Maxtronic Co DESKFORCEII DISK ARRAY User Manual AR 8198
Maxtronic International Co Ltd DISK ARRAY AR 8198
MANUAL

Ultra
160
SCSI
to
IDE
Disk
Array
System
User’s
Guide
VVeerrssiioonn
11..00
FFeebb..
22000033
P/N. G414239
Arena
DeskForce II

Ultra
160
SCSI
to
IDE
Disk
Array
System
User’s
Guide
VVeerrssiioonn
11..00
FFeebb..
22000033
P/N. G414239
AR-88198

2003 MaxTronic International Co., Ltd. All rights reserved.
No part of this written material may be reproduced, stored in a
retrieval system, used in any form or by any means, electronic or
mechanical, photocopying, recording, or otherwise, without the
written permission of MaxTronic International CO., LTD.
CCooppyyrriigghhtt
NNoottiiccee


1. Before starting, take a few minutes to
read this manual, read all of these instructions
and save this manual for later reference.
2. Protect the Disk Array from extremely high or low
temperatures. Let the Disk Array warm (or cool ) to
room temperature before using it.
3. Protect the Disk Array from being bumped or
dropped. Do not place this product on an
unstable cart, stand, or table. It may fall, causing
serious damage to the product.
4. Keep the Disk Array away from magnetic forces.
5. Do not use this product near water.
6. Keep the Disk Array away from dust, sand, or dirt.
7. Gaps and openings in the cabinet and the back
are provided for ventilation. To ensure reliable
operation and to protect it from overheating, the
gaps and openings should never be blocked
or covered by placing the product on a bed,
sofa, rug, or other similar surface.
8. Do not place this product near or over a radiator
or heat register.
9. Refer to rating plate for voltage and check the
appliance voltage corresponds to the supply
voltage.
10. The appliance must be grounded. This product is
equipped with a 3wire grounding-type power
cord, this power cord will only fit into a
groundingtype power outlet.
IImmppoorrttaanntt!!
SSaaffeettyy
IInnssttrruuccttiioonnss,,
CCaarree
aanndd
HHaannddlliinngg

11. If an extension cord or a power center is used
with this product, make sure that the total of all
products plug into the wall outlet does not
exceed the ampere rating.
12. Do not place the Disk Array where the cord will
be walked on.
13. Never push any kind of object into this product
through cabinet gaps and openings, they may
touch dangerous voltage points cause a risk of
fire or electric shock.
14. Unplug the power cord from the wall outlet
before cleaning. Keep the Disk Array dry. Do not
use liquid cleaners, aerosol cleaners, or a wet
cloth. Use a damp cloth for cleaning.
15. Except as specifically explained in this User’s
Manual, please do not attempt to service this
product by yourself. Opening or removing the
covers may expose you to dangerous voltages.
16. Unplug this product from the wall outlet and refer
servicing to qualified service personnel under the
following conditions :
If this product has been exposed to water or
any liquid.
If the product has been dropped or the
cabinet damaged.

When selecting a suitable working location, please consider :
Ventilation
Temperature
Dust and dirt
Electromagnetic and Radio Frequency Interference.
Security
The selected location should provide at least six inches of open
space around the Disk Array cabinet for proper air flow.
Your Disk Array functions best at normal room temperature. Choose
a location free from extreme heat or cold.
Your Disk Array should be used in a clean environment that is free
from airborne contaminants such as dust, dirt, and smoke. Excessive
moisture or oil particles in the air can also hinder your system’s
performance.
To reduce the possibility of data errors caused by electromagnetic
interference, locate your Disk Array at least five feet away from
electrical appliances and equipment that generates magnetic
fields.
OOppeerraattiinngg
EEnnvviirroonnmmeenntt
The
Disk
Array’s
LCD
Panel
may
be
damaged
by
exposure
to
intense
sunlight.
Limit
exposure
to
indirect
or
subdued
sunlight
only.
Warning!!

This manual serves as a useful guide you can refer to when you
wish to install and operate your Disk Array. It includes the
following information :
Chapter 1 : “ Introduction “
Introduces you to your new Disk Array’s
features and general RAID concepts.
Chapter 2 : “ Getting Started “
Describes general information about this Disk
Array.
Chapter 3 : “ Configuration “
Provides a Quick and Easy way to setup this
Disk Array.
Chapter 4 : “ Advanced Information “
Describes information in more detail.
Chapter 5 : “ Hot-Swap “
Describes Hot-Swap components.
Appendix A : “ Technical Specification “
AAbboouutt
TThhiiss
MMaannuuaall

CChhaapptteerr
11
::
IInnttrroodduuccttiioonn
Features .......................................................................... 1-2
General RAID concepts .....................................................1-4
RAID Level 0 .....................................................1-5
RAID Level 1 .....................................................1-6
RAID Level 3 .....................................................1-7
RAID Level 5 .....................................................1-8
Summary Comparison of RAID Levels ............................... 1-10
Supported RAID Levels .....................................................1-11
Multi-SCSI Format support .....................................................1-12
Contents
CChhaapptteerr
22
::
GGeettttiinngg
SSttaarrtteedd
General Overview ............................................................... 2-1
Unpacking & Checklist .................................................... 2-2
Choosing a place for Disk Array .......................................... 2-3
Identifying Parts of Disk Array
Front View .....................................................2-4
Rear View .....................................................2-5
Power Source ................................................................2-6
Installing the Hard Disk Drive .......................................... 2-7
How To Setup Active Terminator .......................................... 2-11
Host Linkage ..........................................................................2-12
Power-On & Self-Test............................................................... 2-13
LED Display & Function Keys
LED Display .......................................... 2-14
Function Keys .......................................... 2-15
LCD Status Panel ............................................................... 2-16
Clear Beeper.......................................................................... 2-17
CChhaapptteerr
33
::
CCoonnffiigguurraattiioonn
General Overview ............................................................... 3-1
Configuration from the front Panel ............................... 3-2

Configuration Procedures .......................................... 3-3
Starting the Configuration .......................................... 3-4
Configuration from VT100 Terminal Mode .....................3-7
Configuration Procedures ............................... 3-8
Main Screen .....................................................3-9
Re-config RAID .......................................... 3-10
Set RAID Level .......................................... 3-11
Hot Spare Disk .......................................... 3-12
Set SCSI ID# .....................................................3-13
Password .....................................................3-14
Save & Restart .......................................... 3-15
Capacity Expansion.......................................... 3-16
CChhaapptteerr 44 :: AAddvvaanncceedd IInnffoorrmmaattiioonn
Memory Expansion ............................................................... 4-2
Disk Array Controller Block Diagram........................................ 4-5
Updating Firmware ............................................................... 4-6
Setting Up VT100 Terminal Emulation in Windows 95 .......... 4-7
Start to Update Firmware.................................................... 4-14
Multiple RAID Configuration .......................................... 4-20
Slice and Lun Mapping .....................................................4-29
On-Line Expand for Multiple RAID Groups .....................4-35
CChhaapptteerr 55 :: HHoott SSwwaapp
Removing / Installing Hard Disk Drive ............................... 5-2
Removing / Installing Redundant Power Supply Unit .......... 5-6
Removing / Installing Cooling Fan.......................................... 5-9
AAppppeennddiixx
::
Technical Specifications A-1

