User Manual

CreataLink™2XT
ReFLEX 25 and 50 Technologies
Hardware
Integrator's Guide


July 23, 2002 1-1
CreataLink2 XT Hardware Integrator’s Guide Foreword
Foreword
Foreword
Customer Information
The information in this manual has been reviewed for accuracy. However, no
responsibility is assumed for inaccuracies. SmartSynch, Inc., reserves the right to
make changes to any products discussed herein. The information in this document
is subject to change without notice. SmartSynch, Inc. assumes no liability for
hardware or software damage or loss of data due to errors or omissions in this
manual. SmartSynch, Inc. does not assume any liability arising from the application
or use of any products or circuits described herein. Neither does SmartSynch, Inc.
convey any license under its patents or right of others.
For technical support and questions concerning the CreataLink2 XT and documen-
tation, refer to our web site at www.smartsynch.com.
Computer Software Copyrights
The SmartSynch products described in this manual include copyrighted Smart-
Synch computer software stored in semiconductor memories and other media. Laws
in the United States and other countries preserve for SmartSynch, Inc. certain
exclusive rights for copyrighted computer programs, including the exclusive right
to copy or reproduce in any form the copyrighted computer software.
Accordingly, any copyrighted SmartSynch computer software contained in the
SmartSynch products described in this manual cannot be copied or reproduced in
any manner without the express written permission of SmartSynch, Inc..
Furthermore, the purchase of SmartSynch products does not grant, either directly
or by implication, estoppel, or otherwise, any license under the copyrights, patents
or patent applications of SmartSynch, Inc., except for the normal, non-exclusive,
royalty-free license to use that arises by operation of law in the sale of a product.
Portions of the software described in this manual are copyrighted by Motorola, Inc.
Trademarks
CreataLink®2 XT is a registered trademark of SmartSynch, Inc.
Motorola, the stylized M logo, CLP™, FLEX™, FLEXsuite™, and ReFLEX™ are
trademarks or registered trademarks of Motorola, Inc.
Microsoft®, Windows®, and Windows NT® are registered trademarks of Microsoft
Corporation.
Solaris™ is a trademark of Sun Microsystems Inc.
UNIX® is a registered trademark of X/Open Company Ltd.
91B
1Foreword
1Foreword

1-2 July 23, 2002
Foreword CreataLink2 XT Hardware Integrator’s Guide
Important Safety Information
Important Safety Information
The installation, maintenance, and/or operation of this equipment could present
potentially unsafe conditions, including, but not limited to, electrical shock, improp-
er voltage to components. Improper operation could cause personal injury, death or
damage to property.
Read Instructions
Read all safety instructions before you operate the Data Transceiver or mainte-
nance equipment. Retain these safety instructions for future reference. Specialized
procedures and instructions are required and must be followed. All applicable safety
procedures, such as Occupational, Safety, and Health Administration (OSHA)
requirements, National Electric Code Requirements, local code requirements, safe
working practices and good judgement must be used by personnel.
Heed Admonitions
Adhere to all warnings on the equipment and in the operating instructions. Follow
all operating and usage instructions. The following two safety admonitions are used
in this manual:
Mounting
Mount the equipment only as recommended by the manufacturer. Situate the
equipment away from heat sources such as radiators, heat registers, stoves, or other
equipment (including amplifiers) that produces heat.
Power Sources and Grounding
Connect the equipment to the type of power source described in the installation
instructions, or as marked on the equipment. Do not defeat the grounding or
polarization provisions of the equipment. Turn the circuit breaker off when equip-
ment is to be left unused for long periods of time.
GCaution: Emphasizes information about actions which could result in
equipment damage.
EWarning: Emphasizes information about actions which could result in
personal injury.

July 23, 2002 1-3
CreataLink2 XT Hardware Integrator’s Guide Foreword
Important Safety Information
Damage Requiring Service
Do not attempt to perform service functions that are not described in the operating
instructions. Refer all such servicing to qualified service personnel.
Motorola, Inc. is not responsible for static damage to equipment not sold under the
Motorola logo.
FCC Compliance Statement
This product generates, uses and can radiate radio frequency (RF). If it is not
installed and used in accordance with the instruction manual, it can cause harmful
interference to radio communications. It has been tested and complies with the
limits for a Class B digital device, pursuant to Part 15 of the Federal Communica-
tions Commission (FCC) code of federal regulations, which are designed to provide
reasonable protection against harmful interference in a residential installation.
However, there is no guarantee that interference will not occur in a particular
installation. If this equipment causes harmful interference to radio or television
reception, the user should try and correct the interference by one or more of the
following measures:
Reorient or relocate the receiving/transmitting antenna.
Increase the separation between the equipment and the CreataLink2 XT device.
Connect the equipment into an outlet on a circuit different from that to which the
CreataLink2 XT device is connected.
Interference must be corrected at the user’s expense. Consult the dealer or an
experienced radio/TV technician for help.

1-4 July 23, 2002
Foreword CreataLink2 XT Hardware Integrator’s Guide
Important Safety Information

GENERAL

June 18, 2002 2-i
CreataLink2 XT Hardware Integrator’s Guide General
Contents
Contents
About this Document . . . . . . . . . . . . . . . . . . . . . . . . . . . . . . . . . . . . . . . . . . . . . . . . . . . . . . . . . . . . . . . . . . . . . . . . . . . . . . .2-1
Audience . . . . . . . . . . . . . . . . . . . . . . . . . . . . . . . . . . . . . . . . . . . . . . . . . . . . . . . . . . . . . . . . . . . . . . . . . . . . . . . . . . .2-1
Conventions . . . . . . . . . . . . . . . . . . . . . . . . . . . . . . . . . . . . . . . . . . . . . . . . . . . . . . . . . . . . . . . . . . . . . . . . . . . . . . . .2-1
Related Publications . . . . . . . . . . . . . . . . . . . . . . . . . . . . . . . . . . . . . . . . . . . . . . . . . . . . . . . . . . . . . . . . . . . . . . . . . . . . . . . .2-2
Product Description . . . . . . . . . . . . . . . . . . . . . . . . . . . . . . . . . . . . . . . . . . . . . . . . . . . . . . . . . . . . . . . . . . . . . . . . . . . . . . . .2-3
Architecture . . . . . . . . . . . . . . . . . . . . . . . . . . . . . . . . . . . . . . . . . . . . . . . . . . . . . . . . . . . . . . . . . . . . . . . . . . . . . . . .2-4
Components . . . . . . . . . . . . . . . . . . . . . . . . . . . . . . . . . . . . . . . . . . . . . . . . . . . . . . . . . . . . . . . . . . . . . . . . . . . . . . . .2-4
Features . . . . . . . . . . . . . . . . . . . . . . . . . . . . . . . . . . . . . . . . . . . . . . . . . . . . . . . . . . . . . . . . . . . . . . . . . . . . . . . . . . . . . . . . . .2-5
Specifications . . . . . . . . . . . . . . . . . . . . . . . . . . . . . . . . . . . . . . . . . . . . . . . . . . . . . . . . . . . . . . . . . . . . . . . . . . . . . . . . . . . . .2-6
Environmental Constraints . . . . . . . . . . . . . . . . . . . . . . . . . . . . . . . . . . . . . . . . . . . . . . . . . . . . . . . . . . . . . . . . . . .2-7
Power Requirements . . . . . . . . . . . . . . . . . . . . . . . . . . . . . . . . . . . . . . . . . . . . . . . . . . . . . . . . . . . . . . . . . . . . . . . . .2-8
Connectors Description . . . . . . . . . . . . . . . . . . . . . . . . . . . . . . . . . . . . . . . . . . . . . . . . . . . . . . . . . . . . . . . . . . . . . .2-11
Accessories . . . . . . . . . . . . . . . . . . . . . . . . . . . . . . . . . . . . . . . . . . . . . . . . . . . . . . . . . . . . . . . . . . . . . . . . . . . . . . . .2-13
Typical Configurations . . . . . . . . . . . . . . . . . . . . . . . . . . . . . . . . . . . . . . . . . . . . . . . . . . . . . . . . . . . . . . . . . . . . . .2-14
Air Interface . . . . . . . . . . . . . . . . . . . . . . . . . . . . . . . . . . . . . . . . . . . . . . . . . . . . . . . . . . . . . . . . . . . . . . . . . . . . . . . . . . . . . .2-16
Air Interface Protocol . . . . . . . . . . . . . . . . . . . . . . . . . . . . . . . . . . . . . . . . . . . . . . . . . . . . . . . . . . . . . . . . . . . . . . .2-16
ReFLEX Network Operation . . . . . . . . . . . . . . . . . . . . . . . . . . . . . . . . . . . . . . . . . . . . . . . . . . . . . . . . . . . . . . . . . .2-17
Product Functionality . . . . . . . . . . . . . . . . . . . . . . . . . . . . . . . . . . . . . . . . . . . . . . . . . . . . . . . . . . . . . . . . . . . . . . . . . . . . . .2-18
Operating System . . . . . . . . . . . . . . . . . . . . . . . . . . . . . . . . . . . . . . . . . . . . . . . . . . . . . . . . . . . . . . . . . . . . . . . . . .2-18
Power-up Operating Mode . . . . . . . . . . . . . . . . . . . . . . . . . . . . . . . . . . . . . . . . . . . . . . . . . . . . . . . . . . . . . . . . . . .2-18
Message-Search Operating Mode . . . . . . . . . . . . . . . . . . . . . . . . . . . . . . . . . . . . . . . . . . . . . . . . . . . . . . . . . . . . . .2-18
Address Capability . . . . . . . . . . . . . . . . . . . . . . . . . . . . . . . . . . . . . . . . . . . . . . . . . . . . . . . . . . . . . . . . . . . . . . . . .2-19
Duplicate Message Detection . . . . . . . . . . . . . . . . . . . . . . . . . . . . . . . . . . . . . . . . . . . . . . . . . . . . . . . . . . . . . . . . .2-19
Message Deletion . . . . . . . . . . . . . . . . . . . . . . . . . . . . . . . . . . . . . . . . . . . . . . . . . . . . . . . . . . . . . . . . . . . . . . . . . . .2-19
Unit IDs . . . . . . . . . . . . . . . . . . . . . . . . . . . . . . . . . . . . . . . . . . . . . . . . . . . . . . . . . . . . . . . . . . . . . . . . . . . . . . . . . .2-19
Message Storage and Lengths . . . . . . . . . . . . . . . . . . . . . . . . . . . . . . . . . . . . . . . . . . . . . . . . . . . . . . . . . . . . . . . .2-20
Acknowledgment of Received Messages . . . . . . . . . . . . . . . . . . . . . . . . . . . . . . . . . . . . . . . . . . . . . . . . . . . . . . . . .2-21
Registration Request . . . . . . . . . . . . . . . . . . . . . . . . . . . . . . . . . . . . . . . . . . . . . . . . . . . . . . . . . . . . . . . . . . . . . . . .2-21
Configuration Parameters . . . . . . . . . . . . . . . . . . . . . . . . . . . . . . . . . . . . . . . . . . . . . . . . . . . . . . . . . . . . . . . . . . . .2-21
PPS Utility . . . . . . . . . . . . . . . . . . . . . . . . . . . . . . . . . . . . . . . . . . . . . . . . . . . . . . . . . . . . . . . . . . . . . . . . . . . . . . . .2-21
End-User Application Software . . . . . . . . . . . . . . . . . . . . . . . . . . . . . . . . . . . . . . . . . . . . . . . . . . . . . . . . . . . . . . .2-22
Serial Interface . . . . . . . . . . . . . . . . . . . . . . . . . . . . . . . . . . . . . . . . . . . . . . . . . . . . . . . . . . . . . . . . . . . . . . . . . . . .2-22
91B
2General

2-ii June 18, 2002
General CreataLink2 XT Hardware Integrator’s Guide
Contents

July 23, 2002 2-1
CreataLink2 XT Hardware Integrator’s Guide General
About this Document
About this Document
This document summarizes the product features and describes how to install and
integrate the CreataLink2 XT data transceiver into an off-board application. If you
are developing an on-board/embedded application, use the Software Integrator’s
Guide listed in the Related Publications Section in conjunction with this manual.
This document is organized in sections as follows:
• Section 1: Foreword - A brief introduction to this document, licensing informa-
tion, safety guidelines, and a general description of the data transceiver.
• Section 2: General - Information about this document, references, installation
instructions, troubleshooting tips and product features.
• Section 3: The Integration Overview - Integration (interface) overview.
• Section 4: Hardware Integration - The development environment, accessories,
and options.
• Section 5: Testing - installation, troubleshooting, and diagnostic mode.
• Section 6: Parts information - Part numbers and ordering information.
• Appendix A: Abbreviations and Acronyms
• Appendix B: Desense - A discussion of desense, EMI testing procedures, and
EMI control.
• Appendix C - FLEXsuite of Application Protocols - FLEX technology explained,
licensing information, and licensee form.
Audience
This document was created for third-party developers who install the CreataLink2
XT data transceiver and develop application programs that communicate with the
unit. Use of this manual to build applications for separate sale or license in
connection with data transceivers NOT purchased from SmartSynch, Inc. is unau-
thorized and requires separate written permission from SmartSynch, Inc.
Conventions
Special characters and typefaces, listed and described below, are used in this
publication to emphasize certain types of information.
➧Note: Emphasizes additional information pertinent to the subject matter.
GCaution: Emphasizes information about actions which may result in equipment
damage.
EWarning: Emphasizes information about actions which may result in personal
injury.
Commands are shown like this
2General

2-2 July 23, 2002
General CreataLink2 XT Hardware Integrator’s Guide
Related Publications
Related Publications
The following documents provide additional information to integrators and appli-
cation developers:
•Communication Linking Protocol Reference Manual,
publication 6881033B20
•CreataLink2® XT R50 Programming Software Guide - Integrators,
publication 6881033B45
•CreataLink2® XT R25 Programming Software Guide,
publication 6881036B30
•Software Integrator’s Guide, publication 6881033B65

July 23, 2002 2-3
CreataLink2 XT Hardware Integrator’s Guide General
Product Description
Product Description
The CreataLink2 XT device is a two-way data transceiver that supports the
ReFLEX protocol. The CreataLink2 XT device can initiate transmissions into a
ReFLEX Narrow Band Personal Communications System (NBPCS) network, re-
ceive and decode data, and store it. It can forward messages it receives from the
ReFLEX network to an interconnected host device via an RS-232 level or Transistor-
Transistor Logic (TTL) level serial port. The CreataLink2 XT device performs all
necessary ReFLEX protocol processing to maintain connection to the ReFLEX
network, accurately receives and acknowledges messages, and delivers messages
in conformance with protocol requirements.
The CreataLink2 XT provides an 8-bit, bi-directional parallel Input/Output (I/O)
port. Each bit can be configured individually as an input or output by the integrator
or end-user. The product also has two Analog-to-Digital (A/D) input ports for
customer use.
An additional pin is provided for a secondary battery source. This secondary source
can be used to back-up RAM contents in the event of a power failure and can be
selected through software to power the transmitter.
The CreataLink2 XT device can support an off-board application configuration (see
Figure 2-1 below). Off-board applications communicate with the CreataLink2 XT
using the Communications Linking Protocol (CLP).
The CreataLink2 XT also supports an on-board application configuration which
enables third parties to write custom resident applications. This usually eliminates
the need for an external application board.
990441
Figure 2-1. Off-board Configuration
990442
Figure 2-2. On-board Configuration
Interface
Board for
protocol
translation
CLP
Data collection
pt -machine,
meter, car, etc.
Discrete signals
CreataLink2 XT
SMA
CLP
APP
I/O, A/D Port
SERIAL
Off-board host control over serial
port interface. Platform acts as
modem. Parallel I/O and A/D port
control via host over serial link.
On-board host operation via 3rd party
application.
Custom Serial
Interface
CreataLink2 XT
SMA
3rd
PARTY
APP
I/O, A/D Port
SERIAL
Data collection
pt -machine,
meter, car, etc.
Discrete signals

2-4 July 23, 2002
General CreataLink2 XT Hardware Integrator’s Guide
Product Description
Architecture
The data transceiver’s software architecture is based upon the FLEX Kernel real-
time operating system. With the addition of ReFLEX stack software, a message
manager, and the CLP default application, it provides a third-party embedded
messaging Application Programmer Interface (API). Ownership of the serial port
can be passed to a third-party application in place of the CLP application via an
application framework provided by SmartSynch, Inc. An ARM core based micropro-
cessor provides the following features:
• 32-bit addressing
• 8, 16, and 32-bit data
• State-of-the-art software development tools
• Industry standard Joint Test Action Group (JTAG) port
• Debugging support tools and environment via JTAG port
The serial port data interface supports the CLP application. The CLP serial
interface commands the data transceiver to obtain status information about the
network, transmit messages, and download received messages.
Components
The CreataLink2 XT hardware incorporates RF, digital, and analog circuitry on one
Printed Circuit Board (PCB). The product contains no housing and is sold as an
Original Equipment Manufacturer (OEM) product. The data transceiver has an
industry-standard Sub-Miniature connector (SMA) connection for cabling to a
remote antenna.

July 23, 2002 2-5
CreataLink2 XT Hardware Integrator’s Guide General
Features
Features
The CreataLink2 XT device incorporates the following features.
• Compact package with four mounting holes
• External SMA female coaxial connector
• Configurable battery-save mode for reduced average power consumption
• Selectable transmit power at antenna connector
NUF3902: 0.5W, 0.75W, 1.0W, 1.5W and 2.0W
NUF8006: 0.25W, 0.5W, 1.0W, 1.5W, and 2.0W
• Asynchronous transistor-transistor logic (TTL) or RS-232 serial port interface
that supports standard baud
• Alternate transmitter power source connection
• 8 Bi-directional I/O lines available for external interfacing; 2 driven outputs
and 6 open collectors
• 2 A/D input lines available for reading analog signals
• Receive frequency range:
NUF3902: 940-941 MHz
NUF8006: 929-941 MHz
• Transmit frequency range:
NUF3902: 901-902 MHz
NUF8006: 896-902 MHz
• Two-way paging protocols:
NUF3902: ReFLEX 50 (R50)
NUF8006: ReFLEX 25 (R25)
• Duplicate message detection/deletion
• Out-of-range indication
• Individual and broadcast message addressing
• 2000-byte uplink message length
• Single fragment, approximately 1000-byte downlink message length
• Backup battery option for SRAM
• FLASH for third-party on-board application or non-volatile storage
•32KB RAM for messages
• JTAG interface for software debugging
•External reset
➧Although the data transceiver can receive messages of up to 1000 bytes in length,
the carrier might not send this amount of data in a single transmission. Obtain
maximum single fragment message length from your carrier.

