HUBER SUHNER SL606004 Microwave Link User Manual Installation and
HUBER+SUHNER AG Microwave Link Installation and
Installation and user manual

INSTALLATION AND USER MANUAL
SL60-6004
Revision B
HUBER+SUHNER Excellence in Connectivity Solutions

© 2008 HUBER+SUHNER AG 3
We, HUBER+SUHNER AG of Degersheimerstrasse 14, CH-9100 Herisau/Switzerland
declare that the product
SENCITY®Link / SL60-6004
is in conformity – after consultation with the notified body Cetecom (No. 0682) – with the following
standards and normative documents:
●EN 50371 (2002): Generic standard to demonstrate the compliance of low power electronic
and electrical apparatus with the basic restrictions related to human exposure to
electromagnetic fields (10 MHz - 300 GHz)
●EN 55022 (2006): Information technology equipment - Radio disturbance characteristics -
Limits and methods of measurement
●EN 55024 (1998): Information technology equipment - Immunity characteristics - Limits and
methods of measurement
●EN 60950-1 (2006): Information technology equipment - Safety -- Part 1: General
requirements
●ETSI EN 302 217-3 (2007): Fixed Radio Systems; Characteristics and requirements for point-
to-point equipment and antennas; Part 3: Harmonized EN covering essential requirements of
Article 3.2 of R&TTE Directive for equipment operating in frequency bands where simplified or
no frequency co-ordination procedures are applied
●ETSI EN 302 217-4-2 (2007): Fixed Radio Systems; Characteristics and requirements for
point-to-point equipment and antennas; Part 4-2: Harmonized EN covering essential
requirements of Article 3.2 of R&TTE Directive for antennas is in accordance with the following
Directives:
●R&TTE Directive 1999/5/EC
We hereby declare that the equipment named above has been designed to comply with
the relevant sections of the above referenced specifications. The unit complies with all
essential requirements of the Directives.
Herisau, February 2008

4 www.hubersuhner.com
This device complies with part 15 of the FCC rules and with RSS-210 of Industry Canada. Operation is
subject to the following two conditions:
1. This device may not cause harmful interference.
2. This device must accept any interference received, including interference that may cause
undesired operation.
If this product is suspected of causing harmful interference with other equipment, discontinue its operation
immediately and contact HUBER+SUHNER.
In order to meet FCC RF Exposure requirements, this device must be installed in such a way that a
distance of 2 m is always maintained between the device antenna and nearby persons.
Modifications or substitutions made on the terminal or parts of it without the written approval of
HUBER+SUHNER could void the user’s authority to operate the equipment.
FCCID: TTDSL606004
IC: 6318A-SL606004
Note: This equipment has been tested and found to comply with the limits for a Class B digital device,
pursuant to Part 15 of the FCC Rules. These limits are designed to provide reasonable protection against
harmful interference in a residential installation. This equipment generates, uses and can radiate radio
frequency energy and, if not installed and used in accordance with the instructions, may cause harmful
interference to radio communications. However, there is no guarantee that interference will not occur in a
particular installation. If this equipment does cause harmful interference to radio or television reception,
which can be determined by turning the equipment off and on, the user is encouraged to try to correct the
interference by one or more of the following measures:
●Reorient or relocate the receiving antenna.
●Increase the separation between the equipment and receiver.
●Connect the equipment into an outlet on a circuit different from that to which the receiver is
connected.
●Consult the dealer or an experienced radio/TV technician for help.
Caution: Use only the A.C. power cord supplied for this product. Use of other may not ensure compliance
with FCC rule.

TABLE OF CONTENTS
1 Introduction 7
1.1 Intended users 7
1.2 Revision 7
1.3 Prior knowledge 7
1.4 Organisation 7
1.5 Used symbols 8
1.6 Safety 9
1.7 Warranty 9
1.8 Copyright / Disclaimer 10
2 System overview 11
2.1 General description 11
2.1.1 Benefits 11
2.1.2 Applications 12
2.2 System components 12
2.2.1 Terminals 13
2.2.2 Alignment bracket 13
2.2.3 Alignment tool 13
2.2.4 Ice bridge 14
2.2.5 Sealed Ethernet connector 14
2.2.6 Accessories 14
2.2.6.1 PoE injector (accessory) 14
2.2.6.2 Data line protector (accessory) 15
2.2.6.3 Mast bracket (accessory) 15
2.2.6.4 Ethernet cables (accessory) 15
3 Site planning 16
3.1 Terminal location 17
3.2 Line of sight 17
3.3 Link distance / Link availability 18
3.4 Terminal mounting options 18
3.4.1 Wall mounting 18
3.4.2 Pole mounting 19
3.5 Cabling 19
3.6 Grounding / Lightning protection 20
3.7 Co-located applications 20
4 Installation 21
4.1 Unpacking 21
4.2 Mount installation 22
4.2.1 Wall mount 22
4.2.2 Mast mount 23
4.3 Terminal installation 24
4.4 Cable installation 24
4.5 Antenna alignment 25
4.5.1 Alignment Procedure 26
4.5.1.1 Step 1: Optical alignment 26
4.5.1.2 Step 2: Power level alignment 27
4.6 Grounding 28
4.7 Lightning / Surge protector 28
4.8 Power injector 29
5 Terminal management and monitoring functions 30
5.1 Web browser interface 31
5.1.1 System overview screen 31
5.1.1.1 Traffic light colors 31
5.1.2 Password screen 31
5.1.3 Firmware update screen 32
5.1.4 Network configuration screen 32
5.1.5 Radio alignment screen 33
5.1.6 Network statistics screen 33
5.1.7 SNMP configuration screen 33
© 2008 HUBER+SUHNER AG 5

5.1.8 VLAN configuration screen 34
5.2 SNMP interface 35
5.3 Reset-CD 36
5.3.1 Parameter reset 37
5.3.2 Firmware upload 37
A Technical information 38
A.1 Troubleshooting 38
A.1.1 Power and network connection 38
A.1.2 Network configuration 38
A.1.3 Duplex mismatch 39
A.1.4 Miss-alignment 39
A.2 Specifications 41
A.2.1 Ethernet cable colour code 44
A.3 Receiver level / Rain / Link distance 45
A.4 Availability / Rain zone / Link distance 46
A.4.1 Map of America 46
A.4.2 Map of Asia and Middle East 48
A.4.3 Map of Europe 50
A.5 Accessories order information 52
B Country specific information 56
B.1.1 Switzerland, Germany 56
B.1.1.1 English 56
B.1.1.2 Deutsch 56
B.1.1.3 Français 57
B.1.1.4 Italiano 57
C Contacts 58
C.1.1 Technical assistance 58
C.1.2 Service center / RMA 58
D Glossary 59
E Notes 60
6 www.hubersuhner.com

