JBL TI Nspire CAS Referenzhandbuch (Deutsch) Reference Guide DE
User Manual: JBL TI-Nspire CAS Referenzhandbuch (Deutsch) TI-Nspire™ CAS Reference Guide
Open the PDF directly: View PDF
.
Page Count: 281 [warning: Documents this large are best viewed by clicking the View PDF Link!]
- Wichtige Informationen
- Inhaltsverzeichnis
- Vorlagen für Ausdrücke
- Alphabetische Auflistung
- Sonderzeichen
- Leere (ungültige) Elemente
- Tastenkürzel zum Eingeben mathematischer Ausdrücke
- Auswertungsreihenfolge in EOS™ (Equation Operating System)
- Fehlercodes und -meldungen
- Warncodes und -meldungen
- Allgemeine Hinweise
- Index

2
Wichtige Informationen
Außer im Fall anderslautender Bestimmungen der Lizenz für das Programm gewährt Texas
Instruments keine ausdrückliche oder implizite Garantie, inklusive aber nicht ausschließlich
sämtlicher impliziter Garantien der Handelsfähigkeit und Eignung für einen bestimmten
Zweck, bezüglich der Programme und der schriftlichen Dokumentationen, und stellt dieses
Material nur im „Ist-Zustand“zur Verfügung. Unter keinen Umständen kann Texas
Instruments für besondere, direkte, indirekte oder zufällige Schäden bzw. Folgeschäden
haftbar gemacht werden, die durch Erwerb oder Benutzung dieses Materials verursacht
werden, und die einzige und exklusive Haftung von Texas Instruments, ungeachtet der Form
der Beanstandung, kann den in der Programmlizenz festgesetzten Betrag nicht
überschreiten. Zudem haftet Texas Instruments nicht für Forderungen anderer Parteien
jeglicher Art gegen die Anwendung dieses Materials.
Lizenz
Bitte lesen Sie die vollständige Lizenz im Verzeichnis
C:\ProgramFiles\TIEducation\<TI-Nspire™ Product Name>\license.
© 2006 - 2014 Texas Instruments Incorporated

Inhaltsverzeichnis
Wichtige Informationen 2
Inhaltsverzeichnis 3
Vorlagen für Ausdrücke 5
Alphabetische Auflistung 12
A 12
B 21
C 24
D 50
E 60
F 69
G 78
I 84
L 92
M 107
N 115
O 124
P 126
Q 135
R 138
S 152
T 176
U 191
V 191
W 193
X 194
Z 195
Sonderzeichen 203
Leere (ungültige) Elemente 229
Tastenkürzel zum Eingeben mathematischer Ausdrücke 232
Auswertungsreihenfolge in EOS™ (Equation Operating System) 234
3

Vorlagen für Ausdrücke
Vorlagen für Ausdrücke bieten Ihnen eine einfache Möglichkeit, mathematische Ausdrücke in
der mathematischen Standardschreibweise einzugeben. Wenn Sie eine Vorlage eingeben,
wird sie in der Eingabezeile mit kleinen Blöcken an den Positionen angezeigt, an denen Sie
Elemente eingeben können. Der Cursor zeigt, welches Element eingegeben werden kann.
Verwenden Sie die Pfeiltasten oder drücken Sie e, um den Cursor zur jeweiligen Position
der Elemente zu bewegen, und geben Sie für jedes Element einen Wert oder Ausdruck ein.
Drücken Sie ·oder /·, um den Ausdruck auszuwerten.
Vorlage Bruch /p Tasten
Hinweis: Siehe auch / (Dividieren), Seite 205.
Beispiel:
Vorlage Exponent lTaste
Hinweis: Geben Sie den ersten Wert ein, drücken Sie
lund geben Sie dann den Exponenten ein. Um den
Cursor auf die Grundlinie zurückzusetzen, drücken
Sie die rechte Pfeiltaste (¢).
Hinweis: Siehe auch ^ (Potenz), Seite 206.
Beispiel:
Vorlage Quadratwurzel /q Tasten
Hinweis: Siehe auch ‡() (Quadratwurzel), Seite
216.
Beispiel:
Vorlagen für Ausdrücke 5

6 Vorlagen für Ausdrücke
Vorlage n-te Wurzel /l Tasten
Hinweis: Siehe auch root(), Seite 149.
Beispiel:
Vorlage e Exponent uTasten
Potenz zur natürlichen Basis e
Hinweis: Siehe auch e^(), Seite 60.
Example:
Vorlage Logarithmus /s Taste
Berechnet den Logarithmus zu einer bestimmten
Basis. Bei der Standardbasis 10 wird die Basis
weggelassen.
Hinweis: Siehe auch log(), Seite 103.
Beispiel:
Vorlage Stückweise (2 Teile) Katalog >
Ermöglicht es, Ausdrücke und Bedingungen für eine
stückweise definierte Funktion aus zwei-Stücken zu
erstellen. Umein Stück hinzuzufügen, klicken Sie in
die Vorlage und wiederholen die Vorlage.
Hinweis: Siehe auch piecewise(), Seite 128.
Beispiel:

Vorlage Stückweise (n Teile) Katalog >
Ermöglicht es, Ausdrücke und Bedingungen für eine stückweise
definierte Funktion aus n-Teilen zu erstellen. Fragt nach n.
Hinweis: Siehe auch piecewise(), Seite 128.
Beispiel:
Siehe Beispiel für die Vorlage
Stückweise (2 Teile).
Vorlage System von 2 Gleichungen Katalog >
Erzeugt ein System aus zwei Gleichungen. Um einem
vorhandenen System eine Zeile hinzuzufügen,
klicken Sie in die Vorlage und wiederholen die Vorlage.
Hinweis: Siehe auch system(), Seite 176.
Beispiel:
Vorlage System von n Gleichungen Katalog >
Ermöglicht es, ein System aus NGleichungen zu erzeugen. Fragt
nach N.
Hinweis: Siehe auch system(), Seite 176.
Beispiel:
Siehe Beispiel für die Vorlage
Gleichungssystem (2 Gleichungen).
Vorlagen für Ausdrücke 7

8 Vorlagen für Ausdrücke
Vorlage Absolutwert Katalog >
Hinweis: Siehe auch abs(), Seite 12.
Beispiel:
Vorlage dd°mm’ss.ss’’ Katalog >
Ermöglicht es, Winkel im Format dd°mm’ss.ss’’
einzugeben, wobei dd für den Dezimalgrad, mm die
Minuten und ss.ss die Sekunden steht.
Beispiel:
Vorlage Matrix (2 x 2) Katalog >
Erzeugt eine 2 x 2 Matrix.
Beispiel:
Vorlage Matrix (1 x 2) Katalog >
.
Beispiel:
Vorlage Matrix (2 x 1) Katalog >
Beispiel:
Vorlage Matrix (m x n) Katalog >
Die Vorlage wird angezeigt, nachdem Sie aufgefordert
wurden, die Anzahl der Zeilen und Spalten
anzugeben.
Beispiel:

Vorlage Matrix (m x n) Katalog >
Hinweis: Wenn Sie eine Matrix mit einer großen
Zeilen- oder Spaltenanzahl erstellen, dauert es
möglicherweise einen Augenblick, bis sie angezeigt
wird.
Vorlage Summe (G)Katalog >
Hinweis: Siehe auch G() (sumSeq), Seite 217.
Beispiel:
Vorlage Produkt (Π)Katalog >
Hinweis: Siehe auch Π() (prodSeq), Seite 217.
Beispiel:
Vorlage Erste Ableitung Katalog >
Mit der Vorlage „Erste Ableitung“können Sie auch die
erste Ableitung an einem Punkt berechnen.
Beispiel:
Vorlagen für Ausdrücke 9

10 Vorlagen für Ausdrücke
Vorlage Erste Ableitung Katalog >
Hinweis: Siehe auch d() (Ableitung), Seite 214.
Vorlage Zweite Ableitung Katalog >
Mit der Vorlage „Zweite Ableitung“können Sie auch
die zweite Ableitung an einem Punkt berechnen.
Hinweis: Siehe auch d() (Ableitung), Seite 214.
Beispiel:
Vorlage n-te Ableitung Katalog >
Mit der Vorlage „n-te Ableitung“können Sie die n-te
Ableitung.
Hinweis: Siehe auch d() (Ableitung), Seite 214.
Beispiel:
Vorlage Bestimmtes Integral Katalog >
Hinweis: Siehe auch ‰() integral(), Seite 203.
Beispiel:
Vorlage Unbestimmtes Integral Katalog >
Beispiel:

12 Alphabetische Auflistung
Alphabetische Auflistung
Elemente, deren Namen nicht alphabetisch sind (wie +, !, und >) finden Sie am Ende dieses
Abschnitts (Seite 203). Wenn nicht anders angegeben, wurden sämtliche Beispiele im
standardmäßigen Reset-Modus ausgeführt, wobei alle Variablen als nicht definiert
angenommen wurden.
A
abs() (Absolutwert) Katalog >
abs(Ausdr1)⇒Ausdruck
abs(Liste1)⇒Liste
abs(Matrix1)⇒Matrix
Gibt den Absolutwert des Arguments zurück.
Hinweis: Siehe auch Vorlage Absolutwert, Seite 8.
Ist das Argument eine komplexe Zahl, wird der Betrag
der Zahl zurückgegeben.
Hinweis: Alle undefinierten Variablen werden als reelle
Variablen behandelt.
amortTbl() Katalog >
amortTbl(NPmt,N,I,PV,[Pmt],[FV],[PpY],[CpY],
[PmtAt],[WertRunden])⇒Matrix
Amortisationsfunktion, die eine Matrix als
Amortisationstabelle für eine Reihe von TVM-
Argumenten zurückgibt.
NPmt ist die Anzahl der Zahlungen, die in der Tabelle
enthalten sein müssen. Die Tabelle beginnt mit der
ersten Zahlung.
N,I,PV,Pmt,FV,PpY,CpY und PmtAt werden in der
TVM-Argumentetabelle (Seite 189) beschrieben.
• Wenn Sie Pmt nicht angeben, wird
standardmäßig Pmt=tvmPmt
(N,I,PV,FV,PpY,CpY,PmtAt)eingesetzt.
• Wenn Sie FV nicht angeben, wird
standardmäßig FV=0 eingesetzt.

amortTbl() Katalog >
• Die Standardwerte für PpY,CpY und PmtAt sind
dieselben wie bei den TVM-Funktionen.
WertRunden (roundValue) legt die Anzahl der
Dezimalstellen für das Runden fest. Standard=2.
Die Spalten werden in der Ergebnismatrix in der
folgenden Reihenfolge ausgegeben:
Zahlungsnummer, Zinsanteil, Tilgungsanteil, Saldo.
Der in Zeile nangezeigte Saldo ist der Saldo nach
Zahlung n.
Sie können die ausgegebene Matrix als Eingabe für
die anderen Amortisationsfunktionen GInt() und GPrn
(), Seite 218, und bal(), Seite 21, verwenden.
and (und) Katalog >
Boolescher Ausdr1 and Boolescher
Ausdr2⇒Boolescher Ausdruck
Boolesche Liste1 and Boolesche Liste2 ⇒Boolesche
Liste
Boolesche Matrix1 and Boolesche
Matrix2⇒Boolesche Matrix
Gibt „wahr“oder „falsch“oder eine vereinfachte Form
des ursprünglichen Terms zurück.
Ganzzahl1andGanzzahl2⇒Ganzzahl
Vergleicht zwei reelle ganze Zahlen mit Hilfe einer
and-Operation Bit für Bit. Intern werden beide ganzen
Zahlen in binäre 32-Bit-Zahlen mit Vorzeichen
konvertiert. Beim Vergleich der sich entsprechenden
Bits ist das Ergebnis dann 1, wenn beide Bits 1 sind;
anderenfalls ist das Ergebnis 0. Der zurückgegebene
Wert stellt die Bit-Ergebnisse dar und wird im
jeweiligen Basis-Modus angezeigt.
Sie können die ganzen Zahlen in jeder Basis
eingeben. Für eine binäre oder hexadezimale Eingabe
ist das Präfix 0b bzw. 0h zu verwenden. Ohne Präfix
werden ganze Zahlen als dezimal behandelt
(Basis10).
Geben Sie eine dezimale ganze Zahl ein, die für eine
Im Hex-Modus:
Wichtig: Null, nicht Buchstabe O.
Im Bin-Modus:
Im Dec-Modus:
Hinweis: Eine binäre Eingabe kann bis zu 64 Stellen
haben (das Präfix 0b wird nicht mitgezählt). Eine
hexadezimale Eingabe kann bis zu 16 Stellen
Alphabetische Auflistung 13

14 Alphabetische Auflistung
and (und) Katalog >
32-Bit-Dualform mit Vorzeichen zu groß ist, dann wird
eine symmetrische Modulo-Operation ausgeführt, um
den Wert in den erforderlichen Bereich zu bringen.
aufweisen.
angle() (Winkel) Katalog >
angle(Ausdr1)⇒Ausdruck
Gibt den Winkel des Arguments zurück, wobei das
Argument als komplexe Zahl interpretiert wird.
Hinweis: Alle undefinierten Variablen werden als reelle
Variablen behandelt.
Im Grad-Modus:
Im Neugrad-Modus:
Im Bogenmaß-Modus:
angle(Liste1)⇒Liste
angle(Matrix1)⇒Matrix
Gibt als Liste oder Matrix die Winkel der Elemente aus
Liste1 oder Matrix1 zurück, wobei jedes Element als
komplexe Zahl interpretiert wird, die einen
zweidimensionalen kartesischen Koordinatenpunkt
darstellt.
ANOVA Katalog >
ANOVA Liste1,Liste2[,Liste3,...,Liste20][,Flag]
Führt eine einfache Varianzanalyse durch, um die Mittelwerte
von zwei bis maximal 20 Grundgesamtheiten zu vergleichen.
Eine Zusammenfassung der Ergebnisse wird in der Variable
stat.results gespeichert. (Seite 170)
Flag=0 für Daten, Flag=1 für Statistik

Ausgabevariable Beschreibung
stat.FWert der FStatistik
stat.PVal Kleinste Signifikanzebene, bei der die Nullhypothese verworfen werden kann
stat.df Gruppen-Freiheitsgrade
stat.SS Summe der Fehlerquadrate zwischen den Gruppen
stat.MS Mittlere Quadrate der Gruppen
stat.dfError Fehler-Freiheitsgrade
stat.SSError Summe der Fehlerquadrate
stat.MSError Mittleres Quadrat für die Fehler
stat.sp Verteilte Standardabweichung
stat.xbarlist Mittelwerte der Eingabelisten
stat.CLowerList 95 % Konfidenzintervalle für den Mittelwert jeder Eingabeliste
stat.CUpperList 95 % Konfidenzintervalle für den Mittelwert jeder Eingabeliste
ANOVA2way (ANOVA 2fach) Katalog >
ANOVA2way Liste1,Liste2[,Liste3,…,Liste10][,LevZei]
Berechnet eine zweifache Varianzanalyse, um die Mittelwerte
von zwei bis maximal 10 Grundgesamtheiten zu vergleichen.
Eine Zusammenfassung der Ergebnisse wird in der Variable
stat.results gespeichert. (Seite 170)
LevZei=0 für Block
LevZei=2,3,...,Len-1, für Faktor zwei, wobei Len=length(Liste1)
=length(Liste2) = … = length(Liste10) und Len/LevZei ∈ {2,3,…}
Ausgaben: Block-Design
Ausgabevariable Beschreibung
stat.F F Statistik des Spaltenfaktors
stat.PVal Kleinste Signifikanzebene, bei der die Nullhypothese verworfen werden kann
stat.df Freiheitsgrade des Spaltenfaktors
stat.SS Summe der Fehlerquadrate des Spaltenfaktors
stat.MS Mittlere Quadrate für Spaltenfaktor
stat.FBlock FStatistik für Faktor
Alphabetische Auflistung 15

16 Alphabetische Auflistung
Ausgabevariable Beschreibung
stat.PValBlock Kleinste Wahrscheinlichkeit, bei der die Nullhypothese verworfen werden kann
stat.dfBlock Freiheitsgrade für Faktor
stat.SSBlock Summe der Fehlerquadrate für Faktor
stat.MSBlock Mittlere Quadrate für Faktor
stat.dfError Fehler-Freiheitsgrade
stat.SSError Summe der Fehlerquadrate
stat.MSError Mittlere Quadrate für die Fehler
stat.s Standardabweichung des Fehlers
Ausgaben des SPALTENFAKTORS
Ausgabevariable Beschreibung
stat.Fcol FStatistik des Spaltenfaktors
stat.PValCol Wahrscheinlichkeitswert des Spaltenfaktors
stat.dfCol Freiheitsgrade des Spaltenfaktors
stat.SSCol Summe der Fehlerquadrate des Spaltenfaktors
stat.MSCol Mittlere Quadrate für Spaltenfaktor
Ausgaben des ZEILENFAKTORS
Ausgabevariable Beschreibung
stat.Frow FStatistik des Zeilenfaktors
stat.PValRow Wahrscheinlichkeitswert des Zeilenfaktors
stat.dfRow Freiheitsgrade des Zeilenfaktors
stat.SSRow Summe der Fehlerquadrate des Zeilenfaktors
stat.MSRow Mittlere Quadrate für Zeilenfaktor
INTERAKTIONS-Ausgaben
Ausgabevariable Beschreibung
stat.FInteract FStatistik der Interaktion
stat.PValInteract Wahrscheinlichkeitswert der Interaktion
stat.dfInteract Freiheitsgrade der Interaktion

Ausgabevariable Beschreibung
stat.SSInteract Summe der Fehlerquadrate der Interaktion
stat.MSInteract Mittlere Quadrate für Interaktion
FEHLER-Ausgaben
Ausgabevariable Beschreibung
stat.dfError Fehler-Freiheitsgrade
stat.SSError Summe der Fehlerquadrate
stat.MSError Mittlere Quadrate für die Fehler
s Standardabweichung des Fehlers
Ans (Antwort) /v Taste
Ans⇒Wert
Gibt das Ergebnis des zuletzt ausgewerteten
Ausdrucks zurück.
approx() (Approximieren) Katalog >
approx(Ausdr1)⇒Ausdruck
Gibt die Auswertung des Arguments ungeachtet der
aktuellen Einstellung des Modus Auto oder Näherung
als Dezimalwert zurück, sofern möglich.
Gleichwertig damit ist die Eingabe des Arguments und
Drücken von /·.
approx(Liste1)⇒Liste
approx(Matrix1)⇒Matrix
Gibt, sofern möglich, eine Liste oder Matrix zurück,
in der jedes Element dezimal ausgewertet wurde.
Alphabetische Auflistung 17

18 Alphabetische Auflistung
4approxFraction() Katalog >
Ausdr 4approxFraction([Tol])⇒Ausdruck
Liste 4approxFraction([Tol])⇒Liste
Matrix 4approxFraction([Tol])⇒Matrix
Gibt die Eingabe als Bruch mit der Toleranz Tol
zurück. Wird tol weggelassen, so wird die Toleranz
5.E-14 verwendet.
Hinweis: Sie können diese Funktion über die Tastatur
Ihres Computers eingeben, indem Sie
@>approxFraction(...)eintippen.
approxRational() Katalog >
approxRational(Ausdr[,Tol])⇒Ausdruck
approxRational(Liste[,Tol])⇒Liste
approxRational(Matrix[,Tol])⇒Matrix
Gibt das Argument als Bruch mit der Toleranz Tol
zurück. Wird tol weggelassen, so wird die Toleranz
5.E-14 verwendet.
arccos() Siehe cos/(), Seite 35
arccosh() Siehe cosh/(), Seite 37.
arccot() Siehe cot/(), Seite 38.
arccoth() Siehe coth/(), Seite 38.

arccsc() Siehe csc/(), Seite 41.
arccsch() Siehe csch/(), Seite 42.
arcLen() (Bogenlänge) Katalog >
arcLen(Ausdr1,Var,Start,Ende)⇒Ausdruck
Gibt die Bogenlänge von Ausdr1 von Start bis Ende
bezüglich der Variablen Var zurück.
Die Bogenlänge wird als Integral unter Annahme einer
Definition im Modus Funktion berechnet.
arcLen(Liste1,Var,Start,Ende)⇒Liste
Gibt eine Liste der Bogenlängen für jedes Element von
Liste1 zwischen Start und Ende bezüglich der
Variablen Var zurück.
arcsec() Siehe sec/(), Seite 152.
arcsech() Siehe sech/(), Seite 153.
arcsin() Siehe sin/(), Seite 162.
arcsinh() Siehe sinh/(), Seite 163.
arctan() Siehe tan/(), Seite 177.
Alphabetische Auflistung 19

20 Alphabetische Auflistung
arctanh() Siehe tanh/(), Seite 178.
augment() (Erweitern) Katalog >
augment(Liste1, Liste2)⇒Liste
Gibt eine neue Liste zurück, die durch Anfügen von
Liste2 ans Ende von Liste1 erzeugt wurde.
augment(Matrix1,Matrix2)⇒Matrix
Gibt eine neue Matrix zurück, die durch Anfügen von
Matrix2 an Matrix1 erzeugt wurde. Wenn das
Zeichen “,” verwendet wird, müssen die Matrizen
gleiche Zeilendimensionen besitzen, und Matrix2
wird spaltenweise an Matrix1 angefügt. Verändert
weder Matrix1 noch Matrix2.
avgRC() (Durchschnittliche Änderungsrate) Katalog >
avgRC(Ausdr1,Var [=Wert] [,Schritt])⇒Ausdruck
avgRC(Ausdr1,Var [=Wert] [,Liste1])⇒Liste
avgRC(Liste1,Var [=Wert] [,Schritt])⇒Liste
avgRC(Matrix1,Var [=Wert] [,Schritt])⇒Matrix
Gibt den rechtsseitigen Differenzenquotienten zurück
(durchschnittliche Änderungsrate).
Ausdr1 kann eine benutzerdefinierte Funktion sein
(siehe Func).
Wenn Wert angegeben ist, setzt er jede
vorausgegangene Variablenzuweisung oder jede
aktuelle „|“Ersetzung für die Variable außer Kraft.
Schritt ist der Schrittwert. Wird Schritt nicht
angegeben, wird als Vorgabewert 0,001 benutzt.
Beachten Sie, dass die ähnliche Funktion centralDiff()
den zentralen Differenzenquotienten benutzt.

B
bal() Katalog >
bal(NPmt,N,I,PV,[Pmt],[FV],[PpY],[CpY],[PmtAt],
[WertRunden])⇒Wert
bal(NPmt,AmortTabelle)⇒Wert
Amortisationsfunktion, die den Saldo nach einer
angegebenen Zahlung berechnet.
N,I,PV,Pmt,FV,PpY,CpY und PmtAt werden in der
TVM-Argumentetabelle (Seite 189) beschrieben.
NPmt bezeichnet die Zahlungsnummer, nach der die
Daten berechnet werden sollen.
N,I,PV,Pmt,FV,PpY,CpY und PmtAt werden in der
TVM-Argumentetabelle (Seite 189) beschrieben.
• Wenn Sie Pmt nicht angeben, wird
standardmäßig Pmt=tvmPmt
(N,I,PV,FV,PpY,CpY,PmtAt)eingesetzt.
• Wenn Sie FV nicht angeben, wird
standardmäßig FV=0 eingesetzt.
• Die Standardwerte für PpY,CpY und PmtAt sind
dieselben wie bei den TVM-Funktionen.
WertRunden (roundValue) legt die Anzahl der
Dezimalstellen für das Runden fest. Standard=2.
bal(NPmt,AmortTabelle)berechnet den Saldo nach
jeder Zahlungsnummer NPmt auf der Grundlage der
Amortisationstabelle AmortTabelle. Das Argument
AmortTabelle (amortTable) muss eine Matrix in der
unter amortTbl(), Seite 12, beschriebenen Form sein.
Hinweis: Siehe auch GInt() und GPrn(), Seite 218.
4Base2 Katalog >
Ganzzahl1 4Base2⇒Ganzzahl
Hinweis: Sie können diesen Operator über die
Tastatur Ihres Computers eingeben, indem Sie
@>Base2 eintippen.
Konvertiert Ganzzahl1 in eine Binärzahl. Dual- oder
Hexadezimalzahlen weisen stets das Präfix 0b bzw.
Alphabetische Auflistung 21

22 Alphabetische Auflistung
4Base2 Katalog >
0h auf. Null (nicht Buchstabe O) und b oder h.
0b binäre_Zahl
0h hexadezimale_Zahl
Eine Dualzahl kann bis zu 64 Stellen haben, eine
Hexadezimalzahl bis zu 16.
Ohne Präfix wird Ganzzahl1 als Dezimalzahl
behandelt (Basis10). Das Ergebnis wird unabhängig
vom Basis-Modus binär angezeigt.
Negative Zahlen werden als Binärkomplement
angezeigt. Beispiel:
N1wird angezeigt als
0hFFFFFFFFFFFFFFFFim Hex-Modus
0b111...111 (64Einsen)im Binärmodus
N263 wird angezeigt als
0h8000000000000000im Hex-Modus
0b100...000 (63 Nullen)im Binärmodus
Geben Sie eine dezimale ganze Zahl ein, die
außerhalb des Bereichs einer 64-Bit-Dualform mit
Vorzeichen liegt, dann wird eine symmetrische
Modulo-Operation ausgeführt, um den Wert in den
erforderlichen Bereich zu bringen. Die folgenden
Beispiele verdeutlichen, wie diese Anpassung erfolgt:
263 wird zu N263 und wird angezeigt als
0h8000000000000000im Hex-Modus
0b100...000 (63 Nullen)im Binärmodus
264 wird zu 0 und wird angezeigt als
0h0im Hex-Modus
0b0im Binärmodus
N263 N1 wird zu 263 N1 und wird angezeigt als
0h7FFFFFFFFFFFFFFFim Hex-Modus

4Base2 Katalog >
0b111...111 (641’s)im Binärmodus
4Base10 Katalog >
Ganzzahl1 4Base10⇒Ganzzahl
Hinweis: Sie können diesen Operator über die
Tastatur Ihres Computers eingeben, indem Sie
@>Base10 eintippen.
Konvertiert Ganzzahl1 in eine Dezimalzahl (Basis10).
Ein binärer oder hexadezimaler Eintrag muss stets
das Präfix 0b bzw. 0h aufweisen.
0b binäre_Zahl
0h hexadezimale_Zahl
Null (nicht Buchstabe O) und b oder h.
Eine Dualzahl kann bis zu 64 Stellen haben, eine
Hexadezimalzahl bis zu 16.
Ohne Präfix wird Ganzzahl1 als Dezimalzahl
behandelt. Das Ergebnis wird unabhängig vom Basis-
Modus dezimal angezeigt.
4Base16 Katalog >
Ganzzahl1 4Base16⇒Ganzzahl
Hinweis: Sie können diesen Operator über die
Tastatur Ihres Computers eingeben, indem Sie
@>Base16 eintippen.
Wandelt Ganzzahl1 in eine Hexadezimalzahl um.
Dual- oder Hexadezimalzahlen weisen stets das
Präfix 0b bzw. 0h auf.
0b binäre_Zahl
0h hexadezimale_Zahl
Null (nicht Buchstabe O) und b oder h.
Eine Dualzahl kann bis zu 64 Stellen haben, eine
Hexadezimalzahl bis zu 16.
Ohne Präfix wird Ganzzahl1 als Dezimalzahl
behandelt (Basis10). Das Ergebnis wird unabhängig
Alphabetische Auflistung 23

24 Alphabetische Auflistung
4Base16 Katalog >
vom Basis-Modus hexadezimal angezeigt.
Geben Sie eine dezimale ganze Zahl ein, die für eine
64-Bit-Dualform mit Vorzeichen zu groß ist, dann wird
eine symmetrische Modulo-Operation ausgeführt, um
den Wert in den erforderlichen Bereich zu bringen.
Weitere Informationen finden Sie unter 4Base2, Seite
21.
binomCdf() Katalog >
binomCdf(n,p)⇒Zahl
binomCdf(n,p,untereGrenze,obereGrenze)⇒Zahl, wenn
untereGrenze und obereGrenze Zahlen sind, Liste, wenn
untereGrenze und obereGrenze Listen sind
binomCdf(n,p,obereGrenze)für P(0{X{obereGrenze)⇒Zahl,
wenn obereGrenze eine Zahl ist, Liste, wenn obereGrenze eine
Liste ist
Berechnet die kumulative Wahrscheinlichkeit für die diskrete
Binomialverteilung mit nVersuchen und der Wahrscheinlichkeit p
für einen Erfolg in jedem Einzelversuch.
Für P(X {obereGrenze) setzen Sie untereGrenze=0
binomPdf() Katalog >
binomPdf(n,p)⇒Zahl
binomPdf(n,p,XWert)⇒Zahl, wenn XWert eine Zahl ist, Liste,
wenn XWert eine Liste ist
Berechnet die Wahrscheinlichkeit an einem XWert für die
diskrete Binomialverteilung mit nVersuchen und der
Wahrscheinlichkeit pfür den Erfolg in jedem Einzelversuch.
C
ceiling() (Obergrenze) Katalog >
ceiling(Ausdr1)⇒Ganzzahl
Gibt die erste ganze Zahl zurück, die |dem Argument

ceiling() (Obergrenze) Katalog >
ist.
Das Argument kann eine reelle oder eine komplexe
Zahl sein.
Hinweis: Siehe auch floor().
ceiling(Liste1)⇒Liste
ceiling(Matrix1)⇒Matrix
Für jedes Element einer Liste oder Matrix wird die
kleinste ganze Zahl, die größer oder gleich dem
Element ist, zurückgegeben.
centralDiff() Katalog >
centralDiff(Ausdr1,Var [=Wert][,Schritt])⇒Ausdruck
centralDiff(Ausdr1,Var [,Schritt])
|Var=Wert⇒Ausdruck
centralDiff(Ausdr1,Var [=Wert][,Liste])⇒Liste
centralDiff(Liste1,Var [=Wert][,Schritt])⇒Liste
centralDiff(Matrix1,Var [=Wert][,Schritt])⇒Matrix
Gibt die numerische Ableitung unter Verwendung des
zentralen Differenzenquotienten zurück.
Wenn Wert angegeben ist, setzt er jede
vorausgegangene Variablenzuweisung oder jede
aktuelle „|“Ersetzung für die Variable außer Kraft.
Schritt ist der Schrittwert. Wird Schritt nicht
angegeben, wird als Vorgabewert 0,001 benutzt.
Wenn Sie Liste1 oder Matrix1 verwenden, wird die
Operation über die Werte in der Liste oder die
Matrixelemente abgebildet.
Hinweis: Siehe auch und d().
cFactor() (Komplexer Faktor) Katalog >
cFactor(Ausdr1[,Var])⇒Ausdruck
cFactor(Liste1[,Var])⇒Liste
cFactor(Matrix1[,Var])⇒Matrix
Alphabetische Auflistung 25

26 Alphabetische Auflistung
cFactor() (Komplexer Faktor) Katalog >
cFactor(Ausdr1)gibt Ausdr1 nach allen seinen
Variablen über einem gemeinsamen Nenner
faktorisiert zurück.
Ausdr1 wird soweit wie möglich in lineare rationale
Faktoren zerlegt, selbst wenn dies die Einführung
neuer nicht-reeller Zahlen bedeutet. Diese Alternative
ist angemessen, wenn Sie die Faktorisierung
bezüglich mehr als einer Variablen vornehmen
möchten.
cFactor(Ausdr1,Var)gibt Ausdr1 nach der Variablen
Var faktorisiert zurück.
Ausdr1 wird soweit wie möglich in Faktoren zerlegt,
die linear in Var sind, mit möglicherweise nicht-reellen
Konstanten, selbst wenn irrationale Konstanten oder
Unterausdrücke, die in anderen Variablen irrational
sind, eingeführt werden.
Die Faktoren und ihre Terme werden mit Var als
Hauptvariable sortiert. Gleichartige Potenzen von Var
werden in jedem Faktor zusammengefasst. Beziehen
Sie Var ein, wenn die Faktorisierung nur bezüglich
dieser Variablen benötigt wird und Sie irrationale
Ausdrücke in anderen Variablen akzeptieren
möchten, um die Faktorisierung bezüglich Var so weit
wie möglich vorzunehmen. Eskann sein, dass als
Nebeneffekt in gewissem Umfang eine
Faktorisierung nach anderen Variablen auftritt.
Bei der Einstellung Auto für den Modus Auto oder
Näherung ermöglicht die Einbeziehung von Var auch
eine Näherung mit Gleitkommakoeffizienten in Fällen,
wo irrationale Koeffizienten nicht explizit bezüglich
der integrierten Funktionen ausgedrückt werden
können. Selbst wenn es nur eine Variable gibt, kann
das Einbeziehen von Var eine vollständigere
Faktorisierung ermöglichen.
Hinweis: Siehe auch factor().
Um das ganze Ergebnis zu sehen, drücken Sie £
und verwenden dann ¡und ¢, um den Cursor zu
bewegen.

char() (Zeichenstring) Katalog >
char(Ganzzahl)⇒Zeichen
Gibt ein Zeichenstring zurück, das das Zeichen mit
der Nummer Ganzzahl aus dem Zeichensatz des
Handhelds enthält. Der gültige Wertebereich für
Ganzzahl ist 0–65535.
charPoly() Katalog >
charPoly(Quadratmatrix,Var)⇒Polynomausdruck
charPoly(Quadratmatrix, Ausdr)⇒Polynomausdruck
charPoly(Quadratmatrix1,Matrix2)
⇒Polynomausdruck
Gibt das charakteristische Polynom von
Quadratmatrix zurück. Dascharakteristische
Polynom einer n×nMatrix A, gekennzeichnet durch pA
(l), ist das durch
pA(l) = det(l•INA)
definierte Polynom, wobei Idie n×n-Einheitsmatrix
kennzeichnet.
Quadratmatrix1 und Quadratmatrix2 müssen
dieselbe Dimension haben.
c22way Katalog >
c22way BeobMatrix
chi22way BeobMatrix
Berechnet eine c2Testgröße auf Grundlage einer beobachteten
Matrix BeobMatrix. Eine Zusammenfassung der Ergebnisse
wird in der Variable stat.results gespeichert. (Seite 170.)
Informationen zu den Auswirkungen leerer Elemente in einer
Matrix finden Sie unter “Leere (ungültige) Elemente” (Seite 229).
Ausgabevariable Beschreibung
stat.c2Chi-Quadrat-Testgröße: sum(beobachtet - erwartet)2/erwartet
stat.PVal Kleinste Signifikanzebene, bei der die Nullhypothese verworfen werden kann
Alphabetische Auflistung 27

28 Alphabetische Auflistung
Ausgabevariable Beschreibung
stat.df Freiheitsgrade der Chi-Quadrat-Testgröße
stat.ExpMat Berechnete Kontingenztafel der erwarteten Häufigkeiten bei Annahme der Nullhypothese
stat.CompMat Berechnete Matrix der Chi-Quadrat-Summanden in der Testgröße
c2Cdf() Katalog >
c2Cdf(untereGrenze,obereGrenze,Freigrad)⇒Zahl, wenn
untereGrenze und obereGrenze Zahlen sind, Liste, wenn
untereGrenze und obereGrenze Listen sind
chi2Cdf(untereGrenze,obereGrenze,Freiheitsgrad)⇒Zahl,
wenn untereGrenze und obereGrenze Zahlen sind, Liste, wenn
untereGrenze und obereGrenze Listen sind
Berechnet die Verteilungswahrscheinlichkeit c2zwischen
untereGrenze und obereGrenze für die angegebenen
Freiheitsgrade FreiGrad.
Für P(X{obereGrenze) setzen Sie untereGrenze= 0.
Informationen zu den Auswirkungen leerer Elemente in einer
Liste finden Sie unter “Leere (ungültige) Elemente” (Seite 229).
c2GOF Katalog >
c2GOF BeobListe,expListe,FreiGrad
chi2GOF BeobListe,expListe,FreiGrad
Berechnet eine Testgröße, um zu überprüfen, ob die
Stichprobendaten aus einer Grundgesamtheit stammen, die
einer bestimmten Verteilung genügt. obsList ist eine Liste von
Zählern und muss Ganzzahlen enthalten. Eine
Zusammenfassung der Ergebnisse wird in der Variablen
stat.results gespeichert. (Seite 170)
Informationen zu den Auswirkungen leerer Elemente in einer
Liste finden Sie unter “Leere (ungültige) Elemente” (Seite 229).
Ausgabevariable Beschreibung
stat.c2Chi-Quadrat-Testgröße: sum((beobachtet - erwartet)2/erwartet
stat.PVal Kleinste Signifikanzebene, bei der die Nullhypothese verworfen werden kann
stat.df Freiheitsgrade der Chi-Quadrat-Testgröße

Ausgabevariable Beschreibung
stat.CompList Liste der Chi-Quadrat-Summanden in der Testgröße
c2Pdf() Katalog >
c2Pdf(XWert,FreiGrad)⇒Zahl, wenn Xwert eine Zahl ist, Liste,
wenn XWert eine Liste ist
chi2Pdf(XWert,FreiGrad)⇒Zahl, wenn XWert eine Zahl ist,
Liste, wenn XWert eine Liste ist
Berechnet die Wahrscheinlichkeitsdichtefunktion (Pdf) einer c2-
Verteilung an einem bestimmten XWert für die vorgegebenen
Freiheitsgrade FreiGrad.
Informationen zu den Auswirkungen leerer Elemente in einer
Liste finden Sie unter “Leere (ungültige) Elemente” (Seite 229).
ClearAZ (LöschAZ) Katalog >
ClearAZ
Löscht alle Variablen mit einem Zeichen im aktuellen
Problembereich.
Wenn eine oder mehrere Variablen gesperrt sind, wird
bei diesem Befehl eine Fehlermeldung angezeigt und
es werden nur die nicht gesperrten Variablen
gelöscht. Siehe unLock, Seite 191
ClrErr (LöFehler) Katalog >
ClrErr
Löscht den Fehlerstatus und setzt die Systemvariable
FehlerCode (errCode) auf Null.
Das Else im Block Try...Else...EndTry muss ClrErr oder PassErr
(ÜbgebFehler) verwenden. Wenn der Fehler verarbeitet oder
ignoriert werden soll, verwenden Sie ClrErr. Wenn nicht bekannt
ist, was mit dem Fehler zu tun ist, verwenden Sie PassErr, um
ihn an den nächsten Error Handler zu übergeben. Wenn keine
weiteren Try...Else...EndTry Error Handler unerledigt sind, wird
das Fehlerdialogfeld als normal angezeigt.
Hinweis: Siehe auch PassErr, Seite 127, und Try, Seite 185.
Ein Beispiel für ClrErr finden Sie als
Beispiel 2 im Abschnitt zum Befehl
Versuche (Try), Seite 185.
Alphabetische Auflistung 29

30 Alphabetische Auflistung
ClrErr (LöFehler) Katalog >
Hinweis zum Eingeben des Beispiels: Anweisungen für die
Eingabe von mehrzeiligen Programm- und Funktionsdefinitionen
finden Sie im Abschnitt „Calculator“des Produkthandbuchs.
colAugment() (Spaltenerweiterung) Katalog >
colAugment(Matrix1,Matrix2)⇒Matrix
Gibt eine neue Matrix zurück, die durch Anfügen von
Matrix2 an Matrix1 erzeugt wurde. Die Matrizen
müssen gleiche Spaltendimensionen haben, und
Matrix2 wird zeilenweise an Matrix1 angefügt.
Verändert weder Matrix1 noch Matrix2.
colDim() (Spaltendimension) Katalog >
colDim(Matrix)⇒Ausdruck
Gibt die Anzahl der Spalten von Matrix zurück.
Hinweis: Siehe auch rowDim().
colNorm() (Spaltennorm) Katalog >
colNorm(Matrix)⇒Ausdruck
Gibt das Maximum der Summen der absoluten
Elementwerte der Spalten von Matrix zurück.
Hinweis: Undefinierte Matrixelemente sind nicht
zulässig. Siehe auch rowNorm().
comDenom() (Gemeinsamer Nenner) Katalog >
comDenom(Ausdr1[,Var])⇒Ausdruck
comDenom(Liste1[,Var])⇒Liste
comDenom(Matrix1[,Var])⇒Matrix
comDenom(Ausdr1)gibt den gekürzten Quotienten
aus einem vollständig entwickelten Zähler und einem
vollständig entwickelten Nenner zurück.

comDenom() (Gemeinsamer Nenner) Katalog >
comDenom(Ausdr1,Var)gibt einen gekürzten
Quotienten von Zähler und Nenner zurück, der
bezüglich Var entwickelt wurde. DieTerme und
Faktoren werden mit Var als der Hauptvariablen
sortiert. Gleichartige Potenzen von Var werden
zusammengefasst. Eskann sein, dass als
Nebeneffekt eine Faktorisierung der
zusammengefassten Koeffizienten auftritt.
Verglichen mit dem Weglassen von Var spart dies
häufig Zeit, Speicherplatz und Platz auf dem
Bildschirm und macht den Ausdruck verständlicher.
Außerdem werden anschließende Operationen an
diesem Ergebnis schneller, und es wird weniger
wahrscheinlich, dass der Speicherplatz ausgeht.
Wenn Var nicht in Ausdr1 vorkommt, gibt comDenom
(Ausdr1,Var)einen gekürzten Quotienten eines nicht
entwickelten Zählers und eines nicht entwickelten
Nenners zurück. Solche Ergebnisse sparen meist
sogar noch mehr Zeit, Speicherplatz und Platz auf
dem Bildschirm. Solche partiell faktorisierten
Ergebnisse machen ebenfalls anschließende
Operationen mit dem Ergebnis schneller und das
Erschöpfen des Speicherplatzes weniger
wahrscheinlich.
Sogar wenn kein Nenner vorhanden ist, ist die
Funktion comden häufig ein gutes Mittel für das
partielle Faktorisieren, wenn factor() zu langsam ist
oder den Speicherplatz erschöpft.
Tipp: Geben Sie diese Funktionsdefinition comden()
ein, und verwenden Sie sie regelmäßig als Alternative
zu comDenom() und factor().
completeSquare () Katalog >
completeSquare(AusdrOdGl,Var)⇒Ausdruck oder
Gleichung
completeSquare(AusdrOdGl,Var^Potenz)
⇒Ausdruck oder Gleichung
completeSquare(AusdrOdGl,Var1, Var2 [,...])
⇒Ausdruck oder Gleichung
Alphabetische Auflistung 31

32 Alphabetische Auflistung
completeSquare () Katalog >
completeSquare(AusdrOdGl,{Var1, Var2 [,...]})
⇒Ausdruck oder Gleichung
Konvertiert einen quadratischen Polynomausdruck
der Form a·x2+b·x+c in die Form a·(x-h)2+k
- oder -
Konvertiert eine quadratische Gleichung der Form
a·x2+b·x+c=d in die Form a·(x-h)2=k
Das erste Argument muss ein quadratischer
Ausdruck oder eine Gleichung im Standardformat
bezüglich des zweiten Arguments sein.
Das zweite Argument muss ein einzelner univariater
Term bzw. ein einzelner univariater Term hoch einer
rationalen Potenz sein, z. B. x,y2oderz(1/3).
Die dritte und vierte Syntax versuchen, das Quadrat
mit Bezug auf Var1,Var2 [,… ]) zu vervollständigen.
conj() (Komplex Konjugierte) Katalog >
conj(Ausdr1)⇒Ausdruck
conj(Liste1)⇒Liste
conj(Matrix1)⇒Matrix
Gibt das komplex Konjugierte des Arguments zurück.
Hinweis: Alle undefinierten Variablen werden als reelle
Variablen behandelt.
constructMat() Katalog >
constructMat
(Ausdr,Var1,Var2,AnzZeilen,AnzSpalten)⇒Matrix
Gibt eine Matrix auf der Basis der Argumente zurück.
Ausdr ist ein Ausdruck in Variablen Var1 und Var2.
Die Elemente in der resultierenden Matrix ergeben
sich durch Berechnung von Ausdr für jeden
inkrementierten Wert von Var1 und Var2.
Var1 wird automatisch von 1bis AnzZeilen
inkrementiert. In jeder Zeile wird Var2 inkrementiert

constructMat() Katalog >
von 1bis AnzSpalten.
CopyVar Katalog >
CopyVar Var1,Var2
CopyVar Var1., Var2.
CopyVar Var1,Var2 kopiert den Wert der Variablen
Var1 auf die Variable Var2 und erstellt ggf. Var2.
Variable Var1 muss einen Wert haben.
Wenn Var1 der Name einer vorhandenen
benutzerdefinierten Funktion ist, wird die Definition
dieser Funktion nach Funktion Var2 kopiert. Funktion
Var1 muss definiert sein.
Var1 muss die Benennungsregeln für Variablen
erfüllen oder muss ein indirekter Ausdruck sein, der
sich zu einem Variablennamen vereinfachen lässt,
der den Regeln entspricht.
CopyVar Var1.,Var2. kopiert alle Mitglieder der Var1.
-Variablengruppe auf die Var2. -Gruppe und erstellt
ggf. Var2..
Var1. muss der Name einer bestehenden
Variablengruppe sein, wie die Statistikergebnisse
stat.nn oder Variablen, die mit der Funktion
LibShortcut() erstellt wurden. Wenn Var2. schon
vorhanden ist, ersetzt dieser Befehl alle Mitglieder,
die zu beiden Gruppen gehören, und fügt die
Mitglieder hinzu, die noch nicht vorhanden sind. Wenn
einer oder mehrere Teile von Var2. gesperrt ist/sind,
wird kein Teil von Var2. geändert.
corrMat() (Korrelationsmatrix) Katalog >
corrMat(Liste1,Liste2[,…[,Liste20]])
Berechnet die Korrelationsmatrix für die erweiterte Matrix [Liste1
Liste2 ...Liste20].
Alphabetische Auflistung 33

34 Alphabetische Auflistung
4cos Katalog >
Ausdr 4cos
Hinweis: Sie können diesen Operator über die
Tastatur Ihres Computers eingeben, indem Sie
@>cos eintippen.
Drückt Ausdr durch Kosinus aus. Dies ist ein
Anzeigeumwandlungsoperator. Er kann nur am Ende
der Eingabezeile verwendet werden.
4cos reduziert alle Potenzen von
sin(...) modulo 1Ncos(...)^2,
so dass alle verbleibenden Potenzen von cos(...)
Exponenten im Bereich (0, 2) haben. Deshalb enthält
das Ergebnis dann und nur dann kein sin(...), wenn sin
(...) im gegebenen Ausdruck nur bei geraden
Potenzen auftritt.
Hinweis: Dieser Umrechnungsoperator wird im
Winkelmodus Grad oder Neugrad (Gon) nicht
unterstützt. Bevor Sie ihn verwenden, müssen Sie
sicherstellen, dass der Winkelmodus auf Radian
eingestellt ist und Ausdr keine expliziten Verweise auf
Winkel in Grad oder Neugrad enthält.
cos() (Kosinus) µTaste
cos(Ausdr1)⇒Ausdruck
cos(Liste1)⇒Liste
cos(Ausdr1)gibt den Kosinus des Arguments als
Ausdruck zurück.
cos(Liste1)gibt in Form einer Liste für jedes Element
in Liste1 den Kosinus zurück.
Hinweis: Der als Argument angegebene Winkel wird
gemäß der aktuellen Winkelmoduseinstellung als
Grad, Neugrad oder Bogenmaß interpretiert. Sie
können ¡,Goder Rbenutzen, um den Winkelmodus
vorübergend aufzuheben.
Im Grad-Modus:
Im Neugrad-Modus:
Im Bogenmaß-Modus:

cos() (Kosinus) µTaste
cos(Quadratmatrix1)⇒Quadratmatrix
Gibt den Matrix-Kosinus von Quadratmatrix1 zurück.
Dies ist nicht gleichbedeutend mit der Berechnung
des Kosinus jedes einzelnen Elements.
Wenn eine skalare Funktion f(A) auf Quadratmatrix1
(A) angewendet wird, erfolgt die Berechnung des
Ergebnisses durch den Algorithmus:
Berechnung der Eigenwerte (li) und Eigenvektoren
(Vi) von A.
Quadratmatrix1 muss diagonalisierbar sein. Sie darf
auch keine symbolischen Variablen ohne
zugewiesene Werte enthalten.
Bildung der Matrizen:
Dann ist A = X B X/und f(A) = X f(B) X/. Beispiel: cos
(A) =X cos(B) X/, wobei:
cos (B) =
Alle Berechnungen werden unter Verwendung von
Fließkomma-Operationen ausgeführt.
Im Bogenmaß-Modus:
cos/() (Arkuskosinus) µTaste
cos/(Ausdr1)⇒Ausdruck
cos/(Liste1)⇒Liste
Im Grad-Modus:
Alphabetische Auflistung 35

36 Alphabetische Auflistung
cos/() (Arkuskosinus) µTaste
cos/(Ausdr1)gibt den Winkel, dessen Kosinus
Ausdr1 ist, als Ausdruck zurück.
cos/(Liste1)gibt in Form einer Liste für jedes
Element aus Liste1 den inversen Kosinus zurück.
Hinweis: Das Ergebnis wird gemäß der aktuellen
Winkelmoduseinstellung in Grad, in Neugrad oder im
Bogenmaß zurückgegeben.
Hinweis: Sie können diese Funktion über die Tastatur
Ihres Computers eingeben, indem Sie arccos(...)
eintippen.
Im Neugrad-Modus:
Im Bogenmaß-Modus:
cos/(Quadratmatrix1)⇒Quadratmatrix
Gibt den inversen Matrix-Kosinus von
Quadratmatrix1 zurück. Dies ist nicht
gleichbedeutend mit der Berechnung des inversen
Kosinus jedes einzelnen Elements. Näheres zur
Berechnungsmethode finden Sie im Abschnitt cos().
Quadratmatrix1 muss diagonalisierbar sein. Das
Ergebnis enthält immer Fließkommazahlen.
Im Winkelmodus Bogenmaß und Komplex-
Formatmodus “kartesisch”:
Um das ganze Ergebnis zu sehen, drücken Sie £
und verwenden dann ¡und ¢, um den Cursor zu
bewegen.
cosh() (Cosinus hyperbolicus) Katalog >
cosh(Ausdr1)⇒Ausdruck
cosh(Liste1)⇒Liste
cosh(Ausdr1)gibt den Cosinus hyperbolicus des
Arguments als Ausdruck zurück.
cosh(Liste1) gibt in Form einer Liste für jedes
Element aus Liste1 den Cosinus hyperbolicus
zurück.
Im Grad-Modus:
cosh(Quadratmatrix1)⇒Quadratmatrix
Gibt den Matrix-Cosinus hyperbolicus von
Quadratmatrix1 zurück. Dies ist nicht
gleichbedeutend mit der Berechnung des Cosinus
hyperbolicus jedes einzelnen Elements. Näheres zur
Berechnungsmethode finden Sie im Abschnitt cos().
Quadratmatrix1 muss diagonalisierbar sein. Das
Ergebnis enthält immer Fließkommazahlen.
Im Bogenmaß-Modus:

cosh/() (Arkuskosinus hyperbolicus) Katalog >
cosh/(Ausdr1)⇒Ausdruck
cosh/(Liste1)⇒Liste
cosh/(Ausdr1)gibt den inversen Cosinus
hyperbolicus des Arguments als Ausdruck zurück.
cosh/(Liste1) gibt in Form einer Liste für jedes
Element aus Liste1 den inversen Cosinus
hyperbolicus zurück.
Hinweis: Sie können diese Funktion über die Tastatur
Ihres Computers eingeben, indem Sie arccosh(...)
eintippen.
cosh/(Quadratmatrix1)⇒Quadratmatrix
Gibt den inversen Matrix-Cosinus hyperbolicus von
Quadratmatrix1 zurück. Dies ist nicht
gleichbedeutend mit der Berechnung des inversen
Cosinus hyperbolicus jedes einzelnen Elements.
Näheres zur Berechnungsmethode finden Sie im
Abschnitt cos().
Quadratmatrix1 muss diagonalisierbar sein. Das
Ergebnis enthält immer Fließkommazahlen.
Im Winkelmodus Bogenmaß und Komplex-
Formatmodus “kartesisch”:
Um das ganze Ergebnis zu sehen, drücken Sie £
und verwenden dann ¡und ¢, um den Cursor zu
bewegen.
cot() (Kotangens) µTaste
cot(Ausdr1)⇒Ausdruck
cot(Liste1)⇒Liste
Gibt den Kotangens von Ausdr1 oder eine Liste der
Kotangens aller Elemente in Liste1 zurück.
Hinweis: Der als Argument angegebene Winkel wird
gemäß der aktuellen Winkelmoduseinstellung als
Grad, Neugrad oder Bogenmaß interpretiert. Sie
können ¡,Goder Rbenutzen, um den Winkelmodus
vorübergend aufzuheben.
Im Grad-Modus:
Im Neugrad-Modus:
Im Bogenmaß-Modus:
Alphabetische Auflistung 37

38 Alphabetische Auflistung
cot/() (Arkuskotangens) µTaste
cot/(Ausdr1)⇒Ausdruck
cot/(Liste1)⇒Liste
Gibt entweder den Winkel, dessen Kotangens Ausdr1
ist, oder eine Liste der inversen Kotangens aller
Elemente in Liste1 zurück.
Hinweis: Das Ergebnis wird gemäß der aktuellen
Winkelmoduseinstellung in Grad, in Neugrad oder im
Bogenmaß zurückgegeben.
Hinweis: Sie können diese Funktion über die Tastatur
Ihres Computers eingeben, indem Sie arccot(...)
eintippen.
Im Grad-Modus:
Im Neugrad-Modus:
Im Bogenmaß-Modus:
coth() (Kotangens hyperbolicus) Katalog >
coth(Ausdr1)⇒Ausdruck
coth(Liste1)⇒Liste
Gibt den hyperbolischen Kotangens von Ausdr1 oder
eine Liste der hyperbolischen Kotangens aller
Elemente in Liste1 zurück.
coth/() (Arkuskotangens hyperbolicus) Katalog >
coth/(Ausdr1)⇒Ausdruck
coth/(Liste1)⇒Liste
Gibt den inversen hyperbolischen Kotangens von
Ausdr1 oder eine Liste der inversen hyperbolischen
Kotangens aller Elemente in Liste1 zurück.
Hinweis: Sie können diese Funktion über die Tastatur
Ihres Computers eingeben, indem Sie arccoth(...)
eintippen.

count() (zähle) Katalog >
count(Wert1oderListe1 [,Wert2oderListe2 [,...]])
⇒Wert
Gibt die kumulierte Anzahl aller Elemente in den
Argumenten zurück, deren Auswertungsergebnisse
numerische Werte sind.
Jedes Argument kann ein Ausdruck, ein Wert, eine
Liste oder eine Matrix sein. Sie können Datenarten
mischen und Argumente unterschiedlicher
Dimensionen verwenden.
Für eine Liste, eine Matrix oder einen Zellenbereich
wird jedes Element daraufhin ausgewertet, ob es in
die Zählung eingeschlossen werden soll.
Innerhalb der Lists & Spreadsheet Applikation können
Sie anstelle eines beliebigen Arguments auch einen
Zellenbereich verwenden.
Leere (ungültige) Elemente werden ignoriert. Weitere
Informationen zu leeren Elementen finden Sie (Seite
229).
Im letzten Beispiel werden nur 1/2 und 3+4*igezählt.
Die übrigen Argumente ergeben unter der Annahme,
dass xnicht definiert ist, keine numerischen Werte.
countIf() Katalog >
countIf(Liste,Kriterien)⇒Wert
Gibt die kumulierte Anzahl aller Elemente in der Liste
zurück, die die festgelegten Kriterien erfüllen.
Kriterien können sein:
• Ein Wert, ein Ausdruck oder eine Zeichenfolge.
So zählt zum Beispiel 3nur Elemente in der
Liste, die vereinfacht den Wert 3 ergeben.
• Ein Boolescher Ausdruck, der das
Sonderzeichen ?als Platzhalter für jedes
Element verwendet. Beispielsweise zählt ?<5
nur die Elemente in der Liste, die kleiner als 5
sind.
Innerhalb der Lists & Spreadsheet Applikation können
Sie anstelle der Liste auch einen Zellenbereich
verwenden.
Leere (ungültige) Elemente in der Liste werden
ignoriert. Weitere Informationen zu leeren Elementen
finden Sie (Seite 229).
Zählt die Anzahl der Elemente, die 3 entsprechen.
Zählt die Anzahl der Elemente, die “def.” entsprechen
Zählt die Anzahl der Elemente, die xentsprechen;
dieses Beispiel nimmt an, dass die Variable xnicht
definiert ist.
Zählt 1 und 3.
Alphabetische Auflistung 39

