GS Instech PSELITE78B Public Safety Repeater User Manual PS ELITE7833B Ver 1 0 rev 1
GS Instech Co., Ltd. Public Safety Repeater PS ELITE7833B Ver 1 0 rev 1
PS-ELITE7833B_User Manual Ver 1.0_rev.1

GSInstech Co., Ltd
PS-ELITE7833
Installation and Operating Manual
Version 1.0
GSInstech Co., Ltd

GSInstech Co., Ltd
Revision History
Version
Author
Descriptions
Date
Remarks
1.0
S.M Ko
Draft
6 Nov 2017
Change List
Version
Change List
Remarks

GSInstech Co., Ltd
Index
1. FCC and IC Mandatory .................................................................................................................................................... 1
1.1 FCC Warning States............................................................................................................................................ 1
1.1.1 FCC Part 15.21 ........................................................................................................................................ 1
1.1.2 FCC Part 15.105 ..................................................................................................................................... 1
1.1.3 FCC Caution ............................................................................................................................................. 1
1.1.4 Radiation Exposure Statement ......................................................................................................... 1
1.1.5 FCC Warning Labels ............................................................................................................................. 1
1.2 ISED Warning state ............................................................................................................................................. 5
1.2.1 RSS-GEN, Sec. 7.1.2 – (transmitters) ........................................................................................... 5
1.2.2 RSS-GEN, Sec. 7.1.2 – (detachable antennas) ......................................................................... 5
1.2.3 RSS-131 Section 5.3 User Manual ................................................................................................. 5
1.2.4 RF Radiation Exposure ........................................................................................................................ 6
1.2.5 ISED warning label ................................................................................................................................. 6
1.3 Prohibitions .............................................................................................................................................................. 8
2. General Information .......................................................................................................................................................... 9
2.1 Repeater Information (FCC & ISED ID) ...................................................................................................... 9
2.2 Purpose ..................................................................................................................................................................... 9
2.3 Repeater Advantages ......................................................................................................................................... 9
2.4 Highlights .................................................................................................................................................................. 9
2.5 Exterior ................................................................................................................................................................... 10
2.6 Interior ..................................................................................................................................................................... 11
3. Specifications .................................................................................................................................................................... 14
3.1 US Frequency Allocation ................................................................................................................................ 14
3.1.1 US frequency ......................................................................................................................................... 14

GSInstech Co., Ltd
3.1.2 US Block Diagram ............................................................................................................................... 14
3.1.3 US Service Plan ................................................................................................................................... 14
3.2 Canada frequency ............................................................................................................................................. 15
3.2.1 Canada Block Diagram...................................................................................................................... 16
3.2.2 Canada Service Plan .......................................................................................................................... 16
3.3 Common Specifications .................................................................................................................................. 18
3.4 Mechanical Spec. .............................................................................................................................................. 19
4. Port and Connectors ...................................................................................................................................................... 20
4.1 RF Connector ...................................................................................................................................................... 20
4.2 AC Power Connector ....................................................................................................................................... 20
4.3 DC Battery Power Connector ....................................................................................................................... 22
4.4 External Alarm Port (Dry-Contact) .............................................................................................................. 23
4.5 Ethernet Port ........................................................................................................................................................ 25
5. LED and Alarm Information ........................................................................................................................................ 27
5.1 LED .......................................................................................................................................................................... 27
5.2 LED indicate for alarm ..................................................................................................................................... 27
6. Installation .......................................................................................................................................................................... 28
6.1 Installation ............................................................................................................................................................. 28
6.1.1 Antenna .................................................................................................................................................... 28
6.1.2 Isolation .................................................................................................................................................... 28
6.1.3 Equipment Needed for Repeater Setup ..................................................................................... 28
6.1.4 Check points before turning on the Repeater .......................................................................... 28
6.1.5 Open for Service .................................................................................................................................. 29
7. Web UI ................................................................................................................................................................................. 30
7.1 Setting up the Repeater .................................................................................................................................. 30

GSInstech Co., Ltd
7.1.1 Quick UI/Configuration ....................................................................................................................... 30
7.1.2 Quick Setup ............................................................................................................................................ 30
7.2 User Interface Configuration ......................................................................................................................... 31
7.2.1 Page Login .............................................................................................................................................. 31
7.2.2 RF Status................................................................................................................................................. 31
7.2.3 RF Configuration .................................................................................................................................. 33
7.2.4 Alarm Configuration ............................................................................................................................ 34
7.2.5 Fake Alarm Configuration ................................................................................................................. 35
7.2.6 Communication Configuration ........................................................................................................ 36
7.2.7 User Management ............................................................................................................................... 37
7.2.8 Alarm Log ................................................................................................................................................ 37
7.2.9 Log ............................................................................................................................................................. 38
7.2.10 Trouble Shooting .................................................................................................................................. 38
7.2.11 Remote Software Upgrade .............................................................................................................. 39
7.2.12 Factory Default Setting ...................................................................................................................... 40
7.2.13 Configuration transfer ......................................................................................................................... 40
7.3 Web UI Ranges Table ..................................................................................................................................... 41
7.4 Troubleshooting .................................................................................................................................................. 42
7.4.1 Simple Troubleshooting Method .................................................................................................... 42
7.4.2 Troubleshooting Guide Related to RF ........................................................................................ 42
7.4.3 Troubleshooting Guide Related to NMS .................................................................................... 43

