Hobart Handler 120 Owners Manual ManualsLib Makes It Easy To Find Manuals Online!
2014-12-11
: Hobart Hobart-Handler-120-Owners-Manual-120081 hobart-handler-120-owners-manual-120081 hobart pdf
Open the PDF directly: View PDF
.
Page Count: 48

Processes
OM-210 088D
November 1999
Handler 120 / 150 And
Piecemaker 14A Gun
Arc Welding Power Source And Wire
Feeder
Description
MIG (GMAW) Welding
Flux Cored (FCAW) Welding

Hobart Welders manufactures a full line
of welders and welding related equipment.
For information on other quality Hobart
products, contact your local Hobart distributor
to receive the latest full line catalog or
individual catalog sheets. To locate your nearest
distributor or service agency call 1-877-Hobart1.
Thank you and congratulations on choosing Hobart.
Now you can get the job done and get it done right.
We know you don’t have time to do it any other way.
This Owner’s Manual is designed to help you get the
most out of your Hobart products. Please take time
to read the Safety precautions. They will help you
protect yourself against
potential hazards on the
worksite. We’ve made
installation and operation
quick and easy. With Hobart you can count on
years of reliable service with proper
maintenance. And if for some reason the unit
needs repair, there’s a Troubleshooting section
that will help you figure out what the problem
is. The parts list will then help you to decide
which exact part you may need to fix the
problem. Warranty and service information for
your particular model are also provided.
Hobart is registered to the
ISO 9001 Quality System
Standard.
From Hobart to You
Hobart offers a Technical
Manual which provides
more detailed service and
parts information for your
unit. To obtain a Technical
Manual, contact your local
distributor. Your distributor
can also supply you with
Welding Process Manuals
such as SMAW, GTAW,
GMAW, and GMAW-P.

The following terms are
used interchangeably
throughout this manual:
MIG=GMAW
TABLE OF CONTENTS
SECTION 1 – SAFETY PRECAUTIONS - READ BEFORE USING 1. . . . . . . . . . . . . . . . . . . . . . . . . . . .
1-1. Symbol Usage 1. . . . . . . . . . . . . . . . . . . . . . . . . . . . . . . . . . . . . . . . . . . . . . . . . . . . . . . . . . . . . . . .
1-2. Arc Welding Hazards 1. . . . . . . . . . . . . . . . . . . . . . . . . . . . . . . . . . . . . . . . . . . . . . . . . . . . . . . . . .
1-3. Additional Symbols for Installation, Operation, and Maintenance 3. . . . . . . . . . . . . . . . . . . . . .
1-4. Principal Safety Standards 3. . . . . . . . . . . . . . . . . . . . . . . . . . . . . . . . . . . . . . . . . . . . . . . . . . . . .
1-5. EMF Information 4. . . . . . . . . . . . . . . . . . . . . . . . . . . . . . . . . . . . . . . . . . . . . . . . . . . . . . . . . . . . . .
SECTION 1. CONSIGNES DE SECURITE – LIRE AVANT UTILISATION 5. . . . . . . . . . . . . . . . . . . . . .
1.1 Signification des symboles 5. . . . . . . . . . . . . . . . . . . . . . . . . . . . . . . . . . . . . . . . . . . . . . . . . . . . .
1.2 Dangers relatifs au soudage à l’arc 5. . . . . . . . . . . . . . . . . . . . . . . . . . . . . . . . . . . . . . . . . . . . . .
1.3 Dangers supplémentaires en relation avec l’installation, le fonctionnement
et la maintenance 7. . . . . . . . . . . . . . . . . . . . . . . . . . . . . . . . . . . . . . . . . . . . . . . . . . . . . . . . . . . . .
1.4 Principales normes de sécurité 8. . . . . . . . . . . . . . . . . . . . . . . . . . . . . . . . . . . . . . . . . . . . . . . . . .
1.5 Information sur les champs électromagnétiques 8. . . . . . . . . . . . . . . . . . . . . . . . . . . . . . . . . . . .
SECTION 2 – SPECIFICATIONS 9. . . . . . . . . . . . . . . . . . . . . . . . . . . . . . . . . . . . . . . . . . . . . . . . . . . . . . . . .
2-1. Specifications 9. . . . . . . . . . . . . . . . . . . . . . . . . . . . . . . . . . . . . . . . . . . . . . . . . . . . . . . . . . . . . . . .
2-2. Duty Cycle And Overheating 10. . . . . . . . . . . . . . . . . . . . . . . . . . . . . . . . . . . . . . . . . . . . . . . . . . . .
2-3. Volt-Ampere Curves 11. . . . . . . . . . . . . . . . . . . . . . . . . . . . . . . . . . . . . . . . . . . . . . . . . . . . . . . . . . .
SECTION 3 – INSTALLATION 12. . . . . . . . . . . . . . . . . . . . . . . . . . . . . . . . . . . . . . . . . . . . . . . . . . . . . . . . . . .
3-1. Installing Welding Gun 12. . . . . . . . . . . . . . . . . . . . . . . . . . . . . . . . . . . . . . . . . . . . . . . . . . . . . . . . .
3-2. Changing Polarity 12. . . . . . . . . . . . . . . . . . . . . . . . . . . . . . . . . . . . . . . . . . . . . . . . . . . . . . . . . . . . .
3-3. Process/Polarity Table 12. . . . . . . . . . . . . . . . . . . . . . . . . . . . . . . . . . . . . . . . . . . . . . . . . . . . . . . . .
3-4. Installing Gas Supply 13. . . . . . . . . . . . . . . . . . . . . . . . . . . . . . . . . . . . . . . . . . . . . . . . . . . . . . . . . .
3-5. Selecting A Location And Connecting Input Power For 120 VAC Model 14. . . . . . . . . . . . . . . .
3-6. Selecting A Location And Connecting Input Power For 230 VAC Model 15. . . . . . . . . . . . . . . .
3-7. Electrical Service Guide For 230 VAC Model 16. . . . . . . . . . . . . . . . . . . . . . . . . . . . . . . . . . . . . .
3-8. Installing Wire Spool And Adjusting Hub Tension 16. . . . . . . . . . . . . . . . . . . . . . . . . . . . . . . . . . .
3-9. Threading Welding Wire 17. . . . . . . . . . . . . . . . . . . . . . . . . . . . . . . . . . . . . . . . . . . . . . . . . . . . . . . .
SECTION 4 – OPERATION 18. . . . . . . . . . . . . . . . . . . . . . . . . . . . . . . . . . . . . . . . . . . . . . . . . . . . . . . . . . . . .
4-1. Controls 18. . . . . . . . . . . . . . . . . . . . . . . . . . . . . . . . . . . . . . . . . . . . . . . . . . . . . . . . . . . . . . . . . . . . .
4-2. Weld Parameters For 120 VAC Model 19. . . . . . . . . . . . . . . . . . . . . . . . . . . . . . . . . . . . . . . . . . . .
4-3. Weld Parameters For 230 VAC Model 20. . . . . . . . . . . . . . . . . . . . . . . . . . . . . . . . . . . . . . . . . . . .
SECTION 5 – MAINTENANCE &TROUBLESHOOTING 21. . . . . . . . . . . . . . . . . . . . . . . . . . . . . . . . . . . . .
5-1. Routine Maintenance 21. . . . . . . . . . . . . . . . . . . . . . . . . . . . . . . . . . . . . . . . . . . . . . . . . . . . . . . . . .
5-2. Overload Protection 21. . . . . . . . . . . . . . . . . . . . . . . . . . . . . . . . . . . . . . . . . . . . . . . . . . . . . . . . . . .
5-3. Changing Drive Roll Or Wire Inlet Guide 22. . . . . . . . . . . . . . . . . . . . . . . . . . . . . . . . . . . . . . . . . .
5-4. Replacing Gun Contact Tip 22. . . . . . . . . . . . . . . . . . . . . . . . . . . . . . . . . . . . . . . . . . . . . . . . . . . . .
5-5. Cleaning Or Replacing Piecemaker 14-A Gun Liner 23. . . . . . . . . . . . . . . . . . . . . . . . . . . . . . . . .
5-6. Troubleshooting Table 24. . . . . . . . . . . . . . . . . . . . . . . . . . . . . . . . . . . . . . . . . . . . . . . . . . . . . . . . .
SECTION 6 – ELECTRICAL DIAGRAM 26. . . . . . . . . . . . . . . . . . . . . . . . . . . . . . . . . . . . . . . . . . . . . . . . . . .
SECTION 7 – MIG WELDING (GMAW) GUIDELINES 29. . . . . . . . . . . . . . . . . . . . . . . . . . . . . . . . . . . . . . .
7-1. Typical MIG Process Connections 29. . . . . . . . . . . . . . . . . . . . . . . . . . . . . . . . . . . . . . . . . . . . . . .
7-2. Typical MIG Process Control Settings 30. . . . . . . . . . . . . . . . . . . . . . . . . . . . . . . . . . . . . . . . . . . .
7-3. Holding And Positioning Welding Gun 31. . . . . . . . . . . . . . . . . . . . . . . . . . . . . . . . . . . . . . . . . . . .
7-4. Conditions That Affect Weld Bead Shape 32. . . . . . . . . . . . . . . . . . . . . . . . . . . . . . . . . . . . . . . . .
7-5. Gun Movement During Welding 33. . . . . . . . . . . . . . . . . . . . . . . . . . . . . . . . . . . . . . . . . . . . . . . . .
7-6. Poor Weld Bead Characteristics 33. . . . . . . . . . . . . . . . . . . . . . . . . . . . . . . . . . . . . . . . . . . . . . . . .
7-7. Good Weld Bead Characteristics 33. . . . . . . . . . . . . . . . . . . . . . . . . . . . . . . . . . . . . . . . . . . . . . . .
7-8. Troubleshooting – Excessive Spatter 34. . . . . . . . . . . . . . . . . . . . . . . . . . . . . . . . . . . . . . . . . . . . .
7-9. Troubleshooting – Porosity 34. . . . . . . . . . . . . . . . . . . . . . . . . . . . . . . . . . . . . . . . . . . . . . . . . . . . .
7-10. Troubleshooting – Excessive Penetration 35. . . . . . . . . . . . . . . . . . . . . . . . . . . . . . . . . . . . . . . . .
7-11. Troubleshooting – Lack Of Penetration 35. . . . . . . . . . . . . . . . . . . . . . . . . . . . . . . . . . . . . . . . . . .
7-12. Troubleshooting – Incomplete Fusion 35. . . . . . . . . . . . . . . . . . . . . . . . . . . . . . . . . . . . . . . . . . . . .
7-13. Troubleshooting – Burn-Through 36. . . . . . . . . . . . . . . . . . . . . . . . . . . . . . . . . . . . . . . . . . . . . . . . .
7-14. Troubleshooting – Waviness Of Bead 36. . . . . . . . . . . . . . . . . . . . . . . . . . . . . . . . . . . . . . . . . . . .
7-15. Troubleshooting – Distortion 36. . . . . . . . . . . . . . . . . . . . . . . . . . . . . . . . . . . . . . . . . . . . . . . . . . . .
7-16. Common MIG Shielding Gases 37. . . . . . . . . . . . . . . . . . . . . . . . . . . . . . . . . . . . . . . . . . . . . . . . . .
SECTION 8 – PARTS LIST 38. . . . . . . . . . . . . . . . . . . . . . . . . . . . . . . . . . . . . . . . . . . . . . . . . . . . . . . . . . . . . .
WARRANTY
OM-210088D


OM-210 088 Page 1
SECTION 1 – SAFETY PRECAUTIONS - READ BEFORE USING
som _nd_4/98
1-1. Symbol Usage
Means Warning! Watch Out! There are possible hazards
with this procedure! The possible hazards are shown in
the adjoining symbols.
YMarks a special safety message.
.Means “Note”; not safety related.
This group of symbols means Warning! Watch Out! possible
ELECTRIC SHOCK, MOVING PARTS, and HOT PARTS hazards.
Consult symbols and related instructions below for necessary actions
to avoid the hazards.
1-2. Arc Welding Hazards
YThe symbols shown below are used throughout this manual to
call attention to and identify possible hazards. When you see
the symbol, watch out, and follow the related instructions to
avoid the hazard. The safety information given below is only
a summary of the more complete safety information found in
the Safety Standards listed in Section 1-4. Read and follow all
Safety Standards.
YOnly qualified persons should install, operate, maintain, and
repair this unit.
YDuring operation, keep everybody, especially children, away.
ELECTRIC SHOCK can kill.
Touching live electrical parts can cause fatal shocks
or severe burns. The electrode and work circuit is
electrically live whenever the output is on. The input
power circuit and machine internal circuits are also
live when power is on. In semiautomatic or automatic wire welding, the
wire, wire reel, drive roll housing, and all metal parts touching the
welding wire are electrically live. Incorrectly installed or improperly
grounded equipment is a hazard.
DDo not touch live electrical parts.
DWear dry, hole-free insulating gloves and body protection.
DInsulate yourself from work and ground using dry insulating mats
or covers big enough to prevent any physical contact with the work
or ground.
DDo not use AC output in damp areas, if movement is confined, or if
there is a danger of falling.
DUse AC output ONLY if required for the welding process.
DIf AC output is required, use remote output control if present on
unit.
DDisconnect input power or stop engine before installing or
servicing this equipment. Lockout/tagout input power according to
OSHA 29 CFR 1910.147 (see Safety Standards).
DProperly install and ground this equipment according to its
Owner’s Manual and national, state, and local codes.
DAlways verify the supply ground – check and be sure that input
power cord ground wire is properly connected to ground terminal in
disconnect box or that cord plug is connected to a properly
grounded receptacle outlet.
DWhen making input connections, attach proper grounding conduc-
tor first – double-check connections.
DFrequently inspect input power cord for damage or bare wiring –
replace cord immediately if damaged – bare wiring can kill.
DTurn off all equipment when not in use.
DDo not use worn, damaged, undersized, or poorly spliced cables.
DDo not drape cables over your body.
DIf earth grounding of the workpiece is required, ground it directly
with a separate cable.
DDo not touch electrode if you are in contact with the work, ground,
or another electrode from a different machine.
DUse only well-maintained equipment. Repair or replace damaged
parts at once. Maintain unit according to manual.
DWear a safety harness if working above floor level.
DKeep all panels and covers securely in place.
DClamp work cable with good metal-to-metal contact to workpiece
or worktable as near the weld as practical.
DInsulate work clamp when not connected to workpiece to prevent
contact with any metal object.
DDo not connect more than one electrode or work cable to any
single weld output terminal.
SIGNIFICANT DC VOLTAGE exists after removal of
input power on inverters.
DTurn Off inverter, disconnect input power, and discharge input
capacitors according to instructions in Maintenance Section
before touching any parts.
Welding produces fumes and gases. Breathing
these fumes and gases can be hazardous to your
health.
FUMES AND GASES can be hazardous.
DKeep your head out of the fumes. Do not breathe the fumes.
DIf inside, ventilate the area and/or use exhaust at the arc to remove
welding fumes and gases.
DIf ventilation is poor, use an approved air-supplied respirator.
DRead the Material Safety Data Sheets (MSDSs) and the
manufacturer’s instructions for metals, consumables, coatings,
cleaners, and degreasers.
DWork in a confined space only if it is well ventilated, or while
wearing an air-supplied respirator. Always have a trained watch-
person nearby. Welding fumes and gases can displace air and
lower the oxygen level causing injury or death. Be sure the breath-
ing air is safe.
DDo not weld in locations near degreasing, cleaning, or spraying op-
erations. The heat and rays of the arc can react with vapors to form
highly toxic and irritating gases.
DDo not weld on coated metals, such as galvanized, lead, or
cadmium plated steel, unless the coating is removed from the weld
area, the area is well ventilated, and if necessary, while wearing an
air-supplied respirator. The coatings and any metals containing
these elements can give off toxic fumes if welded.