1 INTRODUCTION
1.1 INTENDED USERS
This manual is intended for all installation and service personnel who are involved in the planning,
installation, operation and maintenance of SL60-6004 equipment.
Although the SENCITY®Link is designed for easy installation and setup, optimum performance can be
achieved by following the procedures outlined in this manual.
1.2 REVISION
HUBER+SUHNER reserves the right to revise this documentation periodically without any obligation to
provide notification of such revision or changes. The latest revision can be downloaded on
http://www.hubersuhner.com/sl60.
1.3 PRIOR KNOWLEDGE
This manual assumes that the installer has at least a basic experience and understanding of networking
equipment, as well as some familiarity with its configuration and operation. The information covered in this
manual should be fully understood prior to installation.
1.4 ORGANISATION
This user manual is organised into chapters as follows:
●Chapter 1: Introduction – Describes general and legal information.
●Chapter 2: System overview – Contains the technical data and the description of the equipments.
© 2008 HUBER+SUHNER AG 7
Please read the complete SL60-6004 (SENCITY®Link) manual prior to its
unpacking, installation, setup and deployment.

●Chapter 3: Site planning – Summarizes the requirements regarding site and network. This chapter
has to be read as preparation for the installation.
●Chapter 4: Installation – Describes the recommended installation procedure of the terminal.
●Chapter 5: Management and monitoring functions
●Appendix A: Presents additional useful technical information like: troubleshooting, weather maps and
technical data.
●Appendix B: Country specific information
●Appendix C: Contacts
●Appendix D: Glossary – Helps with the most important abbreviations.
1.5 USED SYMBOLS
8 www.hubersuhner.com
Danger
Not used
Warning
Risk for human and equipment
Caution
Risk for equipment and functionality
Advice

1.6 SAFETY
The following general safety precautions must be observed during all phases of operation and service of
those products covered in this manual. Failure to comply with these precautions, or with specific warnings
elsewhere in this manual, willfully violates standards of design, manufacture and the intended use of the
product.
1.7 WARRANTY
HUBER+SUHNER warrants to the original end user (purchaser) that this product is free from any defects in
materials or workmanship for a period of up to one year from the date of shipment to the end user.
During the warranty period, and upon proof of purchase, should the product show indications of failure due to
faulty workmanship and/or materials, HUBER+SUHNER will, at its discretion, repair or replace the defective
products or components without charge for either parts or labor, and to whatever extent it shall deem
necessary to restore the product or components to full operating condition. Any replacement will consist of a
© 2008 HUBER+SUHNER AG 9
The SL60-6004 meets all CE and FCC electrometric radiation safety
requirements for radio equipment. However, it is advisable to avoid long-term
exposure to the front face of the terminal while operating this equipment.
Outdoor equipment must be properly grounded to provide some protection
against voltage surges and built-up static charges (as illustrated in chapters 4.6
and 4.7).
All electrical and mechanical installations must comply with local and/or national
electrical and building codes.
This equipment must not be modified. Neither must any of its component parts
be substituted.

new or remanufactured, functionally equivalent product of equal value, and will be offered solely at the
discretion of HUBER+SUHNER.
This warranty shall not apply if the product is modified (e.g. warranty seal is broken), misused, tampered
with, damaged by an act of God, or subjected to abnormal working conditions.
To obtain services under this warranty, contact HUBER+SUHNER‘s Service Center, referring to your Return
Material Authorization number (see C.1.2). Products must be returned Postage Prepaid. It is recommended
that the terminal be insured when shipped. Any products returned without either proof of purchase or with an
outdated warranty will be repaired or replaced and the customer will be billed for parts and labor. All repaired
or replaced products will be shipped by HUBER+SUHNER to the corresponding return address ‘Postage
Paid’ (USA only). If the customer specifies some other return destination beyond US borders, the customer
shall bear the cost of the return shipment. This warranty gives you specific legal rights, and you may also
have other rights that vary from state to state.
1.8 COPYRIGHT / DISCLAIMER
Copyright © 2009 by HUBER+SUHNER
The contents of this publication may not be reproduced in any part or as a whole, transcribed, stored in a
retrieval system, translated into any language, or transmitted in any form or by any means, electronic,
mechanical, magnetic, optical, chemical, photocopying, manual, or otherwise, without the prior written
permission of HUBER+SUHNER.
10 www.hubersuhner.com

2 SYSTEM OVERVIEW
2.1 GENERAL DESCRIPTION
The SL60-6004 system operates as a data link in the unlicensed 60 GHz
band between 57 GHz and 64 GHz and delivers a full duplex data rate of
100 Mbps over a distance of up to 1200 m (3930 ft).
Measuring 34 cm x 34 cm (13.4“ x 13.4“), the terminal’s compact size is
attained by extensively integrating the active and passive components.
For more detailed technical data see appendix A.2.
2.1.1 Benefits
●Easy installation – The concept of the
SENCITY®Link allows to the end user to
install it as easy as any other network
component.
The single cable solution reduces the
complexity of the installation. The terminal
is connected to the network, monitored
and supplied with power through a single
outdoor rated CAT 5e Ethernet cable.
The visual alignment tool and an alignment
bracket allows the user to easily install the
link.
Immediate operation without the need of
additional configuration is granted.
●Network performance – Guaranteed full duplex 100 Mbps along the complete range. Unlike typical
© 2008 HUBER+SUHNER AG 11

WLAN equipment the user can transmit a full 100 Mbps over the link.
●License free operation – The system has been approved and can be operated in many countries.
●System administration – To monitor the status and the traffic the user can access the link statistics
either via the HTML user interface or by integrating it into a network management tool via SNMP.
●Security – The proprietary radio interface does not allow any other system to access the 60 GHz
transmitted data.
A high level of data security is inherent in the product via signal absorption by atmospheric oxygen
and the use of high gain/narrow beam width antennas.
2.1.2 Applications
●LAN extension
●Redundant access
●Campus connectivity
●Disaster recovery
●Wireless backhaul
●Centralization of IT infrastructure
●Temporary connections during events
●Mesh and hub and spoke configuration
2.2 SYSTEM COMPONENTS
The SL60-6004 system is composed of the following components:
●Terminal A and Terminal B
●Alignment bracket
●Alignment tool
●Ice bridge
●Sealed Ethernet connection
●Main accessories:
○PoE injector
○Lightning protector
○Mast bracket
○Ethernet cables
12 www.hubersuhner.com