GSInstech Co., Ltd
Abbreviations
Abbreviation
Term Definition
Remark
AGC
Automatic Gain Control
ALC
Automatic Level Control
BTS
Base Transceiver Station
CW
Continuous Wave (un-modulated signal)
DAS
Distributed Antenna System
DFM
Digital Filter Module
DL
Downlink The path covered from the BTS to the subscribers
service area via the repeater
FW
Firmware
HPA
High Power Amplifier
HW
Hardware
IF
Intermediate Frequency
LNA
Low Noise Amplifier
LTE
Long Term Evolution
MS
Mobile Station
PSU
Power Supply Unit
RF
Radio Frequency
RFU
Radio Frequency Drive Unit
SW
Software
UL
Uplink The path covered from the subscribers service area to
the BTS via the repeater
VSWR
Voltage Standing Wave Ratio

GSTeletech, Inc. 1
1. FCC and IC Mandatory
1.1 FCC Warning States
1.1.1 FCC Part 15.21
The user’s manual or instruction manual for an intentional or unintentional radiator shall
caution the user that changes or modifications not expressly approved by the party
responsible for compliance could void the user's authority to operate the equipment. In cases
where the manual is provided only in a form other than paper, such as on a computer disk or
over the Internet, the information required by this section may be included in the manual in
that alternative form, provided the user can reasonably be expected to have the capability to
access information in that form.
1.1.2 FCC Part 15.105
This equipment has been tested and found to comply with the limits for a Class A digital
device, pursuant to part 15 of the FCC Rules. These limits are designed to provide
reasonable protection against harmful interference when the equipment is operated in a
commercial environment. This equipment generates, uses, and can radiate radio frequency
energy and, if not installed and used in accordance with the instruction manual, may cause
harmful interference to radio communications. Operation of this equipment in a residential
area is likely to cause harmful interference in which case the user will be required to correct
the interference at his own expense.
1.1.3 FCC Caution
1) Any changes or modifications not expressly approved by the party responsible for
compliance could void the user's authority to operate this equipment. This transmitter
must not be co-located or operating in conjunction with any other antenna or transmitter.
2) Antennas must be installed in accordance with FCC/ISED requirement.
With 8 dBi gain antennas the height of the antenna above average terrain (HAAT) must
not exceed XXXX m. For different gain antennas refer to the relevant rules.
1.1.4 Radiation Exposure Statement
The product complies with the FCC12 portable RF exposure limit set forth for an uncontrolled
environment and is safe for intended operation as described in this manual. The further RF
exposure reduction can be achieved if the product can be kept as far as possible from the
user's body or set the device to lower output power if such a function is available.
1.1.5 FCC Warning Labels
1) FCC Part 15.19

GSTeletech, Inc. 2
The FCC Certification label has attached right side of PS-ELITE7833. The FCC Certification
label contained FCC 15.19 warning statement, Device type (A or B), FCC, ISED and UL ID
This device complies with Part 15 of the FCC Rules. Operation is subject to the following two
conditions: (1) This device may not cause harmful interference, and (2) This device must
accept any interference received, including interference that may cause undesired operation.
2) FCC Part 90.219
Booster Warming Label is attached left side of Ps-ELITE7833. This label has contains FCC
90.219, IC warning statements and contact phone number for a trouble shooting.

GSTeletech, Inc. 3

GSTeletech, Inc. 4
① Class A (B9A)
“WARNING. This is NOT a CONSUMER device. It is designed for
installation by FCC LICENSEES and QUALIFIED INSTALLERS. You
MUST have an FCC LICENSE or express consent of an FCC
Licensee to operate this device. You MUST register Class A signal
boosters (as defined in 47 CFR 90.219) online at www.fcc.gov/signal-
boosters/registration. Unauthorized use may result in significant
forfeiture penalties, including penalties in excess of $100,000 for each
continuing violation.”
② FCC Part 90.219 Class B (B9B)
“WARNING. This is NOT a CONSUMER device. It is designed for
installation by FCC LICENSEES and QUALIFIED INSTALLERS. You
MUST have an FCC LICENSE or express consent of an FCC
Licensee to operate this device. You MUST register Class B signal
boosters (as defined in 47 CFR 90.219) online at www.fcc.gov/signal-
boosters/registration. Unauthorized use may result in significant
forfeiture penalties, including penalties in excess of $100,000 for each
continuing violation.”

