LG Electronics USA LSI110 Wireless Local Loop Telephone (CDMA) User Manual
LG Electronics USA Wireless Local Loop Telephone (CDMA) Users Manual
Users Manual
CDMA Fixed Wireless Telephone
User Guide
Model: LSI-110

LGE CDMA Fixed Wireless Telephone
LSI-110/1100
2
REVISED HISTORY
DATE ISSUE CONTENTS OF CHANGES REMARK
2002/05/13
ISSUE1 Initial Release

LGE CDMA Fixed Wireless Telephone
LSI-110/1100
3
Blank Page

For more information about RF exposure, please visit the FCC website at www.fcc.gov
FCC RF EXPOSURE INFORMATION
In August 1996 the Federal Communications Commission (FCC) of the United States
with its action in Report and Order FCC 96-326 adopted an updated safety standard
for human exposure to radio frequency electromagnetic energy emitted by FCC
regulated transmitters. Those guidelines are consistent with the safety standard
previously set by both U.S. and international standards bodies. The design of this
phone complies with the FCC guidelines and these international standards.
Use only the supplied or an approved antenna. Unauthorized antennas,
modifications, or attachments could impair call quality, damage the phone, or result in
violation of FCC regulations.
Do not use the phone with a damaged antenna. If a damaged antenna comes into
contact with the skin, a minor burn may result. Please contact your local dealer for
replacement antenna.
To maintain compliance with FCC RF exposure requirements, maintain a 2.54 cm.
separation distance between the user’s body and the phone, including the antenna.
WARNING! Read this information before using your phone

LGE CDMA Fixed Wireless Telephone
LSI-110/1100
4
CONTENTS
Highlights ...............................................................................................................................6
1. Important Information......................................................................................................7
1.1 Safety Information.....................................................................................................7
1.2 Optimal Phone Performance.....................................................................................7
1.3 Care and Service ......................................................................................................7
2. Introduction .....................................................................................................................9
2.1 Front View of the Telephone.....................................................................................9
2.2 LCD Display ............................................................................................................10
2.3 Installation...............................................................................................................11
2.4 Installation Steps.....................................................................................................13
3. Basic Operation ...............................................................................................................15
3.1 Making a Call ..........................................................................................................15
3.2 Redialing Last Outgoing Number............................................................................15
3.4 Signal Strength........................................................................................................16
3.5 Missed Call Message..............................................................................................16
4. List of Menu State ............................................................................................................17
4.1 Volume / Ring..........................................................................................................18
4.1.1 Ring Volume..................................................................................................18
4.1.2 Key Volume...................................................................................................18
4.1.3 Ear Volume ...................................................................................................18
4.1.3 Ring Select....................................................................................................19
4.2 Additional feature ....................................................................................................19
4.2.1 Wake-up Time...............................................................................................19
4.2.2 Minute Alert...................................................................................................19
4.2.3 Set Rx call mode...........................................................................................19
4.2.4 Backlight........................................................................................................20
4.2.5 Own number..................................................................................................20
4.3 Dial features............................................................................................................20
4.3.1 Hot Line.........................................................................................................20
4.3.2 Hot Line Time................................................................................................20
4.3.3 Auto Time-out................................................................................................21
4.3.4 Speed Dial (enable / disable)........................................................................21
4.3.5 Key-tone Length............................................................................................22
4.4 Security Features....................................................................................................22
4.4.1 Lock Mode Set ..............................................................................................22
4.4.2 Clear Calls.....................................................................................................22

LGE CDMA Fixed Wireless Telephone
LSI-110/1100
5
4.4.3 Clear Memory................................................................................................23
4.4.4 Emergency Call.............................................................................................23
4.4.5 Restriction Call Service.................................................................................23
5. Functions while in a call...................................................................................................25
5.1 Mute ........................................................................................................................25
5.2 Ear Volume .............................................................................................................26
6. Searching, Editing & Dialing ............................................................................................26
6.1 Retrieving Phone Number by Name .......................................................................26
6.2 Retrieving Phone Number by Address....................................................................27
6.3 Retrieving Phone Number by NUMBER .................................................................28
6.4 Fast Searching........................................................................................................29
6.5 Clear Memory..........................................................................................................29
7.SMS (Short Message Service)..........................................................................................29
7.1 Checking & Deleting Received Message................................................................29
7.1.1 Text Message................................................................................................29
7.1.2 Voice Message..............................................................................................30
7.1.3 Erasing all Received Message......................................................................31
7.2 MSG Notification tone select...................................................................................31
7.3 Message Sending ...................................................................................................31
7.3.1 Sending a New Message ..............................................................................31
7.3.2 Sending the sent Message or message after editing the Sent Message......32
7.3.3 Erasing a Sent Message...............................................................................33
8.Beside Functions ..............................................................................................................33
8.1 Redial......................................................................................................................33
8.2 Finding Last Call History .........................................................................................33
8.3 Flash .......................................................................................................................34
8.4 Safe mode...............................................................................................................34
9. Storing Phone Number.....................................................................................................34
9.1 Storing/Editing Phone Numbers..............................................................................34
9.1.1 Storing Phone Numbers................................................................................34
9.1.2 Erasing Stored Phone Numbers ...................................................................37
9.2 Finding Stored Phone Numbers..............................................................................37
10. General Information .......................................................................................................38

LGE CDMA Fixed Wireless Telephone
LSI-110/1100
6
Highlights
Congratulations on your purchase of the LSI-110 Fixed Wireless Telephone. This
telephone has been designed to operate on the latest digital mobile communications
technology. This technology has greatly enhanced voice clarity and can provide various
advanced features.
The telephone provides:
5-line LCD Display with status indicator
A choice of 10 ring sounds
A menu driven interface with prompts for easy operation
Last Number Redial
Speed Dialing with a 99-number memory
Dial tone
ROH (Receiver Off-Hook) tone
Adjustable Ring Volume
Internal Battery
AC/DC Adapter
Antenna
Data Port for service and repair
USB Connector for Data service
Back light