2.2.1 Terminals
The terminals are the main system components. They combine the antenna,
transmitter and receiver and are connected to the network via a standard
Ethernet cable with RJ-45 connector.
Power is supplied through the Ethernet cable to the terminal. This will require
either a PoE (802.3af) compatible network equipment or an additional PoE
injector.
2.2.2 Alignment bracket
The alignment bracket facilitates installation and positioning owing to its
independent axis with coarse and fine alignment capabilities.
2.2.3 Alignment tool
The optical alignment tool provided is easily mounted on the terminal. It
enables both ends of the link to be aligned quickly, simply and
independently.
© 2008 HUBER+SUHNER AG 13

2.2.4 Ice bridge
The ice bridge offers an additional protection for the terminal against rain,
snow and ice-formation.
2.2.5 Sealed Ethernet connector
The seal kit is used to make a watertight connection of the Ethernet
coupling. Please use the separate instructions for a proper installation of the
seal kit.
2.2.6 Accessories
Please also refer to section A.5.
2.2.6.1 PoE injector (accessory)
The terminal is powered via Ethernet cable according to the IEEE 802.3af
PoE standard. Should the network equipment connected to the
SENCITY®Link does not offer PoE, a power injector can be inserted in line
to the Ethernet cable.
14 www.hubersuhner.com

2.2.6.2 Data line protector (accessory)
HUBER+SUHNER strongly recommends the installation of an outdoor data
line protector to provide lightning and surge protection for the building,
personnel and equipment. Please refer to the local and/or national electrical
and building codes.
2.2.6.3 Mast bracket (accessory)
The mast bracket is used to mount the bracket onto a mast. The bracket is
suitable for any pole diameter from 50 mm to 115 mm (2” to 4,5”).
2.2.6.4 Ethernet cables (accessory)
The length of the cable linking the SENCITY®Link to the next network node
may be up to 100 m (328 ft) in length. It should, however, be kept as short as
practical in order to minimize signal losses. All Ethernet cables must be CAT
5e compliant and suitable for outdoor use. The cable must be UV stable, UL
approved and comply with local and/or national building codes.
© 2008 HUBER+SUHNER AG 15
Outdoor
Indoor

3 SITE PLANNING
16 www.hubersuhner.com
All installers must perform a full site inspection and plan carefully prior to the
physical installation of an SL60-6004 system.
This preparation must include:
●Evaluating the most appropriate location for the installation of the
terminal.
●Identifying an appropriate mounting structure (wall or mast) for each
terminal.
●Planning the cable routing from the network component to the terminal.
Protector
PoE
Protector
PoE

3.1 TERMINAL LOCATION
When selecting the best terminal location the following factors should be considered:
●Accessibility (e.g. roof)
●Type of mounting (e.g. wall or pole)
●Grounding connection point
●Cable runs (max. 100 m / 328 ft)
●Line of sight
3.2 LINE OF SIGHT
To ensure a clear line of sight, there must be no obstructions between the two terminal locations. The
required clearance can be established visually using the following table1:
Link distance Boundary diameter
100 m (328 ft) 0.7 m (2.3 ft)
200 m (656 ft) 1.0 m (3.3 ft)
400 m (1312 ft) 1.4 m (4.6 ft)
600 m (1968 ft) 1.7 m (5.6 ft)
800 m (2625 ft) 2.0 m (6.6 ft)
1000m (3281 ft) 2.2 m (7.3 ft)
1200m (3937 ft) 2.4 m (8.0 ft)
1 Fresnel zone calculation
© 2008 HUBER+SUHNER AG 17
Use of given protection against sun, rain, etc. will increase the equipment
performance.
Boundary diameter
Link distance

3.3 LINK DISTANCE / LINK AVAILABILITY
The link distance is directly related to the weather conditions.
The affordable link availability is influenced by the following environmental conditions:
●Rain the less, the better
●Temperature the higher, the better
●Air pressure the lower, the better
For different maps of the world including the rain regions see appendix A.4.
For a more accurate link distance vs. availability calculation please visit http://www.hubersuhner.com/sl60
where you will find an online calculation tool.
3.4 TERMINAL MOUNTING OPTIONS
3.4.1 Wall mounting
18 www.hubersuhner.com
Knowledge of the link distance (line of sight) is important in estimating link quality.
The wall mounting location should be strong enough to secure the terminal to the
wall, taking into account all foreseeable environmental conditions (e.g. wind, rain,
ice).

Depending on the material to which the bracket is mounted, differently sized mounting hardware may be
necessary.
To mount the terminal onto the bracket use the enclosed M6 bolts. The
bracket allows a tilt angle of +/- 50° in both axis.
3.4.2 Pole mounting
The pole mounting kit will be needed to mount the terminal onto poles with diameters from 50 mm to 115 mm
(2” to 4,5”).
3.5 CABLING
The terminal is delivered with an Ethernet cable terminated with a RJ-45 plug connector. To connect the
SENCITY®Link to your network, use a CAT 5e Ethernet cable with a maximum length of 100 m to the next
network node. Please verify too that the cable used is designed for outdoor environments (e.g. water, solar
UV). Since the power is supplied by the Ethernet cable, please make sure that network equipment used
supports Power over Ethernet (PoE). If not, use a PoE injector according to IEEE 802.3af. SENCITY®Link
can handle crossover and straight cables.
© 2008 HUBER+SUHNER AG 19
50°

3.6 GROUNDING / LIGHTNING PROTECTION
In the event of a short circuit or lightning strike, effective grounding can prevent damage to building,
equipment, infrastructure and personnel. For installations in the USA, refer to Article 830 of the National
Electrical Code (Network-powered broadband communications systems), for all other countries, implement
protection in accordance with the safety standards and regulatory requirements of the country in which the
equipment is installed.
3.7 CO-LOCATED APPLICATIONS
Owing to the compact size of the SL60-6004 integrated terminal, it is particularly suitable for co-sited
applications. Possible configurations include:
●Back-to-back - e.g. doubles the link distance
●Parallel link - doubles data capacity or redundancy
●Star - hub and spoke
To deploy a co-sited application, please contact HUBER+SUHNER to assist with devising an appropriate site
design.
20 www.hubersuhner.com
The terminal must be properly grounded to provide protection against voltage
surges.
HUBER+SUHNER strongly recommends the use of outdoor lightning protectors.