GSTeletech, Inc. 5
1.2 ISED Warning state
1.2.1 RSS-GEN, Sec. 7.1.2 – (transmitters)
Under Industry Canada regulations, this radio transmitter may only operate using an antenna
of a type and maximum (or lesser) gain approved for the transmitter by Industry Canada. To
reduce potential radio interference to other users, the antenna type and its gain should be so
chosen that the Equivalent Isotropically Radiated Power (E.I.R.P.) is not more than that
necessary for successful communication.
Conformément à la réglementation d’Industrie Canada, le présent émetteur radio peut
fonctionneravec une antenne d’un type et d’un gain maximal (ou inférieur) approuvé pour
l’émetteur par Industrie Canada.
Dans le but de réduire les risques de brouillage radioélectrique à l’intention desautres
utilisateurs, il faut choisir le type d’antenne et son gain de sorte que la puissance
isotroperayonnée quivalente (p.i.r.e.) ne dépassepas l’intensité nécessaire à l’établissement
d’une communication satisfaisante.
1.2.2 RSS-GEN, Sec. 7.1.2 – (detachable antennas)
This radio transmitter (identify the device by certification number, or model number if
Category II)has been approved by Industry Canada to operate with the antenna types listed
below with the maximum permissible gain and required antenna impedance for each antenna
type indicated. Antenna types not included in this list, having a gain greater than the
maximum gain indicated for that type, are strictly prohibited for use with this device.
Le présent émetteur radio (identifier le dispositif par son numéro de certification ou son
numéro de modèle s’il fait partie du matériel de catégorie I) a été approuvé par Industrie
Canada pour fonctionner avec les types d’antenne énumérés ci-dessous et ayant un gain
admissible maximal et l’impédance requise pour chaque type d’antenne. Les types d’antenne
non inclus dans cette liste,ou dont le gain est supérieur au gain maximal indiqué, sont
strictement interdits pour l’exploitation de l’émetteur.
1.2.3 RSS-131 Section 5.3 User Manual
This user manual shall contain the following information on the enhancer:
1) The nominal passband gain (dB);
2) The nominal bandwidth;
3) The rated mean output power;
4) The input and output impedances, and;

GSTeletech, Inc. 6
Item
Spec.
Remarks
The nominal passband gain
95dB
The nominal bandwidth
18MHz
The rated mean output power
+33dBm
The input and output impedances
50Ω
5) Caution
"The Manufacturer's rated output power of this equipment is for single carrier operation. For
situations when multiple carrier signals are present, the rating would have to be reduced by
3.5 dB, especially where the output signal is re-radiated and can cause interference to
adjacent band users. This power reduction is to be by means of input power or gain reduction
and not by an attenuator at the output of the device."
1.2.4 RF Radiation Exposure
This equipment complies with RF radiation exposure limits set forth for an uncontrolled
environment. This equipment should be installed and operated with a minimum distance of at
least 100 cm with 15dBi antenna gain between the radiator and your body. This transmitter
must not be co-located or operating in conjunction with any other antenna or transmitter. RF
exposure will be addressed at time of installation and the use of higher gain antennas require
larger separation distances.
L'antenne du donneur a une antenne 15dBi gain.Antenna doit être installé pour maintenir en
tout temps un minimum de distance d'au moins 100 cm entre la source de rayonnement
(antenne) et toute personne physique.
Cet appareil ne doit pas être installé ou utilisé en conjonction avec une autre antenne ou
émetteur.
1.2.5 ISED warning label
1) Booster Warming Label is attached left side of Ps-ELITE7833. This label has
contains FCC 90.219, IC warning statements and contact phone number for a
trouble shooting.
WARNING: This is NOT a CONSUMER device. It is designed for installation by an installer
approved by an ISED licensee. You MUST have an ISED LICENCE or the express consent
of an ISED licensee to operate this device.

GSTeletech, Inc. 7

GSTeletech, Inc. 8
1.3 Prohibitions
Use of unauthorized antennas, cables, and coupling devices not conform to ERP/EIRP
and indoor‐only restrictions is prohibited.
Preclude indications that Home/ personal use are prohibited.

GSTeletech, Inc. 9
2. General Information
This document is primarily written for those who are new to PS-LITE78A/B system and wish to tune
up the equipment. The document is applicable to below products from GSINSTECH. Model number:
PS-ELITE78A/B
2.1 Repeater Information (FCC & ISED ID)
Certification
Type
ID
Remarks
FCC
B9A
U88PSELITE78A
B9B
U88PSELITE78B
ISED
B9A
8137A- PSELITE78A
B9B
8137A- PSELITE78B
2.2 Purpose
PS-ELITE7833 Bi-Directional Amplifier (BDA) is a repeater, which has been designed to improve
signals in blanket/shadow areas inside of buildings to transmit Provider’s variety frequencies. User
may choose filtering configuration according to the specific site circumstances.
2.3 Repeater Advantages
It provides selectable RF power levels for any wireless technology / band.
It has individual monitoring multiple technology.
FPGA digital filtering provides optimized RF performance.
It allows modification of technology via customer interface.
It is easily installed.
Frequency is easy to add / delete / change.
It has scalable single and multi-service design.
Customer data service is improved by FirstNet
It meets all users’ technological requirements.
2.4 Highlights
Dual band support 700MHz and 800MHz band by WEB UI
Simultaneous Filter Supporting 1 Wide Band and 32 Non-Contiguous Narrow Bands
Each band supports up to 32 channels
2W output power for each band
Fan-less

GSTeletech, Inc. 10
Significant Filter Roll-off performance
- Wide: 60dBc@Filter Bandwidth Edge ± 1MHz
- Narrow: 60dBc@Filter Bandwidth Edge ± 6.25KHz (or Filter BW / 2))
Supports Phase 3 Dry Contact
External Alarm Function supporting dry contacts 8
Digital/programmable utilizing FPGA
Auto shutdown with alarm upon oscillation detection
Web based GUI for intelligent configuration, SNMP supported
NFPA compliant dry contact alarms, NEMA 4x enclosure
2.5 Exterior

GSTeletech, Inc. 11
2.6 Interior
PS-ELITE7833 consists of the following modules:

GSTeletech, Inc. 12
No.
Item
Remarks
No.
Item
Remarks
1
Donor Antenna Port
9
Control Board
2
Service Antenna Port
10
Battery Backup Input
3
Integrated Module
Top : RFU
Bottom : DFM
11
Ext. Alarm Connector
-48V DC
4
Duplex Cavity Filter
12
Network / UI Port
Waterproof
5
DL 700 HPA
13
AC Input Connector
110V AC Only
6
DL 800 HPA
14
AC Input Terminal
7
UL Integrated HPA
15
Battery Input Terminal
8
PSU
1) Donor and Service antenna Port
All antenna ports use a 4.3-10 Din connector. If user wants to use an N-type cable, user must
use a separate adapter. (Not included)
2) Integrated Module
The integration module consists of RFU and DFM.
The RFU is assembled at the bottom of the integrated module, and performs amplification,
filtering, and gain control on the signal that passes through the duplexer.
The DFM is assembled on top of the integration module. DFM performs band select, band
width adjustment and power detection according to user setting.
3) Duplexer
Separation of input and output signals and isolation between paths
4) DL 700 /800 HPA Module
DL 700 HPA and DL 800 HPA are made up of different modules.
It amplifies the filtered and band selected signals via RFU and DFM, and maintains the
output of the system.
5) UL Integrated HPA Module
The UL HPA provides 700M and 800M bands as one integrated module. It amplifies the
filtered and band selected signals via RFU and DFM, and maintains the output of the system.
6) PSU

GSTeletech, Inc. 13
The PSU supply power to the system.
The PSU receives 110V AC power and supplies + 28V DC and + 6V DC to the system. In the
event of an AC power failure, the system can be powered by receiving a -48V DC power
through the battery. The battery voltage input to the PSU should be -48V. If + 48V is used,
the electrodes must be reversed when connecting the battery. If the required battery voltage
is not used or the electrode is not suitable, the PSU may be damaged or not functioning
normally.
The Company shall not be held liable for the problems caused by this.
7) Control Board
The control board performs functions such as system control, communication. And alarm
information share through the external alarm connector.
System control and communication functions are available via the Web UI and SNMP via the
system RJ - 45 Port, Alarm Information Sharing is Ext. It can be connected to the External
Alarm Panel via the Alarm Connector for use.
8) Battery Backup Port
The system can use the battery backup system. In this case, the battery output should be -
48V DC and the use of other voltage batteries are not permitted. If user wants to use the +
48V DC battery, cross the system's electrode and battery electrode when connect the battery
to the system connector.
User can’t be held responsible for any problems that arise from not following these
recommendations
9) Ext. Alarm Connector
Ext. Alarm Connector is a port used to share alarm information generated by the system with
external alarm panel. Alarm information is shared through dry contact. Mapping between
Alarm and Connect can be confirmed by the following table.
10) Network / UI Port
The system supports Web UI or SNMP function through Ethernet to improve accessibility of
external network and user. To this end, the user can connect a cable to the RJ-45 connector.
All connectors and cables used should be waterproof.
11) AC Input Connector
The voltage input to the system is 110V AC and the voltage input such as 220V AC is not
approved. No liability or compensation shall be required by the Company for problems
caused by not permitted input AC voltage.

GSTeletech, Inc. 14
3. Specifications
3.1 US Frequency Allocation
3.1.1 US frequency
Item
Specification
Remark
Down Link
Frequency
700 (PSBB)
758MHz ~ 768MHz
LTE
700 (PSNB)
769MHz ~ 775MHz
P25
800 (PSNB)
851MHz ~ 861MHz
P25
Up Link
Frequency
700 (PSBB)
788MHz ~ 798MHz
LTE
700 (PSNB)
799MHz ~ 805MHz
P25
800 (PSNB)
806MHz ~ 816MHz
P25
3.1.2 US Block Diagram
[MHz]
Service
Donor Antenna
RFU
DFM
HPA
Remarks
Start
Stop
Start
Stop
Start
Stop
Start
Stop
DL 700
758
775
758
775
758
775
758
775
DL 800
851
861
851
861
851
861
851
861
UL
788
816
788
816
788
816
788
816
3.1.3 US Service Plan

