Hyde Park Electronics Schneider Electric Sensor Competency Center XGCS8 RFID Reader User Manual Ositrack compact station

Hyde Park Electronics LLC DBA Schneider Electric Sensor Competency Center RFID Reader Ositrack compact station

User Manual

W916556690111RFID Ositrack  Compact stations Stations compactesUser Guide / Manuel utilisateurW916556690111 27/06/2007  www.telemecanique.com
       2 English
3EnglishTable of ContentsSafety Information  . . . . . . . . . . . . . . . . . . . . . . . . . . . . . . . . . . . . 5About the Book . . . . . . . . . . . . . . . . . . . . . . . . . . . . . . . . . . . . . . .7Chapter 1 General  . . . . . . . . . . . . . . . . . . . . . . . . . . . . . . . . . . . . . . . . . . . . .9Presentation  . . . . . . . . . . . . . . . . . . . . . . . . . . . . . . . . . . . . . . . . . . . . . . . . . . . . .  9System Presentation . . . . . . . . . . . . . . . . . . . . . . . . . . . . . . . . . . . . . . . . . . . . . .  10Exchange Principle . . . . . . . . . . . . . . . . . . . . . . . . . . . . . . . . . . . . . . . . . . . . . . .  11Equipment in the Ositrack Range . . . . . . . . . . . . . . . . . . . . . . . . . . . . . . . . . . . .  12Chapter 2 Installing the system  . . . . . . . . . . . . . . . . . . . . . . . . . . . . . . . . . 13Presentation  . . . . . . . . . . . . . . . . . . . . . . . . . . . . . . . . . . . . . . . . . . . . . . . . . . . .  13Defining the System Environment. . . . . . . . . . . . . . . . . . . . . . . . . . . . . . . . . . . .  14Setting up the Station . . . . . . . . . . . . . . . . . . . . . . . . . . . . . . . . . . . . . . . . . . . . .  18Connecting the Station . . . . . . . . . . . . . . . . . . . . . . . . . . . . . . . . . . . . . . . . . . . .  25Wiring a Modbus/Uni-Telway Network  . . . . . . . . . . . . . . . . . . . . . . . . . . . . . . . .  27Wiring an Ethernet Modbus TCP/IP network. . . . . . . . . . . . . . . . . . . . . . . . . . . .  30Connecting the TCS AMT31FP splitter box  . . . . . . . . . . . . . . . . . . . . . . . . . . . .  31Chapter 3 Setting the System Parameters. . . . . . . . . . . . . . . . . . . . . . . . .35Presentation  . . . . . . . . . . . . . . . . . . . . . . . . . . . . . . . . . . . . . . . . . . . . . . . . . . . .  35Setting the Station Parameters . . . . . . . . . . . . . . . . . . . . . . . . . . . . . . . . . . . . . .  36Setting the PLC Parameters . . . . . . . . . . . . . . . . . . . . . . . . . . . . . . . . . . . . . . . .  40Chapter 4 Operating Principles. . . . . . . . . . . . . . . . . . . . . . . . . . . . . . . . . .41Presentation  . . . . . . . . . . . . . . . . . . . . . . . . . . . . . . . . . . . . . . . . . . . . . . . . . . . .  41Memory Zones  . . . . . . . . . . . . . . . . . . . . . . . . . . . . . . . . . . . . . . . . . . . . . . . . . .  42Station Memory Zone . . . . . . . . . . . . . . . . . . . . . . . . . . . . . . . . . . . . . . . . . . . . .  43Tag Memory Zone. . . . . . . . . . . . . . . . . . . . . . . . . . . . . . . . . . . . . . . . . . . . . . . .  46Chapter 5 Communicating with the Uni-Telway Protocol  . . . . . . . . . . . . 51Presentation  . . . . . . . . . . . . . . . . . . . . . . . . . . . . . . . . . . . . . . . . . . . . . . . . . . . .  51General . . . . . . . . . . . . . . . . . . . . . . . . . . . . . . . . . . . . . . . . . . . . . . . . . . . . . . . .  52Requests . . . . . . . . . . . . . . . . . . . . . . . . . . . . . . . . . . . . . . . . . . . . . . . . . . . . . . .  54Programming. . . . . . . . . . . . . . . . . . . . . . . . . . . . . . . . . . . . . . . . . . . . . . . . . . . .  66
4EnglishChapter 6 Communicating with the Modbus Protocol. . . . . . . . . . . . . . . 51Presentation. . . . . . . . . . . . . . . . . . . . . . . . . . . . . . . . . . . . . . . . . . . . . . . . . . . . . 51General  . . . . . . . . . . . . . . . . . . . . . . . . . . . . . . . . . . . . . . . . . . . . . . . . . . . . . . . . 70Requests . . . . . . . . . . . . . . . . . . . . . . . . . . . . . . . . . . . . . . . . . . . . . . . . . . . . . . . 73Programming . . . . . . . . . . . . . . . . . . . . . . . . . . . . . . . . . . . . . . . . . . . . . . . . . . . . 79Chapter 7 Integration Tips  . . . . . . . . . . . . . . . . . . . . . . . . . . . . . . . . . . . . . 81Tips  . . . . . . . . . . . . . . . . . . . . . . . . . . . . . . . . . . . . . . . . . . . . . . . . . . . . . . . . . . . 81Chapter 8 Diagnostics. . . . . . . . . . . . . . . . . . . . . . . . . . . . . . . . . . . . . . . . . 85Diagnosing a Fault. . . . . . . . . . . . . . . . . . . . . . . . . . . . . . . . . . . . . . . . . . . . . . . . 85
W916556690111 27/06/2007 5§EnglishSafety InformationImportant InformationNOTICE Read these instructions carefully, and look at the equipment to become familiar with the device before trying to install, operate, or maintain it. The following special messages may appear throughout this documentation or on the equipment to warn of potential hazards or to call attention to information that clarifies or simplifies a procedure.The addition of this symbol to a Danger or Warning safety label indicatesthat an electrical hazard exists, which will result in personal injury if theinstructions are not followed.This is the safety alert symbol. It is used to alert you to potential personalinjury hazards. Obey all safety messages that follow this symbol to avoidpossible injury or death.DANGER indicates an imminently hazardous situation, which, if not avoided, will result in death or serious injury.DANGERWARNING indicates a potentially hazardous situation, which, if not avoided, can result in death, serious injury, or equipment damage.WARNINGCAUTION indicates a potentially hazardous situation, which, if not avoided, can result in injury or equipment damage.CAUTION
Safety Information6W916556690111 27/06/2007EnglishPLEASE NOTE Electrical equipment should be installed, operated, serviced, and maintained only by qualified personnel. No responsibility is assumed by Schneider Electric for any consequences arising out of the use of this material.© 2007 Schneider Electric. All Rights Reserved.
W916556690111 27/06/2007 7EnglishAbout the BookAt a GlanceDocument Scope This manual describes how to use Ositrack compact stations and associated accessories.. Related DocumentsUser Comments We welcome your comments about this document. You can reach us by e-mail at techpub@schneider-electric.comTitle of Documentation Reference NumberUser Guide: Splitter box, Ethernet Modbus TCP/IP 1655668 01User Guide: Hand-held terminal 1706482 01
About the Book8W916556690111 27/06/2007English
W916556690111 27/06/2007 9English1GeneralPresentationAim of this ChapterThis chapter presents the Ositrack compact stations and the associated range of equipment.What's in this Chapter?This chapter contains the following topics:Topic PageSystem Presentation 10Exchange Principle 11Equipment in the Ositrack Range 12
General10 W916556690111 27/06/2007EnglishSystem PresentationDefinition of RFIDRFID is the use of radio transmission to identify and locate objects.An RFID system is based on three main components:A reader (Read/Write station)A radio antennaAn electronic tagOperation of an RFID SystemThe tag is fixed on, or in, the object to be tracked or identified. There is no contact with the reader. This means that the tag can be placed inside objects (boxes, bags, etc) and that the reader can be positioned behind a protective screen, as long as the materials are not metallic.When a tag enters the field generated by the reader, it detects the signal and exchanges the data (read or write) between its memory and the reader.Presentation of the Ositrack OfferOsitrack is an RFID system offering: Traceability and tracking of itemsFlexibility of production systemsVarious types of access control An open system:System compatible with tags that comply with standards ISO 14 443 and ISO 15 693Modbus, Modbus TCP/IP and Uni-Telway protocols. A simple system:No station programmingData formatted in accordance with PLC standards (16-bit words)Automatic configuration of communication parameters (speed, format, etc)Quick wiring using M12 connectorsExtensive range of cables and fixing accessoriesPossibility of using metal supports Integrated system:Reader, radio antenna and network functions in the same unitThe smallest industrial RFID reader
GeneralW916556690111 27/06/2007 11EnglishExchange PrinciplePresentation The compact station is used to send information from the tag to the PLC and vice versa, as described below: Phases in the ProcessThe following table shows the various exchange phases:Notes:PLC Station TagPhase ExchangesPLC Station Station Tag1 Look for a tag in the dialog zone 2                  Positive response 3 Send a read/write command 4  Execution of the command (with checks) 5 Send back report 1 If phase 3 is carried out with no tag present, an error message is sent back to the PLC. 2 If an error is detected in phase 4, this phase is automatically restarted (up to 3 times). If an error is still detected at the end of phase 4, an error report is sent back in phase 5.