2-6 July 23, 2002
General CreataLink2 XT Hardware Integrator’s Guide
Specifications
Specifications
Table 2-1. General Specifications
Item Specification Specification
Board Kit Number NUF3902 NUF8006
Coding format ReFLEX 50 ReFLEX 25
Serial Protocol CLP or third-party application CLP or third-party application
Operating temperature -40oC to +85oC-40oC to +85oC
Interface
22-pin vertical shrouded header for combined
power supply, serial, and parallel I/O interface.
8-pin vertical shrouded header for JTAG
interface; SMA connector for antenna
22-pin vertical shrouded header for combined
power supply, serial, and parallel I/O interface.
8-pin vertical shrouded header for JTAG
interface; SMA connector for antenna
Power supply
requirements
5-12 Vdc, 2.5A minimum, 100 mVpp ripple up
to 5 MHz (worst case estimate if sourcing/
sinking I/O at max values)
5-16 Vdc, 2.5A minimum, 100 mVpp ripple up
to 5 MHz (worst case estimate if sourcing/
sinking I/O at max values)
Backup battery/
alternate transmit
power supply
requirements
3-9 Vdc, 1 mA if used for RAM backup only.
5-9Vdc, 1.4A minimum, 100 mVpp ripple up to
5 MHz if used for transmitter supply (Battery
voltage must be equal to or less than the main
supply voltage)
3-9 Vdc, 1 mA if used for RAM backup only.
5-9 Vdc, 1.4A minimum, 100 mVpp ripple up to
5 MHz if used for transmitter supply (Battery
voltage must be equal to or less than the main
supply voltage)
Physical dimensions
Length: 3.75 in (95.25 mm) Length: 3.75 in (95.25 mm)
Width: 1.75 in (44.45 mm) Width: 1.75 in (44.45 mm)
Height: 0.7 in (17.78 mm) Height: 0.7 in (17.78 mm)
Weight: 1.5 oz. (42.5 grams) Weight: 1.5 oz. (42.5 grams)
Antenna Connector 50 Ohm SMA female connector 50 Ohm SMA female connector
Transmitter specifications:
Frequency 901–902 MHz 896-902 MHz
RF power output (at
antenna port) 0.5W, 0.75W, 1.0W, 1.5W, and 2.0W 0.25W, 0.5W, 1.0W, 1.5W, and 2.0W
Transmit data bit rate 9600 bits per second (bps) 800, 1600, 6400, 9600 bps
Modulation 4-level Frequency Shift Keying (FSK) 4-level FSK
Frequency stability 1 ppm on transmit 1 ppm on transmit
Receiver specifications:
Frequency 940–941 MHz 929-941 MHz
Sensitivity -115 dBm into SMA antenna connector -115 dBm into SMA antenna connector

July 23, 2002 2-7
CreataLink2 XT Hardware Integrator’s Guide General
Specifications
Environmental Constraints
The CreataLink2 XT device meets the following environmental specifications (see
Table 2-2):
Receive data bit rate 6400 bps 1600 and 3200 bps using 2-level FSK
3200 and 6400 bps using 4-level FSK
Modulation 4-level FSK 2-level and 4-level FSK
Channel Spacing 50 kHz 25 kHz
I/O
HVIO-0 – HVIO-5
(configured as outputs) 12 Vdc maximum pullup voltage. 25 mA
maximum sink current (@12 Vdc pullup) 16 Vdc maximum pullup voltage. 25 mA
maximum sink current (@16Vdc pullup)
HVIO-0 – HVIO-5
(configured as inputs) 12 Vdc maximum input 16 Vdc maximum input
HVIO-6 & HVIO-7
(configured as outputs) Driven to supply voltage (12 Vdc maximum)
Maximum sourcing/sinking current is 350 mA Driven to supply voltage (16 Vdc maximum)
Maximum sourcing/sinking current is 350mA
HVIO-6 & HVIO-7
(configured as inputs) Maximum input limited to that of supply
voltage Maximum input limited to that of supply voltage
Table 2-2. Environmental Specifications
Item Requirement
Humidity 90% relative humidity at 50oC non-condensing onto pcb
Drop/shock test Compliant with TIA/EIA 603 specifications
Vibration TIA/EIA 603, Section 3.3.4.
Emissions FCC requirements for radiated and conducted emissions,
per Parts 2, 15, and 24 of title 47 Code of Federal
Regulations.
Table 2-1. General Specifications (Continued)
Item Specification Specification

2-8 July 23, 2002
General CreataLink2 XT Hardware Integrator’s Guide
Specifications
Power Requirements
To conserve power, the FLEX protocol for two-way paging provides low power modes
of operation. In receive mode, all logic and receive circuits are powered while waiting
to receive a message. In standby mode, all circuits are in a low power state for power
economy. In transmit mode, all logic circuits and the power amplifier are active and
consume large amounts of current for short durations.
a. Does not include current due to RS-232 communications.
b. No Valid RS-232 voltages and all 8 I/O lines configured as inputs.
Table 2-3. Power Consumption
Item NUF3902 NUF8006
Operating Mode Current Drain (approximate) Current Drain (approximate)
Standby 3 - 5 mAb1 - 5 mAb
See Figure 2-3 for typical
performance
Receive 65 - 90 mAa25 - 90 mAa
See Figure 2-4 for typical
performance
Transmit (2 W setting) 1250 - 1400 mAa350 - 1400 mAa
See Figure 2-5 for typical
performance
RS-232 Communication 3 - 4 mA 3 - 4 mA
HVIO_0 - HVIO_5, configured as
outputs, driven to the low state, sinking
max current 25 mA each 25 mA each
HVIO_6 and HVIO_7, configured as
outputs, driven to high state, sourcing
max current. 350 mA each 350 mA each

2-9 July 23, 2002
General CreataLink2 XT Hardware Integrator’s Guide
Specifications
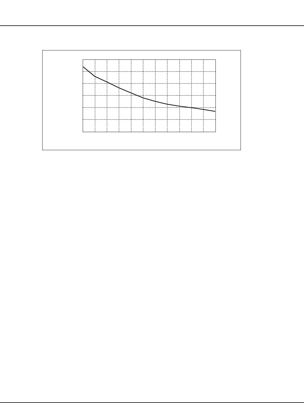
000159
Figure 2-3. NUF8006: Average Sleep Current versus Supply Voltage
000121
Figure 2-4. NUF8006: Average Receive Current
versus Supply Voltage
0
5 6 7 8 9 10 111213 141516
1
2
3
4
5
6
SUPPLY CURRENT (mA)
SUPPLY VOLTAGE (V)
0
56 78 9 10 11 12 13 14 15 16
10
20
30
40
50
60
70
80
SUPPLY VOLTAGE (V)
SUPPLY CURRENT (mA)

July 23, 2002 2-10
CreataLink2 XT Hardware Integrator’s Guide General
Specifications
000122
Figure 2-5. NUF8006: Average Transmit Current versus Supply Voltage
0
56 78 9 10 11 12 13 14 15 16
0.2
0.4
0.6
0.8
1
1.2
SUPPLY VOLTAGE (V)
SUPPLY CURRENT (A)

2-11 July 23, 2002
General CreataLink2 XT Hardware Integrator’s Guide
Specifications
Connectors Description
The CreataLink2 XT device features the following connectors:
External Antenna Connector
The external antenna connector is a succoplate, tin-dipped, SMA female connector.
It provides a 50-ohm connection to the CreataLink2 XT board.
Power/Serial/Parallel I/O
The 22-pin connector provides electrical power, serial, and parallel I/O capability
for the CreataLink2 XT device. Connectors are rated at 2A per contact.
(See Section 6, "Parts Information" for part numbers of mating connectors).
Table 2-4. 22-Pin Vertical Header Connector Signals
Pin
Number Signal Name Description
1Supply Power Supply Connection
2GND Ground
3TXDO 3.3V TTL Serial Data from CreataLink2 XT device
4RS232_TXDO +/- 5V RS-232 Serial Data from CreataLink2 XT
device
5BATT Backup Battery / Alternate Transmit Power Supply
6BATT_GND Ground
7RXDI TTL Serial Data received by CreataLink2 XT
device
8RS232_RXDI RS-232 Serial Data received by CreataLink2 XT
device
9RESET_ENABLE 3.3V active-high input used to enable external
reset capability (no connect if not used)
10 EXT_RESET 3.3V active-low input used to reset CreataLink2 XT
(no connect if not used)
11 RX_ACTIVE 3.3V when CreataLink2 XT device is receiving a
message
12 TX_ACTIVE 3.3V when CreataLink2 XT device is transmitting a
message
13 A/D_EXT1 Externally supplied analog input
14 A/D_EXT2 Externally supplied analog input
15 HVIO_0 Open collector output/High voltage input

July 23, 2002 2-12
CreataLink2 XT Hardware Integrator’s Guide General
Specifications
16 HVIO_1 Open collector output/High voltage input
17 HVIO_2 Open collector output/High voltage input
18 HVIO_3 Open collector output/High voltage input
NUF8006 only: Input Capture 2
19 HVIO_4 Open collector output/High voltage input
20 HVIO_5 Open collector output/High voltage input
21 HVIO_6 Open collector output/High voltage input
NUF8006 only: Input Capture 1
22 HVIO_7 Driven output/High voltage input
Table 2-4. 22-Pin Vertical Header Connector Signals (Continued)
Pin
Number Signal Name Description

2-13 July 23, 2002
General CreataLink2 XT Hardware Integrator’s Guide
Specifications
JTAG Communication Port
Table 2-5 shows the 8-pin vertical header connector signals.
Accessories
The following accessory options are available for the CreataLink2 XT device:
• External antenna kit
• CreataLink2 XT device interface kit
See Section 6, "Parts Information" and the inside of the back cover for part numbers
and ordering information.
Table 2-5. 8-Pin Vertical Header Connector Signals
Pin Number Signal Name Description
1B++ ICE power source
2TMP1 Mode select
3ARM_TDI JTAG Data in
4ARM_TRST JTAG reset
5ARM_TCK JTAG clock
6GND3 Ground
7ARM_TDO JTAG Data out
8ARM_TMS JTAG I/O
➧It is assumed that the Embedded ICE or JEENI is used to drive these signals for
on-board/embedded applications only.

July 23, 2002 2-14
CreataLink2 XT Hardware Integrator’s Guide General
Specifications
External Antenna Kit
The external antenna kit includes a low profile antenna and coaxial cable with
connector (see Table 2-6).
See Section 6, "Parts Information" and the inside of the back cover for part numbers
and ordering information.
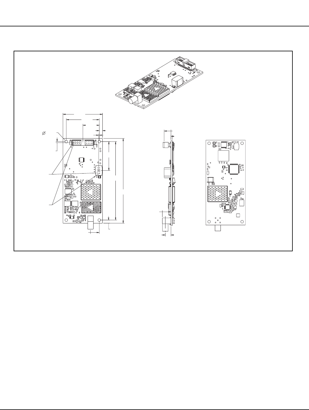
Interface Kit
The interface kit contains a PCB assembly and two cables. The interface PCB
assembly takes the signals on the 22-pin connector and brings them out for easy
access during hardware and software development. For a detailed description, see
the Software Integrator’s Guide listed in "Related Publication" section, for develop-
ment of an on-board/embedded application or Section 5 of this manual for develop-
ment of an off-board CLP application.
See Section 6, "Parts Information" and the inside of the back cover for part numbers
and ordering information.
Typical Configurations
End-User Configuration
The CreataLink2 XT data transceiver has an antenna connected to the SMA
connector on the board and a customer-developed cable to the 22-pin header on the
board for main supply power, alternate power for transmitter/backup battery
supply, I/O, A/D, and serial interface (see Figure 2-6, top).
Table 2-6. External Antenna Specifications
Property Description
Type Low profile with radome
Transmit frequency 896-902 MHz
Receive frequency 929-941 MHz
Impedance 50 ohms nominal
VSWR 1.5:1 maximum
Polarization Linear, vertical
Gain 0 dBi
Maximum power 5 watts continuous
Coaxial cable 6-foot long RG58/U with SMA male
connector

2-15 July 23, 2002
General CreataLink2 XT Hardware Integrator’s Guide
Specifications
Software Development Configuration
The CreataLink2 XT data transceiver is connected to an interface board, which can
be connected to a PC, another device or an embedded ICE or JEENI box (see Figure
2-6, bottom).
99137O
Figure 2-6. Configuration Options
Creatalink2 XT
Interface Board
22-pin Header
22-pin Header
JTAG
SMA
(Optional)
Ribbon Cable
Serial
Protocol
Analyzer
3-Amp
Power Supply
PC or device
under test
Backup Batt. or
Transmit Supply
Backup
Power
Main
Power
ICE or
JEENI
Box
ICE Box
Connect
JTAG Cable
JTAG Probe Blk Terminal Blk
(Required for ICE Box
but not for JEENI Box)
DB-9
Embedded
(This setup
enclosed in
the dotted box
is only used
for on-board
application
development)
990137-O
Optional Antenna Kit
or Customer-supplied
connection to SMA connector
on CreataLink2 XT
Main supply power, alternate
power for transmitter/backup
battery supply, I/O, A/D, and
serial interface connection to
CreataLink2 XT.

July 23, 2002 2-16
CreataLink2 XT Hardware Integrator’s Guide General
Air Interface
Air Interface
Data transport between the host application and the network requires data ex-
change protocols. In the radio portion of the network, between the data transceiver
and the base station, specialized RF protocols carry the data. These radio protocols
are typically transparent in wireless applications. The FLEXsuite of application
protocols must be used to transport data between applications on either side of
network. FLEXsuite is available from Motorola, Inc. via a license agreement.
Air Interface Protocol
The data transceiver communicates across radio frequency channels via the Re-
FLEX protocol and an internal 900 MHz radio to operate across the 12.5 kHz
(ReFLEX 25) or 10 kHz (ReFLEX 50) RF sub-channels in the 900 MHz band. The
network-specific configuration is constant for all like data transceivers on the
network, and includes the network ID, channel list, base frame, and home control
channel.
On ReFLEX networks, the data transceiver automatically scans available channels
to locate an area channel that supports reliable communications. The data trans-
ceiver then performs a registration on the channel to establish a connection with
the network. The registration process can be disabled via codeplug configuration
for fixed location applications. The default configuration is Registration Off
(always considered registered). A data transceiver operating in a typical network,
integrated into a product, is shown in Figure 2-7. For more details on network
operation, contact your network operator (paging carrier).
990007
Figure 2-7. Network Routing
Base Transmitter
or Base Receiver
Base Transmitter
or Base Receiver
Vending Machine
with Integrated
Data Transceiver
Host Product
with Integrated
Data Transceiver
Network
Controller
Application
Host or Server
807SRH-02
(Specific Example)
(Generic Example)

2-17 July 23, 2002
General CreataLink2 XT Hardware Integrator’s Guide
Air Interface
ReFLEX Network Operation
All two-way messaging networks that support two-way data communications with
CreataLink2 XT device use the ReFLEX protocol. The network can be viewed as
two separate one-way networks. For messages directed to the data transceiver, the
network controller routes the messages to one of many high power transmitter sites.
For messages from the data transceiver, a higher density of receiver sites are
provided to compensate for the lower transmit power of the data transceiver.
The Global Positioning System (GPS) synchronizes the downlink and uplink paths,
allowing downlink control of the uplink communications path. The network control-
ler schedules all transmissions from the data transceiver for optimal utilization of
the uplink communications path.
Downlink messages are delivered at a time when the data transceiver is guaranteed
to be listening, as defined by the data transceiver battery-save mode/collapse value.
Each unit is assigned certain frames in which its messages can be received. The
personal address collapse and information services collapse values are used to
schedule those frames a unit must decode for messages. If you use these collapsed
frames, you are trading battery life for the more frequent delivery of messages.
Therefore, collapse frame use provides a battery-save mode and defines the per-
centage of the time the data transceiver is listening to the channel for messages.
The remainder of the time the data transceiver is in a low-power state, and is not
listening to the carrier channel for messages. It is important for the data transceiver
and network controller to remain synchronized in order for messages to be delivered
successfully.
➧The downlink is also referred to as the forward path. The uplink is also referred to
as the reverse path.

2-18 July 23, 2002
General CreataLink2 XT Hardware Integrator’s Guide
Product Functionality
Product Functionality
The data transceiver relies on system software for basic operational instructions,
and on configuration parameter values to meet data transceiver and network
interface requirements.
Operating System
The data transceiver operating system is based on the FLEX Kernel operating
system. It can be reloaded or upgraded by the service center. For third-party
software developers, tools are available to load in main operating code.
Power-up Operating Mode
The data transceiver operates in one of two power-up modes, depending on the
condition of the supply voltage. If the supply voltage is not present, the data
transceiver does not power up. Minimize cable length to limit the voltage drop across
the cable during RF transmissions.
Supply Voltage At or Below Minimum Voltage
If the supply voltage level is less than or equal to 4V, the condition is detected and
the data transceiver does not power up.
If the supply voltage is greater than 4V, but less than 5V, the data transceiver
powers up but the performance will not be optimal. In this state, the data trans-
ceiver can still communicate with the resident host but:
• attempts to initiate messages are likely to fail.
• receive sensitivity is drastically affected.
• transmit power and the corresponding FCC spectral mask are degraded.
When the supply voltage rises above 5V, the data transceiver turns on and the unit
sucessfully enters the message-search mode.
Adequate Supply Voltage
A normal power-up occurs when the supply voltage is above 5V. The data transceiv-
er automatically enters the message-search mode.
Message-Search Operating Mode
The message-search mode is the data transceiver’s main operating mode. When it
powers up, the transceiver turns ON, and the unit begins to search for a valid
ReFLEX frame. When the unit detects what appears to be a valid ReFLEX frame,
it synchronizes with this channel and begins to decode the contents of the frame.
The unit then attempts to register with the network (if the auto-registration feature
is enabled). The default configuration is Registration Off (always considered regis-
tered). After successful registration, the unit begins normal message decoding and
searches for its assigned ReFLEX address(es).
If the data transceiver does not detect a valid ReFLEX frame within approximately
1.5 minutes, the unit enters a low current consumption mode. This mode conserves
power for a pre-programmed length of time. When the time has elapsed, the unit
attempts, once again, to acquire a valid ReFLEX frame. The unit alternates between

2-19 July 23, 2002
General CreataLink2 XT Hardware Integrator’s Guide
Product Functionality
searching for a valid ReFLEX frame and low current mode until it detects a valid
ReFLEX frame.
If the data transceiver detects a valid ReFLEX frame and has become synchronized,
but does not detect its address, the unit stays on the channel. It continuously
decodes frame data and waits for its address(es).
Address Capability
The data transceiver can receive the following addresses:
• ReFLEX 25: 1 personal service address and 6 information service addresses
• ReFLEX 50: 2 personal service address and 1 information service address
Additionally, for the ReFLEX 50 network only, each information service address
can have up to 32 subaddresses.
Duplicate Message Detection
To ensure proper message delivery, the data transceiver detects and cancels
duplicate messages sent via the paging system. If it finds a duplicate message, the
data transceiver discards it in a manner transparent to the host application.
Message Deletion
When all message slots are occupied, or unused message memory is insufficient,
the data transceiver deletes the oldest message to make room for a new message.
Read messages are deleted before unread messages.
Unit IDs
The data transceiver contains the following user identification strings within the
codeplug:
• Serial number
• Electronic serial number (ESN)
The strings are unique to each data transceiver.
Serial Number
The serial number consists of ten bytes of data stored in the data transceiver
codeplug. It is factory-programmable only.
Electronic Serial Number (ESN)
The ESN consists of four bytes of data stored in the data transceiver codeplug. Each
data transceiver is equipped with a unique serial number which serves as the
reverse channel address of the data transceiver.
The serial number and ESN are data transceiver-specific. If the unit is changed for
service, these numbers also change. The carrier must be notified to make the PIN
number point to the new serial number and ESN.

2-20 July 23, 2002
General CreataLink2 XT Hardware Integrator’s Guide
Product Functionality
Message Storage and Lengths
Messages are stored in approximately 32 kbytes of RAM. Message downlink length
is a maximum of 1 kbyte, and uplink length is a maximum of to 2 kbytes. Consult
your carrier to determine message lengths supported on the network (see "Handling
Large Messages", in Section 2 - Getting Started, in the Software Integrator’s Guide).

2-21 July 23, 2002
General CreataLink2 XT Hardware Integrator’s Guide
Product Functionality
Acknowledgment of Received Messages
System Acknowledge
The data transceiver transmits an Acknowledge Transmission signal (ACK) to
acknowledge automatically the receipt of a message. The data transceiver also
transmits a Negative Acknowledge Transmission signal (NAK) when messages are
not received correctly. If the data transceiver transmits a NAK, the system resends
the message.
Registration Request
Registration enables nationwide systems to track the data transceiver from region
to region. The system then transmits messages only to that region. The Enable Auto
Registration codeplug option enables automatic registration. The default registra-
tion is OFF, because it is considered always registered for fixed applications.
The data transceiver generates the registration request message and the registra-
tion request ALOHA packet with the current zone on the following occasions:
• A valid zone change: The data transceiver monitors the Zone ID field in the
ReFLEX frame header. When it recognizes that the frame header has changed,
the unit automatically sends a registration message after a delay.
• Power-Up: The data transceiver automatically transmits a registration request
only if automatic registration is enabled. Automatic registration is only
required if the application is mobile. SmartSynch, Inc. does not recommend
automatic registration for fixed location installations.
• A change from out-of-range to in-range: When the data transceiver goes out of
forward-channel range, and then returns within forward-channel range, the
data transceiver automatically transmits a registration request after a delay.
Configuration Parameters
Data transceiver configuration data is categorized as follows:
• The service provider establishes the network-specific parameters for the data
transceiver configuration. Typically, parameters are constant for all like
devices on the network. The parameters include the default channel list, roam-
ing parameters, and other service provider protocol-related parameters.
• Only the factory or authorized service depot sets fixed device-specific parame-
ters. These parameters indicate the type of radio installed, the type of data
transceiver, and the hardware revision level. Significant configuration items in
this category include the ESN, device type, hardware revision level, protocol
type, and low voltage thresholds.
PPS Utility
Product Family 91B Programming Software (PPS) is a configuration utility that
enables some codeplug options to be programmed into the data transceiver. This
application runs on a stand-alone PC with the Windows 95®, Windows 98®, or
Windows NT® operating environment. The PPS interacts with the data transceiver
via the serial port. Because the 22-pin connector that contains the serial I/O is not
standard, you must connect the DB9 connector on the interface kit or a custom cable
to the PC serial port. The Programming Software Guide-Integrators, listed in
"Related Publications", provides instructions for configuring data.

2-22 July 23, 2002
General CreataLink2 XT Hardware Integrator’s Guide
Product Functionality
End-User Application Software
To develop your own embedded application refer to the Software Integrator’s Guide
listed in "Related Publications."
Serial Interface
External host devices communicate with the data transceiver across the serial
interface via the asynchronous Communication Linking Protocol (CLPTM) com-
mands.
The data transceiver supports a default serial baud of 9600 bps, no parity, eight
data bits, one start bit, and one stop bit. The host product must provide a full duplex
(both directions at the same time) pass-through link at this speed.
Communication Linking Protocol (CLP)
The CLP application contains a set of commands that enable the host to send and
retrieve messages, retrieve and modify select configuration information, and re-
trieve status information from the data transceiver. When longer transmissions are
required to transfer data, the XMODEM file-transfer protocol provides error check-
ing during transmission across the serial link.
The CLP application provides general wireless messaging services that are inde-
pendent of the underlying RF protocol.
For a detailed description of services provided, see the Communication Linking
Protocol Reference Manual listed in "Related Publications.".
➧For user-configured items, see Programming Software Guide-Integrators, listed in
"Related Publications."