LGE CDMA Fixed Wireless Telephone
LSI-110/1100
7
1. Important Information
1.1 Safety Information
Warning
To reduce the risk of fire or electric shock, do not expose this product to rain or moisture.
Do not use this product near swimming pools or other bodies of water.
IMPORTANT
Before installing or operating this product read this information.
1.2 Optimal Phone Performance
Do not operate your product when holding the antenna, or when someone is within four
inches (ten centimeters) of the antenna. Holding the antenna affects call quality and may
cause the telephone to operate at a higher power level than needed.
For the best call quality, keep the antenna free from obstructions and point the antenna
straight up.
Do not use the unit with a damaged antenna. Have your antenna replaced by a qualified
technician immediately. Use only a manufacturer-approved antenna. Non-approved
antennas, modifications, or attachments could impair call quality, damage the phone.
RF energy may affect improperly installed or inadequately shielded personal medical
devices such as pace markers, hospital monitor. Consult the manufacturer of any
personal medical devices to determine if they are adequately shielded from external RF
energy. Turn your terminal OFF in health care facilities when any regulations posted in
the areas instruct you to do so. Hospitals or health care facilities may be using equipment
that could be sensitive to external RF energy.
If this equipment does cause harmful interference to radio or television reception, which
can be determined by turning the equipment off and on, the user is encouraged to try to
correct the interference by one or more of the following measures:
- Reorient or relocate the receiving antenna
- Increase the distance between the radio or television and the telephone.
- Connect the equipment into an outlet on a circuit different from that to which the
terminal is connected.
- Consult you Authorized LGIC Dealer of an experienced radio/TV technician for help.
Use only the battery, antenna and AC power supply provided by LGIC. Using any other
type will invalidate the warranty.
Only authorized personnel should service the phone and its accessories. Faulty
installation or service any be dangerous and may invalidate the warranty.
Do not use the unit in designated “no cellular phone use” area.
Avoid exposure to high temperature or humidity.
Avoid wetting the unit with any liquids. If the unit gets wet, turn the power off immediately
and remove the battery and AC power supply. If the unit is inoperable, then return to the
service agent for service.
Avoid shock or impact.
We recommend you to charge the internal battery before initial use. The battery may be
discharged during delivery.

LGE CDMA Fixed Wireless Telephone
LSI-110/1100
8
1.3 Care and Service
Unplug the telephone from the wall outlet and remove antenna (or disconnect antenna
cable) before cleaning. Do not use liquid or aerosol cleaners. Use a damp cloth for
cleaning.
If the unit fails for any reason, do not attempt to disassemble; contact the telephone
service provider for assistance.
If any of the following conditions exist; unplug the unit at the wall plug, remove battery,
and call the service provider.
- AC/DC Adapter is damaged or frayed.
- Liquid has been spilled into the unit.
- The unit has been exposed to rain or water.
- The unit has been dropped or damaged.
- The unit does not work normally by following the operating instructions.

LGE CDMA Fixed Wireless Telephone
LSI-110/1100
9
2. Introduction
2.1 Front View of the Telephone
① Navigation Left Key : Function for decreasing volume down.
② Navigation DOWN Key : Function for scrolling down menu in menu state.
③ Menu( Soft 1) Key : Activate a Menu state
④ Send Key : Function key to call / Function for 3- way calling In call state
⑤ REDIAL Key : Function as a redialing
⑥ Navigation UP Key : Function for entering a MSG menu in idle state
/ Function for scrolling up menu in menu state
⑦ Navigation Right Key : Function for increasing volume up.
⑧ Book( Soft 2) Key : Activate a Book state
⑨ END Key : Terminate a call or a menu state.
⑩ “ # ”Key : Function as a keypad lock.
⑪ Clear Key : Key to delete the last digit.
① Navigation Left[◀]
⑦ Navigation Right[▶]
⑥ Navigation Up[]
② Navigation Down[]
③ Soft Key 1[MENU]
④ SEND[SEND]
⑤ REDIAL[REDIAL]
⑧ Soft Key 2[BOOK]
⑨ END[END]
⑪ CLEAR[CLEAR]
⑩ “#” Key : Key Pad Lock

LGE CDMA Fixed Wireless Telephone
LSI-110/1100
10
13 May, Mon
4 : 11 PM
BOOKMENU
13 May, Mon
4 : 11 PM
BOOKMENU
2.2 LCD Display
The LCD shows icons on the top of the LCD screen.
Different indicator appears based on the phone's operating mode.
1) RSSI indicator : Indicates the signal strength in the service area.
2) No service : The phone is not receiving system signal.
3) In use : Displayed when call is in progress or the phone is in off-hook and dial tone
heard.
: No service : In use
4) Text message : Displayed when a text message is received.
5) Voice message : Displayed when a voice message is received.
6) Alarm : Displayed when wake up alarm time was setting.
7) Caller ID : Displayed when caller ID is received.
8) Battery charge level : Indicates charged battery level.

LGE CDMA Fixed Wireless Telephone
LSI-110/1100
11
2.3 Installation
You should follow each step carefully as shown below in order to guarantee proper
operation of CDMA Fixed Wireless Telephone.
STEP I. Check Components
Fixed Wireless Terminal is supplied with the following standard unit and accessories;
1. LSI-110/1100 Main Unit with Antenna -1EA-
2. Battery -1EA-
3. User Guide -1EA-
4. AC/DC Adapter -1EA-
5. Charger -1EA-
Please make sure that these components are present before you begin the unit
installation. And then compare the following figures and components. If components
are missing or damage is found, contact the store where you purchased the unit
immediately.
STEP II. Place the Terminal
Place the terminal on the stable flat secure surface area (desk, table, etc.). Serious
damage may result if the unit falls. Do not place the unit on, or within 1 meter of
heaters or radiators. This unit is designed for desktop usage. Avoid direct exposure to
the sun lights and damp area.
Read the SAFETY INFORMATION located at the first part of this document before you
place the terminal
STEP III. Connect Components (See the figures in “Installation Steps”.)
Open the battery cover, securely connect the battery cord, place the battery and close
the cover.
Connect the AC/DC Adapter cable to the DC input port located at the rear side of the
charger.
-. If it is good, beep tone is heard.
-. If it is not good, you have to connect the adapter or battery, again.
Please follow the below to get better voice quality;
1. Keep away from electrical appliances such as TV, computer, radio and so on.
2. Keep terminal in a high and central location with no obstructions, such as metal
walls.
3. Raise the integral antenna of terminal to get maximum strength of receive signal
as shown figure at the next page.

LGE CDMA Fixed Wireless Telephone
LSI-110/1100
12
STEP IV. Check the LCD Display
After you follow the installation instruction step I to step III, please check the LCD for
normal operation.
If you may not see status of service, please repeat the 2nd instruction of step III. And
conform Fixed Wireless Telephone to get the proper signal strength from service
operator system.
※
The adapter type may be different by country adaptation.

LGE CDMA Fixed Wireless Telephone
LSI-110/1100
13
2.4 Installation
The adapter type may be different by country adaptation.
Be careful of power voltage.
Connect the AC
power supply line in
the charger
Connect adapter to
outlet.
Pick down the
handset on the
charger.
Press and hold the
button to
power on.
A
fter charging the
terminal, make a call.
Lock Switch :
Lift up the lever to fix the handset on
charger.
Lift up the lever to make a data call with
PC using USB port on charger.
UNLOCK
LOCK

LGE CDMA Fixed Wireless Telephone
LSI-110/1100
14
2.4 Battery Replacement Step
① Battery
② Battery Cable
③ Battery Cover
④ Charging Slot
Open the battery
cover of the unit. Connect battery cable.
Insert battery in the
unit(give care to
polarity).
Replace the battery
cover.
Press button
to make phone be
powered on for 1 sec.