OM-210 088 Page 2
Arc rays from the welding process produce intense
visible and invisible (ultraviolet and infrared) rays
that can burn eyes and skin. Sparks fly off from the
weld.
ARC RAYS can burn eyes and skin.
DWear a welding helmet fitted with a proper shade of filter to protect
your face and eyes when welding or watching (see ANSI Z49.1
and Z87.1 listed in Safety Standards).
DWear approved safety glasses with side shields under your
helmet.
DUse protective screens or barriers to protect others from flash and
glare; warn others not to watch the arc.
DWear protective clothing made from durable, flame-resistant mate-
rial (leather and wool) and foot protection.
Welding on closed containers, such as tanks,
drums, or pipes, can cause them to blow up. Sparks
can fly off from the welding arc. The flying sparks, hot
workpiece, and hot equipment can cause fires and
burns. Accidental contact of electrode to metal objects can cause
sparks, explosion, overheating, or fire. Check and be sure the area is
safe before doing any welding.
WELDING can cause fire or explosion.
DProtect yourself and others from flying sparks and hot metal.
DDo not weld where flying sparks can strike flammable material.
DRemove all flammables within 35 ft (10.7 m) of the welding arc. If
this is not possible, tightly cover them with approved covers.
DBe alert that welding sparks and hot materials from welding can
easily go through small cracks and openings to adjacent areas.
DWatch for fire, and keep a fire extinguisher nearby.
DBe aware that welding on a ceiling, floor, bulkhead, or partition can
cause fire on the hidden side.
DDo not weld on closed containers such as tanks, drums, or pipes,
unless they are properly prepared according to AWS F4.1 (see
Safety Standards).
DConnect work cable to the work as close to the welding area as
practical to prevent welding current from traveling long, possibly
unknown paths and causing electric shock and fire hazards.
DDo not use welder to thaw frozen pipes.
DRemove stick electrode from holder or cut off welding wire at
contact tip when not in use.
DWear oil-free protective garments such as leather gloves, heavy
shirt, cuffless trousers, high shoes, and a cap.
DRemove any combustibles, such as a butane lighter or matches,
from your person before doing any welding.
FLYING METAL can injure eyes.
DWelding, chipping, wire brushing, and grinding
cause sparks and flying metal. As welds cool,
they can throw off slag.
DWear approved safety glasses with side
shields even under your welding helmet.
BUILDUP OF GAS can injure or kill.
DShut off shielding gas supply when not in use.
DAlways ventilate confined spaces or use
approved air-supplied respirator.
HOT PARTS can cause severe burns.
DDo not touch hot parts bare handed.
DAllow cooling period before working on gun or
torch.
MAGNETIC FIELDS can affect pacemakers.
DPacemaker wearers keep away.
DWearers should consult their doctor before
going near arc welding, gouging, or spot
welding operations.
NOISE can damage hearing.
Noise from some processes or equipment can
damage hearing.
DWear approved ear protection if noise level is
high.
Shielding gas cylinders contain gas under high
pressure. If damaged, a cylinder can explode. Since
gas cylinders are normally part of the welding
process, be sure to treat them carefully.
CYLINDERS can explode if damaged.
DProtect compressed gas cylinders from excessive heat, mechani-
cal shocks, slag, open flames, sparks, and arcs.
DInstall cylinders in an upright position by securing to a stationary
support or cylinder rack to prevent falling or tipping.
DKeep cylinders away from any welding or other electrical circuits.
DNever drape a welding torch over a gas cylinder.
DNever allow a welding electrode to touch any cylinder.
DNever weld on a pressurized cylinder – explosion will result.
DUse only correct shielding gas cylinders, regulators, hoses, and fit-
tings designed for the specific application; maintain them and
associated parts in good condition.
DTurn face away from valve outlet when opening cylinder valve.
DKeep protective cap in place over valve except when cylinder is in
use or connected for use.
DRead and follow instructions on compressed gas cylinders,
associated equipment, and CGA publication P-1 listed in Safety
Standards.

OM-210 088 Page 3
1-3. Additional Symbols For Installation, Operation, And Maintenance
FIRE OR EXPLOSION hazard.
DDo not install or place unit on, over, or near
combustible surfaces.
DDo not install unit near flammables.
DDo not overload building wiring – be sure power supply system is
properly sized, rated, and protected to handle this unit.
FALLING UNIT can cause injury.
DUse lifting eye to lift unit only, NOT running
gear, gas cylinders, or any other accessories.
DUse equipment of adequate capacity to lift and
support unit.
DIf using lift forks to move unit, be sure forks are
long enough to extend beyond opposite side of
unit.
OVERUSE can cause OVERHEATING
DAllow cooling period; follow rated duty cycle.
DReduce current or reduce duty cycle before
starting to weld again.
DDo not block or filter airflow to unit.
STATIC (ESD) can damage PC boards.
DPut on grounded wrist strap BEFORE handling
boards or parts.
DUse proper static-proof bags and boxes to
store, move, or ship PC boards.
MOVING PARTS can cause injury.
DKeep away from moving parts.
DKeep away from pinch points such as drive
rolls.
WELDING WIRE can cause injury.
DDo not press gun trigger until instructed to do
so.
DDo not point gun toward any part of the body,
other people, or any metal when threading
welding wire.
MOVING PARTS can cause injury.
DKeep away from moving parts such as fans.
DKeep all doors, panels, covers, and guards
closed and securely in place.
H.F. RADIATION can cause interference.
DHigh-frequency (H.F.) can interfere with radio
navigation, safety services, computers, and
communications equipment.
DHave only qualified persons familiar with
electronic equipment perform this installation.
DThe user is responsible for having a qualified electrician prompt-
ly correct any interference problem resulting from the installa-
tion.
DIf notified by the FCC about interference, stop using the
equipment at once.
DHave the installation regularly checked and maintained.
DKeep high-frequency source doors and panels tightly shut, keep
spark gaps at correct setting, and use grounding and shielding to
minimize the possibility of interference.
ARC WELDING can cause interference.
DElectromagnetic energy can interfere with
sensitive electronic equipment such as
computers and computer-driven equipment
such as robots.
DBe sure all equipment in the welding area is
electromagnetically compatible.
DTo reduce possible interference, keep weld cables as short as
possible, close together, and down low, such as on the floor.
DLocate welding operation 100 meters from any sensitive elec-
tronic equipment.
DBe sure this welding machine is installed and grounded
according to this manual.
DIf interference still occurs, the user must take extra measures
such as moving the welding machine, using shielded cables,
using line filters, or shielding the work area.
1-4. Principal Safety Standards
Safety in Welding and Cutting, ANSI Standard Z49.1, from American
Welding Society, 550 N.W. LeJeune Rd, Miami FL 33126
Safety and Health Standards, OSHA 29 CFR 1910, from Superinten-
dent of Documents, U.S. Government Printing Office, Washington, D.C.
20402.
Recommended Safe Practices for the Preparation for Welding and Cut-
ting of Containers That Have Held Hazardous Substances, American
Welding Society Standard AWS F4.1, from American Welding Society,
550 N.W. LeJeune Rd, Miami, FL 33126
National Electrical Code, NFPA Standard 70, from National Fire Protec-
tion Association, Batterymarch Park, Quincy, MA 02269.
Safe Handling of Compressed Gases in Cylinders, CGA Pamphlet P-1,
from Compressed Gas Association, 1235 Jefferson Davis Highway,
Suite 501, Arlington, VA 22202.
Code for Safety in Welding and Cutting, CSA Standard W117.2, from
Canadian Standards Association, Standards Sales, 178 Rexdale
Boulevard, Rexdale, Ontario, Canada M9W 1R3.
Safe Practices For Occupation And Educational Eye And Face
Protection, ANSI Standard Z87.1, from American National Standards
Institute, 1430 Broadway, New York, NY 10018.
Cutting And Welding Processes, NFPA Standard 51B, from National
Fire Protection Association, Batterymarch Park, Quincy, MA 02269.

OM-210 088 Page 4
1-5. EMF Information
Considerations About Welding And The Effects Of Low Frequency
Electric And Magnetic Fields
Welding current, as it flows through welding cables, will cause electro-
magnetic fields. There has been and still is some concern about such
fields. However, after examining more than 500 studies spanning 17
years of research, a special blue ribbon committee of the National
Research Council concluded that: “The body of evidence, in the
committee’s judgment, has not demonstrated that exposure to power-
frequency electric and magnetic fields is a human-health hazard.”
However, studies are still going forth and evidence continues to be
examined. Until the final conclusions of the research are reached, you
may wish to minimize your exposure to electromagnetic fields when
welding or cutting.
To reduce magnetic fields in the workplace, use the following
procedures:
1. Keep cables close together by twisting or taping them.
2. Arrange cables to one side and away from the operator.
3. Do not coil or drape cables around your body.
4. Keep welding power source and cables as far away from opera-
tor as practical.
5. Connect work clamp to workpiece as close to the weld as possi-
ble.
About Pacemakers:
Pacemaker wearers consult your doctor first. If cleared by your doctor,
then following the above procedures is recommended.

