Fisher Weather Radio 244Eh Users Manual Rosemount 244ER PC Programmable Temperature Transmitters
244ER to the manual 8c90374b-6a35-4450-97e8-5840f74c7a29
2015-02-02
: Fisher Fisher-Fisher-Weather-Radio-244Eh-Users-Manual-427752 fisher-fisher-weather-radio-244eh-users-manual-427752 fisher pdf
Open the PDF directly: View PDF
.
Page Count: 64

Models 244EH and 244ER
PC-Programmable Temperature
Transmitters
00809-0100-4737
English
Rev. EA
Product Discontinued

¢00809-0100-4737f¤
00809-0100-4737 Rev EA 10/00
Product
Manual
Models 244EH and 244ER
PC-Programmable
Temperature Transmitters
Fisher-Rosemount
satisfies all obligations
coming from legislation
to harmonise product
requirements in the
European Union.
© Rosemount Inc., 2000
Rosmeount Inc.
8200 Market Boulevard
Chanhassen, MN 55317
USA
Tel 1-800-999-9307
Fax (952) 949-7001
Fisher-Rosemount Limited
Heath Place
Bognor Regis
West Sussex PO22 9SH
England
Tel 44 (1243) 863 121
Fax 44 (1243) 867 5541
Fisher-Rosemount
Singapore Pte Ltd.
1 Pandan Crescent
Singapore 128461
Tel (65) 777-8211
Fax 65 777-0947
AP.RMT-Specialist@frco.com
P
R
I
N
T
E
D
IN
U.
S.
A.
Product documentation available at...
www.rosemount.com
Rosemount Models 244EH and 244ER Smart Temperature Transmitters may be protected by one or more
U.S. Patents pending. Other foreign patents pending.
Rosemount and the Rosemount logotype are registered trademarks of Rosemount Inc.
Noryl and Lexan are registered trademarks of General Electric.
Microsoft, Windows, Windows 95, and Windows NT are registered trademarks of Microsoft Corp.
MINIGRABBER is a trademark of Pamona Electronics.
WAGO is a registered trademark of Kontakttechnik GmbH.
Cover photo: 644-244C901
NOTICE
Read this manual before working with the product. For personal and system safety, and
for optimum product performance, make sure you thoroughly understand the contents
before installing, using, or maintaining this product.
Within the United States, Rosemount Inc. has two toll-free assistance numbers:
Customer Central
Technical support, quoting, and order-related questions.
1-800-999-9307 (7:00 am to 7:00 pm CST)
North American Response Center
Equipment service needs.
1-800-654-7768 (24 hours—includes Canada)
Outside of the United States, contact your local Rosemount representative.
The products described in this document are NOT designed for nuclear-qualified
applications. Using non-nuclear qualified products in applications that require
nuclear-qualified hardware or products may cause inaccurate readings.
For information on Rosemount nuclear-qualified products, contact your local Rosemount
Sales Representative.

1
Table of Contents
SECTION 1
Introduction SafetyMessages.....................................1-1
Transmitter Overview.................................1-1
ManualOverview....................................1-2
Considerations ......................................1-3
General..........................................1-3
Mechanical.......................................1-3
Electrical ........................................1-3
Environmental....................................1-3
SECTION 2
Installation SafetyMessages.....................................2-1
Warnings ........................................2-1
ToolsneededforInstallation ...........................2-2
Mounting...........................................2-3
SpecialMountingConsiderations .....................2-4
InstallationProcedures................................2-5
Transmitter.......................................2-5
ConfigurationSoftware.............................2-9
Model 244EC Configuration Interface ................2-11
FieldWiring.......................................2-12
SensorConnections...............................2-13
FailureMode.......................................2-16
ChangingSwitchPositions .........................2-16
SECTION 3
Operation SafetyMessages.....................................3-1
Warning.........................................3-1
Power Supply .......................................3-1
Surges/Transients..................................3-1
Grounding .......................................3-2
Configuration.......................................3-2
ConfiguringaSingleTransmitter .....................3-3
ConfiguringSeveralTransmittersIdentically............3-4
ViewingtheProcessVariable........................3-5
Intermittent Sensor Algorithm ..........................3-5
CaseExamples....................................3-6
Intermittent Sensor Algorithm and Damping.............3-7
Intermittent Sensor Detect (Advanced Feature)...........3-8
Implementation ...................................3-9
SECTION 4
Maintenance and
Troubleshooting
SafetyInformation ...................................4-1
Warning.........................................4-1
Troubleshooting .....................................4-1
Model 244EH software version 5.5.1 ..................4-1

Rosemount Models 244EH and 244ER PC-Programmable Temperature Transmitters
2
APPENDIX A
Reference Data Transmitter Specification ............................. A-1
Functional....................................... A-1
Performance..................................... A-2
Physical ........................................ A-5
Model 244EC Configuration Interface ................ A-5
OrderingInformation................................ A-6
Ordering Flameproof and Explosion-proof Approvals
forTemperatureAssemblies ........................ A-8
DimensionalDrawings............................... A-9
Transmitter...................................... A-9
Enclosure and Model 244EC Configuration Interface..... A-9
APPENDIX B
Approvals SafetyMessages.................................... B-1
Hazardous Locations Installations ...................... B-1
LocationsCertifications.............................. B-2
InstallationDrawings................................ B-4
APPENDIX C
Models 644 and 244E
Temperature Transmitters
Manual Supplement
Old Transmitter..................................... C-2
Transmitter Design................................ C-2
SensorWiringDiagrams........................... C-2
SpecialMountingConsiderations .................... C-2
New Transmitter .................................... C-3
Transmitter Design................................ C-3
SensorWiringDiagrams........................... C-3
SpecialMountingConsiderations .................... C-3
HART Communicator (Model 644H only) ............. C-3
Specifications...................................... C-4

Section
1-1
1Introduction
SafetyMessages ................................page1-1
TransmitterOverview.............................page1-1
ManualOverview ................................page1-2
Considerations ..................................page1-3
SAFETY MESSAGES Procedures and instructions in this manual may require special
precautions to ensure the safety of the personnel performing the
operations. Information that raises potential safety issues is indicated
by a warning symbol ( ). Refer to the safety messages listed at the
beginning of each section before performing an operation preceded by
this symbol.
TRANSMITTER OVERVIEW Thank you for choosing the Model 244E. Features of the Model 244EH
and Model 244ER transmitters include:
• Configuration using the Model 244EC Configuration Interface
and a Microsoft® Windows®-based PC running the Models 244EH
and 244ER Configuration Software
• The ability to convert RTD and thermocouple inputs to 4–20 mA,
2-wire outputs that are less susceptible to electrical noise
• The capability to linearize RTD and thermocouple inputs
with temperature
• Electrical input-output isolation
• Electronics that are completely encapsulated in epoxy and
enclosed in a metal housing, making the transmitter extremely
durable and ensuring long-term reliability
• A compact size and two housing options allowing mounting
flexibility for the control room or the field
Rosemount Inc. has a full range of compatible connection heads,
sensors, and thermowells to provide complete assemblies for process
temperature measurements. Refer to Volume 1 of the Rosemount
Temperature Sensors and Assemblies Product Data Sheet (document
number 00813-0100-2654) for thread mount sensors and accessories, or
refer to Volume 2 (document number 00813-0100-2654) for DIN-style
sensors and accessories.
Failure to follow these installation guidelines could result in death or
serious injury.
• Make sure only qualified personnel perform the installation.

Rosemount Models 244EH and 244ER PC-Programmable Temperature Transmitters
1-2
MANUAL OVERVIEW This manual is designed to assist in the installation, operation, and
maintenance of Rosemount® Model 244EH and 244ER PC
Programmable Temperature Transmitters and the Model 244EC
Configuration Interface.
Section 2: Installation
• Tools for installation
• Mounting
• Installation
• Field wiring
Section 3: Operation
• Power Supply
• Configuration
Section 4: Maintenance and Troubleshooting
• Software Troubleshooting
Appendix A: Reference Data
• Specifications
• Dimensional drawings
• Ordering information
Appendix B: Approvals
• Locations certifications
• Installation drawings
Appendix C: Models 644 and 244E Temperature Transmitters Manual
Supplement
• Comparison between new and old Models 644 and 244E
• Specifications

1-3
CONSIDERATIONS
General Electrical temperature sensors such as RTDs and thermocouples
produce low-level signals proportional to their sensed temperature. The
Models 244EH and 244ER transmitters convert the low-level sensor
signal to a standard 4–20 mA dc signal that is relatively insensitive to
lead length and electrical noise. This current signal is then transmitted
to the control room via two wires.
Mechanical When choosing an installation location and position, take into account
the need for access to the transmitter.
Wiring Connections
Make wiring connections through the cable entry in the side of the
connection head. Be sure to provide adequate clearance for
cover removal.
Electrical Proper electrical installation is necessary to prevent errors due to
sensor lead resistances and electrical noise. Shielded cable should be
used in electrically noisy environments.
Environmental The transmitter electronics module is permanently sealed within the
housing, resisting moisture and corrosive damage. Verify that the
operating atmosphere of the transmitter is consistent with the
appropriate hazardous locations certifications.

Section
2-1
2Installation
SafetyMessages ................................page2-1
ToolsneededforInstallation.......................page2-2
Mounting . ......................................page2-3
InstallationProcedures ...........................page2-5
FieldWiring.....................................page2-12
FailureMode ....................................page2-16
SAFETY MESSAGES Instructions and procedures in this section may require special
precautions to ensure the safety of the personnel performing the
operations. Information that raises potential safety issues is indicated
by a warning symbol ( ). Please refer to the following safety messages
before performing an operation preceded by this symbol.
Warnings
Explosions could result in death or serious injury.
• Do not remove the enclosure cover in explosive atmospheres when the circuit
is live.
• Verify that the operating atmosphere of the transmitter is consistent with the
appropriate hazardous locations certification.
• Enclosure covers must be fully engaged to meet explosion-proof requirements.
Process leaks could result in death or serious injury.
• Install and tighten thermowells or sensors before applying pressure, or process
leakage may result.
• Do not remove the thermowell while in operation. Doing so may cause process
fluid leaks.
Electrical shock could cause death or serious injury.
• If the sensor is installed in a high-voltage environment and a fault condition or
installation error occurs, high voltage may be present on transmitter leads
and terminals.
• Use extreme caution when making contact with leads and terminals.