General12 W916556690111 27/06/2007EnglishEquipment in the Ositrack Range   Cabling via M12 connector:- Splitter boxes suitable for Schneider networks (Modbus, Uni-Telway, Ethernet)- Network powered between the station and the splitter box- Range of cablesCompact stations incorporating all the RFID and network functions in the same unitIndustrial tagsOsitrack stationMaintenance and configuration toolSHIFT2NDALTCAPSCTRLCHGLOWBATOsit rackON OFF0SHIFT CTRL ALT ESC@BF3-JInsert+K~#AF2"EHome*IDelete=LCAPSLOCK'FEnd&C<$D>OP%QRGMenu(M[/N]\HHelp)S.TU,VW:XY;Z!7 8 9BACKSPACE?PGPG4 5 61 2 3TABTABiSPAC EDNUP2NDOsitrack24VIN OUTMounting
W916556690111 27/06/2007 13English2Installing the systemPresentationAim of this ChapterThis chapter describes the procedure for installing compact stations.What's in this Chapter?This chapter contains the following topics:Topic PageDefining the System Environment 14Setting up the Station 18Connecting the Station 25Wiring a Modbus/Uni-Telway Network 27Wiring an Ethernet Modbus TCP/IP network 30Connecting the TCS AMT31FP splitter box 31
 Installing the System14 W916556690111 27/06/2007EnglishDefining the System EnvironmentStation CharacteristicsThe following table gives the technical characteristics of the compact stations:Type of station XGC S4901201 - C format XGC S8901201 - D formatTemperature Operation -25...+55°C (-13...+131°F) Storage -40...+85°C (-40...+185°F)Degree of protection IP67 according to IEC60529Vibration resistanceEN 60068.2.27EN 60068.2.6 2 mm (0.078 in) from 5 to 29.5 Hz/7 g (7 gn) from 29.5 to 150 Hz30 g (30 gn) / 11 msResistance to mechanical shocks IK02 according to EN 50102Standards/Certifications UL 508, CE, EN 300330, EN 301489-01/03, FCC Part 15Immunity to disturbance Immunity to electrostatic discharges, radiated electromagnetic fields, fast transients, electrical surges, conducted and induced interference and power frequency magnetic field according to IEC61000.Unit dimensions 40x40x15 mm (1.57x1.57x0.59 in) 80x80x26 mm (3.15x3.15x1.02 in)RFID frequency 13.56 MHzType of associated tag Standardized ISO 15693 and ISO 14443 tags.Nominal range(depending on associated tag)18...70 mm (0.70...2.75 in) 20...100 mm (0.78...3.94 in)Nominal power supply 24 V PELVPower supply voltage limits 19.2...29 V including ripplePower consumption < 60 mASerial link Type RS485Protocol Modbus RTU / Uni-Telway (Uni-Telway from version V3.8)Speed 9600...115,200 Bauds: Automatic detectionDisplay 1 bi-color LED for network communication and 1 bi-color LED for RFID communication (Tag present, Station/tag dialog)Connection One shielded 5-way male M12 connector for connection to the communication network and power supplyTightening torque for the fixing screws< 1 Nm (8.85 lbf-in) < 3 Nm (26.55 lbf-in)
 Installing the SystemW916556690111 27/06/2007 15EnglishThese RFID compact stations complies with part 15 of the FCC Rules. Operation is subject to the following two conditions: (1) These devices may not cause harmful interference, and (2) these devices must accept any interference received, including interference that may cause undesired operation. References :Changes or modifications not expressly approved by the party responsible for compliance could void the user’s authority to operate the equipment.XGC S4901201 XGC S8901201FCC ID                                    TW6XGCS4                             TW6XGCS8IC info 7002B-XGCS4 7002B-XGCS8Note: The manufacturer is not responsible for any radio or TV interference caused by unauthorized modifications to this equipment. Such modifications could void the user’s authority to operate the equipment.
 Installing the System16 W916556690111 27/06/2007EnglishTag CharacteristicsThe following table gives the technical characteristics of the tags:Type of tag XGH B445345XGH B444345XGH B320345XGH B221346XGH B211345XGH B90E340Temperature Operation -25...+70 °C(-13...+158°F)-25...+55 °C (-13...+131°F)Storage -40...+85 °C(-40...+185°F)-40...+55 °C (-40...+131°F)Degree of protection IP68 IP65 IP68 IP65Standards supported ISO 14443 ISO 15693Vibration resistanceEN 60068.2.27EN 60068.2.6 2 mm (0.078 in) from 5 to 29.5 Hz / 7 g (7 gn) from 29.5 to 150 Hz30 g (30 gn) / 11 msResistance to mechanical shocks IK02 according to EN 50102Dimensions 40x40x15 mm (1.57x1.57x0.59 in)∅ 30x3 mm (1.18x0.12 in)26x26x13 mm (1.02x1.02x0.51 in)∅ 18 mm (0.70 in)58x85.5x1 mm (2.28x3.34x0.039 in)Casing materials PBT+PC PC PBT+PC PVCMounting method Screw or clip Screw Screw or clip Threaded hole-Tightening torque for the fixing screws< 1 Nm (8.85 lbf-in) --Memory capacity (bytes) 13,632 3,408 112 256 256 256Type of memory EEPROMType of operation Read/WriteType of associated station XGC S•Nominal rangeRead/WriteXGC S4 30 mm (1.18 in)33 mm (1.30 in)48 mm (1.89 in)40 mm (1.57 in)18 mm (0.70 in)70 mm (2.75 in)XGC S8 40 mm (1.57 in)48 mm (1.89 in)65 mm (2.56 in)55 mm (2.16 in)20 mm (0.78 in)100 mm (3.94 in)Number of read cycles UnlimitedNumber of write cycles 100,000 guaranteed across the whole temperature rangeNumber of write cycles at 30°C Typically 2.5 millionRead time SeeRead/Write Time, p. 47Write time SeeRead/Write Time, p. 47Retention period 10 years
 Installing the SystemW916556690111 27/06/2007 17EnglishSplitter Box CharacteristicsThe splitter box TCS AMT31FP is used to connect 1 to 3 XGCS compact stations to an RS485 network, ensuring distribution of the power supply.Data is exchanged with the Ositrack stations using the Modbus protocol.The following table gives the technical characteristics of the TCS AMT31FP splitter box:The XGS Z33ETH splitter box performs the same functions using the Modbus TCP/IP protocol. For further information, see manual reference 165566801.CharacteristicsStorage temperature -40...+85°C (-40...+185°F)Operating temperature -25...+55°C (-13...+131°F) Degree of protection IP65Power supply 24 V PELV (19.2...29 V including ripple)Stations 5-way female M12 connectorConformity to standards CELED indicators Power supply (green)
 Installing the System18 W916556690111 27/06/2007EnglishSetting up the StationPresentation of the Stations   For further information on the operation of the LEDs, see Diagnostics, p. 85.Item no. Description1 TAG: LED relating to the tags2 COM: LED relating to communicationC format compact station D format compact station2121
 Installing the SystemW916556690111 27/06/2007 19EnglishStation Dimensions  Dimensions in mm (inches): abcdefXGC S4C format14 (0.55) 40 (1.57) 15 (0.59) 9.8 (0.38) 33 (1.3) 4.5 (0.17)XGC S8D format14 (0.55) 80 (3.15) 26 (1.02) 16 (0.63) 65 (2.56) 5.5 (0.21)bcdbeeaf
 Installing the System20 W916556690111 27/06/2007EnglishDistances Between Stations Distances between two identical stations according to the tags used: Distances in mm (inches): CAUTIONUNINTENDED OPERATIONFollow the installation instructions below relating to distances between 2 stations.When two stations are too close to one another, there is a risk of mutual disturbance.Failure to follow this instruction can result in injury or equipment damage.d2d1d3Tag XGC S4 - C format XGC S8 - D formatd1 d2 d3 d1 d2 d3XGH B90E340 310 (12.20) 550 (21.65) 120 (4.72) 430 (16.92) 750 (29.52) 280 (11.02)XGH B221346 200 (7.87) 320 (12.59) 100 (3.93) 280 (11.02) 530 (20.86) 260 (10.23)XGH B320345 140 (5.51) 360 (14.17) 110 (4.33) 310 (12.20) 540 (21.25) 240 (9.44)XGH B211345 210 (8.26) 180 (7.08) 60 (2.36) 200 (7.87) 370 (14.56) 170 (6.69)XGH B444345 90 (3.54) 190 (7.48) 30 (1.18) 310 (12.20) 400 (15.74) 160 (6.29)XGH B445345 110 (4.33) 170 (6.69) 30 (1.18) 310 (12.20) 380 (14.96) 160 (6.29)
