Nortel Networks 1000E Users Manual Communication Server
1000e 9d0cccfd-0852-44ed-a9b5-b93cb2a8f6fb Nortel Networks Telephone 1000E User Guide |
2015-01-26
: Nortel-Networks Nortel-Networks-1000E-Users-Manual-346506 nortel-networks-1000e-users-manual-346506 nortel-networks pdf
Open the PDF directly: View PDF
.
Page Count: 490 [warning: Documents this large are best viewed by clicking the View PDF Link!]
- Title page
- Revision history
- Contents
- List of Procedures
- About this document
- Safety instructions
- Installation summary
- System components
- Contents
- Introduction
- CS 1000E Call Server
- Backup and restore enhancements
- New backup rules
- Signaling Server
- Media Card
- Media Gateway
- Media Gateway Expander
- 19-inch Rack Mount Kit
- BayStack 470 Switch
- BayStack 460 Layer 2 switch
- MRV Terminal Server
- 19-inch rack
- System cables
- Miscellaneous system components
- Uninterruptible Power Supply
- Telephones
- Rack-mounting the components
- Contents
- Introduction
- Lifting system components
- Guidelines for component placement in a rack
- Rack-mounting a CS 1000E Call Server
- Rack-mounting a Media Gateway or Media Gateway Expander
- Rack-mounting a Signaling Server
- Rack-mounting a Terminal Server
- Rack-mounting a BayStack 470 Switch
- Rack-mounting a BayStack 460 Power over Ethernet unit
- Installing system grounds
- Contents
- Introduction
- Installing a ground bar
- Grounding a CS 1000E Call Server
- Grounding a Signaling Server
- Grounding a Media Gateway powered by the same electrical panel
- Grounding a Media Gateway powered by multiple electrical panels
- Grounding a Media Gateway Expander
- Grounding other rack-mounted components
- Grounding equipment in the UK
- Connecting CS 1000E system components
- Contents
- Introduction
- Connecting Call Server 0 to Call Server 1
- Connecting the CS 1000E Core Call Servers to an MG 1000E
- Connecting a Signaling Server to the ELAN subnet
- Connecting a Signaling Server to the TLAN subnet
- Inserting a Shielded 50-pin to Serial/ELAN/TLAN adapter onto a Media Card
- Connecting a Media Card to the ELAN subnet
- Connecting a Media Card to the TLAN subnet
- Connecting a Media Gateway to a Media Gateway Expansion
- Installing software on the CS 1000E
- Connecting MG 1000T system components
- Contents
- Introduction
- Connecting an MG 1000T Core to a Survivable MG 1000T Expansion
- Connecting an MG 1000T Core to the ELAN subnet
- Connecting a Signaling Server to the ELAN subnet
- Connecting a Signaling Server to the TLAN subnet
- Inserting a Shielded 50-pin to Serial/ELAN/TLAN adapter onto a Media Card
- Connecting a Media Card to the ELAN
- Connecting a Media Card to the TLAN subnet
- Connecting a Media Gateway to a Media Gateway Expansion
- Installing and configuring the Signaling Server software
- Configuring the CS 1000E Call Server
- Contents
- Introduction
- Enabling the Login Name option
- Configuring login IDs and passwords
- Enabling the multi-user option
- Configuring pseudo-terminals (PTYs)
- Checking PTY status
- Configuring Virtual Tone and Conference Circuits
- Configuring the MG 1000E Bandwidth Management Zones
- Configuring the MG 1000E ports
- Configuring Digitone Receivers
- Configuring Tone Detectors
- Logging in to Element Manager
- Importing preconfigured IP telephony files
- Reviewing and submitting IP telephony node configuration files
- Adding a Follower Signaling Server to an IP telephony node
- Performing a datadump
- Configuring a Small System Controller
- Installing software on an MG 1000E Small System Controller
- Installing software on an MG 1000T Small System Controller