Rosemount Models 244EH and 244ER PC-Programmable Temperature Transmitters
2-2
Figure 2-1. Transmitter
Installation Flowchart
TOOLS NEEDED FOR
INSTALLATION The tools needed for installation are as follows:
Begin Here Transmitter
Configured?
Configure
Transmitter
Set Sensor
Type
Set Number
of Wires
Set 50/60 Hz
Filter
Set Units
Set Range
Values
Set
Damping
Field
Install
Set Failure
Mode Switch
Mount
Transmitter
Wire
Transmitter
Power
Transmitter
Check for
Leaks
Done
244-244_02A
Models 244EH and 244ER: • Transmitter
• Mounting apparatus
Model 244EC Configuration Interface: • Transmitter
• 9-pin connector cable
• MINIGRABBER™clips
Model 244EH and 244ER Configuration Software: •PC
• Windows-based software

2-3
MOUNTING The Model 244EH installs in a connection head or universal head
mounted directly on a sensor assembly, apart from a sensor assembly
using a universal head, or to a DIN rail using an optional mounting
clip. The Model 244ER mounts directly to a wall or to a DIN rail.
The Models 244EH and 244ER transmitters will operate within
specifications for ambient temperatures between –40 and 185 °F
(–40 and 85 °C).
In a direct mounting configuration using a Model 244EH transmitter,
process heat is transferred from the thermowell to the transmitter via
the connection head. If the expected connection head temperature is
near or beyond specification limits, consider the use of additional
thermowell lagging, an extension nipple, or a remote mounting
configuration to isolate the transmitter from excessive temperatures.
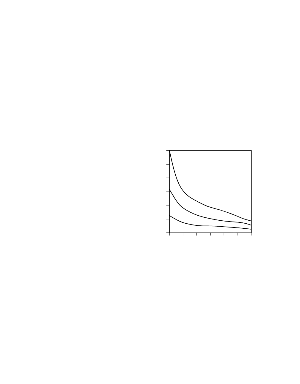
Figure 2-2 provides an example of the relationship between transmitter
housing temperature rise and extension length. Use Figure 2-2 as a
guide for determining adequate thermowell extension length.
Figure 2-2. Model 244EH Connection
Head Temperature Rise vs. Extension
Length
Example
The transmitter specification limit is 85 °C. If the ambient temperature
is 55 °C and the process temperature to be measured is 800 °C, the
maximum permissible connection head temperature rise is the
transmitter specification limit minus the ambient temperature
(85 –55 °C), or 30 °C. In this case, an extension of 100 mm meets this
requirement, but 125 mm provides a margin of 8 °C, thereby reducing
any temperature effects in the transmitter.
3044-0123A
60
50
40
30
20
10
075 100 125 150 175 200 225
Temperature Rise Above Ambient (°C)
Extension Length (mm)
815°
C
Process
Temperature
540°C
Process
Temperature
250°C
Process
Temperature

Rosemount Models 244EH and 244ER PC-Programmable Temperature Transmitters
2-4
Special Mounting
Considerations Special mounting hardware is available for mounting a
Model 244EH head mount transmitter to a DIN rail, or assembling
a new Model 244EH to an existing threaded sensor connection head
(former option code L1).
Mounting a Model 244EH to a DIN Rail
To attach a head mount transmitter to a DIN rail, assemble the
appropriate rail mounting kit (part number 00644-5301-0010) to the
transmitter as shown in Figure 2-3, then follow the procedure under
“Rail Mount Transmitter with Integral Mount Sensor” on page 2-7.
Figure 2-3. Assembling Rail Clip
Hardware to a Model 244EH
Retrofitting a Model 244EH for Use in an Existing Threaded Sensor
Connection Head
To mount a Model 244EH in an existing threaded sensor connection
head (former option code L1), order the Model 244EH retrofit kit (part
number 00644-5321-0010). The retrofit kit includes a new mounting
bracket and all associated hardware necessary to facilitate the
installation of the Model 244EH in the existing head.
Figure 2-4. Assembling Model
244EHforUseinanExistingL1
Connection Head
G-Rail (asymmetric) Top Hat Rail (symmetric)
Note: Kit includes Mounting Hardware and both types of rail kits.
Transmitter
Mounting
Hardware
Rail Clip
Transmitter
Mounting
Hardware
Rail Clip
644-5302B01A, D02A
644-5321A01A
Kit includes replacement
bracket and screws.
Existing Threaded Sensor
Connection Head
(Former option code L1)

2-5
INSTALLATION
PROCEDURES
Transmitter Refer to the appropriate procedure and the accompanying illustrations
when installing the transmitter.
Head Mount Transmitter with DIN Plate Style Sensor
The least complicated assembly uses:
• an integral mount sensor with flying leads
• an integral DIN style connection head
•a standard extension
•a threaded thermowell
Refer to Volume 2 of the Rosemount Sensors Product Data Sheet
(document number 00813-0101-2654) for complete sensor and
mounting accessory information.
To complete the assembly, follow the steps described below.
1. Attach the thermowell to the pipe or process container wall. Install
and tighten the thermowell before applying pressure.
2. Set the transmitter failure mode switch
(see Figure 2-13 on page 2-16).
3. Assemble the transmitter to the sensor. Push the transmitter
mounting screws through the sensor mounting plate and insert the
snap rings (optional, part number 00644-4432-0001) into the
groove of each transmitter mounting screw.
4. Insert the transmitter-sensor assembly into the connection head.
Thread the transmitter mounting screw into the connection head
mounting holes.
5. Assemble the extension to the connection head. Insert the
assembly into the thermowell.
6. Attach a cable gland into the shielded cable.
7. Insert the shielded cable leads into the connection head through
the cable entry. Connect and tighten the cable gland.
8. Connect the shielded cable leads to the transmitter power
terminals. Avoid contact with leads and terminals.
9. Install and tighten the connection head cover. Enclosure covers
must be fully engaged to meet explosion-proof requirements.
Figure 2-5. Typical Model 244EH
Mounting Configuration Using Integral
Mount Sensor and Assembly
644-0000B04A
Model 244EH
Transmitter
Integral Mount Sensor
with Flying Leads Threaded Extension
Threaded
Thermowell
C
onnection
Head

Rosemount Models 244EH and 244ER PC-Programmable Temperature Transmitters
2-6
Head Mount Transmitter with Threaded Sensor
The least complicated assembly uses:
• a threaded sensor with flying leads
• the universal connection head
• a union and nipple extension assembly
•a threaded thermowell
Refer to Volume 1 of the Rosemount Sensors Product Data Sheet
(document number 00813-0100-2654) for complete sensor and
mounting accessory information.
To complete the assembly, follow the steps as described below.
1. Attach the thermowell to the pipe or process container wall. Install
and tighten thermowells before applying pressure.
2. Attach necessary extension nipples and adapters. Seal the nipple
and adapter threads with silicone tape.
3. Screw the sensor into the thermowell. Install drain seals if
required for severe environments or to satisfy code requirements.
4. Set the transmitter failure mode switch
(see Figure 2-13 on page 2-16).
5. Pull the sensor wiring leads through the extensions and adapters
into the universal head. Mount the transmitter in the universal
head by threading the transmitter mounting screws into the
universal head mounting holes.
6. Mount the assembly into the thermowell. Seal adapter threads
with silicone tape.
7. Install conduit for field wiring to the conduit entry of the universal
head. Seal conduit threads with silicone tape.
8. Pull the field wiring leads through the conduit into the universal
head. Attach the sensor and power leads to the transmitter. Avoid
contact with leads and terminals.
9. Install and tighten the universal head cover. Enclosure covers
must be fully engaged to meet explosion-proof requirements.
Figure 2-6. Typical Model 244EH
Transmitter Mounting Configuration
Using Threaded Style Sensor
and Assembly
644-0000A04A
Standard
Extension
Threaded Thermowell
Universal Head
Threaded Style Sensor

2-7
Rail Mount Transmitter with Integral Mount Sensor
The least complicated assembly uses:
• an integral mount sensor with terminal block
• an integral DIN style connection head
•a standard extension
•a threaded thermowell
Refer to Volume 2 of the Rosemount Sensors Product Data Sheet
(document number 00813-0101-2654) for complete sensor and
mounting accessory information.
To complete the assembly, follow the procedure described below.
1. Attach the transmitter to a suitable rail or panel.
2. Attach the thermowell to the pipe or process container wall. Install
and tighten the thermowell before applying pressure.
3. Attach the sensor to the connection head and mount the entire
assembly to the thermowell.
4. Attach sufficient lengths of sensor lead wire to the sensor terminal
block.
5. Attach and tighten the connection head cover. Enclosure covers
must be fully engaged to meet explosion-proof requirements.
6. Run sensor lead wires from the sensor assembly to the transmitter.
7. Set the transmitter failure mode switch
(see Figure 2-13 on page 2-16).
8. Attach the sensor and power leads to the transmitter. Avoid
contact with leads and terminals.
Figure 2-7. Typical Rail Mount
Transmitter Mounting Configuration
Using Integral Mount Sensor
and Assembly Integral Mount Sensor
with Terminal Block
Connection Head
Standard Extension
Threaded Thermowell
Rail Mount Transmitter
Sensor Leads
with Cable Gland
644-0000C04A

Rosemount Models 244EH and 244ER PC-Programmable Temperature Transmitters
2-8
Rail Mount Transmitter with Threaded Sensor
The least complicated assembly uses:
• a threaded sensor with flying heads
• a threaded sensor connection head
• a union and nipple extension assembly
•a threaded thermowell
Refer to Volume 1 of the Rosemount Sensors Product Data Sheet
(document number 00813-0100-2654) for complete sensor and
mounting accessory information.
To complete the assembly, follow the procedure described below.
1. Attach the transmitter to a suitable rail or panel.
2. Attach the thermowell to the pipe or process container wall. Install
and tighten the thermowell before applying pressure.
3. Attach necessary extension nipples and adapters. Seal the nipple
and adapter threads with silicone tape.
4. Screw the sensor into the thermowell. Install drain seals if
required for severe environments or to satisfy code requirements.
5. Screw the connection head to the sensor.
6. Attach the sensor lead wires to the connection head terminals.
7. Attach additional sensor lead wires from the connection head to
the transmitter.
8. Attach and tighten the connection head cover. Enclosure covers
must be fully engaged to meet explosion-proof requirements.
9. Set the transmitter failure mode switch
(see Figure 2-13 on page 2-16).
10. Attach the sensor and power leads to the transmitter. Avoid
contact with leads and terminals.
Figure 2-8. Typical Rail Mount
Transmitter Mounting Configuration
Using Threaded Style Sensor
and Assembly Rail Mount
Transmitter
Threaded
Style Sensor Threaded
Thermowell
Standard
Extension
Threaded Sensor
Connection Head
644-0000A04B

2-9
Multichannel Installations
Several transmitters can be connected to a single master power supply
as shown in Figure 2-9. In this case, the system may be grounded only
at the negative power supply terminal. In multichannel installations
where several transmitters depend on one power supply and the loss of
all transmitters would cause operational problems, consider a back-up
battery or power supply that cannot be interrupted. The diodes shown
in Figure 2-9 prevent unwanted charging or discharging of the
back-up battery.
Figure 2-9. Multichannel Installations
Configuration Software System Requirements
For the configuration software to function properly, the following
minimum PC requirements must be observed.
• 80386 or faster processor
• 1 MB free disk space
• 3.5-inch floppy disk drive
• Mouse or other pointing device
• 256 color display (recommended settings are 16-bit color at
1024 × 728 screen resolution)
• Microsoft Windows 3.1, Windows for Workgroups 3.11,
Windows 95, or Windows NT.
The configuration software is available in English, French, German,
Italian, Spanish, Chinese, Japanese, and Korean language versions.
The configuration software automatically selects the appropriate
language based on the language version of Windows.
NOTE
Close all currently running applications before starting the
installation procedure.
NOTE
Windows 98 is not compatible with this software.
Transmitter
No. 1
Transmitter
No. 2
RLead
RLead
RLead
Readout or
Controller
No.1
Readoutor
Controller
No. 2 To Additional Transmitters
dc
Power
Supply
Backup Battery
3044-0131A

Rosemount Models 244EH and 244ER PC-Programmable Temperature Transmitters
2-10
Choose the procedure that matches the operating system you are using.
Procedure for Windows 3.1 or Windows for Workgroups 3.11
1. If you do not have Win32s installed, install it now. Follow the
instructions on the diskette label.
2. Insert the Models 244EH and 244ER Configuration Software
diskette into your floppy disk drive.
3. In the File Manager, choose RUN from the FILE menu.
4. The RUN dialog box appears. In the COMMAND LINE text box,
type <drive>:\setup. Substitute the letter of your floppy disk drive
(usually a or b) for <drive>. Click OK.
5. The WELCOME window appears. Click OK.
6. The SELECT DESTINATION DIRECTORY window appears. To
accept the default installation directory, click OK. To specify a
different installation directory, either type a new directory path in
the DESTINATION DIRECTORY text box or select one from the list.
Click OK.
7. The COMM SETTINGS window appears. In the COMM PORT
drop-down box, choose the communication port to which you
intend to connect the Model 244EC. Click OK.
8. The SELECT PROGRAM MANAGER GROUP window appears. To
accept the default Program Manager group name, click OK. To
specify a different group name, either type a new name in the
GROUP NAME text box or select one from the list. Click OK.
Procedure for Windows 95 or Windows NT
1. Insert the Models 244EH and 244ER Configuration Software
diskette into your floppy disk drive.
2. Click the START button on taskbar. Click RUN.
3. The RUN dialog box appears. In the OPEN text box, type
<drive>:\setup. Substitute the letter of your floppy disk drive
(usually a or b) for <drive>. Click OK.
4. The SELECT DESTINATION DIRECTORY window appears. To
accept the default installation directory, click OK. To specify a
different installation directory, either type a new directory path in
the DESTINATION DIRECTORY text box or select one from the list.
Click OK.
5. The COMM SETTINGS window appears. Choose the
communication port to which you intend to connect the
Model 244EC from the COMM PORT drop-down box. Click OK.
6. The SELECT PROGRAM MANAGER GROUP window appears. To
accept the default Program Manager group name, click OK. To
specify a different group name, either type a new name in the
GROUP NAME text box or select one from the list. Click OK.