1-11
Introduction
This chapter will introduce you to your new Disk Array’s features and
provide information on general RAID concept.
Chapter
1:
“Introduction”

1-22
Introduction
This section provides an overview of the features. For more detailed
information, please refer to the technical specifications appendix
at the end of this manual .
Your Disk Array includes the following features :
EEaassyy
OOppeerraattiioonn
As everyone knows, conventional Disk Arrays are designed for
experienced computer specialists. To solve complicated and time
consuming operating procedures, we came up with a revolutionary
idea :
——
IInnnnoovvaattiivvee
PPlluugg
AAnndd
PPllaayy
RRAAIIDD
——
As compared to a conventional Disk Array’s long-winded setup
procedures, your Disk Array can be ready to go after using the
simple step by step built-in setup program.
UUllttrraa
HHiigghh
ppeerrffoorrmmaannccee
Your Disk Array combines an extremely high speed microprocessor
with the latest chip set, IDE hardware technology , perfect firmware
and an artistic design. The result is one of the fastest, most reliable
Disk Array systems on the market.
Supports virtually all popular operating systems, platforms and
network environments because it works independently from the
O.S.
Ultra 160 LVD SCSI channel interface to your Host computer, up
to 160MB data transfer rate provides the processing and access
power for you to handle complex and large files.
Selective SCSI ID 0 ~ 14 , support with active termination.
Tagged-command queuing : allows processing of up to 255
simultaneous data requests.
Selective RAID levels 0, 1, 0+1, 3 or 5 , JBOD.
Build-in 64MB cache memory, expandable up to 512MB.
Serial communication port ( Terminal Port ) permits array
controller operation through a standard VT100 terminal
(or equivalent).
FFeeaattuurreess

1-33
Introduction
SSoolliidd
rreelliiaabbiilliittyy
Automatic failed disk drive detection.
Auto rebuild : when a replacement disk installed (or by using
hot spare disk ), The system provides automatic data rebuild
without any commands or functions keyed in. ( Transparent to
Host )
EEffffiicciieenntt
mmaaiinntteennaannccee
An LCD status panel displays a comprehensive readout of the
operating status, and the HDD LED indicators on each HDD tray
display the individual HDD status.
When disk failure occurs on a member disk of the disk array, the
built-in buzzer sounds simultaneously and LCD status panel also
points out the location of the failed hard disk drive. In the
meantime the LED HDD status indicator will light up “ Red “on
the failed HDD tray , according the LED indicator on the HDD
tray you can perform quick, efficient and correct maintenance.
Hot Swap : allows you to remove and install the “ Hot Swap “
parts without interrupting data access while the system is on.
The “ Hot Swap “ parts include the Hard Disk Drive, Redundant
Power Supply Unit and Cooling Fan.

1-44
Introduction
Correct installation of the disk array requires an understanding of
RAID technology and the concepts described in this section.
Definition
RAID is an acronym of Redundant Array of Independent Disks .
A RAID is a Disk Array in which part of the storage capacity is used
to record redundant information about the user data stored on the
remainder of the storage capacity. The redundant information
enables regeneration of user data in the event that one of the
Array’s member Disks or the access path to it fails.
Benefits
of
RAID
1. Secure Data
RAID is an emerging storage technology with the potential to
revolutionize the data storage technology. A typical RAID unit
contains a set of disk drives, typically two to six, which appear to
the user to be equivalent to a single large capacity disk drive.
The remarkable benefit of disk array is that if any single disk in the
RAID fails, the system and array still continues to function without
loss of data. This is possible because the redundancy data is
stored on separate disk drives and the RAID can
reconstruct the data that was stored on the failed disk drive.
2.
Increases
system
performance
As the effective seek time for finding data on a disk can
potentially be reduced by allowing multiple simultaneous access
of different data on different disks. Utilizing parallel reads and
writes of the data spread across the disks in the array, the data
transfer rate can be increased significantly over that of a single
disk.
3. Easy maintenance
RAID system maintenance is typically simplified because it is
easy to replace individual disks and other components while the
system continues to function. ( Hot swap support )
GGeenneerraall
RRAAIIDDCCoonncceeppttss

1-55
Introduction
RRAAIIDD
LLeevveell
00
::
““
DDiisskk
SSttrriippiinngg
““
HHiigghh
II//OO
PPeerrffoorrmmaannccee
Improved I/O performance is the major reason of using RAID
level 0.
No protection is provided against data loss due to member
disk failures. A RAID level 0 array by itself is thus an unsuitable
storage medium for data that can not easily be reproduced,
or for data that must be available for critical system operation.
It is more suitable for data that can be reproduced or is
replicated on other media.
A RAID level 0 array can be particularly useful for :
Storing program image libraries or runtime libraries for rapid
loading, these libraries are normally read only.
Storing large tables or other structures of read only data for
rapid application access. Like program images, the data
should be backed up on highly reliable media, from which it
can be recreated in the event of a failure.
Collecting data from external sources at very high data
transfer rates.
RAID level 0 arrays are not particularly suitable for :
Applications which make sequential requests for small
amount of data. These applications will spend most of their
I/O time waiting for disks to spin, whether or not they use
striped arrays as storage media.
Applications which make synchronous random requests for
small amounts of data.
RRAAIIDD
LLeevveellss

1-66
Introduction
RRAAIIDD
LLeevveell
11::
““DDiisskk
MMiirrrroorriinngg””
HHiigghh
DDaattaa
rreelliiaabbiilliittyy
RAID level 1 provides both very high data reliability and continued
data availability in the event of a failure of an array member. When
a RAID level 1 member disk fails, array management software
simply directs all application requests to the surviving member.
RAID level 1 is suitable for data for which reliability requirements are
extremely high, or for data to which high performance access is
required, and for which the cost of storage is a secondary issue.

1-77
Introduction
RRAAIIDD
LLeevveell
33
::
““
PPaarraalllleell
TTrraannssffeerr
DDiisskkss
wwiitthh
PPaarriittyy
““
HHiigghh DDaattaa RReelliiaabbiilliittyy && HHiigghheesstt TTrraannssffeerr CCaappaacciittyy
RAID Level 3 technology use a dedicated parity disk to store
redundant information about the data on several data disks. RAID
Level 3 is an excellent choice for applications which require single
stream I/O with a high data transfer rate.
RAID Level 3 is optimal for applications in which large block of
sequential data must be transferred quickly, these applications are
usually of one of these types :
They operate on large data objects such as graphical image
processing, CAD/CAM files, and others.
They are non-interactive applications that process large data
sequentially.
They usually request a large amount of data (32KBytes or more)
with each I/O request.
The distinctive performance characteristics of RAID Level 3 :
RAID Level 3 provides excellent performance for data
transfer-intensive applications.
RAID level 3 is not well suited for transaction processing or
other I/O request-intensive applications.

1-88
Introduction
RRAAIIDD
LLeevveell
55
::
““
IInnddeeppeennddeenntt
AAcccceessss
AArrrraayy
wwiitthh
RRoottaattiinngg
PPaarriittyy
““
HHiigghh
DDaattaa
RReelliiaabbiilliittyy
&&
TTrraannssffeerr
CCaappaacciittyy
When RAID Level 5 technology is combined with cache memory to
improve its write performance, the result can be used in any
applications where general purpose disks would be suitable.
For read only or read mostly application I/O loads, RAID Level 5
performance should approximate that of a RAID Level 0 array. In
fact, for a given user capacity, RAID Level 5 read performance
should normally be slightly better because requests are spread
across one more members than they would be in a RAID Level 0
array of equivalent usable capacity.
A RAID level 5 array performs best in applications where data
and I/O load characteristics match their capabilities :
Data whose enhanced availability is worth protecting, but for
which the value of full disk mirroring is questionable.
High read request rates.
Small percentage of writes in I/O load.