OM-210 088 Page 5
SECTION 1 – CONSIGNES DE SECURITE – LIRE AVANT
UTILISATION
som _nd_fre 4/98
1-1. Signification des symboles
Signifie Mise en garde ! Soyez vigilant ! Cette procédure
présente des risques de danger ! Ceux-ci sont identifiés
par des symboles adjacents aux directives.
YIdentifie un message de sécurité particulier.
.Signifie NOTA ; n’est pas relatif à la sécurité.
Ce groupe de symboles signifie Mise en garde ! Soyez vigilant ! Il y a des
risques de danger reliés aux CHOCS ÉLECTRIQUES, aux PIÈCES EN
MOUVEMENT et aux PIÈCES CHAUDES. Reportez-vous aux symboles
et aux directives ci-dessous afin de connaître les mesures à prendre pour
éviter tout danger.
1-2. Dangers relatifs au soudage à l’arc
YLes symboles présentés ci-après sont utilisés tout au long du
présent manuel pour attirer votre attention et identifier les risques
de danger. Lorsque vous voyez un symbole, soyez vigilant et
suivez les directives mentionnées afin d’éviter tout danger. Les
consignes de sécurité présentées ci-après ne font que résumer
l’information contenue dans les normes de sécurité énumérées
à la section 1-4. Veuillez lire et respecter toutes ces normes de
sécurité.
YL’installation, l’utilisation, l’entretien et les réparations ne doi-
vent être confiés qu’à des personnes qualifiées.
YAu cours de l’utilisation, tenir toute personne à l’écart et plus par-
ticulièrement les enfants.
UN CHOC ÉLECTRIQUE peut tuer.
Un simple contact avec des pièces électriques peut
provoquer une électrocution ou des blessures graves.
L’électrode et le circuit de soudage sont sous tension
dès que l’appareil est sur ON. Le circuit d’entrée et les
circuits internes de l’appareil sont également sous
tension à ce moment-là. En soudage semi-automatique ou automatique,
le fil, le dévidoir, le logement des galets d’entraînement et les pièces
métalliques en contact avec le fil de soudage sont sous tension. Des
matériels mal installés ou mal mis à la terre présentent un danger.
DNe jamais toucher les pièces électriques sous tension.
DPorter des gants et des vêtements de protection secs ne comportant
pas de trous.
DS’isoler de la pièce et de la terre au moyen de tapis ou d’autres
moyens isolants suffisamment grands pour empêcher le contact phy-
sique éventuel avec la pièce ou la terre.
DNe pas se servir de source électrique àcourant électrique dans les zones
humides, dans les endroits confinés ou là où on risque de tomber.
DSe servir d’une source électrique àcourant électrique UNIQUEMENT si le
procédé de soudage le demande.
DSi l’utilisation d’une source électrique àcourant électrique s’avère néces-
saire, se servir de la fonction de télécommande si l’appareil en est équipé.
DCouper l’alimentation ou arrêter le moteur avant de procéder à l’instal-
lation, à la réparation ou à l’entretien de l’appareil. Déverrouiller
l’alimentation selon la norme OSHA 29 CFR 1910.147 (voir normes de
sécurité).
DInstaller et mettre à la terre correctement cet appareil conformément à
son manuel d’utilisation et aux codes nationaux, provinciaux et
municipaux.
DToujours vérifier la terre du cordon d’alimentation – Vérifier et s’assu-
rer que le fil de terre du cordon d’alimentation est bien raccordé à la
borne de terre du sectionneur ou que la fiche du cordon est raccordée
à une prise correctement mise à la terre.
DEn effectuant les raccordements d’entrée fixer d’abord le conducteur
de mise à la terre approprié et contre-vérifier les connexions.
DVérifier fréquemment le cordon d’alimentation pour voir s’il n’est pas
endommagé ou dénudé – remplacer le cordon immédiatement s’il est
endommagé – un câble dénudé peut provoquer une électrocution.
DMettre l’appareil hors tension quand on ne l’utilise pas.
DNe pas utiliser des câbles usés, endommagés, de grosseur insuffi-
sante ou mal épissés.
DNe pas enrouler les câbles autour du corps.
DSi la pièce soudée doit être mise à la terre, le faire directement avec un
câble distinct.
DNe pas toucher l’électrode quand on est en contact avec la pièce, la
terre ou une électrode provenant d’une autre machine.
DN’utiliser qu’un matériel en bon état. Réparer ou remplacer sur-le-
champ les pièces endommagées. Entretenir l’appareil conformément
à ce manuel.
DPorter un harnais de sécurité quand on travaille en hauteur.
DMaintenir solidement en place tous les panneaux et capots.
DFixer le câble de retour de façon à obtenir un bon contact métal-métal
avec la pièce à souder ou la table de travail, le plus près possible de la
soudure.
DIsoler la pince de masse quand pas mis à la pièce pour éviter le contact
avec tout objet métallique.
Il y a DU COURANT CONTINU IMPORTANT dans les
convertisseurs après la suppression de l’alimenta-
tion électrique.
DArrêter les convertisseurs, débrancher le courant électrique, et dé-
charger les condensateurs d’alimentation selon les instructions
indiquées dans la partie entretien avant de toucher les pièces.
Le soudage génère des fumées et des gaz. Leur
inhalation peut être dangereux pour votre santé.
DEloigner votre tête des fumées. Ne pas respirer
les fumées.
DA l’intérieur, ventiler la zone et/ou utiliser un échappement au niveau
de l’arc pour l’évacuation des fumées et des gaz de soudage.
DSi la ventilation est insuffisante, utiliser un respirateur à alimenta-
tion d’air homologué.
DLire les spécifications de sécurité des matériaux (MSDSs) et les
instructions du fabricant concernant les métaux, les consomma-
bles, les revêtements, les nettoyants et les dégraisseurs.
DTravailler dans un espace fermé seulement s’il est bien ventilé ou en
portant un respirateur à alimentation d’air. Demander toujours à un
surveillant dûment formé de se tenir à proximité. Des fumées et des
gaz de soudage peuvent déplacer l’air et abaisser le niveau d’oxy-
gène provoquant des blessures ou des accidents mortels. S’assu-
rer que l’air de respiration ne présente aucun danger.
DNe pas souder dans des endroits situés à proximité d’opérations de
dégraissage, de nettoyage ou de pulvérisation. La chaleur et les
rayons de l’arc peuvent réagir en présence de vapeurs et former des
gaz hautement toxiques et irritants.
DNe pas souder des métaux munis d’un revêtement, tels que l’acier
galvanisé, plaqué en plomb ou au cadmium à moins que le revête-
ment n’ait été enlevé dans la zone de soudure, que l’endroit soit bien
ventilé, et si nécessaire, en portant un respirateur à alimentation
d’air. Les revêtements et tous les métaux renfermant ces éléments
peuvent dégager des fumées toxiques en cas de soudage.
LES FUMÉES ET LES GAZ peuvent
être dangereux.

OM-210 088 Page 6
Le rayonnement de l’arc du procédé de soudage
génère des rayons visibles et invisibles intenses
(ultraviolets et infrarouges) susceptibles de provoquer
des brûlures dans les yeux et sur la peau. Des étincelles sont projetées
pendant le soudage.
LES RAYONS DE L’ARC peuvent pro-
voquer des brûlures dans les yeux et
sur la peau.
DPorter un casque de soudage muni d’un écran de filtre approprié pour
protéger votre visage et vos yeux pendant le soudage ou pour regar-
der (voir ANSI Z49.1 et Z87.1 énuméré dans les normes de sécurité).
DPorter des protections approuvés pour les oreilles si le niveau sondre est
trop élevé.
DUtiliser des écrans ou des barrières pour protéger des tiers de l’éclair
et de l’éblouissement; demander aux autres personnes de ne pas re-
garder l’arc.
DPorter des vêtements de protection constitué dans une matière dura-
ble, résistant au feu (cuir ou laine) et une protection des pieds.
Le soudage effectué sur des conteneurs fermés tels
que des réservoirs, tambours ou des conduites peut
provoquer leur éclatement. Des étincelles peuvent être
projetées de l’arc de soudure. La projection d’étincel-
les, des pièces chaudes et des équipements chauds peut provoquer des
incendies et des brûlures. Le contact accidentel de l’électrode avec des
objets métalliques peut provoquer des étincelles, une explosion, un
surchauffement ou un incendie. Avant de commencer le soudage, vérifier
et s’assurer que l’endroit ne présente pas de danger.
LE SOUDAGE peut provoquer un
incendie ou une explosion.
DSe protéger et d’autres personnes de la projection d’étincelles et de
métal chaud.
DNe pas souder dans un endroit là où des étincelles peuvent tomber sur
des substances inflammables.
DDéplacer toutes les substances inflammables à une distance de 10,7
m de l’arc de soudage. En cas d’impossibilité les recouvrir soigneuse-
ment avec des protections homologués.
DDes étincelles et des matériaux chauds du soudage peuvent facile-
ment passer dans d’autres zones en traversant de petites fissures et
des ouvertures.
DSurveiller tout déclenchement d’incendie et tenir un extincteur à proxi-
mité.
DLe soudage effectué sur un plafond, plancher, paroi ou séparation
peut déclencher un incendie de l’autre côté.
DNe pas effectuer le soudage sur des conteneurs fermés tels que des
réservoirs, tambours, ou conduites, à moins qu’ils n’aient été prépa-
rés correctement conformément à AWS F4.1 (voir les normes de
sécurité).
DBrancher le câble sur la pièce le plus près possible de la zone de sou-
dage pour éviter le transport du courant sur une longue distance par
des chemins inconnus éventuels en provoquant des risques d’élec-
trocution et d’incendie.
DNe pas utiliser le poste de soudage pour dégeler des conduites ge-
lées.
DEn cas de non utilisation, enlever la baguette d’électrode du porte-
électrode ou couper le fil à la pointe de contact.
DPorter des vêtements de protection dépourvus d’huile tels que des
gants en cuir, une chemise en matériau lourd, des pantalons sans re-
vers, des chaussures hautes et un couvre chef.
DAvant de souder, retirer toute substance combustible de vos poches
telles qu’un allumeur au butane ou des allumettes.
DES PARTICULES VOLANTES
peuvent blesser les yeux.
DLe soudage, l’écaillement, le passage de la pièce
à la brosse en fil de fer, et le meulage génèrent
des étincelles et des particules métalliques vo-
lantes. Pendant la période de refroidissement des soudures, elles ris-
quent de projeter du laitier.
DPorter des lunettes de sécurité avec écrans latéraux ou un écran facial.
LES ACCUMULATIONS DE GAZ ris-
quent de provoquer des blessures ou
même la mort.
DFermer l’alimentation du gaz protecteur en cas de
non utilisation.
DVeiller toujours à bien aérer les espaces confinés ou se servir d’un respi-
rateur d’adduction d’air homologué.
DES PIÈCES CHAUDES peuvent pro-
voquer des brûlures graves.
DNe pas toucher des parties chaudes à mains nues
DPrévoir une période de refroidissement avant
d’utiliser le pistolet ou la torche.
LES CHAMPS MAGNÉTIQUES peuvent
affecter les stimulateurs cardiaques.
DPorteurs de stimulateur cardiaque, restez à distance.
DLes porteurs d’un stimulateur cardiaque doivent
d’abord consulter leur médecin avant de s’approcher
des opérations de soudage à l’arc, de gougeage ou
de soudage par points.
LE BRUIT peut affecter l’ouïe.
Le bruit des processus et des équipements peut affecter
l’ouïe.
DPorter des protections approuvés pour les oreilles si
le niveau sondre est trop élevé.
Des bouteilles de gaz protecteur contiennent du gaz
sous haute pression. Si une bouteille est endomma-
gée, elle peut exploser. Du fait que les bouteilles de gaz
font normalement partie du procédé de soudage, les
manipuler avec précaution.
DProtéger les bouteilles de gaz comprimé d’une chaleur excessive,
des chocs mécaniques, du laitier, des flammes ouvertes, des étin-
celles et des arcs.
DPlacer les bouteilles debout en les fixant dans un support stationnai-
re ou dans un porte-bouteilles pour les empêcher de tomber ou de
se renverser.
DTenir les bouteilles éloignées des circuits de soudage ou autres cir-
cuits électriques.
DNe jamais placer une torche de soudage sur une bouteille à gaz.
DUne électrode de soudage ne doit jamais entrer en contact avec une
bouteille.
DNe jamais souder une bouteille pressurisée – risque d’explosion.
DUtiliser seulement des bouteilles de gaz protecteur, régulateurs,
tuyaux et raccords convenables pour cette application spécifique;
les maintenir ainsi que les éléments associés en bon état.
DNe pas tenir la tête en face de la sortie en ouvrant la soupape de la
bouteille.
DMaintenir le chapeau de protection sur la soupape, sauf en cas d’uti-
lisation ou de branchement de la bouteille.
DLire et suivre les instructions concernant les bouteilles de gaz com-
primé, les équipements associés et les publications P-1 CGA énu-
mérées dans les normes de sécurité.
Si des BOUTEILLES sont endomma-
gées, elles pourront exploser.

OM-210 088 Page 7
1-3. Dangers supplémentaires en relation avec l’installation, le fonctionnement
et la maintenance
Risque D’INCENDIE OU
D’EXPLOSION.
DNe pas placer l’appareil sur, au-dessus ou à proxi-
mité de surfaces infllammables.
DNe pas installer l’appareil à proximité de produits inflammables
DNe pas surcharger l’installation électrique – s”assurer que l’alimen-
tation est correctement dimensionné et protégé avant de mettre
l’appareil en service.
LA CHUTE DE L’APPAREIL peut
blesser.
DUtiliser l’anneau de levage uniquement pour sou-
lever l’appareil, NON PAS les chariot, les bouteil-
les de gaz ou tout autre accessoire.
DUtiliser un engin d’une capacité appropriée pour
soulever l’appareil.
DEn utilisant des fourches de levage pour déplacer l’unité, s’assurer
que les fourches sont suffisamment longues pour dépasser du côté
opposé de l’appareil.
L’EMPLOI EXCESSIF peut
SURCHAUFFER L’ÉQUIPEMENT.
DPrévoir une période de refroidissement, respec-
ter le cycle opératoire nominal.
DRéduire le courant ou le cycle opératoire avant de
recommancer le soudage.
DNe pas obstruer les passages d’air du poste.
LES CHARGES ÉLECTROSTATI-
QUES peuvent endommager les cir-
cuits imprimés.
DÉtablir la connexion avec la barrette de terre
avant de manipuler des cartes ou des pièces.
DUtiliser des pochettes et des boîtes antistatiques
pour stocker, déplacer ou expédier des cartes de
circuits imprimes.
DES ORGANES MOBILES peuvent
provoquer des blessures.
DNe pas s’approcher des organes mobiles.
DNe pas s’approcher des points de coincement
tels que des rouleaux de commande.
LES FILS DE SOUDAGE peuvent pro-
voquer des blessures.
DNe pas appuyer sur la gachette avant d’en avoir
reçu l’instruction.
DNe pas diriger le pistolet vers soi, d’autres person-
nes ou toute pièce mécanique en engageant le fil
de soudage.
DES ORGANES MOBILES peuvent
provoquer des blessures.
DRester à l’écart des organes mobiles comme le
ventilateur.
DMaintenir fermés et fixement en place les portes,
panneaux, recouvrements et dispositifs de
protection.
LE RAYONNEMENT HAUTE FRÉ-
QUENCE (H.F.) risque de provoquer
des interférences.
DLe rayonnement haute frequence peut provoquer
des interférences avec les équipements de ra-
dio–navigation et de communication, les services
de sécurité et les ordinateurs.
DDemander seulement à des personnes qualifiées familiarisées
avec des équipements électroniques de faire fonctionner l’installa-
tion.
DL’utilisateur est tenu de faire corriger rapidement par un électricien
qualifié les interférences résultant de l’installation.
DSi le FCC signale des interférences, arrêter immédiatement l’appa-
reil.
DEffectuer régulièrement le contrôle et l’entretien de l’installation.
DMaintenir soigneusement fermés les portes et les panneaux des
sources de haute fréquence, maintenir les éclateurs à une distance
correcte et utiliser une terre et et un blindage pour réduire les interfé-
rences éventuelles.
LE SOUDAGE À L’ARC risque de
provoquer des interférences.
DL’énergie électromagnétique risque de provoquer
des interférences pour l’équipement électronique
sensible tel que les ordinateurs et l’équipement
commandé par ordinateur tel que les robots.
DVeiller à ce que tout l’équipement de la zone de soudage soit com-
patible électromagnétiquement.
DPour réduire la possibilité d’interférence, maintenir les câbles de
soudage aussi courts que possible, les grouper, et les poser aussi
bas que possible (ex. par terre).
DVeiller à souder à une distance de 100 mètres de tout équipement
électronique sensible.
DVeiller à ce que ce poste de soudage soit posé et mis à la terre
conformément à ce mode d’emploi.
DEn cas d’interférences après avoir pris les mesures précédentes, il
incombe à l’utilisateur de prendre des mesures supplémentaires tel-
les que le déplacement du poste, l’utilisation de câbles blindés, l’uti-
lisation de filtres de ligne ou la pose de protecteurs dans la zone de
travail.
LES CHAMPS MAGNÉTIQUES peuvent
affecter les stimulateurs cardiaques.
DPorteurs de stimulateur cardiaque, restez à dis-
tance.
DLes porteurs d’un stimulateur cardiaque doivent
d’abord consulter leur médecin avant de s’appro-
cher des opérations de soudage à l’arc, de gou-
geage ou de soudage par points.

