chloride · 1,2-Dichloroethane
General Properties
Dichloroethane is a colorless, water-insoluble liquid with a sweet odor.
Physical Properties
Molecular weight: 98.96
Freezing point (°C): -35.7
Boiling point (°C): 83.5
Flash point (°C): 13
Min. ignition temp. (°C): 440
Density (g/cm3): 1.253120 1.245825 1.238330
Refractive Index: 1.444820 1.442125
Viscosity (cPoise): 0.88715 0.7330
Dielectric constant: 10.36
Ionization potential (eV): 11.12
Solubility: 0.81% in water, organic solvents
Optical properties:
Wavelength (nm) 225 230 240 250 260 270 300
Transmission (%) 10 30 80 95 98 98 98
Application
See Dichloromethane.
Safety
RTECS # KI0525000; Sax 6, 944 · TLV: 50 ppm or 200 mg/m3
Hazards
Highly flammable. Harmful by inhalation. One can become adapted to the odor
of Dichloroethane at low concentrations, therefore it cannot be considered as a
reliable warning. The acute and chronic effects of the solvent can be signifi-
cant.
Safety Precautions
Keep container tightly closed. Keep away from sources of ignition. Do not
smoke. Take precautionary measures against static discharges.
Waste Disposal Procedures
Do not dispose of Dichloroethane in the sink. Place it in appropriately labelled,
suitable containers. Only trained and licensed waste disposal experts should
dispose of accumulated waste material in accordance with governmental
regulations.

20
Dichloromethane
Methylene chloride
General Properties
Dichloromethane is a colorless, water-insoluble liquid with a sweet odor.
Physical Properties
Molecular weight: 84.93
Freezing point (°C): -95.1
Boiling point (°C): 39.8
Flash point (°C): 0
Min. ignition temp. (°C): 605
Densitiy (g/cm3): 1.334815 1.316825 1.307830
Refractive Index: 1.424220 1.421225
Viscosity (cPoise): 0.44915 0.39330
Dielectric constant: 8.93
Ionization potential (eV): 11.35
Solubility: 1.3 % in water, organic solvents
Optical properties:
Wavelength (nm) 230 240 250 255 270 290 300
Transmission (%) 10 70 95 98 98 98 98
Application
Dichloromethane is used as solvent for laser dyes and saturable absorbers
absorbing in the near infrared spectral region.
Safety
RTECS # PA8050000; Sax 6, 1763 · TLV: 500 ppm or 1750 mg/m3
Hazards
Harmful by inhalation. The toxic effect of Dichloromethane is predominately
narcosis. It is mildly irritating to the skin on repeat contact if free to evapo-
rate. It is painful to the eyes but no permanent damage may be expected.
Safety Precautions
Avoid contact with skin. Do not smoke, eat, or drink when handling the
solvent.
Waste Disposal Procedures
Do not dispose of Dichloromethane in the sink. Place it in appropriately
labelled, suitable containers. Only trained and licensed waste disposal experts
should dispose of accumulated waste material in accordance with governmental
regulations.

21
Dioxane
p-Dioxane
General Properties
Colorless, volatile, and very hygroscopic liquid with slightly aromatic taste.
Physical Properties
Molecular weight: 88.11
Freezing point (°C): 11.8
Boiling point (°C): 101.32
Flash point (°C): 12
Min. ignition temp. (°C): 375
Densitiy (g/cm3): 1.033620 1.02825
Refractive Index: 1.4224120 1.4202525
Viscosity (cPoise): 1.43915 1.08730
Dielectric constant: 2.209
Ionization potential (eV): 9.13
Solubility: in water, organic solvents
Optical properties:
Wavelength (nm) 225 240 250 260 280 290 300
Transmission (%) 40 50 60 70 85 93 98
Application
Its high photochemical stability and excellent dissolving capacity makes dioxane
a versatile solvent for UV and Coumarin dyes.
Safety
RTECS # JG8225000; Sax 6, 1227 · TLV: 100 ppm, 360 mg/m3
Hazards
Highly flammable. May form explosive peroxides. Harmful by inhalation.
Painful to the eyes and irritating to the skin upon prolonged contact. It can be
absorbed through the skin in toxic amounts. Dioxane is insidious. Its vapors
have poor warning properties; they are faint and inoffensive. Concentrations in
air of 300 ppm cause irritation of the eyes, nose, and throat. The vapors can
be inhaled in amounts that cause serious systemic injury.
Safety Precautions
Keep container in a well-ventilated place. Keep away from sources of ignition.
Take precautionary measures against static discharges. Avoid skin contact. Do
not smoke, eat, or drink when handling the solvent. Keep all containers and
solutions tightly closed.
22
Waste Disposal Procedures
Do not dispose of Dioxane in the sink. Place it in appropriately labelled,
suitable containers. Only trained and licensed waste disposal experts should
dispose of accumulated waste material in accordance with governmental
regulations.

23
DMSO
Dimethyl Sulfoxide
General Properties
Colorless, odorless, hygroscopic liquid with a slightly bitter taste. It has an
equilibrium moisture content of 10 percent with air at 20°C.
Physical Properties
Molecular weight: 78.13
Freezing point (°C): 18.54
Boiling point (°C): 189
Flash point (°C): 95
Min. ignition temp. (°C): 383
Density (g/cm3): 1.095825 1.081640 1.061660
Refractive Index: 1.478320 1.477325
Viscosity (cPoise): 1.99625 1.65435
Dielectric constant: 46.68
Ionization potential (eV):
Solubility: 25.3 % in water, organic solvents
Optical properties:
Wavelength (nm) 263 270 280 290 300 310 340
Transmission (%) 10 34 60 71 85 90 98
Application
DMSO is an excellent solvent for polar dyes like Rhodamines.
Safety
RTECS # PV6210000; Sax 6, 1201 · TLV:
Hazards
DMSO dehydrates and defats the skin, but seems to be relatively free from
toxic effects. Its vapor, mixed with air, may explode above 90° C.
Safety Precautions
Dimethyl sulfoxide may produce eye, skin, and respiratory irritations. The
solvent penetrates the skin and that toxic solutes are carried with it into the
body fluid. Avoid contact with skin and eyes.
Waste Disposal Procedures
Avoid mixing contaminated solvents because several substances have been
reported to have produced an explosion when mixed with dimethyl sulfoxide.
Do not dispose of DMSO in the sink. Place it in appropriately labelled, suitable
containers. Only trained and licensed waste disposal experts should dispose of
accumulated waste material in accordance with governmental regulations.

24
Ethanol
Ethyl Alcohol
General Properties
Colorless liquid which may be obtained as the water azeotrop containing about
5 percent water or as absolute alcohol containing 0.1 percent or less water.
Physical Properties
Molecular weight: 46.07
Freezing point (°C): -114.1
Boiling point (°C): 78.3
Flash point (°C): 12
Min. ignition temp. (°C): 425
Density (g/cm3): 0.793615 0.789420 0.78525
Refractive Index: 1.361420 1.359425
Viscosity (cPoise): 1.07825 0.99135
Dielectric constant: 24.55
Ionization potential (eV): 10.49
Solubility: water, organic solvents
Optical properties :
Wavelength (nm) 200 210 220 230 240 250 270
Transmission (%) 535 55 72 85 90 98
Application
Ethanol is the most frequently used solvent for laser dyes. As it is highly
polar, its application is restricted to polar dyes such as the Rhodamines.
Safety
RTECS # KQ6300000; Sax 6, 1316 · TLV: 1000 ppm or 1900 mg/m3
Hazards Highly flammable. It is practically impossible to produce any toxic
effects by inhalation of pure ethanol vapors under usual lab conditions. The
minimum identifiable odor is about 530 ppm. Concentrations of 6,000-9,000
ppm have an intense odor that may be practically intolerable at first, but one
becomes acclimated soon. Concentrations of about 1,000 ppm cause slight
irritation of mucous membranes and other symptoms.
Safety Precautions
Keep container tightly closed. Keep away from sources of ignition. Do not
smoke. Limit the quantity stored to foreseeable short-term requirements; large
quantities should not be allowed to accumulate in the laboratory. If spillage of
solvent or accidental release occurs, ventilate the whole laboratory as soon as
possible.
25
Waste Disposal Procedures
Do not dispose of Ethanol in the sink. Place it in appropriately labelled,
suitable containers. Only trained and licensed waste disposal experts should
dispose of accumulated waste material in accordance with governmental
regulations.

26
Ethylene Glycol
1,2-Ethanediol
General Properties
Ethylene glycol is a colorless, odorless liquid with a bittersweet taste. It is
very hygroscopic.
Physical Properties
Molecular weight: 62.07
Freezing point (°C): -13
Boiling point (°C): 197.3
Flash point (°C): 110
Min. ignition temp. (°C): 410
Density (g/cm3): 1.113520 1.1125 1.106630
Refractive Index: 1.431820 1.430625
Viscosity (cPoise): 26.0915 13.5530
Dielectric constant: 37.7
Ionization potential (eV): 10.49
Solubility: water, alcohols
Optical properties:
Wavelength (nm) 210 220 230 240 250 260 280
Transmission (%) 20 35 40 60 75 90 98
Application
Ethylene glycol, due to its high viscosity, is a frequently used solvent in jet
stream dye lasers. Its dissolving capacity makes it suitable for polar dyes like
Coumarins, Rhodamines, and Cyanines.
Safety
RTECS # KW2975000; Sax 6, 1343 · TLV: 100 ppm or 274 mg/m3
Hazards
Harmful if swallowed. Ethylene glycol has a low vapor pressure at normal
temperature. It presents negligible hazards to health except, possibly, when
being used at elevated temperature. It has a low, acute oral toxicity. There
does not appear to be any significant irritation from skin contact.
Safety Precautions
Avoid skin contact. Store in closed container away from heat, sparks and open
flame.
Waste Disposal Procedures
Place Ethylene Glycol in appropriately labelled, suitable containers. Only
trained and licensed waste disposal experts should dispose of accumulated
waste material in accordance with governmental regulations.

27
Hexane
n-Hexane
General Properties
Hexane is a colorless, water-insoluble, and highly flammable liquid.
Physical Properties
Molecular weight: 86.18
Freezing point (°C): -95.4
Boiling point (°C): 68.74
Flash point (°C): -26
Min. ignition temp. (°C): 240
Density (g/cm3): 0.659420 0.654825
Refractive Index: 0.374920 1.372325
Viscosity (cPoise): 0.312620 0.298525
Dielectric constant: 1.8799
Ionization potential (eV): 10.18
Solubility: 0.00095 % in water, nonpolar organic solvents
Optical properties:
Wavelength (nm) 190 200 210 220 230 240 250
Transmission (%) 10 30 60 80 94 98 98
Application
Suitable solvent for nonpolar laser dyes. Its high optical transparency in the
UV range allows the application in dye lasers pumped below 300 nm.
Safety
RTECS # MN9275000; Sax 6, 1523· TLV: 500 ppm or 1800 mg/m3
Hazards
Highly flammable. Harmful by inhalation and in contact with the skin. Possible
risk of irreversible effects. Hexane is a fat solvent and thus irritates the skin.
Safety Precautions
Keep container in a well-ventilated place. Keep away from source of ignition.
Do not inhale gas/fumes/vapor/spray. Avoid skin contact. Do not smoke, eat,
or drink when handling the solvent. Keep all containers tightly closed away
from sparks and open flames.
Waste Disposal Procedures
Do not dispose of Hexane in the sink. Place it in appropriately labelled,
suitable containers. Only trained and licensed waste disposal experts should
dispose of accumulated waste material in accordance with governmental
regulations.

28
Methanol
Methyl Alcohol
General Properties
Methanol is a colorless hygroscopic liquid usually containing 0.01 - 0.04 percent
water. It is highly inflammable and toxic.
Physical Properties
Molecular weight: 32.04
Freezing point (°C): -97.7
Boiling point (°C): 64.7
Flash point (°C): 11
Min. ignition temp. (°C): 455
Densitiy (g/cm3): 0.796115 0.791320 0.786625
Refractive Index: 1.328420 1.326525
Viscosity (cPoise): 0.550625 0.544535
Dielectric constant: 32.7
Ionization potential (eV): 10.84
Solubility: water, organic solvents
Optical properties:
Wavelength (nm) 200 210 220 230 240 250 260
Transmission (%) 220 50 75 85 95 98
Application
Methanol is a polar, protic solvent frequently used to dissolve laser dyes like
Coumarins, Rhodamines, and Cyanines. Its excellent optical transparency makes
it the ideal solvent for UV-pumped dye lasers.
Safety
RTECS # PC1400000; Sax 6, 1764 · TLV: 200 ppm or 260 mg/m3
Hazards
Highly flammable. Toxic by inhalation and if swallowed. Methanol does not
have suitable warning or irritating properties except at high concentrations.
Ingestion of methanol can cause blindness and death.
Safety Precautions
Keep container tightly closed. Keep away from sources of ignition. Do not
smoke. Avoid contact with skin. Methanol vapor/air mixtures may produce
explosible mixtures. Keep containers tightly closed. If spillage of solvent or
accidental release occurs, ventilate the whole laboratory as soon as possible.
29
Waste Disposal Procedures
Do not dispose of Methanol in the sink. Place it in appropriately labelled,
suitable containers. Only trained and licensed waste disposal experts should
dispose of accumulated waste material in accordance with governmental
regulations.

30
Toluene
Methylbenzene
General Properties
Colorless, water-insoluble, and highly flammable liquid with aromatic odor.
Physical Properties
Molecular weight: 92.14
Freezing point (°C): -95
Boiling point (°C): 110.6
Flash point (°C): 7
Min. ignition temp. (°C): 535
Density (g/cm3): 0.86725 0.862325 0.857730
Refractive Index: 1.496920 1.494125
Viscosity (cPoise): 0.586620 0.551625
Dielectric constant: 2.379
Ionization potential (eV): 8.82
Solubility: 0.0515 % in water, nonpolar organic solvents
Optical properties:
Wavelength (nm) 285 290 300 310 320 340 350
Transmission (%) 10 50 80 89 93 95 98
Application
Toluene is a suitable solvent for nonpolar laser dyes like p-Terphenyl. Its low
optical transparency in the UV range restricts the application on dye lasers
pumped above 320 nm.
Safety
RTECS # XS5250000; Sax 6, 2588 · TLV:200 ppm or 7500 mg/m3
Hazards
Highly flammable. Harmful by inhalation. Exposure of humans to Toluene vapor
produces mild fatigue, weakness, confusion, and paresthesia of the skin.
Toluene is most dangerous by inhalation. It is irritating to the skin, and contact
should be avoided when possible.
Safety Precautions
Keep away from source of ignition. Do not smoke. Take precautionary mea-
sures against static discharges.
Waste Disposal Procedures
Do not dispose of Toluene in the sink. Place it in appropriately labelled,
suitable containers. Only trained and licensed waste disposal experts should
dispose of accumulated waste material in accordance with governmental
regulations.
31
References
Handbook of Chemistry and Physics. 62d ed. Robert C. Weast, ed. Chemical
Rubber Co., 1982.
Drexhage, K. H. Laser Focus, 1973: 73.
Jaffe, H. H. and M. Orchin. Theory and Applications of Ultraviolet Spectroscopy.
New York, New York, USA: John Wiley and Sons, 1962.Kues, H. A. and G. Z.
Lutty. Laser Focus, 1975: 5: 59.
Kuhn and Birett. Merkblaetter Gefaehrliche Arbeitsstoffe. Munich, Germany:
Verlag Moderne Industrie, 1983.
Loesungsmittel und Substanzen fuer die Spektroskopie UVASOLE. E. Merck, ed.
Darmstadt, Germany.
Mosovsky, J. A. "Laser Dye Toxicity, Hazards and Recommended Controls."
American Industrial Hygiene Conference. Philadelphia, Pennsylvania, USA,
1983.
Registry of Toxic Effects of Chemical Substances. Richard J. Lewis and Rodger
L. Tatken, ed. U.S. Department of Health and Human Services, National
Institute for Occupational Safety and Health, 1979.
Riddick, John A. and William B. Bunger. "Organic Solvents." Techniques of
Chemistry,Vol. 3, 1970. New York, New York, USA: Wiley-Interscience.
Roth and Daunderer. Giftliste. Munich, Germany: Ecomed Verlag, 1983.
Sax, N. I. Dangerous Properties of Industrial Materials. New York, New York,
USA: Van Nostrand Reinhold, 1975.
Schneider, R. L. "Physical Properties of Some Organic Solvents." Eastman
Organic Chemical Bulletin. Vol. 47, No. 1, 1975.

32
Laser Dyes
Properties, Application, and Absorption Spectra
The output power of dye lasers depends on the quality of the dye used. To
overcome reduced quantum efficiency and instability due to impurities,
Lambdachrome® laser dyes are synthesized and examined by experienced
chemists for their chemical and spectral properties. Finally, they are purified
by specially developed techniques.
The composition of all dyes is guaranteed with spectrophotometric and chro-
matographic analysis. Wavelength ranges are given in the following tables to
provide assistance in choosing the correct dye for a given application. The
ranges were measured by Lambda Physik, taken from Coherent CW Dye Laser
Fact Sheets, or taken from the pertinent literature. The exact spectral range
depends on the solvent and the concentration as well as on the method of
pumping.
Lambda Physik reserves the right to modify any information given herein.
Every effort is made to ensure utmost accuracy; however, no liability is as-
sumed for errors occurring in the tables.
Abbreviations Used
MW Molecular Weight
CAS Chemical Abstracts Service
Effic. Efficiency, defined as the ratio of optical input to output
Conc. Concentration of dye, given in grams per liter solvent
Ref. Reference
Cyclohex. Cyclohexane
DCE 1,2-Dichloroethane
DMF Dimethylformamide
EtOH Ethanol
MeOH Methanol
Eg Ethyleneglycol
Bz Benzylalcohol
DMSO Dimethylsulfoxide
Pc Propylenecarbonate
Tol Toluene
33
BEER's Law
Within the absorption spectra, the intensity is expressed as a molar decadic
extinction coefficient, ε. The amount of light absorbed depends on the extinc-
tion coefficient and the number of molecules in the light path. The latter
amount depends on the concentration of the dye in solution and the path length
of the absorption cell. The amount of light that passes through a solution
(transmittance) is given by BEER's law:
log Io/I = εε · c · d
where Io is the intensity of the light before it encounters the cell, I is the
intensity of the light emerging from the cell, c is the concentration in moles
per liter, and d is the path length in centimeters.
The absorption cross-section σσ can be determined from the extinction coeffi-
cient εε by:
σσ = 0.385 · 10-20 εε.
Here σσ is given in cm2 (εε measured in liter/(mole · cm)).

34
WAVELENGTH [NM] --->
ABSORBANCE [10-4 * L/(MOL*CM] --->
BM-Terphenyl
LC 3300
C20H18 258.36
Solvent: Cylohexane
220
200
240
260
280
300
4
5
3
1
2
BM-Terphenyl

35
BM-Terphenyl (LC 3300)
Constitution
2,2''-Dimethyl-p-terphenyl
DMT
C20H18 · MW: 258.36
Characteristics
Lambdachrome® number: 3300
CAS registry number: -
Appearance: white, crystalline solid
Absorption maximum (in cyclohexane): 251 nm
Molar absorptivity: 1.98 x 104 L mol-1 cm-1
Fluorescence maximum (in cyclohexane): 335 nm
For research and development purposes only.
Lasing Performance
Shortest tunable laser dye for pulsed operation; tunable around 336 nm.
Pump Dye Laser Characteristics
Source Wavelength Peak Range Effic. Conc. Solvent Ref.
[nm] [nm] [nm] [%] [g/l]
KrF-Excimer 248 334 312 - 343 40.50 Cyclohex 1, 2, 3
References
1. Lambda Physik, Wall Chart 1996.
2. W. Zapka, U. Brackmann Appl. Phys. 20, 283 (1979).
3. F.-G. Zhang, F. P. Schäfer Appl. Phys. B26, 211 (1981).

36
WAVELENGTH [NM] --->
ABSORBANCE [10-4 * L/(MOL*CM] --->
p-Terphenyl
3
2
1
220
240
260
280
300
320
p-Terphenyl
LC 3400
C18H14 230.31
Solvent: Dioxane

37
p-Terphenyl (LC 3400)
Constitution
PTP
C18H14 · MW: 230.31
Characteristics
Lambdachrome® number: 3400
CAS registry number: 92-94-4
Appearance: white, crystalline solid
Absorption maximum (in cyclohexane): 275 nm
Molar absorptivity: 3.21 x 104 L mol-1 cm-1
Fluorescence maximum (in cyclohexane): 339 nm
For research and development purposes only.
Lasing Performance
Efficient laser dye for pulsed operation; tunable around 340 nm.
Pump Dye Laser Characteristics
Source Wavelength Peak Range Effic. Conc. Solvent Ref.
[nm] [nm] [nm] [%] [g/l]
KrF-Excimer 248 339 322 - 365 14 0.02 Cyclohex 1
XeCl-Excimer 308 343 332 - 360 80.24 Dioxane 2, 3
Nd:YAG, 4th 266 340 -50.23 Cyclohex. 4, 5
References
1. H. Bücher, W. Chow, Appl. Phys. 13, 267 (1977).
2. Lambda Physik, Wall Chart 1996.
3. H. Telle, W. Hüffer, D. Basting, Opt. Commun. 38(5,6), 402 (1981).
4. G. A. Abakumov et al., Opto-Electron. 1, 205 (1969).
5. D. Huppert, P. M. Rentzepis, J. Appl. Phys. 49(2), 543 (1978).

38
WAVELENGTH [NM] --->
ABSORBANCE [10-4 * L/(MOL*CM] --->
220
260
280
300
240
200
1
2
3
4
5
6
7
TMQ
LC 3500
C28H26 362.51
Solvent: Cylohexane
TMQ

39
TMQ (LC 3500)
Constitution
3,3',2'',3'''-Tetramethyl-p-quaterphenyl
C28H26 · MW: 362,51
Characteristics
Lambdachrome® number: 3500
CAS registry number: -
Appearance: white, crystalline solid
Absorption maximum (in cyclohexane): 266 nm
Molar absorptivity: 3.99 x 104 L mol-1 cm-1
Fluorescence maximum: -
For research and development purposes only.
Lasing Performance
Laser dye for pulsed operation; tunable around 350 nm.
Pump Dye Laser Characteristics
Source Wavelength Peak Range Effic. Conc. Solvent Ref.
[nm] [nm] [nm] [%] [g/l]
Nd:YAG, 4th 266 350 338 - 361 1.2 0.72 Cyclohex 1
References
1. L. D. Ziegler, B. S. Hudson, Opt. Commun. 32(1), 119 (1980).

40
WAVELENGTH [NM] --->
ABSORBANCE [10-4 * L/(MOL*CM] --->
1
2
3
4
6
5
200
220
240
260
280
300
320
BMQ
LC 3570
C26H22 334.46
Solvent: Cylohexane
BMQ

41
BMQ (LC 3570)
Constitution
2,2'''-Dimethyl-p-quaterphenyl
C26H22 - MW: 334.46
Characteristics
Lambdachrome® number: 3570
CAS registry number: -
Appearance: white, crystalline solid
Absorption maximum (in cyclohexane): 275 nm
Molar absorptivity: 3.35 x 104 L mol-1 cm-1
Fluorescence maximum: -
For research and development purposes only.
Lasing Performance
Efficient laser dye for pulsed operation; tunable around 357 nm.
Pump Dye Laser Characteristics
Source Wavelength Peak Range Effic. Conc. Solvent Ref.
[nm] [nm] [nm] [%] [g/l]
XeCl-Excimer 308 357 335 - 375 90.60 Dioxane 1
References
1. V. S. Antonov, K. L. Hohla, Appl. Phys. B32, 9 (1983).

42
WAVELENGTH [NM] --->
ABSORBANCE [10-4 * L/(MOL*CM] --->
1
2
3
4
5
6
200
220
240
260
280
300
320
340
DMQ
LC 3590
C29H28 376.54
Solvent: Cylohexane
DMQ

43
DMQ (LC 3590)
Constitution
2-Methyl-5-t-butyl-p-quaterphenyl
C29H28 · MW: 376.54
Characteristics
Lambdachrome® number: 3590
CAS registry number: -
Appearance: white, crystalline solid
Absorption maximum (in cyclohexane): 285 nm
Molar absorptivity: 3.86 x 104 L mol-1 cm-1
Fluorescence maximum: -
For research and development purposes only.
Lasing Performance
Efficient laser dye for pulsed operation; tunable around 360 nm.
Pump Dye Laser Characteristics
Source Wavelength Peak Range Effic. Conc. Solvent Ref.
[nm] [nm] [nm] [%] [g/l]
XeCl-Excimer 308 360 346 - 377 90.23 Dioxane 1, 2
References
1. Lambda Physik, Wall Chart 1996
2. V. S. Antonov, K. L. Hohla, Appl. Phys. B32, 9 (1983).

44
WAVELENGTH [NM] --->
ABSORBANCE [10-4 * L/(MOL*CM] --->
Butyl-PBD
LC 3600
C24H22N2O 354.45
Solvent: Dioxane
Butyl-PBD
220
240
260
280
300
320
340
4
3
1
2

45
Butyl-PBD (LC 3600)
Constitution
2-(4-Biphenylyl)-5-(4-t-butylphenyl)-1,3,4-oxadiazol
BPBD-365
C24H22N2O · MW: 354.45
Characteristics
Lambdachrome® number: 3600
CAS registry number: 15082-28-7
Appearance: white, crystalline solid
Absorption maximum (in dioxane): 302 nm
Molar absorptivity: 4.35 x 104 L mol-1 cm-1
Fluorescence maximum (in cyclohexane): 368 nm
For research and development purposes only.
Lasing Performance
Efficient laser dye for pulsed operation; tunable around 360 nm.
Pump Dye Laser Characteristics
Source Wavelength Peak Range Effic. Conc. Solvent Ref.
[nm] [nm] [nm] [%] [g/l]
XeCl-Excimer 308 363 356 - 385 50.30 Dioxane 1, 2, 3
Nitrogen 337 362 356 - 390 rel. 1.60 Dioxane 3, 4
Nd:YAG, 4th 266 362 354-388 4.7 1.75 Cyclohex. 5
References
1. Lambda Physik, Wall Chart 1996.
2. H. Telle, W. Hüffer, D. Basting, Opt. Commun. 38(5,6), 402 (1981).
3. F. Bos, Appl. Optics 20(20), 3553 (1981).
4. Lambda Physik, Data Sheet.
5. L. D. Ziegler, B. S. Hudson, Opti. Commun. 32(1), 119 (1980).

46
WAVELENGTH [NM] --->
ABSORBANCE [10-4 * L/(MOL*CM] --->
PBD
LC 3640
C20H14N2O 298.34
Solvent: Dioxane
240
220
260
280
300
320
340
1
2
3
PBD

47
PBD (LC 3640)
Constitution
2-(4-Biphenylyl)-5-phenyl-1,3,4-oxadiazol
C20H14N2O · MW: 298.34
Characteristics
Lambdachrome® number: 3640
CAS registry number: -
Appearance: white, crystalline solid
Absorption maximum (in dioxane): 302 nm
Molar absorptivity: 3.90 x 104 L mol-1 cm-1
Fluorescence maximum (in toluene): 360 nm
For research and development purposes only.
Lasing Performance
Efficient laser dye for pulsed operation; tunable around 360 nm.
Pump Dye Laser Characteristics
Source Wavelength Peak Range Effic. Conc. Solvent Ref.
[nm] [nm] [nm] [%] [g/l]
XeCl-Excimer 308 363 355 - 390 40.11 Cyclohex. 1
Nitrogen 337 362 357 - 390 rel. 1.20 Dioxane 2
Flashlamp -362 - - 0.08 Ethanol 3, 4
References
1. H. Telle, W. Hüffer, D. Basting, Opt. Commun. 38(5,6), 402 (1981).
2. F. Bos, Appl. Optics 20(20), 3553 (1981).
3. H. W. Furumoto, H. L. Ceccon, IEEE J. Quant. Electron. QE-6, 262 (1970).
4. T. Morrow, H. T. W. Price, Opt. Commun. 10(2), 133 (1974).