1-99
Introduction
RAID level 5 arrays have unique performance characteristics :
The data can be recalculated or regenerated, using parity,
when any drive in the array fails.
When the failed drive is replaced, either automatically if the
subsystem contained a hot spare drive, or by user intervention
during a scheduled maintenance period, the system will be
restored its full data redundancy configuration by rebuilding
all of the data that had been stored on the failed drive onto
the new drive. This is accomplished using parity information
and data from the other data disks. Once the rebuild process
is complete, all data is again protected from loss due to any
failure of a single disk drive.

1-110
Introduction
SSuummmmaarryy
CCoommpprriissoonn
ooff
RRAAIIDD
LLeevveellss
RAID
Level
Common
Name Description Array’s
Capcity
Data
Reliabiity
Data
Trasfer
Capacity
0Disk
Striping
Data distributed across the
disks in the array.
No redundant infromation
provided.
(N)
disks
Low Very
High
1 Mirroring All data Dulicated 1 * disk Ver y
High High
3Parallel
Transfer
Disks with
Parity
Data sector is subdivided
and distributed across all
data disk. Redundant
information stored on a
dicated partiy disk
(N-1)
disks
Ver y
High
Highest
of all
listed
alternatives
5Independent
Access Array
with Rotating
Paridy
Data sectors are distributed
as with disk striping,
redundant information is
interspersed with user data.
(N-1)
disks
Ver y
High
Ver y
High

1-111
Introduction
RAID
Level
Function
Description
Drives required
Min. Max.
Based on the needs of a Disk Array’s capacity, data availability,
and overall performance, you can select a proper RAID level for
your Disk Array. The supported RAID levels are shown in below:
0
“Disk Striping”, block striping is used, which
yields higher performance than with the
individual disk drives.
* There is no redundant function.
2 8
1“DIsk Mirroring”. Disk drives are mirrored,
all data is 100% duplicated on each
equivalent disk drives.
* High Data Reliability
2 8
3“Parallel Transfer Disks with parity”. Data is
striped across physical drives. parity
protection is used for data redundancy.
3 8
5“Independent Access Array with Parity”.
Data is striped across physical drives.
Rotating parity protection is used for data
redundancy.
3 8
0+1 “Disk Striping” + “Disk Mirroring” Function 4 8
SSuuppppoorrtteedd
RRAAIIDD
LLeevveellss

1-112
Introduction
MMuullttii-SSCCSSII
FFoorrmmaatt
ssuuppppoorrtt
The Disk Array provides one LVD Ultra 160 SCSI channel for
connecting to your host system. With proper cabling, it may support
Narrow or Wide; Standard, Fast or Ultra SCSI formats. ( single
ended )
Overall cable length
For secure data transfer , please refer to the cable length limitations
as below :
* Cable length = External Host cables length + Internal Host cable
length
* Standard Disk Array External cable length = 90cm ( 3 ft )
* Standard Disk Array Internal cable length = 20cm
SCSI
Type
Clock
Rate
Data
Rate
Maximu
Cable
Length
Cable
Required
Remark
Ultra 160
(16 bit)
40
MHZ
160
MB/sec
12m HPD 68—
HPD 68 pin
LVD
Ultra 2
(16 bit)
40
MHZ
80
MB/sec
12m HPD 68—
HPD 68 pin
Ultra
wide
(16 bit)
20
MHZ
40
MB/sec
1.5m HPD 68—
HPD 68 pin
Ultra
SCSI
(8 bit)
20
MHZ
20
MB/sec
1.5m HPD 68—
HPD 50 pin

2-11
Getting
Started
Chapter
2:
“Getting
Started”
GGeenneerraall
OOvveerrvviieeww
This chapter helps you get ready to use the Disk Array. It gives you:
Unpacking & Checklist
Choosing a place for Disk Array
Identifying Parts of Disk Array
Power Source
Installing the Hard Disk Drives
Setup active terminator
Host Linkage
Power-On and Self-test
LED Display and Function Keys
LCD Status Display
Clear beeper
The following illustrations will help you read the further sections.
SSppeecciiaall
NNoottee::
RAID should never be considered a replacement for doing regular
backup. It’s highly recommended to conduct a backup strategy
for critical data.

2-22
Getting
Started
UUnnppaacckkiinngg
&&
CChheecckklliisstt
Before unpacking your Disk Array , prepare a clean and stable
place to put the contents of your Disk Array’s shipping container on.
Altogether, you should find the following items in the package :
The Disk Array
One AC power cord
One External SCSI cable
Keys ( For HDD Trays )
User’s Guide
RS-232 Cable
Active Terminator
Global-Eyes CD
Remove all the items from the carton. If anything is missing or
broken , please inform your dealer immediately. Save the cartons
and packing materials that came with the Disk Array. Use these
materials for shipping or transporting the Disk Array.

2-33
Getting
Started
CChhoooossiinngg
aa
ppllaaccee
ffoorr
DDiisskk
AArrrraayy
When selecting a place to set up your Disk Array, be sure to follow
the guidelines as below:
Place on a flat and stable surface.
Use a stand that supports at least 50 kgs for this Disk Array.
(HDD included )
Place the Disk Array close enough to the computer for the Disk
Array’s External cable to reach it.
Use a grounded wall outlet.
Avoid an electrical outlet controlled by wall switches or
automatic timers. Accidental disruption of the power source
may wipe out data in the memory of your computer or Disk
Array.
Keep the entire system away from potential sources of
electromagnetic interference, such as loudspeakers , cordless
telephones, etc.
Caution
!
Avoid direct sunlight, excessive heat, moisture, or dust.

2-44
Getting
Started
IIddeennttiiffyyiinngg
PPaarrttss
ooff
tthhee
DDiisskk
AArrrraayy
FFrroonntt
VViieeww
Figure : Front View
1. LCD Status Display Panel
2. HDD Trays 1 ~ 8
3. Power Supply State Indicator (light up Green / Red)
4. Function Keys (, Enter , ESC )
5. Power-On Indicator (PWR Unit 1, PWR Unit 2)
6. Host Computer Access Indicator
7. HDD Tray Lock ( Lock / Unlock )
8. HDD Status Indicator
( From left to right: Error (Red), Access (Yellow), Power-On (Green) )
9. Front Cover