OM-210 088 Page 8
1-4. Principales normes de sécurité
Safety in Welding and Cutting, norme ANSI Z49.1, de l’American Wel-
ding Society, 550 N.W. Lejeune Rd, Miami FL 33126
Safety and Health Sandards, OSHA 29 CFR 1910, du Superintendent
of Documents, U.S. Government Printing Office, Washington, D.C.
20402.
Recommended Safe Practice for the Preparation for Welding and Cut-
ting of Containers That Have Held Hazardous Substances, norme AWS
F4.1, de l’American Welding Society, 550 N.W. Lejeune Rd, Miami FL
33126
National Electrical Code, NFPA Standard 70, de la National Fire Protec-
tion Association, Batterymarch Park, Quincy, MA 02269.
Safe Handling of Compressed Gases in Cylinders, CGA Pamphlet P-1,
de la Compressed Gas Association, 1235 Jefferson Davis Highway,
Suite 501, Arlington, VA 22202.
Règles de sécurité en soudage, coupage et procédés connexes, norme
CSA W117.2, de l’Association canadienne de normalisation, vente de
normes, 178 Rexdale Boulevard, Rexdale (Ontario) Canada M9W 1R3.
Safe Practices For Occupation And Educational Eye And Face Protec-
tion, norme ANSI Z87.1, de l’American National Standards Institute,
1430 Broadway, New York, NY 10018.
Cutting and Welding Processes, norme NFPA 51B, de la National Fire
Protection Association, Batterymarch Park, Quincy, MA 02269.
1-5. Information sur les champs électromagnétiques
Données sur le soudage électrique et sur les effets, pour l’organisme,
des champs magnétiques basse fréquence
Le courant de soudage, pendant son passage dans les câbles de sou-
dage, causera des champs électromagnétiques. Il y a eu et il y a encore
un certain souci à propos de tels champs. Cependant, après avoir ex-
aminé plus de 500 études qui ont été faites pendant une période de
recherche de 17 ans, un comité spécial ruban bleu du National Re-
search Council a conclu: “L’accumulation de preuves, suivant le
jugement du comité, n’a pas démontré que l’exposition aux champs
magnétiques et champs électriques à haute fréquence représente un
risque à la santé humaine”. Toutefois, des études sont toujours en cours
et les preuves continuent à être examinées. En attendant que les con-
clusions finales de la recherche soient établies, il vous serait
souhaitable de réduire votre exposition aux champs électromagnéti-
ques pendant le soudage ou le coupage.
Afin de réduire les champs électromagnétiques dans l’environnement
de travail, respecter les consignes suivantes :
1 Garder les câbles ensembles en les torsadant ou en les
attachant avec du ruban adhésif.
2 Mettre tous les câbles du côté opposé de l’opérateur.
3 Ne pas courber pas et ne pas entourer pas les câbles autour de
votre corps.
4 Garder le poste de soudage et les câbles le plus loin possible de
vous.
5 Relier la pince de masse le plus près possible de la zone de
soudure.
Consignes relatives aux stimulateurs cardiaques :
Les personnes qui portent un stimulateur cardiaque doivent avant tout
consulter leur docteur. Si vous êtes déclaré apte par votre docteur, il est
alors recommandé de respecter les consignes ci–dessus.

OM-210 088 Page 9
SECTION 2 – SPECIFICATIONS
2-1. Specifications
A. 120 VAC Model
Rated Welding
Output Amperage
Range
Maximum Open-
Circuit Voltage
DC
Amperes Input at
Rated Load Output
120 V, 60 Hz,
Single-Phase
KVA KW Weight
W/ Gun Overall
Dimensions
90 A @ 19 Volts DC,
30% Duty Cycle
75 A @ 19 Volts DC,
20% Duty Cycle*
30 – 130 28
24
20*
2.88
2.40*
2.45
2.04*
67 lb
(30 kg)
Length: 19-1/8 in
(489 mm)
Width: 10-1/2 in
(267 mm)
Height: 14-1/2 in
(368 mm)
Wire Type
Solid/
Stainless Flux Cored/
Aluminum Wire Feed Speed Range At No Load
Wire Type
And Dia .023 – .030 in
(0.6 – 0.8 mm) .030 – .035 in
(0.8 – 0.9 mm) 160 – 870 IPM (4.1 – 22.5 m/min)
* CSA Rating
B. 230 VAC Model
Rated Welding
Output Amperage
Range
Maximum Open-
Circuit Voltage
DC
Amperes Input at
Rated Load Output
230 V, 50/60 Hz,
Single-Phase
KVA KW Weight
W/ Gun Overall
Dimensions
130 A @ 20 Volts
DC, 30% Duty Cycle
At 60 Hz Input – 20%
Duty Cycle At 50 Hz
Input
30 – 175 30 19.5 4.49 3.83 70 lb
(31.8 kg)
Length: 19-1/8 in
(489 mm)
Width: 10-1/2 in
(267 mm)
Height: 14-1/2 in
(368 mm)
Wire Type
Solid/
Stainless Flux Cored/
Aluminum Wire Feed Speed Range At No Load
Wire Type
And Dia .023 – .030 in
(0.6 – 0.8 mm) .030 – .035 in
(0.8 – 0.9 mm) 160 – 954 IPM (4.1 – 24 m/min)

OM-210 088 Page 10
2-2. Duty Cycle And Overheating
Duty Cycle is percentage of 10 min-
utes that unit can weld at rated load
without overheating.
If unit overheats, thermostat(s)
opens, output stops, and cooling
fan runs. Wait fifteen minutes for
unit to cool. Reduce amperage or
duty cycle before welding.
YExceeding duty cycle can
damage unit or gun and void
warranty.
Overheating
0
15
A or V
OR
Reduce Duty Cycle
Minutes
duty1 4/95 – SA-802 090 / SA-802 091
A. 120 VAC Model
B. 230 VAC Model
3 Minutes Welding 7 Minutes Resting
30%dutycycle at 90 amps
3 Minutes Welding 7 Minutes Resting
30%dutycycle at 130 amps, 60 Hz –
20% duty cycle at 130 amps, 50 Hz

OM-210 088 Page 11
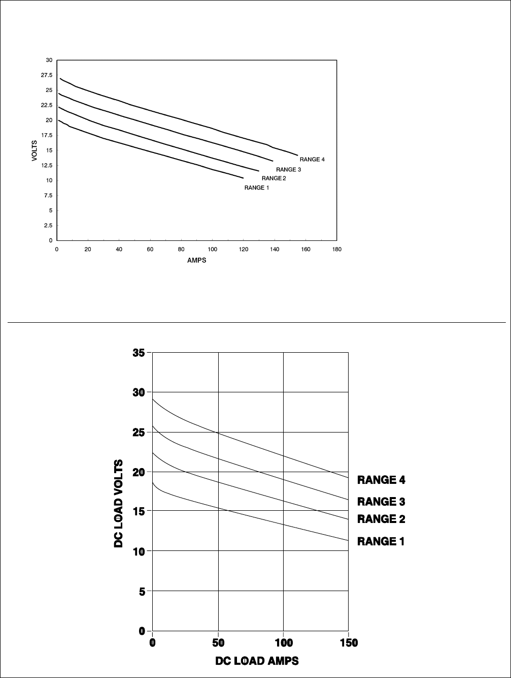
2-3. Volt-Ampere Curves
The volt-ampere curves show the
minimum and maximum voltage
and amperage output capabilities of
the welding power source. Curves
of other settings fall between the
curves shown.
ssb1.1 10/91 – ST-802 082 / ST-802 089
A. 120 VAC Model
B. 230 VAC Model

OM-210 088 Page 12
SECTION 3 – INSTALLATION
3-1. Installing Welding Gun
Ref. ST-802 024
1 Drive Assembly
2 Gun Securing Thumbscrew
3 Gun End
Loosen thumbscrew. Insert gun
end through opening until it bottoms
against drive assembly. Tighten
thumbscrew.
4 Gun Trigger Leads
Insert leads, one at a time, through
small grommet on front panel. Con-
nect female friction terminals to
matching male terminals in unit.
Polarity is not important.
Close door.
4
1
23
3-2. Changing Polarity
1 Lead Connections For Direct
Current Electrode Positive
(DCEP)
2 Lead Connections For Direct
Current Electrode Negative
(DCEN)
Always read and follow wire
manufacturer’s recommended po-
larity, and see Section 3-3.
Close door.
1
Ref. ST-802 024
2
3-3. Process/Polarity Table
Cable Connections
Process Polarity Cable To Gun Cable To Work
GMAW – Soild wire with shield-
ing gas DCEP – Reverse polarity Connect to positive (+) out-
put terminal Connect to negative (–) output
terminal
FCAW – Self-shielding wire –
no shielding gas DCEN – Straight Polarity Connect to negative (–)
output terminal Connect to positive (+) output
terminal

OM-210 088 Page 13
3-4. Installing Gas Supply
Obtain gas cylinder and chain to
running gear, wall, or other station-
ary support so cylinder cannot fall
and break off valve.
1 Cap
2 Cylinder Valve
Remove cap, stand to side of valve,
and open valve slightly. Gas flow
blows dust and dirt from valve.
Close valve.
3 Cylinder
4 Regulator/Flowmeter
Install so face is vertical.
5 Regulator/Flowmeter Gas
Hose Connection
6 Welding Power Source Gas
Hose Connection
Connect customer supplied gas
hose between regulator/flowmeter
gas hose connection, and fitting on
rear of welding power source.
7 Flow Adjust
Typical flow rate is 20 cfh (cubic feet
per hour). Check wire manufactur-
er’s recommended flow rate.
8CO
2 Adapter (Customer Sup-
plied)
9 O-Ring (Customer Supplied)
Install adapter with O-ring between
regulator/flowmeter and CO2
cylinder.
Tools Needed:
CO2 Gas
8 9
3
1
2
4
57
1
2
3
Argon Gas
OR
ST-802 028 / ST-802 086
5/8, 1-1/8 in
6

OM-210 088 Page 14
3-5. Selecting A Location And Connecting Input Power For 120 VAC Model
1 Rating Label
2 Grounded Receptacle
A 120 volt, 20 ampere individual
branch circuit protected by time-de-
lay fuses or circuit breaker is re-
quired.
3 Plug From Unit
Select extension cord of 14 AWG
for up to 50 ft (15 m) or 12 AWG for
50 up to 200 ft (61 m).
YSpecial installation may be
required where gasoline or
volatile liquids are present –
see NEC Article 511 or CEC
Section 20.
2
1
3
18 in
(460 mm)
18 in
(460 mm)
ST-802 084

OM-210 088 Page 15
3-6. Selecting A Location And Connecting Input Power For 230 VAC Model
1 Rating Label
Supply correct input power.
2 Plug
3 Receptacle
Connect plug to receptacle.
4 Line Disconnect Device
See Section 3-7.
YSpecial installation may be
required where gasoline or
volatile liquids are present –
see NEC Article 511 or CEC
Section 20.
ssb2.2* 1/94 – Ref. ST-802 085
1
18 in (457 mm) of
space for airflow
L1
L2
L1
L2
2230 VAC, 1
YAlways connect
grounding
conductor first.
= GND/PE
4
3
YDo not move or operate unit
where it could tip.

OM-210 088 Page 16
3-7. Electrical Service Guide For 230 VAC Model
Input Voltage 230
Input Amperes At Rated Output 19.5
Max Recommended Standard Fuse Or Circuit Breaker Rating In Amperes 30
Min Input Conductor Size In AWG/Kcmil 14
Max Recommended Input Conductor Length In Feet (Meters) 66 (20)
Min Grounding Conductor Size In AWG/Kcmil 14
Reference: 1996 National Electrical Code (NEC) S-0092-J
3-8. Installing Wire Spool And Adjusting Hub Tension
S-0499
15/16 in
Standard Wire Spool (8 in) 1 Lb Wire Spool (4 in)
Turn wingnut. When a slight force is
needed to turn spool, tension is set.
Tools Needed:
Adjusting Hub Tension
Install spool so welding wire feeds from bottom.