2-11
Screen Conventions
The Models 244EH and 244ER Configuration Software follows the
Microsoft Windows screen conventions with the following exception:
Configuration parameters change color to indicate fields where
information has changed. Before placing a new transmitter into service,
or before returning a transmitter to service after changing
configuration information, verify that the values in the fields that have
been changed reflect the correct configuration parameters for your
application. For example, if you change the Sensor Type field to PT100–
Alpha 392, the Number of Wires, Units, 4 mA Point, and 20 mA Point
fields all change to reflect the default PT100–Alpha 392 sensor values.
Verify all information before placing the transmitter into service.
Model 244EC Configuration
Interface The Model 244EC Configuration Interface is a portable, self-contained
link between your PC and a Model 244. The Model 244EC connects to a
PC serial port with a standard 9-pin interconnecting plug and connects
to a transmitter with two MINIGRABBER™ clips.
The Model 244EC will also operate using a wall power adapter or a
single replaceable 9-volt battery.
Setting Up the Model 244EC Configuration Interface
All necessary power is provided through the configuration leads from
the Model 244EC to the transmitter. The sensor does not need to be
disconnected in order to configure the transmitter.
To set up the Model 244EC Configuration Interface and prepare it for
use, refer to Figure 2-10 on page 2-12 and follow the procedure
described below.
1. Install the 9-volt battery in the Model 244EC. Be sure the power
switch remains in the “OFF” position.
2. Attach the ribbon cable from the Model 244EC to the serial port of
your PC using the 9-pin interconnecting plug. If your PC has a
25-pin serial port, you will need a 25-pin to 9-pin adapter to
accommodate the connection.
NOTE
It is not necessary to power down your PC before you attach the
Model 244EC. However, if you are using a desktop model, you may wish
to power down to reduce the risk of electric shock or computer damage.
3. Attach the configuration leads to the Model 244EC using the
banana jacks provided. Be sure to observe proper polarity—attach
the red lead to the positive (+) jack on the Model 244EC and the
black lead to the negative (–) jack.
4. Attach the configuration leads to the configuration terminals
(labeled “PROG”) on the transmitter using the MINIGRABBER
clips provided. Be sure to observe proper polarity—attach the red
lead to the positive (+) terminal on the transmitter and the black
lead to the negative (–) terminal.

Rosemount Models 244EH and 244ER PC-Programmable Temperature Transmitters
2-12
5. Turn on the Model 244EC using the power switch on the top side of
the housing.
NOTE
Verify that the Model 244EC “Low Battery” LED is not on before
initiating communication with the transmitter. If the low battery LED
is on, you will not be able to configure the transmitter.
6. Using your PC, open the Configuration Software program.
Access the online help if you have questions regarding the use
of the program.
Figure 2-10. Complete Transmitter
Configuration System
FIELD WIRING All power to the transmitter is supplied over the signal wiring. Use
ordinary copper wire of sufficient size to ensure that the voltage across
the transmitter power terminals does not drop below 12.0 V dc.
If the sensor is installed in a high-voltage environment and a fault
condition or installation error occurs, the sensor leads and transmitter
terminals could carry lethal voltages. Use extreme caution when
making contact with the leads and terminals.
NOTE
Do not apply high voltage (e.g., ac line voltage) to the transmitter
terminals. Abnormally high voltage can damage the unit. (Sensor and
transmitter power terminals are rated to 42.4 V dc.)
For multichannel installations, see “Multichannel Installations” on
page 2-9. The transmitters will accept inputs from a variety of RTD and
thermocouple types. Refer to Figure 2-12 on page 2-15 when making
sensor connections.
Model 244EC
Configuration
Interface
Model 244EH or 244ER
Transmitter
Windows-based PC Running
the Configuration Software
244-011AB

2-13
Use the following steps to wire the transmitter:
1. Connect the positive lead from the power supply to the transmitter
terminal marked “+” and the negative lead to the transmitter
terminal marked “–” (see Figure 2-11 and Figure 2-13).
2. Tighten the terminal compression screws to ensure adequate
contact. No additional power wiring is required.
3. After making connections, recheck the polarity and correctness of
connections, then turn the power on.
Figure 2-11. Transmitter Field
Wiring Diagrams
Sensor Connections The Models 244E are compatible with a number of RTD and
thermocouple sensor types. Figure 2-12 shows the correct input
connections to the sensor terminals on the transmitter. To ensure
proper sensor connections, anchor the sensor lead wires into the
appropriate compression terminals and tighten the screws.
RTD or Ohm Inputs
The transmitters will accept a variety of RTD configurations, including
2-wire, 3-wire, 4-wire, and compensation loop designs. If the
transmitter is mounted remotely from a 3-wire or 4-wire RTD, it will
operate within specifications, without recalibration, for lead wire
resistances of up to 10 ohms per lead (equivalent to 1,000 feet of
20 AWG wire). In this case, the leads between the RTD and transmitter
should be shielded. If using only two leads, both RTD leads are in series
with the sensor element, so significant errors can occur if the lead
lengths exceed three feet of 20 AWG wire (approximately 0.05 °C/ft).
For longer runs, attach a third or fourth lead as described above.
Model 244EH
Model 244ER
Note: Signal loop may be grounded at any point or left ungrounded.
Power
Supply
244-0000A02C
Power
Supply
644-0000A02D

Rosemount Models 244EH and 244ER PC-Programmable Temperature Transmitters
2-14
Sensor Lead Wire Resistance Effect
RTD Input
When using a 4-wire RTD, the effect of lead resistance is eliminated
and has no impact on accuracy. However, a 3-wire sensor will not
fully cancel lead resistance error because it cannot compensate for
imbalances in resistance between the lead wires. Using the same
type of wire on all three lead wires will make a 3-wire RTD
installation as accurate as possible. A 2-wire sensor will produce the
largest error because it directly adds the lead wire resistance to the
sensor resistance. For 2- and 3-wire RTDs, an additional lead wire
resistance error is induced with ambient temperature variations.
The table and the examples shown below help quantify these errors.
Table 2-1. Examples of Approximate
Basic Error
Examples of Approximate Lead Wire Resistance
Effect Calculations
Given:
Total cable length = 150 m
Imbalance of the lead wires at 20 °C = 0.5 Ω
Resistance/length (18 AWG Cu) = 0.025 Ω/Ω °C
Temperature coefficient of copper (αCu) = 0.0039 Ω/Ω °C
Temperature coefficient of platinum (αPt) = 0.00385 Ω/Ω °C
Change in Ambient Temperature (∆Tamb) = 25 °C
RTD Resistance at 0 °C (Ro) = 100 Ω (for Pt 100 RTD)
• Pt100 4-wire RTD: No lead wire resistance effect.
•Pt100 3-wire RTD:
Lead wire imbalance seen by the transmitter = 0.5 Ω
Sensor Input Approximate Basic Error
4-wire RTD None (independent of lead wire resistance)
3-wire RTD ± 1.0 Ωin reading per ohm of unbalanced lead wire
resistance (Unbalanced lead wire resistance =
maximum imbalance between any two leads.)
2-wire RTD 1.0 Ωin reading per ohm of lead wire resistance
Basic Error Imbalance of Lead Wires
αPt Ro
×()
------------------------------------------------------------------=
Error due to amb. temp. variation αCu
()∆Tamb
()×Imbalance of Lead Wires()×
αPt
()Ro
()×
-------------------------------------------------------------------------------------------------------------------------=
Basic error 0.5 Ω
0.00385 Ω/Ω°C()100 Ω()×
--------------------------------------------------------------------------------- 1.3 °C==
Error due to amb. temp. var. of 25 °C±
0.0039 Ω/Ω°C()25 °C()×0.5 Ω()×
0.00385 Ω/Ω°C()100 Ω()×
------------------------------------------------------------------------------------------------------- 0.13 °C±==

2-15
•Pt100 2-wire RTD:
Lead wire resistance seen by the transmitter = 150 m × 2 wires ×
0.025 Ω/m = 7.5 Ω
Thermocouple or Millivolt Inputs
For integral mounting applications, the thermocouple can be
connected directly to the transmitter. If mounting the transmitter
remotely from the sensor, use appropriate thermocouple extension
wire. Make connections for millivolt inputs with copper wire. Use
shielding for long runs of wire.
Figure 2-12. Sensor Wiring Diagrams
Basic Error Lead Wire Resistance
αPt Ro
×()
----------------------------------------------------------=
Error due to amb. temp. variation αCu
()∆Tamb
()×Lead Wire Resistance()×
αPt
()Ro
()×
-----------------------------------------------------------------------------------------------------------------=
Basic error 7.5 Ω
0.00385 Ω/Ω°C()100 Ω()×
--------------------------------------------------------------------------------- 19.5 °C==
Error due to amb. temp. var. of 25 °C±
0.0039 Ω/Ω°C()25 °C()×7.5 Ω()×
0.00385 Ω/Ω°C()100 Ω()×
------------------------------------------------------------------------------------------------------- 1.9 °C±==
Model 244E Sensor Connections
* Rosemount Inc. provides 4-wire sensors for all single element RTDs. You can use these
RTDs in 3-wire configurations by leaving the unneeded leads disconnected and insulated
with electrical tape.
** The transmitters must be configured for a 3-wire RTD in order to recognize an RTD with a
compensation loop.
12341234 12 34 12
3
41234
644-0000B01A
1
2-wire
RTD
and V
3-wire
RTD
and V
4-wire
RTD
and V
T/C
and mV
RTD with
Comp.
Loop
***

Rosemount Models 244EH and 244ER PC-Programmable Temperature Transmitters
2-16
Figure 2-13. Transmitter Power,
Sensor, and Configuration Terminals
FAILURE MODE The Models 244EH and 244ER features software driven alarm
diagnostics and an independent circuit. These features are designed to
provide separate backup alarm output in case the microprocessor,
electronics, hardware, or software fails. The alarm levels are user
selectable using the Failure Mode Switch. The position of the jumper
determines the direction in which the output is driven (HI or LO) in
case of alarm. The jumper switch feeds into the Digital-to-Analog (D/A)
converter, which drives the proper alarm output even if the
microprocessor fails.
The values to which the transmitter drives its output in failure mode
depend on whether it is factory configured to standard or
NAMUR-compliant operation. See “Failure Mode” on page A-2 for
these parameters.
To determine the failure mode configuration of a transmitter, review
the low and high alarm levels on the SERVICE menu provided by the
configuration software.
Changing Switch Positions To change the failure mode on the Model 244EH or 244ER transmitter,
follow the steps described below.
1. If the transmitter is mounted in an enclosure, remove the
enclosure cover.
2. Locate the orange failure mode switch. The switch is located near
the power terminals on the Model 244EH and in the center of the
front panel on the Model 244ER (see Figure 2-13).
3. Move the switch to the desired alarm setting. To set the failure
mode to high alarm, position the switch toward the “HI” mark on
the terminal block; to set the failure mode to low alarm, position
the switch in the opposite direction.
4. Replace the enclosure cover (if applicable). Enclosure covers must
be fully engaged to meet explosion-proof requirements.
Model 244EH Model 244ER
12 34
Failure Mode
Switch
Power Terminal
Sensor
Terminals
Configuration
Terminals
244-1260B02D, 1105E01B
Failure Mode Switch
Sensor Terminal
Power/Configuration
Terminals

