RPvdsEx Manual RPvds Ex
User Manual:
Open the PDF directly: View PDF  .
.
Page Count: 356 [warning: Documents this large are best viewed by clicking the View PDF Link!]
- Introduction to RPvdsEx
- Part 1 RPvdsEx Fundamentals
- Part 2 Circuit Design- Circuit Design Basics
- Hardware Considerations
- Multi-Channel Circuit Design
- MultiProcessor Circuit Design
- Digital I/O Circuit Design
 
- Part 3 Reference- Macro Reference
- Component Reference- Audio Processing
- Basic Analysis
- Basic Math
- Buffer Operations
- Coefficient Generators
- Counters and Logic
- Data Reduction
- Delay Functions
- Device Status
- Digital Filters
- Exponents and Logs
- Gating Functions
- Helpers
- Input/Output
- Integer Math
- Multi-processor
- NeuroAnalysis
- OpenEx Headers
- State/Flow Control
- Trigonometry
- Type Conversion
- Waveform Generators
 
- Menu and Toolbar Reference
 
- Part 4 Troubleshooting- RPvdsEx Known Anomalies
- Common RPvdsEx Error Messages and Warnings- Error Loading RP Circuit
- Data type mismatch: ....
- Link cannot originate from 'Input' port or Link cannot terminate at 'output' port
- Apparent nChannels mismatch between connected components
- Components intersecting Iterator
- MCHop source is not found for component
- zBus Error: Call RPxAddCmp/ zError: Memory Allocation Failure
 
- Before Debugging a Circuit
- Common RPvdsEx Problems
 
- Appendix A - Sampling
- Revision History
- Index

RPvdsEx Manual 
RPvdsEx Manual 
RPvdsEx Manual  
Copyright 
© 2000 – 2011 Tucker-Davis Technologies, Inc. (TDT). All rights reserved. 
No part of this manual may be reproduced or transmitted in any form or by any means, electronic 
or mechanical, including photocopying and recording, for any purpose without the express written 
permission of TDT. 
Licenses and Trademarks 
Windows 7 is a registered trademark of Microsoft Corporation. 
Updated: 9/14/2011 2:50 PM 
i 
Table of Contents 
INTRODUCTION TO RPVDSEX.............................................................................................................. 1 
DSP BASICS AND SYSTEM 3........................................................................................................................ 3 
Digital Signal Processors - DSPs........................................................................................................... 3 
Why RPvdsEx?........................................................................................................................................ 3 
The Processing Chain............................................................................................................................. 3 
Using Compiled Circuit Files................................................................................................................. 4 
BEFORE YOU BEGIN.................................................................................................................................... 5 
PC System Requirements........................................................................................................................ 5 
Installation.............................................................................................................................................. 5 
Hardware Requirements......................................................................................................................... 5 
Organization of the Manual ................................................................................................................... 5 
PART 1 RPVDSEX FUNDAMENTALS............................................................................................... 7 
THE RPVDSEX ENVIRONMENT.................................................................................................................... 9 
Overview of the Workspace.................................................................................................................... 9 
Menus and Toolbars............................................................................................................................. 10 
The Messages Window.......................................................................................................................... 10 
The Pages ............................................................................................................................................. 11 
Compiling Selected Processors ............................................................................................................ 16 
File Formats......................................................................................................................................... 17 
Device Setup......................................................................................................................................... 17 
THE COMPONENTS .................................................................................................................................... 19 
Component Overview ........................................................................................................................... 19 
Component Numbering......................................................................................................................... 20 
Links Treated as Components............................................................................................................... 21 
Data Types............................................................................................................................................ 23 
Parameter Access Rules ....................................................................................................................... 24 
Time Slices............................................................................................................................................ 25 
Duplication Information....................................................................................................................... 28 
MACROS.................................................................................................................................................... 30 
Macro Overview................................................................................................................................... 30 
Adding Macros ..................................................................................................................................... 31 
Working with Macros ........................................................................................................................... 32 
TIME SAVING RPVDSEX TECHNIQUES ...................................................................................................... 34 
Changing Component Names Systematically ....................................................................................... 34 
Changing Parameters Systematically................................................................................................... 34 
Using Indexing...................................................................................................................................... 35 
Using the Preferences Dialog Box ....................................................................................................... 37 
Updating Number of Channels Systematically..................................................................................... 38 
RPvdsEx Shortcuts................................................................................................................................ 38 
PART 2 CIRCUIT DESIGN................................................................................................................. 41 
CIRCUIT DESIGN BASICS ........................................................................................................................... 43 
Creating and Running a Simple Circuit ............................................................................................... 43 
Triggering............................................................................................................................................. 44 
Gating a Signal..................................................................................................................................... 45 
Acquiring and Storing the Signal ......................................................................................................... 46 
Signal Processing................................................................................................................................. 48 
Using Parameter Tags for Software Control........................................................................................ 50 
HARDWARE CONSIDERATIONS .................................................................................................................. 51 
RPvdsEx Manual 
ii 
Input/Output Delays ............................................................................................................................. 51 
The Sample Clock and Sampling Rates ................................................................................................ 53 
Cycle Usage.......................................................................................................................................... 54 
Transferring Data Between the Processor and the PC ........................................................................ 56 
MULTI-CHANNEL CIRCUIT DESIGN........................................................................................................... 57 
Overview............................................................................................................................................... 57 
The Nature of Multi-Channel Signals................................................................................................... 57 
Multi-Channel Circuit Design Strategies ............................................................................................. 58 
MULTIPROCESSOR CIRCUIT DESIGN ......................................................................................................... 64 
Overview............................................................................................................................................... 64 
Assigning DSPs in RPvdsEx................................................................................................................. 64 
MultiProcessor Hop Components......................................................................................................... 65 
Using the {d} Variable.......................................................................................................................... 66 
Store Pooling........................................................................................................................................ 66 
Multi-Processor Circuit Design Strategies........................................................................................... 67 
Multi-Processor Circuit Design - RZ2 ................................................................................................. 67 
DIGITAL I/O CIRCUIT DESIGN ................................................................................................................... 72 
Working with BitIn - BitOut.................................................................................................................. 72 
Working with WordIn - WordOut......................................................................................................... 72 
Addressing Digital Bits In A Word....................................................................................................... 73 
PART 3 REFERENCE ......................................................................................................................... 77 
MACRO REFERENCE.................................................................................................................................. 79 
Macro Reference List ........................................................................................................................... 79 
COMPONENT REFERENCE .......................................................................................................................... 84 
Audio Processing.................................................................................................................................. 84 
Basic Analysis....................................................................................................................................... 93 
Basic Math............................................................................................................................................ 99 
Buffer Operations............................................................................................................................... 115 
Coefficient Generators ....................................................................................................................... 144 
Counters and Logic ............................................................................................................................ 152 
Data Reduction................................................................................................................................... 166 
Delay Functions.................................................................................................................................. 181 
Device Status...................................................................................................................................... 191 
Digital Filters..................................................................................................................................... 195 
Exponents and Logs............................................................................................................................ 208 
Gating Functions................................................................................................................................ 212 
Helpers ............................................................................................................................................... 215 
Input/Output ....................................................................................................................................... 229 
Integer Math....................................................................................................................................... 240 
Multi-processor .................................................................................................................................. 248 
NeuroAnalysis..................................................................................................................................... 257 
OpenEx Headers................................................................................................................................. 276 
State/Flow Control ............................................................................................................................. 280 
Trigonometry...................................................................................................................................... 287 
Type Conversion................................................................................................................................. 291 
Waveform Generators ........................................................................................................................ 309 
MENU AND TOOLBAR REFERENCE .......................................................................................................... 319 
Menus ................................................................................................................................................. 319 
Toolbars.............................................................................................................................................. 324 
PART 4 TROUBLESHOOTING....................................................................................................... 331 
RPVDSEX KNOWN ANOMALIES .............................................................................................................. 333 
General............................................................................................................................................... 333 
Parameters ......................................................................................................................................... 333 
Components........................................................................................................................................ 334 
iii 
COMMON RPVDSEX ERROR MESSAGES AND WARNINGS........................................................................ 336 
BEFORE DEBUGGING A CIRCUIT.............................................................................................................. 338 
COMMON RPVDSEX PROBLEMS.............................................................................................................. 340 
APPENDIX A - SAMPLING................................................................................................................... 341 
Understanding Aliasing and Imaging ................................................................................................ 341 
REVISION HISTORY............................................................................................................................. 343 
INDEX....................................................................................................................................................... 347 
RPvdsEx Manual 
iv 
~ 

Introduction to RPvdsEx 
RPvdsEx Manual 
2 
~ 
RPvdsEx Manual 
3 
DSP Basics and System 3 
System 3 is TDT’s integrated hardware and software research platform. The modular, 
programmable hardware systems are built around a powerful group of digital signal processors 
(DSPs), specifically designed to perform complex signal processing algorithms in real-time. 
Signal processing—the manipulation or analysis of analog or digital signals—is the core function 
of every TDT workstation. System 3 real-time processors can be used for a broad range of 
applications and can be used to process virtually any type of signal including sound, biological 
signals, and many others. Processing may include storage, reconstruction, filtering, compression, 
or feature extraction. Every time you play a tone, filter a noisy input signal, or store spike data, 
you are signal processing. When you do this using TDT hardware, you’re putting the power of 
System 3’s real-time processors to work for you. 
Digital Signal Processors - DSPs 
The processors are available in several different form factors, utilizing one or more DSPs. A DSP 
is nothing more than a specialized microprocessor. This programmable device is designed to make 
quick calculations and execute signal processing specific operations. From a top-down approach, 
you can consider the DSP as a programmable “black box” with points of input and output. Each 
TDT processor module that inputs real world analog signals also includes analog-to-digital 
convertors (ADCs) and those that output analog signals include digital-to analog convertors 
(DACs). Signals can then be input to the device and manipulated digitally before storing the result 
or playing a signal out. All of these tasks are configured via the RPvdsEx design interface.   
Why RPvdsEx? 
To optimize performance, DSPs must be programmed in low-level assembly code. Because 
programming in assembly is a complex, tedious, and lengthy process that requires the programmer 
to be familiar with the target processor’s architecture, DSPs are typically programmed “at the 
factory” to run specialized time-critical tasks.  In most implementations, the end-user cannot 
modify the “embedded” DSP program, and so the flexibility that is often critical for research 
applications is lost.   
The System 3 processors are controlled using a common configuration tool, our Real-time 
Processor Visual Design Studio (RPvdsEx). This graphical design interface gives you unparalleled 
control over signal presentation and data acquisition, allowing you to customize the function of 
each signal-processing module in your system. 
RPvdsEx gives you control over the DSP without the complexity of writing assembly code.  
The Processing Chain 
RPvdsEx includes a powerful library of over 300 components, representing a variety of 
fundamental processing tasks. Using RPvdsEx you can combine components to create exactly the 
processing function you require. This ordered set of tasks is called the processing chain and it 
takes the form of a series of linked components that form a “circuit”.  Each component maps to a 
segment of optimized DSP code, and all the code segments are joined together to make a master 
program by the RPvdsEx compiler.  
TDT processors load your custom processing chain through the PC interface. When the processor 
is running, the processing chain is executed on every tick of the sample clock. In this way, TDT 

RPvdsEx Manual 
4 
real-time processors are “field configurable.”  Your application is loaded when you are ready to 
run your protocol, and the DSP can be reconfigured rapidly if you need to make any changes. 
Using Compiled Circuit Files 
Compiled circuit files can be run from TDT run-time software applications or custom applications, 
created using TDT development tools.  
The design paths for using System 3 are outlined below.  
Higher-level software applications load the circuit to the hardware at run-time and give the user 
access to experimental parameters while the experiment is running. 
Circuit design  
and development 
in RPvdsEx. 
Use RPvdsEx for 
debugging and 
demonstration. 
Save compiled 
circuit files in 
RPvdsEx. 
Use circuit with TDT run-
time a
pp
lication. Use circuit with custom 
a
pp
lications. 
RPvdsEx Manual 
5 
Before You Begin 
PC System Requirements 
The recommended operating system for all TDT systems is Windows 7®.  
Recommended PC Specs:  
 Memory: 1 GB 
 HardDrive: 80 GB 
 Processor: 2.0 GHz Intel Pentium IV  
 Video Card w/ 64 MB  
 2.2 compliant PCI slot (required for Gigabit or Optibit Interface cards) 
 DVD-R or CD combo 
Installation 
RPvdsEx is installed as part of the TDT Drivers Installation. See your system’s installation guide 
for installation instructions. 
Hardware Requirements 
Some RPvdsEx circuit design features are not available unless your PC is connected to a TDT 
system, so it is a good idea to set up your hardware before you begin working in RPvdsEx. See 
your system’s installation guide for installation and set-up instructions. 
Organization of the Manual 
This manual is organized in the following sections: 
RPvdsEx Fundamentals 
About the workspace, the components, and macros. 
Circuit Design 
Design techniques for basic, multi-channel, multi-processor, and digital I/O circuits. 
Reference 
A reference for macros, components, menus and toolbars. 
Troubleshooting 
Anomalies, common design problems, and debugging circuits. 
RPvdsEx Manual 
6 
~ 

Part 1  RPvdsEx Fundamentals 
RPvdsEx Manual 
8 
~ 

RPvdsEx Manual 
9 
The RPvdsEx Environment 
Overview of the Workspace 
The RPvdsEx workspace has been designed for ease of use and flexibility. Circuit diagrams, 
representing the processing chain, are created on the pages of a tabbed window using drag-and-
drop techniques. Unless otherwise assigned, all pages of a window form a single complete circuit. 
When using a multi-DSP device, pages or segments of the circuit can be assigned to one or more 
processors. 
Windows and toolbars can be arranged to customize the workspace for easy access to commonly 
used components and design tools. Before making changes to the workspace it will appear similar 
to the illustration below. 
The workspace contains the following elements: 
Tabbed Window 
Click and drag to arrange and connect components to form a circuit diagram. 
Main Toolbar (File)  
Open, create, and save files. 
Implement Toolbar  
Access tools for compiling and running the circuit or select and configure the device setup. 
Components Toolbar 
Select a group button to access hundreds of components for signal processing tasks organized into 
intuitive groups. 

RPvdsEx Manual 
10 
Common Components Toolbar 
Select one of the most commonly used components. 
Zoom and Pan 
View circuit segments and move around a page. 
Messages Window 
View compilation status, errors, or warnings in a tabbed messages window – select an error in the 
list to navigate to the problem area of the circuit.  
Page Tabs 
Pages are navigated using tabs at the bottom left corner of the tabbed window allowing you to 
quickly switch between areas of the circuit. Pages organize complex circuits and allow you to 
assign individual pages to one or more DSPs on a multi-DSP device. They can be added and 
removed at any time. 
Menus and Toolbars 
RPvdsEx provides you with a full set of menus and toolbars.  Using menus, commands, and 
toolbar buttons, you can create, open, and save circuit files; build new circuits or edit existing 
circuits; and access hardware configuration settings. The menus and toolbars are covered in detail 
in the Menu and Toolbar reference, beginning on page 319. 
The Messages Window 
The messages window is provided specifically for compilation and error reports. By default, the 
window is docked at the bottom of the RPvdsEx workspace. The window can be moved and 
resized and has two tabs – Output and Task List 
Output  
The Output window displays details about the compilation such as the start and success of 
compiling, loading, and running the current circuit. It also displays errors and warnings 
encountered while compiling. If more than five errors are encountered on compilation, compiling 
stops, and a Build failed error is displayed.  
If a multi-processor device is specified in the hardware setup, this window also reports the number 
of components on each processor when the circuit compiles successfully.  
Task List  
The Task List window displays details about the errors and warnings listed on the Output tab. It 
consists of four columns – Type, Page, Symbol, and Error. 
Type tells the user whether the item is an error or warning.  

RPvdsEx Manual 
11 
Page specifies the page name or number where the error or warning can be found. 
Symbol specifies the specific component, hop, or symbol that caused the error. 
Error describes the problem through a comment. 
Errors listed in the Task List are highlighted in the circuit diagram in red and warnings are 
highlighted in blue. To quickly access the page on which the error or warning occurred, click the 
icon next to the message. The correct page will be displayed and the error or warning will appear 
in bold black in the circuit diagram. Click the icon again to toggle the colors between bold black 
and red for errors and blue for warnings. To troubleshoot RPvdsEx related problems, see Common 
RPvdsEx Error Messages, page 336. 
The Pages 
When a new tabbed window is created a default page, Page 0, is created. Pages can be added, 
removed, resized, or renamed using a shortcut menu accessed by right-clicking the tabbed 
window.  
When using a multi-DSP device, users can assign each page to one or more processors. Users can 
move around the page and adjust the zoom level using commands found on the View menu. 
Viewing Pages 
A circuit diagram may be contained on a single page or across multiple pages. By default, the page 
magnification is set to allow the components to be viewed clearly. Areas of the page that are out of 
view can be brought into view using standard MS Windows scroll bars or zoom and pan features. 
Pages can be brought to the foreground by clicking the tabs located in the bottom left corner of the 
window. 
Zoom and Pan Features 
Zoom and pan features are available on the View menu or on the main toolbar (File). 
 Zoom: When the Zoom command is selected, the pointer changes to a magnifying glass and 
clicking an area of the page, zooms in on that area. The Zoom command is in effect until another 
zoom or pan feature is selected. 
Tip: To quickly turn off the Zoom command, select the Pan feature and click the page once. 

RPvdsEx Manual 
12 
 Zoom To Fit/Zoom to Page: When the Zoom To Page (Zoom to Fit) command is selected; 
the page magnification is automatically adjusted so that the entire circuit diagram found on the 
current page is in view. 
 Zoom In: When the Zoom In command is selected the magnification level is increased. The 
command can be selected again to further increase the magnification level. 
 Zoom Out: When the Zoom Out command is selected the magnification level is decreased. 
The command can be selected again to further decrease the magnification level. 
 Pan: When the Pan command is selected, the pointer changes to a hand and dragging moves 
the page in the corresponding direction. The pointer returns to normal after one use. The pan 
command can be selected again to Pan again.  
Adding and Removing Pages 
A single circuit diagram can be divided across several pages to make working with the circuit 
more manageable. 
To add a page: 
1. Right-click the window and click Add Page on the shortcut menu. 
2. The page is added to the window and a tab for the new page is visible in the bottom left 
corner. 
To remove a page: 
1. Click the tab for the page to be removed. 
2. Right-click the window and click Delete Page on the shortcut menu. 
3. Warning!: Any portion of the circuit diagram on the current page will be lost when the 
page is deleted. 
4. Click Yes to confirm the deletion.  
To move a page: 
1. Left-click and hold to highlight the page you wish to move. 
2. Drag the page over an existing page. 
3. Release the left mouse button to exchange the two pages. 
Renaming a Page 
Page names can add organization to circuits, making it easier to move directly to an area of 
interest. 

RPvdsEx Manual 
13 
To change the page name: 
1. Right-click the window and click Page Setup on the shortcut menu. 
2. Type a new name in the Page Name box. 
3. Click OK. 
Changing the Page Size 
The default page is 1020 x 782 pixels but the page size can be modified in the Page Setup dialog 
box. 
To change the page size: 
1. Right-click the window and click Page Setup on the shortcut menu. 
2. Select one of the following Page Size options. 
3. Enlarge page size to fit all components 
4. Match the printer page setup 
5. Set to X:___ Y:___ pixels (To use this option, select another option first, then return to 
this option. This will allow the X and Y field to be edited.) 
6. Click OK. 
Choosing a Page Size Option 
The Page Size option provides users with an extra measure of flexibility. They also provide quick 
solutions for the common situations listed below. 
When: Choose: 
Pasting circuit components to a page results in some components 
being outside the page area.  Enlarge page size to fit all 
components 
When: Choose: 
A circuit will be printed for offline viewing or debugging.  Match the printer page setup 
When: Choose: 
An entire circuit being visible on screen will help viewing or 
debugging.  Set to X:___ Y:___ pixels 
Duplicating Pages 
When parallel structures must be added to a circuit, such as additional channels of filtering or 
acquisition, it might save time to duplicate an existing page.  
Be sure to review the new page and make any necessary modifications after duplication. 

RPvdsEx Manual 
14 
To duplicate a page: 
1. Click the tab for the page to be duplicated. 
2. Right-click the window and click Duplicate Page on the shortcut menu. 
3. Review the duplicate page and re-index items such as parameter tags with channel 
numbers and update the parameters of components as needed.  
Assigning Pages to a DSP 
When a multi-DSP device is used, the user can assign each page of an RPvdsEx file to one or 
more processors. Multiple pages can be assigned to the same processor. Because the architecture 
of RX and RZ multi-processor devices differs, they are handled slightly differently.  
Regardless of the processor type, an icon on the page tab indicates which processor has been 
assigned, and if multiple processors have been assigned. See Page Icons, page 15, for more 
information. 
Single Processor Devices 
All pages are assigned to a single processor and the Assign DSP functionality is not available. 
RX Devices 
By default all pages are assigned to the main processor. 
To assign a page to processors: 
1. Right-click the page and click Assign DSP, to display the Assign to DSP dialog box. 
2. Select a processor from the Assign DSP drop-down list.  
3. Under Replicate Circuit check box, select the check boxes for the desired processor(s) to 
assign additional processors. Circuits are replicated on all processors selected. 
4. Click OK. 

RPvdsEx Manual 
15 
RZ Devices 
By default all pages are assigned to the first processor, DSP-1. 
To assign a page to processors: 
1. Right-click the page and click Assign DSP, to display the Assign to DSP dialog box. 
2. Select a DSP from the drop down list. If you wish to replicate the circuit on multiple 
DSPs, click the Replicate Circuit check box to display an extended view. 
3. Click and clear check boxes to select or deselect the corresponding processor(s) to assign 
to the page. 
Note: Users should be familiar with the number of DSPs available in their device and 
only assign pages to those DSP. 
4. Click OK. 
Page Icons 
When pages in an RPvdsEx file are assigned to different processors in a multi-processor device 
such as an RX5, an icon next to the page number identifies the associated processor as illustrated 
in the figure above. The icons are described as follows. 
RX Devices 
 Main processor  
 Auxiliary processors 1 through 4 as designated by the Roman numeral in the icon 

RPvdsEx Manual 
16 
 Replicated page - a page that is assigned to the main processor and replicated on one or more 
of the auxiliary processors 
RZ Devices 
 Processors 1 through 8 as designated by the numeral in the icon  
 MultiProcessor page - a page that is assigned to more than one DSP 
Compiling Selected Processors 
When using a RX multi-processor device it is possible to compile, build, and run segments of the 
circuit assigned to a selected individual processor. This gives the user more control over the 
compilation process. By default, when a circuit is compiled, the entire circuit is compiled. After a 
single processor select command (such as Main DSP or Aux One) has been selected, all 
compilation and code-building tasks are performed on the selected processor only. For example, if 
Aux One has been selected and the compile button is clicked, only segments of the circuit 
assigned to auxiliary processor one will be compiled and the messages window will display the 
result of compilation and number of components for auxiliary processor one only.  
Accessing the Processor Selection Commands 
The processor selection commands are available from the Implement menu or the Processor Select 
toolbar.  
  Main DSP  Selects main processor  
  Aux One  Selects first auxiliary processor  
  Aux Two  Selects second auxiliary processor  
  Aux Three  Selects third auxiliary processor  
  Aux Four  Selects fourth auxiliary processor  
  All DSPs  Selects all processors  
When a processor is selected, its icon (menu) or button (toolbar) will appear "pressed." Either a 
single processor or all processors may be selected. Selection of two, three, or four processors is 
not supported. 
Note: these commands are only available when the device selected in the Set Hardware 
Parameters dialog box is a RX device. 
Hop Related Compilation Errors 
Circuits that use zHops or MCzHops might generate errors when compiling only a single 
processor of a multi-processor circuit. The zHops and MCzHops allow transfer of signals between 
processors within a device and must be used in pairs.  
If the matching zHops are assigned to a processor that is not being compiled, a "No matching 
zHop found" error will be generated for each zHop used. If the circuit uses zHops it must be 
modified before it can be compiled. For more information about zHops see MCzHops, page 251 
and zHops, page 255. 

RPvdsEx Manual 
17 
File Formats 
The circuit you design in RPvdsEx is loaded to the processor as a control object. The control 
object contains the compiled processing chain (DSP code) for the circuit diagram and can be used 
with TDT run-time applications or custom programs developed using TDT ActiveX controls. 
By default, both the graphical circuit representation and the compiled control object are saved in a 
single file with the .rcx format. RPvdsEx also supports the legacy two file format used by earlier 
versions of TDT software.  
Legacy File Formats 
The legacy format consists of two separate files. The circuit diagram is saved in one file in an .rpx 
or .rpd format and the control object must be saved separately in an .rco format. 
To revert to the legacy RPX/RCO file system:  
1. On the Edit menu, click Preferences. 
2. Clear the Embed RCO object file check box. 
3. Click OK. 
After performing this step, the Build RCO command is enabled (available on the Implement menu 
or on the Implement toolbar) and can be used to save the control object as a file with the .rco 
extension. 
Device Setup 
Some RPvdsEx features and components are not supported by all device types. To ensure all the 
features available for your device are enabled, specify a device type before beginning circuit 
design. 
To set the device type:  
1. Click the Implement menu or click the   button. 
2. Click Device Setup to open the Set Hardware Parameters dialog box. 
3. Select your processor from the Type drop-down menu in the Device Select group box.  

RPvdsEx Manual 
18 
Depending on the device you select, the dialog box may expand to allow you to configure 
more option, such as arbitrary sampling rates or digital I/O configuration. 
4. Click OK. 
Index 
Devices in the TDT workstation are indexed according to their logical order in the system. The 
logical order reflects the order of the connections between devices. Each device type is indexed 
beginning with 1. So, index numbers higher than one only occur when the system includes more 
than one module or device of the same type. The index number for a particular device can be 
verified using TDT’s zBusMon program. 
Sample Rate 
In the Bandwidth and Timing area, you can select from a list of Standard Sample Rates. Sample 
rates in the drop down menu are approximations. The actual sample rate is shown to the right. If 
the selected device supports arbitrary rates, the Set Hardware Parameters box expands to include 
an option for input of arbitrary rates. For more information about sample rates see, page 51. 
Time Slices 
In general, the entire processing chain is executed on each tick of the sample clock. Time slices 
provide a means of processing some components less frequently. When time slices are defined, by 
specifying the number of time slices here, you can assign some components to a specific time slice 
(n) and are only processed on the nth time slice of the defined number of time slices. For more on 
using time slices, see page 25. 
Device Configuration Register  
Many devices include hardware components, such as programmable digital I/O that can be 
configured using the Device Configuration Register. If the selected device includes configurable 
features, the dialog box will expand to display the Device Configuration Register. See the 
reference for your device for configuration information. 

RPvdsEx Manual 
19 
The Components 
Component Overview 
Components are the building blocks of the processing chain and perform fundamental processing 
tasks such as generating a tone, filtering a signal, or summing several signals. RPvdsEx has 
hundreds of processing components to tailor circuit designs for particular applications. 
The following simple processing chain illustrates icons for some typical RPvdsEx components. 
Generator 
(primary signal output) 
Body of Chain 
(signal input, modification,  
then output) 
Terminator 
(primary signal input) 
Tone
Amp=1
Shft=0
Freq=1000
Phse=0
Wave [1:1 - 0
]
Rst=Run
ScaleAdd
SF=1
Shft=0
[1:2,0]
c
O
[1:3,0]
Ch=1
Component properties depend on their function. Components have at most one primary signal 
input and one primary signal output. In addition, components can have one or more secondary 
inputs and outputs, also called parameters. Illustrated below is an example of the different color-
coding standards seen in RPvdsEx. Floating Point parameters are designated by a teal coloring 
while Integer parameters are designated by a dark green color. Left side parameters are Inputs, 
while right side parameters are Outputs. 
PulseTrain
Thi=10
Tg=0
Tlo=10
Npls=0
[1:1,0
]
CurN=0
Stage=0
Trg=0
Component parameters are specified with initial values when the chain is loaded. The user sets 
these values by clicking on the component symbol and editing the values before the chain is run. 
Most parameter values can also be changed dynamically while the chain is running. The parameter 
can be fed from the output signal of another sub-chain or the value can be changed manually from 
the host PC (via parameter tags). Parameters flagged as static, or constant, CANNOT be updated 
dynamically and must be left unchanged while the circuit is running. Static parameters have a 
black colored input symbol. 
Component signal inputs and dynamic parameters usually expect a certain data type such as 
integer, floating point, or logic. In the example below, the GaussNoise component has an output 
that generates floating-point numbers. The output from GaussNoise is connected by a link to the 
floating-point input on Biquad. It is important to match data types when connecting outputs and 
inputs. Some components, like ShortDelay accept any data type.  
Parameter Input (Floating Point) 
Parameter Input (Integer) 
Parameter Input (Logic) 
Signal Output (Logic) 
Parameter Output 

RPvdsEx Manual 
20 
Components links may also indicate single (designated by a thin line) or multi-channel (designated 
by a thicker line) data streams. 
c
O
[1:5,0]
Ch=1
GaussNoise
Amp=1
Shft=0
Seed=0
Rst=Run
[1:2,0]
Biquad
nBIQ=1
{>Coef}
{>Delay}
[1:3,0]
ButCoef1
Gain=1
Fc=1000
BW=100
Type=LP
[1:1,0]
Enab=Yes
ShortDelay
Nms=1
{>Data}
[1:4,0]
When a circuit is compiled, RPvdsEx automatically generates a processing chain that orders 
components in the order in which they will be run. The maximum number of components that can 
be compiled in a single circuit is 128 for single-processor devices (such as the RA16BA) 256 per 
DSP RX processor devices (such as the RX5), and 768 per DSP for Z-series processor devices 
(such as the RZ2).  
RPvdsEx has a growing library of processing components. Detailed information, including each 
component's function and its associated parameters, is described in the Component Reference 
section (beginning on page 77). 
Component Numbering 
There is a series of numbers listed above each component to denote the DSP number, component 
number and time slice. The DSPs are numbered with the main processor being assigned number 1. 
When a circuit is compiled, RPvdsEx orders the components. The component numbers indicate 
the order components are executed in the processing chain on that particular DSP. The Time Slice 
number is used to indicate the "time slice" in which a component is executed. For more 
information on Time Slices, see page 25. 
In the following figure, the components represent the first two components in time slice zero on 
the main processor of a multi-processor device or the first two components in a circuit on a classic 
processor.  
Tone
Amp=1
Shft=0
Freq=1000
Phse=0
[1:1,0]
Rst=Run
c
O
[1:2,0]
Ch=1
The DSP number and component number ensure that each component on each processor will be 
assigned a unique set of numbers. For example, components assigned to the main processor will 
Static Parameter 
External Data Input 
Pointer Link 
Pointer Output 
Any Data Type 
Link 
Floating Point Output 
DSP Number 
Component Number 
Time Slice 

RPvdsEx Manual 
21 
have numbers from (1:1) to (1:256). Components assigned to the first auxiliary processor will 
have numbers from (2:1) to (2:256) etc. 
When a circuit segment is replicated across several processors or duplicated with an iterate box, 
the numbering scheme changes to reflect this difference. See Duplication Information for more 
information, page 28 . 
Links Treated as Components 
Links pass signals or parameter information between components. Some links are only a graphical 
representation of signal flow and do not correspond to any additional processing task; for example, 
passing a signal from one process (component) to the next process (component) in sequence. 
Other links, however, do represent processing tasks, such as routing a signal to a second process 
that occurs later in the processing chain. Because these links contribute to the overall demand 
placed on the processor, they are treated as components and given a component number. To keep 
the circuit diagram from becoming cluttered and confusing, the component numbers assigned to 
links are hidden, but it is important to keep in mind the contribution they make to the total number 
of components in a circuit.  
The four types of link components are listed below. 
1) SigPatch: A SigPatch is created when a component’s primary output signal is routed to two or 
more primary inputs. Because the signal must be delayed and routed to a later process 
(component) any link to a primary input beyond the initial connection is treated as a SigPatch 
component. 
MCAdcIn
nChan=32
ChanOS=1
[1:2,0]
MCBiquad
nChan=32
nBIQ=1
{>Coef}
{>Delay}
[1:3,0]
MCBiquad
nChan=32
nBIQ=1
{>Coef}
{>Delay}
[1:6,0]
LPFreq
ButCoef1
Gain=1
Fc=500
BW=100
Type=HP
[1:1,0]
Enab=Yes
HPFreq
ButCoef1
Gain=1
Fc=1000
BW=100
Type=LP
[1:4,0]
Enab=Yes
2) ParFeed: A ParFeed is created when the primary output signal is routed to a parameter input. 
PulseTrain2
nPer=25000
nPulse=1
Enab=Yes
Rst=Run
[1:1,0]
PCount=0
PLate=0
zSwPeriod
zSwCount
Latch
Trg=0
[1:4,0]
RSFlipFlop
Set=0
Rst=0
[1:7,0]
[1:5,0]
Src=Soft1
tTicker
sTicker
Enable
Reset
iTime
SigPatch 
ParFeed 

RPvdsEx Manual 
22 
3) MultiFeed: A MultiFeed occurs when a primary output signal is routed to four or more 
parameter inputs. This is an extension of the ParFeed component.  
A single primary output routed to three parameter inputs is treated as three ParFeed components. 
A single primary output routed to four or more parameter inputs is treated as one MultiFeed 
component. 
[1:1,0]
Src=zBusA EdgeDetect
Edge=Rising
[1:2,0]
Reset
Biquad
nBIQ=4
{>Coef}
{>Delay}
[1:5,0]
RMS
[1:6,0]
SerStore
Size=1000
Rst=0
WrEnab=1
[1:7,0]
Index=0
{>Data}
Reset
BBand
Biquad
nBIQ=4
{>Coef}
{>Delay}
[1:9,0]
BBand
RMS
[1:10,0]
Reset
SerStore
Size=1000
Rst=0
WrEnab=1
[1:11,0]
Index=0
{>Data}
Biquad
nBIQ=4
{>Coef}
{>Delay}
[1:13,0]
RMS
[1:14,0]
SerStore
Size=1000
Rst=0
WrEnab=1
[1:15,0]
Index=0
{>Data}
Reset
BBand
Biquad
nBIQ=4
{>Coef}
{>Delay}
[1:17,0]
BBand
RMS
[1:18,0]
Reset
SerStore
Size=1000
Rst=0
WrEnab=1
[1:19,0]
Index=0
{>Data}
FiltSig~1
FiltSig~2
FiltSig~3
FiltSig~4
4) PatchFeed: A PatchFeed is when a parameter output signal is routed to a parameter input. 
SerStore
Size=1000
Rst=0
WrEnab=1
[1:8,0]
Index=0
{>Data}
Reset
aEA~3
cEA~3
FiltSig~3
SortSpike2
nWid/4=8
Thresh=1
UseSign=1
Enab/Rst=1
[1:6,0]
SortBits=0
Strobe=0
Tag
{>Coef}
{>Data}
Enable
iTime
dEA~3
PatchFeed 
MultiFeed - Primary output Reset is routed to four parameter inputs 

RPvdsEx Manual 
23 
Data Types 
When working in RPvdsEx, data types for component inputs and outputs are color coded and type 
checking is performed automatically. Component ports of like colors can be linked together. 
Illegal links are flagged as errors and colored red when the circuit is compiled.  
The following table lists currently supported data types and their general use: 
RPX Data Types 
Float   IEEE standard. Handles majority of signal processing. Has units for signal type 
carried, for example when feeding a DAC, value is in volts, when feeding a 
frequency value is in Hz. 
Integer   Signed integer format. Used for counters and buffer indexes. Also used to integrate 
digital port input and output into a processing circuit. 
Logic   Logic signal can be High (1) or Low (0). Used to carry trigger and enable controls 
and to integrate digital inputs and outputs with the processing circuit. 
Any   Use to handle any data type (except pointers). Typically used on memory buffers 
when stored type does not matter as long as read and write operations match data 
type. 
Pointer   Used to reference data buffers within RPvdsEx. Do not directly access these data 
elements. 
Stereo   Carries two standard Float signals one identified as LEFT and the other as RIGHT. 
Multi-Channel   Handles any data type (except pointers). Used for multi-channel signals. 
Coefficient   Used to reference coefficient buffers within RPvdsEx. 
Static   Static data format. Used for various static component settings (such as the number 
of Biquads for a filter). Their values are set at compile time. 

RPvdsEx Manual 
24 
Parameter Access Rules 
Every component has a number of inputs and outputs called parameters. The parameters of a 
component control how the component functions when running in the processing chain. For 
example, the Freq parameter of the Tone component controls what frequency signal will be 
generated by the Tone component. 
Dynamic Access 
Most processing components support some number of parameter ports that have an initial value 
and are later changed 'dynamically' while the chain is running. An example of this is shown below 
where the frequency of the Tone is initially set to 1000 Hz. This value can then be changed 
dynamically using ActiveX controls and the parameter tag called Freq. 
c
O
[1:2,0]
Ch=1
Tone
Amp=1
Shft=0
Freq=1000
Phse=0
[1:1,0]
Rst=Run
Freq
Another method of dynamically changing a component parameter is to 'feed' the parameter with 
the output of another component. The example below shows how to create an AM signal by 
feeding the output of one tone generator into the Amp parameter input of another.  
Here the initial value of 5, specified in the second Tone's Amp parameter, has no effect because 
this value is over-written on the first tick of the sample clock with the output of the modulator 
Tone component. 
c
O
[1:4,0]
Ch=1
Tone
Amp=5
Shft=0
Freq=1000
Phse=0
[1:3,0]
Rst=Run
Tone
Amp=1
Shft=0
Freq=1000
Phse=0
[1:1,0]
Rst=Run
Static Access 
Some parameter inputs cannot be changed while the chain is running. They are called static or 
constant. When working in RPvdsEx static parameters are color coded in black and connecting to 
them, as shown below, will generate an error (link shown in red). 
c
O
[1:3,0]
Ch=1
Tone
Amp=1
Shft=0
Freq=50
Phse=0
[1:1,0]
Rst=Run
ShortDelay
Nms=1
{>Data}
[1:2,0]

RPvdsEx Manual 
25 
Data Port Access 
All Buffers and components that buffer signals, such as filters, have a data port. This port allows 
direct access to the dynamic memory and program memory of a component. This allows users to 
load data from a program, file, or helper component to a memory buffer on a component such as a 
Serial Buffer or data can be downloaded to the computer from the memory buffer. The data port 
(that is, the dynamic memory of the component) is accessed through helper components from 
within RPvdsEx or using ActiveX controls. 
The DataTable and SourceFile can be used to send data to a data port. For example, to use a 
specialized digital filter such as an IIR or FIR a data table is created that contains the coefficients 
for generating the filter. In the example below a DataTable component is sending coefficients to 
the filter. A data table can have hundreds of filter coefficients. Before the circuit is run the filter 
proprieties can be changed within RPvdsEx by clicking the up and down arrows on the DataTable 
component. 
c
O
[1:3,0]
Ch=1
d
c
[1:1,0]
Ch=1
FIR
Order=32
{>Coef}
{>Delay}
[1:2,0]
FIR Coefs
= 0
Time Slices 
By default, components are calculated on every tick of the processor’s sample clock. However, 
there are situations where it is not necessary to calculate a component on every sample and it 
wastes processing cycles to do so. Time slices, provide a means of processing some components 
less frequently. Most components are assigned a time slice of 0, meaning that they are processed 
in all time slices (on every tick of the processor’s sample clock). However, some components are 
assigned to a specific time slice (n) and are only processed on the nth time slice of a user defined 
number of time slices. 
For example, if you are generating filter coefficients for a low-pass filter and the frequency of the 
filter does not change, you don't need to calculate the filter coefficients on every sample of the 
clock (in fact you may only need to calculate them once). So, to conserve cycle usage on the DSP, 
you could set the coefficient generator to generate coefficients in a particular time slice, say time 
slice 1. If there are 10 time slices total, then the coefficients will be calculated once every 10 
samples. The total number of time slices and the time slice value for individual components can be 
set from within RPvdsEx. 
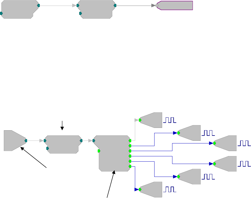
Consider the following example where three bands of noise are FM modulated to create a single 
output. The rates of modulation are low so the coefficients generator components can be run at a 
decimated rate but all components, including the coefficient generators are processed on every tick 
of the sample clock.  
The following diagram shows the circuit without time-slicing, notice the cycle usage is over 
70%. 

RPvdsEx Manual 
26 
GaussNoise
Amp=1
Shft=0
Seed=0
Rst=Run
[1:4,0
]
Tone
Amp=250
Shft=500
Freq=1
Phse=0
[1:1,0
]
Rst=Run
Tone
Amp=500
Shft=1000
Freq=2.13
Phse=0
[1:6,0
]
Rst=Run
Tone
Amp=1000
Shft=2000
Freq=3.73
Phse=0
[1:11,0]
Rst=Run
ButCoef1
Gain=1
Fc=1000
BW=100
Type=LP
[1:3,0]
Enab=Yes
ButCoef1
Gain=1
Fc=1000
BW=100
Type=LP
[1:8,0]
Enab=Yes
ButCoef1
Gain=1
Fc=1000
BW=100
Type=LP
[1:13,0
]
Enab=Yes
Biquad
nBIQ=1
{>Coef}
{>Delay}
[1:5,0]
Biquad
nBIQ=1
{>Coef}
{>Delay}
[1:15,0]
Biquad
nBIQ=1
{>Coef}
{>Delay}
[1:10,0]
CycUsage
[1:18,0]
74
[1:16,0]
Sum
c
O
[1:17,0]
Ch=1
To improve circuit performance and 'free-up' DSP power for doing some other processing, we can 
move all three modulating Tone generators and their corresponding ButCoef1 coefficient 
generators to time-slices. Each will be placed in its own time slice reducing the DSP cycle usage 
to about 45%. Note that because the Tone components are now running at 1/10th the actual sample 
rate their frequencies must be multiplied up by a factor of ten. The resulting diagram is shown 
below with a chart showing sample-by-sample cycle usage for each time-slice. 
Same circuit with time slicing used, note cycle usage has been reduced to 47%. 

RPvdsEx Manual 
27 
GaussNoise
Amp=1
Shft=0
Seed=0
Rst=Run
[1:4,0]
Tone
Amp=1
Shft=0
Freq=1000
Phse=0
[1:1,1]
Rst=Run
Tone
Amp=1
Shft=0
Freq=1000
Phse=0
[1:6,2]
Rst=Run
Tone
Amp=1
Shft=0
Freq=1000
Phse=0
[1:11,3
]
Rst=Run
ButCoef1
Gain=1
Fc=1000
BW=100
Type=LP
[1:3,4]
Enab=Yes
ButCoef1
Gain=1
Fc=1000
BW=100
Type=LP
[1:8,5]
Enab=Yes
ButCoef1
Gain=1
Fc=1000
BW=100
Type=LP
[1:13,6
]
Enab=Yes
Biquad
nBIQ=1
{>Coef}
{>Delay}
[1:5,0]
Biquad
nBIQ=1
{>Coef}
{>Delay}
[1:10,0]
Biquad
nBIQ=1
{>Coef}
{>Delay}
[1:15,0]
[1:16,0]
Sum
c
O
[1:17,0]
Ch=1
CycUsage
[1:18,0]
46.9831
The chart below illustrates cycle usage for each of the ten time-slices.  
Note: time slices 7 through 10 have the lowest current usage and should be used next when a time 
slice is needed.  
Setting the Number of Time Slices 
The number of time slices is set in the Set Hardware Parameters dialog box. To open the dialog, 
click the Device Setup command on the Implement menu. The maximum number of time slices is 
200. 
Specifying a Time Slice 
To specify the time slice in which a component will run, double-click the component and enter the 
desired number in the Time Slice box in the component's dialog box. 
Time Slice Value 

RPvdsEx Manual 
28 
Duplication Information 
When a circuit segment is replicated across several processors or duplicated with an iterate box, a 
Duplication Information dialog is available to display the item number, name, component number, 
time slice and parameters for each of the duplicated components.  
By right-clicking the replicated component, the user can view a table like the following: 
This table was generated for a Tone component duplicated 16 times in an iterate box with the Freq 
parameter incremented with the iteration number. If this component were also replicated across 
multiple processors, there would be tabs for each applicable processor next to the DSP-1 tab. The 
duplication information can also be accessed when editing the component’s parameters by clicking 
on the Duplication Info button. 

RPvdsEx Manual 
29 
Also when a component is replicated or duplicated, the component numbering scheme changes. 
The following figure shows the numbering to reflect the duplication: 
The second DSP number is used to display the range of applicable DSPs if the circuit segment is 
replicated across multiple processors. For example, if the circuit segment were assigned to the 
main processor and replicated on two auxiliary processors, the second DSP number would be 3.  
DSP Number 
Time Slice 
Component Number 
DSP Number 

RPvdsEx Manual 
30 
Macros 
Macro Overview 
RPvdsEx includes very powerful macro functionality. Macros replace common circuit constructs 
and provide an interface for changing circuit parameters. The underlying macro creation tools are 
intended primarily for TDT use, with end users simply inserting existing macros into their circuit. 
TDT has developed a core set of macros and will continue to add to the macro library over time. 
Using macros reduces the complexity of configuration at the circuit level, reducing the number of 
properties that must be set in each functional block.  
In the example below, large functional blocks of components designed to bandpass filter neural 
data and to detect, sort, and store neural spikes are replaced by incorporating a set of easy-to-use 
Macro components.  
Setting parameters for each construct is accomplished at the Macro level. Macros are added to a 
circuit much like other components and their properties can be configured in each Macro’s 
properties dialog box.  Just double-click the macro component in the RPvdsEx workspace to open 
the dialog. Variables set here propagate through each of the basic components comprising the 
Macro, ensuring correspondence throughout the entire processing block.  Help for each Macro 
component is also provided in the properties dialog box.   
Using macros greatly simplifies the process of modifying the underlying circuits used in complex 
circuits (such as those used in OpenEx projects).   

RPvdsEx Manual 
31 
Making common changes, such as controlling time stamping, sampling rate, and storage 
properties, requires fewer steps and less intimate knowledge of the details of the circuit structure 
than designing circuits without macros.  
See Designing Multi-Channel Circuits, page 58, for examples of how macros can be used to 
simplify multi-channel circuit design. 
Adding Macros 
Macro components are placed in a circuit and linked in a manner similar to that used for 
traditional RPvdsEx components.  They can be added to processing chains using the Insert RPvds 
Macro Symbol dialog box, which can be opened using any of the following: 
The   Insert Macro icon in the RPvdsEx Components toolbar 
The Circuit Macros command on the Components menu 
The Open Macro Design command on the File menu 
The macro chooser dialog allows the user to browse for existing macro and shows a graphical 
representation of any selected macro component with a brief description. Graphical symbols on 
the macro icon help to quickly identify the type of macro, whether it is designed for use in 
OpenEx, and whether it requires the use of high performance devices (RX or RZ). 
Macros are a special type of circuit file and are stored at the following path: 
TDT|RPvdsEx|Macros 
Keeping all macros in this directory ensures they can easily be found when the Insert RPvds 
Macro Symbol dialog opens.  
Note: The macro chooser dialog is not available when editing a macro circuit. Making a macro out 
of macros is not supported. 

RPvdsEx Manual 
32 
Identifying Symbols 
A macro belonging to a particular group (e.g. Timing, Filtering, Control) will have an identifying 
graphic included as part of the macro icon. Further graphics identify if a macro is to be used 
exclusively with OpenEx or only with a multi-processor device (RX or RZ). The following lists 
shows the graphics used for some common macro groups. 
 Timing 
 Data Storing 
 Filtering 
 Hardware Control 
 Calculators 
 Input-Output 
 OpenEx 
 High Performance Processors (RX or RZ) 
 OpenEx and High Performance Processors (RX or RZ)
Working with Macros 
The symbols above can be helpful in selecting macros and debugging circuits. Macro icons also 
feature color coded inputs and outputs like other components. Other helpful features include a 
tabbed setup dialog with internal documentation, parameter enabled inputs, and parameter 
summaries.  
To open the macro setup dialog: 
 Double-click the macro or right-click the macro and click Properties on the shortcut menu. 
Parameter Enabled Inputs 
Some macros have inputs that do not appear to be active (grayed out). These inputs are either 
enabled or disabled based on the macro parameter settings. This feature prevents accidental 
connections to ports that would not be connected at compile time based on the macro settings. For 
example, the filtering macros have conditional inputs named FreqHP and FreqLP. These inputs are 
only enabled if the macro is set up to provide Dynamic control of the filter corner frequencies. 
Parameter Summaries 
Most macros include an informative text bar across the bottom of the macro to view parameters at 
a glance. When referring to the HP-LP_Filter_1Ch macro, for example, the text bar shows the 
filter updating mode, the LP and HP corner frequencies and the filter roll off. 
RPvdsEx Manual 
33 
OpenEx Macros 
Macros designed for use with OpenEx are added to circuits in much the same way as other macros 
and offer the same easy-to-use parameter settings dialog box. These special macros generate 
information that is saved together in the compiled circuit file and then used by OpenEx to auto-
configure some aspects of the OpenEx experiment. 
All circuits developed using macros and intended for use with OpenEx must include one and only 
one CoreSweepControl macro. This macro supplies required tags and signal lines used by other 
macros, such as the data storing macros.  
OpenEx users, see the OpenEx Getting Started Tutorial for more information on using macros 
to design circuits for OpenEx. 

RPvdsEx Manual 
34 
Time Saving RPvdsEx Techniques 
Changing Component Names Systematically 
The Change Component Name dialog box is accessed via the Edit menu or the   button on the 
File toolbar. It can be used to replace all or part of the component name(s) systematically within a 
selection, page, or entire circit.  
Find Text: Type the text to be changed.  
Replace With: Type the desired text. 
Scope: Choose to apply the change to a selected section of a circuit, all components and macros 
on the current page, or the entire circuit. To use Selection Only, select the desired area of the 
circuit before opening the dialog box. 
Options: Choose options such as Match case and Match entire word to ensure only the desired 
parameters are changed. 
Replace: Click to apply the change. A message box will open and report the number of instances 
changed. 
Close: Click to close the dialog box without applying further changes. 
Changing Parameters Systematically 
The Change Parameter dialog box is accessed via the Edit menu or the   button on the File 
toolbar. It can be used to replace parameter values systematically within a selection, page, or entire 
circuit.  

RPvdsEx Manual 
35 
Param Name: Type the name of the parameter to be changed.  
New Value: Type the desired value. 
Scope: Choose to apply the change to a selected section of a circuit, all components and macros 
on the current page, or the entire circuit. To use Selection Only, select the desired area of the 
circuit before opening the dialog box. 
Options: Choose options such as Match case and Match entire word to ensure only the desired 
parameters are changed. 
Update: Click to apply the change. A message box will open and report the number of instances 
changed. 
Close: Click to close the dialog box without applying further changes. 
Using Indexing  
The Indexing Setup dialog is 
accessed from the Edit menu. It 
can be used to increment 
channel number parameter tags 
and/or time slices for selected 
components. 
Index By: determines the number that Items to Alter will be incremented by. Each selected 
component will be incremented by the value set here. 
Range above current highest index: When this check box is selected the Items to Alter will be 
set to a number equal to the highest index value present in the document plus the Index By value. 

RPvdsEx Manual 
36 
Channels (~N) check box: Select to apply the setting in this dialog box to selected channel 
number parameter tags, which follow the form: iChan~1. 
Time Slices check box: Select to apply the settings in this dialog box to selected components that 
are currently in a time slice (that is, time slice not equal to 0). 
To use indexing: 
1. Select the components to be incremented. 
2. Click the Edit menu and click Index. 
3. Select the desired combination of settings in the Indexing Setup Dialog box. 
4. Click OK. 
5. The settings are applied to the selected components. 
Selecting Multiple Components 
In the example below, an entire circuit construct has been selected. Setting in the Indexing Setup 
dialog box would be applied to all components. 
For example: 
If the Channels (~N) check box is selected, the Time Slices check box is cleared, and the Index 
By value is set to 1; then iChan~3 would be incremented to yield iChan~4. This would be the only 
change. 
If the Channels (~N) check box is cleared, the Time Slices check box is selected, and the Index 
By value is set to 1; then the BufCoef components currently set to time slices 5 and 6 would be 
moved to time slices 6 and 7 respectively. No other components would be affected. 
ButCoef1
Gain=1
Fc=300
BW=100
Type=HP
[4:231,0]
Enab=Yes
Biquad
nBIQ=1
{>Coef}
{>Delay}
[4:231,0]
d
c
[
4:231,0]
Ch=3
Biquad
nBIQ=1
{>Coef}
{>Delay}
[4:231,0]
ButCoef1
Gain=1
Fc=5000
BW=100
Type=LP
[4:231,0
]
Enab=Yes
LPFreq
Chan3
iChan~3
HPFreq

RPvdsEx Manual 
37 
Using the Preferences Dialog Box 
The Preferences dialog is accessed from the Edit menu. It can be used to set compiler and control 
object file settings.  
Sort Component List: When checked, the components in each group will be arranged in 
alphabetical order when viewing the component selection browser.  
Embed RCO Object File: If this option is checked, the RPvdsEx file will be saved with the 
extension rcx. Files with this extension contain both the graphical circuit representation for use 
within RPvdsEx and the control object information to be loaded to a device. This eliminates the 
need for a separate rco file. 
Notes: 
The Build RCO button on the Implement toolbar is grayed out when the check box is selected. 
If a circuit is saved after this preference has been modified, RPvdsEx will display the following 
message to alert the user that the file extension has been changed: 
Compiler Parameters: The user can set the compiler to minimize the circuit delay or the number 
of components. 
Save as Default: If checked, the above preferences are saved.  

RPvdsEx Manual 
38 
Updating Number of Channels Systematically 
The Update Number of Channels dialog box is accessed via the Edit menu or the   button on 
the File toolbar. It can be used to replace channel number parameters systematically within a 
selection, page, or entire circuit. The change is implemented for both component parameters and 
macro parameters and provides an easy way to avoid channel number mismatches. 
Change to: Type the desired number of channels. 
Scope: Choose to apply the change to a selected section of a circuit, all components and macros 
on the current page, or the entire circuit. To us Selection Only, select the desired area of the circuit 
before opening the dialog box. 
Update: Click to apply the change. A message box will open and report the number of instances 
changed. 
Close: Click to close the dialog box without applying further changes. 
RPvdsEx Shortcuts 
Placing Links 
 Press the Spacebar to activate single-click placing of a link. 
Or 
 Double-click the output terminal where you want to start a link. 
Cancel Linking 
 Right clicking the workspace will cancel the link option. 
Keyboard Shortcuts 
Most standard Windows keyboard shortcuts (such as Ctrl + c to copy a selected item) can be used 
in RPvdsEx.  

RPvdsEx Manual 
39 
Copying Circuits 
In cases where you want to repeat a circuit several times, select the block by clicking and dragging 
a box around the items you want to select. Then choose copy and paste to create a second copy of 
the circuit.   
Using Cut, Copy, and Paste 
Cut, Copy, and Paste can speed up circuit design. They affect the currently selected items within 
the RPvdsEx circuit diagram. A single component or an entire circuit can be cut, copied, or pasted. 
Items that are selected are surrounded by small square selection handles. To select multiple items, 
hold down Shift and click each item to select or click and drag a box around all the items to select. 
For example: 
Starting with a circuit that plays a tone out of channel 1, we copy and paste the circuit to create 
another tone that plays out of channel 2. 
1. Select the circuit by clicking and dragging a box around the entire circuit. Items that are 
selected will have square selection handles around them.  
2. Select Copy from the Edit menu. 

RPvdsEx Manual 
40 
3. Select Paste from the Edit menu to paste a copy of the circuit. 
4. Change the second DAC output to channel 2, and set the tone to the desired frequency 
and amplitude. 

Part 2  Circuit Design 
RPvdsEx Manual 
42 
~ 

RPvdsEx Manual 
43 
Circuit Design Basics 
Creating and Running a Simple Circuit  
Earlier sections of the user guide introduced the components, macros, and provided some 
information about how components are linked. The best way of putting all of these concepts 
together is to create and run a simple circuit. Follow the steps below to implement a simple 
counter circuit and become familiar with the basic mechanics of the circuit design process. 
To create a simple circuit, follow the steps below: 
1. Ensure at least one processor module is connected to your PC and turned on. 
2. Launch RPvdsEx. 
3. On the File menu, click New to open a new tabbed window. 
4. On the Implement menu, click Device Setup. 
5. In the Set Hardware Parameters dialog box, select your processor from the Type drop 
down menu.  
6. The default index and sampling rate should be fine, so click OK to continue. 
7. Double-click the tabbed window grid area to open up the Select component to place 
dialog box.  
8. In the Select Category box, choose Counters/Logic.  
9. In the Select Component box, click Counter.  

RPvdsEx Manual 
44 
The Counter component implements a simple counting function based on the 
component’s parameters. Using the default parameter values, it will count up from 0 to 
1000 then reset and continue. 
10. Click OK to add the component to the RPvdsEx workspace. 
11. Double-click the tabbed window grid area again to open the Select component to place 
dialog box. 
12. In the Select Category box, choose Helpers.  
13. In the Select Component box, click ParWatch. This component displays the connected 
signal in RPvdsEx and is commonly used for debugging circuits.  
14. To link the components, double-click the output port of the Counter component.  
The cursor will change from a pointer to a circle with cross hairs. As you drag the cursor 
a line will appear.  
15. Connect that line to the input port of the ParWatch by moving the cross hairs over the 
input port and clicking once.  
A line and arrow will appear connecting the two components. This is called a link. The 
circuit should look like this:  
Counter
Base=0
Phse=0
Step=1
Roll=1000
[1:1,0]
Rst=Run
Enab=Yes
ParWatch
16. To run the circuit in RPvdsEx, click the   Compile, load, and run button on the 
Implement toolbar. This compiles the circuit, loads the circuit on the real-time processor 
device, and runs the circuit.  
You should see the counter signal advance in the ParWatch component. The counter will 
continue until the circuit is stopped. Controlling the presentation of the signal requires 
additional components. 
17. To stop the circuit, click the   Halt RP button on the Implement toolbar. 
18. When the file is saved the circuit diagram and the control object are saved together. The 
resulting circuit file can be used with run-time applications. 
Triggering 
TDT’s System 3 Processors support several triggering options. It is important to understand that 
the processor is always running a processing chain in normal operation. Therefore, instead of 
instructing the processor to ‘play’ the signal, you would instead trigger a gate to control the circuit 
output. 
Triggering Options 
The external, zBus, and software triggers are added to a circuit by adding a TrgIn (page 237) 
component. 
RPvdsEx Manual 
45 
External Trigger 
Many of the System 3 processor modules provide an external trigger input that can be triggered by 
a TTL pulse from an external device. This TRIG input is separate from other digital input lines 
(typically found on 25-pin connector inputs). 
zBus Triggers 
zBus triggers are triggered from software. They are a convenient way to simultaneously trigger all 
zBus modules. TDT processors support two zBus triggers, A and B. They can be set as a pulse, 
always high or always low. The zBus triggers can be fired from RPvdsEx or from programs such 
as OpenEx, BrainWare, PyschRP or ActiveX controls. 
Software Triggers 
Software triggers are triggered from software, either by clicking the trigger on the Trigger menu in 
RPvdsEx or by issuing a software command that causes the trigger to fire. SoftTrg is initiated in a 
single circuit. The processors respond to ten unique software triggers. Software triggers do not 
allow precise timing across several modules because of the delay in sending and receiving 
information across the PC interface connection. 
Digital Inputs 
The RX processors have up to 40 bits of programmable digital I/O. See the technical 
specifications for each device for more information. The RP processors have eight digital inputs 
on the 25-pin connector. The RM has four or eight digital inputs on the 9-pin connector.  These 
can be used in a circuit using the BitIn (page 230) or WordIn (page 237) components. 
One Shot 
The OneShot (page 157) delivers one TTL signal when the circuit is run on the processor. 
Pulse Train 
The PulseTrain (page 158) generates a train of TTL pulses with a specified pulse duration and 
inter-pulse interval. It is useful for repeating a stimulus that is triggered by one external trigger. 
Gating a Signal 
Gating functions gate the amplitude of the signal on and off with a set rise/fall time (msec). The 
rise/fall time is a static parameter and cannot be modified in a circuit. The gate begins to open 
when a trigger goes high (=1) and starts to close when the trigger goes low (=0). A Schmitt trigger 
can also be used to control the duration of the signal between opening and closing the gate. 
Triggering a Schmitt component sends a pulse out for a set duration. In this example the Schmitt 
trigger sends a 100 millisecond pulse to the Cos2Gate when it receives a software trigger (TrgIn). 
Triggers are one way users can control components in the processing chain. The Cos2Gate opens 
to 90% of the amplitude of the signal in 10 milliseconds and then starts to close at the end of the 
Schmitt pulse. 

