Ingenu ULPAP210 Sectorized RPMA Access Point User Manual AP Deployment Guide System Release 1 4
On-Ramp Wireless Sectorized RPMA Access Point AP Deployment Guide System Release 1 4
Ingenu >
User Manual

TOTAL REACH NETWORK
On-Ramp Wireless Confidential and Proprietary. This document is not to be used, disclosed, or distributed to
anyone without express written consent from On-Ramp Wireless. The recipient of this document shall respect the
security of this document and maintain the confidentiality of the information it contains. The master copy of this
document is stored in electronic format, therefore any hard or soft copy used for distribution purposes must be
considered as uncontrolled. Reference should be made to On-Ramp Wireless to obtain the latest revision.
Access Point
Deployment Guide
Model TRN-1000
System Release 1.4
On-Ramp Wireless Incorporated
10920 Via Frontera, Suite 200
San Diego, CA 92127
U.S.A.
Copyright © 2015 On-Ramp Wireless Incorporated.
All Rights Reserved.
The information disclosed in this document is proprietary to On-Ramp Wireless Inc., and is not to be used
or disclosed to unauthorized persons without the written consent of On-Ramp Wireless. The recipient of
this document shall respect the security of this document and maintain the confidentiality of the
information it contains. The master copy of this document is stored in electronic format, therefore any
hard or soft copy used for distribution purposes must be considered as uncontrolled. Reference should
be made to On-Ramp Wireless to obtain the latest version. By accepting this material the recipient agrees
that this material and the information contained therein is to be held in confidence and in trust and will not
be used, copied, reproduced in whole or in part, nor its contents revealed in any manner to others without
the express written permission of On-Ramp Wireless Incorporated.
On-Ramp Wireless Incorporated reserves the right to make changes to the product(s) or information
contained herein without notice. No liability is assumed for any damages arising directly or indirectly by
their use or application. The information provided in this document is provided on an “as is” basis.
This document contains On-Ramp Wireless proprietary information and must be shredded when
discarded.
This documentation and the software described in it are copyrighted with all rights reserved. This
documentation and the software may not be copied, except as otherwise provided in your software
license or as expressly permitted in writing by On-Ramp Wireless, Incorporated.
Any sample code herein is provided for your convenience and has not been tested or designed to work
on any particular system configuration. It is provided “AS IS” and your use of this sample code, whether
as provided or with any modification, is at your own risk. On-Ramp Wireless undertakes no liability or
responsibility with respect to the sample code, and disclaims all warranties, express and implied,
including without limitation warranties on merchantability, fitness for a specified purpose, and
infringement. On-Ramp Wireless reserves all rights in the sample code, and permits use of this sample
code only for educational and reference purposes.
This technology and technical data may be subject to U.S. and international export, re-export or transfer
(“export”) laws. Diversion contrary to U.S. and international law is strictly prohibited.
Random Phase Multiple Access™ is a trademark of On-Ramp Wireless Incorporated.
Other product and brand names may be trademarks or registered trademarks of their respective owners.
AP Deployment Guide - System Release 1.4
010-0006-00 Rev. F
February 3, 2015

On-Ramp Wireless Incorporated iii 010-0006-00 Rev. F
Contents
1 Introduction ........................................................................................................... 1
1.1 Overview .................................................................................................................................... 1
1.2 Referenced Documents ............................................................................................................. 3
2 Network Planning and Configuration Considerations ....................................... 4
2.1 Network Planning ....................................................................................................................... 4
2.2 Network Configuration ............................................................................................................... 4
2.3 Backhaul .................................................................................................................................... 5
3 Installation Prerequisites and Considerations ................................................... 6
3.1 Installation Prerequisites ............................................................................................................ 6
3.1.1 Site Survey ....................................................................................................................... 6
3.1.2 AP Installation Configuration ............................................................................................ 6
3.2 Installation Considerations ......................................................................................................... 7
3.2.1 AP Antenna ...................................................................................................................... 7
3.2.2 AP Antenna Cable ............................................................................................................ 7
3.2.3 GPS Antenna .................................................................................................................... 8
3.2.4 Antenna Cable Lightning Suppression and Grounding .................................................... 9
3.2.5 AP DC Power Requirement .............................................................................................. 9
3.2.6 PoE Injector .................................................................................................................... 10
3.2.7 Ethernet Cable ................................................................................................................ 10
3.2.8 Solar Power .................................................................................................................... 11
3.2.9 Outdoor Installation Hardware ........................................................................................ 11
4 Regulatory Warnings .......................................................................................... 12
4.1 Certifications ............................................................................................................................ 12
4.2 Transmit Power Restrictions .................................................................................................... 12
4.3 FCC Warnings – United States ................................................................................................ 12
4.4 IC Warnings - Canada.............................................................................................................. 13
4.5 RF Exposure Statement ........................................................................................................... 13
5 AP Installation ..................................................................................................... 15
5.1 AP and Ancillary Equipment .................................................................................................... 15
5.2 AP Installation Configurations .................................................................................................. 15
5.3 Base Station Configurations .................................................................................................... 16
5.4 General Grounding Guidelines ................................................................................................ 16
5.4.1 Grounding the AP and Antenna Cable Surge Suppressor ............................................. 16
5.4.2 Grounding the AP and GPS Antennas ........................................................................... 18

AP Deployment Guide - System Release 1.4 Contents
On-Ramp Wireless Incorporated iv 010-0006-00 Rev. F
5.5 AP Mounting Details................................................................................................................. 19
5.6 AP Pipe Mount Option ............................................................................................................. 19
6 Hardware Installation Verification ..................................................................... 20
6.1 Power Verification .................................................................................................................... 20
6.2 AP Antenna and GPS Cable DVM Test ................................................................................... 20
6.3 Antenna System Sweep Testing .............................................................................................. 20
6.4 Grounding ................................................................................................................................ 21
6.5 Connector Weather Sealing ..................................................................................................... 21
6.6 Mounting Hardware .................................................................................................................. 21
7 AP Software Configuration via Web Interface .................................................. 22
7.1 Initial AP Network Configuration Prior to Installation ............................................................... 22
7.1.1 Initial AP Network Configuration for 3G Wireless Backhaul Modem .............................. 22
7.1.2 Initial AP Network Configuration for Customer Backhaul ............................................... 22
7.2 Login ........................................................................................................................................ 23
7.3 Access Point Menu .................................................................................................................. 24
7.3.1 Startup Config Submenu ................................................................................................ 26
7.3.2 Network Config Submenu............................................................................................... 27
7.3.3 Procedure for Changing IP Address Settings ................................................................ 28
7.3.4 Ctrl Interface ................................................................................................................... 29
7.3.5 Specifications Submenu ................................................................................................. 30
7.3.6 FW Upgrade Submenu ................................................................................................... 30
7.3.7 Save Logs Submenu ...................................................................................................... 31
7.3.8 Site Survey Submenu ..................................................................................................... 32
7.4 Statistics Menu ......................................................................................................................... 33
7.4.1 ULP Stats ....................................................................................................................... 33
7.4.2 AP Stats Submenu ......................................................................................................... 34
7.5 Administration Submenu .......................................................................................................... 34
7.6 Home Menu .............................................................................................................................. 35
7.7 Regulatory Domain Setup ........................................................................................................ 35
8 AP Communication Troubleshooting ................................................................ 36
9 Troubleshooting Guidelines .............................................................................. 37
10 Preventive Maintenance ................................................................................... 38
Appendix A Site Survey Worksheet ..................................................................... 39
Appendix B AP Installation Configuration Worksheet ....................................... 40
Appendix C Basic AP Specifications ................................................................... 42