GSTeletech, Inc. 15
1) The LTE network integrates Upper D band and FirstNet to have max. 10MHz Service BW.
2) The P25 Network has a Guard Band of 768-769MHz and 775-776MHz.
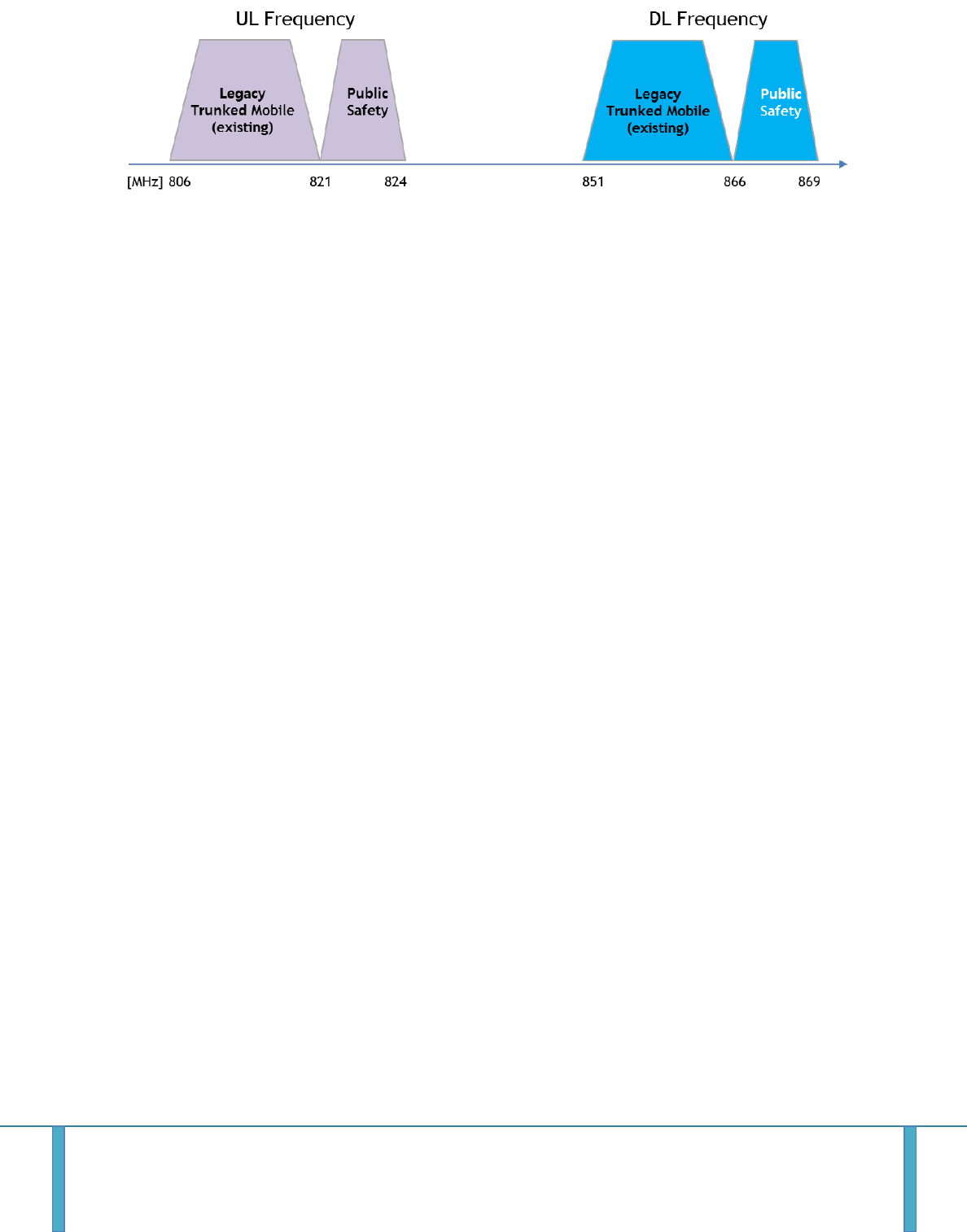
3.2 Canada frequency
Item
Specification
Remark
Down Link
Frequency
700 (PSBB)
LTE Not Support
700 (PSNB)
768MHz ~ 776MHz
P25
800 (PSNB)
851MHz ~ 869MHz
P25
Up Link
Frequency
700 (PSBB)
LTE Not Support
700 (PSNB)
798MHz ~ 806MHz
P25
800 (PSNB)
806MHz ~ 824MHz
P25

GSTeletech, Inc. 16
3.2.1 Canada Block Diagram
[MHz]
Service
Donor Antenna
RFU
DFM
HPA
Remarks
Start
Stop
Start
Stop
Start
Stop
Start
Stop
DL 700
768
776
768
776
768
776
768
776
DL 800
851
869
851
869
851
869
851
869
UL
798
824
798
824
798
824
798
824
3.2.2 Canada Service Plan
1) Canada currently does not support LTE in the Public Services network.
2) Canadian 700MHz Public Safety band does not use Guard Band.

GSTeletech, Inc. 17

GSTeletech, Inc. 18
3.3 Common Specifications
Item
Specification
Remark
Select
Bandwidth
PSBB – LTE
5 / 10MHz
2 Non-contiguous
PSNB – B9A
6.25 / 12.5 / 25 / 50 / 75KHz
32 Non-contiguous
PSWB – B9B
100 / 125 / 150 / 175 / 200 / 225 / 250KHz
Output Power
LTE (PSBB)
+30dBm / 1W
+33dBm / Total
700 (PSNB)
+30dBm / 1W (@total)
800 (PSNB)
+33dBm / 2W (@total)
Max RF Input Power without
-17dBm
@ Over Drive
Max RF Input Power without
+10dBm
@ Damage
Gain
Range
50dB ~ 95dB
ALC: 45dB
Adjust Step
±1.0dB
Adjust Accuracy
±1.0dB
Propagation
Delay
LTE
< 6us
PSNB
< 230us
Single Tone
Power Change < +2/-4dB
Input CW: -40dBm
Input Inter-modulation
AGC, ALC Output power Change
< 10dB @ ±1.25M edge
Input CW: -40dBm
Adjacent
Channel
Power
LTE
> 45dBc @ ± 5M
> 50dBc @ ± 10M
PSNB
> 55dBc @ Ch Offset 25kHz
> 55dBc @ Ch Offset 50kHz
Flatness
< 3dB
Return Loss / VSWR
< -14dB /< 1.5 : 1
Noise Figure
< 5dB @ Max gain
Uplink Only
EVM
≤ 8%
(E-TM3.1 / DL : 64QAM, UL 16 : QAM)
LTE Only
Roll Offs
LTE
>60dBc @ ±1MHz
outside pass-band
PSNB
>60dBc @ ±6.25KHz or
>60dBc @ ± ½ Bandwidth
Characteristic Impedance
50Ω