OM-210 088 Page 17
3-9. Threading Welding Wire
1 Wire Spool
2 Welding Wire
3 Inlet Wire Guide
4 Pressure Adjustment Knob
5 Drive Roll
6 Outlet Wire Guide
7 Gun Conduit Cable
Lay gun cable out straight.
Tools Needed:
7
61 3
4
5
6 in
(150 mm)
Pull and hold wire; cut off end.
4 in
(102 mm)
Tighten
Remove gun nozzle and contact tip.
Open pressure assembly. Push wire thru guides into gun;
continue to hold wire.
Close and tighten pressure
assembly, and let go of wire.
.Hold wire tightly to keep it
from unraveling.
Ref. ST-802 081 / Ref. ST-205 837
WOOD
Feed wire to check drive roll pressure.
Tighten knob enough to prevent slipping.
Cut off wire. Close and latch door.
Press gun trigger until wire comes
out of gun. Reinstall contact tip and nozzle.
2
Turn power on.
INPUT
POWER

OM-210 088 Page 18
SECTION 4 – OPERATION
4-1. Controls
1 Voltage Switch
The higher the selected number,
the thicker the material that can be
welded (see weld setting label in
welding power source or Sections
4-2 and 4-3, as applicable). Do not
switch under load.
2 Voltage Switch - Purge “0”
Position
In purge position, fan runs but there
is no weld output.
3 Wire Speed Control
Use control to select a wire feed
speed. As Voltage switch setting in-
creases, wire speed range also in-
creases (see weld setting label in
welding power source or Sections
4-2 or 4-3, as applicable).
4 Power Switch
Ref. ST-205 387
2
1
3
MAX.
(STEEL)
THICKNESS
MATERIAL
18–24 GA.
.022–.047
.062
16 GA.
.125
11 GA.
1
0
WIRE
FEED
SPEED 2
3
4
WELD
VOLTS
10
9
8
7
6
5
OOFF
INPUT
POWER
ON
Do not switch
while welding
Ne pas commuter
durant LeSoudure
1
2
34
PURGE 4

OM-210 088 Page 19
4-2. Weld Parameters For 120 VAC Model
205 406-A
BracketsandRimsBasketball
Farm Equipment Frames,
Frames,
”A”
Axles,Brackets,
5356 (.035) 1/4
1/2
5/16
3/4
1/2
1/2
1/2
1/2
3/4
1/4
1/2
1/2
5/16
1/2
1/4
5/16
5/16
5/16
5/16
1/4
1/4
1/43–4
3–4
2–3
2–3
3–4
2–3
3–4
2–3
2
4–5
3–4
3–4
3–4
3
6–7
4–5
4–5
4–5
4
4–5
6
81
2
4
4
3
4
4
4
2
2
3
3
3
1
1
2
2
2
1
2
2
1
DCEP
DCEN
DCEN
DCEN
DCEN
DCEN
DCEN
DCEN
DCEP
DCEP
DCEP
DCEP
DCEP
DCEP
DCEP
DCEP
DCEP
DCEP
DCEP
DCEP
DCEP
DCEP
20
20
20
20
20
20
20
20
20
20
20
20
20
20
20
ARGON
C
HB–28 (.035)
Fabshield 21B (.035)
HB–28 (.030)
(.024)
HB–28 (.024)
18 GA.
16 GA.
11 GA.
7 GA.
16 GA.
11 GA.
16 GA.
1/16”
1/8”
1/16”
3/16”
1/8”
1/16”
3/64”
24 GA.
.022”
Aluminum
Equipment
Counter Tops, Kitchen
Stainless Steel Fryers,
Trailer Hitches, Door Hinge
Bailers, Combines, Bumpers
Brackets, Grain Wagons,
Wheelbarrows, Garage Door
Trailers, Trailer Frames,
Fencing, Lawnmower Decks,
Work, Auto Door Brackets,
Galvanized Roofing, Trailer
Sides, Garage Door Tracks,
Tailpipes, Motorcycles
Decks, Basketball Posts,
Wheelbarrows, Lawnmower
Tailpipes, Bicycles
Wagons, Tricycles, Duct
Lawnmower Handles,
Auto Body
THICKNESS
(Cubic Ft/Hr) (Inches)
STICKOUT
WIRE
SPEED
WIRE
VOLTAGE
WELDING
POLARITY
GAS FLOW
GAS
Gauge)
(Inches/
TO WELD: TYPE\SIZE
WIRE
Settings are approximate. Adjust as required.Welding Guide
C
HB–28
Stainless
(.030)
Solid
HB–28 (.030)
HB–28 (.024)
HB–28 (.024)
HB–28 (.030)
HB–28 (.035)
HB–28 (.035)
HB–28 (.030)
HB–28 (.024)
205406A
Fabshield 21B (.045)
Fabshield 21B (.035)
Fabshield 21B (.035)
Fabshield 21B (.035)
Fabshield 21B (.045)
Fabshield 21B (.045)
25
25
CO2 or C25
CO2 or C25
CO2 or C25
CO2 or C25
CO2 or C25
CO2 or C25
CO2 or C25
CO2 or C25
CO2 or C25
CO2 or C25
CO2 or C25
CO2 or C25
CO2 = Carbon Dioxide
C25 = Argon + 25% Carbon Dioxide

OM-210 088 Page 20
4-3. Weld Parameters For 230 VAC Model
205 424-A
Welding Guide Settings are approximate. Adjust as required.
WIRE
TYPE\SIZE
TO WELD: (Inches/
Gauge)
GAS FLOW POLARITY WELDING
VOLTAGE WIRE
SPEED
WIRE
STICKOUT
(Inches)
(Cubic Ft/Hr)
THICKNESS
Auto Body
Lawnmower Handles,
Wagons, Tricycles, Duct
Tailpipes, Bicycles
Wheelbarrows, Lawnmower
Decks, Basketball Posts,
Tailpipes, Motorcycles
Sides, Garage Door Tracks,
Galvanized Roofing, Trailer
Work, Auto Door Brackets,
Fencing, Lawnmower Decks,
Trailers, Trailer Frames,
Wheelbarrows, Garage Door
Brackets, Grain Wagons,
Bailers, Combines, Bumpers
Trailer Hitches, Door Hinge
Stainless Steel Fryers,
Counter Tops, Kitchen
Equipment
Aluminum
.022”
24 GA.
3/64”
1/16”
1/8”
.187”
1/16”
1/8”
1/16”
16 GA.
11 GA.
16 GA.
.250”
11 GA.
16 GA.
18 GA.
TRI–MIX
TRI–MIX
ARGON
20
20
20
20
20
20
20
20
20
20
20
20
20
20
20
DCEP
DCEP
DCEP
DCEP
DCEP
DCEP
DCEP
DCEP
DCEP
DCEP
DCEP
DCEP
DCEP
DCEP
DCEN
DCEN
DCEN
DCEN
DCEN
DCEN
DCEN
DCEP
1
2
2
1
2
2
2
1
1
3
3
3
2
2
4
4
4
3or4
3or4
3
2
19
6–7
4.5–5.5
4–5
5
4–5
6–7
7–8
4–5
5–6
4–5
4.5–5.5
6–7
5–5.5
4–5
3–4
4.5–5.5
4–5.5
4–5
4.5–5.5
4–5.5
4.5–5.5 1/4
1/4
1/4
5/16
5/16
5/16
5/16
1/2
1/2
5/16
3/8
3/8
1/2
1/2
1/2
1/2
1/2
1/2
3/4
3/8
3/8
1/2
Brackets, Axles, ”A”Frames,
Farm Equipment Frames,
Basketball Rims and Brackets
3/16”to1/4”4TRI–MIX 20 DCEP 6–73/8
14 GA.
1/4”
3/32”
4
3
2
5356 (.035) ARGON
ARGON
ARGON
20
20
20
DCEP
DCEP
DCEP
10
9–10
9
1/2
1/2
1/2
11 GA.
1/8”
TO
3/16
1/4
.187to.250
TRI–MIX= 90% HELIUM + 7–1/2% ARGON + 2–1/2% CARBON DIOXIDE
HB–28 (.024)
5356 (.035)
5356 (.035)
5356 (.035)
Solid
Stainless
(.030)
HB–28 (.024)
HB–28 (.024)
HB–28 (.024)
HB–28 (.024)
HB–28 (.030)
HB–28 (.030)
HB–28 (.035)
HB–28 (.035)
HB–28 (.030)
HB–28 (.030)
HB–28 (.035)
Fabshield 21B (.035)
205424A
Fabshield 21B (.045)
Fabshield 21B (.045)
Fabshield 21B (.035)
Fabshield 21B (.045)
Fabshield 21B (.035)
Fabshield 21B (.035)
CO2 or C25
CO2 = Carbon Dioxide
C25 = Argon + 25% Carbon Dioxide
CO2 or C25
CO2 or C25
CO2 or C25
CO2 or C25
CO2 or C25
CO2 or C25
CO2 or C25
CO2 or C25
CO2 or C25
CO2 or C25
CO2 or C25
GAS

OM-210 088 Page 21
SECTION 5 – MAINTENANCE &TROUBLESHOOTING
5-1. Routine Maintenance
YDisconnect power before maintaining.
3 Months
Replace
unreadable
labels.
Repair or
replace
cracked
weld cable.
Clean and
tighten weld
terminals.
6 Months
Blow out or
vacuum inside.
During heavy
service, clean
monthly.
Or
5-2. Overload Protection
Ref. ST-802 081
1 Circuit Breaker CB
Circuit breaker CB protects wire
feed motor from overload. If circuit
breaker opens, wire stops feeding.
2 Circuit Breaker CB1 (CSA
Model)
CB1 protects unit from overload. If
CB1 opens, unit shuts down.
3 Circuit Breaker CB2 (CSA
Model)
Circuit breaker CB2 protects wire
feed motor from overload. If circuit
breaker opens, wire stops feeding.
Reset breaker.
1
23
120 VAC (CSA) Model
120 VAC And 230 VAC (CSA) Models

OM-210 088 Page 22
5-3. Changing Drive Roll Or Wire Inlet Guide
1 Inlet Wire Guide Securing
Screw
2 Inlet Wire Guide
Loosen screw. Slide tip as close to
drive rolls as possible without
touching. Tighten screw.
3 Drive Roll
The drive roll consists of two differ-
ent sized grooves. The stamped
markings on the end surface of the
drive roll refers to the groove on the
opposite side of the drive roll. The
groove closest to the motor shaft is
the proper groove to thread (see
Section 3-9). NOTE: when chang-
ing drive rolls, make sure the wood-
ruff key is on the motor shaft, and
not in the old drive roll.
4 Drive Roll Securing Screw
Secure drive roll with screw as
shown.
Tools Needed:
2
1
3
4
Ref. ST-802 024 / ST-802 139
5-4. Replacing Gun Contact Tip
Ref. ST-801 987
YTurn Off power before
replacing contact tip.
1 Nozzle
2 Contact Tip
Cut off welding wire at contact tip.
Remove nozzle.
Remove contact tip and install new
contact tip. Reinstall nozzle.
1
2
Tools Needed:

OM-210 088 Page 23
5-5. Cleaning Or Replacing Piecemaker 14-A Gun Liner
Ref. ST-801 995
1/16 in
To Reassemble Gun:
Insert new liner.
Push liner against quick-connect
plug, and tighten set screw.
Cut liner off so that 3/4 in (19.05
mm) sticks out of head tube.
Install adapter, contact tip, and
nozzle.
Lay gun cable out straight
before installing new liner.
Head Tube
1/2 in
Remove liner.
Remove nozzle, contact tip,
adapter, and wire outlet guide.
Blow out gun casing.
YDisconnect gun from unit.
Tools Needed:
1/16 in
Loosen liner set screw.
Quick-Connect Plug
NOTE: Burrs or bent wire from spring
may make it difficult to feed wire
through the liner. Remove burrs

OM-210 088 Page 24
5-6. Troubleshooting Table
Trouble Remedy
No weld output; wire does not feed; fan Secure power cord plug in receptacle (see Section 3-5).
does not run. Replace building line fuse or reset circuit breaker if open.
Place Power switch in On position (see Section 4-1).
Check circuit breaker CB (CSA model), and reset if necessary (see Section 5-2).
No weld output; wire does not feed; fan
motor continues to run. Thermostat S3 open (overheating). Allow fan to run; thermostat closes when unit has cooled (see Section
2-2).
Secure gun trigger leads (see Section 3-1).
No weld output; wire feeds. Connect work clamp to get good metal to metal contact.
Replace contact tip (see Section 5-4).
Check for proper polarity connections (see Section 3-2).
Low weld output. Connect unit to proper input voltage or check for low line voltage.
Place voltage switch in desired position (see Section 4-1).
Electrode wire feeding stops during Straighten gun cable and/or replace damaged parts.
welding. Adjust drive roll pressure (see Section 3-9).
Change to proper drive roll groove (see Section 5-3).
Readjust hub tension (see Section 3-8).
Replace contact tip if blocked (see Section 5-4).
Clean or replace wire inlet guide or liner if dirty or plugged (see Section 5-3 or Section 5-5).
Replace drive roll or pressure bearing if worn or slipping (see Section 5-3).
Secure gun trigger leads or repair leads (see Section 3-1).
Check circuit breaker CB or CB2 (depending on Model), and reset if necessary (see Section 5-2).
Check and clear any restrictions at drive assembly and liner (see Section 3-9 or Section 5-5).
Have nearest Factory Authorized Service Agent check drive motor.