 Installing the SystemW916556690111 27/06/2007 21EnglishAngular PositioningThe angle between the station and the tag modifies the dialog distance according to the graph below: K = correction factor to be applied to the nominal range.Reading distance = nominal range x K.Sensing Zones The dialog zones of the compact stations are circular. There is no recommended direction for the movement of the tag. The following diagram shows the dialog zones of the compact stations:  (1) Recommended movement zone: between 0.4 and 0.8 Pn.060900,851Kα (°)αα60°Note: Nominal range (Pn)Conventional range, which does not take dispersions (manufacturing, temperature, voltage, mounting in metal) into account.Pn(1)
 Installing the System22 W916556690111 27/06/2007EnglishMounting in metalThe presence of metal close to tags and stations affects the nominal range (Read/Write distance). The following table gives the minimum permissible mounting positions in a metal block:The following table shows the effect on the nominal range when the station and the tag are mounted in metal in accordance with the most unfavorable cases given above:References DescriptionXGC S4XGC S8XGH B221346XGH B444345XGH B445345The product is positioned in a steel block: XGH B90E340XGH B211345No metal parts closer than 25 mm (0.98 in) to the tag.XGH B320345 The tag is fixed with a steel M4 screw (Tightening torque = 1 Nm (8.85 lbf-in) ).A non-metallic shim must be inserted between the tag and the metal block: e≥20 mm (0.78 in)eeeeeee≥15 mm (0.59 in)eReference Memory sizeDimensions Reduced range with metal Nominal rangeXGC S4 XGC S8 XGC S4 XGC S8XGH B90E340 256 bytes Badge 85x58x0.8 mm(3.35x2.28x0.03 in)58 mm(2.28 in)80 mm(3.15 in)70 mm (2.75 in)100 mm (3.94 in)XGH B221346 256 bytes 26x26x13 mm(1.02x1.02x0.51 in)30 mm(1.18 in)33 mm(1.29 in)40 mm (1.57 in)55 mm (2.16 in)XGH B320345 112 bytes ∅ 30x3 mm (1.18x0.12 in)45 mm(1.77 in)56 mm(2.20 in)48 mm (1.89 in)65 mm (2.56 in)XGH B211345 256 bytes ∅ 18x12 mm (0.70x0.47 in)16 mm(0.62 in)15 mm(0.59 in)18 mm (0.70 in)20 mm (0.78 in)XGH B444345 3.3 Kb 40x40x15 mm (1.57x1.57x0.59 in)28 mm(1.10 in)34 mm(1.33 in)33 mm (1.30 in)48 mm (1.89 in)XGH B445345 13.3 Kb 40x40x15 mm (1.57x1.57x0.59 in)24 mm(0.94 in)28 mm(1.10 in)30 mm (1.18 in)40 mm (1.57 in)
 Installing the SystemW916556690111 27/06/2007 23EnglishDistances Between Tags When two tags are too close to one another, there is a risk of communications errors. Minimum distances in mm (inches):CAUTIONUNINTENDED OPERATIONFollow the installation instructions below relating to distances between 2 tags.When two tags are too close to one another, there is a risk of communications errors.Failure to follow this instruction can result in injury or equipment damage.Tag XGC S4 - C format XGC S8 - D formatd1 d2 d1 d2XGH B90E340 35 (1.37) 60 (2.36) 110 (4.33) 140 (5.51)XGH B221346 50 (1.96) 10 (0.39) 120 (4.72) 50 (1.96)XGH B320345 70 (2.75) 50 (1.96) 190 (7.48) 60 (2.36)XGH B211345 40 (1.57) 10 (0.39) 120 (4.72) 20 (0.78)XGH B444345 20 (0.78) 10 (0.39) 70 (2.75) 40 (1.57)XGH B445345 10 (0.39) 10 (0.39) 60 (2.36) 10 (0.39)d1d2
 Installing the System24 W916556690111 27/06/2007EnglishElectro-magnetics Disturbances CAUTIONUNINTENDED OPERATIONDo not install one station less than 300 millimeters (12 in) away from any product likely to generate electromagnetics disturbances (electric motor,  solenoid valve...).The electromagnetics disturbances can stop the dialog between the Ositrack station and one tag.Failure to follow this instruction can result in injury or equipment damage.
 Installing the SystemW916556690111 27/06/2007 25EnglishConnecting the StationConnector WiringThe stations are equipped with a single male M12 A-coded connector for the power supply and communication bus.The communication bus wires are shielded separately from the power supply cables, to avoid interference carried by the power supply causing disturbance on the communication wires.Station M12 connector pinout:  * : Use a PELV power supply and fused protection (1 A). The power supply used must be class II according to VDE 0106 (eg: Phaseo ABL 7/8 range from Telemecanique) and the 0V must be grounded. Pin no. Signal Description1 Drain (SHLD) Cable shielding2 24 V Station power supply *30 V 0 V4 D0 RS 4855 D1 RS 485Connector casingShielding Cable shielding12435General cable shieldingShielding in pairsMale M12 connector Compact station
 Installing the System26 W916556690111 27/06/2007EnglishRange of AccessoriesThe TCS AMT31FP splitter box and the TCS Modbus/Uni-Telway cables supply power to the XGCS stations and enable their quick, easy connection to the Modbus network.Description ReferenceSplitter box for connecting up to three XGCS stations: Modbus/Uni-Telway   TCS AMT31FPModbus Ethernet TCP/IP (see manual 1655668 01)XGS Z33ETH  Shielded cable, 5-way male/female M12 coding A, for Modbus/Uni-Telway RS485 connection between one TCS AMT31FP splitter box and an XGCS station (or to another splitter box).TCS MCN1M1F1 (1 m/3.28 ft)TCS MCN1M1F2 (2 m/6.56 ft)TCS MCN1M1F5 (5 m/16.4 ft)TCS MCN1M1F10 (10 m/32.8 ft)  Shielded cable, 5-way female M12 coding A/flying leads, for Modbus/Uni-Telway  RS485 connection between one TCS AMT31FP splitter box and one TSX SCA50 connector.TCS MCN1F2 (2 m/6.56 ft)TCS MCN1F5 (5 m/16.4 ft)TCS MCN1M1F10 (10 m/32.8 ft)  Cable, 4-way female M12 coding A/flying leads, for the splitter box power supply.XGS Z08L2 (2 m/6.56 ft)XGS Z08L5 (5 m/16.4 ft)XGS Z08L10 (10 m/32.8 ft)  Shielded cable, 5-way female M12 coding A/Mini-DIN, for connecting TCS AMT31FP splitter boxes to a Telemecanique PLC.TCS MCN1F9M2P (2 m)  Shielded cable, 5-way female M12 coding A/15-way SUB-D, for connecting TCS AMT31FP splitter boxes to a TSX SCA62 connector.TCS MCN1FQM2 (2 m/6.56 ft)  Shielded 5-way M12 coding A connectors with screw terminalsFTX CN12F5 (female)FTX CN12M5 (male)  Tee, 5-way female M12/5-way female M12 + 5-way male M12 coding ATCS CTN011M11F   120 Ω line terminator, M12 male coding A. For Modbus and CANopen only, unusable on Uni-TelwayFTXCNTL12Ositrack24VIN OUT
 Installing the SystemW916556690111 27/06/2007 27EnglishWiring a Modbus/Uni-Telway NetworkNetwork ArchitectureExample of a Modbus/Uni-Telway network assembly: Cable Sizes The cables used for this assembly must comply with the rules for the maximum lengths of buses and tap-offs.Maximum Bus LengthWith Ositrack Compect stations, the maximum length of the bus (LA + LB + LC) depends on the network speed and the protocol :On modbus, for lengths of more than 100 m (328.083 ft), it is recommended that a line terminator is added at the ends of the network (end of segment LC in the example).On Uni-Telway, and for the lenghts above, it’s not necessary to add a line terminator at the ends of the network. Never use FTX CNTL12 line terminator. Maximum Tap-Off LengthThe maximum tap-off (L1, L2 and L3) length is 10 meters (32.8 ft).LBL1 L2 L324 VOsitrack24VIN OUTOsitrac k24VIN OUTLA24 VLCNetwork Network speed Maximum length of the bus with Ositrack Compect stationsModbus 9600 Bauds 1000 m (3280.83 ft)19200 Bauds 500 m (1640.41 ft)Uni-Telway 9600 Bauds 500 m (1640.41 ft)19200 Bauds 250 m (820.21 ft)