AP Deployment Guide - System Release 1.4 Contents
On-Ramp Wireless Incorporated v 010-0006-00 Rev. F
Appendix D Base Station Configurations ............................................................ 43
Appendix E Abbreviations and Terms ................................................................. 45
Figures
Figure 1. On-Ramp Wireless Access Point (TRN-1000) ................................................................. 1
Figure 2. High Level Diagram for Indoor Site Installation of AP and Equipment ............................. 2
Figure 3. High Level Diagram for Outdoor Site Installation of AP and Equipment .......................... 3
Figure 4. PCTEL GPS Model GPSL1-TMG-SPI-40NCB ................................................................. 9
Figure 5. Block Diagram Showing PoE Injector Connections ........................................................ 10
Figure 6. High Level Grounding Diagram ...................................................................................... 16
Figure 7. Grounding the AP ........................................................................................................... 17
Figure 8. Grounding the GPS and AP Antennas ........................................................................... 18
Figure 9. AP with Mounting Tabs Installed .................................................................................... 19
Figure 10. Return Loss................................................................................................................... 21
Figure 11. Distance to Fault ........................................................................................................... 21
Figure 12. Username and Password Prompt ................................................................................. 23
Figure 13. Sample Access Point Screen (with GPS Information) .................................................. 25
Figure 14. Sample Method for On-site Debugging of an AP Installation ....................................... 36
Tables
Table 1. Software Versions .............................................................................................................. 1
Table 2. Attenuation at 2.4 GHz for Common Types of Antenna Cables ........................................ 8
Table 3. Surge Protector Mount Locations ...................................................................................... 9
Table 4. Tested Ethernet Cable and Connector Combinations ..................................................... 10
Table 5. GPS Fields on the Access Point Screen ......................................................................... 25
Table 6. Fields on the Startup Config Screen ................................................................................ 26
Table 7. Fields on the Network Config Screen .............................................................................. 27
Table 8. Fields on the Ctrl Interface Submenu Screen .................................................................. 29
Table 9. Troubleshooting Guidelines ............................................................................................. 37
Table 10. Preventive Maintenance Schedule ................................................................................ 38
Table 11. On-Ramp Wireless TRN Base Station Configuration Options ....................................... 43

On-Ramp Wireless Incorporated vi 010-0006-00 Rev. F
Revision History
Revision
Release Date
Change Description
A
April 9, 2012
Initial release.
B
September 14, 2012
Added block diagrams for PoE injector connections and AP
communication troubleshooting.
C
September 26, 2012
Updated information clarifying the following:
RF cable loss measurement for AP configuration
Transmit power regulations
Antenna system sweep testing
Regulatory domain setup
D
November 30, 2012
Added Troubleshooting and Maintenance sections
E
April 25, 2013
Updated:
Product names where appropriate
Screen captures
Software configuration procedure
F
August 2, 2013
Added appendix for base station options and updated AP
software configuration screens.

On-Ramp Wireless Incorporated 1 010-0006-00 Rev. F
1 Introduction
This document provides network planning, installation, configuration and preventive
maintenance information for the Access Point model TRN-1000 as a part of the On-Ramp
Wireless Total Reach Network (TRN). There are multiple configurations for the Access Point (AP)
depending upon the country in which it will be used. For details, refer to the Access Point
Product Specification (014-0030-00).
Figure 1. On-Ramp Wireless Access Point (TRN-1000)
This document is compatible with the software versions shown in the following table.
Table 1. Software Versions
Software
Version
System Release
1.4
AP
4.8.0
1.1 Overview
The AP is the core component of the On-Ramp Wireless Total Reach Network (TRN) and TRN
base station solutions. It provides the functionality of an RF transceiver, a data processor, and a
data router. The RF transceiver operates in the unlicensed 2.4 GHz ISM band on one of thirty
eight 1 MHz channels. The AP utilizes Time Division Duplexing and Direct Sequence Spread
Spectrum with On-Ramp Wireless’ proprietary Random Phase Multiple Access (RPMA)
modulation technique. The maximum transmit power of the AP’s transceiver (at the antenna
connector) is +30 dBm (1 Watt). GPS is used for timing and synchronization.
All endpoint devices designed with On-Ramp Total Reach Network technology communicate
directly with TRN base stations installed on existing communication towers, rooftops,
streetlights, substations, and other elevated sites to collect data or control the endpoint devices.
Base station networks are designed and deployed to meet coverage, capacity, and redundancy
objectives.

AP Deployment Guide - System Release 1.4 Introduction
On-Ramp Wireless Incorporated 2 010-0006-00 Rev. F
On-Ramp Wireless APs are weatherproof with an IP 66 rating and can be installed indoors or
outdoors. On-Ramp Wireless offers various base station configurations to support a wide variety
of installations. Section 5.3 defines these pre-configured base station packages. This document
focuses on the installation, configuration, and maintenance of the Access Point. For base
station-specific information, see the installation manuals for each of the base stations.
An AP installation requires:
A 10/100 IP-over-Ethernet connection with 128 Kbps minimum throughput for backhaul to the
On-Ramp Wireless gateway
A Power-over-Ethernet (PoE) injector that combines power and data over the same Ethernet
cable. The AP requires a passive PoE injector and cannot be powered directly from most
switches
NOTE: The AP is not 802.3AF or 802.3AT compliant.
An AC or DC power source capable of supplying 48 VDC at a minimum of 25 Watts to the
PoE injector. For very long PoE cables, a 56 VDC power supply is recommended.
A GPS antenna and cable
An AP antenna and cable
Coaxial Surge
Protection (CSP)
mounted at
entrance into
building
Exterior Wall
Minimal loss coaxial cable to
maximize EIRP
PoE
Injector
Backhaul
(10 Mb full duplex)
Data/PoE,
CAT5e (< 100 m)
Mounting height
per network plan
AC or DC
source
LMR-400
Grounding kit(s) as per
manufacturer recommendations
Data/CAT5e
Clear view of sky
GPS
Antenna
AP
Antenna
Access Point
(AP)
INDOOR EQUIPMENT
(within a building)
OUTDOOR EQUIPMENT
CSP
Figure 2. High Level Diagram for Indoor Site Installation of AP and Equipment

AP Deployment Guide - System Release 1.4 Introduction
On-Ramp Wireless Incorporated 3 010-0006-00 Rev. F
Coaxial Surge
Protection (CSP)
Exterior Wall
Minimal loss coaxial cable to
maximize EIRP
PoE
Injector
Backhaul
(10 Mb full duplex)
Data/PoE,
CAT5e (< 100 m)
Mounting height per
network plan
LMR-400
Grounding kit(s) as per
manufacturer recommendations
Data/CAT5e
CSP
Clear view of sky GPS
Antenna
AP
Antenna
AC or DC
source
Access Point
(AP)
INDOOR EQUIPMENT (within
a Building or Cabinet)
OUTDOOR EQUIPMENT
Figure 3. High Level Diagram for Outdoor Site Installation of AP and Equipment
NOTE: The AP does not contain any user-serviceable components. Opening the AP voids the
product warranty.
For questions or technical assistance, contact On-Ramp Wireless at support@onrampwireless.com.
1.2 Referenced Documents
The following document provides additional details about the AP.
Access Point Product Specification (014-0030-00)
Provides detail about product specifications, characteristics, and requirements for the AP.
EMS Operator Guide (010-0045-00)
Provides instruction on using On-Ramp Wireless Element Management System (EMS) to
manage and monitor the Access Point. This document should be used for Access Point day-
to-day operations and monitoring.

On-Ramp Wireless Incorporated 4 010-0006-00 Rev. F
2 Network Planning and Configuration
Considerations
Prior to the installation of an AP at a new location, a number of network design and
configuration decisions must be addressed. This chapter provides an overview of these decisions
which should be reflected in the AP Installation Configuration Worksheet provided in Appendix
B. Detailed network planning and configuration is outside the scope of this document.
2.1 Network Planning
Network planning is critical to a successful AP installation and the reliable operation of an On-
Ramp Total Reach Network. The following issues must be addressed in the network planning
and design process.
Determine network coverage requirements
Establish network reliability requirements
Select and approve site and antenna locations
Predict TRN coverage with a propagation model
Select the appropriate AP antennas
Select the AP antenna cable type, determined by cable length, to minimize loss
Assign AP channel (frequency) and Reuse Code
Determine antenna cable attenuation
Determine AP transmit power setting
The maximum permissible Effective Radiated Power, ERP, is determined by the regulations
for the country where the AP will be installed (e.g., ETSI, FCC). The actual ERP is determined
by the AP’s transmit power output, antenna gain and antenna cable loss.
NOTE: The maximum ERP authorized by the FCC in the United States with an omni-
directional antenna is +36 dBi.
2.2 Network Configuration
The following AP network configuration settings must be determined by your network planning
and configuration team and provided for AP configuration:
AP Name (Set in EMS)
System ID (Set in EMS)
Client or Server Mode operation
Static or DHCP IP address assignment

AP Deployment Guide - System Release 1.4 Network Planning and Configuration Considerations
On-Ramp Wireless Incorporated 5 010-0006-00 Rev. F
AP IP address, if static
Netmask setting
Default router
DNS servers
NTP servers
Server port number
Gateway Hostname or IP Address
Gateway port number
Channel assignment (Set in EMS)
Reuse Code (Set in EMS, allows AP coexistence on the same channel)
AP antenna cable attenuation in dB (Set in EMS)
Transmit output power setting, most frequently automatically set by inserting antenna cable
loss in dB when using the standard antenna for the country of operation. In the United
States the standard antenna’s gain is 9 dBi for Omni deployment and 17dBi for Sectorized
deployment.
2.3 Backhaul
Backhaul is the interconnection of the APs in a network to the back office systems including the
On-Ramp gateway and the element management system. The backhaul method to be used must
be determined for each AP prior to installation. Common backhaul methods include the
following:
Cellular/PCS 3G data modems
Existing Ethernet infrastructure
DSL links
Point-to-Point radio links
Microwave links
NOTE: A 10/100 Mb IP-over-Ethernet connection with 128 Kbps minimum throughput is
required.