LGE CDMA Fixed Wireless Telephone
LSI-110/1100
15
3. Basic Operation
3.1 Making a Call
1. Pick up the handset and press Send Key button
2. Listen for dial tone
3. Enter the phone number with area code if needed.
4. Wait for the Auto Time-out.
5. The call is connected and you can start conversation.
6. To disconnect the call, Press End button.
3.2 Redialing Last Outgoing Number
1. Pick up the handset and press Send Key button
2. Listen for dial tone.
Press Redial button. The last number that you called will be re-dialed.
If re-dialed number is a received number,( LSI-1100 Only)
1. @ will be attached in front of re-dial number
2. You can’t connect a line even if you redial.
Correcting dialing mistakes
1. Press Clear button shortly to erase the most recent digit.
2. Press and hold Clear button for at least one second.
If the phone is locked, enter the Lock Code
If the call did not go through, press the hook switch and dial again.
Battery icon is displayed only when the terminal is operating by battery without AC power.
1234567
FINDSAVE
1234567
FINDSAVE
Calling. . .
1234567
Calling. . .
1234567

LGE CDMA Fixed Wireless Telephone
LSI-110/1100
16
Call From
0123456789
Call From
0123456789
Time: 0 : 23
012345789
MUTEMENU
Time: 0 : 23
012345789
MUTEMENU
13 May, Mon
4 : 11 PM
BOOK
MENU
13 May, Mon
4 : 11 PM
BOOK
MENU
Missed 1 Call
10 : 51 AM
OK
Missed 1 Call
10 : 51 AM
OK
3.3 Receiving a Call
1. When bell rings, Press Any Key or pick up
the handset from the charger.
Press Send key at the Lock state.
2. Start conversation.
3. To disconnect the call, press End key or
pick down the handset on the charger.
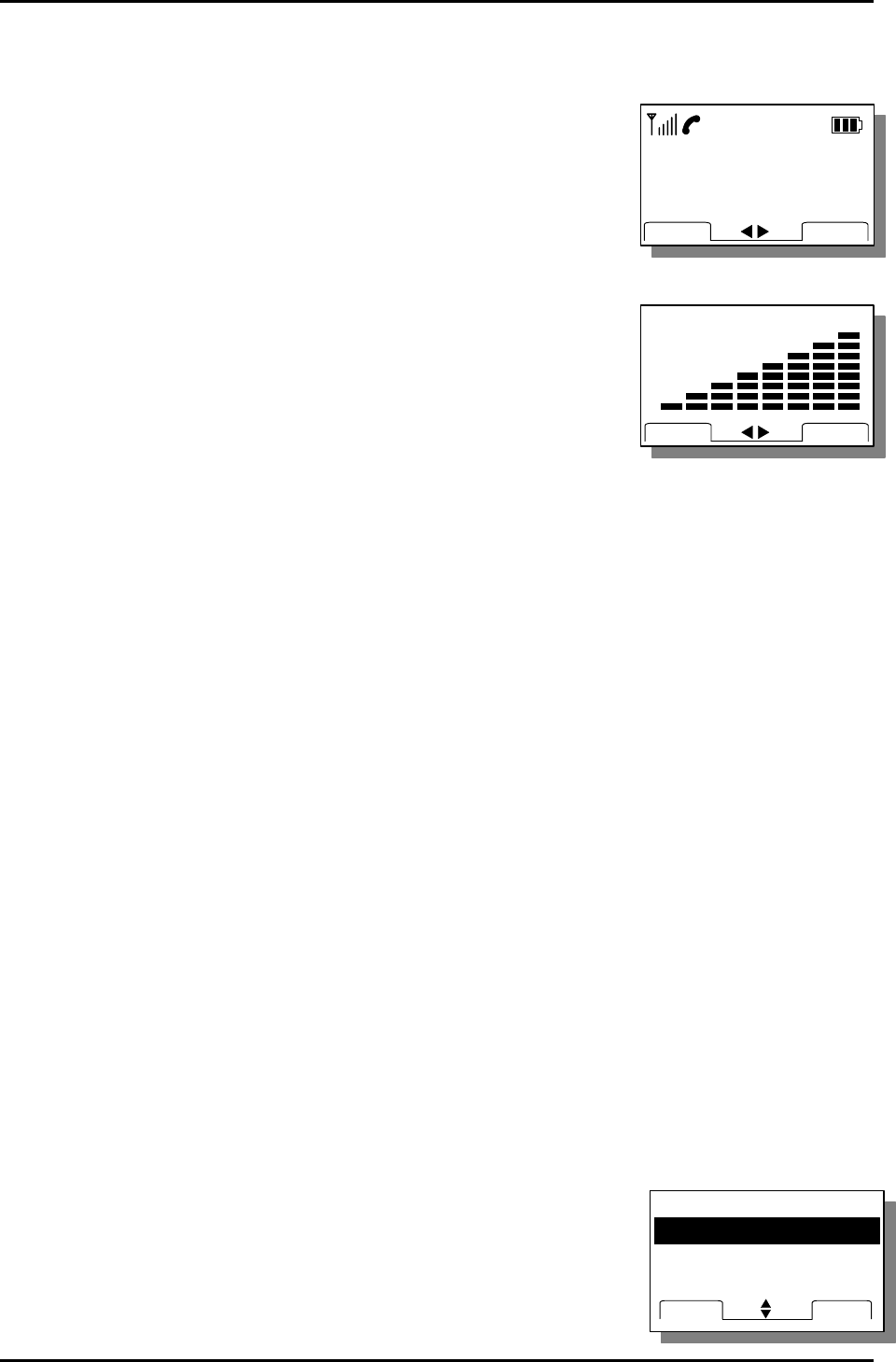
3.4 Signal Strength
The quality of calls depends on the signal strength in your area.
The stronger the signal, the better the call quality.
The signal strength icon indicates the current strength
as a number of bars. You can see the antenna and
bars according to the strength of received signal in
the upper-left part.
3.5 Missed Call Message
If a call is received and not answered for user’s absence,
You are informed that you have missed a call.
The latest missed call time and number of missed call is
displayed.
Press [OK] to erase “Missed call” message.