RPvdsEx Manual 
46 
Tone
Amp=5
Shft=0
Freq=2000
Phse=0
[1:4,0]
Rst=Run
Cos2Gate
Trf=10
Ctrl=Closed
[1:5,0]
c
O
[1:6,0]
Ch=1
[1:1,0]
Src=Soft1
Schmitt
Thi=100
Tlo=10
[1:2,0]
Acquiring and Storing the Signal 
RPvdsEx uses memory buffers to store signal data for stimulus presentation and data acquisition.  
Memory Buffers: Serial and Ram Buffers 
There are two types of buffer components, random access and serial. The random access 
component allows users to directly access any value in the buffer; however, the user has to tell the 
memory buffer where the data should be or is stored. The serial buffer automatically increments to 
the next position while it is acquiring or presenting signals. 
The examples below show how a random access buffer and serial buffer differ. In these examples 
the buffers acquire 100 milliseconds of signal. In the serial buffer example the data is saved as 
long as the Schmitt trigger that is connected to the AccEnab line remains high. In the RamBuffer 
example the Schmitt trigger must first start a counter to increment the Index on the RamBuf to the 
next position. Note that the cycle usage for the serial buffer is smaller. 
Serial Buffer 
[1:1,0
]
Src=Soft1
Schmitt
Thi=100
Tlo=10
[1:2,0
]
d
c
[1:4,0]
Ch=1
RMS
[1:5,0]
SerialBuf
Size=1000
Rst=0
AccEnab=1
Write=1
[1:6,0]
NBl ks=0
Index=0
{>Data}
CycUsage
[1:7,0
]
11.39
Starts the Schmitt trigger 
Controls the duration 
of the 
g
ate
Gates the Tone on and of
f

RPvdsEx Manual 
47 
Ram Buffer 
[1:1,0]
Src=Soft1
Schmitt
Thi=100
Tlo=10
[1:2,0
]
d
c
[1:6,0]
Ch=1
RMS
[1:7,0]
CycUsage
[1:9,0]
13.1827
RamBuf
Size=1000
Index=0
Write=0
{>Data}
[1:8,0]
Counter
Base=0
Phse=0
Step=1
Roll=1000
[1:4,0]
Rst=Run
Enab=Yes
Block Access 
A BlockAcc (block access) component acquires a set number of signal values and stores them in a 
serial buffer. The advantage of a BlockAcc is that it automatically transfers a set number of points 
to the buffer. This is advantageous if the signal is to be averaged. In the example below a 
BlockAcc and an AvgBuf (average buffer) are used together to acquire a small signal. 
The BlockAcc takes the place of the Schmitt Trigger in the example above. When the block access 
is triggered it acquires a set number of samples (1000) and then sends them out to a buffer. The 
example below demonstrates an averaged buffer. The average buffer, unlike the serial buffer, adds 
the incoming signals to the values in the buffer. A serial buffer or ram buffer would overwrite the 
old values with the new values.  
[1:1,0]
Src=Soft1
d
c
[1:3,0]
Ch=1
CycUsage
[1:7,0
]
10.9711
BlockAcc
BlkSze=1000
StEnab=0
Skip=0
Tag
[1:4,0]
AccEnab=0
Nski p =0
AvgBuf
Size=1000
Rst=0
AccEnab=0
[1:6,0]
NBl ks=0
Index=0
{>Data}
The Data Port 
All buffers and components that buffer signals, such as filters, have a data port. This port allows 
direct access to the memory location. Several components can access the data port to store, 
display, or download signals to the PC. 
To learn more about using these components with the data port,Data Port Access, page 25. 

RPvdsEx Manual 
48 
Signal Processing 
Signals, whether acquired or generated, can also be filtered, smoothed, and analyzed for particular 
patterns. Two common signal processing techniques, filtering and signal splitting are illustrated 
below. 
Filtering Gaussian Noise 
The GaussNoise (Gaussian noise generator) produces unfiltered broadband noise. Filter and 
coefficient generating components can be added to the circuit to produce a narrow band of noise. 
In the example below, a Gaussian signal is bandpass filtered using a Biquad filter component. A 
ButCoef1 (Butterworth coefficient generator) generates the values for the necessary biquad filters. 
Biquad filters are used because of their stability. Filter properties can be changed in real time. 
GaussNoise
Amp=1
Shft=0
Seed=0
Rst=Run
[1:2,0]
Biquad
nBIQ=1
{>Coef}
{>Delay}
[1:3,0]
ButCoef1
Gain=1
Fc=2000
BW=10
Type=BP
[1:1,0]
Enab=Yes
c
O
[1:4,0]
Ch=1
A single Biquad component filters the Gaussian noise. The ButCoef1 generates coefficients for a 
bandpass filter centered around 2000 Hz with a BW of 10 Hz. This bandwidth puts the 3dB 
corners at 2005 Hz and 1995 Hz. The output of the Biquad is then played out of DAC channel 1. 
Notes: 
The filter generated is rather broad. If a narrow band is required, filters can be connected together 
to narrow the bandwidth or users can generate their own filter values for use with our IIR and FIR 
filters. 
To alter the values on the fly connect a parameter tag or Data Table to the Fc and BW of the 
ButCoef1.  
Signal Detector: Splitting the Signal Path 
The System 3 processors allow users to process signals in real-time without any modification from 
the PC. This allows users to detect changes in signal levels and respond in less than a millisecond. 
In the example below the circuit detects changes in an incoming signal and lights one of the 
outputs on an RP (RP2, RA16, or RL2) module. 

RPvdsEx Manual 
49 
In the example below a signal is filtered so that only signals in a particular frequency are detected. 
1. Bandpass filter the incoming signal. 
Biquad
nBIQ=1
{>Coef}
{>Delay}
[1:3,0]
ButCoef1
Gain=1
Fc=1000
BW=200
Type=BP
[1:1,0]
Enab=Yes
d
c
[1:2,0]
Ch=1 Channel 1
2. Detect signals that are at least five times greater than the background RMS level 
FeatSrch
FC=Above
K1=0
K2=0
[1:4,0]
RMS
[1:1,0]
ScaleAdd
SF=5
Shft=0
[1:2,0]
Bi
[1:5,0]
M=1
Channel 1
A Hop (Channel 1) is used to simplify the logic of the circuit. The hop allows the circuit design to 
be split. The hop does not alter the processing chain it allows the chain to be easier to follow and 
debug. A single HopOut can have multiple HopIns that split the signal. 
The split signal goes to two components: the RMS (root mean square) and the FeatSrch (feature 
search). When the RMS is calculated it determines the criteria necessary to activate the FeatSrch. 
While a signal meets the criteria of the FeatSrch a logical value is set high (goes from 0 to 1). In 
this case the Signal must be 5 times the normal noise of the filtered signal for a pulse to be 
generated. All these parameters can be easily modified. The logical pulse can be used to light an 
output or to start acquisition of the signal or both. 
In addition, delays can be added to the circuit so that the acquisition of a signal includes all of the 
waveform. 
Scale and Add 
This circuit implements a simple AM modulator. The signal connected to the channel one A/D 
input will be 50% modulated by a 50 Hz sinusoid generated by the Tone component. The result is 
played from channel one of the DAC. 
d
c
[1:3,0]
Ch=1
ScaleAdd
SF=1
Shft=0
[1:4,0]
Tone
Amp=0.5
Shft=1
Freq=50
Phse=0
[1:1,0]
Rst=Run
c
O
[1:5,0]
Ch=1

RPvdsEx Manual 
50 
Note: the circuit using ScaleAdd will run in fewer cycles than the alternate construct shown below 
using Mult. 
d
c
[1:1,0]
Ch=1
Tone
Amp=0.5
Shft=1
Freq=50
Phse=0
[1:2,0]
Rst=Run
c
O
[1:4,0]
Ch=1
[1:3,0]
Mult
Using Parameter Tags for Software Control 
When your circuit is saved as a circuit file it can be used by all TDT application software and can 
be incorporated in to custom programs you develop using a programming language that supports 
ActiveX.  
Parameter tags are pointers that create named access points within your circuit. They can be used 
to control parameters and access data while the process chain is running.  
The example below acquires, filters, and stores a multi-channel signal. The HPFreq and LPFreq 
parameter tags allow users to control the corner frequency of the cascaded filters while the dWav 
parameter tag allows the user to access the stored data for data visualization and analysis. 
MCAdcIn
nChan=16
ChanOS=1
[1:3,0]
MCBiquad
nChan=16
nBIQ=1
{>Coef}
{>Delay}
[1:4,0]
MCBiquad
nChan=16
nBIQ=1
{>Coef}
{>Delay}
[1:5,0]
ButCoef1
Gain=1
Fc=300
BW=100
Type=HP
[1:1,0]
Enab=Yes
ButCoef1
Gain=1
Fc=3000
BW=100
Type=LP
[1:2,0]
Enab=Yes
LPFreq
MCSerStore
nChan=16
Size=1024
Rst=0
WrEnab=1
[1:6,0
]
Index=0
{>Data}
dWav
Reset
Enable
HPFreq
There two ParTag components, a right and a left version, allowing you to choose the tag that will 
make your circuit easier to read. There is no functional difference between the two.  
Parameter tags can be connected to any parameter input or any output. However, they cannot be 
connected directly to a signal input. To use a parameter tag with a signal input you must first route 
the signal path through ConstF, ConstL, or ConstI component.  

RPvdsEx Manual 
51 
Hardware Considerations 
Input/Output Delays 
When synchronizing processing circuits users should be aware of delays associated with the I/O of 
their hardware devices. Users can synchronize I/O using delay components provided in RPvdsEx. 
See Delay Functions in the Component Referencesection, page 181, for more information. 
The table below provides a comparison of the delays associated with types of I/O and components. 
I/O Type  RPvdsEx Component  Delay  Component Icons 
Digital 
Input  BitIn  
WordIn  2 samples 
Digital 
Output  BitOut 
WordOut  3 samples 
Analog 
Input  AdcIn 
MCAdcIn 
device 
specific* 
Analog 
Output  DacOut  device 
specific* 
Inter-DSP 
zHop Pairs 
zHopOut/In 
MCzHopOut/In 
MCzHopPick  1 sample 
RZ2 Data 
Pipe  MCPipeOut/In 2 samples 
* See DAC and ADC tables below. 

RPvdsEx Manual 
52 
DAC and ADC Delays 
Several of the System 3 processor modules use Sigma-Delta digital-to-analog and/or analog-to-
digital converters. These converters provide over-sampling that generates signals up to 90% of the 
Nyquist frequency (half the sample rate) without the need for additional anti-imaging and anti-
aliasing filters. While these devices provide for superior conversion quality and extended useful 
bandwidths, they have an inherent fixed group delay. When synchronizing the processing circuits 
with external devices via triggers, and so forth, one must account for associated delays in the 
converters being used.  
Note: Information about delays and converter specifications can also be found in the technical 
reference for each device. 
Sigma-Delta Sample Delays 
The table below lists the devices that use Sigma-Delta converters along with their associated 
delays.  
Device Type  SD DAC Delay  SD ADC Delay 
RZ6  47 samples  66 samples 
RX6  47 samples  66 samples 
RX8  24 samples  47 samples 
RP2.1  65 samples  30 samples 
RP2 and RL2  40 samples  30 samples 
See Delay Functions in the Component Referencesection, page 181, for a complete list of 
componets that can be used to synchronize circuits when needed.  
PCM Sample Delays 
The table below lists the devices that use PCM converters along with their associated delays. PCM 
converters have a much shorter delay and, in general, do NOT necessitate the use of a delay 
component. 
Device   PCM DAC  PCM ADC  
RZ2  4 samples  3 samples 
RZ5  4 samples  3 samples 
RX5  4 samples  NA 
RX7  4 samples  NA 
RX8  4 samples  3 samples 
RPvdsEx Manual 
53 
The Sample Clock and Sampling Rates 
TDT’s System 3 processors have a continuously running sample clock. The rate of this clock can 
be set to match the bandwidth of the signals you are working with. For example, studies with 
humans need a 20 kHz bandwidth, so the sample clock should be set to 50 kHz. At that rate, TDT 
devices that use sigma-delta type D/A's and A/D's can utilize nearly a 25 kHz bandwidth with no 
anti-aliasing filter.  
Each TDT device has a fixed set of sample rate capabilities. The use of high performance sigma-
delta DACs makes supporting completely arbitrary rates unreasonable in some devices. For 
example, the RV8 does not use sigma-delta DACs so it can offer any rate (derived from 25 MHz) 
while the RX6 uses sigma-delta DACs and thus supports a limited set of sample rates.  
Note: The RX8 can be configured with sigma-delta converters and/or PCM converters. The 
realizable sampling rate depends on which type of converter is used.  See the System 3 Manual for 
more information on selecting an appropriate sampling rate for your RX8. 
The setup dialog in RPvdsEx will always return the true available rate for any device when the 
'Check Realizable' button is clicked.  
Converting Sample Rates 
Files recorded with other systems (including TDT System II devices) will have different sample 
rates. To convert files to System 3 requires changing the sample rate. Programs like Cool Edit 
allow you to change the sample rate of a signal. In addition MATLAB's Signal Processing 
Toolbox has resampling tools.  
Sample Rate Synchronization Issues  
Problems with synchronizing waveforms (such as a triangle wave) and with generating proper 
delays on two devices are typically a result of differing sample rates. The device with the higher 
rate can generate waveforms or delays with more resolution than the device at a lower rate.  
Sample Rate Related Timing Issues 
TDT software that offers arbitrary delays always bases the actual delay specified on the lowest 
sample rate used. If possible, use standard sample rates that will be related by a simple factor of 
two, four, etc. If you are using any of the non-linear generator components, be aware that only 
frequencies related to the sample rate by an integer multiple can be generated. 
Components parameters that define a high, low, or delay period based on time are directly related 
to the sampling period. There is always a fixed difference between expected and actual values 
related to the sample period (inverse of the sample rate). The maximum possible difference with 
these components is +/- the sample period. When using these components, the actual time value 
will be the closest interval depending on the sample rate.  
For example, at 100 kHz, a PulseTrain set to go high for 2 ms would be high for 1.9968 ms, 
because the sample period is 10.24 us.  Because these slight differences are less noticeable on 
devices using oversampling, such as those using sigma-delta converters, this issue is most 
noticeable when synchronizing several devices using different types of converters. 
RPvdsEx Manual 
54 
The table below shows the possible difference at different sample rates.  
Standard Sample 
Rate (Hz)  Actual Sample Rate 
(Hz)  Sample Period (us)  Max difference (us)  
200k  195312.5  5.12  +/- 5.12  
100k  97656.25   10.24  +/- 10.24  
50k   48828.125  20.48  +/- 20.48  
25k   24414.0625  40.96   +/- 40.96  
12k  12207.03125  81.92  +/- 81.92  
6k  6103.515625  163.84   +/- 163.84  
The actual length of time that the component will remain high is the multiple of the sample period 
that is the closest to the set time.  
For example, the table below assumes that a component, such as a PulseTrain, is set to go high for 
2 ms. The actual time that the PulseTrain would remain high and the expected difference are in the 
final two columns.  
Standard Sample 
Rate (Hz)  Max Difference (us)  Expected High Time 
for 2ms (ms)   Expected Difference 
(us)  
200k  +/- 5.12   2.00192  1.92  
100k  +/- 10.24  1.9968   3.20  
50k   +/-20.48  2.00704  7.04  
25k +/-81.92 1.96608 33.92  
12k  +/- 81.92  1.96608  33.92  
6k +/- 163.84 1.95508 33.92 
Cycle Usage 
The main function of the DSP is to execute the processing chain; however, the DSP must also 
control or manage each aspect of the processor “black box” device. It must control the converters, 
move data, and pass instructions to and from the PC across the zBus/PC interface. On each tick of 
the sample clock the DSP: 
 Executes the processing chain  
 Performs “house-keeping” tasks 
 Transfers data to and from the host computer across the zBus interface  
Again, all of this must happen within one tick of the sample clock. You can imagine that as the 
sample clock gets faster, or the processing chain gets more complex, the DSP has less time to 
perform all of the necessary functions. At some point the DSP can no longer keep up, and errors 
occur. DSP/PC communication suffers and some components in the processing chain are no 
longer updated. i.e. when the amount of processing exceeds  the sample period…. 

RPvdsEx Manual 
55 
In fact, the window for communication with the host PC is entirely dependant on the time it takes 
to execute the processing chain. The DSP prioritizes the processing chain over PC data transfers.  
Thus, if executing the processing chain takes up 75% of a given sample cycle, the DSP has less 
than 25% of the remaining sample period to move data across the DSP/PC interface.     
Cycle usage is a measure of the DSP workload including DSP house keeping and processing chain 
execution.  It is expressed as a percentage of the sample period consumed by these tasks. If cycle 
usage is near 100%, no data can be exchanged with the host pc. Furthermore, when the processing 
chain exceeds 100% cycle usage, the execution of the chain breaks down, and errors occur. 
Each DSP has a set number of DSP cycles per tick of the sample clock. Cycle usage is dependent 
on the sample rate of the system, the processing power of the RP, and the components used. The 
lower the sample rate the more complex the circuit design can be. High sample rates (>50 kHz) 
will often limit what components can be used. Very high sample rates (200 kHz or more) may 
limit a circuit to only a few components. At higher sample rates, the number of available DSP 
cycles is lower and the overhead (running the D/A converters etc.) is greater. Use only the 
minimum necessary sample rate for your needs.  
The table below shows the relationship between the sample rate and processing power and lists 
cycle usage and overhead for each sample rate for the RP2 processor. 
Sample Rate DSP Cycles Available (RP2) Overhead (RP2) Total Usage for Sample Circuit
6K  8192  0.6 %  1.7 % 
12K  4096  1.2 %  3.5 % 
25K  2048  2.5 %  7.0 % 
50K  1024  5.0 %  14 % 
100K  512  10 %  28 % 
200K  256  20 %  56 % 
Many processors display cycle usage on a front panel LCD screen or using indicator lights. A 
CycUsage (cycle usage) component can also be added to a circuit to monitor how much 
processing power the circuit uses. When running a circuit from the RPvdsEx interface, connecting 
CycUsage to a ParWatch (parameter watch) helper component will display the cycle usage of the 
circuit. 
The example below shows how to use a ParWatch to measure the number of cycles being used by 
the circuit that is running. In this example the Tone generator and DAC are using eight percent of 
the available cycles. Time slices may be used to reduce cycle usage by running calculations only 
on certain samples rather than on every tick of the sample clock. 
Tone
Amp=1
Shft=0
Freq=1000
Phse=0
[1:1,0]
Rst=Run
c
O
[1:2,0]
Ch=1
CycUsage
[1:3,0
]
8.17438
RPvdsEx Manual 
56 
Transferring Data Between the Processor and the 
PC 
Most of the System 3 processors have onboard memory. Single processor devices with 32MB of 
memory can store eight million samples of uncompressed data and up to 32 million samples of 
compressed data. RPvdsEx has several built-in functions for using source data from the PC, such 
as DataTable and SourceFile. Users can also see the data by using ParWatch (parameter watch) 
and Graph. More sophisticated ways of transferring the data to and from the processor module 
requires the use of ActiveX controls and some degree of programming. 
USB Transfer Rates 
USB transfers are limited to 100,000 samples per second of 32-bit data. Streaming of signals to 
and from disks may present a problem for high sample rate or high channel number acquisition 
and presentation. For example, 16-channels of 25 KHz data produces 400,000 samples of data per 
second. Data reduction techniques, such as CompTo16 (Compress to 16) and ShufTo16 (Shuffle 
to 16), reduce the data size. 
Gigabit Transfer Rates 
The Gigabit transfer rate is limited to 400,000 samples per second of 32-bit data. Streaming 
signals to and from disks should not present a problem unless very high channel numbers are 
required. At this time, the maximum number of channels that the Gigabit can stream with 32-bit 
data is 16-channels at 25 kHz. Data reduction techniques such as CompTo16 (Compress to 16) 
and ShufTo16 (Shuffle to 16) can be used to reduce the data size. 
Optibit Transfer Rates 
The Optibit transfer rate is up to 8x times faster than the original Gigabit interface and also 
reduces the system’s susceptibility to EMF. Devices are connected in a simple loop using provided 
high speed noise immune fiber optic cabling. Also, when using the Optibit interface, all devices 
(across all caddies) are automatically phase locked to a single clock. The Optibit interface supports 
high channel counts but is still subject to limitations. Data reduction techniques such as 
CompTo16 (Compress to 16) and ShufTo16 (Shuffle to 16) can be used to reduce the data size. 
Interface Performance Comparison 
The table below illustrates typical transfer rates for the UZ2, Optibit, and Gigabit interfaces: 
Interface  Transfer Type  RP Devices   RX Devices  RZ Devices  
PO5e/PO5/FO5  Read   1.5  10  20.0  
   Write 1.5 2.5 20.0  
PI5/FI5 Read 1.5 2.5 NS 
   Write 1.5 2.5 NS 
UZ2   Read   1.5  2.5  NS 
   Write 1.5 2.5 NS 
Transfer rates are in MB/s.  
NS – Not supported 
RPvdsEx Manual 
57 
Multi-Channel Circuit Design 
Overview 
In a typical multi-channel application most, if not all, channels will be processed in the same way. 
The user can take advantage of this fact by using multi-channel components and multi-channel 
macros wherever possible. These components and macros have been designed specifically for 
multi-channel processing and are more efficient than their single channel counterparts. When 
neither multi-channel components nor a multi-channel macro is available for a particular 
processing task, iterations can be used to simplify the parts of the circuit that must use single 
channel components.  
When designing multi-channel circuits the user should keep in mind that: 
 Simplifying circuit design makes debugging or modifying the circuit easier. 
 Using the most efficient components possible improves performance and ensures that all 
processing tasks can be accomplished without overtaxing the processor or exceeding the 
maximum number of components allowed.  
 Using macros reduces the overall number of parameter and configuration settings required 
while reducing the likelihood of channel number or data type mismatches.  
Note: Multi-channel components can only be used with high performance devices, such as the RX 
and RZ devices. Circuits that implement them will not run on single processor systems, such as 
the Medusa RA16BA. However, the iteration function can be used by all devices to streamline 
circuit design. Macros that use multi-channel components typically include "MC" in the macro 
name. See the reference for your device for specific information on component compatability. 
The Nature of Multi-Channel Signals 
A multi-channel signal is an array of data points arranged according to channels. On each tick of 
the sample clock, the multi-channel component processes one point from each channel.  
Working with Multi-Channel Components 
Multi-channel components are a powerful group of components for working with multi-channel 
signals. When working with these components the user must carefully consider the number of 
channels and type of data in the multi-channel data stream.  
Data Types  
Most multi-channel components accept any data type as input. No error will be generated if the 
signal output from one component is linked to a component input that requires another data type. 
Therefore, the user must ensure that data types are consistent.  
nChan Parameter 
Multi-channel components can be used to process multi-channel signals from four to 256 
channels. Many multi-channel components include a channel number (nChan) parameter that must 
be set at design time, to the number of channels in the multi-channel signal input. Mismatched 
channel number parameters may cause warnings, but will not cause errors when the circuit is 
compiled. Therefore, the user must ensure that the channel number parameter is set correctly.  

RPvdsEx Manual 
58 
Multi-Channel Circuit Design Strategies 
The best circuit design for multi-channel circuits maximizes the use of multi-channel components 
and multi-channel macros while minimizing the number of conversions between multi-channel 
components and single channel components. This path has several advantages. Multi-channel 
components use fewer cycles, and require fewer components to accomplish processing tasks for 
multiple channels. Also, multi-channel components and macros help to keep circuit design 
cleaner, more manageable, and easier to debug. Macros help eliminate common multi-channel 
errors, such as mismatched data types and mismatched number of channels.  
This section provides general guidelines for multi-channel circuit design by taking the user 
through the process of building commonly used circuit segments.  
Acquisition 
Users must consider their hardware configuration when designing an acquisition circuit.  
The RZ2 Processor 
The RZ2 is equipped with several different analog I/O capabilities. Two types of fiber optic ports 
allow a direct connection to Z-Series or Medusa Preamplifiers. The RZ2 also includes onboard 
A/D for input of signals from a variety of other analog sources.  
RZ2_Input_MC
Data Pipe, 16 Chans (1-16)
SourceData
The RZ2_Input_MC macro provides a universal solution for analog input via the RZ2, 
automatically selecting the correct components, applying any scale factors or channel offsets, and 
performing and data type conversion needed based on information the user provides about the 
input source. The macro outputs a multi-channel data stream to facilitate multi-channel signal 
processing and storage. TDT highly reccomends using the input macro whenever possible. 
When the input macro is not used, onboard A/D and Medusa Preamplifier inputs are accessed 
using single channel ADCIn components. Single channel data can be converted to a multi-channel 
data stream using techniques discussed under Combining Channels below.  
The Z-Series amplifier input channels are typically accessed using the Pipe components on page 
249. They can also be accessed using the MCAdcIn component starting at channel 128; however, 
this access method is less efficient and not recommended for high channel count applications.  
When the input macro is not used see the RZ2 technical reference in the System 3 Manual for 
detailed information about the RZ2 I/O hardware for scale factors and channel numbers.  
The RZ5 Processor 
The RZ5 is equipped with fiber optic ports for a direct connection to Medusa Preamplifiers and 
onboard A/D for input of signals from a variety of other analog sources.  
RZ5_AmpIn_MC
Amp -A-, 16 Chans (1-16)
Output

RPvdsEx Manual 
59 
The RZ5_AmpIn_MC macro provides a solution for multi-channel amplifier input via the RZ5, 
automatically selecting the correct components, applying the appropriate scale factor and channel 
offsets needed based on information the user provides about the input source. The macro outputs a 
multi-channel data stream to facilitate multi-channel signal processing and storage. 
Amplifier inputs and onboard A/D can also be accessed using appropriate single channel ADCIn 
components. Single channel data can be converted to a multi-channel data stream using techniques 
discussed under Combining Channels below. When the input macro is not used see the RZ5 
technical reference in the System 3 Manual for detailed information about the RZ5 I/O hardware 
for scale factors and channel numbers. 
The RZ6 Processor 
The RZ6 is equipped with onboard A/D for superior high frequency acquisition. An optional fiber 
optic port can be equipped for a direct connection to a four channel Medusa Preamplifier.  
Important!: The RZ6 device macros are required for accessing analog and digital inputs and 
outputs.  
Analog input is accessed in RPvdsEx through the RZ6_AudioIn macro. 
RZ6_AudioIn
ADC-A
ADC-B
The RZ6_AmpIn macro automatically applies the necessary scale factors and channel offsets for 
configuring the optional preamplifier fiber optic port. 
RZ6_AmpIn
Output-1
Output-2
Output-3
Output-4
Note: All RZ6 device macros input or output single channel signals, however, the RZ6 supports 
multi-channel circuit components. See Combining Channels, page 61 for more information on 
converting single channel signals to a multi-channel signal.  
RX Processors  
The MCAdcIn component is the best choice to feed the circuit with multi-channel signals when 
using RX processors. Signals are typically digitized on a preamplifier and then transferred to the 
base station via fiber optics. This basic acquisition circuit uses the MCAdcIn and a multi-channel 
filter macro to acquire and filter multi-channel data.  
MCAdcIn
nChan=16
ChanOS=1
[1:1,0]
HP-LP_Filter_MC
[Filt],  300Hz,   5000Hz,   12dB/oct
Input  (nChan=16)
FreqHP
FreqLP
Output FiltSig

RPvdsEx Manual 
60 
In this sub-circuit, signals on channels 1 – 16 are acquired and filtered. The FiltSig HopOut routes 
the filtered signals to another area of the circuit for further processing or storage. A similar circuit 
using single channel components would require 112 components to accomplish this same 
processing task.  
When using the MCAdcIn the user must specify the channels to acquire using the number of 
channels (nChan) and the channel offset (ChanOS) parameters. For example, the circuit above 
acquires 16 channels. Because the offset is set to 1, acquisition will begin with channel 1. The user 
must again consider their hardware configuration. On the RX5, channels 1-16 are acquired via 
fiber optic port 1. This means that a 16-channel preamplifier must be connected to the Amp-A 
fiber optic port to acquire all 16 channels of data. A preamplifier connected to the Amp-B port 
(Channels 17-32) would be ignored. 
To acquire 32 channels from two 16 channels amplifiers that are connected to ports A and B, 
simply change each of the nChan parameters to 32. A single MCAdcIn can be used to acquire any 
block of consecutive channel numbers. However, if there is a break in the channel numbers to be 
acquired, multiple MCAdcIns must be used. A MCMerge component is used to combine multiple 
multi-channel signals into one multi-channel signal. 
MCAdcIn
nChan=4
ChanOS=1
[1:1,0]
HP-LP_Filter_MC
[Filt],  300Hz,   5000Hz,   12dB/oct
Input  (nChan=16)
FreqHP
FreqLP
Output FiltSig
MCAdcIn
nChan=4
ChanOS=17
[1:3,0]
[1:4,0]
Merge
In this example, two MCAdcIns are used to acquire channels 1-4 and 17- 20. This circuit acquires 
eight channels of data using two 4 channel amplifiers, connected to ports A and B.  
The output from MCAdcIn is in floating-point format. The nChan parameter of the filter macro 
must match the number of channels in the signal input. In the first example, 16 channels are fed 
directly from the MCAdcIn to the macro. In the second example, a MCMerge component is used 
to combine the multi-channel signals from two MCAdcIns and a total of eight channels are fed to 
the macro.  
The filtered signals can be processed further or stored to a memory buffer using MCSerStore or a 
multi-channel data store macro. The signal can also be split into its single channel signals (see 
Extracting Channels below) and processed individually.   
Processing and Converting Signals 
The scope of the multi-channel components is limited to the most common processing tasks. 
When an acquisition circuit requires additional processing, it will often be necessary to extract 
single channel signals using the MCToSing or MCzHopPick components.  
MCAdcIn
nChan=16
ChanOS=1
[1:1,0]
MCAdcIn
nChan=16
ChanOS=1
[1:3,0]
MCToSing
ChanSel=2
[1:2,0]
Channel 2MCSig
nChan=16
MCSig
ChanNo=2
[1:5,0]
Channel 2
Or 

RPvdsEx Manual 
61 
Extracting Channels and Using Iterations 
When single channel processing must be performed on many channels, using iterations keeps the 
circuit manageable. The iteration box is drawn around a sub-circuit that must be repeated a 
specified number of times. The following example extracts the individual channels from an 8-
channel signal called MCSignal, using a HopIn, full wave rectifies them. All this is done within an 
iterate box. The single channels are then recombined using MCFromHop to form an 8-channel 
signal. The MCFromHop component is only supported by RX and RZ multi-processor devices. 
For single processor devices such as the RA16BA see Iterate, page 220. 
The iterate box is used to duplicate the sub-circuit 8 times, extracting 8 single channels from the 
multi-channel signal. The iterate variable {x} (which corresponds to the iteration number) is used 
to set the channel number for the HopIn component in each iteration ensuring that each iteration 
extracts a different channel. 
The parameter tag also uses the iterate variable {x} to ensure that each iterated circuit processes a 
unique channel with a unique set of parameters. The iterative notation MCSignalR~{x} allows the 
MCFromHop component to reconstruct the multi-channel signal MCSignal from the 8 single 
channels. Once reconstructed, the multi-channel signal MCSignalR is then stored using 
MCSerStore. 
Iterate:  x =1 to 8 by 1
MCSignal
Absval
[1...,6-01...]
M
CSignalR~{x}
{>PM
}
MCSignalR
nChan=8
[1:28,0]
MCSerStore
nChan=8
Size=1024
Rst=0
WrEnab=1
[1:29,0]
Index=0
{>Data}
Reset
Enable
Data
MCToSing
ChanSel={x}
[1...,5-01...]
Combining Channels 
There are two components that combine multiple signals paths into a single multi-channel signal, 
MCFromSing (ToMC) and MCMerge. MCFromSing (ToMC) is used to build a multi-channel 
signal from several single channels.  
[1:3,0]
Merge
The MCMerge component merges multi-channel signals into higher order multi-channel signals. 
Each of these components combines up to four signal paths. They can also be used together in 
sequence to build a larger multi-channel signal.  
4 Single 
Channel Signals  One 4 - Channel Signal 

RPvdsEx Manual 
62 
[1:7,0]
Merge
[1:3,0]
ToMC
[1:4,0]
ToMC
[1:5,0]
ToMC
[1:6,0]
ToMC
Data Storage 
There are three possible methods for data storage.  
OpenEx users can select from a variety of data storage macros designed specifically for use in 
OpenEx. These macros greatly simplify circuit design for multi-channel data storage.  
For users who develop their own applications using ActiveX, RPvdsEx currently supports a 
limited number of multi-channel buffer operation components. 
When no other method is available, use iterate boxes with single-channel buffer operations 
(similar to the process described above). See the iterate function, page 220, for an example of this 
method.  
The example circuits below each pull together acquisition, filtering and data storage in an efficient 
processing chain.  
OpenEx Example 
Using OpenEx allows for extensive use of macros for circuit design: from timing to storage. The 
circuit below uses the Block_Store_MC macro to store a 16 channel filtered input to the OpenEx 
DataTank using the Store name “Blck”. 
MCAdcIn
nChan=16
ChanOS=1
[1:1,0]
CoreSweepControl
Primary Store Name:  Tick
Store-A
Store-B
Store-C
Store-D
SweepNum
SweepDone
HP-LP_Filter_MC
[Filt],  300Hz,   5000Hz,   12dB/oct
Input  (nChan=16)
FreqHP
FreqLP
Output
Block_Store_MC
Store: Blck, 16Ch, 100Floats, 24414.1Hz
Store  (nChan=16)
Trigger - Rising Edge
Active
4 Single 
Channel Signals 
4 Single 
Channel Signals 
4 Single 
Channel Signals 
4 Single 
Channel Signals 
One 16 – Channel Signal 

RPvdsEx Manual 
63 
ActiveX Example 
Below, the MCAdcIn feeds the circuit with a 16-channel input. The MCSerStore component stores 
all 16 channels into a single 3200 points buffer. The dWav parameter tag is used to read the buffer 
back to the PC.  
MCAdcIn
nChan=16
ChanOS=1
[1:6,0]
HP-LP_Filter_MC
[Filt],  300Hz,   5000Hz,   12dB/oct
Input  (nChan=16)
FreqHP
FreqLP
Output
[1:2,0]
Src=zBusA
EdgeDetect
Edge=Rising
[1:4,0]
Enable
Reset
MCSerStore
nChan=16
Size=3200
Rst=0
WrEnab=1
[1:9,0]
Index=0
{>Data}
Reset
Enable
dWav

RPvdsEx Manual 
64 
MultiProcessor Circuit Design 
Overview 
The combined processing power offered by the multi-processor devices makes them ideal for 
high-channel count or high-sampling rate data acquisition. Multi-DSP architectures allow 
processing tasks to be distributed across several processors. This provides a number of advantages.  
It reduces the likelihood that the number of RPvdsEx components used on any one processor will 
exceed the processor’s maximum (256 for RX processors and 768 for each RZ processor). 
It makes it possible to reduce the cycle usage demand on each processor, enabling each processor 
to run at a higher sample rate.  
Before attempting to design multi-processor circuits, it is a good idea to become familiar with the 
special tools available for multi-processor circuit design in RPvdsEx. TDT also recommends 
reviewing the multi-DSP architecture of your device. 
Assigning DSPs in RPvdsEx 
A single RPvdsEx file must contain all the processing tasks for one device. In order to reduce 
individual processor load, these tasks can be split across all of the DSPs contained in a device.  
There are two methods available: using pages or using DspAssign.  
Note: When using either method, users should be familiar with the number of DSPs available in 
their device and only assign pages to those DSP. 
Using Pages 
In RPvdsEx the workspace is divided into tabbed pages. The user can assign each page within the 
file to one or more processors on that device. The circuit on that page will then run on the assigned 
processor. Multiple pages can be assigned to the same processor. By default all pages are assigned 
to the first or main processor. 
RZ Processors 
RX Processors 
An icon on the page tab indicates which processor has been assigned, and if multiple processors 
have been assigned.  
For more information on assigning pages to processors, see Assigning Pages to a DSP, page 14. 

RPvdsEx Manual 
65 
Using DspAssign 
The DspAssign component is specifically designed to designate a section of an RPvdsEx page to 
run on a processor other than the one assigned to that page. Paired with RPvdsEx macros, this 
component enables many multi-processor circuits to be displayed in a single page.  
To use DspAssign, add it to the page then drag the borders to encompass the segment to be 
assigned to a different processor. 
In the RX device circuit below, the CoreSweepControl macro runs on the Main DSP. The 
remainder of the components on the page is assigned by the DspAssign component to run on DSP 
Aux-1. 
For more information on DspAssign, see page 249. 
MultiProcessor Hop Components 
The MultiProcessor Hop components are a special group of RPvdsEx components used to pass 
circuit signals between multiple processors. Signals are sent and received between DSPs via 
specialized hardware and these components. 
 zHopOut moves a single channel signal  
 zHopIn retrieves a single channel signal  
 MCzHopOut moves a multi-channel signal  
 MCzHopIn retrieves a multi-channel signal  
 MCzHopPick retrieves a multi-channel signal and outputs a single channel 
Unlike the single processor HopIn and HopOut, each zHop compiles and is counted as a 
component that uses processing cycles. There is a consistent one-sample delay associated with 
these components to ensure known and consistent timing delays across multiple processors. 

RPvdsEx Manual 
66 
MCAdcIn
nChan=16
ChanOS=1
[2:1,0]
HP-LP_Filter_MC
[Filt],  300Hz,   5000Hz,   12dB/oct
Input  (nChan=16
)
FreqHP
FreqLP
Output
CoreSweepControl
Primary Store Name:  Tick
Store-A
Store-B
Store-C
Store-D
SweepNum
SweepDone
DSP: Aux-1
Signal
nChan=16
DSP: Aux-2
ChanSel=1
Signal
nChan=16
Spike_Store_MC
Store: 'Snip' using SortSpike2 (32pts)
Store  (nChan=16)
In the example above, a MCzHopOut feeds a 16 channel signal to a spike storage macro. All 
timing for the circuit is done on the main DSP processor while filtering and storage are done by 
separate (DSP: Aux-1 and DSP: Aux-2) processors. The DspAssign component splits the tasks 
while the zHop components make the signals available across multiple processors. 
Using the {d} Variable 
The variable d in braces, that is {d}, can be used to represent a number associated with the 
processor in any parameter or text label in a circuit. Values for the main and auxiliary processors 
of the RX devices are 0, 1, 2, 3 and 4 (max) respectively. Values for the RZ processors are 1 
through 8 (max).  
When the circuit is compiled the character d will take the value corresponding to the processor to 
which it is assigned. For example, if the channel number parameter for an AdcIn is set to {d}, and 
the page is assigned to the Aux-1 processor, then the channel number will be 1.  
When a page is assigned to more than one processor, the variable can be used to yield different 
values for different processors. The {d} variable can also be used with formulas to yield the 
desired value.  
For example: 
A parameter value set to {1 + ((d– 1) * 16)} will take the values: 
1 in the first auxiliary processor  
17 in the second auxiliary processor 
33 in the third auxiliary processor  
49 in the fourth auxiliary processor 
Note: This formula is suitable for the RZ processors and the RX auxiliary processors but cannot 
be used on the RX main processor, which has a value of 0. 
Store Pooling 
Store Pooling is a special feature of some data storage macros targeted for TDT’s OpenEx 
software suite. When groups of channels from a larger multi-channel signal are processed and 
stored using different processors on a multi-processor device, Store Pooling serves to identify 
stored data as being part of a large whole. 
For example:  
If channels 1 – 16 of a 32 channel signal are stored using a data storage macro on DSP-1  
And channels 17 – 32 are stored using a data storage macro on DSP-2 
RPvdsEx Manual 
67 
Store Pooling ensures all 32 channels appear to be one “Data Store” in the OpenEx DataTank. 
See the internal macro help of the data saving macros for more information on using Store 
Pooling. 
Multi-Processor Circuit Design Strategies 
When designing circuits for multiprocessor devices, users should employ strategies that take 
advantage of the distributed processing made possible by the multi-DSP architecture and the 
MultiProcessor components available in RPvdsEx. These strategies typically include organizing 
the circuit into logical units by task and distributing tasks across processors. For high-channel 
count applications this will often include distributing data storage across multiple processors.  
So, a 64 Channel Spike Sorting circuit might be distributed as follows: 
DSP-1: timing and control 
DSP-2: process and store 16 channels 
DSP-3: process and store next 16 channels 
DSP-4: process and store next 16 channels 
DSP-5: process and store next 16 channels 
When distributing processing tasks across multiple processors, users must 
always consider: 
 The limitations of each processor. 
 The multi-DSP architecture of the device.  
Each processor: 
 Has a finite amount of processing power dependent on sampling rate. 
 Each processor may be assigned up to 256 components for RX processors and 768 for RZ 
processors. 
The number of components on each processor is reported by RPvdsEx after compiling the circuit, 
and the cycle usage of each processor is reported on the front panel display of the devices.  
Device architecture: 
RX devices rely on the Main processor to handle all communications. When using an RX device 
TDT recommends keeping the processing tasks assigned to the Main processor light, freeing it up 
to handle communications and data transfer more efficiently. 
Multi-Processor Circuit Design - RZ2 
The RZ2 processor has a unique architecture that includes a "Pipe Bus" not available in RX or 
other RZ devices. Its multi-processor architecture combined with an x4 multiplier in processor 
speed yields an extremely powerful system capable of sophisticated real-time processing and 
simultaneous acquisition on 256 channels at sampling rates up to ~25 kHz and up to ~50 kHz on 
up to 128 channels. Before attempting to design multi-processor circuits for the RZ2, it is a good 
idea to become familiar with the device's multi-DSP, multi-bus architecture, and the special tools 
available for multi-processor circuit design in RPvdsEx. 
The RZ2 Multi-Bus Advantage 
The RZ2 offers all the advantages of the multi-processor approach introduced with the RX High 
Performance Processors while eliminating most of the bottlenecks found in the RX design. While 
the RX device is very fast and flexible, its shared bus architecture generates a few restrictions that 
RPvdsEx Manual 
68 
limit device capability in high channel count environments. The RZ2’s multi-bus approach uses a 
more efficient data handling system to deliver the full potential of its ultra fast processors.  
See the TDT System 3 Manual for more information about the RZ2 multi-processor architecture. 
Multi-processor Pipe Components 
The Multi-Processor Pipe components are a special group of RPvdsEx components used to pass 
circuit signals between multiple processors on the RZ2.  These signals are shared or passed 
between DSPs using either the Data Pipe Bus or the zHop Bus. Pipe components move data most 
efficiently across the Data Pipe Bus. There is a consistent two-sample delay associated with these 
components to ensure known and consistent timing delays across multiple processors. 
 PipeSource feeds up to 256 channels to a DSP’s pipe input, either directly from a 
preamplifier, via the optical input port, or from another DSP 
 PipeIn retrieves a single channel signal from a DSP’s pipe input 
 PipeOut moves a single channel signal to a DSP’s pipe output 
 MCPipeIn retrieves a multi-channel signal from a DSP’s pipe input 
 MCPipeOut moves a multi-channel signal to a DSP’s pipe output 
Typically, all high channel count connections on the RZ2 are made using the Pipe components. 
However, the RZ2’s zHop Bus does support up to 126 zHop pairs.  
The zHop components were designed to pass arbitrary control and data signals between DSPs in 
the RX systems and are more commonly used with RX processors. 
See Multi-Processor Hop Components, page for 65 more information. 
Designing Multi-processor Circuits for the RZ2 
When designing circuits for multi-processor devices, users should take advantage of the 
distributed processing made possible by the multi-DSP architecture of their device and the Multi-
processor components available in RPvdsEx.  
Note: See TDT System 3 Manual for more information about the RZ2 multi-processor 
architecture before reviewing the example below.  
When working with RZ2 devices the user should be aware of the following: 
 The RZ2 allows an extra level of ‘pipe-lining’ in a number of areas creating an extra sample 
of delay with some data transfer types.  For example, data passed from one processor to 
another now has a two cycle delay instead of one cycle as with the RX devices.  
 When the DataPipe is used to feed signals from a Z-Series PreAmp, a MCInt2Float or 
Int2Float must be used with a scale factor of 1e-9. This is done for you when using the 
RZ2_Input_MC macro. 
 Every DSP that uses the pipe bus must have a PipeSource component.  There is a checkbox in 
the RZ2_Input_MC macro that inserts this for you, or you must manually place one in the 
circuit for that DSP. 
 Onboard A/D and D/A I/O are accessed using the ADC and DAC components in RPvdsEx. 
The PZ Amplifier input channels are accessed using the Pipe components. The BioAmp 
inputs can also be accessed using the RPvdsEx AdcIn or MCAdcIn component starting at 
channel 128; however, this access method is less efficient and not recommended for high 
channel count applications. 
 While zHops are fully supported with the Z-Series architecture it is recommended that the 
new Data Pipe transfer method be used with high channel count applications. 
 DSPs do not share memory as with RX devices, so circuits that rely on memory sharing will 
have to be modified to run on the RZ2 processor.   

RPvdsEx Manual 
69 
 While sample rates from 6kHz to 50kHz are supported, the RZ2 can only support 128-
channels when sampling at 50kHz. While sampling at 50kHz: 
 Only the first 128 BioAmp channels will be available 
 All Data Pipes will have a max of 128 channels instead of 256 
 Both halves (A and B) of the PipeSource component must be selecting the desired source. 
For example, when acquiring data from a PZ preamplifier, Pipe[A] and Pipe[B] both 
need to be set to Amp. Chan[1..128]. 
 As with other devices, your expected sustained RZ-to-Host PC data rate should not exceed 1/2 
to 2/3 of the rated data transfer speed. For the RZ2 device this is 160 Mbits/second (Mbps) so 
your designs should have a sustained data rate of no more than ~100 Mbps. This maximum 
rate may be further limited by your PC’s ability to store the data to disk. 
Example: RZ2 - 16 Channel Spike Sorting 
In the following example, a multi-processor circuit acquires and filters 16 channels of data 
acquired using the RZ2 processor and PZn BioAmp. When using the PZn, signals are carried from 
the BioAmp across a high speed fiber optic cable to the RZ2's Optical Port where the I/O interface 
routes signals to the Pipe Bus. Once on the Pipe Bus, data is available to all DSPs. 
The circuit supports spike sorting and stores sorted spikes and streamed data.  
These tasks are split across three processors with multi-processor RPvdsEx components that 
efficiently pass the data between DSPs at different stages of processing. The flow and circuit 
diagrams below show how the signals are moved through the processor based on the bus 
architecture and the circuit design.  
Timing and Control 
In the diagram above, blue arrows show how some signals are being distributed across the DSP 
Block, from DSP-1 to DSP-2 and DSP-3, via the zHop bus. The CoreSweepControl macro in the 
diagram below produces core timing and control signals required in all circuits designed for use 
with TDT’s OpenEx software. These signals, such as enable and reset, are used throughout the 
circuit and are distributed via zHops (this is handled within the macro and is transparent to the 
user). Although the zHop Bus is a less efficient method for handling high channel count data, it is 
suitable for this type of data transfer.  
The zHop Bus carries single-channel 
timing and control signals to each DSP 
The Pipe Bus efficiently carries multi-channel signals across the 
DSP Block 
The zBus Interface Bus transfers data 
buffers to the PC for data storage 
Optical 
Fiber  Optical 
Fiber 
PZn Biological 
Pream
p
Optical 
I/O Port  DSP-1 
Processor 
DSP-2 
Processor 
DSP-3 
Processor 
zBUS 
Host PC 
Interface 
Controller 
I/O 
Interface  DSP Block  zBUS 
Interface 

RPvdsEx Manual 
70 
CoreSweepControl
Primary Store Name:  Tick
Store-A
Store-B
Store-C
Store-D
SweepNum
SweepDone
DSP:  1
RZ2_Input_MC
P
Z Amplifier from Pipe Bus, 16 Chans (1-16
)
SourceData
HP-LP_Filter_MC
[Filt],  300Hz,   5000Hz,   12dB/oct
Input  (nChan=16)
FreqHP
FreqLP
Output
ChanSel=1
MCPipeOut
nChan=16
Acquisition and Filtering  
In the circuit segment above, DSP-1 acquires and filters raw data from a Z-Series BioAmp across 
the Pipe Bus. The RZ2_Input_MC macro handles all the tasks associated with acquiring signals 
using the RZ2, including making the necessary data type conversion and applying the correct scale 
factor for display and analysis. Because scale and channel offsets vary for different types of RZ2 
inputs, the user must select the type of input within the macro Setup properties.  
Macro setup properties... 
When needed, an MCPipeIn is automatically included within the RZ2_Input_MC macro, but the 
user must select the Include Pipe Declaration check box in the macro's MC Input Select dialog 
box to automatically place the PipeSource. The circuit for each DSP that includes any of the pipe 
The RZ2_Input_MC macro configures DSP-1 to acquire signals digitized on the 
PZ2 preamplifier directly from the RZ2’s 256 channel fiber optic port. The 
circuit is fed with 16 channels of data. 
The MCPipeOut component makes filtered signals 
available to other DSPs via the Pipe Bus. 
The CoreSweepControl macro produces core 
timing and control signals, such as enable and 
reset lines. These single channel signals are 
distributed via zHops using the zHop Bus. 

RPvdsEx Manual 
71 
input or output components must also include one and only one PipeSource component. The 
PipeSource declaration may be added internally (automatically by the macro) or externally 
(manually added outside of the macro). 
Once configured, the RZ2_Input_MC macro feeds the circuit with the first 16 channels of data. 
The HP-LP_Filter_MC macro filters all 16 channels through cascaded highpass and lowpass 
filters. MCPipeOut makes the filtered multi-channel signal available to other DSPs via the Pipe 
Bus.  
Storing Streamed Data 
On DSP-2, the RZ2_Input Macro is used to feed the processor with data from the Pipe Bus.  
Note: this can also be accomplished using the PipeSource and MCPipeIn components.  
In this example, the RZ2_Input Macro is used to configure DSP-2 to pipe in filtered data from 
DSP-1 across the Pipe Bus. It routes 16 channels of acquired and filtered signals to the 
Stream_Store_MC macro for data storage. Data is then transferred to the zBus Interface and 
ultimately to the PC via the zBus Interface bus, as indicated by the green arrows in the previous 
flow diagram on page 115.The following diagram illustrates the DSP-2 configuration. 
RZ2_Input_MC
Data Pipe, Dsp-1, 16 Chans (1-16)
SourceData
DSP:  2
Stream_Store_MC
Store:  Wave,  Float,  24414.1Hz
Data Rate = 1525.9 kBytes/Sec
Store  (nChan=16)
Spike Sorting and Snippet Storage 
On DSP-3, the RZ2_Input Macro again configures the DSP to pipe in data from DSP-1. It routes 
16 channels of acquired and filtered signals to the Spike_Store_MC macro for spike sorting and 
data storage. This macro can be set to use one of several supported sorting methods. Again stored 
data is transferred to the zBus Interface and ultimately to the PC via the zBus Interface bus.  
RZ2_Input_MC
Data Pipe, Dsp-1, 16 Chans (1-16)
SourceData
DSP:  3
Spike_Store_MC
Store: 'Snip' using SortSpike2 (32pts)
Store  (nChan=16)
This simple circuit acquires, filters, processes and stores 16 channels of data. 
Data is transferred to the zBus Interface and ultimately to the 
PC via the zBus Interface Bus. 
Configures DSP-2 to pipe in data from DSP-1 

RPvdsEx Manual 
72 
Digital I/O Circuit Design 
Digital I/O is extremely useful for producing logical status or control signals. Many System 3 
devices allow digital I/O to be configured through RPvdsEx. See the reference for your device to 
determine which bytes are available. 
Working with BitIn - BitOut 
This simple logic circuit will increment a simple counter for every sample that bit-0 is a logic 
high. A DeBounce is used to filter transients from a switch, such as a button press. A software 
trigger can be used to reset the counter to 0. Bit-1 will output a logic high whenever the counter is 
enabled and incrementing. This logic high can be output as a control bit or as a status bit such as 
an LED.   
The input logic on the RP2 device is set for logic high (5 Volts in). For a circuit to work when a 
button press occurs, invert the output using a NOT gate component.  
Note: Bitmasks always start with bit-0. Use 2n and insert the bit needed to use the correct mask 
value. For example, to use bit-3, compute 23 or a mask value of 8. 
Bi
[1:1,0]
M=1
DeBounce
nChks=10
[1:2,0] 10000
SimpCount
Rst=0
Enable=1
[1:9,0]
[1:7,0
]
Src=Soft1
Bi
[1:11,0]
M=2
Working with WordIn - WordOut 
This circuit demonstrates the use of WordIn and WordOut and how the mask parameter is used to 
assign bits of the input and output ports to different tasks. In this example, bit-8 of the input port is 
used to trigger the counter shown. On each rising edge of bit-8 the counter will be advanced by the 
value input on bits 0 through 3 of the input port. The resulting count output is fed to all eight bits 
of the digital output port. The EdgeDetect component makes sure that only one value is saved for 
each logic high present at its input. 
W
[1:12,0]
M=15
10110100
Bi
[1:14,0]
M=8
Counter
Base=0
Phse=0
Step=1
Roll=1000
[1:17,0]
Rst=Run
Enab=Yes
W
[1:18,0]
M=255
10110100
EdgeDetect
Edge=Rising
[1:15,0]

RPvdsEx Manual 
73 
Addressing Digital Bits In A Word 
Some high performance processors include digital I/O that must be addressed as a word. Word 
addressable bits can be addressed using the WordOut RPvdsEx component. To address these bits 
you must first specify the maximum bitmask value in the WordOut component for the byte that 
contains the bits you want to address.  The table below includes a list of the maximum values for 
each byte. These values apply to any module with a digital I/O word. 
Table 1 
Byte Bitmask 
A  255 
B  65,280 
C   16,711,680 
D   4,278,190,080 
Note: Not all devices include all four bytes. See the reference for your device to determine 
which bytes are available. 
Addressing Separate Bits in a Byte 
It is possible to address each bit in a byte separately depending on the integer value sent into or out 
of the WordIn or WordOut component.  The following table shows the integer values for each bit 
in each byte. 
Table 2 
  Integer Value (Bitmask) 
Byte  A  B  C   D  
Bit 0  1 256 65,536 16,777,216 
Bit 1  2 512 131,072 33,554,432 
Bit 2  4 1,024 262,144 67,108,864 
Bit 3  8 2,048 524,288 134,217,728 
Bit 4  16 4,096 1,048,576 268,435,456 
Bit 5  32 8,192 2,097,152 536,870,912 
Bit 6  64 16,384 4,194,304 1,073,741,824 
Bit 7  128 32,768 8,388,608 2,147,483,648 

RPvdsEx Manual 
74 
For example: 
When addressing Byte C, the bitmask value on the WordOut component should be 16,711,680. 
Then, to address bit 5 an integer of 2,097,152 should be sent into the WordOut.  Both of these 
values are required to send a pulse out to only Bit 5 in Byte C. The following table shows the 
alignment of the bits to complete the operation.  
  Byte D  Byte C  Byte B  Byte A  Value 
Bit #  7 6 5 4  3 2 1 0  7 6 5 4  3 2 1 0  7 6 5 4  3 2 1 0  7 6 5 4  3 2 1 0  N/A 
Bitmask in 
WordOut  0 0 0 0  0 0 0 0  1 1 1 1  1 1 1 1  0 0 0 0  0 0 0 0  0 0 0 0  0 0 0 0  16,711,680 
Value Sent 
to 
WordOut 
0 0 0 0  0 0 0 0  0 0 1 0  0 0 0 0  0 0 0 0  0 0 0 0  0 0 0 0  0 0 0 0  2,097,152 
(221) 
Note: This will also light up the Bit 5 LED on the device if the device’s Bits Lights are configured 
to Byte C. See the Digital Input/Output section for your device for more information on 
configuring Bits Lights. 
Addressing More Than One Bit in a Byte 
The values in the table above will only address one bit at a time.  However, it is also possible to 
address a combination of bits.  For this task, determine what bits you would like to address in a 
specific Byte and then convert that binary value to decimal.  However, before converting this 
value to decimal, consider the location of each byte in the digital word. Byte A is converted as 
normal, but Byte B is shifted left by 8 bits (add eight 0s to the end of the binary value), Byte C 
sixteen 0s, and Byte D twenty-four 0s.  The decimal value is the integer to send into the WordOut 
component (or the integer coming in from a WordIn component). 
For example: 
To address all of the bits in Byte B, set the Bitmask value in the WordIn or WordOut component 
for Byte B (see Table 1) and then determine the integer value to be sent into the component 
(calculated in steps below).  
Since we are attempting to address all eight bits of a byte, the binary value should be eight 1s: 
1111 1111 
For Byte B, eight 0s should be added to the binary value making the value: 
1111 1111 0000 0000 
The binary number converted to decimal is: 
65,280 
Therefore, an integer of 65,280 should be sent to a WordOut component with a BitMask value of 
65280 (this value from Table 1). Another way to complete the same operation is to add the integer 
values of the bits you want to address in a given byte (Table 2) to determine the integer value to 
send to the WordOut component. 

RPvdsEx Manual 
75 
Addressing More Than One Bit in a Byte using the RPvdsEx iBitShift 
Component 
When addressing bits in a digital word, the integer value out can range from 1 to 2,147,483,648. 
Since each group is addressable as a single byte, it is often easier to assign values in a range from 
1 - 255 then use an iBitShift to move the integer by a fixed number of bits to the left or right. 
When addressing different bytes, you need only modify the iBitShift “N” parameter.  
For example: 
Byte A would use a bit shift of 0, while Byte B would require a bit shift of 8 for output and –8 for 
input. Circuits that use Byte C would use 16 and –16 and D would use 24 or –24.  Designing 
circuits using this method makes it possible to read in the bit values for Byte D using integers 
from 1 – 255 as compared to integers between 16,777,216 and 2,147,483,648. Using iBitShift also 
allows values to be processed using ToBits or FromBit.  
The following example circuit shows how the iBitShift component can be used with Word 
components to remove the eight least significant bits in a 16-bit integer.  
ConstI
K=65280
[1:1,0
]
iBitShift
N=-8
[1:2,0]
255
As the example (above) explains, the iBitShift is used to remove the eight least significant bits 
from the integer 65280.  The integer 65280 corresponds to eight high bits in Byte B. The next 
example (below) shows an iBitShift that removes the eight least significant bits from a WordIn 
component that is bitmasked to Byte B. The ToBits component then separates the bits and each bit 
is sent out to the first six addressable bits. 
iBitShift
N=-8
[1:2,0]
W
[1:1,0]
M=65280
10110100
b5
b4
b3
b2
b1
ToBits
Rst=0
[1:3,0]
b0
Bi
[1:4,0]
M=1
Bi
[1:6,0]
M=2
Bi
[1:8,0]
M=4
Bi
[1:10,0
]
M=8
Bi
[1:12,0]
M=16
Bi
[1:14,0]
M=32
The ToBits component is only used for up to 6 bits; it may give errors if the 7th or 8th bits are 
used. 
Note: The first 6 addressable bits must be configured as outputs and Word B must be left as an 
input. 
This circuit removes the 8 least significant bits. 
(1111 1111 0000 0000 to 1111 1111) 
The binary equivalent of the integer 65280 is: 
1111 1111 0000 0000 
The binary equivalent of the integer 255 is: 
1111 1111 
Removes last 8 binary values 
(1111 1111 0000 0000 to 1111 1111) 
In order to read in from Word B use 
M=65280 (1111 1111 0000 0000) 
This circuit sends a digital signal out to the first 6 addressable bits corresponding to the first 6 bits in Word B 
RPvdsEx Manual 
76 
~ 

RPvdsEx Manual 
77 
Part 3  Reference 
RPvdsEx Manual 
78 
~ 

RPvdsEx Manual 
79 
Macro Reference 
Help for each Macro component is provided in the properties dialog box.  For more information 
about using macros, see the Macro Overview on page 30. 
Macro Reference List 
Macro Name  Function   Use Notes 
Timing   
CoreSweepControl  Generation of the core timing & 
control signals used in OpenEx.  
This macro should be used once 
and only once in each OpenEx 
circuit.   
Single and multi-
processor devices. 
Designed for OpenEx. 
StandardTimeControl  Generation and storage of the 
basic timing/control signals 
needed to drive various 
stimulation or acquisition 
structures. 
Single and multi-
processor devices. 
Designed for OpenEx. 
Filtering   
HP-LP_Filter_1Ch  Filtering of floating point single-
channel data streams through 
cascaded highpass (HP) and 
lowpass (LP) filters. 
Single and multi-
processor devices. 
HP-LP_Filter_4Ch  Filtering for up to four-channels 
of floating point data streams 
through cascaded highpass (HP) 
and lowpass (LP) filters. 
Single and multi-
processor devices. 
HP-LP_Filter_MC  Filtering of floating point multi-
channel data streams through 
cascaded highpass (HP) and 
lowpass (LP) filters. 
Multi-processor devices 
only. 
Data Saving | Segment_Snip   
Block_Store_1-4Ch  Continuous or decimated block 
storage for up to four-channels of 
floating point data streams.  
Single and multi-
processor devices. 
Designed for OpenEx. 
Block_Store_1-8Ch   Continuous or decimated block 
storage for up to eight-channels 
of floating point data streams.  
Single and multi-
processor devices. 
Designed for OpenEx. 