On-Ramp Wireless Incorporated 6 010-0006-00 Rev. F
3 Installation Prerequisites and Considerations
Before starting the actual physical installation of an AP, it is very important to complete the
prerequisite tasks outlined in this chapter as well as take into account the installation considerations
indicated. Information gathering templates are provided in the appendices of this document.
3.1 Installation Prerequisites
3.1.1 Site Survey
A site survey should be conducted prior to installation for all AP sites. The site survey provides
detailed, site-specific, information required to plan an AP installation and should be documented. See
Appendix A for a Site Survey Worksheet template. A copy of this worksheet should be provided to the
installer.
A site survey provides:
Site name
AP antenna mounting location and height
AP name (if different from site name)
Antenna line length required
Site street address or other location
GPS antenna mounting location
Site access information
GPS antenna cable length
Landlord contact information
Specific landlord requirements
AP power type, commercial power, solar
solution or other
Latitude
Distance to available power
Longitude
Site type (building, tower, pole, or other)
Photos of site including antennal location,
AP location, and the overall site
Height of existing structure
Other site-specific information
AP and equipment mounting locations
3.1.2 AP Installation Configuration
The AP installation configuration should be documented and provided to the installer prior to the
start of the installation. See Appendix B for an AP Installation Configuration Worksheet template.
This worksheet provides the following site-specific equipment details and AP configuration
information:
Site name
AP antenna gain
AP name (if different from site name)
AP antenna downtilt, if required
Deployment Type (Omni /Sectorized)
AP physical configuration (outdoor, indoor,
and base station type)
Sector Label (A,B,…)
Sector Heading (N,S,NE,etc…)
AP antenna cable type
AP antenna cable length

AP Deployment Guide - System Release 1.4 Installation Prerequisites and Considerations
On-Ramp Wireless Incorporated 7 010-0006-00 Rev. F
Power source
(120/240 VAC, 48 VDC, or Solar)
AP antenna cable loss
GPS antenna model
AP antenna manufacturer
GPS cable type
AP antenna model
GPS cable length
Backhaul type
Default router
Backhaul equipment location
DNS servers
Backhaul configuration information
NTP servers
AP and other equipment installation
location
Client or server mode of operation
Gateway hostname or IP address
Ethernet cable type and length, if required
Gateway port number
AP IP Address type, Static or Dynamic
Server port
AP IP Address assignment, if static
Channel assignment
Netmask setting
Reuse code
3.2 Installation Considerations
When planning a new AP installation, the following items must be considered.
3.2.1 AP Antenna
The AP antenna should be mounted at a location that minimizes physical obstructions between the
antenna and the endpoints with which it will be communicating. Rooftop installations create the
largest concern in this area. Antenna placement and height are very important to maximize network
performance. The AP antenna should be securely mounted in a vertical position. The AP antenna
cable is connected to a type-N female connector on the AP.
There are a variety of antenna options available to address the regulatory requirements of different
countries. See the Access Point Product Specification (014-0030-00) for additional details.
3.2.2 AP Antenna Cable
A 50 ohm low loss coaxial cable is used to connect the antenna to the AP. The type of cable is
selected based on the length of the cable run and network design requirements. For short runs, a ½
inch cable such as Andrew LDF4-50A is recommended. For longer runs, a
inch cable or 1⅝ inch
cable may be used to reduce the cable attenuation.
The antenna cable should always be attached to the tower or other structure with clamps at the
spacing recommended by the manufacturer. It is also very important to maintain the minimum
bending radius recommended by the manufacturer to avoid kinking the cable during installation.
When using an antenna cable larger than ½ inch, ½ inch LDF4-50A jumpers with type-N male
connectors, typically 3 feet to 6 feet long, should be installed between the antenna cable and both
the antenna and the AP to minimize the chance of damage to their connectors. The AP and the AP
antenna use type “N” female connectors.
NOTE 1: The total RF cable loss from AP Antenna connector to the antenna must be calculated or
measured with antenna system test equipment during installation as detailed in section

AP Deployment Guide - System Release 1.4 Installation Prerequisites and Considerations
On-Ramp Wireless Incorporated 8 010-0006-00 Rev. F
6.3 Antenna System Sweep Testing. This value in dB is used when configuring the AP in the
EMS.
NOTE 2: All outdoor antenna cable connections must be weather sealed in an appropriate manner.
The table below shows the attenuation for common types of antenna lines.
Table 2. Attenuation at 2.4 GHz for Common Types of Antenna Cables
Model
Size
dB/25 ft
dB/50 ft
dB/100 ft
dB/150 ft
dB/200 ft
LMR-400
.40 inch
1.7
3.4
6.8
10.2
13.6
FSJ4-50B
½ inch
1.5
3.1
6.1
9.2
12.2
LDF4-50A
½ inch
.9
1.9
3.7
5.6
7.4
AVA5-50
⅞ inch
.5
1.0
1.9
2.9
3.8
3.2.3 GPS Antenna
The GPS antenna provides timing signals to the AP. It should be mounted so that it has a clear view
of the sky. A mounting location should be chosen that minimizes shadowing from trees or
structures.
NOTE: The GPS antenna should be mounted at least one meter away from the AP antenna to
minimize the chance of interference.
In normal operation, the AP requires GPS synchronization for precision timing of all nodes on the
network. To provide a reliable GPS signal, the AP has a built-in GPS receiver which requires an
externally connected GPS antenna. The GPS antenna cable is connected to a type-N female
connector on the AP.
Many different GPS antennas are available but On-Ramp Wireless recommends using the PCTEL GPS
antenna model GPSL1-TMG-SPI-40NCB for the following reasons:
1. The PCTEL GPS antenna has a low noise, high gain amplifier which is well-suited to address cable
attenuation when the GPS antenna mounting location requires a long length of cable. Up to a 20
dB cable loss is acceptable when using this high gain antenna.
2. The PCTEL GPS antenna provides integrated, onboard, lightning protection that minimizes the
need for a downstream, inline surge suppressor. The GPS antenna must be properly grounded.
See figure 4. If using an external surge suppressor, it must be a “DC pass-through” type.

AP Deployment Guide - System Release 1.4 Installation Prerequisites and Considerations
On-Ramp Wireless Incorporated 9 010-0006-00 Rev. F
Figure 4. PCTEL GPS Model GPSL1-TMG-SPI-40NCB
The PCTEL GPSL1-TMG-SPI-40NCB GPS antenna has a type-N female connector.
NOTE: Most GPS antennas have an Low Noise Amplifier (LNA) that requires power from the AP. The
AP supplies 3.3 V at up to 50 ma. If this current is exceeded, the AP detects the excess
current and shuts down its GPS power supply. When this occurs, the AP sends a GPS
antenna fault message back to the EMS. The AP must be power cycled to restore power to
the GPS antenna.
3.2.4 Antenna Cable Lightning Suppression and Grounding
A coaxial surge suppressor must be installed at the location shown in the table below and must be
connected with a #10 gauge or larger stranded wire to an appropriate ground for lightning
protection. In most tower installations the outer shield of the AP antenna cable must be grounded
with one or more grounding kits provided by the antenna cable manufacturer. The grounding kits
must be connected to appropriate building or tower grounds using a #2 gauge wire. The mounting
pipe for the antenna should be grounded to the same point if it is not attached to a grounded
structure.
Table 3. Surge Protector Mount Locations
Coaxial System Mount Location
Mount Location of Surge Protector
Indoors
Entrance to the first external wall
Outdoors
Antenna connector of the Access Point
Outdoor Enclosure
Entrance to the enclosure
3.2.5 AP DC Power Requirement
The AP is powered over the Ethernet port using a PoE injector. The acceptable power source voltage
range is 38 – 72 VDC. At the nominal input voltage of 48 VDC the typical input current is 0.3 Amps.
The maximum input power dissipation is 17 Watts. When connecting to a 48 VDC power system’s
distribution panel it should be fused with a minimum of a ½ Amp slow-blow fuse. The maximum fuse
or circuit breaker size should be 2 Amps.