- Connecting a Terminal Server
- Configuring a terminal and SDI ports
- Verifying the network
- Installing and cross-connecting a trunk card
- Installing and configuring a Voice Gateway Media Card
- Contents
- Introduction
- Configuring a card
- Adding a card to an IP telephony node
- Configuring a card as a node Leader
- Configuring voice gateway channels using Element Manager
- Configuring voice gateway channels using LD 14
- Saving configuration changes
- Installing a CompactFlash
- Installing a card in a Media Gateway
- Verifying a card
- Disabling a card
- Disabling a card unit
- Enabling a card
- Enabling a card unit
- Verifying functionality
- Upgrading loadware
- Installing the Main Distribution Frame
- Configuring an IP telephony node
- Installing Line cards and cross-connecting telephones
- Installing and configuring IP Phones
- Contents
- Introduction
- Package components for the IP Phones
- Configuring VoIP bandwidth management zones
- Configuring virtual superloops
- Configuring an IP Phone using LD 11
- Setting administrator and temporary IP Telephone Installer passwords
- Installing IP Phone hardware components
- Configuring the IP Phone boot parameters
- Entering IP Phone boot parameters using manual configuration
- Entering IP Phone boot parameters using full DHCP parameters
- Entering IP Phone boot parameters using partial DHCP parameters
- Using Set-Based Installation
- Installing the IP Softphone 2050
- Verifying IP Phone functionality
- Displaying registered IP Phones
- Upgrading firmware
- Installing and cross-connecting a Power Fail Transfer Unit
- Installing and cross-connecting an external alarm from a PFTU
- Configuring MG 1000T survivability and alternate primary controller
- Contents
- Introduction
- MG 1000T switch over to Survival Mode
- Switchback from Survival Mode
- LOCK and UNLOCK commands
- Database synchronization
- Configuring a survivable MG 1000T Expansion
- Printing Survivable MG 1000T Expansion parameters
- Configuring Alternate primary controller
- Verifying IP telephony node operation in Survival Mode
- Retrieving CDR records from a survivable MG 1000T Expansion
- Basic system telephony configuration
- Configuring IP Peer Networking and managing the Gatekeeper database

Nortel Communication Server 1000
Nortel Communication Server 1000 Release 4.5
Communication Server 1000E
Installation and Configuration
Document Number: 553-3041-210
Document Release: Standard 4.00
Date: September 2007
Year Publish FCC TM
Copyright © 2007 Nortel Networks. All Rights Reserved
Produced in Canada
The information in this document is subject to change without notice. The statements, configurations, technical
data, and recommendations in this document are believed to be accurate and reliable, but are presented
without express or implied warranty. Users must take full responsibility for their applications of any products
specified in this document. The information in this document is proprietary to Nortel Networks
Nortel, Nortel (Logo), the Globemark, SL-1, Meridian 1, and Succession are trademarks of Nortel Networks.
Title page

Page 3 of 488
Communication Server 1000E Installation and Configuration
4
Revision history
September 2007
Standard 4.00. This document is up-issued with corrections from CRs
Q01338671, Q01459735, and Q01651880.
July 2006
Standard 3.00. This document is up-issued with corrections from CR
Q001324850.
August 2005
Standard 2.00. This document is issued for Communication Server 1000
Release 4.5.
September 2004
Standard 1.00. This document is issued for Communication Server 1000
Release 4.5.