48
WAVELENGTH [NM] --->
ABSORBANCE [10-4 * L/(MOL*CM] --->
200
220
260
240
280
300
320
340
TMI
2
3
4
6
7
1
5
TMI
LC 3650
C34H30 438.61
Solvent: Dioxane

49
TMI (LC 3650)
Constitution
2,5,2'''',5''''-Tetramethyl-p-quinquephenyl
C34H30 · MW: 438.61
Characteristics
Lambdachrome® number: 3650
CAS registry number: -
Appearance: white, crystalline solid
Absorption maximum (in dioxane): 295 nm
Molar absorptivity: 4.86 x 104 L mol-1 cm-1
Fluorescence maximum: -
For research and development purposes only.
Lasing Performance
Efficient laser dye for pulsed operation; tunable around 370 nm.
Pump Dye Laser Characteristics
Source Wavelength Peak Range Effic. Conc. Solvent Ref.
[nm] [nm] [nm] [%] [g/l]
XeCl-Excimer 308 372 355 - 395 11 0.18 Dioxane 1, 2
References
1. Lambda Physik, Data Sheet.
2. V. S. Antonov, K. L. Hohla, Appl. Phys. B32, 9 (1983).

50
WAVELENGTH [NM] --->
ABSORBANCE [10-4 * L/(MOL*CM] --->
220
240
260
280
300
320
340
360
QUI
4
3
2
1
5
6
7
QUI
LC 3690
C46H54 606.93
Solvent: Dioxane

51
QUI (LC 3690)
Constitution
3,5,3'''',5''''-Tetra-t-butyl-p-quinquephenyl
C46H54 · MW: 606.93
Characteristics
Lambdachrome® number: 3690
CAS registry number: -
Appearance: white, crystalline solid
Absorption maximum (in dioxane): 310 nm
Molar absorptivity: 6.00 x 104 L mol-1 cm-1
Fluorescence maximum: -
For research and development purposes only.
Lasing Performance
Efficient laser dye for pulsed operation; tunable around 390 nm.
Pump Dye Laser Characteristics
Source Wavelength Peak Range Effic. Conc. Solvent Ref.
[nm] [nm] [nm] [%] [g/l]
XeCl-Excimer 308 390 368 - 402 11 0.20 Dioxane 1, 2
Nitrogen 337 387 372-412 rel. 0.52 Dioxane 3
References
1. Lambda Physik, Wall Chart 1996.
2. V. S. Antonov, K. L. Hohla, Appl. Phys. B32, 9 (1983).
3. Lambda Physik, Data Sheet.

52
WAVELENGTH [NM] --->
ABSORBANCE [10-4 * L/(MOL*CM] --->
200
220
300
340
320
280
260
240
PPO
1
2
PPO
LC 3700
C15H11NO 221.26
Solvent: Ethanol

53
PPO (LC 3700)
Constitution
2,5-Diphenyloxazol
C15H11NO · MW: 221.26
Characteristics
Lambdachrome® number: 3700
CAS registry number: 92-71-7
Appearance: white, crystalline solid
Absorption maximum (in ethanol): 303 nm
Molar absorptivity: 2.80 x 104 L mol-1 cm-1
Fluorescence maximum (in ethanol): 365 nm
For research and development purposes only.
Lasing Performance
Laser dye for pulsed operation; tunable around 380 nm.
Pump Dye Laser Characteristics
Source Wavelength Peak Range Effic. Conc. Solvent Ref.
[nm] [nm] [nm] [%] [g/l]
XeCl-Excimer 308 377 -2.3 0.22 Methanol 1, 2
Nitrogen 337 375 -rel. 0.39 Dioxane 1
Nd:YAG, 4th 266 375 368-382 1.6 1.10 Cylohex. 3
Flashlamp -381 - - 1.54 Dioxane 4
References
1. F. Bos, Appl. Optics 20(20), 3553 (1981).
2. O. Uchino et al., Appl. Phys. 19, 35 (1979).
3. L. D. Ziegler, B. S. Hudson, Opt. Commun. 32(1), 119 (1980).
4. H. W. Furumoto, H. L. Ceccon, IEEE J. Quant. Electron. QE-6, 262 (1970).

54
WAVELENGTH [NM] --->
ABSORBANCE [10-4 * L/(MOL*CM] --->
200
300
320
340
360
220
240
260
280
2
1
3
PPF
LC 3720
C16H12O 220.27
Solvent: Ethanol
PPF

55
PPF (LC 3720)
Constitution
2,5-Diphenylfuran
C16H12O · MW: 220.27
Characteristics
Lambdachrome® number: 3720
CAS registry number: -
Appearance: white, crystalline solid
Absorption maximum (in ethanol): 324 nm
Molar absorptivity: 3.78 x 104 L mol-1 cm-1
Fluorescence maximum (in ethanol): 368 nm
For research and development purposes only.
Lasing Performance
Laser dye for pulsed operation; tunable around 370 nm.
Pump Dye Laser Characteristics
Source Wavelength Peak Range Effic. Conc. Solvent Ref.
[nm] [nm] [nm] [%] [g/l]
Nitrogen 337 373 369 - 379 11 0.44 Dioxane 1,2
References
1. H. P. Broida, S. C. Haydon, Appl. Phys. Letters 16(3), 142 (1970).
2. M. Maeda, Y. Miyazoe, Jpn. J. Appl. Phys. 13(5), 827 (1974).

56
WAVELENGTH [NM] --->
ABSORBANCE [10-4 * L/(MOL*CM] --->
5
4
3
2
1
p-Quaterphenyl
p-Quaterphenyl
LC 3740
C24H18 306.41
Solvent: Dioxane
340
320
300
280
260
240
220

57
p-Quaterphenyl (LC 3740)
Constitution
PQP
C24H18 · MW: 306.41
Characteristics
Lambdachrome® number: 3740
CAS registry number: 135-70-6
Appearance: white, crystalline solid
Absorption maximum (in dioxane): 297 nm
Molar absorptivity: 4.28 x 104 L mol-1 cm-1
Fluorescence maximum (in toluene): 374 nm
For research and development purposes only.
Lasing Performance
Laser dye for pulsed operation; tunable around 370 nm.
Pump Dye Laser Characteristics
Source Wavelength Peak Range Effic. Conc. Solvent Ref.
[nm] [nm] [nm] [%] [g/l]
XeCl-Excimer 308 371 -20 0.09 Dioxane 1
Nitrogen 337 370 362 - 390 11 sat. DMF 2, 3
Flashlamp -372 - - 0.08 DMF 4
References
1. P. Cassard et al., Opt. Commun. 38(2), 131 (1981).
2. M. Maeda, Y. Miyazoe, Jpn. J. Appl. Phys. 13(5), 827 (1974).
3. J. A. Myer, I. Itzkan, E. Kierstead, Nature 225, 544 (1970).
4. M. Maeda, Y. Miyazoe, Jpn. J. Appl. Phys. 11(5), 692 (1972).

58
WAVELENGTH [NM] --->
ABSORBANCE [10-4 * L/(MOL*CM] --->
5
4
2
1
3
220
240
260
280
300
320
340
360
BBD
BBD
LC 3780
C26H18N2O 374.44
Solvent: Dioxane

59
BBD (LC 3780)
Constitution
2,5-Bis-(4-biphenylyl)-1,3,4-oxadiazol
C26H18N2O · MW: 374.44
Characteristics
Lambdachrome® number: 3780
CAS registry number: -
Appearance: white, crystalline solid
Absorption maximum (in dioxane): 314 nm
Molar absorptivity: 5.30 x 104 L mol-1 cm-1
Fluorescence maximum (in dioxane): 373 nm
For research and development purposes only.
Lasing Performance
Laser dye for pulsed operation; tunable around 380 nm.
Pump Dye Laser Characteristics
Source Wavelength Peak Range Effic. Conc. Solvent Ref.
[nm] [nm] [nm] [%] [g/l]
XeCl-Excimer 308 378 368 - 399 14 0.37 Dioxane 1, 2
Nitrogen 337 375 372 - 405 19 0.74 Dioxane 2, 3
Flashlamp -377 - - 0.74 Dioxane 4
References
1. P. Cassard et al., Opt. Commun. 38(2), 131 (1981).
2. O. Uchino et al., Appl. Phys. 19, 35 (1979).
3. M. Maeda, Y. Miyazoe, Jpn. J. Appl. Phys. 13(5), 827 (1974).
4. M. Maeda et al., IEEE J. Quant. Elec tron. QE-13, 65 (1977).

60
WAVELENGTH [NM] --->
ABSORBANCE [10-4 * L/(MOL*CM] --->
1
2
3
4
5
6
7
200
220
240
260
280
300
320
340
Polyphenyl 1
Polyphenyl 1
LC 3800
C24H16O6S2Na2510.49
Solvent: Water

61
Polyphenyl 1 (LC 3800)
Constitution
p-Quaterphenyl-4,4'''-disulfonicacid Disodiumsalt
C24H16O6S2Na2 · MW: 510.49
Characteristics
Lambdachrome® number: 3800
CAS registry number: -
Appearance: white, crystalline solid
Absorption maximum (in water): 308 nm
Molar absorptivity: 5.19 x 104 L mol-1 cm-1
Fluorescence maximum: -
For research and development purposes only.
Lasing Performance
Efficient laser dye for pulsed and CW operation; tunable around 380 nm.
Pump Dye Laser Characteristics
Source Wavelength Peak Range Effic. Conc. Solvent Ref.
[nm] [nm] [nm] [%] [g/l]
XeCl-Excimer 308 381 363 - 408 12 0.20 Eg 1, 2, 3
Nitrogen 337 380 362 - 411 rel. 0.36 Eg 3
CW, Ar+UV 382 362 - 412 -1.25 Eg 3
References
1. Lambda Physik, Wall Chart 1996.
2. H. Telle, W. Hüffer, D. Basting, Opt. Commun. 38(5,6), 402 (1981).
3. W. Hüffer et al., Opt. Commun. 33(1), 85 (1980).

62
WAVELENGTH [NM] --->
ABSORBANCE [10-4 * L/(MOL*CM] --->
1
2
3
4
5
6
7
200
220
240
260
280
300
320
340
Polyphenyl 2
Polyphenyl 2
LC 3810
C24H16O6S2NK2542.71
Solvent: Water

63
Polyphenyl 2 (LC 3810)
Constitution
p-Quaterphenyl-4,4'''-disulfonicacid Dipotassiumsalt
C24H16O6S2NK2 · MW: 542.71
Characteristics
Lambdachrome® number: 3810
CAS registry number: -
Appearance: white, crystalline solid
Absorption maximum (in water): 308 nm
Molar absorptivity: 5.19 x 104 L mol-1 cm-1
Fluorescence maximum: -
For research and development purposes only.
Lasing Performance
Efficient laser dye for pulsed and CW operation; tunable around 390 nm.
Pump Dye Laser Characteristics
Source Wavelength Peak Range Effic. Conc. Solvent Ref.
[nm] [nm] [nm] [%] [g/l]
XeCl-Excimer 308 382 363 - 400 10 0.25 Eg 1
CW, Ar+UV 384 370 - 406 -2.0 Eg 1
References
1. Lambda Physik, Wall Chart 1996.

64
WAVELENGTH [NM] --->
ABSORBANCE [10-4 * L/(MOL*CM] --->
1
2
3
5
4
220
240
260
280
300
320
340
360
BiBuQ
BiBuQ
LC 3860
C48H66O2675.05
Solvent: Dioxane

65
BiBuQ (LC 3860)
Constitution
4,4'''-Bis-(2-butyloctyloxy)-p-quaterphenyl
BBQ • Pilot 386
C48H66O2 · MW: 675.05
Characteristics
Lambdachrome® number: 3860
CAS registry number: 18434-08-7
Appearance: white, crystalline solid
Absorption maximum (in dioxane): 313 nm
Molar absorptivity: 5.45 x 104 L mol-1 cm-1
Fluorescence maximum: -
For research and development purposes only.
Lasing Performance
Efficient laser dye for pulsed operation; tunable around 390 nm.
Pump Dye Laser Characteristics
Source Wavelength Peak Range Effic. Conc. Solvent Ref.
[nm] [nm] [nm] [%] [g/l]
XeCl-Excimer 308 388 367 - 405 11 0.25 Dioxane 1, 2, 3
Nitrogen 337 383 364 - 405 rel. 0.41 Dioxane 3, 4
Nd:YAG, 3rd 355 392 380 - 410 -1.34 EtOH/Tol 5
Flashlamp - - 389 - 395 - - DMF 6
References
1. Lambda Physik, Wall Chart 1996.
2. H. Telle, W. Hüffer, D. Basting, Opt. Commun. 38(5,6), 402 (1981).
3. F. Bos, Appl. Optics 20(20), 3553 (1981).
4. Lambda Physik, Data Sheet.
5. K. Azuma et al., Jpn. J. Appl. Phys. 18(1), 209 (1979).
6. P. R. Hammond et al., Appl. Phys. 9, 67 (1976).

66
WAVELENGTH [NM] --->
ABSORBANCE [10-4 * L/(MOL*CM] --->
1
2
3
240
260
280
300
320
340
360
220
200
Quinolon 390
Quinolon 390
LC 3900
C12H15N3O2233.27
Solvent: Ethanol

67
Quinolon 390 (LC 3900)
Constitution
7-Dimethylamino-1-methyl-4-methoxy-8-azaquinolone-2
C12H15N3O2 · MW: 233.27
Characteristics
Lambdachrome® number: 3900
CAS registry number: 119883-58-8
Appearance: white, crystalline solid
Absorption maximum (in ethanol): 355 nm
Molar absorptivity: 2.52 x 104 L mol-1 cm-1
Fluorescence maximum: -
For research and development purposes only.
Lasing Performance
Laser dye for pulsed operation; tunable around 390 nm.
Pump Dye Laser Characteristics
Source Wavelength Peak Range Effic. Conc. Solvent Ref.
[nm] [nm] [nm] [%] [g/l]
Nd:YAG, 3rd 355 390 384 - 394 40.25 Methanol 1
Flashlamp -390 - - 1.15 Ethanol 2
References
1. Lambda Physik, Wall Chart 1996.
2. P. R. Hammond et al., Appl. Phys. 8, 315 (1975).

68
WAVELENGTH [NM] --->
ABSORBANCE [10-4 * L/(MOL*CM] --->
TBS
TBS
LC 3930
C52H58 683.03
Solvent: Dioxane
300
220
240
260
280
320
340
360
380
1
3
2
7
6
5
4

69
TBS (LC 3930)
Constitution
3,5,3''''',5'''''-Tetra-t-butyl-p-sexiphenyl
C52H58 · MW: 683.03
Characteristics
Lambdachrome® number: 3930
CAS registry number: -
Appearance: white, crystalline solid
Absorption maximum (in dioxane): 320 nm
Molar absorptivity: 7.49 x 104 L mol-1 cm-1
Fluorescence maximum: -
For research and development purposes only.
Lasing Performance
Very stable and efficient laser dye for pulsed operation; tunable around 390 nm.
Pump Dye Laser Characteristics
Source Wavelength Peak Range Effic. Conc. Solvent Ref.
[nm] [nm] [nm] [%] [g/l]
XeCl-Excimer 308 393 365 - 410 11 0.16 Cyclohex 1
References
1. Lambda Physik, Data Sheet.

70
WAVELENGTH [NM] --->
ABSORBANCE [10-4 * L/(MOL*CM] --->
1
3
2
220
240
260
280
300
320
340
360
380
α
-NPO
α-NPO
LC 3950
C19H13NO 271.32
Solvent: Dioxane

71
α
-NPO (LC 3950)
Constitution
2-(1-Naphthyl)-5-phenyloxazol
C19H13NO · MW: 271.32
Characteristics
Lambdachrome® number: 3950
CAS registry number: -
Appearance: white, crystalline solid
Absorption maximum (in dioxane): 333 nm
Molar absorptivity: 2.15 x 104 L mol-1 cm-1
Fluorescence maximum (in dioxane): 396 nm
For research and development purposes only.
Lasing Performance
Efficient laser dye for pulsed operation; tunable around 400 nm.
Pump Dye Laser Characteristics
Source Wavelength Peak Range Effic. Conc. Solvent Ref.
[nm] [nm] [nm] [%] [g/l]
XeCl-Excimer 308 393 387 - 400 60.32 Cyclohex. 1
Nitrogen 337 400 391 - 425 rel. 0.67 Dioxane 2, 3
Nd:YAG, 3rd 355 400 -6.5 1.00 Toluene 4
Flashlamp -400 - - 0.07 Ethanol 5
References
1. Lambda Physik, Data Sheet.
2. F. Bos, Appl. Optics 20(20), 3553 (1981).
3. A. Dienes, Appl. Phys. 7, 135 (1975).
4. G. A. Abakumov et al. JETP Letters 9, 9 (1969).
5. H. W. Furumoto et al. IEEE J. Quant. Electron. QE-6(5), 262 (1970).

72
WAVELENGTH [NM] --->
ABSORBANCE [10-4 * L/(MOL*CM] --->
300
Furan 2
2
4
6
8
10
200
220
240
260
280
320
340
360
380
Furan 2
LC 3990
C25H13NO13S4K4819
Solvent: Water

73
Furan 2 (LC 3990)
Constitution
2-(4-Biphenylyl)-6-phenylbenzoxazotetrasulfonicacid Potassium Salt
C25H13NO13S4K4 · MW: 819
Characteristics
Lambdachrome® number: 3990
CAS registry number: -
Appearance: light yellow, crystalline solid
Absorption maximum (in water): 330 nm
Molar absorptivity: 7.79 x 104 L mol-1 cm-1
Fluorescence maximum (in dioxane): 396 nm
For research and development purposes only.
Lasing Performance
Efficient laser dye for pulsed operation; tunable around 400 nm.
Pump Dye Laser Characteristics
Source Wavelength Peak Range Effic. Conc. Solvent Ref.
[nm] [nm] [nm] [%] [g/l]
XeCl-Excimer 308 399 388 - 426 80.50 Methanol 1
Nd:YAG, 3rd 355 402 392 - 422 15 0.5 Methanol 1
References
1. Lambda Physik, Wall Chart 1996.

74
WAVELENGTH [NM] --->
ABSORBANCE [10-4 * L/(MOL*CM] --->
1
5
4
3
2
240
220
260
280
300
320
340
360
380
PBBO
PBBO
LC 4000
C25H17NO 347.42
Solvent: Dioxane

75
PBBO (LC 4000)
Constitution
2-(4-Biphenylyl)-6-phenylbenzoxazol-1,3
C25H17NO · MW: 347.42
Characteristics
Lambdachrome® number: 4000
CAS registry number: 17064-47-0
Appearance: white, crystalline solid
Absorption maximum (in dioxane): 327 nm
Molar absorptivity: 4.89 x 104 L mol-1 cm-1
Fluorescence maximum (in ethanol): 403 nm
For research and development purposes only.
Lasing Performance
Efficient laser dye for pulsed operation; tunable around 400 nm.
Pump Dye Laser Characteristics
Source Wavelength Peak Range Effic. Conc. Solvent Ref.
[nm] [nm] [nm] [%] [g/l]
XeCl-Excimer 308 396 386 - 420 70.40 Dioxane 1, 2
Nitrogen 337 395 385 - 420 rel. 0.15 Dioxane 2, 3
References
1. Lambda Physik, Wall Chart 1996.
2. F. Bos, Appl. Optics 20(20), 3553 (1981).
3. Lambda Physik, Data Sheet.

76
WAVELENGTH [NM] --->
ABSORBANCE [10-4 * L/(MOL*CM] --->
1
5
4
3
2
280
300
320
340
360
380
DPS
DPS
LC 4090
C16H20 332.44
Solvent: Dioxane
260

77
DPS (LC 4090)
Constitution
4,4'-Diphenylstilbene
Pilot 409
C16H20 · MW: 332.44
Characteristics
Lambdachrome® number: 4090
CAS registry number: 26569-48-2
Appearance: white, crystalline solid
Absorption maximum (in dioxane): 340 nm
Molar absorptivity: 5.65 x 104 L mol-1 cm-1
Fluorescence maximum: -
For research and development purposes only.
Lasing Performance
Efficient laser dye for pulsed operation; tunable around 400 nm.
Pump Dye Laser Characteristics
Source Wavelength Peak Range Effic. Conc. Solvent Ref.
[nm] [nm] [nm] [%] [g/l]
XeCl-Excimer 308 406 399 - 415 11 0.25 Dioxane 1, 2
Nitrogen 337 404 394 - 416 rel. 0.12 Dioxane 3, 4
Nd:YAG, 3rd 355 408 - --Tol. 5
Flashlamp -409 406 - 411 -sat. DMF 6, 7
References
1. Lambda Physik, Wall Chart 1996.
2. H. Telle, W. Hüffer, D. Basting, Opt. Commun. 38(5,6), 402 (1981).
3. Lambda Physik, Data Sheet.
4. A. Dienes, Appl. Phys. 7, 135 (1975).
5. V. D. Kotzubanov et al., Opt. Spectrosc. 25, 406 (1968).
6. P. R. Hammond et al., Appl. Phys. 9, 67 (1976).
7. H. W. Furumoto et al., IEEE J. Quant. Electron. QE-6, 262 (1970).

78
WAVELENGTH [NM] --->
ABSORBANCE [10-4 * L/(MOL*CM] --->
1
6
5
4
3
2
200
220
240
260
280
300
320
340
360
380
400
420
Stilbene 1
Stilbene 1
LC 4100
C26H18O6S2K2568.74
Solvent: Ethylene Glycol

79
Stilbene 1 (LC 4100)
Constitution
[1,1'-Biphenyl]-4-sulfonic acid, 4',4''-1,2-ethene-diylbis-, dipotassium salt
C26H18O6S2K2 · MW: 568.74
Characteristics
Lambdachrome® number: 4100
CAS registry number: 74758-59-1
Appearance: slightly yellow, crystalline solid
Absorption maximum (in Eg.): 350 nm
Molar absorptivity: 4.55 x 104 L mol-1 cm-1
Fluorescence maximum: -
For research and development purposes only.
Lasing Performance
Efficient laser dye for pulsed and CW operation; tunable around 415 nm.
Pump Dye Laser Characteristics
Source Wavelength Peak Range Effic. Conc. Solvent Ref.
[nm] [nm] [nm] [%] [g/l]
XeCl-Excimer 308 416 405 - 428 60.50 Eg. 1, 2, 3
Nitrogen 337 417 405 - 446 rel. 0.20 Eg. 4
CW, Ar+UV 415 403 - 428 -0.75 Eg. 1, 4, 5, 6
References
1. Lambda Physik, Wall Chart 1996.
2. H. Telle, W. Hüffer, D. Basting, Opt. Commun. 38(5,6), 402 (1981).
3. F. Bos, Appl. Optics 20(20), 3553 (1981).
4. Lambda Physik, Data Sheet.
5. T. F. Johnston, R. H. Brady, W. Proffitt, Appl. Optics 21(13), 2307 (1982).
6. W. Hüffer et al., Opt. Commun. 28(3), 353 (1979).

80
WAVELENGTH [NM] --->
ABSORBANCE [10-4 * L/(MOL*CM] --->
1
4
3
2
220
240
260
280
300
320
340
360
380
400
BBO
BBO
LC 4150
C27H19NO 374.45
Solvent: Dioxane

81
BBO (LC 4150)
Constitution
2,5-Bis-(4-biphenylyl)-oxazol
C27H19NO · MW: 374.45
Characteristics
Lambdachrome® number: 4150
CAS registry number: 2083-09-2
Appearance: white, crystalline solid
Absorption maximum (in dioxane): 340 nm
Molar absorptivity: 4.76 x 104 L mol-1 cm-1
Fluorescence maximum (in toluene): 412 nm
For research and development purposes only.
Lasing Performance
Laser dye for pulsed operation; tunable around 410 nm.
Pump Dye Laser Characteristics
Source Wavelength Peak Range Effic. Conc. Solvent Ref.
[nm] [nm] [nm] [%] [g/l]
Nitrogen 337 408 401 - 419 14 0.74 Dioxane 1, 2
Nd:YAG, 3rd 355 409 -80.96 Tol. 3
Flashlamp -410 - - 0.37 Dioxane 4, 5
References
1. M. Maeda, Y. Miyazoe, Jpn. J. Appl. Phys. 13(5), 827 (1974).
2. H. P. Broida, S. C. Haydon, Appl. Phys. Letters 16(3), 142 (1970).
3. G. A. Abakumov et al., JETP Letters 9, 9 (1969).
4. H. W. Furumoto et al., IEEE J. Quant. Electron. QE-6(5), 262 (1970).
5. M. Maeda, Y. Miyazoe, Jpn. J. Appl. Phys. 11(5), 692 (1972).

82
WAVELENGTH [NM] --->
ABSORBANCE [10-4 * L/(MOL*CM] --->
1
5
4
3
2
200
220
240
260
280
300
320
340
360
400
380
Stilbene 3
Stilbene 3
LC 4200
C28H20O6S2 · 2 Na 562.56
Solvent: Ethanol

83
Stilbene 3 (LC 4200)
Constitution
2,2'-([1,1'-Biphenyl]-4,4'-diyldi-2,1-ethenediyl)-bis-benzenesulfonic acid
Disodium Salt
Stilbene 420
C28H20O6S2 · 2 Na · MW: 562.56
Characteristics
Lambdachrome® number: 4200
CAS registry number: 27344-41-8
Appearance: yellow, crystalline solid
Absorption maximum (in Ethanol.): 350 nm
Molar absorptivity: 5.89 x 104 L mol-1 cm-1
Fluorescence maximum: -
For research and development purposes only.
Lasing Performance
Efficient laser dye for pulsed and CW operation; tunable around 425 nm.
Pump Dye Laser Characteristics
Source Wavelength Peak Range Effic. Conc. Solvent Ref.
[nm] [nm] [nm] [%] [g/l]
XeCl-Excimer 308 425 412 - 443 90.65 Methanol 1, 2, 3
Nitrogen 337 424 408 - 457 rel. 0.22 Methanol 3, 4
Nd:YAG, 3rd 355 428 415 - 439 15 0.25 Methanol 1, 5
CW, Ar+UV 435 410 - 485 -1.0 Eg. 1, 4, 6, 7
References
1. Lambda Physik, Wall Chart 1996.
2. H. Telle, W. Hüffer, D. Basting, Opt. Commun. 38(5,6), 402 (1981).
3. F. Bos, Appl. Optics 20(20), 3553 (1981).
4. Lambda Physik, Data Sheet.
5. D. M. Guthals, J. W. Nibler, Opt. Commun. 29(3), 322 (1979).
6. T. F. Johnston, R. H. Brady, W. Proffitt, Appl. Optics 21(13), 2307 (1982).
7. J. Kuhl et al., Opt. Commun. 24(3), 251 (1978).

84
WAVELENGTH [NM] --->
ABSORBANCE [10-4 * L/(MOL*CM] --->
1
4
3
2
200
220
240
260
280
300
320
340
360
380
Carbostyryl 7
Carbostyryl 7
LC 4220
C10H10N2O 174.20
Solvent: Ethanol

85
Carbostyryl 7 (LC 4220)
Constitution
7-Amino-4-methylcarbostyryl
Carbostyryl 124
C10H10N2O · MW: 174.20
Characteristics
Lambdachrome® number: 4220
CAS registry number: -
Appearance: white, crystalline solid
Absorption maximum (in ethanol): 350 nm
Molar absorptivity: 1.46 x 104 L mol-1 cm-1
Fluorescence maximum (in ethanol): 400 nm
For research and development purposes only.
Lasing Performance
Laser dye for pulsed operation; tunable around 410 nm.
Pump Dye Laser Characteristics
Source Wavelength Peak Range Effic. Conc. Solvent Ref.
[nm] [nm] [nm] [%] [g/l]
Flashlamp -413 408 - 420 - - Ethanol 1, 3
References
1. A. N. Fletcher, Appl. Phys. 14, 295 (1977).
2. R. Srinivasan, IEEE J. Quant. Electron. QE-5, 552 (1969).