RPvdsEx Manual 
80 
Block_Store_MC  Continuous or decimated block 
storage of multi-channel floating 
point data streams. 
Multi-processor devices 
only. 
Designed for OpenEx. 
Spike_Store_1-4Ch   Spike thresholding and sorting 
for up to four-channels of 
floating point data streams using 
the FindSpike, SortSpike, 
SortSpike2, or SortSpike3 
components, and storage of the 
snippets. 
Single and multi-
processor devices. 
Designed for OpenEx. 
Spike_Store_MC  Spike thresholding and sorting of 
floating point data streams using 
the FindSpike, SortSpike, 
SortSpike2, or SortSpike3 
components, and storage of the 
snippets. 
Multi-processor devices 
only. 
Designed for OpenEx. 
Data Saving | Streaming   
Stream_Store_1-4Ch  Continuous or decimated storage 
for up to four-channels of 
floating point data streams. 
Single and multi-
processor devices. 
Designed for OpenEx. 
Stream_Store_1-8Ch   Continuous or decimated storage 
for up to eight-channels of 
floating point data streams. 
Single and multi-
processor devices. 
Designed for OpenEx. 
Stream_Store_MC   Continuous or decimated storage 
of multi-channel floating point 
data streams. 
Multi-processor devices 
only. 
Designed for OpenEx. 
Stream_Store_MC2   Continuous or decimated storage 
of multi-channel floating point 
data streams. 
Multi-processor devices 
only. 
Designed for OpenEx. 
Async_Stream_Store_1-
4CH  Asynchronous continuous 
storage of floating or fixed point 
data.  
Multi-processor devices 
only. 
Designed for OpenEx. 
Asynch_Stream_Store_MC  Asynchronous continuous storage 
of multi-channel floating or fixed 
point data.  
Multi-processor devices 
only. 
Designed for OpenEx. 
Data Saving | Epoch Store   
Epoc_Store  Storage of scalar Epocs on 
transitions of control or signal 
inputs. 
Single and multi-
processor devices. 
Designed for OpenEx. 

RPvdsEx Manual 
81 
Slow_Store_1-4Ch  Triggered storage for up to four-
channels of floating point or 
integer data streams. 
Single and multi-
processor devices.  
Designed for OpenEx. 
Slow_Store_1-8Ch  Triggered storage for up to eight-
channels of floating point or 
integer data streams. 
Single and multi-
processor devices. 
Designed for OpenEx. 
Slow_Store_MC 
Triggered storage of multi-
channel floating point or integer 
data streams. 
Multi-processor devices 
only. 
Designed for OpenEx. 
Epoc_Store_with_Offset  Storage of scalar Epocs with 
onset and offset coding.  Single and multi-
processor devices. 
Designed for OpenEx. 
Data Saving | With Processing | Averaging   
Block_Avg_Store_1-4Ch  Asynchronous block storage of 
data streams.  Multi-processor devices 
only. 
Designed for OpenEx. 
Block_Avg_Store_MC  Asynchronous block storage of 
data streams. 
Multi-processor devices 
only. 
Designed for OpenEx. 
Device | PO8e_Streamer   
Stream_Remote_MC  Configure RZ to PO8e data 
streaming.  RZDSP-U equipped RZs. 
Device | RZ2 Processor   
RZ2_Control  Configure RZ2 Digital I/O.  RZ2 only. 
RZ2_Input_MC  Configure RZ2 Analog I/O.  RZ2 only. 
Device | RZ5 Processor 
RZ5_Control  Configure RZ5 Digital I/O.  RZ5 only. 
RZ5_AmpIn_MC  Configure RZ5 preamplifier input 
(4-32 channels).  RZ5 only. 
RZ5_AmpIn  Configures a single channel of 
RZ5 preamplifier input.  RZ5 only. 
Device | RZ6 Processor 
RZ6_Control  Configure RZ6 Digital I/O.  RZ6 only. 
RZ6_AmpIn  Configures up to four channels of  RZ6 only. 

RPvdsEx Manual 
82 
RZ6 preamplifier input. 
RZ6_AudioIn  Configures two channels of RZ6 
ADC input.  RZ6 only. 
RZ6_AudioOut  Configures two channels of RZ6 
DAC output.  RZ6 only. 
Device\RS4_Data_Streamer 
Stream_Server_MC  Configure RZ2 to RS4 data 
streaming.  RZDSP-S equipped RZs. 
Device\RV2 Video Processor 
Video_Access  Control the RV2 Video Processor 
via an RZ processor.  RZDSP-V equipped RZs. 
Device | PZ2 Bioamp 
PZ2_Control   Configures PZ2 LEDs and power 
down status. Also configures 
direct input from PZ2 when run 
on an RZDSP-P. 
RZ2 or any RZ equipped 
with an RZDSP-P. 
Device | PZ3 Amplifier  
PZ3_ChanMap  Maps channels from PZ3 to build 
a multi-channel output containing 
either the amplified waveforms 
or corresponding impedances. 
RZ2 only. 
PZ3_Control  Configures PZ3 operation modes. 
Also configures direct input from 
PZ2 when run on an RZDSP-P. 
RZ2 or any RZ equipped 
with an RZDSP-P. 
Device | IZ2 Stimulus Isolator   
IZ2_Control  Control the IZ2 Stimulus Isolator 
via an RZ processor. Also control 
an SH16-Z connected to an IZ2. 
RZDSP-I equipped RZs. 
Device | MS16 Stimulus Isolator   
MS16_Control  Control the MS16 Stimulus 
Isolator via the RZ5 or RX7 
processor. 
RZ5 or RX7 only. 
Device | SH16 Switching Headstage   
SH16_Control  Control the SH16 switching 
headstage via the RZ5 or RX7 
processor. 
RZ5 or RX7 only. 
Signal Generators   
PulseGenN  A biphasic pulse train generator  Single and multi-

RPvdsEx Manual 
83 
with all timing specified in 
samples.  processor devices. 
Test_Spike_MC  A multi-channel spike test signal 
generator.  Multi-processor devices. 
Misc Calculators   
RateToSamples  Convert input rate to number of 
samples based on the sample rate 
of the circuit. 
Single and multi-
processor devices. 
TimeToSamples  Convert an input time to number 
of samples based on the sample 
rate of the circuit and bound the 
output regardless of the input. 
Single and multi-
processor devices. 

RPvdsEx Manual 
84 
Component Reference 
Audio Processing 
Audio Processing Components 
This group includes components that are related to 3D audio processing. This section also includes 
information about the HRTF file format used by TDT. 
This group includes the following components: 
 DistScale 
 HrtfCoef 
 HrtfFir 
 Reverb 
HRTF File Format 
The following information gives a general overview of HRTF's and the file format for using 
custom HRTF coefficients. 
Introduction 
An HRTF (Head Related Transfer Function) contains all the listening cues that are applied to a 
sound as it travels through the environment to arrive at the ear. The signal at the ear will depend 
on the azimuth, elevation and distance of the source relative to the ears. A complete set of HRTF 
consists of many filters that describe a spherical map of the possible sound sources. The HRTF 
contains information about frequency dependent sound delays and intensity differences between 
ears. When a signal is sent through an HRTF filter and then played through headphones the 
listener receives the impression of where the sound source should be. 
In the picture below each point represents a sound source. The distance of the source is a constant 
relative to the center of the head. Sources can 
change in the lateral position around the head 
(Azimuth) or the elevation of the source 
relative to the ears. In general, differences in 
delay and intensity between ears for a given 
sound changes greatest in the Azimuthal 
position and less so for elevation. These 
differences are frequency dependent. 
Values can be sent to the RPvdsEx HRTF 
component coefficient for Azimuth and 
Elevation. The HRTF coefficient processor 
finds the proper coefficients in a look up table 
on a Ram Buffer component, interpolates the 
values and sends them to the HRTF filter. This 
produces real-time virtual 3-D audio 
processing on the RP. Output of the processor 
can be feed to the HRTF filter processor. 
HRTF coefficients are organized in the 
following file format for retrieve by the HRTF 
filters. 

RPvdsEx Manual 
85 
The filter coefficients are loaded into a RAM buffer large enough to hold all the coefficients. The 
component number of the RAM buffer is stored on the HRTF coefficient processor. It is possible 
to have several sets of HRTF coefficients in different Buffers and switch between them. 
Information about the organization of the HRTF is given in the header section. The following 
format is required for the header. 
HRTF Header Format 
Definition  Data Type Description 
Number_of_filters  Int32  Number of filter positions in RAM buffer. (number of 
Azimuths * Number of elevations)+1. 
This is so that the filter position at 90 is included. 
In cases where there will be no filter at 90 it is still 
necessary to include a dummy filter at 90 degrees. 
Number_of_taps_x2  Int32  Number of taps (coefficients) including Interaural delay 
(ITD) delay (x2) per filter. e.g. 31 tap filter =31 x 2 + 2 
(delay values)=64 
Number_of_taps  Int32  Number of taps including the delay. e.g. 31 tap filter= 31 
taps + delay value 
Minimum_Az  Flt32  Minimum Azimuth value in degrees (e.g. -165) 
Maximum_Az  Flt32  Maximum Azimuth value in degrees (e.g. 180) 
Resolution_Az  Flt32  Inverse of the Position separation of Az in degrees, defined 
as 1.0/(AZ separation) 
e.g. 15 degrees between channel would =0.066666. 
Number_of_Az  Int32  Number of Az positions at each elevation. 
Minimum_El  Flt32  Minimum Elevation value in degrees. 
Maximum_El  Flt32  Maximum Elevation value in degrees (Must include a value 
for 90). 
Resolution_El  Flt32  Inverse of the Position separation of Elevation in degrees, 
defined as 1.0/(EL separation). 
e.g. 30 degrees between EL would be 1/30=.0333. 
Number_of_El Int32 Number of elevation positions for each Azimuth+1. The 
additional value is for the filter at 90 degrees. In cases 
where there will be no filter at 90 degrees elevation it is 
still necessary to include a dummy filter. 
Sample_Period  Flt32  Filter sampling period in microseconds. Calculated as the 
inverse of the sampling rate * 1,000,000. 
A 90 degree filter value must be specified for the Maximum_AZ value.  
Resolution values are defined as the inverse of the AZ or EL separation. 

RPvdsEx Manual 
86 
HRTF Filter Organization 
Filter coefficients are grouped first according to their elevation from maximum elevation to 
minimum (e.g. 90, 60,...-60, -90). For each elevation the filters are organized from maximum AZ 
to minimum AZ values (e.g. 180, 165,...-165). The table below gives an example of the filter 
organization. IMPORTANT: Even if there are no values for elevation of 90 degrees a dummy set 
of filter values must be included. 
EL  AZ 
90  
60 180 
60 165 
60 150 
60  . 
. 
. 
60 -165 
30 180 
30 165 
30  . 
. 
. 
30 -165 
0 180 
0 165 
0  . 
. 
. 
0 -165 
0 -180 
. 
. 
. 
. 
. 
. 
-30  

RPvdsEx Manual 
87 
HRTF Filter Coefficient Format 
The coefficient values for the HRTF must have the following format. They must be minimum-
phase with the left and right channels interleaved. Filter values are stored as 32-bit floats with the 
filter's group delay stored as the last element of the filter. The example below shows the file 
format for a 31 tap left/right filter pair. The HRTF FIR filter requires that the order include the 
delay. 
Ear  Filter#  Order# 
L 1 0 
L 2 1 
L 3 2 
... .. .. 
L 31 30 
Left group delay  xx  31 
R 1 0 
R 2 1 
R 3 2 
.. .. .. 
R 31 30 
Right group delay  xx  31 
All Coefficients and delays are 32-bit floating point values. The delays are specified in number of 
samples. 
The order of the filter must include the number of taps and the delay. A filter order of 32 has 31 
taps and 1 group delay. 
The MaxITD value must be greater than the maximum delay specified for any filter to be used and 
is fixed at the start of the circuit.  

RPvdsEx Manual 
88 
DistScale 
DistScale
DistMax=100
DistMin=1
DistCur=50
[1:1,0]
Description: 
Scales signal to model attenuation with distance. The DistCur is limited to the 
DistMin and DistMax specified. Then the signal is scaled by DistMin / DistCur. 
Name  Description  Data Type 
Input Input  Floating Point 
Output  Output scaled as Output*DistMin/DistCur  Floating Point 
DistMax  Maximum Distance for attenuation  Floating Point 
DistMin  Minimum distance for attenuation number  Floating Point 
DistCur  Current distance of the signal  Floating Point 
HrtfCoef 
HrtfCoef
CmpNo=1
Az=0
El=0
[1:1,0]
Description: 
HRTF Coefficient generator. HrtfCoef obtains coefficients from the memory of 
CmpNo. Azimuth and Elevation inputs can be dynamically changed to switch 
between azimuth and elevation-specific HRTFs. The HrtfCoef generator will 
interpolate between sets of coefficients as Azimuth and Elevation are changed. 
RPvdsEx comes with a set of HRTFcoef.  
For information about making custom HRTF filters see the HRTF Filter 
description, page 84. 
Name  Description  Data Type 
Output  Filter Coefficients for HRTFFir filter  Floating Point 
CmpNo  Component Number of RAM buffer storing 
filter coefficients and look up table  Integer (Static) 
AZ  AZ of signal source in degrees  Floating Point 
El  Elevation of signal source in degrees  Floating Point 
Example(s): 
3D Circle, page 90. 

RPvdsEx Manual 
89 
HrtfFir 
HrtfFir
Order=32
MaxITD=100
{>Coef}
{>Delay}
[1:1,0]
Description: 
FIR filter using HRTF coefficients. Filter coefficients can be obtained by 
connecting the HrtfCoef component to the >Coef pointer on HrtfFIR. Custom 
filter processing can be done by using the >Coef and >Delay lines. 
The Order of the filters is equal to the number of taps (per ear) plus the delay 
value (ITD). A 31 tap filter will have a filter order of 32. 
The maximum ITD (Interaural Time Delay) is static and must exceed the 
maximum value from any of the filters. 
The RPvdsEx comes with HRTF filters. Information about using custom filters 
can be found in HRTF File Format, page 84. 
Name  Description  Data Type 
Input Input  Floating Point 
Output Filtered signal  Stereo 
Order 
N
umber of Taps (per ear) plus one (delay 
value)  Integer (Static) 
MaxITD  Maximum Interaural Delay (no Filter value 
should have a greater delay)  Floating Point 
(Static) 
>Coef  Pointer to Coef buffer (PM) Ordering: 
Ordered as follows: 
B0, B1, B2, ... Bn n=order. 
Pointer 
>delay  Pointer to delay buffer (DM). Ordering: 
X1(1), X2(1), Y1(1), Y2(1), X1(1), X2(1), 
Y1(1), Y2(1),... X1(n), X2(n), Y1(n), Y2(n). 
Pointer 
Example(s): 
3D Circle, page 90. 

RPvdsEx Manual 
90 
Reverb 
Reverb
Dmax=100
Dcur=100
Decay=0.75
WetMix=0.25
[1:1,0]
Description: 
Reverberation component. The Reverb component can be used to obtain more 
realistic spatialization of 3D sound. 
Name  Description  Data Type 
Input Input  Floating Point 
Output  Reverb component of a stereo signal  Floating Point 
(Stereo out) 
Dmax  Maximum delay in msec  Static 
Dcur  Current delay in msec  Floating Point 
Decay  Room decay log scale decline  Floating Point 
WetMix  Reverberation scalar for splitting signal into 
stereo  Floating Point 
Example:  
3D Circle 
File: Examples\3D_Sound\3d_circle.rcx 
Default Device: RP2 Processor 
Sampling Rate: 50 kHz 
This example implements a basic 3D application. The circuit generates a pulsed 
sound and filters it through dynamically changing HRTF filters. The processor 
is also controlling the trajectory of the sound. A RampTooth generator is used 
to produce the appropriate azimuth values to make the sound circle the head. 
The pulsed sound could easily be replaced by audio inputs to the processor.  
Note: High-quality headphones should be used to reproduce the 3D 
spatialization effect. The 3D sound effect will not be heard over speakers. 

RPvdsEx Manual 
91 
RamBuf
Size=100000
Index=0
Write=0
{>Data}
[1:1,-1]
NoName
Name=C:\T
D
N=33000
OS=0
HrtfCoef
CmpNo=1
Az=0
El=0
[1:8,0]
e
o
[1:17,0]
Ch=1
Random
Amp=2
Shft=0
Seed=0
Rst=Run
[1:9,0]
Cos2Gate
Trf=10
Ctrl=Closed
[1:10,0]
PulseTrain
Thi=30
Tg=0
Tlo=100
Npls=0
[1:4,0]
CurN=0
Stage=0
Trg=0
OneShot
[1:2,0]
HrtfFir
Order=32
MaxITD=100
{>Coef}
{>Delay}
[1:11,0]
RampTooth
Amp=180
Shft=0
Freq=2
Phse=0
[1:6,1]
Rst=Run
Reverb
Dmax=100
Dcur=57
Decay=0.75
WetMix=0.08
[1:13,0]
Reverb
Dmax=100
Dcur=13
Decay=0.75
WetMix=0.15
[1:15,0]
75.6605CycUsage
[1:18,0]
[1:16,0]
t
ereoSu
Example:  
FlyBy 
File: Examples\3D_Sound\flyby.rcx 
Default Device: RP2 Processor 
Sampling Rate: 50 kHz 
This example shows how to implement a flyby.  A short helicopter.wav file is 
loaded into the circuit and then run through processing that adjusts sound level, 
direction, and Doppler shift based on distance. The DistScale component is 
used to control sound level as a function of distance.  The LongDynDel 
component is used to generate the Doppler shift. The HrtfCoef and HrtfFir 
components are used to change the apparent azimuth of the helicopter as it flies 
by. 
Note: High-quality headphones should be used to reproduce the 3D 
spatialization effect. The 3D sound effect will not be heard over speakers. 

RPvdsEx Manual 
92 
File1
Name=C:\T
D
N=33000
OS=0
RamBuf
Size=50000
Index=0
Write=0
{>Data}
[1:1,-1]
Sound
DistScale
DistMax=100
DistMin=2
DistCur=50
[1:12,0]
LongDynDel
Mms=100
Dms=50
{>Data}
[1:13,0]
HrtfCoef
CmpNo=1
Az=0
El=0
[1:10,0]
HrtfFir
Order=32
MaxITD=100
{>Coef}
{>Delay}
[1:14,0]
e
o
[1:15,0]
Ch=1
ScaleAdd
SF=57
Shft=90
[1:8,0]
Arctan
[1:7,0]
Absval
[1:3,0
]
RampTooth
Amp=50
Shft=0
Freq=0.15
Phse=-179
[1:2,0]
Rst=Run
CycUsage
[1:16,0]
58.0505
File2
Name=C:\T
D
N=10000
OS=0
SerialBuf
Size=10000
Rst=0
AccEnab=1
Write=0
[1:11,1]
NB l ks=0
Index=0
{>Data}
Sound
RPvdsEx Manual 
93 
Basic Analysis 
Basic Analysis Components 
Components in the Basic Analysis group analyze various aspects of a signal.  
This group includes the following components: 
 FeatSrch 
 FindFreq 
 PowerBand 
 RMS 
 TrackMax 
 TrackMin  
This group also includes the following component, if RPvdsEx Device Setup is 
configured for a high performance device, such as the RXn or RZn: 
 RMS2 

RPvdsEx Manual 
94 
FeatSrch 
FeatSrch
FC=Above
K1=0
K2=0
[1:1,0]
Description: 
A feature search looks for a particular set of criteria to be reached. When the 
criteria are met the feature search component generates a logical high (1) 
otherwise a logical low (0) is generated. Users choose fixed criteria for the 
search (e.g. the input is between two values). The condition levels can be 
changed while the circuit is running. The possible feature search codes are: 
OFF  No search in progress (output is always 0) 
ABOVE  Checks to see if the input is above K1 
BELOW  Checks to see if the input is below K1 
BETWEEN  Checks to see if the input is above K1 and below K2 
OUTSIDE  Checks to see if the input is below K1 or above K2 
RISING  Checks to see if the input is rising 
FALLING  Checks to see if the input is falling 
PEAK  Checks to see if the input rose and then fell 
VALLEY  Checks to see if the input fell and then rose 
TIP  Checks to see if the PEAK or VALLEY event has occurred 
RISETHRU  Checks to see if the input has risen through K1 
FALLTHRU  Checks to see if the input has fallen through K1 
PASSTHRU  Checks to see if the RISETHRU or FALLTHRU event has 
occurred 
Name  Description  Data Type 
Input Input  Floating Point 
Output  1 if conditions met 0 if not  Logic 
FC Feature search condition Static 
K1  First search condition  Floating Point 
K2 Second search condition Floating Point 
Example:  
Feature Search 
File: Example\FeatSrch.rcx 
Default Device: RP2 Processor 
Sampling Rate: 50 kHz 

RPvdsEx Manual 
95 
This example implements a simple signal detector. It calculates the RMS of the 
input and FeatSrch sends a TTL pulse to the BitOut when the RMS goes above 
0.38. To save the signal that comes in, modify the circuit with a Serial Buffer. 
Note: Additional circuitry is included in the example file to demonstrate how 
the example works. 
d
c
[1:1,0]
Ch=1 RMS
[1:2,0]
FeatSrch
FC=Above
K1=0.38
K2=0
[1:3,0]
Bi
[1:4,0]
M=1
FindFreq 
FindFreq
Tau=100
[1:1,0]
Description: 
FindFreq calculates the frequency of a signal using zero-crossings. Tau is the 
number of milliseconds over which the zero-crossing is calculated. 
Name  Description  Data Type 
Input Input  Floating Point 
Output  Frequency based on zero-crossings  Floating Point 
Tau Feature search condition  Static 
PowerBand 
PowerBand
Fc=1000
BW=10
[1:1,0]
Description: 
This component computes the power of the input signal within the specified 
band. Power is defined as the integral (area under the curve) of that bandwidth. 
The time it takes to calculate the PowerBand is inversely related to the 
bandwidth, i.e. a 1 Hz band width takes 1 second while a .1 Hz band width 
takes 10 seconds. To calculate level, you would take the square root of the 
output. 
Name  Description  Data Type 
Input Input  Floating Point 
Output  Power of the input signal  Floating Point 

RPvdsEx Manual 
96 
Fc  Frequency to measure  Floating Point (Static ) 
BW  3dB bandwidth to measure  Floating Point (Static) 
Example:  
Power Band 
This circuit builds a THD (Total Harmonic Distortion) measurement system. 
The signal applied to A/D channel one is passed through four PowerBand 
components. The power measured at the first three distortion components is 
summed and converted back to RMS via the SqRoot processor. The 
fundamental is also measured and converted to RMS. The two RMS results are 
then compared via Divide and converted to a dB ratio with LinTodB. This 
analyzer can measure THD ratios down to about 90 dB. 
d
c
[1:1,0]
Ch=1
PowerBand
Fc=2000
BW=0.1
[1:2,0]
PowerBand
Fc=3000
BW=0.1
[1:4,0]
PowerBand
Fc=4000
BW=0.1
[1:6,0]
PowerBand
Fc=1000
BW=0.1
[1:8,0]
[1:11,0]
Sum SqRoot
[1:12,0]
SqRoot
[1:9,0]
Divide
Den=1
[1:13,0]
LinTodB
[1:14,0]
0.138633
RMS 
RMS
[1:1,0]
Description: 
This component computes the RMS value by squaring the input, lowpass 
filtering the input data, and taking the square root. 
Note: The RMS component has a built-in time constant (tau) of 1 second. 
Name  Description  Data Type 
Input Input  Floating Point 
Output  Root Mean Square of Input value  Floating Point 
Equation: 
Output = RMS ( Input ) 
Example(s): 
Feature Search, page 94. 

RPvdsEx Manual 
97 
RMS2 
RMS2
Tau=3000
Scale=1
LoLim=1e-006
Rst=0
[1:1,0]
Description: 
RMS2 calculates an approximate RMS value of the input signal with a moving 
average filter to disregard spurious signals that are in excess of 3X the running 
average. The lowest possible output of this component is set by LoLim and the 
smoothing average time constant is set by Tau. Reset forces the output to 
LoLim and restarts the averaging process. This component has been optimized 
to improve cycle usage for multi-channel use and should only be used for neural 
signals with a Gaussian probability, not sinusoidal signals. The LoLim value 
should match the experimental threshold and with each reset, the output will 
begin deviating from this value at a rate not greater than 1.3X LoLim per unit of 
time defined in Tau. 
Note: This component is for use with only high performance processor devices, 
such as RXn or RZn. 
Name  Description  Data Type 
Input  Input signal  Floating Point 
Output Output signal  Floating Point 
Tau  Time constant  Floating Point 
Scale  Scale factor  Floating point 
LoLim  Output lower limit  Floating point (non-zero)
Rst Reset  Logic 
TrackMax 
TrackMax
Vi=-1e+030
Rst=0
[1:1,0]
Description: 
Tracks the maximum value of an input until the reset is triggered. When reset 
(Rst=1), the maximum value is reset to Vi. This function is useful for measuring 
peak amplitudes in signals. 
Name  Description  Data Type 
Input Input  Floating Point 

RPvdsEx Manual 
98 
Output  Maximum value found from last reset  Floating Point 
Vi  Value at reset, when reset=1 output=Vi  Floating Point 
Rst  Resets output value to Vi  Logic 
TrackMin 
TrackMin
Vi=1e+030
Rst=0
[1:1,0]
Description: 
Tracks the minimum value of an input until the reset is triggered. When reset 
(Rst=1), the minimum value is reset to Vi. This function is useful for measuring 
trough amplitudes in signals. 
Name  Description  Data Type 
Input Input  Floating Point 
Output  Minimum value found from last reset  Floating Point 
Vi  Value at reset, when reset=1 output=Vi  Floating Point 
Rst  Resets output value to Vi  Logic 
RPvdsEx Manual 
99 
Basic Math 
Basic Math Components 
The processing components in this group are used to perform low-level math operations. 
Remember that even simple math operations might use many DSP cycles. For example, the Divide 
processor will use about 30 cycles while ScaleAdd uses only about 10 for both a multiplication 
and addition. Avoid the Divide, SqRoot, and Modulus processors whenever possible.  
This group includes the following components:  
 AbsVal 
 Bound 
 Ceiling 
 Compare 
 Divide 
 Floor 
 Limit 
 Min and Max 
 Modulus 
 ScaleAdd 
 Sign 
 SqRoot 
 Square 
 StereoScale 
 StereoSum 
 Sum and Mult 
This group also includes the following components, if RPvdsEx Device Setup is 
configured for a high performance device, such as the RXn or RZn: 
 MCAbsVal 
 MCBound 
 MCMatMult 
 MCScale 
 MCSign 
 MCSum and MCMult 

RPvdsEx Manual 
100 
AbsVal 
Absval
[1:1,0]
Description: 
AbsVal computes the absolute value of the signal. 
Name  Description  Data Type 
Input Input  Floating Point 
Output  Absolute value of Input  Floating Point 
Equation: 
Output = Abs (Input) 
Example(s): 
AbsVal (-2.3) = 2.3 
AbsVal (2.3) = 2.3 
Bound 
Bound
Max=1
Min=-1
Vnan=0
[1:1,0]
Description: 
Bound functions similar to the Limit component but evaluates to Vnan for 
inputs that produce a NaN (not a number) error.  
Note: NaN is output when a division by 0 is applied to a signal value. 
Name  Description  Data Type 
Input Input  Floating Point 
Output  Value no less than Min and no greater 
than Max.  Floating Point 
Max  Maximum output value  Floating Point 
Min  Minimum output value  Floating Point 
Vnan  Value output in the event that input = 
N
aN 
(not a number) 
Floating Point 
Equation: 
If Input > Max then Output = Max  
Else If Min <= Input <= Max then Output = Input 

RPvdsEx Manual 
101 
Else If Input < Min then Output = Min 
Else If Input = NaN then Output = Vnan 
Ceiling 
Ceiling
[1:1,0]
Description: 
Ceiling rounds the input to the next highest integer value (returned in floating 
point format). If the input is a negative value, Ceiling rounds towards zero. 
Name  Description  Data Type 
Input Input  Floating Point 
Output  Rounded up value of Input  Floating Point 
Equation: 
Output = Ceiling (Input ) 
Example(s): 
Ceiling (2.3) = 3.0 
Ceiling (-2.3) = -2.0 
Ceiling (-2.7) = -2.0 
Compare 
Compare
K=0
Test=EQ
[1:1,0]
Description: 
This component uses a specified test to compare the input signal to a specified 
value, K. The output reports the result, true or false, as a logical value. The 
comparison test can be any of the following: equal to, not equal to, greater than, 
less than, greater than or equal to, or less than or equal to. The Compare 
component can be thought of as an If... statement. For example, If the signal 
value equals K then the output is true (1). 
Name  Description  Data Type 
Input Input  Floating Point 
Output  1 if compare is true, 0 if false  Logic 
K  Test value  Floating Point 

RPvdsEx Manual 
102 
Test Comparison types: 
EQ: Equal 
N
E: Not Equal 
GT: Greater Than 
LT: Less Than 
GE: Greater than or Equal to 
LE: Less than or Equal to 
Static 
Equation: 
Output = Compare (Input Test K) 
Example(s): 
K = 20; Test = EQ 
When Input = 20, Output = 1; otherwise Output = 0 
K = 20; Test = GT 
When Input > 20, Output = 1; otherwise Output = 0 
Divide 
Divide
Den=1
[1:1,0]
Description: 
This component divides the input signal by the denominator and passes the 
quotient to the output. Division by zero results in an error value. The Divide 
component can also be used to multiply by defining a Den value between zero 
and one. 
The ScaleAdd and Mult components offer similar functionality and can also be 
used to divide. The ScaleAdd is the most efficient of these three components 
and should, therefore, be used whenever possible. 
Name  Description  Data Type 
Input Input  Floating Point 
Output Input/Den  Floating Point 
Den  Denominator for the divide  Floating Point 
Equation: 
Output = Input / Den ( Denominator) 
Example(s): 
PowerBand, page 96. 
Biquad Filter, page 196. 

RPvdsEx Manual 
103 
Floor 
Floor
[1:1,0]
Description: 
Floor rounds the input to the next lowest integer value (returned in floating 
point format). If the input is a negative value Floor rounds away from zero. 
Name  Description  Data Type 
Input Input  Floating Point 
Output  Round down of Input  Floating Point 
Equation: 
Output = Floor (Input ) 
Example(s): 
Floor (2.3) = 2.0 
Floor (-2.3) = -3.0 
Limit 
Limit
Max=1
Min=-1
[1:1,0]
Description: 
This component limits the signal to a range defined by the Max and Min 
parameters. If the input signal is greater than the Max value then the signal out 
is the Max value. If the input signal is less than the Min value then the signal 
out is the Min value. If the input signal is between the Min and Max values it is 
passed through as the signal output without change. 
Note: If Max is defined as a value less than the defined Min value, the output 
will always be the defined Min, regardless of the input value. 
Name  Description  Data Type 
Input Input  Floating Point 
Output  Value no less than Min and no greater than Max Floating Point 
Max  Maximum output value  Floating Point 
Min  Minimum output value  Floating Point 
Equation: 
If Input > Max then Output = Max  
Else If Min <= Input <= Max then Output = Input 
Else If Input < Min then Output = Min 

RPvdsEx Manual 
104 
Min 
Max 
[1:1,0]
Min
[1:2,0]
Max
Description: 
The Max and Min components evaluate multiple input signals and pass the 
maximum or minimum input to the output. All inputs signals must come from 
the primary output of another component. If it is necessary to route a parameter 
output to this function use a ConstF to make it a primary output. 
Name  Description  Data Type 
Input (multiple) Input (multiple)  Floating Point 
Output  Min or Max of inputs  Floating Point 
Example(s): 
Output =Min (Input1I-InputnI), Output =Max (Input1I-InputnI) 
Min (4.0, -12.3, 22.7) = -12.3, Max (-3.0, 4, 16.2) = 16.2 
MCAbsVal 
MCAbsVal
nChan=16
[1:2,0]
Description: 
MCAbsVal computes the absolute value of the multi-channel signal. 
Note: This component is for use with only high performance processor devices, 
such as RXn or RZn. 
Name  Description  Data Type 
Input Multi-channel input  Floating Point 
Output  Absolute value of multi-channel Input  Floating Point 
nChan 
N
umber of channels of input/outpu
t
 Integer (Static) 
Equation: 
Output n = Abs (Input n) 

RPvdsEx Manual 
105 
MCBound 
MCBound
nChan=16
Max=1
Min=-1
Vnan=0
[1:2,0]
Description: 
MCBound functions similar to the Limit component but evaluates to Vnan for 
inputs that produce a NaN (not a number) error.  
Note: NaN is output when a division by 0 is applied to a signal value. 
Note: This component is for use with only high performance processor devices, 
such as RXn or RZn. 
Name  Description  Data Type 
Input Multi-channel input  Floating Point 
Output  Multi-channel Output, Value no less than Min 
and no greater than Max.   Floating Point 
nChan 
N
umber of channels of input/outpu
t
 Integer (Static) 
Max  Maximum output value  Floating Point 
Min  Minimum output value  Floating Point 
Vnan  Value output in the event that input = NaN  
(not a number) 
Floating Point 
Equation: 
If Input n > Max then Output n = Max  
Else If Min <= Input n <= Max then Output n = Input n 
Else If Input n < Min then Output n = Min 
Else If Input n = NaN then Output n = Vnan 

RPvdsEx Manual 
106 
MCMatMult 
MCMatMult
nChan=16
{>K}
[1:2,0]
Description: 
MCMatMult performs matrix multiplication of the multi-channel input signal 
and the matrix data entered on >K. The dimensions for >K must match nChan 
(e.g., when nChan is set to 4, >K is a 4 x 4 matrix). 
Note: This component is for use with only high performance processor devices, 
such as RXn or RZn. 
Name  Description  Data Type 
Input  Multi-channel input signal  Floating Point 
Output  Multi-channel input signal  Floating Point 
nChan 
N
umber of Channels (4 - 256)  Integer (Static) 
>K Scaling matrix  Pointer 
Equation: 
K x A = B  
Where, K is the N x N scaling matrix. A is the input N x 1 matrix, one data 
point for each of the N input channels and B is the output N x 1 matrix, one data 
point for each of the N output channels. N is the total number of channels 
(nChan). 
The operation is computed on every sample based on the current input 
provided. 
B1 = K1,1 * A1 + K1,2 * A2 + K1,3 * A3 + … K1,N * AN 
. 
. 
. 
BN = KN,1 * A1 + KN,2 * A2 + KN,3 * A3 + … KN,N * AN 
Ordering: 
The matrix data for K must be loaded as a vector. Matrix row data is 
concatenated to form the vector. For example, to load a 4 x 4 identity matrix: 

RPvdsEx Manual 
107 
In RPvdsEx, the >K scaling matrix is typically loaded using a DataTable 
component. Load the K matrix as a column vector using the nRow Type/Format 
shown below. The No. Rows value is equal to N * N (or in this case 4 * 4 =16). 
In this diagram, the DataTable K is used to load the identity matrix. The number 
pattern from above K = [1000 0100 0010 0001] is listed in the first column.  
Note: The DataTable component allows a maximum of 1024 rows. This would 
correspond to a 32 x 32 scaling matrix. This means that the maximum number 
of channels you can use with this component is 32. If you need to use a larger 
channel amount, a SourceFile component or parameter tag can be used to load 
in a larger scaling matrix. 

RPvdsEx Manual 
108 
MCScale 
MCScale
nChan=16
SF=1
[1:2,0]
Description: 
MCScale multiplies each signal in a multi-channel input by the value of the SF 
parameter. The scaled signals are output as a multi-channel signal. The SF 
parameter input can be used to update the scale factor dynamically.  
ScaleFactor
MCSigIn MCSigOut
MCScale
nChan=16
SF=1
[1:2,0]
Note: This component is for use with only high performance processor devices, 
such as RXn or RZn. 
Name  Description  Data Type 
Input  Multi-channel signal input  Floating Point 
Output  Multi-channel scaled output   Floating Point 
nChan 
N
umber of channels of input/outpu
t
 Integer (Static) 
SF  Scale factor   Floating Point 
Equation: 
Output[x] = Input[x] * SF 
MCSign 
MCSign
nChan=16
[1:2,0]
Description: 
This component determines the sign of the multi-channel input and outputs 
either -1 (signal with negative value), 0 (signal with no value), or 1 (signal with 
positive value). 
Note: This component is for use with only high performance processor devices, 
such as RXn or RZn. 

RPvdsEx Manual 
109 
Name  Description  Data Type 
Input  Multi-channel signal input  Floating Point 
Output  Sign value of multi-channel input: -1, 0, 1  Floating Point 
nChan 
N
umber of channels of input/outpu
t
 Integer (Static) 
Equation: 
If Input n < 0.0 then Output n = -1 
Else If Input n = 0.0 then Output n = 0 
Else If Input n > 0.0 then Output n = 1 
MCSum 
MCMult 
Inp
2
MCSum
nChan=16
[1:3,0]
Inp
2
MCMult
nChan=16
[1:5,0]
Description: 
These multi-input components perform basic summing and multiplying 
functions for two multi-channel inputs.  
Note: This component is for use with only high performance processor devices, 
such as RXn or RZn. 
Name  Description  Data Type 
Inputs (two)  Input  Floating Point 
N
Chan 
N
umber of Channels  Integer (Static) 
Output  Multiplied or summed value of the 
inputs  Floating Point 
Equation: 
Output =(Input1Ch# + Input2Ch#) 
Output =(Input1Ch# * Input2Ch#) 
Examples: 
MCAdcIn
nChan=16
ChanOS=1
[1:1,0]
Inp
2
MCSum
nChan=16
[1:8,0]
MCToSing
ChanSel=1
[1:2,0]
RefChan
ScaleAdd
SF=-1
Shft=0
[1:3,0] MCConst
nChan=16
Value=1
[1:5,0]
DiffSig
nChan=16

RPvdsEx Manual 
110 
This circuit acquires 16 channels of input, and performs digital subtraction of 
one channel from all the others. The channel to be subtracted is defined by the 
parameter tag named RefChan. 
MCAdcIn
nChan=4
ChanOS=1
[1:7,0]
Inp
2
MCMult
nChan=4
[1:8,0]
ConstF
K=1
[1:1,0]
ConstF
K=1
[1:2,0]
ConstF
K=1
[1:3,0]
ConstF
K=1
[1:4,0]
CH1Scale
CH2Scale
CH3Scale
CH4Scale
[1:5,0]
ToMC
MCSig
nChan=4
This circuit shows how to scale each channel of an MC input by a different 
scale factor.  
Note: Use the MCScale component when all signals are to be scaled by the 
same value. 
Modulus 
Modulus
Mod=1
[1:1,0]
Description: 
Returns the remainder after the input is divided by the modulus. 
Note: Check Known Anomalies for updates on this component.  
Name  Description  Data Type 
Input Input  Floating Point 
Output  Remainder of Input and Modulus  Floating Point 
Mod  Modulus value (to calculate remainder)  Floating Point 
Equation: 
Ouput=Mod (Input) 
For example: Input=5, Mod=2: Output = 1. (i.e. 5/2=2 with remainder of 1) 

RPvdsEx Manual 
111 
ScaleAdd 
ScaleAdd
SF=1
Shft=0
[1:1,0]
Description: 
ScaleAdd multiplies a signal by the value of the SF parameter and then sums 
the result with the Shft value.  
Note: the SF and Shft parameters can be set to a constant value or connected to 
signal sources. This enables the ScaleAdd function to be used to multiply two 
signals, add two signals, or take the product of two signals and sum it to a third. 
Using ScaleAdd to sum two signals is preferable to using the multi-input sum 
function because it saves DSP cycles. 
Name  Description  Data Type 
Input Input  Floating Point 
Output  Product of input and SF plus shft  Floating Point 
SF  Scale factor (multiply)  Floating Point 
Shft Add value  Floating Point 
Equation: 
Output = (Input * SF) + Shft 
Note that Shft can be another signal. 
Sign 
Sign
[1:1,0]
Description: 
This component determines the sign of the input and outputs either -1 (signal 
with negative value), 0 (signal with no value), or 1 (signal with positive value). 
Name  Description  Data Type 
Input Input  Floating Point 
Output  Sign value of input: -1, 0, 1  Floating Point 
Equation: 
If Input < 0.0 then Output = -1 
Else If Input = 0.0 then Output = 0 
Else If Input > 0.0 then Output= 1 

RPvdsEx Manual 
112 
SqRoot 
SqRoot
[1:1,0]
Description: 
This component computes the mathematical square root operation. The function 
has a lower bound of 0. 
Name  Description  Data Type 
Input Input  Floating Point 
Output  Square root of input  Floating Point 
Equation: 
Output = Input 1/ 2 
Example(s): 
PowerBand, page 96. 
Biquad Filter, page 196. 
Square 
Square
[1:1,0]
Description: 
This component computes the mathematical square operation and passes the 
result to the output. 
Name  Description  Data Type 
Input Input  Floating Point 
Output  Square of input  Floating Point 
Equation: 
Output = Input 2 
Example: 
Smooth, page 205. 

RPvdsEx Manual 
113 
StereoScale 
StereoScale
SFL=1
SFR=1
[1:1,0]
Description: 
Scales a stereo signal. The left and right signals are scaled independently by 
SFL and SFR respectively. 
Name  Description  Data Type 
Input  Stereo signal  Floating Point 
Output  Stereo signal  Floating Point 
SFL  Scale signal right channel  Floating Point 
SFR  Scale signal right channel  Floating Point 
StereoSum 
[1:1,0]
t
ereoSu
Description: 
Sums up to five stereo inputs and outputs one stereo signal. 
Name  Description  Data Type 
Inputs  Stereo signal  Floating Point 
Output  Summed stereo signal  Floating Point 
Sum 
Mult 
[1:1,0]
Sum
[1:2,0]
Mult
Description: 
These multi-input components perform basic summing and multiplying 
functions. They work most efficiently when three or more inputs are used. 
Unused inputs will be ignored. All multiple inputs must come from primary 

RPvdsEx Manual 
114 
outputs. If it is necessary to route a parameter output to this function, use a 
CONSTF to convert the signal to a primary output. 
Name  Description  Data Type 
Input (multiple) Input (multiple)  Floating Point 
Output  Multiplied or summed value of the 
inputs  Floating Point 
Equation: 
Output = (Input1I + Input2I + Input3I + ... InputnI) 
or 
Output = (Input1I * Input2I  * Input3I * ... InputnI) 
Example: Sum 
This construct implements a typical 'Reverb' circuit. The first three long delays 
are summed to simulate early reflections. The 4th delay is added back 
recursively to create the reverb chain. Try it out, it sounds like a big reverberant 
warehouse. 
d
c
[1:1,0]
Ch=1
LongDelay
Nms=50
{>Data}
[1:2,0]
LongDelay
Nms=37
{>Data}
[1:3,0]
LongDelay
Nms=17
{>Data}
[1:4,0]
LongDelay
Nms=11
{>Data}
[1:6,0]
ScaleAdd
SF=0.3
Shft=0
[1:7,0]
c
O
[1:9,0]
Ch=1
[1:5,0]
Sum
RPvdsEx Manual 
115 
Buffer Operations 
Buffer Components 
Buffer components are used to create and access data buffers. Data buffers can be used to store 
signals, prepare for averaging, or create complex mappings. Most buffer operations (AvgBuf, 
SerialBuf, and RamBuf) are associated with some amount of physical memory that can be 
accessed by that component. For example, adding a SerialBuf component to a chain will result in 
the required amount of SDRAM memory being allocated and associated with the component. 
Other components (such as, ReadBuf and WriteBuf) utilize another component's memory buffer. 
Because the RP2-5 does not have any SDRAM, it can not make use of the buffer operations. 
Changing the Buffer Size Dynamically 
For some Buffer components size is a dynamic parameter, allowing users to allocate a variable 
size to the buffer from an application outside of RPvdsEx. However, when the RPvdsEx circuit is 
first run, a memory buffer is allocated based on the size. The size can not be increased beyond the 
allocated memory. So, size can be changed dynamically, but it can only be decreased. 
This group includes the following components:  
 AvgBuf 
 AvgBuf2 
 BlockAcc 
 BlockAvg 
 RamBuf 
 ReadBuf 
 SerialBuf 
 SerSource 
 SerStore 
 SnipStore 
 TagStore 
 WriteBuf 
This group also includes the following component, if RPvdsEx Device Setup is 
configured for a high performance device, such as the RXn or RZn: 
 MCSerStore 
 MCSerSource 

RPvdsEx Manual 
116 
Comparing Buffer Components 
This table provides a quick reference summary of the features of the buffer components. 
Buffer 
Primary Function 
Artifact Rejection 
Trigger/Enable Line* 
Access 
Read/Write 
Buffer Size^ 
Index Generator 
Often Used With ... 
AvgBuf  Sums the data input to a 
buffer 
None 
Enable 
Serial 
Write 
Static 
Internal 
BlockAcc 
AvgBuf2  Sums the data input to a 
buffer 
Yes 
Trigger 
Serial 
Write 
Dynamic 
N/A 
N/A 
BlockAcc  Reads then writes data of a 
fixed block size 
Yes 
Trigger 
Serial 
Read and 
Write 
Dynamic 
N/A 
SerialBuff
, AvgBuf 
BlockAvg  Sums block inputs to the 
buffer 
None 
Trigger 
Serial 
Read/ 
Write 
Dynamic 
N/A 
TagStore 
RamBuf  Allocates a buffer and 
allows read or write access 
to any point in the buffer 
None 
None 
Random 
Read or 
Write 
Static 
External 
N/A 
ReadBuf Reads from specific indices 
in a specified buffer 
None 
None 
Random 
Read 
N/A 
External 
RamBuf, 
SerialBuf, 
AvgBuf 
SerialBuf  Performs sequential storage 
of data 
None 
Enable 
Serial 
Read or 
Write 
Static 
Internal 
BlockAcc 
SerSource  Stores data for play out 
None 
Enable 
Serial 
Read 
Dynamic 
Internal 
OpenEx 

RPvdsEx Manual 
117 
   Buffer 
   Primary Function 
Artifact Rejection 
Trigger/Enable Line* 
Access 
Read/Write 
Buffer Size^ 
Index Generator 
   Often Used With ... 
SerStore Acquires data for 
downloading to a PC 
None 
Enable 
Serial 
Write 
Dynamic 
Internal 
OpenEx 
SnipStore  Stores a snippet of data with 
specified number of samples 
before and after the trigger 
None 
Trigger 
Serial 
Write 
Dynamic 
Internal 
Tetrode 
TagStore  Stores data with tag 
information 
None 
Enable 
Serial 
Write 
Dynamic 
Internal 
BlockAvg 
WriteBuf  Writes to specific indices in 
a specified buffer 
None  
None 
Random 
Write 
N/A 
External 
RamBuf, 
SerialBuf, 
AvgBuf 
* The enable lines of some of these components require a high signal for the duration of acquisition (For 
example: AccEnable in AvgBuf) and are classified as Enable lines. In other components, these lines are 
triggered to start and continue acquisition for a fixed number of samples (for example: StEnable in 
BlocAcc) and are classified as Triggers. 
^ For some Buffer components size is a dynamic parameter, allowing users to allocate a variable size to the 
buffer from an application outside of RPvdsEx. However, when the RPvdsEx circuit is first run, a memory 
buffer is allocated based on the size. The size can not be increased beyond the allocated memory.  
So, size can be changed dynamically, but it can only be decreased. 

RPvdsEx Manual 
118 
AvgBuf 
AvgBuf
Size=1000
Rst=0
AccEnab=0
[1:1,0]
NBl ks=0
Index=0
{>Data}
Description: 
Implements a summer in memory (to get the average divide by the number of 
blocks at the end of acquisition). On each tick of the sample clock, where the 
AccEnable is high, a sample will be acquired and summed with the current 
value at the current index position in the buffer. The internal index generator is 
incremented with each acquisition and loops back to 0 when the total number of 
samples specified in the Size parameter have been acquired and summed.  
Index reports the value of the internal index generator. NBlks reflects the 
number of times the AccEnab input is enabled and disabled and can be thought 
of as a block counter (assuming Size equals the block size fed into AvgBuf and 
AccEnable remains high for the entire block acquisition then goes from high to 
low between blocks). These outputs can be accessed from software or used 
within the circuit. 
AvgBuf is often used with the BlockAcc component, which is enabled with a 
single enable pulse at the beginning of the block and then outputs an enable line 
that remains high for exactly the specified (BlkSze) number of samples. 
BlockAcc
BlkSze=1000
StEnab=0
Skip=0
Tag
[1:1,0]
AccEnab=0
Nski p =0
AvgBuf
Size=1000
Rst=0
AccEnab=0
[1:3,0]
NBl ks=0
Index=0
{>Data}
Data
Signal
Enable
Interleaved averaging can be performed by writing blocks that are smaller than 
the buffer size allocated. For example, to calculate two interleaved averages of 
500 points, use BlockAcc to write 500 point blocks to AvgBuf with size 1000. 

RPvdsEx Manual 
119 
Name  Description  Data Type 
Input Input  Any 
Size  Size of buffer in words  Integer (Static) 
Rst  Resets the buffer offset (index) to zero  Logic 
AccEnab  Enables acquisition (data acquired only when 
high)  Logic 
>Data  Pointer to data buffer  Pointer 
Index  Position of offset in buffer  Integer 
N
Blks 
N
umber of times AccEnab is enabled and 
disabled  Integer 
Example: 
Averaged Buffer 
File: Examples\AvgBufex1.rcx 
Default Device: RP2.1 Processor 
Sampling Rate: 50 kHz 
This example implements averaging using the AvgBuf component. A zBus 
trigger starts a pulse train with 100, 9 ms pulses with a gating time of 2 ms. 
These pulses trigger a Cos2Gate to generate 9 ms tones with a 2 ms rise/fall 
time. The pulse train is also used to write a block of 500 points (10 ms at ~50 
kHz sample rate) from the ADC input to the AvgBuf component, which sums 
these points into its 500 point buffer. A DACDelay is used to synchronize the 
signal out to the data acquisition. A graphing function allows the user to see the 
results of the acquisition. 
Tone
Amp=1
Shft=0
Freq=1000
Phse=0
[1:9,0]
Rst=Run
PulseTrain
Thi=9
Tg=2
Tlo=100
Npls=100
[1:3,0]
CurN=0
Stage=0
Trg=0
Cos2Gate
Trf=2
Ctrl=Closed
[1:10,0]
BlockAcc
BlkSze=500
StEnab=0
Skip=0
Tag
[1:13,0]
AccEnab=0
Nski p =0
AvgBuf
Size=500
Rst=0
AccEnab=0
[1:15,0]
NB l ks=0
Index=0
{>Data}
[1:1,0]
Src=zBusA
EdgeDetect
Edge=Rising
[1:5,0]
DT=Float32
nChan=1
UD=2Hz
Source
200
-2000500
DACDelay
[1:7,0]
c
O
[1:11,0]
Ch=1
d
c
[1:12,0]
Ch=1

RPvdsEx Manual 
120 
AvgBuf2 
AvgBuf2
nSize=512
nAvg=50
Reset=0
Trg=0
[1:1,0]
nArts=0
nGood=0
Art=0
{>Data}
StCode=0
Description: 
AvgBuf2 sums two alternating signals, acquired on a single input line. AvgBuf2 
differs from AvgBuf in four ways. 1) It sums two signals separately. 2) It allows 
for variable buffer size. 3) It allows for artifact rejection. 4) It has an internal 
block access feature for acquiring each signal. In addition, AvgBuf2 has two 
additional buffers that hold the raw signal before the sums are complete. 
When using AvgBuf2, the buffer size (nSize) is defined as the number of 
samples to be included for each signal. For example, if nSize = 512 then two 
buffers of 512 samples each are acquired. The nAvg parameter is used to define 
the number of blocks to be acquired and summed for each signal. A trigger 
starts the acquisition for each individual buffer.  
Two triggers (one for the first buffer and one for the second) are required to 
acquire signals for both buffers. When the number of triggers presented to the 
Trg input reaches nAvg, the next trigger delivered moves the first sum to the 
first average buffer and finally, one last trigger is required to move the second 
sum to the second average buffer. The average buffer stores a sum of data 
blocks. In order to get their average, the user must divide each sum by the 
number of good acquisitions (nGood). 
The nGood and nArts outputs provide access to current status for the number of 
good acquisitions and artifacts, respectively, for the current average. If artifact 
rejection is required, the Art parameter can be linked to a logical input. If Art 
goes high for any sample within the acquisition time of the current block, the 
block will be rejected. So, for example, if nSize = 100, and the processor is 
running at 25 kHz, then Art has to be within 100 * 1/24414 = 4.096 ms from the 
start of acquisition of a block.  
StCode tells the user which one of the two signals it is currently acquiring. 
StCode 1 indicates acquisition to the first buffer and StCode 2 indicates 
acquisition to the second buffer. StCode 8 indicates the end of the data 
acquisition for a pair of average buffers. 

RPvdsEx Manual 
121 
Name  Description  Data Type 
Input Input  Any 
nSize  Size of buffer in words (see page 115 for an 
important note on dynamically changing the size 
parameter) 
Integer  
nAvg 
N
umber of averages for each signal  Integer 
Reset  Resets the buffer offsets to 0  Logic 
Trg  Triggers acquisition of a single buffer or writing sum 
of buffers to average buffer (total number of triggers 
for a pair of averages is 2N + 2, where N = nAvg) 
Logic 
Art  Rejects the last two block acquisitions (one of each 
signal)  Logic 
>Data  Memory buffer for the data  Pointer 
nGood 
N
umber of good acquisitions  Integer 
nArts 
N
umber of rejected acquisitions due to artifacts  Integer 
StCode  Position in acquisition sequence  Integer 
Example:  
Averaged Buffer 
The example below acquires and sums 50 blocks into each of the two buffers on 
AvgBuf2. The raw data is stored in a separate buffer before it is moved to the 
average buffer. Before the raw data is moved it can be deleted using the artifact 
rejection line. The values of the stored or average buffer (viewed in RPvdsEx 
using >Data) represent the previous summed signal values and not the values of 
the block currently being acquired. 
Note that the pulse train is set for 102. For each buffer, the Trg must be pulsed 
once for each block that is to be summed. Two additional trigger pulses are 
required to move the data from each sum buffer to the average buffer. In this 
case there are two buffers with 50 blocks each, so [2(50) + 2] pulses are needed 
to complete the acquisition and store the summed data. 
d
c
[1:6,0]
Ch=1
AvgBuf2
nSize=510
nAvg=50
Reset=0
Trg=0
[1:7,0
]
nArts=0
nGood=0
Art=0
{>Data}
StCode=0
[1:1,0]
Src=zBusA
PulseTrain2
nPer=510
nPulse=102
Enab=Yes
Rst=Run
[1:4,0]
PCount=0
PLate=0
DT=Float32
nChan=1
UD=2Hz
Source
1
-10100

RPvdsEx Manual 
122 
BlockAcc 
BlockAcc
BlkSze=100
StEnab=0
Skip=0
Tag
[1:1,0]
AccEnab=0
Nski p=0
Description: 
BlockAcc (block access) is designed for use with SerialBuf and AvgBuf to 
support block read/write functions. When the enable (StEnab) line is high, the 
AccEnab output will go high for BlkSize ticks of the sample clock.  
BlockAcc
BlkSze=500
StEnab=0
Skip=0
Tag
[1:1,0]
AccEnab=0
Nski p =0
Buffer
BufferEnable
Signal
Enable
To support block marking, the BlockAcc has a Tag input. The value of the Tag 
input will be written as the first element of each buffer block. Also, to support 
artifact rejection in averaging, a Skip input is provided to allow buffer average 
skipping. If the skip line is made high, the next time StEnab is detected high it 
will be ignored and the Nskip output will be incremented by one. 
Name  Description  Data Type 
Input Input  Any 
Output  Block data out  Any 
BlkSze  Size of data block in words (see page 115 for an 
important note on dynamically changing the size 
parameter) 
Integer 
StEnab  Sets the enable line of the BlockAcc  Logic 
Skip  Ignores the next AccEnable high and skips one tag 
value  Logic 
Tag  Tag: Times the Blk access has been written  Any 
AccEnab  Starts data transfer to SerialBuff or AvgBuff  Logic 
N
skip 
N
umber of times the Tag line is skipped  Pointer 

RPvdsEx Manual 
123 
Example:  
Block Access 
File: Examples\BlockAccEx.rcx 
Default Device: RP2 Processor 
Sampling Rate: 50 kHz 
The example circuit shown below will save 75 samples from A/D input channel 
one each time the software trigger 1 goes high. The EdgeDetect component 
ensures that for one cycle of the sample clock, a high is sent to the BlockAcc 
StEnab input for each rising software trigger. The 75 samples will be saved to a 
SerialBuf with room for 100, 75-element blocks. Each block of data written will 
include a Tag value written as its first element. This circuit will write the eight-
bit value at the digital input port as the tag value (the first value of each 
block).The eight bit value is read using the WordIn component with bitmask 
255. This integer value needs to be converted to float values to be consistent 
with the data stored. 
[1:1,0]
Src=Soft1
W
[1:4,0]
M=255
10110100
EdgeDetect
Edge=Rising
[1:2,0]
BlockAcc
BlkSze=75
StEnab=0
Skip=0
Tag
[1:8,0]
AccEnab=0
Nskip=0
SerialBuf
Size=7500
Rst=0
AccEnab=0
Write=1
[1:10,0]
NB l ks=0
Index=0
{>Data}
Int2Float
SF=1
[1:5,0]
d
c
[1:7,0]
Ch=1
75
1
BlockAvg 
BlockAvg
BlkSze=100
NumAvg=100
Trig=0
Reset=0
[1:1,0]
AvgCnt=0
WrEnab=0
{>Data}
Description: 
BlockAvg (block average) was primarily designed for use in OpenEx and TDT 
macros. Use the Block_Avg_Store macros for data averaging when possible. 
BlockAvg acquires a selectable number of input blocks, summing them as they 
are acquired. Input blocks may be scaled before being fed to BlockAvg, to 
achieve an average when the specified number of blocks are summed. The 
accumulated sum is available on the output port when WrEnab is high. The 
input and output ports are equal except when WrEnab goes high, at that time, 
the sum is available. 
Note: This component is for use with only high performance processor devices, 
such as RXn or RZn. 

RPvdsEx Manual 
124 
Name  Description  Data Type 
Input Input  Any 
Output  Passes input through until WrEnab goes high at 
which point the Output equals the summed data  Any 
Blk Size  Size of the memory buffer (see page 115 for an 
important note on dynamically changing the size 
parameter) 
Integer 
(Dynamic) 
N
umAvg  Sets the number of blocks to be summed. Blk Size 
can be changed dynamically, however, if the new 
N
umAvg value is less than or equal to the current 
AvCnt, the component is reset 
Integer 
Trig  A low to high pulse acquires a sample of the input 
signal  Logic 
Reset  Resets the block average to the start point and clears 
the buffer. Also resets AvgCnt  Logic 
WrEnab  Goes high for number of samples equal to BlkSze 
when an average is available and is used to clock the 
output into a storage device 
Logic 
AvgCnt  Outputs the current number of blocks acquired. 
Automatically resets once NumAvg is reached  Integer 
>Data  Pointer to data buffer  Pointer 
Example: 
Block Average 
In the example below, BlockAvg acquires samples of the input signal each time 
Trig goes high. Each sample is summed with the accumulated sum until 100 
samples have been acquired (set by the NumAvg parameter). The accumulated 
sum is output and WrEnable goes high to clock the data into the TagStore 
component with the Time parameter tag. The current sample count is monitored 
on AvgCnt and is reset to zero by a logic high on Reset. 
BlockAvg
BlkSze=200
NumAvg=100
Trig=0
Reset=0
[1:1,0]
AvgCnt=0
WrEnab=0
{>Data}
Reset
TagStore
Size=2010
BlkSize=201
Enable=1
Strobe=1
[1:3,0]
Index=0
Rst=0
{>Data}
Tag
Data
Index
Signal
Trig
Time

RPvdsEx Manual 
125 
MCSerStore 
MCSerStore
nChan=16
Size=1024
Rst=0
WrEnab=1
[1:2,0]
Index=0
{>Data}
Description: 
MCSerStore stores data from a multi-channel signal. The data port (>Data) 
provides access to the buffer so that data can be downloaded to the PC. 
MCSigIn
Reset
Enable
Data
MCSerStore
nChan=16
Size=1024
Rst=0
WrEnab=1
[1:5,0]
Index=0
{>Data}
If WrEnable is high, values from each signal in the multi-channel input are read 
and stored in the next nChan buffer positions on each tick of the sample clock. 
The index is also incremented to the next nChan buffer positions. This means 
that data from all channels is stored in an interleaved fashion. The internal index 
generator is incremented until the total number of samples specified in the Size 
parameter has been written. 
When the index reaches the end of the memory buffer, it automatically wraps 
back to zero and continues to increase from there. Any data currently in the 
buffers will be written over. Size must be set to the total number of points for 
all signals in the multi-channel input (Size = number of points in each signal * 
nChan). Size is a dynamic parameter, which allows users to specify the size of 
the buffer after the circuit has been loaded to the device. 
There are currently no multi-channel versions of other buffer components, such 
as SnipStore or AvgBuf. Users who require these special features available with 
these components will have to convert the multi-channel signal to single 
channel.  
Note: This component is for use with only high performance processor devices, 
such as RXn or RZn. 