LGE CDMA Fixed Wireless Telephone
LSI-110/1100
17
4. List of Menu State
Main Menu Sub-Menu Setting Value Default
1. Ring Volume 4 steps
2. Key Volume 4 steps +silent
3. Ear Volume 4 steps
1. Volume / Ring
4. Ring Type 10 types
1. Wake-up time Off/Once/Always
2 .Minute alert On/Off
3.Rx call mode Voice / Fax for next / Always Fax /
Modem for next / Always modem
4.Backlight Always off / 10 seconds / 30
seconds
2. Additional
5.Own Number Display own number
1. Hot Line Off/On
2. Hot Line Time 2-9 Sec.
3. Auto time-out 2-9 Sec.
4. Speed Dialing Enable/Disable
3. Dial features
5. Key tone length Normal/Long
1. Set Lock mode On/Off
2. Clear calls No/Yes
3. Clear memory No/Yes
4. Emergency call Local(3.ea)
5. Restrict call
5.1 restrict set No restriction/restriction
/emergency only
5.2 permit memory Local(10.ea)
5.3 Deny memory Local(10.ea)
6. new code Create new lock code
4. Security

LGE CDMA Fixed Wireless Telephone
LSI-110/1100
18
MAIN MENU
2:ADDITIONL
3:DIAL FEATURES
NEXTOK
1:VOLUME / RING
MAIN MENU
2:ADDITIONL
3:DIAL FEATURES
NEXTOK
1:VOLUME / RING
RING VOLUME
NEXT
OK
RING VOLUME
NEXT
OK
KEY VOLUME
NEXT
OK
K
KEY VOLUME
NEXT
OK
K
EAR VOLUME
NEXT
OK
K
EAR VOLUME
NEXT
OK
K
4.1 Volume / Ring
This menu allows you to adjust the various different volumes.
4.1.1 Ring Volume
The received tone when you receive a call can be adjusted.
From the MENU
1. Press [MENU] + 1(Volume/Ring)+ 1(Ring Volume) in on-
hook state.
2. Press Navigation Left / Right Key or [NEXT] to adjust
ring volume.
3. Press [OK] to store the ring volume level
By the Volume button
1. Press Navigation Left / Right Key to adjust ring volume
in on-hook state
4.1.2 Key Volume
The tone when you press a key can be adjusted.
1. Press [MENU] + 1(Volume/Ring) + 2(Key Volume) in on-
hook state.
2. Press Navigation Left / Right Key or [NEXT] to adjust
key volume
3. Press [OK] to store the key volume level
.
4.1.3 Ear Volume
The voice of the other party can be adjusted in on-hook state.
1. Press [MENU] + 1(Volume/Ring) + 3(Ear Volume) in on-
hook state.
2. Press Navigation Left / Right Key or [NEXT] to adjust ear
piece volume
3. Press [OK] to store the ear volume level.
Press Navigation Left / Right Key to adjust volume during conversation.

LGE CDMA Fixed Wireless Telephone
LSI-110/1100
19
RINGER TYPE
STANDARD
RING 1
RING 2
NEXTOK
RINGER TYPE
STANDARD
RING 1
RING 2
NEXTOK
MAIN MENU
1:VOLUME / RING
3:DIAL FEATURES
NEXTOK
2: ADDITIONAL
MAIN MENU
1:VOLUME / RING
3:DIAL FEATURES
NEXTOK
2: ADDITIONAL
ALARM TIME
Once
Always
Off
NEXTOK
ALARM TIME
Once
Always
Off
NEXTOK
Wake-up Time
11 : 10 AM
OKEDIT
Wake-up Time
11 : 10 AM
OKEDIT
MUNITUE ALERT
Off
On
NEXTOK
MUNITUE ALERT
Off
On
NEXTOK
4.1.3 Ring Select
You can select the various ring types.
1. Press [MENU] + 1(Volume/Ring) + 4(Ring Type) in on-hook state.
2. Select a desired ring type with Navigation Up / Down Key or [NEXT].
There are 10 different ring types.
Those are Standard,Option 1,Option 2, Option 3,
Option 4, Habanera, Deutsch song, La Primavera,
Oh! susanna, Beethoven
4.2 Additional feature
4.2.1 Wake-up Time
This function allows you to adjust Wake-up Time.
1. Press [MENU] + 2(ADDITIONAL) + 1(Wake-up Time)
In on – hook State
2. Select Off, Once or Always by [NEXT] and press [OK].
3. Press [EDIT] and set the time.
4. Select A.M. or P.M. by [AM/PM].
5. If you want to modify the wrong time, press Clear button and
set again.
6. Press [OK] to save and exit
4.2.2 Minute Alert
Alerts you every minute during a call.
1. Press [MENU] + 2(ADDITIONAL) + 2(Minute Alert)
In on – hook State
2. Select On or Off by [NEXT] or Navigation Left / Right Key.
3. Press [OK] to save and exit
4.2.3 Set Rx call mode

LGE CDMA Fixed Wireless Telephone
LSI-110/1100
20
RX CALL MODE
Voice
Fax For Next
Always Fax
NEXTOK
RX CALL MODE
Voice
Fax For Next
Always Fax
NEXTOK
BACKLIGHT
Always Off
10 Seconds
30 Seconds
NEXTOK
BACKLIGHT
Always Off
10 Seconds
30 Seconds
NEXTOK
DIAL FEAUTRES
2:Hot Line Time
3:Auto Time-Out
NEXTOK
1:Hot Line
DIAL FEAUTRES
2:Hot Line Time
3:Auto Time-Out
NEXTOK
1:Hot Line
Hot Line
Off
On
NEXTOK
Hot Line
Off
On
NEXTOK
1. Press [MENU] + 2(ADDITIONAL) + 3(RX Call Mode)
in on – hook State.
2. Select Voice, Fax for next, Always Fax, Modem for
next by Navigation Left / Right Key or [NEXT] .
3. Press [OK] to save and exit.
4.2.4 Backlight
1. Press [MENU] + 2(ADDITIONAL) + 4(Backlight)
in on – hook State.
1. Select Always off, 10 seconds, 30 seconds by
Navigation Up / Down Key or [NEXT] button.
2. Press [OK] to save and exit.
4.2.5 Own number
1. Press [MENU] + 2(ADDITIONAL) + 5(Own Number)
in on – hook Sate.
2. Press [OK] to exit.
4.3 Dial features
4.3.1 Hot Line
1. Press [MENU] + 3 (DIAL FEATURES) + 1(Hot Line)
in on – hook state.
2. Select On or Off by [NEXT] or Navigation Up / Down key.
and press [OK] to select.
3. Press [EDIT] to input Hot Line phone number.
4. Enter the Hot Line phone number.
5. Press [OK] to save and exit.
4.3.2 Hot Line Time
1. Press [MENU] + 3 (DIAL FEATURES) + 2(Hot Line time)
In on – hook Sate.
Own Number
012-345-6789
OK
Own Number
012-345-6789
OK
Hot line
119
OKEDIT

LGE CDMA Fixed Wireless Telephone
LSI-110/1100
21
Hot Line Time
2 Sec
3 Sec
4 Sec
NEXTOK
Hot Line Time
2 Sec
3 Sec
4 Sec
NEXTOK
Auto Time-Out
2 Sec
3 Sec
4 Sec
NEXTOK
Auto Time-Out
2 Sec
3 Sec
4 Sec
NEXTOK
SPEED DIALING
Disable
Enable
NEXTOK
SPEED DIALING
Disable
Enable
NEXTOK
2. Select hot line connection time(2~9 sec.) by [NEXT] or
Navigation Up / Down key.
3. Press [OK] to select.
4.3.3 Auto Time-out
Setting the length of time the phone waits before automatically
dialing a number. You can select this time between 2 and 9
second.
1. Press [MENU] + 3(DIAL FEATURES) + 3(Auto Timeout)
In on – hook State.
2. Select Auto time-out second between 2 and 9 by [NEXT] or
Navigation Up / Down key.
3. Press [OK] to select.
4.3.4 Speed Dial (enable / disable)
1. Press [MENU] + 3 (DIAL FEATURES) + 4(Speed Dialing) in
on – hook State.
2. Select Enable or Disable by [NEXT] or Navigation Up /
Down key and press [OK] to save and exit.
This function can be used when the Speed Dial is set to Yes.
Speed Dial Function
1. You can store phone numbers in memory locations (1~99) and place a call.
2. Press the memory number (1 through 99) corresponding to the appropriate memory