86
WAVELENGTH [NM] --->
ABSORBANCE [10-4 * L/(MOL*CM] --->
1
4
3
2
200
220
240
260
280
300
320
340
360
380
400
POPOP
POPOP
LC 4230
C24H16N2O2364.40
Solvent: Ethanol

87
POPOP (LC 4230)
Constitution
1,4-Di[2-(5-phenyloxazolyl)]benzene
Pilot 423
C24H16N2O2 · MW: 364.40
Characteristics
Lambdachrome® number: 4230
CAS registry number: 1806-34-4
Appearance: yellow, crystalline solid
Absorption maximum (in ethanol): 358 nm
Molar absorptivity: 4.43 x 104 L mol-1 cm-1
Fluorescence maximum (in ethanol): 425 nm
For research and development purposes only.
Lasing Performance
Efficient laser dye for pulsed operation; tunable around 420 nm.
Pump Dye Laser Characteristics
Source Wavelength Peak Range Effic. Conc. Solvent Ref.
[nm] [nm] [nm] [%] [g/l]
XeCl-Excimer 308 421 411 - 446 6.5 0.42 Dioxane 1
Nitrogen 337 421 412 - 454 rel. 0.39 EtOH/Tol. 1,2
Nd:YAG, 3rd 355 417 - --Tol. 3
Flashlamp -419 - - 0.12 Ethanol 4, 5
References
1. F. Bos, Appl. Optics 20(20), 3553 (1981).
2. A. Dienes, Appl. Phys. 7, 135 (1975).
3. V. D. Kotzubanov et al., Opt. Spectrosc. 25, 406 (1968).
4. H. W. Furumoto, H. L. Ceccon, J Appl Phys. 40, 4204 (1969).
5. P. R. Hammond et al., Appl. Phys. 9, 67 (1976).

88
WAVELENGTH [NM] --->
ABSORBANCE [10-4 * L/(MOL*CM] --->
Coumarin 4
Coumarin 4
LC 4240
C10H8O3176.17
Solvent: basic Ethanol
4
3
2
1
200
220
240
260
280
300
320
340
360
380
400
420

89
Coumarin 4 (LC 4240)
Constitution
7-Hydroxy-4-methylcoumarin
Umbelliferon 47
C10H8O3 · MW: 176.17
Characteristics
Lambdachrome® number: 4240
CAS registry number: 90-33-5
Appearance: colorless, crystalline solid
Absorption maximum (in bas. ethanol): 372 nm
Molar absorptivity: 2.10 x 104 L mol-1 cm-1
Fluorescence maximum (in ethanol): 445 nm
For research and development purposes only.
Lasing Performance
Laser dye for pulsed and CW operation; tunable around 450 nm.
Pump Dye Laser Characteristics
Source Wavelength Peak Range Effic. Conc. Solvent Ref.
[nm] [nm] [nm] [%] [g/l]
Nitrogen 337 -370 - 580 -various 1,2, 3
Flashlamp -454 - - 0.51 Ethanol 4, 5
CW, Ar+UV 460 460 - 560 -0.51 Eg. 6
References
1. A. Dienes, Appl. Phys. 7, 135 (1975).
2. C. V. Shank et al., Appl. Phys. Letters 16(10), 405 (1970).
3. A. Dienes et al., IEEE J. Quant. Electr. QE-9, 833 (1973).
4. A. N. Fletcher, Appl. Phys. 14, 295 (1977).
5. B. B. Snavely et al., Appl. Phys. Letters 11(9), 275 (1967).
6. J. M. Yarborough, Appl. Phys. Letters 24(12), 629 (1974).

90
WAVELENGTH [NM] --->
ABSORBANCE [10-4 * L/(MOL*CM] --->
4
3
2
1
200
220
240
260
280
300
320
340
360
380
400
Bis-MSB
Bis-MSB
LC 4250
C24H22 310.44
Solvent: Cyclohexane

91
Bis-MSB (LC 4250)
Constitution
p-Bis(o-methylstyryl)-benzene
C24H22 · MW: 310.44
Characteristics
Lambdachrome® number: 4250
CAS registry number: 13280-61-0
Appearance: yellow, crystalline solid
Absorption maximum (in cyclohexane): 350 nm
Molar absorptivity: 4.88 x 104 L mol-1 cm-1
Fluorescence maximum (in ethanol): 418 nm
For research and development purposes only.
Lasing Performance
Efficient laser dye for pulsed operation; tunable around 400 nm.
Pump Dye Laser Characteristics
Source Wavelength Peak Range Effic. Conc. Solvent Ref.
[nm] [nm] [nm] [%] [g/l]
XeCl-Excimer 308 423 414 - 428 8.3 0.24 Dioxane 1
Nitrogen 337 421 412 - 435 rel. 0.14 Dioxane 2, 3
Nd:YAG, 3rd 355 - - - 1.08 Dioxane 4
Flashlamp -420 - - 0.12 Toluene 5
References
1. Lambda Physik, Wall Chart 6/83.
2. O. Uchino et al., Appl. Phys. 19, 35 (1979).
3. Lambda Physik, Data Sheet.
4. A. J. Cox et al., Appl. Phys. Letters 31(6), 389 (1977).
5. H. W. Furumoto et al. J. Appl. Phys. 40, 4204 (1969).

92
WAVELENGTH [NM] --->
ABSORBANCE [10-4 * L/(MOL*CM] --->
1
5
4
3
2
240
260
280
300
320
340
360
380
400
420
Furan 1
Furan 1
LC 4260
C28H18NO14S4710.71
Solvent: Water

93
Furan 1 (LC 4260)
Constitution
Benzofuran,2,2'-[1,1'-biphenyl]-4,4'-diyl-bis-tetrasulfonic acid (tetrasodium salt)
C28H18NO14S4 · MW: 710.71
Characteristics
Lambdachrome® number: 4260
CAS registry number: -
Appearance: colorless, crystalline solid
Absorption maximum (in water): 355 nm
Molar absorptivity: 5.51 x 104 L mol-1 cm-1
Fluorescence maximum: -
For research and development purposes only.
Lasing Performance
Laser dye for pulsed operation; tunable around 420 nm.
Pump Dye Laser Characteristics
Source Wavelength Peak Range Effic. Conc. Solvent Ref.
[nm] [nm] [nm] [%] [g/l]
XeCl-Excimer 308 421 410 - 435 10 0.60 Methanol 1
Nitrogen 337 425 414 - 445 3.5 1.35 Methanol 1
Nd:YAG, 3rd 355 421 410 - 435 10 0.26 Methanol 2
References
1. Lambda Physik, Data Sheet.
2. Lambda Physik, Wall Chart 1996.

94
WAVELENGTH [NM] --->
ABSORBANCE [10-4 * L/(MOL*CM] --->
1
3
2
200
220
240
260
280
300
320
340
360
380
400
Carbostyryl 3
Carbostyryl 3
LC 4350
C12H14N2O 202.26
Solvent: Ethanol

95
Carbostyryl 3 (LC 4350)
Constitution
7-Dimethylamino-4-methylquinolon-2
C12H14N2O · MW: 202.26
Characteristics
Lambdachrome® number: 4350
CAS registry number: -
Appearance: colorless, crystalline solid
Absorption maximum (in ethanol): 360 nm
Molar absorptivity: 2.03 x 104 L mol-1 cm-1
Fluorescence maximum (in ethanol): 425 nm
For research and development purposes only.
Lasing Performance
Laser dye for pulsed and CW operation; tunable around 440 nm.
Pump Dye Laser Characteristics
Source Wavelength Peak Range Effic. Conc. Solvent Ref.
[nm] [nm] [nm] [%] [g/l]
Flashlamp -430 420 - 440 poor 0.04 Methanol 1, 2
CW, Ar+UV 440 415 - 490 30.6 Eg. 3
References
1. A. N. Fletcher, Appl. Phys. 14, 295 (1977).
2. J. B. Marling et al., Appl. Optics 13(10), 2317 (1974).
3. J. M. Yarborough, Appl. Phys. Letters 24(12), 629 (1974).

96
WAVELENGTH [NM] --->
ABSORBANCE [10-4 * L/(MOL*CM] --->
1
0.5
2.5
3
2
1.5
200
220
240
260
280
300
320
340
360
380
400
Coumarin 120
Coumarin 120
LC 4400
C10H9NO2175.19
Solvent: Ethanol

97
Coumarin 120 (LC 4400)
Constitution
7-Amino-4-methylcoumarin
Coumarin 440
C10H9NO2 · MW: 175.19
Characteristics
Lambdachrome® number: 4400
CAS registry number: 26093-31-2
Appearance: slightly yellow, crystalline solid
Absorption maximum (in ethanol): 354 nm
Molar absorptivity: 1.81 x 104 L mol-1 cm-1
Fluorescence maximum (in ethanol): 435 nm
For research and development purposes only.
Lasing Performance
Efficient laser dye for pulsed and CW operation; tunable around 440 nm.
Pump Dye Laser Characteristics
Source Wavelength Peak Range Effic. Conc. Solvent Ref.
[nm] [nm] [nm] [%] [g/l]
XeCl-Excimer 308 441 423 - 462 15 0.82 Methanol 1,2
Nitrogen 337 438 418 - 465 rel. 0.25 Methanol 2, 3
Nd:YAG, 3rd 355 440 420 - 470 16 0.25 Methanol 1, 4
Flashlamp -440 420 - 470 -0.04 Methanol 5
CW, Ar+UV 450 425 - 475 -0.52 Eg. 6
References
1. Lambda Physik, Wall Chart 1996.
2. F. Bos, Appl. Optics 20(20), 3553 (1981).
3. Lambda Physik, Data Sheet.
4. K. Kato, IEEE J. Quantum Electr. QE-11, 373 (1975).
5. J. B. Marling et al., Appl. Optics 13(10), 2317 (1974).
6. J. M. Yarborough, Appl. Phys. Letters 24(12), 629 (1974).

98
WAVELENGTH [NM] --->
ABSORBANCE [10-4 * L/(MOL*CM] --->
0.5
1
1.5
2
2.5
3
200
220
240
260
280
300
320
340
360
380
400
420
Coumarin 2
Coumarin 2
LC 4500
C13H15NO2217.27
Solvent: Ethanol

99
Coumarin 2 (LC 4500)
Constitution
7-Amino-4-methylcoumarin
Coumarin 450
C13H15NO2 · MW: 217.27
Characteristics
Lambdachrome® number: 4500
CAS registry number: 26078-25-1
Appearance: slightly yellow, crystalline solid
Absorption maximum (in ethanol): 366 nm
Molar absorptivity: 2.02 x 104 L mol-1 cm-1
Fluorescence maximum (in ethanol): 443 nm
For research and development purposes only.
Lasing Performance
Efficient laser dye for pulsed and CW operation; tunable around 450 nm.
Pump Dye Laser Characteristics
Source Wavelength Peak Range Effic. Conc. Solvent Ref.
[nm] [nm] [nm] [%] [g/l]
XeCl-Excimer 308 448 432- 475 15 1.50 Methanol 1, 2
Nitrogen 337 444 426 - 475 rel. 0.40 Methanol 3, 4
Nd:YAG, 3rd 355 450 435 - 467 10 0.30 Methanol 3, 5
Flashlamp -450 440 - 458 - - Ethanol 6
CW, Ar+UV 450 430 - 480 -0.59 Bz./Eg. 7
References
1. Lambda Physik, Wall Chart 1996.
2. F. Bos, Appl. Optics 20(20), 3553 (1981).
3. Lambda Physik, Data Sheet.
4. R. J. von Gutfeld et al., IEEE J. Quantum Electron. QE-6, 332 (1970).
5. D. M. Guthals, J. W. Nibler, Opt. Commun. 29(3), 322 (1979).
6. A. N. Fletcher, Appl. Phys. 14, 295 (1977).
7. Coherent, CW Dye Laser Fact Sheets.

100
WAVELENGTH [NM] --->
ABSORBANCE [10-4 * L/(MOL*CM] --->
0.5
1
1.5
2
2.5
3
3.5
200
240
280
320
360
400
440
480
520
560
DASPI
DASPI
LC 4650
C16H19N2I 366.24
Solvent: Ethanol

101
DASPI (LC 4650)
Constitution
2-(p-Dimethylaminostyryl)-pyridylmethyl Iodide
C16H19N2I · MW: 366.24
Characteristics
Lambdachrome® number: 4650
CAS registry number: -
Appearance: orange, crystalline solid
Absorption maximum (in ethanol): 472 nm
Molar absorptivity: 3.83 x 104 L mol-1 cm-1
Fluorescence maximum: -
For research and development purposes only.
Lasing Performance
Saturable absorber for flashlamp pumped Coumarin 1, 102, 466, and 6H dye
lasers1.).
References
1. W. Sibbett, J. R. Taylor, Opt. Commun. 46(1), 32 (1983).

102
WAVELENGTH [NM] --->
ABSORBANCE [10-4 * L/(MOL*CM] --->
0.5
1
1.5
2
2.5
3
200
220
240
260
280
300
320
340
360
380
400
420
440
Coumarin 466
Coumarin 466
LC 4660
C13H15NO2217.27
Solvent: Ethanol

103
Coumarin 466 (LC 4660)
Constitution
7-Diethylaminocoumarin
LD 466 · C1H
C13H15NO2 · MW: 217.27
Characteristics
Lambdachrome® number: 4660
CAS registry number: -
Appearance: yellow, crystalline solid
Absorption maximum (ethanol): 380 nm
Molar absorptivity: 2.38 x 104 L mol-1 cm-1
Fluorescence maximum: -
For research and development purposes only.
Lasing Performance
Efficient laser dye for pulsed operation; tunable around 465 nm.
Pump Dye Laser Characteristics
Source Wavelength Peak Range Effic. Conc. Solvent Ref.
[nm] [nm] [nm] [%] [g/l]
Flashlamp -466 - - 0.16 Ethanol 1, 2
References
1. E. J. Schimitschek et al., Opt. Commun. 16(3), 313 (1976).
2. E. A. Stappaerts, Appl. Optics 16(12), 3079 (1977).

104
WAVELENGTH [NM] --->
ABSORBANCE [10-4 * L/(MOL*CM] --->
0.5
1
1.5
2
2.5
200
220
240
260
280
300
320
340
360
380
400
420
440
Coumarin 47
Coumarin 47
LC 4700
C14H17NO2231.29
Solvent: Ethanol

105
Coumarin 47 (LC 4700)
Constitution
7-Diethylamino-4-methylcoumarin
Coumarin 460 · Coumarin 1
C14H17NO2 · MW: 231.29
Characteristics
Lambdachrome® number: 4700
CAS registry number: 99-44-1
Appearance: slightly yellow, crystalline solid
Absorption maximum (in ethanol): 373 nm
Molar absorptivity: 2.10 x 104 L mol-1 cm-1
Fluorescence maximum (in ethanol): 450 nm
For research and development purposes only.
Lasing Performance
Efficient laser dye for pulsed and CW operation; tunable around 450 nm.
Pump Dye Laser Characteristics
Source Wavelength Peak Range Effic. Conc. Solvent Ref.
[nm] [nm] [nm] [%] [g/l]
XeCl-Excimer 308 456 440 - 484 18 1.60 Methanol 1, 2, 3
Nitrogen 337 453 436 - 486 rel. 0.66 Methanol 3, 4
Nd:YAG, 3rd 355 460 444 - 476 15 0.3 Methanol 1, 5
Flashlamp -460 435 - 490 -0.02 Ethanol 6, 7
CW, Ar+UV 470 450 - 500 -1.76 MeOH/Eg. 8
References
1. Lambda Physik, Wall Chart 1996.
2. H. Telle, W. Hüffer, D. Basting, Opt. Commun. 38(5,6), 403 (1981).
3. F. Bos, Appl. Optics 20(20), 3553 (1981).
4. Lambda Physik, Data Sheet.
5. D. M. Guthals, J. W. Nibbler, Opt. Commun. 29(3), 322 (1977).
6. J. B. Marling et al., Appl. Optics 13(10), 2317 (1974).
7. J. B. Marling et al., Appl. Phys. Letters 17(12), 527 (1970).
8. Coherent, CW Dye Laser Fact Sheets.

106
WAVELENGTH [NM] --->
ABSORBANCE [10-4 * L/(MOL*CM] --->
0.5
1
1.5
2
2.5
3
200
220
240
260
280
300
320
340
360
380
400
420
440
460
Coumarin 102
LC 4800
C16H17NO2255.23
Solvent: Ethanol
Coumarin 102

107
Coumarin 102 (LC 4800)
Constitution
2,3,5,6-1H,4H-Tetrahydro-8-methylquinolizino-[9,9a,1-gh]-coumarin
Coumarin 480
C16H17NO2 · MW: 255.23
Characteristics
Lambdachrome® number: 4800
CAS registry number: 41267-76-9
Appearance: yellow, crystalline solid
Absorption maximum (in ethanol): 389 nm
Molar absorptivity: 2.15 x 104 L mol-1 cm-1
Fluorescence maximum (in ethanol): 465 nm
For research and development purposes only.
Lasing Performance
Efficient laser dye for pulsed and CW operation; tunable around 480 nm.
Pump Dye Laser Characteristics
Source Wavelength Peak Range Effic. Conc. Solvent Ref.
[nm] [nm] [nm] [%] [g/l]
XeCl-Excimer 308 480 460 - 510 18 2.30 Methanol 1, 2
Nitrogen 337 470 454 - 506 rel. 1.44 Methanol 3
Nd:YAG, 3rd 355 480 462 - 497 15 0.40 Methanol 1, 4
Flashlamp -480 460 - 530 0.05 Methanol 5
CW, Ar+UV 482 463 - 515 -2.0 Bz./Eg. 1, 6
References
1. Lambda Physik, Wall Chart 1996.
2. H. Telle, W. Hüffer, D. Basting, Opt. Commun. 38(5,6), 403 (1981).
3. Lambda Physik, Data Sheet.
4. K. Kato, IEEE J. Quant. Electron. QE-11, 373 (1975).
5. J. B. Marling et al., Appl. Optics 13(10), 2317 (1974).
6. Coherent, CW Dye Laser Fact Sheets.

108
WAVELENGTH [NM] --->
ABSORBANCE [10-4 * L/(MOL*CM] --->
Coumarin 152A
Coumarin 152A
LC 4810
C14H14NO2F3285.27
Solvent: Ethanol
1
2
3
1.5
0.5
2.5
200
220
240
260
280
300
320
340
360
380
400
420
440
460

109
Coumarin 152A (LC 4810)
Constitution
7-Diethylamino-4-trifluormethylcoumarin
Coumarin 481 · C1F
C14H14NO2F3 · MW: 285.27
Characteristics
Lambdachrome® number: 4810
CAS registry number: 41934-47-8
Appearance: yellow, crystalline solid
Absorption maximum (in ethanol): 405 nm
Molar absorptivity: 2.16 x 104 L mol-1 cm-1
Fluorescence maximum (in ethanol): 510 nm
For research and development purposes only.
Lasing Performance
Efficient laser dye for pulsed operation; tunable around 500 nm.
Pump Dye Laser Characteristics
Source Wavelength Peak Range Effic. Conc. Solvent Ref.
[nm] [nm] [nm] [%] [g/l]
XeCl-Excimer 308 517 491 - 553 41.84 Ethanol 1, 2
Nitrogen 337 490 461 - 549 rel. 1.71 Dioxane 2, 3
Nd:YAG, 3rd 355 520 500 - 540 -2.85 Ethanol 4
Flashlamp -481 - - 0.21 Dioxane 5
References
1. H. Telle, W. Hüffer, D. Basting, Opt. Commun. 38(5,6), 403 (1981).
2. F. Bos, Appl. Optics 20(20), 3553 (1981).
3. J. A. Halstead, R. R. Reeves, Opt. Commun. 27(2), 273 (1978).
4. D. M. Guthals, J. W. Nibbler, Opt. Commun. 29(3), 322 (1977).
5. E. J. Schimitschek et al., IEEE J. Quantum Electron. QE-9, 781 (1973).

110
WAVELENGTH [NM] --->
ABSORBANCE [10-4 * L/(MOL*CM] --->
1
2
3
0.5
2.5
1.5
200
220
240
260
280
300
320
340
360
380
400
420
440
460
480
Coumarin 152
Coumarin 152
LC 4850
C13H10NO2F3257.21
Solvent: Ethanol

111
Coumarin 152 (LC 4850)
Constitution
7-Dimethylamino-4-trifluormethylcoumarin
Coumarin 485 · C2F
C13H10NO2F3 · MW: 257.21
Characteristics
Lambdachrome® number: 4850
CAS registry number: 53518-14-2
Appearance: yellow, crystalline solid
Absorption maximum (in ethanol): 397 nm
Molar absorptivity: 1.97 x 104 L mol-1 cm-1
Fluorescence maximum (in ethanol): 510 nm
For research and development purposes only.
Lasing Performance
Efficient laser dye for pulsed operation; tunable around 520 nm.
Pump Dye Laser Characteristics
Source Wavelength Peak Range Effic. Conc. Solvent Ref.
[nm] [nm] [nm] [%] [g/l]
XeCl-Excimer 308 520 490 - 570 5.5 2.00 Ethanol 1
Nitrogen 337 532 495 - 560 - - Ethanol 2
Flashlamp - - 518 - 531 - - Ethanol 3
References
1. H. Telle, W. Hüffer, D. Basting, Opt. Commun. 38(5,6), 403 (1981).
2. Lambda Physik, Data Sheet.
3. A. N. Fletcher, Appl. Phys. 14, 295 (1977).

112
WAVELENGTH [NM] --->
ABSORBANCE [10-4 * L/(MOL*CM] --->
0.5
1
1.5
2
2.5
3
200
220
240
260
280
300
320
340
360
380
400
420
440
460
480
Coumarin 151
Coumarin 151
LC 4900
C10H6NO2F3229.16
Solvent: Ethanol

113
Coumarin 151 (LC 4900)
Constitution
7-Amino-4-trifluormethylcoumarin
Coumarin 490 · C3F
C10H6NO2F3 · MW: 229.16
Characteristics
Lambdachrome® number: 4900
CAS registry number: 53518-13-3
Appearance: yellow, crystalline solid
Absorption maximum (in ethanol): 382 nm
Molar absorptivity: 1.70 x 104 L mol-1 cm-1
Fluorescence maximum (in ethanol): 480 nm
For research and development purposes only.
Lasing Performance
Efficient laser dye for pulsed operation; tunable around 490 nm.
Pump Dye Laser Characteristics
Source Wavelength Peak Range Effic. Conc. Solvent Ref.
[nm] [nm] [nm] [%] [g/l]
Flashlamp -490 481 - 493 - - Ethanol 1, 2
References
1. A. N. Fletcher, Appl. Phys. 14, 295 (1977).
2. G. A. Reynolds, K. H. Drexhage, Opt. Commun. 13(3), 222 (1975).

114
WAVELENGTH [NM] --->
ABSORBANCE [10-4 * L/(MOL*CM] --->
0.5
1
1.5
2
2.5
3
200
220
240
260
280
300
320
340
360
380
400
420
440
460
Coumarin 6H
Coumarin 6H
LC 4910
C15H15NO2241.29
Solvent: Ethanol

115
Coumarin 6H (LC 4910)
Constitution
2,3,5,6-1H,4H-Tetrahydroquinolizino-[9,9a,1-gh]coumarin
LD 490 · C6H
C15H15NO2 · MW: 241.29
Characteristics
Lambdachrome® number: 4910
CAS registry number: 58336-35-9
Appearance: yellow, crystalline solid
Absorption maximum (in ethanol): 396 nm
Molar absorptivity: 2.50 x 104 L mol-1 cm-1
Fluorescence maximum: -
For research and development purposes only.
Lasing Performance
Efficient laser dye for pulsed operation; tunable around 490 nm.
Pump Dye Laser Characteristics
Source Wavelength Peak Range Effic. Conc. Solvent Ref.
[nm] [nm] [nm] [%] [g/l]
XeCl-Excimer 308 491 463 - 522 5.7 1.33 Etahnol 1
Flashlamp - - 477 - 493 - - Ethanol 2
CW, Kr+VIO 490 476 - 515 -1.20 Eg./Bz. 3
References
1. Lambda Physik.
2. A. N. Fletcher, Appl. Phys. 14, 295 (1977).
3. Lambda Physik, Data Sheet.

116
WAVELENGTH [NM] --->
ABSORBANCE [10-4 * L/(MOL*CM] --->
0.5
1
1.5
2
2.5
3
3.5
200
220
240
260
280
300
320
340
360
380
400
420
440
460
Coumarin 307
Coumarin 307
LC 5000
C13H12NO2F3271.24
Solvent: Ethanol

117
Coumarin 307 (LC 5000)
Constitution
7-Ethylamino-6-methyl-4-trifluormethylcoumarin
Coumarin 503
C13H12NO2F3 · MW: 271.24
Characteristics
Lambdachrome® number: 5000
CAS registry number: 55804-66-5
Appearance: yellow, crystalline solid
Absorption maximum (in ethanol): 395 nm
Molar absorptivity: 1.85 x 104 L mol-1 cm-1
Fluorescence maximum (in ethanol): 490 nm
For research and development purposes only.
Lasing Performance
Efficient laser dye for pulsed and CW operation; tunable around 500 nm.
Pump Dye Laser Characteristics
Source Wavelength Peak Range Effic. Conc. Solvent Ref.
[nm] [nm] [nm] [%] [g/l]
XeCl-Excimer 308 500 479 - 553 16 3.40 Methanol 1, 2
Nitrogen 337 504 478 - 547 rel. 1.60 Methanol 3, 4
Nd:YAG, 3rd 355 508 485 - 546 15 0.70 Methanol 1
Flashlamp - - 490 - 510 - - Ethanol 6
References
1. Lambda Physik, Wall Chart 1996.
2. H. Telle, W. Hüffer, D. Basting, Opt. Commun. 38(5,6), 403 (1981).
3. F. Bos, Appl. Optics 20(20), 3553 (1981).
4. Lambda Physik, Data Sheet.
5. A. N. Fletcher, Appl Phys. 14, 295 (1977).

118
WAVELENGTH [NM] --->
ABSORBANCE [10-4 * L/(MOL*CM] --->
0.5
1
1.5
2
2.5
3
200
220
240
260
280
300
320
340
360
380
400
420
440
460
480
Coumarin 500
Coumarin 500
LC 5010
C12H10NO2F3257.21
Solvent: Ethanol

119
Coumarin 500 (LC 5010)
Constitution
7-Ethylamino-4-trifluormethylcoumarin
C12H10NO2F3 · MW: 257.21
Characteristics
Lambdachrome® number: 5010
CAS registry number: -
Appearance: yellow, crystalline solid
Absorption maximum (in ethanol): 395 nm
Molar absorptivity: 1.85 x 104 L mol-1 cm-1
Fluorescence maximum: -
For research and development purposes only.
Lasing Performance
Efficient laser dye for pulsed operation; tunable around 500 nm.
Pump Dye Laser Characteristics
Source Wavelength Peak Range Effic. Conc. Solvent Ref.
[nm] [nm] [nm] [%] [g/l]
XeCl-Excimer 308 502 480 - 520 12 2.40 Methanol 1, 2
Nitrogen 337 503 473 - 562 rel. 1.40 Ethanol 2
Nd:YAG, 3rd 355 518 498 - 546 10 0.70 Methanol 3, 6
Flashlamp - - - - - - 4, 5
References
1. Lambda Physik
2. F. Bos, Appl. Optics 20(20), 3553 (1981).
3. D. M. Guthals, J. W. Nibler, Opt. Commun. 29(3), 322(1979).
4. Th. Varghese, Opt. Commun. 44(5), 353(1983).
5. A. N. Fletcher, Appl. Phys. 14, 295 (1977).
6. Lambda Physik, Wall Chart 1996.