Page 5 of 488
Communication Server 1000E Installation and Configuration
16
Contents
List of Procedures . . . . . . . . . . . . . . . . . . . . . . . . . . 17
About this document . . . . . . . . . . . . . . . . . . . . . . . 29
Subject .. . . . . . . . . . . . . . . . . . . . . . . . . . . . . . . . . . . . . . . . . . . . . . . . . 29
Applicable systems . . . . . . . . . . . . . . . . . . . . . . . . . . . . . . . . . . . . . . . . 30
Conventions .. . . . . . . . . . . . . . . . . . . . . . . . . . . . . . . . . . . . . . . . . . . . . 30
Related information .. . . . . . . . . . . . . . . . . . . . . . . . . . . . . . . . . . . . . . . 30
Safety instructions . . . . . . . . . . . . . . . . . . . . . . . . . 33
Contents .. . . . . . . . . . . . . . . . . . . . . . . . . . . . . . . . . . . . . . . . . . . . . . . . 33
Introduction . . . . . . . . . . . . . . . . . . . . . . . . . . . . . . . . . . . . . . . . . . . . . . 33
Lifting system equipment . . . . . . . . . . . . . . . . . . . . . . . . . . . . . . . . . . . 34
Handling circuit cards . . . . . . . . . . . . . . . . . . . . . . . . . . . . . . . . . . . . . 34
Installing telephones . . . . . . . . . . . . . . . . . . . . . . . . . . . . . . . . . . . . . . . 35
Using telephones . . . . . . . . . . . . . . . . . . . . . . . . . . . . . . . . . . . . . . . . . . 35
Installation summary . . . . . . . . . . . . . . . . . . . . . . . 37
Contents .. . . . . . . . . . . . . . . . . . . . . . . . . . . . . . . . . . . . . . . . . . . . . . . . 37
Introduction . . . . . . . . . . . . . . . . . . . . . . . . . . . . . . . . . . . . . . . . . . . . . . 37
Installation tasks . . . . . . . . . . . . . . . . . . . . . . . . . . . . . . . . . . . . . . . . . . 38
System components . . . . . . . . . . . . . . . . . . . . . . . . 41
Contents .. . . . . . . . . . . . . . . . . . . . . . . . . . . . . . . . . . . . . . . . . . . . . . . . 41
Introduction . . . . . . . . . . . . . . . . . . . . . . . . . . . . . . . . . . . . . . . . . . . . . . 41

Page 6 of 488 Contents
553-3041-210 Standard 4.00 September 2007
CS 1000E Call Server . . . . . . . . . . . . . . . . . . . . . . . . . . . . . . . . . . . . . . 42
Backup and restore enhancements . . . . . . . . . . . . . . . . . . . . . . . . . . . . 44
New backup rules . . . . . . . . . . . . . . . . . . . . . . . . . . . . . . . . . . . . . . . . . 45
Signaling Server . . . . . . . . . . . . . . . . . . . . . . . . . . . . . . . . . . . . . . . . . . 45
Media Card . . . . . . . . . . . . . . . . . . . . . . . . . . . . . . . . . . . . . . . . . . . . . . 49
Media Gateway . . . . . . . . . . . . . . . . . . . . . . . . . . . . . . . . . . . . . . . . . . . 51
Media Gateway Expander .. . . . . . . . . . . . . . . . . . . . . . . . . . . . . . . . . . 57
19-inch Rack Mount Kit . . . . . . . . . . . . . . . . . . . . . . . . . . . . . . . . . . . . 60
BayStack 470 Switch . . . . . . . . . . . . . . . . . . . . . . . . . . . . . . . . . . . . . . 61
BayStack 460 Layer 2 switch . . . . . . . . . . . . . . . . . . . . . . . . . . . . . . . . 63
MRV Terminal Server . . . . . . . . . . . . . . . . . . . . . . . . . . . . . . . . . . . . . 63
19-inch rack . . . . . . . . . . . . . . . . . . . . . . . . . . . . . . . . . . . . . . . . . . . . . 65
System cables . . . . . . . . . . . . . . . . . . . . . . . . . . . . . . . . . . . . . . . . . . . . 65
Miscellaneous system components .. . . . . . . . . . . . . . . . . . . . . . . . . . . 68
Uninterruptible Power Supply . . . . . . . . . . . . . . . . . . . . . . . . . . . . . . . 69
Telephones . . . . . . . . . . . . . . . . . . . . . . . . . . . . . . . 71