INTEGRATION OVERVIEW

June 18, 2002 3-i
CreataLink2 XT Hardware Integrator’s Guide Integration Overview
Contents
Contents
Integration Goal and Objectives . . . . . . . . . . . . . . . . . . . . . . . . . . . . . . . . . . . . . . . . . . . . . . . . . . . . . . . . . . . . . . . . . . . . . . 3-1
Usage Model . . . . . . . . . . . . . . . . . . . . . . . . . . . . . . . . . . . . . . . . . . . . . . . . . . . . . . . . . . . . . . . . . . . . . . . . . . . . . . . 3-1
Message Model . . . . . . . . . . . . . . . . . . . . . . . . . . . . . . . . . . . . . . . . . . . . . . . . . . . . . . . . . . . . . . . . . . . . . . . . . . . . . 3-1
Service Strategy . . . . . . . . . . . . . . . . . . . . . . . . . . . . . . . . . . . . . . . . . . . . . . . . . . . . . . . . . . . . . . . . . . . . . . . . . . . . 3-2
System Design of Integrated Product . . . . . . . . . . . . . . . . . . . . . . . . . . . . . . . . . . . . . . . . . . . . . . . . . . . . . . . . . . . 3-2
Hardware Design . . . . . . . . . . . . . . . . . . . . . . . . . . . . . . . . . . . . . . . . . . . . . . . . . . . . . . . . . . . . . . . . . . . . . . . . . . . 3-2
Power Supply . . . . . . . . . . . . . . . . . . . . . . . . . . . . . . . . . . . . . . . . . . . . . . . . . . . . . . . . . . . . . . . . . . . . . . . . . . . . . . 3-2
Antenna Configuration . . . . . . . . . . . . . . . . . . . . . . . . . . . . . . . . . . . . . . . . . . . . . . . . . . . . . . . . . . . . . . . . . . . . . . . 3-3
Software Applications Development . . . . . . . . . . . . . . . . . . . . . . . . . . . . . . . . . . . . . . . . . . . . . . . . . . . . . . . . . . . . 3-3
EMI and Desense Testing . . . . . . . . . . . . . . . . . . . . . . . . . . . . . . . . . . . . . . . . . . . . . . . . . . . . . . . . . . . . . . . . . . . . 3-3
Regulatory Approval . . . . . . . . . . . . . . . . . . . . . . . . . . . . . . . . . . . . . . . . . . . . . . . . . . . . . . . . . . . . . . . . . . . . . . . . . 3-3
Final Assembly Test . . . . . . . . . . . . . . . . . . . . . . . . . . . . . . . . . . . . . . . . . . . . . . . . . . . . . . . . . . . . . . . . . . . . . . . . . 3-3
Installation and Field Test . . . . . . . . . . . . . . . . . . . . . . . . . . . . . . . . . . . . . . . . . . . . . . . . . . . . . . . . . . . . . . . . . . . . 3-4
Customer Problem Isolation . . . . . . . . . . . . . . . . . . . . . . . . . . . . . . . . . . . . . . . . . . . . . . . . . . . . . . . . . . . . . . . . . . . . . . . . . 3-5
Wireline and Wireless Communications . . . . . . . . . . . . . . . . . . . . . . . . . . . . . . . . . . . . . . . . . . . . . . . . . . . . . . . . . . . . . . . 3-6
Power Conservation . . . . . . . . . . . . . . . . . . . . . . . . . . . . . . . . . . . . . . . . . . . . . . . . . . . . . . . . . . . . . . . . . . . . . . . . . 3-6
Network Communication . . . . . . . . . . . . . . . . . . . . . . . . . . . . . . . . . . . . . . . . . . . . . . . . . . . . . . . . . . . . . . . . . . . . . 3-6
Throughput . . . . . . . . . . . . . . . . . . . . . . . . . . . . . . . . . . . . . . . . . . . . . . . . . . . . . . . . . . . . . . . . . . . . . . . . . . . . . . . . 3-7
Design Tips for Serviceability . . . . . . . . . . . . . . . . . . . . . . . . . . . . . . . . . . . . . . . . . . . . . . . . . . . . . . . . . . . . . . . . . . . . . . . . 3-8
Data Transceiver Accessibility . . . . . . . . . . . . . . . . . . . . . . . . . . . . . . . . . . . . . . . . . . . . . . . . . . . . . . . . . . . . . . . . . 3-8
SmartSynch Software Utilities . . . . . . . . . . . . . . . . . . . . . . . . . . . . . . . . . . . . . . . . . . . . . . . . . . . . . . . . . . . . . . . . 3-8
Developing Diagnostic Software Utilities . . . . . . . . . . . . . . . . . . . . . . . . . . . . . . . . . . . . . . . . . . . . . . . . . . . . . . . . 3-8
Environmental Issues . . . . . . . . . . . . . . . . . . . . . . . . . . . . . . . . . . . . . . . . . . . . . . . . . . . . . . . . . . . . . . . . . . . . . . . . . . . . . . . 3-9
Coasting Performance . . . . . . . . . . . . . . . . . . . . . . . . . . . . . . . . . . . . . . . . . . . . . . . . . . . . . . . . . . . . . . . . . . . . . . . 3-9
General Precautions . . . . . . . . . . . . . . . . . . . . . . . . . . . . . . . . . . . . . . . . . . . . . . . . . . . . . . . . . . . . . . . . . . . . . . . . 3-10
ESD Precautions . . . . . . . . . . . . . . . . . . . . . . . . . . . . . . . . . . . . . . . . . . . . . . . . . . . . . . . . . . . . . . . . . . . . . . . . . . . 3-11
Regulatory Requirements . . . . . . . . . . . . . . . . . . . . . . . . . . . . . . . . . . . . . . . . . . . . . . . . . . . . . . . . . . . . . . . . . . . . . . . . . . 3-12
Overview . . . . . . . . . . . . . . . . . . . . . . . . . . . . . . . . . . . . . . . . . . . . . . . . . . . . . . . . . . . . . . . . . . . . . . . . . . . . . . . . . 3-12
Compliance . . . . . . . . . . . . . . . . . . . . . . . . . . . . . . . . . . . . . . . . . . . . . . . . . . . . . . . . . . . . . . . . . . . . . . . . . . . . . . . 3-12
91B
3Integration Overview

3-ii June 18, 2002
Integration Overview CreataLink2 XT Hardware Integrator’s Guide
Contents

July 10, 2002 3-1
CreataLink2 XT Hardware Integrator’s Guide Integration Overview
Integration Goal and Objectives
Integration Goal and Objectives
SmartSynch, Inc. recommends that you consider the impact of each task on the
development plan and allow sufficient time for required activities. Try to identify
critical path activities early in product development. The following list summarizes
the development tasks. These tasks are discussed in detail in the following chapters.
• Define a usage model.
• Define a message model that specifies how many messages will be sent/
received and how often.
• Define a service strategy.
• Define system design of integrated product
• Design the hardware.
• Consider power supply options.
• Identify the source antenna.
• Design, code, and test an end-to-end application between the data transceiver
and host device.
• Obtain regulatory approval.
• Set up an assembly and final test environment.
• Perform a field installation functional verification procedure.
• Develop an in-the-field problem isolation test strategy and the necessary test
tools.
Usage Model
As a developer, you must have, above all, a clear understanding of the end-use of
the product. End-use directs the development process; all design considerations aim
to meet the needs of the final customer.
Design issues related to a mobile device, such as alternator noise and vibration and
handling of changing RF conditions, are different from design issues required for a
fixed-point telemetry application powered by line power, battery, or solar panel.
End-user priorities should determine the critical engineering tradeoffs in the
product design.
You are responsible for defining the usage model. SmartSynch, Inc. is available to
provide assistance and answer questions but is not directly involved in this phase
of the project.
Message Model
The message model is related to the usage model. Create the message model to
determine how much and how often data is sent in each of the uplink and downlink
directions. Power supply requirements and network message routing selection
depend on this data determination. The amount of data sent and received is also
relevant in calculating the cost of airtime. Many engineering decisions require the
message model as source data.
You are also responsible for defining the message model. A typical approach to
creating the message model is to define the peak and average throughput
requirements based on the type of application. Take into account both normal and
unique conditions. Typical current consumption figures for each of the various
models of operation (transmit, receive, standby) are provided in this manual.
For ReFLEX networks, message latency is inherently longer than in circuit-
switched connections. Use shorter messages to minimize latency and increase
reliability.
3Integration Overview

3-2 July 10, 2002
Integration Overview CreataLink2 XT Hardware Integrator’s Guide
Integration Goal and Objectives
Service Strategy
The objective of the service strategy is to define processes by which to identify the
cause of a user’s problem and keep the customer operational during repair.
Diagnostics
It is best to test the data transceiver while it is integrated with the host at the user’s
site. To provide this function, the product must include a pass-through mode of
communications for the data transceiver. SmartSynch, Inc. recommends that you
incorporate a test mode that extracts details of the status of the data transceiver
in the host application.
Customer Support
For uninterrupted service, SmartSynch, Inc. recommends that you install a spare
unit and call the service provider to update its database with the spare unit
information. Return the defective unit to the SmartSynch, Inc. warranty repair
center for repair and return.
System Design of Integrated Product
Power source, RFI/EMI issues, and end-user environment are crucial
considerations that you must address while meeting CreataLink2 XT device
environmental and power supply requirements.
Hardware Design
To integrate a wireless data transceiver into a hardware design, you must consider
power supply, battery size (where applicable), heat dissipation, isolation from EMI,
and physical mounting of the unit for proper grounding. SmartSynch, Inc. can
provide recommendations for hardware design, where applicable.
Power Supply
Power supply requirements vary according to the needs defined by the usage and
message models. Consider the following when you design a power supply:
• Current drain of the data transceiver in its various operating modes
• Ripple and noise on the power lines
• Supply instantaneous current (up to 1400 mA) to allow proper transmitter
operation (2.5 A supply if using the I/O)
These requirements define the type of power supply (linear or switched) to use with
the wireless data transceiver. See Section 2, Table 2-1 "General Specifications" for
power supply requirements.
➧CreataLink2 XT device is a board-level product. It is your responsibility to protect
the device from environmental hazards such as dust, rain, condensing humidity,
ESD, etc.

July 10, 2002 3-3
CreataLink2 XT Hardware Integrator’s Guide Integration Overview
Integration Goal and Objectives
Antenna Configuration
The data transceiver is available with an optional antenna from SmartSynch, Inc.
See Section 4, "Hardware Integration" for other antenna suppliers.
Use the following guidelines when you mount the data transceiver:
• Mount the device away from any metallic or conductive enclosures.
• Mount the device away from items that produce RF noise, such as a poorly-
shielded PC.
• Use an antenna with a gain of 0 dBi to +3 dBi to maximize the effective
radiated power (ERP) of the antenna.
• Mount the antenna according to the guidelines in Section 4.
• If you must mount the device in a metallic or conductive enclosure, mount the
antenna outside the enclosure and connect it to the data transceiver via the
female SMA connector with the coaxial cable (RG58).
Software Applications Development
In addition to the specific software application, SmartSynch, Inc. encourages you
to incorporate wireless-specific reporting and monitoring features into the
application, so as to make it more sensitive to the wireless environment
(registration states and messaging status information, for example). The data
transceiver uses a packetized serial interface (CLP) to enable the application to
monitor wireless link-related information and application-specific data
simultaneously. The Communication Linking Protocol Reference Manual describes
this interface in more detail. If you use an on-board application configuration, the
required information is available via the API in the Software Integrator’s Guide.
EMI and Desense Testing
Data transceiver operation requires that there is minimum electromagnetic
interference radiating from the product platform. Excess noise significantly reduces
the effectiveness of the wireless data transceiver, making it less likely to receive
network messages.
Regulatory Approval
Every commercial RF device must display an FCC regulatory label on the outside
host case. The FCC also requires the wireless data transceiver to transmit random
data patterns on specific frequencies while incorporated in the host platform. The
data transceiver incorporates special debug modes to help test for regulatory
compliance with this requirement. For most applications, no additional FCC
certification is required.
Final Assembly Test
To verify proper assembly of the final product (antenna connection and operational
serial and/or parallel port) perform an end-to-end test. This test verifies that the
final product can receive and transmit at the required signal levels and has
operational I/O ports.

3-4 July 10, 2002
Integration Overview CreataLink2 XT Hardware Integrator’s Guide
Integration Goal and Objectives
Installation and Field Test
A product shipped to a site might be mounted in a location that restricts RF
communications. To verify that the data transceiver is located in an area of good
coverage, and that an end-to-end loopback message is possible, the product needs
a software application to perform the test or a pass-through mode that enables a
message to be sent and received. Work with your carrier to determine exactly how
to do this on the network.
The most effective approach to field testing is to include an installation test
procedure as part of the standard host application software. SmartSynch, Inc. can
recommend the specific network information available from the data transceiver
and how to best implement an end-to-end loopback test.

July 10, 2002 3-5
CreataLink2 XT Hardware Integrator’s Guide Integration Overview
Customer Problem Isolation
Customer Problem Isolation
When a customer reports a problem from the field, you must isolate the source. To
isolate the problem, determine if it is the network, the wireless data transceiver, or
the host product that is causing the problem. Often, the customer misunderstands
the use of the product. Off-site troubleshooting reduces the number of returned
products and service costs, particularly if the host must be disassembled to remove
the data transceiver.
SmartSynch, Inc. recommends that the product application (both at the terminal
and host ends) incorporate diagnostic software that enables you to identify problems
from a remote site. One method is to incorporate progressively deeper loopback
tests. Use progressively longer message lengths to determine when the
communication link fails.
Make this diagnostic function part of the standard software load. SmartSynch, Inc.
can indicate the types of failure condition reporting mechanisms present in the data
transceiver and recommend implementations.

3-6 July 10, 2002
Integration Overview CreataLink2 XT Hardware Integrator’s Guide
Wireline and Wireless Communications
Wireline and Wireless Communications
Consider the similarities and differences between wireline and wireless
communications: Wireline data communications involve two data transceivers that
use a dial-up telephone link to send and receive data. This type of communication
is known as "full duplex, circuit-switched communications." Full duplex indicates
both sides can send and receive simultaneously. Circuit-switched indicates the
sender and receiver have access to the entire communications line at all times
without sharing with other users. The wireline method of communications wastes
air time in a wireless setting because, typically, one side does most of the
transmitting while the other side is listening.
In wireless packet communications, the sender and receiver can share the
communication media with other users by sending packets, or bursts of data. This
method of communication enables other users to send their packets between the
gaps. To reduce data transmission cost, the communications are usually sent half
duplex; the sender does not listen while it transmits.
Some data communications protocols (XMODEM and YMODEM) are designed to
be used on a full duplex, circuit-switched connection. The user pays for the number
of minutes the circuit is open, regardless of the amount of data sent. Short timers,
numerous link level acknowledgments, and error correction help speed the data
transfer. With wireless packet data, the user is billed only for the data actually sent.
It makes more sense to consider communications in terms of datagrams (similar to
what is used in IP). Much of the error correction and acknowledgment information
sent in wireline communications becomes an extra cost burden because the packet
data protocol already provides for forward error correction and link level
acknowledgments.
Determine which applications are best suited for wireless and which applications
need to be modified before you use wireless. Message-based applications such as
database lookup, e-mail without attachments, and point-of-sale transactions are
suited to wireless communication, often without modification. Applications that
send handshaking messages or applications with timers that resend too quickly are
unsuitable for wireless communications because of the unnecessary overhead traffic
they generate.
Power Conservation
For installations that require power conservation (battery or solar cell powered),
consider data transceiver power consumption in the various operating states and
how data transceiver configuration affects power consumption. The data
transceiver uses the ReFLEX protocol battery-save cycle configuration, a customer-
ordered option, for low power consumption. To reduce average power consumption
further, activate the data transceiver only when needed (see Table 2-3, "Power
Connection" section, and "Power Supply Circuit Details" section).
Network Communication
There are two ways to communicate with a network:
• Connection
• Connectionless
Most packet communication is connectionless and does not require call setup and
teardown for communications. For the most efficient airtime solution, SmartSynch,
Inc. recommends a connectionless communications model.

July 10, 2002 3-7
CreataLink2 XT Hardware Integrator’s Guide Integration Overview
Wireline and Wireless Communications
Throughput
The network throughput of the device depends on several factors:
• Raw throughput of the radio channel
• Overhead involved in forward error correction
• Support for packet headers
• Number of active users on a shared RF channel
• Network configuration

3-8 July 10, 2002
Integration Overview CreataLink2 XT Hardware Integrator’s Guide
Design Tips for Serviceability
Design Tips for Serviceability
Consider the concept of serviceability early in the design. Create a functional service
strategy that includes procedures for performing unit-level screening. The test must
determine whether a fault lies with the data transceiver or with the product into
which the data transceiver is integrated. The test must also screen for network
problems and human error.
Data Transceiver Accessibility
Locate the data transceiver so that the serial I/O, parallel I/O, and antenna
connections are accessible. Quick access to the data transceiver enables easy
removal and installation, troubleshooting, and functional testing.
SmartSynch Software Utilities
SmartSynch, Inc. provides the programming software utility with which to
configure the data transceiver. The PPS operates with Windows 95, Windows 98 and
Windows NT and communicates via the RS-232 serial connection. For
microprocessor-based host platforms, provide a pass-through mode that enables the
programming software utility to run while the data transceiver is connected to the
end-user’s host design or system.
Developing Diagnostic Software Utilities
A thorough serviceability plan includes a needs assessment for developing software
utilities that help you to identify communication problems among the product, the
data transceiver, and the RF network. These utilities must send commands to the
data transceiver, evaluate responses, perform network connectivity testing, and
verify data communications with the network.
Develop these utilities via the CLP command set or the internal CLP API if you are
developing an on-board/embedded application. The CLP API provides the capability
to monitor and evaluate data transceiver operating conditions and all
communications to and from the wireless network host.
The CLP command set and CLP API supports reading of a diagnostic buffer that
provides the view of the network from the data transceiver. This utility is essential
for field service engineers and service center technicians attempting to diagnose
product problems, and trace such problems to failed assemblies or mismanaged
communications links. See the "Diagnostic Mode" subsection of the "Off-Board
Application Development" chapter in the Software Integrators Guide for details.
Pager to/from e-mail and pager-to-pager communication is supported in the
ReFLEX protocol, which SmartSynch, Inc. recommends for diagnostics. An example
of this feature is sending a message to a pager worn by the technician servicing the
equipment. This enables you to perform local troubleshooting.

July 10, 2002 3-9
CreataLink2 XT Hardware Integrator’s Guide Integration Overview
Environmental Issues
Environmental Issues
The CreataLink2 XT device is designed as an OEM module. Any data transceiver
applications are housed in a host product. The data transceiver has been tested to
environmental specifications that meet the applications of most integrators.
As an integrator, you must meet the following guidelines:
1. The data transceiver must be housed in an enclosure to protect the board
assembly from condensation and water/dust/salt fog intrusion. Any
condensation on board assembly will cause CreataLink2 XT device to be
non-functional.
2. Provide mechanical support of the PCB to withstand drops, transport stress,
and handling.
3. Power supply must be clean per Table 2-1.
4. Ambient air temperature around the CreataLink2 XT device must be
maintained between -40 degrees C and +85 degrees C.
Coasting Performance
Coasting is the process by which the data transceiver remains synchronized to the
ReFLEX network during periods when ReFLEX information (i.e. frames) is not
being received by the data transceiver. The absence of ReFLEX frames can be
caused by the data transceiver being in an RF fade or by the network being
configured to intentionally stop transmitting ReFLEX frames for a period of time.
Synchronization, in this case, has both timing and frequency elements.
Maintaining timing synchronization with the ReFLEX system is critical for both
network and data transceiver operation. When the data transceiver has a message
to transmit into the network, it first informs the network that it has data to send.
The network then schedules the data transceiver transmission and informs the data
transceiver of the specific time to transmit its data. Failure on the part of the data
transceiver to remain very closely synchronized to the network will result in the
transmission occurring at an incorrect time and an increased probability of a failed
message delivery.
Maintaining frequency synchronization is critical for both receive and transmit
operations on the data transceiver. Algorithms deployed in the data transceiver
firmware use received ReFLEX frames for frequency correction. Following the
absence of ReFLEX frames, should the tuned frequency of the receiver drift too far
from the target, messages directed to the data transceiver will not be received.
Moreover, the network will not receive messages transmitted by the data
transceiver if the frequency of the data transceiver transmitter has drifted out of
tolerance.
For a data transceiver in a constant ambient temperature environment, timing and
frequency errors are very small and can be largely ignored. However, in a dynamic
temperature environment, temperature variation of component tolerances can
cause synchronization to be lost. Algorithms in the data transceiver firmware have
been developed to track, predict, and correct both timing and frequency errors
within certain design limits.
A data transceiver in an open air environment (i.e. not in a housing) can maintain
timing and frequency synchronization with the network in the presence of a
temperature gradient not exceeding 1°C/minute. The addition of a housing around
the data transceiver provides an insulating layer which reduces the gradient of the
temperature change experienced by the components on the data transceiver PCB.
It is up to the integrator to select appropriate housing material and thickness, and/

3-10 July 10, 2002
Integration Overview CreataLink2 XT Hardware Integrator’s Guide
Environmental Issues
or provide another means of insulating the data transceiver sufficiently to achieve
a temperature gradient at the board level not exceeding 1°C/minute.
General Precautions
Take the following general precautions to prevent damage to the data transceiver:
• Handle the data transceiver as little as possible.
• Wear a grounded antistatic wrist strap while you handle the data transceiver.
• Do not bend or stress the data transceiver.
• Insert connectors straight and evenly to avoid bending pins.
GFailure to provide adequate protection will void the device warranty.