120
WAVELENGTH [NM] --->
ABSORBANCE [10-4 * L/(MOL*CM] --->
1
2
3
4
200
220
240
260
280
300
320
340
360
380
400
420
440
460
480
Coumarin 314
LC 5040
C18H19NO4313.35
Solvent: Ethanol
Coumarin 314

121
Coumarin 314 (LC 5040)
Constitution
2,3,5,6-1H,4H-Tetrahydro-9-carboethoxyquinolizino-[9,9a,1-gh]coumarin
Coumarin 504
C18H19NO4 · MW: 313.35
Characteristics
Lambdachrome® number: 5040
CAS registry number: 55804-66-5
Appearance: yellow, crystalline solid
Absorption maximum (in ethanol): 436 nm
Molar absorptivity: 4.70 x 104 L mol-1 cm-1
Fluorescence maximum (in ethanol): 480 nm
For research and development purposes only.
Lasing Performance
Efficient laser dye for pulsed operation; tunable around 505 nm.
Pump Dye Laser Characteristics
Source Wavelength Peak Range Effic. Conc. Solvent Ref.
[nm] [nm] [nm] [%] [g/l]
Flashlamp -506 490 - 504 - - Ethanol 1, 2
References
1. K. H. Drexhage et al., IEEE J. Quantum Electron. QE-10, 695 (1974).
2. A. N. Fletcher, Appl. Phys. 14, 295 (1977).

122
WAVELENGTH [NM] --->
ABSORBANCE [10-4 * L/(MOL*CM] --->
0.5
1.5
1
2
2.5
3
3.5
200
220
240
260
280
300
320
340
360
380
400
420
440
460
480
Coumarin 510
LC 5100
C20H18N2O2318.36
Solvent: Ethanol
Coumarin 510

123
Coumarin 510 (LC 5100)
Constitution
2,3,5,6-1H,4H-Tetrahydro-9-(3-pyridyl)-quinolizino-[9,9a,1-gh]coumarin
C20H18N2O2 · MW: 318.36
Characteristics
Lambdachrome® number: 5100
CAS registry number: -
Appearance: yellow, crystalline solid
Absorption maximum (in ethanol): 425 nm
Molar absorptivity: 3.70 x 104 L mol-1 cm-1
Fluorescence maximum: -
For research and development purposes only.
Lasing Performance
Efficient laser dye for pulsed operation; tunable around 510 nm.
Pump Dye Laser Characteristics
Source Wavelength Peak Range Effic. Conc. Solvent Ref.
[nm] [nm] [nm] [%] [g/l]
Flashlamp -511 504 - 511 - - Ethanol 1
CW, Ar+VIO 525 495 - 565 -1.0 Bz./Eg 2
References
1. A. N. Fletcher et al., Opt. Commun. 47(1), 57 (1983).
2. Lambda Physik.

124
WAVELENGTH [NM] --->
ABSORBANCE [10-4 * L/(MOL*CM] --->
1
2
3
4
200
220
240
260
280
300
320
340
360
380
400
420
440
460
Coumarin 30
Coumarin 30
LC 5150
C21H21N3O2347.42
Solvent: Ethanol

125
Coumarin 30 (LC 5150)
Constitution
3-(2'-N-Methylbenzimidazolyl)-7-N,N-diethylaminocoumarin
Coumarin 515
C21H21N3O2 · MW: 347.42
Characteristics
Lambdachrome® number: 5150
CAS registry number: 41044-12-6
Appearance: yellow, crystalline solid
Absorption maximum (in ethanol): 412 nm
Molar absorptivity: 4.45 x 104 L mol-1 cm-1
Fluorescence maximum (in ethanol): 488 nm
For research and development purposes only.
Lasing Performance
Efficient laser dye for pulsed operation; tunable around 510 nm.
Pump Dye Laser Characteristics
Source Wavelength Peak Range Effic. Conc. Solvent Ref.
[nm] [nm] [nm] [%] [g/l]
Flashlamp -508 480 - 540 -0.07 Methanol 1, 2
CW, Kr+VIO 510 480 - 555 12 0.26 MeOH/Eg 3
References
1. A. N. Fletcher, Appl. Phys. 14, 295 (1977).
2. J. B. Marling et al., Appl. Optics. 13(10), 2317 (1974).
3. Coherent, CW Dye Laser Fact Sheets.

126
WAVELENGTH [NM] --->
ABSORBANCE [10-4 * L/(MOL*CM] --->
1
2
3
4
200
220
240
260
280
300
320
340
360
380
400
420
440
460
480
500
Coumarin 334
Coumarin 334
LC 5210
C17H17NO3283.33
Solvent: Ethanol

127
Coumarin 334 (LC 5210)
Constitution
2,3,5,6-1H,4H-Tetrahydro-9-acetylquinolizino-[9,9a,1-gh]-coumarin
Coumarin 521
C17H17NO3 · MW: 283.33
Characteristics
Lambdachrome® number: 5210
CAS registry number: 55804-67-6
Appearance: yellow, crystalline solid
Absorption maximum (in ethanol): 450 nm
Molar absorptivity: 4.73 x 104 L mol-1 cm-1
Fluorescence maximum (in ethanol): 495 nm
For research and development purposes only.
Lasing Performance
Efficient laser dye for pulsed and CW operation; tunable around 480 nm.
Pump Dye Laser Characteristics
Source Wavelength Peak Range Effic. Conc. Solvent Ref.
[nm] [nm] [nm] [%] [g/l]
XeCl-Excimer 308 520 506 - 537 12 1.50 Methanol 1, 2
Flashlamp - - 507 - 512 -Methanol 3, 4
References
1. Lambda Physik, Wall Chart 6/83.
2. V. S. Antonov, K. L. Hohla, Appl. Phys. B32, 9(1983).
3. A. N. Fletcher Appl. Phys. 14, 295 (1977).
4. G. A. Reynolds, K. H. Drexhage, Opt. Commun. 13(3), 222(1975).

128
WAVELENGTH [NM] --->
ABSORBANCE [10-4 * L/(MOL*CM] --->
Coumarin 522
Coumarin 522
LC 5220
C14H12NO2F3283.25
Solvent: Ethanol
0.5
1
1.5
2
2.5
3
200
220
240
260
280
300
320
340
360
380
400
420
440
460
480
500

129
Coumarin 522 (LC 5220)
Constitution
N-Methyl-4-trifluormethylpiperidino-[3,2-g]-coumarin
C8F
C14H12NO2F3 · MW: 283.25
Characteristics
Lambdachrome® number: 5220
CAS registry number: 55318-19-7
Appearance: yellow, crystalline solid
Absorption maximum (in ethanol): 410 nm
Molar absorptivity: 2.06 x 104 L mol-1 cm-1
Fluorescence maximum (in ethanol): 516 nm
For research and development purposes only.
Lasing Performance
Efficient laser dye for pulsed operation; tunable around 520 nm.
Pump Dye Laser Characteristics
Source Wavelength Peak Range Effic. Conc. Solvent Ref.
[nm] [nm] [nm] [%] [g/l]
Nitrogen 337 520 495 - 575 14 0.04 DMF 1
Nd:YAG, 3rd 355 525 505 - 550 -1.41 Ethanol 2
Flashlamp - - 518 - 528 - - Ethanol 3
References
1. P. R. Hammond, IEEE J. Quantum Electron. QE-15(7), 624(1979).
2. D. M. Guthals, J. W. Nibler, Opt. Commun. 29(3), 322(1979).
3. A. N. Fletcher, Appl. Phys. 14, 295 (1977).

130
WAVELENGTH [NM] --->
ABSORBANCE [10-4 * L/(MOL*CM] --->
1
5
2
3
4
200
250
300
350
400
450
500
550
600
DASBTI
LC 5280
C19H21N2SI 436.35
Solvent: Ethanol
DASBTI

131
DASBTI (LC 5280)
Constitution
2-(p-Dimethylaminostyryl)-benzothiazolylethyl Iodide
C19H21N2SI · MW: 436.35
Characteristics
Lambdachrome® number: 5280
CAS registry number: -
Appearance: red, crystalline solid
Absorption maximum (in ethanol): 530nm
Molar absorptivity: 5.49 x 104 L mol-1 cm-1
Fluorescence maximum: -
For research and development purposes only.
Lasing Performance
Saturable absorber for flashlamp pumped Coumarin 6, 153, 522, ands
Rhodamine 110 dye lasers 1., 2.). Applicable around 530 nm.
References
1. W. Sibbett, J. R. Taylor, Appl. Phys. B29, 191(1982).
2. W. Sibbett, J. R. Taylor, IEEE J. Quantum Electron. QE-19(4), 558(1983).

132
WAVELENGTH [NM] --->
ABSORBANCE [10-4 * L/(MOL*CM] --->
1
2
3
4
5
200
220
240
260
280
300
320
340
360
380
400
420
440
460
480
Coumarin 7
Coumarin 7
LC 5350
C20H19N3O2333.39
Solvent: Ethanol

133
Coumarin 7 (LC 5350)
Constitution
3-(2'-Benzimidazolyl)-7-N,N-diethylaminocoumarin
Coumarin 535
C20H19N3O2 · MW: 333.39
Characteristics
Lambdachrome® number: 5350
CAS registry number: 27425-55-4
Appearance: yellow, crystalline solid
Absorption maximum (in ethanol): 433 nm
Molar absorptivity: 5.05 x 104 L mol-1 cm-1
Fluorescence maximum (in ethanol): 493 nm
For research and development purposes only.
Lasing Performance
Efficient laser dye for pulsed and CW operation; tunable around 530 nm.
Pump Dye Laser Characteristics
Source Wavelength Peak Range Effic. Conc. Solvent Ref.
[nm] [nm] [nm] [%] [g/l]
Flashlamp - - 517 - 527 - - Ethanol 1
CW, Ar+VIO 530 495 - 570 91.00 Bz. 2
References
1. A. N. Fletcher Appl. Phys. 14, 295 (1977).
2. J. M. Yarborough, Appl. Phys. Lett. 24(12), 629 (1974).

134
WAVELENGTH [NM] --->
ABSORBANCE [10-4 * L/(MOL*CM] --->
3
200
Brillantsulfaflavin
220
240
260
280
300
320
340
360
380
400
420
440
460
480
500
1
2
4
5
Brillantsulfaflavin
LC 5360
C20H15N2O5SNa 418.40
Solvent: Ethanol

135
Brillantsulfaflavin (LC 5360)
Constitution
Pilot 512
C20H15N2O5SNa · MW: 418.40
Characteristics
Lambdachrome® number: 5360
CAS registry number: 2391-30-2
Appearance: yellow, crystalline solid
Absorption maximum (in ethanol): 423 nm
Molar absorptivity: 1.41 x 104 L mol-1 cm-1
Fluorescence maximum (in ethanol): 517 nm
For research and development purposes only.
Lasing Performance
Laser dye for pulsed operation; tunable around 540 nm.
Pump Dye Laser Characteristics
Source Wavelength Peak Range Effic. Conc. Solvent Ref.
[nm] [nm] [nm] [%] [g/l]
Flashlamp -540 508 - 574 -0.21 Ethanol 1, 2
References
1. M. Maeda, Y. Miyazoe, Jap. J. Appl. Phys. 11(5), 692 (1972).
2. J. B. Marling et al., IEEE J. Quantum Electr. QE-7, 498 (1971).

136
WAVELENGTH [NM] --->
ABSORBANCE [10-4 * L/(MOL*CM] --->
200
220
240
320
340
360
380
400
Coumarin 6
5
4
3
2
1
260
280
300
420
440
460
480
500
Coumarin 6
LC 5370
C20H18N2O2S 350.43
Solvent: Ethanol

137
Coumarin 6 (LC 5370)
Constitution
3-(2'-Benzothiazolyl)-7-diethylaminocoumarin
Coumarin 540
C20H18N2O2S · MW: 350.43
Characteristics
Lambdachrome® number: 5370
CAS registry number: 38215-35-0
Appearance: orange, crystalline solid
Absorption maximum (in ethanol): 458 nm
Molar absorptivity: 5.4 x 104 L mol-1 cm-1
Fluorescence maximum (in ethanol): 505 nm
For research and development purposes only.
Lasing Performance
Efficient laser dye for pulsed and CW operation; tunable around 540 nm.
Pump Dye Laser Characteristics
Source Wavelength Peak Range Effic. Conc. Solvent Ref.
[nm] [nm] [nm] [%] [g/l]
XeCl-Excimer 308 534 515 - 558 90.84 DMSO 1, 2
Flashlamp - - 530 - 539 - - Ethanol 3
CW, Ar+488 535 510 - 550 -2.0 Bz./Eg. 4, 5
References
1. Lambda Physik.
2. O. Uchino et al., Appl. Phys. 19, 35(1979).
3. A. N. Fletcher, Appl. Phys. 14, 295(1977).
4. Lambda Physik, Wall Chart 1996.
5. T. F. Johnston at al., Appl. Optics 21(13), 2307(1982).

138
WAVELENGTH [NM] --->
ABSORBANCE [10-4 * L/(MOL*CM] --->
0.5
1
1.5
2
2.5
200
220
240
260
280
300
320
340
360
380
400
420
440
460
480
500
520
Coumarin 153
Coumarin 153
LC 5400
C16H14NO2F3309.29
Solvent: Ethanol

139
Coumarin 153 (LC 5400)
Constitution
2,3,5,6-1H,4H-Tetrahydro-8-trifluormethylquinolizino-[9,9a,1-gh]coumarin
Coumarin 540A, C6F
C16H14NO2F3 · MW: 309.29
Characteristics
Lambdachrome® number: 5400
CAS registry number: 53518-18-6
Appearance: yellow, crystalline solid
Absorption maximum (in ethanol): 423 nm
Molar absorptivity: 1.89 x 104 L mol-1 cm-1
Fluorescence maximum (in ethanol): 530 nm
For research and development purposes only.
Lasing Performance
Efficient laser dye for pulsed operation; tunable around 500 nm.
Pump Dye Laser Characteristics
Source Wavelength Peak Range Effic. Conc. Solvent Ref.
[nm] [nm] [nm] [%] [g/l]
XeCl-Excimer 308 540 522 - 600 15 4.20 Methanol 1, 2, 3
Nd:YAG, 3rd 355 540 516 - 575 18 2.36 Methanol 1
Nitrogen 337 540 517 - 590 rel. 3.10 Methanol 4, 5
Flashlamp - - 528 - 547 - - Methanol 6
References
1. Lambda Physik, Wall Chart 1996.
2. H. Telle, W. Hüffer, D. Basting, Opt. Commun. 38(5,6), 403 (1981).
3. F. Bos, Appl. Optics 20(20), 3552 (1981).
4. Lambda Physik, Data Sheet.
5. R. E. Drullinger, Opt. Commun. 39(4), 263 (1981).
6. A. N. Fletcher Appl. Phys. 14, 295 (1977).

140
WAVELENGTH [NM] --->
ABSORBANCE [10-4 * L/(MOL*CM] --->
2
4
6
8
10
12
200
220
240
260
280
300
320
340
360
380
400
420
440
460
480
500
520
DOCI
DOCI
LC 5410
C21H21N2O2I 460.32
Solvent: Ethanol

141
DOCI (LC 5410)
Constitution
3,3'-Diethyloxacarbocyanine Iodide
C21H21N2O2I · MW: 460.32
Characteristics
Lambdachrome® number: 5410
CAS registry number: -
Appearance: red, crystalline solid
Absorption maximum (in ethanol): 485 nm
Molar absorptivity: 12.6 x 104 L mol-1 cm-1
Fluorescence maximum: -
For research and development purposes only.
Lasing Performance
Laser dye for pulsed operation; tunable around 540 nm. Saturable absorber for
Coumarin 102 dye lasers; applicalbel around 480 nm 2., 3.).
Pump Dye Laser Characteristics
Source Wavelength Peak Range Effic. Conc. Solvent Ref.
[nm] [nm] [nm] [%] [g/l]
Flashlamp -541 - - 0.09 Glyzerine 1
References
1. M Maeda, Y. Miyazoe, Jap. J. Appl. Phys. 11(5), 692 (1972).
2. J. C. Mialocq, P. Goujon, Appl. Phys. Letters 33(9), 819 (1978).
3. R. Wyatt, Opt. Commun. 38(1), 64 (1981).

142
WAVELENGTH [NM] --->
ABSORBANCE [10-4 * L/(MOL*CM] --->
Pyrromethene 546
1
10
9
8
7
6
5
4
3
2
200
250
300
350
500
400
450
Pyrromethene 546
LC 5450
C14H17BF2N2262.11
Solvent: Ethanol

143
Pyrromethene 546 (LC 5450)
Constitution
4,4-Difluoro-1,3,5,7,8-pentamethyl-4-bora-3a,4a-diaza-s-indacene
1,3,5,7,8-Pentamethylpyrromethenedifluoroborate Complex
C14H17BF2N2 · MW: 262.11
Characteristics
Lambdachrome® number: 5450
CAS registry number: 121207-31-6
Appearance: orange, crystalline solid
Absorption maximum (in ethanol): 494 nm
Molar absorptivity: 8.58 x 104 L mol-1 cm-1
Fluorescence maximum (in methanol): 519 nm
For research and development purposes only.
Lasing Performance
Laser dye for flashlamp pumped dye lasers; tunable around 542 nm.
Pump Dye Laser Characteristics
Source Wavelength Peak Range Effic. Conc. Solvent Ref.
[nm] [nm] [nm] [%] [g/l]
Flashlamp -542 523-580 -0.066 Methanol 1
Flashlamp -546 - - 0.039 Ethanol 2
References
1. M. Shah et al., Heteroatom Chem. 1(5), 389(1990).
2. Th. G. Pavlopoulos, M. Shah, J. H. Boyer, Opt. Commun. 70(5), 425 (1989).

144
WAVELENGTH [NM] --->
ABSORBANCE [10-4 * L/(MOL*CM] --->
2
4
6
10
8
1
3
5
9
7
250
300
350
400
450
500
550
600
DMETCI
DMETCI
LC 5460
C21H21N2S2I 492.43
Solvent: DMSO

145
DMETCI (LC 5460)
Constitution
3,3'-Dimethyl-9-ethylthiacarbocyanine Iodide
C21H21N2S2I · MW: 492.43
Characteristics
Lambdachrome® number: 5460
CAS registry number: -
Appearance: red, crystalline solid
Absorption maximum (in ethanol): 540 nm
Molar absorptivity: 10.6 x 104 L mol-1 cm-1
Fluorescence maximum: -
For research and development purposes only.
Lasing Performance
Saturable absorber for Coumarin 153 dye lasers; applicable around 540 nm 1.).
References
1. W. Sibbett, J. R. Taylor, Opt. Commun. 43(1), 50 (1982).

146
WAVELENGTH [NM] --->
ABSORBANCE [10-4 * L/(MOL*CM] --->
1
2
3
4
5
6
7
8
9
200
250
300
350
400
450
500
Uranin
LC 5520
C20H10O5 · 2H2O 412.30
Solvent: Ethanol (basic)
Uranin

147
Uranin (LC 5520)
Constitution
Disodium Fluorescein
C20H10O5 · 2H2O · MW: 412.30
Characteristics
Lambdachrome® number: 5520
CAS registry number: 518-47-8
Appearance: red, crystalline solid
Absorption maximum (in basic ethanol): 500 nm
Molar absorptivity: 9.92 x 104 L mol-1 cm-1
Fluorescence maximum (in bas. ethanol): 521 nm
For research and development purposes only.
Lasing Performance
Efficient laser dye for pulsed and CW operation; tunable around 550 nm.
Pump Dye Laser Characteristics
Source Wavelength Peak Range Effic. Conc. Solvent Ref.
[nm] [nm] [nm] [%] [g/l]
XeCl-Excimer 308 540 532 - 561 91.35 Methanol 1
Nitrogen 337 538 -rel. 1.10 Methanol 2, 3
Nd:YAG, 3rd 355 550 536 - 568 -2.06 Ethanol 4
Cu-vapor 510 528 - - 0.42 Ethanol 5
Flashlamp - - 549 - 574 -0.12 Methanol 6
CW, Ar+all 560 530 - 590 71.76 MeOh/Eg. 7
References
1. Lambda Physik, Wall Chart 6/83.
2. A. Dienes, Appl. Phys. 7, 135 (1975).
3. G. Capelle, D. Phillips, Appl. Optics 9(12), 2742 (1970).
4. D, M. Guthals, J. W. Nibler, Opt. Commun. 29(3), 322 (1979).
5. L. Masarnovskii et al., Sov. J. Quantum Electr. 9(7), 900 (1979).
6. D. A. Jennings, A. J. Varga, J. Appl. Phys. 42(12), 5171 (1971).
7. Coherent, CW Dye Laser Fact Sheets.

148
WAVELENGTH [NM] --->
ABSORBANCE [10-4 * L/(MOL*CM] --->
1
2
3
4
200
250
300
350
400
450
500
550
Fluorescein 27
Fluorescein 27
LC 5530
C20H10O5Cl 401.20
Solvent: Ethanol (neutr.)

149
Fluorescein 27 (LC 5530)
Constitution
9-(o-Carboxyphenyl)-2,7-dichloro-6-hydroxy-3H-xanthen-3-on
2,7-Dichlorofluorescein · Fluorescein 548
C20H10O5Cl · MW: 401.20
Characteristics
Lambdachrome® number: 5530
CAS registry number: 76-54-0
Appearance: red, crystalline solid
Absorption maximum (in basic ethanol): 512 nm
Molar absorptivity: 11.0 x 104 L mol-1 cm-1
Fluorescence maximum (in bas. ethanol): 530 nm
For research and development purposes only.
Lasing Performance
Laser dye for pulsed and CW operation; tunable around 550 nm.
Pump Dye Laser Characteristics
Source Wavelength Peak Range Effic. Conc. Solvent Ref.
[nm] [nm] [nm] [%] [g/l]
XeCl-Excimer 308 553 540 - 587 12 1.40 Methanol 1
Nitrogen 337 558 546 - 589 rel. 1.00 Ethanol 1, 2
Nd:YAG, 2nd 532 550 540 - 575 28 0.64 Methanol 3
Flashlamp - - 557 - 581 -0.20 Methanol 4
References
1. F. Bos, Appl. Optics 20(20), 3553 (1981).
2. E. D. Stokes et al., Opt. Commun. 5(4), 267 (1972).
3. Lambda Physik, Wall Chart 1996.
4. D. A. Jennings, A. J. Varga, J. Appl. Phys. 42(12), 5171 (1971).

150
WAVELENGTH [NM] --->
ABSORBANCE [10-4 * L/(MOL*CM] --->
Fluorol 7GA
Fluorol 7GA
LC 5550
C18H24N2O2300.40
Solvent: Ethanol
0.5
1
1.5
2
2.5
3
3.5
200
220
240
260
280
300
320
340
360
380
400
420
440
460
480
500
520

151
Fluorol 7GA (LC 5550)
Constitution
Fluorol 555
C20H24N2O2 · MW: 324.40
Characteristics
Lambdachrome® number: 5550
CAS registry number: -
Appearance: red, crystalline solid
Absorption maximum (in methanol): 440 nm
Molar absorptivity: 1.40 x 104 L mol-1 cm-1
Fluorescence maximum: -
For research and development purposes only.
Lasing Performance
Efficient laser dye for pulsedoperation; tunable around 520 nm.
Pump Dye Laser Characteristics
Source Wavelength Peak Range Effic. Conc. Solvent Ref.
[nm] [nm] [nm] [%] [g/l]
XeCl-Excimer 308 560 530 - 590 51.80 Methanol 1, 2
Flashlamp - - 530 - 600 -0.10 Methanol 3
References
1. Lambda Physik.
2. F. Bos, Appl. Optics 20(20), 3553, (1981).
3. M. Lambropoulos, Opt. Commun. 15(1), 35 (1975).

152
WAVELENGTH [NM] --->
ABSORBANCE [10-4 * L/(MOL*CM] --->
Pyrromethene 556
Pyrromethene 556
LC 5560
C14H15BF2N2O6S2Na2466.19
Solvent: Ethyleneglycol
1
10
9
8
7
6
5
4
3
2
200
250
300
350
500
400
450

153
Pyrromethene 556 (LC 5560)
Constitution
Disodium-1,3,5,7,8-pentamethylpyrromethene-2,6-disulfonate-difluoroborate
complex
C14H17BF2N2O6S2Na2 · MW: 466.19
Characteristics
Lambdachrome® number: 5560
CAS registry number: 121461-69-6
Appearance: yellow/orange, crystalline solid
Absorption maximum (in ethyleneglycol): 498 nm
Molar absorptivity: 8.88 x 104 L mol-1 cm-1
Fluorescence maximum (in methanol): 533 nm
For research and development purposes only.
Lasing Performance
Laser dye for pulsed and CW operation; tunable around 550 nm.
Pump Dye Laser Characteristics
Source Wavelength Peak Range Effic. Conc. Solvent Ref.
[nm] [nm] [nm] [%] [g/l]
Flashlamp -561 540-580 -0.03 Methanol 1
CW, Ar+458-514 553 530-624 45 0.93 Eg. 2
References
1. M. Shah et al., Heteroatom Chem. 1(5), 389(1990).
2. S. G. Guggenheimer et al., Appl. Optics 32(21), 3942 (1993).

154
WAVELENGTH [NM] --->
ABSORBANCE [10-4 * L/(MOL*CM] --->
Pyrromethene 567
1
10
9
8
7
6
5
4
3
2
200
250
300
350
400
450
500
550
Pyrromethene 567
LC 5670
C18H25BF2N2318.22
Solvent: Ethanol

155
Pyrromethene 567 (LC 5670)
Constitution
4,4-Difluoro-2,6-diethyl-1,3,5,7,8-pentamethyl-4-bora-3a,4a-diaza-s-indacene
2,6-Diethyl-1,3,5,7,8-pentamethylpyrromethenedifluoroborate Complex
C18H25BF2N2 · MW: 318.22
Characteristics
Lambdachrome® number: 5670
CAS registry number: 131083-16-4
Appearance: orange/red, crystalline solid
Absorption maximum (in ethanol): 518 nm
Molar absorptivity: 7.73 x 104 L mol-1 cm-1
Fluorescence maximum (in ethanol): 547 nm
For research and development purposes only.
Lasing Performance
Efficient laser dye for pulsed and CW operation; tunable around 570 nm.
Alternative to Rhodamine 6G.
Pump Dye Laser Characteristics
Source Wavelength Peak Range Effic. Conc. Solvent Ref.
[nm] [nm] [nm] [%] [g/l]
Flashlamp -567 - - 0.06 Ethanol 1, 2
CW, Ar+all 571 552-608 36 0.45 PC 3
Nd:YAG 532 566 549-592 44 0.31 PC 4
References
1. M. Shah et al., Heteroatom Chem. 1(5), 389(1990).
2. T. G. Pavlopoulos et al., Appl. Optics 29(27), 3885 (1990).
3. S. G. Guggenheimer et al., Appl. Optics 32(21), 3942 (1993).
4. M. P. O`Neil, Optics Letters 18(1), 37 (1993).
5. R. E. Hermes et al., Appl. Phys. Letters 63(7), 877 (1993).

156
WAVELENGTH [NM] --->
ABSORBANCE [10-4 * L/(MOL*CM] --->
1
3
2
4
6
5
7
8
9
200
300
250
350
400
450
500
550
Rhodamine 110
LC 5700
C20H15N2O3Cl 366.80
Solvent: Ethanol
Rhodamine 110

157
Rhodamine 110 (LC 5700)
Constitution
o-(6-Amino-3-imino-3H-xanthen-9-yl)-benzoic acid
Rhodamine 560
C20H15N2O3Cl · MW: 366.80
Characteristics
Lambdachrome® number: 5700
CAS registry number: 13558-31-1
Appearance: red, crystalline solid
Absorption maximum (in ethanol): 510 nm
Molar absorptivity: 8.99 x 104 L mol-1 cm-1
Fluorescence maximum (in ethanol): 535 nm
For research and development purposes only.
Lasing Performance
Efficient laser dye for pulsed and CW operation; tunable around 570 nm.
Pump Dye Laser Characteristics
Source Wavelength Peak Range Effic. Conc. Solvent Ref.
[nm] [nm] [nm] [%] [g/l]
XeCl-Excimer 308 572 547 - 592 51.22 Ethanol 1
Cu-vapor 510 550 528 - 574 90.09 Methanol 2
Flashlamp - - 551 - 583 -0.07 Ethanol 3
CW, Ar+all 560 530 - 580 -0.75 Eg. 4, 5, 6
References
1. Lambda Physik.
2. M. Broyer et al., Appl. Phys. B35, 31 (1984).
3. W. Sibbett, J. R. Taylor, IEEE J. Quantum Electron. QE-19(4), 558 (1983).
4. Coherent, CW Dye Laser Fact Sheets.
5. T. F. Johnston et al., Appl. Optics 21(13), 2307 (1982).
6. Lambda Physik, Wall Chart 1996.