4 INSTALLATION
Owing to the small size and integrated design of the SENCITY®Link, its correct installation and setup is
relatively simple.
4.1 UNPACKING
All equipment and installation material is packed into one box. This is divided into three cartons containing
the following items:
●Carton A:
○Terminal A
○Bracket
○Mounting set
●Carton B:
○Terminal B
○Bracket
○Mounting set
●Carton C:
○Manual
○Reset-CD
○Ice bridges
○Accessories
●Required tools:
○Adjustable-end wrench
© 2008 HUBER+SUHNER AG 21
Nevertheless, when working on a roof, ladder, mast or staging, please take
extreme care, observing all facility and OSHA (or other applicable regulatory
agency) required safety precautions.

4.2 MOUNT INSTALLATION
4.2.1 Wall mount
22 www.hubersuhner.com
The wall and mounting screws must be able to support a weight of 16.5 pounds
(7.5 kg), taking into account associated wind and potential ice loading factors.
To ensure the use of the correct screws for the installation, HUBER+SUHNER
recommends consulting HILTI’s online Anchor System Advisor at
http://www.us.hilti.com/holus/modules/adansel/adas_oview.jsp
Right Wrong

4.2.2 Mast mount
●Ensure that the mast used has a diameter of between 50 mm to 115
mm (2” to 4.5”).
●Use a 13 mm flat wrench (~½”) to fasten the M8 screw nut.
●Fasten the alignment bracket onto front part of mast bracket using
the enclosed stainless steel screws, nuts and washer (M6).
●Fix the front part of the mast bracket and the attached alignment
bracket on the mast.
© 2008 HUBER+SUHNER AG 23
Do not use zinc plated screws as these will corrode and endanger link
performance and environment.

4.3 TERMINAL INSTALLATION
It is important to install the terminal on the bracket
with the same orientation (i.e. antenna polarization)
at both ends of the link. The terminal must be
mounted on the bracket in such a way that the
cable enters it on the same side, top or bottom.
The terminal must be mounted on the bracket by
using the allen key with the enclosed stainless
steel screws (M6 x 12).
4.4 CABLE INSTALLATION
The length of the cable from the terminal to the next network component
may be up to 100 m (328 ft) in length, but should be kept as short as
practical in order to reduce signal loss. All Ethernet cables must be CAT 5e
compliant and suitable for outdoor use. The cable must be UV stable, UL
approved and must comply with local and/or national building codes.
24 www.hubersuhner.com
Do not use zinc plated screws as these will corrode and endanger link
performance and environment.
Positioning the terminal with lateral cable entry will influence heat dissipation.
Right
Right
Right
Wrong

4.5 ANTENNA ALIGNMENT
One of SENCITY®Link’s biggest advantage is its fast, easy alignment procedure.
The terminals can be aligned optically by using the alignment tool. No electrical alignment is required,
although possible.
The table below shows the alignment tolerance:
Link distance Alignment
accuracy
500 m 1640 ft 3.1 m 10.3 ft
800 m 2625 ft 5.0 m 16.5 ft
1200m 3937 ft 7.5 m 24.7 ft
© 2008 HUBER+SUHNER AG 25
To enter the building, HUBER+SUHNER recommends using cable seals from
Roxtec (http://www.roxtec.com).
Alignment accuracy
Link distance

4.5.1 Alignment Procedure
The following procedure achieves fast, accurate alignment (for all mechanical operations, the enclosed 5 mm
allen key can be used). Follow the two alignment steps for both, the A and B terminal.
4.5.1.1 Step 1: Optical alignment
a) Place the alignment tool to the most accessible
edge and ensure good visibility to the opposite
terminal by rotating the telescope.
b) Loosen the horizontal lock screws (labeled “3” and “4”)
c) Place the horizontal axis course screw in
its middle position (needle).
d) Carry out a rough alignment on the
horizontal axis and fasten the screw
(labeled “1”).
e) Repeat steps b), c) and d) for the vertical
axis.
f) Turn the horizontal course screw (labeled
“2”) by viewing through the telescope and
carry out the fine alignment.
g) Repeat f) for the vertical axis.
26 www.hubersuhner.com
Horizontal alignment
Wall
Vertical alignment
2 Fine alignment
1 Coarse alignment
3 First lock

h) If necessary, repeat the fine alignment procedure f) for both axes until the opposite link is correctly
aligned.
i) Fasten the lock screws (labeled “3” and
“4”) on both horizontal and vertical axes.
4.5.1.2 Step 2: Power level alignment
Since SL60-6004 has a very narrow beam width, in
most cases the optical alignment as described in
section 4.5.1.1 will not be accurate enough for a
proper working of the link.
It is therefore strongly recommended to proceed
with an alignment based on the receiver power
level on each terminal. The power level can be
accessed via the web interface (see section 5.1.5).
If possible, use the screws labeled “2” only for the
power level alignment. Do not forget to loosen
(respectively tighten) the two lock screws before
(respectively afterwards).
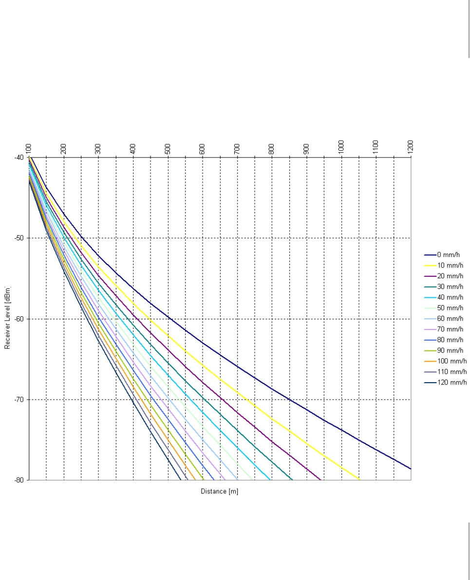
See chapter A.3 for an estimation of the power levels at different rain rates and link distances.
© 2008 HUBER+SUHNER AG 27
4 Second lock
A power level of -60dBm is better than a power level of -70dBm