40 Alphabetische Auflistung
countIf() Katalog >
Hinweis: Siehe auch sumIf(), Seite 175, und
frequency(), Seite 76.
Zählt 3, 5 und 7.
Zählt 1, 3, 7 und 9.
cPolyRoots() Katalog >
cPolyRoots(Poly,Var)⇒Liste
cPolyRoots(KoeffListe)⇒Liste
Die erste Syntax cPolyRoots(Poly,Var)gibt eine
Liste mit komplexen Wurzeln des Polynoms Poly
bezüglich der Variablen Var zurück.
Poly muss dabei ein Polynom in einer Variablen sein.
Die zweite Syntax cPolyRoots(KoeffListe)liefert eine
Liste mit komplexen Wurzeln für die Koeffizienten in
KoeffListe.
Hinweis: Siehe auch polyRoots(), Seite 132.
crossP() (Kreuzprodukt) Katalog >
crossP(Liste1,Liste2)⇒Liste
Gibt das Kreuzprodukt von Liste1 und Liste2 als Liste
zurück.
Liste1 und Liste2 müssen die gleiche Dimension
besitzen, die entweder 2 oder 3 sein muss.
crossP(Vektor1,Vektor2)⇒Vektor
Gibt einen Zeilen- oder Spaltenvektor zurück (je nach
den Argumenten), der das Kreuzprodukt von Vektor1
und Vektor2 ist.
Entweder müssen Vektor1 und Vektor2 beide
Zeilenvektoren oder beide Spaltenvektoren sein.
Beide Vektoren müssen die gleiche Dimension

crossP() (Kreuzprodukt) Katalog >
besitzen, die entweder 2oder3 sein muss.
csc() (Kosekans) µTaste
csc(Ausdr1)⇒Ausdruck
csc(Liste1)⇒Liste
Gibt den Kosekans von Ausdr1 oder eine Liste der
Konsekans aller Elemente in Liste1 zurück.
Im Grad-Modus:
Im Neugrad-Modus:
Im Bogenmaß-Modus:
csc/() (Inverser Kosekans) µTaste
csc/(Ausdr1)⇒Ausdruck
csc/(Liste1)⇒Liste
Gibt entweder den Winkel, dessen Kosekans Ausdr1
entspricht, oder eine Liste der inversen Kosekans
aller Elemente in Liste1 zurück.
Hinweis: Das Ergebnis wird gemäß der aktuellen
Winkelmoduseinstellung in Grad, in Neugrad oder im
Bogenmaß zurückgegeben.
Hinweis: Sie können diese Funktion über die Tastatur
Ihres Computers eingeben, indem Sie arccsc(...)
eintippen.
Im Grad-Modus:
Im Neugrad-Modus:
Im Bogenmaß-Modus:
Alphabetische Auflistung 41

42 Alphabetische Auflistung
csch() (Kosekans hyperbolicus) Katalog >
csch(Ausdr1)⇒Ausdruck
csch(Liste1)⇒Liste
Gibt den hyperbolischen Kosekans von Ausdr1 oder
eine Liste der hyperbolischen Kosekans aller
Elemente in Liste1 zurück.
csch/() (Inverser Kosekans hyperbolicus) Katalog >
csch/(Ausdr1)⇒Ausdruck
csch/(Liste1)⇒Liste
Gibt den inversen hyperbolischen Kosekans von
Ausdr1 oder eine Liste der inversen hyperbolischen
Kosekans aller Elemente in Liste1 zurück.
Hinweis: Sie können diese Funktion über die Tastatur
Ihres Computers eingeben, indem Sie arccsch(...)
eintippen.
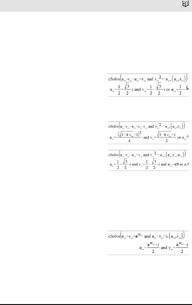
cSolve() (Komplexe Lösung) Katalog >
cSolve(Gleichung,Var)⇒Boolescher Ausdruck
cSolve(Gleichung,Var=Schätzwert)⇒Boolescher
Ausdruck
cSolve(Ungleichung,Var)⇒Boolescher Ausdruck
Gibt mögliche komplexe Lösungen einer Gleichung
oder Ungleichung für Var zurück. Das Ziel ist,
Kandidaten für alle reellen und nicht-reellen Lösungen
zu erhalten. Selbst wenn Gleichung reel ist, erlaubt
cSolve() nicht-reelle Lösungen im reellen Modus.
Obwohl alle undefinierten Variablen, die mit einem
Unterstrich (_) enden, so verarbeitet werden, als
wären sie reell, kann cSolve() Polynomgleichungen
für komplexe Lösungen lösen.

cSolve() (Komplexe Lösung) Katalog >
cSolve() setzt den Bereich während der Berechnung
zeitweise auf komplex, auch wenn der aktuelle
Bereich reell ist. Im Komplexen benutzen
Bruchexponenten mit ungeradem Nenner den
Hauptzweig und sind nicht reell. Demzufolge sind
Lösungen mit solve() für Gleichungen, die solche
Bruchexponenten besitzen, nicht unbedingt eine
Teilmenge der mit cSolve() erzielten Lösungen.
cSolve() beginnt mit exakten symbolischen
Verfahren. Außer im Modus Exakt benutzt cSolve()
bei Bedarf auch die iterative näherungsweise
polynomische Faktorisierung.
Hinweis: Siehe auch cZeros(),solve() und zeros().
Hinweis: Enthält Gleichung Funktionen wie
beispielsweise abs(),angle(),conj(),real() oder imag
(), ist sie also kein Polynom, sollten Sie einen
Unterstrich (/_ drücken) hinter Var setzen.
Standardmäßig wird eine Variable als reeller Wert
behandelt.
Im Modus Angezeigte Ziffern auf Fix 2:
Um das ganze Ergebnis zu sehen, drücken Sie £
und verwenden dann ¡und ¢, um den Cursor zu
bewegen.
Bei Verwendung von var_ wird die Variable als
komplex behandelt.
Sie sollten var_ auch für alle anderen Variablen in
Gleichung verwenden, die nicht-reelle Werte haben
könnten. Anderenfalls erhalten Sie möglicherweise
unerwartete Ergebnisse.
cSolve(Glch1andGlch2 [and…],
VarOderSchätzwert1,VarOderSchätzwert2 [, … ])
⇒BoolescherAusdruck
cSolve(Gleichungssystem,VarOderSchätzwert1,
VarOderSchätzwert2 [, …])⇒BoolescherAusdruck
Gibt mögliche komplexe Lösungen eines
algebraischen Gleichungssystems zurück, in dem
jede VarOderSchätzwert eine Variable darstellt, nach
der Sie die Gleichungen auflösen möchten.
Sie haben die Option, eine Ausgangsschätzung für
eine Variable anzugeben. VarOderSchätzwert muss
immer die folgende Form haben:
Variable
Alphabetische Auflistung 43

44 Alphabetische Auflistung
cSolve() (Komplexe Lösung) Katalog >
– oder –
Variable = reelle oder nicht-reelle Zahl
Beispiel: x ist gültig und x=3+iebenfalls.
Wenn alle Gleichungen Polynome sind und Sie KEINE
Anfangsschätzwerte angeben, dann verwendet
cSolve() das lexikalischeGröbner/Buchbergersche
Eliminationsverfahren beim Versuch, alle komplexen
Lösungen zu bestimmen.
Hinweis: In folgenden Beispielen wird ein Unterstrich
(/_ drücken) verwendet, damit die Variablen
als komplex behandelt werden.
Komplexe Lösungen können, wie aus
nebenstehendem Beispiel hervorgeht, sowohl reelle
als auch nicht-reelle Lösungen enthalten.
Um das ganze Ergebnis zu sehen, drücken Sie £
und verwenden dann ¡und ¢, um den Cursor zu
bewegen.
Gleichungssysteme, die aus Polynomen bestehen,
können zusätzliche Variablen ohne Wert aufweisen,
die aber für numerische Werte stehen, welche später
eingesetzt werden können.
Sie können auch Lösungsvariablen angeben, die in
der Gleichung nicht erscheinen. Diese Lösungen
verdeutlichen, dass Lösungsfamilien willkürliche
Konstanten der Form ck enthalten können, wobei k
ein ganzzahliger Index im Bereich 1 bis 255 ist.
Bei Gleichungssystemen aus Polynomen kann die
Berechnungsdauer oder Speicherbelastung stark von
der Reihenfolge abhängen, in welcher Sie die
Lösungsvariablen angeben. Übersteigt Ihre erste
Wahl die Speicherkapazität oder Ihre Geduld,
versuchen Sie, die Variablen in der Gleichung
und/oder VarOderSchätzwert-Liste umzuordnen.
Wenn Sie keine Schätzwerte angeben und eine
Gleichung in einer Variablen nicht-polynomisch ist,
aber alle Gleichungen in allen Lösungsvariablen linear
sind, so verwendet cSolve() das Gaußsche
Eliminationsverfahren beim Versuch, alle Lösungen
zu bestimmen.

cSolve() (Komplexe Lösung) Katalog >
Wenn ein System weder in all seinen Variablen
polynomial noch in seinen Lösungsvariablen linear ist,
dann bestimmt cSolve() mindestens eine Lösung
anhand eines iterativen näherungsweisen Verfahrens.
Hierzu muss die Anzahl der Lösungsvariablen gleich
der Gleichungsanzahl sein, und alle anderen Variablen
in den Gleichungen müssen zu Zahlen vereinfachbar
sein.
Zur Bestimmung einer nicht-reellen Lösung ist häufig
ein nicht-reeller Schätzwert erforderlich. Für
Konvergenz sollte ein Schätzwert ziemlich nahe bei
einer Lösung liegen. Um das ganze Ergebnis zu sehen, drücken Sie £
und verwenden dann ¡und ¢, um den Cursor zu
bewegen.
CubicReg (Kubische Regression) Katalog >
CubicReg X,Y[,[Häuf] [,Kategorie,Mit]]
Berechnet die kubische polynomiale Regressiony = a·x3+b·
x2+c·x+dauf Listen Xund Ymit der Häufigkeit Häuf. Eine
Zusammenfassung der Ergebnisse wird in der Variablen
stat.results gespeichert. (Seite 170.)
Alle Listen außer Mit müssen die gleiche Dimension besitzen.
Xund Ysind Listen von unabhängigen und abhängigen Variablen.
Häuf ist eine optionale Liste von Häufigkeitswerten. Jedes
Element inHäuf gibt die Häufigkeit für jeden entsprechenden
Datenpunkt Xund Yan. Der Standardwert ist 1. Alle Elemente
müssen Ganzzahlen |0 sein.
Kategorie ist eine Liste von Kategoriecodes für die
entsprechenden Xund YDaten.
Mit ist eine Liste von einem oder mehreren Kategoriecodes.
Nursolche Datenelemente, deren Kategoriecode in dieser
Listeenthalten ist, sind in der Berechnung enthalten.
Informationen zu den Auswirkungen leerer Elemente in einer
Liste finden Sie unter “Leere (ungültige) Elemente” (Seite 229).
Ausgabevariable Beschreibung
stat.RegEqn Regressionsgleichung: a·x3+b·x2+c·x+d
Alphabetische Auflistung 45

46 Alphabetische Auflistung
Ausgabevariable Beschreibung
stat.a, stat.b, stat.c,
stat.d
Regressionskoeffizienten
stat.R2Bestimmungskoeffizient
stat.Resid Residuen von der Regression
stat.XReg Liste der Datenpunkte in der modifizierten X List, die schließlich in der Regression mit den
Beschränkungen für Häufigkeit,Kategorieliste und Mit Kategorien verwendet wurde
stat.YReg Liste der Datenpunkte in der modifizierten Y List, die schließlich in der Regression mit den
Beschränkungen für Häufigkeit,Kategorieliste und Mit Kategorien verwendet wurde
stat.FreqReg Liste der Häufigkeiten für stat.XReg und stat.YReg
cumulativeSum() (kumulierteSumme) Katalog >
cumulativeSum(Liste1)⇒Liste
Gibt eine Liste der kumulierten Summen der Elemente
aus Liste1 zurück, wobei bei Element1 begonnen
wird.
cumulativeSum(Matrix1)⇒Matrix
Gibt eine Matrix der kumulierten Summen der
Elemente aus Matrix1 zurück. Jedes Element ist die
kumulierte Summe der Spalte von oben nach unten.
Ein leeres (ungültiges) Element in Liste1 oder
Matrix1 erzeugt ein ungültiges Element in der
resultierenden Liste oder Matrix. Weitere
Informationen zu leeren Elementen finden Sie (Seite
229).
Cycle (Zyklus) Katalog >
Cycle (Zyklus)
Übergibt die Programmsteuerung sofort an die
nächste Wiederholung der aktuellen Schleife (For,
While oder Loop).
Cycle ist außerhalb dieser drei Schleifenstrukturen
(For,While oder Loop) nicht zulässig.
Hinweis zum Eingeben des Beispiels: Anweisungen
für die Eingabe von mehrzeiligen Programm- und
Funktionsdefinitionen finden Sie im Abschnitt
Funktionslisting, das die ganzen Zahlen von 1 bis 100
summiert und dabei 50 überspringt.

Cycle (Zyklus) Katalog >
„Calculator“des Produkthandbuchs.
4Cylind (Zylindervektor) Katalog >
Vektor 4Cylind
Hinweis: Sie können diesen Operator über die
Tastatur Ihres Computers eingeben, indem Sie
@>Cylind eintippen.
Zeigt den Zeilen- oder Spaltenvektor in
Zylinderkoordinaten [r,±q, z] an.
Vektor muss genau drei Elemente besitzen. Er kann
entweder ein Zeilen- oder Spaltenvektor sein.
cZeros() (Komplexe Nullstellen) Katalog >
cZeros(Ausdr,Var)⇒Liste
Gibt eine Liste möglicher reeller und nicht-reeller
Werte für Var zurück, die Ausdr=0 ergeben. cZeros()
tut dies durch Berechnung von
exp4list(cSolve(Ausdr=0,Var),Var). Ansonsten ist
cZeros() ähnlich wie zeros().
Hinweis: Siehe auch cSolve(),solve() und zeros().
Im Modus Angezeigte Ziffern auf Fix 3:
Um das ganze Ergebnis zu sehen, drücken Sie £
und verwenden dann ¡und ¢, um den Cursor zu
bewegen.
Hinweis: Ist Ausdr nicht-polynomial mit Funktionen
wie beispielsweise abs(),angle(),conj(),real() oder
imag(), sollten Sie einen Unterstrich (/_
drücken) hinter Var setzen. Standardmäßig wird eine
Variable als reeller Wert behandelt. Bei Verwendung
von var_ wird die Variable als komplex behandelt.
Alphabetische Auflistung 47

48 Alphabetische Auflistung
cZeros() (Komplexe Nullstellen) Katalog >
Sie sollten var_ auch für alle anderen Variablen in
Ausdr verwenden, die nicht-reelle Werte haben
könnten. Anderenfalls erhalten Sie möglicherweise
unerwartete Ergebnisse.
cZeros({Ausdr1,Ausdr2 [,… ] },
{VarOderSchätzwert1,VarOderSchätzwert2 [,… ] })
⇒Matrix
Gibt mögliche Positionen zurück, in welchen die
Ausdrücke gleichzeitig Null sind. Jeder
VarOderSchätzwert steht für eine Unbekannte, deren
Wert Sie suchen.
Sie haben die Option, eine Ausgangsschätzung für
eine Variable anzugeben. VarOderSchätzwert muss
immer die folgende Form haben:
Variable
– oder –
Variable = reelle oder nicht-reelle Zahl
Beispiel: x ist gültig und x=3+iebenfalls.
Wenn alle Ausdrücke Polynome sind und Sie KEINE
Anfangsschätzwerte angeben, dann verwendet
cZeros() das lexikalische Gröbner/Buchbergersche
Eliminationsverfahren beim Versuch, alle komplexen
Nullstellen zu bestimmen.
Hinweis: In folgenden Beispielen wird ein Unterstrich
_ (/_ drücken) verwendet, damit die Variablen
als komplex behandelt werden.
Komplexe Nullstellen können, wie aus
nebenstehendem Beispiel hervorgeht, sowohl reelle
als auch nicht-reelle Nullstellen enthalten.
Jede Zeile der sich ergebenden Matrix stellt eine
alternative Nullstelle dar, wobei die Komponenten in
derselben Reihenfolge wie in der VarOderSchätzwert-
Liste angeordnet sind. Um eine Zeile zu erhalten ist
die Matrix nach [Zeile] zu indizieren. Zeile 2 extrahieren:

cZeros() (Komplexe Nullstellen) Katalog >
Gleichungssysteme, die aus Polynomen bestehen,
können zusätzliche Variablen haben, die zwar ohne
Werte sind, aber gegebene numerische Werte
darstellen, die später eingesetzt werden können.
Sie können auch unbekannte Variablen angeben, die
nicht in den Ausdrücken erscheinen. Diese Nullstellen
verdeutlichen, dass Nullstellenfamilien willkürliche
Konstanten der Form ck enthalten können, wobei k
ein ganzzahliger Index im Bereich 1 bis 255 ist.
Bei polynomialen Gleichungssystemen kann die
Berechnungsdauer oder Speicherbelastung stark von
der Reihenfolge abhängen, in der Sie die
Unbekannten angeben. Übersteigt Ihre erste Wahl die
Speicherkapazität oder Ihre Geduld, versuchen Sie,
die Variablen in den Ausdrücken und/oder der
VarOderSchätzwert-Liste umzuordnen.
Wenn Sie keine Schätzwerte angeben und ein
Ausdruck in einer Variablen nicht-polynomial ist, aber
alle Ausdrücke in allen Unbekannten linear sind, so
verwendet cZeros() das Gaußsche
Eliminationsverfahren beim Versuch, alle Nullstellen
zu bestimmen.
Wenn ein System weder in all seinen Variablen
polynomial noch in seinen Unbekannten linear ist,
dann bestimmt cZeros() mindestens eine Nullstelle
anhand eines iterativen Näherungsverfahrens. Hierzu
muss die Anzahl der Unbekannten gleich der
Ausdruckanzahl sein, und alle anderen Variablen in
den Ausdrücken müssen zu Zahlen vereinfachbar
sein.
Zur Bestimmung einer nicht-reellen Nullstelle ist
häufig ein nicht-reeller Schätzwert erforderlich. Für
Konvergenz muss ein Schätzwert ziemlich nahe bei
der Nullstelle liegen.
Alphabetische Auflistung 49

50 Alphabetische Auflistung
D
dbd() Katalog >
dbd(Datum1,Datum2)⇒Wert
Zählt die tatsächlichen Tage und gibt die Anzahl der
Tage zwischen Datum1 und Datum2 zurück.
Datum1 und Datum2 können Zahlen oder Zahlenlisten
innerhalb des Datumsbereichs des
Standardkalenders sein. Wenn sowohl Datum1 als
auch Datum2 Listen sind, müssen sie dieselbe Länge
haben.
Datum1 und Datum2 müssen innerhalb der Jahre
1950 und 2049 liegen.
Sie können Datumseingaben in zwei Formaten
vornehmen. Die Datumsformate unterscheiden sich
in der Anordnung der Dezimalstellen.
MM.TTJJ (üblicherweise in den USA verwendetes
Format)
TTMM.JJ (üblicherweise in Europa verwendetes
Format)
4DD (Dezimalwinkel) Katalog >
Zahl 4DD⇒Wert
Liste1 4DD⇒Liste
Matrix1 4DD⇒Matrix
Hinweis: Sie können diesen Operator über die
Tastatur Ihres Computers eingeben, indem Sie @>DD
eintippen.
Gibt das Dezimaläquivalent des Arguments zurück.
Das Argument ist eine Zahl, eine Liste oder eine
Matrix, die gemäß der Moduseinstellung als Neugrad,
Bogenmaß oder Grad interpretiert wird.
Im Grad-Modus:
Im Neugrad-Modus:
Im Bogenmaß-Modus:

4Decimal (Dezimal) Katalog >
Ausdr1 4Decimal⇒Ausdruck
Liste1 4Decimal⇒Ausdruck
Matrix1 4Decimal⇒Ausdruck
Hinweis: Sie können diesen Operator über die
Tastatur Ihres Computers eingeben, indem Sie
@>Decimal eintippen.
Zeigt das Argument in Dezimalform an. Dieser
Operator kann nur am Ende der Eingabezeile
verwendet werden.
Definie Katalog >
Define Var =Expression
Define Function(Param1,Param2,...) = Expression
Definiert die Variable Var oder die benutzerdefinierte
Funktion Function.
Parameter wie z.B. Param1 enthalten Platzhalter zur
Übergabe von Argumenten an die Funktion. Beim
Aufrufen benutzerdefinierter Funktionen müssen Sie
Argumente angeben (z.B. Werte oder Variablen), die
zu den Parametern passen. Beim Aufruf wertet die
Funktion Ausdruck (Expression) unter Verwendung
der übergebenen Parameter aus.
Var und Funktion (Function) dürfen nicht der Name
einer Systemvariablen oder einer integrierten
Funktion / eines integrierten Befehls sein.
Hinweis: Diese Form von Definiere (Define) ist
gleichwertig mit der Ausführung folgenden
Ausdrucks: expression &Function
(Param1,Param2).
Define Function(Param1,Param2,...) = Func
Block
EndFunc
Define Program(Param1,Param2,...) = Prgm
Block
EndPrgm
Alphabetische Auflistung 51

52 Alphabetische Auflistung
Definie Katalog >
In dieser Form kann die benutzerdefinierte Funktion
bzw. das benutzerdefinierte Programm einen Block
mit mehreren Anweisungen ausführen.
Block kann eine einzelne Anweisung oder eine Serie
von Anweisungen in separaten Zeilen sein. Block
kann auch Ausdrücke und Anweisungen enthalten
(wie If,Then,Else und For).
Hinweis zum Eingeben des Beispiels: Anweisungen
für die Eingabe von mehrzeiligen Programm- und
Funktionsdefinitionen finden Sie im Abschnitt
„Calculator“des Produkthandbuchs.
Hinweis: Siehe auch Definiere LibPriv (Define
LibPriv), Seite 52, und Definiere LibPub (Define
LibPub), Seite 52.
Definiere LibPriv (Define LibPriv) Katalog >
Define LibPriv Var =Expression
Define LibPriv Function(Param1,Param2,...) = Expression
Define LibPriv Function(Param1,Param2,...) = Func
Block
EndFunc
Define LibPriv Program(Param1,Param2,...) = Prgm
Block
EndPrgm
Funktioniert wie Define, definiert jedoch eine Variable, eine
Funktion oder ein Programm für eine private Bibliothek. Private
Funktionen und Programme werden im Katalog nicht angezeigt.
Hinweis: Siehe auch Definiere (Define), Seite 51, und Definiere
LibPub (Define LibPub), Seite 52.
Definiere LibPub (Define LibPub) Katalog >
Define LibPub Var =Expression
Define LibPub Function(Param1,Param2,...) = Expression
Define LibPub Function(Param1,Param2,...) = Func
Block
EndFunc

Definiere LibPub (Define LibPub) Katalog >
Define LibPub Program(Param1,Param2,...) = Prgm
Block
EndPrgm
Funktioniert wie Definiere (Define), definiert jedoch eine Variable,
eine Funktion oder ein Programm für eine öffentliche Bibliothek.
Öffentliche Funktionen und Programme werden im Katalog
angezeigt, nachdem die Bibliothek gespeichert und aktualisiert
wurde.
Hinweis: Siehe auch Definiere (Define), Seite 51, und Definiere
LibPriv (Define LibPriv), Seite 52.
deltaList() Siehe @List(), Seite 99.
deltaTmpCnv() Siehe @tmpCnv(), Seite 183.
DelVar Katalog >
DelVar Var1[,Var2] [,Var3] ...
DelVar Var.
Löscht die angegebene Variable oder Variablengruppe
im Speicher.
Wenn eine oder mehrere Variablen gesperrt sind, wird
bei diesem Befehl eine Fehlermeldung angezeigt und
es werden nur die nicht gesperrten Variablen
gelöscht. Siehe unLock, Seite 191.
DelVar Var. löscht alle Mitglieder der Variablengruppe
Var. (wie die Statistikergebnisse stat.nn oder
Variablen, die mit der Funktion LibShortcut() erstellt
wurden).Der Punkt (.) in dieser Form des Befehls
DelVar begrenzt ihn auf das Löschen einer
Variablengruppe; die einfache Variable Var ist nicht
davon betroffen.
Alphabetische Auflistung 53

54 Alphabetische Auflistung
delVoid() Katalog >
delVoid(Liste1)⇒Liste
Gibt eine Liste mit dem Inhalt von Liste1 aus, wobei
alle leeren (ungültigen) Elemente entfernt sind.
Weitere Informationen zu leeren Elementen finden Sie
(Seite 229).
derivative() Siehe d(), Seite 214.
deSolve() (Lösung) Katalog >
deSolve(ODE1.Oder2.Ordnung,Var,abhängigeVar)
⇒eine allgemeine Lösung
Ergibt eine Gleichung, die explizit oder implizit eine
allgemeine Lösung für die gewöhnliche
Differentialgleichung erster oder zweiter Ordnung
(ODE) angibt. In der ODE:
• Verwenden Sie einen Ableitungsstrich (drücken
Sie º), um die erste Ableitung der abhängigen
Variablen gegenüber der unabhängigen
Variablen zu kennzeichnen.
• Kennzeichnen Sie die entsprechende zweite
Ableitung mit zwei Strichen.
Das Zeichen ' wird nur für Ableitungen innerhalb von
deSolve() verwendet. Verwenden Sie für andere
Fälled().
Die allgemeine Lösung einer Gleichung erster
Ordnung enthält eine willkürliche Konstante der Form
ck, wobei k ein ganzzahliger Index im Bereich 1 bis
255 ist. Die Lösung einer Gleichung zweiter Ordnung
enthält zwei derartige Konstanten.
Wenden Sie solve() auf eine implizite Lösung an,
wenn Sie versuchen möchten, diese in eine oder
mehrere äquivalente explizite Lösungen zu
konvertieren.

deSolve() (Lösung) Katalog >
Beachten Sie beim Vergleich Ihrer Ergebnisse mit
Lehrbuch- oder Handbuchlösungen bitte, dass die
willkürlichen Konstanten in den verschiedenen
Verfahren an unterschiedlichen Stellen in der
Rechnung eingeführt werden, was zu
unterschiedlichen allgemeinen Lösungen führen kann.
deSolve(ODE1.OrdnungandAnfangsbedingung,Var,
abhängigeVar)⇒eine spezielle Lösung
Ergibt eine spezielle Lösung, die ODE1.Ordnung und
Anfangsbedingung erfüllt. Dies ist in der Regel
einfacher, als eine allgemeine Lösung zu bestimmen,
Anfangswerte einzusetzen, nach der willkürlichen
Konstanten aufzulösen und dann diesen Wert in die
allgemeine Lösung einzusetzen.
Anfangsbedingung ist eine Gleichung der Form
abhängigeVar (unabhängigerAnfangswert) =
abhängigerAnfangswert
Der unabhängigeAnfangswert und
abhängigeAnfangswert können Variablen wie
beispielsweise x0 und y0 ohne gespeicherte Werte
sein. Die implizite Differentiation kann bei der Prüfung
impliziter Lösungen behilflich sein.
deSolve
(
ODE2.Ordnung
andAnfangsbedingung1andAnfangsbedingung2,Var,
abhängigeVar)⇒eine spezielle Lösung
Ergibt eine spezielle Lösung, die ODE2.Ordnung
erfüllt und in einem Punkt einen bestimmten Wert der
abhängigen Variablen und deren erster Ableitung
aufweist.
Verwenden Sie für Anfangsbedingung1 die Form
abhängigeVar (unabhängigerAnfangswert) =
abhängigerAnfangswert
Verwenden Sie für Anfangsbedingung2 die Form
abhängigeVar (unabhängigerAnfangswert) =
anfänglicher1.Ableitungswert
Alphabetische Auflistung 55

56 Alphabetische Auflistung
deSolve() (Lösung) Katalog >
deSolve
(
ODE2.Ordnung
andRandbedingung1andRandbedingung2,Var,
abhängigeVar)⇒eine spezielle Lösung
Ergibt eine spezielle Lösung, die ODE2.Ordnung
erfüllt und in zwei verschiedenen Punkten
angegebene Werte aufweist.
det() (Matrixdeterminante) Katalog >
det(Quadratmatrix[,Toleranz])⇒Ausdruck
Gibt die Determinante von Quadratmatrix zurück.
Jedes Matrixelement wird wahlweise als 0 behandelt,
wenn sein Absolutwert kleiner als Toleranz ist. Diese
Toleranz wird nur dann verwendet, wenn die Matrix
Fließkommaelemente aufweist und keinerlei
symbolische Variablen ohne zugewiesene Werte
enthält. Anderenfalls wird Toleranz ignoriert.
• Wenn Sie /· verwenden oder den Modus
Autom. oder Näherung auf 'Approximiert'
einstellen, werden Berechnungen in
Fließkomma-Arithmetik durchgeführt.
• Wird Toleranz weggelassen oder nicht
verwendet, so wird die Standardtoleranz
folgendermaßen berechnet:
5EM14 ·max(dim(Quadratmatrix))·rowNorm
(Quadratmatrix)

diag() (Matrixdiagonale) Katalog >
diag(Liste)⇒Matrix
diag(Zeilenmatrix)⇒Matrix
diag(Spaltenmatrix)⇒Matrix
Gibt eine Matrix mit den Werten der Argumentliste
oder der Matrix in der Hauptdiagonalen zurück.
diag(Quadratmatrix)⇒Zeilenmatrix
Gibt eine Zeilenmatrix zurück, die die Elemente der
Hauptdiagonalen von Quadratmatrix enthält.
Quadratmatrix muss eine quadratische Matrix sein.
dim() (Dimension) Katalog >
dim(Liste)⇒Ganzzahl
Gibt die Dimension von Liste zurück.
dim(Matrix)⇒Liste
Gibt die Dimensionen von Matrix als Liste mit zwei
Elementen zurück {Zeilen, Spalten}.
dim(String)⇒Ganzzahl
Gibt die Anzahl der in der Zeichenkette String
enthaltenen Zeichen zurück.
Disp (Zeige) Katalog >
Disp [AusdruckOderString1] [,
AusdruckOderString2] ...
Zeigt die Argumente im Calculator Protokoll an. Die
Argumente werden hintereinander angezeigt, dabei
werden Leerzeichen zur Trennung verwendet.
Dies ist vor allem bei Programmen und Funktionen
nützlich, um die Anzeige von Zwischenberechnungen
zu gewährleisten.
Hinweis zum Eingeben des Beispiels: Anweisungen
für die Eingabe von mehrzeiligen Programm- und
Funktionsdefinitionen finden Sie im Abschnitt
„Calculator“des Produkthandbuchs.
Alphabetische Auflistung 57

58 Alphabetische Auflistung
4DMS (GMS) Katalog >
Ausdr 4DMS
Liste 4DMS
Matrix 4DMS
Hinweis: Sie können diesen Operator über die
Tastatur Ihres Computers eingeben, indem Sie
@>DMS eintippen.
Interpretiert den Parameter als Winkel und zeigt die
entsprechenden GMS-Werte (engl. DMS) an
(GGGGGG¡MM'SS.ss''). Siehe ¡, ', '' (Seite 222) zur
Erläuterung des DMS-Formats (Grad, Minuten,
Sekunden).
Hinweis: 4DMS wandelt Bogenmaß in Grad um, wenn
es im Bogenmaß-Modus benutzt wird. Folgt auf die
Eingabe das Grad-Symbol ¡, wird keine Umwandlung
vorgenommen. Sie können 4DMS nur am Ende einer
Eingabezeile benutzen.
Im Grad-Modus:
domain() Katalog >
domain(Ausdr1,Var)⇒Ausdruck
Gibt den Definitionsbereich von Ausdr1 in Bezug auf
Var zurück.
domain() kann verwendet werden, um
Definitionsbereiche von Funktionen zu erkunden. Es
ist auf reelle und endliche Bereiche beschränkt.
Diese Funktionalität ist aufgrund von Schwächen von
Computer-Algebra-Vereinfachungs- und
Lösungsalgorithmen eingeschränkt.
Bestimmte Funktionen können nicht als Argumente
für domain() verwendet werden, unabhängig davon,
ob sie explizit oder innerhalb von benutzerdefinierten
Variablen und Funktionen auftreten. In dem folgenden
Beispiel kann der Ausdruck nicht vereinfacht werden
weil ‰() eine nicht zulässige Funktion ist.

dominanterTerm (), dominantTerm() Katalog >
dominantTerm(Expr1,Var [,Point])⇒expression
dominantTerm(Expr1,Var [,Point]) |
Var>Point⇒ expression
dominantTerm(Expr1,Var [,Point]) |
Var<Point ⇒expression
Gibt den dominanten Term einer
Potenzreihendarstellung von Expr1 entwickelt um
Point zurück. Der dominante Term ist derjenige,
dessen Betrag nahe Var =Point am schnellsten
anwächst. Die resultierende Potenz von (Var NPoint)
kann einen negativen und/oder Bruchexponenten
haben. Der Koeffizient dieser Potenz kann
Logarithmen von (Var NPoint) und andere Funktionen
von Var enthalten, die von allen Potenzen von (Var N
Point) dominiert werden, die dasselbe
Exponentenzeichen haben.
Point ist vorgegeben als 0. Point kann ˆoder Nˆ
sein; in diesen Fällen ist der dominante Term eher
derjenige mit dem größten Exponenten von Var als
der mit dem kleinsten Exponenten von Var.
dominantTerm(…) gibt “dominantTerm(…)” zurück,
wenn es keine Darstellung bestimmen kann wie für
wesentliche Singularitäten wie z.B. sin(1/z)bei z=0,
eN1/z bei z=0 oder ezbei z = ˆoder Nˆ.
Wenn die Folge oder eine ihrer Ableitungen eine
Sprungstelle bei Point hat, enthält das Ergebnis
wahrscheinlich Unterausdrücke der Form sign(…) oder
abs(…) für eine reelle Expansionsvariable oder (-1)floor
(…angle(…)…) für eine komplexe Expansionsvariable, die
mit “_” endet. Wenn Sie beabsichtigen, den
dominanten Term nur für Werte auf einer Seite von
Point zu verwenden, hängen Sie an dominantTerm
(...)je nach Bedarf “| Var >Point”, “| Var <Point”, “|
“Var |Point” oder “Var {Point” an, um ein
einfacheres Ergebnis zu erhalten.
dominantTerm() wird über Listen und Matrizen mit
erstem Argument verteilt.
Alphabetische Auflistung 59

60 Alphabetische Auflistung
dominanterTerm (), dominantTerm() Katalog >
dominantTerm() können Sie verwenden, wenn Sie
den einfachsten möglichen Ausdruck wissen
möchten, der asymptotisch zu einem anderen
Ausdruck wie Var "Point ist. dominantTerm() ist
ebenfalls hilfreich, wenn nicht klar ersichtlich ist,
welchen Grad der erste Term einer Folge haben wird,
der nicht Null ist und Sie nicht iterativ interaktiv oder
mit einer Programmschleife schätzen möchten.
Hinweis: Siehe auch series(), Seite 155.
dotP() (Skalarprodukt) Katalog >
dotP(Liste1,Liste2)⇒Ausdruck
Gibt das Skalarprodukt zweier Listen zurück.
dotP(Vektor1,Vektor2)⇒Ausdruck
Gibt das Skalarprodukt zweier Vektoren zurück.
Es müssen beide Zeilenvektoren oder beide
Spaltenvektoren sein.
E
e^() uTaste
e^(Ausdr1)⇒Ausdruck
Gibt ehoch Ausdr1 zurück.
Hinweis: Siehe auch Vorlage e Exponent, Seite 6.
Hinweis: Das Drücken von uzum Anzeigen von e^(
ist nicht das gleiche wie das Drücken von Eauf der
Tastatur.
Sie können eine komplexe Zahl in der polaren Form rei
qeingeben. Verwenden Sie diese aber nur im
Winkelmodus Bogenmaß, da die Form im Grad- oder
Neugrad-Modus einen Bereichsfehler verursacht.
e^(Liste1)⇒Liste
Gibt ehoch jedes Element der Liste1 zurück.

e^() uTaste
e^(Quadratmatrix1)⇒Quadratmatrix
Ergibt den Matrix-Exponenten von Quadratmatrix1.
Dies ist nicht gleichbedeutend mit der Berechnung
von e hoch jedes Element. Näheres zur
Berechnungsmethode finden Sie im Abschnitt cos().
Quadratmatrix1 muss diagonalisierbar sein. Das
Ergebnis enthält immer Fließkommazahlen.
eff() Katalog >
eff(Nominalzinssatz, CpY)⇒Wert
Finanzfunktion, die den Nominalzinssatz
Nominalzinssatz in einen jährlichen Effektivsatz
konvertiert, wobei CpY als die Anzahl der
Verzinsungsperioden pro Jahr gegeben ist.
Nominalzinssatz muss eine reelle Zahl sein und CpY
muss eine reelle Zahl > 0 sein.
Hinweis: Siehe auch nom(), Seite 119.
eigVc() (Eigenvektor) Katalog >
eigVc(Quadratmatrix)⇒Matrix
Ergibt eine Matrix, welche die Eigenvektoren für eine
reelle oder komplexe Quadratmatrix enthält, wobei
jede Spalte des Ergebnisses zu einem Eigenwert
gehört. Beachten Sie, dass ein Eigenvektor nicht
eindeutig ist; er kann durch einen konstanten Faktor
skaliert werden. Die Eigenvektoren sind normiert, d.
h. wenn V = [x1, x2, …, xn], dann:
x1
2+x2
2+ … +xn
2= 1
Quadratmatrix wird zunächst mit
Ähnlichkeitstransformationen bearbeitet, bis die
Zeilen- und Spaltennormen so nahe wie möglich bei
demselben Wert liegen. Die Quadratmatrix wird dann
auf die obere Hessenberg-Form reduziert, und die
Eigenvektoren werden mit einer Schur-Faktorisierung
berechnet.
Im Komplex-Formatmodus “kartesisch”:
Um das ganze Ergebnis zu sehen, drücken Sie £
und verwenden dann ¡und ¢, um den Cursor zu
bewegen.
Alphabetische Auflistung 61

62 Alphabetische Auflistung
eigVl() (Eigenwert) Katalog >
eigVl(Quadratmatrix)⇒Liste
Ergibt eine Liste von Eigenwerten einer reellen oder
komplexen Quadratmatrix.
Quadratmatrix wird zunächst mit
Ähnlichkeitstransformationen bearbeitet, bis die
Zeilen- und Spaltennormen so nahe wie möglich bei
demselben Wert liegen. Die Quadratmatrix wird dann
auf die obere Hessenberg-Form reduziert, und die
Eigenwerte werden aus der oberen Hessenberg-
Matrix berechnet.
Im Komplex-Formatmodus “kartesisch”:
Um das ganze Ergebnis zu sehen, drücken Sie £
und verwenden dann ¡und ¢, um den Cursor zu
bewegen.
Else Siehe If, Seite 85.
ElseIf Katalog >
If Boolescher Ausdr1 Then
Block1
ElseIf Boolescher Ausdr2 Then
Block2
©
ElseIf Boolescher AusdrN Then
BlockN
EndIf
©
Hinweis zum Eingeben des Beispiels: Anweisungen
für die Eingabe von mehrzeiligen Programm- und
Funktionsdefinitionen finden Sie im Abschnitt
„Calculator“des Produkthandbuchs.
EndFor Siehe For, Seite 74.
EndFunc Siehe Func, Seite 78.

EndIf Siehe If, Seite 85.
EndLoop Siehe Loop, Seite 106.
EndWhile Siehe While, Seite 194.
EndPrgm Siehe Prgm, Seite 133.
EndTry Siehe Try, Seite 185.
euler () Katalog >
euler(Ausdr,Var,abhVar,{Var0, VarMax},abhVar0,
VarSchritt [,eulerSchritt])⇒Matrix
euler(AusdrSystem,Var,ListeAbhVar,{Var0,
VarMax},ListeAbhVar0,VarSchritt [,eulerSchritt])
⇒Matrix
euler(AusdrListe,Var,ListeAbhVar,{Var0,
VarMax},ListeAbhVar0,VarSchritt [,eulerSchritt])
⇒Matrix
Verwendet die Euler-Methode zum Lösen des
Systems
mit abhVar(Var0)=abhVar0 auf dem Intervall
[Var0,VarMax]. Gibt eine Matrix zurück, deren erste
Zeile die Ausgabewerte von Var definiert und deren
zweite Zeile den Wert der ersten
Lösungskomponente an den entsprechenden Var-
Werten definiert usw.
Differentialgleichung:
y'=0.001*y*(100-y) und y(0)=10
Um das ganze Ergebnis zu sehen, drücken Sie £
und verwenden dann ¡und ¢, um den Cursor zu
bewegen.
Vergleichen Sie das vorstehende Ergebnis mit der
exakten CAS-Lösung, die Sie erhalten, wenn Sie
deSolve() und seqGen() verwenden:
Alphabetische Auflistung 63

64 Alphabetische Auflistung
euler () Katalog >
Ausdr ist die rechte Seite, die die gewöhnliche
Differentialgleichung (ODE) definiert.
AusdrSystem ist das System rechter Seiten, welche
das ODE-System definieren (entspricht der Ordnung
abhängiger Variablen in ListeAbhVar).
AusdrListe ist eine Liste rechter Seiten, welche das
ODE-System definieren (entspricht der Ordnung
abhängiger Variablen in ListeAbhVar).
Var ist die unabhängige Variable.
ListeAbhVar ist eine Liste abhängiger Variablen.
{Var0,VarMax} ist eine Liste mit zwei Elementen, die
die Funktion anweist, von Var0 zu VarMax zu
integrieren.
ListeAbhVar0 ist eine Liste von Anfangswerten für
abhängige Variablen.
VarSchritt ist eine Zahl ungleich Null, sodass sign
(VarSchritt)=sign(VarMax-Var0)und Lösungen an
Var0+i·VarSchritt für alle i=0,1,2,… zurückgegeben
werden, sodass Var0+i·VarSchritt in [var0,VarMax]
ist (möglicherweise gibt es keinen Lösungswert an
VarMax).
eulerSchritt ist eine positive ganze Zahl
(standardmäßig 1), welche die Anzahl der Euler-
Schritte zwischen Ausgabewerten bestimmt. Die
tatsächliche von der Euler-Methode verwendete
Schrittgröße ist VarSchrittàeulerSchritt.
Gleichungssystem:
mit y1(0)=2 und y2(0)=5

exact() (Exakt) Katalog >
exact(Ausdr1 [,Toleranz])⇒Ausdruck
exact(Liste1 [,Toleranz])⇒Liste
exact(Matrix1 [,Toleranz])⇒Matrix
Benutzt den Rechenmodus 'Exakt' und gibt nach
Möglichkeit die rationale Zahl zurück, die dem
Argument äquivalent ist.
Toleranz legt die Toleranz für die Umwandlung fest,
wobei die Vorgabe 0 (null) ist.
Exit (Abbruch) Katalog >
Exit (Abbruch)
Beendet den aktuellen For,While, oder Loop Block.
Exit ist außerhalb dieser drei Schleifenstrukturen
(For,While oder Loop) nicht zulässig.
Hinweis zum Eingeben des Beispiels: Anweisungen
für die Eingabe von mehrzeiligen Programm- und
Funktionsdefinitionen finden Sie im Abschnitt
„Calculator“des Produkthandbuchs.
Funktionslisting:
4exp Katalog >
Ausdr 4exp
Drückt Ausdr durch die natürliche Exponentialfunktion
eaus. Dies ist ein Anzeigeumwandlungsoperator. Er
kann nur am Ende der Eingabezeile verwendet
werden.
Hinweis: Sie können diesen Operator über die
Tastatur Ihres Computers eingeben, indem Sie
@>exp eintippen.
Alphabetische Auflistung 65

66 Alphabetische Auflistung
exp() (e hoch x) uTaste
exp(Ausdr1)⇒Ausdruck
Gibt ehoch Ausdr1 zurück.
Hinweis: Siehe auch Vorlage eExponent, Seite 6.
Sie können eine komplexe Zahl in der polaren Form rei
qeingeben. Verwenden Sie diese aber nur im
Winkelmodus Bogenmaß, da die Form im Grad- oder
Neugrad-Modus einen Bereichsfehler verursacht.
exp(Liste1)⇒Liste
Gibt ehoch jedes Element der Liste1 zurück.
exp(Quadratmatrix1)⇒Quadratmatrix
Ergibt den Matrix-Exponenten von Quadratmatrix1.
Dies ist nicht gleichbedeutend mit der Berechnung
von ehoch jedes Element. Näheres zur
Berechnungsmethode finden Sie im Abschnitt cos().
Quadratmatrix1 muss diagonalisierbar sein. Das
Ergebnis enthält immer Fließkommazahlen.
exp4list() (Ausdruck in Liste) Katalog >
exp4list(Ausdr,Var)⇒Liste
Untersucht Ausdr auf Gleichungen, die durch das
Wort “or” getrennt sind und gibt eine Liste der rechten
Seiten der Gleichungen in der Form Var=Ausdr
zurück. Dies erlaubt Ihnen auf einfache Weise das
Extrahieren mancher Lösungswerte, die in den
Ergebnissen der Funktionen solve(),cSolve(),fMin()
und fMax() enthalten sind.
Hinweis: exp4list() ist für die Funktionen zeros und
cZeros() unnötig, da diese direkt eine Liste von
Lösungswerten zurückgeben.
Sie können diese Funktion über die Tastatur Ihres
Computers eingeben, indem Sie exp@>list(...)
eintippen.

expand() (Entwickle) Katalog >
expand(Ausdr1 [,Var])⇒Ausdruck
expand(Liste1 [,Var])⇒Liste
expand(Matrix1 [,Var])⇒Matrix
expand(Ausdr1)gibt Ausdr1 bezüglich sämtlicher
Variablen entwickelt zurück. Die Entwicklung ist eine
Polynomentwicklung für Polynome und eine
Partialbruchentwicklung für rationale Ausdrücke.
expand() versucht Ausdr1 in eine Summe und/oder
eine Differenz einfacher Ausdrücke umzuformen.
Dagegen versucht factor() Ausdr1 in ein Produkt
und/oder einen Quotienten einfacher Faktoren
umzuformen.
expand(Ausdr1,Var)entwickelt Ausdr1 bezüglich
Var. Gleichartige Potenzen von Var werden
zusammengefasst. Die Terme und Faktoren werden
mit Var als der Hauptvariablen sortiert. Es kann sein,
dass als Nebeneffekt in gewissem Umfang eine
Faktorisierung oder Entwicklung der
zusammengefassten Koeffizienten auftritt.
Verglichen mit dem Weglassen von Var spart dies
häufig Zeit, Speicherplatz und Platz auf dem
Bildschirm und macht den Ausdruck verständlicher.
Selbst wenn es nur eine Variable gibt, kann das
Einbeziehen von Var eine vollständigere
Faktorisierung des Nenners, die für die
Partialbruchentwicklung benutzt wird, ermöglichen.
Tipp: Für rationale Ausdrücke ist propFrac() eine
schnellere, aber weniger weitgehende Alternative zu
expand().
Hinweis: Siehe auch comDenom() zu einem
Quotienten aus einem entwickelten Zähler und
entwickeltem Nenner.
Alphabetische Auflistung 67

68 Alphabetische Auflistung
expand() (Entwickle) Katalog >
expand(Ausdr1,[Var])vereinfacht auch Logarithmen
und Bruchpotenzen ungeachtet von Var. Für weitere
Zerlegungen von Logarithmen und Bruchpotenzen
können Einschränkungen notwendig werden, um
sicherzustellen, dass manche Faktoren nicht negativ
sind.
expand(Ausdr1, [Var])vereinfacht auch
Absolutwerte, sign() und Exponenten ungeachtet von
Var.
Hinweis: Siehe auch tExpand() zur trigonometrischen
Entwicklung von Winkelsummen und -produkten.
expr() (String in Ausdruck) Katalog >
expr(String)⇒Ausdruck
Gibt die in String enthaltene Zeichenkette als
Ausdruck zurück und führt diesen sofort aus.
ExpReg (Exponentielle Regression) Katalog >
ExpReg X, Y [,[Häuf] [, Kategorie, Mit]]
Berechnet die exponentielle Regressiony = a·(b)xauf Listen X
und Ymit der Häufigkeit Häuf. Eine Zusammenfassung der
Ergebnisse wird in der Variablen stat.results gespeichert. (Seite
170.)
Alle Listen außer Mit müssen die gleiche Dimension besitzen.
Xund Ysind Listen von unabhängigen und abhängigen Variablen.
Häuf ist eine optionale Liste von Häufigkeitswerten. Jedes
Element in Häuf gibt die Häufigkeit für jeden entsprechenden
Datenpunkt Xund Yan. Der Standardwert ist 1. Alle Elemente
müssen Ganzzahlen |0 sein.
Kategorie ist eine Liste von Kategoriecodes für die
entsprechenden Xund YDaten.
Mit ist eine Liste von einem oder mehreren Kategoriecodes. Nur

ExpReg (Exponentielle Regression) Katalog >
solche Datenelemente, deren Kategoriecode in dieser Liste
enthalten ist, sind in der Berechnung enthalten.
Informationen zu den Auswirkungen leerer Elemente in einer
Liste finden Sie unter “Leere (ungültige) Elemente” (Seite 229).
Ausgabevariable Beschreibung
stat.RegEqn Regressionsgleichung: a·(b)x
stat.a, stat.b Regressionskoeffizienten
stat.r2Koeffizient der linearen Bestimmtheit für transformierte Daten
stat.r Korrelationskoeffizient für transformierte Daten (x, ln(y))
stat.Resid Mit dem exponentiellen Modell verknüpfte Residuen
stat.ResidTrans Residuum für die lineare Anpassung der transformierten Daten.
stat.XReg Liste der Datenpunkte in der modifizierten X List, die schließlich in der Regression mit den
Beschränkungen für Häufigkeit,Kategorieliste und Mit Kategorien verwendet wurde
stat.YReg Liste der Datenpunkte in der modifizierten Y List, die schließlich in der Regression mit den
Beschränkungen für Häufigkeit,Kategorieliste und Mit Kategorien verwendet wurde
stat.FreqReg Liste der Häufigkeiten für stat.XReg und stat.YReg
F
factor() (Faktorisiere) Katalog >
factor(Ausdr1[,Var])⇒Ausdruck
factor(Liste1[,Var])⇒Liste
factor(Matrix1[,Var])⇒Matrix
factor(Ausdr1) gibt Ausdr1 nach allen seinen
Variablen bezüglich eines gemeinsamen Nenners
faktorisiert zurück.
Ausdr1 wird soweit wie möglich in lineare rationale
Faktoren aufgelöst, selbst wenn dies die Einführung
neuer nicht-reeller Unterausdrücke bedeutet. Diese
Alternative ist angemessen, wenn Sie die
Faktorisierung bezüglich mehr als einer Variablen
vornehmen möchten.
Alphabetische Auflistung 69

70 Alphabetische Auflistung
factor() (Faktorisiere) Katalog >
factor(Ausdr1,Var)gibt Ausdr1 nach der Variablen
Var faktorisiert zurück.
Ausdr1 wird soweit wie möglich in reelle Faktoren
aufgelöst, die linear in Var sind, selbst wenn dadurch
irrationale Konstanten oder Unterausdrücke, die in
anderen Variablen irrational sind, eingeführt werden.
Die Faktoren und ihre Terme werden mit Var als
Hauptvariable sortiert. Gleichartige Potenzen von Var
werden in jedem Faktor zusammengefasst. Beziehen
Sie Var ein, wenn die Faktorisierung nur bezüglich
dieser Variablen benötigt wird und Sie irrationale
Ausdrücke in anderen Variablen akzeptieren
möchten, um die Faktorisierung bezüglich Var so weit
wie möglich vorzunehmen. Es kann sein, dass als
Nebeneffekt in gewissem Umfang eine
Faktorisierung nach anderen Variablen auftritt.
Bei der Einstellung Auto für den Modus Auto oder
Näherung ermöglicht die Einbeziehung von Var auch
eine Näherung mit Gleitkommakoeffizienten in Fällen,
wo irrationale Koeffizienten nicht explizit bezüglich
der integrierten Funktionen ausgedrückt werden
können. Selbst wenn es nur eine Variable gibt, kann
das Einbeziehen von Var eine vollständigere
Faktorisierung ermöglichen.
Hinweis: Siehe auch comDenom() zu einer schnellen
partiellen Faktorisierung, wenn factor() zu langsam ist
oder den Speicherplatz erschöpft.
Hinweis: Siehe auch cFactor() zur kompletten
Faktorisierung bis zu komplexen Koeffizienten, um
lineare Faktoren zu erhalten.
factor(RationaleZahl)ergibt die rationale Zahl in
Primfaktoren zerlegt. Bei zusammengesetzten
Zahlen nimmt die Berechnungsdauer exponentiell mit
der Anzahl an Stellen im zweitgrößten Faktor zu. Das
Faktorisieren einer 30-stelligen ganzen Zahl kann
beispielsweise länger als einen Tag dauern und das
Faktorisieren einer 100-stelligen Zahl mehr als ein
Jahrhundert.
So halten Sie eine Berechnung manuell an:

factor() (Faktorisiere) Katalog >
•Handheld: Halten Sie die Taste cgedrückt
und drücken Sie mehrmals ·.
•Windows®: Halten Sie die Taste F12 gedrückt
und drücken Sie mehrmals die Eingabetaste.
•Macintosh®: Halten Sie die Taste F5 gedrückt
und drücken Sie mehrmals die Eingabetaste.
•iPad®: Die App zeigt eine Eingabeaufforderung
an. Sie können weiter warten oder abbrechen.
Möchten Sie hingegen lediglich feststellen, ob es sich
bei einer Zahl um eine Primzahl handelt, verwenden
Sie isPrime(). Dieser Vorgang ist wesentlich
schneller, insbesondere dann, wenn RationaleZahl
keine Primzahl ist und der zweitgrößte Faktor mehr
als fünf Stellen aufweist.
FCdf() Katalog >
FCdf(UntGrenze,ObGrenze,FreiGradZähler,FreiGradNenner)
⇒Zahl, wenn UntGrenze und ObGrenze Zahlen sind, Liste,
wenn UntGrenze und ObGrenze Listen sind
FCdf(UntGrenze,ObGrenze,FreiGradZähler,FreiGradNenner)
⇒Zahl, wenn UntGrenze und ObGrenze Zahlen sind, Liste,
wenn UntGrenze und ObGrenze Listen sind
Berechnet die FVerteilungswahrscheinlichkeit zwischen
UntereGrenze und ObereGrenze für die angegebenen
FreiGradZähler (Freiheitsgrade) und FreiGradNenner.
Für P(X{ObereGrenze), UntGrenze =0 setzen.
Fill (Füllen) Katalog >
Fill Ausdr, MatrixVar⇒Matrix
Ersetzt jedes Element in der Variablen MatrixVar
durch Ausdr.
MatrixVar muss bereits vorhanden sein.
Fill Ausdr, ListeVar⇒Liste
Ersetzt jedes Element in der Variablen ListeVar durch
Ausdr.
Alphabetische Auflistung 71