OM-210 088 Page 25
Notes

OM-187 926 Page 26
SECTION 6 – ELECTRICAL DIAGRAM
ST-205 400
53
Figure 6-1. Circuit Diagram For 120 VAC Model

OM-210 088 Page 27
ST-210 011-C
53
Overload
Feed Motor
Figure 6-2. Circuit Diagram For 120 VAC CSA Model

OM-187 926 Page 28
ST-205 423-B
53
53
Figure 6-3. Circuit Diagram For 230 VAC Model

OM-210 088 Page 29
SECTION 7 – MIG WELDING (GMAW) GUIDELINES
7-1. Typical MIG Process Connections
YWeld current can damage
electronic parts in vehicles.
Disconnect both battery
cables before welding on a
vehicle. Place work clamp as
close to the weld as possible.
Wire Feeder/
Power Source
Workpiece
Gun
Regulator/
Flowmeter
Gas
Shielding Gas
Work Clamp
light mig 5/967 / ST-801 909

OM-210 088 Page 30
7-2. Typical MIG Process Control Settings
These settings are guidelines only. Material and wire type, joint design, fitup,
position, shielding gas, etc. affect settings. Test welds to be sure they comply to
specifications.
NOTE
1/8 or
.125 in
Material thickness determines weld
parameters. Convert Material
(.001 in = 1 ampere)
.125 in = 125 A
Select Wire Size
Wire Size Amperage Range
.030 in
.035 in
.023 in
40 – 145 A
50 – 180 A
30 – 90 A
.035 in
Select Wire Speed
Select Voltage
Wire Recommendation
.030 in
.035 in
.023 in
2 in per ampere
1.6 in per ampere
3.5 in per ampere
Wire Speed
2 x 125 A = 250 ipm
1.6 x 125 A = 200 ipm
3.5 x 125 A = 437 ipm
Set voltage midway between high/low voltage.
Low voltage: wire stubs into work
High voltage: arc is unstable (spatter)
125 A based on 1/8 in
Thickness to
(Amperage)
material thickness
Size (Approx.)
Amperage (A)
ipm = inch per minute
Ref. ST-802 083
Voltage controls height and width of
weld bead.
Wire speed (amperage) controls weld pe-
netration (wire speed = burn-off rate)

OM-210 088 Page 31
7-3. Holding And Positioning Welding Gun
Welding wire is energized when gun trigger is pressed. Before lowering helmet and
pressing trigger, be sure wire is no more than 1/2 in (13 mm) past end of nozzle,
and tip of wire is positioned correctly on seam.
NOTE
1 Hold Gun and Control Gun
Trigger
2 Workpiece
3 Work Clamp
4 Electrode Extension (Stickout)
1/4 to 1/2 in (6 To 13 mm)
5 Cradle Gun and Rest Hand on
Workpiece
23
5
4
90°90°
0°-15°
45°
45°
GROOVE WELDS
FILLET WELDS
End View Of Work Angle Side View Of Gun Angle
End View Of Work Angle Side View Of Gun Angle
1
0°-15°
S-0421-A

OM-210 088 Page 32
7-4. Conditions That Affect Weld Bead Shape
Weld bead shape depends on gun angle, direction of travel, electrode extension
(stickout), travel speed, thickness of base metal, wire feed speed (weld current),
and voltage.
NOTE
Short Normal Long
Short Normal Long
10°
10°
GUN ANGLES AND WELD BEAD PROFILES
ELECTRODE EXTENSIONS (STICKOUT)
FILLET WELD ELECTRODE EXTENSIONS (STICKOUT)
Push
Perpendicular Drag
GUN TRAVEL SPEED
Slow Normal Fast
S-0634

OM-210 088 Page 33
7-5. Gun Movement During Welding
Normally, a single stringer bead is satisfactory for most narrow groove weld joints;
however, for wide groove weld joints or bridging across gaps, a weave bead or
multiple stringer beads works better.
NOTE
1 Stringer Bead – Steady
Movement Along Seam
2 Weave Bead – Side To Side
Movement Along Seam
3 Weave Patterns
Use weave patterns to cover a wide
area in one pass of the electrode.
S-0054-A
3
1 2
7-6. Poor Weld Bead Characteristics
1 Large Spatter Deposits
2 Rough, Uneven Bead
3 Slight Crater During Welding
4 Bad Overlap
5 Poor Penetration
5
4
23
1
S-0053-A
7-7. Good Weld Bead Characteristics
1 Fine Spatter
2 Uniform Bead
3 Moderate Crater During
Welding
Weld a new bead or layer for each
1/8 in (3.2 mm) thickness in metals
being welded.
4 No Overlap
5 Good Penetration into Base
Metal
S-0052-B
23
1
4
5

OM-210 088 Page 34
7-8. Troubleshooting – Excessive Spatter
Excessive Spatter – scattering of molten metal particles that
cool to solid form near weld bead.
S-0636
Possible Causes Corrective Actions
Wire feed speed too high. Select lower wire feed speed.
Voltage too high. Select lower voltage range.
Electrode extension (stickout) too long. Use shorter electrode extension (stickout).
Workpiece dirty. Remove all grease, oil, moisture, rust, paint, undercoating, and dirt from work surface before welding.
Insufficient shielding gas at welding arc. Increase flow of shielding gas at regulator/flowmeter and/or prevent drafts near welding arc.
Dirty welding wire. Use clean, dry welding wire.
Eliminate pickup of oil or lubricant on welding wire from feeder or liner.
7-9. Troubleshooting – Porosity
Porosity – small cavities or holes resulting from gas pockets
in weld metal.
S-0635
Possible Causes Corrective Actions
Insufficient shielding gas at welding arc. Increase flow of shielding gas at regulator/flowmeter and/or prevent drafts near welding arc.
Remove spatter from gun nozzle.
Check gas hoses for leaks.
Place nozzle 1/4 to 1/2 in (6-13 mm) from workpiece.
Hold gun near bead at end of weld until molten metal solidifies.
Wrong gas. Use welding grade shielding gas; change to different gas.
Dirty welding wire. Use clean, dry welding wire.
Eliminate pick up of oil or lubricant on welding wire from feeder or liner.
Workpiece dirty. Remove all grease, oil, moisture, rust, paint, coatings, and dirt from work surface before welding.
Use a more highly deoxidizing welding wire (contact supplier).
Welding wire extends too far out of nozzle. Be sure welding wire extends not more than 1/2 in (13 mm) beyond nozzle.
7-10. Troubleshooting – Excessive Penetration
Good Penetration
Excessive Penetration – weld metal melting through base metal
and hanging underneath weld.
Excessive Penetration S-0639
Possible Causes Corrective Actions
Excessive heat input. Select lower voltage range and reduce wire feed speed.
Increase travel speed.

OM-210 088 Page 35
7-11. Troubleshooting – Lack Of Penetration
Lack Of Penetration – shallow
fusion between weld metal and
base metal.
Lack of Penetration Good Penetration S-0638
Possible Causes Corrective Actions
Improper joint preparation. Material too thick. Joint preparation and design must provide access to bottom of groove while
maintaining proper welding wire extension and arc characteristics.
Improper weld technique. Maintain normal gun angle of 0 to 15 degrees to achieve maximum penetration.
Keep arc on leading edge of weld puddle.
Be sure welding wire extends not more than 1/2 in (13 mm) beyond nozzle.
Insufficient heat input. Select higher wire feed speed and/or select higher voltage range.
Reduce travel speed.
7-12. Troubleshooting – Incomplete Fusion
Incomplete Fusion – failure of weld metal to fuse completely with
base metal or a preceeding weld bead.
S-0637
Possible Causes Corrective Actions
Workpiece dirty. Remove all grease, oil, moisture, rust, paint, undercoating, and dirt from work surface before
welding.
Insufficient heat input. Select higher voltage range and/or adjust wire feed speed.
Improper welding technique. Place stringer bead in proper location(s) at joint during welding.
Adjust work angle or widen groove to access bottom during welding.
Momentarily hold arc on groove side walls when using weaving technique.
Keep arc on leading edge of weld puddle.
Use correct gun angle of 0 to 15 degrees.
7-13. Troubleshooting – Burn-Through
Burn-Through – weld metal melting completely through base metal
resulting in holes where no metal remains.
S-0640
Possible Causes Corrective Actions
Excessive heat input. Select lower voltage range and reduce wire feed speed.
Increase and/or maintain steady travel speed.

OM-210 088 Page 36
7-14. Troubleshooting – Waviness Of Bead
Waviness Of Bead – weld metal that is not parallel and does not cover
joint formed by base metal.
S-0641
Possible Causes Corrective Actions
Welding wire extends too far out of nozzle. Be sure welding wire extends not more than 1/2 in (13 mm) beyond nozzle.
Unsteady hand. Support hand on solid surface or use two hands.
7-15. Troubleshooting – Distortion
Distortion – contraction of weld metal during welding that forces
base metal to move.
Base metal moves
in the direction of
the weld bead. S-0642
Possible Causes Corrective Actions
Excessive heat input. Use restraint (clamp) to hold base metal in position.
Make tack welds along joint before starting welding operation.
Select lower voltage range and/or reduce wire feed speed.
Increase travel speed.
Weld in small segments and allow cooling between welds.

OM-210 088 Page 37
7-16. Common MIG Shielding Gases
This is a general chart for common gases and where they are used. Many different combinations (mixtures) of
shielding gases have been developed over the years. The most commonly used shielding gases are listed in the
following table.
Application
Gas Spray Arc Steel Short Circuiting Steel Short Circuiting
Stainless Steel
Short Circuiting
Aluminum
Argon All Positions
Argon + 25% CO2Flat & Horizontal1 Fillet All Positions All Positions2
CO2Flat & Horizontal1 Fillet All Positions
Tri-Mix3All Positions
1 Globular Transfer
2 Single Pass Welding Only
3 90% HE + 7-1/2% AR + 2-1/2% CO2

OM-210 088 Page 38
SECTION 8 – PARTS LIST
.Hardware is common and
not available unless listed.
ST-802 066
Figure 8-1. Main Assembly