AP Deployment Guide - System Release 1.4 Installation Prerequisites and Considerations
On-Ramp Wireless Incorporated 10 010-0006-00 Rev. F
3.2.6 PoE Injector
A standard PoE (Power over Ethernet) injector is used to apply power to the AP. An example of an
approved device is the L-com HyperLink BT-CAT5-P1 Single-Port CAT-5 Midspan/Injector (also known
as PoE Passive Splitter). When connected to an outdoor AP the PoE injector must be properly
grounded for lightning and surge protection.
The following figure illustrates a typical setup utilizing the PoE injector.
Laptop
(configured to AP’s
IP subnet)
L-com
(PoE Injector)AP
Ethernet PoE
48 VDC
AP must be connected to the “Data + Power” side of the injector
Figure 5. Block Diagram Showing PoE Injector Connections
3.2.7 Ethernet Cable
The Ethernet cable connection to the AP provides both data and DC power. The maximum Ethernet
cable length is 328 feet (100 meters). A quality Cat5e or Cat6 cable is required. For most
applications, an Unshielded Twisted Pair (UTP) cable with solid conductors is recommended.
NOTE: Shielded Ethernet cable is not recommended.
The following table provides a list of tested Ethernet cables and connector combinations.
Table 4. Tested Ethernet Cable and Connector Combinations
Cable Type
Manufacturer Part Number
RJ45 Connector
Type
Manufacturer Part
Number
CAT 5E, UTP Stranded,
24AWG Cable
10X6-021SH
www.CableWholesale.com
CAT 5E UTP RJ45
Connectors, for
Stranded Cable
SW-22342
http://sewelldirect.com
CAT 5E UTP Solid, 24
AWG Cable
DC-5E8-RD-1K-L
Pan Pacific
www.wallcoinc.com
CAT 5E UTP RJ45
Connectors, for
Solid Cable
CN150-45-1
Mfg: Abergetty
Supplied by:
www.deepsurplus.com
CAT 5E, STP Solid,
24AWG Cable
10X6-521TH
www.CableWholesale.com
CAT 5E STP RJ45
Connectors, for
Solid Cable
SW-22350
http://sewelldirect.com
CAT 5E, STP Stranded,
24AWG Cable
10X6-521SH
www.CableWholesale.com
CAT 5E STP RJ45
Connectors, for
Stranded
CN150-45-11
Mfg: Abergetty
Supplied by:
www.deepsurplus.com
CAT 6, UTP Stranded
Cable
10X8-071SH
www.CableWholesale.com
CAT 6 UTP RJ45
Connectors, for
Stranded Cable
SW-22346
http://sewelldirect.com

AP Deployment Guide - System Release 1.4 Installation Prerequisites and Considerations
On-Ramp Wireless Incorporated 11 010-0006-00 Rev. F
Cable Type
Manufacturer Part Number
RJ45 Connector
Type
Manufacturer Part
Number
CAT 6, UTP Solid Cable
10X8-081TH
www.CableWholesale.com
CAT 6 UTP RJ45
Connectors, for
Solid Cable
CN150-45-4
Mfg: Abergetty
Supplied by:
www.deepsurplus.com
CAT 6 STP Solid
10X8-591NH
www.CableWholesale.com
CAT 6 STP RJ45
Connectors, for
Solid Cable
CN150-45-10
Mfg: Abergetty
Supplied by:
www.deepsurplus.com
NOTE: It is very important that connectors be specified for the cable being used. As an example, if
using Cat5e solid conductor cable, the connectors should be specified for Cat5e solid
conductor cable. Some connectors are specified for both solid and stranded conductors.
Always use an RJ45 crimping tool that is specified for use with the connectors being used.
During the installation of the Ethernet cable, a pulling force of 25 pounds should not be exceeded.
The bending radius of the cable should never be less than four times its diameter. Ethernet cable
should not be deformed by tightly cinched cable ties.
Shielded Ethernet cable may be required in cases where the cable is installed in close proximity to
equipment or conductors generating strong electromagnetic fields. In this case follow Shielded
Twisted Pair (STP) installation guidelines.
3.2.8 Solar Power
Solar Power is recommended for sites where commercial power is not available or is not cost
effective to install. The required size for the solar panel and battery system is strongly influenced by
the geographic area in which it will be used. On-Ramp Wireless offers a solar powered base station
solution that may be appropriate for your application. Contact On-Ramp Wireless at
support@onrampwireless.com for more information.
3.2.9 Outdoor Installation Hardware
All outdoor installation hardware such as mounting brackets, pipe clamps, u-bolts, bolts, nuts and
washers should either be galvanized or stainless steel. This reduces deterioration due to corrosion,
oxidation, and rust.
NOTE: All exposed antenna system connectors must be sealed against moisture using industry
standard techniques.

On-Ramp Wireless Incorporated 12 010-0006-00 Rev. F
4 Regulatory Warnings
4.1 Certifications
The AP is designed to meet regulations for world-wide use. For information on the most current
certifications, refer to the Access Point Product Specification (014-0030-00).
4.2 Transmit Power Restrictions
Transmit power restrictions vary by country/agency. For details about antenna and transmit
power restrictions, refer to the Access Point Product Specification (014-0030-00). In the
United States, the AP is certified under two FCC IDs corresponding to two types of
deployment: One, Omni, for use with an omni-directional antenna; The other, Sectorized,
for use with directional antennas. A professional installation of the AP is required. A
professional installation installment of the AP must comply with the antenna configurations
below, based on the deployment type.
FCC ID
Deployment Type
Max Antenna Gain
Antenna Type
XTE-ULPAP110
Omni
9 dBi
Omni-directional
XTE-ULPAP210
Sectorized
17 dBi
Directional
Table 5: United States acceptable FCC deployment scenarios
4.3 FCC Warnings – United States
This device complies with part 15 of the Federal Communications Commission (FCC) Rules.
Operation is subject to the following two conditions:
1. This device may not cause harmful interference.
2. This device must accept any interference received, including interference that may cause
undesired operation.
Changes or modifications not expressly approved by the manufacturer could void the user’s
authority to operate the equipment.
NOTE:
This equipment has been tested and found to comply with the limits for a Class B
digital device, pursuant to Part 15 of the FCC Rules. These limits are designed to
provide reasonable protection against harmful interference in a residential
installation.

AP Deployment Guide - System Release 1.4 Regulatory Warnings
On-Ramp Wireless Incorporated 13 010-0006-00 Rev. F
WARNING:
This equipment generates, uses, and can radiate radio frequency energy. If not
installed and used in accordance with the instructions, this equipment may cause
harmful interference to radio communications. However, there is no guarantee
that interference will not occur in a particular installation. If this equipment does
cause harmful interference to radio or television reception, which can be
determined by turning the equipment off and on, the user is encouraged to try to
correct the interference by one or more of the following measures:
Re-orient or relocate the receiving antenna.
Increase the separation between the equipment and receiver.
Connect the equipment into an outlet on a circuit different from that to which
the receiver is connected.
Consult the dealer or an experienced radio/TV technician for help.
4.4 IC Warnings - Canada
The installer of this radio equipment must ensure that the antenna is located or pointed so that
it does not emit RF field in excess of Health Canada limits for the general population. Consult
Safety Code 6 which is obtainable from Health Canada’s website http://www.hc-sc.gc.ca/index-
eng.php.
Operation is subject to the following two conditions:
1. This device may not cause harmful interference.
2. This device must accept any interference received, including interference that may cause
undesired operation.
To reduce potential radio interference to other users, select the antenna type and its gain so
that the equivalent isotropically radiated power (EIRP) is not more than that permitted for
successful communication.
Canadian Two Part Warning Statement:
This device complies with Industry Canada licence-exempt RSS standard(s). Operation is subject
to the following two conditions: (1) this device may not cause interference, and (2) this device
must accept any interference, including interference that may cause undesired operation of the
device.
Le présent appareil est conforme aux CNR d'Industrie Canada applicables aux appareils radio
exempts de licence. L'exploitation est autorisée aux deux conditions suivantes : (1) l'appareil ne
doit pas produire de brouillage, et (2) l'utilisateur de l'appareil doit accepter tout brouillage
radioélectrique subi, même si le brouillage est susceptible d'en compromettre le fonctionnement.
4.5 RF Exposure Statement
FCC ID: XTE-ULPAP110. IC: 8655A-ULPAP110. This device is only authorized for use in fixed and
mobile applications. To meet FCC and other national radio frequency (RF) exposure

AP Deployment Guide - System Release 1.4 Regulatory Warnings
On-Ramp Wireless Incorporated 14 010-0006-00 Rev. F
requirements, the antenna for this device must be installed to ensure a separation distance of at
least 20cm (8 inches) from the antenna to a person.