Rack-mounting the components . . . . . . . . . . . . . . 73
Contents . . . . . . . . . . . . . . . . . . . . . . . . . . . . . . . . . . . . . . . . . . . . . . . . 73
Introduction .. . . . . . . . . . . . . . . . . . . . . . . . . . . . . . . . . . . . . . . . . . . . . 73
Lifting system components . . . . . . . . . . . . . . . . . . . . . . . . . . . . . . . . . . 74
Guidelines for component placement in a rack . . . . . . . . . . . . . . . . . . 75
Rack-mounting a CS 1000E Call Server . . . . . . . . . . . . . . . . . . . . . . . 76
Rack-mounting a Media Gateway or Media Gateway Expander . . . . . 77
Rack-mounting a Signaling Server . . . . . . . . . . . . . . . . . . . . . . . . . . . . 83
Rack-mounting a Terminal Server . . . . . . . . . . . . . . . . . . . . . . . . . . . . 90
Rack-mounting a BayStack 470 Switch . . . . . . . . . . . . . . . . . . . . . . . . 90
Rack-mounting a BayStack 460 Power over Ethernet unit . . . . . . . . . 90

Contents Page 7 of 488
Communication Server 1000E Installation and Configuration
Installing system grounds . . . . . . . . . . . . . . . . . . . 91
Contents .. . . . . . . . . . . . . . . . . . . . . . . . . . . . . . . . . . . . . . . . . . . . . . . . 91
Introduction . . . . . . . . . . . . . . . . . . . . . . . . . . . . . . . . . . . . . . . . . . . . . . 91
Installing a ground bar .. . . . . . . . . . . . . . . . . . . . . . . . . . . . . . . . . . . . . 92
Grounding a CS 1000E Call Server . . . . . . . . . . . . . . . . . . . . . . . . . . . 95
Grounding a Signaling Server . . . . . . . . . . . . . . . . . . . . . . . . . . . . . . . . 95
Grounding a Media Gateway powered by the same electrical panel . . 96
Grounding a Media Gateway powered by multiple electrical panels . . 97
Grounding a Media Gateway Expander . . . . . . . . . . . . . . . . . . . . . . . . 98
Grounding other rack-mounted components .. . . . . . . . . . . . . . . . . . . . 99
Grounding equipment in the UK .. . . . . . . . . . . . . . . . . . . . . . . . . . . . . 101
Connecting CS 1000E system components . . . . . 103
Contents .. . . . . . . . . . . . . . . . . . . . . . . . . . . . . . . . . . . . . . . . . . . . . . . . 103
Introduction . . . . . . . . . . . . . . . . . . . . . . . . . . . . . . . . . . . . . . . . . . . . . . 103
Connecting Call Server 0 to Call Server 1 . . . . . . . . . . . . . . . . . . . . . . 104
Connecting the CS 1000E Core Call Servers to an MG 1000E . . . . . . 106
Connecting a Signaling Server to the ELAN subnet .. . . . . . . . . . . . . . 111
Connecting a Signaling Server to the TLAN subnet .. . . . . . . . . . . . . . 112
Inserting a Shielded 50-pin to Serial/ELAN/TLAN
adapter onto a Media Card . . . . . . . . . . . . . . . . . . . . . . . . . . . . . . . . . . 113
Connecting a Media Card to the ELAN subnet .. . . . . . . . . . . . . . . . . . 114
Connecting a Media Card to the TLAN subnet .. . . . . . . . . . . . . . . . . . 115
Connecting a Media Gateway to a Media Gateway Expansion . . . . . . 116
Installing software on the CS 1000E . . . . . . . . . . . 119
Contents .. . . . . . . . . . . . . . . . . . . . . . . . . . . . . . . . . . . . . . . . . . . . . . . . 119
Introduction . . . . . . . . . . . . . . . . . . . . . . . . . . . . . . . . . . . . . . . . . . . . . . 119
Connecting MG 1000T system components . . . . . 153
Contents .. . . . . . . . . . . . . . . . . . . . . . . . . . . . . . . . . . . . . . . . . . . . . . . . 153
Introduction . . . . . . . . . . . . . . . . . . . . . . . . . . . . . . . . . . . . . . . . . . . . . . 153

Page 8 of 488 Contents
553-3041-210 Standard 4.00 September 2007
Connecting an MG 1000T Core to a Survivable