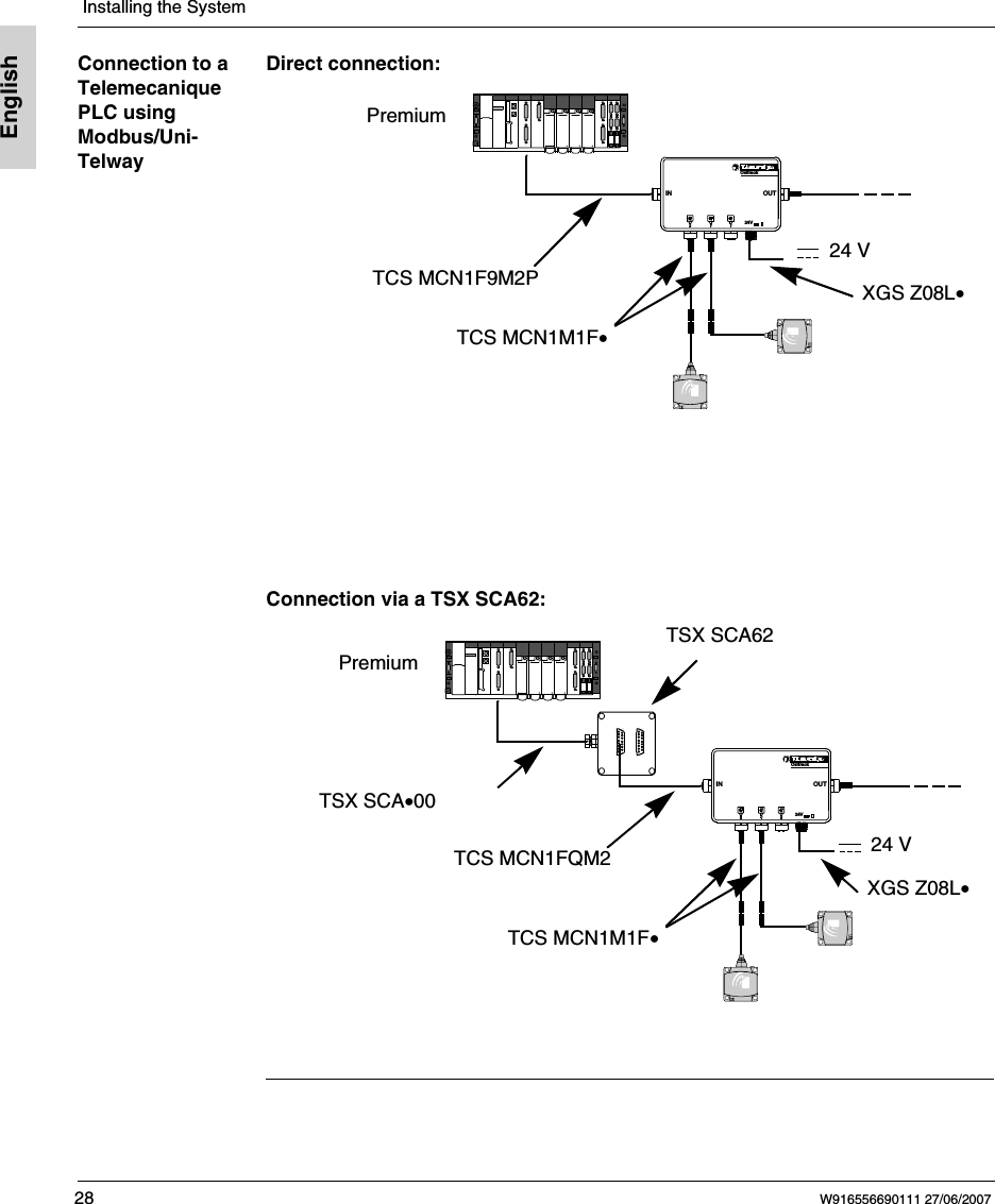
 Installing the System28 W916556690111 27/06/2007EnglishConnection to a Telemecanique PLC using Modbus/Uni-TelwayDirect connection:  Connection via a TSX SCA62: TCS MCN1F9M2PPremiumTCS MCN1M1F•Ositra ck24VIN OUTXGS Z08L•24 VTSX SCA•00TSX SCA62Ositra ck24VIN OUTTCS MCN1M1F•XGS Z08L•TCS MCN1FQM2 24 VPremium
 Installing the SystemW916556690111 27/06/2007 29EnglishConnection of Line Terminators on ModbusUsing long network cables can generate signal distortion. The installation of line terminators corrects these distortions.A line terminator near the station (M12 tee) may be necessary, depending on the quality of the cables and the EMC environment.Examples:  The line terminator can be positioned differently depending on the distance between the station and the splitter box.TCS CTN011M11F FTX CNTL12Ositr ack24VIN OUTOsitrack24VIN OUT+FTX CNTL12L > 2 m (6.56 ft) L < 2 m (6.56 ft)24 V 24 VPremiumM340PremiumM340
 Installing the System30 W916556690111 27/06/2007EnglishWiring an Ethernet Modbus TCP/IP networkConnection DiagramExample of a Modbus Ethernet TCP/IP network setup with splitter box XGS Z33ETH: The default transmission speed of the Ethernet splitter box (XGS Z33ETH) is 57600 bauds. This speed allows a total bus length of 160 m (524.93 ft)  between the splitter box and the stations.Example:3 x 50 meters (164.04 ft) for 3 stations2 x 80 meters (262.46 ft) for 2 stationsUsing long network cables can generate signal distortion. The installation of line terminators corrects these distortions.A line terminator near one of the stations (M12 tee) may be necessary, depending on the quality of the cables and the EMC environment.SwitchEthernetTCS MCN1M1F•XGSZ33ETHTCS ECL1M3M••S2Ethernet24 VPremiumM34024VOsitrackPIscitsongaiD sutatSytivitca .htE01/ spbM 001rewoP   XGSZ33ETH24 V24VOsitrackPIscitsongaiD sutatSytivitca .htE01/ spbM 001rewoP
 Installing the SystemW916556690111 27/06/2007 31EnglishConnecting the TCS AMT31FP splitter boxDescription Description of the splitter box:   No. Description1 Green LED indicating voltage present2 Sub-base to another splitter box (Network OUT)3 24 V power supply sub-base4 3 Ositrack compact station sub-bases5 Sub-base to a PLC or another splitter box (Network IN)12453
 Installing the System32 W916556690111 27/06/2007EnglishDimensions Dimensions in mm (inches):  6,1 (0.24)51 (2)Ositrack24VIN OUT21 (0.82)80 (3.15)130 (5.12)22 (0.86)50 (1.97)115 (4.53)15 (0.59)15 (0.59)2 x M4x30 mm> 110 (4.33)
 Installing the SystemW916556690111 27/06/2007 33EnglishSub-Base to Station WiringPinout of the female M12 coding A sub-base (station link): Sub-Base to Power Supply WiringPinout of the male M12 coding A sub-base (power supply): Wiring for Sub-Base to Another Splitter BoxPinout of the female M12 coding A sub-base (Network OUT): Sub-base to PLC WiringPinout of the male M12 coding A sub-base (Network IN): Diagram Pin no. Signal Description  1 Drain (SHLD) Cable shielding2 24 V Station power supply3 0 V/ GND 0 V4 D0 RS 4855 D1 RS 485Connector casingShielding Cable shielding21354Diagram Pin no. Signal Description  1 24 V Power supply +2 24 V Power supply +3 0 V Power supply -4 0 V Power supply -1234Diagram Pin no. Signal Description  1 Drain (SHLD) Cable shielding2- Reserved3 0 V / GND 0 V4 D0 RS 4855 D1 RS 485Connector casingShielding Cable shielding21354Diagram Pin no. Signal Description  1 Drain (SHLD) Cable shielding2- Reserved3 0 V / GND 0 V4 D0 RS 4855 D1 RS 485Connector casingShielding Cable shielding12354
 Installing the System34 W916556690111 27/06/2007EnglishConnection Recommen-dationsConnection recommendations for TCSMCN1F• cables: Connection: Diagram Pin no. Signal Description Color of wire  1 Drain (SHLD) Cable shielding -2 24 V Station power supply Red3 0 V / GND 0 V Black4 D0 RS 485 White5 D1 RS 485 BlueConnector casingShielding Cable shielding -21354
W916556690111 27/06/2007 35English3Setting the System ParametersPresentationAim of this ChapterThis chapter describes the station parameter settings for network communication with the control system.What's in this Chapter?This chapter contains the following topics:Topic PageSetting the Station Parameters 36Setting the PLC Parameters 40
 Setting the System Parameters36 W916556690111 27/06/2007EnglishSetting the Station ParametersGeneral Each time the station is powered up, it automatically detects the format and network speed.The stations are supplied configured at network address 1 with a transmission speed of 19200 Bauds.Before use, it is essential to configure the network address of each station. Stations can be addressed in two ways:Either using the XGS ZCNF01 configuration badge (supplied with the station)Or via the network (Modbus or Uni-Telway write command).
 Setting the System ParametersW916556690111 27/06/2007 37EnglishStation InitializationThe station start-up cycle is as follows:At all times, if the station does not recognize three successive frames, it returns to Auto-configuration mode.Advice: Launch a reading loop of the station status word to allow the auto-configuration of the station. As soon as the station answers, it is ready to operate.    SeeResult of the Self-Test, p. 86             SeeAddress Configuration via the XGS ZCNF01 Badge, p. 388 Red/Green flashesLast valid configurationAwait char. on thenetwork (7 s): LED COM orangeNoYesAddressing badge (XGS ZCNF01)NoNormal tagStation ready to operate (read/write on tag)Auto-configuration(protocol, speed, etc)Address configurationPower-upYesThe station must be supplied with power and connected to the networkSelf-test OK?NoYes
 Setting the System Parameters38 W916556690111 27/06/2007EnglishAddress Configuration via the XGS ZCNF01 BadgeThe addressing procedure is described on the back of the configuration badge: Configuring the station network address:Step Action ResultPower up the StationWait for 5 secondsStation self-testPlace the configuration badge in front of the station.Count the number of flashes.The TAG LED flashes red.Each red flash emitted corresponds to one increment of the network address.Remove the configuration badge when the required network address is reached.The TAG LED flashes green. The number of green flashes emitted corresponds to the network address that has just been configured.It is then possible to restart the configuration at step 2.Place a "normal" (XGHB) tag in front of the station.The configured network address is confirmed and saved in the station.Note: The network address range is from 1 to 15.OKNOAddressConfiguration BadgeX33=X3address3=OK1s5s1 2 3 4XGS-ZCNF01Address Configuration Badgefor RFIDCompact StationFrance 0604Tagaddresses range 1   15ex:=address3 flashes 3 flashes1234
 Setting the System ParametersW916556690111 27/06/2007 39EnglishAddressing via the NetworkThe station address can be modified using a standard word write request (see Station Memory Zone, p. 43).The request will be sent to the known station address. The new address is immediately effective.When the execution report has been sent, the TAG LED will emit as an echo a number of green flashes equivalent to the address that has just been configured. Note: The network address range is from 1 to 15.