2-55
Getting
Started
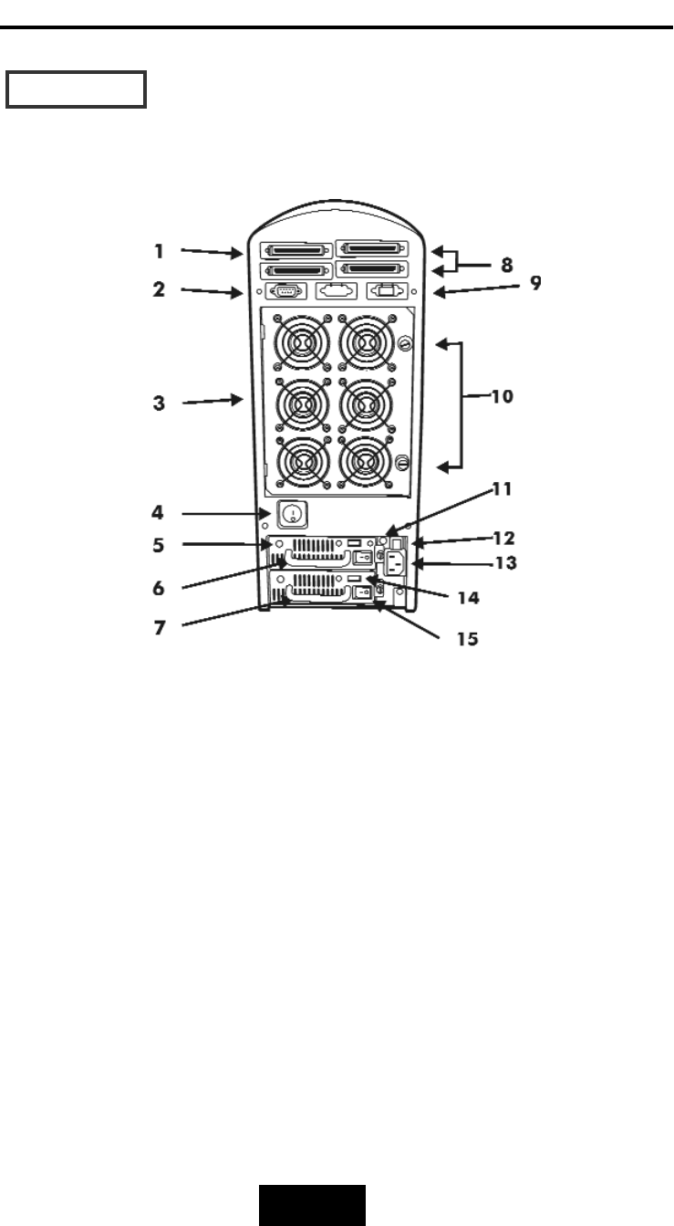
RReeaarr
VViieeww
Figure : Rear View
1. Host channel adapter Port
2. RS232 Adapter ( VT100 Terminal Port )
3. Cooling Fans
4. Power Supply Unit Switch (On / Off)
5. Power Supply Unit 1 LED indicator (Green)
6. Power Supply Unit 1 (Upper)
7. Power Supply Unit 2 (Lower)
8. 2nd Host Channel Port
9. RJ45 Adapter (Terminal port for Global-Net)
10. Fan Door Screws
11. Power Supply fail indicator (Red)
12. Power Supply Alarm reset Switch
13. AC Power Source Input Socket
14. AC Voltage Select Switch ( 115V / 230V )
15. Power Supply Unit Switch (On/Off)

2-66
Getting
Started
PPoowweerr
SSoouurrccee
Choosing
a
Working
Voltage
The system can run either on AC 115V (+/10%) or AC 230V(+/10%),
Slide the AC voltage select switch on the power supply to the
correct position which corresponds with the wall outlet supply
voltage.
Wrong
AC
Voltage
input
will
harm
the
power
supply
and
cause
serious
damage
to
the
Disk
Array.
Figure : Power Source
This Disk Array is supplied with an AC power cord equipped with a
3-wwire
grounding
type
plug.
This
is
a
safety
feature
and
it
is
important
to
only
use
a
3-wwire
grounded
mains
power
cord.
!
This
Disk
Array
must
be
grounded
Warning
!

2-77
Getting
Started
IInnssttaalllliinngg
tthhee
HHaarrdd
DDiisskk
DDrriivveess
Step 1 : Open the front cover.
Figure: Installing HDD step 1

2-88
Getting
Started
Step 2 : Unlock the HDD tray by turning the Key-lock to the correct
position.
Step 3 : Gently Pull out the HDD tray.
Figure: Installing HDD step 2, 3

2-99
Getting
Started
Step 4 : Insert HDD into the tray
Step 5 : Screw in the hard drive.
( Use the correct size, type and thread )
Step 6 : Cabling, Connect the Data cable and Power cable.
Figure: Installing HDD step 4, 5, 6

2-110
Getting
Started
Step 7 : Gently slide in the HDD tray.
Step 8 : Lock the HDD tray. When powered on, the Green LED will
light up.
Figure:Installing HDD step 7, 8

2-111
Getting
Started
HHooww
ttoo
SSeettuupp
AAccttiivvee
TTeerrmmiinnaattoorr
For better data integrity, we suggest you always add an active
terminator on the Disk Array when it is at the end of the SCSI bus..
PPlluugg-iinn
tthhee
TTeerrmmiinnaattoorr
bbeeffoorree
PPoowweerr-OOnn
::
You can find two ports for the host channel adapter on the back of
Disk Array. You can connect the top one with your Host Computer,
and plug in the active terminator on the second one.

2-112
Getting
Started
HHoosstt
LLiinnkkaaggee
With the HDD(s) installed correctly, you are ready to connect the
Disk Array to your Host computer.
Use a External SCSI cable to connect your Host computer to the
Disk Array’s built-in SCSI adapter port.
Connect the Host computer as shown below :
Figure : Host linkage
For
safety
reasons,
make
sure
the
Disk
Array
and
Host
Computer
are
turned
off
when
you
plug-iin
the
SCSI
cable.
Caution
!

2-113
Getting
Started
PPoowweerr-oonn
aanndd
SSeellff-TTeesstt
When you connect the Disk Array to the Host computer, You
should press the ON/OFF Power Supply Switch on both of the power
supply Hot-Swap units and the Main Switch. It will turn the Disk Array
on and the Self-Test will be started
Figure:Power-On & Self-Test

2-114
Getting
Started
LLEEDD
DDiissppllaayy
&&
FFuunnccttiioonn
KKeeyyss
LLEEDD
DDiissppllaayy
Shown below is the LED Display. Please refer to the illustration, the
LEDs inform you of the Disk Array’s current operating status. Upon
activating a certain function, the corresponding LED indicator
should turn on indicating that the feature is engaged.
LED Description
1. Power Unit 1 Indicator light up: “Green”, it lights when the power Unit 1 is
plugged and operating functionally.
2. Power Unit 2 Indicator light up: “Green”, it lights when the power Unit 2 is
plugged and operating functionally.
3. Host Computer Access
Indicator
light up: “Yellow” indicates Host computer is curretnly
accessing the Disk Array
4. HDD Power-On Indicator light up: “Green”, it lights when the HDD frame is
locked and Power-on.
5. HDD Access Indicator light up: “Yellow”, when HDD is accessed
6. HDD Error Indicator light up: “Red, when the HDD not installed or error
Figure:LED Display

2-115
Getting
Started
FFuunnccttiioonn
KKeeyyss
The four function keys at the top of the front panel perform the
following functions:
() Up Arrow / Right Arrow Use to scroll the cursor Upward / Rightward
() Down Arrow / Left Arrow Use to scroll the cursor Downward / Leftward
(Enter) Use to confirm a selected item
(ESC) Use to exit a selection