MG 1000T Expansion .. . . . . . . . . . . . . . . . . . . . . . . . . . . . . . . . . . . . . 156
Connecting an MG 1000T Core to the ELAN subnet . . . . . . . . . . . . . 161
Connecting a Signaling Server to the ELAN subnet . . . . . . . . . . . . . . 162
Connecting a Signaling Server to the TLAN subnet . . . . . . . . . . . . . . 163
Inserting a Shielded 50-pin to Serial/ELAN/TLAN
adapter onto a Media Card . . . . . . . . . . . . . . . . . . . . . . . . . . . . . . . . . . 163
Connecting a Media Card to the ELAN . . . . . . . . . . . . . . . . . . . . . . . . 165
Connecting a Media Card to the TLAN subnet . . . . . . . . . . . . . . . . . . 166
Connecting a Media Gateway to a Media Gateway Expansion . . . . . . 166
Installing and configuring the Signaling Server
software . . . . . . . . . . . . . . . . . . . . . . . . . . . . . . . . . . 169
Contents . . . . . . . . . . . . . . . . . . . . . . . . . . . . . . . . . . . . . . . . . . . . . . . . 169
Introduction .. . . . . . . . . . . . . . . . . . . . . . . . . . . . . . . . . . . . . . . . . . . . . 169
Signaling Server Software Install Tool .. . . . . . . . . . . . . . . . . . . . . . . . 169
Installing the software .. . . . . . . . . . . . . . . . . . . . . . . . . . . . . . . . . . . . . 172
Logging in to the Signaling Server . . . . . . . . . . . . . . . . . . . . . . . . . . . . 195
Verifying a successful configuration . . . . . . . . . . . . . . . . . . . . . . . . . . 197
Testing the Leader Signaling Server .. . . . . . . . . . . . . . . . . . . . . . . . . . 197
Configuring the CS 1000E Call Server . . . . . . . . . 199
Contents . . . . . . . . . . . . . . . . . . . . . . . . . . . . . . . . . . . . . . . . . . . . . . . . 199
Introduction .. . . . . . . . . . . . . . . . . . . . . . . . . . . . . . . . . . . . . . . . . . . . . 200
Enabling the Login Name option . . . . . . . . . . . . . . . . . . . . . . . . . . . . . 201
Configuring login IDs and passwords . . . . . . . . . . . . . . . . . . . . . . . . . 202
Enabling the multi-user option . . . . . . . . . . . . . . . . . . . . . . . . . . . . . . . 206
Configuring pseudo-terminals (PTYs) . . . . . . . . . . . . . . . . . . . . . . . . . 207
Checking PTY status . . . . . . . . . . . . . . . . . . . . . . . . . . . . . . . . . . . . . . 209
Configuring Virtual Tone and Conference Circuits . . . . . . . . . . . . . . . 210
Configuring the MG 1000E Bandwidth Management Zones .. . . . . . . 211

Contents Page 9 of 488
Communication Server 1000E Installation and Configuration
Configuring the MG 1000E ports . . . . . . . . . . . . . . . . . . . . . . . . . . . . . 213
Configuring Digitone Receivers . . . . . . . . . . . . . . . . . . . . . . . . . . . . . . 214
Configuring Tone Detectors . . . . . . . . . . . . . . . . . . . . . . . . . . . . . . . . . 215
Logging in to Element Manager . . . . . . . . . . . . . . . . . . . . . . . . . . . . . . 216
Importing preconfigured IP telephony files . . . . . . . . . . . . . . . . . . . . . 219
Reviewing and submitting IP telephony node configuration files . . . . 221
Adding a Follower Signaling Server to an IP telephony node . . . . . . . 221
Performing a datadump . . . . . . . . . . . . . . . . . . . . . . . . . . . . . . . . . . . . . 221
Configuring a Small System Controller . . . . . . . . 225
Contents .. . . . . . . . . . . . . . . . . . . . . . . . . . . . . . . . . . . . . . . . . . . . . . . . 225
Introduction . . . . . . . . . . . . . . . . . . . . . . . . . . . . . . . . . . . . . . . . . . . . . . 225
Adding a software daughterboard and remote security device . . . . . . . 226
Adding a 100BaseT daughterboard (dual port) .. . . . . . . . . . . . . . . . . . 227