 Setting the System Parameters40 W916556690111 27/06/2007EnglishSetting the PLC ParametersElectrical CharacteristicsThe network interface module supports 2-wire RS 485.Communication Configuration for Modbus and Uni-TelwayThe Modbus / Uni-Telway communication parameters that define the frame can be configured in various ways.The Ositrack compact station parameters are defined so that they support the following values: Parameter ValueModbus Uni-TelwayMode RTU -Parity Automatic detection (even, odd, no parity) OddStop bit 1 1Data bit 8 8Data rate Automatic detection (9600... 115200 bauds) Automatic detection (9600... 19 200 bauds)WARNINGUNINTENDED OPERATIONCheck that all the devices on the network are communicating using the appropriate parameters. A disparity between the parameters could result in unintended operation of the inputs, outputs and the other devices. The hardware configuration may cause unintended equipment operation.Failure to follow this instruction can result in death, serious injury, or equipment damage.
W916556690111 27/06/2007 41English4Operating PrinciplesPresentationAim of this ChapterThis chapter describes the system operating principle based on memory zones.What's in this Chapter?This chapter contains the following topics:Topic PageMemory Zones 42Station Memory Zone 43Tag Memory Zone 46
Operating Principles42 W916556690111 27/06/2007EnglishMemory ZonesPresentation The addressing memory zone is divided into two zones: The tag memory zoneThe station memory zoneDefinition of the word address zones used: Tagmemory zone%MW0%MW327670000h7FFFhStationmemory zone%MW655358000hFFFFh%MW32768
Operating PrinciplesW916556690111 27/06/2007 43EnglishStation Memory ZoneGeneral DescriptionDefinition of the word address zones used: System Zone Modifications to values in this zone are taken into account by the station immediately.Composition of the system zone:* : R = Read - W = WriteWord addressesin hexadecimal formatNon-stored data Read-only8000hFFFFhZone reserved for the station settingsStored dataRead-onlyRead/WriteZone strictly for internal use. Not accessible to the user and not documentedStation addressParameters obtained by the auto-baud functionUID (Unique Identifier) readTag counters on 16 bitsTag present + RFID protocol + type of tagType of accessObject no. Description Mode *8000h Tag family present/Tag system flags R8001h Tag counter R8002h...8009h UID R8018h Station address R/W
Operating Principles44 W916556690111 27/06/2007EnglishObject 8000h Status:Object 8001h Tag counter:Objects 8002h...8009hUID:Each tag has a different unique code (UID). This code is spread over 16 bytes.MSB LSBTag family presentIndicates the tag family while it is present. Reset when no longer present.Tag system flagsUpdated in real time.Bit Bit8 15693 0 (LSB) Tag present9 Icode 1 Initial parameter-setting phase following boot-upA 14443A 2 ReservedB 14443B 3 ReservedC Inside 4 ReservedD Reserved 5 Configuration badge presentE Reserved 6 ReservedF (MSB) Reserved 7 ReservedMSB LSBIncremented each time there is a new tag. Reset at each time power-up.MSB LSBUpdated each time there is a new tag and valid if tag present.
Operating PrinciplesW916556690111 27/06/2007 45EnglishObject 8018h Station address:Read request:Response to the read request:Write request:MSB LSB0 Station addressWrite request: ResultMSB LSB0...1E Station address No action1F Station address The new station address is immediately effective.
Operating Principles46 W916556690111 27/06/2007EnglishTag Memory ZoneAutomated Production TagThese tags are addressed according to the table below and are accessible in Read/Write mode. The station can read any tag in the XGHB range (automatic detection of the tag type).(1): Reserved addresses(2): Reject if higher address requested Type of tag XGH B90E340XGH B221346XGH B320345XGH B211345XGH B444345XGH B445345256 bytes 256 bytes 112 bytes 256 bytes 3408 bytes 13632 bytesAddresses Dec. Hex. Dec. Hex. Dec. Hex. Dec. Hex. Dec. Hex. Dec. Hex.000000000 0 0 0to to to to to to to to127 7F 127 7F 55 37 127 7F to to(1) (1) (1) (1) to to1703 6A7(2)6815 1A9F(2)CAUTIONUNINTENDED OPERATIONDo not use XGH B445345 and XGH B444345 tags in the same application.Once the station has automatically detected the XGH B445345 tag, it will no longer recognize the XGH B444345 tag.Failure to follow this instruction can result in injury or equipment damage.
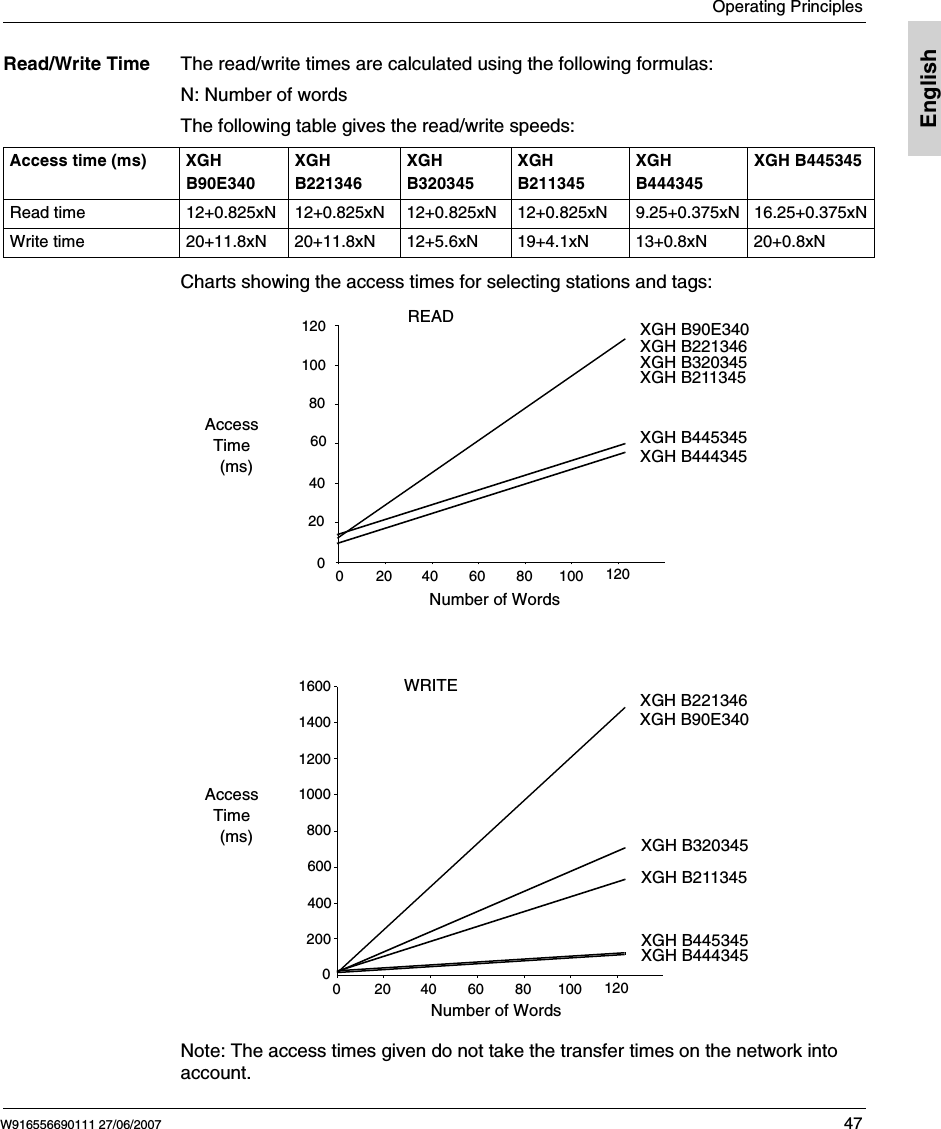
Operating PrinciplesW916556690111 27/06/2007 47EnglishRead/Write Time The read/write times are calculated using the following formulas:N: Number of wordsThe following table gives the read/write speeds: Charts showing the access times for selecting stations and tags: Note: The access times given do not take the transfer times on the network into account.Access time (ms) XGH B90E340XGH B221346XGH B320345XGH B211345XGH B444345XGH B445345Read time 12+0.825xN 12+0.825xN 12+0.825xN 12+0.825xN 9.25+0.375xN  16.25+0.375xN Write time 20+11.8xN 20+11.8xN 12+5.6xN 19+4.1xN 13+0.8xN 20+0.8xNXGH B90E340XGH B221346XGH B320345XGH B211345XGH B444345XGH B445345XGH B90E340XGH B221346XGH B320345XGH B211345XGH B445345XGH B444345Access Time  (ms)READAccess Time  (ms)WRITENumber of WordsNumber of Words02040608010012020 40 60 80 100 120020406080100120002004006008001000120014001600
Operating Principles48 W916556690111 27/06/2007EnglishCharts showing the scrolling speeds for selecting stations and tags:Key READ WITH XGCS4 WRITE WITH XGCS4 READ WITH XGCS8 WRITE WITH XGCS8 Number of words0020406080100120501001502002503003456Tag moving speed (m/mn)211 m/mn = 3.28 ft/mn002040608010012050100150200250Number of wordsTag moving speed (m/mn)12345-61 m/mn = 3.28 ft/mn0020406080100120100200300400500600Number of words13 4562Tag moving speed (m/mn)1 m/mn = 3.28 ft/mn00 20 40 60 80 100 12050100150200250300350400450Number of wordsTag moving speed (m/mn)12345-61 m/mn = 3.28 ft/mnXGH B90E340XGH B221346XGH B320345XGH B211345XGH B444345XGH B445345345612
Operating PrinciplesW916556690111 27/06/2007 49EnglishExample of using the charts: On an assembly line, the scrolling speed is 100 m/min (328 ft/mn). The application requires 60 words to be read. READ WITH XGCS4 READ WITH XGCS8 The XGCS4 station cannot be used. No Ositrack tag can be read under these conditions (Speed/No. of words).The XGCS8 station can be used. Only XGH B444345 and XGH B445345 tags meet the requirements (Speed/No. of words).Number of words0020406080100120501001502002503003456Tag moving speed (m/mn)211 m/mn = 3.28 ft/mn0020406080100120100200300400500600Number of words13 4562Tag moving speed (m/mn)1 m/mn = 3.28 ft/mn