158
WAVELENGTH [NM] --->
ABSORBANCE [10-4 * L/(MOL*CM] --->
1
200
Rhodamine 19
2
3
4
5
6
7
8
9
10
250
300
350
400
450
500
550
Rhodamine 19
LC 5750
C26H27N2O7Cl 514.96
Solvent: Ethanol

159
Rhodamine 19 (LC 5750)
Constitution
Benzoic Acid, 2-[6-(ethylamino)-3-(ethylimino)-2,7-dimethyl-3H-xanthen-
9-yl], perchlorate
Rhodamine 575
C26H27N2O7Cl · MW: 514.96
Characteristics
Lambdachrome® number: 5750
CAS registry number: 62669-66-3
Appearance: red, crystalline solid
Absorption maximum (in ethanol): 528 nm
Molar absorptivity: 10.9 x 104 L mol-1 cm-1
Fluorescence maximum: -
For research and development purposes only.
Lasing Performance
Efficient laser dye for pulsed operation; tunable around 560 nm.
Pump Dye Laser Characteristics
Source Wavelength Peak Range Effic. Conc. Solvent Ref.
[nm] [nm] [nm] [%] [g/l]
Nd:YAG, 3rd 355 562 552 - 582 -0.21 Ethanol 1
Nd:YAG, 2nd 532 567 556 - 586 31 0.22 Methanol 2
References
1. D. M. Guthals, J. W. Nibler, Opt. Commun. 29(3), 322 (1979).
2. Lambda Physik, Wall Chart 1996.

160
WAVELENGTH [NM] --->
ABSORBANCE [10-4 * L/(MOL*CM] --->
Pyrromethene 580
1
10
9
8
7
6
5
4
3
2
200
250
300
350
400
450
500
550
Pyrromethene 580
LC 5805
C22H33BF2N2374.32
Solvent: Ethanol

161
Pyrromethene 580 (LC 5805)
Constitution
4,4-Difluoro-2,6-di-n-butyl-1,3,5,7,8-pentamethyl-4-bora-3a,4a-diaza-s-indacene
2,6-Di-n-butyl-1,3,5,7,8-pentamethylpyrromethenedifluoroborate Complex
C22H33BF2N2 · MW: 374.32
Characteristics
Lambdachrome® number: 5805
CAS registry number: N/A
Appearance: orange/red, crystalline solid
Absorption maximum (in ethanol): 519 nm
Molar absorptivity: 7.68 x 104 L mol-1 cm-1
Fluorescence maximum (in ethanol): 550 nm
For research and development purposes only.
Lasing Performance
Laser dye for pulsed operation; tunable around 580 nm.
Pump Dye Laser Characteristics
Source Wavelength Peak Range Effic. Conc. Solvent Ref.
[nm] [nm] [nm] [%] [g/l]
Flashlamp -580 - - 0.08 Ethanol 1
References
1. M. Shah et al., Heteroatom Chem. 1(5), 389(1990).
2. R. E. Hermes et al., Appl. Phys. Letters 63(7), 877 (1993).

162
WAVELENGTH [NM] --->
ABSORBANCE [10-4 * L/(MOL*CM] --->
1
2
3
4
5
6
7
8
9
10
200
250
300
350
400
450
500
550
Rhodamine 6G
LC 5900
C28H31N2O3Cl 479.02
Solvent: Ethanol
Rhodamine 6G

163
Rhodamine 6G (LC 5900)
Constitution
Benzoic Acid, 2-[6-(ethylamino)-3-(ethylimino)-2,7-dimethyl-3H-xanthen-9-yl]-
ethyl ester, monohydrochloride
Rhodamine 590
C28H31N2O3Cl · MW: 479.02
Characteristics
Lambdachrome® number: 5900
CAS registry number: 989-38-8
Appearance: red, crystalline solid
Absorption maximum (in ethanol): 530 nm
Molar absorptivity: 10.50 x 104 L mol-1 cm-1
Fluorescence maximum (in ethanol): 556 nm
For research and development purposes only.
Lasing Performance
The laser dye "per se" Rhodamine 6G is by far the most frequently used and
most widely investigated laser dye. Very efficient laser dye for pulsed and CW
operation; tunable around 590 nm.
Pump Dye Laser Characteristics
Source Wavelength Peak Range Effic. Conc. Solvent Ref.
[nm] [nm] [nm] [%] [g/l]
XeCl-Excimer 308 581 569 - 608 16 1.20 Methanol 1, 2, 3
Nitrogen 337 581 573 - 618 rel. 1.63 Methanol 3, 4, 5
Nd:YAG, 2nd 532 566 555 - 585 32 0.10 Methanol 1, 6, 7
Flashlamp -600 555 - 620 -1.20 Ethanol 9, 10
CW, Ar+all 575 560 - 625 -0.75 Eg. 1, 11, 12, 13
References
See page 164.

164
WAVELENGTH [NM] --->
ABSORBANCE [10-4 * L/(MOL*CM] --->
References (RHODAMINE 6G)
1. Lambda Physik, Wall Chart 1996.
2. H. Telle, W. Hüffer, D. Basting, Opt. Commun. 38(5,6), 403 (1981).
3. F. Bos, Appl. Optics 20(20), 3553 (1981).
4. Lambda Physik, Data Sheet.
5. A. Dienes, Appl. Phys. 7, 135 (1975).
6. D. M. Guthals, J. W. Nibler, Opt. Commun. 29(3), 322 (1979).
7. C. A. Moore, C. D. Decker, J. Appl. Phys. 49(1), 47 (1978).
8. M. Broyer et al., Appl. Phys. B35, 31 (1984).
9. P. R. Hammond, Opt. Commun. 29(3), 331 (1979).
10. J. Jethwa, F. P. Schäfer, Appl. Phys. 4, 299 (1974).
11. Coherent, CW Dye Laser Fact Sheets.
12. H. J. Baving et al., Appl. Phys. B29, 19 (1982).
13. T. F. Johnston et al., Appl. Optics 21(13), 2307 (1982).
References (RHODAMINE B)
1. Lambda Physik, Wall Chart 1996.
2. F. Bos, Appl. Optics 20(20), 3553 (1981).
3. Lambda Physik, Data Sheet.
4. A. Dienes, Appl. Phys. 7, 135 (1975).
5. I. A. Stenhaouse, D. R. Williams, Appl. Spectrosc. 33(2), 175 (1979).
6. Q. H. F. Vrehen, Opt. Commun. 3(3), 144 (1971).
7. L. Masarnovskii et al., Sov. J. Quantum Electron. 9(7), 900 (1979).
8. R. S. Hargrove, T. Kan, IEEE J. Quantum Electron. QE-13, 28D (1977).
9. J. M. Drake et al., Chem. Phys. Letters 35(2), 181 (1975).
10. P. R. Hammond, Opt. Commun. 29(3), 331 (1979).
11. Coherent, CW Dye Laser Fact Sheets.
References (SULFORHODAMINE B)
1. Lambda Physik, Wall Chart 1996.
2. V. S. Antonov, K. L. Hohla, Appl. Phys. B32, 9 (1983).
3. Lambda Physik, Data Sheet.
4. M. Broyer et al., Appl. Phys. B35, 31 (1984).
5. P. R. Hammond, Opt. Commun. 29(3), 331 (1979).
6. R. M. Schotland, Appl. Optics 19(1), 124 (1980).
7. J. M. Yarborough, Appl. Phys. Letters 24(12), 629 (1974).

165
References (RHODAMINE 101)
1. Lambda Physik, Wall Chart 1996.
2. H. Telle, W. Hüffer, D. Basting, Opt. Commun. 38(5,6), 403 (1981).
3. F. Bos, Appl. Optics 20(20), 3553 (1981).
4. Lambda Physik, Data Sheet.
5. Lambda Physik.
6. Bos, Appl. Optics 20(10), 1886 (1981).
7. M. Broyer et al., Appl. Phys. B35, 31 (1984).
8. T. J. Negran, A. M. Glass, Appl. Optics 17(17), 2812 (1978).
9. Coherent, CW Dye Laser Fact Sheets.
References (DCM)
1. Lambda Physik, Wall Chart 1996.
2. V. S. Antonov, K. L. Hohla, Appl. Phys. B32, 9 (1983).
3. Lambda Physik, Data Sheet.
4. Lambda Physik.
5. M. Broyer et al., Appl. Phys. B35, 31 (1984).
6. P. R. Hammond, Opt. Commun. 29(3), 331 (1979).
7. G. P. Weber, IEEE J. Quantum Electron. QE-19(7), 1200 (1983).
8. Coherent, Data Sheet.
9. E. G. Marason, Opt. Commun. 37(1), 56 (1981).
10. T. F. Johnston et al., Appl. Optics 21(13), 2307 (1982).
References (CRESYL VIOLET)
1. Lambda Physik.
2. H. Telle, W. Hüffer, D. Basting, Opt. Commun. 38(5,6) 403 (1981).
3. F. Bos, Appl. Optics 20(20), 3553 (1981).
4. F. Castelli, Appl. Phys. Letters 26(1), 18 (1975).
5. A. Dienes, Appl. Phys. 7, 135(1975).
6. I. A. Stenhouse, D. R. Williams, Appl. Spectrosc. 33(2), 175 (1979).
7. C. A. Moore, C. D. Decker, J. Appl. Phys. 49(1), 47 (1978).
8. W. Schmidt, W. Appt, N. Wittekindt, Z. Naturforsch. 27a, 37 (1972).
9. J. B. Marling et al., Appl. Optics. 13(10), 2317 (1974).
10. J. M. Yarborough, Appl. Phys. Letters 24(12), 629 (1974).

166
WAVELENGTH [NM] --->
ABSORBANCE [10-4 * L/(MOL*CM] --->
2
4
6
8
10
12
200
250
300
350
400
450
500
550
600
650
DQOCI
LC 5920
C23H23N2OI 470.35
Solvent: Ethanol
DQOCI

167
DQOCI (LC 5920)
Constitution
1,3'-Diethyl-4,2'-quinolyloxacarbocyanine Iodide
C23H23N2OI · MW: 470.35
Characteristics
Lambdachrome® number: 5920
CAS registry number: -
Appearance: violet, crystalline solid
Absorption maximum (in ethanol): 592 nm
Molar absorptivity: 13.5 x 104 L mol-1 cm-1
Fluorescence maximum: -
For research and development purposes only.
Lasing Performance
Saturable absorber for flashlamp pumped Fluorol 7GA and Rhodamine 6G dye
lasers 1., 2.). Applicable around 590 nm.
References
1. E. Lill, S. Schneider, F. Dörr, Opt. Commun. 20(2), 223 (1977).
2. R. S. Adrain et al., Opt. Commun. 12(2), 140 (1974).

168
WAVELENGTH [NM] --->
ABSORBANCE [10-4 * L/(MOL*CM] --->
2
4
6
8
10
12
14
16
200
250
300
350
400
450
500
550
600
650
DCI-2
LC 5950
C25H25N2I 480.39
Solvent: Ethanol
DCI-2

169
DCI-2 (LC 5950)
Constitution
1,1'-Diethyl-2,2'-carbocyanine Iodide
Pinacyanol Iodide · Chinaldinblau
C25H25N2I · MW: 480.39
Characteristics
Lambdachrome® number: 5950
CAS registry number: -
Appearance: violet, crystalline solid
Absorption maximum (in ethanol): 606 nm
Molar absorptivity: 17.0 x 104 L mol-1 cm-1
Fluorescence maximum: -
For research and development purposes only.
Lasing Performance
Saturable absorber for flashlamp pumped Rhodamine 6G dye lasers 1.). Appli-
cable around 606 nm.
References
1. M. Maeda, Y. Miyazoe, Jap. J. Appl. Phys. 13(1), 193 (1974).

170
WAVELENGTH [NM] --->
ABSORBANCE [10-4 * L/(MOL*CM] --->
Pyrromethene 597
1
10
9
8
7
6
5
4
3
2
250
200
300
350
400
450
550
500
Pyrromethene 597
LC 5970
C22H33BF2N2374.32
Solvent: Ethanol

171
Pyrromethene 597 (LC 5970)
Constitution
4,4-Difluoro-2,6-di-t-butyl-1,3,5,7,8-pentamethyl-4-bora-3a,4a-diaza-s-indacene
2,6-Di-t-butyl-1,3,5,7,8-pentamethylpyrromethenedifluoroborate Complex
C22H33BF2N2 · MW: 374.32
Characteristics
Lambdachrome® number: 5970
CAS registry number: 137829-79-9
Appearance: red, crystalline solid
Absorption maximum (in ethanol): 524 nm
Molar absorptivity: 6.76 x 104 L mol-1 cm-1
Fluorescence maximum (in ethanol): 557 nm
For research and development purposes only.
Lasing Performance
Laser dye for pulsed operation; tunable around 590 nm.
Pump Dye Laser Characteristics
Source Wavelength Peak Range Effic. Conc. Solvent Ref.
[nm] [nm] [nm] [%] [g/l]
Flashlamp -593 - - 0.08 Ethanol 1, 2
References
1. J. H. Boyer et al., Appl. Optics 30(27), 3788 (1991).
2. J. H. Boyer et al., Heteroatom Chem. 4(1), 39 (1993).

172
WAVELENGTH [NM] --->
ABSORBANCE [10-4 * L/(MOL*CM] --->
1
2
3
4
5
6
7
8
9
10
200
250
300
350
400
450
500
550
600
Rhodamine B
LC 6100
C28H31N2O3Cl 479.02
Solvent: Ethanol
Rhodamine B

173
Rhodamine B (LC 6100)
Constitution
2-[6-(Diethylamino)-3-(diethylimino)-3H-xanthen-9-yl] benzoic acid
Rhodamine 610
C28H31N2O3Cl · MW: 479.02
Characteristics
Lambdachrome® number: 6100
CAS registry number: 81-88-9
Appearance: green, crystalline solid
Absorption maximum (in ethanol): 552 nm
Molar absorptivity: 10.7 x 104 L mol-1 cm-1
Fluorescence maximum (in ethanol): 580 nm
For research and development purposes only.
Lasing Performance
Very efficient and frequently used laser dye for pulsed and CW operation;
tunable around 610 nm.
Pump Dye Laser Characteristics
Source Wavelength Peak Range Effic. Conc. Solvent Ref.
[nm] [nm] [nm] [%] [g/l]
XeCl-Excimer 308 600 588 - 644 12 0.91 Methanol 1, 2
Nitrogen 337 622 599 - 650 rel. 2.13 Methanol 2, 3, 4
Nd:YAG, 2nd 532 594 584 - 619 29 0.22 Methanol 1, 5, 6
Cu-vapo 510 591 582 - 618 21 0.62 Ethanol 7, 8
Flashlamp -618 590 - 640 -0.05 Ethanol 9, 10
CW, Ar+all 640 605 - 675 -3.53 MeOH/Eg. 11
References
see page 164.

174
WAVELENGTH [NM] --->
ABSORBANCE [10-4 * L/(MOL*CM] --->
1
2
3
4
5
6
7
8
9
10
11
200
250
300
350
400
450
500
550
600
Sulforhodamine B
LC 6200
C27H30N2S2O7
·
Na 558.66
Solvent: Ethanol
Sulforhodamine B

175
Sulforhodamine B (LC 6200)
Constitution
Ethanaminium, N-[6-diethylamino)-9-(2,4-disulfophenyl)-3H-xanthen-3-ylidene]-
N-ethylhydroxid, inner salt, sodium salt
Kiton Red 620 · Kiton Red S
C27H30N2S2O7 · Na · MW: 558.66
Characteristics
Lambdachrome® number: 6200
CAS registry number: 3520-42-1
Appearance: green, crystalline solid
Absorption maximum (in ethanol): 556 nm
Molar absorptivity: 11.1 x 104 L mol-1 cm-1
Fluorescence maximum (in ethanol): 575 nm
For research and development purposes only.
Lasing Performance
Efficient and frequently used laser dye for pulsed and CW operation; perfor-
mance similar to Rhodamin B; tunable around 620 nm.
Pump Dye Laser Characteristics
Source Wavelength Peak Range Effic. Conc. Solvent Ref.
[nm] [nm] [nm] [%] [g/l]
XeCl-Excimer 308 605 594 - 642 12 0.90 Methanol 1, 2
Nitrogen 337 622 600 - 646 rel. 2.85 Methanol 3
Nd:YAG, 2nd 532 588 579 - 600 29 0.27 Methanol 1
Cu-vapo 510 620 598 - 645 14 1.74 Methanol 4
Flashlamp -629 600 - 650 -3.91 Methanol 5, 6
CW, Ar+all 625 598 - 650 -2.50 MeOH/Eg. 1, 7
References
See page 164.

176
WAVELENGTH [NM] --->
ABSORBANCE [10-4 * L/(MOL*CM] --->
1
2
3
4
5
6
7
8
200
250
300
350
400
450
500
550
600
650
700
Malachit Green
LC 6220
C25H27N2O4419.51
Solvent: Ethanol
Malachit Green

177
Malachit Green (LC 6220)
Constitution
Malachit Grün Oxalat
C25H27N2O4 · MW: 419.51
Characteristics
Lambdachrome® number: 6220
CAS registry number: -
Appearance: green, crystalline solid
Absorption maximum (ethanol): 622 nm
Molar absorptivity: 8.07 x 104 L mol-1 cm-1
Fluorescence maximum (in bas. ethanol): 530 nm
For research and development purposes only.
Lasing Performance
Additive for CW pumped, passivlely mode locked Rhodamine 6G dye lasers.
References
1. M. Young, Appl. Optics 18(19), 3212 (1979).
2. A. Watanabe et al., IEEE J. Quantum Electron. QE-19(4), 533 (1983).

178
WAVELENGTH [NM] --->
ABSORBANCE [10-4 * L/(MOL*CM] --->
200
250
300
350
400
450
500
550
600
DTCI
DTCI
LC 6250
C21H21N2S2I 492.43
Solvent: Ethanol
2
4
6
8
10
12
14

179
DTCI (LC 6250)
Constitution
3,3'-Diethylthiacarbocyanine Iodide
C21H21N2S2I · MW: 492.43
Characteristics
Lambdachrome® number: 6250
CAS registry number: -
Appearance: red, crystalline solid
Absorption maximum (in methanol): 557 nm
Molar absorptivity: 14.60 x 104 L mol-1 cm-1
Fluorescence maximum: -
For research and development purposes only.
Lasing Performance
Laser dye for pulsed operation; tunable around 625 nm. Saturable absorber for
flashlamp pumped Rhodamine 6G dye lasers; applicable around 560 nm2.).
Pump Dye Laser Characteristics
Source Wavelength Peak Range Effic. Conc. Solvent Ref.
[nm] [nm] [nm] [%] [g/l]
Flashlamp -625 - - 0.10 Glyzerine 1
References
1. M. Maeda, Y. Miyazoe, Jap. J. Appl. Phys. 11(5), 692 (1972).
2. M. Maeda, Y. Miyazoe, Jap. J. Appl. Phys. 13(1), 193 (1974).

180
WAVELENGTH [NM] --->
ABSORBANCE [10-4 * L/(MOL*CM] --->
2
4
6
8
10
12
200
250
300
350
400
450
500
550
600
650
DQTCI
DQTCI
LC 6290
C23H23N2SI 486.41
Solvent: Ethanol

181
DQTCI (LC 6290)
Constitution
1,3'-Diethyl-4,2'-quinolylthiacarbocyanine Iodide
C23H23N2SI · MW: 486.41
Characteristics
Lambdachrome® number: 6290
CAS registry number: -
Appearance: green, crystalline solid
Absorption maximum (in methanol): 629 nm
Molar absorptivity: 13.1 x 104 L mol-1 cm-1
Fluorescence maximum: -
For research and development purposes only.
Lasing Performance
Saturable absorber for flashlamp pumped Rhodamine B dye lasers; applicable
around 630 nm 1., 2.).
References
1. E. G. Arthurs et al., Appl. Phys. Lett. 20(3), 125(1972).
2. E. Lill, S. Schneider, F. Dörr, Opt. Commun. 22(1), 107(1977).

182
WAVELENGTH [NM] --->
ABSORBANCE [10-4 * L/(MOL*CM] --->
1
2
3
4
5
6
7
8
9
200
250
300
350
400
450
500
550
600
Rhodamine 101
Rhodamine 101
LC 6400
C32H31N2O7Cl 591.06
Solvent: Ethanol

183
Rhodamine 101 (LC 6400)
Constitution
8-(2-Carboxyphenyl)-2,3,5,6,11,12,14,15-octahydro-1H,4H,10H,13H-
diquinolizino[9,9a,1-bc:9',9a',1-hi]xanthylium Perchlorate
Rhodamine 640
C32H31N2O7Cl · MW: 591.06
Characteristics
Lambdachrome® number: 6400
CAS registry number: 64339-18-0
Appearance: red, crystalline solid
Absorption maximum (in acidic ethanol): 576 nm
Molar absorptivity: 9.50 x 104 L mol-1 cm-1
Fluorescence maximum: -
For research and development purposes only.
Lasing Performance
Efficient laser dye for pulsed and CW operation; tunable around 640 nm.
Pump Dye Laser Characteristics
Source Wavelength Peak Range Effic. Conc. Solvent Ref.
[nm] [nm] [nm] [%] [g/l]
XeCl-Excimer 308 623 614 - 672 12 0.75 Methanol 1, 2, 3
Nitrogen 337 648 623 - 676 rel. 2.36 Methanol 2, 4
Nd:YAG, 2nd 532 621 611 - 662 26 0.50 Methanol 1, 5, 6
Cu-vapor 510 630 607 - 659 14 -Methanol 7
Flashlamp - - - - - Ethanol 8
CW, Ar+VIS 625 610 - 695 -2.5 MeOH/Eg. 1, 9
References
See page 165.

184
WAVELENGTH [NM] --->
ABSORBANCE [10-4 * L/(MOL*CM] --->
1
2
3
4
200
250
300
350
400
450
500
550
DCM
LC 6500
C19H17N3303.36
Solvent: Ethanol
DCM

185
DCM (LC 6500)
Constitution
4-Dicyanmethylene-2-methyl-6-(p-dimethylaminostyryl)-4H -pyran
C19H17N3 · MW: 303.36
Characteristics
Lambdachrome® number: 6500
CAS registry number: 51325-91-8
Appearance: red, crystalline solid
Absorption maximum (in ethanol): 472 nm
Molar absorptivity: 4.25 x 104 L mol-1 cm-1
Fluorescence maximum (in ethanol): 644 nm
For research and development purposes only.
Lasing Performance
Efficient laser dye for pulsed and CW operation; tunable around 650 nm. DCM
Special gives higher efficiency due to better solubility.
Pump Dye Laser Characteristics
Source Wavelength Peak Range Effic. Conc. Solvent Ref.
[nm] [nm] [nm] [%] [g/l]
XeCl-Excimer 308 658 632 - 690 12 0.71 DMSO 1, 2
Nitrogen 337 659 626 - 703 rel. 0.50 DMSO 3
Nd:YAG, 2nd 532 639 615 - 666 27 0.50 PC 1, 4
Cu-vapor 510 644 598 - 677 14 0.61 Methanol 5
Flashlamp -655 610 - 710 -0.76 DMSO 6, 7
CW, Ar+VIS 660 - - 0.45 Bz./Eg. 1, 8, 9, 10
References
See page 165.
P.S.
LC 6501 is a 1:1 mixture of LC 6500 and LC 6200 giving high absorption at the
green line of an Ar-Ion laser. Its application should be restricted tothis pump
laser only.

186
WAVELENGTH [NM] --->
ABSORBANCE [10-4 * L/(MOL*CM] --->
Pyrromethene 650
200
5
4
3
2
1
250
300
350
400
450
500
550
600
650
Pyrromethene 650
LC 6505
C16H18BF2N3301.15
Solvent: Ethanol

187
Pyrromethene 650 (LC 6505)
Constitution
4,4-Difluoro-8-cyano-1,2,3,5,6,7-hexamethyl-4-bora-3a,4a-diaza-s-indacene
8-Cyano-1,2,3,5,6,7-hexamethylpyrromethenedifluoroborate Complex
C16H18BF2N3 · MW: 301.15
Characteristics
Lambdachrome® number: 6505
CAS registry number: -
Appearance: green, crystalline solid
Absorption maximum (in ethanol): 590 nm
Molar absorptivity: 4.05 x 104 L mol-1 cm-1
Fluorescence maximum (in ethanol): 612 nm
For research and development purposes only.
Lasing Performance
Laser dye for pulsed operation; tunable around 630 nm.
Pump Dye Laser Characteristics
Source Wavelength Peak Range Effic. Conc. Solvent Ref.
[nm] [nm] [nm] [%] [g/l]
Nd:YAG 532 630 -31 0.03 Ethanol 1
References
1. T. H. Allik et al., SPIE Proceedings 2115, 240 (1994).

188
WAVELENGTH [NM] --->
ABSORBANCE [10-4 * L/(MOL*CM] --->
2
6
8
10
12
4
14
16
18
20
200
250
300
350
400
450
500
550
600
650
DODCI
LC 6550
C23H23N2O2I 486.35
Solvent: Ethanol
DODCI

189
DODCI (LC 6550)
Constitution
3,3'-Diethyloxadicarbocyanine Iodide
NK 1533
C23H23N2O2I · MW: 486.35
Characteristics
Lambdachrome® number: 6550
CAS registry number: -
Appearance: blue, crystalline solid
Absorption maximum (in ethanol): 582 nm
Molar absorptivity: 22.3 x 104 L mol-1 cm-1
Fluorescence maximum: -
For research and development purposes only.
Lasing Performance
Laser dye for pulsed operation; tunable around 660 nm. Most frequently used
saturable absorber for flashlamp and CW pumped Rhodamine 6G und Rhodamin
B dye lasers 3., 4., 5.). Applicable around 580 nm.
Pump Dye Laser Characteristics
Source Wavelength Peak Range Effic. Conc. Solvent Ref.
[nm] [nm] [nm] [%] [g/l]
Nd:YAG, 2nd 532 - - - 0.49 Ethanol 1
Flashlamp -662 - - 0.10 DMSO 2
References
1. C. Rulliere, Chem. Phys. Letters 43(2), 303 (1976).
2. M. Maeda, Y. Miyazoe, Jap. J. Appl. Phys. 11(5), 692 (1972).
3. M. Young, Appl. Optics. 18(19), 3212 (1979).
4. A. Watanabe et al., IEEE J. Quantum Electron. QE-19(4), 533 (1983).
5. E. G. Arthurs et al., Appl. Phys. Letters 20(3), 125 (1972).

190
WAVELENGTH [NM] --->
ABSORBANCE [10-4 * L/(MOL*CM] --->
1
2
3
4
5
6
7
8
9
10
200
250
300
350
400
450
500
550
600
Sulforhodamine 101
LC 6600
C31H30N2O7S2606.71
Solvent: Ethanol
Sulforhodamine 101

191
Sulforhodamine 101 (LC 6600)
Constitution
8-(2, 4-Disulfophenyl)-2,3,5,6,11,12,14,15-octahydro-1H,4H,10H,13H-
diquinolizino[9,9a,1-bc:9',9a',1-hi]xanthene
Sulforhodamine 640
C31H30N2O7S2 · MW: 606.71
Characteristics
Lambdachrome® number: 6600
Appearance: green, crystalline solid
Absorption maximum (in ethanol): 578 nm
Molar absorptivity: 10.6 x 104 L mol-1 cm-1
For research and development purposes only.
Lasing Performance
Efficient laser dye for pulsed and CW operation; tunable around 650 nm.
Pump Dye Laser Characteristics
Source Wavelength Peak Range Effic. Conc. Solvent Ref.
[nm] [nm] [nm] [%] [g/l]
XeCl-Excimer 308 652 616 - 667 15 0.78 Methanol 2, 3
Nd:YAG, 2nd 532 628 619 - 673 15 0.3 Methanol 1, 4
CW, Ar+VIS 625 598 - 650 -2.5 Eg. 5, 6
References
1. Lambda Physik, Wall Chart 1996.
2. V. S. Antonov, K. L. Hohla, Appl. Phys. B32, 9 (1983).
3. Lambda Physik.
4. K. Kato, IEEE J. Quantum Electron. QE-13(7), 544 (1977).
5. Lambda Physik, Wall Chart 6/90.
6. M. Yamashita et al., Opt. Commun. 26(3), 343 (1978).