July 10, 2002 3-11
CreataLink2 XT Hardware Integrator’s Guide Integration Overview
Environmental Issues
ESD Precautions
This data transceiver contains components that are sensitive to ESD. People
typically experience up to 35 kV ESD while walking on a carpet in low humidity
environments. Many electronic components can be damaged by fewer than 1000V
of ESD. Observe handling precautions when you service this equipment:
• Eliminate static generators (plastics, styrofoam, etc.) in the work area.
• Remove nylon or double knit polyester jackets, roll up long sleeves, and remove
or tie back loose-hanging neckties.
• Store and transport all static-sensitive components in ESD protective
containers.
• Disconnect all power from the unit before ESD sensitive components are
removed or inserted, unless otherwise noted.
• Use a static safeguarded workstation. Such safeguards includes a conductive
wrist strap, ground cords, and static control table mat.
When antistatic facilities are not available, use the following technique to minimize
the chance of ESD damage to equipment:
• Place the static-sensitive components on a conductive surface when not in use.
• Make skin contact and maintain the contact with a conductive work surface
before you handle the static-sensitive component.
• Maintain relative humidity at 70%–75% in development labs and service
centers.
To eliminate electrostatic discharge to the 22-pin connector on CreataLink2 XT
within the customer's product/application, it is recommended that the customer's
product does not place components within an extended keep out envelope of 15 mm
around the 22-pin connector.

3-12 July 10, 2002
Integration Overview CreataLink2 XT Hardware Integrator’s Guide
Regulatory Requirements
Regulatory Requirements
This chapter provides guidance on how to obtain regulatory approval of products
that integrate the CreataLink2 XT data transceiver.
Overview
Worldwide, government regulatory agencies for communications have established
standards and requirements for products that incorporate fixed, mobile, and
portable radio transmitters. To this end, SmartSynch, Inc. must certify the
CreataLink2 XT device in specific regional markets to levels of compliance
appropriate for an integrated device. Approvals are required for two interrelated
reasons: to guard public safety and to ensure electrical noninterference.
The nonintegrated data transceiver meets the following FCC regulatory
requirements:
• FCC Part 90—Radio Performance
• FCC Part 15—Conducted and Emitted Radiation Class B
• FCC Part 24—NBPCS-Narrow Band PCS Transceivers
SmartSynch, Inc. is responsible for testing and verifying that the CreataLink2 XT
device complies with all of the above FCC requirements. The process includes
extensive measurements such as conducted power-out, emission limits, spurious
emissions (conducted and radiated), RF hazard, and frequency stability over
temperature. The test data are compiled as a formal report and submitted to the
FCC for Type Acceptance certification. Once approved, all production CreataLink2
XT units are cleared for sale in the U.S., with the required product labeling.
The FCC requires the OEM host product to be labeled as follows:
At the time of this printing, this product contains a type-accepted
transmitter approved under FCC ID: E9698109. Contact SmartSynch at
www.smartsynch.com to get the latest FCC ID for current releases of
hardware.
Refer to FCC CFR 47, Part 2, Subpart J, for information on how to obtain an FCC
grantee code, FCC identifier requirements, label requirements, and other
equipment authorization procedures.
The FCC does not permit use of an FCC identifier until a Grant of Equipment
Authorization is issued. If you display a device at a trade show before the FCC has
issued a grant, you must display the following statement prominently:
This device has not been approved by the Federal Communications
Commission. This device is not, and may not be, offered for sale or lease,
sold or leased until the approval of the FCC has been obtained.
Compliance
Many countries in which the final products are sold require approval from the local
governmental regulatory bodies. In the U.S., the FCC requires that the following
two individual requirements are met before it certifies the final product:
• Test 1 is the familiar CFR 47, Part 15 qualification requiring proof that the
product electronics hardware does not yield local radiation that can affect
other equipment, such as TVs and computer monitors.

July 10, 2002 3-13
CreataLink2 XT Hardware Integrator’s Guide Integration Overview
Regulatory Requirements
• Test 2 (CFR 47, Part 24 and 90) proves that the data transceiver remains in its
allocated channel spacing when it transmits, and does not produce spikes or
splatter in other frequencies. SmartSynch, Inc. undergoes FCC testing with
the data transceiver integrated into a dummy OEM host to ensure
conformance with these requirements.
According to the equipment authorization rules (CFR 47, Part 2), SmartSynch, Inc.
is allowed to authorize a second party to integrate the CreataLink2 XT into another
product, provided that the CreataLink2 XT device is unmodified and used as
intended. It is your responsibility to determine whether or not the integrator’s
electronics are subject to further FCC equipment authorization. Consult an
appropriate regulatory consultant or agency to determine your exact circumstances.
Once this determination is made, make the appropriate implementation:
• Integrator’s electronics ARE NOT subject to FCC equipment authorization:
Display the CreataLink2 XT device FCC ID, "FCC ID: E9698109", on the
common enclosure that houses the CreataLink2 XT device and integrator’s
electronics. NOTE: Contact SmartSynch at www.smartsynch.com for the latest
FCC ID on current CreataLink2 XT hardware.
Or
• Integrator’s electronics ARE subject to FCC equipment authorization: Obtain
FCC approval for integrator’s electronics through all applicable FCC
requirements, in which case a unique FCC ID shall be assigned to the
electronics. Display the CreataLink2 XT device FCC ID, "FCC ID: E9698109"
and the integrator’s FCC ID on the common enclosure that houses the
CreataLink2 XT device and integrator’s electronics. NOTE: Contact
SmartSynch at www.smartsynch.com for the latest FCC ID on current
CreataLink2 XT hardware.

3-14 July 10, 2002
Integration Overview CreataLink2 XT Hardware Integrator’s Guide
Regulatory Requirements

HARDWARE INTEGRATION

June 18, 2002 4-i
CreataLink2 XT Hardware Integrator’s Guide Hardware Integration
Contents
Contents
Power Supply . . . . . . . . . . . . . . . . . . . . . . . . . . . . . . . . . . . . . . . . . . . . . . . . . . . . . . . . . . . . . . . . . . . . . . . . . . . . . . . . . . . . . 4-1
Line-Powered Implementation . . . . . . . . . . . . . . . . . . . . . . . . . . . . . . . . . . . . . . . . . . . . . . . . . . . . . . . . . . . . . . . . 4-1
Battery-Powered Implementation . . . . . . . . . . . . . . . . . . . . . . . . . . . . . . . . . . . . . . . . . . . . . . . . . . . . . . . . . . . . . . 4-2
Host Interface . . . . . . . . . . . . . . . . . . . . . . . . . . . . . . . . . . . . . . . . . . . . . . . . . . . . . . . . . . . . . . . . . . . . . . . . . . . . . . . . . . . . . 4-3
Power/Serial/Parallel I/O . . . . . . . . . . . . . . . . . . . . . . . . . . . . . . . . . . . . . . . . . . . . . . . . . . . . . . . . . . . . . . . . . . . . . 4-3
I/O Pin Interface . . . . . . . . . . . . . . . . . . . . . . . . . . . . . . . . . . . . . . . . . . . . . . . . . . . . . . . . . . . . . . . . . . . . . . . . . . . . 4-4
RX_Active and TX_Active Signal Behaviors . . . . . . . . . . . . . . . . . . . . . . . . . . . . . . . . . . . . . . . . . . . . . . . . . . . . . 4-11
Power Connection . . . . . . . . . . . . . . . . . . . . . . . . . . . . . . . . . . . . . . . . . . . . . . . . . . . . . . . . . . . . . . . . . . . . . . . . . . 4-16
Power Management . . . . . . . . . . . . . . . . . . . . . . . . . . . . . . . . . . . . . . . . . . . . . . . . . . . . . . . . . . . . . . . . . . . . . . . . . . . . . . . 4-17
States of Operation . . . . . . . . . . . . . . . . . . . . . . . . . . . . . . . . . . . . . . . . . . . . . . . . . . . . . . . . . . . . . . . . . . . . . . . . . 4-17
Power Profile . . . . . . . . . . . . . . . . . . . . . . . . . . . . . . . . . . . . . . . . . . . . . . . . . . . . . . . . . . . . . . . . . . . . . . . . . . . . . . 4-17
Backup Battery Power/Transmitter Power . . . . . . . . . . . . . . . . . . . . . . . . . . . . . . . . . . . . . . . . . . . . . . . . . . . . . 4-18
Power Supply Circuit Details . . . . . . . . . . . . . . . . . . . . . . . . . . . . . . . . . . . . . . . . . . . . . . . . . . . . . . . . . . . . . . . . 4-19
Shutdown Procedures . . . . . . . . . . . . . . . . . . . . . . . . . . . . . . . . . . . . . . . . . . . . . . . . . . . . . . . . . . . . . . . . . . . . . . . 4-19
Resetting the Data Transceiver . . . . . . . . . . . . . . . . . . . . . . . . . . . . . . . . . . . . . . . . . . . . . . . . . . . . . . . . . . . . . . . 4-20
Antenna Systems . . . . . . . . . . . . . . . . . . . . . . . . . . . . . . . . . . . . . . . . . . . . . . . . . . . . . . . . . . . . . . . . . . . . . . . . . . . . . . . . . 4-20
Antenna Safety . . . . . . . . . . . . . . . . . . . . . . . . . . . . . . . . . . . . . . . . . . . . . . . . . . . . . . . . . . . . . . . . . . . . . . . . . . . . 4-20
Antenna Selection Criteria . . . . . . . . . . . . . . . . . . . . . . . . . . . . . . . . . . . . . . . . . . . . . . . . . . . . . . . . . . . . . . . . . . 4-20
Antenna Mounting . . . . . . . . . . . . . . . . . . . . . . . . . . . . . . . . . . . . . . . . . . . . . . . . . . . . . . . . . . . . . . . . . . . . . . . . . 4-21
Antenna Location . . . . . . . . . . . . . . . . . . . . . . . . . . . . . . . . . . . . . . . . . . . . . . . . . . . . . . . . . . . . . . . . . . . . . . . . . . 4-21
Antenna Test Methods . . . . . . . . . . . . . . . . . . . . . . . . . . . . . . . . . . . . . . . . . . . . . . . . . . . . . . . . . . . . . . . . . . . . . . 4-21
Hardware Recommendations . . . . . . . . . . . . . . . . . . . . . . . . . . . . . . . . . . . . . . . . . . . . . . . . . . . . . . . . . . . . . . . . . . . . . . . 4-23
Antenna Connector . . . . . . . . . . . . . . . . . . . . . . . . . . . . . . . . . . . . . . . . . . . . . . . . . . . . . . . . . . . . . . . . . . . . . . . . . 4-23
Antenna Cable Assemblies . . . . . . . . . . . . . . . . . . . . . . . . . . . . . . . . . . . . . . . . . . . . . . . . . . . . . . . . . . . . . . . . . . 4-23
Antenna Assemblies . . . . . . . . . . . . . . . . . . . . . . . . . . . . . . . . . . . . . . . . . . . . . . . . . . . . . . . . . . . . . . . . . . . . . . . . 4-23
Antenna Dealers . . . . . . . . . . . . . . . . . . . . . . . . . . . . . . . . . . . . . . . . . . . . . . . . . . . . . . . . . . . . . . . . . . . . . . . . . . . 4-24
Battery Selection Criteria . . . . . . . . . . . . . . . . . . . . . . . . . . . . . . . . . . . . . . . . . . . . . . . . . . . . . . . . . . . . . . . . . . . . . . . . . . 4-25
Available Technologies . . . . . . . . . . . . . . . . . . . . . . . . . . . . . . . . . . . . . . . . . . . . . . . . . . . . . . . . . . . . . . . . . . . . . . 4-25
Applying Battery Technologies . . . . . . . . . . . . . . . . . . . . . . . . . . . . . . . . . . . . . . . . . . . . . . . . . . . . . . . . . . . . . . . 4-27
91B
4Hardware Integration

4-ii June 18, 2002
Hardware Integration CreataLink2 XT Hardware Integrator’s Guide
Contents

July 23, 2002 4-1
CreataLink2 XT Hardware Integrator’s Guide Hardware Integration
Power Supply
Power Supply
SmartSynch, Inc. recommends a 2A power supply in the lab. This ensures sufficient
power to transmit. However, if the two driven output ports (pins 21 and 22 of the
22-pin connector) are utilized at their maximum rating of 350 mA sink/source
current and the six open collector I/Os are utilized at their maximum rating of 25
mA sink current, it will result in up to 850 mA of additional current consumed. A
power supply of 3A would be required. A detailed overview of the interface board is
shown in Figure 4-1.
Line-Powered Implementation
Line-powered configurations typically imply fixed-mount applications. A key design
consideration is the need to filter 60-Hz noise from the ac supply line, which has a
negative impact on data transceiver performance.
The following design considerations are important when you install a fixed-mount
application:
• The dc power noise levels on the host interface to the 22-pin connector
➧A rise time of 500 us is required on the 2A power supply when you power up the
transmitter. The supply voltage can sag to 5V at this time, without impact to
transmitter operation.
990006
Figure 4-1. Interface Board for Off-Board Host Configuration or Software Development of Third Party
Embedded Application
Creatalink2 XT
Interface Board
22-pin Header
22-pin Header
JTAG
SMA
(Optional)
Ribbon Cable
Serial
Protocol
Analyzer
3-Amp
Power Supply
PC or device
under test
Backup Batt. or
Transmit Supply
Backup
Power
Main
Power
ICE or
JEENI
Box
ICE Box
Connect
JTAG Cable
JTAG Probe Blk Terminal Blk
(Required for ICE Box
but not for JEENI Box)
DB-9
Embedded
(This setup
enclosed in
the dotted box
is only used
for on-board
application
development)
990137-O
4Hardware Integration

4-2 July 23, 2002
Hardware Integration CreataLink2 XT Hardware Integrator’s Guide
Power Supply
• Minimum operating voltage levels
• Shutdown procedures
• Device internal ambient temperature
• Antenna gain and proximity to user
• Repair and reprogramming facilities (pass-through mode of operation)
• Power outage and recovery issues, including the use of a backup battery
Battery-Powered Implementation
The CreataLink2 XT device can use battery power in three distinct ways.
Primary Power
Where there is no convenient access to ac line power, the data transceiver must be
powered by a battery. In addition to the design considerations noted previously, you
must also select an appropriate battery based on technology, capacity, and
operating limits.
The power supply voltage range is 5-12 Vdc for NUF3902 and 5-16 Vdc for
NUF8006. The power supply must be capable of supplying 1400 mA for
transmitter operation.
If no backup battery is connected or the backup battery lacks sufficient capacity,
AND the backup battery is used for transmitting, the following conditions
will result:
NUF8006: the unit will reset.
NUF3902: the unit will not transmit and will not reset.
RAM Backup Only
In this mode, a battery may be placed across pins 5 and 6 of the 22-pin connector.
When power on pins 1 and 2 fail, the CreataLink2 XT device automatically backs
up the contents of the RAM. This data will be available when primary power is
restored.
The battery voltage must be between 3 and 9 Vdc, and capable of supplying 1 mA.
RAM Backup and Transmitter/Receiver Supply
The NUF3902 CreataLink2 XT device can be configured via software to use the
main supply (pins 1 and 2 of the 22-pin connector) or the battery/secondary supply
(pins 5 and 6) for power. If the secondary supply is chosen, it will be used during
RF transmissions and while receiving. In addition, this voltage will be used to back
up the RAM contents in the event of a power failure.
The battery requirements in this case are the same as those listed in
Tables 2-1 and 2-3.
With this method of using the additional battery/alternate power besides the main
supply, the requirements of the primary supply change. The primary supply would
be required to provide 65-90 mA for normal operation. If required, I/O sourcing and
sinking currents would have to be added. As a result, this current could reach as
high as 1A.
The NUF8006 CreataLink2 XT is powered from the battery during RF
transmissions only when the Battery Transmit Option is used. With this
configuration, the main supply powers the CreataLink2 XT during Sleep and
Receive modes. The battery requirements are the same as those listed in
Tables 2-1 and 2-3.

July 23, 2002 4-3
CreataLink2 XT Hardware Integrator’s Guide Hardware Integration
Host Interface
Host Interface
The CreataLink2 XT device has two connectors that interface with the host:
• Power/Serial/Parallel I/O
• I/O Pin Interface
Power/Serial/Parallel I/O
The 22-pin connector provides electrical power, serial communications, and I/O
capability to the data transceiver.
8- and 22-pin part numbers are listed in "Parts Information".
22-pin vertical head connector pin signals are shown in Table 4-1.
Table 4-1. 22-Pin Vertical Header Connector Pin Signals
Pin
Number Signal Name Description
1Supply Power Supply Connection
2GND Ground
3TXDO 3.3V TTL Serial Data from CreataLink2 XT
4RS232_TXDO +/- 5V RS-232 Serial Data from CreataLink2 XT
5BATT Backup Battery / Alternate Transmit Power Supply
6BATT_GND Ground
7RXDI TTL Serial Data Received by CreataLink2 XT
8RS232_RXDI RS-232 Serial Data Received by CreataLink2 XT
9RESET_ENABLE 3.3V active-high input used to enable external
reset capability (no connect if not used)
10 EXT_RESET 3.3V active-low input used to reset CreataLink2 XT
(no connect if not used)
11 RX_ACTIVE 3.3V when CreataLink2 XT is receiving a page
12 TX_ACTIVE 3.3V when CreataLink2 XT is transmitting a page
13 A/D_EXT1 Externally supplied analog input
14 A/D_EXT2 Externally supplied analog input
15 HVIO_0 Open collector output/High voltage input
16 HVIO_1 Open collector output/High voltage input
17 HVIO_2 Open collector output/High voltage input
18 HVIO_3 Open collector output/High voltage input
NUF8006 only: Input Capture 2

4-4 July 23, 2002
Hardware Integration CreataLink2 XT Hardware Integrator’s Guide
Host Interface
I/O Pin Interface
The CreataLink2 XT device provides many features that you can configure to suit
the desired application. Such a configurable feature is the 8-bit parallel I/O port.
Six of the eight bits of this port are individually configurable as an open collector
output, or as an input. You can configure the remaining two bits as high current
driven outputs, or inputs. The desired configuration of this port is stored in
nonvolatile memory and is set upon power-up.
Maximum input voltage is specified as 12V for NUF3902 and 16V for NUF8006.
Maximum pull-up voltage is specified as 12V for NUF3902 and 16V for NUF8006.
The open collector outputs are capable of sinking 25 mA, and the driven outputs
are capable of sourcing/sinking up to 350 mA.
Table 4-1 shows a cross reference from signal name to corresponding pin number
on the 22-pin connector and each I/O pin’s potential functions.
High Voltage Input/Open Collector Output
Figure 4-2 is a view of the circuit and the relevant signals. The block on the right
reveals the necessary connections if the circuit is used as an open collector output.
If used as an input, there are no external component requirements.
19 HVIO_4 Open collector output/High voltage input
20 HVIO_5 Open collector output/High voltage input
21 HVIO_6 Open collector output/High voltage input
NUF8006 only: Input Capture 1
22 HVIO_7 Driven output/High voltage input
011210O
Figure 4-2. High Voltage Input/Open Collector Output Circuit
Table 4-1. 22-Pin Vertical Header Connector Pin Signals (Continued)
Pin
Number Signal Name Description
LOAD
I/O Control
Low Voltage
Input/Output
Pull-up Voltage
Rpu
HVIO_0 -HVIO_5
CreataLink2 XT
Switching
and
Level
Shifting

July 23, 2002 4-5
CreataLink2 XT Hardware Integrator’s Guide Hardware Integration
Host Interface
High Voltage Input Circuit
There are no requirements for external components, unless the input voltage is to
be higher than 12V for NUF3902 and 16V for NUF8006. If this is the case, perform
external signal conditioning that will limit the voltage to a maximum of 12V for
NUF3902 and 16V for NUF8006. Logic ones on the input pin are read as logic ones
by the host processor, i.e. normal logic convention.
Over-voltage protection is not provided. ESD/transient protection is provided;
however, exceeding the specified maximum input voltages for long durations will
render the circuit nonfunctional.
The input voltage must be equal to or less than the supply voltage provided to
pin 1 of the 22-pin connector.
Open Collector Output Circuit
To size the pullup resistor, follow the steps detailed in“Resistor Sizing Example” on
page 4-9. The maximum pull-up voltage for this circuit is specified as 12V for
NUF3902 and 16V for NUF8006.
Circuit Specifications/Limitations
The open collector circuit enables the CreataLink2 XT device to interface to systems
with higher voltages than it can support itself. This feature alone provides great
flexibility in interface circuit design. However, this circuit has some limitations that
you must recognize when you design. For example, the pull-up resistor must be
sized according to load size and desired output high voltage.
Current Sink Limitations
The CreataLink2 XT device has a maximum current sink capability of 25 mA when
the output is in the low state. To exceed this current could cause the circuit to break
down, thus causing a potential failure. In addition, this could cause damage to the
host processor, rendering the product non-functional. There is no sink current in
the high state.
To ensure that this maximum sink current is not exceeded, you must know the
circuit pull-up voltage, VPU, specification for the circuit. The pull-up voltage
determines the lower-bound for the pull-up resistor, according to the following
relation:
RPUmin = (VPU)/(.025)
Thus, for a system with VPU = 12V, the minimum value for RPumin would be 480
ohms; for a system with VPU = 16V, the minimum value for RPumin would be 640
ohms.
GA pull-up resistor must be placed between the pull-up voltage and the connection to
the CreataLink2 XT device. Otherwise, the circuit will fail.