Operating Principles50 W916556690111 27/06/2007English
W916556690111 27/06/2007 51English5Communicating with the Uni-Telway ProtocolPresentationAim of this ChapterThis chapter describes the Uni-Telway protocol communication principle (Only from version V3.8 of the station). What's in this Chapter?This chapter contains the following topics:Topic PageGeneral 52Requests 54Programming 66
Communicating with the Uni-Telway Protocol52 W916556690111 27/06/2007EnglishGeneralGeneral In the Telemecanique communication architecture, all message exchanges are performed in point-to-point mode between two logical entities (client and server).These logical entities must be identified by an address which is unique within the whole environment. These addresses (sender address and destination address) are transmitted with each message.Message structure:In the Telemecanique addressing system, based on the TSX7 PLC architecture, these addresses (sender and destination) are coded on 5 bytes:network numberstation numbergate numbermodule numberchannel numberThe network number and station number bytes are used to identify the devicesconnected to the Uni-Telway network.Exchange PrincipleThe UNI-TE requests supported by the Ositrack system enable the following operations:data exchanges with the tag in direct operating mode using standard requests:WRITE OBJECTSREAD OBJECTSWRITE WORDREAD WORDINITaccess to data specific to the system (product version, protocol version, communication quality, etc) using standard requests:IDENTIFICATIONPROTOCOL VERSIONSTATUSMIRRORREAD COUNTERSCLEAR COUNTERSSENDER ADDRESS DESTINATION ADDRESS MESSAGENote: The Ositrack compact stations does not accept more than one request at the same time. A negative acknowledgement (nack) is returned if a request is received while the previous one is not yet finished.
Communicating with the Uni-Telway ProtocolW916556690111 27/06/2007 53EnglishConnection For more detailed explanations on installation and connection, see Installing the system, p. 13.
C om m unicating w ith the U ni-T elw ay P rotocol54 W916556690111 27/06/2007EnglishRequestReading Objects This request is used to read n objects.Request:Segment: 01h or 68h = physical address of wordsSpecific byte: 00h = request for deferred response if tag missing06h = request for immediate responseObject address: Address of the first word to be read.Station response:Positive response:Negative response (eg: with byte 06h if tag missing):Causes of rejection:Unknown tagInadequate access rightsUnknown objectRequest codeCategory codeSegment Specific byteObject addressNumber of objects to be readPf PF Pf PF36h/54 00h 01h68h00h06h                 1 byte 1 byte 1 byte 1 byte 2 bytes 2 bytesResponse codeSpecific byteDataPf PF Pf PF Pf PF66h/102 00h06h              1 byte 1 byte 2 bytes n*2 bytes 2 bytesResponse codeFDh/253  1 byte
Communicating with the Uni-Telway ProtocolW916556690111 27/06/2007 55EnglishAddress of the last object outside limitsIndexed address outside limitsTag missing if specific byte = 06h.Note: The reading is limited to 120 words maximum.
Communicating with the Uni-Telway Protocol56 W916556690111 27/06/2007EnglishWriting Objects This request is used in direct operating mode to write n words to the tag or station memory zones.In this operating mode, all the data processing is carried out by the PLC or the computer.Request:Segment: 01h or 68h = physical address of wordsSpecific byte: 00h = request for deferred response if tag missing06h = request for immediate responseObject address: Address of the first word to be written.Station response:Positive response:Negative response (eg: with byte 06h if tag missing):Causes of rejection:Unknown tagInadequate access rightsUnknown objectAddress of the last object outside limitsRequest codeCategory codeSegment Specific byteObject addressNumber of object to be writtenDataPf PF Pf PF Pf PF37h/55 00h 01h68h00h06hSeries of words                    1 byte 1 byte 1 byte 1 byte 2 bytes 2 bytes n*2 bytesResponse codeFEh/254  1 byteResponse codeFDh/253  1 byte
Communicating with the Uni-Telway ProtocolW916556690111 27/06/2007 57EnglishWriting not checkedIndexed address outside limitsTag missing if specific byte = 06h.Read a Word This request is used for direct access to words in an addressable memory zone.Request:Station response:Positive response:Negative response:Causes of rejection:Inadequate access rightsUnknown objectWord number address outside limitsTag missing.Write a Word This request is used for direct access to words in an addressable memory zone.Note: The writing is limited to 120 words maximum.Request codeCategory codeWord numberPf PF04h/04 00h        1 byte 1 byte 2 bytesResponse codeValuePf PF34h/52     1 byte 2 bytesResponse codeFDh/253  1 byte
Communicating with the Uni-Telway Protocol58 W916556690111 27/06/2007EnglishRequest:Station response:Positive response:Negative response:Causes of rejection:Unknown requestInadequate access rightsWord number outside limitsTag missingTag not initialized.Request codeCategory codeWord number Word valuePf PF Pf PF14h/20 00h           1 byte 1 byte 2 bytes 2 bytesResponse codeFEh/254  1 byteResponse codeFDh/253  1 byte
Communicating with the Uni-Telway ProtocolW916556690111 27/06/2007 59EnglishINIT Request This request is used to cancel all current requests.Request:Station response:Positive response:Negative response:Causes of rejection:Unknown requestInadequate access rightsRequest code Category code33h/51 00h     1 byte 1 byteResponse code63h/99  1 byteResponse codeFDh/253  1 byte
Communicating with the Uni-Telway Protocol60 W916556690111 27/06/2007EnglishMIRROR RequestThis service is used to test the system and the communication path. The client sends a sequence which the server sends back to the client.Request:Station response:Positive response:Request code Category code DataFAh/250 00h Series of bytes (maximum 32)        1 byte 1 byte n bytesRequest code DataFBh/251 Series of bytes sent by the request     1 byte n bytesNote: There is never a negative response.