192
WAVELENGTH [NM] --->
ABSORBANCE [10-4 * L/(MOL*CM] --->
1
6
5
4
3
2
200
250
300
350
400
450
500
550
600
650
Cresyl Violet
LC 6700
C16H12N3O5Cl 361.74
Solvent: Ethanol
Cresyl Violet

193
Cresyl Violet (LC 6700)
Constitution
5,9-Diaminobenzo[a]phenoxazonium Perchlorate
Cresyl Violet 670
C16H12N3O5Cl · MW: 361.74
Characteristics
Lambdachrome® number: 6700
CAS registry number: 41830-80-2
Appearance: green, crystalline solid
Absorption maximum (in ethanol): 601 nm
Molar absorptivity: 6.74 x 104 L mol-1 cm-1
Fluorescence maximum (in ethanol): 632 nm
For research and development purposes only.
Lasing Performance
Efficient laser dye for pulsed and CW operation; tunable around 650 nm.
Pump Dye Laser Characteristics
Source Wavelength Peak Range Effic. Conc. Solvent Ref.
[nm] [nm] [nm] [%] [g/l]
XeCl-Excimer 308 656 643 - 688 50.50 Ethanol 1, 2, 3
Nitrogen 337 650 630 - 680 rel. 0.36 Ethanol 4, 5
Nd:YAG, 2nd 532 630 614 - 654 36 0.04 Methanol 6, 7
Flashlamp -650 630 - 680 -0.01 Methanol 8, 9
CW, Ar+VIS 670 650 - 695 41.09 Eg. 10
References
See page 165.

194
WAVELENGTH [NM] --->
ABSORBANCE [10-4 * L/(MOL*CM] --->
Phenoxazone 9
650
600
550
500
450
400
350
300
250
200
1
2
3
4
Phenoxazone 9
LC 6750
C20H18N2O2318.37
Solvent: Ethanol

195
Phenoxazone 9 (LC 6750)
Constitution
9-Diethylamino-5H-benzo(a)phenoxazin-5-one
C20H18N2O2 · MW: 318.37
Characteristics
Lambdachrome® number: 6750
CAS registry number: 7385-67-3
Appearance: green, crystalline solid
Absorption maximum (ethanol): 550 nm
Molar absorptivity: 2.83 x 104 L mol-1 cm-1
Fluorescence maximum (in bas. ethanol): 650nm
For research and development purposes only.
Lasing Performance
Laser dye for pulsed operation; tunable around 620 nm.
Pump Dye Laser Characteristics
Source Wavelength Peak Range Effic. Conc. Solvent Ref.
[nm] [nm] [nm] [%] [g/l]
Nitrogen 337 620 560 - 700 rel. 0.32 Ethanol 1
Flashlamp - - - - 0.03 various 1
References
1. D. Basting, D. Ouw, F. P. Schäfer, Opt. Commun. 18(3), 260 (1976).

196
WAVELENGTH [NM] --->
ABSORBANCE [10-4 * L/(MOL*CM] --->
1
2
3
4
5
6
7
200
250
300
350
400
450
500
550
600
650
700
Nile Blue
LC 6900
C20H20N3O5Cl 417.85
Solvent: Ethanol
Nile Blue

197
Nile Blue (LC 6900)
Constitution
5-Amino-9-diethyliminobenzo[a]phenoxazonium Perchlorate
C20H20N3O5Cl · MW: 417.85
Characteristics
Lambdachrome® number: 6900
CAS registry number: 53340-16-2
Appearance: green, crystalline solid
Absorption maximum (ethanol): 633 nm
Molar absorptivity: 7.75 x 104 L mol-1 cm-1
Fluorescence maximum (in bas. ethanol): 672 nm
For research and development purposes only.
Lasing Performance
Laser dye for pulsed operation; tunable around 690 nm.
Pump Dye Laser Characteristics
Source Wavelength Peak Range Effic. Conc. Solvent Ref.
[nm] [nm] [nm] [%] [g/l]
XeCl-Excimer 308 703 688 - 747 50.47 Methanol 1, 2
Nitrogen 337 695 683 - 751 rel. 0.45 Methanol 2
Nd:YAG, 2nd 532 683 -18 0.08 Methanol 3
Cu-vapor 510 695 682 - 730 40.84 Methanol 4
Flashlamp -710 690 - 750 poor 0.31 Methanol 5
CW, Kr+red 730 690 - 780 71.2 Eg. 6
References
1. Lambda Physik.
2. F. Bos, Appl. Optics 20(20), 3553 (1981).
3. K. Kato, Opt. Commun. 19(1), 19 (1976).
4. M. Broyer et al., Appl. Phys. B35, 31 (1984).
5. J. B. Marling et al., Appl. Optics 13(10), 2317 (1974).
6. J. M. Yarborough, Appl. Phys. Letters 24(12), 629 (1974).

198
WAVELENGTH [NM] --->
ABSORBANCE [10-4 * L/(MOL*CM] --->
1
2
3
4
5
6
7
8
200
250
300
350
400
450
500
550
600
650
Oxazine 4
LC 6950
C18H22N3O5Cl 395.84
Solvent: Ethanol
Oxazine 4

199
Oxazine 4 (LC 6950)
Constitution
3-Ethylamino-7-ethylimino-2,8-dimethylphenoxazin-5-ium Perchlorate
LD 690
C18H22N3O5Cl · MW: 395.84
Characteristics
Lambdachrome® number: 6950
CAS registry number: -
Appearance: green, crystalline solid
Absorption maximum (ethanol): 615 nm
Molar absorptivity: 10.9 x 104 L mol-1 cm-1
Fluorescence maximum: -
For research and development purposes only.
Lasing Performance
Laser dye for pulsed operation; tunable around 690 nm.
Pump Dye Laser Characteristics
Source Wavelength Peak Range Effic. Conc. Solvent Ref.
[nm] [nm] [nm] [%] [g/l]
XeCl-Excimer 308 703 665 - 718 50.53 DMSO 1
Nd:YAG, 2nd 532 660 - - - - 2
CW, Ar+all - - - + DCM -3
References
1. Lambda Physik.
2. R. J. Hall et al., Opt. Letters 4(3), 87 (1979).
3. J. Heber, A. Szabo, IEEE J. Quantum Electron. QE-20(1), 9 (1984).

200
WAVELENGTH [NM] --->
ABSORBANCE [10-4 * L/(MOL*CM] --->
200
2
4
10
8
5
7
9
1
3
6
250
300
350
400
450
500
550
600
650
700
Rhodamine 700
LC 7000
C26H26N2O5ClF3538.95
Solvent: Ethanol
Rhodamine 700

201
Rhodamine 700 (LC 7000)
Constitution
8-(Trifluoromethyl)-2,3,5,6,11,12,14,15-octahydro-1H,4H,10H,13H-
diquinolizino[9,9a,1-bc:9',9a',1-hi]xanthylium Perchlorate
LD 700
C26H26N2O5ClF3 · MW: 538.95
Characteristics
Lambdachrome® number: 7000
Appearance: brown, crystalline solid
Absorption maximum (in ethanol): 643 nm
Molar absorptivity: 9.25 x 104 L mol-1 cm-1
For research and development purposes only.
Lasing Performance
Very efficient laser dye for pulsed and CW operation; tunable around 750 nm
Pump Dye Laser Characteristics
Source Wavelength Peak Range Effic. Conc. Solvent Ref.
[nm] [nm] [nm] [%] [g/l]
XeCl-Excimer 308 723 701 - 768 11 0.85 Methanol 1, 2
Flashlamp - - 705 - 798 -0.11 Ethanol 3
CW, Kr+red 740 690 - 785 -1.0 Eg. 1, 4, 5, 6
References
1. Lambda Physik, Wall Chart 1996.
2. V. S. Antonov, K. L. Hohla, Appl. Phys. B32, 9 (1983).
3. W. Sibbett, J. R. Taylor, IEEE J. Quantum Electron. QE-20(2), 108 (1984).
4. T. F. Johnston, R. H. Brady, W. Proffitt, Appl. Optics. 21(13), 2307 (1982).
5. G. D. Aumiller, Appl. Optics 23(5), 651 (1984).
6. E. G. Marason, Opt. Commun. 40(3), 212 (1982).

202
WAVELENGTH [NM] --->
ABSORBANCE [10-4 * L/(MOL*CM] --->
3
2
1
200
250
300
350
400
450
500
550
600
Pyridine 1
Pyridine 1
LC 7100
C19H23N2O4Cl 378.85
Solvent: Ethanol

203
Pyridine 1 (LC 7100)
Constitution
1-Ethyl-2-(4-(p-Dimethylaminophenyl)-1,3-butadienyl)-pyridinium Perchlorat
LDS 698
C19H23N2O4Cl · MW: 378.85
Characteristics
Lambdachrome® number: 7100
Appearance: red, crystalline solid
Absorption maximum (in ethanol): 480 nm
Molar absorptivity: 3.80 x 104 L mol-1 cm-1
For research and development purposes only.
Lasing Performance
Efficient laser dye for pulsed and CW operation; tunable around 710 nm
Pump Dye Laser Characteristics
Source Wavelength Peak Range Effic. Conc. Solvent Ref.
[nm] [nm] [nm] [%] [g/l]
XeCl-Excimer 308 710 670 - 760 10 0.84 DMSO 1, 2
Nitrogen 337 703 675 - 750 rel. 0.88 DMSO 3
Nd:YAG, 2nd 532 697 667 - 736 32 0.36 PC 1, 4
Cu-vapor 510 684 661 - 724 61.17 Methanol 5
CW, Ar+VIS 710 670 - 780 - - Pc./Eg. 6, 7
References
1. Lambda Physik, Wall Chart 1996.
2. V. S. Antonov, K. L. Hohla, Appl. Phys. B32, 9 (1983).
3. Lambda Physik, Data Sheet.
4. Lambda Physik.
5. M. Broyer et al., Appl. Phys. B35, 31 (1984).
6. J. Hoffnagle et al., Opt. Commun. 42(4), 267 (1982).
7. Ph. Bado et al., Opt. Commun. 46(3,4), 241 (1983).

204
WAVELENGTH [NM] --->
ABSORBANCE [10-4 * L/(MOL*CM] --->
1
2
7
6
5
4
3
200
250
300
350
400
450
500
550
600
650
700
Carbazine 122
LC 7200
C22H18NO3Na 367.38
Solvent: Ethanol (basic)
Carbazine 122

205
Carbazine 122 (LC 7200)
Constitution
Carbazine 720
C22H18NO3Na · MW: 367.38
Characteristics
Lambdachrome® number: 7200
CAS registry number: -
Appearance: red, crystalline solid
Absorption maximum (in basic ethanol): 655 nm
Molar absorptivity: 7.54 x 104 L mol-1 cm-1
Fluorescence maximum: -
For research and development purposes only.
Lasing Performance
Efficient laser dye for pulsed and CW operation; tunable around 640 nm.
Pump Dye Laser Characteristics
Source Wavelength Peak Range Effic. Conc. Solvent Ref.
[nm] [nm] [nm] [%] [g/l]
XNd:YAG, 2nd 532 720 -30 1.10 Water 1, 2, 3
Flashlamp -700 680 - 740 -0.07 Methanol 4
CW, Kr+red 750 690 - 820 -0.72 Eg. 5
References
1. F. Bos, Appl. Optics 20(10), 1886 (1981).
2. K. Kato, Opt. Commun. 19(1), 18 (1976).
3. K. Kato, Opt. Commun. 18(4), 447 (1976).
4. J. B. Marling et al., Appl. Optics 13(10), 2317 (1974).
5. P. E. Jessop, A. Szabo, IEEE J. Quantum Electr. QE-16(8), 812 (1980).

206
WAVELENGTH [NM] --->
ABSORBANCE [10-4 * L/(MOL*CM] --->
250
300
350
450
500
600
650
Oxazine 170
1
2
3
4
5
6
7
8
9
200
400
550
Oxazine 170
LC 7210
C21H22N3O5Cl 431.87
Solvent: Ethanol

207
Oxazine 170 (LC 7210)
Constitution
9-Ethylamino-5-ethylimino-10-methyl-5H-benzo(a)phenoxazonium Perchlorate
Oxazine 720
C21H22N3O5Cl · MW: 431.87
Characteristics
Lambdachrome® number: 7210
CAS registry number: 62669-60-7
Appearance: green, crystalline solid
Absorption maximum (in ethanol): 627 nm
Molar absorptivity: 9.20 x 104 L mol-1 cm-1
Fluorescence maximum (in ethanol): 650 nm
For research and development purposes only.
Lasing Performance
Efficient laser dye for pulsed and CW operation; tunable around 670 nm.
Pump Dye Laser Characteristics
Source Wavelength Peak Range Effic. Conc. Solvent Ref.
[nm] [nm] [nm] [%] [g/l]
XeCl-Excimer 308 708 660 - 728 41.14 Methanol 1, 2, 3
Nitrogen 337 705 672 - 727 rel. 0.79 Methanol 4
Nd:YAG, 2nd 532 672 -20 0.08 Methanol 5, 6
Cu-vapor 510 675 660 - 712 12 0.13 Methanol 7
CW, Kr+red 730 670 - 740 -0.86 Eg. 8
References
1. Lambda Physik, Wall Chart 6/83.
2. V. S. Antonov, K. L. Hohla, Appl. Phys. B32, 9 (1983).
3. F. Bos, Appl. Optics 20(20), 3553 (1981).
4. Lambda Physik, Data Sheet.
5. K. Kato, Opt. Commun. 19(1), 18 (1976).
6. C. A. Moore, C. D. Decker, J. Appl. Phys. 49(1), 47 (1978).
7. M. Broyer et al., Appl. Phys. B35, 31 (1984).
8. P. E. Jessop, A. Szabo, IEEE J. Quantum Electr. QE-16(8), 812 (1980).

208
WAVELENGTH [NM] --->
ABSORBANCE [10-4 * L/(MOL*CM] --->
2
4
10
8
5
7
9
1
3
6
200
250
300
350
400
450
500
550
600
650
700
Oxazine 1
LC 7250
C20H26N3O5Cl 423.90
Solvent: Ethanol
Oxazine 1

209
Oxazine 1 (LC 7250)
Constitution
3-Diethylamino-7-diethyliminophenoxazonium Perchlorate
Oxazine 725
C20H26N3O5Cl · MW: 423.90
Characteristics
Lambdachrome® number: 7250
CAS registry number: 24796-94-9
Appearance: green, crystalline solid
Absorption maximum (in ethanol): 646 nm
Molar absorptivity: 13.0 x 104 L mol-1 cm-1
Fluorescence maximum (in ethanol): 670 nm
For research and development purposes only.
Lasing Performance
Efficient laser dye for pulsed and CW operation; tunable around 670 nm.
Pump Dye Laser Characteristics
Source Wavelength Peak Range Effic. Conc. Solvent Ref.
[nm] [nm] [nm] [%] [g/l]
XeCl-Excimer 308 734 692 - 768 60.85 Ethanol 1, 2, 3
Nitrogen 337 730 692 - 751 -1.96 Ethanol 4
Nd:YAG, 2nd 532 695 -18 0.07 Methanol 5, 6
Flashlamp -720 700 - 740 - - Methanol 7
CW, Kr+red 720 695 - 800 -1.20 Eg. 8
References
1. H. Telle, W. Hüffer, D. Basting, Opt. Commun. 38(5,6), 403 (1981).
2. V. S. Antonov, K. L. Hohla, Appl. Phys. B32, 9 (1983).
3. F. Bos, Appl. Optics 20(20), 3553 (1981).
4. B. M. Pierce, R. R. Birge, IEEE J. Quantum Electr. QE-18(7), 1164 (1982).
5. F. Bos, Appl. Optics 20(10), 1886 (1981).
6. C. A. Moore, C. D. Decker, J. Appl. Phys. 49(1), 47 (1978).
7. J. B. Marling et al., Appl. Optics 13(10), 2317 (1974).
8. Coherent, CW Dye Laser Fact Sheets.

210
WAVELENGTH [NM] --->
ABSORBANCE [10-4 * L/(MOL*CM] --->
2
4
6
8
10
12
14
16
18
20
22
200
250
300
350
400
450
500
550
600
650
700
DTDCI
LC 7260
C23H23N2S2I 518.47
Solvent: Ethanol
DTDCI

211
DTDCI (LC 7260)
Constitution
3-Diethylthiadicarbocyanine Iodide
NK 136
C23H23N2S2I · MW: 518.47
Characteristics
Lambdachrome® number: 7260
CAS registry number: -
Appearance: blue, crystalline solid
Absorption maximum (in ethanol): 653 nm
Molar absorptivity: 22.3 x 104 L mol-1 cm-1
Fluorescence maximum: -
For research and development purposes only.
Lasing Performance
Laser dye for pulsed operation; tunable around 760 nm. Saturable absorber for
flashlamp pumped Rhodamine 101 dye lasers; applicable around 650 nm 1.).
Pump Dye Laser Characteristics
Source Wavelength Peak Range Effic. Conc. Solvent Ref.
[nm] [nm] [nm] [%] [g/l]
Nitrogen 337 695 - - 0.13 Acetone 2
Flashlamp -760 - - 0.10 DMSO 3
References
1. T. J. Negran, A. M. Glass, Appl. Optics 17(17), 2812 (1978).
2. Chinlon Lin, IEEE J. Quantum Electr. QE-11, 61 (1975).
3. A. Hirth, K. Vollrath, J. Faure, D. Lougnot, Opt. Commun. 7(4), 339 (1973).

212
WAVELENGTH [NM] --->
ABSORBANCE [10-4 * L/(MOL*CM] --->
3
8
7
6
5
4
1
2
200
250
300
350
400
450
500
550
600
650
700
Oxazine 750
LC 7270
C24H24N3O5Cl 469.92
Solvent: Ethanol
Oxazine 750

213
Oxazine 750 (LC 7270)
Constitution
C24H24N3O5Cl · MW: 469.92
Characteristics
Lambdachrome® number: 7270
CAS registry number: -
Appearance: green, crystalline solid
Absorption maximum (in ethanol): 667 nm
Molar absorptivity: 8.25 x 104 L mol-1 cm-1
Fluorescence maximum: -
For research and development purposes only.
Lasing Performance
Efficient laser dye for pulsed and CW operation; tunable around 750 nm.
Pump Dye Laser Characteristics
Source Wavelength Peak Range Effic. Conc. Solvent Ref.
[nm] [nm] [nm] [%] [g/l]
XeCl-Excimer 308 777 735 - 796 61.25 DMSO 1, 2, 3
Nitrogen 337 724 708 - 780 rel. 0.50 Ethanol 3, 4
CW, Kr+red 810 790 - 900 -0.62 PC./Eg. 5
References
1. Lambda Physik, Wall Chart 6/83.
2. V. S. Antonov, K. L. Hohla, Appl. Phys. B32, 9 (1983).
3. F. Bos, Appl. Optics 20(20), 3553 (1983).
4. B. M. Pierce, R. R. Birge, IEEE J. Quantum Electr. QE18(7), 1164 (1982).
5. G. D. Aumiller, Opt. Commun. 41(2), 115 (1982).

214
WAVELENGTH [NM] --->
ABSORBANCE [10-4 * L/(MOL*CM] --->
4
3
2
1
200
250
300
350
400
450
500
550
600
650
Pyridine 2
Pyridine 2
LC 7300
C19H23N2O4Cl 378.85
Solvent: Ethanol

215
Pyridine 2 (LC 7300)
Constitution
1-Ethyl-4-(4-(p-Dimethylaminophenyl)-1,3-butadienyl)-pyridinium Perchlorat
LDS 722
C19H23N2O4Cl · MW: 378.85
Characteristics
Lambdachrome® number: 7300
Appearance: red, crystalline solid
Absorption maximum (in ethanol): 500 nm
Molar absorptivity: 4.22 x 104 L mol-1 cm-1
For research and development purposes only.
Lasing Performance
Efficient laser dye for pulsed and CW operation; tunable around 740 nm
Pump Dye Laser Characteristics
Source Wavelength Peak Range Effic. Conc. Solvent Ref.
[nm] [nm] [nm] [%] [g/l]
XeCl-Excimer 308 740 695 - 790 11 0.72 DMSO 1
Nitrogen 337 743 710 - 790 rel. 0.85 DMSO 2
Nd:YAG 532 750 725 - 776 21 0.22 PC 3
Cu-vapor 510 722 687 - 755 41.00 Methanol 4
CW, Ar+VIS 720 685 - 820 -0.75 Pc./Eg. 1
References
1. Lambda Physik, Wall Chart 1996.
2. Lambda Physik, Data Sheet.
3. Lambda Physik.
3. M. Broyer et al., Appl. Phys. B35, 31 (1984).

216
WAVELENGTH [NM] --->
ABSORBANCE [10-4 * L/(MOL*CM] --->
2
4
6
8
10
12
14
16
18
20
22
200
250
300
350
400
450
500
550
600
650
700
HIDCI
LC 7400
C27H31N2I 510.46
Solvent: Ethanol
HIDCI

217
HIDCI (LC 7400)
Constitution
1,1',3,3,3',3'-Hexamethylindodicarbocyanine Iodide
Hexacyanine 2
C27H31N2I · MW: 510.46
Characteristics
Lambdachrome® number: 7400
CAS registry number: 36536-22-8
Appearance: blue, crystalline solid
Absorption maximum (in ethanol): 639 nm
Molar absorptivity: 22.5 x 104 L mol-1 cm-1
Fluorescence maximum: -
For research and development purposes only.
Lasing Performance
Laser dye for pulsed operation; tunable around 740 nm. Saturable absorber for
flashlamp pumped Rhodamine 6G dye lasers; applicable around 630 nm1.).
Pump Dye Laser Characteristics
Source Wavelength Peak Range Effic. Conc. Solvent Ref.
[nm] [nm] [nm] [%] [g/l]
Flashlamp -740 - - 0.11 DMSO 2
References
1. M. Maeda, Y. Miyazoe, Jap. J. Appl. Phys. 13(1), 193 (1974).
2. M. Maeda, Y. Miyazoe, Jap. J. Appl. Phys. 11(5), 692 (1972).

218
WAVELENGTH [NM] --->
ABSORBANCE [10-4 * L/(MOL*CM] --->
2
4
6
8
10
12
14
16
18
20
22
200
250
300
350
400
450
500
550
600
650
700
750
Cryptocyanine
LC 7450
C25H25N2I 480.39
Solvent: Ethanol
Cryptocyanine

219
Cryptocyanine (LC 7450)
Constitution
1,1'-Diethyl-4,4'-carbocyanine Iodide
DCI-4
C25H25N2I · MW: 480.39
Characteristics
Lambdachrome® number: 7450
CAS registry number: 4727-50-8
Appearance: green, crystalline solid
Absorption maximum (in ethanol): 708 nm
Molar absorptivity: 22.5 x 104 L mol-1 cm-1
Fluorescence maximum: -
For research and development purposes only.
Lasing Performance
Saturable absorber for the ruby laser; applicable around 700 nm1., 2., 3., 4.).
References
1. M. L. Spaeth, W. R. Sooy, J. Chem. Phys. 48(5), 2315 (1968).
2. I. K. Krasyuk et al., JETP Letters 7(4), 89 (1968).
3. H. W. Mocker, R. J. Collins, Appl. Phys. Letters 7(10), 270 (1965).
4. V. I. Malyshev, A. S. Markin, A. A. Sychev, JETP Letters 6, 34 (1967).

220
WAVELENGTH [NM] --->
ABSORBANCE [10-4 * L/(MOL*CM] --->
Styryl 6
LC 7500
C23H27N2O4Cl 430.93
Solvent: Ethanol
7
6
5
4
3
2
1
200
250
300
350
400
450
500
550
600
650
700
Styryl 6

221
Styryl 6 (LC 7500)
Constitution
2-(4-(p-Dimethylaminophenyl)-1,3-butadienyl)-1,3,3-trimethyl-3H-indolium
Perchlorate
LDS 730
C23H27N2O4Cl · MW: 430.93
Characteristics
Lambdachrome® number: 7500
CAS registry number: -
Appearance: blue, crystalline solid
Absorption maximum (in ethanol): 615 nm
Molar absorptivity: 7.38 x 104 L mol-1 cm-1
Fluorescence maximum: -
For research and development purposes only.
Lasing Performance
Laser dye for pulsed operation; tunable around 720 nm
Pump Dye Laser Characteristics
Source Wavelength Peak Range Effic. Conc. Solvent Ref.
[nm] [nm] [nm] [%] [g/l]
Nd:YAG, 2nd 532 721 708 - 735 16 0.28 PC 1
References
1. Lambda Physik, Wall Chart 1996.
2. K. Kato, IEEE J. Quantaum Electr. QE-16(10), 1017 (1980).

222
WAVELENGTH [NM] --->
ABSORBANCE [10-4 * L/(MOL*CM] --->
6
5
4
3
2
1
200
250
300
400
550
700
350
450
500
600
650
Styryl 8
Styryl 8
LC 7550
C21H23N2SO4Cl 434.94
Solvent: Ethanol

223
Styryl 8 (LC 7550)
Constitution
2-(4-(p-Dimethylaminophenyl)-1,3-butadienyl)-3-ethylbenzothoazolium Perchlorat
LDS 751
C21H23N2SO4Cl · MW: 434.94
Characteristics
Lambdachrome® number: 7550
CAS registry number: 76433-29-9
Appearance: green, crystalline solid
Absorption maximum (in ethanol): 570 nm
Molar absorptivity: 6.15 x 104 L mol-1 cm-1
Fluorescence maximum: -
For research and development purposes only.
Lasing Performance
Laser dye for pulsed and CW operation; tunable around 750 nm
Pump Dye Laser Characteristics
Source Wavelength Peak Range Effic. Conc. Solvent Ref.
[nm] [nm] [nm] [%] [g/l]
Nd:YAG, 2nd 532 750 717 - 780 13 0.15 PC 1
Cu-vapor 510 711 703 - 724 31.70 Methanol 2
CW, Ar+VIS 780 700 - 840 - - Pc./Eg. 3, 4
References
1. Lambda Physik, Wall Chart 1996.
2. M. Broyer et al., Appl. Phys. B35, 31 (1984).
3. J. Hoffnagle et al., Opt. Commun. 42(4), 267 (1982).
4. J. J. L. Mulders, L. W. G. Steenhuysen, Opt. Commun. 54(5), 295 (1985).

224
WAVELENGTH [NM] --->
ABSORBANCE [10-4 * L/(MOL*CM] --->
2
4
6
8
10
12
14
16
18
20
22
200
300
250
350
400
450
500
550
600
650
700
750
DDI
DDI
LC 7700
C27H27N2I 506.43
Solvent: Ethanol

225
DDI (LC 7700)
Constitution
1,1'-Diethyl-2,2'-dicarbocyanine Iodide
C27H27N2I · MW: 506.43
Characteristics
Lambdachrome® number: 7700
CAS registry number: 14187-31-6
Appearance: green, crystalline solid
Absorption maximum (in methanol): 710 nm
Molar absorptivity: 23.0 x 104 L mol-1 cm-1
Fluorescence maximum (in ethanol): 745 nm
For research and development purposes only.
Lasing Performance
Laser dye for pulsed operation; tunable around 800 nm. Saturable absorber for
the Ruby laser and flashlamp pumped Cresyl Violet and Rhodamine 700 dye
lasers; applicable around 710 nm1., 2., 3.).
Pump Dye Laser Characteristics
Source Wavelength Peak Range Effic. Conc. Solvent Ref.
[nm] [nm] [nm] [%] [g/l]
Ruby 694 806 -13 0.03 Ethanol 4
References
1. E. G. Arthurs et al., Appl. Phys. Letters 20(3), 125 (1972).
2. M. E. Mack, IEEE J. Quantum Electr. QE-4, 1015 (1968).
3. W. Sibbett, J. R. Taylor, IEEE J. Quantum Electr. 20(2), 108 (1984).
4. A. M. Bonch-Bruevich, Opt. Spectr. 28, 51 (1970).