72 Alphabetische Auflistung
Fill (Füllen) Katalog >
ListeVar muss bereits vorhanden sein.
FiveNumSummary Katalog >
FiveNumSummary X[,[Häuf][,Kategorie,Mit]]
Bietet eine gekürzte Version der Statistik mit 1 Variablen auf
Liste X. EineZusammenfassung der Ergebnisse wird in der
Variablen stat.results gespeichert. (Seite 170.)
Xstellt eine Liste mit den Daten dar.
Häuf ist eine optionale Liste von Häufigkeitswerten. Jedes
Element in Häuf gibt die Häufigkeit für jeden entsprechenden X-
Wert an. Der Standardwert ist 1. Alle Elemente müssen
Ganzzahlen |0 sein.
Kategorie ist eine Liste von Kategoriecodes für die
entsprechenden XDaten.
Mit ist eine Liste von einem oder mehreren Kategoriecodes. Nur
solche Datenelemente, deren Kategoriecode in dieser Liste
enthalten ist, sind in der Berechnung enthalten.
Ein leeres (ungültiges) Element in einer der Listen X,Freq oder
Kategorie führt zu einem Fehler im entsprechenden Element
aller dieser Listen. Weitere Informationen zu leeren Elementen
finden Sie (Seite 229).
Ausgabevariable Beschreibung
stat.MinX Minimum der x-Werte
stat.Q1X 1. Quartil von x
stat.MedianX Median von x
stat.Q3X 3. Quartil von x
stat.MaxX Maximum der x-Werte
floor() (Untergrenze) Katalog >
floor(Ausdr1)⇒Ganzzahl
Gibt die größte ganze Zahl zurück, die {dem
Argument ist. Diese Funktion ist identisch mit int().
Das Argument kann eine reelle oder eine komplexe

floor() (Untergrenze) Katalog >
Zahl sein.
floor(Liste1)⇒Liste
floor(Matrix1)⇒Matrix
Für jedes Element einer Liste oder Matrix wird die
größte ganze Zahl, die kleiner oder gleich dem
Element ist, zurückgegeben.
Hinweis: Siehe auch ceiling() und int().
fMax() (Funktionsmaximum) Katalog >
fMax(Ausdr, Var)⇒Boolescher Ausdruck
fMax(Ausdr,Var,UntereGrenze)
fMax(Ausdr,Var,UntereGrenze,ObereGrenze)
fMax(Ausdr,Var) | UntereGrenze{Var{ObereGrenze
Gibt einen Booleschen Ausdruck zurück, der
mögliche Werte von Var angibt, welche Ausdr
maximieren oder seine kleinste obere Grenze
angeben.
Sie können den womit-Operator („|“) zur
Beschränkung des Lösungsintervalls und/oder zur
Angabe anderer Einschränkungen verwenden.
Ist der Modus Auto oder Näherung auf Approximiert
eingestellt, sucht fMax() iterativ nach einem
annähernden lokalen Maximum. Dies ist oft schneller,
insbesondere, wenn Sie den Operator “|” benutzen,
um die Suche auf ein relativ kleines Intervall zu
beschränken, das genau ein lokales Maximum
enthält.
Hinweis: Siehe auch fMin() und max().
fMin() (Funktionsminimum) Katalog >
fMin(Ausdr, Var)⇒Boolescher Ausdruck
fMin(Ausdr,Var,UntereGrenze)
fMin(Ausdr,Var,UntereGrenze,ObereGrenze)
fMin(Ausdr,Var) | UntereGrenze{Var{ObereGrenze
Alphabetische Auflistung 73

74 Alphabetische Auflistung
fMin() (Funktionsminimum) Katalog >
Gibt einen Booleschen Ausdruck zurück, der
mögliche Werte von Var angibt, welche Ausdr
minimieren oder seine kleinste untere Grenze
angeben.
Sie können den womit-Operator („|“) zur
Beschränkung des Lösungsintervalls und/oder zur
Angabe anderer Einschränkungen verwenden.
Ist der Modus Auto oder Näherung auf Approximiert
eingestellt, sucht fMin() iterativ nach einem
annähernden lokalen Minimum. Dies ist oft schneller,
insbesondere, wenn Sie den Operator “|” benutzen,
um die Suche auf ein relativ kleinesIntervall zu
beschränken, das genau ein lokales Minimum enthält.
Hinweis: Siehe auch fMax() und min().
For Katalog >
For Var,Von,Bis [,Schritt]
Block
EndFor
Führt die in Block befindlichen Anweisungen für jeden
Wert von Var zwischen Von und Bis aus, wobei der
Wert bei jedem Durchlauf um Schritt inkrementiert
wird.
Var darf keine Systemvariable sein.
Schritt kann positiv oder negativ sein. Der
Standardwert ist 1.
Block kann eine einzelne Anweisung oder eine Serie
von Anweisungen sein, die durch “:” getrennt sind.
Hinweis zum Eingeben des Beispiels: Anweisungen
für die Eingabe von mehrzeiligen Programm- und
Funktionsdefinitionen finden Sie im Abschnitt
„Calculator“des Produkthandbuchs.

format() (Format) Katalog >
format(Ausdr[, FormatString])⇒String
Gibt Ausdr als Zeichenkette im Format der
Formatvorlage zurück.
Ausdr muss zu einer Zahl vereinfachbar sein.
FormatString ist eine Zeichenkette und muss diese
Form besitzen: “F[n]”, “S[n]”, “E[n]”, “G[n][c]”, wobei [
] optionale Teile bedeutet.
F[n]: Festes Format. n ist die Anzahl der angezeigten
Nachkommastellen (nach dem Dezimalpunkt).
S[n]: Wissenschaftliches Format. n ist die Anzahl der
angezeigten Nachkommastellen (nach dem
Dezimalpunkt).
E[n]: Technisches Format. n ist die Anzahl der
Stellen, die auf die erste signifikante Ziffer folgen. Der
Exponent wird auf ein Vielfaches von 3 gesetzt, und
der Dezimalpunkt wird um null, eine oder zwei Stellen
nach rechts verschoben.
G[n][c]: Wie Festes Format, unterteilt jedoch auch
die Stellen links des Dezimaltrennzeichens in
Dreiergruppen. c ist das Gruppentrennzeichen und ist
auf “Komma” voreingestellt. Wenn c auf “Punkt”
gesetzt wird, wird das Dezimaltrennzeichen zum
Komma.
[Rc]: Jeder der vorstehenden Formateinstellungen
kann als Suffix das Flag Rc nachgestellt werden,
wobei c ein einzelnes Zeichen ist, das den
Dezimalpunkt ersetzt.
fPart() (Funktionsteil) Katalog >
fPart(Ausdr1)⇒Ausdruck
fPart(Liste1)⇒Liste
fPart(Matrix1)⇒Matrix
Gibt den Bruchanteil des Arguments zurück.
Bei einer Liste bzw. Matrix werden die Bruchanteile
aller Elemente zurückgegeben.
Das Argument kann eine reelle oder eine komplexe
Zahl sein.
Alphabetische Auflistung 75

76 Alphabetische Auflistung
FPdf() Katalog >
FPdf(XWert,FreiGradZähler,FreiGradNenner)⇒Zahl, wenn
XWert eine Zahl ist, Liste, wenn XWert eine Liste ist
FPdf(XWert,FreiGradZähler,FreiGradNenner)⇒Zahl, wenn
XWert eine Zahl ist, Liste, wenn XWert eine Liste ist
Berechnet die FVerteilungswahrscheinlichkeit bei XWert für die
angegebenen FreiGradZähler (Freiheitsgrade) und
FreiGradNenner.
freqTable4list() Katalog >
freqTable4list(Liste1,HäufGanzzahlListe)⇒Liste
Gibt eine Liste zurück, die die Elemente von Liste1
erweitert gemäß den Häufigkeiten in
HäufGanzzahlListe enthält. Diese Funktion kann zum
Erstellen einer Häufigkeitstabelle für die Applikation
'Data & Statistics' verwendet werden.
Liste1 kann eine beliebige gültige Liste sein.
HäufGanzzahlListe muss die gleiche Dimension wie
Liste1 haben und darf nur nicht-negative
Ganzzahlelemente enthalten. Jedes Element gibt an,
wie oft das entsprechende Liste1-Element in der
Ergebnisliste wiederholt wird. Der Wert 0 schließt das
entsprechende Liste1-Element aus.
Hinweis: Sie können diese Funktion über die Tastatur
Ihres Computers eingeben, indem Sie
freqTable@>list(...)eintippen
Leere (ungültige) Elemente werden ignoriert. Weitere
Informationen zu leeren Elementen finden Sie (Seite
229).
frequency() (Häufigkeit) Katalog >
frequency(Liste1,binsListe)⇒Liste
Gibt eine Liste zurück, die die Zähler der Elemente in
Liste1 enthält. Die Zähler basieren auf Bereichen
(bins), die Sie in binsListe definieren.
Wenn binsListe {b(1), b(2), …, b(n)} ist, sind die
festgelegten Bereiche {?{b(1), b(1)<?{b(2),…,b(n-1)<?Erklärung des Ergebnisses:

frequency() (Häufigkeit) Katalog >
{b(n), b(n)>?}. Die Ergebnisliste enthält ein Element
mehr als die binsListe.
Jedes Element des Ergebnisses entspricht der
Anzahl der Elemente aus Liste1, die im Bereich dieser
bins liegen. Ausgedrückt in Form der countIf()
Funktion ist das Ergebnis {countIf(Liste, ?{b(1)),
countIf(Liste, b(1)<?{b(2)), …, countIf(Liste, b(n-1)<?
{b(n)), countIf(Liste, b(n)>?)}.
Elemente von Liste1, die nicht “in einem bin platziert”
werden können, werden ignoriert. Leere (ungültige)
Elemente werden ebenfalls ignoriert. Weitere
Informationen zu leeren Elementen finden Sie (Seite
229).
Innerhalb der Lists & Spreadsheet Applikation können
Sie für beide Argumente Zellenbereiche verwenden.
Hinweis: Siehe auch countIf(), Seite 39.
2Elemente aus Datenliste (Datalist) sind {2.5
4Elemente aus Datenliste sind >2.5 und {4.5
3Elemente aus Datenliste sind >4.5
Das Element “Hallo” ist eine Zeichenfolge und kann
nicht in einem der definierten bins platziert werden.
FTest_2Samp (Zwei-Stichproben F-Test) Katalog >
FTest_2Samp Liste1,Liste2[,Häufigkeit1[,Häufigkeit2
[,Hypoth]]]
FTest_2Samp Liste1,Liste2[,Häufigkeit1[,Häufigkeit2
[,Hypoth]]]
(Datenlisteneingabe)
FTest_2Samp sx1,n1,sx2,n2[,Hypoth]
FTest_2Samp sx1,n1,sx2,n2[,Hypoth]
(Zusammenfassende statistische Eingabe)
Führt einen F-Test mit zwei Stichproben durch. Eine
Zusammenfassung der Ergebnisse wird in der Variable
stat.results gespeichert. (Seite 170.)
Für Ha:s1 > s2 setzen Sie Hypoth>0
Für Ha:s1ƒ s2 (Standard) setzen Sie Hypoth =0
Für Ha:s1 < s2 setzen Sie Hypoth<0
Informationen zu den Auswirkungen leerer Elemente in einer
Liste finden Sie unter “Leere (ungültige) Elemente” (Seite 229).
Alphabetische Auflistung 77

78 Alphabetische Auflistung
Ausgabevariable Beschreibung
Statistik.FBerechnete Û Statistik für die Datenfolge
stat.PVal Kleinste Signifikanzebene, bei der die Nullhypothese verworfen werden kann
stat.dfNumer Freiheitsgrade des Zählers = n1-1
stat.dfDenom Freiheitsgrade des Nenners = n2-1
stat.sx1, stat.sx2 Stichproben-Standardabweichungen der Datenfolgen in Liste1 und Liste2
stat.x1_bar
stat.x2_bar
Stichprobenmittelwerte der Datenfolgen in Liste1 und Liste2
stat.n1, stat.n2 Stichprobenumfang
Func Katalog >
Func
Block
EndFunc
Vorlage zur Erstellung einer benutzerdefinierten
Funktion.
Block kann eine einzelne Anweisung, eine Reihe von
durch das Zeichen “:” voneinander getrennten
Anweisungen oder eine Reihe von Anweisungen in
separaten Zeilen sein. Die Funktion kann die
Anweisung Zurückgeben (Return) verwenden, um ein
bestimmtes Ergebnis zurückzugeben.
Hinweis zum Eingeben des Beispiels: Anweisungen
für die Eingabe von mehrzeiligen Programm- und
Funktionsdefinitionen finden Sie im Abschnitt
„Calculator“des Produkthandbuchs.
Definieren Sie eine stückweise definierte Funktion:
Ergebnis der graphischen Darstellung g(x)
G
gcd() (Größter gemeinsamer Teiler) Katalog >
gcd(Zahl1, Zahl2)⇒Ausdruck
Gibt den größten gemeinsamen Teiler der beiden
Argumente zurück. Der gcd zweier Brüche ist der gcd

gcd() (Größter gemeinsamer Teiler) Katalog >
ihrer Zähler dividiert durch das kleinste gemeinsame
Vielfache (lcm) ihrer Nenner.
In den Modi Auto oder Approximiert ist der gcd von
Fließkommabrüchen 1,0.
gcd(Liste1, Liste2)⇒Liste
Gibt die größten gemeinsamen Teiler der einander
entsprechenden Elemente von Liste1 und Liste2
zurück.
gcd(Matrix1, Matrix2)⇒Matrix
Gibt die größten gemeinsamen Teiler der einander
entsprechenden Elemente von Matrix1und Matrix2
zurück.
geomCdf() Katalog >
geomCdf(p,untereGrenze,obereGrenze)⇒Zahl, wenn
untereGrenze und obereGrenze Zahlen sind, Liste, wenn
untereGrenze und obereGrenze Listen sind
geomCdf(p,obereGrenze)für P(1{X{obereGrenze)⇒Zahl, wenn
obereGrenze eine Zahl ist, Liste, wenn obereGrenze eine Liste
ist
Berechnet die kumulative geometrische Wahrscheinlichkeit von
UntereGrenze bis ObereGrenze mit der angegebenen
Erfolgswahrscheinlichkeit p.
Für P(X {obereGrenze) setzen Sie untereGrenze = 1.
geomPdf() Katalog >
geomPdf(p,XWert)⇒Zahl, wenn XWert eine Zahl ist, Liste,
wenn XWert eine Liste ist
Berechnet die Wahrscheinlichkeit an einem XWert, die Anzahl
der Einzelversuche, bis der erste Erfolg eingetreten ist, für die
diskrete geometrische Verteilung mit der vorgegebenen
Erfolgswahrscheinlichkeit p.
Alphabetische Auflistung 79

80 Alphabetische Auflistung
getDenom() (Nenner holen) Katalog >
getDenom(Ausdr1)⇒Ausdruck
Transformiert das Argument in einen Ausdruck mit
gekürztem gemeinsamem Nenner und gibt dann den
Nenner zurück.
getLangInfo() Katalog >
getLangInfo()⇒Zeichenkette
Gibt eine Zeichenkette zurück, die der Abkürzung der
gegenwärtig aktiven Sprache entspricht. Sie können
den Befehl zum Beispiel in einem Programm oder
einer Funktion zum Bestimmen der aktuellen Sprache
verwenden.
Englisch = “en”
Dänisch = “da”
Deutsch = “de”
Finnisch = “fi”
Französisch = “fr”
Italienisch = “it”
Holländisch = “nl”
Holländisch (Belgien) = “nl_BE”
Norwegisch = “no”
Portugiesisch = “pt”
Spanisch = “es”
Schwedisch = “sv”

getLockInfo() Katalog >
getLockInfo(Var)⇒Wert
Gibt den aktuellen Gesperrt/Entsperrt-Status der
Variablen Var aus.
Wert =0:Var ist nicht gesperrt oder ist nicht
vorhanden.
Wert =1:Var ist gesperrt und kann nicht geändert
oder gelöscht werden.
Siehe Lock, Seite 103, undunLock, Seite 191.
getMode() Katalog >
getMode(ModusNameGanzzahl)⇒Wert
getMode(0)⇒Liste
getMode(ModusNameGanzzahl)gibt einen Wert
zurück, der die aktuelle Einstellung des Modus
ModusNameGanzzahl darstellt.
getMode(0) gibt eine Liste mit Zahlenpaaren zurück.
Jedes Paar enthält eine Modus-Ganzzahl und eine
Einstellungs-Ganzzahl.
Eine Auflistung der Modi und ihrer Einstellungen
finden Sie in der nachstehenden Tabelle.
Wenn Sie die Einstellungen mit getMode(0) &var
speichern, können Sie setMode(var)in einer Funktion
oder in einem Programm verwenden, um die
Einstellungen nur innerhalb der Ausführung dieser
Funktion bzw. dieses Programms vorübergehend
wiederherzustellen. Siehe setMode(), Seite 156.
Modus
Name
Modus
Ganzzahl Einstellen von Ganzzahlen
Angezeigte Ziffern 1 1=Fließ, 2=Fließ 1, 3=Fließ 2, 4=Fließ 3, 5=Fließ 4, 6=Fließ 5,
7=Fließ 6, 8=Fließ 7, 9=Fließ 8, 10=Fließ 9, 11=Fließ 10, 12=Fließ
11, 13=Fließ 12, 14=Fix 0, 15=Fix 1, 16=Fix 2, 17=Fix 3, 18=Fix 4,
19=Fix 5, 20=Fix 6, 21=Fix 7, 22=Fix 8, 23=Fix 9, 24=Fix 10,
25=Fix 11, 26=Fix 12
Winkel 2 1=Bogenmaß, 2=Grad, 3=Neugrad
Exponentialformat 3 1=Normal, 2=Wissenschaftlich, 3=Technisch
Alphabetische Auflistung 81

82 Alphabetische Auflistung
Modus
Name
Modus
Ganzzahl Einstellen von Ganzzahlen
Reell oder
komplex
41=Reell, 2=Kartesisch, 3=Polar
Auto oder Approx. 5 1=Auto, 2=Approximiert, 3=Exakt
Vektorformat 6 1=Kartesisch, 2=Zylindrisch, 3=Sphärisch
Basis 7 1=Dezimal, 2=Hex, 3=Binär
Einheitensystem 8 1=SI, 2=Eng/US
getNum() (Zähler holen) Katalog >
getNum(Ausdr1)⇒Ausdruck
Transformiert das Argument in einen Ausdruck mit
gekürztem gemeinsamem Nenner und gibt dann den
Zähler zurück.
getType() Katalog >
getType(var)⇒String
Gibt eine Zeichenkette zurück, die den Datentyp einer
Variablen var anzeigt.
Wenn var nicht definiert ist, wird die Zeichenkette
„NONE" zurückgegeben.

getVarInfo() Katalog >
getVarInfo()⇒Matrix oder String
getVarInfo(BiblioNameString)⇒Matrix oder String
getVarInfo() gibt eine Informationsmatrix (Name,
Typ, Erreichbarkeit einer Variablen in der Bibliothek
und Gesperrt/Entsperrt-Status) für alle Variablen und
Bibliotheksobjekte zurück, die im aktuellen Problem
definiert sind.
Wenn keine Variablen definiert sind, gibt getVarInfo()
die Zeichenfolge "KEINE" (NONE) zurück.
getVarInfo(BiblioNameString)gibt eine Matrix zurück,
die Informationen zu allen Bibliotheksobjekten
enthält, die in der Bibliothek BiblioNameString
definiert sind. BiblioNameString muss eine
Zeichenfolge (in Anführungszeichen
eingeschlossener Text) oder eine
Zeichenfolgenvariable sein.
Wenn die Bibliothek BiblioNameString nicht existiert,
wird ein Fehler angezeigt.
Beachten Sie das Beispiel links, in dem das Ergebnis
von getVarInfo() der Variablen vs zugewiesen wird.
Beim Versuch, Zeile 2 oder Zeile 3 von vs anzuzeigen,
wird der Fehler “
Liste oder Matrix ungültig
”
zurückgegeben, weil mindestens eines der Elemente
in diesen Zeilen (Variable bzum Beispiel) eine Matrix
ergibt.
Dieser Fehler kann auch auftreten, wenn Ans zum
Neuberechnen eines getVarInfo()-Ergebnisses
verwendet wird.
Das System liefert den obigen Fehler, weil die
aktuelle Version der Software keine verallgemeinerte
Matrixstruktur unterstützt, bei der ein Element einer
Matrix eine Matrix oder Liste sein kann.
Alphabetische Auflistung 83

84 Alphabetische Auflistung
Goto (Gehe zu) Katalog >
Goto MarkeName
Setzt die Programmausführung bei der Marke
MarkeName fort.
MarkeName muss im selben Programm mit der
Anweisung Lbl definiert worden sein.
Hinweis zum Eingeben des Beispiels: Anweisungen
für die Eingabe von mehrzeiligen Programm- und
Funktionsdefinitionen finden Sie im Abschnitt
„Calculator“des Produkthandbuchs.
4Grad (Neugrad) Katalog >
Ausdr1 4Grad⇒Ausdruck
Wandelt Ausdr1 ins Winkelmaß Neugrad um.
Hinweis: Sie können diesen Operator über die
Tastatur Ihres Computers eingeben, indem Sie
@>Grad eintippen.
Im Grad-Modus:
Im Bogenmaß-Modus:
I
identity() (Einheitsmatrix) Katalog >
identity(Ganzzahl)⇒Matrix
Gibt die Einheitsmatrix mit der Dimension Ganzzahl
zurück.
Ganzzahl muss eine positive ganze Zahl sein.

If Katalog >
If Boolescher Ausdr
Anweisung
If Boolescher Ausdr Then
Block
EndIf
Wenn Boolescher Ausdr wahr ergibt, wird die
Einzelanweisung Anweisung oder der
Anweisungsblock Block ausgeführt und danach mit
EndIf fortgefahren.
Wenn Boolescher Ausdr falsch ergibt, wird das
Programm fortgesetzt, ohne dass die
Einzelanweisung bzw. der Anweisungsblock
ausgeführt werden.
Block kann eine einzelne Anweisung oder eine Serie
von Anweisungen sein, die durch “:” getrennt sind.
Hinweis zum Eingeben des Beispiels: Anweisungen
für die Eingabe von mehrzeiligen Programm- und
Funktionsdefinitionen finden Sie im Abschnitt
„Calculator“des Produkthandbuchs.
If Boolescher Ausdr Then
Block1
Else
Block2
EndIf
Wenn Boolescher Ausdr wahr ergibt, wird Block1
ausgeführt und dann Block2 übersprungen.
Wenn Boolescher Ausdr falsch ergibt, wird Block1
übersprungen, aber Block2 ausgeführt.
Block1 und Block2 können einzelne Anweisungen
sein.
Alphabetische Auflistung 85

86 Alphabetische Auflistung
If Katalog >
If Boolescher Ausdr1 Then
Block1
ElseIf Boolescher Ausdr2 Then
Block2
©
ElseIf Boolescher AusdrN Then
BlockN
EndIf
Gestattet Programmverzweigungen. Wenn
Boolescher Ausdr1 wahr ergibt, wird Block1
ausgeführt. Wenn Boolescher Ausdr1 falsch ergibt,
wird Boolescher Ausdr2 ausgewertet usw.
ifFn() Katalog >
ifFn(BoolescherAusdruck,Wert_wenn_wahr [,Wert_
wenn_falsch [,Wert_wenn_unbekannt]])⇒Ausdruck,
Liste oder Matrix
Wertet den Booleschen Ausdruck
BoolescherAusdruck (oder jedes einzelne Element
von BoolescherAusdruck) aus und erstellt ein
Ergebnis auf der Grundlage folgender Regeln:
•BoolescherAusdruck kann einen Einzelwert,
eine Liste oder eine Matrix testen.
• Wenn ein Element von BoolescherAusdruck als
wahr bewertet wird, wird das entsprechende
Element aus Wert_wenn_wahr
zurückgegeben.
• Wenn ein Element von BoolescherAusdruck als
falsch bewertet wird, wird das entsprechende
Element aus Wert_wenn_falsch
zurückgegeben. Wenn Sie Wert_wenn_falsch
weglassen, wird Undef zurückgegeben.
• Wenn ein Element von BoolescherAusdruck
weder wahr noch falsch ist, wird das
entsprechende Element aus Wert_wenn_
unbekannt zurückgegeben. Wenn Sie Wert_
wenn_unbekannt weglassen, wird Undef
zurückgegeben.
• Wenn das zweite, dritte oder vierte Argument
der Funktion ifFn() ein einzelnen Ausdruck ist,
Testwert von 1ist kleiner als 2.5, somit wird das
entsprechende
Wert_wenn_wahr-Element von 5in die Ergebnisliste
kopiert.
Testwert von 2ist kleiner als 2.5, somit wird das
entsprechende
Wert_wenn_wahr-Element von 6in die Ergebnisliste
kopiert.
Testwert von 3ist nicht kleiner als 2.5, somit wird
das entsprechende Wert_wenn_falsch-Element von
10 in die Ergebnisliste kopiert.
Wert_wenn_wahr ist ein einzelner Wert und
entspricht einer beliebigen ausgewählten Position.

ifFn() Katalog >
wird der Boolesche Test für jede Position in
BoolescherAusdruck durchgeführt.
Hinweis: Wenn die vereinfachte Anweisung
BoolescherAusdruck eine Liste oder Matrix
einbezieht, müssen alle anderen Listen- oder
Matrixanweisungen dieselbe(n) Dimension(en)
haben, und auch das Ergebnis wird dieselben(n)
Dimension(en) haben.
Wert_wenn_falsch ist nicht spezifiziert. Undef wird
verwendet.
Ein aus Wert_wenn_wahr ausgewähltes Element. Ein
aus Wert_wenn_unbekannt ausgewähltes Element.
imag() (Imaginärteil) Katalog >
imag(Ausdr1)⇒Ausdruck
Gibt den Imaginärteil des Arguments zurück.
Hinweis: Alle undefinierten Variablen werden als reelle
Variablen behandelt. Siehe auch real(), Seite 142
imag(Liste1)⇒Liste
Gibt eine Liste der Imaginärteile der Elemente zurück.
imag(Matrix1)⇒Matrix
Gibt eine Matrix der Imaginärteile der Elemente
zurück.
impDif() (Implizite Ableitung) Katalog >
impDif(Gleichung,Var,abhängigeVar[,Ord])
⇒Ausdruck
wobei der Vorgabewert für die Ordnung Ord 1 ist.
Berechnet die implizite Ableitung für Gleichungen, in
denen eine Variable implizit durch eine andere
definiert ist.
Umleitung Siehe #(), Seite 219.
Alphabetische Auflistung 87

88 Alphabetische Auflistung
inString() (In String) Katalog >
inString(Quellstring,Teilstring[,Start])⇒Ganzzahl
Gibt die Position des Zeichens von Quellstring
zurück, an der das erste Vorkommen von Teilstring
beginnt.
Start legt fest (sofern angegeben), an welcher
Zeichenposition innerhalb von Quellstring die Suche
beginnt. Vorgabe = 1 (das erste Zeichen von
Quellstring).
Enthält Quellstring die Zeichenkette Teilstring nicht
oder ist Start > Länge von Quellstring, wird Null
zurückgegeben.
int() (Ganze Zahl) Katalog >
int(Ausdr)⇒Ganzzahl
int(Liste1)⇒Liste
int(Matrix1)⇒Matrix
Gibt die größte ganze Zahl zurück, die kleiner oder
gleich dem Argument ist. Diese Funktion ist identisch
mit floor().
Das Argument kann eine reelle oder eine komplexe
Zahl sein.
Für eine Liste oder Matrix wird für jedes Element die
größte ganze Zahl zurückgegeben, die kleiner oder
gleich dem Element ist.
intDiv() (Ganzzahl teilen) Katalog >
intDiv(Zahl1,Zahl2)⇒Ganzzahl
intDiv(Liste1,Liste2)⇒Liste
intDiv(Matrix1,Matrix2)⇒Matrix
Gibt den mit Vorzeichen versehenen ganzzahligen
Teil von (Zahl1÷Zahl2) zurück.
Für eine Liste oder Matrix wird für jedes Elementpaar
der mit Vorzeichen versehene ganzzahlige Teil von
(Argument1÷Argument2) zurückgegeben.

integral Siehe ‰(), Seite 203.
interpolate () Katalog >
interpolate(xWert,xListe,yListe,yStrListe)⇒Liste
Diese Funktion tut folgendes:
Bei gegebenen xListe,yListe=f(xListe)und
yStrListe=f'(xListe)für eine unbekannte Funktion f
wird eine kubische Interpolierende zur
Approximierung der Funktion fbei xWert verwendet.
Es wird angenommen, dass xListe eine Liste
monoton steigender oder fallender Zahlen ist; jedoch
kann diese Funktion auch einen Wert zurückgeben,
wenn dies nicht der Fall ist. Diese Funktion geht
xListe durch und sucht nach einem Intervall [xListe
[i], xListe[i+1]], das xWert enthält. Wenn sie ein
solches Intervall findet, gibt sie einen interpolierten
Wert für f(xWert) zurück; anderenfalls gibt sie undef
zurück.
xListe,yListe und yStrListe müssen die gleiche
Dimension |2 besitzen und Ausdrücke enthalten, die
zu Zahlen vereinfachbar sind.
xWert kann eine nicht definierte Variable, eine Zahl
oder eine Zahlenliste sein.
Differentialgleichung:
y'=-3·y+6·t+5 und y(0)=5
Um das ganze Ergebnis zu sehen, drücken Sie £
und verwenden dann ¡und ¢, um den Cursor zu
bewegen.
Verwenden Sie die Funktion interpolate(), um die
Funktionswerte für die Liste xWert zu berechnen:
invc2() Katalog >
invc2(Fläche,FreiGrad)
invChi2(Fläche,FreiGrad)
Berechnet die inverse kumulative c2(Chi-Quadrat)
Wahrscheinlichkeitsfunktion, die durch Freiheitsgrade FreiGrad
für eine bestimmte Fläche unter der Kurve festgelegt ist.
Alphabetische Auflistung 89

90 Alphabetische Auflistung
invF() Katalog >
invF(Fläche,FreiGradZähler,FreiGradNenner)
invF(Fläche,FreiGradZähler,FreiGradNenner)
Berechnet die inverse kumulative FVerteilungsfunktion, die
durch FreiGradZähler und FreiGradNenner für eine bestimmte
Fläche unter der Kurve festgelegt ist.
invNorm() Katalog >
invNorm(Fläche[,m,s])
Berechnet die inverse kumulative Normalverteilungsfunktion für
eine bestimmte Fläche unter der Normalverteilungskurve, die
durch mund sfestgelegt ist.
invt() Katalog >
invt(Fläche,FreiGrad)
Berechnet die inverse kumulative Student-t-
Wahrscheinlichkeitsfunktion, die durch Freiheitsgrade,
FreiGrad, für eine bestimmte Fläche unter der Kurve festgelegt
ist.
iPart() (Ganzzahliger Teil) Katalog >
iPart(Zahl)⇒Ganzzahl
iPart(Liste1)⇒Liste
iPart(Matrix1)⇒Matrix
Gibt den ganzzahligen Teil des Arguments zurück.
Für eine Liste oder Matrix wird der ganzzahlige Teil
jedes Elements zurückgegeben.
Das Argument kann eine reelle oder eine komplexe
Zahl sein.

irr() Katalog >
irr(CF0,CFListe [,CFFreq])⇒Wert
Finanzfunktion, die den internen Zinsfluss einer
Investition berechnet.
CF0 ist der Anfangs-Cash-Flow zum Zeitpunkt 0;
dies muss eine reelle Zahl sein.
CFListe ist eine Liste von Cash-Flow-Beträgen nach
dem Anfangs-Cash-Flow CF0.
CFFreq ist eine optionale Liste, in der jedes Element
die Häufigkeit des Auftretens für einen gruppierten
(fortlaufenden) Cash-Flow-Betrag angibt, der das
entsprechende Element von CFListe ist.
DerStandardwert ist 1; wenn Sie Werte eingeben,
müssen diese positive Ganzzahlen < 10.000 sein.
Hinweis: Siehe auch mirr(), Seite 111.
isPrime() (Primzahltest) Katalog >
isPrime(Zahl)⇒Boolescher konstanter Ausdruck
Gibt “wahr” oder “falsch” zurück, um anzuzeigen, ob
es sich bei Zahl um eine ganze Zahl |2 handelt, die
nur durch sich selbst oder 1 ganzzahlig teilbar ist.
Übersteigt Zahl ca. 306 Stellen und hat sie keine
Faktoren {1021, dann zeigt isPrime(Zahl)eine
Fehlermeldung an.
Möchten Sie lediglich feststellen, ob es sich bei Zahl
um eine Primzahl handelt, verwenden Sie isPrime()
anstelle von factor(). Dieser Vorgang ist wesentlich
schneller, insbesondere dann, wenn Zahl keine
Primzahl ist und ihr zweitgrößter Faktor ca. fünf
Stellen übersteigt.
Hinweis zum Eingeben des Beispiels: Anweisungen
für die Eingabe von mehrzeiligen Programm- und
Funktionsdefinitionen finden Sie im Abschnitt
„Calculator“des Produkthandbuchs.
Funktion zum Auffinden der nächsten Primzahl nach
einer angegebenen Zahl:
Alphabetische Auflistung 91

92 Alphabetische Auflistung
isVoid() Katalog >
isVoid(Var)⇒Boolescher konstanter Ausdruck
isVoid(Ausdr)⇒Boolescher konstanter Ausdruck
isVoid(Liste)⇒Liste Boolescher konstanter
Ausdrücke
Gibt wahr oder falsch zurück, um anzuzeigen, ob das
Argument ein ungültiger Datentyp ist.
Weitere Informationen zu ungültigen Elementen
finden Sie (Seite 229).
L
Lbl (Marke) Katalog >
Lbl MarkeName
Definiert in einer Funktion eine Marke mit dem Namen
MarkeName.
Mit der Anweisung Goto MarkeName können Sie die
Ausführung an der Anweisung fortsetzen, die
unmittelbar auf die Marke folgt.
Für MarkeName gelten die gleichen
Benennungsregeln wie für einen Variablennamen.
Hinweis zum Eingeben des Beispiels: Anweisungen
für die Eingabe von mehrzeiligen Programm- und
Funktionsdefinitionen finden Sie im Abschnitt
„Calculator“des Produkthandbuchs.
lcm() (Kleinstes gemeinsames Vielfaches) Katalog >
lcm(Zahl1,Zahl2)⇒Ausdruck
lcm(Liste1,Liste2)⇒Liste
lcm(Matrix1,Matrix2)⇒Matrix
Gibt das kleinste gemeinsame Vielfache der beiden
Argumente zurück. Das lcm zweier Brüche ist das
lcm ihrer Zähler dividiert durch den größten
gemeinsamen Teiler (gcd) ihrer Nenner. Das lcm von
Dezimalbruchzahlen ist ihr Produkt.

lcm() (Kleinstes gemeinsames Vielfaches) Katalog >
Für zwei Listen oder Matrizen wird das kleinste
gemeinsame Vielfache der entsprechenden Elemente
zurückgegeben.
left() (Links) Katalog >
left(Quellstring[,Anz])⇒String
Gibt Anz Zeichen zurück, die links in der Zeichenkette
Quellstring enthalten sind.
Wenn Sie Anz weglassen, wird der gesamte
Quellstring zurückgegeben.
left(Liste1[,Anz])⇒Liste
Gibt Anz Elemente zurück, die links in Liste1
enthalten sind.
Wenn Sie Anz weglassen, wird die gesamte Liste1
zurückgegeben.
left(Vergleich)⇒Ausdruck
Gibt die linke Seite einer Gleichung oder Ungleichung
zurück.
libShortcut() Katalog >
libShortcut(BiblioNameString,VerknNameString
[,BiblioPrivMerker])⇒Liste von Variablen
Erstellt eine Variablengruppe im aktuellen Problem,
die Verweise auf alle Objekte im angegebenen
Bibliotheksdokument BiblioNameString enthält. Fügt
außerdem die Gruppenmitglieder dem Variablenmenü
hinzu. Sie können dann auf jedes Objekt mit
VerknNameString verweisen.
Setzen Sie BiblioPrivMerker=0, um private
Bibliotheksobjekte auszuschließen (Standard)
Setzen Sie BiblioPrivMerker=1, um private
Bibliotheksobjekte einzubeziehen
Informationen zum Kopieren einer Variablengruppe
finden Sie unter CopyVar (Seite 33).
Informationen zum Löschen einer Variablengruppe
Dieses Beispiel setzt ein richtig gespeichertes und
aktualisiertes Bibliotheksdokument namens linalg2
voraus, das als clearmat,gauss1 und gauss2 definierte
Objekte enthält.
Alphabetische Auflistung 93

94 Alphabetische Auflistung
libShortcut() Katalog >
finden Sie unter DelVar (Seite 53).
limit() oder lim() (Limes) Katalog >
limit(Ausdr1,Var,Stelle [,Richtung])⇒Ausdruck
limit(Liste1,Var,Stelle [,Richtung])⇒Liste
limit(Matrix1,Var,Stelle [,Richtung])⇒Matrix
Gibt den angeforderten Grenzwert zurück.
Hinweis: Siehe auch Vorlage Limes, Seite 11.
Richtung: negativ=von links, positiv=von rechts,
ansonsten=beide. (Wird keine Angabe gemacht, gilt
für Richtung die Vorgabe beide.)
Grenzen bei positiv ˆund negativ ˆwerden stets zu
einseitigen Grenzen von der endlichen Seite aus
umgewandelt.
Je nach den Umständen gibt limit() sich selbst oder
undef zurück, wenn kein eindeutiger Grenzwert
ermittelt werden kann. Das heißt nicht unbedingt,
dass es keinen eindeutigen Grenzwert gibt. undef
bedeutet lediglich, dass das Ergebnis entweder eine
unbekannte Zahl endlicher oder unendlicher
Größenordnung ist, oder es ist die Gesamtmenge
dieser Zahlen.
limit() arbeitet mit Verfahren wie der Regel von
L’Hospital; es gibt daher eindeutige Grenzwerte, die
es nicht ermitteln kann. Wenn Ausdr1 über Var hinaus
weitere undefinierte Variablen enthält, müssen Sie
möglicherweise Einschränkungen dafür verwenden,
um ein brauchbareres Ergebnis zu erhalten.
Grenzwerte können sehr anfällig für Rundungsfehler
sein. Vermeiden Sie nach Möglichkeit die Einstellung
Approximiert für den Modus Auto oder Näherung
sowie Näherungszahlen beim Berechnen von
Grenzwerten. Andernfalls kann es sein, dass

limit() oder lim() (Limes) Katalog >
Grenzen, die Null oder unendlich sein müssten, dies
nicht sind und umgekehrt endliche Grenzwerte
ungleich Null nicht erkannt werden.
LinRegBx Katalog >
LinRegBx X,Y[,[Häuf][,Kategorie,Mit]]
Berechnet die lineare Regressiony = a+b·xauf Listen Xund Ymit
der Häufigkeit Häuf. Eine Zusammenfassung der Ergebnisse
wird in der Variablen stat.results gespeichert. (Seite 170.)
Alle Listen außer Mit müssen die gleiche Dimension besitzen.
Xund Ysind Listen von unabhängigen und abhängigen Variablen.
Häuf ist eine optionale Liste von Häufigkeitswerten. Jedes
Element in Häuf gibt die Häufigkeit für jeden entsprechenden
Datenpunkt Xund Yan. Der Standardwert ist 1. Alle Elemente
müssen Ganzzahlen |0 sein.
Kategorie ist eine Liste von Kategoriecodes für die
entsprechenden Xund YDaten.
Mit ist eine Liste von einem oder mehreren Kategoriecodes. Nur
solche Datenelemente, deren Kategoriecode in dieser Liste
enthalten ist, sind in der Berechnung enthalten.
Informationen zu den Auswirkungen leerer Elemente in einer
Liste finden Sie unter “Leere (ungültige) Elemente” (Seite 229).
Ausgabevariable Beschreibung
stat.RegEqn Regressionsgleichung: a+b·x
stat.a, stat.b Regressionskoeffizienten
stat.r2Bestimmungskoeffizient
stat.r Korrelationskoeffizient
stat.Resid Residuen von der Regression
stat.XReg Liste der Datenpunkte in der modifizierten X-Liste, die in der Regression mit den Beschränkungen
für Häuf,Kategorieliste und Mit-Kategorien verwendet wurde
stat.YReg Liste der Datenpunkte in der modifizierten Y-Liste, die schließlich in der Regression mit den
Beschränkungen für Häuf,Kategorieliste und Mit-Kategorien verwendet wurde
stat.FreqReg Liste der Häufigkeiten für stat.XReg und stat.YReg
Alphabetische Auflistung 95

96 Alphabetische Auflistung
LinRegMx Katalog >
LinRegMx X,Y[,[Häuf][,Kategorie,Mit]]
Berechnet die lineare Regression y = m·x+b auf Liste Xund Y
mit der Häufigkeit Häuf. Eine Zusammenfassung der Ergebnisse
wird in der Variablen stat.results gespeichert. (Seite 170.)
Alle Listen außer Mit müssen die gleiche Dimension besitzen.
Xund Ysind Listen von unabhängigen und abhängigen Variablen.
Häuf ist eine optionale Liste von Häufigkeitswerten. Jedes
Element in Häuf gibt die Häufigkeit für jeden entsprechenden
Datenpunkt Xund Yan. Der Standardwert ist 1. Alle Elemente
müssen Ganzzahlen |0 sein.
Kategorie ist eine Liste von Kategoriecodes für die
entsprechenden Xund YDaten.
Mit ist eine Liste von einem oder mehreren Kategoriecodes. Nur
solche Datenelemente, deren Kategoriecode in dieser Liste
enthalten ist, sind in der Berechnung enthalten.
Informationen zu den Auswirkungen leerer Elemente in einer
Liste finden Sie unter “Leere (ungültige) Elemente” (Seite 229).
Ausgabevariable Beschreibung
stat.RegEqn Regressionsgleichung: m·x+b
stat.m, stat.b Regressionskoeffizienten
stat.r2Bestimmungskoeffizient
stat.r Korrelationskoeffizient
stat.Resid Residuen von der Regression
stat.XReg Liste der Datenpunkte in der modifizierten X-Liste, die in der Regression mit den Beschränkungen
für Häuf,Kategorieliste und Mit-Kategorien verwendet wurde
stat.YReg Liste der Datenpunkte in der modifizierten Y-Liste, die schließlich in der Regression mit den
Beschränkungen für Häuf,Kategorieliste und Mit-Kategorien verwendet wurde
stat.FreqReg Liste der Häufigkeiten für stat.XReg und stat.YReg
LinRegtIntervals (Lineare Regressions-t-Intervalle) Katalog >
LinRegtIntervals X,Y[,F[,0[,KStufe]]]
Für Steigung. Berechnet ein Konfidenzintervall des Niveaus K für
die Steigung.

LinRegtIntervals (Lineare Regressions-t-Intervalle) Katalog >
LinRegtIntervals X,Y[,F[,1,XWert[,KStufe]]]
Für Antwort. Berechnet einen vorhergesagten y-Wert, ein
Niveau-K-Vorhersageintervall für eine einzelne Beobachtung und
ein Niveau-K-Konfidenzintervall für die mittlere Antwort.
Eine Zusammenfassung der Ergebnisse wird in der Variablen
stat.results gespeichert. (Seite 170.)
Alle Listen müssen die gleiche Dimension besitzen.
Xund Ysind Listen von unabhängigen und abhängigen Variablen.
Fist eine optionale Liste von Frequenzwerten. Jedes Element in
Fgibt die Häufigkeit für jeden entsprechenden Xund Y
Datenpunkt an. Der Standardwert ist 1. Alle Elemente müssen
Ganzzahlen |0 sein.
Informationen zu den Auswirkungen leerer Elemente in einer
Liste finden Sie unter “Leere (ungültige) Elemente” (Seite 229).
Ausgabevariable Beschreibung
stat.RegEqn Regressionsgleichung: a+b·x
stat.a, stat.b Regressionskoeffizienten
stat.df Freiheitsgrade
stat.r2Bestimmungskoeffizient
stat.r Korrelationskoeffizient
stat.Resid Residuen von der Regression
Nur für Steigung
Ausgabevariable Beschreibung
[stat.CLower, stat.CUpper] Konfidenzintervall für die Steigung
stat.ME Konfidenzintervall-Fehlertoleranz
stat.SESlope Standardfehler der Steigung
stat.s Standardfehler an der Linie
Nur für Antwort
Ausgabevariable Beschreibung
[stat.CLower, stat.CUpper] Konfidenzintervall für die mittlere Antwort
stat.ME Konfidenzintervall-Fehlertoleranz
Alphabetische Auflistung 97

98 Alphabetische Auflistung
Ausgabevariable Beschreibung
stat.SE Standardfehler der mittleren Antwort
[stat.LowerPred,
stat.UpperPred]
Vorhersageintervall für eine einzelne Beobachtung
stat.MEPred Vorhersageintervall-Fehlertoleranz
stat.SEPred Standardfehler für Vorhersage
stat.ya + b·XWert
LinRegtTest (t-Test bei linearer Regression) Katalog >
LinRegtTest X,Y[,Häuf[,Hypoth]]
Berechnet eine lineare Regression auf den X- und Y-Listen und
einen t-Test auf dem Wert der Steigung bund den
Korrelationskoeffizienten rfür die Gleichung y=a+bx. Er
berechnet die Null-Hypothese H0:b=0 (gleichwertig, r=0) in
Bezug auf eine von drei alternativen Hypothesen.
Alle Listen müssen die gleiche Dimension besitzen.
Xund Ysind Listen von unabhängigen und abhängigen Variablen.
Häuf ist eine optionale Liste von Häufigkeitswerten. Jedes
Element in Häuf gibt die Häufigkeit für jeden entsprechenden X-
und Y-Datenpunkt an. Der Standardwert ist 1. Alle Elemente
müssen Ganzzahlen |0 sein.
Hypoth ist ein optionaler Wert, der eine von drei alternativen
Hypothesen angibt, in Bezug auf die die Nullhypothese
(H0:b=r=0) untersucht wird.
Für Ha:bÉ0 und rÉ0 (Standard) setzen Sie Hypoth=0
Für Ha:b<0 und r<0 setzen Sie Hypoth<0
Für Ha:b>0 und r>0 setzen Sie Hypoth>0
Eine Zusammenfassung der Ergebnisse wird in der Variablen
stat.results gespeichert. (Seite 170.)
Informationen zu den Auswirkungen leerer Elemente in einer
Liste finden Sie unter “Leere (ungültige) Elemente” (Seite 229).
Ausgabevariable Beschreibung
stat.RegEqn Regressionsgleichung: a + b·x
stat.t t-Statistik für Signifikanztest

Ausgabevariable Beschreibung
stat.PVal Kleinste Signifikanzebene, bei der die Nullhypothese verworfen werden kann
stat.df Freiheitsgrade
stat.a, stat.b Regressionskoeffizienten
stat.s Standardfehler an der Linie
stat.SESlope Standardfehler der Steigung
stat.r2Bestimmungskoeffizient
stat.r Korrelationskoeffizient
stat.Resid Residuen von der Regression
linSolve() Katalog >
linSolve(SystemLinearerGl,Var1,Var2,...)⇒Liste
linSolve(LineareGl1 and LineareGl2 and ...,Var1,
Var2,...)⇒Liste
linSolve({LineareGl1,LineareGl2,...}, Var1,Var2,
...)⇒Liste
linSolve(SystemLinearerGl, {Var1,Var2,...}) ⇒Liste
linSolve(LineareGl1 and LineareGl2 and ..., {Var1,
Var2,...})⇒Liste
linSolve({LineareGl1,LineareGl2,...}, {Var1,Var2,
...}) ⇒Liste
Liefert eine Liste mit Lösungen für die Variablen Var1,
Var2,...
Das erste Argument muss ein System linearer
Gleichungen bzw. eine einzelne lineare Gleichung
ergeben. Anderenfalls tritt ein Argumentfehler auf.
Die Auswertung von linSolve(x=1 and x=2,x) führt
beispielsweise zu dem Ergebnis "Argumentfehler" .
@list() (Listendifferenz) Katalog >
@list(Liste1)⇒Liste
Hinweis: Sie können diese Funktion über die Tastatur
Ihres Computers eingeben, indem Sie deltaList
Alphabetische Auflistung 99

100 Alphabetische Auflistung
@list() (Listendifferenz) Katalog >
(...)eintippen.
Ergibt eine Liste mit den Differenzen der aufeinander
folgenden Elemente in Liste1. Jedes Element in
Liste1 wird vom folgenden Element in Liste1
subtrahiert. Die Ergebnisliste enthält stets ein
Element weniger als die ursprüngliche Liste1.
list4mat() (Liste in Matrix) Katalog >
list4mat(Liste [,ElementeProZeile])⇒Matrix
Gibt eine Matrix zurück, die Zeile für Zeile mit den
Elementen aus Liste aufgefüllt wurde.
ElementeProZeile gibt (sofern angegeben) die Anzahl
der Elemente pro Zeile an. Vorgabe ist die Anzahl der
Elemente in Liste (eine Zeile).
Wenn Liste die resultierende Matrix nicht vollständig
auffüllt, werden Nullen hinzugefügt.
Hinweis: Sie können diese Funktion über die Tastatur
Ihres Computers eingeben, indem Sie list@>mat
(...)eintippen.
4ln (Natürlicher Logarithmus) Katalog >
Ausdr 4ln⇒Ausdruck
Führt dazu, dass der eingegebene Ausdr in einen
Ausdruck umgewandelt wird, der nur natürliche
Logarithmen (ln) enthält.
Hinweis: Sie können diesen Operator über die
Tastatur Ihres Computers eingeben, indem Sie @>ln
eintippen.
ln() (Natürlicher Logarithmus) /u Tasten
ln(Ausdr1)⇒Ausdruck
ln(Liste1)⇒Liste
Gibt den natürlichen Logarithmus des Arguments
zurück. Bei Komplex-Formatmodus reell:

ln() (Natürlicher Logarithmus) /u Tasten
Gibt für eine Liste die natürlichen Logarithmen der
einzelnen Elemente zurück.
Bei Komplex-Formatmodus kartesisch:
ln(Quadratmatrix1)⇒Quadratmatrix
Ergibt den natürlichen Matrix-Logarithmus von
Quadratmatrix1. Dies ist nicht gleichbedeutend mit
der Berechnung des natürlichen Logarithmus jedes
einzelnen Elements. Näheres zum
Berechnungsverfahren finden Sie im Abschnitt cos().
Quadratmatrix1 muss diagonalisierbar sein. Das
Ergebnis enthält immer Fließkommazahlen.
Im Winkelmodus Bogenmaß und Komplex-
Formatmodus “kartesisch”:
Um das ganze Ergebnis zu sehen, drücken Sie £
und verwenden dann ¡und ¢, um den Cursor zu
bewegen.
LnReg Katalog >
LnReg X,Y[,[Häuf] [,Kategorie,Mit]]
Berechnet die logarithmische Regression y = a+b·ln(x) auf
Listen Xund Ymit der Häufigkeit Häuf. Eine Zusammenfassung
der Ergebnisse wird in der Variablen stat.results gespeichert.
(Seite 170.)
Alle Listen außer Mit müssen die gleiche Dimension besitzen.
Xund Ysind Listen von unabhängigen und abhängigen Variablen.
Häuf ist eine optionale Liste von Häufigkeitswerten. Jedes
Element inHäuf gibt die Häufigkeit für jeden entsprechenden X-
und Y-Datenpunkt an. Der Standardwert ist 1. Alle Elemente
müssen Ganzzahlen |0 sein.
Kategorie ist eine Liste von Kategoriecodes für die
entsprechenden Xund YDaten.
Mit ist eine Liste von einem oder mehreren Kategoriecodes. Nur
solche Datenelemente, deren Kategoriecode in dieser Liste
enthalten ist, sind in der Berechnung enthalten.
Informationen zu den Auswirkungen leerer Elemente in einer
Liste finden Sie unter “Leere (ungültige) Elemente” (Seite 229).
Alphabetische Auflistung 101

102 Alphabetische Auflistung
Ausgabevariable Beschreibung
stat.RegEqn Regressionsgleichung: a+b·ln(x)
stat.a, stat.b Regressionskoeffizienten
stat.r2Koeffizient der linearen Bestimmtheit für transformierte Daten
stat.r Korrelationskoeffizient für transformierte Daten (ln(x), y)
stat.Resid Mit dem logarithmischen Modell verknüpfte Residuen
stat.ResidTrans Residuen für die lineare Anpassung transformierter Daten
stat.XReg Liste der Datenpunkte in der modifizierten X-Liste, die in der Regression mit den Beschränkungen
für Häuf,Kategorieliste und Mit-Kategorien verwendet wurde
stat.YReg Liste der Datenpunkte in der modifizierten Y-Liste, die schließlich in der Regression mit den
Beschränkungen für Häuf,Kategorieliste und Mit-Kategorien verwendet wurde
stat.FreqReg Liste der Häufigkeiten für stat.XReg und stat.YReg
Local (Lokale Variable) Katalog >
Local Var1[,Var2] [,Var3] ...
Deklariert die angegebenen Variablen Variable als
lokale Variablen. Diese Variablen existieren nur
während der Auswertung einer Funktion und werden
gelöscht, wenn die Funktion beendet wird.
Hinweis: Lokale Variablen sparen Speicherplatz, da
sie nur temporär existieren. Außerdem stören sie
keine vorhandenen globalen Variablenwerte. Lokale
Variablen müssen für For-Schleifen und für das
temporäre Speichern von Werten in mehrzeiligen
Funktionen verwendet werden, da Änderungen
globaler Variablen in einer Funktion unzulässig sind.
Hinweis zum Eingeben des Beispiels: Anweisungen
für die Eingabe von mehrzeiligen Programm- und
Funktionsdefinitionen finden Sie im Abschnitt
„Calculator“des Produkthandbuchs.