Communicating with the Uni-Telway ProtocolW916556690111 27/06/2007 61EnglishIDENTIFI-CATION RequestThis request is used to obtain the product type and product version as a response.Request:Station response:Positive response:(1) : Version number in BCD format.(2) : Product identification: "XGC-S-V3.8 "Negative response:Causes of rejection:Unknown requestInadequate access rightsRequest code Category code0Fh/15 00h     1 byte 1 byteResponse codeCategory codeProduct sub-typeProduct VersionLength Product Identification3Fh/63 24h/36 01h (1) 0Bh (2)                 1 byte 1 byte 1 byte 1 byte 1 byte n bytesResponse codeFDh/253  1 byte
Communicating with the Uni-Telway Protocol62 W916556690111 27/06/2007EnglishPROTOCOL  VERSION RequestThis service is used to identify the version and any parameters of the application protocol which is used for the conversation. In this request, the client provides the versions of the application protocol which it supports, the maximum message size, the size of the request file, etc. The server will then send back its own specifications. This then enables the client to send requests in a format and size which is known to both parties.Request:(1) : number of versions supported.(2) : list of versions supported.Station response:Positive response:(1) : 10h for version V 1.0.Negative response:Causes of rejection:Unknown requestInadequate access rightsRequest codeCategory codeMax. message sizeLength (1) Version (2)Pf PF30h/48 00h 20h 00h 01h Series of bytes              1 byte 1 byte 2 bytes 1 byte n bytesResponse codeMax. message sizeLength Version Request file sizePf PF Pf PF60h/96 80h 00h 01h (1) 00h 00h              1 byte 2 bytes 1 byte 1 byte 2 bytesResponse codeFDh/253  1 byte
Communicating with the Uni-Telway ProtocolW916556690111 27/06/2007 63EnglishSTATUS Request The station provides its status in the response.Request:Station response:Positive response:Status mask: Bit string. Only those current status bits whose bit of the same rank in "status mask" is at 1 are significant.Example: Negative response:Causes of rejection:Inadequate access rights (request in process)Request code Category code Detail required31h/49 00h 00h        1 byte 1 byte 1 byteResponse code Current status Status Mask61h/97 (1) (2)        1 byte 1 byte 1 byteResponse codeFDh/253  1 byteStatus Mask (2) Current status (1)F00000001        0TAG presentReserved
Communicating with the Uni-Telway Protocol64 W916556690111 27/06/2007EnglishREAD COUNTER RequestEach station manages a log of link faults (character error, frame error, protocol error), and counts 4 types of error in counters (16-bit words):number of messages sent and not acknowledgednumber of messages sent and refusednumber of messages received and not acknowledgednumber of messages received and refusedRequest:Station response:Positive response:Negative response:Causes of rejection:Unknown requestRequest codeCategory codeA2h/162 00h     1 byte 1 byteResponse codeNumber ofmessages sentand notacknowledgedNumber of messages refusedNumber of messages received and not acknowledgedNumber of messages refusedPf PF Pf PF Pf PF Pf PFD2h/210              1 byte 2 bytes 2 bytes 2 bytes 2 bytesNote: There is no counter overflow. The counters remain frozen at address 7FFFh (32767) until they are reset by sending a clear counter request (A4h).Response codeFDh/253  1 byte
Communicating with the Uni-Telway ProtocolW916556690111 27/06/2007 65EnglishInadequate access rightsCLEAR COUNTER RequestThis request is used to clear the 4 error counters of a device to zero.Request:Station response:Positive response:Negative response:Causes of rejection:Unknown requestInadequate access rightsRequest code Category codeA4h/164 00h     1 byte 1 byteResponse codeFEh/254  1 byteResponse codeFDh/253  1 byte
Communicating with the Uni-Telway Protocol66 W916556690111 27/06/2007EnglishProgrammingApplication ExampleA splitter box and a Premium PLC are connected to a Uni-Telway network. Read 10 words under PL7 PRO (READ_VAR command)Read 10 words at tag address 0.The Ositrack compact station is at address 1 on the TSX SCY 21601 card of PREMIUM PLC (slot 3, channel 0).(* Description *)(* %MW : Type of object to be read = internal word *)(* %MD480 : Address of the first word to be read in the tag *)(* 10 : Number of objects to be read *)(* %MW600:10 : Table containing the value of the objects to be read *)(* %MW470:4 : Management parameters *) %MD480 : = 0;IF NOT %MW470:X0 THEN(* send request and store result in %MW600:10 *)READ_VAR(ADR#3.0.1, ’%MW’, %MD480, 10, %MW600:10, %MW470:4); END_IF;Ositr ack24V@ 2@ 4@ 324 V
Communicating with the Uni-Telway ProtocolW916556690111 27/06/2007 67EnglishWrite 10 Words under Unity (WRITE_VAR command)Write 10 words starting at tag address 16#100.The Ositrack compact station is at address 1 on the TSX SCY 21601 card of a PREMIUM PLC (slot 3, channel 0).(* Description *)(* %MW : Type of object to be written = internal word *)(* %MD480 : Address of the first word to be written to the tag *)(* 10 : Number of objects to be written *)(* %MW600:10 : Table containing the value of the objects to be written *)(* %MW470:4 : Management parameters *) %MD480 : = 16#100;IF NOT %MW470:X0 THEN(* send request to write data to the tag *)WRITE_VAR(ADR#3.0.1, ’%MW’, %MD480, 10, %MW600:10, %MW470:4); END_IF;
Communicating with the Uni-Telway Protocol68 W916556690111 27/06/2007EnglishWrite 10 words (SEND_REQ command)Comment : (%MW471 = 0 if exchange correct)Send a request:(* Description *)(* %MW480 : Lo specific byte Lo segment *)(* %MW481 : Address *)(* %MW482 : No. of objects to be written *)(* %MW483 : Value of 1st word *)(* %MW492 : Value of 10th word *)(* %MW473 : 26 bytes *)(* %MW600 : Reception table *) %MW480 : =16#0001;%MW481 : =16#0100;%MW482 : =16#000A;%MW483 : =1st word;%MW492 : =10th word;%MW473 : =16#001A;%MW600 : =reception table;IF NOT %MW470:X0 THEN(* send request to write data to the tag *)SEND_REQ(ADR#3.0.1, 16#0037, %MW480:3, %MW600:1, %MW470:4);END_IF;
W916556690111 27/06/2007 69English6Communicating with the Modbus ProtocolPresentationAim of this ChapterThis chapter describes the Modbus protocol communication principle. What's in this Chapter?This chapter contains the following topics:Topic PageGeneral 70Requests 73Programming 79
Communicating with the Modbus Protocol70 W916556690111 27/06/2007EnglishGeneralPresentation With reference to the 7-layer OSI model, in which each layer performs a specific service, the Modbus/JBUS protocol supports the following three layers: Communication between a PLC (or computer) processor and the Ositrack identifi-cation system using the Modbus/Jbus protocol is performed by exchanging messages in both directions on a multidrop bus, via a serial link module with an asynchronous link. Dialog between the higher processing levels and the Ositrack system is of the question/answer type. The initiator (master station) sends the messages to be executed to the Ositrack station (slave station), which answers after execution. With the Modbus/Jbus protocol, the Ositrack station communicates in RTU (Remote Terminal Unit) mode.RS 485SystemApplication (MODBUS/JBUS functions) 7 - Application 6 - Presentation 5 - Session 4 - Transport 3 - Network 2 - Data link 1 - PhysicalApplication programOSI model
Communicating with the Modbus ProtocolW916556690111 27/06/2007 71EnglishInformation coding principle:Exchange PrinciplesDialog between the PLC (or computer) and the Ositrack station is of the question/answer type. The addressed slave answers every message sent by the master station (PLC) immediately. The response time is dependent on: The command processing time (which depends on the amount of data to be exchanged and the type of tag)The speed on the serial linkThe length of the message  Connection For more detailed explanations on installation and connection, see Installing the system, p. 13.Characteristics 8 RTU bitsCoding system 8-bit binary codeNumber of bits per characterStart bitSignificant bitsParityStop bit 1  8  Even/Odd/No parity1 / 2Message structureMessageCheckEnd of frame MODBUS frameCRC3-character silence QuestionAnswerQuestionAnswerMaster PLCXG - X Slave stationXG - X Slave Station
Communicating with the Modbus Protocol72 W916556690111 27/06/2007EnglishSupported Modbus functionsThe table below lists the supported Modbus functions:Point-to-point modeWhen the PLC is connected directly to a compact station, this station can operate in point-to-point mode. In this operating mode, the station responds to the requests sent to address F8 as well as those sent to the station network address.Broadcasting modeIn this mode, the PLC sends requests to address 0 and the slaves do not respond to the Modbus requests.This mode is not authorized for Ositrack compact stations.Code Type of requestHex. Dec.3  3  Read n words (1 ≤ n ≤ 123)6 6 Write one word8 8 DiagnosticsB 11 Read event counters10 16 Write n words (1 ≤ n ≤ 123)2B 43 ID
Communicating with the Modbus ProtocolW916556690111 27/06/2007 73EnglishRequestsRead N Words This function is used to read objects (word, word string).Read request:Slave no: 01h to 0Fh in multidrop mode or F8h in point-to-point modeFunction code: 3hAddress of the first word: Corresponds to the address of the first word to be read in the tag or the station (depending on the address)Number of words: 1 ≤ N ≤ 123  Station response:Slave no: Same as read requestFunction code: Same as read requestNumber of bytes read: 2 to 246Value of the words read: 0000h to FFFFhIf there is no tag present, the station sends an error report (see Error Messages, p. 78).Slave no. Function codeAddress of 1st wordNumber of wordsCheck3h Hi Lo Hi Lo               1 byte 1 byte 2 bytes 2 bytes 2 bytes (RTU mode)Slave no. Function codeNumber of bytes readValue of 1st wordValue of last wordCheck3h or 4h Hi Lo Hi Lo                  1 byte 1 byte 1 byte 2 bytes 2 bytes 2 bytes (RTU mode)