4-6 July 23, 2002
Hardware Integration CreataLink2 XT Hardware Integrator’s Guide
Host Interface
Effect of Load Size on Pull-up Resistor
Figures 4-3 through 4-5 are plots that show the effect of pull-up and load resistances
on the output high voltage. The output low voltage is guaranteed to be less than
0.5V as long as no more than 25 mA is being sunk.
If a varying load is expected, select pull-up resistors to compensate for the range of
this variance. The figures depict simulation data that reflects how the output high
voltage is affected by a change in load resistance. Pull-up voltages for these plots are:
• 12V: Figures 4-3, 4-4, and 4-5 for NUF3902
• 16V: Figures 4-6, 4-7, and 4-8 for NUF8006
990121
Figure 4-3. NUF3902: Output High Voltage versus Pull-up Resistance
Output High Voltage with Load = 1K
Pull-Up Resistance (kohms)
Output High Voltage

July 23, 2002 4-7
CreataLink2 XT Hardware Integrator’s Guide Hardware Integration
Host Interface
990122
Figure 4-4. NUF3902: Output High Voltage versus Load Resistance
990123
Figure 4-5. NUF3902: Output High Voltage versus Load Resistance
Load Resistance (kohms)
Output High Voltage with Pull-Up = 10k
Output High Voltage
Output High Voltage with Pull=Up 1k
Load Resistance (kohms)

4-8 July 23, 2002
Hardware Integration CreataLink2 XT Hardware Integrator’s Guide
Host Interface
000166
Figure 4-6. NUF8006: Output High Voltage versus Pull-up Resistance
000167
Figure 4-7. NUF8006: Output High Voltage versus Load Resistance
Output High Voltage with Load=1k
0.0
2.0
4.0
6.0
8.0
10.0
12.0
14.0
16.0
0.0 0.5 1.0 1.5 2.0 2.5 3.0 3.5 4.0 4.5 5.0 5.5 6.0 6.5 7.0 7.5 8.0 8.5 9.0 9.5 10.0
Pull-Up Resistance (kohms)
Output High Voltage with Pull-Up = 10k
0
1
2
3
4
5
6
7
8
0.0 0.5 1.0 1.5 2.0 2.5 3.0 3.5 4.0 4.5 5.0 5.5 6.0 6.5 7.0 7.5 8.0 8.5 9.0 9.5 10.0
L
oad Resistance (kohms)

July 23, 2002 4-9
CreataLink2 XT Hardware Integrator’s Guide Hardware Integration
Host Interface
Resistor Sizing Example
In order to size the pull-up resistor properly, you must know the above parameters.
The following example demonstrates a suitable procedure for sizing the resistor.
System specifications:
VPU+ = 12V
VOHmin * = 10V
RL = 10 kohms
+ VPU = pull-up voltage.
*VOHmin = Minimum voltage allowed on the output in the high state.
First, you must determine the current required by the supply voltage in the high
state. The minimum load current in the high state, ILmin, is given by:
ILmin = VOHmin / RL = 1 mA
From this, determine the value of the pull-up resistor. Use the worst case
condition of 10V along with the value of IL determined above.
RPU = (12V - 10V)/ ILmin = 2000 ohms
000168
Figure 4-8. NUF8006: Output High Voltage versus Load Resistance
Output High Voltage with Pull-Up = 1k
0
2
4
6
8
10
12
14
16
0.0 0.5 1.0 1.5 2.0 2.5 3.0 3.5 4.0 4.5 5.0 5.5 6.0 6.5 7.0 7.5 8.0 8.5 9.0 9.5 10.0
Load Resistance (kohms)

4-10 July 23, 2002
Hardware Integration CreataLink2 XT Hardware Integrator’s Guide
Host Interface
This is well above the absolute minimum of 480 ohms determined above, thus you
will not encounter current sink problems. If better VOhmin performance is desired,
this value can be lowered, with a lower bound given by the equation above.
This value for RPU can be cross checked to see if the system specifications can be
met. From the graph in Figure 4-3, with a pull-up of 2000 ohms, the VOHmin will be
approximately 10V, thus the specification is met.
Now that you have determined the value of the pull-up resistor, you must determine
the required power rating of the pull-up resistor. This is governed by the pull-up
voltage and the current passing through this resistor when the output is in the low
state.
P = (VPU) * (VPU / RPU) = 72 mW
From the above values, it would be recommended to use a maximum value resistor
of 2000 ohms with a 125 mW minimum power rating.
High Voltage Input/Driven Output Circuit
You can configure two of the programmable I/O lines, HVIO_6 and HVIO_7, as
high voltage inputs or high current source driven outputs.
Figure 4-9 diagrams the High Voltage Input/Driven Output circuit. All relevant
signals are depicted.
Current Source Limitations
The driven output signals are capable of sourcing and sinking significant current
to their corresponding loads. Each of these two signals are capable of sourcing/
sinking up to 350 mA. Currents higher than this could cause permanent damage
to the circuit. The output high voltage provided by these two pins is approximately
equal to the voltage provided to pin 1 of the data transceiver’s 22-pin connector.
Thus, any unwanted noise on this line must be filtered before it is connected to the
CreataLink2 XT device, or on each individual output pin. When you design the
power supply for the CreataLink2 XT device, take into account these two I/O pins’
output current.
990125
Figure 4-9. High Voltage Input/Driven Output Circuit
LOAD
I/O Control
Low Voltage
Input
HVIO_6 -HVIO_7
Switching
Level
Shifting
Low Voltage
Output
CreataLink2 XT Device
and

July 23, 2002 4-11
CreataLink2 XT Hardware Integrator’s Guide Hardware Integration
Host Interface
Effect of I/O on Operating Current
The specification for the CreataLink2 XT device transmit current is 1400 mA.
However, if an application is to use the parallel I/O capabilities, this number could
nearly double. As a result, you should take into account the I/O when you design
the system power supply.
Open Collector I/O
As noted earlier, the open collector lines are capable of sinking 25 mA each. This
current comes from the pull-up voltage, which may or may not be the same supply
voltage as that applied to pin 1 of the 22-pin connector. If this is the same supply
voltage as the primary supply voltage applied to the CreataLink2 XT device, then
you must account for this current.
Worst case occurs when all six open collector outputs are driven low and are sinking
the maximum allowable current of 25 mA. This could result in as much as 150 mA
additional to the 1400 mA transmit current.
Driven I/O
If the driven outputs are each sourcing their maximum current of 350 mA each,
then 700 mA must be added to the 1400 mA transmit current.
In the worst case, the CreataLink2 XT device is transmitting, while sinking the
maximum allowable for the open collector outputs, and sourcing the maximum
allowable with the driven output. This could bring the maximum peak current to
1400 + 6*25 + 2*350 = 2250 mA. SmartSynch, Inc. recommends at least a 2.5A
supply in this case.
The I/O current is a constant current and does not go down when the
CreataLink2 XT device is placed in the sleep mode. In this case, the worst case sleep
current would be 5 + 6*25 + 2*350 = 855 mA, with no valid RS-232 voltages present.
RX_Active and TX_Active Signal Behaviors
ReFLEX is a half-duplex, TDMA signalling protocol which means that the data
transceiver can either receive or transmit but not simultaneously. The TDMA
aspect means that the system uses time slots for synchronization in a manner
similar to a GSM system. In a ReFLEX system, the base timeslot is a 1.875 second
time slice, referred to as a frame. The data transceiver will wake up at the beginning
of a frame to listen to the channel and determine if there is a message in that frame
intended for that data transceiver.
In order to provide a lower average current, a method has been developed which
allows the receiver to be powered off for portions of time. A parameter named
Battery Save Cycle or Frame Collapse is provided which determines how often the
data transceiver has its receiver powered up. The data transceiver will power up
its receiver every (1.875 * (2 Collapse)) seconds. For example, if the collapse is set to
3, then the data transceiver will power up its receiver every 8 frames or 15 seconds
to look for a message. Each time the receiver is powered up, the RX_Active signal
is activated. When the receiver is subsequently powered down, the RX_Active signal
is correspondingly deactivated.

4-12 July 23, 2002
Hardware Integration CreataLink2 XT Hardware Integrator’s Guide
Host Interface
There are two scenarios resulting from the use of the battery save cycle. See Figure
4-10 illustrating the state of the RX_Active signal and receiver powerup state.
Scenario 1:
The data transceiver powers up its receiver and there is no message being delivered.
In this case, the receiver will only be powered up for a small part of the entire frame.
Scenario 2:
The data transceiver powers up its receiver and a message is being delivered. In
this case, the receiver is left powered up long enough to receive the message.
A third, but unrelated, scenario which causes the receiver to be powered up is the
initiation of a transmission. The ReFLEX protocol requires that the data transceiver
be receiving at the start of the frame where a transmission will occur to ensure
synchronization to the system before it transmits. In this case, even if the data
transceiver is operating with a collapse of 3 where the data transceiver only wakes
up every 8 frames, the receiver will be powered up before a transmission.
The behavior of the TX_ACTIVE line is similar. When the data transceiver is
actively transmitting a message, the TX_Active signal is activated. When the
transmission subsequently completes, the TX_Active signal is deactivated.
Figure 4-10. Behavior of Receiver Active Line. Assumes collapse is 1 (Wake up every other frame)
Frame 1 Frame 2 Frame 3 Frame 4
Behavior of Receiver Active line. Assumes collapse is
Scenario 1-Wake up, Look for message, and go back to sleep
Scenario 2. Wake up, Receive message in Frame 1, and go back to
sleep
RX_Active
RX_Active

July 23, 2002 4-13
CreataLink2 XT Hardware Integrator’s Guide Hardware Integration
Host Interface
Since the data transceiver must power up the receiver to synchronize before a
transmission, in all cases where a message is either received (and must be
acknowledged) or transmitted (and an acknowledgement will be received), there
will be a pairing of RX_Active and TX_Active signal activations. The amount of time
that the signals are active is dependent upon the amount of data transmitted. It is
possible for the data transceiver to both receive a message and transmit within the
same frame.
For most transmissions, the data transceiver must first transmit a system message
indicating a need to transmit to the system. The system will return a system
message to the data transceiver indicating in what frame and timing to begin its
transmission. Therefore, there will be a series of RX_Active and TX_Active
activations and deactivations when a message is being transmitted by the data
transceiver.
For messages transmitted using the TransmitShort CLP command or Transmit
Aloha Packet API call, the data transceiver is not required to obtain transmission
timing information from the system and can schedule its own transmission. In this
case, there will be a single RX_Active and TX_Active activation and deactivation.

4-14 July 23, 2002
Hardware Integration CreataLink2 XT Hardware Integrator’s Guide
Host Interface
Some possible combination RX_Active/TX_Active scenarios are shown in Figure
4-11.
Figure 4-11. Assumes collapse is 1 (Wake up every other frame)
Frame 1 Frame 2 Frame 3 Frame 4
RX_Active
TX_Active
Scenario 1. Receiver wakes up and synchronizes to forward channel, and then
transmits in a frame where the receiver normally powers up
RX_Active
TX_Active
Scenario 2. Receiver wakes up and synchronizes to forward channel, and then
transmits in a frame where the receiver is normally powered down.
RX_Active
TX_Active
Scenario 3. Receiver wakes up and synchronizes to forward channel, receives a
message, and then transmits an acknoledgement in that frame.

July 23, 2002 4-15
CreataLink2 XT Hardware Integrator’s Guide Hardware Integration
Host Interface
JTAG Communication Port
Table 4-2 shows a cross-reference between the signal names and the corresponding
pin numbers on the data transceiver’s 8-pin JTAG connector.
8- and 22-pin mating connector part numbers are listed in "Part Numbers".
Table 4-2. 8-Pin Vertical Header Connector Pin Signals
Pin
Number Signal Name Description
1B++ ICE power source
2TMP1 Mode select
3ARM_TDI JTAG Data in
4ARM_TRST JTAG reset
5ARM_TCK JTAG clock
6GND3 Ground
7ARM_TDO JTAG Data out
8ARM_TMS JTAG I/O

4-16 July 23, 2002
Hardware Integration CreataLink2 XT Hardware Integrator’s Guide
Host Interface
Power Connection
The host must provide power to the data transceiver as follows.
NUF3902: 5 Vdc to 12 Vdc
NUF8006: 5 Vdc to 16 Vdc. For NUF8006 current usage, see Table 2-3 and Figures
2-3 through 2-5.
The numbers above reflect only the normal operating currents for the NUF3902
and NUF8006 CreataLink2 XT devices. If the parallel I/O port and RS-232 port are
to be used, the current draw due to these circuits must be included.
• The I/O port consists of six input/open collector outputs, and two input/driven
output lines. Worst case current occurs when the open collector lines are
configured as outputs and are driven low, while the driven outputs are driven
high. Each open collector output is capable of sinking 25 mA. Each driven out-
put is capable of sourcing 350 mA. Assuming these worst case values, an addi-
tional (6 * 25) + (2 * 350) = 850 mA is possible.
• RS-232 communication requires 3-4 mA of supply current when valid RS-232
signal levels are present. There are two methods to eliminate this current.
1. Use TTL voltage levels, and connect to pin 3 and pin 7 of the 22-pin connector.
2. Or, if RS-232 communication is a requirement, disable the host system’s
RS-232 transmitter when serial communication is inactive.
You must consider these specifications when you design the power supply. The
above scenario is a worst-case. Current usage varies based on operating modes and
I/O configuration.
You can adjust average current by selecting a custom battery save cycle option.
➧All values in Tables 4-3 and 4-4 are approximate.
Table 4-3. NUF3902 Current Usagea
a. CreataLink2 XT device operating currents only. I/O and
RS-232 currents must be added in to determine worst
case values.
Current Transmit Receive Sleep
Typical 1150 mA 65 mA 3-4 mA
Maximum 1400 mA 90 mA 5 mA
Table 4-4. NUF3902 Transmit Output versus Supply Current
TX Power 0.5 W 0.75W 1.0W 1.5W 2.0W
Supply Current 0.61A 0.71A 0.81A 1.01A 1.17A

July 23, 2002 4-17
CreataLink2 XT Hardware Integrator’s Guide Hardware Integration
Power Management
Power Management
Make power and ground electrical connections via the 22-pin connector. Minimize
cable length to limit the voltage drop across the cable during RF transmissions.
The host must provide continuous dc power to the data transceiver. It resets if the
power source is interrupted. The data transceiver uses the built-in power-saving
capability of the ReFLEX protocol that enables it to spend the majority of the time
in the sleep mode.
States of Operation
The host power supply provides source current to the data transceiver. There are
four data transceiver power consumption states:
• Off—The data transceiver is off, or the host-supplied power has failed.
• Sleep—The processor is sleeping and wakes up to an interrupt, but the RF sec-
tion is off.
• Receive— The processor is actively processing information. The RF sections
are on and demodulating data.
• Transmit—The processor is actively processing information. The RF sections
are on and transmitting data.
The data transceiver automatically powers up and enters the sleep or receive state
when supply voltage is applied.
Power Profile
Network Configuration System/Data Transceiver
Battery-Save Cycle
Both the network configuration and the data transceiver configuration affect the
percentage of time the CreataLink2 XT device spends in the sleep and receive states.
In a two-way paging network, the battery-save cycle is a configuration parameter
stored in the data transceiver and defined for the overall system.
Assume the system battery-save cycle parameter is ‘n’ and the data transceiver
battery-save cycle parameter is ‘m’. The data transceiver typically wakes up to
receive messages every 2m frames, where a frame takes place every 1.875 seconds,
and the network schedules transmissions to the data transceiver at the times when
it is awake to receive.
In situations where the outbound network loading is such that data transceivers
are required to be awake more often, the system can dynamically modify data
transceiver behavior. It can broadcast a system battery-save cycle that causes all
data transceivers to wake up for the lesser of every 2n frames or every 2m frames.
For example, if the mode battery-save cycle parameter is 3 and the system battery-
save cycle parameter is 7, then the data transceiver would wake up every 23, or 8
frames, and then revert to a sleep state. If the network determines that all data
transceivers on the network need to be awake more often, the network could
broadcast a system battery-save cycle parameter of 1. All pagers would respond by
waking up every 21, or 2, frames to receive data. Once the system loading was
reduced, the network could broadcast a system battery-save cycle parameter of 7,
and the data transceivers would react by falling back to their own internal battery-

4-18 July 23, 2002
Hardware Integration CreataLink2 XT Hardware Integrator’s Guide
Power Management
save cycle parameter. Consult your network provider to determine current network
parameters.
During frames when the CreataLink2 XT device is in receive mode, the receiver
only stays powered through part of the frame, unless the frame contains a message
for the CreataLink2 XT device.
Message Traffic Model
The message traffic model defines the number of messages transmitted and
received, and the average length of the messages sent and received in a given work
day. A dispatch application might have a message traffic model as follows:
• Messages transmitted in 8-hour day = 5
• Average length of transmission = 1 kbytes to 2 kbytes
• Messages received in 8-hour day = 10
• Average length of received message = 100 bytes to 200 bytes
This analysis of message traffic provides the power consumption profile assessment
in terms of percentage of total time spent transmitting, receiving, and sleeping.
Use of Information Services
Some applications, such as a stock quotation broadcast service, require the use of
information services carried to the data transceiver via additional addresses (IDs).
Each active service address, in addition to the data transceiver factory-loaded
personal address, increases the percentage of time the data transceiver stays in the
receive state, and increases the overall current consumption. However, this
addressing type provides a method by which to address a group of CreataLink2 XT
devices.
Backup Battery Power/Transmitter Power
The undervoltage reset circuit of CreataLink2 XT device senses a low voltage
condition almost instantaneously. In an undervoltage condition, the data
transceiver is reset, and all information in RAM is lost, including any unread
messages or pending message transmissions. A backup battery connected across
pins 5 and 6 of the 22-pin connector can prevent this loss. For RAM backup only,
this voltage is required to be at least 3 Vdc and a maximum of 9 Vdc.
In addition, you can connect pins 5 and 6 to a power source for use during RF
transmissions and while receiving. If these pins are to be used for this purpose, then
the requirements for the voltage on this pin change. For RF transmissions to occur
reliably, a voltage in the range of 5 Vdc minimum to 9 Vdc maximum must be
applied. This power source will be required to source as much as 1.4A during RF
transmissions.

July 23, 2002 4-19
CreataLink2 XT Hardware Integrator’s Guide Hardware Integration
Power Management
Power Supply Circuit Details
You are responsible for supplying power to the data transceiver. Certain
specifications must be met to ensure proper operation.
The data transceiver accepts the following range of power supply voltages applied
to pin 1 (Supply) of the 22-pin connector:
NUF3902: 5 Vdc to 12 Vdc
NUF8006: 5 Vdc to 16 Vdc
The following additional specifications must also be met (see Table 4-5, Figure 4-1,
and Figure 4-2).
The voltage range described in Table 4-5 is available in the integrator’s host system
in most applications. If the voltage is not available, use a regulator to ensure that
the supply voltage is 5 Vdc. Select the regulator based on the input voltage and
current-sourcing capabilities.
Switching regulators are efficient, but they introduce unwanted noise into the
system. If you use a switching regulator, the filtered output should meet the supply
ripple specification.
Linear regulators supply a clean dc voltage but are inefficient. It is your choice
whether to use a linear or switching regulator.
Shutdown Procedures
If the host application turns the data transceiver off for any period of time,
SmartSynch, Inc. recommends that you send a reverse path message to the
application host or server indicating that the data transceiver is no longer available.
This prevents a failed message from being sent to a data transceiver that is powered
down. At power-up, send a message to the application server indicating that the
data transceiver is ready to receive messages.
Table 4-5. Power Supply Specifications
Item NUF3902 NUF8006
Supply ripple–Vpp 100 mV peak-to-peak maximum up to 5 MHz
Open circuit voltage–Voc 12 Vdc maximum 16 Vdc maximum
Rise time 500 µs or less (from 80 mA to 1400 mA)
Minimum voltage and current 5Vdc at 1.4A (without driven output current)
➧A linear regulator is easier to integrate because of the quiet output.