Lock Katalog >
LockVar1 [,Var2] [,Var3] ...
LockVar.
Sperrt die angegebenen Variablen bzw. die
Variablengruppe. Gesperrte Variablen können nicht
geändert oder gelöscht werden.
Die Systemvariable Ans können Sie nicht sperren
oder entsperren, ebenso können Sie die
Systemvariablengruppen stat. oder tvm. nicht
sperren.
Hinweis: Der Befehl Sperren (Lock) löscht den
Rückgängig/Wiederholen-Verlauf, wenn er für nicht
gesperrte Variablen verwendet wird.
Siehe unLock, Seite 191, und getLockInfo(), Seite 81.
log() (Logarithmus) /s Tasten
log(Ausdr1[,Ausdr2])⇒Ausdruck
log(Liste1[,Ausdr2])⇒Liste
Gibt für den Logarithmus des Arguments zur Basis
Ausdr2 zurück.
Hinweis: Siehe auch Vorlage Logarithmus, Seite 6.
Gibt bei einer Liste den Logarithmus der Elemente zur
Basis Ausdr2 zurück.
Wenn Ausdr2 weggelassen wird, wird 10 als Basis
verwendet.
Bei Komplex-Formatmodus reell:
Bei Komplex-Formatmodus kartesisch:
log(Quadratmatrix1[,Ausdr2])⇒Quadratmatrix
Gibt den Matrix-Logarithmus von Quadratmatrix1 zur
Basis Ausdr2 zurück. Dies ist nicht gleichbedeutend
mit der Berechnung des Logarithmus jedes Elements
zur Basis Ausdr2. Näheres zur Berechnungsmethode
Im Winkelmodus Bogenmaß und Komplex-
Formatmodus “kartesisch”:
Alphabetische Auflistung 103

104 Alphabetische Auflistung
log() (Logarithmus) /s Tasten
finden Sie im Abschnitt cos().
Quadratmatrix1 muss diagonalisierbar sein. Das
Ergebnis enthält immer Fließkommazahlen.
Wenn das Basisargument weggelassen wird, wird 10
als Basis verwendet.
Um das ganze Ergebnis zu sehen, drücken Sie £
und verwenden dann ¡und ¢, um den Cursor zu
bewegen.
4logbase Katalog >
Ausdr1 4logbase(Ausdr2)⇒Ausdruck
Führt dazu, dass der eingegebene Ausdruck zu einem
Ausdruck mit der Basis Ausdr2 vereinfacht wird.
Hinweis: Sie können diesen Operator über die
Tastatur Ihres Computers eingeben, indem Sie
@>logbase(...)eintippen.
Logistic Katalog >
Logistic X,Y[,[Häuf] [,Kategorie,Mit]]
Berechnet die logistische Regressiony = (c/(1+a·e-bx))auf Listen
Xund Ymit der Häufigkeit Häuf. Eine Zusammenfassung der
Ergebnisse wird in der Variablen stat.results gespeichert. (Seite
170.)
Alle Listen außer Mit müssen die gleiche Dimension besitzen.
Xund Ysind Listen von unabhängigen und abhängigen Variablen.
Häuf ist eine optionale Liste von Häufigkeitswerten. Jedes
Element in Häuf gibt die Häufigkeit für jeden entsprechenden X-
und Y-Datenpunkt an. Der Standardwert ist 1. Alle Elemente
müssen Ganzzahlen |0 sein.
Kategorie ist eine Liste von Kategoriecodes für die
entsprechenden Xund YDaten.
Mit ist eine Liste von einem oder mehreren Kategoriecodes. Nur
solche Datenelemente, deren Kategoriecode in dieser Liste
enthalten ist, sind in der Berechnung enthalten.
Informationen zu den Auswirkungen leerer Elemente in einer

Logistic Katalog >
Liste finden Sie unter “Leere (ungültige) Elemente” (Seite 229).
Ausgabevariable Beschreibung
stat.RegEqn Regressionsgleichung: c/(1+a·e-bx)
stat.a, stat.b, stat.c Regressionskoeffizienten
stat.Resid Residuen von der Regression
stat.XReg Liste der Datenpunkte in der modifizierten X-Liste, die in der Regression mit den Beschränkungen
für Häuf,Kategorieliste und Mit-Kategorien verwendet wurde
stat.YReg Liste der Datenpunkte in der modifizierten Y-Liste, die schließlich in der Regression mit den
Beschränkungen für Häuf,Kategorieliste und Mit-Kategorien verwendet wurde
stat.FreqReg Liste der Häufigkeiten für stat.XReg und stat.YReg
LogisticD Katalog >
LogisticD X,Y[,[Iterationen],[Häuf] [,Kategorie,Mit] ]
Berechnet die logistische Regression y = (c/(1+a·e-bx)+d) auf
Listen Xund Ymit der Häufigkeit Häuf unter Verwendung einer
bestimmten Anzahl von Iterationen. Eine Zusammenfassung
der Ergebnisse wird in der Variablen stat.results gespeichert.
(Seite 170.)
Alle Listen außer Mit müssen die gleiche Dimension besitzen.
Xund Ysind Listen von unabhängigen und abhängigen Variablen.
Iterationen ist ein optionaler Wert, der angibt, wie viele
Lösungsversuche maximal stattfinden. Bei Auslassung wird 64
verwendet. Größere Werte führen in der Regel zu höherer
Genauigkeit, aber auch zu längeren Ausführungszeiten, und
umgekehrt.
Häuf ist eine optionale Liste von Häufigkeitswerten. Jedes
Element in Häuf gibt die Häufigkeit für jeden entsprechenden X-
und Y-Datenpunkt an. Der Standardwert ist 1. Alle Elemente
müssen Ganzzahlen |0 sein.
Kategorie ist eine Liste von Kategoriecodes für die
entsprechenden Xund YDaten.
Mit ist eine Liste von einem oder mehreren Kategoriecodes. Nur
solche Datenelemente, deren Kategoriecode in dieser Liste
enthalten ist, sind in der Berechnung enthalten.
Informationen zu den Auswirkungen leerer Elemente in einer
Alphabetische Auflistung 105

106 Alphabetische Auflistung
LogisticD Katalog >
Liste finden Sie unter “Leere (ungültige) Elemente” (Seite 229).
Ausgabevariable Beschreibung
stat.RegEqn Regressionsgleichung: c/(1+a·e-bx)+d)
stat.a, stat.b, stat.c,
stat.d
Regressionskoeffizienten
stat.Resid Residuen von der Regression
stat.XReg Liste der Datenpunkte in der modifizierten X-Liste, die in der Regression mit den Beschränkungen
für Häuf,Kategorieliste und Mit -Kategorien verwendet wurde
stat.YReg Liste der Datenpunkte in der modifizierten Y-Liste, die schließlich in der Regression mit den
Beschränkungen für Häuf,Kategorieliste und Mit -Kategorien verwendet wurde
stat.FreqReg Liste der Häufigkeiten für stat.XReg und stat.YReg
Loop (Schleife) Katalog >
Loop
Block
EndLoop
Führt die in Block enthaltenen Anweisungen
wiederholt aus. Beachten Sie, dass dies eine
Endlosschleife ist. Beenden Sie sie, indem Sie die
Anweisung Goto oder Exit in Block ausführen.
Block ist eine Folge von Anweisungen, die durch das
Zeichen “:” voneinander getrennt sind.
Hinweis zum Eingeben des Beispiels: Anweisungen
für die Eingabe von mehrzeiligen Programm- und
Funktionsdefinitionen finden Sie im Abschnitt
„Calculator“des Produkthandbuchs.

LU (Untere/obere Matrixzerlegung) Katalog >
LU Matrix,lMatrix,uMatrix,pMatrix[,Tol]
Berechnet die Doolittle LU-Zerlegung (LR-Zerlegung)
einer reellen oder komplexen Matrix. Die untere (bzw.
linke) Dreiecksmatrix ist in lMatrix gespeichert, die
obere (bzw. rechte) Dreiecksmatrix in uMatrix und
die Permutationsmatrix (in welcher der bei der
Berechnung vorgenommene Zeilentausch
dokumentiert ist) in pMatrix.
lMatrix ·uMatrix =pMatrix ·Matrix
Sie haben die Option, dass jedes Matrixelement als
Null behandelt wird, wenn dessen absoluter Wert
geringer als Tol ist. Diese Toleranz wird nur dann
verwendet, wenn die Matrix Fließkommaelemente
aufweist und keinerlei symbolische Variablen ohne
zugewiesene Werte enthält. Anderenfalls wird Tol
ignoriert.
• Wenn Sie /· verwenden oder den Modus
Auto oder Näherung auf Approximiert einstellen,
werden Berechnungen in Fließkomma-
Arithmetik durchgeführt.
• Wird Tol weggelassen oder nicht verwendet, so
wird die Standardtoleranz folgendermaßen
berechnet:
5EM14 ·max(dim(Matrix)) ·rowNorm(Matrix)
Der LU-Faktorisierungsalgorithmus verwendet
partielle Pivotisierung mit Zeilentausch.
M
mat4list() (Matrix in Liste) Katalog >
mat4list(Matrix)⇒Liste
Gibt eine Liste zurück, die mit den Elementen aus
Matrix gefüllt wurde. Die Elemente werden Zeile für
Zeile aus Matrix kopiert.
Hinweis: Sie können diese Funktion über die Tastatur
Ihres Computers eingeben, indem Sie mat@>list
(...)eintippen.
Alphabetische Auflistung 107

108 Alphabetische Auflistung
max() (Maximum) Katalog >
max(Ausdr1,Ausdr2)⇒Ausdruck
max(Liste1,Liste2)⇒Liste
max(Matrix1,Matrix2)⇒Matrix
Gibt das Maximum der beiden Argumente zurück.
Wenn die Argumente zwei Listen oder Matrizen sind,
wird eine Liste bzw. Matrix zurückgegeben, die den
Maximalwert für jedes entsprechende Elementpaar
enthält.
max(Liste)⇒Ausdruck
Gibt das größte Element von Liste zurück.
max(Matrix1)⇒Matrix
Gibt einen Zeilenvektor zurück, der das größte
Element jeder Spalte von Matrix1 enthält.
Leere (ungültige) Elemente werden ignoriert. Weitere
Informationen zu leeren Elementen finden Sie (Seite
229).
Hinweis: Siehe auch fMax() und min().
mean() (Mittelwert) Katalog >
mean(Liste[,Häufigkeitsliste])⇒Ausdruck
Gibt den Mittelwert der Elemente in Liste zurück.
Jedes Häufigkeitsliste-Element gewichtet die
Elemente von Liste in der gegebenen Reihenfolge
entsprechend.
mean(Matrix1[,Häufigkeitsmatrix])⇒Matrix
Ergibt einen Zeilenvektor aus den Mittelwerten aller
Spalten in Matrix1.
Jedes Häufigkeitsmatrix-Element gewichtet die
Elemente von Matrix1 in der gegebenen Reihenfolge
entsprechend.
Leere (ungültige) Elemente werden ignoriert. Weitere
Informationen zu leeren Elementen finden Sie (Seite
229).
Im Vektorformat kartesisch:

median() (Median) Katalog >
median(Liste[,freqList])⇒Ausdruck
Gibt den Medianwert der Elemente in Liste zurück.
Jedes freqList-Element gewichtet die Elemente von
Liste in der gegebenen Reihenfolge entsprechend.
median(Matrix1[,freqMatrix])⇒Matrix
Gibt einen Zeilenvektor zurück, der die Medianwerte
der einzelnen Spalten von Matrix1enthält.
Jedes freqMatrix-Element gewichtet die Elemente
von Matrix1 in der gegebenen Reihenfolge
entsprechend.
Hinweise:
• Alle Elemente der Liste bzw. der Matrix müssen
zu Zahlen vereinfachbar sein.
• Leere (ungültige) Elemente in der Liste oder
Matrix werden ignoriert. Weitere Informationen
zu leeren Elementen finden Sie (Seite 229).
MedMed Katalog >
MedMed X,Y[,Häuf] [,Kategorie,Mit]]
Berechnet die Median-Median-Liniey = (m·x+b)auf Listen Xund
Ymit der Häufigkeit Häuf. Eine Zusammenfassung der
Ergebnisse wird in der Variablen stat.results gespeichert. (Seite
170.)
Alle Listen außer Mit müssen die gleiche Dimension besitzen.
Xund Ysind Listen von unabhängigen und abhängigen Variablen.
Häuf ist eine optionale Liste von Häufigkeitswerten. Jedes
Element in Häuf gibt die Häufigkeit für jeden entsprechenden X-
und Y-Datenpunkt an. Der Standardwert ist 1. Alle Elemente
müssen Ganzzahlen |0 sein.
Kategorie ist eine Liste von Kategoriecodes für die
entsprechenden Xund YDaten.
Mit ist eine Liste von einem oder mehreren Kategoriecodes. Nur
solche Datenelemente, deren Kategoriecode in dieser Liste
enthalten ist, sind in der Berechnung enthalten.
Informationen zu den Auswirkungen leerer Elemente in einer
Liste finden Sie unter “Leere (ungültige) Elemente” (Seite 229).
Alphabetische Auflistung 109

110 Alphabetische Auflistung
Ausgabevariable Beschreibung
stat.RegEqn Median-Median-Linien-Gleichung: m·x+b
stat.m, stat.b Modellkoeffizienten
stat.Resid Residuen von der Median-Median-Linie
stat.XReg Liste der Datenpunkte in der modifizierten X-Liste, die in der Regression mit den Beschränkungen
für Häuf,Kategorieliste und Mit-Kategorien verwendet wurde
stat.YReg Liste der Datenpunkte in der modifizierten Y-Liste, die schließlich in der Regression mit den
Beschränkungen für Häuf,Kategorieliste und Mit-Kategorien verwendet wurde
stat.FreqReg Liste der Häufigkeiten für stat.XReg und stat.YReg
mid() (Teil-String) Katalog >
mid(Quellstring,Start[,Anzahl])⇒String
Gibt Anzahl Zeichen aus der Zeichenkette
Quellstring ab dem Zeichen mit der Nummer Start
zurück.
Wird Anzahl weggelassen oder ist sie größer als die
Länge von Quellstring, werden alle Zeichen
vonQuellstring ab dem Zeichen mit der Nummer
Start zurückgegeben.
Anzahl muss |0 sein. Bei Anzahl = 0 wird eine leere
Zeichenkette zurückgegeben.
mid(Quellliste,Start [,Anzahl])⇒Liste
Gibt Anzahl Elemente aus Quellliste ab dem Element
mit der Nummer Start zurück.
Wird Anzahl weggelassen oder ist sie größer als die
Dimension von Quellliste, werden alle Elemente von
Quellliste ab dem Element mit der Nummer Start
zurückgegeben.
Anzahl muss |0 sein. Bei Anzahl = 0 wird eine leere
Liste zurückgegeben.
mid(QuellstringListe,Start[,Anzahl])⇒Liste
Gibt Anzahl Strings aus der Stringliste
QuellstringListe ab dem Element mit der Nummer
Start zurück.

min() (Minimum) Katalog >
min(Ausdr1,Ausdr2)⇒Ausdruck
min(Liste1, Liste2)⇒Liste
min(Matrix1, Matrix2)⇒Matrix
Gibt das Minimum der beiden Argumente zurück.
Wenn die Argumente zwei Listen oder Matrizen sind,
wird eine Liste bzw. Matrix zurückgegeben, die den
Minimalwert für jedes entsprechende Elementpaar
enthält.
min(Liste)⇒Ausdruck
Gibt das kleinste Element von Liste zurück.
min(Matrix1)⇒Matrix
Gibt einen Zeilenvektor zurück, der das kleinste
Element jeder Spalte von Matrix1 enthält.
Hinweis: Siehe auch fMin() und max().
mirr() Katalog >
mirr
(Finanzierungsrate,Reinvestitionsrate,CF0,CFListe
[,CFFreq])
Finanzfunktion, die den modifizierten internen
Zinsfluss einer Investition zurückgibt.
Finanzierungsrate ist der Zinssatz, den Sie für die
Cash-Flow-Beträge zahlen.
Reinvestitionsrate ist der Zinssatz, zu dem die Cash-
Flows reinvestiert werden.
CF0 ist der Anfangs-Cash-Flow zum Zeitpunkt 0;
dies muss eine reelle Zahl sein.
CFListe ist eine Liste von Cash-Flow-Beträgen nach
dem Anfangs-Cash-Flow CF0.
CFFreq ist eine optionale Liste, in der jedes Element
die Häufigkeit des Auftretens für einen gruppierten
(fortlaufenden) Cash-Flow-Betrag angibt, der das
entsprechende Element von CFListe ist. Der
Standardwert ist 1; wenn Sie Werte eingeben,
müssen diese positive Ganzzahlen < 10.000 sein.
Hinweis: Siehe auch irr(), Seite 91.
Alphabetische Auflistung 111

112 Alphabetische Auflistung
mod() (Modulo) Katalog >
mod(Ausdr1,Ausdr2)⇒Ausdruck
mod(Liste1,Liste2)⇒Liste
mod(Matrix1,Matrix2)⇒Matrix
Gibt das erste Argument modulo das zweite
Argument gemäß der folgenden Identitäten zurück:
mod(x,0) = x
mod(x,y) = x -y floor(x/y)
Ist das zweite Argument ungleich Null, ist das
Ergebnis in diesem Argument periodisch. Das
Ergebnis ist entweder Null oder besitzt das gleiche
Vorzeichen wie das zweite Argument.
Sind die Argumente zwei Listen bzw. zwei Matrizen,
wird eine Liste bzw. Matrix zurückgegeben, die den
Modulus jedes Elementpaars enthält.
Hinweis: Siehe auch remain(), Seite 144
mRow() (Matrixzeilenoperation) Katalog >
mRow(Ausdr,Matrix1,Index)⇒Matrix
Gibt eine Kopie von Matrix1 zurück, in der jedes
Element der Zeile Index von Matrix1 mit Ausdr
multipliziert ist.
mRowAdd() (Matrixzeilenaddition) Katalog >
mRowAdd(Ausdr,Matrix1,Index1,Index2)⇒Matrix
Gibt eine Kopie von Matrix1 zurück, wobei jedes
Element in Zeile Index2 von Matrix1 ersetzt wird
durch:
Ausdr × Zeile Index1 + Zeile Index2
MultReg Katalog >
MultReg Y,X1[,X2[,X3,…[,X10]]]
Berechnet die lineare Mehrfachregression der Liste Yfür die
Listen X1,X2,…,X10. Eine Zusammenfassung der Ergebnisse

MultReg Katalog >
wird in der Variablen stat.results gespeichert. (Seite 170.)
Alle Listen müssen die gleiche Dimension besitzen.
Informationen zu den Auswirkungen leerer Elemente in einer
Liste finden Sie unter “Leere (ungültige) Elemente” (Seite 229).
Ausgabevariable Beschreibung
stat.RegEqn Regressionsgleichung: b0+b1·x1+b2·x2+ ...
stat.b0, stat.b1, ... Regressionskoeffizienten
stat.R2Multiples Bestimmtheitsmaß
stat.yList yList = b0+b1·x1+ ...
stat.Resid Residuen von der Regression
MultRegIntervals Katalog >
MultRegIntervals Y,X1[,X2[,X3,…[,X10]]],XWertListe
[,KNiveau]
Berechnet einen vorhergesagten y-Wert, ein Niveau-K-
Vorhersageintervall für eine einzelne Beobachtung und ein
Niveau-K-Konfidenzintervall für die mittlere Antwort.
Eine Zusammenfassung der Ergebnisse wird in der Variablen
stat.results gespeichert. (Seite 170.)
Alle Listen müssen die gleiche Dimension besitzen.
Informationen zu den Auswirkungen leerer Elemente in einer
Liste finden Sie unter “Leere (ungültige) Elemente” (Seite 229).
Ausgabevariable Beschreibung
stat.RegEqn Regressionsgleichung: b0+b1·x1+b2·x2+ ...
stat.yEine Punktschätzung: y= b0 + b1 ·xl + ... für XWertListe
stat.dfError Fehler-Freiheitsgrade
stat.CLower, stat.CUpper Konfidenzintervall für eine mittlere Antwort
stat.ME Konfidenzintervall-Fehlertoleranz
stat.SE Standardfehler der mittleren Antwort
stat.LowerPred,
stat.UpperrPred
Vorhersageintervall für eine einzelne Beobachtung
Alphabetische Auflistung 113

114 Alphabetische Auflistung
Ausgabevariable Beschreibung
stat.MEPred Vorhersageintervall-Fehlertoleranz
stat.SEPred Standardfehler für Vorhersage
stat.bList Liste der Regressionskoeffizienten, {b0,b1,b2,...}
stat.Resid Residuen von der Regression
MultRegTests Katalog >
MultRegTests Y,X1[,X2[,X3,…[,X10]]]
Der lineare Mehrfachregressionstest berechnet eine lineare
Mehrfachregression für die gegebenen Daten sowie die globale
F-Teststatistik und t-Teststatistik für die Koeffizienten.
Eine Zusammenfassung der Ergebnisse wird in der Variablen
stat.results gespeichert. (Seite 170.)
Informationen zu den Auswirkungen leerer Elemente in einer
Liste finden Sie unter “Leere (ungültige) Elemente” (Seite 229).
Ausgaben
Ausgabevariable Beschreibung
stat.RegEqn Regressionsgleichung: b0+b1·x1+b2·x2+ ...
stat.F Globale F-Testgröße
stat.PVal Mit globaler F-Statistik verknüpfter P-Wert
stat.R2Multiples Bestimmtheitsmaß
stat.AdjR2Angepasster Koeffizient des multiplen Bestimmtheitsmaßes
stat.s Standardabweichung des Fehlers
stat.DW Durbin-Watson-Statistik; bestimmt, ob in dem Modell eine Autokorrelation erster Ordnung
vorhanden ist
stat.dfReg Regressions-Freiheitsgrade
stat.SSReg Summe der Regressionsquadrate
stat.MSReg Mittlere Regressionsstreuung
stat.dfError Fehler-Freiheitsgrade
stat.SSError Summe der Fehlerquadrate
stat.MSError Mittleres Fehlerquadrat

Ausgabevariable Beschreibung
stat.bList {b0,b1,...} Liste der Koeffizienten
stat.tList Liste der t-Testgrößen, eine für jeden Koeffizienten in b-Liste
stat.PList Liste der P-Werte für jede t-Testgröße
stat.SEList Liste der Standardfehler für Koeffizienten in b-Liste
stat.yList yList = b0+b1·x1+...
stat.Resid Residuen von der Regression
stat.sResid Standardisierte Residuen; wird durch Division eines Residuums durch die Standardabweichung
ermittelt
stat.CookDist Cookscher Abstand; Maß für den Einfluss einer Beobachtung auf der Basis von Residuum und
Hebelwert
stat.Leverage Maß für den Abstand der Werte der unabhängigen Variable von den Mittelwerten (Hebelwerte)
N
nand /= Tasten
BoolescherAusdr1nandBoolescherAusd2 ergibt
Boolescher Ausdruck
BoolescheListe1nandBoolescheListe2 ergibt
Boolesche Liste
BoolescheMatrix1nandBoolescheMatrix2 ergibt
Boolesche Matrix
Gibt die Negation einer logischen and Operation auf
beiden Argumenten zurück. Gibt „wahr“, „falsch“oder
eine vereinfachte Form des Arguments zurück.
Bei Listen und Matrizen werden die Ergebnisse des
Vergleichs der einzelnen Elemente zurückgegeben.
Ganzzahl1nandGanzzahl2⇒Ganzzahl
Vergleicht zwei reelle ganze Zahlen mit Hilfe einer
nand-Operation Bit für Bit. Intern werden beide
ganzen Zahlen in binäre 64-Bit-Zahlen mit Vorzeichen
konvertiert. Beim Vergleich der sich entsprechenden
Bits ist das Ergebnis dann 1, wenn beide Bits 1 sind;
anderenfalls ist das Ergebnis 0. Der zurückgegebene
Wert stellt die Bit-Ergebnisse dar und wird im
Alphabetische Auflistung 115

116 Alphabetische Auflistung
nand /= Tasten
jeweiligen Basis-Modus angezeigt.
Sie können die ganzen Zahlen in jeder Basis
eingeben. Für eine binäre oder hexadezimale Eingabe
ist das Präfix 0b bzw. 0h zu verwenden. Ohne Präfix
werden ganze Zahlen als dezimal behandelt
(Basis10).
nCr() (Kombinationen) Katalog >
nCr(Ausdr1,Ausdr2)⇒Ausdruck
Für ganzzahlige Ausdr1 und Ausdr2 mit Ausdr1 |
Ausdr2 |0 ist nCr() die Anzahl der Möglichkeiten,
Ausdr1 Elemente aus Ausdr2 Elementen
auszuwählen (auch als Binomialkoeffizient bekannt).
Beide Argumente können ganze Zahlen oder
symbolische Ausdrücke sein.
nCr(Ausdr, 0)⇒1
nCr(Ausdr,negGanzzahl)⇒0
nCr(Ausdr,posGanzzahl)⇒Ausdr·(AusdrN1)...
(AusdrNposGanzzahl+1)/ posGanzzahl!
nCr(Ausdr,keineGanzzahl)⇒Ausdr!/
((AusdrNkeineGanzzahl)!·keineGanzzahl!)
nCr(Liste1,Liste2)⇒Liste
Gibt eine Liste von Binomialkoeffizienten auf der
Basis der entsprechenden Elementpaare der beiden
Listen zurück. Die Argumente müssen Listen gleicher
Größe sein.
nCr(Matrix1,Matrix2)⇒Matrix
Gibt eine Matrix von Binomialkoeffizienten auf der
Basis der entsprechenden Elementpaare der beiden
Matrizen zurück. Die Argumente müssen Matrizen
gleicher Größe sein.

nDerivative() Katalog >
nDerivative(Ausdr1,Var=Wert[,Ordnung])⇒Wert
nDerivative(Ausdr1,Var[,Ordnung])|
Var=Wert⇒Wert
Gibt die numerische Ableitung zurück, berechnet
durch automatische Ableitungsmethoden.
Wenn Wert angegeben ist, setzt er jede
vorausgegangene Variablenzuweisung oder jede
aktuelle „|“Ersetzung für die Variable außer Kraft.
Ordnung der Ableitung muss 1oder 2sein.
newList() (Neue Liste) Katalog >
newList(AnzElemente)⇒Liste
Gibt eine Liste der Dimension AnzElemente zurück.
Jedes Element ist Null.
newMat() (Neue Matrix) Katalog >
newMat(AnzZeil,AnzSpalt)⇒Matrix
Gibt eine Matrix der Dimension AnzZeil mal AnzSpalt
zurück, wobei die Elemente Null sind.
nfMax() (Numerisches Funktionsmaximum) Katalog >
nfMax(Ausdr,Var)⇒Wert
nfMax(Ausdr,Var,UntereGrenze)⇒Wert
nfMax(Ausdr,Var,UntereGrenze,ObereGrenze)
⇒Wert
nfMax(Ausdr, Var) | UntereGrenze{Var
{ObereGrenze⇒Wert
Gibt einen möglichen numerischen Wert der Variablen
Var zurück, wobei das lokale Maximum von Ausdr
auftritt.
Wenn Sie UntereGrenze und ObereGrenze ersetzen,
sucht die Funktion in dem geschlossenen Invervall
[UntereGrenze,ObereGrenze] für das lokale
Alphabetische Auflistung 117

118 Alphabetische Auflistung
nfMax() (Numerisches Funktionsmaximum) Katalog >
Maximum.
Hinweis: Siehe auch fMax() und d().
nfMin() (Numerisches Funktionsminimum) Katalog >
nfMin(Ausdr,Var)⇒Wert
nfMin(Ausdr,Var,UntereGrenze)⇒Wert
nfMin(Ausdr,Var,UntereGrenze,ObereGrenze)
⇒Wert
nfMin(Ausdr, Var) | UntereGrenze{Var
{ObereGrenze⇒Wert
Gibt einen möglichen numerischen Wert der Variablen
Var zurück, wobei das lokale Minimum von Ausdr
auftritt.
Wenn Sie UntereGrenze und ObereGrenze ersetzen,
sucht die Funktion in dem geschlossenen Invervall
[UntereGrenze,ObereGrenze] für das lokale
Minimum.
Hinweis: Siehe auch fMin() und d().
nInt() (Numerisches Integral) Katalog >
nInt(Ausdr1, Var, Untere, Obere)⇒Ausdruck
Wenn der Integrand Ausdr1 außer Var keine anderen
Variablen enthält und wenn Untere und Obere
Konstanten oder positiv ˆoder negativ ˆsind, gibt
nInt() eine Näherung für ‰(Ausdr1,Var,Untere,
Obere)zurück. Diese Näherung ist der gewichtete
Durchschnitt von Stichprobenwerten des Integranden
im Intervall Untere<Var<Obere.
Das Berechnungsziel sind sechs signifikante Stellen.
Der angewendete Algorithmus beendet die
Weiterberechnung, wenn das Ziel hinreichend erreicht
ist oder wenn weitere Stichproben wahrscheinlich zu
keiner sinnvollen Verbesserung führen.
Wenn es scheint, dass das Berechnungsziel nicht
erreicht wurde, wird die Meldung “Zweifelhafte
Genauigkeit” angezeigt.

nInt() (Numerisches Integral) Katalog >
Sie können nInt() verschachteln, um mehrere
numerische Integrationen durchzuführen. Die
Integrationsgrenzen können von außerhalb liegenden
Integrationsvariablen abhängen.
Hinweis: Siehe auch ‰(), Seite 203.
nom() Katalog >
nom(Effektivzins,CpY)⇒Wert
Finanzfunktion zur Umrechnung des jährlichen
Effektivzinssatzes Effektivzins in einen
Nominalzinssatz, wobei CpY als Anzahl der
Verzinsungsperioden pro Jahr gegeben ist.
Effektivzins muss eine reelle Zahl sein und CpY muss
eine reelle Zahl > 0 sein.
Hinweis: Siehe auch eff(), Seite 61.
nor /= Tasten
BoolescherAusd1norBoolescherAusdr2 ergibt
Boolescher Ausdruck
BoolescheListe1norBoolescheListe2 ergibt
Boolesche Liste
BoolescheMatrix1norBoolescheMatrix2 ergibt
Boolesche Matrix
Gibt die Negation einer logischen or Operation auf
beiden Argumenten zurück. Gibt „wahr“oder „falsch“
oder eine vereinfachte Form des Arguments zurück.
Bei Listen und Matrizen werden die Ergebnisse des
Vergleichs der einzelnen Elemente zurückgegeben.
Ganzzahl1norGanzzahl2⇒Ganzzahl
Vergleicht zwei reelle ganze Zahlen mit Hilfe einer
nor-Operation Bit für Bit. Intern werden beide ganzen
Zahlen in binäre 64-Bit-Zahlen mit Vorzeichen
konvertiert. Beim Vergleich der sich entsprechenden
Bits ist das Ergebnis dann 1, wenn beide Bits 1 sind;
anderenfalls ist das Ergebnis 0. Der zurückgegebene
Alphabetische Auflistung 119

120 Alphabetische Auflistung
nor /= Tasten
Wert stellt die Bit-Ergebnisse dar und wird im
jeweiligen Basis-Modus angezeigt.
Sie können die ganzen Zahlen in jeder Basis
eingeben. Für eine binäre oder hexadezimale Eingabe
ist das Präfix 0b bzw. 0h zu verwenden. Ohne Präfix
werden ganze Zahlen als dezimal behandelt
(Basis10).
norm() Katalog >
norm(Matrix)⇒Ausdruck
norm(Vektor)⇒Ausdruck
Gibt die Frobeniusnorm zurück.
normalLine() Katalog >
normalLine(Ausdr1,Var,Punkt)⇒Ausdruck
normalLine(Ausdr1,Var=Punkt)⇒Ausdruck
Gibt die Normale zu der durch Ausdr1 dargestellten
Kurve an dem in Var=Punkt angegebenen Punkt
zurück.
Stellen Sie sicher, dass die unabhängige Variable
nicht definiert ist. Wenn zum Beispiel f1(x):=5 und
x:=3 ist, gibt normalLine(f1(x),x,2)“false” zurück.
normCdf() (Normalverteilungswahrscheinlichkeit) Katalog >
normCdf(untereGrenze,obereGrenze[,m[,s]])⇒Zahl, wenn
untereGrenze und obereGrenze Zahlen sind, Liste, wenn
untereGrenze und obereGrenze Listen sind
Berechnet die Normalverteilungswahrscheinlichkeit zwischen
untereGrenze und obereGrenze für die angegebenen m
(Standard=0) und s(Standard = 1).
Für P(X {obereGrenze) setzen Sie untereGrenze =.ˆ.

normPdf() (Wahrscheinlichkeitsdichte) Katalog >
normPdf(XWert[,m[,s]])⇒Zahl, wenn XWert eine Zahl ist, Liste,
wenn XWert eine Liste ist
Berechnet die Wahrscheinlichkeitsdichtefunktion für die
Normalverteilung an einem bestimmten XWert für die
vorgegebenen mund s.
not (nicht) Katalog >
not BoolescherAusdr1⇒BoolescherAusdruck
Gibt „wahr“oder „falsch“oder eine vereinfachte Form
des Arguments zurück.
not Ganzzahl1⇒Ganzzahl
Gibt das Einerkomplement einer reellen ganzen Zahl
zurück. Intern wird Ganzzahl1 in eine 32-Bit-Dualzahl
mit Vorzeichen umgewandelt. Für das
Einerkomplement werden die Werte aller Bits
umgekehrt (so dass 0 zu 1 wird und umgekehrt). Die
Ergebnisse werden im jeweiligen Basis-Modus
angezeigt.
Sie können die ganzen Zahlen mit jeder Basis
eingeben. Für eine binäre oder hexadezimale Eingabe
ist das Präfix 0b bzw. 0h zu verwenden. Ohne Präfix
wird die ganze Zahl als dezimal behandelt (Basis10).
Geben Sie eine dezimale ganze Zahl ein, die für eine
64-Bit-Dualform mit Vorzeichen zu groß ist, dann wird
eine symmetrische Modulo-Operation ausgeführt, um
den Wert in den erforderlichen Bereich zu bringen.
Weitere Informationen finden Sie unter 4Base2, Seite
21.
Im Hex-Modus:
Wichtig: Null, nicht Buchstabe O.
Im Bin-Modus:
Um das ganze Ergebnis zu sehen, drücken Sie £
und verwenden dann ¡und ¢, um den Cursor zu
bewegen.
Hinweis: Eine binäre Eingabe kann bis zu 64 Stellen
haben (das Präfix 0b wird nicht mitgezählt). Eine
hexadezimale Eingabe kann bis zu 16 Stellen
aufweisen.
Alphabetische Auflistung 121

122 Alphabetische Auflistung
nPr() (Permutationen) Katalog >
nPr(Ausdr1,Ausdr2)⇒Ausdruck
Für ganzzahlige Ausdr1 und Ausdr2 mit Ausdr1 |
Ausdr2 |0 ist nPr() die Anzahl der Möglichkeiten,
Ausdr1 Elemente unter Berücksichtigung der
Reihenfolge aus Ausdr2 Elementen auszuwählen.
Beide Argumente können ganze Zahlen oder
symbolische Ausdrücke sein.
nPr(Ausdr, 0)⇒1
nPr(Ausdr,negGanzzahl)⇒1/((Ausdr+1)·
(Ausdr+2)... (AusdrNnegGanzzahl))
nPr(Ausdr,posGanzzahl)⇒Ausdr·(AusdrN1)...
(AusdrNposGanzzahl+1)
nPr(Ausdr,keineGanzzahl)⇒Ausdr! /
(AusdrNkeineGanzzahl)!
nPr(Liste1,Liste2)⇒Liste
Gibt eine Liste der Permutationen auf der Basis der
entsprechenden Elementpaare der beiden Listen
zurück. Die Argumente müssen Listen gleicher Größe
sein.
nPr(Matrix1,Matrix2)⇒Matrix
Gibt eine Matrix der Permutationen auf der Basis der
entsprechenden Elementpaare der beiden Matrizen
zurück. Die Argumente müssen Matrizen gleicher
Größe sein.
npv() Katalog >
npv(Zinssatz,CFO,CFListe[,CFFreq])
Finanzfunktion zur Berechnung des Nettobarwerts;
die Summe der Barwerte für die Bar-Zuflüsse und -
Abflüsse. Ein positives Ergebnis für npv zeigt eine
rentable Investition an.
Zinssatz ist der Satz, zu dem die Cash-Flows (der
Geldpreis) für einen Zeitraum.
CF0 ist der Anfangs-Cash-Flow zum Zeitpunkt 0;
dies muss eine reelle Zahl sein.
CFListe ist eine Liste der Cash-Flow-Beträge nach
dem anfänglichen Cash-Flow CF0.

npv() Katalog >
CFFreq ist eine Liste, in der jedes Element die
Häufigkeit des Auftretens für einen gruppierten
(fortlaufenden) Cash-Flow-Betrag angibt, der das
entsprechende Element von CFListeist. Der
Standardwert ist 1; wenn Sie Werte eingeben,
müssen diese positive Ganzzahlen < 10.000 sein.
nSolve() (Numerische Lösung) Katalog >
nSolve(Gleichung,Var[=Schätzwert])⇒Zahl oder
Fehler_String
nSolve(Gleichung,Var[=Schätzwert],UntereGrenze)
⇒Zahl oder Fehler_String
nSolve(Gleichung,Var
[=Schätzwert],UntereGrenze,ObereGrenze)⇒Zahl
oder Fehler_String
nSolve(Gleichung,Var[=Schätzwert]) |
UntereGrenze{Var{ObereGrenze ⇒Zahl oder
Fehler_String
Ermittelt iterativ eine reelle numerische
Näherungslösung von Gleichung für deren eine
Variable. Geben Sie die Variable an als:
Variable
– oder –
Variable =reelle Zahl
Beispiel: x ist gültig und x=3 ebenfalls.
Hinweis: Existieren mehrere Lösungen, können Sie
mit Hilfe einer Schätzung eine bestimmte Lösung
suchen.
nSolve() ist häufig sehr viel schneller als solve() oder
zeros(), insbesondere, wenn zusätzlich der Operator
“|” benutzt wird, um die Suche auf ein relativ kleines
Intervall zu beschränken, das genau eine einzige
Lösung enthält.
nSolve() versucht entweder einen Punkt zu ermitteln,
wo der Unterschied zwischen tatsächlichem und
erwartetem Wert Null ist oder zwei relativ nahe
Punkte, wo der Restfehler entgegengesetzte
Vorzeichen besitzt und nicht zu groß ist. Wenn
nSolve() dies nicht mit einer kleinen Anzahl von
Versuchen erreichen kann, wird die Zeichenkette
“Keine Lösung gefunden” zurückgegeben.
Alphabetische Auflistung 123

124 Alphabetische Auflistung
nSolve() (Numerische Lösung) Katalog >
Hinweis: Siehe auch cSolve(),cZeros(),solve() und
zeros().
O
OneVar (Eine Variable) Katalog >
OneVar [1,]X[,[Häufigkeit][,Kategorie,Mit]]
OneVar [n,]X1,X2[X3[,…[,X20]]]
Berechnet die 1-Variablenstatistik für bis zu 20 Listen.
EineZusammenfassung der Ergebnisse wird in der Variable
stat.results gespeichert. (Seite 170.)
Alle Listen außer Mit müssen die gleiche Dimension besitzen.
Die X-Argumente sind Datenlisten.
Häufigkeit ist eine optionale Liste von Häufigkeitswerten.
JedesElement in Häufigkeit gibt die Häufigkeit für jeden
entsprechenden X-Wert an. Der Standardwert ist 1.
AlleElementemüssen Ganzzahlen |0 sein.
Kategorie ist eine Liste von Kategoriecodes für die
entsprechenden XDaten.
Mit ist eine Liste von einem oder mehreren Kategoriecodes.
Nursolche Datenelemente, deren Kategoriecode in dieser Liste
enthalten ist, sind in der Berechnung enthalten.
Ein leeres (ungültiges) Element in einer der Listen X,Freq oder
Kategorie führt zu einem Fehler im entsprechenden Element
aller dieser Listen. Ein leeres (ungültiges) Element in einer der
Listen X1 bis X20 führt zu einem Fehler im entsprechenden
Element aller dieser Listen. Weitere Informationen zu leeren
Elementen finden Sie (Seite 229).
Ausgabevariable Beschreibung
stat.vMittelwert der x-Werte
stat.Gx Summe der x-Werte
stat.Gx2Summe der x2-Werte
stat.sx Stichproben-Standardabweichung von x
stat.sx Populations-Standardabweichung von x

Ausgabevariable Beschreibung
stat.n Anzahl der Datenpunkte
stat.MinX Minimum der x-Werte
stat.Q1X 1. Quartil von x
stat.MedianX Median von x
stat.Q3X 3. Quartil von x
stat.MaxX Maximum der x-Werte
stat.SSX Summe der Quadrate der Abweichungen der x-Werte vom Mittelwert
or (oder) Katalog >
BoolescherAusd1orBoolescherAusdr2 ergibt
Boolescher Ausdruck
BoolescheListe1orBoolescheListe2 ergibt Boolesche
Liste
BoolescheMatrix1orBoolescheMatrix2 ergibt
Boolesche Matrix
Gibt „wahr“oder „falsch“oder eine vereinfachte Form
des ursprünglichen Terms zurück.
Gibt “wahr” zurück, wenn ein Ausdruck oder beide
Ausdrücke zu ”wahr” ausgewertet werden. Gibt nur
dann “falsch” zurück, wenn beide Ausdrücke “falsch”
ergeben.
Hinweis: Siehe xor.
Hinweis zum Eingeben des Beispiels: Anweisungen
für die Eingabe von mehrzeiligen Programm- und
Funktionsdefinitionen finden Sie im Abschnitt
„Calculator“des Produkthandbuchs.
Ganzzahl1orGanzzahl2⇒Ganzzahl
Vergleicht zwei reelle ganze Zahlen mit Hilfe einer or-
Operation Bit für Bit. Intern werden beide ganzen
Zahlen in binäre 32-Bit-Zahlen mit Vorzeichen
konvertiert. Beim Vergleich der sich entsprechenden
Bits ist das Ergebnis dann 1, wenn eines der Bits 1 ist;
das Ergebnis ist nur dann 0, wenn beide Bits 0 sind.
Der zurückgegebene Wert stellt die Bit-Ergebnisse
dar und wird im jeweiligen Basis-Modus angezeigt.
Im Hex-Modus:
Wichtig: Null, nicht Buchstabe O.
Im Bin-Modus:
Hinweis: Eine binäre Eingabe kann bis zu 64 Stellen
Alphabetische Auflistung 125

126 Alphabetische Auflistung
or (oder) Katalog >
Sie können die ganzen Zahlen in jeder Basis
eingeben. Für eine binäre oder hexadezimale Eingabe
ist das Präfix 0b bzw. 0h zu verwenden. Ohne Präfix
werden ganze Zahlen als dezimal behandelt
(Basis10).
Geben Sie eine dezimale ganze Zahl ein, die für eine
64-Bit-Dualform mit Vorzeichen zu groß ist, dann wird
eine symmetrische Modulo-Operation ausgeführt, um
den Wert in den erforderlichen Bereich zu bringen.
Weitere Informationen finden Sie unter 4Base2, Seite
21.
Hinweis: Siehe xor.
haben (das Präfix 0b wird nicht mitgezählt). Eine
hexadezimale Eingabe kann bis zu 16 Stellen
aufweisen.
ord() (Numerischer Zeichencode) Katalog >
ord(String)⇒Ganzzahl
ord(Liste1)⇒Liste
Gibt den Zahlenwert (Code) des ersten Zeichens der
Zeichenkette String zurück. Handelt es sich um eine
Liste, wird der Code des ersten Zeichens jedes
Listenelements zurückgegeben.
P
P4Rx() (Kartesische x-Koordinate) Katalog >
P4Rx(rAusdr,qAusdr)⇒Ausdruck
P4Rx(rListe,qListe)⇒Liste
P4Rx(rMatrix,qMatrix)⇒Matrix
Gibt die äquivalente x-Koordinate des Paars (r,q)
zurück.
Hinweis: Das q-Argument wird gemäß deraktuellen
Winkelmoduseinstellung als Grad, Neugrad oder
Bogenmaß interpretiert. Ist das Argument ein
Ausdruck, können Sie¡,goder Rbenutzen, um die
Winkelmoduseinstellung temporär zu ändern.
Hinweis: Sie können diese Funktion über die Tastatur
Ihres Computers eingeben, indem Sie P@>Rx(...)
Im Bogenmaß-Modus:

P4Rx() (Kartesische x-Koordinate) Katalog >
eintippen.
P4Ry() (Kartesische y-Koordinate) Katalog >
P4Ry(rAusdr,qAusdr)⇒Ausdruck
P4Ry(rListe,qListe)⇒Liste
P4Ry(rMatrix,qMatrix)⇒Matrix
Gibt die äquivalente y-Koordinate des Paars (r,q)
zurück.
Hinweis: Das q-Argument wird gemäß deraktuellen
Winkelmoduseinstellung als Grad, Neugrad oder
Bogenmaß interpretiert. Ist das Argument ein
Ausdruck, können Sie¡,GoderRbenutzen, um die
Winkelmoduseinstellung temporär zu ändern.
Hinweis: Sie können diese Funktion über die Tastatur
Ihres Computers eingeben, indem Sie P@>Ry(...)
eintippen.
Im Bogenmaß-Modus:
PassErr (ÜbgebFeh) Katalog >
PassErr
Übergibt einen Fehler an die nächste Stufe.
Wenn die Systemvariable Fehlercode (errCode) Null ist, tut
PassErr nichts.
Das Else im Block Try...Else...EndTry muss ClrErr oder PassErr
verwenden. Wenn der Fehler verarbeitet oder ignoriert werden
soll, verwenden Sie ClrErr. Wenn nicht bekannt ist, was mit dem
Fehler zu tun ist, verwenden Sie PassErr, um ihn an den
nächsten Error Handler zu übergeben. Wenn keine weiteren
Try...Else...EndTry Error Handler unerledigt sind, wird das
Fehlerdialogfeld als normal angezeigt.
Hinweis: Siehe auch LöFehler, Seite 29, und Versuche, Seite
185.
Hinweis zum Eingeben des Beispiels: Anweisungen für die
Eingabe von mehrzeiligen Programm- und Funktionsdefinitionen
finden Sie im Abschnitt „Calculator“des Produkthandbuchs.
Ein Beispiel zu PassErr finden Sie im
Beispiel 2 unter Befehl Versuche (Try),
Seite 185.
Alphabetische Auflistung 127

128 Alphabetische Auflistung
piecewise() (Stückweise) Katalog >
piecewise(Ausdr1 [,Bedingung1 [,Ausdr2 [,
Bedingung2 [,…]]]])
Gibt Definitionen für eine stückweise definierte
Funktion in Form einer Liste zurück. Sie können auch
mit Hilfe einer Vorlage stückweise Definitionen
erstellen.
Hinweis: Siehe auch Vorlage Stückweise, Seite 7.
poissCdf() Katalog >
poissCdf(l,untereGrenze,obereGrenze)⇒Zahl, wenn
untereGrenze und obereGrenze Zahlen sind, Liste, wenn
untereGrenze und obereGrenze Listen sind
poissCdf(l,obereGrenze)(für P(0{X{obereGrenze)⇒Zahl, wenn
obereGrenze eine Zahl ist, Liste, wenn obereGrenze eine Liste
ist
Berechnet die kumulative Wahrscheinlichkeit für die diskrete
Poisson-Verteilung mit dem vorgegebenen Mittelwert l.
Für P(X {obereGrenze) setzen Sie untereGrenze = 0
poissPdf() Katalog >
poissPdf(l,XWert)⇒Zahl, wenn XWert eine Zahl ist, Liste,
wenn XWert eine Liste ist
Berechnet die Wahrscheinlichkeit für die diskrete Poisson-
Verteilung mit dem vorgegebenen Mittelwert l.
4Polar Katalog >
Vektor 4Polar
Hinweis: Sie können diesen Operator über die
Tastatur Ihres Computers eingeben, indem Sie
@>Polar eintippen.
Zeigt Vektor in Polarform [r∠θ] an. Der Vektor muss
die Dimension 2 besitzen und kann eine Zeile oder
eine Spalte sein.
Hinweis: 4Polar ist eine Anzeigeformatanweisung,

4Polar Katalog >
keine Konvertierungsfunktion. Sie können sie nur am
Ende einer Eingabezeile benutzen, und sie nimmt
keine Aktualisierung von ans vor.
Hinweis: Siehe auch 4Rect, Seite 142.
komplexerWert 4Polar
Zeigt komplexerVektor in Polarform an.
• Der Grad-Modus für Winkel gibt (r∠θ) zurück.
• Der Bogenmaß-Modus für Winkel gibt reiθ
zurück.
komplexerWert kann jede komplexe Form haben.
Eine reiθ-Eingabe verursacht jedoch im Winkelmodus
Grad einen Fehler.
Hinweis: Für eine Eingabe in Polarform müssen
Klammern (r∠θ) verwendet werden.
Im Bogenmaß-Modus:
Im Neugrad-Modus:
Im Grad-Modus:
polyCoeffs() Katalog >
polyCoeffs(Poly [,Var])⇒Liste
Gibt eine Liste der Koeffizienten des Polynoms Poly
mit Bezug auf die Variable Var zurück.
Poly muss ein Polynomausdruck in Var sein. Wir
empfehlen, Var nicht wegzulassen, außer wenn Poly
ein Ausdruck in einer einzelnen Variablen ist.
Entwickelt das Polynom und wählt xfür die
weggelassene Variable Var.
Alphabetische Auflistung 129

130 Alphabetische Auflistung
polyCoeffs() Katalog >
polyDegree() Katalog >
polyDegree(Poly [,Var])⇒Wert
Gibt den Grad eines Polynomausdrucks Poly in
Bezug auf die Variable Var zurück. Wenn Sie Var
weglassen, wählt die Funktion polyDegree() einen
Standardwert aus den im Polynom Poly enthaltenen
Variablen aus.
Poly muss ein Polynomausdruck in Var sein. Wir
empfehlen, Var nicht wegzulassen, außer wenn Poly
ein Ausdruck in einer einzelnen Variablen ist.
Konstante Polynome
Der Grad kann auch extrahiert werden, wenn dies für
die Koeffizienten nicht möglich ist. Dies liegt daran,
dass der Grad extrahiert werden kann, ohne das
Polynom zu entwickeln.

polyEval() (Polynom auswerten) Katalog >
polyEval(Liste1,Ausdr1)⇒Ausdruck
polyEval(Liste1,Liste2)⇒Ausdruck
Interpretiert das erste Argument als Koeffizienten
eines nach fallenden Potenzen geordneten Polynoms
und gibt das Polynom bezüglich des zweiten
Arguments zurück.
polyGcd() Katalog >
polyGcd(Ausdr1,Ausdr2)⇒Ausdruck
Gibt den größten gemeinsamen Teiler der beiden
Argumente zurück.
Ausdr1 und Ausdr2 müssen Polynomausdrücke sein.
Listen-, Matrix- und Boolesche Argumente sind nicht
zulässig.
polyQuotient() Katalog >
polyQuotient(Poly1,Poly2 [,Var])⇒Ausdruck
Gibt den Polynomquotienten von Poly1 geteilt durch
Polynom Poly2 bezüglich der angegebenen Variable
Var zurück.
Poly1 und Poly2 müssen Polynomausdrücke in Var
sein. Wir empfehlen, Var nicht wegzulassen, außer
wenn Poly1 und Poly2 Ausdrücke in derselben
einzelnen Variablen sind.
Alphabetische Auflistung 131

132 Alphabetische Auflistung
polyRemainder() Katalog >
polyRemainder(Poly1,Poly2 [,Var])⇒Ausdruck
Gibt den Rest des Polynoms Poly1 geteilt durch
Polynom Poly2 bezüglich der angegebenen Variablen
Var zurück.
Poly1 und Poly2 müssen Polynomausdrücke in Var
sein. Wir empfehlen, Var nicht wegzulassen, außer
wenn Poly1 und Poly2 Ausdrücke in derselben
einzelnen Variablen sind.
polyRoots() Katalog >
polyRoots(Poly,Var)⇒Liste
polyRoots(KoeffListe)⇒Liste
Die erste Syntax polyRoots(Poly,Var)gibt eine Liste
mit reellen Wurzeln des Polynoms Poly bezüglich der
Variablen Var zurück. Wenn keine reellen Wurzeln
existieren, wird eine leere Liste zurückgegeben: {}.
Poly muss dabei ein Polynom in einer Variablen sein.
Die zweite Syntax polyRoots(KoeffListe)liefert eine
Liste mit reellen Wurzeln für die Koeffizienten in
KoeffListe.
Hinweis: Siehe auch cPolyRoots(), Seite 40.
PowerReg Katalog >
PowerReg X,Y[,Häuf] [,Kategorie,Mit]]
Berechnet die Potenzregressiony = (a·(x)b)auf Listen Xund Y
mit der Häufigkeit Häuf. Eine Zusammenfassung der Ergebnisse
wird in der Variablen stat.results gespeichert. (Seite 170.)
Alle Listen außer Mit müssen die gleiche Dimension besitzen.
Xund Ysind Listen von unabhängigen und abhängigen Variablen.