LGE CDMA Fixed Wireless Telephone
LSI-110/1100
22
DIAL FEAUTRES
4:Speed Dialing
NEXTOK
5:KeyTone Length
DIAL FEAUTRES
4:Speed Dialing
NEXTOK
5:KeyTone Length
KEY TONE LENGTH
Long
Normal
NEXTOK
KEY TONE LENGTH
Long
Normal
NEXTOK
Enter
Lock Code
ㅡㅡ
**
Enter
Lock Code
ㅡㅡ
**
SECURITY
2:Clear Calls
3:Clear Memory
NEXTOK
1:Set Lock Mode
SECURITY
2:Clear Calls
3:Clear Memory
NEXTOK
1:Set Lock Mode
SET LOCK
Off
On
NEXTOK
SET LOCK
Off
On
NEXTOK
CLEAR CALL STACK
No
Yes
NEXTOK
CLEAR CALL STACK
No
Yes
NEXTOK
location, and hold for a few seconds.
4.3.5 Key-tone Length
Setting key beep playback length. Possible settings are
Normal and Long.
3. Press [MENU] + 3(DIAL FEATURES) + 5(KeyTone Length)
in on – hook State.
4. Select Normal or Long by [NEXT] or Navigation Up / Down key and press [OK] to
select.
4.4 Security Features
4.4.1 Lock Mode Set
This function prevents your phone from being used without
permission. Typical default value is 0000. Possible settings are
ON/OFF. The OFF means that the phone is not locked. ON sets
the phone locked immediately.
1. Press [MENU] + 4 (SECURITY)
2. Enter your own 4 digit lock code
When this product comes out, the default is 0000.
3. Press 1(Set Lock Mode)
4. Select Off, On by [NEXT] or Navigation Up / Down key.
5. Press [OK] to save and exit.
4.4.2 Clear Calls
When a previous outgoing or incoming call history is stored in a memory location, you
can erase the all call history.
1. Do the above 1 and 2 steps of 4.4.1.

LGE CDMA Fixed Wireless Telephone
LSI-110/1100
23
CLEAR WHOLE BOOK
No
Yes
NEXTOK
CLEAR WHOLE BOOK
No
Yes
NEXTOK
123
QUITOK
123
QUITOK
2. Press 2(Clear Calls)
3. Press [YES] to erase all call history.
4.4.3 Clear Memory
When you want to delete phonebook memory, you can erase
all phonebook memory.
1. o the above step1 and 2 of 4.4.1.
2. Press 3(Clear Memory).
3. Press [YES] to erase all phone memory.
4.4.4 Emergency Call
Even if your phone is locked you can make calls to 3
emergency numbers
1. Do the above step1 and 2 of 4.4.1.
2. Press 4(Emergency Call)
3. Press [NEXT] or Navigation Up / Down key to choose the
number from 1 to 3.
4. Press [EDIT].
5. Enter the emergency phone number.
6. Press [OK] to save the number.
7. Press [NEXT] or Navigation Up / Down key to edit
others or Press End button to exit emergency call process.
4.4.5 Restriction Call Service
This function is a convenient feature which enables user to restrict using any phone number.
To forbid using any phone number, user must set the number in deny edit.
Can’t use any phone number(max 32digits) started with the number saved in deny edit.
If user set the phone number in permit edit, can use any phone number (max 32digits)
started with the number even if the phone number is set in deny edit.
Ex) example to restrict using the phone number started with “700” .
EMERGENCY 1
123
NEXTEDIT

LGE CDMA Fixed Wireless Telephone
LSI-110/1100
24
MAIN MENU
NEXTOK
4:SECURITY
MAIN MENU
NEXTOK
4:SECURITY
Enter
Lock Code
ㅡㅡ
**
Enter
Lock Code
ㅡㅡ
**
RESTRICT CALL
2:Permit Memory
3:Deny Memory
NEXTOK
1:Restrict Set
RESTRICT CALL
2:Permit Memory
3:Deny Memory
NEXTOK
1:Restrict Set
RESTRICT SET
No restriction
restirction
Emergency Only
NEXTOK
RESTRICT SET
No restriction
restirction
Emergency Only
NEXTOK
RESTRICT CALL
1:Restrict Set
3:Deny Memory
NEXTOK
2:Permit Memory
RESTRICT CALL
1:Restrict Set
3:Deny Memory
NEXTOK
2:Permit Memory
1. set “Restriction” in Restrict set menu (Menu 4.5.1)
2. set “700” in deny edit. (Menu 4.5.3)
3. set “700-1234” in permit edit.(Menu 4.5.2)
Result : user can use the phone number started with “700-1234”.
4.4.5.1 Restrict set
No restriction
This is a general function which has no any restrictions
Restriction
This is a function that you can set permitted phone number and denied phone number.
Emergency only
This is a function which enable you to call only emergency numbers.
1. Press [MENU] and 4(SECURITY ).
2. Enter a lock code using key pad.
3. Press 5(Restrict Call) and 1(Restrict Set).
4. Select “No Restriction” ,” Restriction” or “Emergency
only ” using [NEXT] or Navigation Up / Down key and
press [OK].
♦ Below 4.4.5.2 and 4.4.5.3 function can be used when the Restrict set is set to
“Restriction”.
4.4.5.2 Permit memory
You can call it if the phone numbers saved in permit edit
though they were saved in deny edit. You can save 10 permit
phone numbers.
1. Do the above step 1~2 of 4.4.1.