4-20 July 23, 2002
Hardware Integration CreataLink2 XT Hardware Integrator’s Guide
Antenna Systems
Resetting the Data Transceiver
There are three ways to reset the data transceiver:
• Remove and reapply power
• Issue the Set Power CLP command to the ON state. This results in a software-
generated reset (see Communication Linking Protocol Reference Manual)
or use the equivalent API call for on-board/embedded applications.
•Use the RESET_ENABLE and EXT_RESET pins on the 22-pin connector (first set
RESET_ENABLE/pin 9 high, then set EXT_RESET/pin10 low). After reset, set the
pins back to their original state, or the device will remain in reset.
Antenna Systems
This chapter describes how to select an antenna and incorporate it into a product
package. It is not within the scope of this document to include answers to questions
for every possible application. SmartSynch, Inc. recommends that you consult an
antenna design engineer to address individual application concerns.
Antenna Safety
When you design the antenna for a product that integrates the CreataLink2 XT
device, adhere to the following American National Standards Institute (ANSI)
safety criterion:
The design of the integrated product must be such that the location used
and other particulars of the antenna comply with the then current
American National Standards Institute (ANSI) Guidelines concerning
radio frequency energy exposure and with any other nationally
recognized radio frequency standards that may be applicable thereto.
Antenna Selection Criteria
Be aware of the fact that antenna selection, mounting, and location has a major
impact on communication performance. Bad antenna selection, mounting, or
location can result in very poor system communication performance.
The following are guidelines for good antenna selection:
It is not recommended to use a high gain antenna for two reasons:
1. The Base Station transmitter and Base Station receiver are not collocated.
They may be in opposite directions.
2. By using a high gain antenna, you may be exceeding the FCC radiated
emissions limits.
Frequency range 896 MHz to 942 MHz band minimum
Polarization Vertical
Gain 0 dBi to +3 dBi
Normal Impedance 50 ohm
VSWR 1.75:1 maximum in the specified frequency range
It is recommended to use an antenna with a ground plane.

July 23, 2002 4-21
CreataLink2 XT Hardware Integrator’s Guide Hardware Integration
Antenna Systems
Antenna Mounting 1. It is not recommended to connect the antenna directly to the CreataLink2 XT.
2. Connect the antenna to the CreataLink2 XT using RG58/U coax cable (or
equivalent) of at least 3 feet in length.
3. Do not mount the antenna in close proximity to other antennas. Try to stay as
far away as practically possible. Separation of antennas must be at least three
feet. It is recommended to mount different antennas one above the other rather
than one besides the other. Coupling between vertically polarized antennas is
minimal in the vertical direction.
4. For fixed wireless outdoor applications, mount the antenna as high as practi-
cally possible. Stay away from objects, especially metal objects.
5. For fixed wireless indoor applications, you must search for the best location.
As a general rule of thumb, mount the antenna four feet above the floor. Stay
away from walls, and try to mount the antenna in front of an external window.
6. For vehicular applications, you must purchase an antenna that is designed to
be mounted in vehicles and meet the specific requirements listed in the
Antenna Selection Criteria. Follow the antenna manufacturer’s instructions
for antenna mounting.
Antenna Location
Finding the best location for the antenna is critical for overall system success. It is
especially critical in indoor application. You must search and find the best antenna
location that will result in successful communication.
Antenna Test Methods
The antenna performance must meet the impedance and match the criteria of the
data transceiver specification, and have the gain to meet the network ERP
requirements.
Perform the following two antenna tests to ensure the antenna meets requirements.
Integrate the antenna in its final form for both tests:
Impedance Match Test
Measure and verify that the nominal impedance and resulting VSWR, or return
loss, are within specifications (See Table 2-6).
Gain Test
Measure the gain with a test facility to ensure the ERP and pattern ripple are
acceptable. Pattern ripple is the gain deviation measured in a 360 degree polar plot.
A typical polar plot is shown (see Figure 4-12). The antenna could have 3 dB gain
in one direction and zero gain in another. If the average gain is 1.5 dB, the ripple
is +/- 1.5 dB. Ripple is the measure of uniformity of gain. Most networks specify a
nominal gain and an allowable ripple.

4-22 July 23, 2002
Hardware Integration CreataLink2 XT Hardware Integrator’s Guide
Antenna Systems
805SRH-34
Figure 4-12. Polar Plot Graphic
0
-1
-2
-3
-4
-5
-4
-3
-2
-1
0
805SRH-24

July 23, 2002 4-23
CreataLink2 XT Hardware Integrator’s Guide Hardware Integration
Hardware Recommendations
Hardware Recommendations
An optional external antenna is available from SmartSynch, Inc. (see Table 6-1), or
the customer can supply the external antenna. The specifications for this
SmartSynch external antenna are listed in Table 4-6.
Antenna Connector
The data transceiver connector is a standard female SMA connector. The mating
connector should be a standard male SMA connector.
Antenna Cable Assemblies
A variety of coaxial cable types can be used with standard male SMA connectors.
Use a double-shielded coaxial cable in noisy RF environments to provide the
necessary isolation from interference. In applications that require more than six
feet of coaxial cable, use a low loss coaxial cable.
Antenna Assemblies
The SmartSynch, Inc. external antenna assembly is a low-profile, omnidirectional
antenna that has six feet of double-shielded coaxial cable and a male SMA
connector. The antenna performs best with an additional ground plane
approximately eight inches in diameter, with the antenna centered.
Table 4-6. External Antenna Specifications
Property Description
Type Low profile with radome
Transmit frequency 896–902 MHz
Receive frequency 929–941 MHz
Impedance 50 ohms nominal
VSWR 1.5:1 maximum
Polarization Linear, vertical
Gain 0 dBi
Maximum power 5 watts continuous
Coaxial cable 6-foot long RG58/U, with SMA male
connector

4-24 July 23, 2002
Hardware Integration CreataLink2 XT Hardware Integrator’s Guide
Hardware Recommendations
Antenna Dealers
Recommended antenna dealers are listed in Table 4-7.
Table 4-7. Antenna Dealers
Dealer Phone Number
Micro Pulse, Inc (805) 389-3446
Northpoint Communication Products, Inc. (919) 403-8598
Larsen Electronics, Inc. (800) 426-1656
Centurion International, Inc. (800) 228-4563

July 23, 2002 4-25
CreataLink2 XT Hardware Integrator’s Guide Hardware Integration
Battery Selection Criteria
Battery Selection Criteria
This chapter provides an overview of the current state of available battery
technologies, and some considerations for applying battery technology to a packet
data product. Use batteries only if line power is unavailable.
Select a battery, based on the following factors:
•Cell size
• Internal impedance
• Charging requirements
• Susceptibility to common battery phenomena, such as memory effect or
overcharging
Available Technologies
The four prevailing battery technologies are:
• Nickel-Cadmium (NiCd)
• Nickel-Metal-Hydride (NiMH)
• Lithium Ion (Li-ion)
•Lead-Acid
Nickel-Cadmium
NiCd characteristics are as follows:
• Most mature technology
• Lower energy density (energy/volume) than NiMH or Li-ion
• Available in all cell sizes, including AA, 2/3A, 4/5A, A, 4/3A. This represents
the largest number of packaging options.
• Exhibits a memory effect when not discharged below the lower extent of its
operating voltage. The memory effect reduces the usable capacity of each
battery cell.
• Internal impedance of 25-30 mΩ for each 1.2V cell
• Cell voltages are 1.2V, with multiple cells used to obtain higher operating
voltages.
• Can withstand high current pulses that are characteristic of packet data
applications
• Typical charge method is -∆V (known as negative delta voltage). Negative delta
voltage means charging the battery while waiting for the battery voltage to
peak and enter a slight overcharge condition, where the voltage actually begins
to decrease prior to terminating battery charging. NiCd is the most robust
battery technology available today for non-vehicular applications. NiCd
withstands overcharging, over-discharging, and harsh environments with
reasonable resilience.
• Raw battery cells or battery packs can be purchased from suppliers.
• Typical operating temperature range is –20° C to +50° C
Nickel-Metal-Hydride
NiMH characteristics are as follows:
• Reasonably mature technology with potential for improvements in battery
chemistry and energy density during the next five years
• Higher energy density than NiCd, but lower than Li-ion
• Available in standard sizes AA, 2/3A, 4/5A, A and 4/3A and some prismatic
(rectangular) configurations

4-26 July 23, 2002
Hardware Integration CreataLink2 XT Hardware Integrator’s Guide
Battery Selection Criteria
• Exhibits the memory effect in a manner similar to NiCd technology, but at a
less pronounced level
• Internal impedance of 35–49 mΩ for each 1.2V cell
• Typical cell voltages are 1.2V, with multiple cells used to obtain higher
operating voltages.
• Earlier NiMH battery chemistry was damaged by high current discharge
pulses. This problem has been eliminated in recent battery chemistry. When
purchasing batteries of this type, determine if high current pulse discharging
is a concern.
• Typical charge method is dT/dt, where T is temperature. As the battery
reaches full charge, any further energy dissipates as heat. A temperature
threshold terminates the charge cycle in conjunction with voltage monitoring.
NiMH is more sensitive to overcharging that NiCD and exhibits decreased
capacity if repeatedly overcharged.
• Raw battery cells or battery packs can be purchased from suppliers.
• Typical operating temperature range is –10° C to +50° C.
Lithium-Ion
Li-ion characteristics are as follows:
• Less mature technology
• Higher energy density than either NiCd or NiMH
• Most suppliers do not sell cells, but force customers into particular solutions
through their battery pack designs. Due to cell lead times, purchasing cells to
design a battery pack could be a problem.
• Li-ion does not exhibit the memory effect and is not affected by partial dis-
charging charging cycles.
• Internal impedance of 100–150 mΩ for each 3.6V cell. Li-ion batteries are sus-
ceptible to damage due to over-discharge and high current pulses.
Manufacturers recommend adding a protection circuit to battery pack designs.
The resultant internal impedance of a battery pack with protection circuitry
can reach the 500 mΩ level.
• Typical cell voltages are 3.6V with multiple cells used to obtain higher
operating voltages.
• Li-ion batteries are very sensitive to over discharge and represent a hazard if
not properly designed with protection circuitry.
• Typical charge method is constant voltage, constant current.
• Typical operating temperature range is –10° C to +50° C
Lead-Acid
Lead-Acid characteristics are as follows:
• Very mature technology
• Low energy density
• Standard cells are available, but not in flashlight sizes
• No memory effect
• Internal impedance of 10-20 mΩ per 2V cell
• Typical cell voltages are 2.0 Vdc with multiple cells used to obtain higher
operating voltages.
• Typical charge method is to use a C/100 current source continuously on.
• Raw battery cells or packs are available.
• Typical operating temperature range is –30° C to +60° C.

July 23, 2002 4-27
CreataLink2 XT Hardware Integrator’s Guide Hardware Integration
Battery Selection Criteria
Applying Battery Technologies
Review the following characteristics of packet data products when you consider
different battery technologies:
Inconsistent Current Drain
When battery manufacturers specify the battery discharge profiles, they assume a
constant current drain model. In a packet data system, the constant current drain
model no longer applies. There are three levels of current drain states: sleep, receive,
and transmit. The data transceiver cycles through these different states when
powered and in contact with the network.
To determine the realistic battery life or capacity for the product, contact the battery
manufacturer or experiment by transmitting for different lengths of time.
Peak Currents During Transmissions
Because transmissions are short, view the resulting current drain during
transmissions as current pulses. Consider these pulses when you select the
appropriate battery technology.
Consider the internal impedance of the battery at the peak currents during
transmissions. This is when the largest voltage drop occurs across the battery
terminals. Design an adequate supply guard band to ensure that the data
transceiver and other circuitry in the final product are not reset during
transmissions.
Messaging Model
To determine the product battery capacity, define the messaging model for the
target market:
• Optimal number of hours by day, weeks, or months of use prior to recharge
• Number of messages transmitted per hour
• Number of messages received per hour
• Average length of transmitted messages
Use the information and the current drains of the data transceiver and other
circuitry to define the requirements for battery supply voltage and capacity.

4-28 July 23, 2002
Hardware Integration CreataLink2 XT Hardware Integrator’s Guide
Battery Selection Criteria

TESTING

June 18, 2002 5-i
CreataLink2 XT Hardware Integrator’s Guide Testing
Contents
Contents
Hardware Integration . . . . . . . . . . . . . . . . . . . . . . . . . . . . . . . . . . . . . . . . . . . . . . . . . . . . . . . . . . . . . . . . . . . . . . . . . . . . . . . .5-1
Equipment . . . . . . . . . . . . . . . . . . . . . . . . . . . . . . . . . . . . . . . . . . . . . . . . . . . . . . . . . . . . . . . . . . . . . . . . . . . . . . . . .5-1
Enabler Functions . . . . . . . . . . . . . . . . . . . . . . . . . . . . . . . . . . . . . . . . . . . . . . . . . . . . . . . . . . . . . . . . . . . . . . . . . . .5-1
Specific Tests . . . . . . . . . . . . . . . . . . . . . . . . . . . . . . . . . . . . . . . . . . . . . . . . . . . . . . . . . . . . . . . . . . . . . . . . . . . . . . .5-1
Desense and EMI . . . . . . . . . . . . . . . . . . . . . . . . . . . . . . . . . . . . . . . . . . . . . . . . . . . . . . . . . . . . . . . . . . . . . . . . . . . .5-2
Application Software . . . . . . . . . . . . . . . . . . . . . . . . . . . . . . . . . . . . . . . . . . . . . . . . . . . . . . . . . . . . . . . . . . . . . . . . . . . . . . . .5-3
Software Driver Configuration . . . . . . . . . . . . . . . . . . . . . . . . . . . . . . . . . . . . . . . . . . . . . . . . . . . . . . . . . . . . . . . . .5-3
Network Configuration . . . . . . . . . . . . . . . . . . . . . . . . . . . . . . . . . . . . . . . . . . . . . . . . . . . . . . . . . . . . . . . . . . . . . . .5-3
Final Assembly . . . . . . . . . . . . . . . . . . . . . . . . . . . . . . . . . . . . . . . . . . . . . . . . . . . . . . . . . . . . . . . . . . . . . . . . . . . . . . . . . . . . .5-4
Installation . . . . . . . . . . . . . . . . . . . . . . . . . . . . . . . . . . . . . . . . . . . . . . . . . . . . . . . . . . . . . . . . . . . . . . . . . . . . . . . . . . . . . . . .5-5
Installation Overview . . . . . . . . . . . . . . . . . . . . . . . . . . . . . . . . . . . . . . . . . . . . . . . . . . . . . . . . . . . . . . . . . . . . . . . .5-5
Required Tools and Equipment . . . . . . . . . . . . . . . . . . . . . . . . . . . . . . . . . . . . . . . . . . . . . . . . . . . . . . . . . . . . . . . . .5-5
Installation Procedures . . . . . . . . . . . . . . . . . . . . . . . . . . . . . . . . . . . . . . . . . . . . . . . . . . . . . . . . . . . . . . . . . . . . . . .5-6
Troubleshooting . . . . . . . . . . . . . . . . . . . . . . . . . . . . . . . . . . . . . . . . . . . . . . . . . . . . . . . . . . . . . . . . . . . . . . . . . . . . . . . . . . . .5-9
End User Problem Resolution . . . . . . . . . . . . . . . . . . . . . . . . . . . . . . . . . . . . . . . . . . . . . . . . . . . . . . . . . . . . . . . . . . . . . . .5-10
Service Depot Repair . . . . . . . . . . . . . . . . . . . . . . . . . . . . . . . . . . . . . . . . . . . . . . . . . . . . . . . . . . . . . . . . . . . . . . . . . . . . . . .5-11
Screening . . . . . . . . . . . . . . . . . . . . . . . . . . . . . . . . . . . . . . . . . . . . . . . . . . . . . . . . . . . . . . . . . . . . . . . . . . . . . . . . .5-11
91B
5Testing

5-ii June 18, 2002
Testing CreataLink2 XT Hardware Integrator’s Guide
Contents

July 23, 2002 5-1
CreataLink2 XT Hardware Integrator’s Guide Testing
Hardware Integration
Hardware Integration
Follow relevant engineering standards, requirements, and specifications to ensure
a proper integration effort. Functional tests performed during development validate
that the integrated product performs as designed.
Equipment
Table 5-1 shows the equipment needed to test the data transceiver.
Enabler Functions
To test the interaction between the data transceiver and host, include the following
features:
• The capability to turn on and off the various host hardware components. This
capability helps to isolate possible desense and other emissions problems.
• The capability to pass information through the host between the data
transceiver and the test platform. This enables external programming and
configuration software to communicate with the data transceiver while
integrated with the host. For microprocessor-based products, accomplish
pass-through mode via software emulation that involves the host processor,
and passes full-duplex serial port information to and from the integrated data
transceiver.
Specific Tests
In addition to various tests that exercise your own circuitry (such as power-on
self-test), you must design tests that ensure proper interaction between the data
transceiver and the host. The following require evaluation:
• RF immunity—Ensure the RF transmissions of the data transceiver do not
interfere with operation of the host.
• Electrical signaling—Ensure the power sources and interface are functionally
compatible between the host and the data transceiver.
• Physical parameters—Ensure the physical configuration of the data
transceiver provides adequate ventilation, mounting, shielding, and grounding.
Table 5-1. Recommended Test Equipment
Item Part Number/Description Source
Communication
analyzer
HP 8920A or HP 8921A with option 01
(high stability time-base oscillator) for
taking test measurements Commercial Item
Spectrum analyzer 2.9 GHz capability Commercial Item
Protocol analyzer HP 4959 or equivalent Commercial Item
PC 486DX66 or equivalent with 9-pin serial
port Commercial Item
Power supply HP E3610A Commercial Item
Oscilloscope 500 MHz, digital storage Commercial Item
Digital multimeter Standard range Commercial Item
5Testing

5-2 July 23, 2002
Testing CreataLink2 XT Hardware Integrator’s Guide
Hardware Integration
• Antenna performance—Ensure the integrated antenna system meets the
required ERP specifications, VSWR specifications, and antenna propagation
patterns.
• ESD requirements—Ensure the host design protects the data transceiver from
electrostatic discharge.
• RF Re-radiation—Ensure the host does not allow spurious emissions in excess
of 60 dBc, caused by carrier re-radiation.
Desense and EMI
Any device with which the data transceiver integrates can generate enough EMI to
reduce the ability of the data transceiver to receive at certain frequencies.
The ability to turn on and turn off various circuits in the data receiving device
provides identification and analysis of the components that cause desense. This
approach to desense troubleshooting can shorten the integration effort. It is critical
that you consider the data transceiver shielding early in the design phase.

July 23, 2002 5-3
CreataLink2 XT Hardware Integrator’s Guide Testing
Application Software
Application Software
The data transceiver resides between the application and the network. Tests need
to verify the communications links between an external host and the data
transceiver and between the data transceiver and the network.
Software Driver Configuration
This test verifies that the driver software and configuration are such that the
external host and data transceiver serial port can communicate with each other.
Network Configuration
Determine if the application can use the data transceiver to communicate with a
two-way paging network. This test uses existing network software to communicate
with a specific network.
To ensure that the final application is able to respond correctly under all adverse
network conditions, the application software needs systematic testing against all
possible failure and exception conditions. Low battery, out of range, host down,
unexpected data, maximum message size, and maximum peak/sustained
throughput must not cause the host application to fail. Each condition must have
a specific remedial action.

5-4 July 23, 2002
Testing CreataLink2 XT Hardware Integrator’s Guide
Final Assembly
Final Assembly
Before any product is shipped, a final assembly test should be performed to ensure
that all components are working properly and have been checked for loose
connections and proper software load. In this test, the data transceiver sends and
receives messages to itself or another data transceiver or two-way pager of the size
used in the application. Successful return of the message demonstrates that the
product is able to transmit and receive correctly.

July 23, 2002 5-5
CreataLink2 XT Hardware Integrator’s Guide Testing
Installation
Installation
This chapter describes how to install the CreataLink2 XT device. Procedures are
for basic external antenna installation.
Installation Overview
The data transceiver is a small, easy-to-operate product that requires comparatively
little space. Installation requires common tools and equipment (see Table 5-2). A
dimensional drawing is provided (see Figure 5-1).
• Mount the unit in an area that is as free of EMI as possible; away from noisy
digital supplies and controllers. Do not mount the unit near metallic objects, or
where it would be subjected to constant vibration.
• Ensure that the voltage supply is well-regulated; free from excessive ripple and
voltage spikes. The ripple specification is 100 mV peak-to-peak up to 5 MHz.
The voltage supply should not drop below 5V for transmit/receive capability.
• Mount the external antenna in such a way as to prevent people coming within
twelve inches of it, per FCC RF hazard regulations.
Required Tools and Equipment
The tools and equipment required for installation are listed in Table 5-2.
GFollow the installation procedure and guidelines as specified. Failure to follow directions could
cause the unit to function improperly and/or cause the unit to become non-compliant with
FCC regulations.
Table 5-2. Tools and Equipment List
Item Type Purpose/Use
Drill and Bit
Drill with .138-inch (#28)
drill bit To drill holes in mounting surface for data transceiver.
1/2-inch drill bit To drill holes for external antenna (PTAF1001A).
Mounting
Standoffs
4 Richco Standoffs p/n
SCBSM-3-01 and nuts p/n
HN6-32-01 (or some other
standoff to mount in
0.128- inch PCB holes).
To connect data transceiver to mounting surface.
End-user can design a different mounting scheme for
integrating PCB assembly into the end product.
Wrench 3/4-inch open-end To tighten optional external antenna mounting nut to
antenna.
Template Provided To mark mounting surface for data transceiver locating
holes (see Figure 5-1).