RPvdsEx Manual 
126 
Name  Description  Data Type 
Input Multi-channel input  Any 
nChan 
N
umber of channels in inpu
t
 Integer (Static)
Size  Size of the memory buffer (see page 115 for an 
important note on dynamically changing the size 
parameter) 
Integer  
Rst  Resets the offset (index) of each buffer  Logic 
WrEnab  Enables data acquisition and increments the 
offset position of the buffers (WrEnable needs to 
remain high for the duration of data acquisition) 
Logic 
Index  Sends out the present buffer position relative to a 
starting position of zero  Integer 
>Data  Pointer to data buffers  Pointer 
MCSerSource 
Description: 
MCSerSource creates a multi-channel signal. Data can be written to the buffer 
via the data port (>Data).  IdxBase and IdxStep control which index is being 
sent out of the buffer. 
MCSerSourc
e
nChan=16
Size=1024
IdxBase=0
IdxStep=1
[1:1,0]
NxtInd=0
CurInd=0
{>Data}
Rst=0
Data
Reset
IdxBase defines the index for the first point in the buffer. The index is 
incremented by IdxStep on each sample. When the index reaches the end of the 
memory buffer, it automatically wraps back to IdxBase and continues from 
there.  Set IdxStep = 0 to hold the index constant and equal to IdxBase. 

RPvdsEx Manual 
127 
Size must be set to the total number of points for all signals in the multi-channel 
input (Size = number of points in each signal * nChan).  Size is a dynamic 
parameter; the size of the buffer can be set after the circuit has been loaded to 
the device.  
All channel data is stored in an interleaved fashion.  
Note: This component is for use with only high performance processor devices, 
such as RXn or RZn. 
Name  Description  Data Type 
nChan 
N
umber of channels in outpu
t
 Integer (Static)
Size  Size of the memory buffer (see page 115 for an 
important note on dynamically changing the size 
parameter) 
Integer  
IdxBase Minimum index value  Integer 
IdxStep  Index step size on each sample  Integer 
Rst  Resets the index of the buffer to IdxBase  Logic 
>Data  Pointer to data buffers  Pointer 
CurInd  Sends out the present buffer position relative to a 
starting position of zero  Logic 
N
extInd  Sends out the next buffer position relative to a 
starting position of zero  Integer 
Output Multi-channel output  Any 

RPvdsEx Manual 
128 
RamBuf 
RamBuf
Size=1000
Index=0
Write=0
{>Data}
[1:1,0]
Description: 
Implements a random access memory function. The RamBuf processing 
component is used to allocate and optionally access a buffer located in external 
SDRAM memory. Buffers can be any size (limited only by the amount of 
installed memory). When placed in a processing chain, RamBuf can be used to 
save data, play arbitrary waveforms, create complex mappings, or access 
specific data points in a buffer. 
The index parameter controls the currently accessed buffer position. Index can 
have any value from 0 to 231. However, if the Buffer size is smaller than the 
index the index will overshoot the buffer size and the data accessed will be 
invalid.  
The accessed buffer position will automatically be calculated as the modulus 
(Index/Size). The Write parameter is set to 0 for reading the index in memory. 
The Write parameter is set to 1 to write the current input value to the current 
index. 
The output will always reflect the last value written to the current buffer 
location. So even if Write is made true and the current signal input is written to 
the memory, RamBuf will first read the old value from this location and use it 
for output.  
In order to read the new value, write has to be 0 for the new value to be written 
into the buffer, and then write has to be changed to 1 to read this new value 
from that buffer location. 
If simultaneous read and write access is needed for the same memory buffer, try 
using ReadBuf or WriteBuf in conjunction with RamBuf. 
Name  Description  Data Type 
Input Input  Any 
Output  Buffer data out  Any 
Size  Size of buffer in words  Integer 
(Static) 
Index  The position of the accessed data point  Integer 
Write Enables read(0)or write(1)  Logic 
>Data  Pointer to data buffer  Integer 
Example:  
RAM Buffer 
In this example we use a RamBuf component to map a frequency input to a 
modulator output. The Tone component at [1:1,0] modulates the frequency of 

RPvdsEx Manual 
129 
the second Tone at [1:8,0]. The modulator frequency is also scaled and fed into 
the index input of the RamBuf allowing for a mapping from frequency to 
intensity scaling, which is held in the data table InvXFer. This type of circuit 
can be used to normalize a FM sweep for transducer variance across frequency. 
Tone
Amp=1000
Shft=0
Freq=3000
Phse=0
[1:1,0]
Rst=Run
Tone
Amp=5
Shft=0
Freq=100
Phse=0
[1:8,0]
Rst=Run
ScaleAdd
SF=1
Shft=0
[1:9,0]
c
O
[1:10,0]
Ch=1
Float2Int
SF=0.01
[1:3,0]
RamBuf
Size=1000
Index=0
Write=0
{>Data}
[1:5,0]
Smooth
Tau=1
[1:6,0]
InvXFer
= 0
ReadBuf 
ReadBuf
CmpNo=1
Index=0
[1:1,0]
Description: 
Gets a value from a specified memory buffer using a specified index. The buffer 
is specified by setting the CmpNo parameter to the component number of a 
RamBuf, SerialBuf, or AvgBuf component found within the circuit. The 
component number is the first number in parenthesis found at the top of each 
component. The index number is the position within the buffer and must be set 
to a number less than or equal to the block size for the specified buffer.   
For example, to read a value from the RamBuf below, the ReadBuf CmpNo 
parameter is set to 4. 
Component Number 
RamBuf
Size=1000
Index=0
Write=0
{>Data}
[1:4,0]
Important!: Every time the circuit is even slightly modified, the component 
number of the required buffer might change. Always check the component 
number after recompiling. If the component number has changed update the 
ReadBuf component's CmpNo parameter, recompile, and recheck the 
component number.  

RPvdsEx Manual 
130 
Name  Description  Data Type 
Output  Buffer data out  Any 
CmpNo  Component number of the buffer being read  Integer (Static) 
Index  The position of the accessed data point  Integer 
SerialBuf 
SerialBuf
Size=1000
Rst=0
AccEnab=1
Write=1
[1:1,0]
NBl ks=0
Index=0
{>Data}
Description: 
The SerialBuf component is a memory buffer manager with a built-in serial 
index generator. SerialBuf supports writing or reading, but does not support 
random access or simultaneous reading/writing. The Write control selects 
writing to (high) or reading from (low) the buffer and AccEnab triggers the read 
or write function. If AccEnable is high, the component will access the current 
index position in the memory buffer and the internal index generator is 
incremented. When the index reaches the total number of samples specified in 
the Size parameter it is automatically reset to zero and starts increasing again 
from there. Any data currently in the buffer will be written over. 
Two outputs report the status of the SerialBuf component. The Index output 
reports the value of the internal serial index generator. The nBlks output counts 
the number of times the AccEnab input is enabled and disabled. This output can 
be thought of as a block counter.  
Because SerialBuf requires that the AccEnable line remain high for each sample 
that is acquired, it is often used with the BlockAcc component. BlockAcc is 
enabled with a single enable pulse at the beginning of the block and then 
outputs an enable line that remains high for exactly the specified (BlkSze) 
number of samples. 
SerialBuf
Size=7500
Rst=0
AccEnab=1
Write=1
[1:3,0]
NBl ks=0
Index=0
{>Data}
BlockAcc
BlkSze=100
StEnab=0
Skip=0
Tag
[1:1,0]
AccEnab=0
Nski p =0
Signal
Enable

RPvdsEx Manual 
131 
Name  Description  Data Type 
Input Input  Any 
Output  Output of serial buffer  Any 
Size  Size of buffer in words  Integer (Static) 
Rst  Resets the buffer offset to zero  Logic 
AccEnab  Enables data acquisition, needs to 
stay high for the duration of 
acquisition 
Logic 
Write Enables read(0)or write(1) Logic 
>Data  Pointer to data buffer  Pointer 
Index  Position of offset in buffer  Integer 
N
Blks 
N
umber of time AccEnab is enabled 
and disabled  Integer 
Example:  
Serial Buffer 
File: Examples\SerialBuffer_ex.rcx 
Default Processor: RP2 Processor 
Sampling Rate: 50 kHz 
This circuit will compute the RMS level of channel one of the A/D input. When 
triggered via a zBus trigger, the RMS level will be written to the SerialBuf 
every 100 ms for 100 values. The EdgeDetect component makes sure that only 
one value is saved for each pulse out. The SerialBuf is 1000 points long, so the 
software trigger can be issued ten times before the buffer is full. 
[1:1,0]
Src=Soft1
PulseTrain
Thi=1
Tg=0
Tlo=99
Npls=100
[1:3,0
]
CurN=0
Stage=0
Trg=0
EdgeDetect
Edge=Rising
[1:4,0]
SerialBuf
Size=1000
Rst=0
AccEnab=1
Write=1
[1:8,0]
NBlks=0
Index=0
{>Data}
RMS
[1:7,0]
d
c
[1:6,0]
Ch=1

RPvdsEx Manual 
132 
SerSource 
SerSource
Size=1000
Rst=0
IdxEnab=1
[1:1,0
]
Index=0
{>Data}
Description: 
Implements a serial access memory function for playing a signal. When 
IdxEnab is set high the SerSource reads a value from the memory buffer, sends 
out the output, and increments to the next position in the buffer. The internal 
index generator is incremented until the total number of samples specified in the 
Size parameter has been read. When the index reaches the end of the memory 
buffer, it is automatically reset to zero and starts increasing again from there.  
SerSource has several advantages over SerialBuf or RamBuf. It uses fewer 
cycles because it can only read from a buffer and users have direct control over 
the buffer size. Do not use SerSource if you need both record and play or if you 
need to move to a particular position in the buffer. 
When using SerSource, note that the first value loaded is ready for plays out at 
index 0. When the enable line (IndxEnab) goes high with the first trigger, the 
index is incremented and the next value is sent to the SerSource signal output 
line. So, at index 1 the second value is played out. When SerSource is used to 
play out a list of individual values (such as a list of stimulus parameters) the 
first value sent to the SerSource might appear to be skipped. A Latch can be 
used to ensure that the output and index correspond more accurately to an 
ordered list of values. See Comparing SerSource and SerialBuf Indexing and 
Output below for more information. 
Name  Description  Data Type 
Output Output  Any 
Size  Size of the memory buffer (see page 115 for an 
important note on dynamically changing the size 
parameter) 
Integer 
(Dynamic) 
Rst  Resets the signal to the start of the buffer  Logic 
IdxEnab  Enables play out and increments the position of 
the buffer  Logic 
Index  Sends out the preset buffer position relative to a 
starting position of zero  Integer 
>Data  Pointer to data buffer  Any 
Example:  
SerSource 

RPvdsEx Manual 
133 
SerSource
Size=1000
Rst=0
IdxEnab=1
[1:5,0]
Index=0
{>Data}
BufferSize
BufferSize
[1:1,0]
Src=Soft1
Schmitt2
nHi=100
nEnab=1
[1:3,0]
c
O
[1:6,0]
Ch=1
BuffPos
Data
The example above shows a simple circuit that will play a signal out when a 
software trigger is generated. The BufferSize is read to both the SerSource and 
to the Schmitt2 trigger (nHi). This ensures that there is no dead time for the 
signal out. The buffered signal is played out of the SerSource when the trigger 
goes high. 
Comparing SerSource and SerialBuf Indexing and Output 
When a circuit containing the SerSource component is run, the first value is loaded to the 
SerSource buffer, even if the enable line (IdxEnab) is low. When the enable line is triggered, the 
second value is loaded into the buffer, the index is incremented, and the second value is played 
out. This can sometimes give the appearance that the first value has been skipped, especially when 
individual values, such as a list of stimulus values, are being played out rather than a continuous 
waveform. 
The simple circuit pictured below compares the output of the SerSource to that of the SerialBuf to 
demonstrate the differences in indexing and play out between these common components. In this 
example, the data in a SourceFile is fed to both the SerialBuf and SerSource. A simple software 
trigger is used to enable the buffers. 
Circuit is loaded to the hardware... 
SerialBuf
Size=1000
Rst=0
AccEnab=1
Write=1
[1:4,0]
NBl ks=0
Index=0
{>Data}
SerSource
Size=1000
Rst=0
IdxEnab=1
[1:5,0]
Index=0
{>Data}
[1:1,0]
Src=Soft1
NoName
Name=C:\Do
N=0
OS=0
0
0
Value in
Text File:
1
2
3
4
.
.
0
0
The values from the SourceFile are not yet ready for play out of either buffer. 

RPvdsEx Manual 
134 
Circuit is run ...    First software trigger ... 
SerialBuf
Size=1000
Rst=0
AccEnab=1
Write=1
[1:4,0]
NBl ks=0
Index=0
{>Data}
SerSource
Size=1000
Rst=0
IdxEnab=1
[1:5,0]
Index=0
{>Data}
0
0
0
1
SerialBuf
Size=1000
Rst=0
AccEnab=1
Write=1
[1:4,0]
NBl ks=0
Index=0
{>Data}
SerSource
Size=1000
Rst=0
IdxEnab=1
[1:5,0]
Index=0
{>Data} 1
1
1
2
Although index is 0, the first value from 
the file is already loaded and ready for 
play out of the SerSource. 
  Although the index is 1, the second value 
has been loaded and played out of the 
SerSource. 
Second software trigger ...    Third software trigger ... 
SerialBuf
Size=1000
Rst=0
AccEnab=1
Write=1
[1:4,0]
NBl ks=0
Index=0
{>Data}
SerSource
Size=1000
Rst=0
IdxEnab=1
[1:5,0]
Index=0
{>Data} 2
2
2
3
SerialBuf
Size=1000
Rst=0
AccEnab=1
Write=1
[1:4,0]
NBl ks=0
Index=0
{>Data}
SerSource
Size=1000
Rst=0
IdxEnab=1
[1:5,0]
Index=0
{>Data} 3
3
3
4
While the index for both components is 2, 
the SerSource plays out the third value.    At index 3, SerSource plays out the fourth 
value. 
Using a Latch with SerSource 
When using a SerSource, you can avoid the discrepancy between the index and the value accessed 
by adding a Latch that is triggered by the same trigger that triggers the SerSource enable line. This 

RPvdsEx Manual 
135 
will latch the value loaded during the previous sample period so that the index and value number 
will match. In the example below, the earlier circuit has been modified to include a Latch.  
Note: the same software trigger is used for the Latch and the buffer. 
Circuit that is loaded to the hardware... 
SerialBuf
Size=1000
Rst=0
AccEnab=1
Write=0
[1:4,0]
NBl ks=0
Index=0
{>Data}
SerSource
Size=1000
Rst=0
IdxEnab=1
[1:7,0
]
Index=0
{>Data}
[1:1,0]
Src=Soft1
NoName
Name=C:\Do
N=0
OS=0
Value in
Text File:
1
2
3
4
.
.
0
0
[1:5,0]
Src=Soft1
Latch
Trg=0
[1:8,0]
0
0
0
Circuit is run... 
SerialBuf
Size=1000
Rst=0
AccEnab=1
Write=0
[1:4,0]
NBl ks=0
Index=0
{>Data}
SerSource
Size=1000
Rst=0
IdxEnab=1
[1:7,0]
Index=0
{>Data}
0
0
[1:5,0]
Src=Soft1
Latch
Trg=0
[1:8,0]
0
0
1
Although the first value from the SourceFile is already available for play out, the output of the 
Latch is still 0. 

RPvdsEx Manual 
136 
First software trigger... 
SerialBuf
Size=1000
Rst=0
AccEnab=1
Write=0
[1:4,0]
NBl ks=0
Index=0
{>Data}
SerSource
Size=1000
Rst=0
IdxEnab=1
[1:7,0]
Index=0
{>Data}
1
1
[1:5,0]
Src=Soft1
Latch
Trg=0
[1:8,0]
1
1
2
The second value has been loaded, but the output of the Latch is 1, the first value in the 
SourceFile. 
Second software trigger... 
SerialBuf
Size=1000
Rst=0
AccEnab=1
Write=0
[1:4,0]
NBl ks=0
Index=0
{>Data}
SerSource
Size=1000
Rst=0
IdxEnab=1
[1:7,0]
Index=0
{>Data}
2
2
[1:5,0]
Src=Soft1
Latch
Trg=0
[1:8,0]
2
2
3
The output of the SerSource is 3 (the third value), but the output of the Latch is still 2. 

RPvdsEx Manual 
137 
Third software trigger... 
SerialBuf
Size=1000
Rst=0
AccEnab=1
Write=0
[1:4,0]
NBl ks=0
Index=0
{>Data}
SerSource
Size=1000
Rst=0
IdxEnab=1
[1:7,0]
Index=0
{>Data}
3
3
[1:5,0]
Src=Soft1
Latch
Trg=0
[1:8,0]
3
3
4
Here the index is 3 and the Latch output is 3, the third value in the SourceFile. 

RPvdsEx Manual 
138 
SerStore 
SerStore
Size=1000
Rst=0
WrEnab=1
[1:1,0]
Index=0
{>Data}
Description: 
Implements a serial access memory function for storing data. The data port 
(>Data) provides access to the buffer so that it can be downloaded to the PC. 
SerStore
Size=1000
Rst=0
WrEnab=1
[1:1,0]
Index=0
{>Data}
Data
Signal
Reset
Enable
On each tick of the sample clock, when WrEnable is high, the SerStore reads a 
value from the input, stores it to the buffer, and increments to the next position 
in the buffer. The internal index generator is incremented until the total number 
of samples specified in the Size parameter have been written. When the index 
reaches the end of the memory buffer, it is automatically reset to zero and starts 
increasing again from there. Any data currently in the buffer will be written 
over.  
SerStore has several advantages over SerialBuf or RamBuffer. It uses fewer 
cycles because it is a write only buffer and users have direct control over the 
buffer size. Do not use SerStore if you need to both record and play or if you 
need to move to a particular position in the buffer. 
Name  Description  Data Type 
Input Input  Any 
Size  Size of the memory buffer (see page 115 for an 
important note on dynamically changing the size 
parameter) 
Integer 
(Dynamic) 
Rst  Resets the offset (index) of the buffer  Logic 
WrEnab  Enables data acquisition and increments the offset 
position of the buffer (WrEnable needs to remain 
high for the duration of data acquisition) 
Logic 
Index  Sends out the present buffer position relative to a 
starting position of zero  Integer 
>Data  Pointer to data buffer  Any 

RPvdsEx Manual 
139 
Note for OpenEx users: When using with a data construct such as OxStream, 
the size of SerStore should be an even multiple of the block size of the 
construct. 
Example: SerStore 
The example below uses a parameter tag to generate the buffer size of the 
SerStore. The parameter tag also determines the duration of the Schmitt2 trigger 
(in samples). When a trigger is generated (Soft1) the Schmitt2 Trigger is 
enabled. This stores the number of samples specified by BufferSize to the 
SerStore. When the acquisition is finished the data can be downloaded to a PC 
from the >Data port. 
SerStore
Size=1000
Rst=0
WrEnab=1
[1:5,0]
Index=0
{>Data}
BufferSize
BufferSize
Data
Schmitt2
nHi=100
nEnab=1
[1:2,0]
[1:1,0]
Src=Soft1
d
c
[1:4,0
]
Ch=1
BufferPos
SnipStore 
SnipStore
Size=32000
nBlk/2=16
Rst=0
Go=1
[1:1,0]
Index=0
Tag
{>Data}
Description: 
The SnipStore component stores multiple snippets of data to a buffer. The 
SnipStore was designed for use with the Tetrode component but can be used for 
any signal where the values before the trigger are important.   
The SnipStore acquires a signal snippet based on the block size, nBlk/2 = X. 
When a logical high is detected, the store acquires nBlk/2-1 samples before the 
start of the trigger and nBlk/2-1 samples after the trigger. A Tag value is also 
stored at the start of each stored snippet. To avoid writing partial snippets, the 
snippet block size (nBlk) should always be a multiple of the buffer size (Size). 
The data port (>Data) provides access to the buffer so that it can be downloaded 
to the PC. 
When used with a threshold detection circuit, SnipStore stores data with 
reference to the point at which a threshold is crossed. As shown in the figure 
below, it stores half the total number of points (specified as nBlk/2) before the 
threshold was crossed and half after that point.  

RPvdsEx Manual 
140 
As a result, the point at which the threshold is crossed will always be centered 
in the acquired snippet. However, in many cases the threshold is not at the 
center of the signal of interest. For example, the portion of the signal of interest 
that occurs after the threshold is crossed may be longer than the portion of the 
signal that occurs before threshold is crossed. In these cases, the user must 
specify a block size that is larger than the expected length of the signal to ensure 
that the entire signal is stored. 
Name  Description  Data Type 
Input Input  Any 
Size  Size of the memory buffer (see page 115 for an 
important note on dynamically changing the size 
parameter) 
Integer 
nBlk/2  1/2 the size of the acquired signal in samples  Integer 
Rst  Resets the signal to the start of the buffer  Logic 
Go  Enables the start of the acquisition block  Logic 
Tag  Stores a value at the start of the acquisition that 
indicates the start of the sample  Any 
Index  Sends out the present buffer position relative to a 
starting position of zero (Always a multiple of 
[(nBlk/2)x2] ) 
Integer 
>Data  Pointer to data buffer  Any 
Example: 
See the Tetrode component information, page 273, for an example of how the 
SnipStore can be used. 

RPvdsEx Manual 
141 
TagStore 
TagStore
Size=1024
BlkSize=16
Enable=1
Strobe=1
[1:1,0]
Index=0
Rst=0
{>Data}
Tag
Description: 
TagStore was primarily designed for use in OpenEx and TDT macros. If used 
outside the OpenEx environment, be aware that the Tag input’s data type may 
differ from the data type of the acquired waveform. 
TagStore implements a serial access memory function for storing input data and 
is used to mark an acquired waveform with a scalar value such as a timestamp 
or other event code. On the first sample that both Enable and Strobe are high, 
storage of a block is initiated. TagStore stores the Tag value and the input value 
immediately. On each subsequent tick of the sample clock, when Strobe is high, 
the TagStore reads a value from the input, stores it to the buffer, and increments 
to the next position in the buffer. This continues until a full block of samples 
(defined by BlkSize) is stored, and then TagStore becomes ready to store the 
next block. When the index reaches the end of the memory buffer, it is 
automatically reset to zero. The data port (>Data) provides access to the buffer 
so it can be downloaded to the PC.  
Data will be stored at the sampling rate of the DSP circuit if the Strobe input is 
always high. It can also decimate the incoming signal by providing a pulsed 
signal to the Strobe input. The period of the pulse determines how the signal is 
decimated. 
Note: This component is for use with only high performance processor devices, 
such as RXn or RZn. 
Name  Description  Data Type 
Input Input  Any 
Size  Size of the memory buffer (see page 115 
for an important note on dynamically 
changing the size parameter) 
Must be a multiple of the BlkSize value 
Integer 
(Dynamic) 
Blk Size  Size of each data block in samples  Integer 
Enable  Enables data acquisition and increments 
the offset position of the buffer 
When Enable goes low, the current block 
being stored will finish before storage is 
halted 
Logic 

RPvdsEx Manual 
142 
Strobe  Optional additional write enable 
Useful for decimation 
Data is only written when Strobe is high 
Logic 
Rst  Resets the Index to zero  Logic 
Tag  Tag to be stored with data (usually a time 
stamp)  Any 
Index  Sends out the present buffer position 
relative to a starting position of zero   Integer 
>Data  Pointer to data buffer  Pointer 
Note for OpenEx users: When using with a data construct such as OxStream, 
the size of TagStore should be an even multiple of the block size of the 
construct. 
Example: 
In the example below, BlockAvg acquires 200 samples (set by the BlkSze 
parameter) of the input signal each time Trig goes high. Each block of 200 
samples is summed with the current memory contents until 100 blocks have 
been acquired (set by the NumAvg parameter). The accumulated sum is output 
and WrEnable goes high to enable writing the data into the TagStore component 
with the Time HopIn component placing a time stamp on the data. The current 
sample count is monitored on AvgCnt and is reset to zero by a logic high on 
Reset.  
BlockAvg
BlkSze=200
NumAvg=100
Trig=0
Reset=0
[1:1,0]
AvgCnt=0
WrEnab=0
{>Data}
Reset
TagStore
Size=2010
BlkSize=201
Enable=1
Strobe=1
[1:3,0]
Index=0
Rst=0
{>Data}
Tag
Data
Index
Signal
Trig
Time
WriteBuf 
WriteBuf
CmpNo=1
Index=0
[1:1,0]
Description: 
Writes a value to a specified memory buffer using a specified index. The buffer 
is specified by setting the CmpNo parameter to the component number of a 
RamBuf, SerialBuf, or AvgBuf component found within the circuit. The 

RPvdsEx Manual 
143 
component number is the first number in parenthesis found at the top of each 
component. The index number is the position within the buffer and must be set 
to a number less than or equal to the block size for the specified buffer.   
For example, to read a value to the RamBuf below, the WriteBuf CmpNo 
parameter is set to 4. 
Important!: Every time the circuit is even slightly modified, the component 
number of the required buffer might change. Always check the component 
number (as shown in the figure below) after recompiling.  
Component Number 
RamBuf
Size=1000
Index=0
Write=0
{>Data}
[1:4,0]
If the component number has changed update the WriteBuf component's 
CmpNo parameter, recompile, and recheck the component number.  
Name  Description  Data Type 
Input Buffer data input  Any 
CmpNo  Component number of the buffer being written 
to  Integer (Static) 
Index  The position of the accessed data point  Integer 
RPvdsEx Manual 
144 
Coefficient Generators 
Coefficient Generator Components 
Coefficient generators are used to calculate the coefficients of specified high-pass, low-pass, band-
pass, or notch filters in real-time. Their outputs can be connected to the filter coefficient port of a 
Biquad filter component. 
Note: Coefficient generator components are designed to be used with a single filter component. 
Do not use a single coefficient generator component with multiple filter components. 
This group includes the following components:  
 ButCoef 
 ButCoef1 
 CoefLoad 
 ParaCoef 

RPvdsEx Manual 
145 
ButCoef 
ButCoef
Gain=1
Fc=1000
NBiq=1
Type=LP
[1:1,0]
Enab=Yes
Description: 
This component generates the coefficients for an Nth order Butterworth filter 
(highpass or lowpass) having the specified attributes for the Biquad filter. New 
coefficient values are generated whenever the enable line (Enab) is high (1). 
Setting the enable line to low (0) after the coefficients have been generated 
decreases cycle usage. The ButCoef can also be placed in time slice -1 to 
generate the coefficients only once. The coefficients will be generated when the 
processing chain is run and will remain unchanged during acquisition, further 
reducing cycle usage. To generate coefficients for notch or bandpass filters, use 
ButCoef1. 
Note: To satisfy the Nyquist Theorem, the sampling frequency of the system 
should be greater than 2 times the highest frequency component passed by the 
filter. 
Name  Description  Data Type 
Output  Generated Butterworth coefficients  Any 
Gain  Scales the filtered portion of the coefficients, 
gain is linear  Floating point 
Fc  Center/corner frequency (min=2 Hz)  Floating point 
N
Biq 
N
umber of Biquad coefficients generated (must 
match NBiq of filter)  Integer (Static) 
Type  LP = lowpass, HP = highpass  Static 
Enab  Enables the generation of new coefficient values  Logic 
Tech Note: 
Clipping (when voltage value is greater than the DAC can handle) will occur 
when the Gain of the ButCoef to the input signal produces a voltage value 
larger than +/- 10 and is sent to a D/A for play out. Check the output values of 
the filtered signal to determine if this is a problem. 
Example:  
Second Order Biquad Filter 
File: Examples\ButCoef_ex.rcx 
Default Device: RP2 Processor 
Sampling Rate: 50 kHz 

RPvdsEx Manual 
146 
This example uses a ButCoef to create a second order biquad filter, with a 2000 
Hz high-pass, and generates filtered noise. Notice that nBIQ has been set to two 
for both the Biquad and ButCoef components. 
GaussNoise
Amp=1
Shft=0
Seed=0
Rst=Run
[1:2,0
]
Biquad
nBIQ=2
{>Coef}
{>Delay}
[1:3,0]
ButCoef
Gain=1
Fc=2000
NBiq=2
Type=HP
[1:1,0]
Enab=Yes
c
O
[1:4,0]
Ch=1
ButCoef1 
ButCoef1
Gain=1
Fc=1000
BW=100
Type=LP
[1:1,0]
Enab=Yes
Description: 
This component generates the coefficients for a second order Butterworth filter 
(lowpass, bandpass, highpass, or notch) having the specified attributes for the 
Biquad filter. When using a bandpass or notch filter, the BW (bandwidth) 
parameter refers to the filter bandwidth at 3dB attenuation (e.g. for Fc = 5 kHz 
and BW = 1 kHz, the 3dB attenuation would occur at 4.5 kHz and 5.5 kHz). 
When the filter type is set to LP (lowpass) or HP (highpass), the BW parameter 
is redundant and is ignored. 
New coefficient values are generated whenever the enable line (Enab) is high 
(1). Setting the enable line to low (0) after the coefficients have been generated 
decreases cycle usage. The ButCoef1 can also be placed in time slice -1 to 
generate the coefficients only once. The coefficients will be generated when the 
processing chain is run and will remain unchanged during acquisition, further 
reducing cycle usage. 
ButCoef1 allows the user to build only lower order filters. Multiple filters can 
be cascaded to make higher order bandpass and notch filters. To generate 
coefficients for higher order lowpass and highpass filters users should use 
ButCoef. 
Note: To satisfy the Nyquist Theorem, the sampling frequency of the system 
should be greater than 2 times the highest frequency component passed by the 
filter. 

RPvdsEx Manual 
147 
Name  Description   Data Type 
Output  Generated Butterworth coefficients  Any 
Gain  Scales the filtered portion of the coefficients, gain 
is linear  Floating point 
Fc  Center/corner filter frequency (min=2 Hz)  Floating point 
BW  Bandwidth at 3dB attenuation  Floating point 
Type  LP = lowpass, BP = bandpass, HP = highpass, NT 
= notch  Static 
Enab  Enables the generation of new coefficient values  Logic 
Tech Note: 
Clipping (when voltage value is greater than the DAC can handle) will occur 
when the Gain of the ButCoef1 to the input signal produces a voltage value 
larger than +/- 10 and is sent to a D/A for play out. Check the output values of 
the filtered signal to determine if this is a problem. 
Example:  
Butterworth Coefficients 
File: Examples\ButCoef1_ex.rcx 
Default Device: RP2 Processor 
Sampling Rate: 25 kHz 
This example uses two ButCoef1 generators to filter the signal input. The first 
ButCoef1 generates a 50 Hz notch filter and the second generates a 5000 Hz 
low-pass filter. The filtered signal is sent to D/A channel one. Note that the 
number of Biquads (nBIQ) is one. 
c
O
[1:6,0]
Ch=1
d
c
[1:3,0]
Ch=1 Biquad
nBIQ=1
{>Coef}
{>Delay}
[1:4,0]
ButCoef1
Gain=1
Fc=50
BW=20
Type=NT
[1:1,0]
Enab=Yes
Biquad
nBIQ=1
{>Coef}
{>Delay}
[1:5,0]
ButCoef1
Gain=1
Fc=5000
BW=1000
Type=LP
[1:2,0]
Enab=Yes

RPvdsEx Manual 
148 
CoefLoad 
CoefLoad
Nu m Bl ks=4
BlkSize=10
BlkSel=0
EnabFF=No
[1:1,0
]
ActCnt=0
FlipFlop=0
{>CoefBlks}
Description: 
The CoefLoad component is used to quickly load and update component 
coefficients at run-time under user control. Uses include updating filter 
coefficients and channel mappings. Using this component extends the 
usefulness of components like FIR2 by allowing many more blocks of 
coefficients to be used. These blocks are stored in the much larger XM memory 
area and then loaded to the smaller PM memory when needed.  
Because the coefficients are loaded one at a time on each tick of the sample 
clock, when a new coefficient set is needed, it will take BlkSize+1 cycles to 
load (BlkSize equals the number of coefficients being loaded). This time delay 
is typically not an issue. The CoefLoad component has an optional FlipFlop 
output that can be used to drive the block select input of the loaded component. 
The ActCnt output is used to determine if there are more coefficients to be 
loaded. If ActCnt > 0, the component is active and is in the process of loading 
coefficients. 
Coefficient blocks within this component can have any format and any 
arrangement. However, this arrangement must match the needed format and 
arrangement of the target component. The blocks of coefficients are then simply 
placed sequentially in the components XM memory.  
Name  Description  Data Type 
Output  Selected block of coefficients  Any 
N
umBlks 
N
umber of blocks of coefficients  Integer (Static) 
BlkSize 
N
umber of coefficients per bloc
k
 Integer (Static) 
BlkSel  Index to the block of coefficients to be used  Integer 
EnableFF  Enables optional flip flop output  Logic 
>CoefBlks  Pointer to CoefBlks buffer (PM)  Pointer 
FlipFlop  Optional output to drive the block select input 
of the loaded component  Integer 
ActCnt  Output used to determine the state of the 
component  Integer 
Example:  
Load Coefficients 
For setting arbitrary channel mappings using the MCMap component: 

RPvdsEx Manual 
149 
CoefLoad
Nu m Bl ks=4
BlkSize=16
BlkSel=0
EnabFF=No
[1:1,0
]
ActCnt=0
FlipFlop=0
{>CoefBlks}
MapSelect
MapLoad
MCAdcIn
nChan=16
ChanOS=1
[1:2,0]
MCMap
nChan=16
{>Map}
[1:3,0]
Mapped Input
nChan=16
This circuit supports four channel mappings on the 16 channel input signal. The 
MapLoad tag must be loaded with the channel mappings before the MapSelect 
parameter is set. In this case, the loaded values would be 32 bit integers 
arranged in four blocks of 16 values each.  
Note: EnabFF = No for this application. 
To dynamically update the coefficients of a filter: 
PulseTrain2
nPer=5000
nPulse=-1
Enab=Yes
Rst=Run
[1:1,0]
PCount=0
PLate=0
SimpCount
Rst=0
Enable=1
[1:3,0]
CoefLoad
Nu m Bl ks=4
BlkSize=32
BlkSel=0
EnabFF=Yes
[1:5,0]
ActCnt=0
FlipFlop=0
{>CoefBl ks}
CoefLoad
Flip
SigIn
FIR2
Order=31
nSets=1
SetSel=0
{>Coef}
[1:8,0]
{>Delay}
Flip
SigOut
This circuit supports the loading of 4 different sets of coefficients into the FIR2 
filter component. Each block contains 32 filter taps arranged as specified by the 
FIR2 component description. Every 5000 ticks of the sample clock, the 
PulseTrain2 will advance the SimpCount counter causing the next filter set to 
be loaded and selected (via the FlipFlop control).  It is important that the 
SimpCount output does not exceed NumBlks and that the nPer argument in 
PulseTrain2 is not set less than BlkSize+1. 

RPvdsEx Manual 
150 
ParaCoef 
ParaCoef
Gain=1
Fc=1000
BW=100
Enab=Yes
[1:1,0]
Description: 
This component generates the parametric coefficients for a second order 
equalizing Biquad filter. Center frequency (Fc) and bandwidth at 3 dB (BW) are 
specified by the user and the band gain increases the intensity of the signal 
within the band by the linear scale factor (gain) specified. The gain value should 
be set carefully to ensure that the amplified signal will not exceed the dynamic 
range (typically +/- 10 V) of the processor module. When a unity gain (Gain = 
1) is specified, coefficient for an all pass filter are generated.  
The table below lists typical roll-offs from the center frequency for several gain 
settings. 
Center Frequency Bandwidth  Gain  Roll-Off 
10 kHz  100 Hz  10  18 dB/octave 
10 kHz  1000 Hz  10  15 dB/octave 
10 kHz  100 Hz  20  24 dB/octave 
10 kHz  1000 Hz  20  15 dB/octave 
New coefficient values are generated whenever the enable line (Enab) is high 
(1). Setting the enable line to low (0) after the coefficients have been generated 
decreases cycle usage. The ParaCoef can also be placed in time slice -1 to 
generate the coefficients only once. The coefficients will be generated when the 
processing chain is run and will remain unchanged during acquisition, further 
reducing cycle usage. 
Note: To satisfy the Nyquist Theorem, the sampling frequency of the system 
should be greater than 2 times the highest frequency component passed by the 
filter. 
Name  Description  Data Type 
Output  Generated parametric coefficients  Any 
Gain  Band gain of filtered signal (linear scale factor)  Floating point
Fc Center frequency  Floating Point
BW  Bandwidth at 3dB attenuation  Floating point
Enab  Enables the generation of new coefficient values  Logic 

RPvdsEx Manual 
151 
Tech Note: 
Clipping (when voltage value is greater than the DAC can handle) will occur 
when the Gain of the ParaCoef to the input signal produces a voltage value 
larger than +/- 10 and is sent to a D/A for play out. Check the output values of 
the filtered signal to determine if this is a problem. 
Example:  
Parametric Coefficient 
File: Examples\ParaCoef_ex.rcx 
Default Device: RP2 Processor 
Sampling Rate: 50 kHz 
This example uses the ParaCoef generator with a Biquad to filter a band of 
noise 100 Hz wide centered at 1000 Hz. The gain is set to 10 dB to increase the 
output level of the filter. Parametric filters act like equalizers on an amplifier. 
ParaCoef
Gain=10
Fc=1000
BW=100
Enab=Yes
[1:1,0]
c
O
[1:4,0]
Ch=1
Biquad
nBIQ=1
{>Coef}
{>Delay}
[1:3,0]
GaussNoise
Amp=1
Shft=0
Seed=0
Rst=Run
[1:2,0]
RPvdsEx Manual 
152 
Counters and Logic 
Counters and Logic Components 
Counters and logical operations are used primarily for program control. They often control the 
activity of individual components via trigger or enable inputs. 
This group includes the following components:  
 And 
 Counter 
 DeBounce 
 EdgeDetect 
 JKFlipFlop 
 Not 
 OneShot 
 Or 
 PulseTrain 
 PulseTrain2 
 RSFlipFlop 
 Schmitt 
 Schmitt2 
 TTLDelay 
 TTLDelay2 
 Xor 

RPvdsEx Manual 
153 
And  
[1:1,0]
AND
Description: 
Logical AND function. Returns 1 (true) if all inputs are 1 (true). If all inputs are 
0 the output is 0. All multiple inputs must be from a primary output. If it is 
necessary to route a parameter output to this function use a CONSTL to make it 
a primary output. 
Name  Description  Data Type 
Input (multiple)  Input (multiple)  Logic 
Output  AND operation of data set  Logic 
Equation: 
Output = AND (Input1I, Input2I, Input3I, ... InputnI) 
Example(s): 
AND (0, 0, 0, 0, 0) = 0 (false) 
AND (0, 0, 0, 1, 0) = 0 (false) 
AND (1, 1, 1, 1, 1) = 1 (true) 
Counter 
Counter
Base=0
Phse=0
Step=1
Roll=1000
[1:1,0]
Rst=Run
Enab=Yes
Description: 
The Counter is a count up/down counter. It counts for as long as a high pulse is 
going to the enable port (Enab). It increments the count by a set value 
(determined by Step) for each pulse of sample clock (e.g. if the enable is high 
for 1 msec and the sample rate is 25 kHz then the counter will step 25 times). 
Once it exceeds the sum of the Base and Roll value the Counter starts counting 
again at the base value (Base) (see below for more details). The first time the 
counter is started or after the Reset (Rst) port has been triggered (value goes 
from low (0) to high (1)) the Counter starts at the Base value plus the Phase 
(Phse) value. 

RPvdsEx Manual 
154 
Name  Description  Data Type 
Output Incremented integer value  Integer 
Base Base value  Integer 
Phase  On reset the starting value of the Counter  Integer 
Step Increment value  Integer 
Roll Roll over value  Integer 
Rst  Resets counter when logic is high  Logic 
Enab  When enable line is set high(1) counter is 
incremented on each tick of the clock  Logic 
The example below shows many of the features of the Counter. 
Example parameter settings are: Base = 8, Phse = 11, Step = 2, Roll = 20. 
The Counter sequence begins at the Phse value when the circuit is first run: 
The initial count value output is therefore 11. 
The count value on progressive samples would be incremented by Step = 2: 
13, 15, 17, 19, 21, 23, 25, 27 
The Roll and Base values determine the value at which the counter rolls over.  
Since Base = 8 and Roll = 20, the counter will roll over when its count value is 
incremented to a value greater than or equal to 28 (8 + 20). During a rollover, 
the remainder of the Step value is carried over.  
Recall that our last counter value output was 27. As the counter increments this 
value to 29 there is a remainder of 1 prior to the rollover (29 - 28). This 
remainder is added to the Base value and output on the following sample.  
Since Base = 8 the new counter value output will be 9 (8 + 1). 
The counter will then be incremented by Step for each progressive sample until 
the rollover value is encountered. The sequence will repeat as long as Enab is 
high and Rst is not triggered. 
Tech Notes: 
The Counter is incremented for each tick of the sample clock. 
Phse only functions when the enab first goes high or after Rst has been 
triggered. 
As long as Rst is high (1) the count value remains at the Base + Phse. 
All Components of the Counter are available while the RP2 chain is running. 
To use the Counter as a Count down circuit the Base value must be less than the 
roll value. When the Counter reaches the Base value it Rolls over to the Roll 
value and repeats the count down. 
The Counter does work properly when Rst is less than zero. 
The Base value can be negative only if Roll and Step are positive values. 
Example: 
WordIn-WordOut, page 72. 

RPvdsEx Manual 
155 
DeBounce 
DeBounce
nChks=10
[1:1,0]
Description: 
A DeBounce filters out transient changes in input. The output of the signal is 
tied to the input. When the input changes and remains constant for a set number 
of samples the output switches. If the input switches state during the sampling 
period the output does not change. 
Name  Description  Data Type 
Input Input  Logic 
Output Output  Logic 
nChks 
N
umber of samples that input must remain 
constant before state changes. Clock times 
will differ depending on sampling rate. 
Integer 
EdgeDetect 
EdgeDetect
Edge=Rising
[1:1,0]
Description: 
This component returns true for one cycle of the sample clock when the 
specified edge (rising or falling) is encountered. It is useful for converting a 
TTL to a single sample high. The edge direction can not be changed once the 
processing chain is started. 
Name  Description  Data Type 
Input Input  Logic 
Output  Output goes high for one cycle on either 
rising or falling edge  Logic 
Edge  Rising or falling edge detect  Static 
Edge = Rising or Falling (goes high either on rising or falling edge (static)) 
Example(s): 
Block Access (example with trigger), page 123. 
Serial Buffer (example with PulseTrain), page 131. 

RPvdsEx Manual 
156 
JKFlipFlop 
JKFlipFlop
J=0
K=0
Rst=0
[1:1,0]
Description: 
Implements a standard J-K flip-flop. See truth table below. 
Name  Description  Data Type 
Output Output  Logic 
J J input  Logic 
K K input  Logic 
Rst  Resets state of the FlipFlop to 0.  Logic 
Equation: 
On each tick of the sample clock the following truth-table applies: 
Rst J  K  Output 
H X X L 
L L L unchanged 
L L H L 
L H L H 
L H H Toggle 
Not 
No
[1:1,0]
Description: 
Inverts signal logic, i.e. changes 0's to 1's and 1's to 0's. 
Name  Description  Data Type 
Input Input  Logic 
Output  Output (Inverted value of Input)  Logic 
Equation: 
Output = NOT (Input ) 

RPvdsEx Manual 
157 
OneShot 
OneShot
[1:1,0
]
Description: 
Generates a single TTL output when chain is first run. 
Name  Description  Data Type 
Output  TTL pulse when chain is started  Logic 
Equation: 
Output = 1 
Or 
[1:1,0]
OR
Description: 
Logical OR function. Returns 1 (true) if any input is 1 (true). All multiple inputs 
must be from a primary output. If it is necessary to route a parameter output to 
this function use a CONSTL to make it a primary output. 
Name  Description  Data Type 
Input 
(multiple)  Input (multiple)  Logic 
Output  OR operation of inputs  Logic 
Equation: 
Output = OR (InputI, InputI, InputI, ... InputnI) 
Example(s): 
OR (0, 0, 0, 0, 0) = 0 (false) 
OR (0, 0, 0, 1, 0) = 1 (true) 
OR (1, 1, 1, 1, 1) = 1 (true) 

RPvdsEx Manual 
158 
PulseTrain 
PulseTrain
Thi=10
Tg=0
Tlo=10
Npls=0
[1:1,0
]
CurN=0
Stage=0
Trg=0
Description: 
This component generates a pulse train, i.e. a series of pulses with specified 
times for a high (1) and low pulse (0)). 
Name  Description  Data Type 
Output  Pulse value (0 or 1)  Logic 
Thi  Time stimulus is high in milliseconds  Floating Point 
Tg  Gate time: signal high time is (Thi-Tg) and is low 
for Tlo; use with Cos2gate and Lin2gate 
(milliseconds) 
Floating Point 
Tlo  Time stimulus is low in milliseconds  Floating Point 
N
pls  The number of pulses to generate  Integer 
Trg Starts pulse generator  Logic 
Stage  Stage in pulse cycle; 0 = waiting for trigger, 1 = 
Output high, 2 = Output low  Integer 
CuN  Current number of pulses left (Counts down from 
N
pls to 1 then resets.); when Npls is 0 
(continuous) CuN is negative 
Integer 
When externally triggered (via Trg) with a low (0) to high (1) pulse, the rising 
edge of trg, the PulseTrain component sends out a number of pulses (Npls 
(positive integer)). Each pulse will go high for a set time (Thi Time High (in 
milliseconds)). The pulse then goes low for a set time (Tlo Time Low (in 
milliseconds)). After all pulses have been sent PulseTrain waits for another 
Trigger (Trg). 
The signal output will be high for the (Thi-Tg) milliseconds and then low for 
Tlo milliseconds. The Tg parameter can be used when the PulseTrain is driving 
a signal gate. 
Two parameters (Stage and CurN) are used to determine the status of 
PulseTrain. Stage determines if PulseTrain is waiting for a Trigger (Stage=0), is 
sending a high pulse (Stage =1) or a low pulse (Stage=2). Current Number 
(CurN) determines how many pulses remain. 
For example the values in the picture above would generate the following 
response: On a trigger from low to high (Trg) the pulse train would send out 5 

RPvdsEx Manual 
159 
pulses each with a 99.75 msec high (100 (Thi)-0.25(Tg)) and a 100 msec low 
(Tlo). 
Tech Notes: 
Pulse Train responses to the rising edge of a trg. 
Setting Npls = 0 produces a continuous series of pulses. When Npls = 0 CurN 
counts down from 0 (produces negative values). 
A Schmitt Trigger performs a similar operation, but differs in a variety of ways 
such as it has 1) no gate time, 2)a single pulse,3) detects high state rather than 
rising edge. 
All components of a PulseTrain can be accessed while the RP2 chain is running. 
The PulseTrain ALWAYS is triggered by going from low to high regardless of 
the Trg value. 
Pulse minimum Thi is two ticks of the sample clock. This is true even when Thi 
= 0 
Minimum for Tlo = 0 
Example: 
Averaged Buffer (generating a pulse train to trigger a signal), page 119. 
PulseTrain2 
PulseTrain2
nPer=100
nPulse=-1
Enab=Yes
Rst=Run
[1:1,0
]
PCount=0
PLate=0
Description: 
PulseTrain2 sends out a TTL pulse (one cycle) every nSamples (nPer). The 
number of pulses generated is set with nPulse. While the Enab line is high (1) 
the PulseTrain2 counts up to the number of pulses. When the Enab line goes 
low the PulseTrain2 is locked at the last nPulse, unless Rst is triggered. Rst 
resets the number of pulses generated (Pcount) to zero. 
Name  Description  Data Type 
Out  Signal output (single TTL pulse)  Logic 
nPer 
N
umber of samples between TTL pulses  Integer 
nPulse 
N
umber of pulses generated while Enab line is 
high  Integer 
Enab  While Enab is high TTL pulses are generated  Logic 
Rst  When reset the number of pulses generated is set 
to zero  Logic 

RPvdsEx Manual 
160 
PLate  Sends out a TTL pulse n-2 samples after signal 
out  Logic 
PCount  Counts the number of pulses generated  Integer 
Tech Notes: 
Rst resets the counter even while the system is enabled. 
If the Enab line and the Rst line are set high, PulseTrain2 still generates TTL 
pulses. 
The nPer (number of samples between pulses) and the nPulses (number of 
pulses) can be changed while the PulseTrain2 is enabled. However, this can 
cause problems if the nPulses is less than the number of pulses generated. 
Setting nPulse to -1 generates a continuous number of pulses. 
Example:  
PulseTrain2 
In this example a TTL pulse is generated every 5000 samples. Each time a pulse 
is generated the RMS signal from A/D channel 1 is stored into a memory 
buffer. To start and stop the acquisition a zBUS trigger is generated. The zBUS 
trigger is used because it can be set always high or low, unlike the software 
triggers that stay high for a single pulse. 
d
c
[1:6,0]
Ch=1 RMS
[1:7,0]
SerialBuf
Size=1000
Rst=0
AccEnab=1
Write=1
[1:8,0]
NBl ks=0
Index=0
{>Data}
PulseTrain2
nPer=5000
nPulse=-1
Enab=Yes
Rst=Run
[1:3,0
]
PCount=0
PLate=0
EdgeDetect
Edge=Rising
[1:4,0]
[1:1,0]
Src=zBusA
RSFlipFlop 
RSFlipFlop
Set=0
Rst=0
[1:1,0]
Description: 
Simple set/reset flip flop similar to an on/off light switch. Set turns on the 
switch (makes it high) when triggered by a high pulse. Rst turns the switch off 
when it is triggered by a high pulse. If both Set and Rst are 0 then the output is 
not altered (switch either stays On or Off). 

RPvdsEx Manual 
161 
Name  Description  Data Type 
Output Output  Logic 
Set Set value  Logic 
Rst  Resets state of the RSFlipFlop to 0  Logic 
Equation: 
Output = 0 when Rst = 1 
Output = Output(t-1) when Set=0 and Rst = 0 
Output = 1 when Rst = 0 and Set = 1 
Schmitt 
Schmitt
Thi=100
Tlo=10
[1:1,0]
Description: 
This component performs a Schmitt trigger. If a logical high is detected, the 
output goes to a high state for a set amount of time (determined by Thi). At the 
end of the high time, the output goes to a low state for a set time (determined by 
Tlo). Once that time has expired, the Schmitt can be triggered again. 
Name  Description  Data Type 
Input Input  Logic 
Output  Logical value (0 or 1).  Logic 
Thi  Output high time (in milliseconds) after trigger Floating Point 
Tlo  Output low time (in milliseconds) after high  Floating Point 
Tech Notes: 
If the input to the Schmitt trigger is high(1) at the end of the cycle (Thi+Tlo) a 
new pulse is sent out. This is in contrast to PulseTrain that responds only to a 
rising edge of a trigger. 
By setting Tlo to zero the Schmitt trigger is immediately ready for another 
trigger event. 
The minimum time high (Thi) is two ticks of the sample clock. 
It has a lower cycle usage compared to a PulseTrain. 
Equation: 
If (InputI) then 
From t = 0 to Thii   OutputO = 1 
From t = (Thi1+1) to Tlo2      OutputO = 0 

RPvdsEx Manual 
162 
Schmitt2 
Schmitt2
nHi=100
nEnab=1
[1:1,0]
Description: 
This component performs a Schmitt trigger. If a logical high is detected, the 
output goes to a high state for a set number of samples (determined by nHi). 
Once that time has expired, the Schmitt2 component can be triggered again.  
Name  Description  Data Type 
Input  Input logic high to start trigger  Logic 
Output  Logical value (0 or 1).  Logic 
nHi 
N
umber of samples high  Integer 
nEnab  If nEnab line is 0 the Schmitt output will 
not go high  Logic 
Tech Notes: 
The Schmitt2 trigger is excellent for storing a set number of samples to a buffer. 
Equation: 
If (InputI) then 
From s = 0 to nHi if nEnab=1   OutputO = 1 
else     Output
O = 0 
Example:  
Schmitt2 
Acquire 100 samples of a signal. 
Schmitt2
nHi=100
nEnab=1
[1:2,0]
SerialBuf
Size=1000
Rst=0
AccEnab=1
Write=1
[1:5,0]
NBl ks=0
Index=0
{>Data}
d
c
[1:4,0]
Ch=1
[1:1,0]
Src=Soft1

RPvdsEx Manual 
163 
TTLDelay 
TTLDelay
Tdel=1000
[1:1,0]
Description: 
This component looks for the rising edge of the input and generates a TTL for a 
single sample after the specified delay. This function is useful if two signals are 
to be triggered with a short delay between them. 
Name  Description  Data Type 
Input Input  Logic 
Output  Logical value (0 or 1)  Logic 
Tdel  Delay time (in milliseconds)  Floating Point 
TTLDelay2 
TTLDelay2
N1=10
N2=0
[1:1,0]
Description: 
When the input to this component is a logical 1, the output is a pulse train that is 
logic high for one sample and low for N1 + N2 – 1 samples. This pulse train is 
also delayed from the onset of the input by N1 + N2 samples. This is different 
than TTLDelay which sends out one pulse after each rising edge of the input 
(see figure below). The total delay is specified by N1 + N2 samples, however, 
depending on the application, N2 may be zero. 
Note: No pulses are sent if both N1 and N2 are both set to zero. Ensure that you 
have at least a 1 entered for either N1 or N2. 
The following figure shows the output of the TTLDelay2 component compared 
to that of TTLDelay. 

RPvdsEx Manual 
164 
If an EdgeDetect (Edge=Rising) precedes TTLDelay2 in a circuit, the output of 
TTLDelay2 is similar to that of TTLDelay. 
Name  Description  Data Type 
Input Input  Logic 
Output  Logical value (0 or 1)  Logic 
N
1  Sample delay one  Integer 
N
2  Sample delay two  Integer 
Xor 
XOR
[1:1,0]
Description: 
Logical XOR function. Returns 1 (true) if only one input is 1 (true). All 
multiple inputs must be from a primary output. If it is necessary to route a 
parameter output to this function use a ConstL to make it a primary output. 
If more than two inputs are used, the XOR function steps through from top to 
bottom. 
Name  Description  Data Type 
Input 
(multiple)  Input (multiple)  Logic 
Output  XOR operation of inputs  Logic 
RPvdsEx Manual 
165 
Equation: 
Output = XOR (InputI, Input2I, Input3I, ... InputnI) 
Examples: 
XOR (0, 0) = 0 (false) 
XOR(1, 1) = 0 (false) 
XOR (0, 1) = 1 (true) 
XOR (1, 0) = 1 (true) 
Note: If more than two inputs are used, the XOR function steps through from 
top to bottom. 
XOR (1, 1, 1, 1, 1) = 1 (true) 
For this example the XOR function evaluates the inputs two at a time. 
1 (1st input) XOR 1 (2nd input) = 0  
0 (result of 1st and 2nd ) XOR 1 (3rd input) = 1 
1 (result of 1st, 2nd, and 3rd input) XOR 1 (4th input) = 0 
0 (result of other 4 inputs) XOR 1 (5th input) = 1 
RPvdsEx Manual 
166 
Data Reduction 
Data Reduction Components 
Data reduction techniques decrease the size of the data set at the expense of resolution. 
This group includes the following components:  
 CompTo16 
 CompTo16D 
 CompTo8 
 CompTo8D 
 ExpFrom16 
 ExpFrom8 
 PlotDec16 
 ShufTo16 
 ShufTo8 
 SplitFrom16 
 SplitFrom8 
This group also includes the following components, if RPvdsEx Device Setup is 
configured for a high performance device, such as the RXn or RZn: 
 MCCpTo8D 
 MCCpTo16D 
 MCPDec16 
CompressTo/ExpandFrom functions take a single input and reduce it from a 32-bit value to an 8 
or 16-bit value. The data is stored as a 32-bit word. For example CompTo8 stores data in one-
fourth the space and has one-fourth the resolution or dynamic range (e.g. 200,000 points of data 
with 32-bit resolution is reduced to 50,000 with 8-bit resolution). ExpandFrom8 takes the stored 
data (32-bit word) and expands it into four 32-bit words for data output and manipulation. 
ShuffleTo/SplitFrom functions take several inputs and reduce them from a 32-bit value to 8 or 
16-bit value. The data is stored as a 32-bit word. For example ShuffleTo16 takes two inputs and 
reduces the resolution by one-half (16-bit). It stores the first input value in the high portion of the 
word and the second input in the low portion of the word. SplitFrom reverses the process. It 
extracts the two/four values in word format and outputs them as 32-bit words for data output and 
manipulation. 
ReadTagVex is the ActiveX format to for reading reduced data in MATLAB. Other programming 
languages can use either ReadTagVex or ReadTag. When using ReadTag it is necessary to write 
your own data splitting or expansion routines. 
Data Reduction and Scale Factor 
It is sometimes desirable to reduce data sets to either increase data transfer rates or reduce required 
memory allocation for data storage. This can be done by compressing 32-bit numbers to 16-bit 
numbers, or by compressing 32-bit numbers to 8-bit numbers, etc. For demonstration, we will 
consider converting 32-bit values to 16 bits of precision. 

RPvdsEx Manual 
167 
The largest number that can be represented with 16 bits is 65535 (216–1). If we designate one bit 
as a sign bit, the largest value that the remaining 15 bits can represent is 32767. Using this sign bit 
results in a range from –32768 to 32767. This range represents the number of discrete amplitude 
values available for the converted signal. The level of the signal samples in the converted signal is 
essentially rounded to the nearest digital value upon conversion. This process results in a 
quantization error. To minimize this error and produce the best resolution in the conversion, the 
scale factor should be set to best fit the input signal to this range. If the input waveform is known 
to have a voltage swing of +/- 1.0 V, the 
scale factor should be set to 32767. If the 
voltage swing is +/- 10 V, the scale factor 
should be set to 3276.7. Setting the scale 
factor incorrectly will result in poor 
resolution or meaningless data.  
For example: Our range gives us 65535 
divisions of the y-axes below. In the figure 
to the right, if we zoom in on the improperly 
scaled input signal (B), we can see that the 
quantized signal is degraded. This waveform 
can be represented by only 11 possible 
digital amplitude values. On the other hand, 
each sample in the properly scaled 
waveform (A) can take on any of the 65536 
values in the entire range. This quantized 
waveform (blue) is a much better 
representation of the input waveform (red). 
Later in the processing chain, if we convert 
the values back, the signals are rescaled to 
match their original range by using the inverse of the scale factor used earlier. The output values 
will have the dynamic range of the reduced data. 
The process is very similar when compressing numbers to 8 bits of precision.  
CompTo16  
CompTo16
SF=32767
[1:1,0]
Strobe1=0
Byp/Rst=0
Strobe2=0
Description: 
CompTo16 (compress to 16-bit) takes a stream of 32-bit floating values, scales 
and converts them to 16-bit fixed point numbers. Successive values are then 
output in the upper and lower portions of a 32-bit integer. The Strobe1 output 
sends a pulse high when the data is sent and should be linked to the AccEnable 
parameter of the buffer component. 

RPvdsEx Manual 
168 
CompTo16
SF=32767
[1:2,0]
Strobe1=0
Byp/Rst=0
Strobe2=0
d
c
[1:1,0]
Ch=1
Scale
SerialBuf
Size=100000
Rst=0
AccEnab=1
Write=1
[1:4,0]
NBl ks=0
Index=0
{>Data}
Data
This reduction technique can be used to decrease memory allocation for data 
storage or double the data transfer rate to and from the PC. 
The scale factor (SF) is used to appropriately scale the floating point input 
before it is converted to 16 bits. The range that can be specified using 16 bits is 
+/- 32767. To get the maximum resolution, SF should be selected in such a way 
that the maximum input voltage scales to +/- 32767. The default SF is set to 
32767 and assumes that the input is bounded between +/- 1.0 V. Use an SF of 
3276.7 for a +/- 10 V range. The SF and input values must be matched. 
Mismatch between the SF and input value range gives poor resolution or 
meaningless data. Use ExpandFrom16 to reverse the process. See Data 
Reduction - Scale Factor for more information on properly setting the scale 
factor, page 166.  
Name  Description  Data Type 
Input Input  Floating Point 
Output  Integer containing two 16-bit variables  Integer 
SF  Scale factor sets the scale for the input before 
sample conversion; scale factor depends on input 
voltage 
Floating Point 
Byp/Rst  When high it resets the start of sample 
conversion; when set high data is not converted  Logic 
Strobe1  Pulses high when data is sent; connect to 
AccEnable line  Logic 
Strobe2  Pulses high when component is in bypass mode; 
bypass mode passes the data unaltered  Logic 
CompTo16D 
CompTo16D
SF=32767
Rst=0
Enab=1
[1:1,0]
Strobe=0
Description: 
CompTo16D (compress to 16-bit) is essentially the same as CompTo16 except 
it allows for an enable input that ensures no data is passed through when 

RPvdsEx Manual 
169 
compression is not enabled. When enabled it scales and converts a stream of 32-
bit floating values to 16-bit fixed point numbers. Successive values are then 
output in the upper and lower portions of a 32-bit integer. The Strobe output 
sends a pulse high when the data is sent and should be linked to the AccEnable 
parameter of the buffer component. This reduction technique can be used to 
decrease memory allocation for data storage and double the data transfer rate to 
and from the PC.  
Scale factor (SF) is used to appropriately scale the floating point input before it 
is converted to 16 bits. The largest number that can be specified using 16 bits is 
+/- 32767. To get the maximum resolution, SF should be selected in such a way 
that the maximum input voltage scales to +/- 32767. The default SF is 32767 
and assumes that the input is bounded between +/- 1.0 V. Use an SF of 3276.7 
for a +/- 10 V range. The SF and input values must be matched. Mismatch 
between the SF and input value range gives poor resolution or meaningless 
data. Use ExpandFrom16 to reverse the process. 
See Data Reduction - Scale Factor for more information on properly setting the 
scale factor, page 166. 
Name  Description  Data Type 
Input Input  Floating Point 
Output  32-bit integer containing two 16-bit variables Integer 
SF  Scale factor sets the scale for the input before 
sample conversion; (scale factor should be 
calculated based on the input voltage) 
Floating Point 
Rst  When high it resets the start of sample 
conversion; when set high, data is not 
converted 
Logic 
Enab  Enables output when high  Logic 
Strobe  Pulses high when data is sent  Logic 
CompTo8 
CompTo8
SF=127
[1:1,0]
Strobe1=0
Byp/Rst=0
Strobe2=0
Description: 
CompTo8 (compress to 8-bit) takes a stream of 32-bit floating values, scales 
and converts them to 8-bit fixed point numbers. Each value is stored in an 8-bit 
portion of a 32-bit integer. The Strobe1 output sends a pulse high when the data 
is sent and should be linked to the AccEnable parameter of the buffer 
component. This reduction technique can be used to decrease memory 
allocation or increase transfer rates.  