2-116
Getting
Started
LLCCDD
SSttaattuuss
PPaanneell
Located the LCD panel, the LCD status panel informs you of the
Disk Array’s current operating status at a glance. Upon activating a
certain function, a symbol or icon corresponding to that function
will appear in the display window. The symbol will remain in the
display window indicating the status of the Disk Array.
IIddeennttiiffyyiinngg
tthhee
ssttaattuuss
oonn
tthhee
LLCCDD
The following illustration shows the symbols (characters) been used
and their representation.
A description of each of the symbols in LCD display window :
Example of the LCD status display window :
This informs you :
a. HDD 1 ~ HDD 3 : On-line (RAID Group1)
b. HDD 4 ~ HDD 6 : On-line (RAID Group2)
c. HDD 7 : It is a Spare disk drive
d. HDD 8 : Not installed
11
11
11
22
22
22
SS
XX
RError occur (Fault)
IIdentifying Disk Drive
SSpare Disk Drive
XDisk Drive not installed
WWarning: Disk Drive with too many Bad Sectors
AAdd new Disk Drive when On-Line Expansion
JJBOD Configuration
1/2/3/4 RAID Group 1/2/3/4
This informs you :
a. RAID 1 : RAID Group1
b. R5 : RAID Level 5
c. 12345 : HDD No. 1, 2, 3, 4, 5 in RAID1
members
RAID1 R5
11
22
33
44
55

2-117
Getting
Started
Clear Beeper
The disk drive initialization and fail beeping can be stopped
by pushing the ()and ()simultaneously twice. But you should
remember to replace the drive. Next time when error happen the
beeping will still be available.
()
()

Configuration
3-11
After completing the hardware installation, the disk array must be
configured and the logical unit must be initialized before it is ready
to use. This can be accomplished through the following user
interfaces :
Front Panel function keys ( LCD Display )
or
VT100 terminal connected through the serial port ( Monitor Port)
or
The GUI S/W (Graphical User Interface). Defails please refer to the
Global-Eyes CD-Rom.
The LCD display panel and a VT100 terminal can not be used
at the same time.
This chapter guides you through setting up your Disk Array for the
first time. This chapter contains information on setup. The setup
program is a menu-driven utility which enables you to make
changes to the configuration and tailor your Disk Array to your
individual needs.
The setup program is a ROM-based configuration utility which
displays the Disk Array’s status and allows you to set up the
parameters. The parameters are stored in a nonvolatile battery
backup CMOS RAM which saves the information even when the
power is off.
By using an easy-to-use user interface, you can configure such
items as :
RAID Level
Hot Spare Disk
SCSI ID
Password ( For protection from unauthorized use )
Firmware update (VT100 Terminal mode only) —- for update
procedures please refer to Chapter 4 : Advanced information.
The setup program has been designed to make it as easy to use
as possible. By using a menu-driven program, you can scroll
through the various sub-menus and make your selections among
the various predetermined choices.
Chapter
3:
“Configuration”

Configuration
3-22
CCoonnffiigguurraattiioonn
ffrroomm
tthhee
ffrroonntt
PPaanneell
The LCD Display front panel function keys are the primary user
interface for the Disk Array. Except for the “Firmware update” ,all
configuration can be performed through this interface.
Function
Key
Definitions
The four function keys at the top of the front panel perform the
following functions :
() Up Arrow / Right Arrow Use to scroll the cursor Upward / Rightward
() Down Arrow / Left Arrow Use to scroll the cursor Downward / Leftward
( Enter
)Use to confirm a selected item
( ESC )Use to exit a selection

Configuration
3-33
CCoonnffiigguurraattiioonn
pprroocceedduurreess
((vviiaa
FFrroonntt
PPaanneell))
Main screen
RAID Level
(0,1,3,5,0+1,None)
Re-Config RAID
Hot Spare Disk
(Yes / No)
Set Password
(4 Digital)
Save Configuration
& Restart
Yes
No
Yes
No
Set SCSI ID
( 0~14 )

Configuration
3-44
SSttaarrttiinngg
tthhee
ccoonnffiigguurraattiioonn
1. Power-on the Disk Array. At the end of the power-on self test
program, the LCD displays the current system status. The
default setting is JBOD ( just a Bunch of Disks ).
2. Press the front panel “ Enter “ key to access the built-in
configuration program.
3. When the screen displays the password prompt and asks you to
“ Enter Password “
press “ Enter “ 4 times to input the default password
( default password is “ 0000 “ )
4. Re-Configuration RAID
Select “ No “ to set up “SCSI ID#” ,and
“Password”.
Select “ Yes “ to set up “ RAID Level “ , “ Hot spare disk “ , “SCSI
ID#” ,and “ Password “
Enter Password
0

Configuration
3-55
5. Set RAID Level
Move cursor ( ) to the desired RAID Level (
0,
1,
3,
5,
0+1,
None
), press “ Enter “ to confirm.
* RAID Level “ None “ = JBOD
6. Set Hot Spare Disk
Select “ Yes “ to set one Disk Drive as a Hot-spare Disk.
(Valid for RAID Level 5 and 3 , the total number of Disk Drives
installed must
be
more
than
3
Disk
Drives )
7. Set SCSI ID
Each device on a specific SCSI bus must be configured with a
target address ( which is a “SCSI ID” ) which is different from any
other devices on the SCSI Bus.
The
default
SCSI
ID
for
the
Disk
Array
is
ID
0.
If you needed to assign a different ID # for your Disk Array. The
available SCSI ID# for this Disk Array are ID# 0 ~ 14 .
You
must
assign
a
different
SCSI
ID
to
each
SCSI
device
on
the
SCSI
Bus.
The
SCSI
ID#
must
be
Unique
for
each
device.
Warning
All
data
on
the
disk
drives
will
be
lost
by
changing
the
RAID
Level.

Configuration
3-66
8. Set Password
Press “ Enter “ to activate the Password setting. When the cursor
stop on the desired “number” or “character”, Using “” and
“” function keys to choose the desired characters and then
press “ Enter “ to confirm it.
9. Save Configuration & Restart
Select the Save Configuration function and Press the “ Enter “
key to save and activate your selections.
10.
The
disk
array
will
automatically
partition
the
slice
capacity
and
assign
LUN
Number
if
the
total
capacity
is
over
2TB.
Thus
after
the
system
restart
it
will
appear
in
the
Host
machine
with
2
LUNs
(default
LUN
0=2TB,
rest
capacity
assign
to
LUN1
)
STOP
WARNING
Press “ ESC “ function key for password “No
Change”
Notice
Warning
!
All
data
will
be
lost
if
you
changed
RAID
Levels
.
If
you
already
have
a
RAID
level
setting
and
wish
to
change
to
different
RAID
level,
you
must
setup
RAID
level
to
“None”
first,
then
run
the
setup
procedure
again
to
setup
expected
RAID
level.
Saving
configuration
changes
causes
the
disk
array
controller’s
working
parameters
to
change.
This
can
produce
unpredictable
results
if
it
occurs
during
Host
and
Array
activity.
All
activity
to
the
controller
should
be
stopped
before
saving
configuration
changes.