LGE CDMA Fixed Wireless Telephone
LSI-110/1100
25
Time : 0:23
1234567
MUTE
MENU
Time : 0:23
1234567
MUTE
MENU
RESTRICT CALL
1:Restrict Set
2:Permit Memory
NEXTOK
3:Deny Memory
RESTRICT CALL
1:Restrict Set
2:Permit Memory
NEXTOK
3:Deny Memory
Enter
New Code ㅡㅡ **
QUITOK
Enter
New Code ㅡㅡ **
QUITOK
2. Press 5(Restrict Call) and 2(Permit Memory).
3.Press [EDIT] to edit permit phone number.
4.Enter the permit phone number.
5.Press [OK] to save and exit.
4.4.5.3 Deny memory
You couldn’t call any phone numbers saved in deny edit.
You can save 10 deny phone numbers.
1. Do the above step 1~2 of 4.4.1
2. Press 5(Restrict Call) and 3(Deny Memory).
3. Press [EDIT] to edit deny number.
4.Enter the deny phone number.
5.Press [OK] to save and exit.
4.4.6 New Lock Code
You can change a new lock code(4digits).
1. o the above step1~2 of 4.4.1.
2. Press 6.(New Code)
3. Enter new lock code and press [OK] to save.
4. Enter new lock code again to confirm and press [OK] to
save.
5. Functions while in a call
5.1 Mute
This function prevents your voice from being transmitted but you
can call still hear other side.
1. Press [MUTE] button while in a call.
Restrict 1
54321
NEXTEDIT
Restrict 1
54321
NEXTEDIT
Permit 1
12345
NEXTEDIT
Permit 1
12345
NEXTEDIT

LGE CDMA Fixed Wireless Telephone
LSI-110/1100
26
RECALL
2:FROM MEMORIES
BOOKOK
1:FROM LAST CALL
RECALL
2:FROM MEMORIES
BOOKOK
1:FROM LAST CALL
2. You could see “MUTE” message blinking on the right
side of the LCD
3. To release Mute, Press [TALK] button.
5.2 Ear Volume
You may adjust ear volume while you are in a call.
The Navigation Left / Right Key in the middle of the phone can be used to adjust ear
volume.
6. Searching, Editing & Dialing
6.1 Retrieving Phone Number by Name
1. Press [BOOK] and 2(FROM MEMORIES)
2. Press 1 button to retrieve phone number by name.
Time : 0:23
1234567
TALK
MENU
Time : 0:23
1234567
TALK
MENU
NEXT
OK
EAR VOLUME
NEXT
OK
NEXT
OK
EAR VOLUME
NEXT
OK

LGE CDMA Fixed Wireless Telephone
LSI-110/1100
27
3. Enter the name that you want to look for and press [FIND].
At least two letters are recommended for quick search.
Press Navigation Up / Down Key to scroll through the list of matches.
4. Press [VIEW] to see information in that location.
Pick up handset and Press Send button to make
a call.
You can edit the phone number by pressing [EDIT]
button.
6.2 Retrieving Phone Number by Address
1. Press [BOOK] and 2(FROM MEMORIES)
2. Press 2 button to retrieve a phone number by address.
3. Enter a memory address to retrieve phone number.
(ex: If you enter a memory address, 01.)
If there is no stored phone number in the memory
location, “Empty Location” is displayed.
If you press [FIND] button without entering number, you
see the whole phone number list in the memory Location
and you can find the number by scrolling the list.
4. Pick up the handset and Send button to call to displayed number, press [EDIT] to
edit stored information or press [DEL] to delete displayed information.
Edit process
Modify name by Clear button and keypad.
(MAX 17 Characters)
1) Delete name by Clear button.
2) Enter the modified name.
Lookup Name?
_
FINDABCD
Lookup Name?
_
FINDABCD
01 : JAMES
09 : JAMES
43 : JAMES
DELVIEW
01 : JAMES
09 : JAMES
43 : JAMES
DELVIEW
JAMES
ADDR : 01
TYPE : < >
1234567
DEL
EDIT
JAMES
ADDR : 01
TYPE : < >
1234567
DEL
EDIT
Lookup Location?
??
FIND
Lookup Location?
??
FIND
01 : JAMES
02 : ABCD
03 : DEF
DELVIEW
01 : JAMES
02 : ABCD
03 : DEF
DELVIEW
JAMES_
ADDR : 01
TYPE :
1234567
ABCD
SAVE
JAMES_
ADDR : 01
TYPE :
1234567
ABCD
SAVE

LGE CDMA Fixed Wireless Telephone
LSI-110/1100
28
3) Press Navigation Down Key to go to the next step.
Enter a new memory address to store a new information or choose the new
memory address
1) Press Navigation Down Key to go to the next
step.
Select secret or in secret icon secret by Navigation
Left / Right Key
1) Press Navigation Down Key to go to the next step.
Select the Phone Number Type by Navigation Left /
Right key.
1) Press Navigation Down Key to go to the next step.
Modify the phone number by Clear button
(MAX 32 Digits)
1) Delete the phone number by Clear button.
2) Enter the modified phone number.
Press [SAVE] to store the edited information
Quitting process
You might press [QUIT] to go to Idle State at the above step 5.
6.3 Retrieving Phone Number by NUMBER
1. Press [BOOK] and 2(FROM MEMEORIES).
2. Press 3 button to retrieve a phone number by number.
3. Enter the phone number that you want to find and press
[FIND] button.
If there is no stored phone number in the memory
location, “No number matches” is displayed.
4. Pick up the handset from the charger or press Send button to
call to displayed number, press [EDIT] to edit stored
JAMES
ADDR :<01>
TYPE :
1234567
QUIT
SAVE
JAMES
ADDR :<01>
TYPE :
1234567
QUIT
SAVE
JAMES
ADDR : 01 < >
TYPE :
1234567
QUIT
SAVE
JAMES
ADDR : 01 < >
TYPE :
1234567
QUIT
SAVE
JAMES
ADDR : 01
TYPE : < >
1234567
QUIT
SAVE
JAMES
ADDR : 01
TYPE : < >
1234567
QUIT
SAVE
JAMES
ADDR : 01
TYPE :
1234567_
QUIT
SAVE
JAMES
ADDR : 01
TYPE :
1234567_
QUIT
SAVE
Lookup Number?
FIND
Lookup Number?
FIND
01 : JAMES
12 : Silvia
DELVIEW
01 : JAMES
12 : Silvia
DELVIEW

LGE CDMA Fixed Wireless Telephone
LSI-110/1100
29
RECALL
2:FROM MEMORIES
BOOKOK
1:FROM LAST CALL
RECALL
2:FROM MEMORIES
BOOKOK
1:FROM LAST CALL
CLEAR WHOLE BOOK
No
Yes
NEXTOK
CLEAR WHOLE BOOK
No
Yes
NEXTOK
ERASE? #01
No
Yes
NEXTOK
ERASE? #01
No
Yes
NEXTOK
information or press [DEL] to delete displayed information.
Edit process.
Quitting process
Do the above step of 6.2.2.
6.4 Fast Searching
1. Press [BOOK] button
2.Press [BOOK] button again.
You see the whole phone number list in the memory
Location and you can find the number by scrolling the list.
6.5 Clear Memory
When you want to delete phonebook memory, you can erase all phonebook memory.
4. Press [MENU] + 4(Security) + Enter Lock Code
5. Press 3(Clear Memory).
6. Select ‘Yes’ using Navigation Up /Down Key or [NEXT]
button
7. Press [OK] to erase all phone memory.
7.SMS (Short Message Service)
Messaging, Paging, and Voice mail features are available when your phone is turned
on. Using Message button allows you to access messages for viewing on the LCD
screen or to send a message.
Check with your WLL service provider regarding the availability of this feature. The
information in a message depends on the mode the WLL is operating in and the
service’s capabilities.
7.1 Checking & Deleting Received Message
7.1.1 Text Message
01 : JAMES
02 : ABCD
03 : DEF
DELVIEW
01 : JAMES
02 : ABCD
03 : DEF
DELVIEW
SMS MENU
2: MSG SENDING
3: MSG NOTIF
1: MSG RECEIVED
NEXT
OK
SMS MENU
2: MSG SENDING
3: MSG NOTIF
1: MSG RECEIVED
NEXT
OK