RPvdsEx Manual 
170 
CompTo8
SF=127
[1:2,0]
Strobe1=0
Byp/Rst=0
Strobe2=0
SerialBuf
Size=1000
Rst=0
AccEnab=1
Write=1
[1:4,0]
NBl ks=0
Index=0
{>Data}
d
c
[1:1,0]
Ch=1
Scale factor (SF) scales the floating point value before storing in integer format. 
The largest number that can be specified using eight bits is +/- 127. To get the 
maximum resolution, SF should be selected in such a way that the maximum 
input voltage scales to +/- 127. The default SF is set to 127 and assumes that the 
input is bounded between +/- 1.0 V. Use an SF of 12.7 for a +/- 10 V range. The 
SF and input values must be matched. Mismatch between the SF and input 
values gives poor resolution or meaningless data. ExpandFrom8 reverses the 
process.See Data Reduction - Scale Factor for more information on properly 
setting the scale factor, page 166. 
Name  Description  Data Type 
Input Input  Floating Point 
Output  Integer containing four 8-bit variables  Integer 
SF  Scale factor sets the scale for the input before 
sample conversion; scale factor depends on 
input voltage 
Floating Point 
Byp/Rst  When high it resets the start of sample 
conversion; when set High data is not 
converted 
Logic 
Strobe1  Pulses high when data is sent; patch to 
AccEnable line  Logic 
Strobe2  Pulses high when component is in bypass 
mode; bypass mode passes the data unaltered  Logic 
CompTo8D 
CompTo8D
SF=127
Rst=0
Enab=1
[1:1,0]
Strobe=0
Description: 
CompTo8D (compress to 8-bit) is essentially the same as CompTo8 except it 
allows for an enable input that ensures no data is passed through when 
compression is not enabled. When enabled it scales and converts a stream of 32-
bit floating values to 8-bit fixed point numbers. Each value is stored in an 8-bit 

RPvdsEx Manual 
171 
portion of a 32-bit integer. The Strobe output sends a pulse high when the data 
is sent and should be linked to the AccEnable parameter of the buffer 
component. This reduction technique can be used to decrease memory 
allocation and increase transfer rates. 
Scale factor (SF) scales the floating point value before storing in integer format. 
The largest number that can be specified using eight bits is +/- 127. To get the 
maximum resolution, SF should be selected in such a way that the maximum 
input voltage scales to +/- 127. The default SF is 127 and assumes that the input 
is bounded between +/- 1.0 V. Use an SF of 12.7 for a +/-10 V range. The SF 
and input values must be matched. Mismatch between the SF and input values 
gives poor resolution or meaningless data. ExpandFrom8 reverses the process. 
See Data Reduction - Scale Factor for more information on properly setting the 
scale factor, page 166. 
Name  Description  Data Type 
Input Input  Floating Point 
Output  32-bit integer containing four 8-bit numbers  Integer 
SF  Scale factor sets the scale for the input before 
sample conversion; scale factor should be 
calculated based on the input voltage 
Floating Point 
Rst  When high it resets the start of sample 
conversion; when set high, data is not 
converted 
Logic 
Enab  Enables output when high  Logic 
Strobe  Pulses high when enabled and data is sent  Logic 
ExpFrom16 
ExpFrom16
SF=3.05185e
-
[1:1,0]
Strobe=0
Byp/Rst=0
Description: 
ExpFrom16 (expand from 16-bit) converts integer data at its input to floating 
point data at its output. It takes a stream of dual 16-bit integers and converts 
them into two 32-bit floating point values for output. The scale factor (SF) 
scales the output values and a Strobe sends a pulse high each time a 32-bit value 
is read by the component. 

RPvdsEx Manual 
172 
ExpFrom16
SF=3.05185e
-
[1:2,0]
Strobe=0
Byp/Rst=0
c
O
[1:4,0]
Ch=1
Strobe
Strobe
SerialBuf
Size=1000
Rst=0
AccEnab=1
Write=1
[1:1,0]
NBl ks=0
Index=0
{>Data}
SF defines the range of the expanded data set. It can be the inverse of the scale 
factor value used to reduce the data. The default SF is set to 3.05185 e-05, the 
inverse of the default scale factor for CompTo16 (32767). Data is passed 
through unexpanded when Byp/Rst is set high. See Data Reduction - Scale 
Factor for more information on properly setting the scale factor, page 166. 
Name  Description  Data Type 
Input  Input (two 16-bit variables)  Integer 
Output  Input values in floating point  Floating Point 
SF  Scale factor sets the conversion factor after 
data has been expanded  Floating Point 
Byp/Rst  When high it resets the start of sample 
conversion; when set High data is not 
converted 
Logic 
Strobe  Pulses high on data ready for conversion  Logic 
ExpFrom8 
ExpFrom8
SF=0.007874
0
[1:1,0]
Strobe=0
Byp/Rst=0
Description: 
ExpFrom8 (expand from 8-bit) converts integer data at its input to floating point 
data at its output. It takes a stream of four 8-bit integers and converts them into 
four 32-bit floating point values for output. Output values have the dynamic 
range of the reduced data. 

RPvdsEx Manual 
173 
c
O
[1:4,0]
Ch=1
Strobe
Strobe
ExpFrom8
SF=0.007874
0
[1:2,0]
Strobe=0
Byp/Rst=0
SerialBuf
Size=1000
Rst=0
AccEnab=1
Write=1
[1:1,0]
NBl ks=0
Index=0
{>Data}
Scale factor (SF) defines the range of the expanded data set. It can be the 
inverse of the scale factor value used to reduce the data. The default SF is set to 
0.007874, the inverse of the default scale factor for CompTo8 (127). 
Mismatching scale factors results in an inaccurate scaling of the data. See Data 
Reduction - Scale Factor for more information on properly setting the scale 
factor, page 166. 
Strobe sends a pulse high each time a 32-bit value is loaded to the component. 
Name  Description  Data Type 
Input  Input (four 8-bit variables)  Integer 
Output  Input values in floating point  Floating Point 
SF  Scale factor sets the conversion factor after 
data has been expanded  Floating Point 
Byp/Rst  When high it resets the start of sample 
conversion; when set high data is passed 
through unexpanded 
Logic 
Strobe  Pulses high on data ready for conversion  Logic 
PlotDec16 
PlotDec16
nDec=10
SF=32767
Enab=1
[1:1,0]
Strobe=0
Description: 
PlotDec16 tracks the max and min of the input for a set sample number (nDec), 
scales and then outputs the values as the lower and upper portion of a word. 
Data can then be stored in a memory buffer for access by a computer. Max 
values are stored in the upper 16-bits of the word. Min values are stored in the 
lower 16-bits of the word.  

RPvdsEx Manual 
174 
SerialBuf
Size=100
Rst=0
AccEnab=1
Write=1
[1:11,0]
NB l ks=0
Index=0
{>Data}
d
c
[1:1,0]
Ch=1
LongDelay
Nms=1
{>Data}
[1:2,0]
FeatSrch
FC=Above
K1=0.1
K2=0
[1:4,0]
Schmitt
Thi=10.5
Tlo=0.1
[1:5,0]
PlotDec16
nDec=10
SF=32767
Enab=1
[1:9,0]
Strobe=0
PlotData
Scale factor (SF) sets the output range. For SF = 100, a +/- 1.0 volt signal will 
have a range of +/- 100. Data values can be set for a graph plot that is 200 
pixels high by using a scale factor of 100 (+/- 100 pixels). To separate the 
output into the corresponding max and min values use ReadTagVEX (See 
ActiveX help).  
Note: because the values are stored using 16 bits, if the scaled input value 
exceeds +/- 32767 the data can be corrupted. 
Name  Description  Data Type 
Input Signal  Float 
Output  Decimated value based on SF and nDec  32-bit Integer 
nDec  Block size of data points in which a min and 
max are found  Integer 
SF  Scale factor is the conversion value before 
compression  Floating Point 
Enab  When enable high, PlotDec16 is running  Logic 
Strobe  Pulses high when data is sent  Logic 
MCCpTo8D 
MCCpTo8D
nChan=16
SF=127
Rst=0
[1:2,0]
Strobe=0
Enab=1
Description: 
MCCpTo8D (compress to 8-bit) is the multi-channel version of CompTo8D. 
When enabled, the device scales and converts a stream of multi-channel 32-bit 
floating-point values to multi-channel 8-bit fixed-point numbers. Each value is 
stored in an 8-bit portion of a 32-bit integer. The Strobe output goes high when 
the data is available and may be used to clock the data into a buffer component. 

RPvdsEx Manual 
175 
This reduction technique can be used to decrease memory allocation and 
increase transfer rates. 
Scale factor (SF) scales the floating-point value before storing in integer format. 
The largest number that can be specified using eight bits is +/- 127. To get the 
maximum resolution, SF should be selected in such a way that the maximum 
input voltage scales to +/- 127. The default SF is 127 and assumes that the input 
is bounded between +/- 1.0 V. Use an SF of 12.7 for a +/-10 V range. The SF 
and input values must be matched. Mismatch between the SF and input values 
gives poor resolution or meaningless data. Use ExpandFrom8 on each channel 
of data to reverse the process. See Data Reduction - Scale Factor for more 
information on properly setting the scale factor, page 166. 
Note: This component is for use with only high performance processor devices, 
such as RXn or RZn. 
Name  Description  Data Type 
Input Multi-channel input  Floating Point 
Output  Multi-channel output (32-bit integers 
containing four 8-bit numbers each)  Integer 
nChan 
N
umber of channels  Integer (static) 
SF  Scale factor sets the scale for the input before 
sample conversion; scale factor should be 
calculated based on the input voltage 
Floating Point 
Rst  When high it resets the start of sample 
conversion; when set high, data is not 
converted 
Logic 
Enab  Enables output when high  Logic 
Strobe  Pulses high when enabled and data is sent  Logic 
MCCpTo16D 
MCCpTo16D
nChan=16
SF=32767
Rst=0
[1:2,0]
Strobe=0
Enab=1
Description: 
MCCpTo16D is the multi-channel version of CompTo16D (compress to 16-bit). 
When enabled, MCCpTo16D scales and converts a multi-channel stream of 32-
bit floating-point values to multi-channel 16-bit fixed-point numbers. 
Successive values are then output in the upper and lower portions of a 32-bit 
integer. The Strobe output goes high when the data is available and may be used 
to clock the data into a buffer component. This reduction technique can be used 

RPvdsEx Manual 
176 
to decrease memory allocation for data storage and double the data transfer rate 
to and from the PC.  
Scale factor (SF) is used to appropriately scale the floating point input before it 
is converted to 16 bits. The largest number that can be specified using 16 bits is 
+/- 32767. To get the maximum resolution, SF should be selected in such a way 
that the maximum input voltage scales to +/- 32767. The default SF is 32767 
and assumes that the input is bounded between +/- 1.0 V. Use an SF of 3276.7 
for a +/- 10 V range. The SF and input values must be matched. Mismatch 
between the SF and input value range gives poor resolution or meaningless 
data. Use ExpandFrom16 on each channel of data to reverse the process. See 
Data Reduction - Scale Factor for more information on properly setting the 
scale factor, page 166. 
Note: This component is for use with only high performance processor devices, 
such as RXn or RZn. 
Name  Description  Data Type 
Input Multi-channel input  Floating Point 
Output  Multi-channel output (32-bit integers containing 
two 16-bit numbers each)  Integer 
nChan 
N
umber of channels  Integer (static) 
SF  Scale factor sets the scale for the input before 
sample conversion; scale factor should be 
calculated based on the input voltage 
Floating Point 
Rst  When high it resets the start of sample 
conversion; when set high, data is not converted  Logic 
Enab  Enables output when high  Logic 
Strobe  Pulses high when enabled and data is sent  Logic 
MCPDec16 
MCPDec16
nChan=16
nDec=10
SF=32767
[1:2,0]
Strobe=0
Enab=1
Description: 
MCPDec16 is the multi-channel version of PlotDec16. It tracks the maximum 
and minimum values of the input for a set number of samples (nDec), scales 
them, and then outputs the values as the lower and upper portion of a word. 
Data can then be stored in a memory buffer for access by a computer. 
Maximum values are stored in the upper 16-bits of the word. Minimum values 
are stored in the lower 16-bits of the word. 

RPvdsEx Manual 
177 
MCAdcIn
nChan=16
ChanOS=1
[1:1,0
]
MCPDec16
nChan=16
nDec=100
SF=32767
[1:2,0
]
Strobe=0
Enab=1
MCSerStore
nChan=16
Size=16000
Rst=0
WrEnab=1
[1:4,0
]
Index=0
{>Data}
MCPlotData
Scale factor (SF) sets the output range. For SF = 100, a +/- 1.0 volt signal will 
have a range of +/- 100. Data values can be set for a graph plot that is 200 
pixels high by using a scale factor of 100 (+/- 100 pixels). To separate the 
output into the corresponding max and min values use ReadTagVEX (See 
ActiveX help). Note: because the values are stored using 16 bits, if the scaled 
input value exceeds +/- 32767 the data can be corrupted. 
Note: This component is for use with only high performance processor devices, 
such as RXn or RZn. 
Name  Description  Data Type 
Input Signal  Floating Point 
Output  Decimated value based on SF and nDec  32-bit Integer 
nChan 
N
umber of channels in the input signal  Integer (Static) 
nDec  Block size of data points in which a min and max 
are found  Integer 
SF  Scale factor is the conversion value before 
compression  Floating Point 
Enab  When enable high, MCPDec16 is running  Logic 
Strobe  Pulses high when data is sent  Logic 
ShufTo16 
ShufTo16
SF=32767
[1:1,0]
~1
~2
Description: 
ShufTo16 takes 32-bit floating point values from two inputs, reduces each, 
combines them, and sends them from a single output as 32-bit integers. The top 
16-bits stores the first channel and the bottom 16-bits stores the second channel. 
This reduction technique can be used to store data from two analog inputs for 
high speed transfer. At a 100k sampling rate it is possible to stream two 
channels in real-time to disk.  

RPvdsEx Manual 
178 
ShufTo16
SF=32767
[1:4,0]
~1
~2
d
c
[1:3,0]
Ch=1
d
c
[1:1,0]
Ch=2
SerialBuf
Size=1000
Rst=0
AccEnab=1
Write=1
[1:5,0]
NBl ks=0
Index=0
{>Data}
Data
Scale factor (SF) is used to define the upper and lower limits of the signal. The 
largest number that can be specified using 16 bits is +/- 32767. To get the 
maximum resolution, SF should be selected in such a way that the maximum 
input voltage scales to +/- 32767. The default SF is set to 32767 and assumes 
that the input is between +/- 1.0 V. Use an SF of 3276.7 for a +/- 10 V range. 
The SF and input values must be matched. Mismatch between the SF and input 
values gives poor resolution or meaningless data. SplitFrom16 reverses the 
process. 
See Data Reduction - Scale Factor for more information on properly setting the 
scale factor, page 166. 
Name  Description  Data Type 
Input(1-2) Input  Floating Point 
Output  Integer containing 2 16-bit values  Integer 
SF  Scale factor sets the scale for the input before 
sample conversion; scale factor depends on input 
voltage 
Floating Point 
ShufTo8 
ShufTo8
SF=127
[1:1,0]
~1
~2
~3
~4
Description: 
ShufTo8 (Shuffle To 8-bit) takes 32-bit floating point values from four inputs, 
reduces each and sends them as a 32-bit integer for output. The first 8-bits 
stores the first channel the second 8-bits the second and so forth. This reduction 
technique can be used to store data from four analog inputs for high speed 
transfer. 
Scale factor (SF) is used to define the upper and lower limits of the signal. The 
largest number that can be specified using eight bits is +/- 127. To get the 
maximum resolution, SF should be selected in such a way that the maximum 
input voltage scales to +/- 127. The default SF is set to 127 and assumes that the 

RPvdsEx Manual 
179 
input is bounded by +/- 1.0 V. Use a scale factor of 12.7 for a +/- 10 V range. 
The SF and input values must be matched. Mismatch between scale factor and 
input values gives poor resolution or meaningless data. SplitFrom8 reverses the 
process. 
See Data Reduction - Scale Factor for more information on properly setting the 
scale factor, page 166. 
Name  Description  Data Type 
Input(1-4) Input  Floating Point 
Output  Integer containing four 8-bit variables  Integer 
SF  Scale factor sets the scale for the input before 
sample conversion; scale factor depends on input 
voltage 
Floating Point 
Example(s): 
See ShufTo16, page 177. 
SplitFrom16 
SplitFrom16
SF=3.05185e-
0
[1:1,0]
~1
~2
Description: 
SplitFrom16 takes 32-bit integers and splits them into two 16-bit values and 
converts them to two floating point values for output. Output values have the 
dynamic range of the reduced data.  
SplitFrom16
SF=3.05185e-
0
[1:2,0]
~1
~2
SerialBuf
Size=100000
Rst=0
AccEnab=1
Write=1
[1:1,0]
NBl ks=0
Index=0
{>Data}
c
O
[1:3,0]
Ch=1
c
O
[1:5,0]
Ch=1
Scale factor (SF) defines the range of the shuffled data sets. It must be the 
inverse of the scale factor value used to shuffle the data. The default scale factor 
is set to 3.05185 e-05, the inverse of the default scale factor for ShufTo16 
(32767). Mismatching scale factors results in inaccurate scaling of the data. See 
Data Reduction - Scale Factor for more information on properly setting the 
scale factor, page 166. 
The outputs are matched to the original inputs. 

RPvdsEx Manual 
180 
Name  Description  Data Type 
Input  Input (integer value containing two 16-bit 
values)  Integer 
Output(1-2)  Converted floating point values  Floating Points 
SF  Scale factor sets the scale for the input before 
sample conversion; scale factor depends on 
input voltage 
Floating Point 
SplitFrom8 
SplitFrom8
SF=0.007874
0
[1:1,0]
~1
~2
~3
~4
Description: 
SplitFrom8 takes 32-bit integers and splits them into four 8-bit values and sends 
them as floating point values for output. Output values have the dynamic range 
of the reduced data. 
Scale factor (SF) defines the range of the shuffled data sets. It must be the 
inverse of the scale factor value used to shuffle the data. The default SF is set to 
0.07874, the inverse of the default scale factor for ShufTo8 (127). Mismatch 
between scale factors results in inaccurate scaling of the data. See Data 
Reduction - Scale Factor for more information on properly setting the scale 
factor, page 166. 
The channel output match the original channels for input. 
Name  Description  Data Type 
Input  Input (integer value containing four 8-bit 
variables)  Integer 
Output(1-4)  Converted floating point values  Floating Points 
SF  Scale factor sets the scale for the input before 
sample conversion; scale factor depends on 
input voltage 
Floating Point 
Example: 
See SplitFrom16, page 179 
RPvdsEx Manual 
181 
Delay Functions 
Delay Function Components 
Delay functions can be used to create intentional delays between signals or to synchronize delays 
that are introduced by the ADC and DAC. See DAC and ADC delays, page 51, for more 
information. 
This group includes the following components:  
 ADCDelay 
 DACDelay 
 Latch 
 LongDelay 
 LongDynDelay 
 MultLatch 
 SampDelay 
 ShortDelay 
 ShortDynDelay 
This group also includes the following component, if RPvdsEx Device Setup is 
configured for a high performance device, such as the RXn or RZn: 
 MCDelay 
 MCLatch 

RPvdsEx Manual 
182 
ADCDelay 
ADCDelay
[1:1,0]
Description: 
Time delay equal to ADC group delay for the RP2. 
Note: The ADCDelay component will always delay for 41 samples, which is 
correct for an RP2. Because of the different ADC delays of the various 
processors (RP2.1 = 65 samples, RX6 = 70 samples, etc.), this component will 
delay accurately for the RP2 only.  
Name  Description  Data Type 
Input Input  Any 
Output  Input delayed by 41 samples (group delay of 
RP2 ADC)  Any 
Equation: 
Output = ( Input[-ADCDelay]) 
Example:  
Analog-to-Digital Delay 
File: Examples\ADCdelayEx.rcx 
Default Device: RP2 Processor 
Sampling Rate: 50 kHz 
This example mixes the input from channel one with a tone generated by the 
circuit. The phase of the tone is reset to zero when an external trigger is 
detected. The ADCDelay component is included in the circuit before the 
ScaleAdd to ensure that the tone and the input signal phase are matched. 
d
c
[1:7,0]
Ch=1
ScaleAdd
SF=1
Shft=0
[1:8,0]
c
O
[1:9,0]
Ch=1
Tone
Amp=1
Shft=0
Freq=1000
Phse=0
[1:4,0]
Rst=Run
ADCDelay
[1:5,0]
EdgeDetect
Edge=Rising
[1:2,0]
[1:1,0]
Src=Extern

RPvdsEx Manual 
183 
DACDelay 
DACDelay
[1:1,0]
Description: 
Time delay equal to 30 samples, the DAC group delay for the RP2 and RP2.1. 
Note: The DACDelay component will always delay for 30 samples, which is 
correct for an RP2 and RP2.1. However, the RA16 has a DAC delay of 18 
samples and the RV8 has a DAC delay of 2-4 samples. This component will 
accurately account for the DAC delay for the RP2 and RP2.1 only. 
Name  Description  Data Type 
Input Input  Any 
Output  Input delayed by 30 samples (group delay of 
DAC for RP2 and RP2.1)  Any 
Equation: 
Output = ( Input[-DACDelay]) 
Example:  
Digital-to-Analog Delay 
File: Examples\DAC_ex.rcx 
Default Device: RP2.1 Processor 
Sampling Rate: 50 kHz 
This example plays a tone from analog output channel one when it receives a 
software trigger. A DACDelay is used to synchronize the output on Bit-1 of the 
digital output with the output of the Tone on the DAC. A LinGate is used to 
ramp the tone on and off with a 10 ms rise-fall time. A Schmitt trigger controls 
the duration of the tone. 
c
O
[1:8,0]
Ch=1
Bi
[1:5,0]
M=1
[1:1,0]
Src=Soft1
Tone
Amp=1
Shft=0
Freq=1000
Phse=0
[1:6,0]
Rst=Run
LinGate
Trf=10
Ctrl=Closed
[1:7,0]
Schmitt
Thi=100
Tlo=10
[1:2,0]
DACDelay
[1:4,0]

RPvdsEx Manual 
184 
Latch 
Latch
Trg=0
[1:1,0]
Description: 
Latches input to output on the rising edge of a trigger. The output will remain 
unchanged until the trigger goes high again and the output is latched to the new 
value.  
Note: Until the first time the trigger goes high, the output will be zero.  
Name  Description  Data Type 
Input Input  Any 
Output  When Trg = 1 output = input else output 
remains unchanged  Any 
Trg Triggers latch  Logic 
Equation: 
If (Trg) then Output = ( Input ) else Output remains unchanged 
LongDelay 
LongDelay
Nms=100
{>Data}
[1:1,0]
Description: 
Time delay using SDRAM. (Will not work with RP2-5, because it does not 
have memory. Can only use short delay). Data port can be used to view data 
currently in delay line.  
Name  Description  Data Type 
Input Input  Any 
Output  Input with a set time delay  Any 
N
ms  Length of delay in milliseconds (maximum 
is 10,000,000; the minimum is 1 ms)  Floating Point 
(Static) 
>Data  Pointer to delay line  Pointer 
Equation: 
Output = ( Input[-Nms]) 
Example: 
Sum, page 114. 

RPvdsEx Manual 
185 
LongDynDel 
LongDynDel
Mms=100
Dms=50
{>Data}
[1:1,0]
Description: 
The LongDynDel component performs a dynamic delay using SDRAM.  Unlike 
the LongDelay component, which has a delay value that is fixed at compile 
time, the delay value (Dms) on LongDynDelay is dynamic. The maximum 
delay value (Mms) is fixed and Dms can never be allowed to exceed it. The 
LongDynDel component can be used to generate delays that are not quantized 
to the sample rate. To do this, it cross fades (averages) the two points about the 
delay. An example is generating Doppler effects for 3D auditory displays.  
When setting up a variable delay line, keep in mind that the signal may be 
distorted if the delays are not multiples of the sample period. When the delay is 
not a multiple of the sample period, there is a linear relationship between the 
location of the delay and the amount that the point on either side of the delay 
contributes to the corresponding point in the delayed signal. For example, if the 
desired delay was 0.25 samples, each point in the delayed signal would be 
described by the following: 
(1-0.25)*sample value before delay + 0.25*sample value after delay. 
Because this component uses cross fading to implement the delay, it is not 
suitable for delaying a TTL pulse. To delay a TTL pulse, use either the 
TTLDelay or TTLDelay2 component. Because it uses SDRAM, it will not work 
on the RP2-5. 
Name  Description  Data Type 
Input Input  Floating Point 
Output  Input with a set time delay  Floating Point 
Mms  Maximum delay value for Dms.  Floating Point 
(Static) 
Dms  Delay length in milliseconds. It cannot exceed 
Maximum delay value.  Floating Point 
>Data  Pointer to delay line  Pointer 

RPvdsEx Manual 
186 
MCDelay 
MCDelay
nChan=16
nDelay=16
[1:2,0]
Description: 
MCDelay implements a delay of n samples on each of the channels in the multi-
channel input. This component uses internal device memory. Because internal 
memory is a limited resource (20kB) you may need to monitor the available 
internal memory when using this component  
See the FreeDM component, page 193. 
Also see: Important Consideration for Working with Multi-Channel 
Components, page 57. 
Note: This component is for use with only high performance processor devices, 
such as RXn or RZn. 
Name  Description  Data Type 
Input   Multi-channel input  Any 
Output  Multi-channel delayed output  Same as input 
nChan 
N
umber of channels in the input/outpu
t
 Integer (Static) 
nDelay  Delay to be applied in number of samples  Integer 
MCLatch 
Description: 
MCLatch is the multi-channel version of the Latch component.  It latches input 
to output on the rising edge of a trigger. The output will remain unchanged until 
the trigger goes high again and the output is latched to the new value.  
Note: Until the first time the trigger goes high, the output will be zero.  
Name  Description  Data Type 
Input  Input signal to be latched  Any 
Output  When Trg = 1, Output = Input  
otherwise Output remains unchanged 
Any 
Trg Triggers latch  Logic 

RPvdsEx Manual 
187 
Equation: 
If (Trg) then Output = ( Input ) else Output remains unchanged. 
MultLatch 
MultLatch
In1=0
In2=0
In3=0
Trg=0
[1:1,0]
>
>
>
Description: 
The 'MultLatch' latches multiple inputs to multiple outputs when triggered. 
Inputs can take all formats including Parameter tags. The Multlatch should be 
used when several parameters need to be sent out at the same time. In the 
example below the frequency, amplitude and phase of a tone generator are 
latched at the same time. 
Name  Description  Data Type 
In1 Input  Floating Point 
In2 Input  Floating Point 
In3 Input  Floating Point 
Trg Triggers latch  TTL 
> Output  Floating Point 
> Output  Floating Point 
> Output  Floating Point 
Tech Notes: 
All inputs and outputs act as Parameters. 
Equation: 
If (Trg) then Output = ( Input ) else Output=0 
Example:  
MultLatch 
In this example, a PulseTrain2 triggers the MultLatch. Any changes in the 
ParTags will modify the phase, frequency and/or amplitude of the Tone 
generator. 

RPvdsEx Manual 
188 
Tone
Amp=1
Shft=0
Freq=1000
Phse=0
[1:7,0
]
Rst=Run
c
O
[1:8,0]
Ch=1
MultLatch
In1=0
In2=0
In3=0
Trg=0
[1:3,0]
>
>
>
PulseTrain2
nPer=100
nPulse=-1
Enab=Yes
Rst=Run
[1:1,0
]
PCount=0
PLate=0
Amp
Freq
Phase
SampDelay 
SampDelay
nDelay=1
{>Data}
[1:1,0]
Description: 
Time delay using SDRAM. (Will not work with RP2-5 because it does not have 
extended memory). This component is similar to the LongDelay component 
except the delay parameter nDelay is specified in samples instead of 
milliseconds. Data port can be used to view data currently in delay line. 
Name  Description  Data Type 
Input   Input  Any 
Output Delayed output  Any 
nDelay  Delay to be applied in number of samples 
(maximum 100,000,000)  Integer 
>Data  Pointer to delay line  Pointer 
ShortDelay 
ShortDelay
Nms=1
{>Data}
[1:1,0]
Description: 
Time delay using internal memory. Maximum delay of 10 ms. Data port can be 
used to view data currently in delay line. 
Note that there is only 1024 32-bit words of Dynamic Memory allocated for 
Delay functions. The number of short delays that are allowed is dependent on 

RPvdsEx Manual 
189 
the delay length and the sampling rate. For example a millisecond ShortDelay 
consumes 50 words at 50 kHz sampling rate. 
Name  Description  Data Type 
Input Input  Any 
Output  Input with a set time delay  Any 
N
ms  Length of delay in milliseconds (maximum is 10)  Floating Point 
(Static) 
>Data  Pointer to delay line  Pointer 
Equation: 
Output = ( Input[-Nms]) 
Example: 
Short Delay, page 190. 
ShortDynDel 
ShortDynDel
Nms=1
Dms=0.5
{>Data}
[1:1,0]
Description: 
The ShortDynDel component implements a dynamic delay using internal 
memory. Unlike the ShortDelay component, which has a delay value that is 
fixed at compile time, the delay value (Dms) on ShortDynDelay is dynamic. 
The maximum delay value (Mms) is fixed and Dms can never be allowed to 
exceed it. The maximum value of Mms is 10 milliseconds. If a longer delay is 
required, use the LongDynDel component, which has a larger memory buffer. 
This component can be used to generate delays that are not quantized to the 
sample rate. To do this, it cross fades (averages) the two points about the delay. 
An example is generating Doppler effects for 3D auditory displays.  
When setting up a variable delay line, keep in mind that the signal may be 
distorted if the delays are not multiples of the sample period. When the delay is 
not a multiple of the sample period, there is a linear relationship between the 
location of the delay and the amount that the point on either side of the delay 
contributes to the corresponding point in the delayed signal. For example, if the 
desired delay was 0.25 samples, each point in the delayed signal would be 
described by the following: 
(1-0.25)*sample value before delay + 0.25*sample value after delay. 
Because this component uses cross fading to implement the delay, it will not 
work correctly for delaying a TTL pulse. To delay a TTL pulse, use either the 
TTLDelay or TTLDelay2 component. Because it uses internal memory, it is 
compatible with the RP2-5.  

RPvdsEx Manual 
190 
Name  Description  Data Type 
Input Input  Floating Point 
Output  Input with a set time delay  Floating Point 
Mms  Maximum delay value for Dms(10)  Floating Point 
(Static) 
Dms  Delay length in milliseconds. It cannot exceed 
Maximum delay value.  Floating Point 
>Data  Pointer to delay line  Pointer 
Example:  
Short Delay 
File: Examples\shortdelay_ex.rcx 
Default Device: RP2 Processor 
Sampling Rate: 50 kHz 
This example adds an echo to the input of the ADC and plays it out DAC 
channel one. The ShortDelay adds a one millisecond delay to the input. It is 
then scaled by -0.5 to reduce its level and flip its phase and then added back to 
the original signal with the ScaleAdd component. 
c
O
[1:5,0]
Ch=1
d
c
[1:1,0]
Ch=1
ScaleAdd
SF=-0.5
Shft=0
[1:4,0]
ShortDelay
Nms=1
{>Data}
[1:3,0]
RPvdsEx Manual 
191 
Device Status 
Device Status Components 
Device status components serve both to monitor and do math with major system status values. 
These components feed the processing chain with specific system information like DSP cycle 
usage or available system memory. The value can be used to compute some circuit parameter or 
simply monitored system status. When using RPvdsEx a ParWatch can be used to monitor the 
output of a Device Status component.  
This group includes the following components:  
 CycUsage 
 FreeDM 
 FreePM 
 FreeXM 
 PowCtrl 
 PowStat 
Important Note!: This group also includes two undocumented components: Peek and Poke. 
These components are intended primarily for TDT use and should not be used without TDT 
assistance.  

RPvdsEx Manual 
192 
CycUsage 
CycUsage
[1:1,0
]
Description: 
Feeds stream with DSP cycle usage in percent. Unpredictable behavior may be 
experienced when cycle usage exceeds 90%. 
Important:! If cycle usage is over 100% the value returned will not indicate 
this. For example a cycle usage of 120% will return 20%. To determine if your 
cycle usage is over 100% lower your sampling rate and check to see if 
cycUsage "increases". An increase means that the cycle usage was greater than 
100%. Higher sampling rates use more cycles than lower. 
Name  Description  Data Type 
Output  Cycle Usage (0-100)  Floating Point 
Equation: 
Output = 100% * DSP_Cycle_Used_Per_Second / 50,000,000 
Example:  
Cycle Usage 
File: Examples\cycleUsage_ex.rcx 
Default Device: RP2 Processor 
Sampling Rate: 50 kHz 
This circuit uses the four face plate LEDs found on the RP2 as a DSP cycle 
usage reporting meter. The CycUsage component is fed to four Float2TTL 
converters which have threshold settings. These settings are set to indicate 
activity over the levels shown. The four TTL signals are then made to control 
the four LEDs of the TTL output port. Notice that because Bit-0 is physically 
located at the top of the four LED group it is used to indicate the highest level 
of usage. In general, adding cycle usage with a parameter watch is a good way 
of determining the cycle usage of your system. 
CycUsage
[1:1,0
]
Float2TTL
Thrsh=12.5
[1:2,0]
Bi
[1:3,0]
M=8
Float2TTL
Thrsh=37.5
[1:5,0]
Bi
[1:6,0]
M=4
Float2TTL
Thrsh=62.5
[1:8,0]
Bi
[1:9,0]
M=2
Float2TTL
Thrsh=87.5
[1:11,0]
Bi
[1:12,0]
M=1

RPvdsEx Manual 
193 
FreeDM 
FreePM 
FreeXM 
FreeDM
[1:1,0
]
FreePM
[1:2,0
]
FreeXM
[1:3,0
]
Description: 
Feeds stream with amount of currently available memory of specified type. 
Data memory (DM) is typically used for filter delay line and short delays. 
Program Memory (PM) holds filter coefficients and External Memory (XM) is 
used for long delays and buffers. 
Note: The value shown is the number of free 4-byte words (samples) rather than 
the number of free bytes. 
Name  Description  Data Type 
Output  Amount of memory left (DM, PM or XM)  Integer 
PowCtrl 
PowCtrl
PowDn=No
PowUp=No
Elem=None
[1:1,0]
Description: 
PowCtrl works with all battery operated RP devices. Power is conserved by 
shutting down device elements not used on a circuit. When not in use the DAC, 
ADC, and SDRAM draw power from the battery. PowDn powers down an 
element. PowUp powers up an element that has been powered down. 
WARNING: Data in memory buffers is lost when the SDRAM is PowDn. 
Name  Description  Data Type 
PowDn  On Trigger hi (one cycle) Power to the DAC, 
ADC or SDRAM is stopped.  Logic 
PowUp  On Trigger hi (one cycle) Power to the DAC, 
ADC or SDRAM is restored.  Logic 
Elem  Device Element. 0= No device, 1=DAC, 
2=ADC, 3=SDRAM  Integer 

RPvdsEx Manual 
194 
PowStat 
PowStat
[1:1,0
]
Description: 
When the battery voltage is good the PowStat output goes high. When the 
battery voltage goes low the PowStat output goes low.  
Note: May not work with Lithium-Ion Batteries. 
Name  Description  Data Type 
Output Power Status 
Hi=Good Voltage, Lo=Warning 
Logic 
RPvdsEx Manual 
195 
Digital Filters 
Digital Filter Components 
This group of processors performs basic digital filtering tasks. Coefficients can be pre-loaded or 
generated and updated on-the-fly. See Coefficient Generators, page 144, for information on 
dynamically changing filter performance. 
Note: To satisfy the Nyquist theorem, the filter's corner frequency should always be less than half 
the sampling frequency. 
This group includes the following components:  
 Biquad 
 FIR 
 IIR 
 Smooth 
This group also includes the following components, if RPvdsEx Device Setup is 
configured for a high performance device, such as the RXn or RZn: 
 FIR2 
 MCBiquad 
 MCFIR 
 MCFIR2 
 MCSmooth 
 StereoFIR2 

RPvdsEx Manual 
196 
Biquad  
Biquad
nBIQ=1
{>Coef}
{>Delay}
[1:1,0]
Description: 
This component filters the input with an Nth stage Biquad. nBiq can be from 
one to 16 and care must be taken to match the number of stages with whatever 
coefficient generation scheme you are using. The Coefficient buffer is [nBIQ*5] 
in length and is kept in PM. A delay line of length [nBIQ*4] is held in DM. 
Each digital filter needs its own coefficient generator. Biquad accepts 
coefficient inputs from the filter coefficient generators. 
Coefficients can be generated using one of the Coefficient Generator 
components or supplied via parameter tag (for example, when generated using 
the Biquad Coefficient Control in OpenController software). 
Note: Filter frequencies should be less than half the sampling rate of the 
system. 
Name  Description  Data Type 
Input Input  Floating Point 
Output  Filtered signal  Floating Point 
nBIQ 
N
umber of Biquads (min=1, max=16)  Integer (Static) 
>Coef  Pointer to Coef buffer (PM).  
Ordering: B0(1), B1(1), B2(1), A1(1), A2(1), 
B0(2), B1(2), B2(2), A1(2), A2(2), … B0(n), 
B1(n), B2(n), A1(n), A2(n), where n=nBiq. 
Pointer 
>Delay  Pointer to delay buffer (DM).  Pointer 
Equation: 
Output = Biquad (Input) 
Example:  
Biquad Filter 
File: Examples\BiquadEx.rcx 
Default Device: RP2 Processor 
Sampling Rate: 50 kHz 
This somewhat complex circuit demonstrates a number of processing concepts, 
including the Biquad filter and the ButCoef, a Butterworth coefficient generator 
with specific attributes for the Biquad filter. The circuit generates filtered 
amplitude modulated noise for D/A channel one. The noise is low-pass filtered 
using a Biquad with the filtering coefficients being generated in real-time via 
the ButCoef component. Because the coefficients are generated in real-time the 
low-pass filter frequency can be changed dynamically. 

RPvdsEx Manual 
197 
The Tone generator at chain position [1:1,0] is used to modulate the filter corner 
frequency by octaves. The Exp2 component converts the octave output to a 
linear multiplier that is then scaled by 2000 via ScaleAdd. This generates a 
sinusoidal non-linear frequency sweep that goes from two octaves (500 Hz) 
below to two octaves (8000 Hz) above 2000 Hz. 
The Tone generator at [1:5, 0] is used to modulate the amplitude of the noise to 
a depth of 50%. SqRoot and Divide are used to normalize the level of the 
circuit's output so it won't get louder as the bandwidth gets wider. 
Tone
Amp=2
Shft=0
Freq=0.5
Phse=0
[1:1,0]
Rst=Run
Tone
Amp=0.5
Shft=1
Freq=50
Phse=0
[1:5,0]
Rst=Run
GaussNoise
Amp=1
Shft=0
Seed=0
Rst=Run
[1:12,0]
ScaleAdd
SF=2000
Shft=0
[1:9,0]
Divide
Den=1
[1:6,0]
Exp2
[1:2,0]
SqRoot
[1:3,0]
ButCoef
Gain=1
Fc=1000
NBiq=1
Type=LP
[1:11,0]
Enab=Yes
Biquad
nBIQ=1
{>Coef}
{>Delay}
[1:13,0] c
O
[1:14,0]
Ch=1
FIR 
FIR
Order=32
{>Coef}
{>Delay}
[1:1,0]
Description: 
This component filters the input with an Nth order FIR. The Order must be 
specified as at least 1 and not more than 1024. Two memory buffers are 
associated with FIR. The Coefficient buffer is [Order+1] in length and is kept in 
PM. A delay line of length [Order+1] is held in DM. Each digital filter needs its 
own coefficient generator. 
Coefficients can be generated using one of the Coefficient Generator 
components or supplied via parameter tag (for example, when generated using 
the Biquad Coefficient Control in OpenController software). 
Note: Filter frequencies should be less than half the sampling rate of the system. 
Name  Description  Data Type 
Input Input  Floating Point 
Output  Filtered signal  Floating Point 
Order 
N
umber of taps minus 1. Min=1, Max=1024  Integer (Static) 

RPvdsEx Manual 
198 
>Coef  Pointer to Coef buffer (PM). 
Ordering: 
B(0), B(1), B(2), … B(n), where n=Order 
Pointer 
>Delay  Pointer to delay buffer (DM).  Pointer 
Equation: 
Output = FIR (Input) 
Example:  
FIR/Data Table 
This example uses an FIR filter to alter the input signal. The FIR filter 
coefficients are loaded into a DataTable. The input of ADC channel one is 
filtered by the 33 tap FIR filter and played out of the DAC. The contents of the 
DataTable can be loaded with FIR filters generated from MATLAB. 
FIR
Order=32
{>Coef}
{>Delay}
[1:2,0]
d
c
[1:1,0]
Ch=1
c
O
[1:3,0]
Ch=1
FIR Coefs
= 0
FIR2 
FIR2
Order=31
nSets=1
SetSel=0
{>Coef}
[1:1,0]
{>Delay}
Description: 
The FIR2 is a single channel, optimized FIR filter that supports multiple filter 
coefficient sets.  
This component filters the input with an Nth order FIR. Order must be specified 
as at least 5 and should always be odd (nTaps will be even). Two memory 
buffers are associated with FIR2. The Coefficient buffer is [(Order+1)*nSets] in 
length and is kept in PM. A delay line of length [Order+1] is held in DM. FIR2 
supports instant coefficient switching through (zero-based) SetSel. Note that the 
FIR Coefficient Data Table may not be used with the FIR2 component.  
SetSel is used to specify the coefficient set to use.  This input can range from 0 
to nSets-1.  Setting this input to a value outside this range will cause your 
circuit to fail. 
All of the xxFIR2 components allow for a unique set of coefficients for each 
channel (when more than one channel is applicable) and instantaneous 
switching between coefficients sets using the SetSel input. Also longer filters 
can be specified. While there is a hard limit on the filter order of 8191, this 
value is more often limited by the amount of PM memory available for the 

RPvdsEx Manual 
199 
filter. When specifying an FIR2 type filter, pay special attention to any loading 
or memory allocation errors that are generated when your circuit is loaded. 
Note: This component is for use with only high performance processor devices, 
such as RXn or RZn. 
Note: Filter frequencies should be less than half the sampling rate of the 
system. 
Name  Description  Data Type 
Input Input  Floating Point 
Output  Filtered signal  Floating Point 
Order 
N
umber of taps minus 1. Must be odd. 
Min=5, Max is limited by available memory.  Integer (Static) 
nSets 
N
umber of coefficient sets.   Integer (Static) 
SetSel  Selects the coefficient sets to apply.   Integer 
>Coef  Pointer to Coef buffer (PM) 
See below for coefficient ordering. 
Pointer 
>Delay  Pointer to delay buffer (DM).   Pointer 
Equation: 
Output = FIR (Input) 
Coefficient  
Ordering: 
To optimize performance the FIR2 component requires each coefficient set be 
arranged into a shuffled format. Each coefficient set must be shuffled as 
follows: 
n = nTaps = Order + 1 
B(0), B(n/2), B(1), B(n/2+1) … B(n/2-1), B(n-1) 
For Example:  
Order = 9 
nSets = 3 
Filter coefficients in logical order: 
  B0 B1 B2 B3 B4 B5 B6 B7 B8  B9 
Set1: 1.0 1.1 1.2 1.3 1.4 1.5 1.6 1.7 1.8 1.9 
Set2: 2.0 2.1 2.2 2.3 2.4 2.5 2.6 2.7 2.8 2.9 
Set3: 3.0 3.1 3.2 3.3 3.4 3.5 3.6 3.7 3.8 3.9 

RPvdsEx Manual 
200 
The coefficients must be shuffled as follows: 
  B0 B5 B1 B6 B2 B7 B3 B8 B4 B9 
Set1: 1.0 1.5 1.1 1.6 1.2 1.7 1.3 1.8 1.4 1.9 
Set2: 2.0 2.5 2.1 2.6 2.2 2.7 2.3 2.8 2.4 2.9 
Set3: 3.0 3.5 3.1 3.6 3.2 3.7 3.3 3.8 3.4 3.9 
The coefficients are then concatenated and loaded as a row vector as follows: 
Coef = [Set1, Set2, Set3] 
IIR 
IIR
Order=2
{>Coef}
{>Delay}
[1:1,0]
Description: 
This component filters the input with an Nth order IIR. The Order must be 
specified as at least 1 and not more than 32. Two memory buffers are associated 
with IIR. The Coefficient buffer is [(Order*2)+2] in length and is held in PM. A 
delay line of length [(Order*2)+2] is held in DM. Each digital filter needs its 
own coefficient generator. 
Coefficients can be generated using one of the Coefficient Generator 
components or supplied via parameter tag (for example, when generated using 
the Biquad Coefficient Control in OpenController software). 
Note: Filter frequencies should be less than half the sampling rate of the 
system. 
Name  Description  Data Type 
Input Input  Floating Point 
Output  Filtered signal  Floating Point 
Order 
N
umber of taps minus 1. Min=1, Max=32  Integer (Static) 
>Coef  Pointer to Coef buffer (PM).  
Ordering: B(0), B(1), … B(n), A(1), … 
A(n), where n=Order 
Pointer 
>Delay  Pointer to delay buffer (DM).  Pointer 
Equation: 
FO = IIR (FI) 

RPvdsEx Manual 
201 
MCBiquad 
MCBiquad
nChan=16
nBIQ=1
{>Coef}
{>Delay}
[1:2,0]
Description: 
This component is a multi-channel version of the Biquad component. 
Coefficients must be supplied via the coefficient pointer (>Coef). The 
Coefficient buffer is [nBIQ*5] in length and is kept in PM. A delay line of 
length [((nBIQ*4)+1)*nChans] is held in DM.  
Coefficients can be generated using one of the Coefficient Generator 
components or supplied via parameter tag (for example, when generated using 
the Biquad Coefficient Control in OpenController software).  One to 16 biquad 
stages can be specified (nBIQ). The number of stages specified in MCBiquad 
must match the number of stages specified in the coefficient generator. A 
separate coefficient generator must be used for each MCBiquad.  
MCBiquad
nChan=16
nBIQ=1
{>Coef}
{>Delay}
[1:3,0]
MCAdcIn
nChan=16
ChanOS=1
[1:2,0]
ButCoef
Gain=1
Fc=1000
NBiq=1
Type=LP
[1:1,0]
Enab=Yes
FiltMCOut
Also see: Important Consideration for Working with Multi-Channel 
Components, page 57. 
Note: This component is for use with only high performance processor devices, 
such as RXn or RZn. 
Name  Description  Data Type 
Input Multi-channel input  Floating Point 
Output  Filtered multi-channel output  Floating Point 
nChan 
N
umber of channels of input/outpu
t
 Integer (Static)
nBIQ 
N
umber of Biquads (min=1, max=16)  Integer (Static)
>Coef  Pointer to Coef buffer (PM) 
See Biquad component, page 196 for ordering. 
Pointer 
>Delay  Pointer to delay buffer (DM)  Pointer 

RPvdsEx Manual 
202 
MCFIR 
MCFIR
nChan=16
Order=31
{>Coef}
{>Delay}
[1:2,0]
Description: 
The MCFIR filters each channel of a multi-channel input with an Nth order 
FIR. Order must be specified as at least 1 and must always be odd. The 
Coefficient buffer is [Order+1] in length and is kept in PM. A delay line of 
length [((Order+1)*nChan)+nChan] is held in DM.  
The MCFIR component is similar to the MCBiquad filter in that all channels 
are filtered with the same set of coefficients.  
See MCFIR2 if you need to have a different filter for each channel. 
Note: This component is for use with only high performance processor devices, 
such as RXn or RZn. 
Name  Description  Data Type 
Input Multi-channel input  Floating Point 
Output  Multi-channel filtered signal  Floating Point 
nChan 
N
umber of channels  Integer (Static) 
Order 
N
umber of taps minus 1. Must be odd. Min=1  Integer (Static) 
>Coef  Pointer to Coef buffer (PM). 
See FIR component, page 197 for ordering. 
Pointer 
>Delay  Pointer to delay buffer (DM).   Pointer 
Equation: 
Output = FIR (Input) 
MCFIR2 
MCFIR2
nChan=16
Order=31
nSets=1
SetSel=0
[1:2,0]
{>Coef}
{>Delay}
Description: 
The MCFIR2 is a multi-channel version of the FIR2 component. This 
component supports a different filter for each channel and multiple coefficient 
sets. 

RPvdsEx Manual 
203 
This component filters each channel in a multi-channel input with an Nth order 
FIR. Order must be specified as at least 3 and must be odd (nTaps will be 
even).  The Coefficient buffer is [(Order+1)*nChan*nSets] in length and is kept 
in PM. A delay line of length [((Order+1)*nChan)+nChan] is held in DM. 
MCFIR2 supports instant coefficient switching through SetSel. See FIR2 for 
more details. 
Note: This component is for use with only high performance processor devices, 
such as RXn or RZn. 
Name  Description  Data Type 
Input  Mult-channel input  Floating Point 
Output  Multi-channel filtered signal  Floating Point 
nChan 
N
umber of channels  Integer (Static) 
Order 
N
umber of taps minus 1. Must be odd. Min=3  Integer (Static) 
nSets 
N
umber of coefficient sets.   Integer (Static) 
SetSelect  Selects the coefficient sets to apply.   Integer 
>Coef  Pointer to Coef buffer (PM) 
See below for coefficient ordering. 
Pointer 
>Delay  Pointer to delay buffer (DM).   Pointer 
Equation: 
Output = FIR (Input) 
Ordering: 
Odd and even channel coefficients must be shuffled as follows: 
n = nTaps = Order + 1 
c = nChans 
B0(1), B0(2), B1(1), B1(2), ...Bn-1(1), Bn-1(2) : B0(3), B0(4), B1(3), B1(4) ... 
For Example:  
Order = 3 
nChan = 6 
Filter coefficients in logical order: 

RPvdsEx Manual 
204 
Chan B0 B1 B2 B3 
1  1.0 1.1 1.2 1.3 
2  2.0 2.1 2.2 2.3 
3  3.0 3.1 3.2 3.3 
4  4.0 4.1 4.2 4.3 
5  5.0 5.1 5.2 5.3 
6  6.0 6.1 6.2 6.3 
These coefficients must be shuffled as follows: 
  B0(o) B0(e) B1(o) B1(e) B2(o) B2(e) B3(o) B3(e) 
Ch1_2 1.0 2.0 1.1 2.1 1.2 2.2 1.3 2.3 
Ch3_4 3.0 4.0 3.1 4.1 3.2 4.2 3.3 4.3 
Ch5_6 5.0 6.0 5.1 6.1 5.2 6.2 5.3 6.3 
The coefficients are then concatenated and loaded as a row vector as follows 
(multiple sets are appended): 
Coef = [Ch1_2, Ch3_4, Ch5_6][next set...] 
MCSmooth 
MCSmooth
nChan=16
Alpha=0.0025
1
[1:2,0]
Description: 
The MCSmooth is a multi-channel version of the Smooth component. This 
component however, smooths multi-channel data using an exponential moving 
average. 
Note: This component is for use with only high performance processor devices, 
such as RXn or RZn. 
Name  Description  Data Type 
Input Multi-channel Input  Floating Point 
Output  Multi-channel Scaled plus add value of 
multi-channel Input  Floating Point 
nChan 
N
umber of channels of inpu
t
/output Integer (Static) 
Alpha  Smoothing factor (adjusts the degree of 
weighing)  Floating Point  

RPvdsEx Manual 
205 
Equation: 
Notes: 
Output = Alpha * Input  + (1 - Alpha) * Output -1 
Larger values of Alpha have less of a smoothing effect and place more weight 
on recent changes to the input. Smaller values of Alpha respond less to recent 
changes and produce a greater smoothing effect. 
Example:  
This example filters out any DC bias effectively AC coupling the multi-channel 
input signal. 
MCAdcIn
nChan=16
ChanOS=1
[1:1,0]
MCSmooth
nChan=16
Alpha=0.0025
1
[1:2,0]
MCScale
nChan=16
SF=-1
[1:3,0]
Inp
2
MCSum
nChan=16
[1:6,0]
ACCoupled
nChan=16
MCSmooth is used to eliminate frequency content below a certain frequency. 
The equation to calculate Alpha is based on the desired cutoff frequency and the 
sampling rate of the RPvdsEx circuit. The equation is: 
Alpha = 1 - e(-2*pi*high_pass_frequency/sampling_rate) 
where high_pass_frequency is the desired high-pass frequency  
and sampling_rate is the sampling rate of the RPvdsEx circuit (e.g. 
24414.0625) 
In this example circuit, Alpha = .00251 corresponds to ~9.8Hz high-pass filter. 
Smooth 
Smooth
Tau=100
[1:1,0]
Description: 
This component filters with a simple averaging filter. 
Name  Description  Data Type 
Input Input  Floating Point 
Output  Scaled plus add value of Input  Floating Point 
Tau  Smoothing Time constant in milliseconds  Floating Point 
(Static) 
Equation: 
Output = (1-K) * Input + K * Output -1 
Where: K = exp( -2*pi / ((Tau/1000) * SRATE)) 
Example:  
Smooth 

RPvdsEx Manual 
206 
This simple example demonstrates how smooth can be used to build an RMS 
measurement circuit. The input signal is smoothed with a time constant of 1000 
milliseconds before the RMS of the input is output. 
Smooth
Tau=1000
[1:2,0]
10.0464
RMS
[1:3,0]
d
c
[1:1,0]
Ch=1
StereoFIR2 
StereoFIR2
Order=31
nSets=1
SetSel=0
{>Coef}
[1:1,0]
{>Delay}
Description: 
The StereoFIR2 is an optimized stereo FIR filter that supports multiple filter 
coefficient sets and instantaneous set selection. 
This component filters the stereo input with an Nth order FIR. Order must be 
specified as at least 5 and always odd (nTaps will be even). The Coefficient 
buffer is [(Order+1)*nSets*2] in length and is kept in PM. A delay line of 
length [(Order+1)*2] is held in DM.   
StereoFIR2 works similarly to FIR2.  
See this component's description for more information on coefficient set 
selection.  
Note: This component is for use with only high performance processor devices, 
such as RXn or RZn. 
Name  Description  Data Type 
Input  Stereo input  Floating Point 
Output  Filtered stereo signal  Floating Point 
Order 
N
umber of taps minus 1. Must be odd. Min=5  Integer (Static) 
nSets 
N
umber of coefficient sets.   Integer (Static) 
SetSel  Selects the coefficient sets to apply. See FIR2. Integer 
>Coef  Pointer to Coef buffer (PM) 
See below for coefficient ordering. 
Pointer 
>Delay  Pointer to delay buffer (DM).   Pointer 
Equation: 
Output = FIR (Input) (two channels) 

RPvdsEx Manual 
207 
Coefficient  
Ordering: 
The coefficients must be shuffled into stereo sets as follows: 
n = nTaps = Order + 1 
BL(0), BR(0), BL(1), BR(1) … BL(n-1), BR(n-1) 
For Example:  
Order = 5 
nSets = 1 
Filter coefficients in logical order: 
Left B0 B1 B2 B3 B4 B5 
  1.0 1.1 1.2 1.3 1.4 1.5 
Right B0 B1 B2 B3 B4 B5 
  2.0 2.1 2.2 2.3 2.4 2.5 
The coefficients must be shuffled and loaded as follows: 
BL0 BR0 BL1 BR1 BL2 BR2 BL3 BR3 BL4 BR4 BL5 BR5 
1.0 2.0 1.1 2.1 1.2 2.2 1.3 2.3 1.4 2.4 1.5 2.5 
Multiple sets are appended logically as illustrated in FIR2. 
RPvdsEx Manual 
208 
Exponents and Logs 
Exponent and Log Components 
These processors include typical log and exponential functions as well as a linear-to-dB and dB-
to-linear processes. 
This group includes the following components:  
 dBToLin 
 Exp2 
 Exp 
 Exp10 
 ExpN 
 LinTodB 
 Log2 
 LN 
 Log10 
 LogN 

RPvdsEx Manual 
209 
dBToLin 
dBToLin
[1:1,0]
Description: 
Converts dB input to linear. 
Name  Description  Data Type 
Input Input  Floating Point 
Output  Linear conversion of dB level. OutputO = 10 ^ 
( Inputi / 20 )  Floating Point 
Equation: 
OutputO = 10 ^ ( Inputi / 20 ) 
Exp 
Exp2 
Exp10 
Exp
[1:1,0]
Exp2
[1:2,0]
Exp10
[1:3,0]
Description: 
These processors compute exponent of indicated base. 
Name  Description  Data Type 
Input Input  Floating Point 
Output  Exponential increase of input value (base 2, 
N
atural Log or base 10)  Floating Point 
Equation: 
FO = e ^ Fi    or    FO = 2 ^ Fi    or    FO = 10 ^ Fi 

RPvdsEx Manual 
210 
ExpN 
ExpN
a=1
b=1
[1:1,0]
Description: 
Computes natural exponent of the input with additional scalar values that alter 
the input and the computed Exponential value. 
Name  Description  Data Type 
Input Input  Floating Point 
Output  Exp (a*Input)*b  Floating Point 
a  Exponential scale factor alters input.  Floating Point 
b  Output scale factor  Floating Point 
Equation: 
Output = Exp (a * Input ) * b 
LinTodB 
LinTodB
[1:1,0]
Description: 
Converts linear input to dB. 
Name  Description  Data Type 
Input Input  Floating Point 
Output  Linear conversion of dB level. Output = 
20*Log10 ( Input)  Floating Point 
Equation: 
FO = 20 * Log10 ( Fi ) 
Example: 
PowerBand, page 96. 

RPvdsEx Manual 
211 
LN 
Log2 
Log10 
LN
[1:1,0]
Log2
[1:2,0]
Log10
[1:3,0]
Description: 
These processors compute logarithm of indicated base. 
Name  Description  Data Type 
Input Input  Floating Point 
Output  Logarithm of input (Log 2, Natural Log or log 
10)  Floating Point 
Equation: 
FO = Ln( Fi )    or    FO = Log2 ( Fi )    or    FO = Log10 ( Fi ) 
LogN 
LogN
a=1
b=1
[1:1,0]
Description: 
Computes natural log with scalars for changing base, and so forth. 
Name  Description  Data Type 
Input Input  Floating Point 
Output Ln(a*Input)*b  Floating Point 
a  Exponential scale factor alters input.  Floating Point 
b  Output scale factor  Floating Point 
Equation: 
Output = Ln (a *  Input) * b 
RPvdsEx Manual 
212 
Gating Functions 
Gating Function Components 
The components in this group are used to gate the onset and offset of signals with the specified 
envelope shape. 
This group includes the following components:  
 Cos2Gate 
 LinGate 
 LinRamp 

RPvdsEx Manual 
213 
Cos2Gate 
Cos2Gate
Trf=10
Ctrl=Closed
[1:1,0]
Description: 
Gates signal with Cos2 of specified rise/fall. Functions as an enable line. The 
gate will stay on as long as CTRL is HI. The rise time is the time it takes for the 
signal to reach 90% of the maximum value. The fall time is the time it takes the 
signal to reach 10% of the maximum value. The signal will start falling as soon 
as the CTRL goes low. 
Name  Description  Data Type 
Input Input  Floating Point 
Output Gated Signal  Floating Point 
Trf  Rise/Fall time in milliseconds  Floating Point (Static) 
Ctrl  Opens gate on High closes on Low.  Logic 
Example: 
External Trigger, page 237. 
LinGate 
LinGate
Trf=10
Ctrl=Closed
[1:1,0]
Description: 
Generates a linear gate with specified characteristics when triggered. Ctrl acts 
as an enable line. The rise time is the time it takes for the signal to reach 90% of 
the maximum value. The fall time is the time it takes the signal to reach 10% of 
the maximum value. The signal will start falling as soon as the Ctrl goes low. 
Name  Description  Data Type 
Input Input  Floating Point 
Output Gated Signal  Floating Point 
Trf  Rise/Fall time in milliseconds  Floating Point (Static) 
Ctrl  Opens gate on High closes on Low.  Logic 
Example: 
Digital-to-Analog Delay, 183. 