Section
3-1
3Operation
SafetyMessages ................................page3-1
Power Supply . . . . . . . . . . . . . ......................page3-1
Configuration ...................................page3-2
IntermittentSensorAlgorithm .....................page3-5
SAFETY MESSAGES Instructions and procedures in this section may require special
precautions to ensure the safety of the personnel performing the
operations. Information that raises potential safety issues is indicated
by a warning symbol ( ). Please refer to the following safety messages
before performing an operation preceded by this symbol.
Warning
POWER SUPPLY The dc power supply should provide power with a ripple that is less
than two percent of the nominal supply voltage. The total resistance
load is the sum of the resistance of the signal leads and the lead
resistance of any controller, indicator, or related piece of equipment in
the loop. Note that the resistance of intrinsic safety barriers, if used,
must be included.
Surges/Transients The transmitter will withstand electrical transients of the energy level
usually encountered in static discharges or induced switching
transients. However, high-energy transients, such as those induced by
lightning strikes, welding, heavy electrical equipment, or switch gears,
can damage both the transmitter and the sensor.
To protect against high-energy transients, install Models 244E into a
suitable connection head with the Rosemount Model 470 Transient
Protector. The Model 470 prevents damage from transients induced by
lightning, welding, heavy electrical equipment, or switching gears.
Refer to the Model 470 Transient Protector Product Data Sheet
(document number 00813-0100-4191) for more information.
If the transmitter is installed in a measurement loop, disconnect power to the transmitter
before beginning to set up the Model 244EC Configuration Interface. If the Model 244EC
connects to a transmitter while the transmitter is powered in a measurement loop, the
Model 244EC will shunt the electrical current, possibly resulting in a dangerous situation
within the measurement loop.

Rosemount Models 244EH and 244ER PC-Programmable Temperature Transmitters
3-2
Grounding The transmitter will operate with the current signal loop either floating
or grounded. However, the extra noise in floating systems affects many
types of readout devices. If the signal appears noisy or erratic,
grounding the current signal loop at a single point may solve the
problem. The best place to ground the loop is at the negative terminal
of the power supply.
The transmitter is electrically isolated to 500 V ac rms, so the input
circuit also may be grounded at a single point. When using a grounded
thermocouple, the grounded junction serves as this point. Do not
ground the current signal loop at more than one point.
NOTE
Do not ground the signal wire at both ends.
CONFIGURATION The Models 244EH and 244ER are designed to be configured using a
Model 244EC Configuration Interface connected to a Microsoft
Windows-compatible PC running the Models 244EH and 244ER
Configuration Software program. Configuration parameters include:
•Sensor type
• Number of wires
• 50/60 Hz filter selection
• Engineering units
• Upper and lower range values
• Damping value
•Tag
• Intermittent Sensor Detect
Each configuration parameter is explained in the on-line help provided
with the software. To access the on-line help, either click the HELP
button on the main configuration window (see Figure 3-1) or choose a
topic from the HELP menu.

3-3
Configuring a Single
Transmitter NOTE
See “Configuration Software” on page 2-9 for instructions on how to
install the configuration software.
To configure a single Model 244EH or 244ER transmitter, perform the
following procedure:
1. Disconnect power to the transmitter if the transmitter is installed
in a measurement loop.
NOTE
Configuring a transmitter while it is powered in a measurement loop
could cause the Model 244EC to shunt the current.
2. Set up the transmitter configuration system (see “Model 244EC
Configuration Interface” on page 2-11) and open the program.
3. Select READ FROM XMTR from the menu bar to initiate the
transmitter configuration. The main configuration window will
appear (see Figure 3-1).
Figure 3-1. Models 244EH and 244ER
Configuration Software Main
Configuration Window
4. Set the configuration parameters. To view a complete list of
options for each parameter, click the drop-down arrow in any
parameter box. For example, on the main configuration screen,
click the arrow in the UNITS box to view a list of available units.
NOTE
The configuration of the Intermittent Sensor Detect feature of the
Model 244E Temperature Transmitter with version 5.5.1 software
cannot be changed with the Model 244EC version 2.0 or earlier. For
more information see Section 4: Maintenance and Troubleshooting.
244E-244DF01

Rosemount Models 244EH and 244ER PC-Programmable Temperature Transmitters
3-4
NOTE
Each configuration parameter is explained in detail in the on-line help
provided with the software. To access help, click the HELP button on
the main configuration window (see Figure 3-1).
5. Click the SEND TO XMTR button to upload configuration
information to the transmitter. The software will indicate whether
the configuration is successful or unsuccessful. If the configuration
succeeds, then go to step Step 6. If the configuration does not
succeed, then refer to Section 4: Maintenance and Troubleshooting
for a list of possible causes and repeat Step 5 until the transmitter
configuration is successful.
6. Click the SAVE TO FILE button to save the configuration
information for use with other transmitters.
NOTE
To ease the process of later finding a specific configuration file, name
saved files according to a logical system and preserve the default .244
filename extension.
7. Click the CANCEL button to close the main
configuration window.
Configuring Several
Transmitters Identically To configure several Model 244E transmitters identically, perform the
following procedure:
1. Configure a single transmitter according to “Configuring a Single
Transmitter” on page 3-3 and save the configuration to a file.
2. Select OPEN from the FILE menu to open the saved
configuration file.
3. Connect a new transmitter to the Configuration Interface.
4. Click the SEND TO XMTR button to upload the configuration
information to the transmitter. The software will report whether
the configuration is successful or unsuccessful. If the configuration
succeeds, then go to Step 5. If the configuration does not succeed,
then refer to Section 4: Maintenance and Troubleshooting for a list
of possible causes and repeat Step 4 until the transmitter
configuration is successful.
5. Repeat Steps 3 and 4 until all transmitters are configured.
6. Click the CANCEL button to close the main configuration screen.

3-5
Viewing the Process
Variable With version 2.0 and later of the Model 244EC Configuration Interface,
users can view the measured temperature (PV) by selecting SERVICE
from the menu bar of the main configuration window (see Figure 3-2).
In order to view a valid PV, a temperature sensor must be connected to
the Model 244E transmitter, and the transmitter must be configured
properly for that sensor type. The PV will be automatically updated on
the Model 244EC screen approximately two times per second.
Figure 3-2. Viewing the Process
Variable with the 244EC
INTERMITTENT SENSOR
ALGORITHM The electronics of the Model 244E transmitter contains an intermittent
sensor algorithm that monitors the input signal during operation. The
signal diagnostics routine, which occurs at each temperature update
(every 500 milliseconds), eliminates output pulsing in an intermittent
open sensor condition. Further, it validates the input signal before the
digital-to-analog (D/A) conversion takes place.
If the process temperature changes, the intermittent sensor algorithm
causes the transmitter to respond according to one of the three cases
described below. Threshold value is the maximum change in reading (as
a percentage of output range) within one update cycle (500 ms). The
threshold value of the Model 244E is 2% of output range.
244E-244EC01

Rosemount Models 244EH and 244ER PC-Programmable Temperature Transmitters
3-6
Case Examples Case 1: Open Sensor
If the algorithm detects an open sensor, the transmitter immediately
goes into alarm (high or low, depending on the position of the failure
mode switch).
Case 2: Temperature Change Greater than the
Threshold Value(2% of Output Range)
If the algorithm detects a process temperature change (∆T) greater
than the threshold value (2 % of the output range), but which is not a
true open sensor condition, the transmitter will go into a hold period.
During the hold period, the transmitter determines whether or not this
temperature measurement is valid by using the three additional
measurement points. In the meantime, the output remains unchanged
at the initial reading (Time = 0 ms).
A) If these next three readings are within the new threshold value
(at Time = 500 ms), this measurement is validated. The output
changes to reflect this and the transmitter is no longer in a hold
period. In this case, the output delay is 1.75 to 2.00 seconds.
B) If the reading drops back within the original threshold value (at
Time = 0 ms) during the hold period, the transmitter interprets the
reading(s) outside the threshold value as a spike, and the output
changes to reflect the latest reading. The transmitter is no longer in
a hold period, and the spike is not seen at the output.
C) If any of the next three measurements is outside the new
threshold value (at Time = 500 ms), the output remains unchanged
at the initial reading (Time = 0 ms). the transmitter remains in a
hold period until four consecutive measurements are within the
threshold value of the first in the series.
0 500 1000 1500 2000 2500 3000 3500 4000
Step Changes Greater than Threshold Value
Input
Time (in Microseconds)
Output without Algorithm
Output with Algorithm (Default)
0 500 1000 1500 2000 25003000 3500 4000
Changes Greater than Threshold Value
Input
Time (in 500 ms increments)
Output without Algorithm
Output with
Algorithm (Default)

3-7
D) If an open sensor is validated at the end of the first update cycle
(Time = 500 ms), the output will go directly to alarm level. The
original spike (at Time = 0 ms) will not be seen at the output.
Case 3: Temperature Change Within the
Threshold Value (2 % of Range)
If the transmitter detects an input change that is within the threshold
value, it reports the new value within one output cycle (500 ms).
Intermittent Sensor
Algorithm and Damping If the transmitter has both intermittent sensor detect and damping
enabled, the output reading is calculated by the following formula:
The transmitter outputs the corresponding value on the damping curve
within 1.75 to 2.0 seconds and updates the output reading every 500 ms
thereafter, according to the damping equation above. At the value to
which the damping time constant is set, the transmitter output is at
63% of the input change.
0 500 1000 1500 2000 2500 3000 3500 4000
Step Changes Greater than Threshold Value
Input
Time (in 500 ms increments)
Output without Algorithm
Output with Algorithm (Default)
Total of All Step Changes
0 500 1000 1500 2000 2500 3000 3500 4000
Open Sensor
Input
Time (in 500 ms increments)
Output without Algorithm
Output with Algorithm (Default)
False Output Alarm
Damped Value P N–()
2TU–
2TU+
------------------
×N+=
P = previous damped value
N = new sensor value
T = damping time constant
U = update rate

Rosemount Models 244EH and 244ER PC-Programmable Temperature Transmitters
3-8
Figure 4-1 illustrates an example of intermittent sensor detect with
damping enabled. If the temperature undergoes a step change greater
than the threshold value, or from 100 degrees to 110 degrees, and the
damping is set to 5.0 seconds, the transmitter calculates a new reading
every 500 ms using the damping equation, but holds the output at
100 degrees for between 1.75 and 2.0 seconds. Within 1.75 and
2.0 seconds, the transmitter outputs the reading that corresponds to
the damping curve at that time ( ), and continues to calculate and
update the output reading every 500 ms thereafter ( ) according to the
damping equation. After 5 seconds, the transmitter outputs
106.3 degrees, or 63% of the input change ( ), and the output
continues to approach the input curve according to the equation above.
NOTE
If the damping time constant is set between 0 and 2 seconds, the
transmitter does not report the output change until the intermittent
sensor algorithm validates the input signal. After validating the input
signal, the transmitter outputs the value that corresponds to the
damping curve at that time.
Figure 3-3. Damping Function when
Input Change is Greater Than the
Threshold Value
Intermittent Sensor Detect
(Advanced Feature) NOTE
The Intermittent Sensor Detect feature is not available when using a
Model 244EH with software revision 5.5.1. To determine the software
version of a Model 244E temperature transmitter, first connect the
transmitter to the Model 244EC configurator, open the Model 244EC
software configuration tool, and then choose “service” from the Model
244EC software menu.
The Intermittent Sensor Detect feature is designed to guard against
process temperature readings caused by intermittent open sensor
conditions (an intermittent sensor condition is an open sensor condition
that lasts less than 0.7 seconds). By default, the transmitter is shipped
with the Intermittent Sensor Detect feature switched ON. In most
applications, this is the preferred setting. The Intermittent Sensor
Detect feature can be switched ON or OFF with the Model 244EC. The
setting of this feature cannot be changed when using a Model 244E
with version 5.5.1 software and a Model 244EC version 2.0 or earlier.
644-644_02A