4.6 GROUNDING
Two screws are provided on the reverse housing of
the terminal to facilitate the correct grounding. To
fasten the grounding cable onto the terminal, use a
lug and serrated washer combined with an M8 nut.
Connect the terminal to the connection points
nearest to the building-to-earth ground point. The
grounding conductor must be as short as is
practical and should not exceed 6 m (20 ft). For
installations in the USA, refer to Articles 830 of the
National Electrical Code (Network-powered
broadband communications systems). For
installations in all other countries, refer to the
safety standards and regulatory requirements.
4.7 LIGHTNING / SURGE PROTECTOR
To protect humans and the building a protector must be installed before the
cable enters the building. For detailed installation instructions, please refer to
the dedicated documents enclosed to the protectors:
Outdoor protector 3414.99.0008 84016716
28 www.hubersuhner.com
HUBER+SUHNER strongly recommends the use of outdoor data line protectors.
Grounding screws
The terminal must be properly grounded.

4.8 POWER INJECTOR
The power injector is connected inline into the data line. The maximum
distance between the PoE and the SENCITY®Link is 100 m (328 ft). The
PoE must be IEEE 802.3af compliant. To check that the injector is
functioning correctly, use the PoE Tester (see accessories order information
in section A.5).
© 2008 HUBER+SUHNER AG 29

5 TERMINAL MANAGEMENT AND MONITORING FUNCTIONS
For an initial configuration, use a PC or laptop. Address the terminal with the
appropriate IP address.
Every terminal is labeled with its terminal type (A or B).
The factory default values are:
Terminal IP address Subnet mask User name Password
A 192.168.0.11 255.255.255.0 admin sl60
B 192.168.0.12 255.255.255.0 admin sl60
To communicate with the terminal, ensure that the IP address of the
computer used is not allocated automatically by the DHCP server. Configure
the IP address manually - e.g. 192.168.0.1 with subnet mask 255.255.255.0.
Remember to ensure that your web browser is not using any proxy server
settings.
30 www.hubersuhner.com
Note:
The IP address settings have no influence on data connectivity. This settings are
only needed to access the terminal monitoring functions of the terminal.

5.1 WEB BROWSER INTERFACE
5.1.1 System overview screen
This screen shows an overview of key link
information including its current status.
5.1.1.1 Traffic light colors
Green: System is working correctly
Yellow: System is working with intermittent
detection and synchronization
Red: System is not functional
5.1.2 Password screen
Default user name: admin
Default password: sl60
© 2008 HUBER+SUHNER AG 31

5.1.3 Firmware update screen
Current firmware can be downloaded from
http://www.hubersuhner.com/sl60 or requested via
technical support. The downloaded file should be
saved on the local computer and then uploaded to
each terminal through the firmware update form on
the web interface.
5.1.4 Network configuration screen
The network configuration screen offers the option
to change network settings if required. The IP
address settings have no influence on data
connectivity.
32 www.hubersuhner.com

5.1.5 Radio alignment screen
The radio alignment screen shows specific details
relating to the alignment of the two terminals.
The radio history file does log (once a minute) the
following parameter values for the last 48 hours:
●Time since last reboot
Time format: <days>.<hours>:<minutes>
●Receive power at time XY ("minus" sign
omitted)
●Device temperature in °C
●Lock detector: if unequal to 1, then the receivers are not locked
The resynchronization button can be used to restart the synchronization process with the far end terminal.
5.1.6 Network statistics screen
The network statistics screen shows standardized
information relating to network traffic and errors.
Traffic status information is continuously updated
and specific network errors are listed.
5.1.7 SNMP configuration screen
The SL60-6004 terminal can be integrated into a
network management system by using the
implemented SNMP agent. This agent supports
GET and TRAP functionality. No setting can be
performed via SNMP.
© 2008 HUBER+SUHNER AG 33

The MIB file can be downloaded directly from the terminal.
5.1.8 VLAN configuration screen
The SL60-6004 terminal can be integrated into a
VLAN. Configure the VLAN ID, IP address and
subnet mask accordingly.
34 www.hubersuhner.com
Note:
To use this feature you need an SNMP manager program such as HP OpenView
or Castlerock’s SNMPc.

5.2 SNMP INTERFACE
Object OID OID type Description
MIB-2
(iso.org.dod.internet.mgmt.mib-2.system.x / .1.3.6.1.2.1.1.x)
sysDescr .1. DisplayString Includes serial no.
sysUpTime .3. TimeTicks Uptime of the network management
sysName .5. DisplayString set in the web GUI
sysLocation .6. DisplayString set in the web GUI
HUBERSUHNER-MIB sencity
(.iso.org.dod.internet.private.enterprises.hubersuhnerOID.sencity.x / .1.3.6.1.4.1.25358.1.x)
sencityLinkQuality .1. Integer 1: Green
2: Yellow
3: Red
sencityReceivePower .10. Integer Receive signal level [dBm]
sencityTemperature .11. Integer Temperature [°C]
sencityIfEthernetIn .15. Integer Total frames received on the Ethernet
interface
sencityIfEthernetOut .16. Integer Total frames sent on the Ethernet interface
sencityIfEthernetInError .17. Integer Total frames dropped due to errors received
on the Ethernet interface
sencityIfAirIn .18. Integer Total frames received on the Air interface
sencityIfAirOut .19. Integer Total frames sent on the Air interface
sencityIfAirInError .20. Integer Total frames dropped due to errors received
on the Air interface
sencityFirmwareversion .21. String Installed firmware version
© 2008 HUBER+SUHNER AG 35