RPvdsEx Manual 
214 
LinRamp 
LinRamp
Min=0
Max=1
Trf=10
Ctrl=Closed
[1:1,0]
Description: 
Generates a linear ramp that begins at the Min value and goes towards the Max 
value over the specified Rise/Fall Time. 
Name  Description  Data Type 
Output Output value  Floating Point 
Min  Minimum gate value  Floating Point 
Max  Maximum gate value  Floating Point 
Trf  Rise/Fall time in milliseconds between 
Min and Max value  Floating Point 
Ctrl  Ramp starts on pulse high stays on until 
pulse goes low.  Logic 
Example:  
Linear Ramp 
File: Examples\LinRamp_ex.rcx 
Default Device: RP2.1 Processor 
Sampling Rate: 25 kHz 
This example creates 20 ms long pulses with a 100 ms inter-pulse interval that 
is used to ramp a tone on and off using LinRamp. The output from LinRamp is 
used to control the amplitude parameter of the tone to gate it on and off. 
[1:1,0]
Src=Soft1
PulseTrain
Thi=20
Tg=0
Tlo=100
Npls=0
[1:3,0
]
CurN=0
Stage=0
Trg=0
LinRamp
Min=0
Max=1
Trf=10
Ctrl=Closed
[1:5,0]
Tone
Amp=1
Shft=0
Freq=1000
Phse=0
[1:7,0]
Rst=Run
c
O
[1:8,0]
Ch=1
RPvdsEx Manual 
215 
Helpers 
Helper Components 
Helpers are used to simplify circuit design (HopFrom, HopTo), debug a circuit (Graph, 
ParWatch), control a circuit while it is running (DataTable), or send data between the PC and the 
RPX (ParTag, Graph, DataFile).  
Note to RL2Stingray users: Remember to turn off Helpers before undocking the Stingray. 
This group includes the following components:  
 DataTable 
 DestinFile 
 Graph 
 HopFrom and HopTo 
 Iterate 
 MemoBox 
 ParTag 
 ParWatch 
 ScriptTag 
 SourceFile 

RPvdsEx Manual 
216 
DataTable 
MyData
= 1
Description: 
The DataTable can be used to supply data to a parameter or Data type input. 
Supports output of scalar values; Biquad, IIR, and FIR filter coefficients; and 
State Machine values. The up and down arrows manually change the index that 
selects the output data and are accessible using ActiveX controls or in 
RPvdsEx. Table values are set before the chain is run. A dialog box is opened 
by double-clicking on the DataTable icon: 
The DataTable dialog box has a drop down menu for the format of the Table the 
possible formats are 
Type Format  Function 
Disabled No Data values 
Scalar  Single Floating point value 
FIR Coef  Coefficients generated for FIR filter. 
IIR Coef  Coefficients generated for IIR filter 
BIQ Coef  Coefficients generated for Biquad filter 
nRow Multiple rows 
State Machine  Generates Jump table for State Machine 
Chan Map  Channel Mapping for MCMap 
Note: Channel Map starts with Channel 0

RPvdsEx Manual 
217 
For most of the DataTable types a row index is generated for the number of 
rows required in the data table. Each table can hold 1024 values. The values can 
be divided between the number of rows and columns. For example a Table with 
700 rows would have 1 column. While a table with 20 rows could have 51 
columns. The number of rows is controlled by a number box like the one below. 
You select the Type/Format of the DataTable and the No. 
Rows or Coefficients in the table and then reformat the table. 
Changing the output of a Data Table 
To change the Column number while the circuit is running 
click on the up/down arrows on the DataTable icon from 
within RPvdsEx. 
The index of the Data Table can also be changed using an ActiveX control. 
Name  Description  Data Type 
Output  Output values from a data table  Any 
Index  Data table that values are read from.  Integer 
Example(s): 
FIR/Data Table, page 198 
DestinFile 
NoName
Name=
N=0
OS=0
Append=0
Description: 
A DestinFile can transfer data from the RP Device to the PC. DestinFiles are 
supported within RPvdsEx only. While designing the circuit, information like 
the exact location of the file for storing the data (NAME), the number of data 
points to be stored in the file (N) , and the offset value for the data file (OS) are 
set in the component. 
If number of data points to be stored is not known, '0' can be entered. To append 
the data to an existing data file 'Append' should be set to '1'. 
The Data transfer is initiated by clicking the green arrow in the DestinFile 
component. 
The DestinFile component can also be used with 16-Bit integer format('. I16') 
data if the 'Comp to 16' component is used to convert the data to 16-Bit integer 
format before transferring it to the destination file. Data cannot be saved to a 
'wav' file using the DestinFile component. 

RPvdsEx Manual 
218 
Name  Description  Data Type 
Input  Input to the 'destin file'  32-Bit Floating Point (F32), 
16-Bit Integer (I16) 
N
ame 
N
ame of the destination file with 
exact path  String 
N
N
umber of points to be stored in 
the data file ('0'if unknown)  Integer 
O  Offset value of the data file ('0' if 
no offset)  Floating Point 
Append  Append='1' if you want to append 
the data, '0' writes over existing 
data. 
Integer 
Example:  
DestinFile 
The example below collects 100000 points from an Analog channel input when 
a software trigger is set. After the data is acquired the user can download the 
signal information by clicking on the green arrow. 
d
c
[1:4,0]
Ch=1 SerStore
Size=100000
Rst=0
WrEnab=1
[1:5,0]
Index=0
{>Data}
Schmitt2
nHi=100000
nEnab=1
[1:2,0]
[1:1,0]
Src=Soft1
NoName
Name=C:\T
D
N=100000
OS=0
Append=0
Graph 
DT=Float32
nChan=1
UD=2Hz
Source
10
-100100
Description: 

RPvdsEx Manual 
219 
Graph contents of buffer connected to Source. Graph works within RPvdsEx. 
The arrows surrounding the graph are used to change the scale of the x and y 
axes. The large arrow is used to manually update the graph. Double click to 
modify update mode with one of the listed options. 
d
c
[1:9,0]
Ch=1
SerStore
Size=100000
Rst=0
WrEnab=1
[1:10,0
]
Index=0
{>Data}
DT=Float32
nChan=1
UD=2Hz
Source
2
-20200
Notice that the connector points to the Graph 
Graph can graph all data types, as well as multiple channels. With a high speed 
USB connection it is possible for graph to refresh the screen 10 times a second. 
Name  Description  Data Type 
UD  Update of graph (Man,1,2,5,10) times a second. Static 
DT  Data Type (32-bit float, 32-,16-,8-bit integer 
values)  Static 
nChan 
N
umber of channels (1,2,4)  Static 
Source  Pointer to DataBuffer Pointer 
HopFrom 
HopTo 
Hop From...
... Hop To
Description: 
Allows graphical breaks in the RPvdsEx circuit, which allows one to build 
complex circuits without overlapping lines. Used as a pair with one Hop From 
and one or more HopTo. There are no accessible parameters. Double-click on 
Hop to access the label. 
Example: Hops 
In this example a HopTo is connected to the output of the Biquad filter, and 
named 'Noise'. A separate HopFrom named 'Noise' is connected to a ScaleAdd 
component and to a second DAC. 

RPvdsEx Manual 
220 
Tone
Amp=1
Shft=0
Freq=1000
Phse=0
[1:6,0]
Rst=Run
GaussNoise
Amp=1
Shft=0
Seed=0
Rst=Run
[1:2,0]
ButCoef1
Gain=1
Fc=1000
BW=100
Type=LP
[1:1,0]
Enab=Yes
Biquad
nBIQ=1
{>Coef}
{>Delay}
[1:3,0]
Noise
Noise
c
O
[1:5,0]
Ch=2
ScaleAdd
SF=1
Shft=0
[1:7,0]
c
O
[1:8,0]
Ch=1
Iterate 
Iterate:  x =1 to 16 by 1
Description: 
An iteration box is a helper that greatly simplifies multi-channel circuit design. 
The sub-circuit within the iterate box is duplicated a specified number of times. 
The number of duplications is specified using the variable parameter x along 
with its start and step size. Adding the character ‘x’ enclosed in braces ({x}) in 
the sub-circuit will cause consecutive values from 1 to x to be inserted in place 
of the ‘x’ in each duplicate.  
For example:  
If x = 16, start = 1 and step = 2, then there will be eight iterations and x will 
take the values 1, 3, 5, 7,.., 13, and 15. 

RPvdsEx Manual 
221 
Using Iteration 
Iterate:  x =1 to 3 by 1
ConstF
K=10
[1...,1-01...
]
RamBuf
Size=1000
Index=0
Write=0
{>Data}
[1...,2-01...]
Signal{x}
An Equivalent Circuit Without Iteration 
ConstF
K=10
[1:1,0]
RamBuf
Size=1000
Index=0
Write=0
{>Data}
[1:2,0]
Signal1
ConstF
K=10
[1:3,0]
RamBuf
Size=1000
Index=0
Write=0
{>Data}
[1:4,0]
Signal2
ConstF
K=10
[1:5,0]
RamBuf
Size=1000
Index=0
Write=0
{>Data}
[1:6,0]
Signal3
Using iterations greatly simplifies circuit design. However, it does not reduce 
the number of components. The number of components created by the circuits 
above is identical.  
In fact the circuits are equivalent and produce identical results when compiled. 
The main advantage of using iterations is the manageability of the circuit. It 
makes the circuit concise and easy to manage and edit. Each modification in the 
circuit needs to be made only once.  
When the iterate component is added, the user can drag the box boundaries 
around any sub-circuit. All components and links must be either inside or 
outside the box. Intersecting the box with a link is not permitted. 
Note: When hops or parameter tags are used within the iterate box, they should 
typically include the variable {x} in their labels. If the x variable is not used, a 
single object such as a parameter tag will have multiple sources. 
Using Variables 
Iterations can make use of up to three variables, including the x variable and 
two constants, a and b. The variables can be accessed and edited in the 
parameter box which can be opened by double-clicking the top border of the 
iterate box. The variables may be used in the labels of hops, parameter tags, or 
component parameters. 
RPvdsEx Manual 
222 
Adding the character for any of the variables (x, a, or b) within braces (such as, 
{a}, {b}, or {x}), will cause the value for the variable to be inserted in place of 
the symbol in every iteration. With the variable x, such as {x+a}, the value of x 
is incremented with each iteration. This is very useful when a channel offset 
number is needed.  
For example: 
If x = 16, start = 1, step = 1, and a = 16, then (x+a) will take values 17, 18, 
19,…, 31 and 32. 
Using Iterations with MCToSing 
Another powerful and efficient use of the iterate component is its use with the 
multi-channel component MCToSing. Together these components can be used 
to extract single-channel signals from a multi-channel signal. Each channel can 
then be processed by single channel components.  Ordinarily, a separate circuit 
segment would be required to extract and process each signal. With the use of 
iterate, the user can put the circuit for a single channel within the iterate box, 
and then put {x} in the channel selector of MCToSing and in the labels of any 
parameter tags in the sub-circuit.  
Assigning An Iterate Box To More Than One Processor 
Assigning a page that contains an iteration box to multiple processors allows the 
user to build the iterate box with the associated circuitry within it, just once. 
When this technique is used, the character d, within braces ({d}), must be added 
in the circuit wherever the iterate box needs to be different for each processor. 
The letter d will take the value corresponding to the processor to which it is 
assigned. Values are 0, 1, 2, 3 and 4 for the main and auxiliary processors 
respectively.  
For example: 
If x = 16, start = 1, step = 1, a = 16, then {x + (d*a)} will take values: 
1, 2, 3,…, 15, 16 in the first auxiliary processor  
17, 18, 19,…,31, 32 in the second auxiliary processor 
33, 34, 35,…, 47, 48 in the third auxiliary processor  
49, 50, 51,…, 63, 64 in the fourth auxiliary processor 
Note: In this example, the four auxiliary processors are used to process 16 
channels each.  
Because the value associated with the main processor is 0, the formula used in 
this example should not be used when the iteration box is assigned to multiple 
processors.  
The Duplication Information Dialog Box 
After the circuit has been compiled a Duplication Information Dialog Box can 
be displayed by right-clicking a component and clicking Duplication Info. The 
Duplication Information dialog box displays several columns of information 
regarding the state of the component and its parameters in each iteration of the 
circuit. Buttons at the top of the dialog box allow the user to display 
information for each processor to which the component might have been 
assigned. 
The first four columns are always the duplication number (ItNo.), component 
name (Name), component number (CmpNo.), and time slice (T.S.). The 
component numbers displayed are offset for each auxiliary processor. Because 

RPvdsEx Manual 
223 
each processor can utilize up to 256 components, each processor is offset by a 
multiple of 256. For example, the main processor uses component numbers 1-
256, while the Aux-1 processor uses component numbers 257-512. 
The standard columns are followed by columns for each of the components 
parameters. This list of iterations and variable values are for user reference and 
debugging.  
For example, the duplication information for the MCToSing component from 
the example below is shown here. Notice that the channel number (ChanSel) 
varies from 1 through 16. In the example the iteration variable {x} was assigned 
to channel number. 
Similarly, the duplication information for the SortSpike2 component from the 
example below is shown here. Because the variable {x} is not a part of any of 
the parameters of the SerStore component, none of the columns have a list of 
successive or changing values. 

RPvdsEx Manual 
224 
Name  Description 
Repeats  The number of times the iteration is produced and the value of 
the variable {x} within the circuit 
Start 
N
umber where x starts 
Step 
N
umber by which to increment x 
a=  A constant value which is inserted everywhere {a} is found in 
the iterated circuit. 
Also works with {x+a}, {x-a} and so on. 
b=  A constant value which is inserted everywhere {b} is found in 
the iterated circuit. Also works with {x+b}, {x-b} and so on. 
Example:  
Iterations 
Iterations are commonly used with a MCToSing and single channel processing 
components, to extract and process each channel of a multi-channel signal. 
When MCToSing is used inside an iteration box, the variable x associated with 
the iteration box can be assigned as the channel number. In the example below, 
FiltSig is a 16 channel signal, from which one channel is extracted. Spikes are 
then sorted on the extracted channel. This entire circuit is being iterated 16 
times, that is, when the circuit is compiled the iterated portion of the circuit will 
be duplicated 16 times. Each instance will process a different channel. Notice 
that the variable x is included everywhere in the circuit where distinctions need 
to be made between the channels (for example, parameter tags). 
Iterate:  x =1 to 16 by 1
Enable
Reset
iTime
Enable
Reset
iTime
FiltSig
MCToSing
ChanSel={x}
[1...,13-01...]
SortSpike2
nWid/4=5
Thresh=1
UseSign=1
Enab/Rst=1
[1...,14-01...]
SortBits=0
Strobe=0
Tag
{>Coef}
{>Data}
aEA~{x+a}
Enable
iTime
cEA~{x+a}
PlotDec16
nDec=128
SF=1e+006
Enab=1
[1...,18-01...]
Strobe=0
Enable
SerStore
Size=12800
Rst=0
WrEnab=1
[1...,20-01...
]
Index=0
{>Data}
Reset
dPD~{x+a}
sPD
SerStore
Size=32000
Rst=0
WrEnab=1
[1...,16-01...
]
Index=0
{>Data}
dEA~{x+a}
Reset
sEA~{x+a}

RPvdsEx Manual 
225 
MemoBox 
This is a MemoBox
Description: 
A MemoBox component is used to place text in the circuit. The MemoBox does 
not affect the functionality of the circuit in anyway. It is useful for describing 
how the circuit works (similar to comments in source code) and labeling parts 
of the circuit. 
ParTag 
ParTagL
ParTagR
Description: 
Parameter tags are used to control component Parameter variables and access 
data from signal outputs, component parameters and data ports from a program 
while the chain is running. To find out how parameter tags are used in 
programming see the ActiveX help. 
Parameter tags always point to the parameter component. 
ParTagL and ParTagR function the same. The difference is for aesthetic 
purposes. 
The maximum length of a parameter Tags name is 32 characters. Parameter tag 
names are case sensitive. 
Parameter tags function in Control Object Files (*.rco) that are accessed via 
ActiveX controls or through DLL's. 
Connecting to a Signal Input 
Parameter tags can not access signal inputs directly. Signal Inputs are found in 
the top right-hand part of the components. The illustration below shows two 
correct parameter connections and an incorrect one (red connection path). 
Divide
Den=1
[1:1,0]
Incorrect
Denominator
Output
To access a signal input use one of the following: ConstF, ConstI or ConstL. 
The example below uses a constant Float to convert the parameter tag into 
signal output that can be feed into a signal input. 
Divide
Den=1
[1:2,0]
Correct
Denominator
ConstF
K=0
[1:1,0]
Output

RPvdsEx Manual 
226 
ParWatch 
ParWatch
Description: 
Parameter Watch. When connected to the output of any component, it reports 
the value of the component. Very useful for debugging circuits and checking 
cycle usage. The default data type for ParWatch is floating point. 
When connected to a parameter value that allows any type a floating point value 
will be returned. This gives erroneous values for integer or logical values. To 
fix this include an INT2FLT or TTL2FLT component between the output and 
the ParWatch. 
Monitoring Output Values 
This example shows how a parameter watch can be used to monitor the levels 
of another component. Here it is reporting the RMS value. 
Tone
Amp=1
Shft=0
Freq=1000
Phse=0
[1:1,0]
Rst=Run
c
O
[1:2,0]
Ch=1
0.707511
RMS
[1:4,0
]
ScriptTag 
Description: 
A ScriptTag makes it possible to include scripting in RPvdsEx circuits. This 
powerful new feature allows for complex automatic access to circuit elements 
via an imbedded basic language. It includes an editor and a debugger and has 
been extended to include a number of powerful hardware access commands.  
The code within the scripted tag is executed when the tag is accessed (read from 
or written to). This is done in the same manner as accessing parameter tags with 
ActiveX commands or through OpenEx.  
Important: This component is primarily for TDT use. Comprehensive 
documentation and support for end-user scripting is not available at this time. 
Example: 
This example sets the value of a ScriptTag named HPFreq with ActiveX 
commands. 
setval = RP.SetTagVal(HPFreq,hp) 

RPvdsEx Manual 
227 
When the ScriptTag is written to, the internal code is run. The internal code 
may or may not use the value ‘hp’ from the SetTagVal command. Therefore, if 
you only need to trigger the code to run, the value for ‘hp’ is irrelevant. 
Note: A ScriptTag given the reserved name ‘InitScript’ will execute its code 
when the RPvdsEx circuit is run. This enables the user to set default values 
without having to explicitly access the ScriptTag. 
SourceFile 
NoName
Name=
N=0
OS=0
Description: 
A data file sends a file from the PC to the RP device. SourceFiles are supported 
within the RPvdsEx application and with ActiveX controls. During the design 
of the circuit using a SourceFile, the number of points to load from the file and 
the OS (offset of the data file) are set. Once the circuit is running, the 
information from the data file resides in a memory Buffer. 
The data file can have any of the following data formats 32-Bit float, 32 and 16-
bit integer, ASCII, or WAV files. The memory buffer of the component that the 
SourceFile is connected to has access to the file. In most cases a portion of the 
file is stored in a memory buffer. The size of the buffer is dependent on the 
amount of memory allocated to the serial or RAM buffer. 
When a SourceFile is used with a serial or RAM buffer the write enable line 
must be set to 0 (read from buffer). 
When used within RPvdsEx, before the chain is run the user must define the file 
name, number of points to read, and offset. With ActiveX it is possible to 
control some of these variables dynamically.  
SerialBuf
Size=3000
Rst=0
AccEnab=1
Write=0
[1:1,0]
NBl ks=0
Index=0
{>Data}
Signal
Name=C:\T
D
N=0
OS=0
iCompare
K=2999
Test=LT
[1:4,0]
c
O
[1:2,0]
Ch=1
StopPlay
SigPlay
In the example above, when the circuit starts the SourceFile is loaded and the 
serial buffer plays the signal until it reaches the end of the buffer. The iCompare 
sends out a logical high while the buffer index is less than 2999 (buffers start at 
zero) when it reaches 2999 StopPlay is set to 1. 

RPvdsEx Manual 
228 
Name  Description  Data Type 
Output  Output value from a data file  Any 
N
ame  File name and path. Can have the following data 
formats: 32-bit floating point 32- and 16-bit floating 
point, ASCII file and WAV file format. 
String 
N
N
umber of points to read  Integer 
OS  Offset value of data file  Floating Point 
Example(s): 
3D Circle, page 90. 
RPvdsEx Manual 
229 
Input/Output 
Input and Output Components 
This set of components handle input and output for circuits. Inputs include A/D converters, TTL 
inputs, and Trigger inputs. Outputs include D/A converters and TTL outputs. Use circuit 
components from this group to connect a circuit to the physical world. 
This group includes the following components:  
 AdcIn 
 BitIn 
 BitOut 
 DacOut 
 StereoAdc 
 StereoDac 
 TimeStamp 
 TrgIn 
 WordIn 
 WordOut 
This group also includes the following components, if RPvdsEx Device Setup is 
configured for a high performance device, such as the RXn or RZn: 
 MCAdcIn 
 MCDacOut 
 MCeStim 
Important Note!: This group also includes MCVidAcc and MCStrmFifo components, intended 
primarily for TDT use in behind-the-scenes macro design. They are not intended for general use. 

RPvdsEx Manual 
230 
AdcIn 
d
c
[1:1,0]
Ch=1
Description: 
Feeds the signal stream with A/D input channel specified. Converts 24 bit 
integer input to floating point value. Also scaled and shifted to yield calibrated 
voltage level. 
A parameter input allows users to dynamically change the channel number. 
Name  Description  Data Type 
Output  Output values from ADC channel   Floating Point 
Channel  Parameter input to dynamically change the 
channel number  Integer 
Equation: 
FO = ADC channel D1 
Example(s): 
Scale and Add, page 49. 
Butterworth Coefficients, page 147. 
BitIn 
Bi
[1:1,0]
M=8
Description: 
Feeds the signal chain with bit(s) from the digital input port. BitIn will logic 
'OR' all bits of the input port specified in Mask to produce a single logic high or 
low. 
Name  Description  Data Type 
Output  Logic value after bit-masked OR  Logic 
M  Bit-Mask value for port; if any of those port 
values are high BitIn goes high  Floating Point 
Standard integer values for addressing digital bits are provided in the table 
below. 
Digital Bit   Bit Mask (M=__) 
Bit 0  1 

RPvdsEx Manual 
231 
Bit 1  2 
Bit 2  4 
Bit 3  8 
Bit 4  16 
Bit 5  32 
Bit 6  64 
Bit 7  128 
Note: There is a two cycle delay when using the BitIn component. 
Equation: 
LO = If (Digital Input Port && D1) 
Example(s): 
If Digital Input Port = 7 and D1 = 3 Then LO = 1 
If Digital Input Port = 8 and D1 = 3 Then LO = 0 
BitOut 
Bi
[1:1,0]
M=8
Description: 
Sets or clears bits of the digital output port based on the inputs logic level. All 
bits specified in Mask will be set when the input is high else the bits will be 
cleared. 
Name  Description  Data Type 
Input Logic value  Logic 
M  When logic goes high all port values set with 
the bit-mask go high  Floating Point 
Standard integer values for addressing digital bits are provided in the table 
below. 
Digital Bit   Bit Mask (M=__) 
Bit 0  1 
Bit 1  2 
Bit 2  4 
Bit 3  8 

RPvdsEx Manual 
232 
Bit 4  16 
Bit 5  32 
Bit 6  64 
Bit 7  128 
Note: There is a three cycle delay when using the BitOut component. 
Important:! Circuits that contain both BitOut and WordOut the Bitmasks can 
not overlap. For example, a circuit where the BitOut and WordOut both use bit 
2 (BitMask=4) the circuit will set the value based on the last component in the 
circuit. 
Equation: 
Digital Output Port = Li masked by D1 
Example(s): 
If Li = 1 and D1 = 3 then Digital Output Port bits 0 and 1 = 1 
If Li = 0 and D1 = 3 then Digital Output Port bits 0 and 1 = 0 
DacOut 
c
O
[1:1,0]
Ch=1
Description: 
Converts floating point signal input to integer value and sends to specified D/A 
output channel. The value is scaled and shifted to provide calibrated voltage 
output. 
A parameter feed allows users to change the channel output dynamically. 
Name  Description  Data Type 
Input Input  Floating Point 
Channel #  Changes the channel number dynamically  Integer 
Equation: 
DAC channel D1 = Fi 
Example(s): 
See ScaleAdd, page 49. 

RPvdsEx Manual 
233 
MCAdcIn 
MCAdcIn
nChan=16
ChanOS=1
[1:1,0]
Description: 
This component is a multi-channel version of the AdcIn component. MCAdcIn 
feeds the circuit with the multi-channel input from a high performance device, 
such as the RX5.  With the RX5, analog signals are digitized on a preamplifier 
and sent to the base station via its fiber optic ports (Amp-A, Amp-B, Amp-C, 
and Amp-D). The channel offset (ChanOS) can be used to specify acquisition 
channels, such as channels from a specific amplifier. For example, to acquire 
signal data from Amp-B you would set the channel offset to 17.  The number of 
channels fed to the multi-channel output is specified by nChan.  
The minimum and maximum number of channels allowed in multi-channel 
signals is 4 and 256, respectively. However, the user must consider their 
hardware configuration when setting the number of channels. For example, the 
maximum number of analog input channels available on the Pentusa (RX5BA-
5) is 64. Therefore, the number of channels for the MCAdcIn component must 
not exceed 64 when using this device. 
Also see: Important Consideration for Working with Multi-Channel 
Components, page 57. 
Note: This component is for use with only high performance processor devices, 
such as RXn or RZn. See the reference for your device for more information. 
Name  Description  Data Type 
Output Multi-channel output  Floating Point 
nChan 
N
umber of channels in output signal  Integer (Static) 
ChanOS  Channel offset number  Integer 
MCDacOut 
MCDacOut
nChan=4
ChanOS=1
[1:2,0]
Description: 
This component is a multi-channel version of the DacOut component. 
MCDacOut converts the floating-point values in the multi-channel input signal 
to integer values and sends them to the specified analog output channels. The 
values are scaled and shifted to provide calibrated voltage output.  

RPvdsEx Manual 
234 
MCDacOut
nChan=4
ChanOS=1
[1:4,0]
MCConst
nChan=4
Value=1
[1:3,0]
Tone
Amp=1
Shft=0
Freq=1000
Phse=0
[1:1,0]
Rst=Run
The minimum and maximum number of channels allowed in multi-channel 
signals is 4 and 256, respectively. However, the user must consider their 
hardware configuration when setting the number of channels. For example, the 
maximum number of analog outputs available on the Pentusa is four. Therefore, 
the number of channels for the MCDacOut must not exceed four.  
Note: This component is for use with only high performance processor devices, 
such as RXn or RZn. 
Name  Description  Data Type 
Input Multi-channel input  Floating Point 
nChan 
N
umber of channels require
d
 Integer (Static) 
ChanOS  Channel offset   Integer 
MCeStim 
Description: 
This component is used to send digital stimulus waveforms to the IZ2 Stimulus 
Isolator. The total number of channels configured for stimulation is defined in 
the nChan parameter. A multi-channel input accepts stimulus waveforms and an 
eight-channel output returns the actual stimulus voltage for monitoring. The 
MonBank parameter selects which bank of eight channels to be monitored. 
The logic input parameter VMode determines if the IZ2 acts as a constant 
current (0) or voltage (1) source. 
Use of the IZ2_Control macro is highly recommended as it provides all of the 
necessary settings for the IZ2 Stimulator.  
Note: This component is for use with the IZ2 Stimulus Isolator and RZ2 high 
performance processor devices. See the System 3 Manual for more information. 
Name  Description  Data Type 
Input  Multi-channel floating point input stream of 
stimulus waveforms  Floating Point 

RPvdsEx Manual 
235 
Output  Eight channel floating point multichannel 
monitor output.  Floating Point 
nChan 
N
umber of stimulus channels to send to IZ2. Integer (Static)
VMode  Configures the IZ2 to run in Voltage Mode 
(1) or Current Mode (0).  Logic 
MonBank  Select which bank of eight channels to 
monitor (integer, 0-15)  Integer 
OpBits 
N
ot used at this time.  Integer 
StereoAdc 
e
o
[1:1,0]
Ch=1
Description: 
Generates stereo signal from channel 1 (left) and 2 (right) ADC inputs.  
Name  Description  Data Type 
Output  Stereo formatted signal  Floating Point 
Ch  Left channel input (must =1)  Integer (Static) 
StereoDac 
e
o
[1:1,0]
Ch=1
Description: 
Plays stereo input out of channel 1 (left) and 2 (right) DAC outputs.  
Name  Description  Data Type 
Input  Stereo input  Floating Point 
Ch  Left channel input (must = 1)  Integer (Static) 

RPvdsEx Manual 
236 
TimeStamp 
TimeStamp
BitNum=0
Rst=Run
Enab=Yes
[1:1,0
]
Strobe=0
Description: 
TimeStamp is used with the Barracuda(RV8) and Multifunction Processor 
(RX6). It is a submicrosecond accurate event-timer. On each tick of the sample 
clock the TimeStamp waits for a trigger input. When the trigger goes high, the 
TimeStamp component outputs a value equal to the number of microseconds 
since the start of the sample period. 
The TimeStamp can detect triggers on a specified digital input line. The 
BitNum parameter determines which digital input bit is monitored for triggers. 
A Reset line (Rst) resets the TimeStamp and readys it for the next event. The 
Enable (Enab) line enables the TimeStamp function (Yes=1 to enable). The 
Strobe out should be connected to a latch or buffer operation to save the 
TimeStamp value (see example below). 
Note: On the RV8, bits 0-15 can be monitored for triggers. On the RX6, bits 0-
3 can be monitored. 
Name  Description  Data Type 
Output  Time in microseconds since the beginning of the 
current sample period  Floating Point 
BitNum  The number of the digital input bit (0-15 RV8, 0-3 
RX6)  Integer 
Rst  Resets the timer value (logic high allows it to run 
continuously)  Logic 
Enab Enables the TimeStamp  Logic 
Strobe  Pulses out a logical high for a tick of the clock 
when component is triggered (used to latch/store 
data) 
Logic 

RPvdsEx Manual 
237 
TrgIn 
[1:1,0]
Src=Soft1
Description: 
Feeds the signal chain with the specified trigger source. Use to feed system 
triggers to various Logic inputs of counters etc. Trigger options set before run. 
When the zTrigIn component is configured for a software trigger, the trigger 
will remain high for one sample. However, if the zTrigIn is configured for the 
zBusA or zBusB trigger the time high will depend upon the sample rate. For 
example, at 6 kHz the trigger will remain high for one sample, but at 25 kHz the 
trigger will remain high for 5 samples.  
If you wish to use the zBusA or zBusB trigger and need a single sample trigger 
pulse, use an EdgeDetect component to detect the rising edge of the trigger 
before feeding the trigger line to enable, reset, or other triggering parameters. 
Name  Description  Data Type 
Output  Pulses high when triggered  Logic 
Src  external Trigger: Triggers RPX through the trigger 
in port 
z
Bus Trigger's A and B: synchronizes Triggering to 
RPX connected across racks 
Software Trigger 's#1-10: Sends a trigger to an RPX 
device via a software control on the PC 
Static 
Equation: 
LO = If ( D1 ) 
Example:  
External Trigger 
This circuit uses an external trigger as an Enable line to gate a tone on and off. 
When the external trigger goes high, the Cos2Gate will rise with a 10 ms rise 
time. When the external trigger goes low, the Cos2Gate will fall with a 10 ms 
fall time. 
[1:1,0]
Src=Extern
Tone
Amp=1
Shft=0
Freq=1000
Phse=0
[1:3,0]
Rst=Run
Cos2Gate
Trf=10
Ctrl=Closed
[1:4,0]
c
O
[1:5,0]
Ch=1

RPvdsEx Manual 
238 
WordIn 
W
[1:1,0]
M=255
10110100
Description: 
Feeds the chain with an integer representation of the digital input port. The 
digital input port is logic 'ANDed' with the specified Mask and the resulting 
value is fed to the signal chain. 
Name  Description  Data Type 
Output  Integer representation of digital input port  Integer 
M  Bit-mask. Decimal value for desired bits on port.  Integer 
Note: There is a two cycle delay when using the WordIn component. 
Equation: 
Io = Digital Port In 'AND' D1 
Example(s): 
If Digital Port In = 7 and D1 = 3 
Then Io =3 
Also see WordIn - WordOut, page 72 
WordOut 
W
[1:1,0]
M=255
10110100
Description: 
Passes an integer value to the specified bits of the digital output port. Only bits 
specified in the Mask will be affected on the output port. Bits not specified in 
the Mask will be unaffected and can be used for other things. 
Name  Description  Data Type 
Input  Integer value digital representation of Digital 
Output port.  Integer 
M  Bit-mask. Decimal value for desired bits on port.  Integer (Static) 
Note: There is a three cycle delay when using the WordOut component. 
Important:! Circuits that contain both BitOut and WordOut the Bitmasks can 
not overlap. For example, a circuit where the BitOut and WordOut both use bit 
2 (BitMask=4) the circuit will try set the value based on the last component in 
the circuit. 

RPvdsEx Manual 
239 
Equation: 
Digital Port Out = Ii for bits specified in D1 
Example(s): 
If Ii = 7 and D1 = 3 
Then Port Out =3 
Also see WordIn - WordOut, page 72 
RX Support for I/O Components 
The tables below compare high performance processors support of various 
analog input/output RPvdsEx components. 
Analog Outputs 
Device DacOut 
RX5 x 
RX6 x 
RX7 x 
RX8 x 
Analog Inputs 
Device AdcIn  MCAdcIn StereoAdc † 
RX5 x  x  x 
RX6 x*  x**  
RX7 x  x  x 
RX8 x  x  x 
x     supported 
x*   channels 1-16 access optical inputs, channels 128 and 129 access audio 
inputs 
x** component supported for access to optical inputs only (use AdcIn or 
StereoADC for analog input BNCs) 
† The StereoAdc component is limited to ADC channels one and two only. 
RPvdsEx Manual 
240 
Integer Math 
Integer Math Components 
The Integer Math components provide mathematical functions for integer data, allowing bitwise 
mathematical operations. 
This group includes the following components:  
 FromBits 
 iAbsVal 
 iAnd 
 iBitShift 
 iCompare 
 iLimit 
 iNot 
 iOr 
 iScaleAdd 
 iSign 
 iXor 
 ToBits 

RPvdsEx Manual 
241 
FromBits 
FromBits
Rst=0
b0=0
b1=0
b2=0
[1:1,0]
b3=0
b4=0
b5=0
Description: 
Converts bit format to an integer value. See ToBits, page 246. 
Name  Description  Data Type 
Inputs Input  Logic 
Output  Integer value calculated from Logical ins  Integer 
Rst  Resets output to zero  Logic 
Equation: 
I1 = L0-7 Bit-mask 
Example(s): 
 B0=1,B1=1,B2=1,B3=0,B4=0,B5=0,I1=7 
B0=1,B1=0,B2=0,B3=0,B4=1,B5=1,I1=49 
B0=1,B1=1,B2=1,B3=1,B4=1,B5=1,I1=63 
iAbsVal 
iAbsval
[1:1,0]
Description: 
Computes the absolute value of the signal. 
Name  Description  Data Type 
Input Input  Integer 
Output  Absolute value of Input  Integer 
Equation: 
Io = |Ii| 
Example(s): 
AbsVal (-2) = 2 
AbsVal (2) = 2 

RPvdsEx Manual 
242 
iAnd 
iAnd
N=0
[1:1,0]
Description: 
Bitwise AND function. Bitwise AND of integer input and N. 
Name  Description  Data Type 
Input Input  Integer 
Output Bitwise AND function  Integer 
N
  Decimal value for doing Bitwise conversion  Integer 
Equation: 
IO = II AND N1 
Example(s): 
7(0000 0111) AND 3 (0000 0011)= 3 
7(0000 0111) AND 9 (0000 1001)= 1 
iBitShift 
iBitShift
N=0
[1:1,0]
Description: 
Bit shifts input by N bits. Positive N bit shifts to the left negative shifts to the 
right. 
Name  Description  Data Type 
Input Input  Integer 
Output Bitwise AND function  Integer 
N
  Decimal value for doing Bit shift  Integer 
Equation: 
IO = I1 * 2^N1 
Example(s): 
N=1; iBitShift (20) = 40 

RPvdsEx Manual 
243 
iCompare 
iCompare
K=0
Test=EQ
[1:1,0]
Description: 
Compares input to K using specified Test and reports TRUE or FALSE as logic 
High or Low respectively. Test can be EQ: Equal; NE: Not Equal; GT: Greater 
Than; LT: Less Than; GE: Greater than or Equal to; LE: Less than or equal to. 
Can be thought of as an If... statement. 
Name  Description  Data Type 
Input Input  Integer 
Output  One if test is true 0 if test is false  Logic 
K Test value  Integer 
Test  Compare type: EQ: Equal; NE: Not Equal; GT: 
Greater Than; LT: Less Than; GE: Greater than or 
Equal to; LE: Less than or equal to 
Static 
Equation: 
IO = iCompare (Ii Test K) 
Example(s): 
K = 20; Test Eq; When Ii = 20, Io=1, otherwise Io=0; 
K=20; Test GT; When Ii > 20, Io=1; otherwise Io=0; 
iLimit 
iLimit
Max=1
Min=1
[1:1,0]
Description: 
Limits the signal to the Maximum and Minimum levels specified. If the input 
signal is greater than the Max value then the signal out is the Max value. If the 
input signal is less than the Min value then the signal out is the Min value. If the 
input signal is between the Min and Max values it is passed through as the 
signal output without change. 
Important:! If Max is defined as a value less than the defined Min value, the 
output will always be the defined Min, regardless of the input value. 
Name  Description  Data Type 
Input Input  Integer 
Output  Value no less than Min and no greater than Max  Integer 

RPvdsEx Manual 
244 
Max  Maximum input value  Integer 
Min  Minimum input value  Integer 
Equation: 
If Fi > D1 then FO = D1 
Else If D2<= Fi <= D1 then FO = Fi 
Else If Fi < D2 then FO = D2 
iNot 
iNot
[1:1,0]
Description: 
Inverts bits of integer value. 
Name  Description  Data Type 
Input Input  Integer 
Output  Bit-Inverted value of Input  Integer 
Equation: 
OutputO = NOT (InputI ) 
Example(s): 
NOT ( 0x000F ) = 0xFFF0 
NOT(7)=-8 
iOr 
iOr
N=0
[1:1,0]
Description: 
Bitwise OR function. 
Name  Description  Data Type 
Input Input  Integer 
Output  Bitwise OR function  Integer 
N
  Decimal value for doing Bitwise OR  Integer 
Equation: 
OutputO = Inputi OR N1 

RPvdsEx Manual 
245 
Example(s): 
7(0000 0111) OR 3 (0000 0011)= 7 
7(0000 0111) OR 9 (0000 1001)= 15 
iScaleAdd 
iScaleAdd
SF=1
Shft=0
[1:1,0]
Description: 
Multiply signal by scale factor and add shift factor. The SF parameter can be 
used to apply a simple scalar, or modulate a signal. The Shift parameter can be 
used to place a DC shift on a signal or add two signals together. 
Name  Description  Data Type 
Input Input  Integer 
Output  Scaled plus add value of Input  Integer 
SF Scale factor (multiply)  Integer 
Shift  DC offset adds a value after SF  Integer 
Equation: 
Output = (Input* SF) + Shift 
iSign 
iSign
[1:1,0]
Description: 
This component determines the sign of the input. 
Name  Description  Data Type 
Input Input  Integer 
Output  Sign of Input value (-1,0,1)  Integer 
Equation: 
If Ii < 0 then IO = -1 
Else If Ii = 0 then IO = 0 
Else If Ii > 0 then IO = 1 

RPvdsEx Manual 
246 
iXor 
iXor
N=0
[1:1,0]
Description: 
Output is changed based on the bit-form of the parameter value using an 
exclusive OR bit mask. Exclusive OR only includes those bit-values that have a 
single 1. See the examples below. 
Name  Description  Data Type 
Input Input  Integer 
Output  Bitwise XOR function  Integer 
N
  Decimal value for doing Bitwise OR  Integer 
Equation: 
OutputO = Inputi IXOR (Np) 
Example(s): 
7(0000 0111) IXOR 1 (0000 0001) = 6 
7(0000 0111) IXOR 7(0000 0111) = 0 
14(0000 1110) IXOR 7 (0000 0111) = 9 
ToBits 
b5
b4
b3
b2
b1
ToBits
Rst=0
[1:1,0]
b0
Description: 
Converts the first 6 bits of an Integer to a series of logical outputs. Values 
greater than 63 and less than 0 may give unexpected results. See FromBits, page 
241. 
Note: The b0 output is a primary output on the ToBits component. The b1 
through b5 outputs are secondary. This may cause a problem when connecting 
b1 through b5 to logic inputs requiring a primary input (e.g. And, Or etc.). Use 
a ConstL between the two components to solve this problem. 
Name  Description  Data Type 
Input Input  Integer 
Outputs  Logical values from Integer input  Integer 
Rst  Resets outputs to zero  Logic 
RPvdsEx Manual 
247 
Equation: 
Outputi = Input1 Bit-mask 
Example(s): 
Input1=7 B0=1,B1=1,B2=1,B3=0,B4=0,B5=0 
I1=2001 B0=1,B1=0,B2=0,B3=0,B4=1,B5=0 
I1=-1 B0=1,B1=1,B2=1,B3=1,B4=1,B5=1 
RPvdsEx Manual 
248 
Multi-processor 
Multi-processor Components 
The Multi-processor components are designed for use with high performance devices, such as 
RXn or RZn. They are used to pass circuit signals between multiple processors on a single device. 
Signals are sent and received between DSPs via specialized hardware and these components.  
This group includes the following components:  
 AssignDSP 
 MCzHopIn and MCzHopOut 
 MCzHopPick 
 zHopIn and zHopOut 
For the RZ2 only: 
 MCPipeIn and MCPipeOut 
 PipeIn and PipeOut 
 PipeSource 
While both RX and RZ multi-DSP processors support zHops, the Pipe components are used only 
with the RZ2 device. Because the Data Pipe architecture is more efficient for multi-channel data 
transfers, TDT recommends using the Data Pipe transfer method (rather than zHops) for high 
channel count applications when using the RZ2. Users should be aware of the delays associated 
with each type of components and keep in mind the limitations associated with them. 
A limited number of zHops and Data Pipes can be used in an RPvdsEx circuit. One zHop pair is 
counted for each single zHop pair and for each channel of a MCzHop pair.  
RXn and RZ5 devices..... 126 zHop pairs maximum  
RZ2 devices (<50 kHz)..... 126 zHop pairs maximum and 256 channels of Data Pipes maximum 
RZ2 devices (50 kHz)..... 126 zHop pairs maximum and 128 channels of Data Pipes maximum 

RPvdsEx Manual 
249 
DspAssign 
DSP: Main
Description: 
The DspAssign component is used to designate a section of an RPvdsEx page to 
run on a processor other that the one assigned to the RPvdsEx page. Paired with 
RPvdsEx macros, this component enables many multi-processor circuits to be 
displayed in a single page view. Similar to the Iterate component, components 
cannot intersect the DspAssign boundary. 
Note: This component is for use with only high performance processor devices, 
such as RXn or RZn, but users must be familiar with the number of DSPs 
available in their device and only assign pages to those DSP. 
Name  Description  Data Type 
DSP Target DSP  Static 
MCPipeIn 
MCPipeOut 
ChanSel=1
MCPipeIn
nChan=16
ChanSel=1
MCPipeOut
nChan=16
Description: 
These components allow multi-channel transfer of data between processors 
within an RZ device. The components are used to either get data from or put 
data onto the RZ’s Data Pipe Bus. Once the data is on the bus it is available to 
the other DSPs in the system. The source data available to MCPipeIn or from 
MCPipeOut is configured using the PipeSource component. There is a two 
cycle delay when transferring signals using the MCPipeIn and MCPipeOut. 
(This is accounted for in TDT developed macros) 
For single channel transfer between processors on an RZ, use PipeIn and 
PipeOut.  
Note: The PipeSource component must be included on any DSP that uses 
PipeIn, PipeOut, MCPipeIn, or MCPipeOut. Some macros, like the 
RZ2_Input_MC allow declaration of a PipeSource component, so that a 
separate PipeSource component is not needed. 
Note: These components are for use with the RZ2 processor devices. Do not 
use them with the RZ5, RZ6, RXn or single processor devices. These 
components will only appear in the component list when a multi-processor 
device is selected in the hardware setup dialog box. 

RPvdsEx Manual 
250 
MCPipeIn 
Name  Description  Data Type 
nChan  
N
umber of channels of information being 
accessed   Integer (Static)
ChanSel   First channel number   Integer 
Output   Multi-channel output   Any 
MCPipeOut 
Name  Description  Data Type 
Input   Multi-channel input   Any 
nChan  
N
umber of channels of information being 
accessed  Integer (Static)
ChanSel   First channel number  Integer 
Example:  
MCPipeIn/MCPipeOut 
Processor 1 
The RZ2_Input_MC macro acquires data directly from the RZ2’s fiber optic 
port. Signals are carried from the PZn BioAmp across a fiber optic cable to the 
Optical Port and routed by the I/O interface to the Pipe Bus. Data on the Pipe 
Bus is available to all DSPs in groups of 128 channels via the Pipe components. 
The RZ2_Input_MC macro combines several Pipe components to feed the 
circuit with the first 16 channels of data (nChan=16) beginning with channel 
1(ChanSel=1). The RZ2_Input_MC macro handles all required data scaling 
when acquiring data from the PZn BioAmp. The data is filtered and then 
MCPipeOut makes the filtered multi-channel signal available on the pipe bus. 
Note: Each DSP that includes any of the Pipe input or output components must 
also include the PipeSource component. This is handled internally by the 
RZ2_Input_MC macro. 
Processor 2  
On the second processor PipeSource is used to acquire the data that DSP-1 put 
on the Data Pipe Bus. MCPipeIn routes the data for storage. Alternatively, this 
example can use the RZ2_Input_MC macro in place of the PipeSource and 
MCPipeIn components.  

RPvdsEx Manual 
251 
DSP:  2
Stream_Store_MC
Store:  Wave,  Float,  24414.1Hz
Data Rate = 1525.9 kBytes/Sec
Store  (nChan=16)
ChanSel=1
MCPipeIn
nChan=16
Pipe[B]=DSP-1, Chan[129..256]
PipeSource
Pipe[A]=DSP-1, Chan[1..128]
MCzHopIn 
MCzHopOut  
ChanSel=1
MCzHopIn
nChan=16
MCzHopOut
nChan=16
Description: 
These components allow multi-channel transfer of data between processors 
within a device. They enable the user to distribute processing tasks across 
multiple processors within a multi-DSP device, such as the any RXn or RZn. 
There is a one cycle delay when transferring signals using the MCzHopOut and 
MCzHopIn. 
These components work together. Adding an MCzHopIn without the 
corresponding MCzHopOut/ (or vice versa) will produce an error. Each 
MCzHopOut must have a unique label. The hop label can be accessed and 
edited by double-clicking the component. Multiple MCzHopIns can be used 
with a single MCzHopOut. 
Note: The MCzHopPick can be used in place of an MCzHopIn, to access a 
single channel from a MCzHopOut.  
Use zHopIn and zHopOut for single channel transfer between processors. 
Note: An RPvdsEx circuit can include a maximum of 126 zHop pairs. One 
zHop pair is counted for each single zHop pair and for each channel of an 
MCzHop pair.  
Note: This component is for use with only high performance processor devices, 
such as RXn or RZn. 

RPvdsEx Manual 
252 
MCzHopOut 
Name  Description  Data Type 
Input Multi-channel input  Any 
nChan 
N
umber of channels of information being 
accessed  Integer (Static) 
MCzHopIn 
Name  Description  Data Type 
nChan 
N
umber of channels of information being 
accessed  Integer (Static) 
ChanSel  First channel number of nChan channels in 
the multi-channel signal   Integer (Static) 
Output Multi-channel output  Any 
Example:  
MCzHops 
Processor 1 
This circuit filters all 64 A/D inputs and then makes them available to any of 
the processors on the device. 
MCSignal
nChan=64
MCAdcIn
nChan=64
ChanOS=1
[1:3,0]
ButCoef
Gain=1
Fc=300
NBiq=1
Type=HP
[1:2,0]
Enab=Yes
MCBiquad
nChan=64
nBIQ=1
{>Coef}
{>Delay}
[1:4,0]
Processor 2  
On a second processor the multi-channel signal is retrieved and each signal is 
scaled then output as a multi-channel signal. The ScaledMC HopOut is a helper 
that carries the signal to another part of the circuit on the same processor. 
ChanSel=1
MCSignal
nChan=64
MCScale
nChan=64
SF=0.01
[1:2,0]
ScaledMC

RPvdsEx Manual 
253 
MCzHopPick  
MCzHopPick
ChanNo=1
[1:7,0]
Description: 
This component allows transfer of data between processors within a device, 
with the added advantage of being able to pick one channel to retrieve from a 
multi-channel signal. A MCzHopOut with the same label must also be added to 
the RPvdsEx file. The label can be accessed and edited by double-clicking the 
component.  
Note: This component is for use with only high performance processor devices, 
such as RXn or RZn. 
Name  Description  Data Type 
ChanNo  Channel from which info is required   Integer 
Output Single-channel output  Any 
Example:  
MCzHopPick 
Processor 1 
This circuit filters 16 A/D inputs and then makes them available to any of the processors 
on the device. 
MCAdcIn
nChan=16
ChanOS=1
[1:3,0]
MCBiquad
nChan=16
nBIQ=1
{>Coef}
{>Delay}
[1:4,0]
MCBiquad
nChan=16
nBIQ=1
{>Coef}
{>Delay}
[1:5,0]
ButCoef1
Gain=1
Fc=300
BW=100
Type=HP
[1:1,0]
Enab=Yes
ButCoef1
Gain=1
Fc=3000
BW=100
Type=LP
[1:2,0]
Enab=Yes
HPFreq
LPFreq
MCSignal
nChan=16
Processor 2 
This circuit picks channel 1 out of the 16 channels of filtered signals and plays it from the 
analog output to allow the user to monitor any one of the recording channels. The channel 
number can be selected dynamically via the ChanSelect parameter tag. 
ChanSelect
c
O
[1:2,0]
Ch=1
MCSignal
ChanNo=1
[1:1,0]

RPvdsEx Manual 
254 
PipeIn 
PipeOut 
PipeIn
ChanSel=1
PipeOut
ChanSel=1
Description: 
These components allow single-channel transfer of data between processors 
within the RZ2 processor. The components are used to either get data from or 
put data onto the RZ2’s Data Pipe Bus. Once the data is on the bus it is 
available to the other DSPs in the system. The source data available to PipeIn or 
from PipeOut is configured using the PipeSource component. There is a two 
cycle delay when transferring signals using the PipeIn and PipeOut. (This delay 
is accounted for in TDT Developed macros.) 
For multi-channel transfer between processors on an RZ2, use MCPipeIn and 
MCPipeOut.  
Note: The PipeSource component must be included on any DSP that uses 
PipeIn, PipeOut, MCPipeIn, or MCPipeOut. Some macros, like the 
RZ2_Input_MC allow declaration of a PipeSource component, so that a 
separate PipeSource component is not needed. 
Note: These components are for use with the RZ2 processor device. Do not use 
them with the RZ5, RZ6, RXn or single processor devices. These components 
will only appear in the component list when a multi-processor device is selected 
in the hardware setup dialog box. 
PipeIn 
Name  Description  Data Type 
ChanSel   Channel number   Integer 
Output   Single-channel output   Any 
PipeOut 
Name  Description  Data Type 
Input   Single-channel input   Any 
ChanSel   Cannel number  Integer 
Example: 
See MCPipeIn and MCPipeOut, page 249. 
PipeSource 
Pipe[B]=DSP-1, Chan[129..256]
PipeSource
Pipe[A]=DSP-1, Chan[1..128]

RPvdsEx Manual 
255 
Description: 
This component allows the user to configure the source data available to the 
DSP from the Data Pipe Bus and must be included on any DSP that uses PipeIn, 
PipeOut, MCPipeIn, or MCPipeOut. 
Two parameters, Pipe[A] and Pipe[B] are used to select the source data. 
Pipe[A] represents channels 1-128 and Pipe[B] represents channels 129-256. 
The source data for each pipe can be the first or second 128-channel block of 
data from any of the DSPs in the system or the Z-Series BioAmp via the RZ2’s 
256-channel fiber optic port. Double-clicking on the component brings up the 
Edit Component Parameters dialog to change the settings.  
Note: This component is for use with the RZ2 processor device. Do not use 
them with the RZ5, RZ6, RXn or single processor devices. The component will 
only appear in the component list when a multi-processor device is selected in 
the hardware setup dialog box. 
Name  Description  Data Type 
Pipe[A]  Pipe data source for channels 1-128  Static 
Pipe[B]  Pipe data source for channels 129-256  Static 
Example: 
See MCPipeIn and MCPipeOut, page 249. 
zHopIn 
zHopOut 
zHopOutzHopIn
Description: 
These components allow single channel transfer of signals between processors 
within a device. They enable the user to distribute processing tasks across 
multiple processors within a multi-DSP device, such as the RX5. There is a one 
cycle delay when transferring signals using the zHopOut and zHopIn. 
These components work together. Each zHopOut must have a unique label. 
Multiple zHopIns can be used with a single zHopOut. Adding a zHopIn without 
the corresponding zHopOut (or vice versa) will produce an error.  
The hop label can be accessed and edited by double-clicking the component. 
For multi-channel transfer between processors, use MCzHopIn and 
MCzHopOut. 
Note: An RPvdsEx circuit can include a maximum of 126 zHop pairs. One 
zHop pair is counted for each single zHop pair and for each channel of a 
MCzHop pair.  
Note: This component is for use with only high performance processor devices, 
such as RXn or RZn. 
zHopIn 
Name  Description  Data Type 

RPvdsEx Manual 
256 
Output  Single channel output  Any 
zHopOut 
Name  Description  Data Type 
Input  Single channel input  Any 
Example:  
ZHops 
In this example zHopOuts are used on Page 1 to transfer the trigger, reset, and 
iTime lines to Page 2, which has been assigned to another processor. On page 
two, the trigger lines are used to enable data storage. Notice that in this 
example, HopOut and HopIn (helpers) are used in coordination with the zHops. 
Keep in mind that, unlike the zHops, the helpers (HopIn and HopOut) do not 
use processor cycles or incur delays, so they can be used liberally. When 
multiple hops are needed on a single processor, using HopIn and HopOut helps 
to reduce the overall number of components in a circuit. 
Page 1 - Main Processor 
SimpCount
Rst=0
Enable=1
ExtSimp [1:7 - 0]
zTime
iTime
Reset
Enable
iTime
Reset
Enable
Reset
iTime
[1:1,0]
Src=zBusA
EdgeDetect
Edge=Rising
[1:4,0]
Enable
Reset
Bi
[1:10,0]
M=1
Page 2 - Auxiliary Processor 
Iterate:  x =1 to 32 by 1
Enable
Reset
iTime
Enable
Reset
iTime
SortSpike2
nWid/4=8
Thresh=1
UseSign=1
Enab/Rst=1
[2...,141-02...
]
SortBits=0
Strobe=0
Tag
{>Coef}
{>Data}
aEA~{x}
Enable
iTime
cEA~{x}
SerStore
Size=32000
Rst=0
WrEnab=1
[
2...,16-02...
]
Index=0
{>Data}
dEA~{x}
Reset
sEA~{x}
ECSignal
ChanNo={x}
S
ignal [2... - 13-0
2
oxSnippet
Tag_Root=EA
Blk_Size=32
Data_Form=Float
Sort_Code=Yes
Dec_Factor=1
Channels=0
RPvdsEx Manual 
257 
NeuroAnalysis 
Neuro Analysis Components 
This group includes the following components developed primarily for neurophysiology 
applications: 
 BinRate 
 FindSpike 
 InstRate 
 SampSubtract 
 SortSpike 
 SortSpike2 
 SortSpike3 
 Tetrode 
Note: The ArtReject, FindSpike2, FindSpike3, Convolv, Classify, Classify2, BoxClassA, and 
BoxClassB1 components are used primarily By TDT's OpenEx and OpenController applications 
for real-time spike sorting. These components are not intended for general use at this time. 
This group also includes the following components, if RPvdsEx Device Setup is 
configured for a high performance device, such as the RXn or RZn: 
 SortBin8 
 SortFlag16 

RPvdsEx Manual 
258 
BinRate 
BinRate
SortCode=0
[1:1,0]
Bits=0
Reset=1
Description: 
The BinRate component allows users to store or view spike rates. The Strobe 
output of a spike sorting component (or other pulse) is fed to the BinRate 
component’s input to indicate a spike has occurred. At each falling edge of the 
input, the component uses the value of the SortCode parameter (an integer 
ranging from 0-3) to select and increment the count value of one of four internal 
bins. Each time reset goes high, the bin counts are latched to the output and then 
reset to zero. The output is a 32-bit integer with each byte representing a bin. 
The first eight bits store the values for SortCode 0 the next eight bits for 
SortCode 1 and so on.  
Note: If the BinRate component receives more than 127 pulses in any bin in 
one interval, it will give erroneous results for that interval, as well as for all 
following intervals. TDT recommends using an update rate of 125 ms or less for 
the BinRate component. 
The Bits output takes on one of four values (1, 2, 4, or 8) corresponding to the 
SortCode value at the falling edge of the input pulse. For example, if the 
SortCode is set to 3, the Bits output will be the integer 8 for one sample at the 
falling edge of the input.  
Name  Description  Data Type 
Input  Pulse, usually indicating the a spike event 
occurred 
The pulse can be of any width, only the falling 
edge is detected as a pulse 
Logic 
Output  A 32-bit integer, with each 8-bit byte 
representing a count of spikes that were sorted 
into a bin 
Integer 
SortCode  An integer value representing a SortCode and 
ranging from 0 – 3   Integer 
Reset  Latches counts to output then resets counts  Logic 
Bits  One of four values (1, 2, 4, or 8) corresponding 
to the SortCode value at the falling edge of the 
input 
Remains 0 at all times except at the falling edge 
of a pulse received at the Input port 
Integer 
Anomalies:  
BinRate records one spike during each of the first two samples of running the 
circuit. The easiest work around is to ignore the first two spikes counted.  