PowerReg Katalog >
Häuf ist eine optionale Liste von Häufigkeitswerten. Jedes
Element in Häuf gibt die Häufigkeit für jeden entsprechenden X-
und Y-Datenpunkt an. Der Standardwert ist 1. Alle Elemente
müssen Ganzzahlen |0 sein.
Kategorie ist eine Liste von Kategoriecodes für die
entsprechenden Xund YDaten.
Mit ist eine Liste von einem oder mehreren Kategoriecodes. Nur
solche Datenelemente, deren Kategoriecode in dieser Liste
enthalten ist, sind in der Berechnung enthalten.
Informationen zu den Auswirkungen leerer Elemente in einer
Liste finden Sie unter “Leere (ungültige) Elemente” (Seite 229).
Ausgabevariable Beschreibung
stat.RegEqn Regressionsgleichung: a·(x)b
stat.a, stat.b Regressionskoeffizienten
stat.r2Koeffizient der linearen Bestimmtheit für transformierte Daten
stat.r Korrelationskoeffizient für transformierte Daten (ln(x), ln(y))
stat.Resid Mit dem Potenzmodell verknüpfte Residuen
stat.ResidTrans Residuen für die lineare Anpassung transformierter Daten
stat.XReg Liste der Datenpunkte in der modifizierten X-Liste, die in der Regression mit den Beschränkungen
für Häuf,Kategorieliste und Mit-Kategorien verwendet wurde
stat.YReg Liste der Datenpunkte in der modifizierten Y-Liste, die schließlich in der Regression mit den
Beschränkungen für Häuf,Kategorieliste und Mit-Kategorien verwendet wurde
stat.FreqReg Liste der Häufigkeiten für stat.XReg und stat.YReg
Prgm Katalog >
Prgm
Block
EndPrgm
Vorlage zum Erstellen eines benutzerdefinierten
Programms. Muss mit dem Befehl Definiere (Define),
Definiere LibPub (Define LibPub) oder Definiere
LibPriv (Define LibPriv) verwendet werden.
Block kann eine einzelne Anweisung, eine Reihe von
durch das Zeichen “:” voneinander getrennten
Anweisungen oder eine Reihe von Anweisungen in
GCD berechnen und Zwischenergebnisse anzeigen.
Alphabetische Auflistung 133

134 Alphabetische Auflistung
Prgm Katalog >
separaten Zeilen sein.
Hinweis zum Eingeben des Beispiels: Anweisungen
für die Eingabe von mehrzeiligen Programm- und
Funktionsdefinitionen finden Sie im Abschnitt
„Calculator“des Produkthandbuchs.
prodSeq() Siehe Π(), Seite 217.
Product (PI) (Produkt) Siehe Π(), Seite 217.
product() (Produkt) Katalog >
product(Liste[,Start[,Ende]])⇒Ausdruck
Gibt das Produkt der Elemente von Liste zurück.
Start und Ende sind optional. Sie geben einen
Elementebereich an.
product(Matrix1[,Start[,Ende]])⇒Matrix
Gibt einen Zeilenvektor zurück, der die Produkte der
Elemente aus den Spalten von Matrix1 enthält. Start
und Ende sind optional. Siegeben einen Zeilenbereich
an.
Leere (ungültige) Elemente werden ignoriert. Weitere

product() (Produkt) Katalog >
Informationen zu leeren Elementen finden Sie (Seite
229).
propFrac() (Echter Bruch) Katalog >
propFrac(Ausdr1[,Var])⇒Ausdruck
propFrac(rationale_Wert)gibt rationale_Wert als
Summe einer ganzen Zahl und eines Bruchs zurück,
der das gleiche Vorzeichen besitzt und dessen
Nenner größer ist als der Zähler.
propFrac(rationaler_Ausdruck,Var)gibt die Summe
der echten Brüche und ein Polynom bezüglich Var
zurück. Der Grad von Var im Nenner übersteigt in
jedem echten Bruch den Grad von Var im Zähler.
Gleichartige Potenzen von Var werden
zusammengefasst. Die Terme und Faktoren werden
mit Var als der Hauptvariablen sortiert.
Wird Var weggelassen, wird eine Entwicklung des
echten Bruchs bezüglich der wichtigsten
Hauptvariablen vorgenommen. DieKoeffizienten des
Polynomteils werden dann zuerst bezüglich
derwichtigsten Hauptvariablen entwickelt usw.
Für rationale Ausdrücke ist propFrac() eine
schnellere, aber weniger weitgehende Alternative zu
expand().
Mit der Funktion propFrac() können Sie gemischte
Brüche darstellen und die Addition und Subtraktion bei
gemischten Brüchen demonstrieren.
Q
QR Katalog >
QR Matrix,qMatrix,rMatrix[,Tol]Die Fließkommazahl (9,) in m1 bewirkt, dass das
Ergebnis in Fließkommaform berechnet wird.
Alphabetische Auflistung 135

136 Alphabetische Auflistung
QR Katalog >
Berechnet die Householdersche QR-Faktorisierung
einer reellen oder komplexen Matrix. Die sich
ergebenden Q- und R-Matrzen werden in den
angegebenen Matrix gespeichert. Die Q-Matrix ist
unitär. Bei der R-Matrix handelt es sich um eine obere
Dreiecksmatrix.
Sie haben die Option, dass jedes Matrixelement als
Null behandelt wird, wenn dessen absoluter Wert
geringer als Tol ist. Diese Toleranz wird nur dann
verwendet, wenn die Matrix Fließkommaelemente
aufweist und keinerlei symbolische Variablen ohne
zugewiesene Werte enthält. Anderenfalls wird Tol
ignoriert.
• Wenn Sie /· verwenden oder den Modus
Auto oder Näherung auf Approximiert einstellen,
werden Berechnungen in Fließkomma-
Arithmetik durchgeführt.
• Wird Tol weggelassen oder nicht verwendet, so
wird die Standardtoleranz folgendermaßen
berechnet:
5EL14 ·max(dim(Matrix)) ·rowNorm(Matrix)
Die QR-Faktorisierung wird anhand von
Householderschen Transformationen numerisch
berechnet. Die symbolische Lösung wirdmit dem
Gram-Schmidt-Verfahren berechnet. Die Spalten in
qMatName sind die orthonormalen Basisvektoren, die
den durch Matrix definierten Raum aufspannen.
QuadReg Katalog >
QuadReg X,Y[,Häuf] [,Kategorie,Mit]]
Berechnet die quadratische polynomiale Regressiony =
a·x2+b·x+cauf Listen Xund Ymit der Häufigkeit Häuf. Eine
Zusammenfassung der Ergebnisse wird in der Variablen

QuadReg Katalog >
stat.results gespeichert. (Seite 170.)
Alle Listen außer Mit müssen die gleiche Dimension besitzen.
Xund Ysind Listen von unabhängigen und abhängigen Variablen.
Häuf ist eine optionale Liste von Häufigkeitswerten. Jedes
Element in Häuf gibt die Häufigkeit für jeden entsprechenden X-
und Y-Datenpunkt an. Der Standardwert ist 1. Alle Elemente
müssen Ganzzahlen |0 sein.
Kategorie ist eine Liste von Kategoriecodes für die
entsprechenden Xund YDaten.
Mit ist eine Liste von einem oder mehreren Kategoriecodes. Nur
solche Datenelemente, deren Kategoriecode in dieser Liste
enthalten ist, sind in der Berechnung enthalten.
Informationen zu den Auswirkungen leerer Elemente in einer
Liste finden Sie unter “Leere (ungültige) Elemente” (Seite 229).
Ausgabevariable Beschreibung
stat.RegEqn Regressionsgleichung: a·x2+b·x+c
stat.a, stat.b, stat.c Regressionskoeffizienten
stat.R2Bestimmungskoeffizient
stat.Resid Residuen von der Regression
stat.XReg Liste der Datenpunkte in der modifizierten X-Liste, die in der Regression mit den Beschränkungen
für Häuf,Kategorieliste und Mit-Kategorien verwendet wurde
stat.YReg Liste der Datenpunkte in der modifizierten Y-Liste, die schließlich in der Regression mit den
Beschränkungen für Häuf,Kategorieliste und Mit-Kategorien verwendet wurde
stat.FreqReg Liste der Häufigkeiten für stat.XReg und stat.YReg
QuartReg Katalog >
QuartReg X,Y[,Häuf] [,Kategorie,Mit]]
Berechnet die polynomiale Regression vierter
Ordnungy=a·x4+b·x3+c·x2+d·x+eauf Listen Xund Ymit der
Häufigkeit Häuf. Eine Zusammenfassung der Ergebnisse wird in
der Variablen stat.results gespeichert. (Seite 170.)
Alle Listen außer Mit müssen die gleiche Dimension besitzen.
Xund Ysind Listen von unabhängigen und abhängigen Variablen.
Häuf ist eine optionale Liste von Häufigkeitswerten. Jedes
Alphabetische Auflistung 137

138 Alphabetische Auflistung
QuartReg Katalog >
Element in Häuf gibt die Häufigkeit für jeden entsprechenden X-
und Y-Datenpunkt an. Der Standardwert ist 1. Alle Elemente
müssen Ganzzahlen |0 sein.
Kategorie ist eine Liste von Kategoriecodes für die
entsprechenden Xund YDaten.
Mit ist eine Liste von einem oder mehreren Kategoriecodes. Nur
solche Datenelemente, deren Kategoriecode in dieser Liste
enthalten ist, sind in der Berechnung enthalten.
Informationen zu den Auswirkungen leerer Elemente in einer
Liste finden Sie unter “Leere (ungültige) Elemente” (Seite 229).
Ausgabevariable Beschreibung
stat.RegEqn Regressionsgleichung: a·x4+b·x3+c·x2+d·x+e
stat.a, stat.b, stat.c,
stat.d, stat.e
Regressionskoeffizienten
stat.R2Bestimmungskoeffizient
stat.Resid Residuen von der Regression
stat.XReg Liste der Datenpunkte in der modifizierten X-Liste, die in der Regression mit den Beschränkungen
für Häuf,Kategorieliste und Mit-Kategorien verwendet wurde
stat.YReg Liste der Datenpunkte in der modifizierten Y-Liste, die schließlich in der Regression mit den
Beschränkungen für Häuf,Kategorieliste und Mit-Kategorien verwendet wurde
stat.FreqReg Liste der Häufigkeiten für stat.XReg und stat.YReg
R
R4Pq() (Polarkoordinate) Katalog >
R4Pq(xAusdr,yAusdr)⇒Ausdruck
R4Pq(xListe,yListe)⇒Liste
R4Pq(xMatrix,yMatrix)⇒Matrix
Gibt die äquivalente q-Koordinate des Paars (x,y)
zurück.
Hinweis: Das Ergebnis wird gemäß der aktuellen
Winkelmoduseinstellung in Grad, in Neugrad oder im
Bogenmaß zurückgegeben.
Hinweis: Sie können diese Funktion über die Tastatur
Im Grad-Modus:
Im Neugrad-Modus:

R4Pq() (Polarkoordinate) Katalog >
Ihres Computers eingeben, indem Sie R@>Ptheta
(...)eintippen.
Im Bogenmaß-Modus:
R4Pr() (Polarkoordinate) Katalog >
R4Pr (xAusdr,yAusdr)⇒Ausdruck
R4Pr (xListe,yListe)⇒Liste
R4Pr (xMatrix,yMatrix)⇒Matrix
Gibt die äquivalente r-Koordinate des Paars (x,y)
zurück.
Hinweis: Sie können diese Funktion über die Tastatur
Ihres Computers eingeben, indem Sie R@>Pr(...)
eintippen.
Im Bogenmaß-Modus:
4Rad (Bogenmaß) Katalog >
Ausdr14Rad⇒Ausdruck
Wandelt das Argument ins Winkelmaß Bogenmaß
um.
Hinweis: Sie können diesen Operator über die
Tastatur Ihres Computers eingeben, indem Sie
@>Rad eintippen.
Im Grad-Modus:
Im Neugrad-Modus:
rand() (Zufallszahl) Katalog >
rand()⇒Ausdruck
rand(#Trials)⇒Liste
rand() gibt einen Zufallswert zwischen 0 und 1 zurück.
rand(#Trials)gibt eine Liste zurück, die #Trials
Zufallswerte zwischen 0 und 1 enthält.
Setzt Ausgangsbasis für Zufallszahlengenerierung.
Alphabetische Auflistung 139

140 Alphabetische Auflistung
rand() (Zufallszahl) Katalog >
randBin() (Zufallszahl aus Binomialverteilung) Katalog >
randBin(n,p)⇒Ausdruck
randBin(n,p,#Trials)⇒Liste
randBin(n,p)gibt eine reelle Zufallszahl aus einer
angegebenen Binomialverteilung zurück.
randBin(n,p,#Trials)gibt eine Liste mit #Trials
reellen Zufallszahlen aus einer angegebenen
Binomialverteilung zurück.
randInt() (Ganzzahlige Zufallszahl) Katalog >
randInt(lowBound,upBound)⇒Ausdruck
randInt(lowBound,upBound,#Trials)⇒Liste
randInt(lowBound,upBound)gibt eine ganzzahlige
Zufallszahl innerhalb der durch UntereGrenze
(lowBound) und ObereGrenze (upBound)
festgelegten Grenzen zurück.
randInt(lowBound,upBound,#Trials)gibt eine Liste
mit #Trials ganzzahligen Zufallszahlen innerhalb des
festgelegten Bereichs zurück.
randMat() (Zufallsmatrix) Katalog >
randMat(AnzZeil,AnzSpalt)⇒Matrix
Gibt eine Matrix der angegebenen Dimension mit
ganzzahligen Werten zwischen -9 und 9 zurück.
Beide Argumente müssen zu ganzen Zahlen
vereinfachbar sein. Hinweis: Die Werte in dieser Matrix ändern sich mit
jedem Drücken von ·.

randNorm() (Zufallsnorm) Katalog >
randNorm(m,s)⇒Ausdruck
randNorm(m,s,#Versuche)⇒Liste
Gibt eine Dezimalzahl aus der Gaußschen
Normalverteilung zurück. Dies könnte eine beliebige
reelle Zahl sein, die Werte konzentrieren sich jedoch
stark in dem Intervall [mN3·s,m+3·s].
randNorm(m,s,#Versuche)gibt eine Liste mit
#Versuche Dezimalzahlen aus der angegebenen
Normalverteilung zurück.
randPoly() (Zufallspolynom) Katalog >
randPoly(Var,Ordnung)⇒Ausdruck
Gibt ein Polynom in Var der angegebenen Ordnung
zurück. Die Koeffizienten sind zufällige ganze Zahlen
im Bereich L9 bis 9. Der führende Koeffizient ist nie
Null.
Ordnung muss zwischen 0 und 99 betragen.
randSamp() (Zufallsstichprobe) Katalog >
randSamp(List,#Trials[,noRepl])⇒Liste
Gibt eine Liste mit einer Zufallsstichprobe von #Trials
Versuchen aus Liste (List) zurück mit der
Möglichkeiten, Stichproben zu ersetzen (noRepl=0)
oder nicht zu ersetzen (noRepl=1). Die Vorgabe ist
mit Stichprobenersatz.
RandSeed (Zufallszahl) Katalog >
RandSeed Zahl
Zahl = 0 setzt die Ausgangsbasis (“seed”) für den
Zufallszahlengenerator auf die Werkseinstellung
zurück. Bei Zahl ƒ0 werden zwei Basen erzeugt, die
in den Systemvariablen seed1 undseed2 gespeichert
werden.
Alphabetische Auflistung 141

142 Alphabetische Auflistung
real() (Reell) Katalog >
real(Ausdr1)⇒Ausdruck
Gibt den Realteil des Arguments zurück.
Hinweis: Alle undefinierten Variablen werden als reelle
Variablen behandelt. Siehe auch imag(), Seite 87.
real(Liste1)⇒Liste
Gibt für jedes Element den Realteil zurück.
real(Matrix1)⇒Matrix
Gibt für jedes Element den Realteil zurück.
4Rect (Kartesisch) Katalog >
Vektor 4Rect
Hinweis: Sie können diesen Operator über die
Tastatur Ihres Computers eingeben, indem Sie
@>Rect eintippen.
Zeigt Vektor in der kartesischen Form [x, y, z] an.
Der Vektor muss die Dimension 2 oder 3 besitzen und
kann eine Zeile oder eine Spalte sein.
Hinweis: 4Rect ist eine Anzeigeformatanweisung,
keine Konvertierungsfunktion. Sie können sie nur am
Ende einer Eingabezeile benutzen, und sie nimmt
keine Aktualisierung von ans vor.
Hinweis: Siehe auch 4Polar, Seite 128.
komplexerWert 4Rect
Zeigt komplexerWert in der kartesischen Form a+bi
an. KomplexerWert kann jede komplexe Form
haben. Eine reiθ-Eingabe verursacht jedoch im
Winkelmodus Grad einen Fehler.
Hinweis: Für eine Eingabe in Polarform müssen
Klammern (r∠θ) verwendet werden.
Im Bogenmaß-Modus:
Im Neugrad-Modus:
Im Grad-Modus:

4Rect (Kartesisch) Katalog >
Hinweis: Wählen Sie zur Eingabe von ±das Symbol
aus der Sonderzeichenpalette des Katalogs aus.
ref() (Diagonalform) Katalog >
ref(Matrix1[,Tol])⇒Matrix
Gibt die Diagonalform von Matrix1 zurück.
Sie haben die Option, dass jedes Matrixelement als
Null behandelt wird, wenn dessen absoluter Wert
geringer als Tol ist. Diese Toleranz wird nur dann
verwendet, wenn die Matrix Fließkommaelemente
aufweist und keinerlei symbolische Variablen ohne
zugewiesene Werte enthält. Anderenfalls wird Tol
ignoriert.
• Wenn Sie /· verwenden oder den Modus
Auto oder Näherung auf Approximiert einstellen,
werden Berechnungen in Fließkomma-
Arithmetik durchgeführt.
• Wird Tol weggelassen oder nicht verwendet, so
wird die Standardtoleranz folgendermaßen
berechnet:
5EL14 ·max(dim(Matrix1)) ·rowNorm
(Matrix1)
Vermeiden Sie nicht definierte Elemente in Matrix1.
Sie können zu unerwarteten Ergebnissen führen.
Wenn z. B. im folgenden Ausdruck anicht definiert
ist, erscheint eine Warnmeldung und das Ergebnis
wird wie folgt angezeigt:
Die Warnung erscheint, weil das verallgemeinerte
Element 1/afür a=0 nicht zulässig wäre.
Sie können dieses Problem umgehen, indem Sie
zuvor einen Wert in aspeichern oder wie im folgenden
Alphabetische Auflistung 143

144 Alphabetische Auflistung
ref() (Diagonalform) Katalog >
Beispiel gezeigt eine Substitution mit dem womit-
Operator „|“vornehmen.
Hinweis: Siehe auch rref(), Seite 151.
remain() (Rest) Katalog >
remain(Ausdr1,Ausdr2)⇒Ausdruck
remain(Liste1,Liste2)⇒Liste
remain(Matrix1,Matrix2)⇒Matrix
Gibt den Rest des ersten Arguments bezüglich des
zweiten Arguments gemäß folgender Definitionen
zurück:
remain(x,0) x
remain(x,y) xNy·iPart(x/y)
Als Folge daraus ist zu beachten, dass remain(Nx,y)
Nremain(x,y). Das Ergebnis ist entweder Null oder
besitzt das gleiche Vorzeichen wie das erste
Argument.
Hinweis: Siehe auch mod(), Seite 112.
Request Katalog >
RequestEingabeString,var[,FlagAnz [,statusVar]]
RequestEingabeString,func(arg1,...argn)
[,FlagAnz [,statusVar]]
Programmierbefehl: Pausiert das Programm und zeigt
ein Dialogfeld mit der Meldung EingabeString sowie
einem Eingabefeld für die Antwort des Benutzers an.
Wenn der Benutzer eine Antwort eingibt und auf OK
klickt, wird der Inhalt des Eingabefelds in die Variable
var geschrieben.
Falls der Benutzer auf Abbrechen klickt, wird das
Definieren Sie ein Programm:
Define request_demo()=Prgm
Request “Radius: ”,r
Disp “Fläche = “,pi*r2
EndPrgm
Starten Sie das Programm und geben Sie eine
Antwort ein:
request_demo()

Request Katalog >
Programm fortgesetzt, ohne Eingaben zu
übernehmen. Das Programm verwendet den
vorherigen var-Wert, soweit var bereits definiert
wurde.
Bei dem optionalen Argument FlagAnz kann es sich
um einen beliebigen Ausdruck handeln.
• Wenn FlagAnz fehlt oder den Wert 1ergibt,
werden die Eingabeaufforderung und die
Benutzerantwort im Calculator-Protokoll
angezeigt.
• Wenn FlagAnz den Wert 0ergibt, werden die
Aufforderung und die Antwort nicht im Protokoll
angezeigt.
Ergebnis nach Auswahl von OK:
Radius: 6/2
Fläche = 28.2743
Das optionale Argument statusVar ermöglicht es dem
Programm, zu bestimmen, wie der Benutzer das
Dialogfeld verlassen hat. Beachten Sie bitte, dass
statusVar das Argument FlagAnz erfordert.
• Wenn der Benutzer auf OK geklickt oder die
Eingabetaste bzw. Strg+Eingabetaste gedrückt
hat, wird die Variable statusVar auf den Wert 1
gesetzt.
• Anderenfalls wird die Variable statusVar auf den
Wert 0gesetzt.
Mit dem Argument func() kann ein Programm die
Benutzerantwort als Funktionsdefinition speichern.
Diese Syntax verhält sich so, als hätte der Benutzer
den folgenden Befehl ausgeführt:
Define Fkt(Arg1, ...Argn) = Benutzerantwort
Anschließend kann das Programm die so definierte
Funktion Fkt() nutzen. Die Meldung EingabeString
sollte dem Benutzer die nötigen Informationen geben,
damit dieser eine passende Benutzerantwort zur
Vervollständigung der Funktionsdefinition eingeben
kann.
Hinweis: Sie können den Befehl Request in
benutzerdefinierten Programmen, aber nicht in
Funktionen verwenden.
So halten Sie ein Programm an, das einen Befehl
Request in einer Endlosschleife enthält:
Definieren Sie ein Programm:
Define polynomial()=Prgm
Request "Polynom in x eingeben:",p(x)
Disp "Reelle Wurzeln:",polyRoots(p(x),x)
EndPrgm
Starten Sie das Programm und geben Sie eine
Antwort ein:
polynomial()
Ergebnis nach Auswahl von OK:
Polynom in x eingeben: x^3+3x+1
Reelle Wurzeln: {-0.322185}
Alphabetische Auflistung 145

146 Alphabetische Auflistung
Request Katalog >
•Handheld: Halten Sie die Taste cgedrückt
und drücken Sie mehrmals ·.
•Windows®: Halten Sie die Taste F12 gedrückt
und drücken Sie mehrmals die Eingabetaste.
•Macintosh®: Halten Sie die Taste F5 gedrückt
und drücken Sie mehrmals die Eingabetaste.
•iPad®: Die App zeigt eine Eingabeaufforderung
an. Sie können weiter warten oder abbrechen.
Hinweis: Siehe auch RequestStr, Seite 146.
RequestStr Katalog >
RequestStrEingabeString,Var[,FlagAnz]
Programmierbefehl: Verhält sich genauso wie die
erste Syntax des Befehls Request, die
Benutzerantwort wird aber immer als String
interpretiert. Der Befehl Request interpretiert die
Antwort hingegen als Ausdruck, es sei denn, der
Benutzer setzt sie in Anführungszeichen ("").
Hinweis: Sie können den Befehl RequestStr in
benutzerdefinierten Programmen, aber nicht in
Funktionen verwenden.
So halten Sie ein Programm an, das einen Befehl
RequestStr in einer Endlosschleife enthält:
•Handheld: Halten Sie die Taste cgedrückt
und drücken Sie mehrmals ·.
•Windows®: Halten Sie die Taste F12 gedrückt
und drücken Sie mehrmals die Eingabetaste.
•Macintosh®: Halten Sie die Taste F5 gedrückt
und drücken Sie mehrmals die Eingabetaste.
•iPad®: Die App zeigt eine Eingabeaufforderung
an. Sie können weiter warten oder abbrechen.
Hinweis: Siehe auch Request, Seite 144.
Definieren Sie ein Programm:
Define requestStr_demo()=Prgm
RequestStr “Ihr Name:”,name,0
Disp “Die Antwort hat “,dim(name),” Zeichen.”
EndPrgm
Starten Sie das Programm und geben Sie eine
Antwort ein:
requestStr_demo()
Ergebnis nach Auswahl von OK (Hinweis: Wegen
DispFlag =0werden Eingabeaufforderung und
Antwort nicht im Protokoll angezeigt):
requestStr_demo()
Die Antwort hat 5 Zeichen.

Return (Rückgabe) Katalog >
Return [Ausdr]
Gibt Ausdr als Ergebnis der Funktion zurück.
Verwendbar in einem Block Func...EndFunc.
Hinweis: Verwenden Sie Zurück (Return) ohne
Argument innerhalb eines Prgm...EndPrgm Blocks,
um ein Programm zu beenden.
Hinweis zum Eingeben des Beispiels: Anweisungen
für die Eingabe von mehrzeiligen Programm- und
Funktionsdefinitionen finden Sie im Abschnitt
„Calculator“des Produkthandbuchs.
right() (Rechts) Katalog >
right(Liste1[,Anz])⇒Liste
Gibt Anz Elemente zurück, die rechts in Liste1
enthalten sind.
Wenn Sie Anz weglassen, wird die gesamte Liste1
zurückgegeben.
right(Quellstring[,Anz])⇒String
Gibt Anz Zeichen zurück, die rechts in der
Zeichenkette Quellstring enthalten sind.
Wenn Sie Anz weglassen, wird der gesamte
Quellstring zurückgegeben.
right(Vergleich)⇒Ausdruck
Gibt die rechte Seite einer Gleichung oder
Ungleichung zurück.
rk23 () Katalog >
rk23(Ausdr,Var,abhVar, {Var0,VarMax}, abhVar0,
VarSchritt [, diftol])⇒Matrix
rk23(AusdrSystem,Var,ListeAbhVar,{Var0,
VarMax},ListeAbhVar0,VarSchritt [,diftol])
⇒Matrix
rk23(AusdrListe,Var,ListeAbhVar,{Var0,VarMax},
ListeAbhVar0,VarSchritt [,diftol])⇒Matrix
Differentialgleichung:
y'=0.001*y*(100-y) und y(0)=10
Um das ganze Ergebnis zu sehen, drücken Sie £
und verwenden dann ¡und ¢, um den Cursor zu
Alphabetische Auflistung 147

148 Alphabetische Auflistung
rk23 () Katalog >
Verwendet die Runge-Kutta-Methode zum Lösen des
Systems
mit abhVar(Var0)=abhVar0 auf dem Intervall
[Var0,VarMax]. Gibt eine Matrix zurück, deren erste
Zeile die Ausgabewerte von Var definiert, wie durch
VarSchritt definiert. Die zweite Zeile definiert den
Wert der ersten Lösungskomponente an den
entsprechenden Var Werten usw.
Ausdr ist die rechte Seite, die die gewöhnliche
Differentialgleichung (ODE) definiert.
AusdrSystem ist ein System rechter Seiten, welche
das ODE-System definieren (entspricht der Ordnung
abhängiger Variablen in ListeAbhVar).
AusdrListe ist eine Liste rechter Seiten, welche das
ODE-System definieren (entspricht der Ordnung
abhängiger Variablen in ListeAbhVar).
Var ist die unabhängige Variable.
ListeAbhVar ist eine Liste abhängiger Variablen.
{Var0,VarMax} ist eine Liste mit zwei Elementen, die
die Funktion anweist, von Var0 zu VarMax zu
integrieren.
ListeAbhVar0 ist eine Liste von Anfangswerten für
abhängige Variablen.
Wenn VarSchritt eine Zahl ungleich Null ergibt:
Zeichen(VarSchritt) = Zeichen(VarMax-Var0) und
Lösungen werden an Var0+i*VarSchritt für alle
i=0,1,2,… zurückgegeben, sodass Var0+i*VarSchritt
in [var0,VarMax] ist (möglicherweise gibt es keinen
Lösungswert an VarMax).
Wenn VarSchritt Null ergibt, werden Lösungen an den
„Runge-Kutta" Var-Werten zurückgegeben.
diftol ist die Fehlertoleranz (standardmäßig 0.001).
bewegen.
Dieselbe Gleichung mit diftol auf 1.E−6
Vergleichen Sie das vorstehende Ergebnis mit der
exakten CAS-Lösung, die Sie erhalten, wenn Sie
deSolve() und seqGen() verwenden:
Gleichungssystem:
mit y1(0)=2 und y2(0)=5

root() (Wurzel) Katalog >
root(Ausdr)⇒root
root(Ausdr1,Ausdr2)⇒Wurzel
root(Ausdr) gibt die Quadratwurzel von Ausdr zurück.
root(Ausdr1,Ausdr2)gibt die Ausdr2. Wurzel von
Ausdr1 zurück. Ausdr1 kann eine reelle oder eine
komplexe Gleitkommakonstante, eine ganze Zahl
oder eine komplexe rationale Konstante oder ein
allgemeiner symbolischer Ausdruck sein.
Hinweis: Siehe auch Vorlage n-te Wurzel, Seite 6.
rotate() (Rotieren) Katalog >
rotate(Ganzzahl1[,#Rotationen])⇒Ganzzahl
Rotiert die Bits in einer binären ganzen Zahl.
Ganzzahl1 kann mit jeder Basis eingegeben werden
und wird automatisch in eine 64-Bit-Dualform
konvertiert. Ist der Absolutwert von Ganzzahl1 für
diese Form zu groß, wird eine symmetrische Modulo-
Operation ausgeführt, um sie in den erforderlichen
Bereich zu bringen. Weitere Informationen finden Sie
unter 4Base2, Seite 21.
Im Bin-Modus:
Um das ganze Ergebnis zu sehen, drücken Sie £
und verwenden dann ¡und ¢, um den Cursor zu
bewegen.
Ist #Rotationen positiv, erfolgt eine Rotation nach
links. ist #Rotationen negativ, erfolgt eine Rotation
nach rechts. Vorgabe ist L1 (ein Bit nach rechts
rotieren).
Beispielsweise in einer Rechtsrotation:
Im Hex-Modus:
Jedes Bit rotiert nach rechts.
0b00000000000001111010110000110101
Bit ganz rechts rotiert nach ganz links.
Es ergibt sich:
0b10000000000000111101011000011010
Das Ergebnis wird gemäß dem jeweiligen Basis-
Modus angezeigt.
Wichtig: Geben Sie eine Dual- oder Hexadezimalzahl
stets mit dem Präfix 0b bzw. 0h ein (Null, nicht der
Buchstabe O).
rotate(Liste1[,#Rotationen])⇒Liste
Gibt eine um #Rotationen Elemente nach rechts oder
links rotierte Kopie von Liste1 zurück. Verändert
Liste1 nicht.
Im Dec-Modus:
Alphabetische Auflistung 149

150 Alphabetische Auflistung
rotate() (Rotieren) Katalog >
Ist #Rotationen positiv, erfolgt eine Rotation nach
links. ist #Rotationen negativ, erfolgt eine Rotation
nach rechts. Vorgabe ist L1 (ein Element nach rechts
rotieren).
rotate(String1[,#Rotationen])⇒String
Gibt eine um #Rotationen Zeichen nach rechts oder
links rotierte Kopie von String1 zurück. Verändert
String1 nicht.
Ist #Rotationen positiv, erfolgt eine Rotation nach
links. ist #Rotationen negativ, erfolgt eine Rotation
nach rechts. Vorgabe ist L1 (ein Zeichen nach rechts
rotieren).
round() (Runden) Katalog >
round(Ausdr1[,Stellen])⇒Ausdruck
Gibt das Argument gerundet auf die angegebene
Anzahl von Stellen nach dem Dezimaltrennzeichen
zurück.
Stellen muss eine ganze Zahl im Bereich 0–12 sein.
Wird Stellen weggelassen, wird das Argument auf 12
signifikante Stellen gerundet.
Hinweis: Die Anzeige des Ergebnisses kann von der
Einstellung “Angezeigte Ziffern” beeinflusst werden.
round(Liste1[,Stellen])⇒Liste
Gibt eine Liste von Elementen zurück, die auf die
angegebene Stellenzahl gerundet wurden.
round(Matrix1[,Stellen])⇒Matrix
Gibt eine Matrix von Elementen zurück, die auf die
angegebene Stellenzahl gerundet wurden.
rowAdd() (Zeilenaddition) Katalog >
rowAdd(Matrix1,rIndex1,rIndex2)⇒Matrix
Gibt eine Kopie von Matrix1 zurück, in der die Zeile
rIndex2 durch die Summe der Zeilen rIndex1 und
rIndex2 ersetzt ist.

rowDim() (Zeilendimension) Katalog >
rowDim(Matrix)⇒Ausdruck
Gibt die Anzahl der Zeilen von Matrix zurück.
Hinweis: Siehe auch colDim(), Seite 30.
rowNorm() (Zeilennorm) Katalog >
rowNorm(Matrix)⇒Ausdruck
Gibt das Maximum der Summen der Absolutwerte der
Elemente der Zeilen von Matrix zurück.
Hinweis: Alle Matrixelemente müssen zu Zahlen
vereinfachbar sein. Siehe auch colNorm(), Seite 30.
rowSwap() (Zeilentausch) Katalog >
rowSwap(Matrix1,rIndex1,rIndex2)⇒Matrix
Gibt Matrix1 zurück, in der die Zeilen rIndex1 und
rIndex2 vertauscht sind.
rref() (Reduzierte Diagonalform) Katalog >
rref(Matrix1[,Tol])⇒Matrix
Gibt die reduzierte Diagonalform von Matrix1 zurück.
Sie haben die Option, dass jedes Matrixelement als
Null behandelt wird, wenn dessen absoluter Wert
geringer als Tol ist. Diese Toleranz wird nur dann
verwendet, wenn die Matrix Fließkommaelemente
aufweist und keinerlei symbolische Variablen ohne
zugewiesene Werte enthält. Anderenfalls wird Tol
ignoriert.
• Wenn Sie /· verwenden oder den Modus
Alphabetische Auflistung 151

152 Alphabetische Auflistung
rref() (Reduzierte Diagonalform) Katalog >
Auto oder Näherung auf Approximiert einstellen,
werden Berechnungen in Fließkomma-
Arithmetik durchgeführt.
• Wird Tol weggelassen oder nicht verwendet, so
wird die Standardtoleranz folgendermaßen
berechnet:
5EL14 ·max(dim(Matrix1)) ·rowNorm
(Matrix1)
Hinweis: Siehe auch ref(), Seite 143.
S
sec() (Sekans) µTaste
sec(Ausdr1)⇒Ausdruck
sec(Liste1)⇒Liste
Gibt den Sekans von Ausdr1 oder eine Liste der
Sekans aller Elemente in Liste1 zurück.
Hinweis: Der als Argument angegebene Winkel wird
gemäß der aktuellen Winkelmoduseinstellung als
Grad, Neugrad oder Bogenmaß interpretiert. Sie
können ¡,goder Rbenutzen, um den Winkelmodus
vorübergend aufzuheben.
Im Grad-Modus:
sec/() (Arkussekans) µTaste
sec/(Ausdr1)⇒Ausdruck
sec/(Liste1)⇒Liste
Gibt entweder den Winkel, dessen Sekans Ausdr1
entspricht, oder eine Liste der inversen Sekans aller
Elemente in Liste1 zurück.
Hinweis: Das Ergebnis wird gemäß der aktuellen
Winkelmoduseinstellung in Grad, in Neugrad oder im
Bogenmaß zurückgegeben.
Hinweis: Sie können diese Funktion über die Tastatur
Ihres Computers eingeben, indem Sie arcsec(...)
eintippen.
Im Grad-Modus:
Im Neugrad-Modus:
Im Bogenmaß-Modus:

sech() (Sekans hyperbolicus) Katalog >
sech(Ausdr1)⇒Ausdruck
sech(Liste1)⇒Liste
Gibt den hyperbolischen Sekans von Ausdr1 oder eine
Liste der hyperbolischen Sekans der Elemente in
Liste1 zurück.
sech/() (Arkussekans hyperbolicus) Katalog >
sech/(Ausdr1)⇒Ausdruck
sech/(Liste1)⇒Liste
Gibt den inversen hyperbolischen Sekans von Ausdr1
oder eine Liste der inversen hyperbolischen Sekans
aller Elemente in Liste1 zurück.
Hinweis: Sie können diese Funktion über die Tastatur
Ihres Computers eingeben, indem Sie arcsech(...)
eintippen.
Im Winkelmodus Bogenmaß und Komplex-
Formatmodus “kartesisch”:
seq() (Folge) Katalog >
seq(Ausdr,Var,Von,Bis[,Schritt])⇒Liste
Erhöht Var in durch Schritt festgelegten Stufen von
Von bis Bis, wertet Ausdr aus und gibt die Ergebnisse
als Liste zurück. Der ursprüngliche Inhalt von Var ist
nach Beendigung von seq() weiterhin vorhanden.
Der Vorgabewert für Schritt ist 1.
Hinweis: Erzwingen eines Näherungsergebnisses,
Handheld: Drücken Sie / ·.
Windows®: Drücken Sie Strg+Eingabetaste.
Macintosh®: Drücken “+Eingabetaste.
iPad®: Halten Sie die Eingabetaste gedrückt und
wählen Sie aus.
Alphabetische Auflistung 153

154 Alphabetische Auflistung
seqGen() Katalog >
seqGen(Ausdr,Var,abhVar,{Var0,VarMax}[,
ListeAnfTerme [,VarSchritt [,ObergrWert]]])
⇒Liste
Generiert eine Term-Liste für die Folge abhVar(Var)
=Ausdr wie folgt: Erhöht die unabhängige Variable Var
von Var0 bis VarMax um VarSchritt, wertet abhVar
(Var) für die entsprechenden Werte von Var mithilfe
der Formel Ausdr und der ListeAnfTerme aus und gibt
die Ergebnisse als Liste zurück.
seqGen(SystemListeOderAusdr,Var,ListeAbhVar,
{Var0,VarMax} [,MatrixAnfTerme [,VarSchritt [,
ObergrWert]]])⇒Matrix
Generiert eine Term-Matrix für ein System (oder eine
Liste) von Folgen ListeAbhVar(Var)
=SystemListeOderAusdr wie folgt: Erhöht die
unabhängige Variable Var von Var0 bis VarMax um
VarSchritt, wertet ListeAbhVar(Var) für die
entsprechenden Werte von Var mithilfe der Formel
SystemListeOderAusdr und der MatrixAnfTerme aus
und gibt die Ergebnisse als Matrix zurück.
Der ursprüngliche Inhalt von Var ist nach Beendigung
von seqGen() weiterhin vorhanden.
Der Standardwert für VarSchritt ist 1.
Generieren Sie die ersten 5 Terme der Folge u(n)=u
(n-1)2/2 mit u(1)=2und VarSchritt=1.
Beispiel mit Var0=2:
Beispiel, in dem der Anfangsterm
symbolisch ist:
System zweiter Folgen:
Hinweis: Die Lücke (_) in der oben aufgeführten
Anfangsterm-Matrix zeigt an, dass der Anfangsterm
für u1(n) mit der expliziten Folge-Formel u1(n)=1/n
berechnet wird.
seqn() Katalog >
seqn(Ausdr(u,n[,ListeAnfTerme[,nMax [,
ObergrWert]]])⇒Liste
Generiert eine Term-Liste für eine Folge u(n)=Ausdr
(u,n) wie folgt: Erhöht nvon 1 bis nMax um 1, wertet
u(n) für die entsprechenden Werte von nmithilfe der
Generieren Sie die ersten 6 Terme der Folge u(n)=u
(n-1)/2 mit u(1)=2.

seqn() Katalog >
Formel Ausdr(u,n) und ListeAnfTerme aus und gibt
die Ergebnisse als Liste zurück.
seqn(Ausdr(n[,nMax [,ObergrWert]])⇒Liste
Generiert eine Term-Liste für eine nichtrekursive
Folge u(n)=Ausdr(n) wie folgt: Erhöht nvon 1 bis
nMax um 1, wertet u(n) für die entsprechenden Werte
von nmithilfe der Formel Ausdr(n) aus und gibt die
Ergebnisse als Liste zurück.
Wenn nMax fehlt, wird nMax auf 2500 gesetzt
Wenn nMax=0, wird nMax auf 2500 gesetzt
Hinweis: seqn() gibt seqGen() mit n0=1und nSchritt
=1 an
series() Katalog >
series(Expr1,Var,Order [,Point])⇒Ausdruck
series(Expr1,Var,Order [,Point]) |
Var>Point⇒Ausdruck
series(Expr1,Var,Order [,Point]) |
Var<Point⇒Ausdruck
Gibt eine verallgemeinerte endliche Potenzreihe von
Expr1 entwickelt um Point bis Grad Order zurück.
Order kann jede beliebige rationale Zahl sein. Die
resultierenden Potenzen von (Var NPoint) können
negative und/oder Bruchexponenten beinhalten. Die
Koeffizienten dieser Potenzen können Logarithmen
von (Var NPoint) und andere Funktionen von Var
beinhalten, die von allen Potenzen von (Var NPoint)
mit demselben Exponentenzeichen dominiert werden.
Point ist vorgegeben als 0. Point kann ˆoder Nˆ
sein; in diesen Fällen ist die Entwicklung durch Grad
Order in 1/(Var NPoint).
series(...) gibt “series(...)” zurück, wenn sie keine
Darstellung bestimmen kann wie für wesentliche
Singularitäten wie z.B. sin(1/z)bei z=0, eN1/z bei z=0
oder ezbei z = ˆoder Nˆ.
Alphabetische Auflistung 155

156 Alphabetische Auflistung
series() Katalog >
Wenn die Reihe oder eine ihrer Ableitungen eine
Sprungstelle bei Point hat, enthält das Ergebnis
wahrscheinlich Unterausdrücke der Form sign(…) oder
abs(…) für eine reelle Expansionsvariable oder (-1)floor
(…angle(…)…) für eine komplexe Expansionsvariable, die
mit “_” endet. Wenn Sie die Folge nur für Werte auf
einer Seite von Point verwenden möchten, hängen
Sie je nach Bedarf “| Var >Point”, “| Var <Point”, “|
“Var |Point” oder “Var {Point” an, um ein
einfacheres Ergebnis zu erhalten.
series() kann symbolische Approximationen für
unbestimmte Integrale und bestimmte Integrale
bereitstellen, für die anders keine symbolischen
Lösungen erreicht werden können.
series() wird über Listen und Matrizen mit erstem
Argument verteilt.
series() ist eine verallgemeinerte Version von taylor().
Wie im letzten nebenstehenden Beispiel
demonstriert, können die Anzeigeroutinen hinter dem
von series(...) erzeugten Ergebnis Terme so
umstellen, dass der dominante Term nicht ganz links
steht.
Hinweis: Siehe auch dominantTerm(), Seite 59.
setMode Katalog >
setMode(ModusNameGanzzahl,GanzzahlFestlegen)
⇒Ganzzahl
setMode(Liste)⇒Liste mit ganzen Zahlen
Nur gültig innerhalb einer Funktion oder eines
Programms.
setMode(ModusNameGanzzahl,GanzzahlFestlegen)
schaltet den Modus ModusNameGanzzahl
vorübergehend in GanzzahlFestlegen und gibt eine
ganze Zahl entsprechend der ursprünglichen
Einstellung dieses Modus zurück. Die Änderung ist
auf die Dauer der Ausführung des Programms / der
Funktion begrenzt.
ModusNameGanzzahl gibt an, welchen Modus Sie
Zeigen Sie den Näherungswert von pan, indem Sie
die Standardeinstellung für Zahlen anzeigen (Display
Digits) verwenden, und zeigen Sie dann pmit einer
Einstellung von Fix 2 an. Kontrollieren Sie, dass der
Standardwert nach Beendigung des Programms
wiederhergestellt wird.

setMode Katalog >
einstellen möchten. Hierbei muss es sich um eine der
Modus-Ganzzahlen aus der nachstehenden Tabelle
handeln.
GanzzahlFestlegen gibt die neue Einstellung für den
Modus an. Für den Modus, den Sie festlegen,
müssen Sie eine der in der nachstehenden Tabelle
aufgeführten Einstellungs-Ganzzahlen verwenden.
setMode(Liste)dient zum Ändern mehrerer
Einstellungen. Liste enthält Paare von Modus- und
Einstellungs-Ganzzahlen. setMode(Liste)gibt eine
ähnliche Liste zurück, deren Ganzzahlen-Paare die
ursprünglichen Modi und Einstellungen angeben.
Wenn Sie alle Moduseinstellungen mit getMode(0) &
var gespeichert haben, können Sie setMode(var)
verwenden, um diese Einstellungen
wiederherzustellen, bis die Funktion oder das
Programm beendet wird. Siehe getMode(), Seite 81.
Hinweis: Die aktuellen Moduseinstellungen werden an
aufgerufene Subroutinen weitergegeben. Wenn eine
der Subroutinen eine Moduseinstellung ändert, geht
diese Modusänderung verloren, wenn die Steuerung
zur aufrufenden Routine zurückkehrt.
Hinweis zum Eingeben des Beispiels: Anweisungen
für die Eingabe von mehrzeiligen Programm- und
Funktionsdefinitionen finden Sie im Abschnitt
„Calculator“des Produkthandbuchs.
Modus
Name
Modus
Ganzzahl Einstellen von Ganzzahlen
Angezeigte Ziffern 1 1=Fließ, 2=Fließ 1, 3=Fließ 2, 4=Fließ 3, 5=Fließ 4, 6=Fließ 5,
7=Fließ 6, 8=Fließ 7, 9=Fließ 8, 10=Fließ 9, 11=Fließ 10,
12=Fließ 11, 13=Fließ 12, 14=Fix 0, 15=Fix 1, 16=Fix 2, 17=Fix
3, 18=Fix 4, 19=Fix 5, 20=Fix 6, 21=Fix 7, 22=Fix 8, 23=Fix 9,
24=Fix 10, 25=Fix 11, 26=Fix 12
Winkel 2 1=Bogenmaß, 2=Grad, 3=Neugrad
Exponentialformat 3 1=Normal, 2=Wissenschaftlich, 3=Technisch
Reell oder
komplex
41=Reell, 2=Kartesisch, 3=Polar
Auto oder Approx. 5 1=Auto, 2=Approximiert, 3=Exakt
Alphabetische Auflistung 157

158 Alphabetische Auflistung
Modus
Name
Modus
Ganzzahl Einstellen von Ganzzahlen
Vektorformat 6 1=Kartesisch, 2=Zylindrisch, 3=Sphärisch
Basis 7 1=Dezimal, 2=Hex, 3=Binär
Einheitensystem 8 1=SI, 2=Eng/US
shift() (Verschieben) Katalog >
shift(Ganzzahl1[,#Verschiebungen])⇒Ganzzahl
Verschiebt die Bits in einer binären ganzen Zahl.
Ganzzahl1 kann mit jeder Basis eingegeben werden
und wird automatisch in eine 64-Bit-Dualform
konvertiert. Ist der Absolutwert von Ganzzahl1 für
diese Form zu groß, wird eine symmetrische Modulo-
Operation ausgeführt, um sie in den erforderlichen
Bereich zu bringen. Weitere Informationen finden Sie
unter 4Base2, Seite 21.
Ist #Verschiebungen positiv, erfolgt die Verschiebung
nach links. ist #Verschiebungen negativ, erfolgt die
Verschiebung nach rechts. Vorgabe ist L1 (ein Bit
nach rechts verschieben).
In einer Rechtsverschiebung wird das ganz rechts
stehende Bit abgeschnitten und als ganz links
stehendes Bit eine 0 oder 1 eingesetzt. Bei einer
Linksverschiebung wird das Bit ganz links
abgeschnitten und 0 als letztes Bit rechts eingesetzt.
Beispielsweise in einer Rechtsverschiebung:
Alle Bits werden nach rechts verschoben.
0b0000000000000111101011000011010
Setzt 0 ein, wenn Bit ganz links 0 ist, und 1, wenn Bit
ganz links 1 ist.
Es ergibt sich:
0b00000000000000111101011000011010
Das Ergebnis wird gemäß dem jeweiligen Basis-
Modus angezeigt. Führende Nullen werden nicht
angezeigt.
Im Bin-Modus:
Im Hex-Modus:
Wichtig: Geben Sie eine Dual- oder
Hexadezimalzahl stets mit dem Präfix 0b bzw. 0h ein
(Null, nicht der Buchstabe O).
shift(Liste1 [,#Verschiebungen])⇒Liste
Gibt eine um #Verschiebungen Elemente nach rechts
Im Dec-Modus:

shift() (Verschieben) Katalog >
oder links verschobene Kopie von Liste1 zurück.
Verändert Liste1 nicht.
Ist #Verschiebungen positiv, erfolgt die Verschiebung
nach links. ist #Verschiebungen negativ, erfolgt die
Verschiebung nach rechts. Vorgabe ist L1 (ein
Element nach rechts verschieben).
Dadurch eingeführte neue Elemente am Anfang bzw.
am Ende von Liste werden auf “undef” gesetzt.
shift(String1 [,#Verschiebungen])⇒String
Gibt eine um #Verschiebungen Zeichen nach rechts
oder links verschobene Kopie von Liste1 zurück.
Verändert String1 nicht.
Ist #Verschiebungen positiv, erfolgt die Verschiebung
nach links. ist #Verschiebungen negativ, erfolgt die
Verschiebung nach rechts. Vorgabe ist L1 (ein
Zeichen nach rechts verschieben).
Dadurch eingeführte neue Zeichen am Anfang bzw.
am Ende von String werden auf ein Leerzeichen
gesetzt.
sign() (Zeichen) Katalog >
sign(Ausdr1)⇒Ausdruck
sign(Liste1)⇒Liste
sign(Matrix1)⇒Matrix
Gibt für reelle und komplexe Ausdr1 Ausdr1/abs
(Ausdr1)zurück, wenn Ausdr1ƒ0.
Gibt 1 zurück, wenn Ausdr1 positiv ist.
Gibt L1 zurück, wenn Ausdr1 negativ ist.
sign(0) gibt „1 zurück, wenn als Komplex-
Formatmodus Reell eingestellt ist; anderenfalls gibt
es sich selbst zurück.
sign(0) stellt im komplexen Bereich den Einheitskreis
dar.
Gibt für jedes Element einer Liste bzw. Matrix das
Vorzeichen zurück.
Bei Komplex-Formatmodus Reell:
Alphabetische Auflistung 159

160 Alphabetische Auflistung
simult() (Gleichungssystem) Katalog >
simult(KoeffMatrix,KonstVektor[,Tol])⇒Matrix
Ergibt einen Spaltenvektor, der die Lösungen für ein
lineares Gleichungssystem enthält.
Hinweis: Siehe auch linSolve(), Seite 99.
KoeffMatrix muss eine quadratische Matrix sein, die
die Koeffizienten der Gleichung enthält.
KonstVektor muss die gleiche Zeilenanzahl (gleiche
Dimension) besitzen wie KoeffMatrix und die
Konstanten enthalten.
Sie haben die Option, dass jedes Matrixelement als
Null behandelt wird, wenn dessen absoluter Wert
geringer als Tol ist. Diese Toleranz wird nur dann
verwendet, wenn die Matrix Fließkommaelemente
aufweist und keinerlei symbolische Variablen ohne
zugewiesene Werte enthält. Anderenfalls wird Tol
ignoriert.
• Wenn Sie den Modus Auto oder Näherung auf
Approximiert einstellen, werden Berechnungen
in Fließkomma-Arithmetik durchgeführt.
• Wird Tol weggelassen oder nicht verwendet, so
wird die Standardtoleranz folgendermaßen
berechnet:
5EL14 ·max(dim(KoeffMatrix)) ·rowNorm
(KoeffMatrix)
Auflösen nach x und y:
x + 2y = 1
3x + 4y = L1
Die Lösung ist x=L3 und y=2.
Auflösen:
ax + by = 1
cx + dy = 2
simult(KoeffMatrix,KonstMatrix[,Tol])⇒Matrix
Löst mehrere lineare Gleichungssysteme, die alle
dieselben Gleichungskoeffizienten, aber
unterschiedliche Konstanten haben.
Jede Spalte in KonstMatrix muss die Konstanten für
ein Gleichungssystem enthalten. Jede Spalte in der
sich ergebenden Matrix enthält die Lösung für das
entsprechende System.
Auflösen:
x + 2y = 1
3x + 4y = L1
x + 2y = 2
3x + 4y = L3
Für das erste System ist x=L3 und y=2. Für das
zweite System ist x=L7 und y=9/2.

4sin Katalog >
Ausdr 4sin
Hinweis: Sie können diesen Operator über die
Tastatur Ihres Computers eingeben, indem Sie
@>sin eintippen.
Drückt Ausdr durch Sinus aus. Dies ist ein
Anzeigeumwandlungsoperator. Er kann nur am Ende
der Eingabezeile verwendet werden.
4sin reduziert alle Potenzen von cos(...) modulo 1Nsin
(...)^2, so dass alle verbleibenden Potenzen von sin
(...) Exponenten im Bereich (0, 2) haben. Deshalb
enthält das Ergebnis dann und nur dann kein cos(...),
wenn cos(...) im gegebenen Ausdruck nur bei geraden
Potenzen auftritt.
Hinweis: Dieser Umrechnungsoperator wird im
Winkelmodus Grad oder Neugrad (Gon) nicht
unterstützt. Bevor Sie ihn verwenden, müssen Sie
sicherstellen, dass der Winkelmodus auf Radian
eingestellt ist und Ausdr keine expliziten Verweise auf
Winkel in Grad oder Neugrad enthält.
sin() (Sinus) µTaste
sin(Ausdr1)⇒Ausdruck
sin(Liste1)⇒Liste
sin(Ausdr1)gibt den Sinus des Arguments als
Ausdruck zurück.
sin(Liste1)gibt eine Liste zurück, die für jedes
Element von Liste1 den Sinus enthält.
Hinweis: Das Argument wird entsprechend dem
aktuellen Winkelmodus als Winkel in Grad, Neugrad
oder Bogenmaß interpretiert. Sie können¡,Goder R
benutzen, um die Winkelmoduseinstellung temporär
zu ändern.
Im Grad-Modus:
Im Neugrad-Modus:
Im Bogenmaß-Modus:
Alphabetische Auflistung 161

162 Alphabetische Auflistung
sin() (Sinus) µTaste
sin(Quadratmatrix1)⇒Quadratmatrix
Gibt den Matrix-Sinus von Quadratmatrix1 zurück.
Dies ist nicht gleichbedeutend mit der Berechnung
des Sinus jedes einzelnen Elements. Näheres zur
Berechnungsmethode finden Sie im Abschnitt cos().
Quadratmatrix1 muss diagonalisierbar sein. Das
Ergebnis enthält immer Fließkommazahlen.
Im Bogenmaß-Modus:
sin/() (Arkussinus) µTaste
sin/(Ausdr1)⇒Ausdruck
sin/(Liste1)⇒Liste
sin/(Ausdr1)gibt den Winkel, dessen Sinus Ausdr1
ist, als Ausdruck zurück.
sin/(Liste1)gibt in Form einer Liste für jedes Element
aus Liste1 den inversen Sinus zurück.
Hinweis: Das Ergebnis wird gemäß der aktuellen
Winkelmoduseinstellung in Grad, in Neugrad oder im
Bogenmaß zurückgegeben.
Hinweis: Sie können diese Funktion über die Tastatur
Ihres Computers eingeben, indem Sie arcsin(...)
eintippen.
Im Grad-Modus:
Im Neugrad-Modus:
Im Bogenmaß-Modus:
sin/(Quadratmatrix1)⇒Quadratmatrix
Gibt den inversen Matrix-Sinus von Quadratmatrix1
zurück. Dies ist nicht gleichbedeutend mit der
Berechnung des inversen Sinus jedes einzelnen
Elements. Näheres zur Berechnungsmethode finden
Sie im Abschnitt cos().
Quadratmatrix1 muss diagonalisierbar sein. Das
Ergebnis enthält immer Fließkommazahlen.
Im Winkelmodus Bogenmaß und Komplex-
Formatmodus “kartesisch”:

sinh() (Sinus hyperbolicus) Katalog >
sinh(Ausdr1)⇒Ausdruck
sinh(Liste1)⇒Liste
sinh (Ausdr1)gibt den Sinus hyperbolicus des
Arguments als Ausdruck zurück.
sinh (Liste1)gibt in Form einer Liste für jedes Element
aus Liste1 den Sinus hyperbolicus zurück.
sinh(Quadratmatrix1)⇒Quadratmatrix
Gibt den Matrix-Sinus hyperbolicus von
Quadratmatrix1 zurück. Dies ist nicht
gleichbedeutend mit der Berechnung des Sinus
hyperbolicus jedes einzelnen Elements. Näheres zur
Berechnungsmethode finden Sie im Abschnitt cos().
Quadratmatrix1 muss diagonalisierbar sein. Das
Ergebnis enthält immer Fließkommazahlen.
Im Bogenmaß-Modus:
sinh/() (Arkussinus hyperbolicus) Katalog >
sinh/(Ausdr1)⇒Ausdruck
sinh/(Liste1)⇒Liste
sinh/(Ausdr1)gibt den inversen Sinus hyperbolicus
des Arguments als Ausdruck zurück.
sinh/(Liste1)gibt in Form einer Liste für jedes
Element ausListe1 den inversen Sinus hyperbolicus
zurück.
Hinweis: Sie können diese Funktion über die Tastatur
Ihres Computers eingeben, indem Sie arcsinh(...)
eintippen.
sinh/(Quadratmatrix1)⇒Quadratmatrix
Gibt den inversen Matrix-Sinus hyperbolicus von
Quadratmatrix1 zurück. Dies ist nicht
gleichbedeutend mit der Berechnung des inversen
Sinus hyperbolicus jedes einzelnen Elements.
Näheres zur Berechnungsmethode finden Sie im
Abschnitt cos().
Quadratmatrix1 muss diagonalisierbar sein. Das
Ergebnis enthält immer Fließkommazahlen.
Im Bogenmaß-Modus:
Alphabetische Auflistung 163

164 Alphabetische Auflistung
SinReg Katalog >
SinReg X,Y[,[Iterationen],[Periode] [,Kategorie,Mit] ]
Berechnet die sinusförmige Regression auf Listen Xund Y.
EineZusammenfassung der Ergebnisse wird in der Variablen
stat.results gespeichert. (Seite 170.)
Alle Listen außer Mit müssen die gleiche Dimension besitzen.
Xund Ysind Listen von unabhängigen und abhängigen Variablen.
Iterationen ist ein Wert, der angibt, wie viele Lösungsversuche
(1bis16) maximal unternommen werden. Bei Auslassung wird
8verwendet. Größere Werte führen in der Regel zu höherer
Genauigkeit, aber auch zu längeren Ausführungszeiten, und
umgekehrt.
Periode gibt eine geschätzte Periode an. Bei Auslassung sollten
die Werte in Xsequentiell angeordnet und die Differenzen
zwischen ihnen gleich sein. Wenn Sie Periode jedoch angeben,
können die Differenzen zwischen den einzelnen x-Werten
ungleich sein.
Kategorie ist eine Liste von Kategoriecodes für die
entsprechenden Xund YDaten.
Mit ist eine Liste von einem oder mehreren Kategoriecodes. Nur
solche Datenelemente, deren Kategoriecode in dieser Liste
enthalten ist, sind in der Berechnung enthalten.
Die Ausgabe von SinReg erfolgt unabhängig von der
Winkelmoduseinstellung immer im Bogenmaß (rad).
Informationen zu den Auswirkungen leerer Elemente in einer
Liste finden Sie unter “Leere (ungültige) Elemente” (Seite 229).
Ausgabevariable Beschreibung
stat.RegEqn Regressionsgleichung: a·sin(bx+c)+d
stat.a, stat.b, stat.c,
stat.d
Regressionskoeffizienten
stat.Resid Residuen von der Regression
stat.XReg Liste der Datenpunkte in der modifizierten X-Liste, die in der Regression mit den Beschränkungen
für Häuf,Kategorieliste und Mit-Kategorien verwendet wurde
stat.YReg Liste der Datenpunkte in der modifizierten Y-Liste, die schließlich in der Regression mit den
Beschränkungen für Häuf,Kategorieliste und Mit-Kategorien verwendet wurde
stat.FreqReg Liste der Häufigkeiten für stat.XReg und stat.YReg

solve() (Löse) Katalog >
solve(Gleichung,Var)⇒Boolescher Ausdruck
solve(Gleichung,Var=Schätzwert)⇒Boolescher
Ausdruck
solve(Ungleichung,Var)⇒Boolescher Ausdruck
Gibt mögliche reelle Lösungen einer Gleichung oder
Ungleichung für Var zurück. Das Ziel ist, Kandidaten
für alle Lösungen zu erhalten. Es kann jedoch
Gleichungen oder Ungleichungen geben, für die es
eine unendliche Anzahl von Lösungen gibt.
Für manche Wertekombinationen undefinierter
Variablen kann es sein, dass mögliche Lösungen
nicht reell und endlich sind.
Ist der Modus Auto oder Näherung auf Auto
eingestellt, ist das Ziel die Ermittlung exakter
kompakter Lösungen, wobei ergänzend eine iterative
Suche mit Näherungslösungen benutzt wird, wenn
exakte Lösungen sich als unpraktisch erweisen.
Da Quotienten standardmäßig mit dem größten
gemeinsamen Teiler von Zähler und Nenner gekürzt
werden, kann es sein, dass Lösungen nur in den
Grenzwerten von einer oder beiden Seiten liegen.
Für Ungleichungen der Typen |,{, < oder > sind
explizite Lösungen unwahrscheinlich, es sei denn, die
Ungleichung ist linear und enthält nur Var.
Ist der Modus Auto oder Näherung auf Exakt
eingestellt, werden nicht lösbare Teile als implizite
Gleichung oder Ungleichung zurückgegeben.
Verwenden Sie den womit-Operator „|“zur
Beschränkung des Lösungsintervalls und/oder zur
Einschränkung anderer Variablen, die in der Gleichung
bzw. Ungleichung vorkommen. Wenn Sie eine
Lösung in einem Intervall gefunden haben, können Sie
die Ungleichungsoperatoren benutzen, um dieses
Intervall aus nachfolgenden Suchläufen
auszuschließen.
Im Bogenmaß-Modus:
Alphabetische Auflistung 165

166 Alphabetische Auflistung
solve() (Löse) Katalog >
Wenn keine reellen Lösungen ermittelt werden
können, wird “falsch” zurückgegeben. “wahr” wird
zurückgegeben, wenn solve() feststellt, dass jeder
endliche reelle Wert von Var die Gleichung bzw.
Ungleichung erfüllt.
Da solve()stets ein Boolesches Ergebnis liefert,
können Sie “and”, “or” und “not” verwenden, um
Ergebnisse von solve() miteinander oder mit anderen
Booleschen Ausdrücken zu verknüpfen.
Lösungen können eine neue unbestimmte Konstante
der Form nj enthalten, wobei j eine ganze Zahl im
Intervall 1–255 ist. Eine solche Variable steht für eine
beliebige ganze Zahl.
Im Bogenmaß-Modus:
Im reellen Modus zeigen Bruchpotenzen mit
ungeradem Nenner nur das reelle Intervall. Ansonsten
zeigen zusammengesetzte Ausdrücke wie
Bruchpotenzen, Logarithmen und inverse
trigonometrische Funktionen nur das Hauptintervall.
Demzufolge liefert solve() nur Lösungen, die diesem
einen reellen oder Hauptintervall entsprechen.
Hinweis: Siehe auch cSolve(),cZeros(),nSolve() und
zeros().
solve(Glch1andGlch2 [and… ],VarOderSchätzwert1,
VarOderSchätzwert2 [,… ])⇒BoolescherAusdruck
solve(Gleichungssystem,VarOderSchätzwert1,
VarOderSchätzwert2 [,… ])⇒BoolescherAusdruck
solve({Glch1,Glch2 [,...]} {VarOderSchätzwert1,
VarOderSchätzwert2 [,… ]})⇒BoolescherAusdruck
Gibt mögliche reelle Lösungen eines algebraischen
Gleichungssystems zurück, in dem jedes Argument
VarOderSchätzwert eine Variable darstellt, nach der
Sie die Gleichungen auflösen möchten.
Sie können die Gleichungen mit dem Operator and
trennen oder miteiner Vorlage aus dem Katalog ein
Gleichungssystem eingeben. Die Anzahl
derVarOderSchätzwert-Argumente muss der Anzahl
der Gleichungen entsprechen. Sie haben die Option,
eine Ausgangsschätzung für eine Variable
anzugeben. Jedes Argument VarOderSchätzwert

solve() (Löse) Katalog >
muss die folgende Form haben:
Variable
- oder -
Variable =reelle oder nicht-reelle Zahl
Beispiel: x ist gültig und x = 3 ebenfalls.
Wenn alle Gleichungen Polynome sind und Sie KEINE
Anfangsschätzwerte angeben, dann verwendet solve
() das lexikalische Gröbner/Buchbergersche
Eliminationsverfahren beim Versuch, alle reellen
Lösungen zu bestimmen.
Betrachten wir z.B. einen Kreis mit dem Radius r und
dem Ursprung als Mittelpunkt und einen weiteren
Kreis mit Radius r und dem Schnittpunkt des ersten
Kreises mit der positiven x-Achse als Mittelpunkt.
Verwenden Sie solve() zur Bestimmung der
Schnittpunkte.
Wie in nebenstehendem Beispiel durch r
demonstriert, können Gleichungssysteme
zusätzliche Variablen ohne Wert aufweisen, die aber
für numerische Werte stehen, welche später
eingesetzt werden können.
Sie können auch (oder stattdessen) Lösungsvariablen
angeben, die in den Gleichungen nicht erscheinen.
Geben Sie zum Beispiel z als eine Lösungsvariable
an, um das vorangehende Beispiel auf zwei parallele,
sich schneidende Zylinder mit dem Radius r
auszudehnen.
Die Zylinder-Lösungen verdeutlichen, dass
Lösungsfamilien “beliebige” Konstanten der Form ck,
enthalten können, wobei k ein ganzzahliger Index im
Bereich 1 bis 255 ist.
Bei Gleichungssystemen aus Polynomen kann die
Berechnungsdauer oder Speicherbelastung stark von
der Reihenfolge abhängen, in welcher Sie die
Lösungsvariablen angeben. Übersteigt Ihre erste
Wahl die Speicherkapazität oder Ihre Geduld,
versuchen Sie, die Variablen in der Gleichung
und/oder VarOderSchätzwert-Liste umzuordnen.
Um das ganze Ergebnis zu sehen, drücken Sie £
und verwenden dann ¡und ¢, um den Cursor zu
bewegen.
Alphabetische Auflistung 167

168 Alphabetische Auflistung
solve() (Löse) Katalog >
Wenn Sie keine Schätzwerte angeben und eine
Gleichung in einer Variablen nicht-polynomisch ist,
aber alle Gleichungen in allen Lösungsvariablen linear
sind, so verwendet solve() das Gaußsche
Eliminationsverfahren beim Versuch, alle reellen
Lösungen zu bestimmen.
Wenn ein System weder in all seinen Variablen
polynomial noch in seinen Lösungsvariablen linear ist,
dann bestimmt solve() mindestens eine Lösung
anhand eines iterativen näherungsweisen Verfahrens.
Hierzu muss die Anzahl der Lösungsvariablen gleich
der Gleichungsanzahl sein, und alle anderen Variablen
in den Gleichungen müssen zu Zahlen vereinfachbar
sein.
Um das ganze Ergebnis zu sehen, drücken Sie £
und verwenden dann ¡und ¢, um den Cursor zu
bewegen.
Jede Lösungsvariable beginnt bei dem
entsprechenden geschätzten Wert, falls vorhanden;
ansonsten beginnt sie bei 0,0.
Suchen Sie anhand von Schätzwerten nach einzelnen
zusätzlichen Lösungen. Für Konvergenz sollte eine
Schätzung ziemlich nahe bei einer Lösung liegen.
SortA (In aufsteigender Reihenfolge sortieren) Katalog >
SortA Liste1[,Liste2] [,Liste3] ...
SortA Vektor1[,Vektor2] [,Vektor3] ...
Sortiert die Elemente des ersten Arguments in
aufsteigender Reihenfolge.
Bei Angabe von mehr als einem Argument werden die
Elemente der zusätzlichen Argumente so sortiert,
dass ihre neue Position mit der neuen Position der
Elemente des ersten Arguments übereinstimmt.
Alle Argumente müssen Listen- oder Vektornamen
sein. Alle Argumente müssen die gleiche Dimension
besitzen.
Leere (ungültige) Elemente im ersten Argument
werden nach unten verschoben. Weitere
Informationen zu leeren Elementen finden Sie (Seite
229).