Adding a 100BaseT daughterboard (single port) . . . . . . . . . . . . . . . . . 231
Installing software on an MG 1000E
Small System Controller . . . . . . . . . . . . . . . . . . . . . 235
Contents .. . . . . . . . . . . . . . . . . . . . . . . . . . . . . . . . . . . . . . . . . . . . . . . . 235
Introduction . . . . . . . . . . . . . . . . . . . . . . . . . . . . . . . . . . . . . . . . . . . . . . 235
Installing software on an MG 1000E SSC . . . . . . . . . . . . . . . . . . . . . . 236
Installing software on an MG 1000T
Small System Controller . . . . . . . . . . . . . . . . . . . . . 241
Contents .. . . . . . . . . . . . . . . . . . . . . . . . . . . . . . . . . . . . . . . . . . . . . . . . 241
Introduction . . . . . . . . . . . . . . . . . . . . . . . . . . . . . . . . . . . . . . . . . . . . . . 241
Software Installation Program .. . . . . . . . . . . . . . . . . . . . . . . . . . . . . . . 242
Keycodes . . . . . . . . . . . . . . . . . . . . . . . . . . . . . . . . . . . . . . . . . . . . . . . . 244
Installing software on an SSC . . . . . . . . . . . . . . . . . . . . . . . . . . . . . . . . 245
Setting the system time and date .. . . . . . . . . . . . . . . . . . . . . . . . . . . . . 250

Page 10 of 488 Contents
553-3041-210 Standard 4.00 September 2007
Connecting a Terminal Server . . . . . . . . . . . . . . . . 253
Contents . . . . . . . . . . . . . . . . . . . . . . . . . . . . . . . . . . . . . . . . . . . . . . . . 253
Introduction .. . . . . . . . . . . . . . . . . . . . . . . . . . . . . . . . . . . . . . . . . . . . . 253
Configuring a Terminal Server . . . . . . . . . . . . . . . . . . . . . . . . . . . . . . . 255
Telnet Terminal Server virtual management port .. . . . . . . . . . . . . . . . 258
Telnet CS 1000E COM port from a PC . . . . . . . . . . . . . . . . . . . . . . . . 258
Configuring a transparent rlogin port . . . . . . . . . . . . . . . . . . . . . . . . . . 260
Accessing an MRV Console Port through the on-board modem . . . . . 264
CS 1000E COM port types . . . . . . . . . . . . . . . . . . . . . . . . . . . . . . . . . . 265
Configuring a terminal and SDI ports . . . . . . . . . . 267
Contents . . . . . . . . . . . . . . . . . . . . . . . . . . . . . . . . . . . . . . . . . . . . . . . . 267
Introduction .. . . . . . . . . . . . . . . . . . . . . . . . . . . . . . . . . . . . . . . . . . . . . 267
Setting the TTY terminal port .. . . . . . . . . . . . . . . . . . . . . . . . . . . . . . . 268
Traditional terminal SDI connection . . . . . . . . . . . . . . . . . . . . . . . . . . 268
CS 1000E Core Call Server SDI connection . . . . . . . . . . . . . . . . . . . . 269
MG 1000E SDI connection .. . . . . . . . . . . . . . . . . . . . . . . . . . . . . . . . . 270
MG 1000T SDI connection .. . . . . . . . . . . . . . . . . . . . . . . . . . . . . . . . . 270
Signaling Server SDI connection . . . . . . . . . . . . . . . . . . . . . . . . . . . . . 273
BayStack 470 SDI connection . . . . . . . . . . . . . . . . . . . . . . . . . . . . . . . 274
Media Card SDI connection . . . . . . . . . . . . . . . . . . . . . . . . . . . . . . . . . 274
Verifying the network . . . . . . . . . . . . . . . . . . . . . . . 277
Contents . . . . . . . . . . . . . . . . . . . . . . . . . . . . . . . . . . . . . . . . . . . . . . . . 277
Introduction .. . . . . . . . . . . . . . . . . . . . . . . . . . . . . . . . . . . . . . . . . . . . . 277
Checking the status of the ELAN network interfaces .. . . . . . . . . . . . . 278
Checking the status of the HSP ports . . . . . . . . . . . . . . . . . . . . . . . . . . 282
