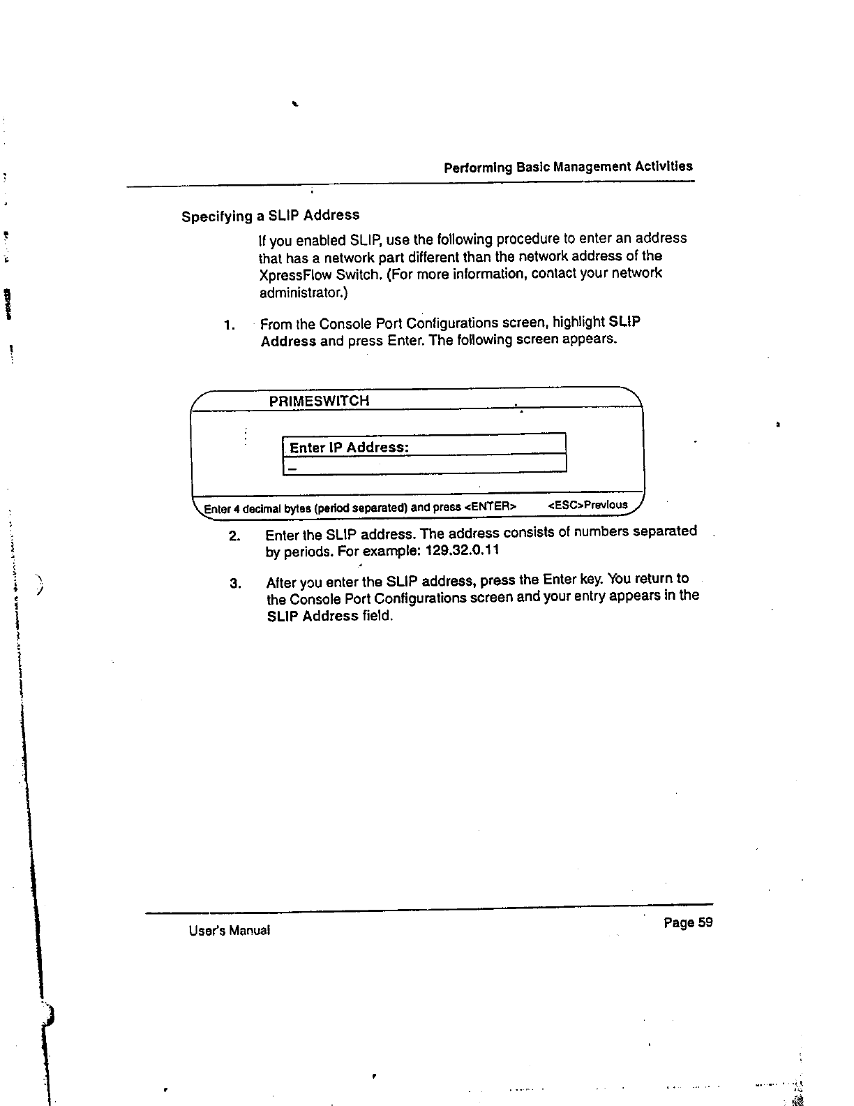
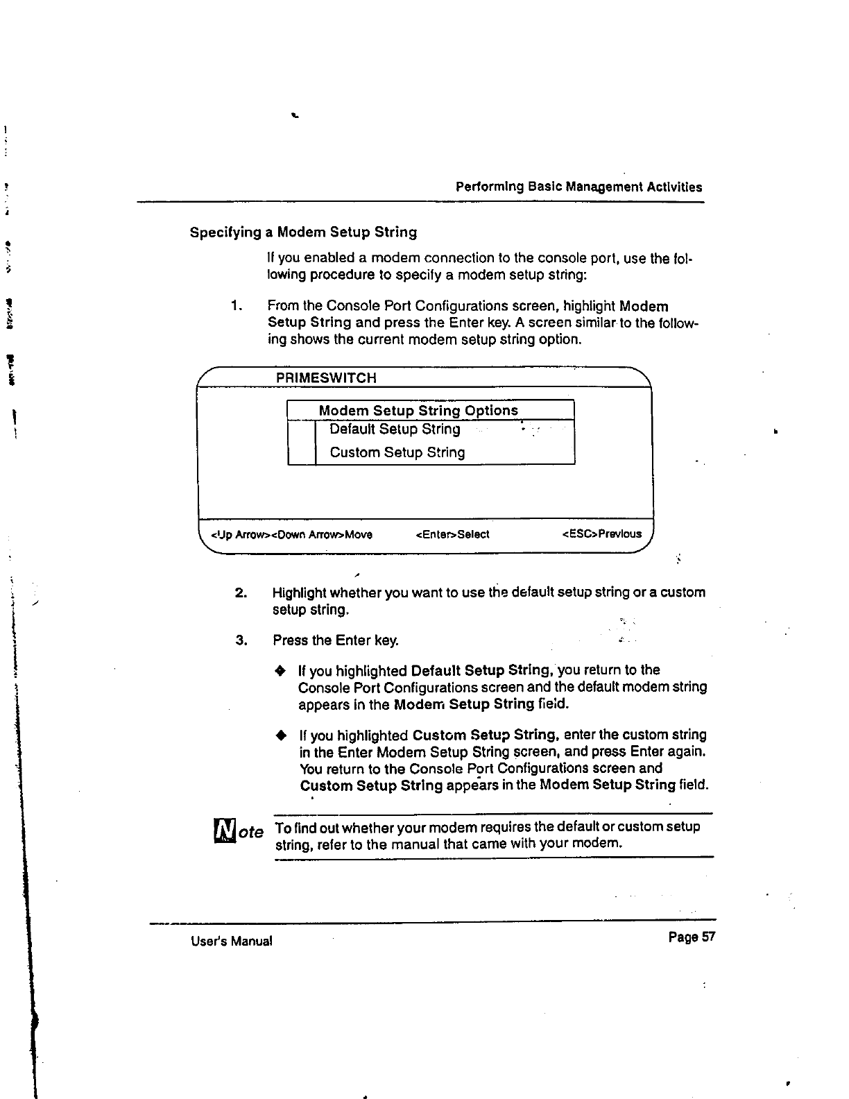
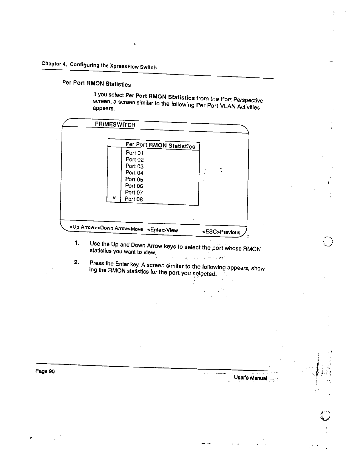
