Maxtronic Co ARENALA SCSI to IDE Disk Array System User Manual 50588
Maxtronic International Co Ltd SCSI to IDE Disk Array System 50588
UserManual.wiki
>
Maxtronic Co
>
ARENALA User Manual HTML Version
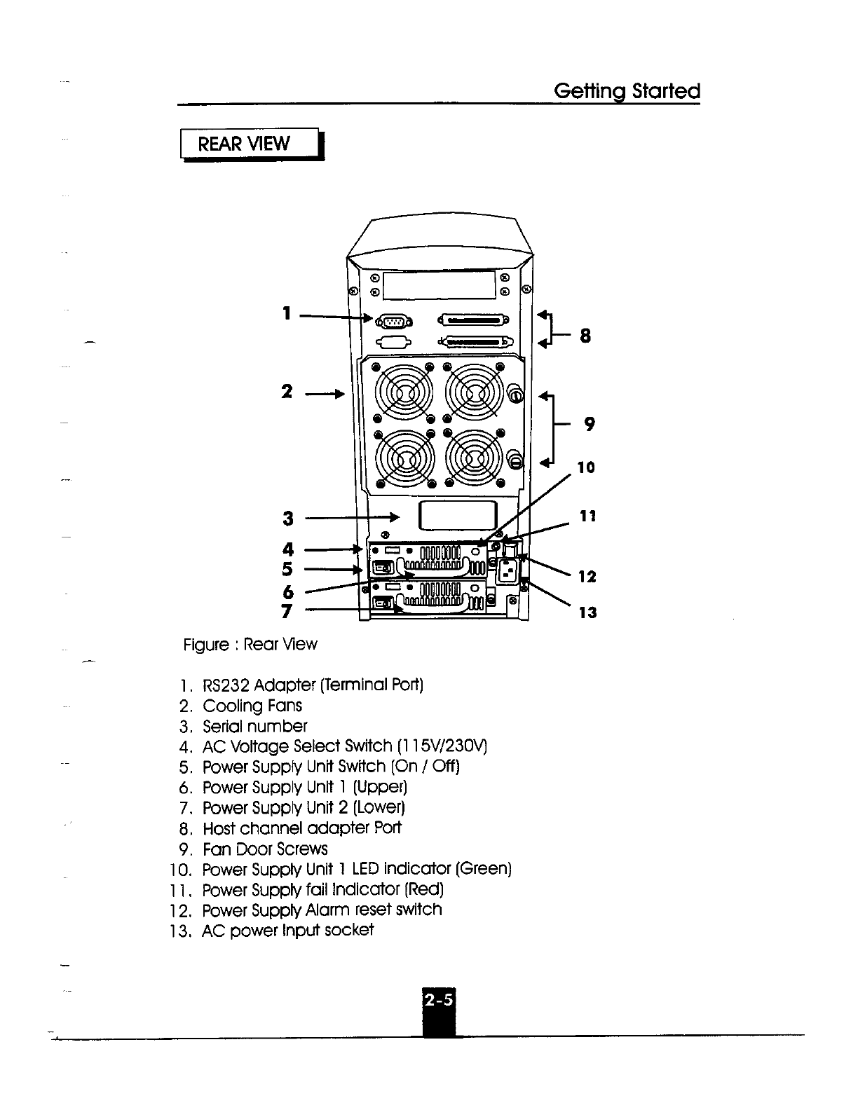
8
Navigation menu
Upload a User Manual
Namespaces
Wiki Guide
HTML
PDF
Info
Views
User Manual
Discussion / Help
Navigation