On-Ramp Wireless Incorporated 15 010-0006-00 Rev. F
5 AP Installation
5.1 AP and Ancillary Equipment
The AP installation includes installing the AP itself and the ancillary equipment listed below:
Access Point (AP)
AP antenna
AP antenna cable (50 ohm coaxial cable)
AP antenna cable lightning suppressor
GPS antenna
GPS antenna cable (50 ohm coaxial cable)
PoE injector, powered by 48 VDC
Site-specific power solution providing 48 VDC to the PoE, if not using the 120/240 VAC
powered base station cabinet or the solar powered base station
Backhaul equipment
Site-specific mounting hardware
NOTE: On-Ramp Wireless recommends that a backup power solution be utilized to power the
AP in the event of a power failure. The backup power solution should be designed to
meet customer requirements for the number of hours of backup power.
5.2 AP Installation Configurations
The AP’s small size (9.1”H x 8.1”W x 4.5”D) and light weight allows for many installation
configurations. For basic AP specifications, refer to Appendix C. The AP is designed to be
installed indoors or outdoors. It may be mounted in any position indoors but should be mounted
with its connectors facing down when installed outdoors. The AP may be installed in an
equipment cabinet with its ancillary equipment if desired.
Types of installation configurations include:
Outdoor non-penetrating roof mounts on building
Indoor or outdoor wall attachment
Pipe mounting
Tower mounting
Utility pole mounting

AP Deployment Guide - System Release 1.4 AP Installation
On-Ramp Wireless Incorporated 16 010-0006-00 Rev. F
5.3 Base Station Configurations
On-Ramp Wireless offers pre-configured base station packages. For details, refer to Appendix D:
Base Station Configurations.
5.4 General Grounding Guidelines
The following grounding information is provided as a guideline when installing the AP in any
configuration.
AP
Antenna
CSP = Coaxial
Surge Protector
CSP
Access Point
(AP)
GPS
Antenna
Equipment
Cabinet
Additional
Sector
Figure 6. High Level Grounding Diagram
5.4.1 Grounding the AP and Antenna Cable Surge Suppressor
A ground wire may be attached underneath one of the AP mounting bolts. A ground wire must
be attached to the ground terminal on the inline coaxial surge protector which is inserted

AP Deployment Guide - System Release 1.4 AP Installation
On-Ramp Wireless Incorporated 17 010-0006-00 Rev. F
between the AP’s type N female antenna connector and the AP antenna cable. An example is
shown in the following figure.
Figure 7. Grounding the AP

AP Deployment Guide - System Release 1.4 AP Installation
On-Ramp Wireless Incorporated 18 010-0006-00 Rev. F
5.4.2 Grounding the AP and GPS Antennas
If the AP and GPS antennas are not attached to grounded metal structures a ground wire should
be attached to the base of both antennas. An example of grounding these two antennas is
shown in the following figure.
Figure 8. Grounding the GPS and AP Antennas

AP Deployment Guide - System Release 1.4 AP Installation
On-Ramp Wireless Incorporated 19 010-0006-00 Rev. F
5.5 AP Mounting Details
The AP is supplied with four mounting tabs that facilitate attaching the AP to a wall, in a cabinet,
or to a strut channel, if required. The mounting tabs are attached to the AP by the installer using
four provided, 5/16 inch self-tapping, hex head bolts. See the mounting tabs shown in Error!
Reference source not found..
Mounting Tabs
Installed
Figure 9. AP with Mounting Tabs Installed
5.6 AP Pipe Mount Option
On-Ramp Wireless offers an optional pipe mount kit for the AP. This kit provided two 8-inch
lengths of strut channel that have been drilled to allow attachment to the top and bottom holes
on the back of the AP. The same self-tapping bolts provided with the AP are used to attach the
strut channel in place of the mounting tabs. After attaching the strut channel to the AP, it can
now be attached to any size of pipe using standard strut channel pipe clamps or conduit clamps.

On-Ramp Wireless Incorporated 20 010-0006-00 Rev. F
6 Hardware Installation Verification
6.1 Power Verification
Prior to applying power to the AP, confirm with a Digital Voltmeter (DVM) that the DC voltage is
correct at the PoE injector. The DC voltage should be between 48 VDC and 54 VDC.
NOTE: The AP its self is not polarity sensitive, however, it is recommended that the barrel of
the PoE power plug be at ground potential if the power system is grounded.
6.2 AP Antenna and GPS Cable DVM Test
Prior to weather sealing the AP antenna and GPS antenna connectors, disconnect both cables at
both ends and verify continuity between center pins and verify that neither cable is shorted.
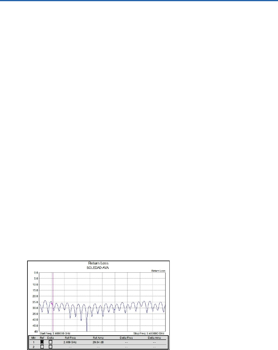
6.3 Antenna System Sweep Testing
The combined TRN antenna system (including the antenna, cables, and lightning suppressor)
should be “sweep tested” for Return Loss and Attenuation using an antenna analyzer such as an
Anritsu Site Master™. The antenna system should be swept across the frequencies of interest,
2.400 GHz – 2.480 GHz. The Return Loss should be greater than 17 dB across the frequency
range and the total attenuation should be as low as possible, generally less than 5 dB. The
antenna system attenuation (loss) should be noted for use when configuring the AP within the
EMS system.
If the Return Loss is not acceptable, the antenna should be disconnected and the antenna line
should be terminated with a 50 ohm load. The Return Loss test should be repeated. If the
antenna line Return Loss is now greater than 20 dB and is flat across the frequency range, the
antenna should be replaced. If the Return Loss is not acceptable, the antenna cable system
should be tested using the Distance to Fault (DTF) capability in the antenna analyzer to locate
the problem.
Notes:
Measurement is required to be >
20 dB for coaxial cable and
connectors.
Overall return loss with antenna
should be > 17 dB.

AP Deployment Guide - System Release 1.4 Hardware Installation Verification
On-Ramp Wireless Incorporated 21 010-0006-00 Rev. F
Figure 10. Return Loss
Notes:
Measurements should be taken
with the antenna as well as
with a 50Ω terminating load.
Type and length of coaxial
cable should be recorded for
each run.
Figure 11. Distance to Fault
6.4 Grounding
Verify that the mounting hardware, AP, antenna cable, and lightning suppressor are properly
grounded.
6.5 Connector Weather Sealing
Verify that all outdoor connectors are properly weather sealed.
6.6 Mounting Hardware
Verify that all mounting hardware is tight and secure.

On-Ramp Wireless Incorporated 22 010-0006-00 Rev. F
7 AP Software Configuration via Web Interface
The AP web interface can be accessed with a web browser connected locally at the data port of
the PoE injector or remotely through the backhaul network. On-Ramp Wireless recommends
that you use one of the following internet browsers when using the AP web interface:
Microsoft Internet Explorer® 8 or higher
Mozilla Firefox®, any version
Google Chrome™, any version
NOTE: The AP web interface described in this chapter is compatible with AP software version
4.8.0 and System Release 1.4.
7.1 Initial AP Network Configuration Prior to Installation
The AP is shipped the following factory default IP Network Settings:
IP Address: 192.168.1.1
Netmask: 255.255.255.0
Default Router: 192.168.1.254
This section covers the minimum AP IP network configuration required to establish remote
connectivity with the AP. This configuration must be performed prior to AP installation or on-
site immediately following the physical AP installation. In most cases it is strongly recommended
this initial configuration be performed prior to installation.
Refer to Figure 5 for the connections required to configure an AP. If the AP is being installed
with a 3G wireless modem for backhaul, refer to section 7.1.1. If the AP is being installed with
any other type of customer-provided IP backhaul, refer so section 7.1.2.
7.1.1 Initial AP Network Configuration for 3G Wireless Backhaul
Modem
When activating the 3G wireless modem, a static IP address is required from the wireless carrier.
The LAN side of the 3G modem can be configured to support the default IP network settings of
the AP. This avoids the need to change these default settings in the AP. After the AP is installed,
a connection to the AP can be established using the IP address of the 3G modem and the AP can
be configured remotely. Refer to the On-Ramp Wireless 3G Modem Configuration Guide for
additional information.
7.1.2 Initial AP Network Configuration for Customer Backhaul
The default IP network settings for the AP must be changed to allow connection to the AP over
the customers IP network. To make these changes, perform the following steps:
1. Log into the AP as described in section 7.2.