Object OID OID type Description
HUBERSUHNER-MIB sencitytraps
(.iso.org.dod.internet.private.enterprises.hubersuhnerOID.sencity.sencityTraps.x / .1.3.6.1.4.1.25358.1.22.x)
sencityLinkQualityImprovedTrap .1. Integer 1: from red to green
2: from red to orange
3: from orange to green
sencityLinkQualityReducedTrap .2. Integer 1: from green to orange
2: from green to red
3: from orange to red
sencityTemperatureHighTrap .3. Integer A trap indicating that the temperature within
the terminal is over or below 70 degree
Celcius
sencityTemperatureLowTrap .4. Integer A trap indicating that the temperature within
the unit is over or below -40 degree Celcius
5.3 RESET-CD
On the Reset-CD following functions are available
●Parameter reset
●Firmware upload
●Documents in PDF format
This CD can be indispensable if the terminal IP address is lost or the terminal is on DHCP modus in a
network where no DHCP server is available. In those cases, even though the data transmission is not
influenced, the terminal monitoring functions are not accessible.
By using the parameter reset functionality it is possible to reset the terminal to the factory default IP
addresses (see 5). Also, if username and/or password are lost, they can be reset using the parameter reset
function (see section 5.3.1) of the CD.
36 www.hubersuhner.com

This CD can be indispensable if during the firmware upload process it occurs a power breakdown or the
Ethernet connection breaks. Then it will be needed to upload the firmware via Reset-CD to the terminal.
The Reset-CD is bootable, this means the computer is started by putting the Reset-CD into the optical drive
(NOTE: the optical drive has to be defined on the computer firmware settings as a bootable device). With the
CD a Linux operating system is loaded into the computer memory, so that the communication with the
embedded linux of the terminal is enabled.
5.3.1 Parameter reset
The parameter reset function will reset all terminal
parameters (e.g. IP address, username, password)
to the factory defaults.
5.3.2 Firmware upload
With the firmware upload functionality a firmware
can be uploaded to the terminal even the previous
installed firmware is lost by power breakdown or
Ethernet connectivity break during firmware upload
process.
© 2008 HUBER+SUHNER AG 37
System requirements:
Intel compatible CPU (i486 or later), 32 MB RAM, CD-ROM drive as bootable
device, Ethernet interface.
The CD contains useful documents (manual, installation video, etc.)

A TECHNICAL INFORMATION
A.1 TROUBLESHOOTING
This chapter provides solutions to problems that can occur during the installation and operation of the SL60-
6004. It covers various aspects of installation and network setup.
A.1.1 Power and network connection
You must verify that the terminal is connected to the power. The PoE injector must be installed and plugged
in. Go to the terminal, disconnect the RJ-45 connector and verify if there is power in the cable using a
standard PoE tester.
Take the cable and plug it into a notebook or a network testing device and verify if there is a correct network
connection.
If there is any problem, please replace the cable and validate the connection again. We provide special,
preassembled outdoor CAT 5e cables to ensure easy installation.
A.1.2 Network configuration
Check that the IP address is in the same range and subnet as the SL60-6004.
38 www.hubersuhner.com
Note:
Each of the following points must be checked at both ends of the link. Start by
performing the entire procedure on one side (e.g. Terminal A). If this does not
solve the problem, repeat all the steps at the opposite terminal.

Do a Ping test to make sure that the SL60-6004 is
responding. Go to Start → Run → Type
“Command” → Type “ping 192.168.0.X”.
A successful Ping test will generate four replies.
As soon as the network configuration is correct you
can access the GUI (Graphical User Interface) and
check the settings according to section 4.9.
A.1.3 Duplex mismatch
If you encounter bad network performance, you probably have a duplex mismatch.
To ensure that the SL60-6004 terminal and the connected network component (e.g. switch) do not have a
duplex mismatch you must first check your statistics.
If you find many input errors, you are on the full-duplex side; if you see many late collisions, you are on the
half-duplex side.
To solve the duplex mismatch, you must manually configure both network components to the same values.
A.1.4 Miss-alignment
See the configuration interface as described in section 5.1.4. On the Radio alignment screen (see section
5.1.5) you see the signal strength in dBm (e.g. -30 dBm). If the value is below -95 dBm the receiver is not in
the correct position to track the signal. You therefore need to re-align the terminal to its opposite terminal
© 2008 HUBER+SUHNER AG 39
Note:
The IP address of the SL60-6004 is 192.168.0.11 for Terminal A and
192.168.0.12 for Terminal B. All the computers on the network must have a
unique IP address in the same range, e.g. 192.168.0.X. Any computers with
identical IP addresses will not be visible on the network.
They must all, therefore, have the same subnet mask e.g. 255.255.255.0.

A.2 SPECIFICATIONS
© 2008 HUBER+SUHNER AG 41

General system information
●Transmission Capacity: 100 Mbps Full Duplex
●Interface: 100 Base-TX
●Latency: < 50 µs + distance
latency (1 µs / 300 m)
●Range*: up to 800 m (2600 ft)
●Availability*: up to 99.999%
●Warranty: 1 year
Connection
●Cable Length: max. 100 m (300 ft)
●Signal Wires: CAT 5e
●Connector: RJ–45 (male; including outdoor Ethernet seal kit)
Mechanical data
●Dimension: 340 x 340 x 71 mm
(13.4“ x 13.4“ x 2.8“)
●Weight: 7500 g (16.5 lb) terminal
System administration
●Management: SNMP
Web browser-based configuration
Power supply
●Standards: Compliant to Power over Ethernet according to IEEE 802.3af
●Voltage: ± 48 V DC
●Power Consumption: 11 W
Environmental data
●Working Temperature **: - 45 °C ... + 55 °C
(- 49 °F … + 131 °F)
●Storage Temperature: - 30 °C … + 55 °C
(- 22 °F … + 131 °F)
●Wind Load: operating 160 km/h (100 mph)
survival 200 km/h (125 mph)
42 www.hubersuhner.com

Regulatory
●Regulatory Compliance:
FCC Part 15
Industry Canada RSS210
R&TTE Directive 1999/5/EC
Ordering information
●SL60-6004: Item # 84071429
composed of: 2 Terminals
2 Alignment brackets
1 Manual
2 Mounting sets
1 Reset-CD
2 Ice bridges
* The range depends on the climate zone and the requested availability
** Only if the terminal is powered up
© 2008 HUBER+SUHNER AG 43

A.2.1 Ethernet cable colour code
Pin Name RJ45 Plug
1 TX+ Black
2 TX- Green
3 RX+ Red
4 Power+ Blue
5 Power+ White
6 RX- Orange
7 Power- Yellow
8 Power- Brown
Twisted pairs:
●Black / Green
●Yellow / Brown
●Red / Orange
●Blue / White
44 www.hubersuhner.com
Note:
By cutting of the connector the warranty will expire.