SortD (In absteigender Reihenfolge sortieren) Katalog >
SortD Liste1[,Liste2] [,Liste3] ...
SortD Vektor1[,Vektor2] [,Vektor3] ...
Identisch mit SortA mit dem Unterschied, dass SortD
die Elemente in absteigender Reihenfolge sortiert.
Leere (ungültige) Elemente im ersten Argument
werden nach unten verschoben. Weitere
Informationen zu leeren Elementen finden Sie (Seite
229).
4Sphere (Kugelkoordinaten) Katalog >
Vektor 4Sphere
Hinweis: Sie können diesen Operator über die
Tastatur Ihres Computers eingeben, indem Sie
@>Sphere eintippen.
Zeigt den Zeilen- oder Spaltenvektor in
Kugelkoordinaten [r ±q ±f] an.
Vektor muss die Dimension 3 besitzen und kann ein
Zeilen- oder ein Spaltenvektor sein.
Hinweis: 4Sphere ist eine Anzeigeformatanweisung,
keine Konvertierungsfunktion. Sie können sie nur am
Ende einer Eingabezeile benutzen.
Hinweis: Erzwingen eines Näherungsergebnisses,
Handheld: Drücken Sie / ·.
Windows®: Drücken Sie Strg+Eingabetaste.
Macintosh®: Drücken “+Eingabetaste.
iPad®: Halten Sie die Eingabetaste gedrückt und
wählen Sie aus.
Drücken Sie ·.
Alphabetische Auflistung 169

170 Alphabetische Auflistung
4Sphere (Kugelkoordinaten) Katalog >
sqrt() (Quadratwurzel) Katalog >
sqrt(Ausdr1)⇒Ausdruck
sqrt(Liste1)⇒Liste
Gibt die Quadratwurzel des Arguments zurück.
Bei einer Liste wird die Quadratwurzel für jedes
Element von Liste1 zurückgegeben.
Hinweis: Siehe auch Vorlage Quadratwurzel, Seite 5.
stat.results Katalog >
stat.results
Zeigt Ergebnisse einer statistischen Berechnung an.
Die Ergebnisse werden als Satz von Namen-Wert-
Paaren angezeigt. Die angezeigten Namen hängen
von der zuletzt ausgewerteten Statistikfunktion oder
dem letzten Befehl ab.
Sie können einen Namen oder einen Wert kopieren
und ihn an anderen Positionen einfügen.
Hinweis: Definieren Sie nach Möglichkeit keine
Variablen, die dieselben Namen haben wie die für die
statistische Analyse verwendeten Variablen. In
einigen Fällen könnte ein Fehler auftreten. Namen
von Variablen, die für die statistische Analyse
verwendet werden, sind in der Tabelle unten

stat.results Katalog >
aufgelistet.
stat.a
stat.AdjR²
stat.b
stat.b0
stat.b1
stat.b2
stat.b3
stat.b4
stat.b5
stat.b6
stat.b7
stat.b8
stat.b9
stat.b10
stat.bList
stat.c²
stat.c
stat.CLower
stat.CLowerList
stat.CompList
stat.CompMatrix
stat.CookDist
stat.CUpper
stat.CUpperList
stat.d
stat.dfDenom
stat.dfBlock
stat.dfCol
stat.dfError
stat.dfInteract
stat.dfReg
stat.dfNumer
stat.dfRow
stat.DW
stat.e
stat.ExpMatrix
stat.F
stat.FBlock
stat.Fcol
stat.FInteract
stat.FreqReg
stat.Frow
stat.Leverage
stat.LowerPred
stat.LowerVal
stat.m
stat.MaxX
stat.MaxY
stat.ME
stat.MedianX
stat.MedianY
stat.MEPred
stat.MinX
stat.MinY
stat.MS
stat.MSBlock
stat.MSCol
stat.MSError
stat.MSInteract
stat.MSReg
stat.MSRow
stat.n
Stat.Ç
stat.Ç1
stat.Ç2
stat.ÇDiff
stat.PList
stat.PVal
stat.PValBlock
stat.PValCol
stat.PValInteract
stat.PValRow
stat.Q1X
stat.Q1Y
stat.Q3X
stat.Q3Y
stat.r
stat.r²
stat.RegEqn
stat.Resid
stat.ResidTrans
stat.sx
stat.sy
stat.sx1
stat.sx2
stat.Gx
stat.Gx²
stat.Gxy
stat.Gy
stat.Gy²
stat.s
stat.SE
stat.SEList
stat.SEPred
stat.sResid
stat.SEslope
stat.sp
stat.SS
stat.SSBlock
stat.SSCol
stat.SSX
stat.SSY
stat.SSError
stat.SSInteract
stat.SSReg
stat.SSRow
stat.tList
stat.UpperPred
stat.UpperVal
stat.v
stat.v1
stat.v2
stat.vDiff
stat.vList
stat.XReg
stat.XVal
stat.XValList
stat.w
stat.y
stat.yList
stat.YReg
Hinweis: Immer, wenn die Applikation 'Lists & Spreadsheet' statistische Ergebnisse berechnet,
kopiert sie die Gruppenvariablen “stat.” in eine “stat#.”-Gruppe, wobei # eine automatisch
inkrementierte Zahl ist. Damit können Sie vorherige Ergebnisse beibehalten, während mehrere
Berechnungen ausgeführt werden.
stat.values Katalog >
stat.values
Zeigt eine Matrix der Werte an, die für die zuletzt ausgewertete
Statistikfunktion oder den letzten Befehl berechnet wurden.
Siehe stat.results.
Alphabetische Auflistung 171

172 Alphabetische Auflistung
stat.values Katalog >
Im Gegensatz zu stat.results lässt stat.values die den Werten
zugeordneten Namen aus.
Sie können einen Wert kopieren und ihn an anderen Positionen
einfügen.
stDevPop() (Populations-Standardabweichung) Katalog >
stDevPop(Liste[, Häufigkeitsliste])⇒Ausdruck
Ergibt die Populations-Standardabweichung der
Elemente in Liste.
Jedes Häufigkeitsliste-Element gewichtet die
Elemente von Liste in der gegebenen Reihenfolge
entsprechend.
Hinweis: Liste muss mindestens zwei Elemente
haben. Leere (ungültige) Elemente werden ignoriert.
Weitere Informationen zu leeren Elementen finden Sie
(Seite 229).
Im Bogenmaß- und automatischen Modus:
stDevPop(Matrix1[,Häufigkeitsmatrix])⇒Matrix
Ergibt einen Zeilenvektor der Populations-
Standardabweichungen der Spalten in Matrix1.
Jedes Häufigkeitsmatrix-Element gewichtet die
Elemente von Matrix1 in der gegebenen Reihenfolge
entsprechend.
Hinweis: Matrix1 muss mindestens zwei Zeilen
haben. Leere (ungültige) Elemente werden ignoriert.
Weitere Informationen zu leeren Elementen finden Sie
(Seite 229).

stDevSamp() (Stichproben-Standardabweichung) Katalog >
stDevSamp(Liste[,Häufigkeitsliste])⇒Ausdruck
Ergibt die Stichproben-Standardabweichung der
Elemente in Liste.
Jedes Häufigkeitsliste-Element gewichtet die
Elemente von Liste in der gegebenen Reihenfolge
entsprechend.
Hinweis: Liste muss mindestens zwei Elemente
haben. Leere (ungültige) Elemente werden ignoriert.
Weitere Informationen zu leeren Elementen finden Sie
(Seite 229).
stDevSamp(Matrix1[,Häufigkeitsmatrix])⇒Matrix
Ergibt einen Zeilenvektor der Stichproben-
Standardabweichungen der Spalten in Matrix1.
Jedes Häufigkeitsmatrix-Element gewichtet die
Elemente von Matrix1 in der gegebenen Reihenfolge
entsprechend.
Hinweis: Matrix1 muss mindestens zwei Zeilen
haben. Leere (ungültige) Elemente werden ignoriert.
Weitere Informationen zu leeren Elementen finden Sie
(Seite 229).
Stop (Stopp) Katalog >
Stop
Programmierbefehl: Beendet das Programm.
Stop ist in Funktionen nicht zulässig.
Hinweis zum Eingeben des Beispiels: Anweisungen
für die Eingabe von mehrzeiligen Programm- und
Funktionsdefinitionen finden Sie im Abschnitt
„Calculator“des Produkthandbuchs.
Store (Speichern) Siehe &(speichern), Seite 227.
Alphabetische Auflistung 173

174 Alphabetische Auflistung
string() (String) Katalog >
string(Ausdr)⇒String
Vereinfacht Ausdr und gibt das Ergebnis als
Zeichenkette zurück.
subMat() (Untermatrix) Katalog >
subMat(Matrix1[,vonZei] [,vonSpl] [,bisZei] [,
bisSpl])⇒Matrix
Gibt die angegebene Untermatrix von Matrix1
zurück.
Vorgaben: vonZei=1, vonSpl=1, bisZei=letzte Zeile,
bisSpl=letzte Spalte.
Summe (Sigma) Siehe G(), Seite 217.
sum() (Summe) Katalog >
sum(Liste[,Start[,Ende]])⇒Ausdruck
Gibt die Summe der Elemente in Liste zurück.
Start und Ende sind optional. Sie geben einen
Elementebereich an.
Ein ungültiges Argument erzeugt ein ungültiges
Ergebnis. Leere (ungültige) Elemente in Liste werden
ignoriert. Weitere Informationen zu leeren Elementen
finden Sie (Seite 229).
sum(Matrix1[,Start[,Ende]])⇒Matrix
Gibt einen Zeilenvektor zurück, der die Summen der
Elemente aus den Spalten von Matrix1 enthält.
Start und Ende sind optional. Sie geben einen
Zeilenbereich an.
Ein ungültiges Argument erzeugt ein ungültiges
Ergebnis. Leere (ungültige) Elemente in Matrix1
werden ignoriert. Weitere Informationen zu leeren
Elementen finden Sie (Seite 229).

sumIf() Katalog >
sumIf(Liste,Kriterien[, SummeListe])⇒Wert
Gibt die kumulierte Summe aller Elemente in Liste
zurück, die die angegebenen Kriterien erfüllen.
Optional können Sie eine Alternativliste, SummeListe,
angeben, an die die Elemente zum Kumulieren
weitergegeben werden sollen.
Liste kann ein Ausdruck, eine Liste oder eine Matrix
sein. SummeListe muss, sofern sie verwendet wird,
dieselben Dimension(en) haben wie Liste.
Kriterien können sein:
• Ein Wert, ein Ausdruck oder eine Zeichenfolge.
So kumuliert beispielsweise 34 nur solche
Elemente in Liste, die vereinfacht den Wert 34
ergeben.
• Ein Boolescher Ausdruck, der das
Sonderzeichen ?als Platzhalter für jedes
Element verwendet. Beispielsweise zählt ?<10
nur solche Elemente in Liste zusammen, die
kleiner als 10 sind.
Wenn ein Element in Liste die Kriterien erfüllt, wird
das Element zur Kumulationssumme hinzugerechnet.
Wenn Sie SummeListe hinzufügen, wird stattdessen
das entsprechende Element aus SummeListe zur
Summe hinzugerechnet.
In der Lists & Spreadsheet Applikation können Sie
anstelle von Liste und SummeListe auch einen
Zellenbereich verwenden.
Leere (ungültige) Elemente werden ignoriert. Weitere
Informationen zu leeren Elementen finden Sie (Seite
229).
Hinweis: Siehe auch countIf(), Seite 39.
sumSeq() Siehe G(), Seite 217.
Alphabetische Auflistung 175

176 Alphabetische Auflistung
system() (System) Katalog >
system(Ausdr1 [,Ausdr2 [,Ausdr3 [,...]]])
system(Glch1 [,Glch2 [,Glch3 [,...]]])
Gibt ein Gleichungssystem zurück, das als Liste
formatiert ist. Sie können ein Gleichungssystem auch
mit Hilfe einer Vorlage erstellen.
Hinweis: Siehe auch Gleichungssystem, Seite 7.
T
T (Transponierte) Katalog >
Matrix1T⇒matrix
Gibt die komplex konjugierte, transponierte Matrix
von Matrix1 zurück.
Hinweis: Sie können diesen Operator über die
Tastatur Ihres Computers eingeben, indem Sie @t
eintippen.
tan() (Tangens) µTaste
tan(Ausdr1)⇒Ausdruck
tan(Liste1)⇒Liste
tan(Ausdr1)gibt den Tangens des Arguments als
Ausdruck zurück.
tan(Liste1)gibt in Form einer Liste für jedes Element
in Liste1 den Tangens zurück.
Hinweis: Das Argument wird entsprechend dem
aktuellen Winkelmodus als Winkel in Grad, Neugrad
oder Bogenmaß interpretiert. Sie können¡,Goder R
benutzen, um die Winkelmoduseinstellung temporär
zu ändern.
Im Grad-Modus:
Im Neugrad-Modus:
Im Bogenmaß-Modus:

tan() (Tangens) µTaste
tan(Quadratmatrix1)⇒Quadratmatrix
Gibt den Matrix-Tangens von Quadratmatrix1
zurück. Dies ist nicht gleichbedeutend mit der
Berechnung des Tangens jedes einzelnen Elements.
Näheres zur Berechnungsmethode finden Sie im
Abschnitt cos().
Quadratmatrix1 muss diagonalisierbar sein. Das
Ergebnis enthält immer Fließkommazahlen.
Im Bogenmaß-Modus:
tan/() (Arkustangens) µTaste
tan/(Ausdr1)⇒Ausdruck
tan/(Liste1)⇒Liste
tan/(Ausdr1)gibt den Winkel, dessen Tangens
Ausdr1 ist, als Ausdruck zurück.
tan/(Liste1)gibt in Form einer Liste für jedes Element
aus Liste1 den inversen Tangens zurück.
Hinweis: Das Ergebnis wird gemäß der aktuellen
Winkelmoduseinstellung in Grad, in Neugrad oder im
Bogenmaß zurückgegeben.
Hinweis: Sie können diese Funktion über die Tastatur
Ihres Computers eingeben, indem Sie arctan(...)
eintippen.
Im Grad-Modus:
Im Neugrad-Modus:
Im Bogenmaß-Modus:
tan/(Quadratmatrix1)⇒Quadratmatrix
Gibt den inversen Matrix-Tangens von
Quadratmatrix1 zurück. Dies ist nicht
gleichbedeutend mit der Berechnung des inversen
Tangens jedes einzelnen Elements. Näheres zur
Berechnungsmethode finden Sie im Abschnitt cos().
Quadratmatrix1 muss diagonalisierbar sein. Das
Ergebnis enthält immer Fließkommazahlen.
Im Bogenmaß-Modus:
Alphabetische Auflistung 177

178 Alphabetische Auflistung
tangentLine() Katalog >
tangentLine(Ausdr1,Var,Punkt)⇒Ausdruck
tangentLine(Ausdr1,Var=Punkt)⇒Ausdruck
Gibt die Tangente zu der durch Ausdr1 dargestellten
Kurve an dem in Var=Punkt angegebenen Punkt
zurück.
Stellen Sie sicher, dass die unabhängige Variable
nicht definiert ist. Wenn zum Beispiel f1(x):=5 und
x:=3 ist, gibt tangentLine(f1(x),x,2)“false” zurück.
tanh() (Tangens hyperbolicus) Katalog >
tanh(Ausdr1)⇒Ausdruck
tanh(Liste1)⇒Liste
tanh(Ausdr1)gibt den Tangens hyperbolicus des
Arguments als Ausdruck zurück.
tanh(Liste1)gibt in Form einer Liste für jedes Element
aus Liste1 den Tangens hyperbolicus zurück.
tanh(Quadratmatrix1)⇒Quadratmatrix
Gibt den Matrix-Tangens hyperbolicus von
Quadratmatrix1 zurück. Dies ist nicht
gleichbedeutend mit der Berechnung des Tangens
hyperbolicus jedes einzelnen Elements. Näheres zur
Berechnungsmethode finden Sie im Abschnitt cos().
Quadratmatrix1 muss diagonalisierbar sein. Das
Ergebnis enthält immer Fließkommazahlen.
Im Bogenmaß-Modus:
tanh/() (Arkustangens hyperbolicus) Katalog >
tanh/(Ausdr1)⇒Ausdruck
tanh/(Liste1)⇒Liste
tanh/(Ausdr1)gibt den inversen Tangens
hyperbolicus des Arguments als Ausdruck zurück.
tanh/(Liste1)gibt in Form einer Liste für jedes
Element aus Liste1 den inversen Tangens
hyperbolicus zurück.
Hinweis: Sie können diese Funktion über die Tastatur
Ihres Computers eingeben, indem Sie arctanh(...)
Im Komplex-Formatmodus “kartesisch”:
Um das ganze Ergebnis zu sehen, drücken Sie £
und verwenden dann ¡und ¢, um den Cursor zu
bewegen.

tanh/() (Arkustangens hyperbolicus) Katalog >
eintippen.
tanh/(Quadratmatrix1)⇒Quadratmatrix
Gibt den inversen Matrix-Tangens hyperbolicus von
Quadratmatrix1 zurück. Dies ist nicht
gleichbedeutend mit der Berechnung des inversen
Tangens hyperbolicus jedes einzelnen Elements.
Näheres zur Berechnungsmethode finden Sie im
Abschnitt cos().
Quadratmatrix1 muss diagonalisierbar sein. Das
Ergebnis enthält immer Fließkommazahlen.
Im Winkelmodus Bogenmaß und Komplex-
Formatmodus “kartesisch”:
Um das ganze Ergebnis zu sehen, drücken Sie £
und verwenden dann ¡und ¢, um den Cursor zu
bewegen.
taylor() (Taylor-Polynom) Katalog >
taylor(Ausdr1,Var,Ordnung[,Punkt])⇒Ausdruck
Gibt das angeforderte Taylor-Polynom zurück. Das
Polynom enthält alle ganzzahligen Potenzen von (Var
minus Punkt) mit nicht verschwindenden
Koeffizienten von Null bis Ordnung.taylor() gibt sich
selbst zurück, wenn es keine endliche Potenzreihe
dieser Ordnung gibt oder negative oder
Bruchexponenten erforderlich wären. Benutzen Sie
Substitution und/oder die temporäre Multiplikation mit
einer Potenz (Var minus Punkt), um allgemeinere
Potenzreihen zu ermitteln.
Punkt ist vorgegeben als Null und ist der
Entwicklungspunkt.
tCdf() Katalog >
tCdf(UntGrenze,ObGrenze,FreiGrad)⇒Zahl, wenn UntGrenze
und ObGrenze Zahlen sind, Liste, wenn UntGrenze und
ObGrenze Listen sind
Berechnet für eine Student-t-Verteilung mit vorgegebenen
Freiheitsgraden FreiGrad die Intervallwahrscheinlichkeit
zwischen UntGrenze und ObGrenze.
Für P(X {obereGrenze) setzen Sie untereGrenze =.ˆ.
Alphabetische Auflistung 179

180 Alphabetische Auflistung
tCollect() (Trigonometrische Zusammenfassung) Katalog >
tCollect(Ausdr1)⇒Ausdruck
Gibt einen Ausdruck zurück, in dem Produkte und
ganzzahlige Potenzen von Sinus und Cosinus in eine
lineare Kombination von Sinus und Cosinus von
Winkelvielfachen, Winkelsummen und
Winkeldifferenzen umgewandelt sind. Diese
Transformation wandelt trigonometrische Polynome
in eine lineare Kombination um.
In manchen Fällen führt tCollect() zum Erfolg, wo die
vorgegebene trigonometrische Vereinfachung nicht
zum Erfolg führt. tCollect() bewirkt in beinahe allen
Fällen eine Umkehrung von Transformationen, die mit
tExpand() vorgenommen wurden. Manchmal lässt
sich ein Ausdruck vereinfachen, wenn man in
getrenntenSchritten tExpand() auf ein Ergebnis von
tCollect() anwendet (oder umgekehrt).
tExpand() (Trigonometrische Entwicklung) Katalog >
tExpand(Ausdr1)⇒Ausdruck
Gibt einen Ausdruck zurück, in dem Sinus und
Cosinus von ganzzahligen Winkelvielfachen,
Winkelsummen und Winkeldifferenzen entwickelt
sind. Aufgrund der Identität (sin(x))2+(cos(x))2=1 sind
viele äquivalente Ergebnisse möglich. Ein Ergebnis
kann sich daher von einem in anderen Publikationen
angegebenen unterscheiden.
In manchen Fällen führt tExpand() zum Erfolg, wo die
vorgegebene trigonometrische Vereinfachung nicht
zum Erfolg führt. tExpand() bewirkt in beinahe allen
Fällen eine Umkehrung von Transformationen, die mit
tCollect() vorgenommen wurden. Manchmal lässt
sich ein Ausdruck vereinfachen, wenn man in
getrenntenSchritten tCollect() auf ein Ergebnis von
tExpand() anwendet (oder umgekehrt).
Hinweis: Die Skalierung von p/180 im Winkelmodus
“Grad” behindert die Erkennung entwickelbarer
Formen durch tExpand(). Die besten Ergebnisse

tExpand() (Trigonometrische Entwicklung) Katalog >
werden bei Benutzung von tExpand() im Bogenmaß-
Modus erzielt.
Text Katalog >
Text EingabeString[,FlagAnz]
Programmierbefehl: Pausiert das Programm und zeigt die
Zeichenkette EingabeString in einem Dialogfeld an.
Wenn der Benutzer OK auswählt, wird die Programmausführung
fortgesetzt.
Bei dem optionalen Argument FlagAnz kann es sich um einen
beliebigen Ausdruck handeln.
• Wenn FlagAnz fehlt oder den Wert 1ergibt, wird die
Textmeldung im Calculator-Protokoll angezeigt.
• Wenn FlagAnz den Wert 0ergibt, wird die Meldung nicht im
Protokoll angezeigt.
Wenn das Programm eine Eingabe vom Benutzer benötigt,
verwenden Sie stattdessen Request, Seite 144,
oderRequestStr, Seite 146.
Hinweis: Sie können diesen Befehl in benutzerdefinierten
Programmen, aber nicht in Funktionen verwenden.
Definieren Sie ein Programm, das
fünfmal anhält und jeweils eine
Zufallszahl in einem Dialogfeld anzeigt.
Schließen Sie in der Vorlage
Prgm...EndPrgm jede Zeile mit @ab
anstatt mit ·. Auf der
Computertastatur halten Sie Alt
gedrückt und drücken die Eingabetaste.
Define text_demo()=Prgm
For i,1,5
strinfo:=”Random number “& string
(rand(i))
Text strinfo
EndFor
EndPrgm
Starten Sie das Programm:
text_demo()
Muster eines Dialogfelds:
Then Siehe If, Seite 85.
Alphabetische Auflistung 181

182 Alphabetische Auflistung
tInterval Katalog >
tInterval Liste[,Häuf[,KNiv]]
(Datenlisteneingabe)
tInterval v,sx,n[,KNiv]
(Zusammenfassende statistische Eingabe)
Berechnet das Konfidenzintervall t. Eine Zusammenfassung
derErgebnisse wird in der Variablen stat.results gespeichert.
(Seite 170.)
Informationen zu den Auswirkungen leerer Elemente in einer
Liste finden Sie unter “Leere (ungültige) Elemente” (Seite 229).
Ausgabevariable Beschreibung
stat.CLower, stat.CUpper Konfidenzintervall für den unbekannten Populationsmittelwert
stat.xStichprobenmittelwert der Datenfolge aus der zufälligen Normalverteilung
stat.ME Fehlertoleranz
stat.df Freiheitsgrade
stat.sx Stichproben-Standardabweichung
stat.n Länge der Datenfolge mit Stichprobenmittelwert
tInterval_2Samp (Zwei-Stichproben-t-Konfidenzintervall) Katalog >
tInterval_2Samp Liste1,Liste2[,Häufigkeit1[,Häufigkeit2
[,KStufe[,Verteilt]]]]
(Datenlisteneingabe)
tInterval_2Samp v1,sx1,n1,v2,sx2,n2[,KStufe[,Verteilt]]
(Zusammenfassende statistische Eingabe)
Berechnet ein t-Konfidenzintervall für zwei Stichproben. Eine
Zusammenfassung der Ergebnisse wird in der Variable
stat.results gespeichert. (Seite 170.)
Verteilt=1verteilt Varianzen; Verteilt=0verteilt keine Varianzen.
Informationen zu den Auswirkungen leerer Elemente in einer
Liste finden Sie unter “Leere (ungültige) Elemente” (Seite 229).
Ausgabevariable Beschreibung
stat.CLower, stat.CUpper Konfidenzintervall mit dem Konfidenzniveau der Verteilungswahrscheinlichkeit

Ausgabevariable Beschreibung
stat.x1-x2 Stichprobenmittelwerte der Datenfolgen aus der zufälligen Normalverteilung
stat.ME Fehlertoleranz
stat.df Freiheitsgrade
stat.x1, stat.x2 Stichprobenmittelwerte der Datenfolgen aus der zufälligen Normalverteilung
stat.sx1, stat.sx2 Stichproben-Standardabweichungen für Liste 1 und Liste 2
stat.n1, stat.n2 Anzahl der Stichproben in Datenfolgen
stat.sp Die verteilte Standardabweichung. Wird berechnet, wenn Verteilt=JA.
tmpCnv() (Konvertierung von Temperaturwerten) Katalog >
tmpCnv(Ausdr_¡TempEinh, _¡TempEinh2)
⇒Ausdruck _¡TempEinh2
Konvertiert einen durch Ausdr definierten
Temperaturwert von einer Einheit in eine andere.
Folgende Temperatureinheiten sind gültig:
_¡C Celsius
_¡F Fahrenheit
_¡K Kelvin
_¡R Rankine
Wählen Sie zur Eingabe von ¡das Symbol aus der
Sonderzeichenpalette des Katalogs aus.
Zur Eingabe von _ drücken Sie /_.
100_¡C wird zum Beispiel in 212_¡F konvertiert.
Zur Konvertierung eines Temperaturbereichs
verwenden Sie hingegen @tmpCnv().
Hinweis: Sie können den Katalog verwenden, um
Temperatureinheiten auszuwählen.
@tmpCnv() (Konvertierung von Temperaturbereichen)
Katalog >
@tmpCnv(Ausdr_¡tempEinh, _¡tempEinh2)
⇒Ausdruck _¡tempEinh2
Hinweis: Sie können diese Funktion über die Tastatur
Ihres Computers eingeben, indem Sie
Wählen Sie zur Eingabe von @das Symbol aus der
Sonderzeichenpalette des Katalogs aus.
Alphabetische Auflistung 183

184 Alphabetische Auflistung
@tmpCnv() (Konvertierung von Temperaturbereichen)
Katalog >
deltaTmpCnv(...)eintippen.
Konvertiert einen durch Ausdr definierten
Temperaturbereich (Differenz zwischen zwei
Temperaturwerten) von einer Einheit in eine andere.
Folgende Temperatureinheiten sind gültig:
_¡C Celsius
_¡F Fahrenheit
_¡K Kelvin
_¡R Rankine
Wählen Sie zur Eingabe von ¡das Symbol aus der
Sonderzeichenpalette oder geben Sie @d ein.
Zur Eingabe von _ drücken Sie /_.
1_¡C und 1_¡K haben denselben Absolutwert, ebenso
wie 1_¡F und 1_¡R. 1_¡C ist allerdings 9/5 so groß
wie 1_¡F.
Ein 100_¡C Bereich (von 0_¡C bis 100_¡C) ist
beispielsweise einem 180_¡F Bereich äquivalent.
Zur Konvertierung eines bestimmten
Temperaturwerts verwenden Sie hingegen tmpCnv().
Hinweis: Sie können den Katalog verwenden, um
Temperatureinheiten auszuwählen.
tPdf() Katalog >
tPdf(XWert,FreiGrad)⇒Zahl, wenn XWert eine Zahl ist, Liste,
wenn XWert eine Liste ist
Berechnet die Wahrscheinlichkeitsdichtefunktion (Pdf) einer
Student-t-Verteilung an einem bestimmten x-Wert für die
vorgegebenen FreiheitsgradeFreiGrad.
trace() Katalog >
trace(Quadratmatrix)⇒Ausdruck
Gibt die Spur (Summe aller Elemente der
Hauptdiagonalen) von Quadratmatrix zurück.

Try (Versuche) Katalog >
Try
block1
Else
block2
EndTry
Führt Block1 aus, bis ein Fehler auftritt. Wenn in
Block1 ein Fehler auftritt, wird die
Programmausführung an Block2 übertragen.
DieSystemvariable Fehlercode (errCode) enthält
den Fehlercode, der es dem Programm ermöglicht,
eine Fehlerwiederherstellung durchzuführen. Eine
Liste der Fehlercodes finden Sie unter “
Fehlercodes
und -meldungen
” (Seite 237).
Block1 und Block2 können einzelne Anweisungen
oder Reihen von Anweisungen sein, die durch das
Zeichen “:” voneinander getrennt sind.
Hinweis zum Eingeben des Beispiels: Anweisungen
für die Eingabe von mehrzeiligen Programm- und
Funktionsdefinitionen finden Sie im Abschnitt
„Calculator“des Produkthandbuchs.
Beispiel 2
Um die Befehle Versuche (Try),LöFehler (ClrErr) und
ÜbgebFeh (PassErr) im Betrieb zu sehen, geben Sie
das rechts gezeigte Programm eigenvals() ein. Sie
starten das Programm, indem Sie jeden der folgenden
Ausdrücke eingeben.
Hinweis: Siehe auch LöFehler, Seite 29, und
ÜbgebFeh, Seite 127.
Definiere eigenvals(a,b)=Prgm
© Programm eigenvals(A,B) zeigt die Eigenwerte
von A·B an
Try
Disp "A= ",a
Disp "B= ",b
Disp " "
Disp "Eigenwerte von A·B sind:",eigVl(a*b)
Else
If errCode=230 Then
Disp "Fehler: Produkt von A·B muss eine
quadratische Matrix sein"
ClrErr
Else
PassErr
EndIf
Alphabetische Auflistung 185

186 Alphabetische Auflistung
Try (Versuche) Katalog >
EndTry
EndPrgm
tTest Katalog >
tTest m0,Liste[,Häufigkeit[,Hypoth]]
(Datenlisteneingabe)
tTest m0,x,sx,n,[Hypoth]
(Zusammenfassende statistische Eingabe)
Führt einen Hypothesen-Test für einen einzelnen, unbekannten
Populationsmittelwert mdurch, wenn die Populations-
Standardabweichung sunbekannt ist. Eine Zusammenfassung
derErgebnisse wird in der Variable stat.results gespeichert.
(SieheSeite 170.)
Getestet wird H0:m=m0 in Bezug auf eine der folgenden
Alternativen:
Für Ha:m<m0 setzen Sie Hypoth<0
Für Ha:m ƒ m0 (Standard) setzen Sie Hypoth=0
Für Ha:m>m0 setzen Sie Hypoth>0
Informationen zu den Auswirkungen leerer Elemente in einer
Liste finden Sie unter “Leere (ungültige) Elemente” (Seite 229).
Ausgabevariable Beschreibung
stat.t (x N m0) / (stdev / sqrt(n))
stat.PVal Kleinste Signifikanzebene, bei der die Nullhypothese verworfen werden kann
stat.df Freiheitsgrade
stat.xStichprobenmittelwert der Datenfolge in Liste
stat.sx Stichproben-Standardabweichung der Datenfolge
stat.n Stichprobenumfang
tTest_2Samp (t-Test für zwei Stichproben) Katalog >
tTest_2Samp Liste1,Liste2[,Häufigkeit1[,Häufigkeit2[,Hypoth
[,Verteilt]]]]

tTest_2Samp (t-Test für zwei Stichproben) Katalog >
(Datenlisteneingabe)
tTest_2Samp v1,sx1,n1,v2,sx2,n2[,Hypoth[,Verteilt]]
(Zusammenfassende statistische Eingabe)
Berechnet einen t-Test für zwei Stichproben. Eine
Zusammenfassung der Ergebnisse wird in der Variable
stat.results gespeichert. (Seite 170.)
Getestet wird H0:m1 = m2 in Bezug auf eine der folgenden
Alternativen:
Für Ha:m1< m2 setzen Sie Hypoth<0
Für Ha:m1ƒ m2 (Standard) setzen Sie Hypoth=0
Für Ha:m1> m2 setzen Sie Hypoth>0
Verteilt=1verteilt Varianzen
Verteilt=0verteilt keine Varianzen
Informationen zu den Auswirkungen leerer Elemente in einer
Liste finden Sie unter “Leere (ungültige) Elemente” (Seite 229).
Ausgabevariable Beschreibung
stat.t Für die Differenz der Mittelwerte berechneter Standardwert
stat.PVal Kleinste Signifikanzebene, bei der die Nullhypothese verworfen werden kann
stat.df Freiheitsgrade für die t-Statistik
stat.x1, stat.x2Stichprobenmittelwerte der Datenfolgen in Liste 1 und Liste 2
stat.sx1, stat.sx2 Stichproben-Standardabweichungen der Datenfolgen in Liste 1 und Liste 2
stat.n1, stat.n2 Stichprobenumfang
stat.sp Die verteilte Standardabweichung. Wird berechnet, wenn Verteilt=1.
tvmFV() Katalog >
tvmFV(N,I,PV,Pmt,[PpY],[CpY],[PmtAt])⇒Wert
Finanzfunktion, die den Geld-Endwert berechnet.
Hinweis: Die in den TVM-Funktionen verwendeten
Argumente werden in der Tabelle der TVM-Argumente
(Seite 189) beschrieben. Siehe auch amortTbl(), Seite
12.
Alphabetische Auflistung 187

188 Alphabetische Auflistung
tvmI() Katalog >
tvmI(N,PV,Pmt,FV,[PpY],[CpY],[PmtAt])⇒Wert
Finanzfunktion, die den jährlichen Zinssatz
berechnet.
Hinweis: Die in den TVM-Funktionen verwendeten
Argumente werden in der Tabelle der TVM-Argumente
(Seite 189) beschrieben. Siehe auch amortTbl(), Seite
12.
tvmN() Katalog >
tvmN(I,PV,Pmt,FV,[PpY],[CpY],[PmtAt])⇒Wert
Finanzfunktion, die die Anzahl der Zahlungsperioden
berechnet.
Hinweis: Die in den TVM-Funktionen verwendeten
Argumente werden in der Tabelle der TVM-Argumente
(Seite 189) beschrieben. Siehe auch amortTbl(), Seite
12.
tvmPmt() Katalog >
tvmPmt(N,I,PV,FV,[PpY],[CpY],[PmtAt])⇒Wert
Finanzfunktion, die den Betrag der einzelnen
Zahlungen berechnet.
Hinweis: Die in den TVM-Funktionen verwendeten
Argumente werden in der Tabelle der TVM-Argumente
(Seite 189) beschrieben. Siehe auch amortTbl(), Seite
12.
tvmPV() Katalog >
tvmPV(N,I,Pmt,FV,[PpY],[CpY],[PmtAt])⇒Wert
Finanzfunktion, die den Barwert berechnet.
Hinweis: Die in den TVM-Funktionen verwendeten
Argumente werden in der Tabelle der TVM-Argumente
(Seite 189) beschrieben. Siehe auch amortTbl(), Seite
12.

TVM-
Argumente* Beschreibung Datentyp
N Anzahl der Zahlungsperioden reelle Zahl
I Jahreszinssatz reelle Zahl
PV Barwert reelle Zahl
Pmt Zahlungsbetrag reelle Zahl
FV Endwert reelle Zahl
PpY Zahlungen pro Jahr, Standard=1 Ganzzahl > 0
CpY Verzinsungsperioden pro Jahr, Standard=1 Ganzzahl > 0
PmtAt Zahlung fällig am Ende oder am Anfang der jeweiligen Zahlungsperiode,
Standard=Ende
Ganzzahl (0=Ende,
1=Anfang)
*Die Namen dieser TVM-Argumente ähneln denen der TVM-Variablen (z.B. tvm.pv und tvm.pmt), die
vom Finanzlöser der Calculator Applikation verwendet werden. Die Werte oder Ergebnisse der
Argumente werden jedoch von den Finanzfunktionen nicht unter den TVM-Variablen gespeichert.
TwoVar (Zwei Variable) Katalog >
TwoVar X,Y[,[Häuf] [,Kategorie,Mit]]
Berechnet die 2-Variablen-Statistik. Eine Zusammenfassung der
Ergebnisse wird in der Variablen stat.results gespeichert. (Seite
170.)
Alle Listen außer Mit müssen die gleiche Dimension besitzen.
Xund Ysind Listen von unabhängigen und abhängigen Variablen.
Häuf ist eine optionale Liste von Häufigkeitswerten. Jedes
Element inHäuf gibt die Häufigkeit für jeden entsprechenden X-
und Y-Datenpunkt an. Der Standardwert ist 1. Alle Elemente
müssen Ganzzahlen |0 sein.
Kategorie ist eine Liste von Kategoriecodes für die
entsprechenden Xund YDaten.
Mit ist eine Liste von einem oder mehreren Kategoriecodes. Nur
solche Datenelemente, deren Kategoriecode in dieser Liste
enthalten ist, sind in der Berechnung enthalten.
Ein leeres (ungültiges) Element in einer der Listen X,Freq oder
Kategorie führt zu einem Fehler im entsprechenden Element
aller dieser Listen. Ein leeres (ungültiges) Element in einer der
Listen X1 bis X20 führt zu einem Fehler im entsprechenden
Element aller dieser Listen. Weitere Informationen zu leeren
Elementen finden Sie (Seite 229).
Alphabetische Auflistung 189

190 Alphabetische Auflistung
Ausgabevariable Beschreibung
stat.vMittelwert der x-Werte
stat.Gx Summe der x-Werte
stat.Gx2 Summe der x2-Werte
stat.sx Stichproben-Standardabweichung von x
stat.sx Populations-Standardabweichung von x
stat.n Anzahl der Datenpunkte
stat.wMittelwert der y-Werte
stat.Gy Summe der y-Werte
stat.Gy2Summe der y2-Werte
stat.sy Stichproben-Standardabweichung von y
stat.sy Populations-Standardabweichung von y
Stat.Gxy Summe der x·y-Werte
stat.r Korrelationskoeffizient
stat.MinX Minimum der x-Werte
stat.Q1X 1. Quartil von x
stat.MedianX Median von x
stat.Q3X 3. Quartil von x
stat.MaxX Maximum der x-Werte
stat.MinY Minimum der y-Werte
stat.Q1Y 1. Quartil von y
stat.MedY Median von y
stat.Q3Y 3. Quartil von y
stat.MaxY Maximum der y-Werte
stat.G(x-v)2Summe der Quadrate der Abweichungen der x-Werte vom Mittelwert
stat.G(y-w)2Summe der Quadrate der Abweichungen der y-Werte vom Mittelwert

U
unitV() (Einheitsvektor) Katalog >
unitV(Vektor1)⇒Vektor
Gibt je nach der Form von Vektor1 entweder einen
Zeilen- oder einen Spalteneinheitsvektor zurück.
Vektor1 muss eine einzeilige oder eine einspaltige
Matrix sein.
Um das ganze Ergebnis zu sehen, drücken Sie £
und verwenden dann ¡und ¢, um den Cursor zu
bewegen.
unLock Katalog >
unLockVar1 [,Var2] [,Var3] ...
unLockVar.
Entsperrt die angegebenen Variablen bzw. die
Variablengruppe. Gesperrte Variablen können nicht
geändert oder gelöscht werden.
Siehe Lock, Seite 103, und getLockInfo(), Seite 81.
V
varPop() (Populationsvarianz) Katalog >
varPop(Liste[,Häufigkeitsliste])⇒Ausdruck
Ergibt die Populationsvarianz von Liste zurück.
Jedes Häufigkeitsliste-Element gewichtet die
Elemente von Liste in der gegebenen Reihenfolge
Alphabetische Auflistung 191

192 Alphabetische Auflistung
varPop() (Populationsvarianz) Katalog >
entsprechend.
Hinweis: Liste muss mindestens zwei Elemente
enthalten.
Wenn ein Element in einer der Listen leer (ungültig)
ist, wird dieses Element ignoriert. Das entsprechende
Element in der anderen Liste wird ebenfalls ignoriert.
Weitere Informationen zu leeren Elementen finden Sie
(Seite 229).
varSamp() (Stichproben-Varianz) Katalog >
varSamp(Liste[,Häufigkeitsliste])⇒Ausdruck
Ergibt die Stichproben-Varianz von Liste.
Jedes Häufigkeitsliste-Element gewichtet die
Elemente von Liste in der gegebenen Reihenfolge
entsprechend.
Hinweis: Liste muss mindestens zwei Elemente
enthalten.
Wenn ein Element in einer der Listen leer (ungültig)
ist, wird dieses Element ignoriert. Das entsprechende
Element in der anderen Liste wird ebenfalls ignoriert.
Weitere Informationen zu leeren Elementen finden Sie
(Seite 229).
varSamp(Matrix1[,Häufigkeitsmatrix])⇒Matrix
Gibt einen Zeilenvektor zurück, der die Stichproben-
Varianz jeder Spalte von Matrix1 enthält.
Jedes Häufigkeitsmatrix-Element gewichtet die
Elemente von Matrix1 in der gegebenen Reihenfolge
entsprechend.
Wenn ein Element in einer der Matrizen leer (ungültig)
ist, wird dieses Element ignoriert. Das entsprechende
Element in der anderen Matrix wird ebenfalls ignoriert.
Weitere Informationen zu leeren Elementen finden Sie
(Seite 229).
Hinweis: Matrix1 muss mindestens zwei Zeilen
enthalten.

W
warnCodes () Katalog >
warnCodes(Ausdr1,StatusVar)⇒Ausdruck
Wertet den Ausdruck Ausdr1 aus, gibt das Ergebnis
zurück und speichert die Codes aller erzeugten
Warnungen in der Listenvariablen StatusVar. Wenn
keine Warnungen erzeugt werden, weist diese
Funktion StatusVar eine leere Liste zu.
Ausdr1 kann jeder in TI-Nspire™ oder TI-Nspire™CAS
gültige mathematische Ausdruck sein. Ausdr1 kann
kein Befehl und keine Zuweisung sein.
StatusVar muss ein gültiger Variablenname sein.
Eine Liste der Warncodes und der zugehörigen
Meldungen finden Sie (Seite 245).
Um das ganze Ergebnis zu sehen, drücken Sie £
und verwenden dann ¡und ¢, um den Cursor zu
bewegen.
when() (Wenn) Katalog >
when(Bedingung,wahresErgebnis [,
falschesErgebnis][,unbekanntesErgebnis])
⇒Ausdruck
Gibt wahresErgebnis,falschesErgebnisoder
unbekanntesErgebnis zurück, je nachdem, ob die
Bedingung wahr, falsch oder unbekannt ist. Gibt die
Eingabe zurück, wenn zu wenige Argumente
angegeben werden.
Lassen Sie sowohl falschesErgebnis als auch
unbekanntesErgebnis weg, um einen Ausdruck nur
für den Bereich zu bestimmen, in dem Bedingung
wahr ist.
Geben Sie undef für falschesErgebnis an, um einen
Ausdruck zu bestimmen, der nur in einem Intervall
graphisch dargestellt werden soll.
when() ist hilfreich für die Definition rekursiver
Funktionen.
Alphabetische Auflistung 193

194 Alphabetische Auflistung
While Katalog >
While Bedingung
Block
EndWhile
Führt die in Block enthaltenen Anweisungen so lange
aus, wie Bedingung wahr ist.
Block kann eine einzelne Anweisung oder eine Serie
von Anweisungen sein, die durch “:” getrennt sind.
Hinweis zum Eingeben des Beispiels: Anweisungen
für die Eingabe von mehrzeiligen Programm- und
Funktionsdefinitionen finden Sie im Abschnitt
„Calculator“des Produkthandbuchs.
X
xor (Boolesches exklusives oder) Katalog >
BoolescherAusd1xorBoolescherAusdr2 ergibt
Boolescher Ausdruck
BoolescheListe1xorBoolescheListe2 ergibt
Boolesche Liste
BoolescheMatrix1xorBoolescheMatrix2 ergibt
Boolesche Matrix
Gibt wahr zurück, wenn Boolescher Ausdr1 wahr und
Boolescher Ausdr2 falsch ist und umgekehrt.
Gibt falsch zurück, wenn beide Argumente wahr oder
falsch sind. Gibt einen vereinfachten Booleschen
Ausdruck zurück, wenn eines der beiden Argumente
nicht zu wahr oder falsch ausgewertet werden kann.
Hinweis: Siehe or, Seite 125.
Ganzzahl1 xor Ganzzahl2 ⇒Ganzzahl
Vergleicht zwei reelle ganze Zahlen mit Hilfe einer
xor-Operation Bit für Bit. Intern werden beide ganzen
Zahlen in binäre 32-Bit-Zahlen mit Vorzeichen
konvertiert. Beim Vergleich der sich entsprechenden
Bits ist das Ergebnis 1, wenn eines der Bits (nicht
aber beide) 1 ist; das Ergebnis ist 0, wenn entweder
beide Bits 0 oder beide Bits 1 sind. Der
Im Hex-Modus:
Wichtig: Null, nicht Buchstabe O
Im Bin-Modus:

xor (Boolesches exklusives oder) Katalog >
zurückgegebene Wert stellt die Bit-Ergebnisse dar
und wird im jeweiligen Basis-Modus angezeigt.
Sie können die ganzen Zahlen in jeder Basis
eingeben. Für eine binäre oder hexadezimale Eingabe
ist das Präfix 0b bzw. 0h zu verwenden. Ohne Präfix
werden ganze Zahlen als dezimal behandelt
(Basis10).
Geben Sie eine dezimale ganze Zahl ein, die für eine
64-Bit-Dualform mit Vorzeichen zu groß ist, dann wird
eine symmetrische Modulo-Operation ausgeführt, um
den Wert in den erforderlichen Bereich zu bringen.
Weitere Informationen finden Sie unter 4Base2, Seite
21.
Hinweis: Siehe or, Seite 125.
Hinweis: Eine binäre Eingabe kann bis zu 64 Stellen
haben (das Präfix 0b wird nicht mitgezählt). Eine
hexadezimale Eingabe kann bis zu 16 Stellen
aufweisen.
Z
zeros() (Nullstellen) Katalog >
zeros(Ausdr,Var)⇒Liste
zeros(Ausdr,Var= Schätzwert)⇒Liste
Gibt eine Liste möglicher reeller Werte für Var zurück,
die Ausdr=0 ergeben. zeros() erreicht dies durch
Berechnung von exp4list(solve(Ausdr=0,Var),Var).
Für manche Zwecke ist die Ergebnisform von zeros()
günstiger als die von solve(). Allerdings kann die
Ergebnisform von zeros() folgende Lösungen nicht
ausdrücken: implizite Lösungen, Lösungen, für die
Ungleichungen erforderlich sind, sowie Lösungen, die
nicht Var betreffen.
Hinweis: Siehe auch cSolve(),cZeros() und solve().
zeros({Ausdr1,Ausdr2},
{VarOderSchätzwert1,VarOderSchätzwert2 [,… ]})
⇒Matrix
Gibt mögliche reelle Nullstellen für die simultanen
algebraischen Ausdrücke zurück, wobei jeder
VarOderSchätzwert einen gesuchten unbekannten
Wert angibt.
Alphabetische Auflistung 195

196 Alphabetische Auflistung
zeros() (Nullstellen) Katalog >
Sie haben die Option, eine Ausgangsschätzung für
eine Variable anzugeben. VarOderSchätzwert muss
immer die folgende Form haben:
Variable
– oder –
Variable =reell oder nicht-reelle Zahl
Beispiel: x ist gültig und x=3 ebenfalls.
Wenn alle Ausdrücke Polynome sind und Sie KEINE
Anfangsschätzwerte angeben, dann verwendet zeros
() das lexikalische Gröbner/Buchbergersche
Eliminationsverfahren beim Versuch, alle reellen
Nullstellen zu bestimmen.
Betrachten wir z.B. einen Kreis mit dem Radius r und
dem Ursprung als Mittelpunkt und einen weiteren
Kreis mit Radius r und dem Schnittpunkt des ersten
Kreises mit der positiven x-Achse als Mittelpunkt.
Verwenden Sie zeros() zur Bestimmung der
Schnittpunkte.
Wie in nebenstehendem Beispiel durch r
demonstriert, können simultane polynomische
Ausdrücke zusätzliche Variablen ohne Wert
aufweisen, die aber für numerische Werte stehen,
welche später eingesetzt werden können.
Jede Zeile der sich ergebenden Matrix stellt eine
alternative Nullstelle dar, wobei die Komponenten in
derselben Reihenfolge wie in der VarOderSchätzwert-
Liste angeordnet sind. Um eine Zeile zu erhalten ist
die Matrix nach [Zeile] zu indizieren.
Zeile 2 extrahieren:
Sie können auch (oder stattdessen) Unbekannte
angeben, die in den Ausdrücken nicht erscheinen.
Geben Sie zum Beispiel z als eine Unbekannte an, um
das vorangehende Beispiel auf zwei parallele, sich
schneidende Zylinder mit dem Radius r auszudehnen.
Die Zylinder-Nullstellen verdeutlichen, dass
Nullstellenfamilien “beliebige” Konstanten der Form
ck enthalten können, wobei k ein ganzzahliger Index
im Bereich 1 bis 255 ist.

zeros() (Nullstellen) Katalog >
Bei polynomialen Gleichungssystemen kann die
Berechnungsdauer oder Speicherbelastung stark von
der Reihenfolge abhängen, in der Sie die
Unbekannten angeben. Übersteigt Ihre erste Wahl die
Speicherkapazität oder Ihre Geduld, versuchen Sie,
die Variablen in den Ausdrücken und/oder der
VarOderSchätzwert-Liste umzuordnen.
Wenn Sie keine Schätzwerte angeben und ein
Ausdruck in einer Variablen kein Polynom ist, aber alle
Ausdrücke in ihren Unbekannten linear sind, so
verwendet zeros() das Gaußsche
Eliminationsverfahren beim Versuch, alle reellen
Nullstellen zu bestimmen.
Wenn ein System weder in all seinen Variablen
polynomial noch in seinen Unbekannten linear ist,
dann bestimmt zeros() mindestens eine Nullstelle
anhand eines iterativen Näherungsverfahrens. Hierzu
muss die Anzahl der Unbekannten gleich der
Ausdruckanzahl sein, und alle anderen Variablen in
den Ausdrücken müssen zu Zahlen vereinfachbar
sein.
Jede Unbekannte beginnt bei dem entsprechenden
geschätzten Wert, falls vorhanden; ansonsten
beginnt sie bei 0,0.
Suchen Sie anhand von Schätzwerten nach einzelnen
zusätzlichen Nullstellen. Für Konvergenz sollte ein
Schätzwert ziemlich nahe bei der Nullstelle liegen.
zInterval (z-Konfidenzintervall) Katalog >
zInterval s,Liste[,Häufigkeit[,KStufe]]
(Datenlisteneingabe)
zInterval s,v,n[,KStufe]
(Zusammenfassende statistische Eingabe)
Berechnet ein z-Konfidenzintervall. Eine Zusammenfassung der
Ergebnisse wird in der Variable stat.results gespeichert. (Seite
170.)
Informationen zu den Auswirkungen leerer Elemente in einer
Liste finden Sie unter “Leere (ungültige) Elemente” (Seite 229).
Alphabetische Auflistung 197

198 Alphabetische Auflistung
Ausgabevariable Beschreibung
stat.CLower, stat.CUpper Konfidenzintervall für den unbekannten Populationsmittelwert
stat.xStichprobenmittelwert der Datenfolge aus der zufälligen Normalverteilung
stat.ME Fehlertoleranz
stat.sx Stichproben-Standardabweichung
stat.n Länge der Datenfolge mit Stichprobenmittelwert
stat.sBekannte Populations-Standardabweichung für Datenfolge Liste
zInterval_1Prop (z-Konfidenzintervall für eine Proportion) Katalog >
zInterval_1Prop x,n[,KStufe]
Berechnet ein z-Konfidenzinterval für eine Proportion. Eine
Zusammenfassung der Ergebnisse wird in der Variable
stat.results gespeichert. (Seite 170.)
xist eine nicht negative Ganzzahl.
Informationen zu den Auswirkungen leerer Elemente in einer
Liste finden Sie unter “Leere (ungültige) Elemente” (Seite 229).
Ausgabevariable Beschreibung
stat.CLower, stat.CUpper Konfidenzintervall mit dem Konfidenzniveau der Verteilungswahrscheinlichkeit
stat.ÇDie berechnete Erfolgsproportion
stat.ME Fehlertoleranz
stat.n Anzahl der Stichproben in Datenfolge
zInterval_2Prop (z-Konfidenzintervall für zwei Proportionen) Katalog >
zInterval_2Prop x1,n1,x2,n2[,KStufe]
Berechnet das z-Konfidenzintervall für zwei Proportionen. Eine
Zusammenfassung der Ergebnisse wird in der Variable
stat.results gespeichert. (Seite 170.)
x1 und x2 sind nicht negative Ganzzahlen.
Informationen zu den Auswirkungen leerer Elemente in einer
Liste finden Sie unter “Leere (ungültige) Elemente” (Seite 229).