AP Deployment Guide - System Release 1.4 AP Software Configuration via Web Interface
On-Ramp Wireless Incorporated 23 010-0006-00 Rev. F
2. After successfully logging into the AP, select Access Point in the upper right corner.
3. From the Access Point menu, select the Network Config submenu.
4. Follow the instructions in section 7.3.2 to make the required changes to the IP Address,
Netmask, and Default Router.
5. When you have completed the changes, be sure to click on the Submit button and then click
on the Reboot Access Point button.
6. After these changes are made and the customer’s firewall and routers have been properly
configured, the AP can be remotely configured.
For additional support with AP configuration, contact the On-Ramp Wireless’ Network
Operations Center (NOC) Team at support@onrampwireless.com.
7.2 Login
The AP has a factory default IP Address of 192.168.1.1 which allows connection to the AP
configuration page using https protocol on port 443.
1. To access the AP configuration page, ensure the following:
You are on the same subnet with the AP or your router can route to the AP IP address.
The AP’s default router setting is 192.168.1.254.
You have access to port 443 on the firewall
2. Open your web browser.
3. In the address bar of the browser, type https://192.168.1.1. A dialog box opens that looks
similar to the following:
Figure 12. Username and Password Prompt
4. Enter the default User Name and Password.
User Name: admin
Password: onramp
5. Click on the Log In button.
NOTE: After you log in, On-Ramp Wireless recommends that you change from the default
password to a personalized password. For instructions on how to do this, refer to
section 7.5 Administration Submenu.

AP Deployment Guide - System Release 1.4 AP Software Configuration via Web Interface
On-Ramp Wireless Incorporated 24 010-0006-00 Rev. F
6. After logging in, the Access Point menu page displays as shown in the next section.
7.3 Access Point Menu
Block A shows the three menus (i.e., Home, Access Point, and Statistics) that can be used to
navigate to different configuration pages.
Block B shows the seven submenus under the Access Point menu. These submenus are
described in the following sections.
Startup Config – Displays RF parameter information
Network Config – Allows configuration of the IP network connection
Ctrl Interface – Allows configuration of the Control Interface with the On-Ramp Wireless
gateway.
Specifications – Displays AP-specific configuration information
FW Upgrade – In this software release performing a Firmware Upgrade is not supported
through the web interface.
Save Logs – Allows AP logs to be saved to a file for diagnostic purposes
Site Survey – Provides an Offline utility to perform an AP Site Survey which evaluates the
interference level on all thirty eight channels.
Block C provides buttons and a dropdown box to do the following:

AP Deployment Guide - System Release 1.4 AP Software Configuration via Web Interface
On-Ramp Wireless Incorporated 25 010-0006-00 Rev. F
Reboot the Access Point
After making configuration changes, this button is used to reboot the Access Point in order
for the changes to take effect.
Set Target State
This dropdown menu allows you to place the Access Point into an Online or Offline state.
After selecting the state, click on the Submit button. If the Access Point is Offline,
communication with endpoints and RF transmission is disabled but the AP is still connected
to the Gateway.
Block D shows the current status of the Access Point: Online, Offline or Waiting for RF Metrics.
The Access Point menu page also shows the current GPS status. See the figure below. If the AP
has GPS connected to it, GPS values are shown.
NOTE: GPS verification MUST occur after completion of physical AP installation.
The columns on this screen are defined in the following table. The rows show the number of
GPS satellites to which the AP receiver is currently locked. For proper GPS synchronization, there
should be a minimum of five satellites.
Figure 13. Sample Access Point Screen (with GPS Information)
The following table describes the fields on this screen.
Table 6. GPS Fields on the Access Point Screen
Column Heading
Description
Sat ID
The Sat ID column provides the name of the GPS satellite to which the AP is locked
or is tracking.
Azimuth
The Azimuth is the direction of a GPS satellite, measured clockwise around the
observer’s horizon from north. Azimuth and altitude or elevation are usually used
together to give the direction of an object in the topocentric coordinate system.

AP Deployment Guide - System Release 1.4 AP Software Configuration via Web Interface
On-Ramp Wireless Incorporated 26 010-0006-00 Rev. F
Column Heading
Description
Elevation
The elevation (sometimes called altitude) is the angle at which we see the satellite
when we look up into the sky.
C/N0
Carrier to Noise (C/N0) density ratio is the ratio of the carrier or signal power to the
white-noise spectral density. For the AP GPS receiver to lock to the GPS satellite,
the C/N0 should be greater than 20 dB-Hz.
7.3.1 Startup Config Submenu
The Startup Config page shows following AP configuration information entered remotely in the
EMS. In this version of software, these fields cannot be edited from the AP’s web pages.
Table 7. Fields on the Startup Config Screen
Field
Unit
Description
Reset Broadcasted
Margin
Boolean
Resets the broadcast margin. The AP stays in this state until the
next time it is rebooted.
System ID
Decimal
The System Identification Number. Range is 0 – 255.
AP ID
Decimal
The identification number for the AP. Range is 1 – 255.
Channel
Decimal
The channel on which the AP communicates. Range is 1 – 40.
Center Frequency
MHz
This field is not editable. The value for center frequency is
determined from the setting for the Channel field.
Maximum Transmit
Power
dBm
Maximum Transmit Power in dBm.
Reuse Code
Decimal
Different Reuse Codes allow two APs to operate on the same
Channel and System ID without interference. Range is 0 – 255.

AP Deployment Guide - System Release 1.4 AP Software Configuration via Web Interface
On-Ramp Wireless Incorporated 27 010-0006-00 Rev. F
Field
Unit
Description
Broadcast Gold Code
Hex
This field is not editable. The value for the broadcast gold code is
determined from the information provided in the following fields:
System ID
Channel
Reuse Code
GPS Location
Lat, Long
APs Location coordinates, Latitude, Longitude
7.3.2 Network Config Submenu
NOTE: When editing the options on this screen, the AP must be in Offline status.
Table 8. Fields on the Network Config Screen
Field
Description
IPv4 Settings
The AP supports two IP address options:
Automatic (DHCP): This setting is used to obtain a dynamic IP address.
Manual (Static IP): This setting is used for configuring a fixed IP address.

AP Deployment Guide - System Release 1.4 AP Software Configuration via Web Interface
On-Ramp Wireless Incorporated 28 010-0006-00 Rev. F
Field
Description
Wired
Interfaces
The AP uses IP aliasing to prevent it from being inaccessible when changing IP
address. The AP can be accessed using an old IP address if an incorrect IP address
settings is inadvertently entered.
Primary (eth0): This interface is always enabled.
Secondary (eth0:0): This interface is enabled whenever primary interface settings
are modified.
NOTES:
If the primary interface settings are modified, the current values roll over to
secondary and the secondary interface is enabled on reboot.
If the AP is rebooted with incorrect primary interface settings, it can still be accessed
using the old settings via the secondary interface.
If the primary interface settings are correct, then the secondary interface may be
disabled to re-use its IP settings elsewhere to prevent IP address collisions.
IP Address
IP address of the AP (default is 192.168.1.1)
Netmask
The default is 255.255.255.0.
Default Router
The default is 192.168.1.254.
DNS Servers
The IP address of the DNS server can be set in this text field. Multiple DNS servers can
be configured for an AP by separating the IP addresses of each DNS server with a
comma when entering them into the text field. The following DNS server addresses are
the defaults:
208.67.222.222
208.67.220.220
8.8.8.8
8.8.4.4
NTP Servers
The AP must be configured with valid NTP servers for correct time synchronization. If
the AP is not configured with a valid NTP server, it will be unable to connect to the
Total Reach Gateway using SSL. The following NTP server addresses are the defaults:
nist1-nj.ustiming.org
nist1-atl.ustiming.org
nist1-la.ustiming.org
nist1-sj.ustiming.org
nist1-lv.ustiming.org
time.nist.gov
As with DNS server configuration, multiple NTP server IP addresses can be entered
into this text field separated with commas.
7.3.3 Procedure for Changing IP Address Settings
The AP uses IP aliasing to prevent it from being inaccessible when changing the IP address. This
feature allows the AP to be accessible in the event that an incorrect IP address is inadvertently
entered. In this case, the old IP address would be used.
1. Change the IP address settings on Primary. The old Primary settings roll over to Secondary.
2. Click on the Submit button and you are prompted to reboot the AP.
3. To reboot the AP, click on the Reboot Access Point button on the upper right side of the
screen.
4. After the AP is rebooted, verify that the primary address settings are good.