OM-210 088 Page 39
Description
Part
No.
Dia.
Mkgs.
Item
No.
Figure 8-1. Main Assembly
Quantity
1 +203 563-1 PANEL, top (gray) 1. . . . . . . . . . . . . . . . . . . . . . . . . . . . . . . . . . . . . . . . . . . . . . . . . . . . . . . . . . . . . . . .
1 +203 563-BA PANEL, top (Mac red) 1. . . . . . . . . . . . . . . . . . . . . . . . . . . . . . . . . . . . . . . . . . . . . . . . . . . . . . . . . .
2 204 036 LABEL, warning 1. . . . . . . . . . . . . . . . . . . . . . . . . . . . . . . . . . . . . . . . . . . . . . . . . . . . . . . . . . . . . . . . . . . .
3 205 388 PANEL, interior 1. . . . . . . . . . . . . . . . . . . . . . . . . . . . . . . . . . . . . . . . . . . . . . . . . . . . . . . . . . . . . . . . . . . . .
4 605 227 NUT, gas valve 1. . . . . . . . . . . . . . . . . . . . . . . . . . . . . . . . . . . . . . . . . . . . . . . . . . . . . . . . . . . . . . . . . . . . .
5 128 751 VALVE, solenoid (230V AC model) 1. . . . . . . . . . . . . . . . . . . . . . . . . . . . . . . . . . . . . . . . . . . . . . . . . . . .
5 116 996 VALVE, solenoid (120V AC model) 1. . . . . . . . . . . . . . . . . . . . . . . . . . . . . . . . . . . . . . . . . . . . . . . . . . . .
6 040 534H TUBE, Tygon gas line 18”. . . . . . . . . . . . . . . . . . . . . . . . . . . . . . . . . . . . . . . . . . . . . . . . . . . . . . . . . . . .
7 NUT, 1/4-20 hex KEPS 1. . . . . . . . . . . . . . . . . . . . . . . . . . . . . . . . . . . . . . . . . . . . . . . . . . . . . . . . . . . . . . . . . . . . . .
8 204 731-1 RELAY, STDT 30A 1. . . . . . . . . . . . . . . . . . . . . . . . . . . . . . . . . . . . . . . . . . . . . . . . . . . . . . . . . . . . . . . .
9 203 627-1 CIRCUIT BREAKER, motor control 1. . . . . . . . . . . . . . . . . . . . . . . . . . . . . . . . . . . . . . . . . . . . . . . . . .
210 109 CIRCUIT BREAKER (120 VAC CSA mode, not shownl) 1. . . . . . . . . . . . . . . . . . . . . . . . . . . . . . . . . . . . .
10 405 576-1 BUSHING, terminal gun switch 1. . . . . . . . . . . . . . . . . . . . . . . . . . . . . . . . . . . . . . . . . . . . . . . . . . . . .
11 409 870 WASHER, insulator output 2. . . . . . . . . . . . . . . . . . . . . . . . . . . . . . . . . . . . . . . . . . . . . . . . . . . . . . . . . . .
12 409 869 BUSHING, insulator output 2. . . . . . . . . . . . . . . . . . . . . . . . . . . . . . . . . . . . . . . . . . . . . . . . . . . . . . . . . . .
13 402 037-6 GROMMET, rubber 1/2 1. . . . . . . . . . . . . . . . . . . . . . . . . . . . . . . . . . . . . . . . . . . . . . . . . . . . . . . . . . . .
14 409 615-2 SPRING, hub brake 1. . . . . . . . . . . . . . . . . . . . . . . . . . . . . . . . . . . . . . . . . . . . . . . . . . . . . . . . . . . . . . .
15 203 556 SHAFT, hub spool 1. . . . . . . . . . . . . . . . . . . . . . . . . . . . . . . . . . . . . . . . . . . . . . . . . . . . . . . . . . . . . . . . . . .
16 203 476 HUB, spool 1. . . . . . . . . . . . . . . . . . . . . . . . . . . . . . . . . . . . . . . . . . . . . . . . . . . . . . . . . . . . . . . . . . . . . . . . .
17 407 611-2 WASHER, nylon shaft 1/4 1. . . . . . . . . . . . . . . . . . . . . . . . . . . . . . . . . . . . . . . . . . . . . . . . . . . . . . . . . .
18 203 666 WASHER, non-rotating 1. . . . . . . . . . . . . . . . . . . . . . . . . . . . . . . . . . . . . . . . . . . . . . . . . . . . . . . . . . . . . .
19 203 544 NUT, hub spool 1. . . . . . . . . . . . . . . . . . . . . . . . . . . . . . . . . . . . . . . . . . . . . . . . . . . . . . . . . . . . . . . . . . . . .
20 W-11294-1 NUT, wing 1/4 1. . . . . . . . . . . . . . . . . . . . . . . . . . . . . . . . . . . . . . . . . . . . . . . . . . . . . . . . . . . . . . . . . . .
21 203 555 WASHER, brake 1. . . . . . . . . . . . . . . . . . . . . . . . . . . . . . . . . . . . . . . . . . . . . . . . . . . . . . . . . . . . . . . . . . . .
22 409 953-1 BLADE, fan 1. . . . . . . . . . . . . . . . . . . . . . . . . . . . . . . . . . . . . . . . . . . . . . . . . . . . . . . . . . . . . . . . . . . . . .
23 180 791 DIODE, rect heat sink assy (230 VAC model) 1. . . . . . . . . . . . . . . . . . . . . . . . . . . . . . . . . . . . . . . . . . .
23 119 264 DIODE, rect heat sink assy (120 VAC model) 1. . . . . . . . . . . . . . . . . . . . . . . . . . . . . . . . . . . . . . . . . . .
24 184 735 GUIDE, wire output 1. . . . . . . . . . . . . . . . . . . . . . . . . . . . . . . . . . . . . . . . . . . . . . . . . . . . . . . . . . . . . . . . . .
25 205 419 TRANSFORMER, power assembly (230 VAC model) 1. . . . . . . . . . . . . . . . . . . . . . . . . . . . . . . . . . . .
25 210 000 TRANSFORMER, power assembly (120 VAC model) 1. . . . . . . . . . . . . . . . . . . . . . . . . . . . . . . . . . . .
26 205 398A BRACKET, mtg fan motor and heat sink 1. . . . . . . . . . . . . . . . . . . . . . . . . . . . . . . . . . . . . . . . . . . . . .
27 210 124 MOTOR, fan (230 VAC model) 1. . . . . . . . . . . . . . . . . . . . . . . . . . . . . . . . . . . . . . . . . . . . . . . . . . . . . . . .
27 210 123 MOTOR, fan (120 VAC model) 1. . . . . . . . . . . . . . . . . . . . . . . . . . . . . . . . . . . . . . . . . . . . . . . . . . . . . . . .
28 203 431-1 HANDLE, lifting 1. . . . . . . . . . . . . . . . . . . . . . . . . . . . . . . . . . . . . . . . . . . . . . . . . . . . . . . . . . . . . . . . . . .
29 203 601-1 SPRING, handle mount 2. . . . . . . . . . . . . . . . . . . . . . . . . . . . . . . . . . . . . . . . . . . . . . . . . . . . . . . . . . . .
30 204 521-1 PANEL, side (gray) 1. . . . . . . . . . . . . . . . . . . . . . . . . . . . . . . . . . . . . . . . . . . . . . . . . . . . . . . . . . . . . . . .
30 204 521-BA PANEL, side (Mac red) 1. . . . . . . . . . . . . . . . . . . . . . . . . . . . . . . . . . . . . . . . . . . . . . . . . . . . . . . . . .
31 204 506 REACTOR, assembly (230 VAC model) 1. . . . . . . . . . . . . . . . . . . . . . . . . . . . . . . . . . . . . . . . . . . . . . . .
31 200 561-1 REACTOR, assembly (120 VAC model) 1. . . . . . . . . . . . . . . . . . . . . . . . . . . . . . . . . . . . . . . . . . . . . .
32 203 429 ENCLOSURE, end cap handle 2. . . . . . . . . . . . . . . . . . . . . . . . . . . . . . . . . . . . . . . . . . . . . . . . . . . . . . . .
33 +205 444 PANEL, plastic end cap (front) 1. . . . . . . . . . . . . . . . . . . . . . . . . . . . . . . . . . . . . . . . . . . . . . . . . . . . . . .
34 402 037-4 GROMMET, rubber 3/8 1. . . . . . . . . . . . . . . . . . . . . . . . . . . . . . . . . . . . . . . . . . . . . . . . . . . . . . . . . . . .
34A 204 413 INSULATOR, gun connector 1. . . . . . . . . . . . . . . . . . . . . . . . . . . . . . . . . . . . . . . . . . . . . . . . . . . . . . . .
35 LABEL, front end cap (call Customer Service with model) 1. . . . . . . . . . . . . . . . . . . . . . . . . . . . . . . . . . . . . . . .
36 193 237 KNOB, pointer (WFS) 1. . . . . . . . . . . . . . . . . . . . . . . . . . . . . . . . . . . . . . . . . . . . . . . . . . . . . . . . . . . . . . .
37 205 389A PANEL, tray 1. . . . . . . . . . . . . . . . . . . . . . . . . . . . . . . . . . . . . . . . . . . . . . . . . . . . . . . . . . . . . . . . . . . . . .
38 203 846-1 FITTING, barbed 1. . . . . . . . . . . . . . . . . . . . . . . . . . . . . . . . . . . . . . . . . . . . . . . . . . . . . . . . . . . . . . . . . .
39 203 558 CONNECTOR, gun 1. . . . . . . . . . . . . . . . . . . . . . . . . . . . . . . . . . . . . . . . . . . . . . . . . . . . . . . . . . . . . . . . .
40 406 732-1 SCREW, thumb 1/4-20 rd pt 1. . . . . . . . . . . . . . . . . . . . . . . . . . . . . . . . . . . . . . . . . . . . . . . . . . . . . . . .
41 407 230-1 ROLL, feed (.024/.030 – .035) 1. . . . . . . . . . . . . . . . . . . . . . . . . . . . . . . . . . . . . . . . . . . . . . . . . . . . . .
407 230-4 ROLL, feed (.024 – .045) Ref. . . . . . . . . . . . . . . . . . . . . . . . . . . . . . . . . . . . . . . . . . . . . . . . . . . . . . . . . . . . .
42 203 081 SCREW, feed roll 1. . . . . . . . . . . . . . . . . . . . . . . . . . . . . . . . . . . . . . . . . . . . . . . . . . . . . . . . . . . . . . . . . . .
43 203 025 GUIDE, wire input 1. . . . . . . . . . . . . . . . . . . . . . . . . . . . . . . . . . . . . . . . . . . . . . . . . . . . . . . . . . . . . . . . . . .
44 409 473A HEAD, feed 1. . . . . . . . . . . . . . . . . . . . . . . . . . . . . . . . . . . . . . . . . . . . . . . . . . . . . . . . . . . . . . . . . . . . . .
45 210 010 MOTOR, wire feed 1. . . . . . . . . . . . . . . . . . . . . . . . . . . . . . . . . . . . . . . . . . . . . . . . . . . . . . . . . . . . . . . . . .
46 203 390 KEY, woodruff 1. . . . . . . . . . . . . . . . . . . . . . . . . . . . . . . . . . . . . . . . . . . . . . . . . . . . . . . . . . . . . . . . . . . . . .
47 205 244-1 CONNECTOR, strain relief 1. . . . . . . . . . . . . . . . . . . . . . . . . . . . . . . . . . . . . . . . . . . . . . . . . . . . . . . . .
48 203 407 PANEL, end cap rear plastic 1. . . . . . . . . . . . . . . . . . . . . . . . . . . . . . . . . . . . . . . . . . . . . . . . . . . . . . . . . .
49 108 358 CONTACTOR, input (230 VAC model) 1. . . . . . . . . . . . . . . . . . . . . . . . . . . . . . . . . . . . . . . . . . . . . . . . .

OM-210 088 Page 40
Description
Part
No.
Dia.
Mkgs.
Item
No.
Figure 8-1. Main Assembly (Continued)
Quantity
49 129 696 CONTACTOR, input (120 VAC model) 1. . . . . . . . . . . . . . . . . . . . . . . . . . . . . . . . . . . . . . . . . . . . . . . . .
50 409 477 SWITCH, rotary range 1. . . . . . . . . . . . . . . . . . . . . . . . . . . . . . . . . . . . . . . . . . . . . . . . . . . . . . . . . . . . . . .
51 361 052-10 CLAMP, capacitor (230 VAC 2 reg) 1. . . . . . . . . . . . . . . . . . . . . . . . . . . . . . . . . . . . . . . . . . . . . . . . .
52 205 405 RESISTOR, assembly (230 VAC 2 reg) 1. . . . . . . . . . . . . . . . . . . . . . . . . . . . . . . . . . . . . . . . . . . . . . . .
53 405 278-011 CAPACITOR, elctlt (230 VAC 2 reg) 1. . . . . . . . . . . . . . . . . . . . . . . . . . . . . . . . . . . . . . . . . . . . . . .
54 116 830 SWITCH, input 16A 1. . . . . . . . . . . . . . . . . . . . . . . . . . . . . . . . . . . . . . . . . . . . . . . . . . . . . . . . . . . . . . . . .
55 000 101 RHEOSTAT, 16 ohm 50W 1. . . . . . . . . . . . . . . . . . . . . . . . . . . . . . . . . . . . . . . . . . . . . . . . . . . . . . . . . . . .
56 203 453 HINGE, door 2. . . . . . . . . . . . . . . . . . . . . . . . . . . . . . . . . . . . . . . . . . . . . . . . . . . . . . . . . . . . . . . . . . . . . . .
57 +203 561-1 PANEL, door (gray) 1. . . . . . . . . . . . . . . . . . . . . . . . . . . . . . . . . . . . . . . . . . . . . . . . . . . . . . . . . . . . . .
57 +203 561-BA PANEL, door (MAC red) 1. . . . . . . . . . . . . . . . . . . . . . . . . . . . . . . . . . . . . . . . . . . . . . . . . . . . . . . .
58 203 635-1 LATCH, door 2. . . . . . . . . . . . . . . . . . . . . . . . . . . . . . . . . . . . . . . . . . . . . . . . . . . . . . . . . . . . . . . . . . . . .
59 152 118 CABLE, power assembly (230 VAC model) 1. . . . . . . . . . . . . . . . . . . . . . . . . . . . . . . . . . . . . . . . . . . . .
59 147 545 CABLE, power assembly (120 VAC model) 1. . . . . . . . . . . . . . . . . . . . . . . . . . . . . . . . . . . . . . . . . . . . .
60 201 234-3 LEAD, ground #6 1. . . . . . . . . . . . . . . . . . . . . . . . . . . . . . . . . . . . . . . . . . . . . . . . . . . . . . . . . . . . . . . . .
61 205 424A LABEL, door (230 VAC model) 1. . . . . . . . . . . . . . . . . . . . . . . . . . . . . . . . . . . . . . . . . . . . . . . . . . . . . .
61 205 406A LABEL, door (120 VAC model) 1. . . . . . . . . . . . . . . . . . . . . . . . . . . . . . . . . . . . . . . . . . . . . . . . . . . . . .
405 548 LABEL, ground screw (not shown) 1. . . . . . . . . . . . . . . . . . . . . . . . . . . . . . . . . . . . . . . . . . . . . . . . . . . . . . . .
62 406 636 LABEL, moving parts 1. . . . . . . . . . . . . . . . . . . . . . . . . . . . . . . . . . . . . . . . . . . . . . . . . . . . . . . . . . . . . . . .
407 099 LABEL, electric shock (CSA model, not shown) 1. . . . . . . . . . . . . . . . . . . . . . . . . . . . . . . . . . . . . . . . . . . .
63 203 829 LABEL, caution (120 VAC model) 1. . . . . . . . . . . . . . . . . . . . . . . . . . . . . . . . . . . . . . . . . . . . . . . . . . . . .
64 TRY-119-1 CONNECTOR, strain relief 1. . . . . . . . . . . . . . . . . . . . . . . . . . . . . . . . . . . . . . . . . . . . . . . . . . . . . . . . .
65 210 109 CIRCUIT BREAKER, push button 1. . . . . . . . . . . . . . . . . . . . . . . . . . . . . . . . . . . . . . . . . . . . . . . . . . . . .
66 407 099 LABEL, electric shock 1. . . . . . . . . . . . . . . . . . . . . . . . . . . . . . . . . . . . . . . . . . . . . . . . . . . . . . . . . . . . . . .
67 186 217 KNOB, pointer (voltage) 1. . . . . . . . . . . . . . . . . . . . . . . . . . . . . . . . . . . . . . . . . . . . . . . . . . . . . . . . . . . . . .
+When ordering a component originally displaying a precautionary label, the label should also be ordered.
To maintain the factory original performance of your equipment, use only Manufacturer’s Suggested
Replacement Parts. Model and serial number required when ordering parts from your local distributor.
.Hardware is common and
not available unless listed.
ST-941f-9-3
8
Figure 8-2. Gun And Cable Assembly, Piecemaker 14-A