3-9
Transmitter Behavior with Intermittent Sensor Detect ON
When the Intermittent Sensor Detect feature is switched ON, the
transmitter can eliminate the output pulse caused by intermittent open
sensor conditions. Process temperature changes (∆T) within 2% of the
output range will be tracked normally by the transmitter’s output. A ∆T
greater than 2% of the output range will activate the intermittent
sensor algorithm. True open sensor conditions will cause the
transmitter to go into alarm.
Transmitter Behavior with Intermittent Sensor Detect OFF
When the Intermittent Sensor Detect feature is switched OFF, the
transmitter tracks all process temperature changes, even if they are the
consequence of an intermittent sensor. The output delay due to the
intermittent sensor algorithm will be eliminated.
Implementation The Intermittent Sensor Detect feature can be turned ON or OFF using
a Model 244E transmitter with software version 5.4.1 or earlier with
the Model 244EC software configuration tool when the transmitter is
connected to the Model 244EC Configurator.
Turning the Intermittent Sensor Detect feature OFF does not affect the
time needed for the transmitter to output the correct alarm signal after
detecting a true open sensor condition. However, the transmitter may
briefly output a false temperature reading for less than 0.5 seconds in
either direction (see Figure 3-4) up to100% of output range.
Figure 3-4. Open Sensor Response
(Three Cases)
Unless rapid response rate is necessary, the suggested setting of the
Intermittent Sensor Detect mechanism is ON.
0
0
5
10
15
20
25
0.2 0.4 0.6 0.8 1.0 1.2 1.4 1.6
Transmitter Output (mA)
Time (seconds)
A false temperature output in
either direction up to the
threshold value (100 % of output
range if Intermittent Sensor Detect
is OFF) is possible when an open
sensor condition is detected.
Normal open sensor responses
High Alarm
644-644_03

Section
4-1
4Maintenance and
Troubleshooting
SafetyInformation ...............................page4-1
Troubleshooting .................................page4-1
SAFETY INFORMATION Procedures and instructions in this manual may require special
precautions to ensure the safety of the personnel performing the
operations. Information that raises potential safety issues is indicated
by a warning symbol ( ). Refer to the safety messages listed at the
beginning of each section before performing an operation preceded by
this symbol.
Warning
TROUBLESHOOTING To determine the software version of a Model 244E temperature
transmitter, first connect the transmitter to the Model 244EC
configurator, open the 244EC software configuration tool, and then
choose “Service “from the 244EC software menu.
Model 244EH software
version 5.5.1 The configuration of the Intermittent Sensor Detect feature of the
Model 244E Temperature Transmitter with version 5.5.1 or greater
software cannot be changed with the Model 244EC version 2.0.0 or
earlier. If you attempt to change the configuration of this feature and
then click the SEND TO XMTR button, the following screen will appear.
• Failure to follow these installation guidelines could result in death or
serious injury.
• To clarify error messages that do not appear in this section, contact one of the
technical support managers listed at the beginning of this manual.
SCRNDUMP-244E-STATUS

Rosemount Models 244EH and 244ER PC-Programmable Temperature Transmitters
4-2
The “Information Transmitter UNSUCCESSFUL” message appears
because the transmitter did not accept the change made in the
Intermittent Sensor Detect field. However, any other configuration
changes sent at the same time as the Intermittent Sensor Direct
change will be sent successfully. These other configuration changes can
be verified by clicking on the READ XMTR button.
TABLE 4-1. Models 244EH and 244ER
Troubleshooting Chart Error Message Cause and Possible Solutions
Cannot Open 244E
Communications Device Driver
The Models 244EH and 244ER Configuration Software is
not working properly. Reinstall the software.
Cannot print Computer cannot find or does not recognize a printer
connected to it. Verify that the computer is connected to a
suitable printer.
Cannot write to <filename> The disk is write-protected or full. Verify that the disk is
not write-protected and that there is sufficient free space
available.
Error reading <filename> The file’s format may have been corrupted. Try reading a
backup of the file.
Error writing to <filename> The disk may have been corrupted or the filename is not
valid. Try saving under a different filename.
Field device did not respond The transmitter did not respond to the inquiry made by the
software. Verify all connections in the configuration
system. Verify that the transmitter is functional.
Information transfer
UNSUCCESSFUL
See “Model 244EH software version 5.5.1” on page 4-1.
Some configuration information was not properly
transmitted from the configuration program to the
transmitter. Verify all connections in the configuration
system.
Invalid user entry The entered values are not within the capabilities of the
transmitter. Check the transmitter specifications, then
adjust the range and damping values as necessary.
Is not a proper 244E config file The file is not readable by the configuration software. Try
another file.
No response from transmitter The configuration software did not connect to a
transmitter. Verify all connections in the configuration
system.
WARNING—Battery low
indication received
The battery for the configuration interface is running low
on voltage. Replace the battery.

Appendix
A-1
Appendix
AReference Data
TransmitterSpecification..........................pageA-1
OrderingInformation .............................pageA-6
DimensionalDrawings............................pageA-9
TRANSMITTER
SPECIFICATION
Functional Inputs
User selectable using the Model 244EC Configuration Interface and the
Models 244EH and 244ER configuration software; sensor terminals
rated to 42.4 V dc. See Table A-2 on page A-3.
Output
Two-wire 4–20 mA, linear with temperature for RTDs and
thermocouples, and linear with input for millivolts and ohms
Isolation
Input to output isolation tested up to 500 V ac rms (707 V dc) at
50/60 Hz
Power Supply
External power supply required. The transmitters operate on 12.0 to
42.4 V dc terminal voltage. Transmitter power terminals rated to
42.4 V dc.
Load Limitations
Ambient Temperature Limits
Operating Storage
–40 to 85 °C (–40 to 185 °F) –50 to 120 °C (–58 to 248 °F)
1322
1000
750
250
010
12.0 20 30 40 42.4
Supply Voltage (V dc)
Maximum Load = 43.5 3(Supply Voltage – 12.0)
Operating
Region
4–20 mA dc
Load (Ohms)
500
244-24401A

Rosemount Models 244EH and 244ER PC-Programmable Temperature Transmitters
A-2
Failure Mode
The values that the transmitter drives its output to in failure mode
depend on whether it is factory configured to standard or
NAMUR-compliant operation. The values for standard and
NAMUR-compliant are as follows:
Humidity Limits
0 to 99% relative humidity, non-condensing
Turn-on Time
Performance within specifications is less than 5.0 seconds after power
is applied to the transmitter
Update Time
Approximately 0.5 seconds
Performance The Models 244EH and 244ER maintain a specification conformance of
at least 3s.
Stability
±0.1% of span or 0.1 °C, whichever is greater, over 12 month period
Power Supply Effect
Less than ±0.005% of span per volt
Vibration Effect
The transmitters tested to the following specifications with no effect on
performance:
CE Electromagnetic Compatibility Compliance Testing
The Models 244EH and 244ER meet all requirements listed under IEC
61326: Amendment 1, 1998.
TABLE A-1. Operation Parameters
Standard NAMUR-Compliant
Linear Output: 3.9 ≤I≤20.5 mA 3.8 ≤I≤20.5 mA
Fail High: 21 ≤I≤23 mA (default) 21 ≤I≤23 mA (default)
Fail Low: I≤3.75 mA I≤3.6 mA
Frequency Vibration
10 to 60 Hz 0.21 displacement
60 to 2000 Hz 3 g peak acceleration

A-3
Accuracy
When using a Pt 100 (α = 0.00385) sensor input with a 75 to 150 °C
range, the accuracy will be 0.05% of span + 0.15 °C or 0.20 °C,
whichever is greater. Sample Calculation:[0.0005 (150-75) + 0.15] =
0.19 °C, which is less than 0.20 °C, so the accuracy equals 0.20 °C.
TABLE A-2. Model 244E Input Options and Accuracy.
Sensor
Options Sensor
Reference Input
Ranges Recommended
Min. Span(1) Accuracy (whichever is greater)
2-, 3-, 4-wire RTDs °C °F °C °F
Pt 100 IEC 751, 1995 (α= 0.00385) –200 to 850 –328 to 1562 10 18 0.05% of span + 0.15 °C or 0.2 °C
Pt 100 JIS 1604, 1981 (α= 0.003916) –200 to 645 –328 to 1093 10 18 0.05% of span + 0.15 °C or 0.2 °C
Pt 200 IEC 751, 1995 (α= 0.00385) –200 to 850 –328 to 1562 10 18 0.01% of span or 0.4 °C
PT 500 IEC 751, 1995 (α= 0.00385) –200 to 850 –328 to 1562 10 18 0.01% of span or 0.3 °C
Pt 1000 IEC 751, 1995 (α = 0.00385) –200 to 300 –328 to 572 10 18 0.01% of span or 0.3 °C
Ni 120 Edison Curve No. 7 –70to300 –94 to 572 10 18 0.01% of span or 0.2 °C
Cu 10 Edison Copper Winding No. 1 –50to250 –58 to 482 10 18 0.5% of span or 1.5 °C
Thermocouples(2)
Type B(3) NIST Monograph 175, IEC 584 100 to 1820 212 to 3308 25 40 0.2% of span or 1.0 °C
Type E NIST Monograph 175, IEC 584 –50 to 1000 –58 to 1832 25 40 0.1% of span or 0.5 °C
Type jJ NIST Monograph 175, IEC 584 –180 to 760 –292 to 1400 25 40 0.1% of span or 0.5 °C
Type K NIST Monograph 175, IEC 584 –180 to 1372 –292 to 2502 25 40 0.1% of span or 1.0 °C
Type N NIST Monograph 175, IEC 584 –200 to 1300 –328 to 2372 25 40 0.1% of span or 1.0 °C
Type R NIST Monograph 175, IEC 584 0 to 1768 32 to 3214 25 40 0.1% of span or 1.0 °C
Type S NIST Monograph 175, IEC 584 0 to 1768 32 to 3214 25 40 0.1% of span or 1.0°C
Type T NIST Monograph 175, IEC 584 –200 to 400 –328 to 752 25 40 0.1% of span or 0.5 °C
DIN Type L DIN 43710 –200 to 900 –328 to 1652 25 40 0.1% of span or 0.5 °C
DIN Type U DIN 43710 –200 to 600 –328 to 1112 25 40 0.1% of span or 0.5 °C
Type
W5Re/W26Re
ASTME 988-96 0 to 2000 32 to 3632 25 40 0.1% of span or 1.0 °C
Millivolt Input –10 to 100 mV 3mV 0.025 mV + 0.003% of span
2-, 3-, 4-wire Ohm Input 0 to 2000 ohms 20 ohm 0.75 Ω+ 0.03% of span
(1) No minimum or maximum span restrictions within the input ranges. Recommended minimum span will hold noise within accuracy specification with damping
at zero seconds.
(2) Total digital accuracy for thermocouple measurement: sum of digital accuracy +0.5 °C (cold junction accuracy)
(3) Accuracy for NIST Type B thermocouple is ±3.0 °C from 100 to 300 °C.