Configuration
3-77
CCoonnffiigguurraattiioonn
ffrroomm
VVTT110000
TTeerrmmiinnaall
MMooddee
By connecting a VT100 compatible terminal or a PC operating in a
terminal emulation mode, a configuration can be performed
through this interface.
To ensure proper communications between the “Disk Array” and
the “Terminal”, Please configure the VT100 terminal settings to the
values shown below :
VT100
Terminal
(
or
compatible
)
Set
up
Connection Serial Port ( COM 1 or COM 2 )
Protocol RS232 ( Asynchronous )
Cabling Null-Modem cable
Baud Rate 115,200
Data Bits 8
Stop Bit 1
Parity None
Keyboard
Function
Key
Definitions
“ Enter “ key, Use to confirm a selected item
“ ESC “ key, Use to exit a selection
“ A
“ key, Use to scroll the cursor Upward / Rightward
“ Z“ key, Use to scroll the cursor Downward / Leftward
“ Tab “ key, Use to switch mode ( Menu / Output Area )

3-88
configuration
CCoonnffiigguurraattiioonn
pprroocceedduurreess
((VVTT110000
TTeerrmmiinnaall))
Main screen
RAID Level
(0,1,3,5,0+1,None)
Re-Config RAID
Hot Spare Disk
(Yes / No)
Set Password
(4 Digital)
Save Configuration
& Restart
Yes
No
Yes
No
Update Firmware
Update
No
Yes
Set SCSI ID
( 0~14 )
On-Line Expand
(Enable)
Yes
No

Configuration
3-99
MMaaiinn
SSccrreeeenn
Please refer to Chapter4 “Advanced Information” for setting VT100
Terminal in Windows.

Configuration
3-110
RRee-CCoonnffiigg
RRAAIIDD
Select “ No” for setting : “SCSI ID” , “ Password “
Select “ Yes “ for setting all the configurations

Configuration
3-111
SSeett
RRAAIIDD
LLeevveell
Move the cursor to the desired RAID Level ( 0, 1, 3, 5, 0+1, None ),
and Press “ Enter “ to confirm it.
Warning!!
All
Data
will
be
lost
by
changing
the
RAID
level.

Configuration
3-112
HHoott
SSppaarree
DDiisskk
Select “ Yes “ to set One
Disk
Drive as a Hot Spare Disk.
This Function is valid
in
RAID
level
5and RAID
level
3, the total Disk
Drives installed must be more than 3 Disk Drives.
( Disk Drives number > 3 )

Configuration
3-113
SSeett
SSCCSSII
IIDD##
Each device on a SCSI bus must be configured for a Target
address (which is a “SCSI ID”), which is different from any other
device on the SCSI Bus.
The
default
ID
for
this
Disk
Array
is
ID#0
If you needed to assign a different ID# for your Disk Array,
The available SCSI ID# for this Disk Array is ID# 0 ~14
You
must
assign
a
different
SCSI
ID
to
each
SCSI
device
on
the
SCSI
Bus.
The
SCSI
ID#
must
be
unique
for
each
device.

Configuration
3-114
SSeett
PPaasssswwoorrdd
Press “ Enter “ to activate the password setting then to key-in the
desired “ Number “ or “ Character “.
Press “ ESC “ to skip the charge of the password.

Configuration
3-115
SSaavvee
&&
RReessttaarrtt
Select the Save & Restart function and press “Enter” to save and
activate your selections.
STOP
WARNING
Notice
Warning
!
All
data
will
be
lost
if
you
changed
RAID
Levels
.
If
you
already
have
a
RAID
level
setting
and
wish
to
change to different RAID level, you must setup RAID level to
“None”
first,
then
run
the
setup
procedure
again
to
setup
expected
RAID
level.
Saving
configuration
changes
causes
the
disk
array
controller’s
working
parameters
to
change.
This
can
produce
unpredictable
results
if
it
occurs
during
Host
and
Array
activity.
All
activity
to
the
controller
should
be
stopped
before
saving
configuration
changes.

Configuration
3-116
CCaappaacciittyy
EExxppaannssiioonn
((FFoorr
SSiinnggllee
RRAAIIDD))
The
RAID
capacity
can
be
expanded
by
adding
one
or
more
Disk
Drive
into
the
existing
RAID
group
and
properly
setup
procedures.
1.Add new HDD into the RAID system.
2.Configuration through the RS-232 Terminal mode, move the cursor
to “On-LLine
Expand” and “Enable” and “press “Enter” to confirm
it.
( If you have not add any new HDD into the RAID group the
“Enable” item will not show up. )

4-11
Advanced
Information
Chapter
4:
“Advanced
Information”
This chapter describes more advanced information about your Disk
Array. The following items are describes in detail.
Memory Expansion
RAID Controller
Updating Firmware
Multiple RAID configuration
Slice Partition and LUN Mapping
Capacity Expansion (on-line expand)

4-22
Advanced
Information
MMeemmoorryy
EExxppaannssiioonn
Your Disk Array comes with 64MB of memory that is expandable
to a maximum of 512MB.
These expansion memory module can be purchased from your
dealer.
Memory Type : 3.3V PC100/133 SDRAM 144pin DIMM.
Memory Size : Supports 144pin DIMMs of 64MB, 128MB, 256MB,
or 512MB.
Height : 1.15 Inches (29.2mm).
64MB 8(8Mx8), 8(4Mx16) or 4(8Mx16)
128MB 16(8Mx8), 8(16Mx8), 8(8Mx16) or 4(16Mx16)
256MB 16(16Mx8), 8(32Mx8)
512MB 16(32Mx8)

4-33
Advanced
Information
IInnssttaalllliinngg
MMeemmoorryy
MMoodduulleess
::
1.
Unscrew
&
Remove
cover
Figure: Remove Cover

4-44
Advanced
Information
2.
Install
the
memory
a. Remove daughter board
b. The DIMM memory modules will only fit in one orientation.
c. Press the memory module firmly into socket from a 45
degree angle, make sure that all the contacts are aligned
with the socket.
d. Push the memory module forward to a horizontal position.

4-55
Advanced
Information
DDiisskk
AArrrraayy
CCoonnttrroolllleerr
BBlloocckk
DDiiaaggrraamm

4-66
Advanced
Information
UUppddaattiinngg
FFiirrmmwwaarree
1.
Setup
your
VT100
Terminal
Please configure the VT100 terminal setting to the values shown
below :
VT100 terminal ( or compatible ) set up
Connection Serial Port ( COM1 or COM2 )
Protocol RS232 ( Asynchronous )
Cabling Null-Modem cable
Baud Rate 115,200
Data Bits 8
Stop Bit 1
Parity None

4-77
Advanced
Information
SSeettuupp
VVTT110000
TTeerrmmiinnaall
Example
:
Setup
VT100
Terminal
in
Windows
Step 1.

4-88
Advanced
Information
Step 2.

4-99
Advanced
Information
Step 3. Enter a name for your Terminal.

4-110
Advanced
Information
Step 4. Select a connecting port in your Terminal

4-111
Advanced
Information
Step 5. Port parameter setting

4-112
Advanced
Information
Step 6.

4-113
Advanced
Information
Step 7. Select emulate VT100 Mode
After you finishing the VT100 Terminal setup, you may restart
your Disk Array and press “ Ctrl + D “ keys ( in your Terminal ) to link
the Disk Array and Terminal together.
Press Ctrl + D to display the disk array Monitor Utility
screen on your VT100 Terminal.