LGE CDMA Fixed Wireless Telephone
LSI-110/1100
30
ERASE ?
No
Yes
NEXTOK
ERASE ?
No
Yes
NEXTOK
1. Press MESSAGE button and 1(MSG RECEIVED)
2. Press 1(Text MSG) to see a received text message list.
Locate to the desired message in the list.
Mark “( “means already a checked message.
3. Press [VIEW] to see the content of desired message.
You can see the message with received time and caller’s
phone number.
You can read a l message.
4. Press [DEL] to erase a message.
Press [OK] to complete erasing process.
7.1.2 Voice Message
Voice mail notifications indicate the number of new voice mail message in your mail box.
Only the most recent voice mail notification will be stored in the WLL phone; previous
messages will be overwritten. When a voice mail messages left for you, the WLL phone
will alert and display “ * Voice Mail * “. You must call your voice mail service to retrieve
these messages.
1. Press MESSAGE button and 1(Received MSG) in idle state.
2. Press 2(Voice MSG) to check the voice message.
If there is no voice message, “No Voice Mail was
received” is displayed.
5/13 4 : 11 PM
<VOICE MAIL>
1 NEW Message
5/13 4 : 11 PM
<VOICE MAIL>
1 NEW Message
MSGRECEIVDE
2: VOICE MSG 8
3: MSG NOTIF
1: Text MSG 1/5
NEXT
OK
MSGRECEIVDE
2: VOICE MSG 8
3: MSG NOTIF
1: Text MSG 1/5
NEXT
OK
!01 : Hello!
02 : Hi!
03 : Good Morning
DELEDIT
!01 : Hello!
02 : Hi!
03 : Good Morning
DELEDIT

LGE CDMA Fixed Wireless Telephone
LSI-110/1100
31
MSG NOTIF
Off
Once
Every 2 Min
NEXTOK
MSG NOTIF
Off
Once
Every 2 Min
NEXTOK
ERASE All ?
No
Yes
NEXTOK
ERASE All ?
No
Yes
NEXTOK
Press [DEL] to delete the voice message.
7.1.3 Erasing all Received Message
1. Press MESSAGE button and 1(MSG RECEIVED).
2. Press 3(Clear All)
3. Press [OK] to delete.
7.2 MSG Notification tone select
1. Press Up button and 3(MSG NOTIF).
2. Select off, once, Every 2 Min by pressing [NEXT] or
Navigation Up / Down Key.
. 3. Press [OK] to save and exit.
7.3 Message Sending
7.3.1 Sending a New Message
1. Press Navigation Up button and 2(MSG SENDING)
2. Press 1(New Message) to send a new message
3. Enter the called number and press [OK]
You can find the called number in the memory by [FIND] button
4. Enter the call back number and press [OK]
Call Back Number
0123456789
OK
Call Back Number
0123456789
OK
MSG SENDING
2:Sent Message
3:Clear All
1:New Message
NEXT
OK
MSG SENDING
2:Sent Message
3:Clear All
1:New Message
NEXT
OK
SMS MENU
1: MSG RECEIVED
3: MSG NOTIF
2:MSG SENDING
NEXT
OK
SMS MENU
1: MSG RECEIVED
3: MSG NOTIF
2:MSG SENDING
NEXT
OK

LGE CDMA Fixed Wireless Telephone
LSI-110/1100
32
<MSG Input>
abcd_
ABCD
OK
<MSG Input>
abcd_
ABCD
OK
5. Input a message and press [OK] to send
Press [ABCD] to change upper or lower case character
6. Select Yes/No to store the message. Press [OK] to send
7.3.2 Sending the sent Message or message after editing the Sent Message
1. Press Navigation Up button and 2(MSG SENDING)
2. Press 2(Sent Message) to see a received
text message list.
Locate to the desired message in the list.
3. Press [EDIT] to edit the content of the selected message.
You can see the selected sent message
Edit the message. Press [ABCD] to change upper
or lower case character
4. Press [OK] Button.
5. Enter the called Number and press [OK]
6. Enter the call back Number and press [OK]
7. Select Yes/No to store Message. Press [OK] to send the
MSG
Store Message ?
No
Yes
NEXT
OK
Store Message ?
No
Yes
NEXT
OK
01 : Hello!
02 : Hi!
03 : It's Me.
DELEDIT
01 : Hello!
02 : Hi!
03 : It's Me.
DELEDIT
<Message Input>
Hello!
ABCDOK
<Message Input>
Hello!
ABCDOK
Called Number
BOOKOK
Called Number
BOOKOK
Store Message ?
No
Yes
NEXT
OK
Store Message ?
No
Yes
NEXT
OK
Called Number
BOOKOK
Called Number
BOOKOK
MSG SENDING
2:Sent Message
3:Clear All
1:New Message
NEXT
OK
MSG SENDING
2:Sent Message
3:Clear All
1:New Message
NEXT
OK

LGE CDMA Fixed Wireless Telephone
LSI-110/1100
33
ERASE ALL ?
No
Yes
NEXTOK
ERASE ALL ?
No
Yes
NEXTOK
7.3.3 Erasing a Sent Message
1. Press Navigation Up button and 2(MSG SENDING)
2. Press 3(Clear All) to clear text message list.
3. Press [OK] to erase a message.
8.Beside Functions
8.1 Redial
Pick up the handset.
Send button and Redial button to redial last outgoing number.
8.2 Finding Last Call History
Pick up the handset from the charger or press Send button and Redial button to redial
last outgoing number.
MSG SENDING
2:Sent Message
3:Clear All
1:New Message
NEXT
OK
MSG SENDING
2:Sent Message
3:Clear All
1:New Message
NEXT
OK
@0123456789
Silvia
23456789
QUITVIEW
@0123456789
Silvia
23456789
QUITVIEW
(LSI-1100 Only)
If re-dialed number is a received number,
@ will be attached in front of re-dial number.
You can’t connect a line even if you redial at above case.