Ausgabevariable Beschreibung
stat.CLower, stat.CUpper Konfidenzintervall mit dem Konfidenzniveau der Verteilungswahrscheinlichkeit
stat.ÇDiff Die geschätzte Differenz zwischen den Proportionen
stat.ME Fehlertoleranz
stat.Ç1Geschätzte erste Stichprobenproportion
stat.Ç2Geschätzte zweite Stichprobenproportion
stat.n1 Stichprobenumfang in Datenfolge eins
stat.n2 Stichprobenumfang in Datenfolge zwei
zInterval_2Samp (z-Konfidenzintervall für zwei Stichproben) Katalog >
zInterval_2Samp s1,s2,Liste1,Liste2[,Häufigkeit1
[,Häufigkeit2,[KStufe]]]
(Datenlisteneingabe)
zInterval_2Samp s1,s2,v1,n1,v2,n2[,KStufe]
(Zusammenfassende statistische Eingabe)
Berechnet ein z-Konfidenzintervall für zwei Stichproben. Eine
Zusammenfassung der Ergebnisse wird in der Variable
stat.results gespeichert. (Seite 170.)
Informationen zu den Auswirkungen leerer Elemente in einer
Liste finden Sie unter “Leere (ungültige) Elemente” (Seite 229).
Ausgabevariable Beschreibung
stat.CLower, stat.CUpper Konfidenzintervall mit dem Konfidenzniveau der Verteilungswahrscheinlichkeit
stat.x1-x2 Stichprobenmittelwerte der Datenfolgen aus der zufälligen Normalverteilung
stat.ME Fehlertoleranz
stat.x1, stat.x2 Stichprobenmittelwerte der Datenfolgen aus der zufälligen Normalverteilung
stat.sx1, stat.sx2 Stichproben-Standardabweichungen für Liste 1 und Liste 2
stat.n1, stat.n2 Anzahl der Stichproben in Datenfolgen
stat.r1, stat.r2 Bekannte Populations-Standardabweichungen für Datenfolge Liste 1 und Liste 2
zTest Katalog >
zTest m0,s,Liste,[Häufigkeit[,Hypoth]]
Alphabetische Auflistung 199

200 Alphabetische Auflistung
zTest Katalog >
(Datenlisteneingabe)
zTest m0,s,v,n[,Hypoth]
(Zusammenfassende statistische Eingabe)
Führt einen z-Test mit der Häufigkeit Häufigkeitsliste durch.
Eine Zusammenfassung der Ergebnisse wird in der Variable
stat.results gespeichert. (Seite 170.)
Getestet wird H0:m=m0 in Bezug auf eine der folgenden
Alternativen:
Für Ha:m<m0 setzen Sie Hypoth<0
Für Ha:m ƒ m0 (Standard) setzen Sie Hypoth=0
Für Ha:m>m0 setzen Sie Hypoth>0
Informationen zu den Auswirkungen leerer Elemente in einer
Liste finden Sie unter “Leere (ungültige) Elemente” (Seite 229).
Ausgabevariable Beschreibung
stat.z (x N m0) / (s/ sqrt(n))
stat.P Value Kleinste Wahrscheinlichkeit, bei der die Nullhypothese verworfen werden kann
stat.xStichprobenmittelwert der Datenfolge in Liste
stat.sx Stichproben-Standardabweichung der Datenfolge. Wird nur für Dateneingabe zurückgegeben.
stat.n Stichprobenumfang
zTest_1Prop (z-Test für eine Proportion) Katalog >
zTest_1Prop p0,x,n[,Hypoth]
Berechnet einen z-Test für eine Proportion. Eine
Zusammenfassung der Ergebnisse wird in der Variable
stat.results gespeichert. (SieheSeite 170.)
xist eine nicht negative Ganzzahl.
Getestet wird H0:p = p0 in Bezug auf eine der folgenden
Alternativen:
Für Ha:p > p0 setzen Sie Hypoth>0
Für Ha:pƒp0 (Standard) setzen Sie Hypoth=0
Für Ha:p < p0 setzen Sie Hypoth<0
Informationen zu den Auswirkungen leerer Elemente in einer
Liste finden Sie unter “Leere (ungültige) Elemente” (Seite 229).

Ausgabevariable Beschreibung
stat.p0 Hypothetische Populations-Standardabweichung
stat.z Für die Proportion berechneter Standardwert
stat.PVal Kleinste Signifikanzebene, bei der die Nullhypothese verworfen werden kann
stat.ÇGeschätzte Stichprobenproportion
stat.n Stichprobenumfang
zTest_2Prop (z-Test für zwei Proportionen) Katalog >
zTest_2Prop x1,n1,x2,n2[,Hypoth]
Berechnet einen z-Test für zwei Proportionen. Eine
Zusammenfassung der Ergebnisse wird in der Variable
stat.results gespeichert. (Seite 170.)
x1 und x2 sind nicht negative Ganzzahlen.
Getestet wird H0:p1 = p2 in Bezug auf eine der folgenden
Alternativen:
Für Ha:p1 > p2 setzen Sie Hypoth>0
Für Ha:p1 ƒp2 (Standard) setzen Sie Hypoth=0
Für Ha:p < p0 setzen Sie Hypoth<0
Informationen zu den Auswirkungen leerer Elemente in einer
Liste finden Sie unter “Leere (ungültige) Elemente” (Seite 229).
Ausgabevariable Beschreibung
stat.z Für die Differenz der Proportionen berechneter Standardwert
stat.PVal Kleinste Signifikanzebene, bei der die Nullhypothese verworfen werden kann
stat.Ç1Geschätzte erste Stichprobenproportion
stat.Ç2Geschätzte zweite Stichprobenproportion
stat.ÇGeschätzte verteilte Stichprobenproportion
stat.n1, stat.n2 Stichprobenanzahl in Versuchen 1 und 2
zTest_2Samp (z-Test für zwei Stichproben) Katalog >
zTest_2Samp s1,s2,Liste1,Liste2[,Häufigkeit1[,Häufigkeit2
[,Hypoth]]]
(Datenlisteneingabe)
Alphabetische Auflistung 201

202 Alphabetische Auflistung
zTest_2Samp (z-Test für zwei Stichproben) Katalog >
zTest_2Samp s1,s2,v1,n1,v2,n2[,Hypoth]
(Zusammenfassende statistische Eingabe)
Berechnet einen z-Test für zwei Stichproben. Eine
Zusammenfassung der Ergebnisse wird in der Variable
stat.results gespeichert. (Seite 170.)
Getestet wird H0:m1 = m2 in Bezug auf eine der folgenden
Alternativen:
Für Ha:m1 < m2 setzen Sie Hypoth<0
Für Ha:m1ƒ m2 (Standard) setzen Sie Hypoth=0
Für Ha:m1 > m2 setzen Sie Hypoth>0
Informationen zu den Auswirkungen leerer Elemente in einer
Liste finden Sie unter “Leere (ungültige) Elemente” (Seite 229).
Ausgabevariable Beschreibung
stat.z Für die Differenz der Mittelwerte berechneter Standardwert
stat.PVal Kleinste Signifikanzebene, bei der die Nullhypothese verworfen werden kann
stat.x1, stat.x2Stichprobenmittelwerte der Datenfolgen in Liste 1 und Liste 2
stat.sx1, stat.sx2 Stichproben-Standardabweichungen der Datenfolgen in Liste 1 und Liste 2
stat.n1, stat.n2 Stichprobenumfang

Sonderzeichen
+ (addieren) +Taste
Ausdr1 +Ausdr2⇒Ausdruck
Gibt die Summe der beiden Argumente zurück.
Liste1 +Liste2⇒Liste
Matrix1 +Matrix2⇒Matrix
Gibt eine Liste (bzw. eine Matrix) zurück, die die
Summen der entsprechenden Elemente von Liste1
und Liste2 (oder Matrix1 und Matrix2) enthält.
Die Argumente müssen die gleiche Dimension
besitzen.
Ausdr +Liste1⇒Liste
Liste1 +Ausdr⇒Liste
Gibt eine Liste zurück, die die Summen von Ausdr
plus jedem Element der Liste1 enthält.
Ausdr + Matrix1⇒Matrix
Matrix1 +Ausdr⇒Matrix
Gibt eine Matrix zurück, in der Ausdr zu jedem
Element der Diagonalen von Matrix1 addiert ist.
Matrix1 muss eine quadratische Matrix sein.
Hinweis: Verwenden Sie .+ (Punkt Plus) zum Addieren
eines Ausdrucks zu jedem Element.
N(subtrahieren) -Taste
Ausdr1 NAusdr2⇒Ausdruck
Gibt Ausdr1 minus Ausdr2 zurück.
Sonderzeichen 203

204 Sonderzeichen
N(subtrahieren) -Taste
Liste1 NListe2⇒Liste
Matrix1 NMatrix2⇒Matrix
Subtrahiert die einzelnen Elemente aus Liste2 (oder
Matrix2) von denen in Liste1 (oder Matrix1) und gibt
die Ergebnisse zurück.
Die Argumente müssen die gleiche Dimension
besitzen.
Ausdr NListe1⇒Liste
Liste1 NAusdr⇒Liste
Subtrahiert jedes Element der Liste1 von Ausdr oder
subtrahiert Ausdr von jedem Element der Liste1 und
gibt eine Liste der Ergebnisse zurück.
Ausdr NMatrix1⇒Matrix
Matrix1 NAusdr⇒Matrix
Ausdr NMatrix1 gibt eine Matrix zurück, die Ausdr
multipliziert mit der Einheitsmatrix minus Matrix1 ist.
Matrix1 muss eine quadratische Matrix sein.
Matrix1 NAusdr gibt eine Matrix zurück, die Ausdr
multipliziert mit der Einheitsmatrix subtrahiert von
Matrix1 ist. Matrix1 muss eine quadratische Matrix
sein.
Hinweis: Verwenden Sie .N(Punkt Minus) zum
Subtrahieren eines Ausdrucks von jedem Element.
·(multiplizieren) rTaste
Ausdr1•Ausdr2⇒Ausdruck
Gibt das Produkt der beiden Argumente zurück.
Liste1•Liste2⇒Liste
Gibt eine Liste zurück, die die Produkte der
entsprechenden Elemente aus Liste1 und Liste2
enthält.
Die Listen müssen die gleiche Dimension besitzen.

·(multiplizieren) rTaste
Matrix1•Matrix2⇒Matrix
Gibt das Matrizenprodukt von Matrix1 und Matrix2
zurück.
Die Spaltenanzahl von Matrix1 muss gleich die
Zeilenanzahl von Matrix2 sein.
Ausdr•Liste1⇒Liste
Liste1•Ausdr⇒Liste
Gibt eine Liste zurück, die die Produkte von Ausdr und
jedem Element der Liste1 enthält.
Ausdr•Matrix1⇒Matrix
Matrix1•Ausdr⇒Matrix
Gibt eine Matrix zurück, die die Produkte von Ausdr
und jedem Element der Matrix1 enthält.
Hinweis: Verwenden Sie .·(Punkt-Multiplikation) zum
Multiplizieren eines Ausdrucks mit jedem Element.
⁄(dividieren) pTaste
Ausdr1 ⁄Ausdr2⇒Ausdruck
Gibt Ausdr1 dividiert durch Ausdr2 zurück.
Hinweis: Siehe auch Vorlage Bruch, Seite 5.
Liste1 ⁄Liste2⇒Liste
Gibt eine Liste der Elemente von Liste1 dividiert durch
Liste2 zurück.
Die Listen müssen die gleiche Dimension besitzen.
Ausdr àListe1 ⇒Liste
Liste1 àAusdr ⇒Liste
Gibt eine Liste der Elemente von Ausdr dividiert durch
Liste1 oderListe1 dividiert durch Ausdr zurück.
Matrix1 àAusdr ⇒Matrix
Gibt eine Matrix zurück, die die Quotienten
Matrix1àAusdr enthält.
Hinweis: Verwenden Sie ./(Punkt-Division) zum
Dividieren eines Ausdrucks durch jedes Element.
Sonderzeichen 205

206 Sonderzeichen
^ (Potenz) lTaste
Ausdr1 ^Ausdr2 ⇒Ausdruck
Liste1 ^Liste2 ⇒Liste
Gibt das erste Argument hoch dem zweiten Argument
zurück.
Hinweis: Siehe auch Vorlage Exponent, Seite 5.
Bei einer Liste wird jedes Element aus Liste1 hoch
dem entsprechenden Element aus Liste2
zurückgegeben.
Im reellen Bereich benutzen Bruchpotenzen mit
gekürztem ungeradem Nenner den reellen statt den
Hauptzeig im komplexen Modus.
Ausdr ^Liste1 ⇒Liste
Gibt Ausdr hoch den Elementen von Liste1 zurück.
Liste1 ^Ausdr ⇒Liste
Gibt die Elemente von Liste1 hoch Ausdr zurück.
Quadratmatrix1 ^Ganzzahl ⇒Matrix
Gibt Quadratmatrix1 hoch Ganzzahl zurück.
Quadratmatrix1 muss eine quadratische Matrix sein.
Ist Ganzzahl =L1, wird die inverse Matrix berechnet.
Ist Ganzzahl <L1, wird die inverse Matrix hoch der
entsprechenden positiven Zahl berechnet.
x2(Quadrat) qTaste
Ausdr12⇒Ausdruck
Gibt das Quadrat des Arguments zurück.
Liste12⇒Liste
Gibt eine Liste zurück, die die Produkte der Elemente
in Liste1 enthält.
Quadratmatrix12⇒Matrix
Gibt das Matriz-Quadrat von Quadratmatrix1 zurück.
Dies ist nicht gleichbedeutend mit der Berechnung

x2(Quadrat) qTaste
des Quadrats jedes einzelnen Elements. Verwenden
Sie .^2, um das Quadrat jedes einzelnen Elements zu
berechnen.
.+ (Punkt-Addition) ^+Tasten
Matrix1 .+ Matrix2 ⇒Matrix
Ausdr .+ Matrix1 ⇒Matrix
Matrix1 .+ Matrix2 gibt eine Matrix zurück, die
Summe jedes Elementpaars von Matrix1 und
Matrix2 ist.
Ausdr .+ Matrix1 gibt eine Matrix zurück, die die
Summe von Ausdruck und jedem Element von
Matrix1 ist.
.N(Punkt-Subt.) ^-Tasten
Matrix1 .NMatrix2 ⇒Matrix
Ausdr .NMatrix1 ⇒Matrix
Matrix1 .NMatrix2 gibt eine Matrix zurück, die die
Differenz jedes Elementpaars von Matrix1 und
Matrix2 ist.
Ausdr .NMatrix1 gibt eine Matrix zurück, die die
Differenz von Ausdr und jedem Element von Matrix1
ist.
.· (Punkt-Mult.) ^rTasten
Matrix1 .· Matrix2 ⇒Matrix
Ausdr .·Matrix1 ⇒Matrix
Matrix1 .· Matrix2 gibt eine Matrix zurück, die das
Produkt jedes Elementpaars von Matrix1 und
Matrix2 ist.
Ausdr .· Matrix1 gibt eine Matrix zurück, die das
Produkt von Ausdr und jedem Element von Matrix1
ist.
Sonderzeichen 207

208 Sonderzeichen
. / (Punkt-Division) ^p Tasten
Matrix1 ./Matrix2 ⇒Matrix
Ausdr ./Matrix1 ⇒Matrix
Matrix1 ./Matrix2 gibt eine Matrix zurück, die der
Quotient jedes Elementpaars von Matrix1 und
Matrix2 ist.
Ausdr ./Matrix1 gibt eine Matrix zurück, die der
Quotient von Ausdr und jedem Element von Matrix1
ist.
.^ (Punkt-Potenz) ^l Tasten
Matrix1 .^ Matrix2 ⇒Matrix
Ausdr .^ Matrix1 ⇒Matrix
Matrix1 .^ Matrix2 gibt eine Matrix zurück, in der
jedes Element aus Matrix2 Exponent des
entsprechenden Elements aus Matrix1 ist.
Ausdr .^ Matrix1 gibt eine Matrix zurück, in der jedes
Element aus Matrix1 Exponent von Ausdr ist.
L(Negation) vTaste
LAusdr1 ⇒Ausdruck
LListe1 ⇒Liste
LMatrix1 ⇒Matrix
Gibt die Negation des Arguments zurück.
Bei einer Liste oder Matrix werden alle Elemente
negiert zurückgegeben.
Ist das Argument eine binäre oder hexadezimale
ganze Zahl, ergibt die Negation das
Zweierkomplement.
Im Bin-Modus:
Wichtig: Null, nicht Buchstabe O
Um das ganze Ergebnis zu sehen, drücken Sie £
und verwenden dann ¡und ¢, um den Cursor zu
bewegen.

% (Prozent) /k Tasten
Ausdr1 %⇒Ausdruck
Liste1 %⇒Liste
Matrix1 %⇒Matrix
Ergibt
Bei einer Liste oder einer Matrix wird eine Liste/Matrix
zurückgegeben, in der jedes Element durch 100
dividiert ist.
Hinweis: Erzwingen eines Näherungsergebnisses,
Handheld: Drücken Sie / ·.
Windows®: Drücken Sie Strg+Eingabetaste.
Macintosh®: Drücken “+Eingabetaste.
iPad®: Halten Sie die Eingabetaste gedrückt und
wählen Sie aus.
= (gleich) =Taste
Ausdr1 =Ausdr2⇒Boolescher Ausdruck
Liste1 =Liste2⇒Boolesche Liste
Matrix1 =Matrix2⇒Boolesche Matrix
Gibt wahr zurück, wenn Ausdr1 bei Auswertung gleich
Ausdr2 ist.
Gibt falsch zurück, wenn Ausdr1 bei Auswertung
ungleich Ausdr2 ist.
In allen anderen Fällen wird eine vereinfachte Form
der Gleichung zurückgegeben.
Bei Listen und Matrizen werden die Ergebnisse des
Vergleichs der einzelnen Elemente zurückgegeben.
Hinweis zum Eingeben des Beispiels: Anweisungen
für die Eingabe von mehrzeiligen Programm- und
Funktionsdefinitionen finden Sie im Abschnitt
„Calculator“des Produkthandbuchs.
Beispielfunktion mit den mathematischen
Vergleichssymbolen: =, ƒ,<,{,>,|
Ergebnis der graphischen Darstellung g(x)
Sonderzeichen 209

210 Sonderzeichen
= (gleich) =Taste
ƒ(ungleich) /= Tasten
Ausdr1 ƒAusdr2 ⇒Boolescher Ausdruck
Liste1 ƒListe2 ⇒Boolesche Liste
Matrix1 ƒMatrix2 ⇒Boolesche Matrix
Gibt wahr zurück, wenn Ausdr1 bei Auswertung ungleich Ausdr2
ist.
Gibt falsch zurück, wenn Ausdr1 bei Auswertung gleich Ausdr2
ist.
In allen anderen Fällen wird eine vereinfachte Form der
Gleichung zurückgegeben.
Bei Listen und Matrizen werden die Ergebnisse des Vergleichs
der einzelnen Elemente zurückgegeben.
Hinweis: Sie können diesen Operator über die Tastatur Ihres
Computers eingeben, indem Sie /= eintippen
Siehe Beispiel bei “=” (gleich).
< (kleiner als) /= Tasten
Ausdr1 <Ausdr2 ⇒Boolescher Ausdruck
Liste1 <Liste2 ⇒Boolesche Liste
Matrix1 <Matrix2 ⇒Boolesche Matrix
Gibt wahr zurück, wenn Ausdr1 bei Auswertung kleiner als
Ausdr2 ist.
Gibt falsch zurück, wenn Ausdr1 bei Auswertung größer oder
gleich Ausdr2 ist.
In allen anderen Fällen wird eine vereinfachte Form der
Gleichung zurückgegeben.
Siehe Beispiel bei “=” (gleich).

< (kleiner als) /= Tasten
Bei Listen und Matrizen werden die Ergebnisse des Vergleichs
der einzelnen Elemente zurückgegeben.
{(kleiner oder gleich) /= Tasten
Ausdr1 {Ausdr2 ⇒Boolescher Ausdruck
Liste1 {Liste2 ⇒Boolesche Liste
Matrix1 {Matrix2 ⇒Boolesche Matrix
Gibt wahr zurück, wenn Ausdr1 bei Auswertung kleiner oder
gleich Ausdr2 ist.
Gibt falsch zurück, wenn Ausdr1 bei Auswertung größer als
Ausdr2 ist.
In allen anderen Fällen wird eine vereinfachte Form der
Gleichung zurückgegeben.
Bei Listen und Matrizen werden die Ergebnisse des Vergleichs
der einzelnen Elemente zurückgegeben.
Hinweis: Sie können diesen Operator über die Tastatur Ihres
Computers eingeben, indem Sie das Tastenkürzel <=
Siehe Beispiel bei “=” (gleich).
> (größer als) /= Tasten
Ausdr1 >Ausdr2 ⇒Boolescher Ausdruck
Liste1 >Liste2 ⇒Boolesche Liste
Matrix1 >Matrix2 ⇒Boolesche Matrix
Gibt wahr zurück, wenn Ausdr1 bei Auswertung größer als
Ausdr2 ist.
Gibt falsch zurück, wenn Ausdr1 bei Auswertung kleiner oder
gleich Ausdr2 ist.
In allen anderen Fällen wird eine vereinfachte Form der
Gleichung zurückgegeben.
Bei Listen und Matrizen werden die Ergebnisse des Vergleichs
der einzelnen Elemente zurückgegeben.
Siehe Beispiel bei “=” (gleich).
|(größer oder gleich) /= Tasten
Ausdr1 |Ausdr2 ⇒Boolescher Ausdruck
Liste1 |Liste2 ⇒Boolesche Liste
Siehe Beispiel bei “=” (gleich).
Sonderzeichen 211

212 Sonderzeichen
|(größer oder gleich) /= Tasten
Matrix1 |Matrix2 ⇒Boolesche Matrix
Gibt wahr zurück, wenn Ausdr1 bei Auswertung größer oder
gleich Ausdr2 ist.
Gibt falsch zurück, wenn Ausdr1 bei Auswertung kleiner oder
gleich Ausdr2 ist.
In allen anderen Fällen wird eine vereinfachte Form der
Gleichung zurückgegeben.
Bei Listen und Matrizen werden die Ergebnisse des Vergleichs
der einzelnen Elemente zurückgegeben.
Hinweis: Sie können diesen Operator über die Tastatur Ihres
Computers eingeben, indem Sie das Tastenkürzel >=
⇒(logische Implikation) /= Tasten
BoolescherAusd1 ⇒BoolescherAusdr2 ergibt
Boolescher Ausdruck
BoolescheListe1 ⇒BoolescheLiset2 ergibt
Boolesche Liste
BoolescheMatrix1 ⇒BoolescheMatrix2 ergibt
Boolesche Matrix
Ganzzahl1 ⇒Ganzzahl2 ergibt Ganzzahl
Wertet den Ausdruck not <Argument1> or
<Argument2> aus und gibt „wahr“, „falsch“oder eine
vereinfachte Form des Arguments zurück.
Bei Listen und Matrizen werden die Ergebnisse des
Vergleichs der einzelnen Elemente zurückgegeben
Hinweis: Sie können diesen Operator über die
Tastatur Ihres Computers eingeben, indem Sie das
Tastenkürzel =>

⇔(logische doppelte Implikation, XNOR) /= Tasten
BoolescherAusdr1 ⇔BoolescherAusdr2 ergibt
Boolescher Ausdruck
BoolescheListe1 ⇔BoolescheLiset2 ergibt
Boolesche Liste
BoolescheMatrix1 ⇔BoolescheMatrix2 ergibt
Boolesche Matrix
Ganzzahl1 ⇔Ganzzahl2 ergibt Ganzzahl
Gibt die Negation einer XOR boleschen Operation auf
beiden Argumenten zurück. Gibt „wahr“, „falsch“oder
eine vereinfachte Form des Arguments zurück.
Bei Listen und Matrizen werden die Ergebnisse des
Vergleichs der einzelnen Elemente zurückgegeben.
Hinweis: Sie können diesen Operator über die
Tastatur Ihres Computers eingeben, indem Sie <=>
drücken
! (Fakultät) ºTaste
Ausdr1!⇒Ausdruck
Liste1!⇒Liste
Matrix1!⇒Matrix
Gibt die Fakultät des Arguments zurück.
Bei Listen und Matrizen wird eine Liste/Matrix mit der
Fakultät der einzelnen Elemente zurückgegeben.
& /k Tasten
String1 &String2 ⇒String
Gibt einen String zurück, der durch Anfügen von
String2 an String1 gebildet wurde.
Sonderzeichen 213

214 Sonderzeichen
d() (Ableitung) Katalog >
d(Ausdr1,Var[,Ordnung])⇒Ausdruck
d(Liste1,Var[,Ordnung])⇒Liste
d(Matrix1,Var[,Ordnung])⇒Matrix
Gibt die erste Ableitung des ersten Arguments
bezüglich der Variablen Var zurück.
Ordnung (sofern angegeben) muss eine ganze Zahl
sein. Ist die Ordnung kleiner als Null, ist das Ergebnis
eine Anti-Ableitung (Integration).
Hinweis: Sie können diese Funktion über die Tastatur
Ihres Computers eingeben, indem Sie derivative
(...)eintippen.
d() folgt nicht dem normalen
Auswertungsmechanismus, seine Argumente
vollständig zu vereinfachen und dann die
Funktionsdefinition auf diese vollständig
vereinfachten Argumente anzuwenden. Stattdessen
führt d() die folgenden Schritte aus:
1. Vereinfachung des zweiten Arguments nur so
weit, dass es nicht zu einer Nichtvariablen führt.
2. Vereinfachung des ersten Arguments nur so
weit, dass es jeden gespeicherten Wert für die in
Schritt 1 bestimmte Variable neu aufruft.
3. Bestimmung der symbolischen Ableitung des
Ergebnisses von Schritt 2 bezüglich der
Variablen aus Schritt 1.
Wenn die Variable aus Schritt 1 einen gespeicherten
Wert oder einen Wert hat, der durch den womit-
Operator („|“) spezifiziert ist, wird dieser Wert im
Ergebnis aus Schritt 3 ersetzt.
Hinweis: Siehe auch ErsteAbleitung,Seite 9;
ZweiteAbleitung,Seite 10; und n-teAbleitung,Seite
10.

‰() (Integral) Katalog >
‰(Ausdr1,Var[,Untere,Obere])⇒Ausdruck
‰(Ausdr1,Var[,Konstante])⇒Ausdruck
Gibt das Integral von Ausdr1 bezüglich der Variablen
Var von Untere bis Obere zurück.
Hinweis: Siehe auch Vorlage Bestimmtes Integral und
Vorlage Unbestimmtes Integral, Seite 10.
Hinweis: Sie können diese Funktion über die Tastatur
Ihres Computers eingeben, indem Sie Integral
(...)eintippen.
Gibt ein unbestimmtes Integral zurück, wenn
UntGreenze und ObGreenze nicht angegeben
werden. Eine symbolische Integrationskonstante wird
weggelassen, sofern Sie nicht das Argument
Konstante einfügen.
Gleichwertig gültige unbestimmte Integrale können
durch eine numerische Konstante voneinander
abweichen. Eine solche Konstante kann verborgen
sein - insbesondere, wenn ein unbestimmtes Integral
logarithmische oder inverse trigonometrische
Funktionen enthält. Außerdem werden manchmal
stückweise konstante Ausdrücke hinzugefügt, um
einem unbestimmten Integral über ein größeres
Intervall Gültigkeit zu verleihen als bei der üblichen
Formel.
‰() gibt sich selbst zurück bei Stücken von Ausdr1, die
es nicht als explizite endliche Kombination seiner
integrierten Funktionen und Operatoren bestimmen
kann.
Sind sowohl UntGreenze als auch ObGreenze
angegeben, wird versucht, Unstetigkeiten oder
unstetige Ableitungen im Intervall UntGreenze <Var <
ObGreenze zu finden, um das Intervall an diesen
Stellen unterteilen zu können.
Ist der Modus Auto oder Näherung auf Auto
eingestellt, wird eine numerische Integration
vorgenommen, wo dies möglich ist, wenn kein
unbestimmtes Integral oder kein Grenzwert ermittelt
werden kann.
Sonderzeichen 215

216 Sonderzeichen
‰() (Integral) Katalog >
Bei der Einstellung Approximiert wird die numerische
Integration, wo möglich, zuerst versucht.
Unbestimmte Integrale werden nur dann gesucht,
wenn die numerische Integration unzulässig ist oder
fehlschlägt.
Hinweis: Erzwingen eines Näherungsergebnisses,
Handheld: Drücken Sie / ·.
Windows®: Drücken Sie Strg+Eingabetaste.
Macintosh®: Drücken “+Eingabetaste.
iPad®: Halten Sie die Eingabetaste gedrückt und
wählen Sie aus.
‰() können verschachtelt werden, um Mehrfach-
Integrale zu bearbeiten. Die Integrationsgrenzen
können von außerhalb liegenden
Integrationsvariablen abhängen.
Hinweis: Siehe auch nInt(), Seite 118.
‡() (Quadratwurzel) /q Tasten
‡(Ausdr1)⇒Ausdruck
‡(Liste1)⇒Liste
Gibt die Quadratwurzel des Arguments zurück.
Bei einer Liste wird die Quadratwurzel für jedes
Element von Liste1 zurückgegeben.
Hinweis: Sie können diese Funktion über die Tastatur
Ihres Computers eingeben, indem Sie sqrt(...)
eintippen.
Hinweis: Siehe auch Vorlage Quadratwurzel, Seite 5.

Π() (ProdSeq) Katalog >
Π(Ausdr1,Var,Von,Bis)⇒Ausdruck
Hinweis: Sie können diese Funktion über die Tastatur
Ihres Computers eingeben, indem Sie prodSeq(...)
eintippen.
Wertet Ausdr1 für jeden Wert von Var zwischen Von
und Bis aus und gibt das Produkt der Ergebnisse
zurück.
Hinweis: Siehe auch Vorlage Produkt (Π), Seite 9.
Π(Ausdr1,Var,Von,VonN1)⇒1
Π(Ausdr1,Var,Von,Bis)⇒1/Π(Ausdr1,Var,Bis+1,
VonN1)if Bis <VonN1
Die verwendeten Produktformeln wurden ausgehend
von der folgenden Quelle entwickelt:
Ronald L. Graham, Donald E. Knuth, Oren Patashnik:
Concrete Mathematics: A Foundation for Computer
Science. Reading, Massachusetts: Addison-Wesley
1994.
G() (SumSeq) Katalog >
G(Ausdr1,Var,Von,Bis)⇒Ausdruck
Hinweis: Sie können diese Funktion über die Tastatur
Ihres Computers eingeben, indem Sie sumSeq(...)
eintippen.
Wertet Ausdr1 für jeden Wert von Var zwischen Von
und Bis aus und gibt die Summe der Ergebnisse
zurück.
Hinweis: Siehe auch Vorlage Summe, Seite 9.
Sonderzeichen 217

218 Sonderzeichen
G() (SumSeq) Katalog >
G(Ausdr1,Var,Von,VonN1)⇒0
G(Ausdr1,Var,Von,Bis)⇒LG(Ausdr1,Var,Bis+1,
VonN1)if Bis <VonN1
Die verwendeten Summenformeln wurden ausgehend
von der folgenden Quelle entwickelt:
Ronald L. Graham, Donald E. Knuth, Oren Patashnik:
Concrete Mathematics: A Foundation for Computer
Science. Reading, Massachusetts: Addison-Wesley
1994.
GInt() Katalog >
GInt(NPmt1,NPmt2,N,I,PV,[Pmt],[FV],[PpY],
[CpY],[PmtAt],[WertRunden])⇒Wert
GInt(NPmt1,NPmt2,AmortTabelle)⇒Wert
Amortisationsfunktion, die die Summe der Zinsen
innerhalb eines angegebenen Zahlungsbereichs
berechnet.
NPmt1 und NPmt2 definieren Anfang und Ende des
Zahlungsbereichs.
N,I,PV,Pmt,FV,PpY,CpY und PmtAt werden in der
TVM-Argumentetabelle (Seite 189) beschrieben.
• Wenn Sie Pmt nicht angeben, wird
standardmäßig Pmt=tvmPmt
(N,I,PV,FV,PpY,CpY,PmtAt)eingesetzt.
• Wenn Sie FV nicht angeben, wird
standardmäßig FV=0 eingesetzt.
• Die Standardwerte für PpY,CpY und PmtAt sind
dieselben wie bei den TVM-Funktionen.
WertRunden legt die Anzahl der Dezimalstellen für
das Runden fest. Standard=2.
GInt(NPmt1,NPmt2,AmortTable)berechnet die
Summe der Zinsen auf der Grundlage der
Amortisationstabelle AmortTabelle. Das Argument
AmortTabelle muss eine Matrix in der unter amortTbl

GInt() Katalog >
(), Seite 12, beschriebenen Form sein.
Hinweis: Siehe auch GPrn() auf dieser und Bal(), Seite
21.
GPrn() Katalog >
GPrn(NPmt1,NPmt2,N,I,PV,[Pmt],[FV],[PpY],
[CpY],[PmtAt],[WertRunden])⇒Wert
GPrn(NPmt1,NPmt2,AmortTabelle)⇒Wert
Amortisationsfunktion, die die Summe der
Tilgungszahlungen innerhalb eines angegebenen
Zahlungsbereichs berechnet.
NPmt1 und NPmt2 definieren Anfang und Ende des
Zahlungsbereichs.
N,I,PV,Pmt,FV,PpY,CpY und PmtAt werden in der
TVM-Argumentetabelle (Seite 189) beschrieben.
• Wenn Sie Pmt nicht angeben, wird
standardmäßig Pmt=tvmPmt
(N,I,PV,FV,PpY,CpY,PmtAt)eingesetzt.
• Wenn Sie FV nicht angeben, wird
standardmäßig FV=0 eingesetzt.
• Die Standardwerte für PpY,CpY und PmtAt sind
dieselben wie bei den TVM-Funktionen.
WertRunden legt die Anzahl der Dezimalstellen für
das Runden fest. Standard=2.
GPrn(NPmt1,NPmt2,AmortTabelle)berechnet die
Summe der gezahlten Tilgungsbeträge auf der
Grundlage der Amortisationstabelle AmortTabelle.
Das Argument AmortTabelle muss eine Matrix in der
unter amortTbl(), Seite 12, beschriebenen Form sein.
Hinweis: Siehe auch GInt() auf dieser und Bal(), Seite
21.
# (Umleitung) /k Tasten
#varNameString
Greift auf die Variable namens VarNameString zu. So
können Sie innerhalb einer Funktion Variablen unter Erzeugt oder greift auf die Variable xyz zu.
Sonderzeichen 219

220 Sonderzeichen
# (Umleitung) /k Tasten
Verwendung von Strings erzeugen.
Gibt den Wert der Variable (r) zurück, dessen Name
in Variable s1 gespeichert ist.
E(Wissenschaftliche Schreibweise) iTaste
MantisseEExponent
Gibt eine Zahl in wissenschaftlicher Schreibweise ein.
Die Zahl wird als Mantisse × 10Exponent interpretiert.
Tipp: Wenn Sie eine Potenz von 10 eingeben
möchten, ohne ein Dezimalwertergebnis zu
verursachen, verwenden Sie 10^Ganzzahl.
Hinweis: Sie können diesen Operator über die
Tastatur Ihres Computers eingeben, indem Sie @E
eintippen. Tippen Sie zum Beispiel 2.3@E4 ein, um
2.3E4 einzugeben.
g (Neugrad) ¹Taste
Ausdr1g⇒Ausdruck
Ausdr1g⇒Ausdruck
Liste1g⇒Liste
Matrix1g⇒Matrix
Diese Funktion gibt Ihnen die Möglichkeit, im Grad-
oder Bogenmaß-Modus einen Winkel in Neugrad
anzugeben.
Im Winkelmodus Bogenmaß wird Ausdr1 mit p/200
multipliziert.
Im Winkelmodus Grad wird Ausdr1 mit g/100
multipliziert.
Im Neugrad-Modus wird Ausdr1 unverändert
zurückgegeben.
Hinweis: Sie können dieses Sonderzeichen über die
Tastatur Ihres Computers eingeben, indem Sie @g
Im Grad-, Neugrad- oder Bogenmaß-Modus:

g (Neugrad) ¹Taste
eintippen.
R(Bogenmaß) ¹Taste
Ausdr1R⇒Ausdruck
Liste1R⇒Liste
Matrix1R⇒Matrix
Diese Funktion gibt Ihnen die Möglichkeit, im Grad-
oder Neugrad-Modus einen Winkel im Bogenmaß
anzugeben.
Im Winkelmodus Grad wird das Argument mit 180/p
multipliziert.
Im Winkelmodus Bogenmaß wird das Argument
unverändert zurückgegeben.
Im Neugrad-Modus wird das Argument mit 200/p
multipliziert.
Tipp: Verwenden Sie Rin einer Funktionsdefinition,
wenn Sie bei Ausführung der Funktion das Bogenmaß
frei von der Winkelmoduseinstellung erzwingen
möchten.
Hinweis: Sie können dieses Sonderzeichen über die
Tastatur Ihres Computers eingeben, indem Sie @r
eintippen.
Im Winkelmodus Grad, Neugrad oder Bogenmaß:
¡(Grad) ¹Taste
Ausdr1¡⇒Ausdruck
Liste1¡⇒Liste
Matrix1¡⇒Matrix
Diese Funktion gibt Ihnen die Möglichkeit, im
Neugrad- oder Bogenmaß-Modus einen Winkel in
Grad anzugeben.
Im Winkelmodus Bogenmaß wird das Argument mit
p/180 multipliziert.
Im Winkelmodus Grad wird das Argument
unverändert zurückgegeben.
Im Winkelmodus Neugrad wird das Argument mit
Im Winkelmodus Grad, Neugrad oder Bogenmaß:
Im Winkelmodus Bogenmaß:
Hinweis: Erzwingen eines Näherungsergebnisses,
Handheld: Drücken Sie / ·.
Windows®: Drücken Sie Strg+Eingabetaste.
Macintosh®: Drücken “+Eingabetaste.
iPad®: Halten Sie die Eingabetaste gedrückt und
wählen Sie aus.
Sonderzeichen 221

222 Sonderzeichen
¡(Grad) ¹Taste
10/9 multipliziert.
Hinweis: Sie können dieses Sonderzeichen über die
Tastatur Ihres Computers eingeben, indem Sie @d
eintippen.
¡, ', '' (Grad/Minute/Sekunde) /k Tasten
dd¡mm'ss.ss''⇒Ausdruck
ddEine positive oder negative Zahl
mmEine nicht negative Zahl
ss.ssEine nicht negative Zahl
Gibt dd+(mm/60)+(ss.ss/3600) zurück.
Mit einer solchen Eingabe auf der 60er-Basis können
Sie:
• Einen Winkel unabhängig vom aktuellen
Winkelmodus in Grad/Minuten/Sekunden
eingeben.
• Uhrzeitangaben in Stunden/Minuten/Sekunden
vornehmen.
Hinweis: Nach ss.ss werden zwei Apostrophe ('')
gesetzt, kein Anführungszeichen (").
Im Grad-Modus:
±(Winkel) /k Tasten
[Radius,±q_Winkel]⇒Vektor
(Eingabe polar)
[Radius,±q_Winkel,Z_Koordinate]⇒Vektor
(Eingabe zylindrisch)
[Radius,±q_Winkel,±q_Winkel]⇒Vektor
(Eingabe sphärisch)
Gibt Koordinaten als Vektor zurück, wobei die aktuelle
Einstellung für Vektorformat gilt: kartesisch,
zylindrisch oder sphärisch.
Hinweis: Sie können dieses Sonderzeichen über die
Tastatur Ihres Computers eingeben, indem Sie @<
eintippen.
Im Bogenmaß-Modus mit Vektorformat eingestellt
auf:
kartesisch
zylindrisch
sphärisch

±(Winkel) /k Tasten
(Größe ±Winkel)⇒komplexerWert
(Eingabe polar)
Dient zur Eingabe eines komplexen Werts in polarer
(r±q) Form. Der Winkel wird gemäß der aktuellen
Winkelmoduseinstellung interpretiert.
Im Winkelmodus Bogenmaß und Komplex-
Formatmodus “kartesisch”:
Hinweis: Erzwingen eines Näherungsergebnisses,
Handheld: Drücken Sie / ·.
Windows®: Drücken Sie Strg+Eingabetaste.
Macintosh®: Drücken “+Eingabetaste.
iPad®: Halten Sie die Eingabetaste gedrückt und
wählen Sie aus.
' (Ableitungsstrich)
ºTaste
Variable '
Variable ''
Gibt in einer Differentialgleichung einen
Ableitungsstrich ein. Ein Ableitungsstrich
kennzeichnet eine Differentialgleichung erster
Ordnung, zwei Ableitungsstriche kennzeichnen eine
Differentialgleichung zweiter Ordnung usw.
_ (Unterstrich als leeres Element)
Siehe “Leere (ungültige)
Elemente” , Seite 229.
_ (Unterstrich als Einheiten-Bezeichner) /_ Tasten
Ausdr_Einheit
Sonderzeichen 223

224 Sonderzeichen
_ (Unterstrich als Einheiten-Bezeichner) /_ Tasten
Kennzeichnet die Einheiten für einen Ausdr. Alle
Einheitennamen müssen mit einem Unterstrich
beginnen.
Sie können entweder vordefinierte Einheiten
verwenden oder Ihre eigenen erstellen. Eine Liste
vordefinierter Einheiten finden Sie im Katalog auf der
Registerkarte Einheiten-Konversion (Unit
Conversions). Sie können Einheitennamen aus dem
Katalog auswählen oder sie direkt eingeben.
Hinweis: Das Umrechnungssymbol 4können Sie im
Katalog finden. Klicken Sie auf und dann auf
Mathematische Operatoren.
Variable_
Besitzt Variable keinen Wert, so wird sie behandelt,
als würde sie eine komplexe Zahl darstellen. Die
Variable wird ohne das Zeichen _ standardmäßig als
reell behandelt.
Besitzt Variable einen Wert, so wird das Zeichen _
ignoriert und Variable behält ihren ursprünglichen
Datentyp bei.
Hinweis: Eine komplexe Zahl kann ohne
Unterstrich _ in Variablen gespeichert werden. Bei
Berechnungen wie cSolve() und cZeros() empfiehlt
sich allerdings die Verwendung von _, um beste
Ergebnisse zu erzielen.
z sei undefiniert:
4(konvertieren) /k Tasten
Ausdr_Einheit1 4_Einheit2⇒Ausdr_Einheit2
Konvertiert einen Ausdruck von einer Einheit in eine
andere.
Der Unterstrich _ kennzeichnet die Einheiten. Diese
Einheiten müssen sich in derselben Kategorie
befinden, z.B. Länge oder Fläche
Eine Liste vordefinierter Einheiten finden Sie im
Katalog auf der Registerkarte Einheiten-Konversion
(Unit Conversions):
• Sie können einen Einheitennamen aus der Liste
auswählen.
• Sie können den Konversionsoperator, 4, vom
Listenanfang verwenden.
Sie können die Einheitennamen auch manuell

4(konvertieren) /k Tasten
eingeben. Um bei der Eingabe von Einheitennamen
auf dem Handheld “_” einzugeben, drücken Sie
/_.
Hinweis: Verwenden Sie zum Konvertieren von
Temperatureinheiten tmpCnv() und @tmpCnv().
DerKonvertierungsoperator 4ist nicht für
Temperatureinheiten anwendbar.
10^() Katalog >
10^(Ausdr1)⇒Ausdruck
10^(Liste1)⇒Liste
Gibt 10 hoch Argument zurück.
Bei einer Liste wird 10 hoch jedem Element von Liste1
zurückgegeben.
10^(Quadratmatrix1)⇒Quadratmatrix
Ergibt 10 hoch Quadratmatrix1. Dies ist nicht
gleichbedeutend mit der Berechnung von 10 hoch
jedem Element. Näheres zur Berechnungsmethode
finden Sie im Abschnitt cos().
Quadratmatrix1 muss diagonalisierbar sein. Das
Ergebnis enthält immer Fließkommazahlen.
^/(Kehrwert) Katalog >
Ausdr1 ^/⇒Ausdruck
Liste1 ^/⇒Liste
Gibt den Kehrwert des Arguments zurück.
Bei einer Liste wird für jedes Element von Liste1 der
Kehrwert zurückgegeben.
Quadratmatrix1 ^/⇒Quadratmatrix
Gibt die Inverse von Qudratmatrix1 zurück.
Quadratmatrix1 muss eine nicht-singuläre
quadratische Matrix sein.
Sonderzeichen 225

226 Sonderzeichen
| (womit-Operator) /k Tasten
Ausdr |BoolescherAusdr1 [andBoolescherAusdr2]...
Ausdr |BoolescherAusdr1 [orBoolescherAusdr2]...
Das womit-Symbol („|“) dient als binärer Operator.
Der Operand links von | ist ein Ausdruck. Der Operand
rechts von | gibt eine oder mehrere Relationen an, die
auf die Vereinfachung des Ausdrucks einwirken
sollen. Bei Angabe mehrerer Relationen nach dem |
sind diese jeweils mit logischen „and“oder „or“
Operatoren miteinander zu verketten.
Der womit-Operator erfüllt drei Grundaufgaben:
• Ersetzung
• Intervallbeschränkung
• Ausschließung
Ersetzungen werden in Form einer Gleichung
angegeben, wie etwa x=3 oder y=sin(x). Am
wirksamsten ist eine Ersetzung, wenn die linke eine
einfache Variable ist. Ausdr |Variable =Wert bewirkt,
dass jedes Mal, wenn Variable in Ausdr vorkommt,
Wert ersetzt wird.
Intervallbeschränkungen werden in Form einer oder
mehrerer mit logischen „and“oder „or“Operatoren
verknüpfte Ungleichungen angegeben.
Intervallbeschränkungen ermöglichen auch
Vereinfachungen, die andernfalls ungültig oder nicht
berechenbar wären.
Ausschließungen verwenden den relationalen
Operator „ungleich“(/= oder ƒ), um einen bestimmten
Wert bei der Operation auszuschließen. Sie dienen
hauptsächlich zum Ausschließen einer exakten
Lösung bei Verwendung von cSolve(),cZeros(),fMax

| (womit-Operator) /k Tasten
(),fMin(),solve(),zeros() usw.
&(speichern) /h Taste
Ausdr &Var
Liste &Var
Matrix &Var
Expr &Funktion(Param1,...)
List &Funktion(Param1,...)
Matrix &Funktion(Param1,...)
Wenn Variable Var noch nicht existiert, wird Var
erzeugt und auf Ausdr,Liste oder Matrix initialisiert.
Wenn Var existiert und nicht gesperrt oder geschützt
ist, wird der Variableninhalt durch Ausdr,Liste oder
Matrix ersetzt.
Tipp: Wenn Sie symbolische Rechnungen mit
undefinierten Variablen vornehmen möchten, sollten
Sie vermeiden, Werte in Variablen mit häufig
benutzten Einzeichennamen abzuspeichern (etwa
den Variablen a, b, c, x, y, z usw.).
Hinweis: Sie können diesen Operator über die
Tastatur Ihres Computers eingeben, indem Sie das
Tastenkürzel =: eintippen. Geben Sie zum Beispiel
pi/4 =: myvar ein.
:= (zuweisen) /t Tasten
Var := Ausdr
Var := Liste
Var := Matrix
Function(Param1,...) := Ausdr
Function(Param1,...) := Liste
Function(Param1,...) := Matrix
Wenn Variable Var noch nicht existiert, wird Var
erzeugt und auf Ausdr,Liste oder Matrix initialisiert.
Wenn Var existiert und nicht gesperrt oder geschützt
ist, wird der Variableninhalt durch Ausdr,Liste bzw.
Sonderzeichen 227

228 Sonderzeichen
:= (zuweisen) /t Tasten
Matrix ersetzt.
Tipp: Wenn Sie symbolische Rechnungen mit
undefinierten Variablen vornehmen möchten, sollten
Sie vermeiden, Werte in Variablen mit häufig
benutzten Einzeichennamen abzuspeichern (etwa
den Variablen a, b, c, x, y, z usw.).
© (Kommentar) /k Tasten
©[Text]
©verarbeitet Text als Kommentarzeile und
ermöglicht so die Eingabe von Anmerkungen zu von
Ihnen erstellten Funktionen und Programmen.
©kann an den Zeilenanfang oder an eine beliebige
Stelle der Zeile gesetzt werden. Alles, was rechts von
©bis zum Zeilenende steht, gilt als Kommentar.
Hinweis zum Eingeben des Beispiels: Anweisungen
für die Eingabe von mehrzeiligen Programm- und
Funktionsdefinitionen finden Sie im Abschnitt
„Calculator“des Produkthandbuchs.
0b, 0h 0B Tasten, 0H Tasten
0b binäre_Zahl
0h hexadezimale_Zahl
Kennzeichnet eine Dual- bzw. Hexadezimalzahl. Zur
Eingabe einer Dual- oder Hexadezimalzahl muss
unabhängig vom jeweiligen Basis-Modus das Präfix
0b bzw. 0h verwendet werden. Eine Zahl ohne Präfix
wird als dezimal behandelt (Basis10).
Die Ergebnisse werden im jeweiligen Basis-Modus
angezeigt.
Im Dec-Modus:
Im Bin-Modus:
Im Hex-Modus:

Leere (ungültige) Elemente
Bei der Analyse von Daten der realen Welt liegt möglicherweise nicht immer ein vollständiger
Datensatz vor. TI-Nspire™CAS lässt leere bzw. ungültige Datenelemente zu, sodass Sie mit
den nahezu vollständigen Daten fortfahren können anstatt von vorn anfangen oder
unvollständige Fälle verwerfen zu müssen.
Ein Beispiel für Daten mit leeren Elementen finden Sie im Kapitel Lists& Spreadsheet unter
“
Tabellendaten grafisch darstellen
”.
Mit der Funktion delVoid() können Sie leere Elemente aus einer Liste löschen. Die Funktion
isVoid() sucht nach leeren Elementen. Einzelheiten finden Sie unter delVoid(), Seite 54, und
isVoid(), Seite 92.
Hinweis: Um ein leeres Element manuell in einen mathematischen Ausdruck einzugeben, geben Sie “_”
oder das Schlüsselwort void ein. Das Schlüsselwort void wird bei der Auswertung des Ausdrucks
automatisch in das Symbol “_” konvertiert. Um “_” auf dem Handheld einzugeben, drücken Sie / _.
Kalkulationen mit ungültigen Elementen
Bei der Mehrzahl aller Kalkulationen, die ein
ungültiges Element enthalten, wird das Ergebnis
ebenfalls ungültig sein. Sonderfälle sind nachstehend
aufgeführt.
Listenargumente, die ungültige Elemente enthalten
Die folgenden Funktionen und Befehle ignorieren
(überspringen) ungültige Elemente, die in
Listenargumenten gefunden werden.
count,countIf,cumulativeSum,freqTable4list,
frequency,max,mean,median,product,stDevPop,
stDevSamp,sum,sumIf,varPop und varSamp sowie
Regressionskalkulationen, OneVar,TwoVar und
FiveNumSummary Statistiken, Konfidenzintervalle
und statistische Tests
Leere (ungültige)Elemente 229

230 Leere (ungültige)Elemente
Listenargumente, die ungültige Elemente enthalten
SortA und SortD verschieben alle ungültigen
Elemente im ersten Argument nach unten.
In Regressionen sorgt ein ungültiges Element in einer
Liste X oder Y dafür, dass auch das entsprechende
Element im Residuum ungültig ist.
Eine ausgelassene Kategorie in Regressionen sorgt
dafür, dass das entsprechende Element im Residuum
ungültig ist.

Listenargumente, die ungültige Elemente enthalten
Eine Häufigkeit von 0 in Regressionen führt dazu,
dass das entsprechende Element im Residuum
ungültig ist.
Leere (ungültige)Elemente 231

232 Tastenkürzel zum Eingeben mathematischer Ausdrücke
Tastenkürzel zum Eingeben mathematischer
Ausdrücke
Tastenkürzel ermöglichen es Ihnen, Elemente mathematischer Ausdrücke über die Tastatur
einzugeben anstatt über den Katalog oder die Sonderzeichenpalette. Um beispielsweise den
Ausdruck ‡6 einzugeben, können Sie sqrt(6) in die Eingabezeile eingeben. Wenn Sie ·
drücken, ändert sich der Ausdruck sqrt(6) in ‡6. Einige Tastenkürzel sind sowohl für die
Eingabe über das Handheld als auch über die Computertastatur nützlich. Andere sind
hauptsächlich für die Computertastatur hilfreich.
Von Handheld oder Computertastatur
Sonderzeichen: Tastenkürzel:
ppi
qtheta
ˆinfinity
{<=
|>=
ƒ/=
⇒(logische Implikation) =>
⇔(logische doppelte Implikation, XNOR) <=>
&(Operator speichern) =:
|| (Absolutwert) abs(...)
‡() sqrt(...)
d() derivative(...)
‰() integral(...)
G() (Vorlage Summe) sumSeq(...)
Π() (Vorlage Produkt) prodSeq(...)
sin/(),cos/(), ... arcsin(...),arccos(...), ...
@Liste() deltaList(...)
@tmpCnv() deltaTmpCnv(...)