OM-210 088 Page 41
Description
Part
No.
Item
No.
Figure 8-2. Gun And Cable Assembly, Piecemaker 14-A
Quantity
1 379 718 NOZZLE, slip on assembly 1. . . . . . . . . . . . . . . . . . . . . . . . . . . . . . . . . . . . . . . . . . . . . . . . . . . . . . . . . .
2 379 708 ADAPTER, nozzle 1. . . . . . . . . . . . . . . . . . . . . . . . . . . . . . . . . . . . . . . . . . . . . . . . . . . . . . . . . . . . . . . . .
3 Table 8-1 TIP, contact 1. . . . . . . . . . . . . . . . . . . . . . . . . . . . . . . . . . . . . . . . . . . . . . . . . . . . . . . . . . . . . . . . . . . . . .
4 177 107 DIFFUSER, gas 1. . . . . . . . . . . . . . . . . . . . . . . . . . . . . . . . . . . . . . . . . . . . . . . . . . . . . . . . . . . . . . . . . . .
5 177 488 TRIGGER, switch 1. . . . . . . . . . . . . . . . . . . . . . . . . . . . . . . . . . . . . . . . . . . . . . . . . . . . . . . . . . . . . . . . . .
6 390 356-285 INSULATOR 1. . . . . . . . . . . . . . . . . . . . . . . . . . . . . . . . . . . . . . . . . . . . . . . . . . . . . . . . . . . . . . . . . .
7 177 302 HANDLE, pair small 1. . . . . . . . . . . . . . . . . . . . . . . . . . . . . . . . . . . . . . . . . . . . . . . . . . . . . . . . . . . . . . . .
8 177 272 NUT, square M4 4. . . . . . . . . . . . . . . . . . . . . . . . . . . . . . . . . . . . . . . . . . . . . . . . . . . . . . . . . . . . . . . . . . .
9 379 733-2 COVER, outer 1. . . . . . . . . . . . . . . . . . . . . . . . . . . . . . . . . . . . . . . . . . . . . . . . . . . . . . . . . . . . . . . . . . .
10 177 271 PIN, contact switch 2. . . . . . . . . . . . . . . . . . . . . . . . . . . . . . . . . . . . . . . . . . . . . . . . . . . . . . . . . . . . . . . .
11 W-10904-14 O-RING, 1/2 x 5/8 x 1/16 2. . . . . . . . . . . . . . . . . . . . . . . . . . . . . . . . . . . . . . . . . . . . . . . . . . . . . . .
12 Table 8-1 SCREW, set #6-32 x 1/8 Ref. . . . . . . . . . . . . . . . . . . . . . . . . . . . . . . . . . . . . . . . . . . . . . . . . . . . . . . . . .
13 Table 8-1 LINER, spring assembly 1. . . . . . . . . . . . . . . . . . . . . . . . . . . . . . . . . . . . . . . . . . . . . . . . . . . . . . . . . . .
14 406 334-1 TOOL, allen wrench 1/16 1. . . . . . . . . . . . . . . . . . . . . . . . . . . . . . . . . . . . . . . . . . . . . . . . . . . . . . . . .
15 203 296-5 SCREW, handle 4. . . . . . . . . . . . . . . . . . . . . . . . . . . . . . . . . . . . . . . . . . . . . . . . . . . . . . . . . . . . . . . . .
To maintain the factory original performance of your equipment, use only Manufacturer’s Suggested
Replacement Parts. Model and serial number required when ordering parts from your local distributor.
Table 8-1. Gun & Cable Assemblies and Replacement Parts For Piecemaker 14-A
GUN & CABLE
ASSEMBLY
CABLE
LENGTH
FEET
WIRE TYPE &
SIZE TIP
PART NO. LINER
PART NO. CABLE
PART NO. SET SCREW
PART NO.
177282A-6 10 .024 H 379 587 379 427-4 177 314-1
177282A-7 10 .030 H/T 379 304 379 427-4 177 314-1
177282A-8 10 .035 H/T 379 314 379 427-4 177 314-1
177282A-9 10 .045 T 379 315 379 427-4 177 314-1
177282A-10 10 .024 H 379 587 379 601-1 177 314-1
177282A-11 10 .030 H/T 379 304 379 599-1 177 314-1
177282A-12 10 .035 H/T 379 314 379 429-1 177 314-1
177282A-13 10 .045 T 379 315 379 429-1 177 314-1
177282A-14 10 .024 H 379 587 379 601-1 177 314-1 W-11525-1
177282A-15 10 .030 H/T 379 304 379 599-1 177 314-1 W-11525-1
177282A-16 10 .035 H/T 379 314 379 429-1 177 314-1 W-11525-1
177282A-17 10 .045 T 379 315 379 429-1 177 314-1 W-11525-1
177282A-18 10 .024 H 379 587 379 601-1 177 314-1 W-11525-1
177282A-19 10 .030 H/T 379 304 379 599-1 177 314-1 W-11525-1
177282A-20 10 .035 H/T 379 314 379 429-1 177 314-1 W-11525-1
177282A-21 10 .045 T 379 315 379 429-1 177 314-1 W-11525-1
GUN & CABLE
ASSEMBLY
(OPTIONAL)
LINER (FOR .024 WIRE)
PART NO.
177282A-6 379 597-4
177282A-7
177282A-8
177282A-9

OM-210 088 Page 42
Table 8-2. Optional Drive Rolls
For All Feed Head Assemblies
PART NO. WIRE DIAMETER
INCHES (mm)
407 230-1 .024 (.6) and .030/.035 (.8 and .9)
203 568 .035, 5356 Aluminum
407 230-4 .024 (.6) and .045 (1.2)
Table 8-3. Kits To Convert Piecemaker 14-A Gun And Machine To Optional Wire Sizes
PART NO. WIRE SIZE
INCHES (mm) ITEMS INCLUDED IN KIT
202 858-4 .045 (1.2) 3 Contact Tips, 1 Gun Liner,
and a 2 lb. Sample of HANDLER T-80
202 858-5 .030 (.8) 3 Contact Tips, 1 Gun Liner, 1 Drive Roll
202 858-6 .035 (.9) 3 Contact Tips, 1 Gun Liner, 1 Drive Roll
202 858-8 .024 (.6) 3 Contact Tips, 1 .024 Gun Liner
202 858-9 .035 Aluminum 3 Contact Tips, 1 Gun Liner, 1 Drive Roll
and 1 Outlet Guide
Table 8-4. Options
PART NO. DESCRIPTION REMARKS
202 992-2 Carry-All For One Small Gas Cylinder
202 526-1 Carry-All For One Large Gas Cylinder
NOTE: If individual parts are required, see Parts List chapter of this manual for part number to order.

Warranty Questions?
Call
1-877-HOBART1
for your local
Hobart distributor.
hobart standard 7/00
Service
You always get the fast,
reliable response you
need. Most replacement
parts can be in your
hands in 24 hours.
Support
Need fast answers to the
tough welding questions?
Contact your distributor or
call 1-800-332-3281. The
expertise of the distributor
and Hobart is there to
help you, every step of
the way.
Effective January 1, 2000
(Equipment with a serial number preface of “LA” or newer)
This limited warranty supersedes all previous Hobart warranties and is exclusive with no other
guarantees or warranties expressed or implied.
LIMITED WARRANTY – Subject to the terms and conditions
below, Hobart Welding Products., Troy, Ohio, warrants to its
original retail purchaser that new Hobart equipment sold after
the effective date of this limited warranty is free of defects in
material and workmanship at the time it is shipped by Hobart.
THIS WARRANTY IS EXPRESSLY IN LIEU OF ALL OTHER
WARRANTIES, EXPRESS OR IMPLIED, INCLUDING THE
WARRANTIES OF MERCHANTABILITY AND FITNESS.
Within the warranty periods listed below, Hobart will repair or
replace any warranted parts or components that fail due to
such defects in material or workmanship. Hobart must be
notified in writing within thirty (30) days of such defect or
failure, at which time Hobart will provide instructions on the
warranty claim procedures to be followed.
Hobart shall honor warranty claims on warranted equipment
listed below in the event of such a failure within the warranty
time periods. All warranty time periods start on the date that
the equipment was delivered to the original retail purchaser, or
one year after the equipment is sent to a North American
distributor or eighteen months after the equipment is sent to an
International distributor.
1. 5 Years Parts – 3 Years Labor
* Original main power rectifiers
* Inverters (input and output rectifiers only)
2. 3 Years — Parts and Labor
* Transformer/Rectifier Power Sources
* Plasma Arc Cutting Power Sources
* Semi-Automatic and Automatic Wire Feeders
* Inverter Power Supplies
* Intellitig
* Engine Driven Welding Generators
(NOTE: Engines are warranted separately by
the engine manufacturer.)
3. 1 Year — Parts and Labor
* DS-2 Wire Feeder
* Motor Driven Guns (w/exception of Spoolmate
185 & Spoolmate 250)
* Process Controllers
* Positioners and Controllers
* Automatic Motion Devices
* RFCS Foot Controls
* Induction Heating Power Sources
* Water Coolant Systems
* HF Units
* Grids
* Maxstar 140
* Spot Welders
* Load Banks
* Hobart Cyclomatic Equipment
* Running Gear/Trailers
* Plasma Cutting Torches (except APT & SAF
Models)
* Field Options
(NOTE: Field options are covered under True
Blue for the remaining warranty period of the
product they are installed in, or for a minimum of
one year — whichever is greater.)
4. 6 Months — Batteries
5. 90 Days — Parts
* MIG Guns/TIG Torches
* Induction Heating Coils and Blankets
* APT, ZIPCUT & PLAZCUT Model Plasma Cutting
Torches
* Remote Controls
* Accessory Kits
* Replacement Parts (No labor)
* Spoolmate 185 & Spoolmate 250
* Canvas Covers
HOBART’s Limited Warranty shall not apply to:
1. Consumable components; such as contact tips,
cutting nozzles, contactors, brushes, slip rings,
relays or parts that fail due to normal wear.
2. Items furnished by Hobart, but manufactured by others,
such as engines or trade accessories. These items are
covered by the manufacturer’s warranty, if any.
3. Equipment that has been modified by any party other
than Hobart, or equipment that has been improperly
installed, improperly operated or misused based upon
industry standards, or equipment which has not had
reasonable and necessary maintenance, or equipment
which has been used for operation outside of the
specifications for the equipment.
HOBART PRODUCTS ARE INTENDED FOR PURCHASE
AND USE BY COMMERCIAL/INDUSTRIAL USERS AND
PERSONS TRAINED AND EXPERIENCED IN THE USE
AND MAINTENANCE OF WELDING EQUIPMENT.
In the event of a warranty claim covered by this warranty, the
exclusive remedies shall be, at Hobart’s option: (1) repair; or
(2) replacement; or, where authorized in writing by Hobart in
appropriate cases, (3) the reasonable cost of repair or
replacement at an authorized Hobart service station; or (4)
payment of or credit for the purchase price (less reasonable
depreciation based upon actual use) upon return of the goods
at customer’s risk and expense. Hobart’s option of repair or
replacement will be F.O.B., Factory at Appleton, Wisconsin, or
F.O.B. at a Hobart authorized service facility as determined by
Hobart. Therefore no compensation or reimbursement for
transportation costs of any kind will be allowed.
TO THE EXTENT PERMITTED BY LAW, THE REMEDIES
PROVIDED HEREIN ARE THE SOLE AND EXCLUSIVE
REMEDIES. IN NO EVENT SHALL HOBART BE LIABLE
FOR DIRECT, INDIRECT, SPECIAL, INCIDENTAL OR
CONSEQUENTIAL DAMAGES (INCLUDING LOSS OF
PROFIT), WHETHER BASED ON CONTRACT, TORT OR
ANY OTHER LEGAL THEORY.
ANY EXPRESS WARRANTY NOT PROVIDED HEREIN
AND ANY IMPLIED WARRANTY, GUARANTY OR
REPRESENTATION AS TO PERFORMANCE, AND ANY
REMEDY FOR BREACH OF CONTRACT TORT OR ANY
OTHER LEGAL THEORY WHICH, BUT FOR THIS
PROVISION, MIGHT ARISE BY IMPLICATION,
OPERATION OF LAW, CUSTOM OF TRADE OR COURSE
OF DEALING, INCLUDING ANY IMPLIED WARRANTY OF
MERCHANTABILITY OR FITNESS FOR PARTICULAR
PURPOSE, WITH RESPECT TO ANY AND ALL
EQUIPMENT FURNISHED BY HOBART IS EXCLUDED
AND DISCLAIMED BY HOBART.
Some states in the U.S.A. do not allow limitations of how long
an implied warranty lasts, or the exclusion of incidental,
indirect, special or consequential damages, so the above
limitation or exclusion may not apply to you. This warranty
provides specific legal rights, and other rights may be
available, but may vary from state to state.
In Canada, legislation in some provinces provides for certain
additional warranties or remedies other than as stated herein,
and to the extent that they may not be waived, the limitations
and exclusions set out above may not apply. This Limited
Warranty provides specific legal rights, and other rights may
be available, but may vary from province to province.

PRINTED IN USA 2000 Hobart Welding Products. 1/00
Hobart Welding Products
An Illinois Tool Works Company
600 West Main Street
Troy, OH 45373 USA
For Technical Assistance:
Call1-800-332-3281
For Literature Or Nearest Dealer:
Call 1-877-Hobart1
Model Name Serial/Style Number
Purchase Date (Date which equipment was delivered to original customer.)
Distributor
Address
City
State Zip
Please complete and retain with your personal records.
Always provide Model Name and Serial/Style Number.
To locate a Distributor,
retail or service location:
Call 1-877-Hobart1 or visit our website at
www.HobartWelders.com
Contact your Distributor for:
Welding Supplies and Consumables
Options and Accessories
Personal Safety Equipment
Service and Repair
Replacement Parts
Training (Schools, Videos, Books)
Technical Manuals (Servicing Information
and Parts)
Circuit Diagrams
Welding Process Handbooks
Contact the Delivering Carrier for:
For assistance in filing or settling claims,
contact your distributor and/or equipment
manufacturer’s Transportation Department.
Resources Available
Owner’s Record
File a claim for loss or damage during
shipment.
For technical assistance:
Call 1-800-332-3281