AP Deployment Guide - System Release 1.4 AP Software Configuration via Web Interface
On-Ramp Wireless Incorporated 29 010-0006-00 Rev. F
5. If the primary settings are good, you have the option to disable the Secondary Ethernet
address, if necessary, to avoid any IP address conflicts. To do this, click in the checkbox.
6. If the primary settings are incorrect:
a. Click the “Skip rollover to Secondary?” checkbox.
b. Change the primary settings
c. Go to step 2.
7.3.4 Ctrl Interface
The Ctrl Interface submenu (shown below) displays the settings for communicating with the TRN
Gateway.
NOTE: When editing the options on this screen, the AP must be in Offline status.
Table 9. Fields on the Ctrl Interface Submenu Screen
Field
Unit
Description
Socket Mode
N/A
Options for this field are as follows:
Server: When the AP is set to work in Server mode, it listens for a TCP
connection with the Total Reach Gateway on port number
2021. See descriptions below for setting the following fields.
Client: When the AP is set to work in Client mode, the AP requests
service from the Total Reach Gateway. See the field
descriptions below for setting the following fields.
NOTE: It is advisable to set the AP to Server mode first and configure it
in EMS to get the basic configurations. It can then be changed to
Client mode when the AP is added to the Gateway.

AP Deployment Guide - System Release 1.4 AP Software Configuration via Web Interface
On-Ramp Wireless Incorporated 30 010-0006-00 Rev. F
Field
Unit
Description
Server Port
Number
N/A
The port number when the AP is set to Server mode. When the AP is in
Server mode, this field should be set to 2021. The AP listens on port 2021
for a TCP connection with the Total Reach Gateway. Ensure that port 2021
is allowed on the firewall in your network.
ULP Gateway
Hostname/IP
Address
N/A
For Server mode, this field is grayed out and not accessible.
For Client mode, the Total Reach (ULP) Gateway Hostname or IP
Address should be entered here.
ULP Gateway
Port Number
N/A
For Server mode, this field is grayed out and not accessible.
For Client mode, this field should be set to 5051. Ensure that port
number 5051 is allowed on the network firewall.
7.3.5 Specifications Submenu
The Specifications submenu displays AP specific configuration information including:
Manufacturer – Always On-Ramp Wireless Inc.
Device Type – Always Access Point
MAC Address
Hardware Version
Firmware Version
Software Version
7.3.6 FW Upgrade Submenu
AP firmware upgrades from the web page interface are not supported on this version of
software. AP software upgrades are performed through EMS.

AP Deployment Guide - System Release 1.4 AP Software Configuration via Web Interface
On-Ramp Wireless Incorporated 31 010-0006-00 Rev. F
7.3.7 Save Logs Submenu
The Save Logs screen provides the ability to download AP Logs for diagnostic purposes if
requested by the On-Ramp Wireless Technical Support Team.

AP Deployment Guide - System Release 1.4 AP Software Configuration via Web Interface
On-Ramp Wireless Incorporated 32 010-0006-00 Rev. F
7.3.8 Site Survey Submenu
The Site Survey submenu provides an Offline utility to perform an AP Site Survey which
evaluates the interference level on all thirty eight channels. This evaluation is typically
performed immediately following the installation of the AP. The Site Survey screen provides the
choice of downloading a .csv file with the results sorted by the channels with the least
interference or by channel number. Clicking on the Run Site Survey button starts the process.
The Site Survey process requires approximately 15 minutes to complete. When it completes you
have two options:
At the bottom of the screen click on “Download results” to save a file with the channels
listed in the order of least interference.
At the bottom of the screen click on “Download results, (sorted by channel)” to download a
file with the channels listed in ascending order.
NOTE: This utility requires putting the AP in an Offline state for approximately fifteen minutes.
During this period it is unable to communicate with the endpoint devices it serves.

AP Deployment Guide - System Release 1.4 AP Software Configuration via Web Interface
On-Ramp Wireless Incorporated 33 010-0006-00 Rev. F
7.4 Statistics Menu
The ULP Stats and AP Stats submenus are selected from the Statistics screen
7.4.1 ULP Stats
The ULP Stats submenu provides a graph showing Uplink throughput in bits per second.

AP Deployment Guide - System Release 1.4 AP Software Configuration via Web Interface
On-Ramp Wireless Incorporated 34 010-0006-00 Rev. F
7.4.2 AP Stats Submenu
The Stats submenu displays AP event counters. These counters are primarily utilized by the On-
Ramp Wireless Technical Support team for diagnostic purposes.
7.5 Administration Submenu
The Administration submenu provides the operator the ability to set security options and
change the password for the AP. The two security-related options are:
Disable Telenet Login?
Enable SSL for Sockets?
NOTE: In most cases the “Enable SSL for Sockets?” option must be enabled.
Check the appropriate boxes to enable the required options. The default settings are shown in
the figure above.

AP Deployment Guide - System Release 1.4 AP Software Configuration via Web Interface
On-Ramp Wireless Incorporated 35 010-0006-00 Rev. F
To change the password for the AP, enter the new password in both of the following fields:
Change Password
Re-type to confirm
After making any changes click on the Submit button.
7.6 Home Menu
The Home menu allows the user to select the following submenus:
Access Point
Statistics
Administration
A submenu maybe selected by clicking its name on the upper right side or left side of the Home
screen.
7.7 Regulatory Domain Setup
Each country has particular limits on transmit power that must be observed and never exceeded
during installation. Note that you cannot configure the regulatory domain for the AP using the
AP Web Interface. Setting the regulatory domain is accomplished using the EMS software for AP
configuration and setup. EMS automatically configures the maximum allowed transmit power
levels (EIRP) taking into account regulatory domain, antenna gain, and cable loss. The full
procedure for how to do this is detailed in the EMS Operator Guide (010-0045-00).

On-Ramp Wireless Incorporated 36 010-0006-00 Rev. F
8 AP Communication Troubleshooting
Before you leave the installation site, contact your network operations center to verify that the
AP is online and successfully communicating.
If remote communication with the AP is not possible manually configure a laptop’s Ethernet
port’s IP address, Netmask and Default Router setting to communicate with the AP. Unplug the
backhaul connector from the PoE’s data port and connect the laptop to that port. Verify that
you can locally login to the AP as described in section 7.2. If you can successfully login further
testing of the backhaul and its configuration is needed. If you cannot log in, check your laptop’s
IP setting. If no problem is found, refer to Chapter 9: Troubleshooting Guidelines.
The following figure illustrates a method for detailed on-site debugging of an AP installation. The
Ethernet hub allows the user to “sniff” Ethernet traffic between the backhaul port and the AP to
troubleshoot and resolve any issues.
Ethernet Hub L-com
(PoE Injector)AP
Ethernet PoE
48 VDC
Cellular
Backhaul
Laptop/PC
(configured with
Wireshark or
Ethernet analyzer)
Figure 14. Sample Method for On-site Debugging of an AP Installation

On-Ramp Wireless Incorporated 37 010-0006-00 Rev. F
9 Troubleshooting Guidelines
Use the following table to help troubleshoot a problem.
Table 10. Troubleshooting Guidelines
Problem
Action
AP does not power up
(Status LED is not illuminated or
flashing)
When AP is powered, Status LED illuminates or flashes. If not,
check Ethernet cable and connector for damage.
Verify POE injector is connected properly (AP connected to
Data+Power side.)
Verify a nominal voltage of 48 VDC is present at the power
connector of the PoE
Verify POE injector is not defective by substitution.
Verify that the backhaul cable from the Data connector on the PoE
injector is connected to a router, backhaul device, or laptop that is
powered up. Connectivity is not required but the port must be
active.
Contact On-Ramp for assistance
AP does not acquire GPS
Verify that the GPS antenna cable and the AP antenna cable are
connected and have not been swapped. If the connectors were
swapped it, it is necessary to power cycle the AP.
Disconnect both ends of the GPS and verify continuity and that the
cable is not shorted.
Verify the GPS antenna is not defective by substitution.
Contact On-Ramp for assistance.
Link problem
Is Link LED blinking? If not, check Ethernet cable and connector
for damage.
Verify that POE injector is connected to WAN.
Connect a properly configured laptop to the data port on the PoE,
as described in chapter 8, and attempt to log into the AP. If
successful troubleshoot the backhaul.
Contact On-Ramp for assistance.