Rosemount Models 244EH and 244ER PC-Programmable Temperature Transmitters
A-4
Ambient Temperature Effect Transmitters can be installed in locations where the ambient
temperature is between –40 and 85 °C (–40 and 185 °F). At the factory,
each transmitter is individually characterized over this ambient
temperate range. This special manufacturing technique is
accomplished through hot and cold temperature profiling with
individual adjustment factors programmed into each transmitter. The
transmitters automatically adjust for component temperature drift
caused by changing environmental conditions.
When using a Type J thermocouple with a –50 °C to 600 °C
temperature range at an ambient temperature of 60 °C and a reading of
–25 °C, the ambient temperature effect according to °C is: [fixed value
(a) + (% of reading (b) 3 reading) + (% of span (c) 3 span)] = [0.006 + (–
0.000025 3 (–25)) + (0.00001 3 650)] = 0.013 °C per °C. With the
ambient temperature 40 °C above reference condition temperature, the
total ambient temperature effect is: 40 3 0.013 = 0.52 °C.
When using a Type J thermocouple with a –50 °C to 600 °C
temperature range at an ambient temperature of 60 °C and a reading of
525 °C, the ambient temperature effect according to °C is:[fixed value
(a) + (% of reading (b) 3 reading) + (% of span (c) 3 span)] = [0.006 +
(0.0000054 3 525) + (0.00001 3 650)] = 0.015 °C per °C. With the
ambient temperature 40 °C above reference condition temperature, the
total ambient temperature effect is: 40 3 0.015 = 0.6 °C.
The worst case error would be: Reference Accuracy + CJC Accuracy +
Temp Effects = 0.65 °C + 0.5 °C + 0.52 °C = 1.67 °C. Total Probable
Error:
TABLE A-3. Models 244E Ambient Temperature Effects per 1 °C (1.8 °F)
Sensor Options(1) Fixed Value % of reading %ofSpan
(if reading > 0) (if reading is < 0)
2-, 3-, 4-wire RTDs
PT 100 (α= 0.00385) 0.003 °C — — +0.001% of span
Pt 100 (α= 0.003916) 0.003 °C — — 0.001% of span
Pt 200 0.004 °C — — 0.001% of span
Pt 500 0.003 °C — — 0.001% of span
Pt 1000 0.003 °C — — 0.001% of span
Ni 120 0.003 °C — — 0.001% of span
Cu 10 0.03 °C — — 0.001% of span
Thermocouples
Type B (100 °C ≤ reading <300°C) 0.064 °C –0.011 —0.001% of span
(300 °C ≤ reading < 1000 °C) 0.040 °C –0.025 —0.001% of span
(reading ≥ 1000 °C) 0.014 °C — — 0.001% of span
Type E 0.005 °C –0.00043 –0.0043 0.001% of span
Type J, K, DIN L 0.006 °C –0.00054 –0.0025 0.001% of span
Type N 0.007 °C –0.00036 —0.001% of span
Type R, S (reading < 200 °C) 0.023 °C –0.0036 —0.001% of span
(reading ≥ 200 °C) 0.016 °C — — 0.001% of span
Type T, DIN U 0.007 °C — –0.043 0.001% of span
Type W5Re/W26Re 0.023 °C –0.0036 —0.001% of span
0.016°C —
Millivolt Input 0.0005 mV — — 0.001% of span
2-, 3-, 4-wire Ohm 0.0084 Ω— — 0.001% of span
(1) Change in ambient is with reference to the calibration temperature of the transmitter 68 °F (20 °C) from factory.
0.6520.520.522
++ 0.97°C=

A-5
Physical Electrical Connections
Materials of Construction
Mounting
The Model 244EH installs in a connection head or universal head
mounted directly on a sensor assembly, apart from a sensor assembly
using a universal head, or to a DIN rail using an optional mounting
clip. The Model 244ER mounts directly to a wall or to a DIN rail.
Weight
Enclosure Ratings
Option codes J5 and J6 are NEMA 4X, IP66, and IP68.
Option code J6 is CSA Enclosure Type 4X
Model 244EC Configuration
Interface Power Supply
To meet CSA ordinary location approval requirements, the wall power
adapter must be CSA listed with a Class 2 output. To meet FM ordinary
location approval requirements, the wall power adapter must be listed
by a Nationally Recognized Test Laboratory (such as FM or UL) with a
Class 2 output.
Ambient Temperature Limits
32 to 104 °F (0 to 40 °C)
Humidity Limits
0 to 99% relative humidity, non-condensing
Power and Sensor Terminals
Model 244EH Compression screws permanently
fixed to terminal block
Clips permanently fixed to
terminal block
Model 244ER: Compression screw permanently
fixed to front panel
Clips permanently fixed to
front panel
WAGO®spring clamp terminals are optional (option code G5)
Construction Material for the Electronics Housing and Terminal Block
Model 644H
Noryl
®glass reinforced
Model 644R:
Lexan
®polycarbonate
Code Options Add(1)
(1) All weights are in grams (ounces).
Model 244EH Head Mount 78 (2.75)
J5, J6 Universal Head 520 (18.43)
Model 644R Rail Mount 173 (6.10)
9 V dc battery or wall adapter
Output voltage rating: 8to12Vdc
Output current rating: 100 mA minimum
Connector: 3.5 mm diameter male plug, positive tip, negative sleeve

Rosemount Models 244EH and 244ER PC-Programmable Temperature Transmitters
A-6
ORDERING INFORMATION
TABLE A-4. Model 244EH and 244ER Temperature Transmitter Ordering Information
•= Available
— = Not available
Model Product Description Head
Mount Rail
Mount
244EH Head Mount Temperature Transmitter •—
244ER Rail Mount Temperature Transmitter — •
Code Hazardous Area Certifications Enclosure Purchase
Required? Head
Mount Rail
Mount
E5 FM Explosion-Proof Approval Yes •—
I5 FM Intrinsic Safety and Non-Incendive Approval No* • •
K5 FM Intrinsic Safety, Non-Incendive, and Explosion-Proof Approval Combination Yes •—
I6 CSA Intrinsic Safety and Non-Incendive Approval No* • •
C6 CSA Intrinsic Safety, Non-Incendive, and Explosion-Proof Approval Combination Yes •—
N1 CENELEC/BASEEFA Type n Approval Yes • —
ED CENELEC/KEMA Flameproof Approval Yes • —
I1 CENELEC/BASEEFA Intrinsic Safety Approval No* • •
E7 SAA Flameproof Approval.
Consult factory for availability.
Yes • —
N7 SAA Type N Approval.
Consult factory for availability
Yes • —
I7 SAA Intrinsic Safety Approval.
Consult factory for availability.
No* • •
NA No Approval No* • •
* Transmitters with intrinsic safety approvals can be ordered without enclosures. However, to meet intrinsic safety requirements, the transmitter must be installed in
an enclosure with IP20 or higher rating. Model 244EH transmitters ordered with enclosure options J5 or J6 meet this requirement.
Code Options
Assembly Options (Model 244EH Only)
X1 Assemble Transmitter to a Sensor Assembly (hand tight,
Teflon
®(PTFE) tape where appropriate, fully wired) • —
X2 Assemble Transmitter to a Sensor Assembly (hand tight, no
Teflon
(PTFE) tape, unwired) • —
X3 Assemble Transmitter to a Sensor Assembly (wrench tight,
Teflon
(PTFE) where appropriate, fully wired) • —
Note: If ordering X1, X2, X3, specify the same code on the sensor model number.
Option codes X1 and X3 are not available with CSA Approvals (Hazardous Area Certifications C6 or I6)
Enclosure Options
Threaded Style Temperature Sensor Users (Americas and Asia Pacific)
Remote/Integral Mount
J6 Universal Head (Junction Box), Aluminum Alloy with 2-in. SST Pipe Bracket (M20 Entries) • —
DIN Plate Style Temperature Sensor Users (EMEA-Europe, Middle East, and Africa)
Remote Mount
J5 Universal Head (Junction Box), Aluminum Alloy with 2-in. SST Pipe Bracket (M20 Entries) • —
J6 Universal Head (Junction Box), Aluminum Alloy with 2-in. SST Pipe Bracket (1/2–14 NPT Entries) • —
Integral Mount
*****Order connection head through Volume 2 of the Rosemount Temperature Sensor and Accessories Product Data Sheet
(document number 00810-0101-2654) sensor model number*****
Configuration Options
A1 Analog Output Levels Compliant with NAMUR-Recommendations NE 43:June 1997 • •
CN Analog Output Levels Compliant with NAMUR-Recommendations NE 43: June 1997: Alarm Configuration Low • •
F6 60 Hz Line Voltage Filter • •
Calibration Options
C4 5-Point Calibration.
Use Q4 option to generate a calibration certificate
• •
Q4 Calibration Certificate.
3-Point standard; use C4 with Q4 option for a 5-point calibration certificate.
• •
Accessory Options (Model 244EH only)
G1 External Ground Screw.
Only available with enclosure options J5 or J6
. • —
G2 Cable Gland.
Only available with option code J5.
• —
G3 Cover Chain.
Only available with enclosure options J5 or J6. Not available with LCD meter option code M5.
• —
G5
WAGO
Spring Clamp Terminals • —
Typical Model Number – Americas and Asia Pacific: 244EH E5 X1 J6 F6
Typical Model Number – Europe, Middle East, Africa: 244EH ED X1

A-7
TABLE A-5. Model 244EC Configuration Interface Ordering Information
•= Available
— = Not available
Model Product Description 244EH
244EC Model 244EC Configuration Interface Hardware and Software •
Typical Model Number: 244EC
TABLE A-6. Transmitter Accessories
Part Description Part Number
Aluminum Allow Universal Head, Standard Cover—M20 Entries 00644-4420-0002
Aluminum Allow Universal Head, Standard Cover—1/2-14 NPT Entries 00644-4420-0001
Ground Screw Assembly Kit 00644-4431-0001
Models 244EH and 244ER Configuration Software (Four 3.5” Diskettes) 00244-3401-0003
Black
MINIGRABBER
™Configuration Lead C539920001
Red
MINIGRABBER
Configuration Lead C539920002
Universal Clip for Rail or Wall Mount (Model 244ER only) 03044-4103-0001
Kit, Hardware for Mounting a Model 244EH to a DIN rail (includes clips for symmetrical and asymmetrical rails) 00644-5301-0010
Kit, Hardware for Retrofitting a Model 244EH in an existing Threaded Sensor Connection Head (former option code L1) 00644-5321-0010
24 Inches of Symmetric (Top Hat) Rail 03044-4200-0001
24 Inches of Asymmetric (G) Rail 03044-4201-0001
Ground Clamp for symmetric or asymmetric rail 03044-4202-0001
End Clamp for symmetric or asymmetric rail 03044-4203-0001
Blank Transmitter Configuration Labels (sheet of 48) 00644-5154-0001
Snap Rings Kit (used for assembly to DIN sensor) 00644-4432-0001

Rosemount Models 244EH and 244ER PC-Programmable Temperature Transmitters
A-8
Ordering Flameproof and
Explosion-proof Approvals
for Temperature
Assemblies
Both flameproof and explosion-proof protection depend on the enclosure
type. Compliance with flameproof and explosion-proof approvals
requires an appropriately approved assembly, including the sensor. The
Model 244EH requires an appropriate enclosure for approved use in
locations requiring flameproof or explosion-proof installations.
Orders that include enclosure options J5 or J6 must be ordered from
the Model 244EH ordering information table.
When ordering a complete DIN style assembly, select the appropriate
connection head from Volume 2 of the Rosemount Temperature Sensors
and Accessories PDS (document number 00813-0101-2654).
Standard Configuration
Unless specified, transmitter will be shipped as follows:
Custom Configuration
The transmitter can be ordered with custom configuration. Use
Table A-7 to determine the requirements when specifying the custom
configuration.
Tagging
Standard Configuration(1)
(1) All standard configuration settings may be changed in the field with the Model
244EC Configuration Interface.
Sensor Type: RTD, PT 100 (α= 0.00385, 4-wire)
4 mA Value: 0°C
20 mA Value: 100 °C
Damping: 5 seconds
Failure Mode: High/Upscale
LIne Voltage Filter: 50 Hz
Tag See “Tagging” below
TABLE A-7. Custom Configuration Requirements/Specification.
Option Code Requirements/Specification
A1: NAMUR-compliant See Table A-1 on page A-2
CN: NAMUR-Compliant, Low Alarm See Table A-1 on page A-2
C4: Five Point Calibration Will include five-point calibration at 0, 25, 50, 75,
and 100% analog and digital output points. Use
with Rosemount Calibration Certificate Q4.
F6: 60 Hz Line Filter Calibrated to a 60 Hz line voltage filter instead of
the standard 50 Hz filter
Hardware Tag Software Tag
• No charge
• Tagged in accordance with customer
requirements
• Tags are adhesive labels
• Permanently attached to transmitter
• Character height is
1/16-in (1.6 mm)
• The transmitter can store up to 30
characters in its memory
• Transmitter can be ordered with different
software and hardware tags
• If the software tag characters are not
specified, the software tag will default
to the first 30 characters of the
hardware tag.