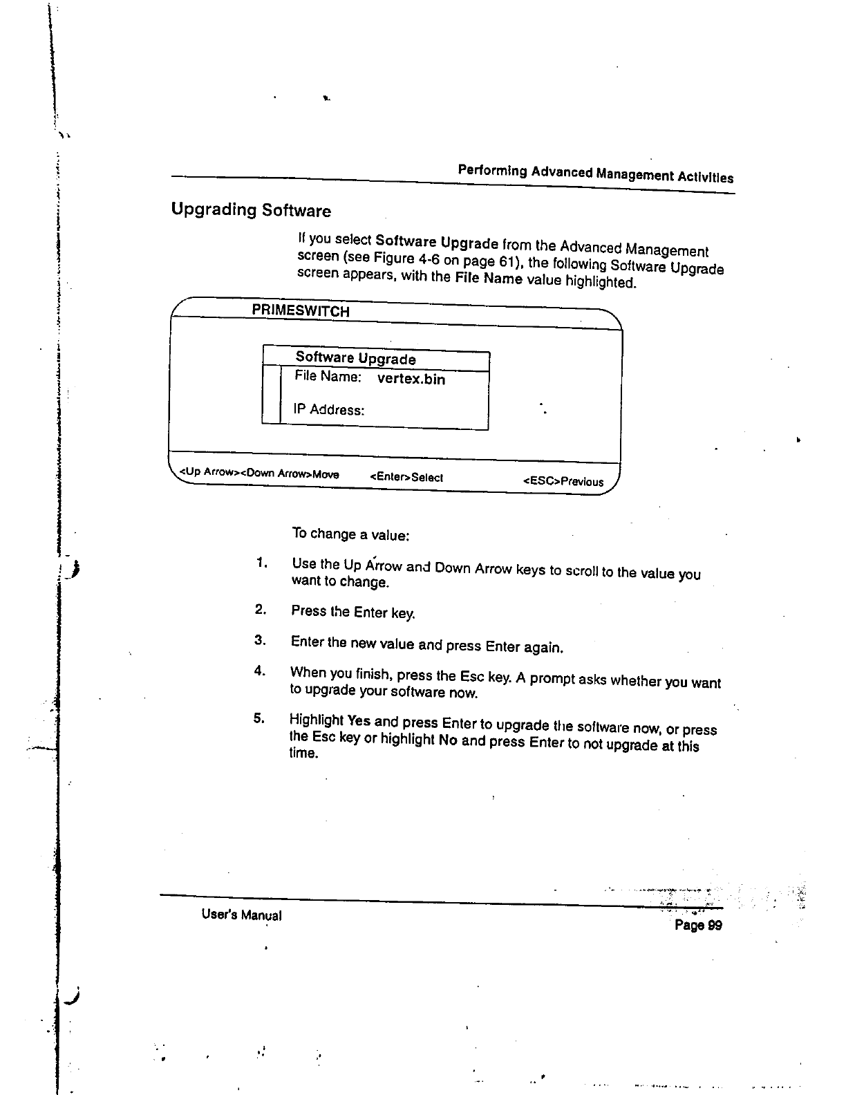
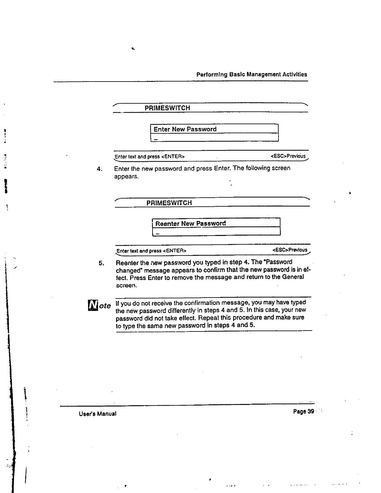
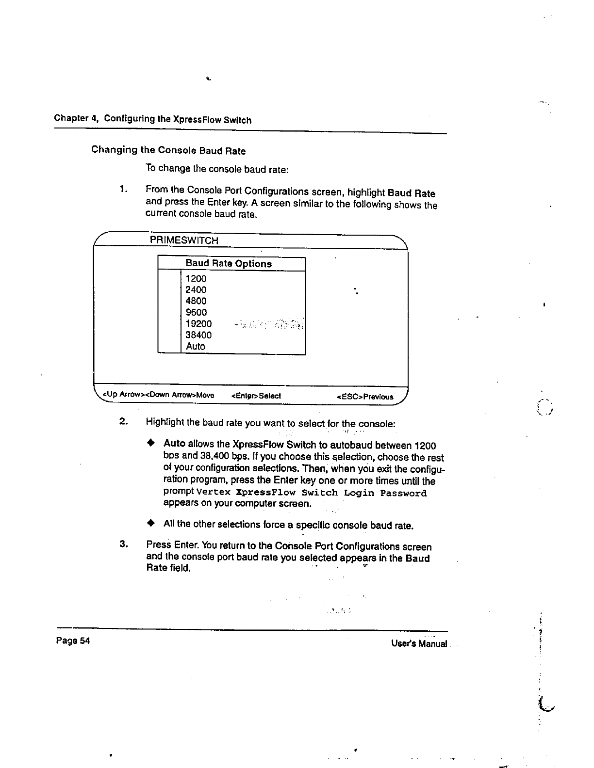