5-6 July 23, 2002
Testing CreataLink2 XT Hardware Integrator’s Guide
Installation
Installation Procedures
Ensure that there is no door opening and closing interference before you mount the
CreataLink2 XT device, if applicable.
Mounting
Mount the data transceiver to a rigid, flat surface using 4 standoffs or customer-
developed enclosure appropriate for environment (i.e. maintaining temperature
around the board assembly to -40 deg. C to +85 deg. C and ensuring that
condensation, and water/dust/salt fog intrusion does not occur).
External Antenna Assembly
1. Select a mounting surface that is as high as possible, flat, clean, and at least
eight inches in diameter. For optimal antenna performance, the mounting
surface should be metal.
2. Drill a 1/2-inch hole in the center of the mounting surface.
Insert coaxial cable through the mounting surface hole until the external antenna
lies flush on the mounting surface.
3. Install the lockwasher and mounting nut. Tighten to a snug fit with a 3/4-inch
wrench. Do not overtighten.
CreataLink2 XT Data Transceiver Installation
Mount the CreataLink2 XT device using the following steps or develop your own
enclosure appropriate for the end-use environment.
1. Use the dimensions given in Figure 5-1 (1.457 inches and 3.464 inches) to mark
the mounting location. All the dimensions in Figure 5-1 are in inches.
2. Drill four 0.138-inch (#28 drill bit) mounting holes.
3. Position the CreataLink2 XT data transceiver and install the Richco Standoffs
(or other equivalent standoffs to be inserted into the 0.128-inch PCB holes). Do
not overtighten the hex nuts.
➧Drill the mounting surface hole close enough to the data transceiver location so that
the cable can reach it.
GDo not cut coaxial cable. Changing the length could degrade antenna performance.

July 23, 2002 5-7
CreataLink2 XT Hardware Integrator’s Guide Testing
Installation
4. Connect the coaxial antenna cable to the data transceiver SMA connector.
Tighten the cable connector at 4-8 in-lbs. of torque (i.e. finger-tight only)
(see Figure 2-6).
Power, and Serial Cable Connection
5. Connect the cables and the power supply to the CreataLink2 XT board
assembly for end-use (see Top of Figure 2-6).
000162-O
Figure 5-1. Dimensional Drawing
GSeat the SMA mating connector properly. Overtightening the connector could cause permanent
damage to the data transceiver.
1.748
1.457
0.724
0.145
0.023
1.277
3.464
3.740
0.138
0.386
0.302
0.066
0.252
0.382
0.128
0.049
Pin 2
Pin 1

5-8 July 23, 2002
Testing CreataLink2 XT Hardware Integrator’s Guide
Installation
Verifying the Installation
To verify that the data transceiver can receive and initiate messages, use the host
system built-in test mode if available. If a built-in test mode is not available, use a
palmtop or laptop computer with a test application to prompt the data transceiver
to initiate and read messages. Use the following protocols:
• The host system initiates a message directed to another two-way
communicator to verify network operation.
• The data transceiver initiates multiple messages to itself to verify the
capability to send and receive messages.
• Initiate messages from the internet, e-mail, or another two-way communicator
to the data transceiver.
➧Use a common ground between the CreataLink2 XT data transceiver power ground
and the host machine.

July 23, 2002 5-9
CreataLink2 XT Hardware Integrator’s Guide Testing
Troubleshooting
Troubleshooting
Before you perform detailed troubleshooting, check for faults in the external power
source, including fuses, circuit breakers, and interlocking safety switches
(see Table 5-3).
Table 5-3. Troubleshooting
Problem Fault Isolation
No power up
1. Check all interface cables for secure connections. Repair or replace as required.
2. Check 22-pin connector pin 1 for Supply voltage (NUF3902: 5-12 Vdc and
NUF8006: 5-16 Vdc).
No serial I/O
1. Check continuity of 22-pin connector at data transceiver connection.
2. Verify that the proper pins are being used for communication (pins 3 and 7 for TTL
and 4 and 8 for RS232)
3. Check to see that a null modem type connection is being used for Rx/Tx serial
communication
No transceiver over
the air (OTA)
communications
1. Check registration status using proper CLP protocol command.a
a. Refer to the Communication Linking Protocol Reference Manual listed in "Related Publications"
2. If not registered, check out-of-range status using proper CLP protocol command.a
3. Check connection at antenna and connection at the CreataLink2 XT data transceiver
SMA connector.
4. Make sure LED is blinking, indicating power
5. Check backup battery voltage/alternate power if used as transmit supply
6. Verify that your TX_SUPPLY in the codeplug is configured as desired

5-10 July 23, 2002
Testing CreataLink2 XT Hardware Integrator’s Guide
End User Problem Resolution
End User Problem Resolution
It is time-consuming and expensive to have a unit returned to the service depot
when a temporary network or host outage may have caused the problem. Is the
problem caused by the host application, data transceiver, network, configuration,
or user error? Design the application to identify the source of end-user problems.
This function can be designed with the guidance of SmartSynch, Inc. or the network
operator.
Tests need to provide a systematic, positive acknowledgment from each of the
network components:
• Data transceiver must be able to communicate with the external application
device. If so, it will respond to a properly formatted Get Configuration CLP
command.
• Data transceiver must be able to detect the network.
Issue a Get Status CLP command. If the status information indicates the unit is in
range, the data transceiver is detecting the system. For on-board applications, a
method of extracting service information must be provided.
• Data transceiver must be registered and allowed to operate on the network.
Auto-Registration is disabled (default). Transmit a short message to another pager.
Issue a Get Status CLP command and track the message progress until the message
is delivered or fails to be delivered.
Auto-Registration is enabled. Issue a Get Status CLP command. If the status
information indicates unit registration, the data transceiver can operate on the
network.
• The host application must be up and running.
Identify the cause of the problem in the field. This avoids having to send the device
to the service depot when the problem was not caused by the device. Design the
application so that the end user can identify the most likely cause of the problem,
and refer to a help desk for a quick solution.
➧At initial start-up, the data transceiver assumes that it is within range. It takes
approximately four minutes to determine that it is not within range.

July 23, 2002 5-11
CreataLink2 XT Hardware Integrator’s Guide Testing
Service Depot Repair
Service Depot Repair
This chapter describes tests that you can perform on a unit that is sent to you for
service. These tests were designed to help you determine the specific problem and
decide whether to send them to SmartSynch, Inc. for repair. An end-to-end or loop-
back test involves all elements of the network and the data transceiver.
Screening
Screening requires the following operational items:
• RS-232 cable/power supply
• PC or other device that supports the CLP
• A protocol analyzer to view communications between the data transceiver and
the external device
The objective is to test the suspect unit in a known, stable environment in which
all other components are known to be operational:
1. Connect the data transceiver to a PC or other device that supports the CLP,
and apply power.
2. Determine if there is a serial problem with the data transceiver:
• Issue the CLP Get Configuration command (see Communication
Linking Protocol Reference Manual for more information).
• The data transceiver responds to the command by sending a block of
configuration information.
• If the data transceiver does not respond, check cable connections, baud
(configurable), and word format (must be 8-bit, no parity).
• If not successful, the unit has a problem with the serial port.
3. Determine if the data transceiver detects the network:
• Wait approximately six minutes to allow the device time to acknowledge
the system and then issue the Get Status command (see
Communication Linking Protocol Reference Manual for more
information).
• The data transceiver responds with a block of status information. The
fourth byte of the status information is the out-of-range indicator. If this
location contains an ASCII 1, the unit is not detecting the system and is
out of range. This implies a problem with the receiver.
4. If the data transceiver detects the network, determine if the network detects
the data transceiver:
• The 17th byte of the status information is the registration information.
If this byte contains an ASCII 0, the unit is not registered. This indicates
a problem with the address programmed in the unit, the transmitter, or
the configuration of the unit information in the network database.
5. If the data transceiver and the network acknowledge each other it should be
possible to transmit and receive messages:
• Issue the Transmit Message CLP command, (see Communication
Linking Protocol Reference Manual for more information), with the
addressing information configured to send the message to the
CreataLink2 XT data transceiver initiating the message.
• Repeatedly issue the Get Status command, (see Communication
Linking Protocol Reference Manual for more information), until byte
2 of the status information returned by the data transceiver indicates
success (bit3-bit1 = 100), or failure (bit3-bit1 = 010).

5-12 July 23, 2002
Testing CreataLink2 XT Hardware Integrator’s Guide
Service Depot Repair
• If the message was successfully sent, the data transceiver should receive
the message. Bytes 13 and 14 of the status information returned by the
data transceiver is the number of non-downloaded messages. This
number increments as messages are received by the unit.
• Repeat this test several times to ensure messages are being sent and
received correctly. If the unit is successfully sending the messages, but
the messages are not received until the unit transmits another message
or resets, then there is a battery-save configuration problem.
• To retrieve the messages, issue the Download Delete CLP command (see
Communication Linking Protocol Reference Manual for more
information).

PARTS INFORMATION

June 18, 2002 6-i
CreataLink2 XT Hardware Integrator’s Guide Parts Information
Contents
Contents
Accessories and Options . . . . . . . . . . . . . . . . . . . . . . . . . . . . . . . . . . . . . . . . . . . . . . . . . . . . . . . . . . . . . . . . . . . . . . . . . . . 6-1
Connectors . . . . . . . . . . . . . . . . . . . . . . . . . . . . . . . . . . . . . . . . . . . . . . . . . . . . . . . . . . . . . . . . . . . . . . . . . . . . . . . . 6-2
91B
6Parts Information

6-ii June 18, 2002
Parts Information CreataLink2 XT Hardware Integrator’s Guide
Contents

July 23, 2002 6-1
CreataLink2 XT Hardware Integrator’s Guide Parts Information
Accessories and Options
Accessories and Options
Refer to the description and option number to obtain accessories information
(see Table 6-1). To order, please visit our website at www.smartsynch.com.
The CreataLink2 XT model numbers and configuration are shown in Table 6-2.
Table 6-1. Accessories and Options
Description Accessory Kit Number
External antenna PTAF1001A
Interface Board Assembly Kit MKLN4400A
Table 6-2. Model Numbers
Model Number Kit Number Description
J12GWS0552AE NUF3902 ReFLEX 50 CreataLink2 XT
J11GWS0552AE NUF8006 ReFLEX 25 CreataLink2 XT
6Parts Information

6-2 July 23, 2002
Parts Information CreataLink2 XT Hardware Integrator’s Guide
Accessories and Options
Connectors
Part numbers and specifications for mating connectors are listed in Table 6-3
and Table 6-4.
Table 6-3. 8 and 22-Pin Part Numbers and Specifications
Part Number Electrical Specifications
Molex P/N 87332-0806 Max rated @ 2A per contact
Molex P/N 87332-6022 Max rated @ 2A per contact
Table 6-4. 8 and 22-Pin Mating Connector Part Numbers
Part Number Electrical Specifications
Molex P/N 51110-0860
(Polarized 8-pin receptacle) Max rated @ 2A with 26 AWG wire
Molex P/N 51110-2251
(Polarized 22-pin receptacle)

APPENDIX A
Abbreviations and Acronyms

June 18, 2002 A-1
CreataLink2 XT Hardware Integrator’s Guide Appendix A
Abbreviations and Acronyms
Abbreviations and Acronyms
AAmpere(s)
ac Alternating Current
ACK Acknowledgment
ANSI American National Standards Institute
API Application Programmer Interface
ARM Advanced RISC Machine
BMO Basic Message Output
BMT Basic Message Transmit
bps Bits per second
CCelsius
CLP Communication Linking Protocol
CMOS Complementary Metal-Oxide Semiconductor
CPU Central Processing Unit
dB Decibel
dBc Decibels relative to carrier
dBd Decibels relative to dipole
dBi Decibels relative to isontropic antenna
dBm Decibels mean; levels relative to 1 mW
dc Direct Current
DCE Data Communications Equipment
Desense Loss of sensitivity due to high ambient noise
DTE Data Terminal Equipment
DVM Digital Volt Meter
EEPROM Electrically Erasable, Programmable Read-Only Memory
EIRP Effective radiated power relative to isotropic
EMI Electromagnetic Interference
ERP Effective Radiated Power
ESD Electrostatic Discharge
ESN Electronic Serial Number
FCC Federal Communications Commission (US)
FSK Frequency Shift Keying
FWA Fixed Wireless Application
GHz Gigahertz
GND Ground
GPS Global Positioning System
Host The computer platform
HP Hewlett-Packard
Hz Hertz
JTAG Joint Test Action Group
IC Integrated Circuit
ID Identification
I/O Input/Output
ICN Inventory Control Number
kbyte Kilobyte
kHz Kilohertz
kV Kilovolt
LAN Local Area Network
LCD Liquid Crystal Display
Li-ion Lithium Ion (battery technology)
LQ Location Query
mA milliampere(s)
MHz Megahertz
91B
AAppendix A

A-2 June 18, 2002
Appendix A CreataLink2 XT Hardware Integrator’s Guide
Abbreviations and Acronyms
NAK Negative Acknowledgment
NBPCS Narrow Band Personal Communications System
NiCad /
NiCd Nickel-Cadmium (battery technology)
NiMH Nickel-Metal-Hydride (battery technology)
NRZ Non-Return-to-Zero
OEM Original Equipment Manufacturer
PCB Printed Circuit Board
PIN Personal Identification Number
PPS Pager Programming Software
PC Personal Computer
RAM Random Access Memory
RF Radio Frequency
RFI Radio Frequency Interference
RGxxx Cabling designation number
RS-232 The EIA standard for a serial data interface
Rx Receive
SMA Sub-miniature connector
TTL Transistor-transistor logic
Tx Transmit
UAR Universal Asynchronous Receiver
UART Universal Asynchronous Receiver/Transmitter
Vdc Volts, direct current
VSWR Voltage Standing-Wave Ratio
WAN Wide Area Network

APPENDIX B
Desense Overview DEN

July 23, 2002 B-1
CreataLink2 XT Hardware Integrator’s Guide Appendix B
Desense Overview
Desense Overview
The CreataLink2 XT device is a board-level product. This discussion of desense is
included to ensure that integrators are aware of its effects.
This section details the following aspects of desense:
• Desense Defined
• Noise Sources
• Receiver Susceptibilities
• Measurement Techniques
• Preparing the Device under Test
• Performance Goals
• Radio Performance Capabilities
• FCC Part 15 Level Comparison
• Determining Emission Level Goals
• Prediction of Sources
• Desense Scenarios
• Methods of Controlling Emissions
• Shielding Approach
• Alternate EMI Reduction Methods
• Antenna
• Field Strengths from the Antenna
• Antenna Interactions
• Summary
Desense Defined
Receiver desensitization occurs when an unwanted signal is present in the receiver
at a frequency that causes interference (see Figure B-1). The sources can be difficult
to locate and difficult to correct. This noise desensitizes or lowers the sensitivity
threshold of the receiver.
BAppendix B

B-2 July 23, 2002
Appendix B CreataLink2 XT Hardware Integrator’s Guide
Desense Overview
The radio cannot differentiate between wanted and unwanted signals. In frequency-
modulated systems, the radio captures the strongest signal that the receiver
detects. If both a wanted and an unwanted signal are present, and there is no
significant difference in level, the unwanted signal can overtake the receiver, and
block the wanted signal.
Reliable reception occurs when you maintain a safety margin via co-channel
rejection. A typical co-channel rejection is 10 dB. That is, an interference signal
greater than 10 dB below the wanted signal would have little impact on the data
receiver data recovery.
Calculate the level of interference that creates desensitization as follows:
Desense Threshold = Radio receiver sensitivity [dBm] - Co-channel
rejection [dB] + Antenna Factor [dB]
The antenna factor is the ability of the antenna to convert free space
electromagnetic wave energy to power at the characteristic input impedance of
the receiver.
Any interference above this level can create desense, which reduces the radio
sensitivity for reception. Every 1 dB above the threshold level creates 1 dB
of desense.
A worst case scenario is a noise source at the same frequency as the channel center
frequency. This noise source is for any signal that falls within the channel band-
width of the radio receiver. Desense also occurs at IF down-conversion frequencies.
For the CreataLink2 data transceiver, the receiver bandwidth is 10 kHz; the first
IF is at 45.1 MHz, and the second IF is at 455 kHz. Oscillator frequencies are 16.8
MHz, 45.555 MHz, and at the channel frequency minus 45.1 MHz.
990005
Figure B-1. Wanted and Unwanted Signal Levels
Amplitude
Fc = Radio Receiver Channel Frequency
Frequency
Fc
Wanted Signal Level
Unwanted Signal Level

July 23, 2002 B-3
CreataLink2 XT Hardware Integrator’s Guide Appendix B
Desense Overview
Noise Sources
CPU clocks, address and data buses, user displays, switching power supplies, and
peripheral drivers are sources of EMI. The frequency of these emissions is unstable
because high stability clock sources are not required in host computer designs. The
frequency of sources drifts as a function of temperature, time, and aging. The edges
of clock signals create detectable harmonics in the 1-GHz band and move in the
frequency spectrum as a function of time. To measure the effects of these emissions,
determine where the emissions exist in the frequency spectrum.
Noise from the host is conducted through the electrical/mechanical interface or
radiates electromagnetic fields received by the data transceiver antenna. Smart-
Synch, Inc. data transceivers are designed to minimize conducted noise.
Radiated electromagnetic fields from internal circuitry are incident on the data
transceiver antenna. These fields are converted to noise power via the antenna and
are incident on the receiver. Physical interface signaling has less impact on receiver
performance and can be electrically decoupled via passive components.
Receiver Susceptibilities
The receiver is susceptible to desense within the channel bandwidth and at
intermediate frequencies used for down-conversion. Excessive noise on power
supply pins can also create sensitivity problems.

B-4 July 23, 2002
Appendix B CreataLink2 XT Hardware Integrator’s Guide
Desense Measurement Techniques
Desense Measurement Techniques
To measure desense indirectly, record the emission level from the host and then
calculate the effect on the data transceiver. To measure desense directly, use packet
error rate testing off the air. The direct method is similar to a system test. The test
should be non-intrusive, with no peripheral test cables connected to the unit under
test. Cables have a significant effect on receiver sensitivity results.
Indirect testing is FCC Part 15 EMI testing. Some assumptions are made to
extrapolate the results and convert them to desense figures. The best way to
measure desense is to use a spectrum analyzer to measure the signal the receive
port detects (see Figure B-2).
Connect the product antenna to a spectrum analyzer that has an input impedance
of 50 ohms. If the antenna is not available, use a portable dipole antenna as a
measurement antenna.
This measurement method determines the amount of RF energy that the host device
emits. The measurement does not account for any noise that is transmitted through
a conductive pathway.
With the input impedance of the analyzer and the antenna the same as the radio
receiver, the analyzer measures the actual receiver noise. Use the following
calculation to determine the level at which desense occurs:
Desense Threshold = Radio Receiver sensitivity [dBm] - Co-channel
rejection [dB] + Antenna Factor [dB]
Depending on its frequency, any noise source above this level can create desense.
The indirect method is less effective than the direct method because it does not
account for the characteristics of the data protocol. The bandwidth of the noise
source is important. If the source is narrowband, it may cause more problems than
a wideband source. There are only a limited number of channels available.
Therefore, a noise source that desenses a single channel can cause the data
transceiver to fail.
805SRH-26
Figure B-2. Spectrum Analyzer Setup
Coaxial Connection to Measurement Antenna
Measurement Antenna
Unit Under Test Spectrum Analyzer
805SRH-26

July 23, 2002 B-5
CreataLink2 XT Hardware Integrator’s Guide Appendix B
Desense Measurement Techniques
Even if a narrowband noise source is separated in frequency from a receive channel,
it might move around due to temperature, load conditions, power supply variations,
and other factors. The indirect method is not an effective way to determine
desensitization at IF frequencies or from mixed product sources.
The measurement equipment should measure signals as low as –120 dBm. Use a
preamplifier to enable the spectrum analyzer to achieve these levels. Use the
smallest resolution bandwidth that the analyzer supports, typically 1 kHz, to
improve the dynamic range of the measurement.

B-6 July 23, 2002
Appendix B CreataLink2 XT Hardware Integrator’s Guide
Preparing the Device Under Test
Preparing the Device Under Test
If the host device contains multiple sections that power up and down independently,
make provisions to control the power to different sections during testing. This
serves to isolate each section and enables you to locate the source of any emissions.
The host device must remain powered during the entire test cycle. Typical circuit
blocks to power-on and exercise include:
•User displays
• Interface drivers and power supplies
• Peripheral silicon
• Mass storage devices and controllers

July 23, 2002 B-7
CreataLink2 XT Hardware Integrator’s Guide Appendix B
Performance Goals
Performance Goals
Network coverage is the goal of emissions control. Allowable emissions levels are a
function of radio sensitivity and the required network coverage.
Radio Performance Capabilities
Every radio technology demands certain sensitivity requirements. Wide area net-
works (WANs) require the subscriber device to be very sensitive, whereas local area
networks (LANs) operate with higher receiver signal levels.
Highly sensitive radios are more susceptible to noise from the host platform. For
example, assuming a 10 dB co-channel rejection, a less sensitive receiver tolerates
a higher level of noise.
FCC Part 15 Level Comparison
The FCC emissions limits for unintentional radiators are as follows:
• 200 µV/M between 216 MHz and 960 MHz
• 500 µV/M above 960 MHz
These limits are for measurements conducted three meters away from the device.
Compare these numbers with the receiver sensitivity. Note that even if a host is
Part 15 certified, there is still the possibility that the data transceiver will not work.
This could happen when the host has a 180 µV/M spur at a receive channel. This
would meet the FCC limit but would be 10 dB above sensitivity. If the desired
channel is at sensitivity, this would cause the data transceiver to miss pages. As a
general rule, if you provide 40 dB of margin to the FCC rules, there should be no
desense problems.
Determining Emission Level Goals
To determine the allowable emissions levels from the host device, consider the
following:
• The sensitivity of the data transceiver
• The targeted network coverage requirements
• The expected proximity of the data transceiver to the host platform noise
sources
Achieving zero desense is not a realistic goal with a cost-sensitive commercial
product. The following set of subjective levels is based on industry experience:
• Channels desensitized by less than 5 dB are acceptable.
• Channels desensitized by more than 10 dB create a noticeable problem within
the network.
• Channels desensitized by more than 20 dB are unacceptable.
Each case is different. Each air protocol reacts uniquely, and each network performs
differently under the same levels of unwanted ambient noise. Noise from the host
higher than the desense threshold level degrades performance.
Because of the restricted number of channels used for paging, narrowband
interference can cause more problems if the interference falls on a channel used by
your carrier.