226
WAVELENGTH [NM] --->
ABSORBANCE [10-4 * L/(MOL*CM] --->
1
2
3
4
5
200
250
300
350
400
450
500
550
600
700
650
Pyridine 4
Pyridine 4
LC 7710
C23H27N2O4Cl 430.5
Solvent: Ethanol

227
Pyridine 4 (LC 7710)
Constitution
1-Ethyl-4-(4-(9-(2,3,6,7-tetrahydro-1H,5H-benzo(i,j)-chinolizinium))-1,3-
butadienyl)-pyridinium Perchlorate
C23H27N2O4Cl · MW: 430.5
Characteristics
Lambdachrome® number: 7710
CAS Registry number: -
Appearance: dark brown, crystalline solid
Absorption maximum (in ethanol): 550 nm
Molar absorptivity: 4.26 x 104 L mol-1 cm-1
Fluorescence maximum (in ethanol): -
For research and development purposes only.
Lasing Performance
Efficient laser dye for pulsed and CW operation; tunable around 770 nm.
Pump Dye Laser Characteristics
Source Wavelength Peak Range Effic. Conc. Solvent Ref.
[nm] [nm] [nm] [%] [g/l]
XeCl-Excimer 308 771 744 - 812 70.75 DMSO 1
References
1. Lambda Physik, Wall Chart 1996.

228
WAVELENGTH [NM] --->
ABSORBANCE [10-4 * L/(MOL*CM] --->
2
20
18
16
14
12
10
8
6
4
200
250
300
350
400
450
500
550
600
650
700
750
Methyl-DOTCI
LC 7800
C23H21N2O2I 484.31
Solvent: Ethanol
Methyl-DOTCI

229
Methyl-DOTCI (LC 7800)
Constitution
3,3'-Dimethyloxatricarbocyanine Iodide DMOTCI · NK 199
C23H21N2O2I · MW: 484.31
Characteristics
Lambdachrome® number: 7800
Appearance: blue, crystalline solid
Absorption maximum (in ethanol): 682 nm
Molar absorptivity: 19.8 x 104 L mol-1 cm-1
Fluorescence maximum (in ethanol): 718 nm
For research and development purposes only.
Lasing Performance
Efficient laser dye for pulsed and CW operation; tunable around 780 nm.
Pump Dye Laser Characteristics
Source Wavelength Peak Range Effic. Conc. Solvent Ref.
[nm] [nm] [nm] [%] [g/l]
XeCl-Excimer 308 792 774 - 810 40.90 DMSO 1, 2, 3
Nitrogen 337 780 768 - 820 rel. 0.51 DMSO 3, 4
Nd:YAG, 2nd 532 780 -rel. -DMSO 5
Flashlamp -810 - - 0-07 DMSO 6
CW, Kr+red -745 - 790 -1.45 Eg. 7
References
1. Lambda Physik, Wall Chart 6/83.
2. H. Telle, W. Hüffer, D. Basting, Opt. Commun. 38(5,6), 403 (1981).
3. F. Bos, Appl. Optics 20(20), 3553 (1981).
4. Lambda Physik, Data Sheet.
5. F. Bos, Appl. Optics 20(10), 1886 (1981).
6. C. Loth, P. Flamant, Opt. Commun. 21(1), 13 (1977).
7. J. M. Yarborough, Appl. Phys. Letters 24(12), 629 (1974).
P.S.
The DOTCI (3,3'-Diethyloxatricarbocyanine Iodide) shows identical performance,
however, its photochemical stability is much lower.

230
WAVELENGTH [NM] --->
ABSORBANCE [10-4 * L/(MOL*CM] --->
1
Styryl 11
5
4
3
2
200
250
300
350
400
450
500
550
600
650
700
Styryl 11
LC 7950
C23H25N2O4Cl 428.5
Solvent: Ethanol

231
Styryl 11 (LC 7950)
Constitution
1-Ethyl-4-(4-(p-Dimethylaminophenyl)-1,3-butadienyl)-quinolinium Perchlorate
LDS 798
C23H25N2O4Cl · MW: 428.5
Characteristics
Lambdachrome® number: 7950
CAS registry number: 92479-59-9
Appearance: green, crystalline solid
Absorption maximum (in ethanol): 575 nm
Molar absorptivity: 4.55 x 104 L mol-1 cm-1
Fluorescence maximum: -
For research and development purposes only.
Lasing Performance
Laser dye for pulsed operation; tunable around 800 nm
Pump Dye Laser Characteristics
Source Wavelength Peak Range Effic. Conc. Solvent Ref.
[nm] [nm] [nm] [%] [g/l]
CW, Ar+VIS 800 770 - 845 50.51 Pc./Eg. 1
References
1. J. Hoffnagle et al., Opt. Commun. 42(4), 267 (1982).

232
WAVELENGTH [NM] --->
ABSORBANCE [10-4 * L/(MOL*CM] --->
1
2
3
4
5
6
7
8
9
200
250
300
350
400
450
500
550
600
650
700
750
Rhodamine 800
LC 8000
C26H26N3O5Cl 495.52
Solvent: Ethanol
Rhodamine 800

233
Rhodamine 800 (LC 8000)
Constitution
8-Cyano-2,3,5,6,11,12,14,15-octahydro-1H,4H,10H,13H-diquinolizino[9,9a,1-
bc:9',9a',1-hi]xanthylium Perchlorate
C26H26N3O5Cl · MW: 495.52
Characteristics
Lambdachrome® number: 8000
CAS registry number: 101027-54-7
Appearance: green, crystalline solid
Absorption maximum (in ethanol): 682 nm
Molar absorptivity: 8.95 x 104 L mol-1 cm-1
Fluorescence maximum: -
For research and development purposes only.
Lasing Performance
Very efficient laser dye for pulsed and CW operation; tunable around 810 nm
Pump Dye Laser Characteristics
Source Wavelength Peak Range Effic. Conc. Solvent Ref.
[nm] [nm] [nm] [%] [g/l]
XeCl-Excimer 308 810 776 - 823 61.00 DMSO 1
CW, Kr+red 795 730 - 835 22 0.21 Eg. 2
References
1. Lambda Physik, Wall Chart 1996.
2. R. Raue, H. Harnisch, K. H. Drexhage, Heterocycles 21(1), 167 (1984).

234
WAVELENGTH [NM] --->
ABSORBANCE [10-4 * L/(MOL*CM] --->
5
4
3
2
1
200
250
300
350
400
450
500
550
600
650
700
750
Styryl 9M
Styryl 9M
LC 8400
C27H31N2O4SCl 513.96
Solvent: Ethanol

235
Styryl 9M (LC 8400)
Constitution
2-(6-(4-Dimethylaminophenyl)-2,4-neopentylene-1,3,5-hexatrienyl)-3-methyl-
benzothiazolium Perchlorat
LDS 821
C27H31N2O4SCl · MW: 513.96
Characteristics
Lambdachrome® number: 8400
CAS registry number: 120528-73-6
Appearance: green, crystalline solid
Absorption maximum (in ethanol): 585 nm
Molar absorptivity: 5.05 x 104 L mol-1 cm-1
Fluorescence maximum: -
For research and development purposes only.
Lasing Performance
Very efficient laser dye for pulsed and CW operation; tunable around 840 nm
Pump Dye Laser Characteristics
Source Wavelength Peak Range Effic. Conc. Solvent Ref.
[nm] [nm] [nm] [%] [g/l]
XeCl-Excimer 308 840 810 - 875 91.10 DMSO 1,2
Nitrogen 337 840 803 - 875 rel. 1.03 DMSO 3
Nd:YAG, 2nd 532 824 797 - 851 15 0.26 Pc. 1, 4
Cu-vapor 510 815 793 - 845 14 0.67 Methanol 5
Flashlamp -840 810 - 860 -0.01 Pc./Eg. 6, 7
CW, Ar+VIS 830 785 - 900 -2.0 Pc./Eg. 1, 8,9
References
See page 236.
P.S.
The 3-Ethyl-derivative (Styryl 9/LDS 820) shows similar performance. However,
its photochemical stability in CW pumped dye lasers is slightly lower.

236
WAVELENGTH [NM] --->
ABSORBANCE [10-4 * L/(MOL*CM] --->
References (STYRYL 9M)
1. Lambda Physik, Wall Chart 1996.
2. V. S. Antonov, K. L. Hohla, Appl. Phys. B32, 9 (1983).
3. Lambda Physik, Data Sheet.
4. K. Kato, IEEE J. Quantum Electr. QE-16(19), 1017 (1980).
5. M. Broyer et al., Appl. Phys. B35, 31 (1984).
6. K. Smith, W. Sibbett, J. R. Taylor, Opt. Commun. 49(5), 359 (1984).
7. Cheng-Huei Lin, B. Marshall, Appl. Optics 23(14), 2228 (1984).
8. J. Hofnagle et al., Opt. Commun. 42(4), 267 (1982).
9. J. J. L. Mulders, L. W. G. Steenhuysen, Opt. Commun. 54(5), 295 (1985).
References (HITCI)
1. Lambda Physik, Wall Chart 1996.
2. H. Telle, W. Hüffer, D. Basting, Opt. Commun. 38(5,6), 403 (1981).
3. F. Bos, Appl. Optics 20(10), 3553 (1981).
4. Lambda Physik, Data Sheet.
5. F. Bos, Appl. Optics 20(20), 1886 (1981).
6. A. Hirth, K. Vollrath, J. Faure, D. Lougnot, Opt. Commun. 7(4), 339(1973).
7. Coherent, CW Dye Laser Fact Sheets.
8. T. F. Johnston, R. H. Brady, W. Proffitt, Appl. Optics 21(13), 2307 (1982).
References (IR 140)
1. Lambda Physik, Wall Chart 6/83.
2. F. Bos, Appl. Optics 20(20), 3553 (1981).
3. V. S. Antonov, K. L. Hohla, Appl. Phys. B30, 109 (1983).
4. Lambda Physik, Data Sheet.
5. F. Bos, Appl. Optics 20(10), 1886 (1981).
6. C. A. Moore, C. D. Decker, J. Appl. Phys. 49(1), 47 (1978).
7. C. D. Decker, Appl. Phys. Letters 27(11), 607 (1975).
8. J. P. Webb et al., IEEE J. Quantum Electr. QE-11, 114 (1975).
9. Coherent, CW Dye Laser Fact Sheets.
10. Lambda Physik.
237

238
WAVELENGTH [NM] --->
ABSORBANCE [10-4 * L/(MOL*CM] --->
2
4
6
8
10
12
14
16
18
20
200
250
300
350
400
450
500
550
600
650
700
750
800
HITCI
LC 8500
C29H33N2I 536.50
Solvent: Ethanol
HITCI

239
HITCI (LC 8500)
Constitution
1,1',3,3,3',3'-Hexamethylindotricarbocyanine Iodide
Hexacyanine 3
C29H33N2I · MW: 536.50
Characteristics
Lambdachrome® number: 8500
CAS registry number: 19764-96-6
Appearance: green, crystalline solid
Absorption maximum (in ethanol): 741 nm
Molar absorptivity: 21.5 x 104 L mol-1 cm-1
Fluorescence maximum (in ethanol): 778 nm
For research and development purposes only.
Lasing Performance
Laser dye for pulsed and CW operation; tunable around 860 nm.
Pump Dye Laser Characteristics
Source Wavelength Peak Range Effic. Conc. Solvent Ref.
[nm] [nm] [nm] [%] [g/l]
XeCl-Excimer 308 868 837 - 905 41.20 DMSO 1, 2, 3
Nitrogen 337 846 828 -891 rel. 1.06 DMSO 3, 4
Nd:YAG, 2nd 532 815 - - - Ethanol 5
Flashlamp -879 - - 0.11 DMSO 6
CW, Kr+ir 880 815 - 920 10 0.3 DMSO/Eg. 7, 8
References
See page 236.

240
WAVELENGTH [NM] --->
ABSORBANCE [10-4 * L/(MOL*CM] --->
IR 125
LC 8630
C43H47N2O6S2Na 774.96
Solvent: DMSO
16
14
12
10
8
6
4
2
300
350
400
450
500
550
600
650
700
750
800
850
IR 125

241
IR 125 (LC 8630)
Constitution
C43H47N2O6S2Na · MW: 774.96
Characteristics
Lambdachrome® number: 8630
CAS registry number: 3599-32-4
Appearance: bronze, crystalline solid
Absorption maximum (in DMSO): 795 nm
Molar absorptivity: 17.3 x 104 L mol-1 cm-1
Fluorescence maximum (in chloroform): 838
For research and development purposes only.
Lasing Performance
Laser dye for pulsed operation; tunable around 920 nm
Pump Dye Laser Characteristics
Source Wavelength Peak Range Effic. Conc. Solvent Ref.
[nm] [nm] [nm] [%] [g/l]
XeCl-Excimer 308 920 890 - 960 42.0 DMSO 1
Nitrogen 337 918 893 - 958 rel. 1.94 DMSO 2, 3
Nd:YAG, 2nd 532 913 -30.39 DMSO 4
Flashlamp -940 - - 0.08 DMSO 5
References
1. Lambda Physik, Wall Chart 6/90.
2. Lambda Physik, Data Sheet.
3. B. M. Pierce, R. R. Birge, IEEE J. Quantum Electr. QE-18(7), 1164 (1982).
4. C. D. Decker, Appl. Phys. Letters 27(11), 607 (1975).
5. J. P. Webb et al., IEEE J. Quantum Electr. QE-11, 114 (1975).

242
WAVELENGTH [NM] --->
ABSORBANCE [10-4 * L/(MOL*CM] --->
2
4
6
8
10
12
14
16
18
20
200
250
300
350
400
450
500
550
600
650
700
750
800
850
DTTCI
LC 8760
C25H25N2S2I 544.51
Solvent: Ethanol
DTTCI

243
DTTCI (LC 8760)
Constitution
3,3'-Diethylthiatricarbocyanine Iodide
C25H25N2S2I · MW: 544.51
Characteristics
Lambdachrome® number: 8760
CAS registry number: 3071-70-3
Appearance: blue, crystalline solid
Absorption maximum (in ethanol): 760 nm
Molar absorptivity: 21.0 x 104 L mol-1 cm-1
Fluorescence maximum (in chloroform): 815
For research and development purposes only.
Lasing Performance
Laser dye for pulsed operation; tunable around 850 nm
Pump Dye Laser Characteristics
Source Wavelength Peak Range Effic. Conc. Solvent Ref.
[nm] [nm] [nm] [%] [g/l]
XeCl-Excimer 308 849 828 - 883 10.42 DMSO 1
Nitrogen 337 852 834 - 892 rel. 0.60 DMSO 1, 2
Flashlamp -889 - - 0.11 Methanol 3, 4
References
1. F. Bos, Appl. Optics 20(20), 3553 (1981).
2. B. M. Pierce, R. R. Birge, IEEE J. Quantum Electr. QE-18(7), 1164 (1982).
3. M. Maeda, Y. Miyazoe, Jap. J. Appl. Phys. 11(5), 692 (1972).
4. A. Hirth, K. Vollrath, J. Faure, D. Lougnot, Opt. Commun. 7(4), 339 (1973).

244
WAVELENGTH [NM] --->
ABSORBANCE [10-4 * L/(MOL*CM] --->
14
12
10
8
6
4
2
200
250
300
350
400
450
500
550
600
650
700
750
800
850
IR 144
LC 8800
C56H73N5O8S21008.34
Solvent: Ethanol
IR 144

245
IR 144 (LC 8800)
Constitution
C56H73N5O8S2 · MW: 1008.34
Characteristics
Lambdachrome® number: 8800
CAS registry number: 54849-69-3
Appearance: bronze, crystalline solid
Absorption maximum (in DMSO): 750 nm
Molar absorptivity: 14.1 x 104 L mol-1 cm-1
Fluorescence maximum (in ethanol): 848
For research and development purposes only.
Lasing Performance
Laser dye for pulsed operation; tunable around 880 nm
Pump Dye Laser Characteristics
Source Wavelength Peak Range Effic. Conc. Solvent Ref.
[nm] [nm] [nm] [%] [g/l]
XeCl-Excimer 308 869 856 - 879 31.08 DMSO 1, 2
Nitrogen 337 874 862 - 892 rel. 1.61 DMSO 1, 3, 4
Nd:YAG, 2nd 532 867 -60.30 DMSO 5, 6
Flashlamp -880 - - 0.10 DMSO 7
References
1. F. Bos, Appl. Optics 20(20), 3553 (1981).
2. V. S. Antonov, K. L. Hohla, Appl. Phys. B30, 109 (1983).
3. Lambda Physik, Data Sheet.
4. B. M. Pierce, R. R. Birge, IEEE J. Quantum Electr. QE-18(7), 1164 (1982).
5. F. Bos, Appl. Optics. 20(10), 1886 (1981).
6. C. A. Moore, C. D. Decker, J. Appl. Phys. 49(1), 47 (1978).
7. J. P. Webb et al., IEEE J. Quantum Electr. QE-11, 114 (1975).

246
WAVELENGTH [NM] --->
ABSORBANCE [10-4 * L/(MOL*CM] --->
1
4
3
2
5
200
250
300
350
400
450
500
550
600
650
700
750
800
Styryl 15
Styryl 15
LC 8810
C31H35N2O4SCl 566.5
Solvent: Ethanol

247
Styryl 15 (LC 8810)
Constitution
2-(6-(9-(2,3,6,7-Tetrahydro-1H,5H-benzo(i,j)-chinolizinium))-2,4-neopentylene-
1,3,5-hexatrienyl)-3-methylbenzothiazolium Perchlorate
C31H35N2O4SCl · MW: 566.5
Characteristics
Lambdachrome® number: 8810
CAS Registry number: -
Appearance: dark green, crystalline solid
Absorption maximum (in ethanol): 648 nm
Molar absorptivity: 4.42 x 104 L mol-1 cm-1
Fluorescence maximum (in ethanol): -
For research and development purposes only.
Lasing Performance
Efficient laser dye for pulsed and CW operation; tunable around 880 nm.
Pump Dye Laser Characteristics
Source Wavelength Peak Range Effic. Conc. Solvent Ref.
[nm] [nm] [nm] [%] [g/l]
XeCl-Excimer 308 880 856 - 918 71.15 DMSO 1
Nd:YAG, 2nd 532 880 856 - 918 70.62 Pc. 1
References
1. Lambda Physik, Wall Chart 1996.

248
WAVELENGTH [NM] --->
ABSORBANCE [10-4 * L/(MOL*CM] --->
6
20
18
16
14
12
10
8
4
2
200
250
300
350
400
450
500
550
600
650
700
750
800
DNTTCI
DNTTCI
LC 8850
C30H33N2S2I 612.63
Solvent: Ethanol

249
DNTTCI (LC 8850)
Constitution
3,3'-Diethyl-9,11-neopentylenethiatricarbocyanine Iodide
C30H33N2S2I · MW: 612.63
Characteristics
Lambdachrome® number: 8850
CAS registry number: -
Appearance: brass colored, crystalline solid
Absorption maximum (in ethanol): 765nm
Molar absorptivity: 22.5 x 104 L mol-1 cm-1
Fluorescence maximum : -
For research and development purposes only.
Lasing Performance
Laser dye for pulsed operation; tunable around 880 nm
Pump Dye Laser Characteristics
Source Wavelength Peak Range Effic. Conc. Solvent Ref.
[nm] [nm] [nm] [%] [g/l]
Flashlamp -880 - - 0.12 DMSO 1
References
1. A. Hirth, K. Vollrath, J. Faure, D. Lougnot, Opt. Commun. 7(4), 339 (1973).

250
WAVELENGTH [NM] --->
ABSORBANCE [10-4 * L/(MOL*CM] --->
2
4
6
8
10
12
14
16
18
20
22
200
250
300
350
400
450
500
550
600
650
700
750
800
850
HDITCI
HDITCI
LC 9200
C37H37N2I 636.62
Solvent: Ethanol

251
HDITCI (LC 9200)
Constitution
1,1',3,3,3',3'-Hexamethyl-4,4',5,5'-dibenzo-2,2'-indotricarbocyanine Iodide
Hexadibenzocyanin 3
C37H37N2I · MW: 636.62
Characteristics
Lambdachrome® number: 9200
CAS registry number: 23178-67-8
Appearance: bronze colored, crystalline solid
Absorption maximum (in ethanol): 780 nm
Molar absorptivity: 23.1 x 104 L mol-1 cm-1
Fluorescence maximum (in chloroform): 824
For research and development purposes only.
Lasing Performance
Laser dye for pulsed and CW operation; tunable around 920 nm. Saturable
absorber for CW pumped Oxazine 170 dye lasers; applicable around 780 nm 1.).
Pump Dye Laser Characteristics
Source Wavelength Peak Range Effic. Conc. Solvent Ref.
[nm] [nm] [nm] [%] [g/l]
XeCl-Excimer 308 932 899-975 40.90 DMSO 1, 2
CW, Kr+red 920 880 - 960 20.95 DMSO/Eg. 3
References
1. G. W. Fehrenbach et al., Appl. Phys. Letters 33(2), 159 (1978).
2. V. S. Antonov, K. L. Hohla, Appl. Phys. B30, 109 (1983).
3. K. M. Romanek et al., Opt. Commun. 21(1), 16 (1977).

252
WAVELENGTH [NM] --->
ABSORBANCE [10-4 * L/(MOL*CM] --->
18
16
14
12
10
8
6
4
2
200
250
300
350
400
450
500
550
600
650
700
750
800
850
DDTTCI
LC 9280
C33H29N2S2I 644.43
Solvent: Ethanol
DDTTCI

253
DDTTCI (LC 9280)
Constitution
3,3'-Diethyl-4,4',5,5'-dibenzothiatricarbocyanine Iodide
Hexadibenzocyaini 45
C33H29N2S2I · MW: 644.43
Characteristics
Lambdachrome® number: 9280
CAS registry number: -
Appearance: bronze colored, crystalline solid
Absorption maximum (in ethanol): 798 nm
Molar absorptivity: 19.6 x 104 L mol-1 cm-1
Fluorescence maximum: -
For research and development purposes only.
Lasing Performance
Laser dye for pulsed operation; tunable around 930 nm
Pump Dye Laser Characteristics
Source Wavelength Peak Range Effic. Conc. Solvent Ref.
[nm] [nm] [nm] [%] [g/l]
XeCl-Excimer 308 932 899 - 975 50.92 DMSO 1, 2
Nitrogen 337 870 -rel. 0.32 Acetone 3
Flashlamp -946 - - Pc./DMSO 4
References
1. Lambda Physik.
2. H. Telle, W. Hüffer, D. Basting, Opt. Commun. 38(5,6), 402 (1981).
3. Chinlon Lin, IEEE J. Quantum Electr. QE-11, 61 (1975).
4. A. Hirth, J. Faure, D. Lougnot, Opt. Commun. 8(4), 318 (1973).

254
WAVELENGTH [NM] --->
ABSORBANCE [10-4 * L/(MOL*CM] --->
22
20
18
16
14
12
10
8
6
4
2
200
250
300
350
400
450
500
550
600
650
700
750
800
850
DDCI-4
DDCI-4
LC 9300
C27H27N2O 506.43
Solvent: Ethanol

255
DDCI-4 (LC 9300)
Constitution
1,2'-Diethyl-4,4'-dicarbocyanine Iodide
NK 1144
C27H27N2O · MW: 506.43
Characteristics
Lambdachrome® number: 9300
CAS registry number: -
Appearance: green, crystalline solid
Absorption maximum (in ethanol): 815 nm
Molar absorptivity: 23.6 x 104 L mol-1 cm-1
Fluorescence maximum (in ethanol): 850 nm
For research and development purposes only.
Lasing Performance
Laser dye for pulsed operation; tunable around 930 nm
Pump Dye Laser Characteristics
Source Wavelength Peak Range Effic. Conc. Solvent Ref.
[nm] [nm] [nm] [%] [g/l]
Nitrogen 337 930 -rel. 0.50 Acetone 1
References
1. Chinlon Lin, IEEE J. Quantum Electr. QE-11, 61 (1975).

256
WAVELENGTH [NM] --->
ABSORBANCE [10-4 * L/(MOL*CM] --->
16
14
12
10
8
2
4
6
200
250
300
350
400
450
500
550
600
650
700
750
800
850
IR 140
LC 9310
C39H34N3O4S2Cl3779.21
Solvent: Ethanol
IR 140

257
IR 140 (LC 9310)
Constitution
C39H34N3O4S2Cl3 · MW: 779.21
Characteristics
Lambdachrome® number: 9310
CAS registry number: 53655-17-7
Appearance: brown, crystalline solid
Absorption maximum (in ethanol): 810 nm
Molar absorptivity: 15.0 x 104 L mol-1 cm-1
Fluorescence maximum (in ethanol): 860 nm
For research and development purposes only.
Lasing Performance
Laser dye for pulsed operation; tunable around 950 nm
Pump Dye Laser Characteristics
Source Wavelength Peak Range Effic. Conc. Solvent Ref.
[nm] [nm] [nm] [%] [g/l]
XeCl-Excimer 308 950 882 - 985 31.10 DMSO 1, 2, 3
Nitrogen 337 910 900 - 936 rel. 0.78 DMSO 3, 4
Nd:YAG, 2nd 532 890 -50.31 DMSO 5, 6, 7
Flashlamp -950 - - 0.08 DMSO 8
CW, Kr+VIS 970 880 - 1010 14 0.71 DMSO/Eg. 9, 10
References
See page 236.

258
WAVELENGTH [NM] --->
ABSORBANCE [10-4 * L/(MOL*CM] --->
1
4
3
2
5
200
250
300
350
400
450
500
550
600
650
700
750
800
Styryl 14
Sryl 14
LC 9450
C29H33N2O4SCl 540.5
Solvent: Ethanol

259
Styryl 14 (LC 9450)
Constitution
2-(8-(4-p-Dimetyhlaminophenyl)-2,4-neopentylene-1,3,5,7-octatetraenyl)-3-
methylbenzothiazolium Perchlorate
C29H33N2O4SCl · MW: 540.5
Characteristics
Lambdachrome® number: 9450
CAS Registry number: -
Appearance: dark green, crystalline solid
Absorption maximum (in ethanol): 588 nm
Molar absorptivity: 5.17 x 104 L mol-1 cm-1
Fluorescence maximum (in ethanol): -
For research and development purposes only.
Lasing Performance
Efficient laser dye for pulsed and CW operation; tunable around 950 nm.
Pump Dye Laser Characteristics
Source Wavelength Peak Range Effic. Conc. Solvent Ref.
[nm] [nm] [nm] [%] [g/l]
XeCl-Excimer 308 945 904 - 992 91.10 DMSO 1
Nd:YAG, 2nd 532 945 904 - 990 90.27 Pc. 1
References
1. Lambda Physik, Wall Chart 1996.

260
WAVELENGTH [NM] --->
ABSORBANCE [10-4 * L/(MOL*CM] --->
IR 132
LC 9500
C59H48N3O8S2Cl 1026.62
Solvent: DMSO
14
12
10
8
6
4
2
200
250
300
400
350
450
500
550
600
650
700
750
800
850
900
IR 132

261
IR 132 (LC 9500)
Constitution
C59H48N3O8S2Cl · MW: 1026.62
Characteristics
Lambdachrome® number: 9500
CAS registry number: 62669-62-9
Appearance: red, crystalline solid
Absorption maximum (in DMSO): 830 nm
Molar absorptivity: 15.9 x 104 L mol-1 cm-1
Fluorescence maximum (in chloroform): 861 nm
For research and development purposes only.
Lasing Performance
Laser dye for pulsed operation; tunable around 950 nm
Pump Dye Laser Characteristics
Source Wavelength Peak Range Effic. Conc. Solvent Ref.
[nm] [nm] [nm] [%] [g/l]
Nd:YAG, 2nd 532 909 -10.51 DMSO 1
Flashlamp -972 - - 0.10 DMSO 2
ML, Kr+VIS -863 - 1048 -0.80 DMSO 3
References
1. C. D. Decker, Appl. Phys. Letters 27(11), 607 (1975).
2. J. P. Webb et al., IEEE J. Quantum Electr. QE-11, 114(1975).
3. M. Leduc, Opt. Commun. 31(1), 66(1979).

