HLI Solutions NXOFM1R1D Wireless Sensor Module User Manual

Hubbell Control Solutions Wireless Sensor Module

User Manual

3504B 100818701 Millennium Blvd. | Greenville, SC 29607 | (864) 678-1000 | (866) 898-0131 - fax www.hubbellcontrolsolutions.comCopyright © 2018 Hubbell Control Solutions, a division of Hubbell Lighting, Inc. All rights reserved. All product and company names, logos and product identiers are trademarks ™ or registered trademarks ® of Hubbell Lighting, Inc. or their respective owners. Use of them does not necessarily imply any aliation with or endorsement by such respective owners. 72-00603 Rev FMODEL NUMBERNXOFMThe Hubbell Control Solutions On-Fixture Module is intended to allow the installation of lighting controls to a single luminaire using a twist lock receptacle that is accessible external to the xture housing. The NXOFM requires a NEMA C136.41, 7-pin receptacle on the luminaire for operation. The module contains a relay for on/o control, 0-10 volt dimming, a Bluetooth® radio for programming via an Android™ or iOS® App, and a 2.4 GHz RF mesh radio with internal antenna.INSTALLATION INSTRUCTIONS1.  If applicable, remove the lighting control device currently installed in the xture receptacle.2.  Align the On-Fixture Module such that the large contact pin is positioned above the large receptacle contact.3.  Insert the On-Fixture Module contacts completely into the receptacle contacts. Twist the On Fixture Module housing clockwise until it locks into place.4.  Test the On/O and or dimming operation using the NX Room Setup Tool which is available for download from Google Play™ and  App Store®.5.  Using the App, select the Bluetooth radio from the list of discovered radios. Use the MAC address barcode label axed to the unit to help identify the luminaire to be tested.  6.  Select Fixture Modules from the menu. 7.  Use the On/O control to turn the luminaire on and o to conrm the operation. 8.  While the luminaire is on, use the slider to dim the luminaire down and up.NX™ ON-FIXTURE MODULE INSTALLATION AND OPERATION INSTRUCTIONSPage 13.3”3.9”NEMA C136.41 ReceptacleDIMENSIONS
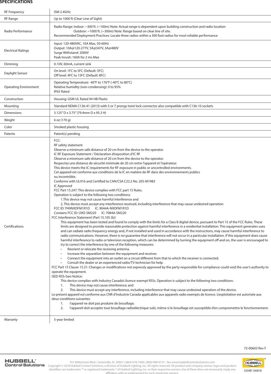
3504B 100818701 Millennium Blvd. | Greenville, SC 29607 | (864) 678-1000 | (866) 898-0131 - fax www.hubbellcontrolsolutions.comCopyright © 2018 Hubbell Control Solutions, a division of Hubbell Lighting, Inc. All rights reserved. All product and company names, logos and product identiers are trademarks ™ or registered trademarks ® of Hubbell Lighting, Inc. or their respective owners. Use of them does not necessarily imply any aliation with or endorsement by such respective owners. 72-00603 Rev FRF Frequency ISM 2.4GHzRF Range Up to 1000 ft (Clear Line of Sight)Radio PerformanceRadio Range: Indoor: ~300 ft. (~100m) Note: Actual range is dependent upon building construction and radio locationOutdoor: ~1000 ft. (~300m) Note: Range based on clear line of site.Recommended Deployment Practices: Locate three radios within a 300 foot radius for most reliable performanceElectrical Ratings Input: 120-480VAC, 16A Max, 50-60HzOutput: 10A@120-277V, 5A@347V, 3A@480VSurge Withstand: 2000VPeak Inrush: 160A for 2 ms MaxDimming 0-10V, 60mA, current sinkDaylight Sensor On level: 1FC to 5FC (Default: 5FC)O level: 4FC to 15FC (Default: 8FC)Operating EnvironmentOperating Temperature: -40°F to 176°F [-40°C to 80°C]Relative humidity (non-condensing): 0 to 95%IP65 RatedConstruction Housing: GSM UL Rated 94 HB PlasticMounting Standard NEMA C136-41 (2013) with 5 or 7 prongs twist lock connector also compatible with C136-10 socketsDimensions 3.125” D x 3.75” (79.4mm D x 95.3 H)Weight 6 oz (170 g)Color Smoked plastic housingPatents Patent(s) pendingCerticationsFCC:RF safety statementObserve a minimum safe distance of 20 cm from the device to the operator.IC RF Exposure Statement / Déclaration d’exposition d’IC RFObserve a minimum safe distance of 20 cm from the device to the operator.Respectez une distance de sécurité minimale de 20 cm entre l’appareil et l’opérateur.This device meets the IC requirements for RF exposure in public or uncontrolled environments.Cet appareil est conforme aux conditions de la IC en matière de RF dans des environnements publicsou incontrôlée.Conforms with UL916 and Certied to CAN/CSA C22.2 No. 205-M1983IC ApprovedFCC Part 15.247: This device complies with FCC part 15 Rules.Operation is subject to the following two conditions:1.This device may not cause harmful interference and2. This device must accept any interference received, including interference that may cause undesired operationFCC ID: YH9NXOFM1R1D       IC: 9044A-NXOFM1R1DContains FCC ID: U9O-SM220       IC: 7084A-SM220FCC Interference Statement (Part 15.105 (b))   This equipment has been tested and found to comply with the limits for a Class B digital device, pursuant to Part 15 of the FCC Rules. These limits are designed to provide reasonable protection against harmful interference in a residential installation. This equipment generates uses and can radiate radio frequency energy and, if not installed and used in accordance with the instructions, may cause harmful interference to radio communications. However, there is no guarantee that interference will not occur in a particular installation. If this equipment does cause harmful interference to radio or television reception, which can be determined by turning the equipment o and on, the user is encouraged to try to correct the interference by one of the following measures:•  Reorient or relocate the receiving antenna.•  Increase the separation between the equipment and receiver.•  Connect the equipment into an outlet on a circuit dierent from that to which the receiver is connected.•  Consult the dealer or an experienced radio/TV technician for help.FCC Part 15 Clause 15.21: Changes or modications not expressly approved by the party responsible for compliance could void the user’s authority to operate the equipment. ISED RSS-Gen Notice:This device complies with Industry Canada’s licence-exempt RSSs. Operation is subject to the following two conditions:1.  This device may not cause interference; and2.  This device must accept any interference, including interference that may cause undesired operation of the device.Le présent appareil est conforme aux CNR d’Industrie Canada applicables aux appareils radio exempts de licence. L’exploitation est autorisée aux deux conditions suivantes:1.  l’appareil ne doit pas produire de brouillage;2.  l’appareil doit accepter tout brouillage radioélectrique subi, même si le brouillage est susceptible d’en compromettre le fonctionnement.Warranty 5-year limitedSPECIFICATIONS
3504B 100818701 Millennium Blvd. | Greenville, SC 29607 | (864) 678-1000 | (866) 898-0131 - fax www.hubbellcontrolsolutions.comCopyright © 2018 Hubbell Control Solutions, a division of Hubbell Lighting, Inc. All rights reserved. All product and company names, logos and product identiers are trademarks ™ or registered trademarks ® of Hubbell Lighting, Inc. or their respective owners. Use of them does not necessarily imply any aliation with or endorsement by such respective owners. 72-00603 Rev FWIRING DIAGRAMPage 2

Navigation menu