LGE CDMA Fixed Wireless Telephone
LSI-110/1100
34
1234567
FIND
SAVE
1234567
FIND
SAVE
PHONE NUMBER TYPE
QUIT
SAVE
PHONE NUMBER TYPE
QUIT
SAVE
_
ADDR : 01
TYPE :
1234567
ABCD
SAVE
_
ADDR : 01
TYPE :
1234567
ABCD
SAVE
8.3 Flash
The same as that of a single line phone
8.4 Safe mode
Even if you misplaced the handset for long, The phone
returns to the normal state.
After the ROH tone, The phone returns to the IDLE state as
the picture and the phone is able to receive a call.
9. Storing Phone Number
9.1 Storing/Editing Phone Numbers
9.1.1 Storing Phone Numbers
Frequently used phone numbers can be stored on the memory locations (01~99: 2 digits)
and you can make a call by pressing memory location number in off-hook state.
1. Enter the area code and phone number in on-hook state.
(Max. 32 digits)
2. Press [SAVE].
3. Select Phone number Type by Navigation Left Key
13 May, Mon
4 : 11 PM
BOOK
MENU
13 May, Mon
4 : 11 PM
BOOK
MENU

LGE CDMA Fixed Wireless Telephone
LSI-110/1100
35
MAIN NUMBER
QUITSAVE
MAIN NUMBER
QUITSAVE
ABC
ADDR : 01
TYPE :< >
1234567
ABCD
SAVE
ABC
ADDR : 01
TYPE :< >
1234567
ABCD
SAVE
ABC
ADDR : 01 < >
TYPE :
1234567
ABCD
SAVE
ABC
ADDR : 01 < >
TYPE :
1234567
ABCD
SAVE
ABC
ADDR : <01>
TYPE :
1234567
ABCD
SAVE
ABC
ADDR : <01>
TYPE :
1234567
ABCD
SAVE
ABC
ADDR : 01
TYPE :
1234567_
ABCD
SAVE
ABC
ADDR : 01
TYPE :
1234567_
ABCD
SAVE
or Navigation Right Key.
4. Press [SAVE].
5. Enter the name in text mode and press Navigation Down Key to go to the next step.
Press [ABCD] to change upper or lower case characters. (Max. 17 characters)
To store without name, just press Navigation Down Key
Refer to “To enter a character”.
6. Enter the desired memory location and and press
Navigation Down Key to go to the next step.
The phone number is stored in the displayed memory location.
7. The phone will display an icon asking to keep your number as secret or not.
Select “secret icon” or “in secret icon” by Navigation Left /
Right Key.
Press Navigation Down Key to go to the next step.
8. The phone will display an icon asking for the Phone
number type to store your number.
Select Phone Type by Navigation Left / Right Key.
Press Navigation Down Key to go to the next step
9. The cursor will be on the next location of the input number.
If you want to edit the input number,
Modify the phone number by Clear button
Enter the modified number.
10. Press [SAVE] to store above the information.
If you enter another number after you select another phone number type,
The phone will display icons asking for the representative
number type.
Press [SAVE] after you select the representative
number type by Navigation Left / Right Key.
Press [SAVE] at each steps if you want to store the
entered information at above each steps

LGE CDMA Fixed Wireless Telephone
LSI-110/1100
36
ABC
is stored
in 01
ABC
is stored
in 01
- MEMORY -
USED : 01
empty : 98
- MEMORY -
USED : 01
empty : 98
You can see a confirming message.
Also you can see a condition of used memory.
To enter a character.
You can enter English character in editing mode.
You can enter English character as default, and press Message to select specific character.
To enter English character.
Press once a keypad to enter the first letter labeled in the keypad, twice to enter the
second letter and 3 times to enter the third letter.
EX) To enter “L”,
Press dial button 5 labeled “JKL” 3 times to enter “L”.
After 2 seconds entering a character, the cursor is moved to the next position
automatically.
Press Navigation button to move the cursor.
Press Clear button to erase or correct entered character.
To enter specific character,
Press Message to view a desired character while you are entering names.
Special characters includes *, #, %, “, :, +, <, >, =, and more
Press the number next to the character you want insert.

LGE CDMA Fixed Wireless Telephone
LSI-110/1100
37
Lookup Number?
FIND
Lookup Number?
FIND
ERASE? #01
No
Yes
NEXTOK
ERASE? #01
No
Yes
NEXTOK
- Erased ! -
- Erased ! -
Lookup Number?
FIND
Lookup Number?
FIND
9.1.2 Erasing Stored Phone Numbers
When a phone number is stored in a memory location, you can erase the stored phone
number.
1. Press [BOOK] + 1(FROM MEMORIES) + 3(By Number)
and enter a number of the desired memory
location to erase.
If there is no stored phone number in the memory
location, “Empty Location” is displayed.
If you do not remember the memory location to erase,
press [FIND] to search phone number by memory
location
2. Erasing process
Press [DEL] to delete
.
Select ‘Yes’ using Navigation Up Key/ Navigation
Down Key or [NEXT] button
Press [OK] to complete erasing process.
9.2 Finding Stored Phone Numbers
You can see all the list of stored phone numbers in memory list and if you forgot the
memory location, can find it in sequence. And You can place a call with the phone
number.
1. Press [BOOK] + 1(FROM MEMEORIES) +3(By Number) in
on-hook state.
01 : JAMES
12 : Silvia
DELVIEW
01 : JAMES
12 : Silvia
DELVIEW

LGE CDMA Fixed Wireless Telephone
LSI-110/1100
38
2. Press [FIND] button to find the desired phone number.
Locate in the desired name or address to find.
If not any entered name, phone number is displayed.
3. Press [VIEW] to see the stored number.
3. To make a call with the phone number in the state of step 2
or step 3, pick up the handset from the charger or Press
Send button and wait for Auto Time-out.
10. General Information
Main Unit
Item LSI-110 LSI-1100
Tx Frequency Digital : 824 ~ 849 MHz Digital : 1850 ~ 1910 MHz
Rx Frequency Digital : 869 ~ 894 MHz Digital : 1930 ~ 1990 MHz
Channel Bandwidth 1.25 MHz 1.25 MHz
Tx Power Digital : Max. 0.2W Digital : Max. 0.2W
Rx Sensitivity -104 ~ -25dBm -104 ~ -25dBm
Size 45 X 161 X 35.7 (L X W X H) 45 X 161 X 35.7 (L X W X H)
About 124(with battery) About 129(with battery) Weight(g)
About 102 (without battery) About 107 (without battery)
Operating
Temperature
0 ~ 50℃ 0 ~ 50℃
AC/DC Adapter
Item SMPS Type Description
01 : JAMES
12 : Silvia
DELVIEW
01 : JAMES
12 : Silvia
DELVIEW
JAMES
ADDR : 01
TYPE : < >
1234567
DEL
EDIT
JAMES
ADDR : 01
TYPE : < >
1234567
DEL
EDIT

LGE CDMA Fixed Wireless Telephone
LSI-110/1100
39
Input Voltage AC 100 ~ 240V / 0.2A
Input Frequency 50 / 60Hz
Output Voltage DC12V, 0.5A
Battery
Item Description
Capacity 3.7V LI-ion 750mAh
Talk duration time 1 Hours
Standby duration time 72 Hours
Charging duration time Quick charge 3 Hours

LGE CDMA Fixed Wireless Telephone
LSI-110/1100
40
Licensed by QUALCOMM Incorporated under one or more of the following Patents:
U.S, Patent No. 4,901,307 U.S, Patent No. 5,056,109 U.S, Patent No. 5,099,204
U.S, Patent No. 5,101,501 U.S, Patent No. 5,103,459 U.S, Patent No. 5,107,225