262
WAVELENGTH [NM] --->
ABSORBANCE [10-4 * L/(MOL*CM] --->
5
4
3
2
1
200
250
300
350
400
450
500
550
600
650
700
750
800
Styryl 20
Styryl 20
LC 9940
C33H37N2O4SCl 592.5
Solvent: DMSO

263
Styryl 20 (LC 9940)
Constitution
2-(8-(9-(2,3,6,7-Tetrahydro-1H,5H-benzo(i,j)chinolizinium))-2,4-neopentylene-
1,3,5,7-octatetraenyl)-3-methylbenzothiazolium Perchlorate
C33H37N2O4SCl · MW: 592.5
Characteristics
Lambdachrome® number: 9940
CAS registry number: -
Appearance: dark green, crystalline solid
Absorption maximum (in ethanol): 645 nm
Molar absorptivity: 4.70 x 104 L mol-1 cm-1
Fluorescence maximum: -
For research and development purposes only.
Lasing Performance
Efficient IR laser dye for pulsed and CW operation; tunable around 990 nm.
Pump Dye Laser Characteristics
Source Wavelength Peak Range Effic. Conc. Solvent Ref.
[nm] [nm] [nm] [%] [g/l]
XeCl-Excimer 308 994 970 - 1036 41.10 DMSO 1
Nd:YAG, 2nd 532 994 970 - 1036 40.68 Pc. 1
References
1. Lambda Physik, Wall Chart 1996.

264
WAVELENGTH [NM] --->
ABSORBANCE [10-4 * L/(MOL*CM] --->
1
2
3
4
5
6
7
8
9
10
300
400
500
600
700
800
900
1000
1100
1200
IR 26
LC 1080
C40H30O4S2Cl2709.70
Solvent: Dichloroethane
IR 26

265
IR 26 (LC 1080)
Constitution
C40H30O4S2Cl2 · MW: 709.70
Characteristics
Lambdachrome® number: 1080
CAS registry number: 76871-75-5
Appearance: dark green, crystalline solid
Absorption maximum (in dichloroethane): 1080 nm
Molar absorptivity: 10.3 x 104 L mol-1 cm-1
Fluorescence maximum (in benzyl alcohol): 1180 nm
For research and development purposes only.
Lasing Performance
Efficient laser dye for synchronously pumped (Nd:YAG) dye lasers; tunable
around 1030 nm. Saturable absorber for Nd:YAG lasers.
Pump Dye Laser Characteristics
Source Wavelength Peak Range Effic. Conc. Solvent Ref.
[nm] [nm] [nm] [%] [g/l]
Nd:YAG 1064 1290 1200 - 1320 40.71 Bz. 1, 2, 3, 4
References
1. W. Kranitzky et al., Opt. Commun. 36(2), 149 (1981).
2. A. Seilmeier et al., Optics. Letters 8(4), 205 (1983).
3. A. Seilmeier, Opt. Quantum Electr. 16, 89 (1984).
4. K. Kato, IEEE J. Quantum Electr. QE-20(7), 698 (1984).

266
WAVELENGTH [NM] --->
ABSORBANCE [10-4 * L/(MOL*CM] --->
1
3
9
8
7
6
5
4
2
300
400
500
600
700
900
800
1000
1100
1200
IR 5
IR 5
LC 1090
C50H43O6Cl 775.34
Solvent: Dichloroethane

267
IR 5 (LC 1090)
Constitution
C50H43O6Cl · MW: 775.34
Characteristics
Lambdachrome® number: 1090
CAS registry number: 61010-01-3
Appearance: dark green, crystalline solid
Absorption maximum (in dichloroethane): 1090 nm
Molar absorptivity: 9.30x 104 L mol-1 cm-1
Fluorescence maximum: -
For research and development purposes only.
Lasing Performance
Laser dye for synchronously pumped (Nd:YAG) dye lasers; tunable around 1300
nm. Saturable absorber for Nd:glass lasers2.).
Pump Dye Laser Characteristics
Source Wavelength Peak Range Effic. Conc. Solvent Ref.
[nm] [nm] [nm] [%] [g/l]
Nd:YAG 1064 1320 1180 - 1400 10 0.64 DCE 1, 2,
References
1. T. Elsaesser et al., IEEE J. Quantum Electr. QE-20(3), 191 (1984).
2. R. R. Alfano et al., IEEE J. Quantum Electr. QE-17(3), 290 (1981).

268
Saturable Absorbers
a: Dye/LC #
b: Application
c: Literature
a: DASPI/LC 4660
b: s.a. for FL-pumped C1-, C102-, C466-, C6H-dye laser
applicable in the 480 - 500 nm range
c: Sibbett et al., Opt. Commun. 46(1), 32 (1983)
a: DASBTI/LC 5280
b: s.a. for FL-pumped C6-, C522-, C153-, Rh110-dye laser
applicable in the 500 - 540 nm range
c: W. Sibbett et al., Opt. Commun. 44(2), 121 (1982)
W. Sibbett et al., Appl. Phys. B29, 191 (1982)
W. Sibbett et al., IEEE J. Quantum Electr. QE-19(4), 558 (1983)
a: DOCI/LC 5410
b: s.a. for FL-pumped C102-, C500-, XeCl-pumped C102-dye laser
applicable in the 480 - 500 nm range
c: J.C. Mialocq et al., Appl. Phys. Lett. 33(9), 819 (1978)
R. Wyatt, Opt. Commun. 38(1), 64 (1981)
Th. Varghese, Opt. Commun. 44(5), 353 (1983)
M. Watanabe et al., Appl. Phys. Lett. 45(9), 929 (1984)
a: DMETCI/LC 5460
b: s.a. for FL-pumped C153-dye laser
applicable in the 530 - 550 nm range
c: W. Sibbett et al., Opt. Commun. 43(1), 50 (1982)
a: DQOCI/LC 5920
b: s.a. for FL-pumped Fluorol 7GA-, Rh6G-dye laser
applicable in the 550 - 590 nm range
c: E. Lill et al., Opt. Commun. 20(2), 223 (1977)
R.S. Adrain et al., Opt. Commun. 12(2), 140 (1974)
a: DCI-2/LC 5950
b: s.a. for FL-pumped Rh6G-dye laser
applicable in the 560 - 600 nm range
c: M. Maeda et al., Japan J. Appl. Phys. 13(1), 193 (1974)

269
a: Malachit Green/LC 6220
b: additive for CW-pumped Rh6G-dye laser
applicable in combination with DODCI as s.a.
c: M. Young, Appl. Optics 18(19), 3212 (1979)
A. Watanabe et al., IEEE J. Quant. Electr. QE-19(4), 533 (1983)
a: DTCI/LC 6250
b: s.a. for FL-pumped Rh6G-dye laser
applicable in the 580 nm range
c: M. Maeda et al., J. Appl. Phys. 13(1), 193 (1974)
a: DQTCI/LC 6290
b: s.a. for FL-pumped RhB-dye laser
applicable in the 600 - 620 nm range
c: E. G. Arthurs et al., Appl. Phys. Lett. 20(3), 125 (1972)
E. Lill et al., Opt. Commun. 22(1), 107 (1977)
a: DODCI/LC 6550
b: "state of the art"-s.a. for CW- and FL-pumped Rh6G-dye laser
applicable in the 570 - 600 nm range
c: elsewhere
a: DTDCI/LC 7260
b: s.a. for FL-pumped Rh101-, CV/Rh6G-dye laser
applicable in the 630 - 650 nm range
c: J. Negran et al., Appl. Optics 17(17), 2812 (1978)
E.G. Arthurs et al., Appl. Phys. Lett. 20(3), 125 (1972)
a: Cryptocyanine/LC 7450
b: s.a. for Ruby-lasers
c: I.K. Krasyuk et al., JETP Letters 7(4), 89 (1968)
H.W. Mocker et al., Appl Phys. Lett. 7(10), 270 (1965)
V.I. Malyshev et al., JETP Letters 6(2), 34 (1967)
a: DDI/LC 7700
b: s.a. for FL-pumped CV/Rh6G-, Rh700-dye laser, Ruby-laser
applicable in the 680 - 710 nm range
c: E.G. Arthurs et al., Appl. Phys. Lett. 20(3), 125 (1972)
M.E. Mack, IEEE J. Quant. Electr. QE-4, 1015 (1968)
W. Sibbett et al., IEEE J. Quant. Electr. QE-20(2), 108 (1984)
a: DOTCI/LC 7880
b: s.a. for FL-pumped CV-dye laser
applicable in the 680 - 700 nm range
c: E.G. Arthurs et al., Appl. Phys. Lett. 20(3), 125 (1972)

270
a: HITCI/LC 8500
b: s.a. for FL-pumped DOTCI-dye laser
applicable in the 750 - 800 nm range
c: A. Hirth et al., Opt. Commun. 7(4), 339 (1973)
a: HDITCI/LC 9200
b: s.a. for CW-pumped Oxazine 750-dye laser
applicable in the 750 - 830 nm range
c: G.W. Fehrenbach et al., Appl. Phys. Lett. 33(2), 159 (1978)
a: IR 140/LC 9310
b: s.a. for FL- and CW-pumped Styryl 9-dye laser
applicable in the 840 nm range
c: K. Smith et al., Opt. Commun. 49(5), 359 (1984)
a: IR 26/LC 1080
b: s.a. for Nd:YAG-laser
c: B. Kopainsky et al., Appl. Phys. B-29, 15 (1982)
a: IR 5/LC 1090
b: s.a. for Nd:glass-laser
c: R.R. Alfano et al., IEEE J. Quant. Electr. QE-17(3), 290 (1981)
Abbreviations used:
CCoumarin
CV Cresyl Violet
CW continuous wave
FL flashlamp
LC Lambdachrome®
Rh Rhodamine
s.a. saturable absorber

271
Reference List
LC Lambdachrome®corresponds
No. Dye to
3300 BM-Terphenyl DMT
3400 PTP p-Terphenyl
3500 TMQ TMQ
3570 BMQ -
3590 DMQ -
3600 Butyl-PBD BPBD-365
3640 PBD PBD
3650 TMI -
3690 QUI -
3700 PPO PPO
3720 PPF -
3740 PQP p-Quaterphenyl
3780 BBD -
3800 Polyphenyl 1 -
3810 Polyphenyl 2 -
3860 BiBuQ BBQ
3900 Quinolon 390 LD 390
3950 a-NPO a-NPO
3990 Furan 2 -
4000 PBBO PBBO
4090 DPS DPS
4100 Stilbene 1 -
4150 BBO BBO
4200 Stilbene 3 Stilbene 420
4220 Carbostyryl 7 Carbostyryl 124
4230 POPOP POPOP
4240 Coumarin 4 Umbelliferon 47
4250 Bis-MSB Bis-MSB
4300 BBOT -
4350 Carbostyryl 3 Carbostyryl 165
4400 Coumarin 120 Coumarin 440
4500 Coumarin 2 Coumarin 450
4650 DASPI -
4660 Coumarin 466 LD 466, C1H

272
LC Lambdachrome®corresponds
No. Dye to
4700 Coumarin 47 Coumarin 460, Coumarin 1
4800 Coumarin 102 Coumarin 480
4810 Coumarin 152A Coumarin 481, Coumarin 35
4850 Coumarin 152 Coumarin 485
4900 Coumarin 151 Coumarin
4910 Coumarin 6H LD 490
5000 Coumarin 307 Coumarin 503
5010 Coumarin 500 Coumarin 500
5040 Coumarin 314 Coumarin 504
5100 Coumarin 510 Coumarin 510
5150 Coumarin 30 Coumarin 515
5210 Coumarin 334 Coumarin 521
5220 Coumarin 522 Coumarin 522
5280 DASBTI -
5350 Coumarin 7 Coumarin 535
5360 Brillant Sulfaflavine Brillant Sulfaflavin
5370 Coumarin 6 Coumarin 540
5400 Coumarin 153 Coumarin 540A
5410 DOCI DOC, NK 85
5460 DMETCI -
5520 Uranin Disodium Fluorescein
5530 Fluorescein 27 Fluorescein 548
5700 Rhodamine 110 Rhodamine 560
5750 Rhodamine 19 Rhodamine 575
5900 Rhodamine 6G Rhodamine 590
5901 Rhodamine 6G (Perchl.) Rhodamine 590 (Perchl.)
5920 DQOCI -
5950 DCI-2 -
6100 Rhodamine B Rhodamine 610
6101 Rhodamine B (Perchl.) Rhodamine 610 (Perchl.)
6200 Sulforhodamine B Kiton Red 620
6220 Malachit Green -
6250 DTCI NK 76
6290 DQTCI -
6400 Rhodamine 101 Rhodamine 640
6500 DCM DCM

273
LC Lambdachrome®corresponds
No. Dye to
6501 DCM-spec. -
6550 DODCI DODC-Iodide
6600 Sulforhodamine 101 Sulforhodamine 640
6700 Cresyl Violet Cresyl Violet 670
6900 Nile Blue Nile Blue 690
6950 Oxazine 4 LD 690
7000 Rhodamine 700 LD 700
7100 Pyridin 1 LDS 698
7210 Oxazine 170 Oxazine 720
7250 Oxazine 1 Oxazine 725
7260 DTDCI DTDC-Iodide, NK 136
7270 Oxazine 750 Oxazine 750
7300 Pyridin 2 LDS 722
7400 HIDCI Hexacyanine 2, NK 529
7500 Styryl 6 LDS 730
7550 Styryl 8 LDS 751
7700 DDI NK 1456
7710 Pyridin 4 -
7800 Methyl-DOTCI DMOTC-Iodide, NK 199
7880 DOTCI DEOTC-Iodide
7950 Styryl 11 LDS 798
8000 Rhodamine 800 -
8410 Styryl 9 (M) LDS 820 (821)
8500 HITCI Hexacyanine 3, NK 125
8630 IR 125 IR 125
8760 DTTCI DTTC-Iodide, NK 126
8800 IR 144 IR 144
8810 Styryl 15 -
8850 DNTTCI -
9300 DDCI-4 NK 1144
9310 IR 140 IR 140
9500 IR 132 IR 132
9940 Styryl 20 -
10600 IR 25 -
10800 IR 26 IR 26
10810 IR 26 (HFB) -
10900 IR 5 IR 5

274
Tuning Curves
Tuning curves of excimer-, nitrogen-, Nd:YAG-, and CW-laser pumped dye
lasers are shown on the following pages. Parameters given are defined as
follows:
Peak
Output maximum of the tuning curve, in nanometers.
Tuning Range
The tuning range is defined as the range, in nanometers, giving an efficiency
larger than 10 percent of the maximum. All tuning ranges are restricted to
broadband operation.
Efficiency
Dye laser output at the maximum of the tuning range relative to pump laser
input, in percent. Efficiency may change in other configurations or pump power
levels.
Pump Wavelength
Pump wavelength used in nanometers.
Solvent
BZ=Benzyl Alcohol, EG=Ethylene Glycol, CH=Cyclohexane, DI=Dioxane,
ME=Methanol, DMSO=Dimethylsulfoxide, PC=Propylene Carbonate.
Concentration
Amount of dye, in grams, for 1 liter stock solution. There is an optimum
concentration for a given dye, wavelength and input power. In case of continu-
ously pumped dye lasers this optimum concentration generally lies between 60
percent and 80 percent absorption of the pump power, and in the case of
transversally pumped pulsed dye lasers, at 99 percent absorption of the pump
energy within 1 millimeters of the dye solution. Higher concentration causes the
tuning curves to be shifted slightly to the red, while lower concentrations will
result in blue shift. Optimization of the dye concentration is accomplished by
adding either pure solvent or a solution of higher concentration than that
recommended to the solution in the dye circulation system, until optimum
power is at maximum.
275
Stability
The accumulated pump energy t, in Wh, causing a decrease in dye laser output
to 50 percent of the initial value for 1 liter dye solution (resp. 1 liter amplifier
solution in the case of excimer pumped dye laser), measured at 10 Hz. The
following classification has been used in the case of excimer laser pumped dye
lasers: -: τ 10-30 Wh, +: τ 30-50 Wh, ++: τ > 50 Wh. In the case of Nd:YAG-
pumped lasers: -: τ< 50Wh, +: τ 50-100 Wh, ++: τ 100-300 Wh, +++: τ >
300 Wh. The stability of dyes being continuously pumped is classified as: -: τ
< 100 Wh, +: τ 100-500Wh, ++: τ > 500 Wh.
General Remarks
The output power of dye lasers is strongly dependent on the quality of the dye
used. To overcome reduced quantum efficiency and instability due to impuri-
ties, Lambdachrome® laser dyes are examined by experienced chemist for their
chemical and spectral properties and purified by specially developed tech-
niques.
Lambda Physik reserves the right to modify any information given herein. Every
effort is made to ensure utmost accuracy; no liability, however, is assumed for
errors occurring. Nothing here is to be constructed as recommending any
practice or any product in violation of any patent.
Cautious handling of dyes and dye solutions is advised, since the exact toxicity
in most cases is not well known. The responsibility for the safe use of our
laser dyes must rest in all cases with the user.

276
Dyes for EXCIMER LASER Pumped Dye Lasers

277
Lambdachrome Dye Peak Tuning Effic. Pump Source Char.
Range Wavelength Energy Solvent Conc. Stability*
(nm) (nm) (%) (nm) (mJ) (g/l)
LC 3300 BM-Terphenyl 334 312-343 4 248 150 CH 0.50 -
LC 3400 p-Terphenyl 343 332-360 8 308 400 DI 0.24 +
LC 3590 DMQ 360 346-377 9 308 400 DI 0.23 ++
LC 3600 Butyl-PBD 363 356-385 5 308 400 DI 0.30 ++
LC 3690 QUI 390 368-402 11 308 400 DI 0.20 ++
LC 3800 Polyphenyl 1 381 363-408 12 308 400 EG 0.20 ++
LC 3860 BiBUQ 388 367-405 11 308 400 DI 0.25 ++
LC 3810 Polyphenyl 2 397 386-418 10 308 400 EG 0.25 +
LC 3990 Furan 2 399 388-426 8 308 400 ME 0.50 +
LC 4000 PBBO 396 386-420 7 308 400 DI 0.40 ++
LC 4090 DPS 406 399-415 11 308 400 DI 0.25 -
LC 4200 Stilbene 3 425 412-443 9 308 400 ME 0.65 -
LC 4400 Coumarin 120 441 423-462 15 308 400 ME 0.82 +
LC 4500 Coumarin 2 448 432-475 15 308 400 ME 1.50 +
LC 4700 Coumarin 47 456 440-484 18 308 400 ME 1.59 +
LC 4800 Coumarin 102 480 460-510 18 308 400 ME 2.30 +
LC 5000 Coumarin 307 500 479-553 16 308 400 ME 3.40 -
LC 5400 Coumarin 153 540 522-600 15 308 400 ME 4.20 ++
LC 5900 Rhodamine 6G 581 569-608 16 308 400 ME 1.20 +
LC 6100 Rhodamlne B 600 588-644 12 308 400 ME 0.91 +
LC 6400 Rhodamine 101 623 614-672 12 308 400 ME 0.75 -
LC 6500 DCM 658 632-690 12 308 400 DMSO 0.71 -
*Values are as follows: -: τ 10-30 Wh, +: τ 30-50 Wh, ++: τ >50 Wh

278
Dyes for EXCIMER LASER Pumped Dye Lasers (cont.)
Lambdachrome Dye Peak Tuning Effic. Pump Source Char.
Range Wavelength Energy Solvent Conc. Stability*
(nm) (nm) (%) (nm) (mJ) (g/l)
LC 7000 Rhodamine 700 723 701-768 11 308 400 ME 0.85 -
LC 7100 Pyridine 1 710 670-760 10 308 400 DMS0 0.84 ++
LC 7300 Pyridine 2 740 695-790 11 308 400 DMS0 0.72 +
LC 7710 Pyridine 4 771 744-812 7 308 400 DMS0 0.75 ++
LC 8000 Rhodamine 800 810 776-823 6 308 400 DMS0 1.00 +
LC 8400 Styryl 9 840 810-875 9 308 400 DMS0 1.10 -
LC 8500 HITCI 868 837-905 4 308 400 DMS0 1.20 -
LC 8810 Styryl 15 880 856-918 7 308 400 DMS0 1.15 -
LC 9210 IR125 920 890-960 4 308 400 DMS0 2.00 -
LC 9450 Styryl 14 945 904-992 9 308 400 DMS0 1.10 -
LC 9940 Styryl 20 994 970-1036 4 308 400 DMS0 1.10 -
*Values are as follows: -: τ 10-30 Wh, +: τ 30-50 Wh, ++: τ >50 Wh

279
Dyes for Nd:YAG LASER Pumped Dye Lasers
Lambdachrome Dye Peak Tuning Effic. Pump Pump Source Char.
Range geometry Wavelength Energy Solvent Conc. Stability**
(nm) (nm) (%) (nm) (mJ) (g/l)
LC 3900 Quinolon 390 390 384-394 4 transv. 355 200 ME 0.25 -
LC 3990 Furan 2 402 392-422 15 355 200 ME 0.50 +
LC 4260 Furan 1 421 410-435 10 355 200 ME 0.26 +
LC 4200 Stilbene 3 428 415-439 15 transv 355 200 ME 0.25 -
LC 4400 Coumarin 120 440 420-470 16 transv. 355 200 ME 0.25 +
LC 4700 Coumarin 47 460 444-476 15 transv 355 200 ME 0.30 +
LC 4800 Coumarin 102 480 462-497 15 transv 355 200 ME 0.40 +
LC 5000 Coumarin 307 508 485-546 15 transv 355 200 ME 0.70 -
LC 5100 Coumarin 500 518 498-546 10 355 200 ME 0.70 -
LC 5400 Coumarin 153 540 516-575 18 355 200 ME 2.36 +
LC 5530 Fluorescein 27 550 540-575 28 long. 532 200 ME 0.64 ++
LC 5750 Rhodamine 19 567 556-586 31 long. 532 200 ME 0.22 +++
LC 5900 Rhodamine 6G 566 555-585 32 long. 532 200 ME 0.10 +++
LC 6100 Rhodamine B 594 584-619 29 long. 532 200 ME 0.22 +++
LC 6200 Sulforhodamine B 588 579-600 29 long. 532 200 ME 0.27 ++
LC 6400 Rhodamine 101 621 611-662 26 long. 532 200 ME 0.50 ++
LC 6600 Sulforhodamine101 628 619-673 15 long. 532 200 PC 0.30 ++
LC 6500 DCM 639 615-666 27 long. 532 200 PC 0.50 ++
LC 7100 Pyridine l 697 667-736 32 transv 532 200 PC 0.36 +++
LC 7300 Pyridine 2 750 725-776 21 532 200 PC 0.22 +++
**Values are as follows: -: τ <50, =: τ 50-100 Wh, ++: τ 100-300 Wh, +++: τ >300Wh

280
Dyes for Nd:YAG LASER Pumped Dye Lasers (cont.)
Lambdachrome Dye Peak Tuning Effic. Pump Pump Source Char.
Range geometry Wavelength Energy Solvent Conc. Stability**
(nm) (nm) (%) (nm) (mJ) (g/l)
LC 7500 Styryl 6 721 708-735 16 532 200 PC 0.28 ++
LC 7600 Styryl 7 720 701-749 16 transv 532 200 ME 0.12 +++
LC 7550 Styryl 8 750 717-780 13 transv. 532 200 ME 0.15 +++
LC 8400 Styryl 9M 824 797-851 15 transv. 532 200 PC 0.26 ++
LC 8810 Styryl 15 880 856-918 7 532 200 PC 0.62 ++
LC 9450 Styryl 14 945 904-990 9 532 200 PC 0.27 ++
LC 9940 Styryl 20 994 970-1036 4 532 200 PC 0.68 ++
**Values are as follows: -: τ <50, =: τ 50-100 Wh, ++: τ 100-300 Wh, +++: τ >300Wh

281
Dyes for NITROGEN LASER Pumped Dye Lasers
Tuning Rel.
Lambdachrome Dye Peak Range Efficiency Solvent Concentration
(nm) (nm) (g/l)
LC 3600 Butyl-PBD 362 356-390 0.12 Dl 1.60
LC 3690 QUI 387 372-412 0.43 DI 0.52
LC 3860 BiBuQ 383 364-405 0.41 Dl 0.60
LC 4000 PBBO 395 385-420 033 Dl 0.15

282
Tuning Rel.
Lambdachrome Dye Peak Range Efficiency Solvent Concentration
(nm) (nm) (g/l)
LC 4090 DPS 404 394-416 0.43 DI 0.12
LC 4100 Stilbene l 417 405-446 0.49 EG 0.20
LC 4200 Stilbene 3 424 408-457 0.66 ME 0.22
LC 4250 Bis-MSB 421 412-435 0.59 Dl 0.14
LC 4400 Coumarin 120 438 418-465 0.83 ME 0.25
LC 4500 Coumarin 2 444 426-475 0.94 ME 0.40
LC 4700 Coumarin 47 453 436-486 0.95 ME 0.66
LC 4800 Coumarin 102 470 454-506 1.00 ME 1.44
LC 5000 Coumarin 307 504 478-547 1.00 ME 1.60
LC 5400 Coumarin 153 537 517-590 0.87 ME 3.10
LC 5900 Rhodamine 6G 581 573-618 0.93 ME 1.63
LC 6100 Rhodamine B 622 600-646 0.91 ME 2.85
LC 6200 Sulforhodamine B 622 600-646 0.91 ME 2.85
LC 6400 Rhodamine 101 648 623-676 0.82 ME 2.36
LC 6500 DCM 659 626-703 0.69 DMSO 0.50
LC 7100 Pyridine l 703 675-750 0.78 DMSO 0.88
LC 7210 Oxazine 170 705 672-727 0.35 ME 0.79
LC 7300 Pyridine 2 743 710-790 1.00 DMSO 0.85
LC 7800 Methyl-DOTC 780 768-820 0.86 DMSO 0.51
LC 7880 DOTC/HITC 823 794-867 0.74 DMSO 1.23/0.03
LC 8400 Styryl 9 840 803-875 1.00 DMSO 1.03
LC 8760 DTTC/IR 144 871 859-886 0.18 DMSO 0.65/2.52
LC 8800 IR 144/IR 125 887 872-935 0.14 DMSO 2.52/1.94
LC 9210 IR 125 918 893-958 0.21 DMSO 1.94
LC 9301 IR 140 910 900-963 0.11 DMSO 0.78

283
Dyes for ION LASER Pumped Dye Lasers

284
Lambdachrome Dye Peak Tuning Pump source char. Power SoLCent Conc. Stability***
Range Wavelength
(nm) (nm) (nm) (W) (g/l)
LC 3810 Polyphenyl 2 384 370-406 Ar+, UV, 300-336nm 2.0 EG 2.0 +
LC 4100 Stilbene 1 415 403-428 Ar+, all lines UV 3.0 EG 0.75 +
LC 4200 Stilbene 3 435 410-485 Ar+, all lines UV 5.0 EG 1.0 +
LC 4800 Coumarin 102 482 463-515 Ar+, UV, 350-386nm 3.0 BZ/EG 2.0
LC 5370 Coumarin. 6 535 510-550 Ar+, 488 nm 6.0 BZ 2.0 +
LC 5700 Rhodamine 110 550 530-580 Ar+, 514.5 nm 6.0 EG 0.75 +
LC 5900 Rhodamine 6G 575 560-625 Ar+, 514.5 nm 6.0 EG 0.75 ++
LC 6200 Sulforhodamine B 625 598-650 Ar+, 514.5 nm 6.0 EG 2.5 ++
LC 6500 DCM Special 645 610-695 Ar+, 514.5 nm 6.0 BZ/EG 2.0 +
LC 7000 Rhodamine 700 740 690-785 Kr+, all lines red 4.6 EG 1.0 ++
LC 7300 Pyridine 2 720 675-783 Ar+, 514.5 nm 7.5 PC/EG 1.5 ++
LC 8400 Styryl 9 830 785-900 Ar+, 514.5 nm 6.0 PC/EG 2.0 +
***Vaules are as follows: -: τ <100 Wh, +: τ 100-500 Wh, ++: τ >500 Wh