Checking the status of the MG 1000T 100BaseT links . . . . . . . . . . . . 283
Checking MG 1000T trunking functionality . . . . . . . . . . . . . . . . . . . . 287
Establish CS 1000E DID calls from MG 1000T . . . . . . . . . . . . . . . . . 287

Contents Page 11 of 488
Communication Server 1000E Installation and Configuration
Installing and cross-connecting a trunk card . . . . 289
Contents .. . . . . . . . . . . . . . . . . . . . . . . . . . . . . . . . . . . . . . . . . . . . . . . . 289
Introduction . . . . . . . . . . . . . . . . . . . . . . . . . . . . . . . . . . . . . . . . . . . . . . 289
Circuit card options . . . . . . . . . . . . . . . . . . . . . . . . . . . . . . . . . . . . . . . . 293
Digital trunk cards .. . . . . . . . . . . . . . . . . . . . . . . . . . . . . . . . . . . . . . . . 293
Connecting a trunk . . . . . . . . . . . . . . . . . . . . . . . . . . . . . . . . . . . . . . . . 294
Universal Trunk card connections .. . . . . . . . . . . . . . . . . . . . . . . . . . . . 295
E&M Trunk card connections . . . . . . . . . . . . . . . . . . . . . . . . . . . . . . . . 298
Trunk connections (Europe) . . . . . . . . . . . . . . . . . . . . . . . . . . . . . . . . . 300
Trunk connections (UK) . . . . . . . . . . . . . . . . . . . . . . . . . . . . . . . . . . . . 310
Verifying trunk functionality . . . . . . . . . . . . . . . . . . . . . . . . . . . . . . . . 318
Installing and configuring a
Voice Gateway Media Card . . . . . . . . . . . . . . . . . . . 319
Contents .. . . . . . . . . . . . . . . . . . . . . . . . . . . . . . . . . . . . . . . . . . . . . . . . 319
Introduction . . . . . . . . . . . . . . . . . . . . . . . . . . . . . . . . . . . . . . . . . . . . . . 320
Configuring a card .. . . . . . . . . . . . . . . . . . . . . . . . . . . . . . . . . . . . . . . . 321
Adding a card to an IP telephony node . . . . . . . . . . . . . . . . . . . . . . . . . 321
Configuring a card as a node Leader .. . . . . . . . . . . . . . . . . . . . . . . . . . 325
Configuring voice gateway channels using Element Manager . . . . . . . 325
Configuring voice gateway channels using LD 14 . . . . . . . . . . . . . . . . 327
Saving configuration changes . . . . . . . . . . . . . . . . . . . . . . . . . . . . . . . . 329
Installing a CompactFlash .. . . . . . . . . . . . . . . . . . . . . . . . . . . . . . . . . . 330
Installing a card in a Media Gateway . . . . . . . . . . . . . . . . . . . . . . . . . . 335
Verifying a card .. . . . . . . . . . . . . . . . . . . . . . . . . . . . . . . . . . . . . . . . . . 339
Disabling a card .. . . . . . . . . . . . . . . . . . . . . . . . . . . . . . . . . . . . . . . . . . 347
Disabling a card unit . . . . . . . . . . . . . . . . . . . . . . . . . . . . . . . . . . . . . . . 348
Enabling a card . . . . . . . . . . . . . . . . . . . . . . . . . . . . . . . . . . . . . . . . . . . 349
Enabling a card unit .. . . . . . . . . . . . . . . . . . . . . . . . . . . . . . . . . . . . . . . 350
Verifying functionality . . . . . . . . . . . . . . . . . . . . . . . . . . . . . . . . . . . . . 351

Page 12 of 488 Contents
553-3041-210 Standard 4.00 September 2007
Upgrading loadware . . . . . . . . . . . . . . . . . . . . . . . . . . . . . . . . . . . . . . . 351
Installing the Main Distribution Frame . . . . . . . . . 353
Contents . . . . . . . . . . . . . . . . . . . . . . . . . . . . . . . . . . . . . . . . . . . . . . . . 353
Introduction .. . . . . . . . . . . . . . . . . . . . . . . . . . . . . . . . . . . . . . . . . . . . . 353
Terminal block requirements . . . . . . . . . . . . . . . . . . . . . . . . . . . . . . . . 354
Installing a BIX cross-connect terminal . . . . . . . . . . . . . . . . . . . . . . . . 354