B-8 July 23, 2002
Appendix B CreataLink2 XT Hardware Integrator’s Guide
Performance Goals
Prediction of Sources
Typically, there are two sources of noise in a circuit, narrowband and wideband.
Narrowband interference is usually caused by a mixing product among several
sources.
If the system runs a 16.8 MHz-clock, and a 1.23 MHz-clock and a strong narrowband
emission is found at 865.2000 MHz, the emission comes from the 16.8 MHz-clock
as a product of:
865.2/16.8 = 51.5, the 51st harmonic plus a subharmonic of 8.4 MHz
The wideband emissions usually come from a switching power supply created by
the low frequency of the switcher modulating on a higher harmonic of another
source. Switching power supplies creates magnetic energy from inductive coils. Any
circuit that uses non-toroidal inductors is a source of noise.
Some emissions result from multiple order mixing of any number of sources. One
way to find the emissions is to shut down sources one by one, and see if the emission
disappears. Near-field probing provides a geographical fix on the emission when
the source circuitry is found. Noise floor problems, which desense the entire receive
band, prevent tracking individual sources by any method.
Use a loop probe to confirm emission sources. This probe must be small enough to
pinpoint the area from which the emission radiates, yet large enough to provide
adequate sensitivity.
Desense Scenarios
The target of 40 dB below FCC Class B guarantees no desensitization. Some typical
scenarios that work in favor of the system are as follows:
• The host unit is in a power management state, completely asleep or in a
reduced functional state. This state reduces EMI and enables improved
wireless communications.
• The system functions even with interference reducing coverage range. This
interference is not a problem if the data transceiver is not in a fringe area.
• Two-way protocols can retry unsent messages.
Each platform, network operating model, and user profile is different with each
application, and requires a unique level of EMI reduction effort.

July 23, 2002 B-9
CreataLink2 XT Hardware Integrator’s Guide Appendix B
Methods of Controlling Emissions
Methods of Controlling Emissions
The preferred means of control is to contain emissions to a level 40 dB less than the
FCC Part 15 requirements. For WAN products, shielding achieves this control.
Standard techniques to achieve FCC certification are insufficient for wireless
communications. Decoupling, partial shielding, and PCB layout methods produce
only incremental improvements. Hybrid methods of shielding and source reduction
are more effective approaches.
Source reduction efforts can increase the product direct materials cost unless the
host platform is close to the emission goals. Standard EMI techniques are valuable
when the target levels are not the goal.
Shielding Approach
The mechanical design of the host product must allow for EMC engineers to create
a Faraday Box shield design. This box is an electrically continuous shielded
enclosure that easily attenuates radiated signals from the host device. See
Electromagnetic Compatibility: Principles and Applications by David A.
Weston for information on shielded enclosure design. The shield minimizes the
possible redesign required of the host PCB platform and circuitry.
Components of the Shield Design
Effective shield design incorporates:
• A highly conductive shielded enclosure that encapsulates all of the active
circuitry, and is constructed of sheet metal or plated/sprayed plastic
• Decoupling on all signals exiting the enclosure
• Control of aperture sizes in the shield to less than λ/10 of the frequency of
interest. This size applies to keyboard and display apertures in the enclosure.
Aperture radiation testing at the frequencies of interest might prove that
larger apertures are acceptable to the particular scenario.
Benefits of the Shielding Approach
Emissions reduction uses shielding source reduction techniques, such as
decoupling, PCB layout and grounding, or a combination of the two. With a shield
in place, any changes to product circuitry have no effect on emissions levels. If a
circuit-level approach controls the emissions, a change in the circuitry can change
emissions performance.
Alternate EMI Reduction Methods
Methods other than shielding to reduce emission levels are as follows:
• PCB layout modification using ground layers adjacent to high speed layers
• Capacitive or filter decoupling
• Redistribution of module interconnects

B-10 July 23, 2002
Appendix B CreataLink2 XT Hardware Integrator’s Guide
Antenna
Antenna
The CreataLink2 XT transceiver is configured for use with an external antenna kit.
You can purchase the antenna from SmartSynch, Inc., or it can be supplied by the
customer.
Field Strengths from the Antenna
Field strengths from the wireless data transceiver transmitter can reach as high
as 100 V/m 2 in. away. Field strength levels vary as a function of 1/R2; doubling the
distance, R, decreases the strength level by a factor of 4. The host device must be
capable of withstanding these levels. LCD displays and switching power supplies
are susceptible to RF. Reference voltage points on power supplies, reset lines on
processors, and keyboard scanning circuitry require decoupling.
Antenna Interactions
The following two interactions affect antenna performance:
• Placing a hand near the antenna can detune the antenna and absorb energy.
Position the antenna so as to minimize interaction.
• The host device can interact with the antenna, especially WAN data
transceivers that have high output power. Cabling for other peripherals must
not interfere with this region. Provide a clear space around the antenna of 12
to 18 inches. This clear space should be free of cabling and metallic objects
other than a ground plane. For fixed units, consider the antenna mounting
location when you determine antenna position.

July 23, 2002 B-11
CreataLink2 XT Hardware Integrator’s Guide Appendix B
Summary
Summary
Consider these two basic interactions when you use a wireless device and computer
as a system:
• The impact of the computer EMI on the system performance
• The impact the of the RF fields from the wireless device transmitter on the
operation of the computer
The impact the RF fields from the wireless device transmitter is not a significant
problem. It can be corrected with minimal effort and cost.
Because of the need for system coverage, the host EMI interaction with the radio
receiver is difficult to identify and correct. Computer speed includes high frequency
radiators that interfere with the radio reception of the wireless data transceiver.
This manual identifies the theoretical noise levels that affect the receiver. The goals
are derived from system coverage requirements and the sensitivity of the radio.
They are not arbitrarily decided to improve product performance, but to maintain
the performance of the RF networks and the radios. The target level and methods
to achieve these goals are the choice of the product integrator. The preferred
methods mentioned are the result of experiments and past product experiences.
Each product is unique; measure the product in an early engineering phase.

B-12 July 23, 2002
Appendix B CreataLink2 XT Hardware Integrator’s Guide
Summary

APPENDIX C
FLEX Application Protocol Licensing

June 18, 2002 C-1
CreataLink2 XT Hardware Integrator’s Guide Appendix C
FLEX Application Protocol Licensing
FLEX Application Protocol Licensing
This chapter presents an overview of the FLEXsuite Protocols, associated licensing
guidelines, and a licensee form. Actual terms and conditions of licensing agreements
may vary.
Technology Overview
The FLEXsuite™ of Enabling Protocols included in this release are:
• The Route to Alternate Host protocol is used to route messages to
predetermined wireline or wireless alternate host application destinations.
• The Uniform Addressing and Routing protocol is used to deliver application
data of any format wireline or wireless devices by specifying an explicit or
tokenized TO address, FROM address, and/or data content type.
• The Generic Over-the-Air Programming protocol is used to change wireless
device parameters over the air. This protocol does not depend on wireless
device make, model or version.
• The Token Text Compression protocol is used to send compressed text
messages over the air to wireless devices.
• The FLEXinfo™ Information Service protocol is used to send information
service messages on specific topics and uses data reduction techniques to
update only the parts of the message that change.
• The Data Security Identifier protocol is used to identify the method and
parameters used to secure other FLEXsuite™ messages (end-to-end or
over-the-air).
• The Binary Message Transfer protocol is used to send reverse channel binary
messages using common addressing schemes such as e-mail, two-way
messaging PIN, or paging PIN.
• The Simple Packet Transport protocol is used to send very long reverse
channel messages by breaking them down into smaller packets.
• The Multiple Choice Reply protocol is used to send reverse channel multiple
choice replies using FLEX™ Family Message Sequence Number addressing.
• The Basic Message Reply protocol is used to send reverse channel text or
binary replies to messages using FLEX™ Family Message Sequence Number
addressing.
• The Basic Message Origination protocol is used to send text or binary
messages using common addressing schemes such as e-mail, fax, telephone,
two-way messaging PIN, or paging PIN.
• The Key Management Request data protocol is used to create and maintain
encryption keys.
• The Application Data Security Identifier data protocol is used to identify the
method and parameters used to secure application messages.
• The Wireless Email Messaging data protocol is used to carry wireless Email or
messages, as well as information about those messages, between wireline or
wireless providers and wireline or wireline recipients.
• The Canned Messaging Protocol is used to send short codes and data
parameters in place of common words and phrases, and to send messages with
embedded multiple choice responses.
• The Communication Linking Protocol is used to allow wireless applications to
communicate with wireless devices over a serial communication interface.
CAppendix C

C-2 June 18, 2002
Appendix C CreataLink2 XT Hardware Integrator’s Guide
Licensing
Licensing
Motorola, Inc. intends to license the FLEXsuite™ of Enabling Protocols (hereinafter
FLEXsuite technology) to entities that wish to use the protocols in their product(s).
These licensed entities generally include, but are not limited to, information service
data center providers, infrastructure manufacturers, and subscriber unit
manufacturers, just to mention a few.
When licensed, your company's implementation of the FLEXsuite technology must
conform to the FLEXsuite technology specification to assure that the protocol is
implemented in a standard and consistent manner by all licensees and to assure
that the FLEXsuite protocols are used only with the family of FLEX™
communication transport protocols. The FLEXsuite technology specification
document will only be distributed to companies who have signed an appropriate
Non-Disclosure Agreement with Motorola, Inc. or who have signed a FLEXsuite of
Enabling Protocols Cross License Agreement. As Motorola, Inc. releases updates to
the FLEXsuite technology, Motorola, Inc. will notify and distribute to your company
and other licensees information pertaining to such updates.
When applicable, the FLEXsuite technology agreement provides for cross-licensing
of certain intellectual property rights of both Motorola, Inc. and your company. The
purpose of the cross-license is to provide your company a license to certain Motorola,
Inc. intellectual properties necessary to practice the FLEXsuite technology. The
agreement also requires that your company provide to Motorola, Inc. a license to
certain of your company's intellectual property(ies) that might be necessary to
practice the FLEXsuite technology. In order to maintain a world-wide standard of
the FLEXsuite technology, this license also gives Motorola, Inc. the right to
sublicense the relevant intellectual property(ies) of your company to present and
future FLEXsuite licensees, thereby giving them freedom of action with regard to
such intellectual property(ies). Note that the license provided by your company is
limited to only those intellectual property(ies) necessary for the practice of the
FLEXsuite technology--not other unrelated intellectual property rights of your
company.
It should be noted that the foregoing overview is not intended to be incorporated,
nor to represent all the terms and conditions in the FLEXsuite of Enabling Protocols
Cross License Agreement. For this reason, we urge you to carefully read each of the
sections of the agreement. Please do not hesitate to call us if you have questions
regarding any section of the agreement.
The FLEXsuite Protocols Licensee Information Form and instructions for
submitting it are provided on the following pages.

June 18, 2002 C-3
CreataLink2 XT Hardware Integrator’s Guide Appendix C
Licensing
This form continues on the next page.
FLEXsuite™ Protocols Licensee Form
Company Name:
Address:
FAX: ( ) Phone: ( )
Your company has executed the following FLEXsuite licenses with Motorola, Inc. (please circle all that apply):
FLEX™ ReFLEXInFLEXionN/A
Type of business (please circle all that apply):
Manufacturer Design House Carrier Other (please explain)
Please describe your company’s intended application that will implement the FLEXsuite protocols. For example,
will your company provide content, manufacture infrastructure equipment, manufacture test equipment, develop
data publishing software to license to others, or develop application software to license to others? Please
describe the exact nature of your intended implementation.
Will your company perform all of the product development itself? Yes No
If not, what part of the development will be contracted to a third-party developer?
If development is done outside of your company, do you expect that your company will modify the product or change how
it uses the FLEX Suite application protocols? If so, please explain.
If development is completed outside of your company, do you want the developer to be able to sell and
distribute the product to third parties external to your company? Yes No
Who will be responsible for maintaining and updating the software used in your FLEX Suite application, your
company or a third party? If a third party, please state company name and address.
Has your company (or your third party developer, if applicable) created other technology in the field of paging
and messaging services? If yes, briefly describe. Yes No

C-4 June 18, 2002
Appendix C CreataLink2 XT Hardware Integrator’s Guide
Licensing
The applicant agrees and understands that Motorola, Inc. may rely on the
information contained above in processing the application and that any approval of
the application and/or the effectiveness of any subsequent agreement between
Motorola, Inc., and the applicant is expressly conditioned upon the completeness
and truthfulness of the application and its contents. It is agreed and understood by
the applicant that omission or misstatement of any material fact or circumstance
shall serve as full grounds for the rejection of the application by Motorola, Inc.
and/or immediate termination by Motorola, Inc. of any agreement between
Motorola, Inc. and the applicant now or hereafter in effect.
Applicant further agrees to notify Motorola, Inc. promptly in writing of any change
whatsoever in the facts set forth or circumstances described in the application.
Failure to notify Motorola, Inc. of any material changes shall be and shall serve as
full grounds for the rejection of the application and/or immediate termination by
Motorola, Inc. and the applicant now or hereafter in effect.
Applicant, by affixing of the signature of its authorized representative does certify
to the accuracy and completeness of all of the above.
UNDERSTOOD AND ACCEPTED:
Please return this form directly to:
Licensing Manager
Motorola, Inc.
1500 Gateway Blvd.
MS99
Boynton Beach, Florida 33426
Company:
Signature:
Print Name:
Title:
Date:

SMARTSYNCH INTEGRATOR’S KIT SOFTWARE MATERIALS LICENSE
IMPORTANT – READ CAREFULLY
R
EAD CAREFULLY THE TERMS AND CONDITIONS OF THIS AGREEMENT BEFORE USING THE INTEGRATOR’S KIT.
I
NSTALLATION OF INTEGRATOR’S KIT SOFTWARE AND DOCUMENTATION INDICATES YOUR ACCEPTANCE OF
T
HESE TERMS AND CONDITIONS. IF YOU DO NOT AGREE WITH THE TERMS AND CONDITIONS OF THIS
A
GREEMENT, PROMPTLY RETURN THE INTEGRATOR’S KIT UNUSED TO THE PROVIDER.
T
HIS IS A LEGAL AGREEMENT BETWEEN YOU (“LICENSEE”) and SMARTSYNCH, INC., a Delaware corporation having an
o
ffice at 4400 Old Canton Road, Ste 300, Jackson, MS 39211 U.S.A., (hereinafter "SMARTSYNCH").
S
MARTSYNCH has created an INTEGRATOR’S KIT for generating APPLICATION(s) that operate with a FLEX™ Kernel Operating System embedded within
C
reataLink™2 XT transceivers to transmit and receive messages according to specific message types that are compatible with the FLEXsuite™ set of protocols.
1
) Definitions.
a) INTEGRATOR’S KIT includes hardware and INTEGRATOR’S KIT SOFTWARE MATERIALS.
b) INTEGRATOR’S KIT SOFTWARE MATERIALS includes: INTEGRATOR’S KIT SOFTWARE, all documentation included with the INTEGRATOR’S
KIT SOFTWARE, and any floppy disk, CD, or other media on which the INTEGRATOR’S KIT SOFTWARE and the documentation reside.
c) INTEGRATOR’S KIT SOFTWARE shall mean: (1) a Communications Linking Protocol (CLP™) interface library, and (2) CreataLink2 XT FLEX Kerne
l
Application Programming Interfaces (APIs), setup files, and object libraries.
d) APPLICATION shall mean original code, intended to reside outside a CreataLink2 XT transceiver, generated to perform a specific function utilizing the
CLP interface library to communicate serially to a CreataLink2 XT transceiver; or original code, intended to be embedded within a CreataLink2 XT
transceiver, generated to perform a specific function utilizing the FLEX Kernel APIs, setup files, or object libraries.
2
) Ownership. Ownership of the INTEGRATOR’S KIT SOFTWARE MATERIALS shall remain with SMARTSYNCH.
3
) License.
a) Rights granted under SMARTSYNCH’s copyright and other intellectual property rights in the INTEGRATOR’S KIT SOFTWARE MATERIAL.
SMARTSYNCH grants to LICENSEE a nonexclusive, non-assignable, non-transferable, license, without the right to sublicense, to:
i) use the INTEGRATOR’S KIT SOFTWARE MATERIALS to create APPLICATION(s) for use in CreataLink2 XT transceivers, except for uses in
hazardous environments or uses requiring fail safe performance,
ii) copy, including copy and modify, portions, pre-
designated by SMARTSYNCH, of the INTEGRATOR’S KIT SOFTWARE and include the portions in
the APPLICATION(s), and
iii) distribute the APPLICATION(s) in object code form.
b) Restrictions.
i) LICENSEE is granted no rights to the INTEGRATOR’S KIT SOFTWARE MATERIALS except those rights itemized under section 3) a).
ii) LICENSEE agrees to include a copyright notice in the form “Portions of Software © Copyright 2002 SmartSynch, Inc. All rights reserved”, on any
physical media containing the portions of the INTEGRATOR’S KIT SOFTWARE authorized in clause 3) a) (ii), and in human-readable form, e.g., i
n
ASCII format, at the beginning of the executable-code form of any API containing the authorized portions.
4
) Disclaimer and Limitation of Remedies. LICENSEE UNDERSTANDS AND AGREES AS FOLLOWS:
a) LICENSEE EXPRESSLY ACKNOWLEDGES AND AGREES THAT USE OF THE INTEGRATOR’S KIT SOFTWARE MATERIALS IS AT
LICENSEE’S SOLE RISK. THE INTEGRATOR’S KIT SOFTWARE MATERIALS IS PROVIDED “AS IS” AND WITHOUT WARRANTY OF ANY
KIND. SMARTSYNCH DISCLAIMS ALL WARRANTIES, EXPRESS OR IMPLIED, INCLUDING ANY WARRANTIES OF MERCHANTABILITY
OR FITNESS FOR A PARTICULAR PURPOSE. IN NO EVENT WILL SMARTSYNCH’S LIABILITY OF ANY KIND INCLUDE ANY SPECIAL,
INCIDENTAL, OR CONSEQUENTIAL DAMAGES, INCLUDING LOST PROFITS, EVEN IF SMARTSYNCH HAS KNOWLEDGE OF THE
POTENTIAL LOSS OR DAMAGE.
b) SMARTSYNCH will not be liable in contract, in tort or otherwise for damages or loss of property or equipment, loss of profits, or revenue, loss of use of
equipment or power system, cost of capital, cost of purchased or replacement power or temporary equipment.
c) SMARTSYNCH does not provide any indemnification of any kind (including patent indemnification) for the INTEGRATOR’S KIT SOFTWARE
MATERIALS.
d)
Some states do not allow the exclusion of implied warranties so the above exclusion may not apply to LICENSEE. This warranty gives LICENSEE specific
legal rights, and LICENSEE may also have other rights which vary from state to state.
5
) Termination. This agreement is effective until terminated. LICENSEE may terminate it at any time by destroying the INTEGRATOR’S KIT SOFTWARE
MATERIALS, including all computer programs and documentation, and erasing any copies residing on computer equipment. The license shall automatically
terminate if LICENSEE attempts to transfer the INTEGRATOR’S KIT SOFTWARE MATERIALS, or any portion thereof. This agreement shall terminate if
LICENSEE does not comply with any terms or conditions of this agreement. Upon such termination, LICENSEE agrees to destroy the INTEGRATOR’S KIT
SOFTWARE MATERIALS and erase all copies residing on computer equipment.
6
) U.S. Government Restricted Rights. The INTEGRATOR’S KIT SOFTWARE MATERIALS is provided to the Government only with restricted rights and
limited rights. Use, duplication, or disclosure by the Government is subject to restrictions set forth in FAR Sections 52-227-14 and 52.221-
19 or DFARS Section
52-227-7013(c)(1)(ii), as applicable. Manufacturer is Motorola, Inc., 1500 Gateway Boulevard, Boynton Beach, Florida 33426-8292.
7
) Export. LICENSEE shall not export or re-export the INTEGRATOR’S KIT SOFTWARE MATERIALS to any country, person, entity, or end users subject to
U.S. export restrictions. LICENSEE warrants that LICENSEE’s export privileges have not been suspended, revoked, or denied by the U.S. Bureau of Export
Administration or any other federal agency.