GSTeletech, Inc. 19
3.4 Mechanical Spec.
Item
Specification
Remark
RF Connector
DIN (4.3-10) Type Female
AC Power Connector
MS3102A 10SL-3P
AC Power Cord
MS3106A-10SL-3S
Battery Backup Connector
MS3102A-14S-9P
External Alarm Connector
MS3102A-22-14P
External Interface
RJ-45 / USB A Type
Waterproof
Alarm Interface
Dry Contact
20Pin
AC Supply
110VAC ~ 120VAC, 60Hz 2.0A
±10%
DC Supply
-48V
Out Dimension
13.2(W) * 18.9(H) * 6.4(D)
Inches
Net Weight
50
Lbs.
Material
Module
Aluminum alloy
Cabinet
Aluminum alloy for casting
Operation Temperature
-40°F to +140°F (-40°C to +60°C)
Convection cooling
Humidity
5% ~ 95%
Non-Condensing
Environmental Spec.
NEMA4(x)
IP66
MTBF
100,000
hour

GSTeletech, Inc. 20
4. Port and Connectors
4.1 RF Connector
PS-ELITE7833 adopts a Mini-DIN 4.3/10 connector. If the user wants to use an N type cable or
connector, they need an adapter
4.2 AC Power Connector
PS-ELITE 7833 use only 110V voltage. If the user uses other un-recommend input voltages, PS-
EILITE7833 may be broken.
The AC Power Connector of the PS-ELITE 7833 uses MS3100A-10-10P and the user shall use a
cable equipped with a cable 3106 A-10-10-3 connector to terminate the power.

GSTeletech, Inc. 21

GSTeletech, Inc. 22
4.3 DC Battery Power Connector
PS-ELITE 7833 use a -48V battery only. If the user uses other nonstandard input voltages, PS-
EILITE7833 may be broken or damaged. If the user want to use a +48V battery, it is acceptable to
cross the input electrode.
Pin No.
Pin Name
Cable Color
Remarks
1
Alarm1
Black
2
+48
Red

GSTeletech, Inc. 23
4.4 External Alarm Port (Dry-Contact)
PS-ELITE7833 supports the External Alarm Box. The external alarm box is connected via the
External Alarm Connector. The External Alarm Box of PS-ELITE 7833 is configured using the Dry
Contact.
The connection between the External Alarm Port and the External Alarm Box is made using the
UL2464 # 24 10ft cable supplied with the system.

GSTeletech, Inc. 24
1) PS-ELITE support external Alarm Box
Pin No.
Alarm No.
Alarm Name
Pin Name
Cable Color
Remarks
1
Alarm1
AC Power
NC1
Black
2
COM1
Brown
3
NO1
Red
4
Alarm2
System
NC2
Orange
5
COM2
Yellow
6
NO2
Green
7
Alarm3
BDA
NC3
Blue
8
COM3
Violet
9
NO3
Gray
10
Alarm4
Battery
Charger
NC4
White
11
COM4
Black & White
12
NO4
Brown & White
13
Alarm5
Battery
Capacity
NC5
Red & White
14
COM5
Orange & White
15
NO5
Yellow & White
16
Alarm6
Antenna
NC6
Green & White
17
COM6
Blue& White
18
NO6
Violet & White
19
Reserved
Gray & White
20
NC

GSTeletech, Inc. 25
4.5 Ethernet Port

GSTeletech, Inc. 26
PS-ELITE 7833 can be connected to the parent network via Ethernet, and the user can use the WEB
UI to control and monitor the relays in remote or local locations. PS-ELITE 7833 use a waterproof
Ethernet port to prevent the external environment from being affected. (NEMA 4x Compliance)
For complete waterproofing, the user shall use a water-proof RJ-45 cable.

GSTeletech, Inc. 27
5. LED and Alarm Information
5.1 LED
LED
Status
Remarks
Green
Good Condition, The system operates normally.
Yellow Blink
Minor alarm, but there is no problem with operating it
Yellow
Critical alarm, system may not function properly
Red
Unable to operate properly
5.2 LED indicate for alarm
Name
RUN
ALARM
SHUTDOWN
Power On
Green
Boot Complete
Green
Green
Green
Normal Condition
Green
Green
Green
Low RSSI
Green
Yellow Blink
Green
Low Isolation
Green
Yellow Blink
Green
Communication failure
Green
Yellow
Yellow
Over Power
Green
Yellow
Yellow
AC Fail
Green
Yellow
Yellow
DC Fail
Yellow
Yellow
Yellow
RESET
Yellow
Red
Red
Shut Down
Red
Red
Red