Von der Computertastatur
Sonderzeichen: Tastenkürzel:
c1,c2, ... (Konstanten) @c1,@c2, ...
n1,n2, ... (ganzzahlige Konstanten) @n1,@n2, ...
i(imaginäre Konstante) @i
e(natürlicher Logarithmus zur Basis e) @e
E(wissenschaftliche Schreibweise) @E
T(Transponierte) @t
R(Bogenmaß) @r
¡(Grad) @d
g(Neugrad) @g
±(Winkel) @<
4(Umwandlung) @>
4Decimal,4approxFraction() usw. @>Decimal,@>approxFraction() usw.
Tastenkürzel zum Eingeben mathematischer Ausdrücke 233

234 Auswertungsreihenfolge in EOS™ (Equation Operating System)
Auswertungsreihenfolge in EOS™ (Equation
Operating System)
Dieser Abschnitt beschreibt das Equation Operating System (EOS™), das von der
TI-Nspire™CAS Technologie genutzt wird. Zahlen, Variablen und Funktionen werden in
einer einfachen Abfolge eingegeben. Die EOS™ Software wertet Ausdrücke und
Gleichungen anhand der gesetzten Klammern und der im Folgenden beschriebenen
Priorität der Operatoren aus.
Auswertungsreihenfolge
Ebene Operator
1 Klammern: rund (), eckig [], geschweift {}
2 Umleitung (#)
3 Funktionsaufrufe
4 Postfix-Operatoren: Grad-Minuten-Sekunden (-,',"), Fakultät (!), Prozent (%),
Bogenmaß (QRS), Tiefstellen ([]), Transponieren (T)
5 Potenzieren, Potenzoperator (^)
6 Negation (L)
7 Stringverkettung (&)
8 Multiplikation (¦), Division (/)
9 Addition (+), Subtraktion (-)
10 Gleichheitsbeziehungen: gleich (=), ungleich (ƒoder /=), kleiner als (<), kleiner
oder gleich ({oder <=), größer als (>), größer oder gleich (|oder >=)
11 Logisches Nicht: not
12 Logische Konjunktion: and
13 Logisch or
14 xor,nor,nand
15 logische Implikation, (⇒)
16 Logische doppelte Implikation, XNOR (⇔)
17 womit-Operator („|“)
18 Speichern (&)

Klammern (rund, eckig, geschweift)
Alle Berechnungen, die in Klammern – runde, eckige oder geschweifte – gesetzt sind, werden
als erste ausgewertet. Ein Beispiel: Im Ausdruck 4(1+2) wertet die EOS™ Software zunächst
1+2 aus, da dieser Teil des Ausdrucks in Klammern steht. Das Ergebnis 3 wird dann mit 4
multipliziert.
Die Anzahl der öffnenden und schließenden Klammern eines jeden Typs muss innerhalb
eines Ausdrucks oder einer Gleichung jeweils übereinstimmen. Anderenfalls wird eine
Fehlermeldung mit dem fehlenden Element angezeigt. Beim Ausdruck (1+2)/(3+4 erscheint
beispielsweise die Fehlermeldung „) fehlt“.
Hinweis: In der TI-Nspire™CAS Software können Sie Ihre eigenen Funktionen definieren. Daher wird eine
Variable, auf die ein Ausdruck in Klammern folgt, als Funktionsaufruf und nicht wie sonst implizit als
Multiplikation interpretiert. Der Ausdruck a(b+c) steht beispielsweise für den Wert der Funktion a mit dem
Argument b+c. Um den Ausdruck b+c mit der Variablen a zu multiplizieren, verwenden Sie die explizite
Multiplikation: a∗(b+c).
Umleitung
Der Umleitungsoperator # wandelt eine Zeichenfolge (String) in einen Variablen- oder
Funktionsnamen um. Mit #(“x”&”y”&”z”) wird beispielsweise der Variablenname xyz erstellt.
Mithilfe der Umleitung können Sie auch Variablen aus einem Programm heraus erstellen und
modifizieren. Beispiel: Wenn 10"r und “r”"s1, dann #s1=10.
Postfix-Operatoren
Postfix-Operatoren sind Operatoren, die direkt nach einem Argument stehen, zum Beispiel
5!, 25%oder 60¡15' 45". Argumente, auf die ein Postfix-Operator folgt, werden auf der
vierten Prioritätsebene ausgewertet. Beispiel: Im Ausdruck 4^3! wird zuerst 3! ausgewertet.
Das Ergebnis 6 wird dann als Exponent für 4 verwendet, und das Endergebnisist 4096.
Potenz
Potenzen (^) und elementweise Potenzen (.^) werden von rechts nach links ausgewertet.
Der Ausdruck 2^3^2 wird zum Beispiel wie 2^(3^2) ausgewertet, hat also das Ergebnis 512.
Er unterscheidet sich damit vom Ausdruck (2^3)^2 mit dem Ergebnis 64.
Negation
Zum Eingeben einer negativen Zahl drücken Sie vund geben dann die Zahl ein. Postfix-
Operatoren und Potenzen werden vor der Negation ausgewertet. Das Ergebnis von Lx2 ist
zum Beispiel eine negative Zahl; L92=L81. Um eine negative Zahlzu quadrieren, verwenden
Sie Klammern: (L9)2, Ergebnis 81.
Auswertungsreihenfolge in EOS™ (Equation Operating System) 235

236 Auswertungsreihenfolge in EOS™ (Equation Operating System)
Einschränkung („|“)
Das Argument nach dem womit-Operator „|“stellt eine Reihe von Einschränkungen dar, die
beeinflussen, wie das Argument vor dem Operator ausgewertet wird.

Fehlercodes und -meldungen
Wenn ein Fehler auftritt, wird sein Code der Variablen errCode zugewiesen.
Benutzerdefinierte Programme und Funktionen können errCode auswerten, um die
Ursache eines Fehlers zu bestimmen. Ein Beispiel für die Benutzung von errCode finden Sie
als Beispiel 2 unter dem Befehl Versuche (Try) (Seite 185).
Hinweis: Einigen Fehlerbedingungen gelten nur für TI-Nspire™ CAS Produkte, andere
gelten nur für TI-Nspire™ Produkte.
Fehlercode Beschreibung
10 Funktion ergab keinen Wert
20 Test ergab nicht WAHR oder FALSCH.
Generell können nicht definierte Variablen nicht verglichen werden. Beispielsweise würde der Test 'If
a<b' diesen Fehler auslösen, wenn entweder a oder b zum Zeitpunkt der Ausführung der If-Anweisung
nicht definiert ist.
30 Argument darf kein Verzeichnisname sein.
40 Argumentfehler
50 Argumente passen nicht
Zwei oder mehr Argumente müssen vom gleichen Typ sein.
60 Argument muss Boolescher Ausdruck oder ganze Zahl sein
70 Argument muss Dezimalzahl sein
90 Argument muss Liste sein
100 Argument muss Matrix sein
130 Argument muss String sein
140 Argument muss Variablenname sein.
Vergewissern Sie sich, dass der Name:
• nicht mit einer Ziffer beginnt
• keine Leerzeichen oder Sonderzeichen enthält
• keine unzulässigen Unterstriche oder Punkte enthält
• die maximale Zeichenlänge nicht überschreitet
Weitere Einzelheiten finden Sie im Abschnitt Calculator in der Dokumentation.
160 Argument muss Ausdruck sein
165 Batteriespannung zu niedrig zum Senden/Empfangen
Setzten Sie vor dem Senden oder Empfangen neue Batterien ein.
170 Grenze
Fehlercodes und -meldungen 237

238 Fehlercodes und -meldungen
Fehlercode Beschreibung
Um das Suchintervall zu definieren, muss die untere Grenze kleiner sein als die obere Grenze.
180 Abbruch
Die Taste doder cwurde gedrückt, während eine lange Berechnung oder ein Programm
ausgeführt wurde.
190 Zirkuläre Definition
Diese Meldung wird angezeigt, um zu verhindern, dass durch unendliches Ersetzen von
Variablenwerten bei der Vereinfachung der Platz im Hauptspeicher nicht ausreicht. Dieser Fehler wird
beispielsweise durch 'a+1->a' ausgelöst, wenn a eine nicht definierte Variable ist.
200 Zusammengesetzter Ausdruck ungültig
Diese Fehlermeldung würde zum Beispiel durch 'solve(3x^2-4=0,x) | x<0 or x>5' ausgelöst werden,
weil die Einschränkung durch “oder (or)” anstatt “und (and)” getrennt wird.
210 Ungültiger Datentyp
Ein Argument weist einen falschen Datentyp auf.
220 Abhängiger Grenzwert
230 Dimension
Ein Listen- oder Matrixindex ist ungültig. Wenn beispielsweise die Liste {1,2,3,4} in L1 gespeichert wird,
ist L1[5] ein Dimensionsfehler, weil L1 nur vier Elemente enthält.
235 Dimensionsfehler. Nicht genügend Elemente in den Listen.
240 Dimensionsfehler
Zwei oder mehr Argumente müssen die gleiche Dimension haben. So ist beispielsweise [1,2]+[1,2,3] ein
Dimensionsfehler, weil die Matrizen eine unterschiedliche Anzahl von Elementen enthalten.
250 Division durch Null
260 Bereichsfehler
Ein Argument muss in einem festgelegten Bereich sein. rand(0) ist zum Beispiel nicht gültig.
270 Variablenname doppelt vergeben
280 Else und ElseIf außerhalb If..EndIf-Block ungültig
290 Zu EndTry fehlt passende Else-Anweisung
295 Zu viele Iterationen
300 2- oder 3-elementige Liste bzw. Matrix erwartet
310 Das erste Argument von nSolve muss eine Gleichung in einer einzigen Variablen sein. Es darf keine
andere Variable ohne Wert außer der interessierenden Variablen enthalten.
320 1. Argument von Löse oder cLöse muss Gleichung/Ungleichung sein
Löse(3x-4,x) ist beispielsweise ungültig, weil das erste Argument keine Gleichung ist.

Fehlercode Beschreibung
345 Einheiten passen nicht zusammen
350 Index nicht im gültigen Bereich
360 Umleitungs-String kein gültiger Variablenname
380 Undefinierte Antw
Entweder hat die vorangegangene Berechnung keine Antw (Ans) erzeugt oder es fand keine
vorangegangene Berechnung statt.
390 Zuweisung ungültig
400 Zuweisungswert ungültig
410 Befehl ungültig
430 Ungültig für aktuelle Modus-Einstellungen
435 Schätzwert ungültig
440 Implizierte Multiplikation ungültig
Beispielsweise ist 'x(x+1)' ungültig, während 'x*(x+1)' eine korrekte Syntax ist. So wird eine
Verwechslung zwischen impliziter Multiplikation und Funktionsaufrufen vermieden.
450 In Funktion oder aktuellem Ausdruck ungültig
In einer benutzerdefinierten Funktion sind nur bestimmte Befehle zulässig.
490 In Try..EndTry Block ungültig
510 Liste oder Matrix ungültig
550 Ungültig außerhalb Funktion oder Programm
Einige Befehle sind nur in einer Funktion oder einem Programm gültig. Beispielsweise kann Lokal
(Local) nur in einer Funktion oder einem Programm verwendet werden.
560 Nur in Loop..EndLoop-, For..EndFor- oder While..EndWhile-Block gültig
Beispielsweise ist der Befehl Abbruch (Exit) nur in diesen Schleifenblöcken gültig.
565 Nur in einem Programm gültig
570 Ungültiger Pfadname
\var ist beispielsweise ungültig.
575 Polarkomplex ungültig
580 Programmaufruf ungültig
Programme können nicht innerhalb von Funktionen oder Ausdrücken wie z.B. '1+p(x)' aufgerufen
werden, wenn p ein Programm ist.
600 Tabelle ungültig
605 Verwendung der Einheiten ungültig
Fehlercodes und -meldungen 239

240 Fehlercodes und -meldungen
Fehlercode Beschreibung
610 Variablenname in Lokal-Anweisung ungültig
620 Variablen- bzw. Funktionsname ungültig
630 Variablenverweis ungültig
640 Vektorsyntax ungültig
650 Kabelübertragung gestört
Eine Übertragung zwischen zwei Geräten wurde nicht abgeschlossen. Überprüfen Sie, dass das Kabel
an beiden Seiten fest angeschlossen ist.
665 Diagonalisierung der Matrix nicht möglich
670 Wenig Speicher
1. Löschen Sie Daten in diesem Dokument
2. Speichern und schließen Sie dieses Dokument
Wenn 1 und 2 fehlschlagen, nehmen Sie die Batterien heraus und setzen Sie sie wieder ein
672 Ressourcenauslastung
673 Ressourcenauslastung
680 fehlt (
690 fehlt )
700 fehlt “
710 fehlt ]
720 fehlt }
730 Anfang oder Ende des Blocks fehlt
740 Then im If..EndIf-Block fehlt
750 Name verweist nicht auf Funktion oder Programm
765 Keine Funktionen ausgewählt
780 Keine Lösung gefunden
800 Nicht-reelles Ergebnis
Wenn die Software beispielsweise in der Einstellung Reell (Real) ist, ist ‡(-1) ungültig.
Um komplexe Berechnungen zu ermöglichen, ändern Sie die Moduseinstellung 'Reell oder Komplex'
(Real or Complex) in KARTESISCH (RECTANGULAR) oder POLAR (POLAR).
830 Überlauf
850 Programm nicht gefunden
Ein Programmverweis in einem anderen Programm wurde während der Ausführung im angegebenen
Pfad nicht gefunden.

Fehlercode Beschreibung
855 Zufallsfunktionen sind im Graphikmodus nicht zulässig
860 Rekursion zu tief
870 Reservierter Name oder Systemvariable
900 Argumentfehler
Das Median-Median-Modell konnte nicht auf den Datensatz angewendet werden.
910 Syntaxfehler
920 Text nicht gefunden
930 Zu wenig Argumente
Der Funktion oder dem Befehl fehlen ein oder mehr Argumente.
940 Zu viele Argumente
Der Ausdruck oder die Gleichung enthält eine überschüssige Anzahl von Argumenten und kann nicht
ausgewertet werden.
950 Zu viele Indizierungen
955 Zu viele undefinierte Variable
960 Variable ist nicht definiert
Der Variablen wurde kein Wert zugewiesen. Verwenden Sie einen der folgenden Befehle:
• sto &
•:=
•Definiere
um Variablen Werte zuzuweisen.
965 Betriebssystem nicht lizensiert
970 Variable ist aktiv, daher keine Verweise oder Änderungen zulässig
980 Variable ist geschützt
990 Ungültiger Variablenname
Stellen Sie sicher, dass der Name die maximale Zeichenlänge nicht überschreitet
1000 Fenstervariable nicht im Bereich
1010 Zoom
1020 Interner Fehler
1030 Verletzung des Zugriffsschutzes auf geschützten Speicher
1040 Nicht unterstützte Funktion. Für diese Funktion ist ein Computer-Algebra-System erforderlich.
Probieren Sie TI-Nspire™ CAS.
1045 Nicht unterstützter Operator. Für diesen Operator ist ein Computer-Algebra-System erforderlich.
Fehlercodes und -meldungen 241

242 Fehlercodes und -meldungen
Fehlercode Beschreibung
Probieren Sie TI-Nspire™ CAS.
1050 Nicht unterstütztes Merkmal. Für diesen Operator ist ein Computer-Algebra-System erforderlich.
Probieren Sie TI-Nspire™ CAS.
1060 Das Eingabeargument muss numerisch sein. Nur Eingaben, die numerische Werte enthalten, sind
zulässig.
1070 Argument der trig. Funktion ist zu groß für eine exakte Vereinfachung
1080 Keine Unterstützung von Antw (Ans). Diese Applikation unterstützt nicht Antw (Ans).
1090 Funktion ist nicht definiert. Verwenden Sie einen der folgenden Befehle:
•Definiere
•:=
• sto &
um eine Funktion zu definieren.
1100 Nicht-reelle Berechnung
Wenn die Software beispielsweise in der Einstellung Reell (Real) ist, ist ‡(-1) ungültig.
Um komplexe Berechnungen zu ermöglichen, ändern Sie die Moduseinstellung 'Reell oder Komplex'
(Real or Complex) in KARTESISCH (RECTANGULAR) oder POLAR (POLAR).
1110 Ungültige Grenzen
1120 Keine Zeichenänderung
1130 Argument kann weder eine Liste noch eine Matrix sein
1140 Argumentfehler
Das erste Argument muss ein Polynomausdruck im zweiten Argument sein. Wenn das zweite
Argument ausgelassen wird, versucht die Software, eine Voreinstellung auszuwählen.
1150 Argumentfehler
Die ersten zwei Argumente müssen Polynomausdrücke im dritten Argument sein. Wenn das dritte
Argument ausgelassen wird, versucht die Software, eine Voreinstellung auszuwählen.
1160 Bibliotheks-Pfadname ungültig
Ein Pfadname muss in der Form xxx\yyy angegeben werden, wobei:
• Der xxx Teil kann 1 bis 16 Zeichen haben.
• Der yyy Teil kann 1 bis 15 Zeichen haben.
Weitere Einzelheiten finden Sie im Abschnitt Bibliotheken der Dokumentation
1170 Verwendung des Bibliotheks-Pfadnamens ungültig
• Ein Wert kann einem Pfadnamen nicht mit Definiere (Define),:= oder sto &
zugewiesen werden.
• Ein Pfadname kann nicht als lokale Variable festgelegt oder als Parameter in
einer Funktions- oder Programmdefinition verwendet werden.

Fehlercode Beschreibung
1180 Bibliotheks-Variablenname ungültig.
Vergewissern Sie sich, dass der Name:
• keinen Punkt enthält
• nicht mit einem Unterstrich beginnt
• nicht länger ist als 15 Zeichen
Weitere Einzelheiten finden Sie im Abschnitt Bibliotheken der Dokumentation
1190 Bibliotheks-Dokument nicht gefunden:
• Vergewissern Sie sich, dass sich die Bibliothek im Ordner MyLib befindet.
• Aktualisieren Sie die Bibliotheken.
Weitere Einzelheiten finden Sie im Abschnitt Bibliotheken der Dokumentation
1200 Bibliothaksvariable nicht gefunden:
• Vergewissern Sie sich, dass sich die Bibliotheksvariable im ersten Problem in
der Bibliothek befindet.
• Überprüfen Sie, dass die Bibliothaksvariable als LibPub oder LibPriv definiert
wurde.
• Aktualisieren Sie die Bibliotheken.
Weitere Einzelheiten finden Sie im Abschnitt Bibliotheken der Dokumentation
1210 Unzulässiger Name für Bibliothekskurzform.
Vergewissern Sie sich, dass der Name:
• keinen Punkt enthält
• nicht mit einem Unterstrich beginnt
• nicht länger ist als 16 Zeichen
• nicht reserviert ist
Weitere Einzelheiten finden Sie im Abschnitt Bibliotheken der Dokumentation.
1220 Bereichsfehler:
Die Funktionen tangentLine und normalLine unterstützen nur Funktionen mit reellen Werten.
1230 Bereichsfehler.
Im Grad- und Neugradmodus werden die trigonometrischen Konversionsoperatoren nicht unterstützt.
1250 Argumentfehler
System linearer Gleichungen verwenden.
Beispiel für ein System zweier linearer Gleichungen mit den Variablen x und y:
3x+7y=5
2y-5x=-1
1260 Argumentfehler:
Fehlercodes und -meldungen 243

244 Fehlercodes und -meldungen
Fehlercode Beschreibung
Das erste Argument von nfMin oder nfMax muss ein Ausdruck in einer einzigen Variablen sein. Es darf
keine andere Variable ohne Wert außer der interessierenden Variablen enthalten.
1270 Argumentfehler
Ordnung der Ableitung muss gleich 1 oder 2 sein.
1280 Argumentfehler
Verwenden Sie ein Polynom in entwickelter Form in einer Variablen.
1290 Argumentfehler
Verwenden Sie ein Polynom in einer Variablen.
1300 Argumentfehler
Die Koeffizienten des Polynoms müssen numerische Werte ergeben.
1310 Argumentfehler:
Eine Funktion konnte für ein oder mehrere Argumente nicht ausgewertet werden.
1380 Argumentfehler:
Verschachtelte Aufrufe der domain() Funktion sind nicht erlaubt.

Warncodes und -meldungen
Über die Funktion warnCodes() können Sie die bei der Auswertung eines Ausdrucks
erzeugten Warnungen speichern. In dieser Tabelle sind alle numerischen Warncodes und
die zugehörigen Meldungen aufgelistet.
Ein Beispiel zum Speichern von Warncodes finden Sie unter warnCodes() (Seite 193).
Warncode Meldung
10000 Operation könnte falsche Lösungen erzeugen.
10001 Differenzieren einer Gleichung kann eine falsche Gleichung erzeugen.
10002 Zweifelhafte Lösung
10003 Zweifelhafte Genauigkeit
10004 Operation könnte Lösungen unterdrücken.
10005 cLöse (cSolve) liefert u.U. mehrere Nullstellen.
10006 Löse (Solve) liefert u.U. mehrere Nullstellen.
10007 Weitere Lösungen möglich. Versuchen Sie, Ober- und Untergrenzen und/oder einen Schätzwert
anzugeben.
Beispiele mit solve():
• solve(Gleichung, Var=Schätzwert)|UntereGrenze<Var<ObereGrenze
• solve(Gleichung, Var)|UntereGrenze<Var<ObereGrenze
• solve(Gleichung,Var=Schätzwert)
10008 Definitionsbereich des Ergebnisses kann kleiner sein als der der Eingabe.
10009 Definitionsbereich des Ergebnisses kann größer sein als der der Eingabe.
10012 Nicht-reelle Berechnung
10013 ^0 oder undef^0 durch 1 ersetzt
10014 undef^0 durch 1 ersetzt
10015 1^ oder 1^undef durch 1 ersetzt
10016 1^undef durch 1 ersetzt
10017 Überlauf durch ˆoder Lˆ ersetzt
10018 Operation verlangt und liefert 64 Bit Wert.
10019 Ressourcen ausgeschöpft, Vereinfachung könnte unvollständig sein.
10020 Argument der trig. Funktion ist zu groß für eine exakte Vereinfachung.
10021 Eingabe enthält einen nicht definierten Parameter.
Warncodes und -meldungen 245

246 Warncodes und -meldungen
Warncode Meldung
Ergebnis gilt möglicherweise nicht für alle möglichen Parameterwerte.
10022 Eventuell erhalten Sie eine Lösung, wenn Sie geeignete Ober- und Untergrenzen festlegen.
10023 Skalar wurde mit Einheitsmatrix multipliziert.
10024 Ergebnis über approximierte Arithmetik erhalten.
10025 Äquivalenz kann im Modus EXAKT nicht verifiziert werden.
10026 Einschränkung wird möglicherweise ignoriert. Geben Sie Einschränkungen in der Form "\" 'Variable
Konstante MatheTestSymbol' oder einer Verbindung dieser Formen an, z. B. 'x<3 und x>-12'

Allgemeine Hinweise
Hinweise zu TI Produktservice und Garantieleistungen
Informationen über
Produkte und
Dienstleistungen
von TI
Wenn Sie mehr über das Produkt- und Serviceangebot von TI wissen möchten,
senden Sie uns eine E-Mail oder besuchen Sie uns im World Wide Web.
E-Mail-Adresse: ti-cares@ti.com
Internet-Adresse: education.ti.com
Service- und
Garantiehinweise
Informationen über die Garantiebedingungen oder über unseren Produktservice
finden Sie in der Garantieerklärung, die dem Produkt beiliegt. Sie können diese
Unterlagen auch bei Ihrem Texas Instruments Händler oder Distributor anfordern.
Allgemeine Hinweise 247

248

252 Index
►
►, Einheiten konvertieren[*] 224
►, in Neugrad umwandeln 84
►approxFraction() 18
►Base10, Anzeige als ganze Dezimalzahl[Base10] 23
►Base16, Hexadezimaldarstellung[Base16] 23
►Base2, Binärdarstellung[Base2] 21
►cos, durch Kosinus ausdrücken[cos] 34
►Cylind, Anzeige als Zylindervektor[Cylind (Zylindervektor)] 47
►DD, Anzeige als Dezimalwinkel[DD (Dezimalwinkel)] 50
►Decimal, Anzeige als Dezimalzahl[Dezimal] 51
►DMS, Anzeige als Grad/Minute/Sekunde[DMS (GMS)] 58
►exp, ausdrücken durch e[exp] 65
►Polar, Anzeige als Polarvektor[Polar] 128
►Rad, in Bogenmaß umwandeln 139
►Rect, Anzeige als kartesischer Vektor[Rect (Kartesisch)] 142
►sin, durch Sinus ausdrücken[sin] 161
►Sphere, Anzeige als sphärischer Vektor[Sphere (Kugelkoordinaten)] 169
►tmpCnv() (Konvertierung von Temperaturbereichen)[tmpCnv] 183
⇒
⇒, logische Implikation 212, 232
→
→, speichern 227
⇔
⇔, logische doppelte Implikation[*] 213
©
©, Kommentar 228

°
°, Grad-Schreibweise 221
°, Grad/Minute/Sekunde 222
0
0b, binäre Anzeige 228
0h, hexadezimale Anzeige 228
1
10^(), Potenz von zehn 225
A
Abbruch, Exit 65
Ableitung oder n-te Ableitung
Vorlage für 10
Ableitungen
erste Ableitung, d() 214
numerische Ableitung, nDeriv() 117-118
numerische Ableitung, nDerivative() 117
Ableitungsstrich, 223
Ableitungsstrich, ′, 223
abrufen/zurückgeben
Variableninformationen, getVarInfo() 80
Abrufen/zurückgeben
Variableninformationen, getVarInfo() 83
abs(), Absolutwert 12
Absolutwert
Vorlage für 8
addieren, + 203
als kartesischen Vektor anzeigen, ►Rect 142
Amortisationstabelle, amortTbl() 12, 21
amortTbl(), Amortisationstabelle 12, 21
Index 253

254 Index
and, Boolean operator 13
and, Boolesches und 13
angle(), Winkel 14
ANOVA, einfache Varianzanalyse 14
ANOVA2way, zweifache Varianzanalyse 15
Ans, letzte Antwort 17
Antwort (letzte), Ans 17
Anzeige als
binär, ►Base2 21
Dezimalwinkel, ►DD 50
ganze Dezimalzahl, ►Base10 23
Grad/Minute/Sekunde, ►DMS 58
hexadezimal, ►Base16 23
kartesischer Vektor, ►Rect 142
Polarvektor, ►Polar 128
sphärischer Vektor, ►Sphere 169
Zylindervektor, ►Cylind 47
Anzeige als sphärischer Vektor, ►Sphere 169
Anzeige als Zylindervektor, ►Cylind 47
approx(), approximieren 17
approximieren, approx() 17
approxRational() 18
arccos() 18
arccosh() 18
arccot() 18
arccoth() 18
arccsc() 19
arccsch() 19
arcLen(), Bogenlänge 19
arcsec() 19
arcsech() 19
arcsin() 19
arcsinh() 19
arctan() 19
arctanh() 20

Argumente in TVM-Funktionen 189
Arkuskosinus, cos⁻¹() 35
Arkussinus, sin⁻¹() 162
Arkustangens, tan⁻¹() 177
augment(), erweitern/verketten 20
Ausdrücke
Ausdruck in Liste, exp►list() 66
String in Ausdruck, expr() 68, 104
Ausschließung mit „|“Operator 226
Auswertungsreihenfolge 234
avgRC(), durchschnittliche Änderungsrate 20
B
Befehl Stopp 173
benutzerdefinierte Funktionen 51
benutzerdefinierte Funktionen und Programme 52
Bestimmtes Integral
Vorlage für 10
Bibliothek
erstelle Tastaturbefehle für Objekte 93
binär
Anzeige, 0b 228
Darstellung, ►Base2 21
binomCdf() 24
binomPdf() 24
Bogenlänge, arcLen() 19
Bogenmaß, r 221
Boolean operators
and 13
Boolesch
und, and 13
Boolesche Operatoren
⇒212, 232
⇔213
nand 115
Index 255

256 Index
nicht 121
nor 119
oder 125
xor 194
Brüche
propFrac (Echter Bruch) 135
Vorlage für 5
C
Cdf() 71
ceiling(), Obergrenze 24
centralDiff() 25
cFactor(), komplexer Faktor 25
char(), Zeichenstring 27
charPoly() 27
χ²2way 27
ClearAZ 29
colAugment 30
colDim(), Spaltendimension der Matrix 30
colNorm(), Spaltennorm der Matrix 30
comDenom(), gemeinsamer Nenner 30
completeSquare(), complete square 31
conj(), Komplex Konjugierte 32
constructMat(), Matrix erstellen 32
corrMat(), Korrelationsmatrix 33
cos⁻¹, Arkuskosinus 35
cos(), Kosinus 34
cosh⁻¹(), Arkuskosinus hyperbolicus 37
cosh(), Cosinus hyperbolicus 36
cot⁻¹(), Arkuskotangens 38
cot(), Kotangens 37
coth⁻¹(), Arkuskotangens hyperbolicus 38
coth(), Kotangens hyperbolicus 38
countIf(), Elemente in einer Liste bedingt zählen 39
cPolyRoots() 40

crossP(), Kreuzprodukt 40
csc⁻¹(), inverser Kosekans 41
csc(), Kosekans 41
csch⁻¹(), inverser Kosekans hyperbolicus 42
csch(), Kosekans hyperbolicus 42
cSolve(), komplexe Lösung 42
CubicReg, kubische Regression 45
Cycle, Zyklus 46
cZeros(), komplexe Nullstellen 47
D
d(), erste Ableitung 214
Daten anzeigen, Disp 57
dbd(), Tage zwischen Daten 50
Define, definiere 51
Definiere 51
Definiere LibPriv (Define LibPriv) 52
Definiere LibPub (Define LibPub) 52
Definiere, Define 51
definieren
öffentliche Funktion / öffentliches Programm 52
private Funktion oder Programm 52
Definitionsbereichsfunktion, domain() 58
deltaList() 53
deltaTmpCnv() 53
DelVar, Variable löschen 53
delVoid(), ungültige Elemente entfernen 54
derivative() 54
deSolve(), Lösung 54
det(), Matrixdeterminante 56
Dezimal
Anzeige als ganze Zahl, ►Base10 23
Winkelanzeige, ►DD 50
diag(), Matrixdiagonale 57
Diagonalform, ref() 143
Index 257

258 Index
dim(), Dimension 57
Dimension, dim() 57
dividieren, / 205
domain(), Definitionsbereichsfunktion 58
dominant term, dominantTerm() 59
dominantTerm(), dominant term 59
dotP(), Skalarprodukt 60
drehe() 149
drehen, drehe() 149
durchschnittliche Änderungsrate, avgRC() 20
E
e Exponent
Vorlage für 6
e hoch x, e^() 60, 66
e, ausdrücken durch 65
E, Exponent 220
e^(), e hoch x 60
echter Bruch, propFrac 135
eff(), Nominal- in Effektivsatz konvertieren 61
Effektivsatz, eff() 61
Eigenvektor, eigVc() 61
Eigenwert, eigVl() 62
eigVc(), Eigenvektor 61
eigVl(), Eigenwert 62
Eingabe, Input 87
Einheiten
konvertieren 224
Einheitsmatrix, identity() 84
Einheitsvektor, unitV() 191
Einstellungen, hole aktuellen 81
Elemente in einer Liste bedingt zählen, countIf() 39
Elemente in einer Liste zählen, zähle() 39
else if, ElseIf 62
else, Else 85

ElseIf, else if 62
end
for, EndFor 74
if, EndIf 85
Schleife, EndLoop 106
while, EndWhile 194
end if, EndIf 85
end while, EndWhile 194
Ende
Funktion, EndFunc 78
Ende der Schleife, EndLoop 106
EndWhile, end while 194
Entfernen
ungültige Elemente aus Liste 54
Entwickle, expand() 67
EOS (Equation Operating System) 234
Equation Operating System (EOS) 234
Ergebnis
ausdrücken durch e 65
durch Kosinus ausdrücken 34
durch Sinus ausdrücken 161
Ergebnisse mit zwei Variablen, TwoVar 189
Ergebnisse, Statistik 170
Ergebniswerte, Statistik 171
Ersetzung durch „|“Operator 226
erste Ableitung
Vorlage für 9
erweitern/verketten, augment() 20
euler(), Euler function 63
exact(), Exakt 65
Exakt, exact() 65
Exit, Abbruch 65
exp(), e hoch x 66
exp►list(), Ausdruck in Liste 66
expand(), Entwickle 67
Index 259

260 Index
Exponent, E 220
Exponenten
Vorlage für 5
Exponentielle Regression, ExpReg 68
expr(), String in Ausdruck 68, 104
ExpReg, exponentielle Regression 68
F
factor(), Faktorisiere 69
Faktorisiere, factor() 69
Fakultät, ! 213
Fehler übergeben, ÜbgebFeh 127
Fehler und Fehlerbehebung
Fehler löschen, LöFehler 29
Fehler übergeben, ÜbgebFeh 127
festlegen
Modus, setMode() 156
Fill, Matrix füllen 71
Finanzfunktionen, tvmFV() 187
Finanzfunktionen, tvmI() 188
Finanzfunktionen, tvmN() 188
Finanzfunktionen, tvmPmt() 188
Finanzfunktionen, tvmPV() 188
FiveNumSummary 72
floor(), Untergrenze 72
fMax(), Funktionsmaximum 73
fMin(), Funktionsminimum 73
Folge, seq() 153
Folge, series() 155
For 74
for, For 74
For, for 74
format(), Formatstring 75
Formatstring, format() 75
fpart(), Funktionsteil 75

freqTable() 76
Frobeniusnorm, norm() 120
Func, Funktion 78
Func, Programmfunktion 78
Funktion beenden, EndFunc 78
Funktionen
benutzerdefiniert 51
Maximum, fMax() 73
Minimum, fMin() 73
Programmfunktion, Func 78
Teil, fpart() 75
Funktionen und Variablen
kopieren 33
G
g, Neugrad 220
ganze Zahl, int() 88
Ganzzahl teilen, intDiv() 88
ganzzahliger Teil, iPart() 90
gcd(), größter gemeinsamer Teiler 78
gehe zu, Goto 84
gemeinsamer Nenner, comDenom() 30
geomCdf() 79
geomPdf() 79
getDenom(), Nenner holen/zurückgeben 80
getLangInfo(), Sprachinformationen abrufen/zurückgeben 80
getLockInfo(), testet den Gesperrt-Status einer Variablen oder Variablengruppe 81
getMode(), getMode-Einstellungen 81
getNum(), Zähler holen/zurückgeben 82
getType(), get type of variable 82
getVarInfo(), Variableninformationen abrufen/zurückgeben 83
gleich, = 209
Gleichungssystem (2 Gleichungen)
Vorlage für 7
Index 261

262 Index
Gleichungssystem (n Gleichungen)
Vorlage für 7
Gleichungssystem, simult() 160
Goto, gehe zu 84
Grad-/Minuten-/Sekundenanzeige, ►DMS 58
Grad-Schreibweise, ° 221
größer als, > 211
Größer oder gleich, ≥ 211
größter gemeinsamer Teiler, gcd() 78
Gruppen, Gesperrt-Status testen 81
Gruppen, sperren und entsperren 103, 191
H
Häufigkeit() 76
hexadezimal
Anzeige, ►Base16 23
Anzeige, 0h 228
holen/zurückgeben
Nenner, getDenom() 80
Zähler, getNum() 82
Hyperbolisch
Arkuskosinus, cosh⁻¹() 37
Arkussinus, sinh⁻¹() 163
Arkustangens, tanh⁻¹() 178
Cosinus, cosh() 36
Sinus, sinh() 163
Tangens, tanh() 178
I
identity(), Einheitsmatrix 84
if, If 85
If, if 85
ifFn() 86
imag(), Imaginärteil 87

Imaginärteil, imag() 87
ImpDif(), implizite Ableitung 87
implizite Ableitung, Impdif() 87
in String, inString() 88
Input, Eingabe 87
inString(), in String 88
int(), ganze Zahl 88
intDiv(), Ganzzahl teilen 88
Integral, ∫ 215
interpolate(), interpolate 89
inverse kumulative Normalverteilung (invNorm()) 90
invF() 90
invNorm(), inverse kumulative Normalverteilung 90
invt() 90
Invχ²() 89
iPart(), ganzzahliger Teil 90
irr(), interner Zinsfluss
interner Zinsfluss, irr() 91
isPrime(), Primzahltest 91
isVoid(), Test auf Ungültigkeit 92
K
kartesische x-Koordinate, P►Rx() 126
kartesische y-Koordinate, P►Ry() 127
Kehrwert, ^⁻¹ 225
kleiner als, < 210
Kleiner oder gleich, ≤ 211
kleinstes gemeinsames Vielfaches, lcm 92
Kombinationen, nCr() 116
Kommentar, © 228
komplex
Faktor, cFactor() 25
Konjugierte, conj() 32
Lösung, cSolve() 42
Nullstellen, cZeros() 47
Index 263

264 Index
Konstante
in solve() 166
Konstanten
in cSolve() 44
in cZeros() 49
in deSolve() 54
in solve() 167
Tastenkürzel für 233
konvertieren
Einheiten 224
Korrelationsmatrix, corrMat() 33
Kosinus / Cos
ausdrücken durch 34
Kosinus, cos() 34
Kotangens, cot() 37
Kreuzprodukt, crossP() 40
kubische Regression, CubicReg 45
kumulierte Summe, cumulativeSum() 46
kumulierteSumme(), kumulierte Summe 46
L
Lbl, Marke 92
lcm, kleinstes gemeinsames Vielfaches 92
leere (ungültige) Elemente 229
left(), links 93
LibPriv 52
LibPub 52
libShortcut(), erstelle Tastaturbefehle für Bibliotheksobjekte 93
Limes
lim() (Limes) 94
limit() (Limes) 94
Vorlage für 11
limit() oder lim(), Limes 94
lineare Regression, LinRegAx 96
lineare Regression, LinRegBx 95

Lineare Regression, LinRegBx 96
links, left() 93
LinRegBx, lineare Regression 95
LinRegMx, lineare Regression 96
LinRegtIntervals, lineare Regression 96
LinRegtTest 98
linSolve() 99
list►mat(), Liste in Matrix 100
Liste in Matrix, list►mat() 100
Liste, Elemente bedingt zählen 39
Liste, Elemente zählen in 39
Listen
Ausdruck in Liste, exp►list() 66
Differenzen in einer Liste, Δlist() 99
erweitern/verketten, augment() 20
in absteigender Reihenfolge sortieren, SortD 169
in aufsteigender Reihenfolge sortieren, SortA 168
Kreuzprodukt, crossP() 40
kumulierte Summe, cumulativeSum() 46
leere Elemente in 229
Liste in Matrix, list►mat() 100
Matrix in Liste, mat►list() 107
Maximum, max() 108
Minimum, min() 111
neu, newList() 117
Produkt, product() 134
Skalarprodukt, dotP() 60
Summe, sum() 174
Summierung, sum() 175
Teil-String, mid() 110
ln(), natürlicher Logarithmus 100
LnReg, logarithmische Regression 101
Local, lokale Variable 102
Lock, Variable oder Variablengruppe sperren 103
LöFehler, Fehler löschen 29
Index 265

266 Index
Logarithmen 100
Logarithmische Regression, LnReg 101
Logarithmus
Vorlage für 6
logische doppelte Implikation, ⇔213
logische Implikation, ⇒212, 232
Logistic, logistische Regression 104
LogisticD, logistische Regression 105
Logistische Regression, Logistic 104
Logistische Regression, LogisticD 105
lokal, Local 102
lokale Variable, Local 102
Loop, Schleife 106
löschen
Variable, DelVar 53
Löschen
Fehler, LöFehler 29
ungültige Elemente aus Liste 54
Löse, solve() 165
Lösung, deSolve() 54
LU, untere/obere Matrixzerlegung 107
M
Marke, Lbl 92
mat►list(), Matrix in Liste 107
Matrix (1 × 2)
Vorlage für 8
Matrix (2 × 1)
Vorlage für 8
Matrix (2 × 2)
Vorlage für 8
Matrix (m × n)
Vorlage für 8
Matrix erstellen, constructMat()() 32
Matrix in Liste, mat►list() 107

Matrizen
Determinante, det() 56
Diagonale, diag() 57
Diagonalform, ref() 143
Dimension, dim() 57
Eigenvektor, eigVc() 61
Eigenwert, eigVl() 62
Einheitsmatrix, identity() 84
erweitern/verketten, augment() 20
füllen, Fill 71
kumulierte Summe, cumulativeSum() 46
Liste in Matrix, list►mat() 100
Matrix in Liste, mat►list() 107
Matrixzeilenmultiplikation und -addition, mRowAdd() 112
Maximum, max() 108
Minimum, min() 111
neu, newMat() 117
Produkt, product() 134
Punkt-Addition, .+ 207
Punkt-Division, ./ 208
Punkt-Multiplikation, .* 207
Punkt-Potenz, .^ 208
Punkt-Subtraktion, .- 207
QR-Faktorisierung, QR 135
reduzierte Diagonalform, rref() 151
Spaltendimension, colDim() 30
Spaltennorm, colNorm() 30
Summe, sum() 174
Summierung, sum() 175
Transponierte, T 176
untere/obere Matrixzerlegung, LU 107
Untermatrix, subMat() 174, 176
Zeilenaddition, rowAdd() 150
Zeilendimension, rowDim() 151
Zeilennorm, rowNorm() 151
Index 267

268 Index
Zeilenoperation, mRow() 112
Zeilentausch, rowSwap() 151
Zufall, randMat() 140
max(), Maximum 108
Maximum, max() 108
mean(), Mittelwert 108
median(), Median 109
Median, median() 109
MedMed, Mittellinienregression 109
mid(), Teil-String 110
min(), Minimum 111
Minimum, min() 111
Minuten-Schreibweise, 222
mirr(), modifizierter interner Zinsfluss 111
mit, | 226
Mittellinienregression, MedMed 109
Mittelwert, mean() 108
mod(), Modulo 112
Modi
festlegen, setMode() 156
Modifizierter interner Zinsfluss, mirr() 111
Modulo, mod() 112
Moduseinstellungen, getMode() 81
mRow(), Matrixzeilenoperation 112
mRowAdd(), Matrixzeilenmultiplikation und -addition 112
Multipler linearer Regressions-t-Test 114
multiplizieren, * 204
MultReg (Mehrfachregression) 112
MultRegIntervals() (Mehrfachregressionsintervall) 113
MultRegTests() 114
N
n-te Wurzel
Vorlage für 6
nand, Boolescher Operator 115

natürlicher Logarithmus, ln() 100
nCr(), Kombinationen 116
nDerivative(), numerische Ableitung 117
Negation, Eingabe von negativen Zahlen 235
Nenner 30
Nettobarwert, npv () 122
neu
Liste, newList() 117
Matrix, newMat() 117
Neugrad-Schreibweise, g 220
newList(), neue Liste 117
newMat(), neue Matrix 117
nfMax(), numerisches Funktionsmaximum 117
nfMin(), numerisches Funktionsminimum 118
nicht, Boolescher Operator 121
nInt(), numerisches Integral 118
nom ), Effektivzins in Nominalzins konvertieren 119
Nominalzinssatz, nom() 119
nor, Boolescher Operator 119
norm(), Frobeniusnorm 120
Normale, normalLine() 120
normalLine() 120
Normalverteilungswahrscheinlichkeit, normCdf() 120
normCdf() (Normalverteilungswahrscheinlichkeit) 120
normPdf() (Wahrscheinlichkeitsdichte) 121
nPr(), Permutationen 122
npv(), Nettobarwert 122
nSolve(), numerische Lösung 123
Nullstellen, zeroes() 195
numerisch
Ableitung, nDeriv() 117-118
Ableitung, nDerivative() 117
Integral, nInt() 118
Lösung, nSolve() 123
Index 269

270 Index
O
Obergrenze, ceiling() 24-25, 40
Objekte
erstelle Tastaturbefehle für Bibliothek 93
oder (Boolesch), oder 125
oder, Boolescher Operator 125
OneVar, Statistik mit einer Variable 124
Operatoren
Auswertungsreihenfolge 234
ord(), numerischer Zeichencode 126
P
P►Rx(), kartesische x-Koordinate 126
P►Ry(), kartesische y-Koordinate 127
Pdf() 76
Permutationen, nPr() 122
piecewise() (Stückweise) 128
poissCdf() 128
poissPdf() 128
polar
Koordinate, R►Pr() 139
Koordinate, R►Pθ() 138
Vektoranzeige, ►Polar 128
polyCoef() 129
polyDegree() 130
polyEval(), Polynom auswerten 131
polyGcd() 131-132
Polynom auswerten, polyEval() 131
Polynome
auswerten, polyEval() 131
Zufall, randPoly() 141
PolyRoots() 132
Potenz von zehn, 10^() 225

Potenz, ^ 206
Potenzregression, PowerReg 132, 144, 146, 181
PowerReg, Potenzregression 132
Prgm, Definiere Programm 133
Primzahltest, isPrime() 91
prodSeq() 134
product(), Produkt 134
Produkt ∏()
Vorlage für 9
Produkt, ∏() 217
Produkt, product() 134
Programme
öffentliche Bibliothek definieren 52
Private Bibliothek definieren 52
Programme und Programmieren
E/A-Bildschirm anzeigen, Zeige 57
Fehler löschen, LöFehler 29
programmieren
Daten anzeigen, Disp 57
Definiere Programm, Prgm 133
Fehler übergeben, ÜbgebFeh 127
propFrac, echter Bruch 135
Prozent, % 209
Punkt
Addition, .+ 207
Division, ./ 208
Multiplikation, .* 207
Potenz, .^ 208
Subtraktion, .- 207
Q
QR-Faktorisierung, QR 135
QR,QR-Faktorisierung 135
Quadratische Regression, QuadReg 136
Index 271

272 Index
Quadratwurzel
Vorlage für 5
Quadratwurzel, √() 216
Quadratwurzel, ‡() 170
QuadReg, quadratische Regression 136
QuartReg, Regression vierter Ordnung 137
R
r, Bogenmaß 221
R►Pr(), Polarkoordinate 139
R►Pθ(), Polarkoordinate 138
rand(), Zufallszahl 139
randBin, Zufallszahl 140
randInt(), ganzzahlige Zufallszahl 140
randMat(), Zufallsmatrix 140
randNorm(), Zufallsnorm 141
randPoly(), Zufallspolynom 141
randSamp() (Zufallsstichprobe) 141
RandSeed, Zufallszahl 141
real(), reell 142
rechts, right() 147
reduzierte Diagonalform, rref() 151
reell, real() 142
ref(), Diagonalform 143
Regression vierter Ordnung, QuartReg 137
Regressionen
exponentielle, ExpReg 68
kubische, CubicReg 45
lineare Regression, LinRegAx 96
lineare Regression, LinRegBx 95
Lineare Regression, LinRegBx 96
logarithmische, LnReg 101
Logistic (Logistisch) 104
logistische, Logistic 105
Mittellinie, MedMed 109

MultReg (Mehrfachregression) 112
Potenzregression, PowerReg 132, 144, 146, 181
quadratische, QuadReg 136
sinusförmige, SinReg 164
vierter Ordnung, QuartReg 137
remain(), Rest 144
Request 144
RequestStr 146
Rest, remain() 144
Return, Rückgabe 147
right(), rechts 147
right, right() 31, 63, 89, 147, 193
rk23(), Runge Kutta function 147
rotate(), rotieren 149
rotieren, rotate() 149
round(), runden 150
rowAdd(), Matrixzeilenaddition 150
rowDim(), Zeilendimension der Matrix 151
rowNorm(), Zeilennorm der Matrix 151
rowSwap(), Matrixzeilentausch 151
rref(), reduzierte Diagonalform 151
Rückgabe, Return 147
runden, round() 150
S
Schleife, Loop 106
Schreibweise Grad/Minute/Sekunde 222
sec⁻¹(), Arkussekans 152
sec(), Sekans 152
sech⁻¹(), Arkussekans hyperbolicus 153
sech(), Sekans hyperbolicus 153
Sekunden-Schreibweise, " 222
seq(), Folge 153
seqGen() 154
seqn() 154
Index 273

274 Index
sequence, seq() 154
series(), Folge 155
setMode(), Modus festlegen 156
shift(), verschieben 158
sign(), Zeichen 159
simult(), Gleichungssystem 160
sin⁻¹(), Arkussinus 162
sin(), Sinus 161
sinh⁻¹(), Arkussinus hyperbolicus 163
sinh(), Sinus hyperbolicus 163
SinReg, sinusförmige Regression 164
Sinus
ausdrücken durch 161
Sinus, sin() 161
Sinusförmige Regression, SinReg 164
Skalar
Produkt, dotP() 60
solve(), Löse 165
SortA, in aufsteigender Reihenfolge sortieren 168
SortD, in absteigender Reihenfolge sortieren 169
sortieren
in absteigender Reihenfolge sortieren, SortD 169
in aufsteigender Reihenfolge, SortA 168
speichern
Symbol, →227
Sprache
Sprachinformation abrufen 80
sqrt(), Quadratwurzel 170
Standardabweichung, stdDev() 172-173, 191
stat.results 170
stat.values 171
Statistik
Ergebnisse mit zwei Variablen, TwoVar 189
Fakultät, ! 213
Kombinationen, nCr() 116

Median, median() 109
Mittelwert, mean() 108
Permutationen, nPr() 122
Standardabweichung, stdDev() 172-173, 191
Statistik mit einer Variable, OneVar 124
Varianz, variance() 192
Zufallsnorm, randNorm() 141
Zufallszahl, RandSeed 141
Statistik mit einer Variable, OneVar 124
stdDevPop(), Populations-Standardabweichung 172
stdDevSamp(), Stichproben-Standardabweichung 173
String
Dimension, dim() 57
Länge 57
string(), Ausdruck in String 174
Stringlänge 57
strings
right, right() 31, 63, 89, 147, 193
Strings
Ausdruck in String, string() 174
Format, format() 75
Formatieren 75
in, InString 88
links, left() 93
rechts, right() 147
rotieren, rotate() 149
String in Ausdruck, expr() 68, 104
Teil-String, mid() 110
Umleitung, # 219
verschieben, shift() 158
Zeichencode, ord() 126
Zeichenstring, char() 27
Stückweise definierte Funktion (2 Teile)
Vorlage für 6
Index 275

276 Index
Stückweise definierte Funktion (n Teile)
Vorlage für 7
Student-t-Wahrscheinlichkeitsdichte, tPdf() 184
subMat(), Untermatrix 174, 176
subtrahieren, - 203
sum(), Summe 174
sumIf() 175
Summe ∑()
Vorlage für 9
Summe der Tilgungszahlungen 219
Summe der Zinszahlungen 218
Summe, ∑() 217
Summe, sum() 174
sumSeq() 175
T
t test, t-Test 186
T, Transponierte 176
Tage zwischen Daten, dbd() 50
tan⁻¹(), Arkustangens 177
tan(), Tangens 176
Tangens, tan() 176
Tangente, tangentLine() 178
tangentLine() 178
tanh⁻¹(), Arkustangens hyperbolicus 178
tanh(), Tangens hyperbolicus 178
Tastenkürzel 232
Tastenkürzel, Tastatur 232
Taylor-Polynom, taylor() 179
taylor(), Taylor-Polynom 179
tCdf(), Wahrscheinlichkeit einer Student t-Verteilung 179
tCollect(), trigonometrische Zusammenfassung 180
Teil-String, mid() 110
Test auf Ungültigkeit, isVoid() 92
Test_2S, Zwei-Stichproben F-Test 77

tExpand(), trigonometrische Entwicklung 180
Text, Befehl 181
tInterval, Konfidenzintervall t 182
tInterval_2Samp, ZweiStichproben-t-Konfidenzintervall 182
tmpCnv() (Konvertierung von Temperaturwerten) 183
trace() 184
Transponierte, T 176
trigonometrische Entwicklung, tExpand() 180
trigonometrische Zusammenfassung, tCollect() 180
Try, Befehl zur Fehlerbehandlung 185
tTest, t-Test 186
tTest_2Samp, Zwei-Stichproben-t-Test 186
TVM-Argumente 189
tvmFV() 187
tvmI() 188
tvmN() 188
tvmPmt() 188
tvmPV() 188
TwoVar, Ergebnisse mit zwei Variablen 189
Ü
ÜbgebFeh, Fehler übergeben 127
U
Umleitung, # 219
Umleitungsoperator (#) 235
umwandeln
►Grad (Neugrad) 84
►Rad 139
unbestimmtes Integral
Vorlage für 10
ungleich, ≠ 210
ungültig, testen auf 92
ungültige Elemente 229
Index 277

278 Index
ungültige Elemente, entfernen 54
unitV(), Einheitsvektor 191
unLock, Variable oder Variablengruppe entsperren 191
Untergrenze, floor() 72
Untermatrix, subMat() 174, 176
Unterstrich, _ 223
V
Variable
Name aus String erstellen 235
Variable oder Funktion kopieren, CopyVar 33
Variablen
alle einbuchstabigen löschen 29
lokal, Local 102
löschen, DelVar 53
Variablen und Funktionen
kopieren 33
Variablen und Variablengruppen entsperren 191
Variablen und Variablengruppen sperren 103
Variablen, sperren und entsperren 81, 103, 191
Varianz, variance() 192
varPop() (Populationsvarianz) 191
varSamp(), Stichproben-Varianz 192
Vektoren
Anzeige als Zylindervektor, ►Cylind 47
Einheit, unitV() 191
Kreuzprodukt, crossP() 40
Skalarprodukt, dotP() 60
verschieben, shift() 158
Verteilungsfunktionen
binomCdf() 24
binomPdf() 24
invNorm() 90
invt() 90
Invχ²() 89

normCdf() (Normalverteilungswahrscheinlichkeit) 120
normPdf() (Wahrscheinlichkeitsdichte) 121
poissCdf() 128
poissPdf() 128
tCdf() 179
tPdf() 184
χ²2way() 27
χ²Cdf() 28
χ²GOF() 28
χ²Pdf() 29
Vorlagen
Ableitung oder n-te Ableitung 10
Absolutwert 8
Bestimmtes Integral 10
Bruch 5
e Exponent 6
erste Ableitung 9
Exponent 5
Gleichungssystem (2 Gleichungen) 7
Gleichungssystem (n Gleichungen) 7
Limes 11
Logarithmus 6
Matrix (1 × 2) 8
Matrix (2 × 1) 8
Matrix (2 × 2) 8
Matrix (m × n) 8
n-te Wurzel 6
Produkt ∏() 9
Quadratwurzel 5
Stückweise definierte Funktion (2 Teile) 6
Stückweise definierte Funktion (n Teile) 7
Summe ∑() 9
unbestimmtes Integral 10
zweite Ableitung 10
Index 279

280 Index
W
Wahrscheinlichkeit einer Student-t-Verteilung, tCdf() 179
Wahrscheinlichkeitsdichte, normPdf() 121
Warncodes und -meldungen 245
warnCodes(), Warning codes 193
wenn, when() 193
when(), wenn 193
while, While 194
While, while 194
winkel, ∠222
Winkel, angle() 14
womit-Operator „|“ 226
womit-Operator, Auswerungsreihenfolge 234
X
x², Quadrat 206
XNOR 213
xor, Boolesches exklusives oder 194
Z
Zähle Tage zwischen Daten, dbd() 50
zähle(), Elemente in einer Liste zählen 39
Zeichen
String, char() 27
Zeichencode, ord() 126
Zeichen, sign() 159
Zeichenfolgen
drehen, drehe() 149
zum Erstellen von Variablennamen verwenden 235
Zeichenstring, char() 27
Zeige, Daten anzeigen 57
Zeitwert des Geldes, Anzahl Zahlungen 188
Zeitwert des Geldes, Barwert 188

Zeitwert des Geldes, Endwert 187
Zeitwert des Geldes, Zahlungsbetrag 188
Zeitwert des Geldes, Zinsen 188
zeroes(), Nullstellen 195
zInterval, z-Konfidenzintervall 197
zInterval_1Prop, z-Konfidenzintervall für eine Proportion 198
zInterval_2Prop, z-Konfidenzintervall für zwei Proportionen 198
zInterval_2Samp, z-Konfidenzintervall für zwei Stichproben 199
zTest 199
zTest_1Prop, z-Test für eine Proportion 200
zTest_2Prop, z-Test für zwei Proportionen 201
zTest_2Samp, z-Test für zwei Stichproben 201
Zufall
Matrix, randMat() 140
Norm, randNorm() 141
Polynom, randPoly() 141
Zahl, RandSeed 141
Zufallsstichprobe 141
zuweisen, := 227
Zwei-Stichproben F-Test 77
zweite Ableitung
Vorlage für 10
Zyklus, Cycle 46
Δ
Δlist(), Listendifferenz 99
Χ
χ²Cdf() 28
χ²GOF 28
χ²Pdf() 29
Index 281