On-Ramp Wireless Incorporated 38 010-0006-00 Rev. F
10 Preventive Maintenance
The recommended preventive maintenance schedule for the AP is shown in the following table.
For additional assistance, contact On-Ramp Wireless Customer Support at (858) 592-6008 or
support@onrampwireless.com.
NOTE: Do NOT open the AP enclosure. Doing so voids the product warranty.
Table 11. Preventive Maintenance Schedule
Task
Frequency
1. Verify that all connections are tight and secure.
Annually
2. Verify that there is no visible damage to any wires or cables.
Annually
3. Ensure that the exposed connectors are properly sealed against weather conditions.
Annually
4. Verify that the AP door screws are tight and that the warranty seal is in place
Annually
5. Verify that all required grounds are connected and tight.
Annually
6. Verify that all mounts and bracket are securely attached.
Annually

On-Ramp Wireless Incorporated 39 010-0006-00 Rev. F
Appendix A Site Survey Worksheet
Site Survey
Required Information
Completed
Site name
AP ID
Site street address or other
location information
Site access information
Landlord contact information
Specific landlord requirements
(Attach another sheet if there is
significant information)
Latitude
Longitude
Site type (building, tower, pole, or
other)
Height of existing structure
AP equipment mounting location
AP antenna mounting location
and height
Antenna line length required
GPS mounting location
GPS line length
AP power type, commercial
power, or solar solution
Distance to commercial power, if
available
Photos of site including antennal
location, AP location, and overall
site (Attach all photos to this
worksheet.)
See attachments.
Other site-specific information

On-Ramp Wireless Incorporated 40 010-0006-00 Rev. F
Appendix B AP Installation Configuration
Worksheet
AP Installation Configuration
Required information
Completed
Site name
AP name (if different from site name)
AP physical configuration
(Outdoor, indoor, standalone, in
cabinet, or other)
Deployment Type (Omni/Sectorized)
Sector Label (A, B,…)
Sector Heading (N,S,NE,etc…)
Power source
(120/240 VAC, 48 VDC, or solar)
AP antenna manufacturer
AP antenna model
AP antenna gain
AP antenna downtilt
AP antenna cable type
AP antenna cable length
AP antenna cable loss
GPS antenna model
GPS cable type
GPS cable length
Backhaul type
Backhaul equipment location
Backhaul configuration information
Power over Ethernet (PoE) injector
location
Ethernet cable type
Ethernet cable length
AP Static or DHCP IP address (Static
or Dynamic?)
AP IP address
(Default: 192.168.1.1)

AP Deployment Guide - System Release 1.4 AP Installation Configuration Worksheet
On-Ramp Wireless Incorporated 41 010-0006-00 Rev. F
AP Installation Configuration
Required information
Completed
Netmask setting
(Default: 255.255.255.0
Default router
(Default: 192.168.1.254)
DNS servers
NTP servers
AP Socket mode, Server or Client
Server port number
(Default: 2021)
TRN Gateway IP address
TRN Gateway port number
(Default: 5051)
Channel assignment (Set in EMS)
Reuse Code (Set in EMS)

On-Ramp Wireless Incorporated 42 010-0006-00 Rev. F
Appendix C Basic AP Specifications
The AP is equivalent to a base station. The following table provides the basic specification
information for the AP. For detailed product specifications, refer to the Access Point Product
Specification (014-0030-00).
Size
Inches: 9.1”H x 8.1”W x 4.5”D
Millimeters: 232mm H x 202mm W x 111mm D
Maximum Weight
Pounds: 9.6
Kilograms: 4.35
Operating Environment
Outdoors or indoors
Enclosure
IP66
Operating Temperature Range
-40°C to +80°C
Power Source Voltage Range
(PoE)
38 – 72 VDC, Nominal 48 VDC Power over Ethernet
Current Consumption
0.35A maximum @ 48 VDC, .29A typical
Power Dissipation
17 Watts (maximum)
Antenna Connector
Type N, female
GPS Connector
Type N, female
GPS Antenna Type
Powered
Data and Power Connector
RJ45
GPS Power
3.3 VDC @ 50 mA maximum over coaxial cable

On-Ramp Wireless Incorporated 43 010-0006-00 Rev. F
Appendix D Base Station Configurations
Table 12. On-Ramp Wireless TRN Base Station Configuration Options
Base Station Option
Description
Applications
Required On-Ramp Wireless
Hardware
Additional Items Required
TRN-1011
Base Station
Outdoor base station
Powered by 120/240
VAC
AP is located in the
equipment cabinet
along with a 3G
modem and battery
backup
Outdoor locations with AC
power requiring 3G modem
backhaul.
For example:
Communication sites
Transmission Towers
Wood distribution poles
Outdoor Wall mount
Access Point
Outdoor equipment cabinet powered
by 120/240 VAC and contains:
One Integrated GPS antenna
One 3G modem
Two integrated 3G modem
antennas
Antenna surge suppressor
Backup battery
Alarm monitor
9 dBi AP antenna
Customer-supplied 3G
Digi modem (U805)
Site-specific cable for the
AP antenna
Site-specific installation
hardware
TRN-1021
Base Station
Outdoor base station
Solar powered
Access Point is
located outdoors
3G modems and
backup batteries are
located inside the
equipment cabinet
Outdoor locations without
power requiring 3G modem
backhaul.
For example:
Transmission towers
Sites without power
Access Point
Outdoor equipment cabinet powered
by solar system and contains:
3G modem
Two integrated 3G modem
antennas
Antenna surge suppressor
Two backup batteries
Alarm monitor
GPS antenna
9 dBi AP antenna
Pipe mounting hardware for a 4-inch
OD pipe
All cables (with the exception of the
cable for the AP antenna)
Customer-supplied 3G
Digi modem (U805)
Site-specific cable for the
AP antenna
Customer-supplied
4-inch OD pipe for
mounting equipment
Site-specific installation
hardware

AP Deployment Guide - System Release 1.4 Base Station Configurations
On-Ramp Wireless Incorporated 44 010-0006-00 Rev. F
Base Station Option
Description
Applications
Required On-Ramp Wireless
Hardware
Additional Items Required
TRN-1031
Base Station
Indoor rack-mounted
base station
Contains a 19-inch
rack 3RU shelf
AP is mounted on the
shelf
Powered by either
120/240 VAC or 48
VDC
Indoor rack mount
environment with access to
power and corporate IP
network.
For example:
Communication site
shelters
IT equipment rooms
Substation equipment
rooms
Access Point
A 19-inch rack 3RU shelf including:
120/240 VAC power supply
48 VDC terminal strip/cable
Antenna surge suppressor
GPS antenna
9 dBi AP antenna
Site-specific cables for
the AP antenna and the
GPS antenna
Site-specific installation
hardware
TRN-1032
Base Station
Rack-mounted base
station
Contains a 19-inch
rack 3RU shelf
Powered by either
120/240 VAC or 48
VDC
AP is mounted
outdoors
Secure locations with indoor
rack mount environment,
power and access to corporate
IP network. For example:
Rooftop outdoor AP
Tower-mounted AP
Wood pole-mounted AP
Access Point
A 19-inch rack 3RU shelf including:
120/240 VAC power supply
48 VDC terminal strip/cable
Antenna surge suppressor
GPS antenna
9 dBi AP antenna
Site-specific cables for
the AP antenna and the
GPS antenna
Site-specific Ethernet
cable between the shelf
and the AP
Site-specific installation
hardware
AP pipe mount (optional)
NOTE: All TRN base stations require an external AP antenna.
For information about any of these packages, contact your On-Ramp Wireless representative at support@onrampwireless.com.

On-Ramp Wireless Incorporated 45 010-0006-00 Rev. F
Appendix E Abbreviations and Terms
Abbreviation/Term
Definition
AP
Access Point. The On-Ramp Total Reach Network component geographically
deployed over a territory. (Model TRN-1000)
CIMA
Critical Infrastructure Monitoring Application. The network component that
passes data from the Gateway to the associated upstream databases. This
product name is transitioning to On-Ramp Total View.
DL
Downlink
DNS
Domain Name System
DTF
Distance to Fault
DVM
Digital Voltmeter
EIRP
Equivalent Isotropically Radiated Power
EMS
Element Management System. The network component that provides a
concise view of controls and alarms on the On-Ramp Total Reach network.
ETSI
European Telecommunications Standards Institute
FCC
Federal Communications Commission
GPS
Global Positioning System
GW
Gateway
IC
Industry Canada
IP
Internet Protocol
IPsec
Internet Protocol Security
NID
Node ID
Node
The wireless module developed by On-Ramp Wireless that integrates with
OEM sensors and communicates sensor data to an Access Point. Also, the
generic term used interchangeably with eNode or microNode.
NTP
Network Time Protocol
On-Ramp Total View
The network component that passes data from the Gateway to the associated
upstream databases. Formerly known as CIMA.
On-Ramp Total Reach
The On-Ramp Wireless’ proprietary wireless communication technology and
network.
PV
Photovoltaic
RF
Radio Frequency
RFID
Radio Frequency Identification
RSSI
Receive Signal Strength Indicator
SSL
Secure Socket Layer
STP
Shielded Twisted Pair
TCP
Transmission Control Protocol
TRN
Total Reach Network
UL
Uplink
UTP
Unshielded Twisted Pair