A.3 RECEIVER LEVEL / RAIN / LINK DISTANCE
The following diagram shows the approximate receiver levels at different rain rates and distances. This
diagram is valid for A and B terminals delivered with firmware version 1.40.
© 2008 HUBER+SUHNER AG 45

A.4 AVAILABILITY / RAIN ZONE / LINK DISTANCE
A.4.1 Map of America
46 www.hubersuhner.com

The link distance is directly related to the weather conditions. The table below refers to a link working at a
distance of up to 1200 m (dry weather).
Availability Rain zone *
Link distance (m)
A B C D E F G H J K L M N P Q
99% 1195 1180 1174 1137 1177 1147 1117 1139 1029 1152 1139 1097 1078 975 857
99.9% 1139 1117 1078 1029 1061 1029 975 1001 891 975 941 874 780 642 619
99.99% 1029 975 941 901 874 827 813 799 780 741 661 649 556 463 513
99.999% 874 799 741 741 625 601 642 587 680 544 456 504 419 355 430
* Rain zone according to ITU-R Recommendation PN.837-1
99.9% availability equates to 526 minutes per year of outage due to heavy rains.
99.99% availability equates to 53 minutes per year of outage due to heavy rains.
99.999% availability equates to 5 minutes per year of outage due to heavy rains.
© 2008 HUBER+SUHNER AG 47

A.4.2 Map of Asia and Middle East
48 www.hubersuhner.com

The link distance is directly related to the weather conditions. The table below refers to a link working at a
distance of up to 1200 m (dry weather).
Availability Rain zone *
Link distance (m)
A B C D E F G H J K L M N P Q
99% 1195 1180 1174 1137 1177 1147 1117 1139 1029 1152 1139 1097 1078 975 857
99.9% 1139 1117 1078 1029 1061 1029 975 1001 891 975 941 874 780 642 619
99.99% 1029 975 941 901 874 827 813 799 780 741 661 649 556 463 513
99.999% 874 799 741 741 625 601 642 587 680 544 456 504 419 355 430
* Rain zone according to ITU-R Recommendation PN.837-1
99.9% availability equates to 526 minutes per year of outage due to heavy rains.
99.99% availability equates to 53 minutes per year of outage due to heavy rains.
99.999% availability equates to 5 minutes per year of outage due to heavy rains.
© 2008 HUBER+SUHNER AG 49

A.4.3 Map of Europe
50 www.hubersuhner.com

The link distance is directly related to the weather conditions. The table below refers to a link working at a
distance of up to 1200 m (dry weather).
Availability Rain zone *
Link distance (m)
A B C D E F G H J K L M N P Q
99% 1195 1180 1174 1137 1177 1147 1117 1139 1029 1152 1139 1097 1078 975 857
99.9% 1139 1117 1078 1029 1061 1029 975 1001 891 975 941 874 780 642 619
99.99% 1029 975 941 901 874 827 813 799 780 741 661 649 556 463 513
99.999% 874 799 741 741 625 601 642 587 680 544 456 504 419 355 430
* Rain zone according to ITU-R Recommendation PN.837-1
99.9% availability equates to 526 minutes per year of outage due to heavy rains.
99.99% availability equates to 53 minutes per year of outage due to heavy rains.
99.999% availability equates to 5 minutes per year of outage due to heavy rains.
© 2008 HUBER+SUHNER AG 51

A.5 ACCESSORIES ORDER INFORMATION
Item number Description
23033695 Data Line Protector (indoor)
To use only in combination with an
outdoor protector.
84014284 Data Line Protector (outdoor)
84021330 PoE 802.3af Tester
52 www.hubersuhner.com

Item number Description
84021333 PoE 802.3af Power Injector
84079242 SENCITY®Link Alignment Bracket
84015652 Mast Bracket
84069796 Visual Alignment Tool
© 2008 HUBER+SUHNER AG 53

Item number Description
84022128 Ice Bridge
84031068
84028025
84028026
84028029
Outdoor Ethernet Cable 2 m
Outdoor Ethernet Cable 10 m
Outdoor Ethernet Cable 30 m
Outdoor Ethernet Cable 90 m
84034955 Encryption Box HiSec 220
54 www.hubersuhner.com

Item number Description
84044851 Sealed Ethernet connection RJ45
© 2008 HUBER+SUHNER AG 55

B COUNTRY SPECIFIC INFORMATION
B.1.1 Switzerland, Germany
B.1.1.1 English
Indication about the correct use of the system
The devices of this system establish a wireless point to point data connection.
Indication about possible application limitations
Operation on NIB / NPB (Non interference basis / non protection basis): The equipment is not permitted to
cause harmful interference to other radio services. The equipment has to be switched off immediately in the
case of interference with other services.
Indication about the network interfaces to which the system can be connected
The devices are intended to be connected to IEEE standard 802.3af (Power over Ethernet) compliant
devices. SL60-6004 has to be supplied by a limited power source according to EN 60950-1:2006.
B.1.1.2 Deutsch
Hinweis auf bestimmungsgemässe Verwendung der Anlage
Die Geräte dieser Anlage stellen eine drahtlose Punkt-zu-Punkt Datenverbindung her.
Hinweis auf mögliche Verwendungseinschränkungen
Interferenzen und Schutzvorkehrungen im Betrieb: Die Ausrüstung ist nicht gestattet, andere Funkdienste
nachteilig zu stören. Das Gerät muss im Falle von Interferenzen mit anderen Diensten sofort ausgeschaltet
werden.
Hinweis auf die Netzschnittstellen, an welche die Anlage angeschlossen werden kann
Die Geräte sind für den Anschluss an dem IEEE-Standard 802.3af (Power over Ethernet) konforme Geräte
bestimmt. SL60-6004 muss durch eine Stromquelle begrenzter Leistung gemäss EN 60950-1:2006
56 www.hubersuhner.com