GSTeletech, Inc. 28
6. Installation
6.1 Installation
6.1.1 Antenna
The antenna used in the PS-ELITE7833 must be certified or an antenna with equivalent
specifications.
The company shall not bear any liability for any problems arising from the use of an
uncertified antenna.
6.1.2 Isolation
If the system wants to operate in the max gain state, the system requires sufficient isolation
between the donor and service antennas.
The system recommends isolation be higher than 15dB above the gain of the system.
If isolation is not sufficiently ensured, the AOC function operates to reduce the gain to a level
suitable for the ensured isolation.
6.1.3 Equipment Needed for Repeater Setup
Parameter
Item
Quantity
Remark
Major Component
PS-ELITE7833 Repeater
1 EA
Provided by GST
Additional Components
Wall Mounting Bracket
1 EA
Provided by GSI
CD (Contains User Manual V.1.0 and
Installation Guide V.1.0)
1 EA
AC Power Cable 6ft (1.8m)
1 EA
External Alarm Cable 10t (3.05m)
1 EA
Antenna
Donor ANT
1 EA
Not Included
Service ANT
1 EA
RF Cable
Antenna connection Cable
TBD
Not Included
Testing and Measuring
Equipment
Spectrum Analyzer
1 EA
Not Included
6.1.4 Check points before turning on the Repeater
1) System Power Check
AC electrical power to the repeater should be 110V, input electricity only after power
verification.
2) Input RF Signal Range

GSTeletech, Inc. 29
Optimal input RSSI into the repeater is -62dBm ~ -17dBm for 700MHz/800MHz. User should
verify input condition of Donor ANT. If the input RSSI exceeds -17dBm, impose the using
external attenuators should be used.
3) Isolation check between DONOR/SERVEICE ANT
The system must need that 110dB (Gain+15dB) isolation is secured to use 95 dB of the
maximum profit of the system. User should check its condition before installation.
6.1.5 Open for Service
1) Check points before open:
① Verification of system installation status :
Electricity, In/Out antennas, cable connection, and equipment mount status.
② Verification of system accessories :
User should check all necessary accessories.
③ Check receipt signal level :
Installer should check whether environmental conditions are in accordance with
system specification to ensure that system operation will be optimized.
2) Check points after open:
① Check external LED
RUN: Green light ON (Off: All LED off)
ALARM: Green light in normal status, Red light in alarming
SHUT DOWN: Green light in normal status, Red light in Shutdown status
6.2 Ground
The PS-ELITE7833 is designed to operate at 110VAC @ 1.5A maximum current and must always be
operated with the ground wire properly connected.

GSTeletech, Inc. 30
7. Web UI
7.1 Setting up the Repeater
7.1.1 Quick UI/Configuration
Use the following steps to commission the Repeater after all the cabling and antennas are
fixed in place and the Repeater is supplied with proper electrical power. The repeater will
need a good quality stable Downlink RSSI input level in the range of -85dBm to -62dBm.
1) Connect your laptop to the repeater with a Crossover Ethernet cable.
2) Verify that your laptop has all wireless connections off and is Obtaining an IP address
automatically, or is using a proper fixed IP address such as: Use the following IP address:
192.168.2.1 with a Subnet Mask of 255.255.255.0
3) Open Internet Explorer and go to: 192.168.2.1
4) User name: admin
5) Password: admin
7.1.2 Quick Setup
1) Go to the RF Configuration page.
2) Before the Amplifier (HPA) can be turned on, set the Uplink and Downlink attenuation (ATT)
to the maximum value and click Apply.
3) Select the correct Band Block and set the ALC Downlink and Uplink Limits to the desired
level and click Apply. (To adjust the Output Power, change the ALC Downlink and Uplink
Limits to the desired levels).
4) To check the Repeater’s status, click on the Status page.
5) To change the Repeater’s gain/attenuation, adjust the Uplink and Downlink attenuation in
equal amounts not more than 5dB at a time and click Apply.

GSTeletech, Inc. 31
7.2 User Interface Configuration
7.2.1 Page Login
1) Enter “https://192.168.2.1” in the address window and press Enter.
2) Enter the user name "admin" and the password "admin" on the connected site and click
Login button to move to the Main Window.
7.2.2 RF Status
1) Can check the current repeater status and setting the repeater system.
2) Items
Check of RSSI / Output Level
Repeater Firmware Version and Serial Number
Repeater internal temperature
Alarm Status
Band Select (Frequency, Band width)

GSTeletech, Inc. 32

GSTeletech, Inc. 33
7.2.3 RF Configuration
1) ALC Function and ALC target
threat hold level set up
2) HPA On / OFF
3) Alarm On / Off, Alarm Delay
Function set up
4) FirstNet (LTE) Band Select
(Frequency and Bandwidth)
5) 700MHz P25 Band Select
(Frequency and Bandwidth)
6) 800MHz P25 Band Select
(Frequency and Bandwidth)

GSTeletech, Inc. 34
7.2.4 Alarm Configuration
1) Check the status and status of the alarm on the repeater.

GSTeletech, Inc. 35
7.2.5 Fake Alarm Configuration
1) Set alarm for testing purposes.
`

GSTeletech, Inc. 36
7.2.6 Communication Configuration
1) Set up the IP information for the network management communication.

GSTeletech, Inc. 37
7.2.7 User Management
Manage user accounts to login to WEB UI.
1) Password Change
2) User account Permission authorization and change
3) New account setting
7.2.8 Alarm Log
Record the log on the alarm that occurred on the repeater.