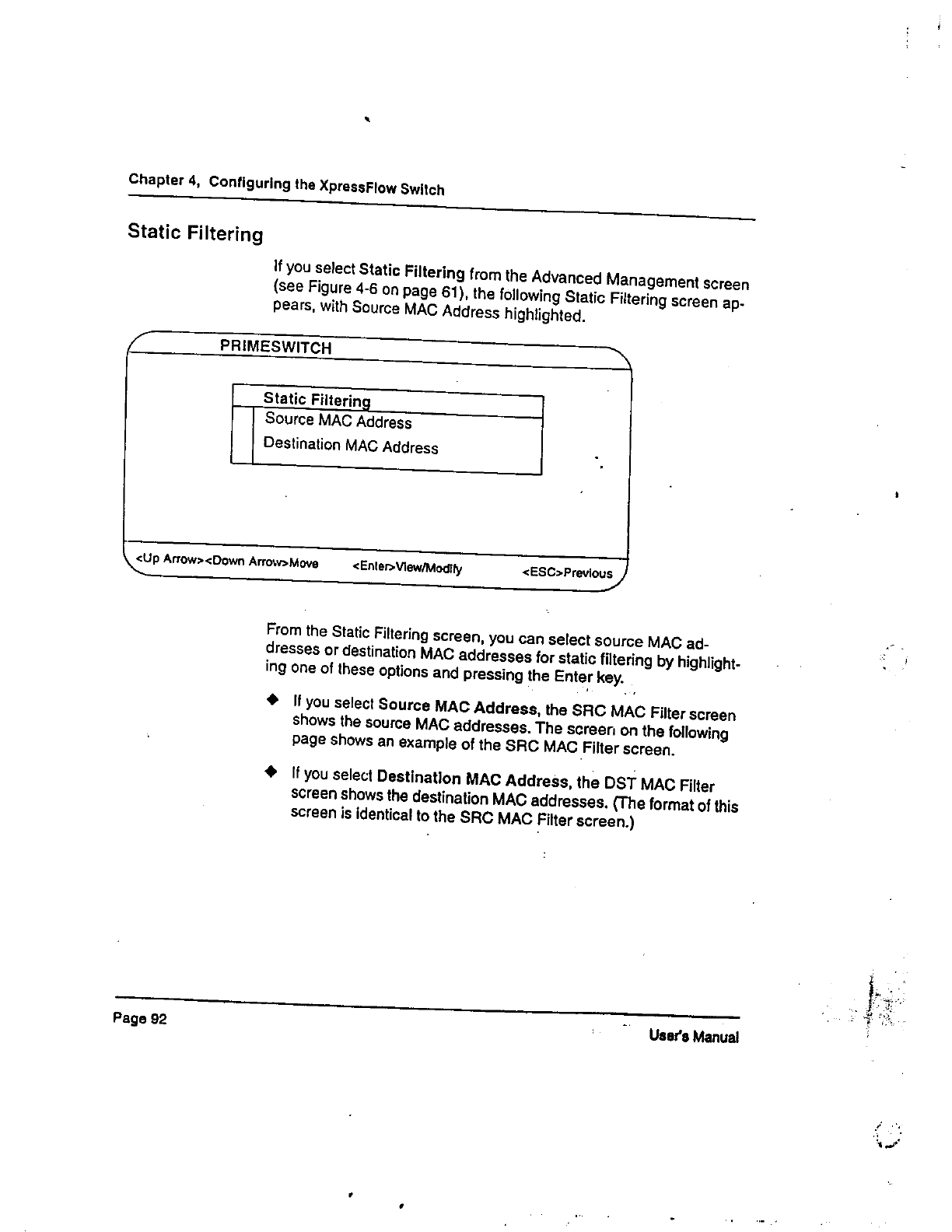
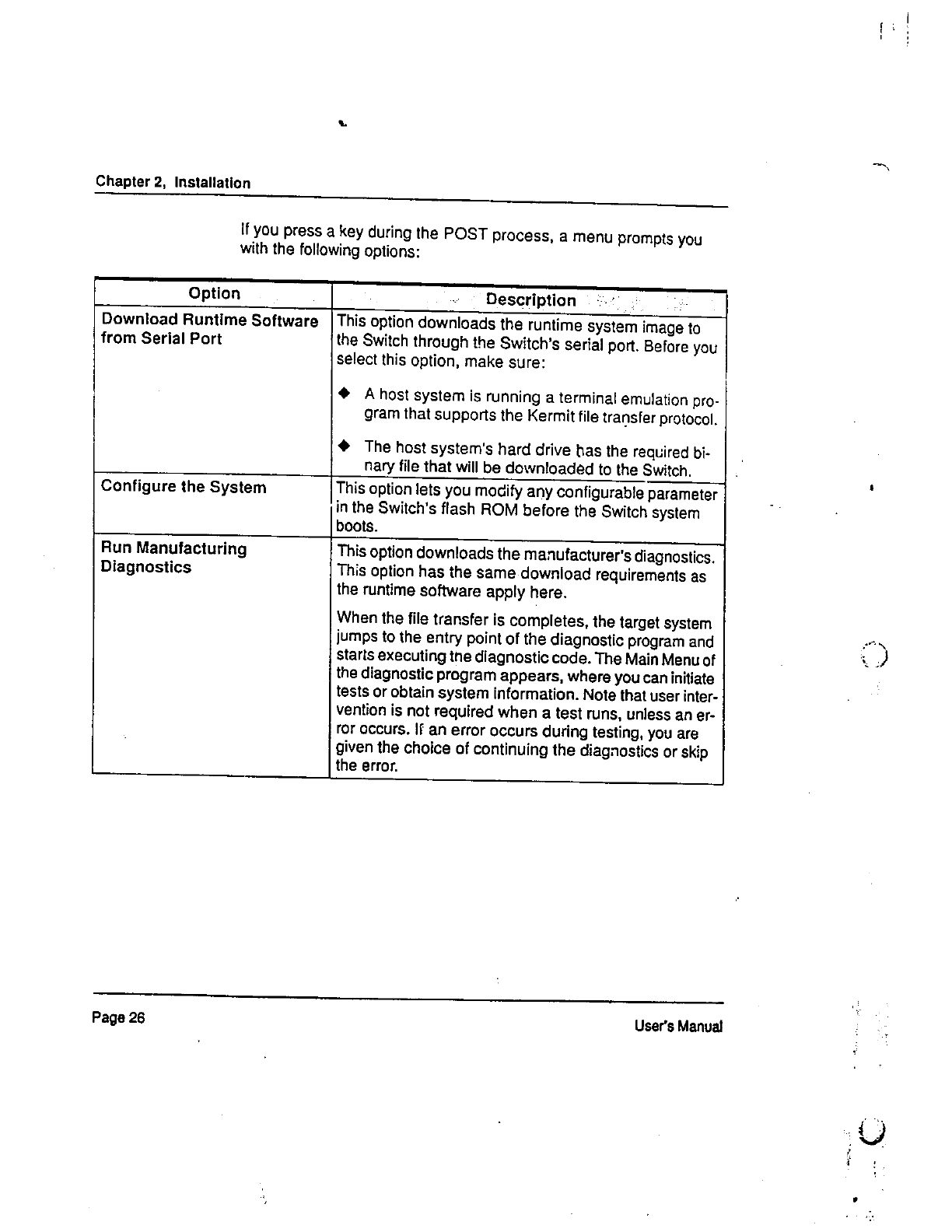