A-9
DIMENSIONAL DRAWINGS
Transmitter
Enclosure and Model 244EC Configuration Interface
Model 244ER Model 244EH
Shown with Standard Compression Screw Terminals
Shown with WAGO®Spring Clamp Terminals
Dimensions are in millimeters (inches)
36
(1.4)
104
(4.1)
82
(3.2)
Sensor Terminals
Power Terminals
644-1105E01A. 1101A01A
644-1360B02A
33 (1.30)
WAGO
®Spring
Clamp Sensor
Terminals
24 (1.0)
Power Terminals
Communication
Terminals Failure Mode Switch
33 (1.3)
60 (2.4)
Standard Sensor
Terminals
Communication
Terminals
644-1360A02A
Failure Mode
Switch
34 (1.33)
60 (2.4)
33 (1.3)
Power
Terminals
24 (1.0)
Threaded-Sensor Universal
Head (option code J5 or J6)(1) Integral DIN Style Sensor
Connection Head(2) Model 244EC
Configuration Interface
Dimensions are in millimeters (inches)
(1) A “U” Bolt is shipped with each universal head unless assembly option code X1, X2, or X3 is ordered.
However, since the head can be integrally mounted to the sensor, it may not need to be used.
(2) Note: The DIN Style Integral sensor connection head is only available through Volume 2 of the sensors product data sheet.
95 (3.74)
96 (3.76)
112 (4.41)
SST “U” Bolt
Mounting,
2-inch Pipe
Label
75 (2.93)
1
04 (4.09)
100 (3.93)
7
8
(
3.06
)
0.61 m (2 ft)
Configuration Leads
38 (1.5)
1.83 m (6 ft) Ribbon Cable
84 (3.3)
114 (4.5)
644-4420A02A, 4410AO1A, 3300A01A

Appendix
B-1
Appendix
BApprovals
SafetyMessages ................................pageB-1
Hazardous Locations Installations . . . . . . . . . .........pageB-1
LocationsCertifications ..........................pageB-2
InstallationDrawings .............................pageB-4
SAFETY MESSAGES Instructions and procedures in this section may require special
precautions to ensure the safety of the personnel performing the
operations. Information that raises potential safety issues is indicated
by a warning symbol ( ). Please refer to the following safety messages
before performing an operation preceded by this symbol.
HAZARDOUS LOCATIONS
INSTALLATIONS The Models 244E are available with circuitry that is suitable for
intrinsically safe operation. The Model 244EH is available with
optional explosion-proof enclosures and can be specified for
non-incendive operation. Individual transmitters are clearly marked
with a tag indicating the approvals they carry.
To maintain certified ratings for installed transmitters, they must be
installed in accordance with all applicable installation codes and
approval drawings. Verify that the operating atmosphere of the
transmitter is consistent with the appropriate hazardous locations
certification.
IMPORTANT
Once a device labeled with multiple approval types is installed, it
should not be reinstalled using any of the other labeled approval types.
To ensure this, the approval label should be permanently marked to
distinguish the used from the unused approval type(s).
Once a device labeled with multiple approval types is installed, it should not be
reinstalled using any of the other labeled approval types. To ensure this, the approval
label should be permanently marked to distinguish the used from the unused
approval type(s).

Rosemount Models 244EH and 244ER PC-Programmable Temperature Transmitters
B-2
LOCATIONS
CERTIFICATIONS Factory Mutual (FM) Approvals
E5 Explosion-Proof for Class I, Division 1, Groups B, C, and D.
Dust-Ignition Proof for Class II, Division 1, Groups E, F, and G.
Dust-Ignition Proof for Class III, Division 1 hazardous locations
when installed in accordance with Rosemount Drawing
00644-1049. Non-Incendive for Class I, Division 2, Groups A, B, C,
and D. Ambient temperature limits: –50 to 85 °C. Conduit seal not
required for compliance with NEC 501-5a(1). Temperature Code
T5 (Tamb = 85 °C)
NOTE:
Approval E5 is only available with 244EH option codes J5 and J6.
I5 Intrinsically Safe for Class I, II, III, Division 1, Groups A, B, C, D,
E, F, G; Non-incendive for Class I, Division 2, Groups A, B, C, D.
Ambient temperature limits: –50 to 60 °C when installed in
accordance with Rosemount Drawing 00644-0009.
FM Entity Parameters: See installation drawing identified on the
transmitter approval label and Appendix C: Models 644 and 244E
Temperature Transmitters Manual Supplement for entity
parameters.
K5 Combination of E5 and I5
NOTE:
Approval K5 is only available with Model 244EH option codes
J5 and J6.
Canadian Standards Association (CSA) Approvals
I6 Intrinsically safe for Class I, Division 1, Groups A, B, C, and D
when connected in accordance with Rosemount drawing
00644-1064 (see Appendix C: Models 644 and 244E Temperature
Transmitters Manual Supplement for connection parameters).
C6 Combination of I6 and the following: Explosion-Proof for Class I,
Division 1, Groups C and D. Dust-ignition proof for Class II,
Division 1, Groups E, F, and G.
Dust-ignition proof for Class III, Division 1 hazardous locations
when installed in accordance with Rosemount Drawing
00644-1059. Suitable for Class I, Division 2, Groups A, B, C, and D
(must be installed in a suitable enclosure).
NOTE:
Approval C6 is only available with Model 244EH option code J6.

B-3
KEMA Approvals
ED ATEX II 2 G
Flameproof (Zone 1) (Model 244EH only)
EEx d IIC T6 (Tamb = –40 to 65 °C).
NOTE:
Flameproof certification is only available as a complete assembly with
Rosemount universal head – option codes J5 or J6.
British Approvals Service for Electrical Equipment in Flammable
Atmospheres (BASEEFA) Approvals
I1 ATEX II 1 G
Intrinsically Safe Operation (Zones 0)
EExia IIC T6 (Tamb = –60 to 40 °C)
EExia IIC T4 (Tamb = –60 to 80 °C)
Entity Parameters: See appropriate approval certificate and
Appendix C: Models 644 and 244E Temperature Transmitters
Manual Supplement for entity parameters.
Special Conditions for Safe Use (X):
The transmitter must be installed so that its external terminals
and communication pins are protected to at least IP20.
N1 ATEX II 3 G
Type ‘nL’ Operation Non-Incendive Approval (Zone 2 only)
Ex nL IIC T5 (Tamb = 70 °C)
(Type ‘nL’ certification is only available as a complete assembly
with the Rosemount universal head, thermometer,
and thermowell.)
Standard Australia Quality Assurance Service (SAA)
NOTE
Consult factory for SAA availability.
I7 Intrinsic Safety,
Ex ia IIC T6 (Tamb = –40 to 40 °C)
Ex ia IIC T4 (Tamb = –40 to 70 °C)
Entity Parameters: See appropriate approval certificate
Special Conditions for Safe Use (X):
The transmitter must be installed so that its external terminals
and communication pins are protected to at least IP20.

Rosemount Models 244EH and 244ER PC-Programmable Temperature Transmitters
B-4
N7 Type N Approval,
Ex n IIC T5 (Tamb = 70 °C)
Special Conditions for Safe Use (X):
The assembly must be installed such that its external terminals
and communication pins are protected to at least the requirements
of IP54.
E7 Flameproof Approval (Model 244EH only)
Ex d IIC T6
NOTE:
Flameproof certification is only available as a complete assembly with
Rosemount universal head – option codes J5 or J6.
Gostandart
Tested and approved by the Russian Metrological Institute
GOSTANDART.
The Model 244EC Configuration Interface is approved for Factory
Mutual (FM) and Canadian Standards Association (CSA) Ordinary
Locations
INSTALLATION
DRAWINGS The installation guidelines presented by the drawings must be followed
in order to maintain certified ratings for installed transmitters.
Rosemount Drawing 00644-1064, 1 Sheet,
Canadian Standards Association Intrinsic Safety Installation Drawing
Rosemount Drawing 00644-1059, 1 Sheet;
Canadian Standards Association Explosion-Proof Installation Drawing
Rosemount Drawing 00644-0009, 1 Sheet
Factory Mutual Intrinsic Safety Installation Drawing
Rosemount Drawing 00644-1049, 1 Sheet;
Factory Mutual Explosion-proof Installation Drawing
IMPORTANT
Once a device labeled with multiple approval types is installed, it
should not be reinstalled using any of the other labeled approval types.
To ensure this, the approval label should be permanently marked to
distinguish the used from the unused approval type(s).

B-5
Figure B-1. Canadian Standards
Association (CSA) Intrinsic Safety
Installation Drawing 00644-1064,
Rev. AB

Rosemount Models 244EH and 244ER PC-Programmable Temperature Transmitters
B-6
Figure B-2. Canadian Standards
Association (CSA) Explosion-Proof
Installation Drawing 00644-1059,
Rev. AA
644-1059A01A

B-7
Figure B-3. Factory Mutual (FM)
Intrinsic Safety Installation Drawing
00644-0009, Rev. AA
644-0009A01A

Rosemount Models 244EH and 244ER PC-Programmable Temperature Transmitters
B-8
Figure B-4. Factory Mutual (FM)
Explosion-Proof Installation Drawing
00644-1049, Rev. AB
644-1049A01A

Appendix
C-1
Appendix
CModels 644 and 244E
Temperature Transmitters
Manual Supplement
OldTransmitter..................................pageC-2
NewTransmitter .................................pageC-3
Specifications ...................................pageC-4
This manual supplement is intended to indicate the primary differences
between the old and new Models 644 and 244E. These differences are
as follows:
• Transmitter design
• Sensor Wiring Diagrams
• Special Mounting Considerations
• Specifications

Rosemount Models 244EH and 244ER PC-Programmable Temperature Transmitters
C-2
OLD TRANSMITTER
OLD TRANSMITTER
Transmitter Design
Sensor Wiring Diagrams
Special Mounting
Considerations
Models 644H and 244EH Models 644R and 244ER
Two Mounting Holes
Models 644 and 244E
* Rosemount Inc. provides 4-wire sensors for all single element RTDs. You can use these RTDs in
3-wire configurations by leaving the unneeded leads disconnected and insulated with
electrical tape.
** The transmitters must be configured for a 3-wire RTD in order to recognize an RTD with a
compensation loop.
644-0000B01B
12341234 12 34 12
3
41234
2-wire
RTD and
V
3-wire
RTD
and V
4-wire
RTD
and V
T/C and
mV
RTD with
Comp.
Loop
1
***
Mounting a Model 644H to a DIN Rail G-Rail Top Hat Rail
1. Assemble the appropriate rail clip (part number
00644-5301-0001).
2. Attach the transmitter to a rail or panel.
3. Attach the thermowell to the pipe or process container wall
and attach sufficient lengths of sensor lead wire. Tighten
the connection head cover.
4. Run the sensor lead wires from to the sensor and set the
transmitter failure mode switch.
5. Attach the sensor and power leads to the transmitter.
UsewithanExistingThreadedSensorConnectionHead
To mount the Models 644H and 244EH in an existing L1 connection
head, assemble the Model 644H retrofit kit (part number
00644-5321-0001) to the transmitter as shown. Then mount the
assembly in the connection head.
644-5301B01B,D01B
Kit includes replacement
bracket and screw
644-644-5051A01A