Communicating with the Modbus Protocol74 W916556690111 27/06/2007EnglishWrite One Word Write request:Slave no: Same as read requestFunction code: 6hWord address: Same addressing field as for the read requestWord values: 0000h to FFFFhStation response:The response is an echo of the request, indicating that the value contained in the request has been taken into account by the station.Slave no. Function codeAddress of wordValue of wordCheck6h Hi Lo Hi Lo              1 byte 1 byte 2 bytes 2 bytes 2 bytes (RTU mode)Slave no. Function codeAddress of wordValue of wordCheck6h Hi Lo Hi Lo              1 byte 1 byte 2 bytes 2 bytes 2 bytes (RTU mode)
Communicating with the Modbus ProtocolW916556690111 27/06/2007 75EnglishWrite N Words Write request:Slave no: Same as read requestFunction code: 10hNumber of words: 1 ≤ N ≤ 123 Number of bytes: Twice the number of wordsWord values: 0000h to FFFFhStation response:Slave no.: Same as requestFunction code: Same as requestAddress of first word written: Same as requestNumber of words written: Same as requestSlave no. Function codeAddress of 1st wordNumber of wordsNumber of bytesValue of 1st wordValue of last wordCheck10h Hi Lo Hi Lo Hi Lo Hi Lo                       1 byte 1 byte 2 bytes 2 bytes 1 byte 2 bytes 2 bytes 2 bytes (RTU mode)Slave no. Function codeAddress of 1st word writtenNumber of words writtenCheck10h Hi Lo Hi Lo                1 byte 1 byte 2 bytes 2 bytes 2 bytes (RTU mode)
Communicating with the Modbus Protocol76 W916556690111 27/06/2007EnglishRead diagnostic counters code 08hFunctions 08h and 0Bh are used to check the PLC/station link and operate the event counters (or diagnostic counters).Request:Station response:Designation of the event counters: Slave no. Function codeSub-function codeData Check08h 00 Lo 00 00                1 byte 1 byte 2 bytes 2 bytes 2 bytes (RTU mode)Slave no. Function codeSub-function codeData Check08h 00 Lo Hi Lo                1 byte 1 byte 2 bytes 2 bytes 2 bytes (RTU mode)Sub-functionsCounter Description0Bh 1 Number of requests correctly received by the station, whether or not that station is affected0Ch 2 Number of requests received with CRC errors0Dh 3 Number of error messages sent back by the station (fault message), or not sent back in the event of broadcasting0Eh 4 Number of correct requests specifically addressed to the station (apart from broadcasting)0Fh 5 Number of broadcast requests received and correctly processed10h 6 Number of executions not carried out due to communication with the tag not being possible12 7 Number of faults due to incorrect characters (format, parity, etc) received by the station00h - Mirror function0Ah 8 Reset event counters function
Communicating with the Modbus ProtocolW916556690111 27/06/2007 77EnglishRead events code 0BhFunctions 08h and 0Bh are used to check the PLC/station link and operate the event counters (or diagnostic counters).Read events code 0Bh sends back the number of requests received by the station and correctly executed.Request:Response:Identification RequestFunction 2Bh: This function is used to identify the station.Read request:* : MEI = Modbus Encapsulated InterfaceStation response: Slave no. Function codeCheck0Bh          1 byte 1 byte 2 bytes (RTU mode)Slave no. Function codeCounter Data Check0Bh 0000Hi Lo                1 byte 1 byte 2 bytes 2 bytes 2 bytes (RTU mode)Slave no. Function code MEI * Read Device ID codeObject ID2Bh 0Eh 01h, 02h, 03h 00hIndex Object name & description Description Data type0 (0000h) Manufacturer’s name TELEMECANIQUE ASCII string1 (0001h) Product code2 (0002h) Version number Vx.y (eg: V3.6)
Communicating with the Modbus Protocol78 W916556690111 27/06/2007EnglishError Messages When an anomaly in the message (or during its execution) is detected by the station to which it is addressed, the station sends back an error message to the master system.Syntax:Slave no.: Same as requestFunction code: Same as the function code and most significant bit of the byte set to 1 Examples:Function code of the error message after a read request:83h = (80 + 03) or 84h = (80 + 04)Function code of the error message after a write request:90h = (80 + 10) Error code:1h: Unknown function code or incorrect request format2h: Incorrect address or prohibited zone or protected zone or address outside the tag memory zone3h: Incorrect data. Too much or not enough data in the frame, or quantity = 0, or data incompatible4h: Execution fault (in read or write mode, or tag missing)Slave no. Function codeError code Check           1 byte 1 byte 1 byte 2 bytes (RTU mode)
Communicating with the Modbus ProtocolW916556690111 27/06/2007 79EnglishProgrammingApplication ExampleA splitter box and a PLC are connected to a Modbus network. Example of Program in UnityProgram example: read station @ 2 status word. Ositrack24V@ 2@ 4@ 324 VPremiumM340(*----- Step 2 -----------------------------------------*)(* Read status word = test presence of badge  station @ 2*)IF NOT %MW702:X0 THEN%MD1:=16#00008000;(* STATUS *)READ_VAR(0.0.2,'%mw',%MD1,1,%MW800:1,%MW702:4);END_IF;Modbus address = 2
Communicating with the Modbus Protocol80 W916556690111 27/06/2007EnglishExample of Program in UNITY PROProgram example: Read 5 words in the tag starting at word %MW 0 of the tag in station @ 2LADDER programming Structured Text programming %I0.3.1 %MW50.0ADDRENINEN0OUT‘0.0.2’READ_VARENADROBJ‘%MW’NUM0NB5GEST‘%MW50:4EN0RECPRECP ‘%MW50:4‘%MW20:5if % I3.0.1 and not Management_buffer[0].0 thenREAD_VAR (adr := ADDR(’0.0.2’),OBJ := ’%MW’,NUM := 0,NB := 5,GEST := Management_buffer,RECP => Reception_buffer);end_if;
W916556690111 27/06/2007 81English7Integration TipsTipsProtecting the SystemTo protect the system against impacts, you can: Embed the station in metal (see Mounting in metal, p. 22)Embed the tag in metal (see Mounting in metal, p. 22)Protect the station by making use of its ability to work through non-metallic materials, for example:   Thermal ProtectionAvoid exposing the tags to radiating heat sources, such as infrared dryers.Tag StationNon-metallic material
Integration Tips82 W916556690111 27/06/2007EnglishAutomation Synchronize the Read/Write operations with a sensor that indicates the presence of the tag to the control system: In case of processing errors (such as incorrect positioning of the tag or a transmission error) provide for repetition of the request before switching to "Fallback" mode (abandoning of the request and generation of an alarm).Reading/Writing TagBefore initiating a tag Read/Write request, ensure that the tag is present using a request to read the station STATUS word.  For more informations about the station’s sensing zone, see Sensing Zones, p. 21.Tag StationPLCTag presence sensorCAUTIONUNINTENDED OPERATIONOnly perform a write request when the tag is in the station’s sensing zone.Do not use XGH B445345 and XGH B444345 tags in the same application.Failure to follow this instruction can result in injury or equipment damage.
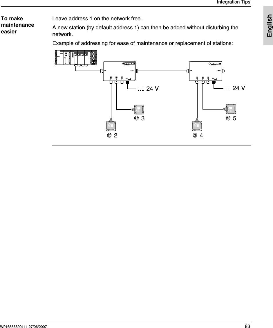
Integration TipsW916556690111 27/06/2007 83EnglishTo make maintenance easierLeave address 1 on the network free. A new station (by default address 1) can then be added without disturbing the network. Example of addressing for ease of maintenance or replacement of stations: Ositr ack24VIN OUTOsitr ack24VIN OUT@ 2@ 3@ 4@ 524 V 24 V
Integration Tips84 W916556690111 27/06/2007English
W916556690111 27/06/2007 85English8DiagnosticsDiagnosing a FaultMeaning of the 2 LEDsThe 2 LEDs on the station display all the operating states of the station: Description of the states of the TAG LED:Description of the states of the COM LED:Station status LED DescriptionTag not present Series of green flashes (periodic)Number of flashes = network address of the stationTag present Continuous green Tag present in the dialog zoneRead/Write functions activatedRed Communication error with the tagStation status LED DescriptionNo communication on the networkOrange Awaiting data on the network for the automatic configuration after power-up (time: 7 seconds) then the LED goes out and station reverts to its last stored configurationCommunication on the networkGreen Transmission or reception of messages (addressed to the station) on the network Red Communication error on the networkCOMTAG
Diagnostics86 W916556690111 27/06/2007EnglishResult of the Self-TestOn power-up, a self-test detects any faults on the station subassemblies.In the event of a fault, the network communication LED flashes 8 times in succession, and the color of each of these 8 flashes indicates the result of the test:Flash Test Result1 Flashing test (checksum test) Green if OK, Red if faulty2 RAM test (read/write tests) Green if OK, Red if faulty3 EEPROM test (log) Green if OK, Red if faulty4 Line inversion test Green if OK, Red if D0 and D1 are inverted5 Analog/digital converter test Green if OK, Red if faulty6 Reader and bus test (read/write test)Green if OK, Red if faulty. If there is a fault, the Address and Data bus bits alternate between states 1 and 0 while the 8 flashes are being transmitted, so that the buses can be tested using an oscilloscope and any faults will be detected.7 Test of the internal clocks Green if OK, Red if faulty8 Watchdog test Green if OK, Red if faulty (watchdog not working)Note: If the tests do not show up any faults, the 8 consecutive flashes do not take place.Note: Following the self-test, a LED operating test is performed: 1 red flash then 1 green flash on each LED

Navigation menu