RPvdsEx Manual 
259 
However, if the circuit permits, you can add the circuitry shown in the example 
below to automatically reset the BinRate to ignore the two erroneous spikes. 
When a circuit is run, the Bits output will show a spike being detected, that is 
the output will go to 1, 2, 4 or 8 for the first and second sample clock tick, 
irrespective of whether a pulse came in or not. If the output is being used, it can 
be ANDed with NOT OneShot.  
Example: BinRate 
In the example below, the BinRate component counts the number of spikes 
detected by SortSpike2, based on the SortCode value of each spike. The strobe 
output of SortSpike2 triggers the input of the BinRate component and the 
SortBits output is fed to the SortCode input. A PulseTrain2 resets the BinRate 
output once every two seconds. Therefore, the counts represent the number of 
spikes in each bin during a two second interval. The BinRate output is split into 
the counts for each bin by the SplitTo8 component. 
The Bits output is used to light an LED every time a spike with the SortCode 0 
(unsorted spikes in OpenEx) is detected. The components in the red blocks are 
temporarly needed for bugs. 
SortSpike2
nWid/4=8
Thresh=1
UseSign=1
Enab/Rst=1
[4:231,0]
SortBits=0
Strobe=0
Tag
{>Coef}
{>Data}
SerStore
Size=1000
Rst=0
WrEnab=1
[4:231,0]
Index=0
{>Data}
aEA~1
cEA~1 SFire
SCode
sEA~1
Reset
Enable
iTime
FiltSig1
PulseTrain2
nPer=100
nPulse=-1
Enab=Yes
Rst=Run
[1:1,0]
PCount=0
PLate=0
OneShot
[1:2,0]
TTLDelay2
N1=1
N2=0
[1:3,0
]
[1:4,0]
OR
BinReset
SFire
SCode
BinReset
BinRate
SortCode=0
[1:6,0]
Bits=0
Reset=1
SplitFrom8
SF=1
[1:7,0]
~1
~2
~3
~4
iCompare
K=1
Test=EQ
[1:9,0] [1:10,0]
A
ND
No
[1:2,0]
OneShot
[1:1,0
]
Schmitt
Thi=100
Tlo=10
[1:11,0]
Bi
[1:12,0]
M=1
0
0
0
0
LED 1 will go on for 100 ms   
everytime a spike with sort code 0 
occurs 
Counts for each 
sort code; 
refreshed every 2 
seconds 

RPvdsEx Manual 
260 
FindSpike 
FindSpike
nWidth=40
Tau=1000
ThrLo=3
ThrHi=1000
[1:1,0]
Strobe=0
RMS^2=0
Rst=0
{>Data}
Tag
Description: 
FindSpike detects spikes based on their deviations from the noise of the system. 
An RMS (root mean square) of the signal is calculated for a given time interval 
(Tau). Signal voltages that deviate by more than ThrLo and less than ThrHi 
deviations from the RMS are detected. The detector stores the waveform 
(nWidth in size) centered around its peak. The waveform along with a 
timestamp can be stored in a memory buffer. 
Name  Description  Data Type 
Input Input  Floating Point 
Output  Spike waveform of nWidth samples  Floating Point 
nWidth 
N
umber of samples stored  Integer (Static)
Tau  Time length in milliseconds for calculating the 
RMS of the noise  Floating Point 
(Static) 
ThrLo  Lower threshold (in deviations from RMS) for 
detecting a spike  Floating Point 
ThrHi  Upper threshold (in deviations from RMS) for 
detecting a spike  Floating Point 
Rst  Resets the FindSpike so that candidate spikes are 
only acquired during an acquisition period  Logic 
Tag  Tag some form of identifier for the waveform, can 
be a time stamp or counter value  Any 
RMS^2  Square of the RMS (Root Mean Square value) of 
the noise, output value can be stored to a buffer  Floating Point 
Strobe  Goes high for the length of the sample when a 
spike is detected  Logic 
>Data  Data Port, allows access to the memory buffer  Pointer 

RPvdsEx Manual 
261 
Example:  
FindSpike 
FindSpike
nWidth=40
Tau=1000
ThrLo=3
ThrHi=1000
[1:4,0]
Strobe=0
RMS^2=0
Rst=0
{>Data}
Tag
TSlope
Min=0
Slp=0
Max=1
Rst=Run
[1:1,0]
d
c
[1:3,0]
Ch=1
SerStore
Size=40000
Rst=0
WrEnab=1
[1:6,0]
Index=0
{>Data}
SpikeData
SpikeNumber
In the example above an analog input is sent to the FindSpike component. A 
TSlope is used to generate a timestamp. Data is saved to a SerStore (Note: the 
Strobe output is connected to the WrEnab line of the SerStore). Parameter tags 
allow ActiveX controls to access the spike data and spike number from the 
buffer. This FindSpike saves 39 points of data plus a timestamp tag 
(nWidth=40). 
The Rst line allows the user to reset the FindSpike to the start of a candidate 
spike. This allows acquisition in a sweep based mode to only include spikes 
from the start of the sweep. 
InstRate 
InstRate
SortCode=0
UseFall=1
SortMatch=0
FcFact=0.2
[1:1,0]
FcFeed=0
FcMin=3
FcReturn=0
Description: 
The InstRate (instantaneous rate) component acquires TTL inputs and converts 
each TTL pulse to a large floating point value. This value is then filtered 
through a low pass filter. The filtered value is then fed back into the InstRate 
component. Based on the input rate it either increases the filter (higher spike 
rates) or decreases the filter (lower spike rates) by a set value (FcFact) this 
value is then sent out the FcFeed parameter output to the input of the filter 
coefficient generator (Fc). Additional component features allow the signal to be 
generated in the falling edge of the TTL input or to use a SortCode. 

RPvdsEx Manual 
262 
Name  Description  Data Type 
Input Input  Logic 
Output  Floating point number representing the raw 
instant rate  Floating Point 
SortCode Sort code value assigned to the waveform 
represented by the logical input  Integer 
UseFall  Sets the edge of the waveform used  Logic 
SortMach  Sort Code value for which firing rate is desired  Integer 
FcFact  Frequency feedback factor  Floating Point 
FcMin  Frequency feedback minimum  Floating Point 
FcReturn  Frequency feedback minimum  Floating Point 
FcFeed Adjusted filter cutoff frequency based on 
measured spike rate  Floating Point 
Example:  
Instantaneous Rate 
The example below shows how the InstRate component could be used to find 
the firing rate of neural activity. The logical output of the SortSpike Strobe is 
fed into the InstRate component where it is converted to a floating point value. 
A parameter tag allows ActiveX controls to access the firing rate from the 
Biquad.  
Spike1
IRate
ButCoef
Gain=1
Fc=1000
NBiq=2
Type=LP
[1:7,0]
Enab=Yes
FireRate
IRate
Biquad
nBIQ=2
{>Coef}
{>Delay}
[1:2,0]
InstRate
SortCode=0
UseFall=1
SortMatch=0
FcFact=0.2
[1:5,0]
FcFeed=0
FcMin=3
FcReturn=0
d
c
[1:1,0]
Ch=1
SortSpike
nWid/2=16
ThrLo=0.000
2
ThrHi=10
Enab/Rst=1
[1:2,0]
SortBits=0
Strobe=0
Tag
{>Coef}
{>Data}
SerStore
Size=32000
Rst=0
WrEnab=1
[1:4,0]
Index=0
{>Data}
aEA~1
bEA~1
cEA~1
Spike1
dEA~1
Enable
iTime
Reset

RPvdsEx Manual 
263 
SampSubtract 
SampSubtract
nWidth=10
Sync=0
EnabSub=1
SF=0.01
[1:1,0]
{>Data}
Description: 
The SampSubtract component is useful for removing artifacts in the signal that 
are generated in a predictable manner (such as an artifact from electrical 
stimulation). 
In order to remove the artifact, a signal snippet is acquired and added to a buffer 
during each occurrence of the artifact. A weighted fraction of the summed 
signal snippets is subtracted from the signal as each new artifact occurs. Over-
time the artifact will be removed from the signal with increasing accuracy and 
without reducing the integrity of the signal of interest.  
Note: This component is for use with only high performance processor devices, 
such as RXn or RZn. 
Name  Description  Data Type 
Input  Input signal  Floating Point 
Output  Filtered signal  Floating Point 
nWidth  Size of buffer for the weighted sum  Static 
Sync  Enables acquisition of artifact signal and triggers 
summing and subtraction. The Sync input should 
remain high for the duration of the artifact. 
Logic 
EnabSub  Enables subtraction when high and disables the 
subtraction, letting the signal pass unaltered, when 
low 
Logic 
SF  Scale Factor  Floating Point 
>Data  Memory buffer for the weighted sum  Pointer 
Accurate acquisition and removal of the artifact can only occur if the onset and 
length of the artifact are known and predictable. The Sync line is used to trigger 
acquisition, summing, and subtraction. So, the Sync input should be synced 
with the generation of the stimulus, and its duration should be set to the 
duration of the stimulus. Each time the Sync input goes high, SampSubtract 
acquires the snippet of signal for the duration of Sync pulse and calculates the 
sum of snippets that is then weighted (multiplied by a fraction related to the 
Scale Factor) and subtracted from the input signal the next time that Sync goes 
high. The calculation of the weighted sum is related to the Scale Factor but also 
depends on the amplitude of the summed snippets.  
Note: A delay may be required before the Sync input goes high to compensate 
for the time taken for the electrical stimulus to go through the outputs, into the 
brain, and back into the amplifier as an artifact.  

RPvdsEx Manual 
264 
When the circuit is run, the artifact will be gradually reduced as the weighted 
sum gradually increases. Hence, the signal will undergo a training period before 
the artifact rejection reaches an optimum level. The higher the value of Scale 
Factor, the shorter the training period, and greater the chance of the useful part 
of the signal leaking into the weighted sum. Generally, a scale factor of 0.01 to 
0.05 will provide good rejection results.  
If the scale factor is set to 0, the summing stops, but the current weighted sum 
remains in the buffer, and continues to be subtracted from the signal. Setting the 
scale factor to 0 after the initial training period will continue the subtraction, but 
stop further growth of the subtracted signal reducing the likelihood that the 
useful signal around the artifact will be affected. 
The nWidth parameter sets a predetermined buffer size to hold the weighted 
sum. It should be made sufficiently large to hold the summed signal.  
The >Data pointer provides access to the weighted sum. 
When the EnabSub input is high, the subtraction is enabled; when low, 
subtraction is disabled and the signal passes to the component output unaltered. 
SortBin8 
SortBin8
nChan=16
[1:6,0]
Strobe=0
SyncIn=0
Description: 
The SortBin8 component is useful for counting the number of sort codes per 
channel in a multi-channel signal. The input of the SortBin8 component is 
typically a multi-channel integer representing the sort code value for each 
channel. The output for each channel is a single 32-bit integer. Each byte in the 
integer contains the count for a single sort code making a total of four sort 
codes (1, 2, 3, and 4). 
Sort Code: 
4                  3                  2                  1 
0000 0000 | 0000 0000 | 0000 0000 | 0000 0000 
MSB                    LSB 
On a rising edge of SyncIn, the sort code count for all channels is reset to 0. At 
this time the Strobe output simultaneously goes high for one sample to indicate 
that the count has been reset.  
For example, suppose there are 7 spikes with sort code 1 and 9 spikes with sort 
code 2 since the last SyncIn. The ouput will be 231110 or: 
4                  3                  2                  1 
0000 0000 | 0000 0000 | 0000 1001 | 0000 0111 
MSB                    LSB 
Note: This component is for use with only high performance processor devices, 
such as RXn or RZn. 

RPvdsEx Manual 
265 
Name  Description  Data Type 
Input Multi-channel input signal  Integer 
Output  Sort code count. This is a 32-bit integer 
value with each of the four sort bins 
represented by a single byte out of the 32-bit 
value.  
Integer 
nChan 
N
umber of channels to store sort counts for.  Integer (Static)
SyncIn  Resets the count value for all channels to 0  Logic 
Strobe  Goes high for a single sample when the 
count is reset.  Logic 
SortFlag16 
SortFlag16
nChan=16
SyncIn=0
[1:2,0]
Description: 
SortFlag16 is useful for monitoring sort code activity over a period of time. The 
SortFlag16 component flags two sort codes for each channel based on its multi-
channel input signal (which will most likely come from a SpikePac power 
macro sort code output). SortFlag16 polls each input channel for a value of 1 or 
2, if either value exists on any channel, SortFlag16 sets the corresponding flag 
bit to a logic high (1). On the rising edge of SyncIn, SortFlag16 latches a 32-bit 
integer value which contains two flag bits for each channel (each flag represents 
a sort code of 1 or 2). 
The SortFlag16 output structure for the 32-bit integer is shown below.  
Channel Sort code 
162  161   ... 32  31  22  21  12  11 
0    0       …  0   0  0   0  0   0 
MSB                                                                     LSB 
After SyncIn has detected a rising edge it resets the internal flags for each 
channel.  
For example, you are sending a rising edge to the SyncIn input every 10 ms.  A 
sort code value of 1 and 2 are sent to channels 1, 3, and 5 between the last rising 
edge of SyncIn. On the next rising edge of SyncIn, the output will be 81910 or: 
0000 0000 | 0000 0000 | 0000 0011 | 0011 0011 
MSB                    LSB 
Notice that the sort code flags (1 and 2) are set for channels 1, 3, and 5. 
Note: This component is for use with only high performance processor devices, 
such as RXn or RZn. 

RPvdsEx Manual 
266 
Name  Description  Data Type 
Input Multi-channel input signal  Integer 
Output  16-channel sort code flag. This is a 32-bit 
integer value containing two sort code flags 
(1 and 2) for each channel. 
Integer 
nChan 
N
umber of channels to store sort code flags 
for. The maximum is 16  Integer (Static)
SyncIn  On a rising edge, outputs the current 32-bit 
flag and resets the flag values for all 
channels to 0 
Logic 
SortSpike 
SortSpike
nWid/2=16
ThrLo=1
ThrHi=1000
Enab/Rst=1
[1:1,0]
SortBits=0
Strobe=0
Tag
{>Coef}
{>Data}
Description: 
The SortSpike component sorts spikes using a time/voltage window 
discriminator. The threshold voltage (window) is selected with the ThrLo and 
ThrHi parameters. When a candidate waveform is detected it is tagged with the 
value from the Tag input and a sort value is assigned (SortBits). The data output 
contains the Tag value (timestamp), sort value (sort code) and the waveform. 
The waveform is stored with the peak of the spike centered in the data buffer. 
For more information see the OpenEx Manual. 
Organization of Waveform Data 
Sample 1 = Tag Value (Timestamp) 
Samples 2:(n-1) = Waveform 
Sample n = Sort code 
Sample n/2 = Waveform Peak 
For a SortSpike with nWid/2 = 16 the number of waveform samples would be 
32-2 (Tag and SortBit) or 30 points of signal waveform. The peak would be at 
sample 15. 
This component is used primarily by TDT turnkey applications such as 
OpenEx. Users should read the description of how to use SortSpike in OpenEx. 
A description of how to use the component with custom codes is described 
below. 
Setting the Time-Voltage and Sort Codes via Custom Software 
RPvdsEx Manual 
267 
The SortSpike component uses information stored in a coefficient vector to 
determine the time-voltage and sort code values.  
Organization of the coefficient vector is as follows: 
The coefficients are organized into a vector array which is 3 times the length of 
the waveform. Three consecutive indices in the vector are associated with a 
single sample along the waveform. These three values define a time-voltage 
window discriminator or ‘hoop’ that a given waveform may pass through.  
This means that vector indices [0], [1], and [2] represent the three time-voltage 
hoop characteristics for the first sample of the waveform. 
The three values used to define a hoop are the Center Voltage, Half-Height 
Voltage, and Sort Code. 
The Center and Half-Height Voltages are specified in Volts while the Sort Code 
is specified as a positive integer from 1 to 30.  
Note: If the incoming waveform passes through more than one hoop, the hoop 
in which the waveform passes closest to the Center Voltage determines which 
hoop’s Sort Code gets assigned. 
Samples not containing hoops must have all three hoop characteristics zeroed. 
For Example, a waveform containing 8 samples will use a coefficient vector 
with a length of 24. If we wish to have two hoops, one at waveform position 3 
and another at waveform position 6, the coefficient vector to be loaded would 
be: 
0 0 0 0 0 0 C1  H1  S1  0 0 0 0 0 0 C2  H2  S2  0 0 0 0 0 0 
Where:  
C1,  H1, and S1  are the Center Volt, Half-Height Volt, and Sort Code values for 
Hoop 1 
C2,  H2, and S2  are the Center Volt, Half-Height Volt, and Sort Code values for 
Hoop 2 
Users can upload the vector to the component's coefficient parameter. A simple 
path for using this setup would require that candidate waveforms be 
downloaded to the PC. Users would then view the plotted waveforms and 
determine the time in samples and voltage position that would differentiate two 
classes of waveforms. 

RPvdsEx Manual 
268 
Name  Description  Data Type 
Input Input  Floating Point 
Output  Spike waveform of nWid samples  Floating Point 
nWid/2  1/2 number of samples stored  Integer (Static) 
ThrLo  Lower threshold (in voltage) for detecting a spike  Floating Point 
ThrHi  Upper threshold (in voltage) for detecting a spike  Floating Point 
Enable  Resets the SortSpike so that candidate spikes are 
only acquired during an acquisition period  Logic 
Tag  Tag some form of identifier for the waveform, can 
be a time stamp or counter value  Any 
Strobe  Goes high for the length of the sample when a spike 
is detected  Logic 
SortBits  Sort Code value associated with the waveform  Integer 
>Coef  Coefficients that determine the time/voltage values 
and sort code values  Pointer 
>Data  Data Port, allows access to memory buffer  Pointer 
SortSpike2 
SortSpike2
nWid/4=8
Thresh=1
UseSign=1
Enab/Rst=1
[1:1,0]
SortBits=0
Strobe=0
Tag
{>Coef}
{>Data}
Description: 
The SortSpike2 component sorts spikes using a time/voltage window 
discriminator. Candidate waveforms are detected when the rising edge (positive 
waveforms) or falling edge (negative waveforms) of the waveform crosses the 
threshold voltage (window) set for the Thresh parameter. The UseSign 
parameter allows the user to specify unidirectional or bidirectional waveform 
detection. When a candidate waveform is detected it is tagged with the value 
from the Tag input and a sort value is assigned (SortBits). The data output 
contains the Tag value (timestamp of rising or falling edge), sort value (sort 
code) and the waveform. The waveform is stored with the point at which the 
RPvdsEx Manual 
269 
rising or falling edge crosses the threshold at nWid/4 samples. For more 
information see the OpenEx Manual. 
Organization of Waveform Data 
Sample 1 = Tag Value (Timestamp) 
Samples 2:(n-1) = Waveform 
Sample n = Sort Code 
For a SortSpike2 with nWid/4 = 16 the number of waveform samples would be 
64 - 2 (Tag and SortBit) or 62 points of signal waveform. 
This component is used primarily by TDT turnkey applications such as 
OpenEx. Users should read the description of how to use SortSpike2 in 
OpenEx. A description of how to use the component with custom codes is 
described below. 
Setting the Time-Voltage and Sort Codes via Custom Software 
The SortSpike component uses information stored in a coefficient vector to 
determine the time-voltage and sort code values.  
Organization of the coefficient vector is as follows: 
The coefficients are organized into a vector array which is 3 times the length of 
the waveform. Three consecutive indices in the vector are associated with a 
single sample along the waveform. These three values define a time-voltage 
window discriminator or ‘hoop’ that a given waveform may pass through.  
This means that vector indices [0], [1], and [2] represent the three time-voltage 
hoop characteristics for the first sample of the waveform. 
The three values used to define a hoop are the Center Voltage, Half-Height 
Voltage, and Sort Code. 
The Center and Half-Height Voltages are specified in Volts while the Sort Code 
is specified as a positive integer from 1 to 30.  
Note: If the incoming waveform passes through more than one hoop, the hoop 
in which the waveform passes closest to the Center Voltage determines which 
hoop’s Sort Code gets assigned. 
Samples not containing hoops must have all three hoop characteristics zeroed. 
For Example, a waveform containing 8 samples will use a coefficient vector 
with a length of 24. If we wish to have two hoops, one at waveform position 3 
and another at waveform position 6, the coefficient vector to be loaded would 
be: 
0 0 0 0 0 0 C1  H1  S1  0 0 0 0 0 0 C2  H2  S2  0 0 0 0 0 0 
Where:  
C1,  H1, and S1  are the Center Volt, Half-Height Volt, and Sort Code values for 
Hoop 1 
C2,  H2, and S2  are the Center Volt, Half-Height Volt, and Sort Code values for 
Hoop 2 
Users can upload the table to the component's coefficient parameter. A simple 
path for using this setup would require that candidate waveforms be 
downloaded to the PC. Users would then view the plotted waveforms and 
determine the time in samples and voltage position that would differentiate two 
classes of waveforms. 

RPvdsEx Manual 
270 
Name  Description  Data Type 
Input Input  Floating Point 
Output  Spike waveform of nWid samples  Floating Point 
nWid/4  1/4 number of samples stored  Integer (Static) 
Thresh  Threshold (in voltage) for detecting a spike  Floating Point 
Use Sign  If set to zero any sign entered with the Thresh 
value is disregarded and the value is considered 
to be a +/- number. If set to one, Thresh value 
sign is considered. 
Logic 
Enable  Resets so that candidate spikes are only 
acquired during an acquisition period  Logic 
Tag  Identifier for the waveform, can be a timestamp 
or counter value  Any 
Strobe  Goes high for the length of the sample when a 
spike is detected  Logic 
SortBits  Sort Code value associated with waveform  Integer 
>Coef  Coefficients that determine the time/voltage 
values and sort code values  Pointer 
>Data  Data Port, allows access to memory buffer  Pointer 
SortSpike3 
SortSpike3
nWid/4=8
Thresh=1
UseSign=1
Enab/Rst=1
[1:1,0]
SortBits=0
Strobe=0
Tag
{>Coef}
{>Data}
Description: 
The SortSpike3 component sorts spikes using a time/voltage window 
discriminator. Candidate waveforms are detected when the rising edge (positive 
waveforms) or falling edge (negative waveforms) of the waveform crosses the 
threshold voltage (window) set for the Thresh parameter. The UseSign 
parameter allows the user to specify unidirectional or bidirectional waveform 
detection. When a candidate waveform is detected it is tagged with the value 
from the Tag input and a sort value is assigned (SortBits). The data output 
contains the Tag value (timestamp of rising or falling edge), the waveform and 
RPvdsEx Manual 
271 
sort value (sort code). The waveform is stored with the point at which the rising 
or falling edge crosses the threshold at nWid/4 samples. 
SortSpike3 is a slight modification to the SortSpike2 component. The only 
difference is in the determination of the sort code. See Determining Sort Code 
for more information. 
Organization of Waveform Data 
Sample 1 = Tag Value (Timestamp) 
Samples 2:(n-1) = Waveform 
Sample n = Sort Code 
For a SortSpike3 with nWid/4 = 16, the number of waveform samples would be 
64. This number includes 62 points of signal waveform, the tag value and sort 
code. 
This component is used primarily by TDT turnkey applications such as 
OpenEx. Users should read the description of how to use SortSpike3 in 
OpenEx. A description of how to use the component with custom codes is 
described below. 
Setting the Time-Voltage and Sort Codes via Custom Software 
The SortSpike component uses information stored in a coefficient vector to 
determine the time-voltage and sort code values.  
Organization of the coefficient vector is as follows: 
The coefficients are organized into a vector array which is 3 times the length of 
the waveform. Three consecutive indices in the vector are associated with a 
single sample along the waveform. These three values define a time-voltage 
window discriminator or ‘hoop’ that a given waveform may pass through.  
This means that vector indices [0], [1], and [2] represent the three time-voltage 
hoop characteristics for the first sample of the waveform. 
The three values used to define a hoop are the Center Voltage, Half-Height 
Voltage, and Hoop Number. 
The Center and Half-Height Voltages are specified in Volts while the Hoop 
Number is specified as a positive integer.  
Samples not containing hoops must have all three hoop characteristics zeroed. 
For Example, a waveform containing 8 samples will use a coefficient vector 
with a length of 24. If we wish to have two hoops, one at waveform position 3 
and another at waveform position 6, the coefficient vector to be loaded would 
be: 
0 0 0 0 0 0 C1  H1  N1  0 0 0 0 0 0 C2  H2  N2  0 0 0 0 0 0 
Where:  
C1,  H1, and N1  are the Center Volt, Half-Height Volt, and Hoop Number values 
for Hoop 1 
C2,  H2, and N2  are the Center Volt, Half-Height Volt, and Hoop Number values 
for Hoop 2 
If the incoming waveform passes through more than one hoop, each hoop sets a 
corresponding bit in the final sort code by the relationship: 
2(HoopNum-1) 
For example, if an incoming waveform passes through hoops 1,2 and 3, the 
following bits would be set:  

RPvdsEx Manual 
272 
Value Bit  
2(1-1)=1  0 
2(2-1)=2  1 
2(3-1)=4  2 
This results in a final sort code of 7. 
Users can upload the table to the component's coefficient parameter. A simple 
path for using this setup would require that candidate waveforms be 
downloaded to the PC. Users would then view the plotted waveforms and 
determine the time in samples and voltage position that would differentiate two 
classes of waveforms. 
Note: This component is for use with only high performance processor devices, 
such as RXn or RZn. 
Name  Description  Data Type 
Input Input  Floating Point 
Output  Spike waveform of nWid samples  Floating Point 
nWid/4  1/4 number of samples stored  Integer (Static)
Thresh  Threshold (in voltage) for detecting a spike  Floating Point 
Use Sign  If set to zero any sign entered with the Thresh value is 
disregarded and the value is considered to be a +/- 
number. If set to one, Thresh value sign is considered. 
Logic 
Enable  Resets the SortSpike3 so that candidate spikes are only 
acquired during an acquisition period  Logic 
Tag  Some form of identifier for the waveform, can be a 
timestamp or counter value  Any 
Strobe  Goes high for the length of the sample when a spike is 
detected  Logic 
SortBits  Sort Code value associated with the waveform  Integer 
>Coef  Coefficients that determine the time/voltage values and 
sort code values  Pointer 
>Data  Data Port, allows access to the memory buffer  Pointer 

RPvdsEx Manual 
273 
Tetrode 
Tetrode
Thr1=1
[1:1,0]
~1
~2
~3
~4
Thr2=1
Thr3=1
Thr4=1
Enable
Description: 
The Tetrode component is designed to synchronize the acquisition of snippets 
from multiple channels. Trigger inputs (Thr1-4) set the voltage threshold for 
each channel of the tetrode. When the signal from a channel crosses its 
threshold a TTL pulse is generated. The TTL output can be sent to a Block 
Access (with a delay) or it can be used to trigger a SnipStore component that 
saves the waveform and stores a time stamp. 
Tetrode and SnipStore are designed primarily for use with the OpenEx software 
suite. To learn more about how to use the Tetrode and SnipStore components 
with OpenEx check your OpenEx documentation. 
Note: This component is for use with only high performance processor devices, 
such as RXn or RZn. If you are using a Classic Processor, see the examples 
below for an alternative circuit design or contact TDT technical support for 
more information.  
Name  Description  Data Type 
~1  Input signal from a channel 1  Floating Point 
~2  Input signal from a channel 2  Floating Point 
~3  Input signal from a channel 3  Floating Point 
~4  Input signal from a channel 4  Floating Point 
Output TTL pulse  Logic 
Thr1  Upper threshold (in voltage) for triggering logical high  Floating Point 
Thr2  Upper threshold (in voltage) for triggering logical high  Floating Point 
Thr3  Upper threshold (in voltage) for triggering logical high  Floating Point 
Thr4  Upper threshold (in voltage) for triggering logical high  Floating Point 
Enable  When the Enable line is high, a TTL pulse is triggered 
when any channel goes above threshold  Logic 

RPvdsEx Manual 
274 
Example:  
Tetrode 
The example below shows how the basic Tetrode component could be used in 
OpenEx. The Tetrode component compares signals from four input channels to 
a corresponding voltage threshold. When a threshold is reached on any of the 
four channels, the Tetrode output sends out a pulse for one cycle. 
This output pulse (Go) can then be used to trigger the buffer acquisitions which 
iterate four times, 1 for each channel. Each signal can be acquired with a 
SnipStore that stores n/2 samples before and after the trigger as well as a time 
stamp (Tag). Since each channel of the buffer would have the same number of 
stored values only one Index needs to be polled. The use of "cSnip~{x}" with a 
RamBuf allows threshold controls in OpenController. 
Tetrode
Thr1=1
[1:16,0]
~1
~2
~3
~4
Thr2=1
Thr3=1
Thr4=1
Enable
Go
Sig1
Sig2
Sig3
Sig4
aSnip~1
aSnip~2
aSnip~3
aSnip~4
oxSnippet
Tag_Root=Snip
Blk_Size=64
Data_Form=Float
Sort_Code=No
Dec_Factor=1
Channels=4
Iterate:  x =1 to 4 by 1
SnipStore
Size=32000
nBlk/2=32
Rst=0
Go=1
[1...,25-01...]
Index=0
Tag
{>Data}
Sig{x}
@Reset
Go
@Time
dSnip~{x}
sSnip~{x}
RamBuf
Size=1000
Index=0
Write=0
{>Data}
[1...,1-01...]
cSnip~{x}
This example illustrates an alternative circuit design to achieve a signal 
equivalent to the output of the Tetrode component without using the component 

RPvdsEx Manual 
275 
itself. This example is for users who wish to achieve the same operation as 
Tetrode using lower order components on a Classic Processor. 
The corresponding voltage threshold for each input channel can be controlled 
by modifying the aSnip~ tag value tied to the K parameter of each Compare 
component. 
RPvdsEx Manual 
276 
OpenEx Headers 
OpenEx Header Components 
OpenEx components are used with the OpenEx software suite, consolidating information about a 
circuit construct and making it readily available in OpenWorkbench. 
This group includes the following components:  
 OxBuffer 
 OxList 
 OxScalar 
 OxSnippet 
 OxStream

RPvdsEx Manual 
277 
OxBuffer 
oxBuffer
Tag_Root=
Buffer_Size=32
Data_Form=Float
Dec_Factor=1
Handshake=Soft-1
Channels=0
Description: 
The OXBuffer component is used with the OpenEx software suite. The 
OXBuffer acts as a circuit header, consolidating information about a circuit 
construct and making it readily available in OpenWorkbench. The OXBuffer is 
used in data buffer circuit constructs, which store an array of data in a memory 
buffer. See OpenEx help for more information. 
Name  Description 
Tag_Root  Base name of the construct 
Buffer_Size  Block size of the acquired data 
Data_Form  Format of the data - the data type can be float, integer, short, or 
byte 
Dec_Factor  Decimation factor - if the data is reduced either through a 
Plot16dec or through changes in the time-slice then a decimation 
factor other than one should be used 
HandShake  Indicates whether a software trigger will be used for the 
handshake 
Channels  The number of channels associated with the buffer 
OxList 
oxList
Tag_Root=
Data_Form=Float
Channels=0
37
.
45
0
.65
1
...
Description: 
The OXList component is used with the OpenEx software suite. The OXList 
acts as a circuit header, consolidating information about a circuit construct and 
making it readily available in OpenWorkbench. The OXList is used in data list 
circuit constructs, in which a list of values is stored in one buffer and 
corresponding time stamps are stored in another buffer. See OpenEx help for 
more information. 

RPvdsEx Manual 
278 
Name  Description 
Tag_Root  Base name of the construct 
Data_Form  Format of the data - the data type can be float or integer 
Channels  The number of channels associated with the list 
OxScalar 
oxScalar
Tag_Root=
Handshake=Soft-1
Channels=0
37.45
Description: 
The OXScalar component is used with the OpenEx software suite. The 
OXScalar acts as a circuit header, consolidating information about a circuit 
construct and making it readily available in OpenWorkbench. The OXScalar is 
used in triggered scalar circuit constructs, which are used when single variables 
that require a precise time stamp must be stored and the interval between events 
varies. See OpenEx help for more information. 
Name  Description 
Tag_Root  Base name of the construct 
HandShake  Indicates whether a software trigger will be used for the 
handshake 
Channels  The number of channels associated with the scalar 
OxSnippet 
oxSnippet
Tag_Root=
Blk_Size=32
Data_Form=Float
Sort_Code=No
Dec_Factor=1
Channels=0
Description: 
The OXSnippet component is used with the OpenEx software suite. The 
OXSnippet acts as a circuit header, consolidating information about a circuit 
construct and making it readily available in OpenWorkbench. The OXSnippet is 
used in signal snippet circuit constructs, which consist of a time stamp and an 
associated data buffer. See OpenEx help for more information. 

RPvdsEx Manual 
279 
Name  Description  
Tag_Root  Base name of the construct 
Blk_Size  Block size of the acquired snippet 
Data_Form  Format of the data - the data type can be float, integer, short, 
or byte 
Sort_Code Sort code 
Dec_Factor Decimation factor 
HandShake  Indicates whether a software trigger will be used for the 
handshake 
Channels  The number of channels associated with the snippet 
OxStream 
oxStream
Tag_Root=
Blk_Size=32
Data_Form=Float
Dec_Factor=1
Channels=0
...
Imp_MC=No
Description: 
The OxStream component is used with the OpenEx software suite. The 
OxStream acts as a circuit header, consolidating information about a circuit 
construct and making it readily available in OpenWorkbench. The OxStream is 
used in continuous waveform circuit constructs, which are used for 
continuously acquired data waveforms that do not require a unique time stamp. 
See OpenEx help for more information. 
Name  Description 
Tag_Root  Base name of the construct 
Blk_Size  Block size of the stream acquired 
Data_Form  Format of the data - the data type can be float, integer, short, 
or byte 
Dec_Factor Decimation factor 
Channels  The number of channels associated with the snippet 
RPvdsEx Manual 
280 
State/Flow Control 
StateFlow Control Components 
This group includes components for the StateFlow control functions. 
This group includes the following components:  
 MuxIn 
 MuxOut 
 SampHold 
 SimpCount 
 StateMach 
This group also includes the following component, if RPvdsEx Device Setup is 
configured for a high performance device, such as the RXn or RZn: 
 MCSampHold 
Important Note!: This group also includes the undocumented components: SeqIndex. This 
component is not intended for general use at this time.  

RPvdsEx Manual 
281 
MCSampHold 
MCSampHold
nChan=16
S/H=1
[1:2,0]
Description: 
The MCSampHold component is the multi-channel version of the SampHold 
component. It samples input values while S/H is set to a logical high. When S/H 
goes to zero, the last value is held. SampHold differs from Latch in that Latch 
holds the first value when triggered by a logical high input and holds that value 
until the next logical high. 
Name  Description  Data Type 
Inputs  Input signal to be sampled/held  Any 
Output  Output value of the component (Depending on the 
value of S/H, this will either be a held value or a 
newly sampled value of the input signal.) 
Any 
nChan 
N
umber of channels in the input signal  Integer 
(Static) 
S/H  Sample/Hold Control (When set high (1), the 
component will sample. When set low (0), the 
component will hold.) 
Logic 
Example: 
Multi-channel Sample and Hold 
MCSampHold
nChan=16
S/H=1
[1:5,0]
PulseTrain
Thi=1000
Tg=0
Tlo=1000
Npls=0
[1:1,0]
CurN=0
Stage=0
Trg=1
MCAdcIn
nChan=16
ChanOS=1
[1:3,0]
MCScale
nChan=16
SF=0.5
[1:4,0]
Half
nChan=16
The above example uses a MCSampHold component to look at the scaled value 
of the multi-channel input from the ADC every 2000 milliseconds. The S/H 
parameter is set high for a 1000 ms and set low the rest of the time, so it 
samples for a 1000 milliseconds and then holds the last value for 1000 
milliseconds. 

RPvdsEx Manual 
282 
MuxIn 
MuxIn
Rst=0
Sel=0
In0
In1
[1:1,0]
In2
In3
Description: 
Multiplexer device. Takes four input streams and sends one of them to its 
output. The select parameter indicates which input is sent to the output. Reset 
sets the output value to zero. See MuxOut. 
Name  Description  Data Type 
Inputs Input  Floating 
Output  Input signal based on Select line  Floating 
Rst  Resets the MuxIn line to Ln0  Logic 
Sel  Select line Integer value between 0 and 3 selects 
the input line  Integer 
Equation: 
Lo = Ii 1=Select value 
MuxOut 
MuxOut
Rst=0
Sel=0
Out0
Out1
[1:1,0]
Out2
Out3
Description: 
Multiplexer device. Takes one input and sends it to one of four outputs. The 
select parameter determines which output stream is chosen. Reset sets all 
outputs to zero. See MuxIn. 
Name  Description  Data Type 
Input Input  Floating 
Outputs  Output signal based on Select line  Floating 

RPvdsEx Manual 
283 
Rst  Resets the MuxOut line to Out0  Logic 
Sel  Select line Integer value between 0 and 3 selects 
the Output line  Integer 
Equation: 
Lo = Ii 1=Select value 
SampHold 
SampHold
S/H=1
[1:1,0]
Description: 
The SampHold component Samples input values while S/H is set logical high. 
When S/H goes to zero the last value is held. SampHold differs from Latch in 
that Latch holds the first value when triggered by a logical high input and holds 
that value until the next logical high. 
Name  Description  Data Type 
Inputs  Input signal to be sampled/held  Any 
Output  Output value of the component (Depending on the 
value of S/H, this will either be a held value or a 
newly sampled value of the input signal.) 
Any 
S/H  Sample/Hold Control (When set high (1), the 
component will sample. When set low (0), the 
component will hold.) 
Logic 
Example:  
Sample and Hold 
d
c
[1:3,0]
Ch=1
RMS
[1:4,0]
SampHold
S/H=1
[1:5,0]
RMS
0.711
PulseTrain
Thi=1000
Tg=0
Tlo=1000
Npls=0
[1:1,0
]
CurN=0
Stage=0
Trg=1
The above example uses a SampHold component to look at the RMS value of 
the input from the ADC every 2000 milliseconds. The S/H parameter is set high 
for a 1000 ms and set low the rest of the time, so it samples for a 1000 
milliseconds and then holds the last value for 1000 milliseconds. 

RPvdsEx Manual 
284 
SimpCount 
SimpCount
Rst=0
Enable=1
[1:1,0]
Description: 
The SimpCount component is a simple counter that starts at zero and counts up 
from there. The count goes up by one for each sample period that the Enable 
parameter is set high. If the Reset parameter is set high, the count gets reset to 
zero.  
SimpCount
Rst=0
Enable=1
[1:5,0]
Bi
[1:1,0]
M=1
[1:3,0]
Src=Soft1
72845
Counts the number of samples that digital input 
1 is high.
The counter can be reset by software trigger 1.
The Counter component is more powerful than SimpCount, and allows for 
different starting values, looping, etc. SimpCount is useful for basic counting 
tasks, but Counter is required for more advanced counting tasks such as 
offsetting the position in a memory buffer. 
Name  Description  Data Type 
Output  Current integer count  Integer 
Rst  Resets counter when logic is high (1)  Logic 
Enable  When enable is set high (1), counter is incremented 
on each tick of the clock  Logic 
StateMach 
StateMach
nStates=4
Rst=0
Enab=1
JmpA=0
[1:1,0]
StChange=0
StNum=0
JmpB=0
{>Data}
OutSel=0
Description: 
A state machine changes its output based on the combination of inputs to the 
system. A look-up table (see following example) determines the state of the 
machine. An additional Output select table allows the user to send a given 
output based on the machine's state. 

RPvdsEx Manual 
285 
The state machine is divided into two parts. The first part determines the state 
of the machine and the second part determines the output value. 
Determining The State Of The Machine.  
Four inputs determine the state of the machine. 
When Reset is high (=1) the machine state becomes state 0. 
When Enable is low (=0) the machine state is fixed at the last state until it goes 
high again (=1). 
When Enable is high (=1) and Reset is low(=0) the state of the machine is 
determined by the input values for JmpA and JmpB. The top portion of the 
look-up table (see following example) determines the state based on the present 
state of the machine and the input values for JmpA and JmpB. 
Using the example below: if the last state of the machine was State 2, (JmpB=1) 
and JmpA went high (=1) the state machine would go to state 0 (In state 2 when 
both JmpA and JmpB are high (=1) the state of the machine becomes State 0). It 
then becomes State 3 (When Both=1 in State 0 the State changes to State 3). 
After that it toggles between state 3 and state 0. 
Use StNum to check the present state of the Machine. 
Use Stchange to check if the state of the machine has changed. 
Determining The Output Of The State Machine.  
The Output select (OutSel) value (in conjugation with the machine state) 
determines the output value of the State machine. 
In the look-up table example below when machine is in State 1 (S1) and the 
OutSel=3 the Output value is the integer 7. 
Use DataTable to design the look-up table. Below is the logical structure for a 
look-up table. In the table below, the columns S0, S1, S2, and S3 correspond to 
the four possible states of this state machine. The logic rows (If None, If JmpA, 
If JmpB, If Both) are used to control how the state machine jumps from one 
state to another. The Output rows are used to control the output of the state 
machine, depending on the OutSel input and the current state.  
Note: the state machine outputs only integers. 

RPvdsEx Manual 
286 
Name  Description  Data Type 
Output  Value in look-up table based on the state of the 
machine  Integer 
nStates 
N
umber of possible states for the State Machine  Integer (Static) 
Rst  When Rst is high (1)the state of the machine is at 
State 0  Logic 
Enab  Enab low fixes the state of the machine at the last 
State. State changes can occur when Rst is low and 
Enab is high 
Logic 
JmpA  JmpA changes state of machine  Logic 
JmpB  JmpB changes the state of the machine  Logic 
Outsel  Depending on state of the machine sends out an 
integer value  Integer 
>Data  Pointer to Lookup table  pointer 
Stnum  Present state of the Machine  Integer 
StChange  checks to see if the state of the machine has 
changed recently  Logic 
Outputs  Output signal based on Select line  Floating 
RPvdsEx Manual 
287 
Trigonometry 
Trigonometry Components 
This group includes components for the trigonometric functions. All trigonometric functions are in 
Radians. 
This group includes the following components:  
 Arccos 
 Arcsin 
 Arctan 
 Cos 
 Distance 
 Sin 
 Tan 

RPvdsEx Manual 
288 
Arccos 
Arccos
[1:1,0]
Description: 
This component calculates the arccosine of the input that is bounded by -1 to 1. 
Output is in Radians. The output values are the arccos valued in the range [0, 
pi]. 
Name  Description  Data Type 
Input Input  Floating Point 
Output  Arccos (Input) in Radians  Floating Point 
Equation: 
Output = Arccos (Input ) 
Arcsin 
Arcsin
[1:1,0]
Description: 
This component calculates the arcsine of the input that is bounded by -1 to 1. 
Out put is in Radians. The output values are the arcsin values in the range [-
pi/2, pi/2]. 
Name  Description  Data Type 
Input Input  Floating Point 
Output  Arcsin (Input) in Radians  Floating Point 
Equation: 
Output = Arcsin (Input ) 
Arctan 
Arctan
[1:1,0]
Description: 
This component calculates the arctangent of the unbounded input. Output is in 
Radians. The output values are the arctan values in the range [-pi/2, pi/2]. 
Name  Description  Data Type 
Input Input  Floating Point 
Output  Arctan (Input) in Radians  Floating Point 
Equation: 
Output = Arctan (Input ) 

RPvdsEx Manual 
289 
Cos 
Cos
[1:1,0]
Description: 
This component calculates the cosine of the unbounded input. Output is in 
Radians. 
Name  Description  Data Type 
Input Input  Floating Point 
Output  Cos (Input) in Radians  Floating Point 
Equation: 
Output = Cos (Input ) 
Distance 
Distance
Xo=0
Yo=0
[1:1,0]
Description: 
Calculates the distance between two points in x,y space. Useful for computing 
distance between output of eye tracker and desired focus location. 
Name  Description  Data Type 
Input  Stereo signal, put x, y data in stereo format  Floating Point 
Output  Mono signal  Floating Point 
Xo  X-value in X,Y space  Floating Point 
Yo  Y-value in X,Y space  Floating Point 
Note: Stereo processor input (put x,y data in stereo format) X = X position, Y = 
Y position 
Example:  
Distance 
File: Examples\Distance_ex.rcx 
Default Device: RP2.1 Processor 
Sampling Rate: 50 kHz 
This example demonstrates how Distance can be used to detect when the output 
from an eye-tracker is within a specified radius of a target. A StereoADC is 
used to acquire two channels of eye tracker input. The distance between the X,Y 
input from the ADC and the XCenter and YCenter of the target is compared to 

RPvdsEx Manual 
290 
0.5 V and a TTL pulse is sent out whenever it is less than 0.5 V. Use the ConstF 
functions to modify the circuit in RPvdsEx. 
Note: XCenter and YCenter require the use of ActiveX controls or TDT 
programs other than RPvdsEx. Additional circuitry not shown is included to 
make the example run within RPvdsEx. 
Bi
[1:13,0]
M=1
Compare
K=0.5
Test=LT
[1:12,0]
Distance
Xo=0
Yo=0
[1:11,0]
e
o
[1:10,0]
Ch=1
ConstF
K=2
Y
Center [1:6 - 
0
ConstF
K=5
X
Center [1:8 - 
0
X_center
Y_center
Sin 
Sin
[1:1,0]
Description: 
This component calculates the sine of the unbounded input. Output is in 
Radians. 
Name  Description  Data Type 
Input Input  Floating Point 
Output  Sin (Input) in Radians  Floating Point 
Equation: 
Output = Sin(Input ) 
Tan 
Tan
[1:1,0]
Description: 
This component calculates the tangent of the unbounded input. Output is in 
Radians. 
Name  Description  Data Type 
Input Input  Floating Point 
Output  Tan (Input) in Radians  Floating Point 
Equation: 
Output = Tan (Input ) 
RPvdsEx Manual 
291 
Type Conversion 
Type Conversion Components 
These components are used to convert a signal from one data type to another. 
This group includes the following components:  
 Float2Int 
 Float2TTL 
 Flt2Stereo 
 FromHopPick 
 Int2Float 
 Int2TTL 
 Stereo2Flt 
 TTL2Float 
 TTL2Int 
This group also includes the following components, if RPvdsEx Device Setup is 
configured for a high performance device, such as the RXn or RZn: 
 MCFloat2Int 
 MCFloat2Int8 
 MCFloat2Int16 
 MCForceCC 
 MCFromHop 
 MCFromSer 
 MCFromSing 
 MCInt2Float 
 MCInt16ToFLT 
 MCInt8ToFlt 
 MCMap 
 MCMerge 
 MCSubSel 
 MCToSing 
Important Note!: This group also includes MCToSer, Any2Any, Float2Float, Int2Int, and 
TTL2TTL, components are intended primarily for TDT use in behind-the-scenes macro design. 
They are not intended for general use. 

RPvdsEx Manual 
292 
Float2Int 
Float2Int
SF=1
[1:1,0]
Description: 
The Float2Int scales the input and converts the result from a 32-bit float to a 32-
bit integer. 
Name  Description  Data Type 
Input Input  Floating Point 
Output Round (Input*SF)  Integer 
SF  Scale Factor  Floating Point 
Equation: 
Output = round(Input * SF)) 
Example: 
RAM Buffer, see page 128. 
Float2TTL 
Float2TTL
Thrsh=1
[1:1,0]
Description: 
This component returns 1 if the input is above the threshold value. 
Name  Description  Data Type 
Input Input  Floating Point 
Output  If Input>Thrsh then Output=1 else Output=0  Logic 
Thrsh  Threshold value for TTL high  Floating Point 
Equation: 
If ( Input > Thrsh) then Output = 1 
else Output= 0 
Example: 
Cycle Usage, see page 192. 

RPvdsEx Manual 
293 
Flt2Stereo 
Stereo
R
[1:1,0]
L
Description: 
Converts to two floating point inputs into a stereo formatted signal. 
Name  Description  Data Type 
L  Left channel input  Floating Point 
R  Right channel input  Floating Point 
Output  Stereo formatted signal  Floating Point 
FromHopPick 
{>PM}
IndexSel=1
FromHopPick
nChan=16
[4:231,0]
Description: 
FromHopPick outputs a single channel from an array of single channel indexed 
hops. Each hop must be named [Root]~# where [Root] is the name of 
FromHopPick and # is the channel number. There must be a hop for each 
channel. Use IndexSel to choose which hop to output from FromHopPick. See 
example below.  
MCAdcIn
nChan=16
ChanOS=1
[1:1,0]
Iterate:  x =1 to 16 by 1
RMS~{x}
RMS
[1...,3-01...]
MCSig
MCToSing
ChanSel={x}
[1...,2-01...]
MCSig
{>PM}
IndexSel=1
RMS
nChan=16
[1:49,0]
channel
In this example, each channel of a 16-channel stream (MCSig) is extracted 
using MCToSing, the RMS computed and FromHopPick is used to access one 
channel for further processing. The RMS calculation occurs inside of an iterate 

RPvdsEx Manual 
294 
box to simplify programming. This example is useful when MC components 
don’t exist for the desired function. 
Note: This component is for use with only high performance processor devices, 
such as RXn or RZn. 
Name  Description  Data Type 
Output Multi-channel signal  Floating Point 
nChan 
N
umber of channels (4-256)  Integer (Static) 
IndexSel  Selects the desired hop  Integer  
Int2Float 
Int2Float
SF=1
[1:1,0]
Description: 
This component converts the input from a 32-bit integer to a 32-bit float and 
then scales the result. 
Name  Description  Data Type 
Input Input  Integer 
Output Input*SF  Floating Point 
SF  Scale Factor  Floating Point 
Equation: 
Output = Input * SF 
Example: 
Block Access, see page 123. 
Int2TTL 
Int2TTL
BitN=0
[1:1,0]
Description: 
This component outputs 1 if the specified bit of the input is set. 

RPvdsEx Manual 
295 
Name  Description  Data Type 
Input Input  Integer 
Output  If Input BitMask=1 then Output=1 else 
Output=0  Logic 
BitN  Bit value for Output high  Integer 
Equation: 
If (Input AND BitN) = 1, then Output = 1 
else Output = 0 
MCFloat2Int 
MCFloat2Int
nChan=16
SF=1
[1:2,0]
Description: 
This is the multi-channel version of Float2Int. It scales the 32-bit floating point 
input of each channel and then converts the result to a 32-bit integer. 
Note: This component is for use with only high performance processor devices, 
such as RXn or RZn. 
Name  Description  Data Type 
Input  Multi-channel input signal  Floating Point 
Output  Multi-channel output signal   Integer 
nChan 
N
umber of Channels  Integer (Static) 
SF  Scale Factor  Floating Point 
Equation: 
Output = round(Input * SF) 
MCFloat2Int8  
MCFloat2Int8
nChan=16
SF=255
[1:4,0]
Description: 
MCFloat2Int8 takes a multi-channel input of 32-bit floating values, scales them, 
converts them to 8-bit integer numbers and packs them into 32-bit integers.  The 
resultant MC stream has nChan/4 channels.  

RPvdsEx Manual 
296 
MCAdcIn
nChan=16
ChanOS=1
[1:1,0]
MCFloat2Int8
nChan=16
SF=127
[1:2,0]
MCSerStore
nChan=4
Size=1024
Rst=0
WrEnab=1
[1:3,0]
Index=0
{>Data}
Data
RPvdsEx might warn of a channel mismatch.  It is okay to ignore this warning.  
This reduction technique can be used to decrease memory allocation for data 
storage or quadruple the data transfer rate to and from the PC. 
The scale factor (SF) is used to appropriately scale the floating point input 
before it is converted to an 8-bit integer. Use an SF of 127 for a +/- 1V range 
and an SF of 12.7 for a +/- 10 V range. The SF and input values must be 
matched. Mismatch between the SF and input value range gives poor resolution 
or meaningless data.  
See Data Reduction - Scale Factor for more information on properly setting the 
scale factor, page 166.  
Note: This component is for use with only high performance processor devices, 
such as RXn or RZn. 
Name  Description  Data Type 
Input Multi-channel input  Floating Point 
Output  Multi-channel output of 32-bit integers; four 
channels of 8-bit integers are packed into each 
channel 
Integer 
SF  Scale factor sets the scale for the input before 
sample conversion; scale factor depends on 
input voltage 
Floating Point 
nChan 
N
umber of Channels  Integer (Static) 
MCFloat2Int16 
MCFloat2Int16
nChan=16
SF=32767
[1:6,0]
Description: 
MCFloat2Int16 takes a multi-channel input of 32-bit floating values, scales and 
converts them to 16-bit integer numbers and packs them into 32-bit integers.  
The resultant MC stream has nChan/2 channels.  

RPvdsEx Manual 
297 
MCAdcIn
nChan=16
ChanOS=1
[1:1,0]
MCSerStore
nChan=8
Size=1024
Rst=0
WrEnab=1
[1:3,0]
Index=0
{>Data}
Data
MCFloat2Int16
nChan=16
SF=32767
[1:2,0]
RPvdsEx might warn of a channel mismatch.  It is okay to ignore this warning.  
This reduction technique can be used to decrease memory allocation for data 
storage or double the data transfer rate to and from the PC. 
The scale factor (SF) is used to appropriately scale the floating point input 
before it is converted to a 16-bit integer. The default SF is set to 32767 and 
assumes that the input is bounded between +/- 1.0 V. Use an SF of 3276.7 for a 
+/- 10 V range. The SF and input values must be matched. Mismatch between 
the SF and input value range gives poor resolution or meaningless data. See 
Data Reduction - Scale Factor for more information on properly setting the 
scale factor, page 166.  
Note: This component is for use with only high performance processor devices, 
such as RXn or RZn. 
Name  Description  Data Type 
Input Multi-channel input  Floating Point 
Output  Multi-channel output of 32-bit integers; two 
channels of 16-bit integers are packed into each 
channel 
Integer 
SF  Scale factor sets the scale for the input before 
sample conversion; scale factor depends on 
input voltage 
Floating Point 
nChan 
N
umber of Channels  Integer (Static) 
MCForceCC 
MCForceCC
nChan=16
[1:2,0]
Description: 
The MCForceCC component is used to force the in-path channel count to the 
specified value. This is useful for type conversions that inherently change the 
channel count (such as MCInt16ToFlt).  
Note: This component is for use with only high performance processor devices, 
such as RXn or RZn. 

RPvdsEx Manual 
298 
Name  Description  Data Type 
Input  Mult-channel input signal  Floating Point 
Output  Multi-channel signal with specified 
channel count  Floating Point 
nChan 
N
umber of channels in the output signal  Integer (Static)
MCFromHop 
{>PM
}
MCFromHop
nChan=16
[1:19,0]
Description: 
MCFromHop builds a multi-channel signal from single channel indexed hops. 
Each hop must be named [Root]~# where [Root] is the name of MCFromHop 
and # is the channel number.  There must be a hop for each channel.  See 
example below.  
MCAdcIn
nChan=4
ChanOS=1
[1:1,0]
Iterate:  x =1 to 4 by 1
RMS~{x}
{>PM
}
RMS
nChan=4
[1:13,0
]
RMS
[1...,3-01...]
MCSig
MCToSing
ChanSel={x}
[1...,2-01...]
MCSig
In this example, each channel of a four-channel stream (MCSig) is extracted 
using MCToSing, the RMS computed and the MC signal is reformed using 
MCFromHop. This occurs inside of an iterate box to simplify programming.  
This example is useful when MC components don’t exist for the desired 
function. 
Note: This component is for use with only high performance processor devices, 
such as RXn or RZn. 
Name  Description  Data Type 
Output Multi-channel signal  Floating Point 
nChan 
N
umber of channels (4-256)  Integer (Static) 

RPvdsEx Manual 
299 
MCFromSer 
MCFromSer
nChan=16
[1:9,0]
Strobe=0
SyncIn=0
Description: 
The MCFromSer component converts a serial sequence of integer values to a 
multi-channel signal. The rising edge of SyncIn is used to begin the conversion 
and should stay high for the total number of channels (nChan). When all 
channels have been written to, the Strobe output will go high for one sample 
indicating that the first sample for each channel has been converted. 
Note: This component is for use with only high performance processor devices, 
such as RXn or RZn.  
Name  Description  Data Type 
Input  Single channel input signal  Integer 
Output  Parallel conversion of serial input. Each 
progressive channel contains the next serial 
input value 
Integer 
nChan 
N
umber of channels to convert serial input to Integer 
SyncIn  Initiates the conversion on a rising edge  Logic 
Strobe  Goes high for a single sample when a single 
sample has been converted for all channels  Logic 
MCFromSing 
[1:7,0]
ToMC
Description: 
MCFromSing builds a multi-channel signal from multiple single channel 
signals. Most multi-channel components require merged multi-channel inputs. 
MCFromSing can be used to create a multi-channel signal using up to four 
single channels. 
[1:7,0]
ToMC
Chan 1-4
Chan1
Chan2
Chan3
Chan4
To build a multi-channel signal with more than four single channels, the signals 
must first be merged in groups of four using MCFromSing. The outputs from 

RPvdsEx Manual 
300 
each MCFromSing can then be merged using the MCMerge.  For higher 
channel counts or for a simplified technique, see MCFromHop. 
Caution: Inputs to the MCFromSing must be of the same data type.   
Note: This component is for use with only high performance processor devices, 
such as RXn or RZn. 
Name  Description  Data Type 
Input (Multiple)  Single channel inputs  Any 
Output  Multi-channel output  Same as input 
MCInt2Float 
MCInt2Float
nChan=16
SF=1
[1:2,0]
Description: 
This is the multi-channel version of the Int2Float component. It converts the 
multi-channel input from 32-bit integers to 32-bit floating-point values and then 
scales the result.  
Note: This component is for use with only high performance processor devices, 
such as RXn or RZn. 
Name  Description  Data Type 
Input Multi-channel input signal  Integer 
Output  Multi-channel output signal   Floating Point 
SF  Scale Factor  Floating Point 
nChan 
N
umber of Channels  Integer (Static) 
Equation: 
Output = Input * SF 
MCInt16ToFlt  
MCInt16ToFlt
nChan=16
SF=1
[1:2,0]
Description: 
MCInt16ToFlt takes a multi-channel input of 32-bit integers where each 32-bit 
integer is packed with two 16-bit integers, scales and converts them to 32-bit 
floating point for further floating point processing. The input MC stream should 

RPvdsEx Manual 
301 
have nChan/2 channels because of the integer packing.  The output MC stream 
has nChan channels. This is the inverse operation of MCFloat2Int16. 
Note: This component is for use with only high performance processor devices, 
such as RXn or RZn. 
Name  Description  Data Type 
Input  Multi-channel input; two 16-bit integers packed 
into each channel  Integer 
Output  Multi-channel output of 32-bit floats  Floating Point 
SF  Scale factor sets the scale for the input before 
sample conversion; scale factor depends on 
input voltage 
Floating Point 
nChan 
N
umber of Channels  Integer (Static) 
MCInt8ToFlt  
MCInt8ToFlt
nChan=16
SF=1
[1:2,0]
Description: 
MCInt8ToFlt takes a multi-channel input of 32-bit integers where each 32-bit 
integer is packed with four 8-bit integers, scales and converts them to 32-bit 
floating point for further floating point processing. The input MC stream should 
have nChan/4 channels because of the integer packing.  The output MC stream 
has nChan channels. This is the inverse operation of MCFloat2Int8. 
Note: This component is for use with only high performance processor devices, 
such as RXn or RZn. 
Name  Description  Data Type 
Input  Multi-channel input; four 8-bit integers packed 
into each channel  Integer 
Output  Multi-channel output of 32-bit floats  Floating Point 
SF  Scale factor sets the scale for the input before 
sample conversion; scale factor depends on 
input voltage 
Floating Point 
nChan 
N
umber of Channels  Integer (Static) 

RPvdsEx Manual 
302 
MCMap 
MCMap
nChan=16
{>Map}
[1:2,0]
Description: 
McMap is a component that allows users to reorganize the input channel 
configuration to a desired output configuration. This allows the logical channel 
organization to match the spatial orientation of an electrode array. It can also be 
used to reorder TDT adapters to ZIF-Clips or EEG cap arrays. 
Input channels from a MC component are reorganized based on the ordering of 
the channel number configuration from the >Map input parameter. The MCMap 
memory is an array equal in length to nChan that contains the reordered 
channels. For example, if recording channel eight of sixteen was the most distal 
electrode it could be remapped as either the first or last channel (channel 16).  
Set nChan to the number of channels in the output signal (not the input signal). 
If nChan is smaller than the number of channels at the input a warning will be 
given in RPvdsEx, this warning may be disregarded if the intention is to output 
a subset of the multi-channel input signal. 
Note: This component is for use with only high performance processor devices, 
such as RXn or RZn. 
Name  Description  Data Type 
Input  Mult-channel input signal  Floating Point 
Output  Multi-channel sub-set of input  Floating Point 
nChan 
N
umber of channels in the output signal  Integer (Static) 
>Map  Pointer to Map buffer (PM)  Pointer 
Example: 
The example below illustrates how to remap the physical electrode sites of a 16-
channel acute probe to the headstage. 
A pinout of the headstage/adapter as well as the probe are required. The 
DataTable component in RPvdsEx can be used to load the channel map to the 
MCMap component.  
Select ChanMap in the Type/Format drop down menu located in the DataTable 
component settings dialog when using the DataTable with the MCMap 
component.  

RPvdsEx Manual 
303 
Headstage pinout  16-Channel Acute Probe and its site mapping 
Below is an example of the basic components used to remap the input signal. 
MCAdcIn
nChan=16
ChanOS=1
[1:2,0]
MCMap
nChan=16
{>Map}
[1:3,0]
ChanMap
= 0
Based on the pinouts pictured above, the DataTable entries are mapped 
according to the desired position of the physical electrode sites. For instance, 
the most distal electrode on the acute probe is channel 6. If we wish this to 
represent channel 16, we would need to remap channel 6 to channel 16.  
Since the headstage pinout matches the electrode, we only need to remap the 
electrode sites. After remapping the electrode sites according to their insertion 
depth from channel 1 to 16, the new physical site mapping will look like this: 

RPvdsEx Manual 
304 
Notice that in the circuit above the currently selected index (0) matches the 
column containing the channel map values in the DataTable component 
settings. Selecting a particular index loads the channel map that is contained 
within the corresponding column. 
Note: If you are not using the DataTable with the MCMap component, the 
channel map can be loaded as follows: 
Map = 9 8 10 7 13 4 12 5 15 2 16 1 14 3 11 6 
MCMerge 
[1:2,0]
Merge
Description: 

RPvdsEx Manual 
305 
MCMerge merges multiple multi-channel signals to form a single multi-channel 
signal. The MCMerge inputs must be multi-channel signals. Single channel 
signals can be merged into a multi-channel signal using MCFromSing (ToMC). 
The MCMerge inputs may include any number of channels, so long as they are 
multi-channel signals. 
[1:5,0]
ToMC
Chan1
Chan2
Chan3
Chan4
[1:6,0]
Merge
Chans 1-16
The MCMerge component is typically used to merge multiple channel signals 
from several MCFromSing components. If more than four channels are to be 
merged, they must first be merged in groups of four using MCFromSing. The 
outputs from each MCFromSing can then be merged using the MCMerge. 
Note: This component is for use with only high performance processor devices, 
such as RXn or RZn. 
Name  Description  Data Type 
Input (multiple)  Multiple multi-channel inputs  Any 
Output  Merged output  Same as Input 
MCSubSel 
MCSubSel
nChan=16
ChanSel=1
[1:7,0]
Description: 
The MCSubSel is used to form a multi-channel signal from a sub-set of another 
multi-channel signal.  Set nChan to the desired number of channels in the 
output signal (not the input signal).  Set ChanSel to the first channel in the range 
of interest. ChanSel + nChan should not be greater than the number of channels 
contained in the input signal.   
Note: This component is for use with only high performance processor devices, 
such as RXn or RZn. 
Name  Description  Data Type 
Input  Mult-channel input signal  Floating Point 
Output  Multi-channel sub-set of input  Floating Point 
nChan 
N
umber of channels in the output signal  Integer (Static) 
Merge up to four 
multi-channel signals 

RPvdsEx Manual 
306 
ChanSel Channel select line  Integer 
Example: 
To select channels 33 thru 48 of a 64 channel input signal, set nChan = 16 and 
ChanSel = 33. 
MCToSing 
MCToSing
ChanSel=1
[1:7,0]
Description: 
This component allows the user to extract a single channel signal from a multi-
channel signal by selecting the channel number required. The channel number 
can be selected dynamically.  
MCToSing
ChanSel=1
[1:2,0]
MCAdcIn
nChan=16
ChanOS=1
[1:1,0]
ChanSelect
SignalOut
One MCToSing component is required for each single channel signal to be 
extracted. This component is particularly powerful when used with iterations.  
Note: This component is for use with only high performance processor devices, 
such as RXn or RZn. 
Name  Description  Data Type 
Input Multi-channel input signal  Any 
Output  Single channel output  Any 
ChanSel  Channel select line  Dynamic Integer 
Example:  
MCToSing 
MCToSing is used to extract a channel for further processing using single-
channel components. Typically, single channel signals must be extracted when 
there is no multi-channel component that can perform the necessary processing 
task.  In the example below a single channel is extracted from a 16-channel 
signal, that channel is then processed for sorting spike data using SortSpike2.  