C-3
NEW TRANSMITTER
NEW TRANSMITTER
Transmitter Design
Sensor Wiring Diagrams
Special Mounting
Considerations
HART Communicator
(Model 644H only)
To guarantee proper transmitter functionality and communication, your Model
275 HART Communicator should contain device revision Dev v5 DD v2 or
higher. To check software device revision,
1. Turn on the communicator.
2. Select 1 Off-line, 1 New Configuration, Rosemount, 644 Temp
If you do not have this device revision, contact your local Rosemount
representative for information on receiving an upgrade.
Models 644H and 244EH Models 644R and 244ER
Captive Mounting Screws and Springs
Meter Connector
(Model 644H only)
Hole in Middle
of Transmitter
644, 244-1360A02B
Models 644 and 244E
* Rosemount Inc. provides 4-wire sensors for all single element RTDs. You can use these RTDs in
3-wire configurations by leaving the unneeded leads disconnected and insulated with
electrical tape.
** The transmitters must be configured for a 3-wire RTD in order to recognize an RTD with a
compensation loop.
1234
234 12 34 12
3
41234
2-wire
RTD
and V
3-wire
RTD
and V
4-wire
RTD
and V
T/C and
mV
1
***
RTD with
Comp.
Loop
644-0000B01C
UsewithanExistingDINPlateStyleSensor
1. Secure the bottom of the mounting screw sleeve
with pliers. Remove the mounting screws and
springs.
2. Once the springs are removed, use the new
transmitter mounting screws to assembly
the transmitter to the DIN plate and connection
head. (Optional snap rings (part number
00644-4432-0001) are available to ease installation
to the existing DIN plate style sensor.)
UsewithanExistingThreadedSensorConnectionHead
To mount the new Models 644H or 244EH to the existing
threaded sensor connection head (former option code L1),
order the models 644H and 244EH retrofit kit (part number
00644-5321-0010). The fit includes a new mounting
bracket and all associated hardware necessary to facilitate
the installation of the Models 644H and 244EH into the
existing head.
Mounting
Springs
and
Screws
Mounting
Screw
Sleeves
SENSORS-0000A02B
Model 644H or
Model 244EH
Existing
Threaded Sensor
Connection Head
Kit includes
replacement bracket
and screw
644-644-5321A01A,

Rosemount Models 244EH and 244ER PC-Programmable Temperature Transmitters
C-4
SPECIFICATIONS
Old New
BASEFFA(1) Intrinsically Safe Installation Entity Parameters:
Power Loop Umax:in 30 V dc 30Vdc
Imax:in 200 mA 200 mA
Group II C
Zones 0 and 1 Wmax:in 1.0 W 1.0 W 0.67 W
•T5(–40≤Ta≤40 °C) • • T5(–60≤Ta≤40 °C) •T6(–60≤Ta≤40 °C)
•T4(–40≤Ta≤80 °C) • • T4(–60≤Ta≤80 °C) •T5(–60≤Ta≤50 °C)
Ceq 13.4 nF 10 nF
Li0µH 0 µH
Sensor Uo24.2 V dc 13.6 V dc
Io33 mA 80 mA
Po0.2 W 0.08 W
Cable Load IIC IIB IIA IIC IIB IIA
Co(µF) 0.2 0.6 1.6 0.7 5.1 18.5
Lo(mH) 31 93 248 52348
Special Conditions for Safe Use: The apparatus must be installed such that its external terminals and
the communication pins are protected to at least IP20. Special Conditions for Safe Use: The apparatus must be installed in an enclosure which
affords it a degree of protection of at least IP20. Non-metallic enclosures must have
a surface resistance of less than 1 G
Ω
, light alloy or zirconium enclosures must be
protected from impact and friction when installed.
CSA(2) Intrinsically Safe Installation Connection Parameters:
Class I
Div. 1
Groups A, B, C,
and D
• 30 V or less, 330 ohms or more T6 (– 50 ≤Ta≤40 °C) • 30 V or less, 340 ohms or more
T5 (– 50 ≤Ta≤60 °C) • 28 V or less, 300 ohms or more T5 (– 50 ≤Ta≤60 °C) • 28 V or less, 300 ohms or more
• 25 V or less, 200 ohms or more • 25 V or less, 240 ohms or more
• 22 V or less, 180 ohms or more • 22 V or less, 190 ohms or more
T4 (– 50 ≤Ta≤80 °C) • 30 V or less, 330 ohms or more
• 28 V or less, 250 ohms or more
• 25 V or less, 240 ohms or more
• 22 V or less, 190 ohms or more
Class I
Div. 1
Groups C and D
• 30 V or less, 150 ohms or more T4 (– 50 ≤Ta≤80 °C) • 30 V or less, 230 ohms or more
• 28 V or less, 200 ohms or more
• 25 V or less, 160 ohms or more
Factory Mutual(3) Intrinsically Safe Installation Entity Parameters:
Power Loop Vi30 V dc 30Vdc
Ii250 mA 240 mA
Class I, II, and III
Div. 1
Groups A, B, C, D,
E, F, and G
Pi1.0 W 1.0 W 0.67 W
•T5(–50≤Ta≤60 °C) • • T5 (– 50 ≤Ta≤40 °C) • T6 (– 50 ≤Ta≤40 °C)
• • T4 (– 50 ≤Ta≤80 °C) • T5 (– 50 ≤Ta≤50 °C)
Ci0.008 µF 0.010 µF
Li0µH 0 µH
Sensor Vt10.7 V dc 13.6 V dc
It15.3 mA 22 mA
Po0.04 W 0.11 W
Ca2.23 µF 0.8 µF
La140 mH 60.0 mH
(1) For more information see approval certificate, Old: Model 644H: 95C2010X, Model 244E: 95C2019X; New: Model 644H: BAS00ATEX1033X, Model 244E:
BAS00ATEX1034X
(2) For more information see Rosemount drawing 00644-1040, Rev. B (old) and 00644-1064, Rev AB (new).
(3) For more information see Rosemount drawing 00644-1056, Rev. B (old) and 00644-0009, Rev AA (new)

I-1
Index
A
Alarm
see Failure mode
Ambient Temperature . . . . . . . .A-4
Approvals . . . . . . . . . . . . . . . . .B-1
C
Changing Switch Positions . . . 2-16
Configuration . . . . . . . . . . . . . . 3-2
244EC Interface
Ambient temperature . .A-5
Humidity limits . . . . . .A-5
Custom . . . . . . . . . . . . . . .A-8
Process variable . . . . . . . . . 3-5
Single Transmitter . . . . . . . 3-3
Standard . . . . . . . . . . . . . .A-8
Transmitters identically . . . 3-4
Configuration Interface . . . . . . 2-11
Considerations . . . . . . . . . . . . . 1-3
Electrical . . . . . . . . . . . . . . 1-3
Environmental . . . . . . . . . . 1-3
General . . . . . . . . . . . . . . . 1-3
Mechanical . . . . . . . . . . . . 1-3
D
Dimensional Drawings . . . . . . .A-9
Configuration interface . . . .A-9
Enclosure . . . . . . . . . . . . . .A-9
Transmitter . . . . . . . . . . . .A-9
E
Electrical considerations . . . . . . 1-3
Electrical connections . . . . .A-5
Surges and transients . . . . 3-1
Enclosure Ratings . . . . . . . . . . .A-5
Environmental considerations . . 1-3
F
Failure Mode . . . . . . . . . 2-16,A-2
Change switch position . . . 2-16
Switch . . . . . . . . . . . . . . . 2-16
Failure mode . . . . . . . . . . . . . 2-12
Field Wiring . . . . . . . . . . . . . . 2-12
Diagrams . . . . . . . . . . . . . 2-13
Sensor connections . . . . . . 2-13
G
General considerations . . . . . . . 1-3
Grounding . . . . . . . . . . . . . . . . 3-2
H
Humidity
244EC, limits for . . . . . . . . A-5
Transmitters . . . . . . . . . . . A-2
I
Inputs
RTD or Ohm . . . . . . . . . . 2-13
Thermocouple or Millivolt 2-15
Installation . . . . . . . . . . . . . . . 2-1
Existing threaded sensor . . 2-4
Flowchart . . . . . . . . . . . . . 2-2
Head mount transmitters . . 2-6
DIN plate style sensor . 2-5
Threaded Sensor . . . . . 2-6
Mounting to a DIN rail . . . 2-4
Procedures . . . . . . . . . . . . 2-5
Configuration software 2-9
Interface . . . . . . . . . . 2-11
Multichannel . . . . . . . 2-9
Transmitter . . . . . . . . 2-5
Rail clip hardware . . . . . . . 2-4
Rail mount transmitters . . 2-8
Integral mount sensor . 2-7
Threaded sensor . . . . . 2-8
Tools . . . . . . . . . . . . . . . . . 2-2
Installation Drawings . . . . . . . B-4
Intermittent Sensor Algorithm . 3-5
Advanced feature . . . . . . . . 3-8
Case Examples . . . . . . . . . 3-6
Damping . . . . . . . . . . . . . . 3-7
Implementation . . . . . . . . . 3-9
Introduction . . . . . . . . . . . . . . . 1-1
L
Locations Certifications . . . . . . B-2
M
Maintenance . . . . . . . . . . . . . . 4-1
Manual Overview . . . . . . . . . . . 1-2
Manual Supplement . . . . . . . . . C-1
Mechanical considerations . . . . 1-3
Mounting . . . . . . . . . . . . . . . . . 2-3
Special . . . . . . . . . . . . . . . 2-4
Mounting Considerations
Existing threaded sensor . . 2-4
Mounting to a DIN rail . . . 2-4
O
Operation . . . . . . . . . . . . . . . . 3-1
Ordering
Information . . . . . . . . . . . A-6
Ordering Information
Accessories . . . . . . . . . . . . A-7
Configuration Interface . . . A-7
Table . . . . . . . . . . . . . . . . A-6
P
Power Supply . . . . . . . . . .3-1,A-1
Grounding . . . . . . . . . . . . .3-2
Surges . . . . . . . . . . . . . . . .3-1
Transients . . . . . . . . . . . . .3-1
Process variable
Viewing . . . . . . . . . . . . . . .3-5
S
Sensor Connections . . . . . . . . .2-13
Diagram . . . . . . . . . . . . . .2-15
RTD or Ohm . . . . . . . . . . .2-13
Thermocouple or Millivolt .2-15
Sensor Terminals . . . . . . . . . .2-16
Software
Installation . . . . . . . . . . . .2-10
Requirements . . . . . . . . . . .2-9
Screen conventions . . . . . .2-11
Troubleshooting . . . . . . . . .4-1
Specifications
Configuration interface . . . A-5
Transmitter . . . . . . . . . . . A-1
Functional . . . . . . . . . A-1
Performance . . . . . . . . A-2
Physical . . . . . . . . . . . A-5
Stability . . . . . . . . . . . . . . . . . A-2
Surges
see Electrical considerations
T
Tagging . . . . . . . . . . . . . . . . . . A-8
Temperature
Rise vs. extension length . . .2-3
Transients
see Electrical considerations
Troubleshooting . . . . . . . . . . . . .4-1
Software . . . . . . . . . . . . . . .4-1
U
Using This Manual . . . . . . . . . .1-1
W
Weight . . . . . . . . . . . . . . . . . . A-5

© Rosemount Inc., 2000
Rosemount Inc.
8200 Market Boulevard
Chanhassen, MN 55317
USA
Tel 1-800-999-9307
Fax (952) 949-7001
Fisher-Rosemount Limited
Heath Place
Bognor Regis
West Sussex PO22 9SH
England
Tel 44 (1243) 863 121
Fax 44 (1243) 867 5541
Fisher-Rosemount
Singapore Pte Ltd.
1 Pandan Crescent
Singapore 128461
Tel (65) 777-8211
Fax 65 777-0947
AP.RMT-Specialist@frco.com
P
R
I
N
T
E
D
IN
U.
S.
A.
¢00809-0100-4737f¤
00809-0100-4737 Rev EA 10/00
Product documentation available at...
www.rosemount.com
