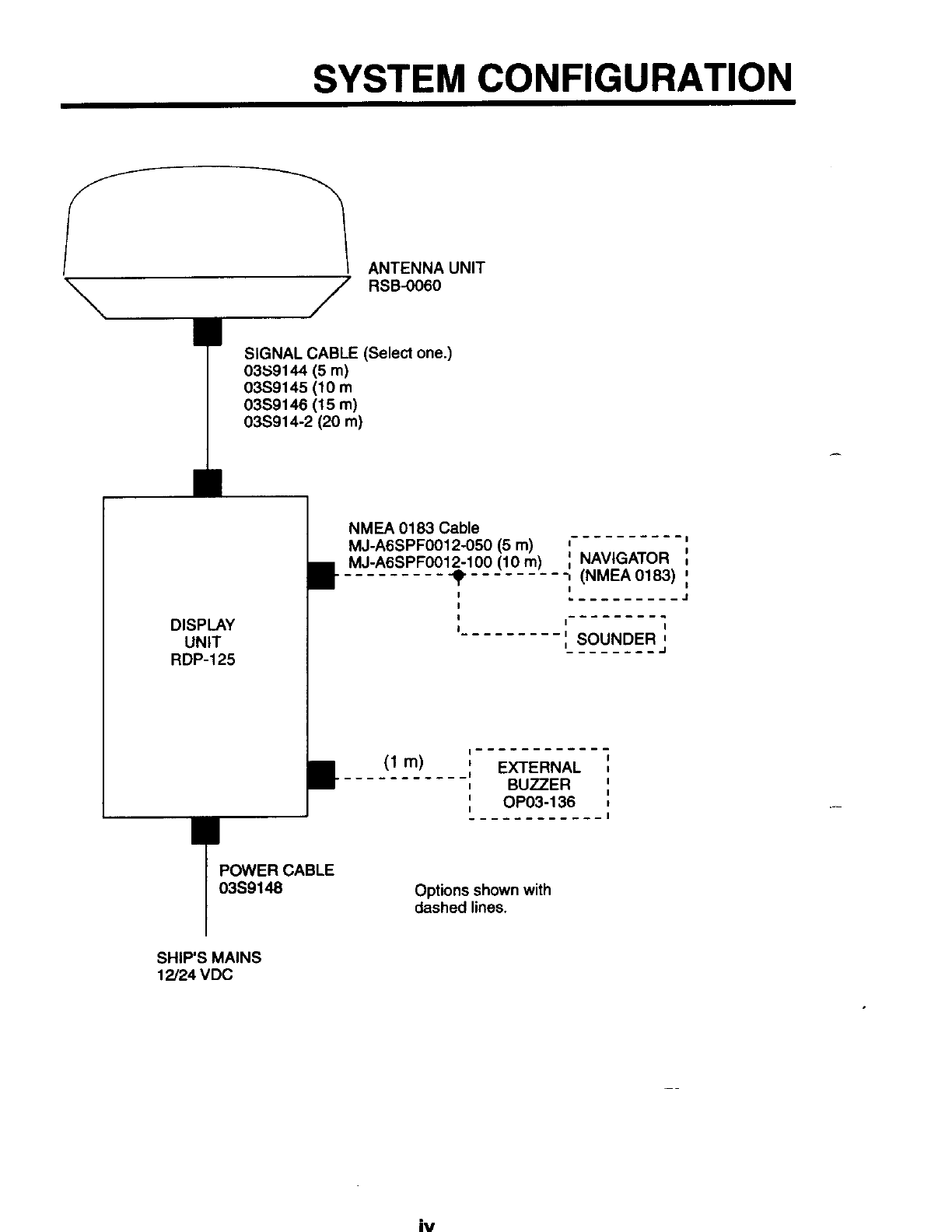
Furuno USA 9ZWRTR068 User Manual 70160
Furuno USA Inc 70160
UserManual.wiki
>
Furuno USA
>
9ZWRTR068 User Manual
>
9ZWRTR068 8b HTML Version
Contents
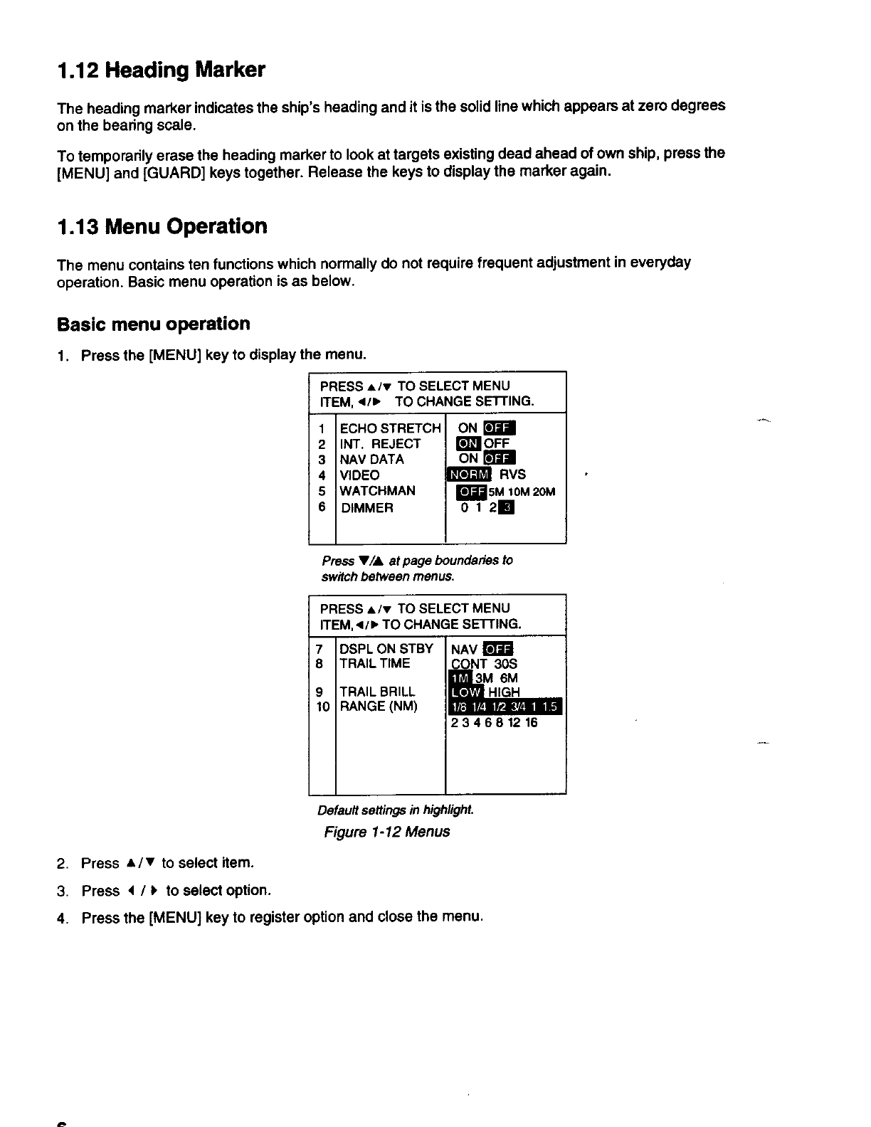
1.
8
2.
8a
3.
8b
8b
Navigation menu
Upload a User Manual
Namespaces
Wiki Guide
HTML
PDF
Info
Views
User Manual
Discussion / Help
Navigation