GSTeletech, Inc. 38
7.2.9 Log
Can view the log in connect to the WEB UI.
7.2.10 Trouble Shooting
Provide contact information to assist in trouble shooting in the event of a repeater failure

GSTeletech, Inc. 39
7.2.11 Remote Software Upgrade
To enhance the performance of the repeater, perform the Software Upgrade through the
network.
1) Select the file to upgrade and upload the file to the repeater's memory.
2) If the file is successfully uploaded, click the Update button to proceed with the upgrade.

GSTeletech, Inc. 40
7.2.12 Factory Default Setting
The factory default setting is the default setting of the repeater that is controlled by the
company. When performing a factory-defined setting, the L status set is initiated by the user.
7.2.13 Configuration transfer
Configuration transfer can be saved setup status by storing and back up. And to change the
settings by existed setup file upload.
1) The setting status of the repeater can be saved as a file on the connected PC.
2) It can be applied to the repeater by uploading the repeater setting value of the file status.

GSTeletech, Inc. 41
7.3 Web UI Ranges Table
GUI Feature
Range
Description
Downlink and Uplink Output Power
Display
Below 0dBm to 35dBm
The output Power of the Repeater
Downlink Low RF Power
2dB to 10dB
Threshold for Low RF Power
Downlink and Uplink Attenuation
Control
0dB to 30dB
Reduces Gain Internally
Downlink and Uplink ALC Limit
0dBm to 33dBm
Limits Output Power
Downlink RSSI Display
-100dBm to -17dBm
Downlink Receive Level at Donor
Antenna Port
Downlink Low RSSI
-93dBm to -62dBm
Threshold for Low RSSI
HPA Control
On/Off
High Powered Amplifier
Gain Balance Control
On/Off
Equalizes Uplink and Downlink Gain
Gain Balance Value
0dB to 15dB
Subtract Uplink Gain by G/B Value
Shutdown Control
On/Off
Shutdown if Major Alarm is Reported
Auto Gain Setting
On/Off
Automatic Gain Setting for the
Repeater
Auto Oscillation Check
On/Off
Preventing Oscillation
Temperature Display
32 to 260.6 Degrees
Internal Repeater Temperature
Band Blocks Used/Bandwidth
Each AMP
The Channel the Repeater will be
using
Delay Alarm Report
0 or 5 Minutes
Time Delay of Reporting after Alarm
is Detected

GSTeletech, Inc. 42
7.4 Troubleshooting
In case of abnormal operation, technician should diagnose abnormality via remote access or
directly connecting to repeater using Ethernet cable. If technician is required to conduct repairs
due to major alarm, repeater should first be powered off, and then technician should prepare the
proper measurement equipment before trying to fix the problem. In most cases of major repairs,
GST will simply replace the unit and conduct repairs at the appropriate facility.
7.4.1 Simple Troubleshooting Method
1) Verify LED Status, both on external and internal module LED’s
- Normal operation: Green light on. Alarming: Red LED on.
2) Technician should check external and internal connectors to ensure that all connections are
tightly secure. These connectors should be cleaned regularly.
3) If technician thinks there is a serious problem, call after sales team for over-the-phone
technical support. 1-913-469-6699.
7.4.2 Troubleshooting Guide Related to RF
Item
Check Point
Troubleshooting
Check before
system operation
System input power
range (DL/UL)
-Downlink: -100dBm ~ -17dBm
-Uplink: -100dBm ~ -17dBm
System gain (DL/UL)
- 50dB ~ 95dB
Output power at server
port (DL/UL)
- Downlink: 33dBm ± 2dB
- Uplink: 33dBm ± 2dB
Check points before
open for service
-Please check quantity of all accessories with
specification before you set up
-Fit cable length in accordance with field condition
Check after
system operation
Check points after
open for service
Check following status;
-Verify that the antennas are securely mounted and
pointed in the correct directions
-Connection status between antennas and RF cable
-Verify that the Repeater is securely mounted
-Proper AC power status
-Grounding status of electrical circuit
-Coaxial cable (RF) construction status
-Connectors and combiners connection status
-Cable connection status against leakage of water
When repeater
does not work
properly
Check electricity cord
connection status
-Re-Connection in power Cable

GSTeletech, Inc. 43
When in alarming
DL VSWR alarm
Please Check following status;
-Make sure Server Antenna Port is disconnected.
-Please reset Adapter upon completing Alarm
troubleshooting
DL / UL
Over-output alarm
-Make sure output power is operating normally
-Please reset Adapter upon completing Alarm
troubleshooting
Temperature alarm
Check following status;
-Setting level of maximum temperature limit
-Temperature offset is normal or not
-Circumstances of temperature
-Please reset Adapter upon completing Alarm
troubleshooting
RF off
-Verify that the HPA’s are On
-Please Reset Adapter upon completing Alarm
troubleshooting
When output
power is no
longer problem
Technician should
verify category of
alarm at the front side
of repeater
-When Red light on the Shutdown LED, technician
should troubleshoot the alarm via Notebook computer
7.4.3 Troubleshooting Guide Related to NMS
Symptom
Check Points
Troubleshooting
Link Fail
Communication problem
In case of Ethernet, verify IP addressing, DHCP function,
and that cookies are deleted
-verify that a crossover Ethernet cable is being used
If technician thinks there is a serious problem, call after sales team for over-the-phone Technical
support. 1-913-469-6699.