4-114
Advanced
Information
SSttaarrtt
ttoo
UUppddaattee
FFiirrmmwwaarree
1. Move the cursor to “ Update ROM “ and press “Enter”.
Unpredictable
results
will
occur
if
firmware
update
is
attempted
during
Host
computer
and
Disk
Array
activity.
All
activity
to
the
controller
should
be
stopped
before
updating
firmware.
Warning
!

4-115
Advanced
Information
2. Press “ Y“ to download the new firmware and
press “ Y“ again to confirm the Update.

4-116
Advanced
Information
3. Select transfer “ Send
Text
File
“ and press Enter.

4-117
Advanced
Information
4. Locate the new Firmware file on your PC.

4-118
Advanced
Information
5. Press “ Go “ to confirm to download the new firmware.

4-119
Advanced
Information
6. Type “ Go “ to reconfirm and the firmware will begin to be
reprogrammed.
7. After verifying, the
Disk
Array will reset automatically to activate
the new firmware.

4-220
Advanced
Information
Main screen
RAID Group
RAID 1/2/3/4
Advance Setep
Reconfig RAID
Yes / No
Select
Disk Number
Hot Spare Disk
( Yes / No )
No
RAID Level
(0,1,3,5,0+1,None)
Save Configuration
& Restart
Yes
MMuullttiippllee
RRAAIIDD
CCoonnffiigguurraattiioonn
pprroocceedduurreess(VT100 Terminal)
Setup RAID2/3/4

4-221
Advanced
Information
HHooww
TToo
SSeettuupp
MMuullttiippllee
RRAAIIDD
The system can Setup as multiple RAID Groups (Max 4 RAID
Groups).
Step 1.
Key-in password to enter the main menu.
(Default “0000”)
RAID Group 1 Setup
Warning:Be
sure
to
backup
your
data
first
before
attempting
to
change
RAID
setup
from
single
RAID
Group
to
multiple
RAID
Groups.

4-222
Advanced
Information
HHooww
TToo
SSeettuupp
MMuullttiippllee
RRAAIIDD
Step 2.
Select “Advance Setep”
RAID Group 1 Setup

4-223
Advanced
Information
HHooww
TToo
SSeettuupp
MMuullttiippllee
RRAAIIDD
Step 3.
Select “RAID 1” in “RAID Group”.
RAID Group 1 Setup

4-224
Advanced
Information
HHooww
TToo
SSeettuupp
MMuullttiippllee
RRAAIIDD
Step 4.
Select “Yes” for setting all the configurations.
RAID Group 1 Setup

4-225
Advanced
Information
HHooww
TToo
SSeettuupp
MMuullttiippllee
RRAAIIDD
Step 5.
Move the cursor to the expected RAID Level ( 0, 1, 3, 5, 0+1,
None ), and press “Enter” to confirm it.
All
data
will
be
lost
by
changing
the
RAID
level.
RAID Group 1 Setup
Warning

4-226
Advanced
Information
HHooww
TToo
SSeettuupp
MMuullttiippllee
RRAAIIDD
Step 6.
Select how many Drives to setup in RAID Group 1.
(Only the HDD numbers installed in the system will be displayed)
Step 7.
In Hot Spare, Select “Yes” to set one Disk Drive as a Hot-spare Disk
(This Valid in RAID Level 5 and 3, the total number of Disk Drive
installed must be more than 3 Disk Drives).
RAID Group 1 Setup

4-227
Advanced
Information
HHooww
TToo
SSeettuupp
MMuullttiippllee
RRAAIIDD
Follow the step for setting RAID Group 1 to setup the 2-4 RAID
Groups.
RAID Group 2 -4 Setup

4-228
Advanced
Information
HHooww
TToo
SSeettuupp
MMuullttiippllee
RRAAIIDD
Select “Save & Restart” and choose “Yes” to save and activate the
settings.
Warning! All Data will be lost if you changed the RAID
level.
Stop
WARNING
Saving configuration changes causes the disk array controller’s
working parameters to change. This can produce unpredictable
results if it occurs during Host and Array activity. All activity to the
controller should be stopped before saving configuration changes.

4-229
Advanced
Information
SSlliiccee
aanndd
LLUUNN
MMaappppiinngg
Main Screen
Advanced Setup
Set LUN Mapping
LUN 0 ~ LUN 7
RAID 1/ 2/3/4
Slice Number /
Disable
Save Configuration
& Restart
Slice
SCSI Params
Primary/Secondary

4-330
Advanced
Information
SSlliiccee
aanndd
LLUUNN
MMaappppiinngg
Step 1.
Enter Main menu and choose “Advance Setup”.
Step 2.
Select “Slice” to partition the RAID capacity.
Step 3.
Choose RAID Groups which you want to partition the slice capacity.
After completing the RAID Group setup (single or multiple), you
could partition the capacity to “Slice” and map to different “LUN”
Numbers. (The following illustration is for Single RAID Group.)

4-331
Advanced
Information
SSlliiccee
aanndd
LLUUNN
MMaappppiinngg
Step 4.
Select “Slice 0”, key-in the size in MB for Slice 0.
Step 5.
Select “Slice 1”, key-in the size in MB for Slice 1 (the system will
display the rest capacity automatically).

4-332
Advanced
Information
SSlliiccee
aanndd
LLUUNN
MMaappppiinngg
Step 6.
Select “SCSI Params” to choose the “Primary SCSI” or “Secondary”
(in case you have dual-host), then setup SCSI ID for each SCSI Host.
Step 7.
Choose “LUN mapping”. Map the expected LUN No. to expected
RAID Group’s Slice No.
Example:
1
(Single
Host,
Single
RAID)
“LUN
0”
mapping
to
“RAID
1”,
“Slice
0”.
“LUN
1”
mapping
to
“RAID
1”
,
“Slice
1”

4-333
Getting
Started
SSlliiccee
aanndd
LLUUNN
MMaappppiinngg
Example
2:
(Single
Host
Multiple
RAID)
“LUN
0”
maps
to
“RAID1”
of
“Slice
0”
“LUN
1”
maps
to
“RAID2”
of
“Slice
0”
Example
3:
(Cluster
in
Single
RAID)
Select
“Primary
SCSI”
and
maps
“LUN
1”
to
“RAID1”
of
“Slice
0”
Select
“Secondary
SCSI”
and
maps
“LUN
0”
to
“RAID1”
of
“Slice
0”

4-334
Advanced
Information
SSlliiccee
aanndd
LLUUNN
MMaappppiinngg
Step 8.
Select “Save & Restart” item and choose “Yes” to save and
activate the settings.

4-335
Advanced
Information
On-Line Expand
(Disk Number/Enable)
Disk Number
( 0 ~ 15 )
On-Line Expand
(Disk Number/Enable)
Advance Setup
RAID GROUP
(RAID1/RAID2)
Main Screen
(Disk Number)
(Enable)
OOnn-LLiinnee
EExxppaanndd
ffoorr
MMuullttiippllee
RRAAIIDDGGrroouuppss(VT100 Terminal)

4-336
Advanced
Information
OOnn-LLiinnee
EExxppaanndd
ffoorr
MMuullttiippllee
RRAAIIDDGGrroouuppss
The RAID capacity can be expanded by adding one or more Disk
Drives into the existing RAID group with properly setup procedures
Please add new HDD into the RAID system before you start on-line
expansion.
Step 1.
Key-in password to enter the main menu. (Default “0000”)

4-337
Advanced
Information
OOnn-LLiinnee
EExxppaanndd
ffoorr
MMuullttiippllee
RRAAIIDDGGrroouuppss
Step 2.
Select “RAID Group”.
Step 3.
Choose “RAID 1-4” to expand the capacity to expected RAID
Groups.
Step 4.
Select “On-Line Expand”.

