Gemel Italia S p A RXC-SSR User Manual 33581
Gemel Italia S.p.A. 33581
UserManual.wiki
>
Gemel Italia S p A
>
RXC SSR User Manual HTML Version
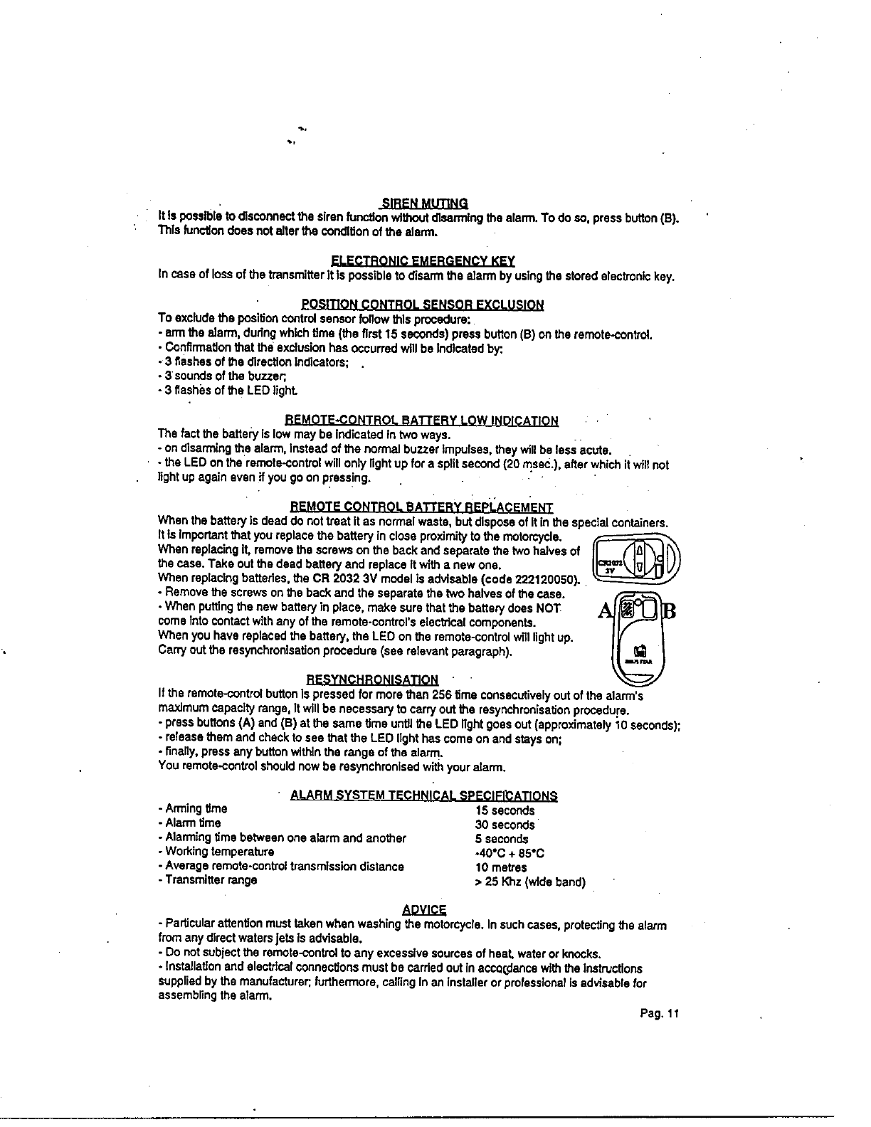
8
Navigation menu
Upload a User Manual
Namespaces
Wiki Guide
HTML
PDF
Info
Views
User Manual
Discussion / Help
Navigation