RPvdsEx Manual 
307 
MCAdcIn
nChan=16
ChanOS=1
[1:1,0]
MCToSing
ChanSel=1
[1:2,0]
ChanSelect
SortSpike2
nWid/4=8
Thresh=1
UseSign=1
Enab/Rst=1
[1:3,0]
SortBits=0
Strobe=0
Tag
{>Coef}
{>Data}
aEA~{x}
cEA~{x}
SerStore
Size=32000
Rst=0
WrEnab=1
[1:5,0]
Index=0
{>Data}
dEA~{x}
sEA~{x}
Enable
iTime
Stereo2Flt 
R
[1:1,0] L
Stereo
Description: 
Splits a stereo input into separate Left and Right signals. 
Name  Description  Data Type 
Input  Stereo formatted signal  Floating Point 
L  Left channel out  Floating Point 
R  Right channel out  Floating Point 
TTL2Float 
TTL2Float
HiVal=1
[1:1,0]
Description: 
This component converts the input from a TTL value to the specified 32-bit 
float when true, else it converts the input to 0. 
Name  Description  Data Type 
Input Input  Logic 
Output  If Logic high then Output=HiVal else 
Output=0  Floating Point 
HiVal  Hival for logic Hi  Floating Point 
Equation: 
If Input = 1, then Output = HiVal 

RPvdsEx Manual 
308 
else Output=0 
TTL2Int 
TTL2Int
HiVal=1
[1:1,0]
Description: 
This component converts the input from a TTL value to the specified 32-bit 
integer when true, else it converts the input to 0. 
Name  Description  Data Type 
Input Input  Logic 
Output  If logic high then Output=HiVal else 
Output=0  Integer 
HiVal  HiVal for Logic high  Integer 
Equation: 
If Input = 1, then Output = HiVal 
else Output = 0 
RPvdsEx Manual 
309 
Waveform Generators 
Waveform Generator Components 
Waveform generators are components that generate signals on the DSP. Almost any signal can be 
produced by combining these basic waveform generators with filters and signal mixers. 
This group includes the following components:  
 ConstF 
 ConstI 
 ConstL 
 FStep 
 GaussNoise 
 RampTooth 
 Random 
 SawTooth 
 Tone 
 TSlope 
This group also includes the following component, if RPvdsEx Device Setup is 
configured for a high performance device, such as the RXn or RZn: 
 MCConst 
 MCValList 

RPvdsEx Manual 
310 
ConstF 
ConstF
K=0
[1:1,0
]
Description: 
This component feeds the signal chain with the specified constant. Often used 
with parameter tags, which are unable to connect to the input port of a 
processor. 
Name  Description  Data Type 
Output K  Floating Point 
K  Constant Value  Floating Point 
Equation: 
OutputO = K1 
ConstI 
ConstI
K=0
[1:1,0
]
Description: 
This component feeds the signal chain with the specified constant. Often used 
with parameter tags, which are unable to connect to the input port of a 
processor. 
Name  Description  Data Type 
Output K  Integer 
K Constant Value  Integer 
Equation: 
OutputO = K1 
ConstL 
ConstL
K=0
[1:1,0
]
Description: 
This component feeds the signal chain with the specified constant. Often used 
with parameter tags, which are unable to connect to the input port of a 
processor. 

RPvdsEx Manual 
311 
Name  Description  Data Type 
Output K  Logic 
K Constant Value  Logic 
Equation: 
LO = K1 
FStep 
FStep
Base=0
Step=0
Min=-1e+020
Max=1e+020
[1:1,0]
Rst=Run
Enab=Run
Description: 
The FStep is an up/down counter. It counts for the duration of a high pulse sent 
to the Enable port (Enab). It increments the count by a set value (determined by 
Step) for each pulse of sample clock (e.g. if the enable is high for 1 msec and 
the sample rate is 25 Kilohertz then the counter will step 25 times). When it 
reaches the Min or Max value the FStep stops and retains that value until reset 
(see below for more details). The FStep starts at the Base value the first time the 
counter is started or after the Reset (Rst) port is triggered (value goes from low 
(0) to high (1)). 
Use FStep in place of Counter (which is primarily designed for RamBuffers) for 
functions that require countdown, negative numbers, or floating point output.  
Name  Description  Data Type 
Output  Incremented Floating point value  Floating Point 
Base  Base value  Floating Point 
Step  Step Size  Floating Point 
Min  Minimum value for counter  Floating Point 
Max  Maximum value for counter  Floating Point 
Rst  Resets counter when Logic is High  Logic 
Enable  When Enable line is set hi(1) counter is 
incremented on each tick of the clock.  Logic 

RPvdsEx Manual 
312 
GaussNoise 
GaussNoise
Amp=1
Shft=0
Seed=0
Rst=Run
[1:1,0]
Description: 
This component generates a white noise process with a Gaussian probability 
density function with the specified attributes. Peak voltages will be higher. To 
avoid clipping a signal the RMS amplitude should be less than 2.1. 
Name  Description  Data Type 
Output Gaussian Noise  Floating Point 
Amp  RMS Amplitude of the Signal  Floating Point 
Shift  DC shift of signal output.  Floating Point 
Seed  Integer value for Random generation of noise 
output  Integer 
Rst  When set high, resets sequence to restart at 
random (seed). Feeding new Seeds produces 
different noise. Feeding the same seed produces 
the same noise sequence. 
Logic 
All noise generators produce a fixed energy across the bandwidth of the 
RPvdsEx circuit. In other words, the noise power is spread evenly across the 
entire Nyquist bandwidth. Changing the sampling rate changes the Nyquist 
bandwidth and thus alters the RMS noise level over a fixed bandwidth by the 
following relationship: 
RMS dB change=20*log(New SR/Old SR)/2 
Doubling the sample rate will double the Nyquist frequency and decrease the 
RMS noise level over a fixed bandwidth by 3 dB. Similarly, halving the SR will 
increase the RMS over that bandwidth by 3 dB.  
Note: the PowerBand difference will be 6dB. 
Example(s): 
Second Order Biquad Filter (filtered noise with Butterworth coefficients), see 
page 145. 
Parametric Coefficient (filtered noise with parametric coefficients), see page 
151. 

RPvdsEx Manual 
313 
MCConst 
MCConst
nChan=16
Value=1
[1:1,0]
Description: 
This component is a multi-channel version of the ConstF component. MCConst 
feeds a specified constant to a multi-channel output. The constant is specified 
using the Value parameter and can be controlled dynamically. The constant is 
fed to each of the signals in the multi-channel signal. The number of channels in 
the output is specified by the nChan parameter. 
MCConst
nChan=16
Value=1
[1:3,0]
Tone
Amp=1
Shft=0
Freq=1000
Phse=0
[1:1,0]
Rst=Run
MCTone
Note: This component is for use with only high performance processor devices, 
such as RXn or RZn. 
Name  Description  Data Type 
Output Multi-channel output  Floating Point 
nChan 
N
umber of channels required in output signal  Integer (Static) 
Value  Constant value fed to the output  Floating Point 
Equation: 
Output(1: nChan) = Value 
MCValList 
MCValList
nChan=16
{>List}
[1:1,0]
Description: 
This component is similar to MCConst but lets you specify the value for each 
individual channel. MCValList feeds a specified list to a multi-channel output. 
The value list is specified using the {>List} parameter and can be controlled 
statically with an nRow DataTable or dynamically with a ParTag. The number 
of channels in the output is specified by the nChan parameter.   

RPvdsEx Manual 
314 
MCValList
nChan=16
{>List}
[1:1,0]
ScaleFactor
s
= 0
MCConst
nChan=16
Value=1
[1:5,0]
Inp
2
MCMult
nChan=16
[1:6,0]
MCValues
myList
Tone
Amp=1
Shft=0
Freq=1000
Phse=0
[1:3,0]
Rst=Run
Note: This component is for use with only high performance processor devices, 
such as RXn or RZn. 
Name  Description  Data Type 
Output Multi-channel output  Floating Point 
nChan 
N
umber of channels required in output signal  Integer (Static)
{>List}  Pointer to value list (DataTable or ParTag)  Floating Point 
Equation: 
Output(1: nChan) = {>List} 
RampTooth 
RampTooth
Amp=1
Shft=0
Freq=1000
Phse=0
[1:1,0]
Rst=Run
Description: 
This component generates a ramped waveform with the specified attributes. 
Note: Ensure that the bounds of the phase parameter are greater than -180 and 
less than +180. Any value (including exactly -180 or +180) outside of these 
bounds will be set to a phase of zero. 
Name  Description  Data Type 
Output Ramped waveform  Floating Point 
Amp  Peak amplitude of the signal  Floating Point 
Shift  DC shift of signal output  Floating Point 

RPvdsEx Manual 
315 
Freq  Frequency in Hz  Floating Point 
Phse  Phase of sine when Rst goes from high to low  Floating Point 
Rst  When reset goes high. Sine phase resets to Phse Logic 
Random 
Random
Amp=1
Shft=0
Seed=0
Rst=Run
[1:1,0]
Description: 
This component generates a white noise process with a uniform probability 
density function with the specified attributes. The amplitude specifies the 
maximum output of the component. 
Name  Description  Data Type 
Output  Uniformed distribution of values.  Floating Point 
Amp Peak Amplitude.  Floating Point 
Shift  DC shift of signal output.  Floating Point 
Seed  Integer value for Random generation of noise 
output  Integer 
Rst  When set high, resets sequence to restart at 
random (seed). Feeding new Seeds produces 
different noise. Feeding the same seed produces 
the same noise sequence. 
Logic 
All noise generators produce a fixed energy across the bandwidth of the 
RPvdsEx circuit.  In other words, the noise power is spread evenly across the 
entire Nyquist bandwidth. Changing the sampling rate changes the Nyquist 
bandwidth and thus alters the RMS noise level over a fixed bandwidth by the 
following relationship: 
RMS dB change=20*log(New SR/Old SR)/2 
Doubling the sample rate will double the Nyquist frequency and decrease the 
RMS noise level over a fixed bandwidth by 3 dB. Similarly, halving the SR will 
increase the RMS over that bandwidth by 3 dB.  
Note: the PowerBand difference will be 6dB. 

RPvdsEx Manual 
316 
SawTooth 
SawTooth
Amp=1
Shft=0
Freq=1000
Phse=0
[1:1,0]
Rst=Run
Description: 
This component generates a saw tooth waveform with the specified attributes. 
Note: Ensure that the bounds of the phase parameter are greater than -180 and 
less than +180. Any value (including exactly -180 or +180) outside of these 
bounds will be set to a phase of zero. 
Name  Description  Data Type 
Output Gaussian noise  Floating Point 
Amp  RMS amplitude of the Signal (0.707 rms=1 volt 
max peak-to-peak)  Floating Point 
Shift  DC shift of signal output  Floating Point 
Freq  Frequency in Hz  Floating Point 
Phse  Phase of sine when Rst goes from high to low  Floating Point 
Rst  When reset goes high, sine phase resets to Phse Logic 
Tone 
Tone
Amp=1
Shft=0
Freq=1000
Phse=0
[1:1,0]
Rst=Run
Description: 
Generates a sinusoid Waveform with the specified frequency and phase. The 
waveform's Amplitude and DC Shift can also be controlled. The Rst control is 
used to reset the signals phase. The output will remain locked at the specified 
starting Phase as long as Rst is high. Typically an Edge Detector is used in 
conjunction with the Rst control.  
Note: Ensure that the bounds of the phase parameter are greater than -180 and 
less than +180. Any value (including exactly -180 or +180) outside of these 
bounds will be set to a phase of zero. 

RPvdsEx Manual 
317 
Name  Description  Data Type 
Output  Tone of set frequency amplitude and DC shift  Floating Point 
Amp  Peak amplitude of the signal  Floating Point 
Shift  DC shift of signal output  Floating Point 
Freq  Frequency in Hz  Floating Point 
Phse  Phase of sine when Rst goes from high to low  Floating Point 
Rst  When reset goes high, sine phase resets to Phse Logic 
Example:  
Tone 
Tone
Amp=1
Shft=0
Freq=50
Phse=90
[1:7,0]
Rst=Run
Tone
Amp=1
Shft=0
Freq=1000
Phse=0
[1:9,0]
Rst=Run
[1:1,0]
Src=Extern
EdgeDetect
Edge=Rising
[1:2,0]
No
[1:5,0]
c
O
[1:10,0]
Ch=1
This example demonstrates a number of circuit design concepts as well as the 
use of the Tone component. The circuit shown will generate an AM modulated 
sinusoidal output from channel one of the DAC. The output will be 100% 
modulated with a peak voltage of 2.0 volts. 
The external trigger input is used to turn the output on and off by driving the 
Rst control of the modulator tone. Notice that the phase for the modulator tone 
is specified as -90 degrees causing it to fully 'close' when the reset line is high 
(trigger input is low). 
The carrier tone is set for 1000 Hz output. The default value of Amp = 1.0 will 
be ignored as this parameter is being dynamically controlled by the modulator 
tone. The carrier's Rst is fed by an edge detector connected to the external 
trigger. This forces the carrier to start at sine phase 0.0 each time the external 
trigger is high. 
Modulator Tone 
               Carrier Tone 

RPvdsEx Manual 
318 
TSlope 
TSlope
Min=0
Slp=0
Max=1
Rst=Run
[1:1,0]
Description: 
This component generates a linear ramp waveform with the specified attributes. 
It is useful for generating a time value for time stamping buffer operations. 
Name  Description  Data Type 
Output  Linear ramp related to slope rate  Floating Point 
Min  Minimum (starting) value of the Output  Floating Point 
Slp  Slope of amplitude ramp in units/millisecond  Floating Point 
Max  Maximum value of the Output  Floating Point 
Rst  When reset goes Hi. Reset Output to Min and 
generate ramp.  Logic 
RPvdsEx Manual 
319 
Menu and Toolbar Reference  
Menus 
File Menu 
The File menu includes standard file operations for saving, loading, and printing RPvdsEx files. 
New  Opens a new file. 
Open  Opens the Open dialog box so that an existing file can be opened. 
Close  Closes the active file, leaving the application open. 
Save  Saves the current file with the current name. If the file has not previously 
been saved, the Save As dialog box opens so that the file can be named. 
Save As  Opens the Save As dialog box so that the file can be saved with a new name. 
Macro   
New Macro Design  Opens a new macro file. 
Open Macro Design  Opens the RPvdsEx macro chooser dialog. The default folder location to 
search for macros is C:\TDT\RPvdsEx\Macros. 
Workspace   
Open Workspace  Opens the Workspace dialog box.  
Save Workspace  Not currently supported. The most recent workspace configuration is 
automatically saved upon exit. 
Close Workspace  Closes all open tabbed windows. 
Print  Prints the current tabbed window, including all pages. 
Print Preview  Switches to Print Preview mode, displaying the circuit diagram as it will 
print. This mode provides additional options for viewing pages. 
Print Setup  Opens the Print dialog box. Available options depend on the installed 
printer(s). 
Recent Files  The fourth section of the File menu lists recently used files. Clicking a file 
name opens the file. The recent workspaces are also listed (currently, only the 
Default workspace is supported). 
Exit  Closes the application. 
RPvdsEx Manual 
320 
Edit Menu 
The Edit menu includes tools for modifying circuit diagrams. 
Undo  Undo will undo the last action. RPvdsEx supports multiple undos. 
Redo  Redo will reinstate the change that was undone by the last undo. 
RPvdsEx supports multiple redos. 
Find and Replace   
Rename Components  Opens the Change Component Name Dialog box. Enables the user to 
implement a text find and replace in the component name field of 
components in the current selection, page, or circuit. 
Change Component 
Parameters  Opens the Change Parameter Dialog box. Enables the user to change 
the value of a component parameter in the current selection, page, or 
circuit. 
Change Number of 
Channels  Opens the Update Number of Channels Dialog box. Enables the user to 
change the number of channels as specified in the channel number 
parameter of component and macros in the current selection, page, or 
circuit. 
Cut  Removes the current selection, allowing it to be pasted in a subsequent 
operation. 
Copy  Copies the current selection, allowing it to be pasted in a subsequent 
operation. 
Paste  Adds the most recently cut or copied selection to the circuit diagram. 
Index  Opens the Indexing Setup dialog box (page 35), which can be used to 
increment indexed parameter tags (such as iChan~2) or time slices. The 
settings are applied to currently selected components only. 
Preferences  Opens the Preferences dialog box. This dialog contains compiler and 
control object file settings.  
RPvdsEx Manual 
321 
View Menu 
The View menu includes tools for adjusting the window’s display. 
Toolbar  Allows toggling the display of selected toolbars. 
Status Bar  Toggles the display of the status bar on the bottom of the window. 
Zoom  Zooms in on a pointer position. Click to activate zoom. 
Zoom To Page  Zooms to fit the contents of the page. 
Zoom In  Zooms in display. 
Zoom Out  Zooms out display. 
Pan  Allows the user to drag the page using the mouse. 
Customize  Customize allows you to drag icons to any toolbar so that you can 
customize and arrange icons on your toolbars 
Components Menu 
The Components menu is used to place components and links on the RPvdsEx circuit. The 
components are grouped into different function types, which can be found in the RP Component 
Reference section. 
Helpers  Opens the Select component to place dialog box to the Helpers category. 
This category includes important tools for working and debugging in the 
RPvdsEx environment. 
Macro Tools  Opens the Select component to place dialog box to the Macro Tools 
category. This command is only available when working with a macro 
circuit (*.rcm). 
OpenEx Headers  Opens the Select component to place dialog box to the OpenEx Headers 
category. This category contains components designed exclusively for use 
in circuits designed for the OpenEx environment. 
Multi-Processor  Opens the Select component to place dialog box to the Multi-processor 
category. This command is only available when a high performance 
processor, such as the RX5, has been specified in the hardware setup. 
Common  Displays a submenu listing the most commonly used components. Using 
this menu allow the user to bypass the Select components to place dialog 
box. 
Component 
Groups  Opens the Select component to place dialog box to the specified category. 
Categories group similar components together by function. 
Circuit Macros  Opens the Macro Chooser Dialog. This command is not available when 
editing a macro circuit. 
RPvdsEx Manual 
322 
Implement Menu 
The Implement menu includes tools for compiling, running, or generating code. It also allows 
different devices to be selected and configured. 
Device Setup  Opens the Set Hardware Parameters dialog box allowing users to 
configure the circuit for the correct RP module. In addition, it allows 
access to such properties as the sample rate and time slices. 
Build, Load and Run  Compiles the DSP code from the circuit diagram, loads the code to 
the processor, and runs the code. 
Compile Diagram  Compiles the circuit diagram, determining the proper processing 
chain order and generating the DSP code. If errors are found in the 
circuit diagram, such as links that don't terminate anywhere or links 
between incompatible data types, the circuit diagram will be updated 
with red links to call attention to the errors. 
Load Chain  Loads the processing chain (DSP code) to the processor. 
Run Processor  Runs the loaded processing chain (DSP code) on the processor. 
Halt Processor  Halts the processing chain on the processor. 
Build Control Object  Generates Circuit file.  
By default, RPvdsEx v60 and greater uses an RCX combined file 
format instead of the legacy two file system (RPX, RCO). With this 
preferred file format, the separate control file is no longer needed and 
the Build RCO button is intentionally grayed out.  
Reverting to the legacy RPX/RCO file system...  
1. On the Edit menu, click Preferences.  
2. Clear the Embed RCO object file check box. 
3. Click OK. 
After performing this step, the Build RCO button is enabled and 
Circuit files can be created as before. 
Generate Code  Generates C code, for the processing chain, that can be incorporated 
into a custom program.  
Processor Select  Displays a submenu listing processor select options. When a multi-
DSP device is specified in the hardware setup, the processor select 
submenu is used to select the processor(s) that will be compiled when 
the user compiles the circuit.  
RPvdsEx Manual 
323 
Triggers Menu 
The Triggers menu allows the user to fire hardware or software triggers from within the RPvdsEx 
environment. This is useful for testing circuits. 
Pulse zTrg-A  Pulses zBus trigger A. 
zTrg-A High  Sets zBus trigger A high. 
zTrg-A Low  Sets zBus trigger A low. 
Pulse zTrg-B  Pulses zBus trigger B. 
zTrg-B High  Sets zBus trigger B high. 
zTrg-B Low  Sets zBus trigger B low. 
Soft-1  Pulses software trigger one. 
Soft-2  Pulses software trigger two. 
Soft-3  Pulses software trigger three. 
Soft-4  Pulses software trigger four. 
zTrg-A and zTrg-B are global triggers that are generated on the zBUS. They can be used to 
synchronize the start of several chains across multiple zBUS caddies. zTrig can be set as a pulse or 
always high or always low. zTrig can be initiated from RPvdsEx or from a program such as 
BrainWare or PyschRP.  
RPvdsEx supports up to ten software triggers in a circuit, however, only the first four can be 
triggered from the RPvdsEx interface.  
RPvdsEx Window Menu 
The Window menu allows you to arrange multiple windows that may be open in RPvdsEx. 
Cascade  Arranges windows in an overlapping fashion with the title bar of each 
window visible. 
Tile  Arranges open windows so that windows don't overlap. 
Arrange Icons  Neatly arranges minimized window icons at the bottom of the RPvdsEx 
window. 
Open Windows  The last menu section lists the open windows.  A window can be brought to 
the top and made active by clicking it in the list. 

RPvdsEx Manual 
324 
Toolbars 
Main (File) 
The Main toolbar (also called the File toolbar) includes standard file operations for saving, 
loading, and printing RPvdsEx files and tools for viewing and editing files. 
 New  Opens a new file. 
 Open  Opens the Open dialog box so that an existing file can be opened. 
 Save  Saves the current file. If the file has not previously been saved, the Save 
As dialog box opens so that the file can be named. 
 Cut  Removes the current selection, allowing it to be pasted in a subsequent 
operation. 
 Copy  Copies the current selection, allowing it to be pasted in a subsequent 
operation. 
 Paste  Adds the most recently cut or copied selection to the circuit diagram. 
 Rename 
Components  Opens the Change Component Name Dialog box. Enables the user to 
implement a text find and replace in the component name field of 
components in the current selection, page, or circuit. 
 Change 
Component 
Parameters 
Opens the Change Parameter Dialog box. Enables the user to change the 
value of a component parameter in the current selection, page, or circuit.
 Change Number 
of Channels  Opens the Update Number of Channels Dialog box. Enables the user to 
change the number of channels in the channel number parameter of 
component and macros in the current selection, page, or circuit. 
 Print  Prints the current tabbed window, including all pages. 
 About  Display program information, version number, and copyright. 
 Zoom  Zooms in on a pointer position. Click to activate zoom. 
 Zoom To Page  Zooms to fit the contents of the page. 
 Zoom In  Zooms in display. 
 Zoom Out  Zooms out display. 
 Pan  Allows the user to drag the page using the mouse. 

RPvdsEx Manual 
325 
Implement 
The Implement toolbar includes tools for compiling, running, or generating code. It also allows 
different devices to be selected and configured. 
 Device Setup  Opens the Set Hardware Parameters dialog box allowing users to 
configure the circuit for the correct RP module. In addition, it allows 
access to such properties as the sample rate and time slices. 
 Build, Load and 
Run  Compiles the DSP code from the circuit diagram, loads the code to the 
processor, and runs the code. 
 Compile Diagram  Compiles the circuit diagram, determining the proper processing chain 
order and generating the DSP code.  
 Load Chain  Loads the processing chain (DSP code) to the processor. 
 Run Processor  Runs the loaded processing chain (DSP code) on the processor. 
 Halt Processor  Halts the processing chain on the processor. 
 Turn Helpers On   
 Turn Helpers Off   
 Build Control 
Object  Generates an RP Control Object (RCO) file.  
By default, RPvdsEx v60 and greater uses an RCX combined file format 
instead of the legacy two file system (RPX, RCO). With this preferred 
file format, the separate control file is no longer needed and the Build 
RCO button is intentionally grayed out.  
 Generate Code  Generates C code, for the processing chain, that can be incorporated 
into a custom program.  

RPvdsEx Manual 
326 
Processors 
The processor selection commands are available from the Implement menu or the Processor Select 
toolbar. When a processor is selected, its button will appear "pressed." Either a single processor or 
all processors may be selected. Selection of two, three, or four processors is not supported. 
 Main DSP  Selects main processor  
 Aux One  Selects first auxiliary processor  
 Aux Two  Selects second auxiliary processor  
 Aux Three  Selects third auxiliary processor  
 Aux Four  Selects fourth auxiliary processor  
 All DSPs  Selects all processors  
Note: these commands are only available when the device selected in the Set Hardware 
Parameters dialog box is a RX device. 
Components 
Most buttons on this toolbar opens the Select component to place dialog box to the specified 
category. Categories group similar components together by function. 
 Helpers  Opens to important tools for working and 
debugging in the RPvdsEx environment. 
 OpenEx 
Headers  Opens to components designed exclusively for 
use in circuits designed for the OpenEx 
environment. 
 Input/Output  Opens to input and output components to 
connect a circuit to the physical world. 
 Basic Math  Opens to low-level math operations.  
 Audio 
Processing  Opens to components that are related to 3D 
audio processing.  
 Exponents 
and Logs  Opens to typical log and exponential functions 
as well as a linear-to-dB and dB-to-linear 
processes. 
 Gating 
Functions  Opens to components used to gate the onset 
and offset of signals. 
 Coefficient 
Generators  Opens to components used to calculate the 
coefficients of specified high-pass, low-pass, 
band-pass, or notch filters in real-time.  
Their outputs can be connected to the filter 
coefficient port of a Biquad filter component. 

RPvdsEx Manual 
327 
 Buffer 
Operations  Opens to components used to create and access 
data buffers.  
 Delay 
Functions  Opens to components used to create or 
synchronize intentional delays.  
 Neuro 
Analysis  Opens to components developed primarily for 
neurophysiology applications. 
 Device Status  Opens to components to monitor and do math 
with major system status values.  
 Macro Tools  This command is only available when working 
within a macro circuit. 
 Multi-
Processor  Opens to components designed for use with 
multi-processor devices.  
 Type 
conversion  Opens to components used to convert a signal 
from one basic data type to another. 
 Integer Math   Opens to mathematical functions for integer 
data, allowing bitwise mathematical 
operations. 
 Trigonometry  Opens to trigonometric functions. 
 Waveform 
Generators  Opens to components that generate signals on 
the DSP. 
 Digital 
Filters  Opens to Basic digital filtering tasks.  
 Counters and 
Logic  Opens to counter and logic functions. 
 Data 
Reduction  Opens to functions to decrease the size of the 
data set. 
 Basic 
Analysis  Opens to components that analyze various 
aspects of a signal.  
 State/Flow 
Control  Opens to state and flow components. 
 Macro  Opens the Insert RPvdsEx Macro Dialog Box 

RPvdsEx Manual 
328 
Common Components 
This toolbar provides quick access to commonly used components, allowing the user to bypass the 
Select components to place dialog box. 
 Link  Starts link creation. After clicking this button the 
user can click the output and input ports of 
components on the circuit diagram to create a 
link. 
 Iterate  Selects the Iterate function to be added to the 
circuit diagram. 
 HopTo  Selects the HopTo helper to be added to the 
circuit diagram. 
 HopFrom  Selects the HopFrom helper to be added to the 
circuit diagram. 
 zHopTo  Selects the zHopTo component to be added to the 
circuit diagram. 
 zHopFrom  Selects the zHop components to be added to the 
circuit diagram. 
 ParTag 
Right  Selects the right parameter tag to be added to the 
circuit diagram. 
 ParTag 
Left  Selects the left parameter tag to be added to the 
circuit diagram. 
 Script Tag   
 ParWatch  Selects the parameter watch to be added to the 
circuit diagram. 
 Graph  Selects the graph to be added to the circuit 
diagram. 
 Memo  Selects the memo to be added to the circuit 
diagram. 

RPvdsEx Manual 
329 
Triggers 
The Triggers toolbar allows the user to fire hardware or software triggers from within the 
RPvdsEx environment. This is useful for testing circuits. 
 zBus A Pulse 
 zBus A High 
 zBus A Low 
 zBus B Pulse 
 zBus B High 
 zBus B Low 
 Software 1 
 Software 2 
 Software 3 
 Software 4 

Part 4  Troubleshooting 
RPvdsEx Manual 
332 
~ 
RPvdsEx Manual 
333 
RPvdsEx Known Anomalies 
General 
Moving Between RPvdsEx Circuits 
In version 44 and higher, moving between RPvdsEx circuits when one circuit is running can 
produce the following error: "zBUSError Call RpxgetCmpPar zError Specified memory area not 
valid". This occurs if a second circuit (to the same device) is run at the same time. This error also 
occurs when two RA16 base stations are connected together and a base station, other than the one 
connected to the amplifier, has compiled circuit file loaded to it. The error message cannot be 
removed without closing RPvds. End RPvdsEx using Ctrl-Alt-Del, Task Manager -> Applications, 
select RPvdsEx and click End Task. 
Network Printers 
If printers are added to your system, RPvdsEx documents generated before the printer was 
installed may take an inordinately long time to load (>10 minutes). Disconnecting the computer 
from the Network or uninstalling the printer driver will usually solve the problem. The file can 
also be loaded, reduced, copied, and pasted into a new document. 
RA16 Cycle Usage Error 
In version 41 and higher, when two RA16s are connected via a fiber optic cable, under certain 
conditions, the RA16 connected to an amplifier may display incorrect cycle usage. RA16s up the 
chain from the amplifier must all be set to the same sample rate. If using two RA16s, make sure 
both have circuits running on them and that the first circuit run is for the RA16 connected to the 
amplifier. If only using one RA16, disconnect the fiber optics to the other base stations. 
Technical Support File Format 
If you are using version 45 or below you may be unable to open .rpd files provided by Tech 
Support. If you cannot upgrade to latest version of RPvdsEx, Tech Support can send screen 
captures of the circuit.  
RX8 Device Setup 
The RX8 allows sample rates up to 100KHz, however RPvdsEx may allow the user to enter 
arbitrary sampling rates above 100 kHz in the RX8 Device Setup. When entering arbitrary 
sampling rates in the RPvdsEx Device Setup, enter only sampling rates that are supported by the 
device, i.e. up to 100 kHz for the RX8. 
Parameters 
CmpNo Parameters 
Because component numbers are assigned when compiling the circuit; the user must check the 
"CmpNo" parameters on components, such as ReadBuf and HrtfCoef, to make sure they are set to 
the right value every time the circuit is recompiled. If the circuit is run with the "CmpNo" 
parameter set to the wrong value, the circuit will not work correctly and a hardware reset may be 
required. 
RPvdsEx Manual 
334 
Phase Parameter 
The phase parameter of the waveform generator components (Tone, RampTooth, and SawTooth) 
must be greater than -180 and less than +180. Any value (including exactly -180 or +180) outside 
of these bounds will be set to a phase of zero. If a phase of exactly 180 is needed, use 179.999 
instead. To alternate between opposite phases, use a ScaleAdd component to flip the sign of the 
waveform. 
Components 
State Machine 
In v66, the StateMachine component may reset unexpectedly when the circuit is compiled. 
Contact TDT for updated version of RPvdsEx. 
When Enable is high (=1) and Reset is low (=0) the state of the machine does not correctly change 
states even when the correct JmpA and JmpB inputs are set. The Enable input must be triggered 
with a rising edge simultaneously with the JmpA and JmpB input values in order to change states. 
Arccos, Arcsin, and Arctan  
The Trigonometry components: Arccos, Arcsin, and Arctan have slight rounding errors and should 
not be used in applications requiring very precise values, until they are fixed in a new version. For 
example: Arccos(-1) should be pi (3.14159), but the component's output is 3.09164 
Bin Rate 
BinRate records one spike during each of the first two samples of running the circuit. The easiest 
work around is to ignore the first two spikes counted. See BinRate, page 259 for an alternate 
solution. 
Cos2Gate and LinGate  
If a Gating component (Cos2Gate or LinGate) is controlled by a Schmitt component, invalid 
output values may occur. If a ParWatch is connected to the output of the gating component, the 
invalid output value will display as "-1#QNAN". If the invalid output occurs consistently, the 
circuit file should be re-created. 
Destination File  
The DestinFile component always writes out a 32-bit raw floating-point file, no matter what file 
type is specified. Other formats, such as wav and .txt files, are not supported at this time. A 16-Bit 
integer format ('. I16') can also be used if the 'Comp to 16' component is used to convert the data 
to 16 Bit integer format before transferring it to the destination file. 
Feature Search  
The Peak, Valley, and Tip conditions in the FeatSrch component are not always correct for 
frequencies less than 2 Hz. 
Find Frequency 
The FindFreq component takes longer to stabilize (>10 sec) when the input frequency is less than 
0.5 Hz. An incorrect value is returned when the input frequency approaches zero (<0.005 Hz). 
FIR and FIR2  
Loading a large number of coefficients to an FIR or FIR2 filter can take several seconds when 
using a USB PC-to-zBus interface. Because coefficient values are loaded to data memory, which 
RPvdsEx Manual 
335 
does not support block read and writes, values must be loaded from the PC to data memory one 
value at a time. When using a USB interface this can take between 1 (USB 2.0) and 5 (USB 1.0) 
milliseconds for each write. Coefficients on the order of 1000 points can take over a second to 
load. 
MCFIR and MCFIR2 
A memory allocation error in the MCFIR and MCFIR2 components causes erroneous results if the 
number of channels is set to be greater than the number of taps.  
Modulus  
The Modulus component gives incorrect output for some inputs. The problem occurs when 
modding a multiple of the Mod parameter, i.e., when doing Kx mod x for some nonzero integer K. 
This component should not be used until it is fixed in a new version. 
SimpCount  
The SimpCount component runs on every sample, even when it is put into a time slice. 
Tan  
The Trigonometry component Tan gives incorrect values and should not be used until it is fixed in 
a new version.  
WordIn/WordOut 
Beginning with TDT Drivers version 57 and RPvdsEx version 5.4, the WordOut and Word In 
components are implemented differently. A Bitmask value of -1 should no longer be used. 
RPvdsEx Manual 
336 
Common RPvdsEx Error Messages 
and Warnings 
Error Loading RP Circuit 
This often indicates that RPvdsEx is not recognizing your processor. The device should appear in 
the hardware diagram in the zBUSmon utility if it is recognized. If it does not appear, check your 
connections and cables. If the device is recognized: 
 Ensure that your circuit does not contain more than the maximum number of components for 
the processor selected in the hardware setup.  
 Exit the RPvdsEx program (after saving any circuits) and restart RPvdsEx (make sure that no 
other RPvdsEx programs are loaded). 
 Exit out of RPvdsEx, reset the hardware (hardware reset button on the zBUSmon program), 
restart RPvdsEx, and rerun the circuit. 
 Shut off the zBUS device caddie (always remove battery operated units before powering 
down) and turn the RP system back on. Restart RPvdsEx.  
If you still receive this Error message contact TDT at support@tdt.com. 
Data type mismatch: .... 
Input and output ports are color-coded by data type for easy identification. When necessary, use 
Type Conversion components to convert the signal to the appropriate type. 
Link cannot originate from 'Input' port or Link cannot terminate at 
'output' port 
These messages may occur for several reasons: 
 The connection direction goes from a parameter tag to a port. The parameter tag is a "pointer" 
to the value in the port. No matter what direction the parameter tag points, the connection is 
always from the parameter tag to the port value. 
 The output port connects to a signal input and not a parameter input. This occurs when you 
are attempting to make a parameter value a signal. For example AND, OR, and SUM ports all 
require that the input is a signal. 
Apparent nChannels mismatch between connected components 
Mismatched channel number parameters cause warnings (rather than errors) when the circuit is 
compiled and do not prevent the circuit from running. If the multi-channel input includes more 
channels than specified in nChan, the excess channels will be ignored. If the multi-channel output 
has fewer channels than specified in nChan, then the excess channels will be undefined. When 
using macros, setting the channel number parameter in the macro setup ensures that all component 
channel numbers in the underlying circuit will match. RPvdsEx also includes a convenient global 
replace for channel numbers that can help ensure matching channel numbers are used. 
Components intersecting Iterator  
The indicated process is not fully contained in the Iterator box. It may be necessary to use 
HopIn/Out pairs to fully contain the process. 
RPvdsEx Manual 
337 
MCHop source is not found for component 
A multi-channel HopFrom component is missing an input. Ensure that Hop component labels 
match, including case, and when indexed hops are used, ensure that there is a hop for each 
channel.  
zBus Error: Call RPxAddCmp/ zError: Memory Allocation Failure 
If you have a Stingray processor this often indicates that the Stingray is undocked, or has a low 
battery. Check the status lights to make sure that the Stingray is docked to the system. All lights 
should be on. If any light is off or flashing redock the Stingray. If this fails, do a hardware reset. 
Go into the zBUSmon program on your desktop and press the hardware reset button. 

RPvdsEx Manual 
338 
Before Debugging a Circuit 
The first step in debugging a problem with a circuit is to decide if it is a hardware or software 
problem. The steps provided in this section will help you make that determination. Before you 
follow these steps make sure that the drivers, RPvdsEx software, and microcode on the RP/RM 
module are the same. (See Diagnosing Version in the System 3 Hardware Reference.) 
Hardware problems are, in general, not affected by the circuit you run. They can include: 
 Bad cables (no sound or noisy signal). The first thing to check are the patch cables. If they are 
faulty it will cause many problems with your system. (See below for more information on 
checking for cable problems.) 
 Bad DAC's (no sound, distorted signal). Test the output with a simple circuit such as a tone 
connected to a DAC out. 
 Bad ADC's (noisy signal input, distorted signal). Test the input by playing a tone out and then 
a tone in to a serial buffer. 
 Bad USB device module (RP modules disappear from zBUSmon). This can be caused by 
static discharge. If the RP module disappears while running a simple circuit (such as tone out) 
it may mean that the USB module is bad.  
If you experience hardware problems, other than cable problems, contact TDT technical support at 
386-462-9622. If you suspect that your problem is software or cable related, check for cable 
problems before debugging.  
Checking for Cable Problems 
To make sure that all the patch (BNC) cables are in good condition, run simple circuits. The 
following circuits should work under all conditions: 
Tone circuit with a single tone generator and a single channel out. Send the output from Channel 1 
of your module to a headphone buffer, speaker, or Oscilloscope. If the sound plays out it indicates 
that the system is working. 
Tone
Amp=1
Shft=0
Freq=1000
Phse=0
[1:1,0]
Rst=Run
c
O
[1:2,0]
Ch=1
The following acquisition circuit uses the Tone circuit above to generate a pulse, store it in a 
buffer and send it back to the PC to be graphed.  

RPvdsEx Manual 
339 
Tone
Amp=1
Shft=0
Freq=1000
Phse=0
[1:1,0]
Rst=Run
c
O
[1:2,0]
Ch=1
SerialBuf
Size=1000
Rst=0
AccEnab=1
Write=1
[1:4,0]
NBl ks=0
Index=0
{>Data}
DT=Float32
nChan=1
UD=2Hz
Source
2
-20100
d
c
[1:3,0]
Ch=1
If this circuit above does not work for you there are three possibilities. 
The cables are bad and you should try a new set of cables. 
The cables are connected incorrectly. Make sure that IN 1 and OUT 1 are setup correctly. 
The circuit is not running. Connect a parameter watch to the Tone out to see if it is running and 
also to the Ch=1 to see if it is acquiring signals. 
Tone
Amp=1
Shft=0
Freq=1000
Phse=0
[1:1,0]
Rst=Run
c
O
[1:2,0]
Ch=1
SerialBuf
Size=1000
Rst=0
AccEnab=1
Write=1
[1:4,0]
NBl ks=0
Index=0
{>Data}
DT=Float32
nChan=1
UD=2Hz
Source
2
-20100
-0.988312-0.994564
d
c
[1:3,0]
Ch=1
RPvdsEx Manual 
340 
Common RPvdsEx Problems 
This section focuses on common circuit design problems. If the Compile, Load, Run arrow is 
grayed out, see Troubleshooting Communication Problems in the System 3 Reference. If you have 
encountered an error message, see Common RPvdsEx Error Messages, page 340. 
Component Incompatibility 
When a circuit that was compiled after upgrading both the TDT Drivers and the microcode does 
not run or crashes a device, the problem typically relates to the components in the circuit. Newer 
versions of RPvdsEx include components that are not supported on all devices. You might have 
used a component in the circuit that is not supported by the device. For example, multi-processor 
and multi-channel components will only run on the new multi-DSP devices, such as the RX5, and 
RZ2. 
Quick Solutions to Common Problems  
Serial Buffer does not record or play out. 
 Make sure the AccEnab line is set high. 
 Make sure that the buffer size is large enough for the signal. 
 Make sure that the write Enab is set to 1 to store data to a buffer or 0 to read. 
Pulse Generator does not send out a pulse. 
 Check to see if the enable line has been triggered or is set to 1. 
Debugging a Circuit 
If you have trouble getting a circuit to run there are several things to try: 
 Check that you are not exceeding maximum cycle usage. To do this place a cycle usage 
component and connect it to a parameter watch. 
If you exceed maximum cycle usage you have several options: 
 Run at a slower sampling rate, which will give you more cycles (i.e. operations) per sample 
 Run functions that do not have to be calculated on every cycle in a specified time slice. 
 Break up the processing chain so that it runs on more than one RP device (single processors) 
or DSP (multi-processors). 
 Use the Parameter Watch to inspect values at different points in the circuit. 
 Load a Memory Buffer with data and then use the graph to view its contents. 
It is possible to crash an RP device (For example, by writing over memory). Usually you will get 
an error message indicating difficulty communicating with the RP device. The only way to recover 
from this is to exit RPvdsEx, and power down the zBUS containing the RP device. Wait a few 
seconds before powering back up. 
Note: When the RP2 is powered up, the lights on the Dout LEDs on the RP2 normally strobe 
repeatedly from 0 to 3. The Din lights normally stay lit. 

Appendix A - Sampling 
Understanding Aliasing and Imaging ... 
In all digital data acquisition systems, samples of an analog signal are taken at discrete time 
intervals. The accuracy of a sampled signal is directly related to both the rate at which samples are 
taken (the sampling rate or sampling frequency) and the signal's frequency content.  
In theory, if a signal's frequency spectrum is band limited to some maximum frequency, fmax, an 
exact representation of the signal can be acquired if the sampling frequency, fs, is at least twice the 
maximum frequency: fs > 2fmax. This is known as the Shannon-Nyquist sampling theory, which 
also states that the original analog signal can be faithfully reconstructed from these samples.  
Analog signals can be band limited by the frequency response of the system or by filtering. If the 
analog signal is not adequately band limited for the chosen sampling frequency, a phenomenon 
known as aliasing or imaging will occur, resulting in highly undesirable effects. As the terms 
suggests, different analog signals sometimes yield exactly the same samples; this is illustrated by 
the figure below. 
The aliasing effect can occur with broad-band signals where components beyond fs/2 will result in 
additive distortions in the spectrum between 0 and fs/2. The figure below shows a typical broad-
band signal spectrum, for example, from an audio microphone. 
The frequency response of the microphone begins to roll off gradually at 15kHz, and although 
most audible information is below about 10kHz, high-frequency room noise can extend the signal 
spectrum appreciably (the microphone's frequency response is down only 40dB at 60kHz!). With 
fs = 100kHz, the shaded area of the spectrum is "folded over" about 50kHz and added to the 
spectrum of the sampled signal as indicated by the pass-band reflection area in the figure below.  

RPvdsEx Manual 
342 
A 100kHz sampling frequency is high enough to prevent aliasing from corrupting most of the 
sampled signal's frequency spectrum, at least in the audio-frequency range. However, it is not 
always possible to sample at a high enough rate to avoid aliasing.  
To minimize the effects of aliasing, while greatly reducing the required sampling frequency, an 
anti-aliasing filter can be used to limit the spectral content of the analog signal. This filter might be 
a separate analog filter or built in to the device (as with sigma-delta A/D and D/A converters). The 
spectrum below shows the result of filtering the broad-band microphone spectrum with an analog 
filter.  
The frequency at which the filter begins to limit the spectrum is the corner frequency, fc. The filter 
used here has a stop-band frequency of 10 kHz, beyond which a signal attenuation of 60dB is 
guaranteed. The sampling frequency should be at least twice the stop-band frequency.  
Comparing the filtered and non-filtered spectral plots, it is evident that filtering greatly reduces the 
total amount of signal content immediately beyond the 0 to 10kHz frequency range of interest; this 
in turn greatly reduces the sampling frequency required to avoid aliasing.  
During signal reconstruction digital numbers are converted to analog levels by a D/A converter at 
discrete time intervals. The analog level of each sample is held constant for the sampling period 
until the next sample resulting in a staircase analog output as shown below:  
Here an anti-imaging filter is used to "smooth" out the staircase into a continuous waveform, 
shown super-imposed (note the slight delay which results from filtering). This filter is functionally 
the same as an anti-aliasing filter, but in this case it eliminates high-frequency "images" of the 
signal spectrum caused by the staircase jumps in reconstruction. 

Revision History 
This list includes new components, new features, and bug fixes implemented in each version.  
Version 7.2 – Jan 3, 2011 
The following new components and macros have been added to RPvdsEx: 
Components… 
MCeStim, MCValList, MCVidAcc, MCLatch, MCForceCC, MCInt16ToFlt, MCInt8ToFlt, 
MCPZAcc 
Macro…  
IZ2_Control, Video_Access 
Version 7.1 – May 4, 2010 
New RPvdsEx Features: 
 Support added for the RZ6 Processor and RS4 Data Streamer 
 Drivers will no longer support the (Gigabit) PI5 interface. 
 Added support for Optibit cards (PO5/PO5e) on all 64-bit Windows O/Ss (there is currently 
no support for a 64-bit USB interface). 
The following new components and macros have been added to RPvdsEx: 
Components… 
MCFloat2Int16, MCFloat2Int8 
Macros… 
RZ6_AmpIn, RZ6_AudioIn, RZ6_AudioOut, RZ6_Control, and Stream_Server_MC 
Version 7.0 – July 8, 2009 
New RPvdsEx Features: 
 Support added for the RZ5 processor 
The following new components and macros have been added to RPvdsEx: 
Components… 
SortBin8, MCFromSer, MCToSer 
Macros… 
RZ5_AmpIn, RZ5_AmpIn_MC, RZ5_Control   
Version 6.8 – June 6, 2008 
New RPvdsEx Features: 
 Support added for optimizing printing control 
 Support added for SpikePac OpenEx toolset 
RPvdsEx Manual 
344 
The following new components and macros have been added to RPvdsEx: 
Components… 
MCSmooth, MCBound  
Macros… 
PZ3_Control, PZ3_ChanMap, Test_Spike_MC 
Version 6.6 – June 22, 2007 
New RPvdsEx Features: 
 Introduced the following features which provide find and replace functionality to simplify 
circuit changes and avoid common errors introduced when circuits are modified: 
 Change Component Name Dialog Box 
 Change Parameter Dialog Box 
 Update Number of Channels Dialog Box 
The following new components and macros have been added to RPvdsEx: 
Components… 
MCFromHop, FromHopPick, MCMatMult, MCSum, and MCMult  
Macros… 
RZ2_Input_MC, MS16_Control, SH16_Control, Epoc_Store_with_Offset, Block_Avg_Store_1-
4Ch, Block_Avg_Store_MC, RateToSamples, TimeToSamples, PulseGenN 
Version 6.4 - January 23, 2007 
Maintenance release in support of changes to the OpenEx Suite. 
The following new components and macros have been added to RPvdsEx to support Z-Series 
processing: 
Components... 
TagStore, RMS2, FindSpike2, Convolv, Classify, MCPDec16, MCSampHold   
Macros... 
SlowStore_1-4Ch, Async_Stream_Store_1-4Ch, Async_Stream_Store_MC 
Version 6.2 - September, 8, 2006 
Introduced macros tools and a core set of macros targeted primarily to the OpenEx environment.  
Added support for RZ2 Processor and PZ2 Preamplifiers.  
The following new components and macros have been added to RPvdsEx to support Z-Series 
processing: 
Components... 
PipeSource, PipeIn, PipeOut, MCPipeIn, MCPipeOut     
Macros... 
RZ2_Control macro, PZ2_Control macro  
Version 6.0 - January 18, 2006 
Improved support of High Performance Processor line (RX). 
Expanded RX support for analog input/output components. 
New RPvdsEx Scripted Tag allows scripting in RPvdsEx circuits.  
Macro feature added. 
Components... 
RPvdsEx Manual 
345 
FIR2, STFIR2, MCFIR, MCFIR2 
Version 5.8 - December 21, 2004 
Improved support for USB2.0 interfaces and the high performance processors, including the RX8.  
Version 5.7 - June 18, 2004 
Included support for the latest version of the Gigabit Interface. 
Version 5.3 - January 2004 
Components... 
SortSpike3, SampSubtract, BinRate, CompTo8D, CompTo16D, Peek, Poke, SeqIndex 
Version 5.2 - November 2003 
Support for Pentusa Multi-DSP Processors added. 
Support for System II removed. 
New RPvdsEx Features: 
 Better error reporting capabilities. An additional window that reports the number of 
components on each processor, along with any errors encountered during compilation has been 
added.  
 Multi-paging capabilities in the RPvdsEx interface allow complex chains to be split graphically 
across multiple pages – enhancing readability without sacrificing functionality.  
File format changed from .rpd to .rpx. 
Components... 
MCAdcIn, MCBiquad, MCConst, MCDacOut, MCFromSing, MCMerge, MCScale, MCSerStore, 
MCToSing, MCDelay, MCzHopPick, Iterate, MCzHopIn, MCzHopOut, zHopIn, zHopOut 
Version 5.0 - July 2003 
Support for RM Mobile Processors added. 
RPvdsEx bug fixes: 
 "Error loading Component specification file: CmpSpec.txt" error fixed. Users can now 
double-click an .rpx file to open it. 
 Rounding error with FStep fixed. 
 3D Sound example circuits now function load without errors. 
 Ceiling and Floor components now give correct results for negative input values. 
Version 4.6 
Components... 
Tetrode, SnipStore 
Version 4.4 
Components... 
SerSource, SerStore, SortSpike  
Version 4.3 - February 2002 
Support for Gigabit High-Speed Interface added. 
Name of zUSBmon Changed To zBUSmon to indicate addition of the Gigabit Interface. 
Support for XBUS Interface removed. 
RPvdsEx Manual 
346 
Version 4.2 
Components... 
PulseTrain2  
Version 3.8 - April 25, 2000 
RPvdsEx bug fix: 
Rounding error on Tslope 
Version 3.7 - December 25, 2000 
New RPvdsEx features: 
 Error Flag when connecting a parameter to a primary input on a component. 
 Information on the Stingray added. 
RPvdsEx bug fix: 
 Fixes problem with clearing delay lines. 
Version 3.6 - November 10, 2000  
New RPvdsEx features: 
 Parameter watch, Graph and HopIn and HopOut are accessible from the toolbar 
 Helpers On/Off feature for disconnecting portable RP devices 
 Context sensitive help for each component 
 Additional Device types in the Implement menu (RL2) 
 RPProg includes microcode for the RL2 (Stingray) 
Components... 
FindSpike PowStat PowCtrl 
Version 3.5 - September 12, 2000  
Components... 
DeBounce, XOr, CompTo16, CompTo8, ExpFrom16, ExpFrom8, ShufTo16, ShufTo8, 
SplitFrom16, SplitFrom8, iXOr, ToBits, FromBits, MuxIn, MuxOut, StateMach, FStep   
RPvdsEx bug fixes: 
 Fixes problem with JK Flip-Flop 
 Fixes problem with high speed data transfer (requires hardware fix) 
 Changes TTL delay to milliseconds from microseconds 
Version 2.20  
First Major release of System 3 Drivers and RPvdsEx. 

Index 
A 
AbsVal, 100, 104 
ADCDelay, 182 
AdcIn, 230, 239 
And, 153 
Anomalies, 333 
Any2Any, 291 
Arccos, 288, 334 
Arcsin, 288, 334 
Arctan, 288, 334 
ArtReject, 257 
AssignDSP, 248 
AvgBuf, 115, 116, 117, 118, 119 
AvgBuf2, 115, 116, 120 
B 
BinRate, 258, 334 
Biquad, 146, 196 
BitIn, 45, 72, 230 
BitOut, 72, 231 
BlockAcc, 115, 116, 122 
BlockAvg, 115, 116, 117, 123 
Bound, 100 
BoxClassA, 257 
BoxClassB1, 257 
ButCoef, 144, 145, 146 
ButCoef1, 144, 146, 147 
C 
Ceiling, 101 
Classify, 257 
Classify2, 257 
CoefLoad, 144, 148 
Compare, 101 
Compiling Selected Processors, 16 
Components, 19 
CompTo16, 166, 167 
CompTo16D, 166, 168 
CompTo8, 166, 169 
CompTo8D, 166, 170 
ConstF, 225, 310 
ConstI, 225, 310 
ConstL, 225, 310 
Convolv, 257 
Cos, 289 
Cos2Gate, 213, 334 
Counter, 153, 154 
Cycle Usage, 54 
CycUsage, 55, 192 
D 
d Variable, 66 
DACDelay, 183 
DacOut, 232, 239 
Data Port Access, 25 
Data Transfer, 56 
Data Types, 23 
DataTable, 216 
dBToLin, 209 
DeBounce, 155 
DestinFile, 217, 334 
Digital Filter Components, 195 
Distance, 289 
DistScale, 88 
Divide, 102 
DspAssign, 249 
Duplication Information, 28 
Dynamic Access, 24 
E 
EdgeDetect, 155 
Error Messages, 336 
Exp, 209 
Exp10, 209 
Exp2, 209 
ExpFrom16, 166, 171 
ExpFrom8, 166, 172 
ExpN, 210 
F 
FeatSrch, 94, 95, 334 
FindFreq, 95, 334 
FindSpike, 80, 260 
FindSpike2, 257 
FindSpike3, 257 
RPvdsEx Manual 
348 
FIR, 87, 197, 198, 334 
FIR2, 198, 334 
Float2Float, 291 
Float2Int, 292 
Float2TTL, 292 
Floor, 103 
Flt2Stereo, 293 
FreeDM, 193 
FreePM, 193 
FreeXM, 193 
FromBits, 241 
FromHopPick, 293 
FStep, 311 
G 
GaussNoise, 312 
Graph, 218 
H 
HopFrom, 219 
HopTo, 219 
HRTF File Format, 84 
HrtfCoef, 88, 333 
HrtfFir, 89 
I 
iAbsVal, 241 
iAnd, 242 
iBitShift, 75, 242 
iCompare, 243 
IIR, 200 
iLimit, 243 
iNot, 244 
Input/Output Delays, 51 
InstRate, 261 
Int2Float, 294 
Int2Int, 291 
Int2TTL, 294 
iOr, 244 
iScaleAdd, 245 
iSign, 245 
Iterate, 220 
iXor, 246 
J 
JKFlipFlop, 156 
L 
Latch, 184 
Limit, 103 
LinGate, 213, 334 
Links, 21 
LinRamp, 214 
LinTodB, 210 
LN, 211 
Log10, 211 
Log2, 211 
LogN, 211 
LongDelay, 184 
LongDynDel, 185 
M 
Macros, 30 
Max, 104, 318 
MCAdcIn, 59, 233, 239 
MCBiquad, 201 
MCBound, 105 
MCConst, 313 
MCCpTo16D, 166, 175 
MCCpTo8D, 166, 174 
MCDacOut, 233 
MCDelay, 186 
MCeStim, 234 
MCFIR, 202, 335 
MCFIR2, 202, 335 
MCFloat2Int, 295 
MCFloat2Int16, 296 
MCFloat2Int8, 295 
MCForceCC, 297 
MCFromHop, 298 
MCFromSer, 299 
MCFromSing, 299 
MCInt16ToFlt, 300 
MCInt2Float, 300 
MCInt8ToFlt, 301 
MCLatch, 186 
MCMap, 302 
MCMatMult, 106 
MCMerge, 304 
MCMult, 109 
MCPDec16, 166, 176 
MCPipeIn, 248, 249 
MCPipeOut, 248, 249 
MCSampHold, 281 
MCScale, 108 
MCSerSource, 126 
MCSerStore, 115, 125 
MCSign, 108 
MCSmooth, 204 
MCStrmFifo, 229 
MCSubSel, 291, 305 
MCSum, 109 
MCToSing, 306 
MCValList, 313 
MCVidAcc, 229 
MCzHopIn, 248, 251 
MCzHopOut, 248, 251 
MCzHopPick, 60, 248, 253 
MemoBox, 225 
Messages Window, 10 
Min, 104, 318 
Modulus, 110, 335 
Mult, 113 
Multi-Channel Signals, 57 
MultiProcessor Components, 65 
MultLatch, 187 
MuxIn, 282 
RPvdsEx Manual 
349 
MuxOut, 282 
N 
Not, 156 
O 
OneShot, 45, 157 
OpenEx Header, 276 
Or, 157 
OxBuffer, 277 
OxList, 277 
OxScalar, 278 
OxSnippet, 278 
OxStream, 279 
P 
Pages, 11 
ParaCoef, 144, 150, 151 
ParTag, 225 
ParWatch, 55, 226 
Peek, 191 
PipeIn, 248, 254 
PipeOut, 248, 254 
PipeSource, 248, 254 
PlotDec16, 166, 173 
Poke, 191 
PowCtrl, 193 
PowerBand, 95, 96 
PowStat, 194 
PulseTrain, 45, 158 
PulseTrain2, 159 
R 
RamBuf, 115, 116, 117, 128 
RampTooth, 314, 334 
Random, 315 
ReadBuf, 115, 116, 129, 333 
Reverb, 90 
RMS, 96, 260 
RMS2, 97 
RSFlipFlop, 160 
S 
SampDelay, 188 
SampHold, 283 
Sample Clock, 53 
SampSubtract, 263 
SawTooth, 316, 334 
ScaleAdd, 50, 111, 334 
Schmitt, 161 
Schmitt2, 162 
ScriptTag, 226 
SeqIndex, 280 
SerialBuf, 115, 116, 117, 130, 131, 133 
SerSource, 115, 116, 132, 133 
SerStore, 115, 138 
ShortDelay, 188, 189, 190 
ShortDynDelay, 189 
ShufTo16, 166, 177 
ShufTo8, 166, 178 
Sign, 111 
SimpCount, 284, 335 
Sin, 290 
Smooth, 205, 206 
SnipStore, 115, 117, 139 
SortBin8, 264 
SortFlag16, 265 
SortSpike, 80, 266 
SortSpike2, 80, 268 
SortSpike3, 80, 270 
SourceFile, 227 
SplitFrom16, 166, 179 
SplitFrom8, 166, 179, 180 
SqRoot, 112 
Square, 112 
StateMach, 284 
StateMachine, 334 
Static Access, 24 
Stereo2Flt, 307 
StereoAdc, 235, 239 
StereoDac, 235 
StereoFIR2, 206 
StereoScale, 113 
StereoSum, 113 
Store Pooling, 66 
Sum, 113, 114 
T 
TagStore, 115, 116, 117, 141 
Tan, 290, 335 
Tetrode, 117, 273 
Time Slices, 25 
TimeStamp, 236 
ToBits, 246 
Tone, 316 
TrackMax, 97 
TrackMin, 98 
TrgIn, 44, 237 
Triggering, 44 
Trigonometry, 287 
TSlope, 318 
TTL2Float, 307 
TTL2Int, 308 
TTL2TTL, 291 
TTLDelay, 163 
TTLDelay2, 163 
Type Conversion, 291 
W 
WordIn, 45, 72, 238, 335 
WordOut, 72, 238, 335 
WriteBuf, 115, 117, 142 
RPvdsEx Manual 
350 
X 
XOr, 164 
Z 
zHopIn, 248, 255 
zHopOut, 248, 255