4-338
Advanced
Information
OOnn-LLiinnee
EExxppaanndd
ffoorr
MMuullttiippllee
RRAAIIDDGGrroouuppss
Step 5.
Select “Disk Number” then choose how many disks to add to the
RAID Group (only the number of disks installed will be displayed).
The rest of disks not adding to the RAID groups will be treated as
spare disks.

4-339
Advanced
Information
OOnn-LLiinnee
EExxppaanndd
ffoorr
MMuullttiippllee
RRAAIIDDGGrroouuppss
Step 6.
Select “On-Line Expand” then “Enable” to save and activate the
settings.

5-11
Hot Swap
Chapter
5:
“Hot
Swap”
This chapter explains how to remove and install the “Hot-Swap”
parts without interrupting the data access while the disk array is on.
The “Hot-Swap” parts include :
Hard Disk Drives
Redundant Power Supply Units
Cooling Fans
Follow the steps below and refer to the diagrams to remove and
install the “Hot-Swap” parts.

5-22
Hot Swap
RReemmoovviinngg
//
IInnssttaalllliinngg
HHaarrdd
DDiisskk
ddrriivveess
a.Unlock
the
HDD
tray
(When a HDD error occurs, the HDD LED indicator lights up “RED”)
Figure: Swap HDD(Unlock)

5-33
Hot Swap
b.Gently
pull-oout
the
HDD
tray
Figure : Swap HDD (Pull-out)

5-44
Hot Swap
c.Unscrew
and
unplug
the
cables
Figure: Swap HDD(Unplug cables)

5-55
Hot Swap
d.Replace
with
a
new
Hard
Disk
Drive
It must be same capacity or greater than the faulty drive, if you
replace with a Hard disk Drive of insufficient capacity, the Disk
Array’s built-in buzzer will sound and the intelligent Auto-Rebuild
function will not be started.
* For best performance, we recommend you swap with an
identical Hard Disk Drive.
e.Gently
Slide-iin
the
HDD
tray
and
lock
up
to
start
the
AutoRebuild
While you have installed the replacement disk drive, screw in
all the screws and plug in the cables, you may now gently slide
in the HDD tray into the chassis and lock up it.
* Data Auto-Rebuild will be started automatically when you lock
up the HDD tray.
Figure: Swap HDD(Lock Up)

5-66
Hot Swap
RReemmoovviinngg
//
IInnssttaalllliinngg
tthhee
RReedduunnddaanntt
PP//SS
UUnniitt
There are two LED indicators on the front panel which display the
status of the redundant power supplies. While the power supply
is working properly the two LED indicators light up “ Green “, if any
one of them fail, the LED indicator will go off and the redundant
power supply buzzer alarm will sound.
When you need to replace the redundant power supply unit ,
refer to the redundant power supply status LED indicator on the
front panel to find the failed power supply unit and follow these
steps to swap it.
a.
Unscrew
the
faulty
unit
(For Safety reasons, you should switch off the faulty unit’s
power switch)
Figure: Swap P/S unit ( Unscrew )

5-77
Hot Swap
b.Replace
with
a
new
power
supply
unit
Figure: Swap P/S unit ( Swap with a new unit )

5-88
Hot Swap
c.
Press
the
Power
Supply
Reset
switch
When you replace a new power supply unit, you should then
push the power supply reset switch on the power supply frame
to stop the buzzer alarm and link the two power supply units
together.
The new power supply unit will link with the other unit
immediately and will start working after you press the power
supply reset switch, and the buzzer warning noise will stop.
Reset from the Power supply

5-99
Hot Swap
RReemmoovviinngg
//
IInnssttaalllliinngg
CCoooolliinngg
FFaannss
Unscrew
the
Fan
door
and
open
the
door
to
a
90
degree
position
!
Caution : Be careful , the high speed rotating fans may harm
you. Don’t touch the rotating Fans, If necessary,
Unplug the Fan power connector first.
Figure: Swap cooling Fan ( Unscrew the Fan Door )

5-110
Hot Swap
Unplug
the
Fan
connector
Unscrew
the
faulty
cooling
fan
and
replace
with
a
good
one
Important
!The cooling fan’s air flow must point to the fan
door, please refer to the label on the cooling fan.
Plug
in
the
fan
connector,
close
the
fan
door
and
screw
it
in
!
Caution : The cooling fan will rotate immediately when you
plug in the fan power connector.
Figure: Swap Cooling Fan ( swap with a new Fan )

A-11
Appendix
TTeecchhnniiccaall
SSppeecciiffiiccaattiioonnss
Microprocessor
Intel
i80303
Cache
Memory
64MB*
Maximum
512MB
DRAM
Slots
One
Module
Type
144
Pin
DIMMs
DRAM
Type
SDRAM
DRAM
Speed
PC
100/133
Read
Cache
Read-AAhead
Write
Cache
Write
Back*
Firmware
Flash
EEPROM
,512K
x
8
SCSI
I/O
Processor
SYMBIOS
53C1010R
Serial
Port
1x
RS232
(Asynchronous)
Port
Baud
Rate
115,200
(Bits
Per
Second)
Data
Bits
8
Stop
Bit
1
Parity
None
RAID
Levels
JBOD
,
0
,
1
,
0+1,
3
or
5
RAID
Sets Multiple
RAID
Groups
(Max.
4)
Slice Max
8
slices
per
RAID
Groups
(2TB
capacity
per
slice)
LUN
Mapping Max
8
LUNs
per
SCSI
Channels
Data
Transfer
Rate
Up
to
160MB/s(Synchronous)
SCSI
ID
Assignment
0~14
(
0*)
Tagged-ccommand
queuing
Up
to
255
simultaneous
data
requests

A-22
Appendix
TTeecchhnniiccaall
SSppeecciiffiiccaattiioonnss
Interface
:
Host
Bus
Ultra
160
LVD
SCSI
*
2
Disk
Bus
Ultra
ATA-1100
*
8
Drives
Hot
Swap,
User
Replaceable
Up
to
Eight
3.5”
drives
(
1”
height
)
Maximum
Fault
>2TB
Tolerant
Capacity
Drive
MTBF
>1,000,000
hrs
Host
Requirement
Host
Independent
Operating
Systems
O/S
Independent
and
Transparent
Data
Rebuild
Automatic
Data
Regeneration
LCD
Display
Panel
2
x
16
Characters
Cooling
Fans
6cm
Ball
Bearing
Fan
6
Fans
Power
Supply
Capacity
Dual
300W
Independent
Power
Supplies
AC
Input
Voltage
115
/
230V
(
+/10%
)
,
60/50
Hz
Environmental
Relative
Humidity
0%
to
85%
Non-ccondensing
Temperature
Operating
:
5c~
40c
Storage
:
-225c~
60c
Safety
testing
UL,
CE
and
FCC
Class
B
Dimensions
350mm(H)
*
175mm(W)
*
310mm(D)
Weight 11.5 kgs ( W/O Disk Drive )
“
*
“
Default
Settings
***
Various
trademarks
belong
to
their
respective
owners.