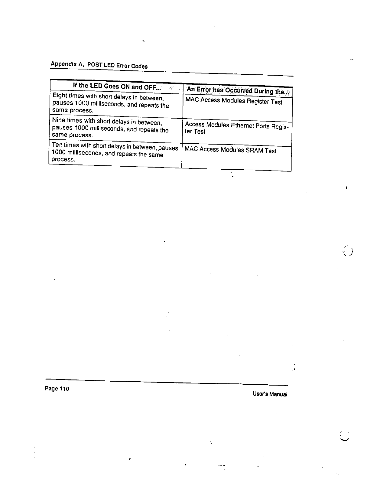
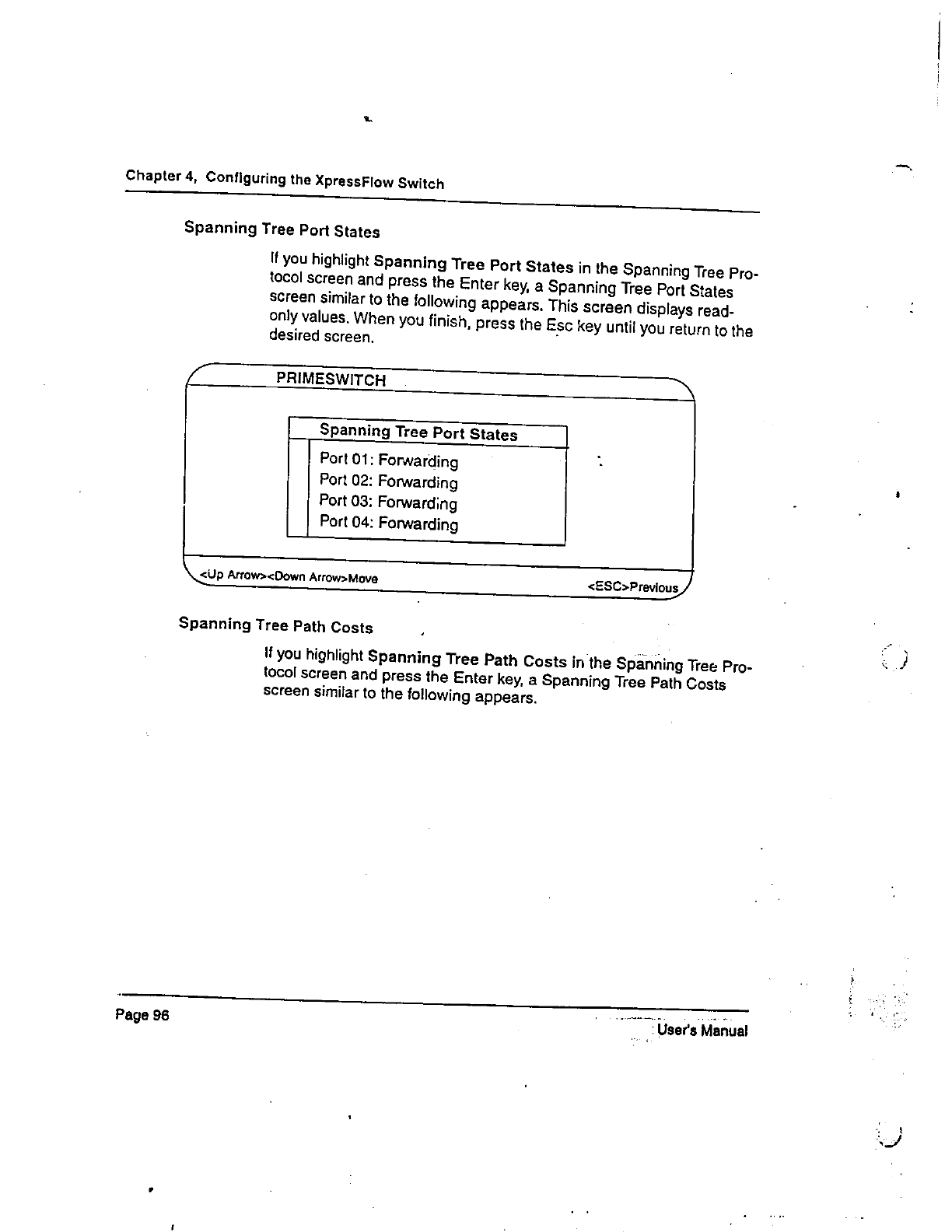
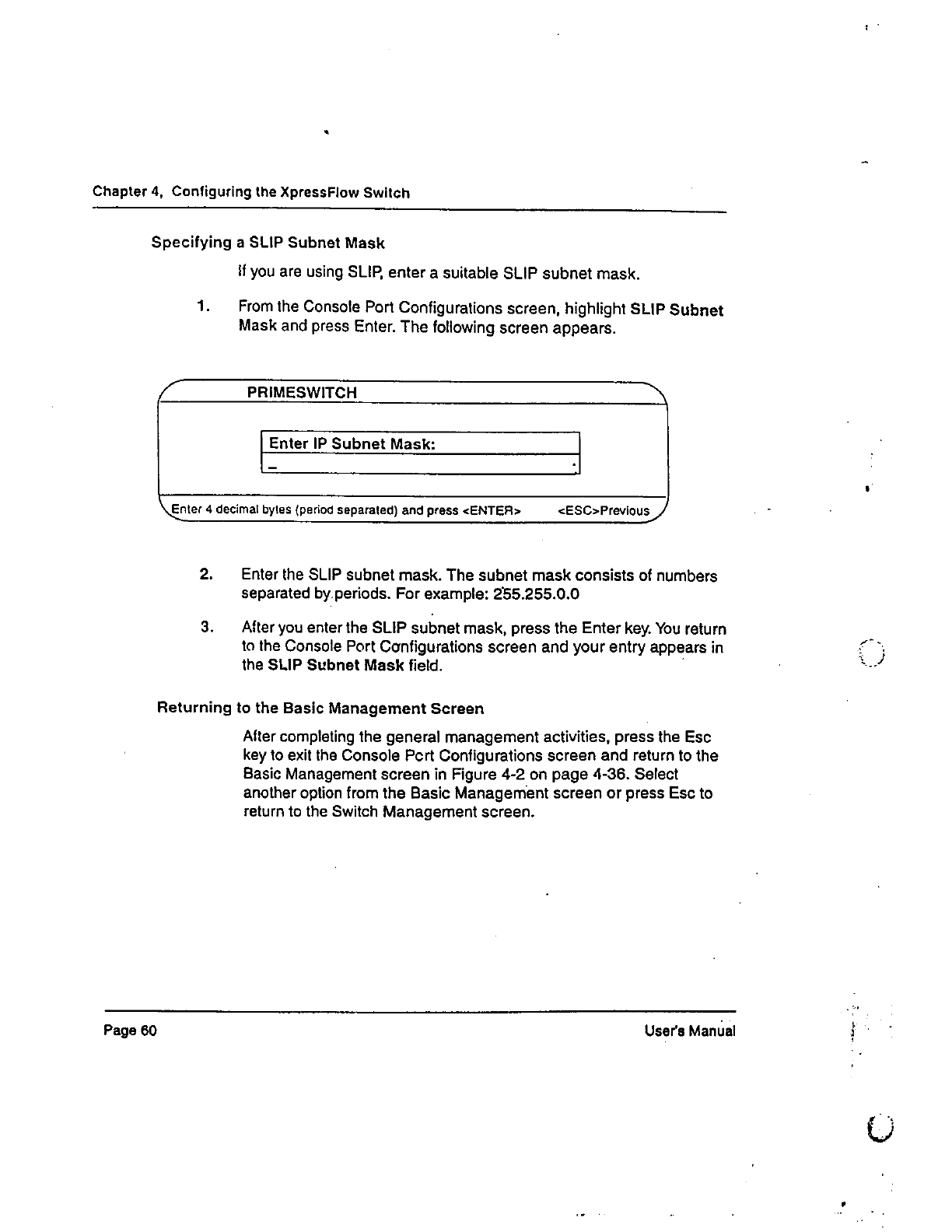
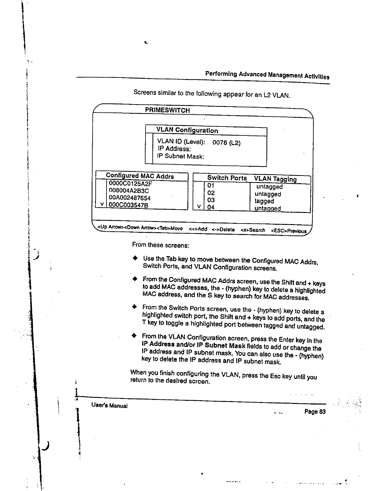
NEC 989IRVINE2 10/100 Mbps Switching Hub User Manual 8a
NEC Corporation 10/100 Mbps Switching Hub 8a
UserManual.wiki
>
NEC
>
989IRVINE2 User Manual
>
989IRVINE2 8a HTML Version
Contents
1.
8
2.
8a
8a
Navigation menu
Upload a User Manual
Namespaces
Wiki Guide
HTML
PDF
Info
Views
User Manual
Discussion / Help
Navigation