gespiesen werden.
B.1.1.3 Français
Indication concernant l‘utilisation correcte de l‘installation
L’équipement de cette installation établis une liaison de données point à point sans fil.
Indication concernant de possible restrictions de l‘utilisation
Interférence et protection pendant le fonctionnement: Le matériel n’est pas permis de causer des
interférences nuisibles à d’autres services radio. Le matériel doit être mis hors service immédiatement dans
le cas d’interférence avec d’autres services.
Indication concernant les interfaces du réseau auxquelles l‘installation peut être raccordé
L’équipement est conçu pour le raccordement aux appareils conformes au standard IEEE 802.3af (Power
over Ethernet). SL60-6004 doit être alimenté par une source de courant fini selon EN 60950-1:2006.
B.1.1.4 Italiano
Indicazione concernente l’utilizzo corretto e l’installazione
Le componenti installate di questo sistema creano un ponte radio punto-punto.
Indicazione concernente le possibili restrizioni dell’utilizzo
Interferenze e protezione durante l’utilizzo: il sistema non deve causare alcuna interferenza nociva ad altri
servizi radio. Questo sistema deve essere spento immediatamente nel caso di interferenza con altri servizi.
Indicazione concernente le interfacce alle quali il sistema può essere connesso
Il sistema è concepito per essere connesso all’interfaccia conforme allo standard IEEE 802.3af (Power over
Ethernet). SL60-6004 deve essere alimentato da un’alimentazione conforme alle specifica EN 60950-1:2006.
© 2008 HUBER+SUHNER AG 57

C CONTACTS
C.1.1 Technical assistance
Please visit http://www.hubersuhner.com/sl60
C.1.2 Service center / RMA
USA / Canada toll free phone number:
1-800-348-9008
58 www.hubersuhner.com

D GLOSSARY
© 2008 HUBER+SUHNER AG 59
DHCP Dynamic Host Configuration
Protocol
DHCP enables both manual and
automatic IP address allocation in a
network.
DNS Domain Name System enables the
translation from IP address to
domain name
CE The CE marking is a conformity
mark on products placed on market
in the European Economic Area.
FCC Federal Communication
Commission (USA)
IP Internet Protocol
LAN Local Area Networks
LOS Line of Sight – uninterrupted, visual,
point-to-point contact.
MAC address Media Access Control
physical, unique address of network
component
OSHA Occupational Safty and Health
Administration
PoE Power over Ethernet according to
IEEE 802.3af that provides for a
standardized power model.
QPSK Quadrature Phase Shift Keying
SNMP Simple Network Management
Protocol
TCP Transmission Control Protocol
WAN Wide Area Network
WLAN Wireless Local Area Network. This
typically unlicensed non line of site
application operates in the
frequency range 2 - 6 GHz
according to IEEE 802.11x.

E NOTES
60 www.hubersuhner.com

© 2008 HUBER+SUHNER AG 61
HUBER+SUHNER (Australia) Pty. Ltd.
Unit 6, 4 Skyline Place
Frenchs Forest
Sydney NSW 2086 (Australia)
Telefon: +61 2 8977 1200
Fax: +61 2 9972 7549
E-Mail: webenq.au@hubersuhner.com
HUBER+SUHNER América Latina Ltda.
Avenida Rui Barbosa, 3613
Alto da Ponte
Sao José dos Campos -
SP 12213 300 (Brazil)
Telefon: +55 12 3946 9 500
Fax: +55 12 3946 9 527
E-Mail: info.br@hubersuhner.com
HUBER+SUHNER (Canada) Ltd.
2650 Queensview Drive
Suite 206
Ottawa ON K2B 8H6 (Canada)
Telefon: +1 613 721 4111
Fax: +1 613 721 8480
E-Mail: info@hubersuhner.ca
HUBER+SUHNER AG
Degersheimerstrasse 14
Postfach
9100 Herisau (Switzerland)
Telefon: +41 71 353 4111
Fax: +41 71 353 4444
E-Mail: info@hubersuhner.com
Website: www.hubersuhner.com
HUBER+SUHNER GmbH
Mehlbeerenstrasse 6
Postfach 1263
82019 Taufkirchen (Germany)
Telefon: +49 89 6 12 01-0
Fax: +49 89 6 12 01162
E-Mail: info.de@hubersuhner.com
HUBER+SUHNER A/S
Kirke Værløsevej 14
3500 Værløse (Denmark)
Telefon: +45 48 100 500
Fax: +45 48 100 555
E-Mail: info@hubersuhner.dk
HUBER + SUHNER France
21 E, rue Jacques CARTIER
78960 Voisins le Bretonneux (France)
Telefon: +33 1 61 37 25 55
Fax: +33 1 30 64 73 68
E-Mail: info.fr@hubersuhner.com
HUBER+SUHNER (Hong Kong) Ltd.
Suite 1601, 16/F
Chung Nam Building
1 Lockhart Road
Wanchai, Hong Kong (China)
Telefon: +852 2866 6600
Fax: +852 2866 6313
E-Mail: webenq.hk@hubersuhner.com
HUBER+SUHNER Electronics Pvt. Ltd.
359, Udyog Vihar, Phase II
Gurgaon 122016
Haryana (India)
Telefon: +91 124 5102701/02/03
Fax: +91 124 5102704
E-Mail: info.in@hubersuhner.com
HUBER+SUHNER AB
Knarrarnäsgatan 7
Box 1247
SE 164 28 Kista, Stockholm (Sweden)
Telefon: +46 8 447 5200
Fax: +46 8 447 5201
E-Mail: info.se@hubersuhner.com
HUBER+SUHNER (Singapore) Pte. Ltd.
Number 8, Tuas Avenue 5
Singapore 639334 (Singapore)
Telefon: +65 6861 8186
Fax: +65 6861 3316
E-Mail: webenq.sg@hubersuhner.com
HUBER+SUHNER (UK) Ltd.
Telford Road
Bicester Oxfordshire OX26 4LA (UK)
Telefon: +44 1869 364 100/101
Fax: +44 1869 249 046
E-Mail: info.uk@hubersuhner.com
HUBER+SUHNER Inc.
19 Thompson Drive
Essex VT 05452 (USA)
Telefon: +1 802 878 0555
Fax: +1 802 878 9880
E-Mail: info.us@hubersuhner.com

62 www.hubersuhner.com
HUBER+SUHNER AG
RF Technology
CH-9100 Herisau/Switzerland
Tel. +41 (0)71 353 41 11
Fax +41 (0)71 353 45 90
www.hubersuhner.com
WAIVER
It is exclusively in written agreements that we provide our
customers with warrants and representations as to the
technical specifications and/or the fitness for any particular
purpose. The facts and figures contained herein are carefully
compiled to the best of our knowledge, but they areintended
for general informational purposes only.
84071432
HUBER+SUHNER is certified according
to ISO 9001 and ISO 14001.