Installing a Krone Test Jack Frame for the UK . . . . . . . . . . . . . . . . . . 356
Connecting the cables to the Media Gateways . . . . . . . . . . . . . . . . . . . 360
Configuring an IP telephony node . . . . . . . . . . . . 365
Contents . . . . . . . . . . . . . . . . . . . . . . . . . . . . . . . . . . . . . . . . . . . . . . . . 365
Introduction .. . . . . . . . . . . . . . . . . . . . . . . . . . . . . . . . . . . . . . . . . . . . . 365
Before you begin .. . . . . . . . . . . . . . . . . . . . . . . . . . . . . . . . . . . . . . . . . 366
Configuring MS Internet Explorer . . . . . . . . . . . . . . . . . . . . . . . . . . . . 367
Logging in to Element Manager . . . . . . . . . . . . . . . . . . . . . . . . . . . . . . 370
Importing preconfigured IP telephony files . . . . . . . . . . . . . . . . . . . . . 372
Reviewing and submitting IP telephony node configuration files . . . . 374
Adding a Follower Signaling Server to an IP telephony node . . . . . . . 379
Performing a datadump .. . . . . . . . . . . . . . . . . . . . . . . . . . . . . . . . . . . . 380
Installing Line cards and
cross-connecting telephones . . . . . . . . . . . . . . . . 383
Contents . . . . . . . . . . . . . . . . . . . . . . . . . . . . . . . . . . . . . . . . . . . . . . . . 383
Introduction .. . . . . . . . . . . . . . . . . . . . . . . . . . . . . . . . . . . . . . . . . . . . . 383
Card placement in a Media Gateway or a Media Gateway Expansion . 386
Cross-connecting telephones . . . . . . . . . . . . . . . . . . . . . . . . . . . . . . . . 386
Connecting a telephone without a PFTU . . . . . . . . . . . . . . . . . . . . . . . 388
Connecting an off-premise telephone . . . . . . . . . . . . . . . . . . . . . . . . . . 389
Connecting an attendant console . . . . . . . . . . . . . . . . . . . . . . . . . . . . . 391

Contents Page 13 of 488
Communication Server 1000E Installation and Configuration
Installing and configuring IP Phones . . . . . . . . . . 395
Contents .. . . . . . . . . . . . . . . . . . . . . . . . . . . . . . . . . . . . . . . . . . . . . . . . 395
Introduction . . . . . . . . . . . . . . . . . . . . . . . . . . . . . . . . . . . . . . . . . . . . . . 396
Package components for the IP Phones .. . . . . . . . . . . . . . . . . . . . . . . . 397
Configuring VoIP bandwidth management zones . . . . . . . . . . . . . . . . 408
Configuring virtual superloops . . . . . . . . . . . . . . . . . . . . . . . . . . . . . . . 410
Configuring an IP Phone using LD 11 . . . . . . . . . . . . . . . . . . . . . . . . . 411
Setting administrator and temporary IP Telephone
Installer passwords . . . . . . . . . . . . . . . . . . . . . . . . . . . . . . . . . . . . . . . . 417
Installing IP Phone hardware components . . . . . . . . . . . . . . . . . . . . . . 420
Configuring the IP Phone boot parameters . . . . . . . . . . . . . . . . . . . . . . 424
Entering IP Phone boot parameters using manual configuration . . . . . 425
Entering IP Phone boot parameters using full DHCP parameters . . . . 428
Entering IP Phone boot parameters using partial DHCP parameters . . 430
Using Set-Based Installation . . . . . . . . . . . . . . . . . . . . . . . . . . . . . . . . . 433
Installing the IP Softphone 2050 .. . . . . . . . . . . . . . . . . . . . . . . . . . . . . 435
Verifying IP Phone functionality . . . . . . . . . . . . . . . . . . . . . . . . . . . . . 439
Displaying registered IP Phones . . . . . . . . . . . . . . . . . . . . . . . . . . . . . . 439
Upgrading firmware . . . . . . . . . . . . . . . . . . . . . . . . . . . . . . . . . . . . . . . 439
Installing and cross-connecting a
Power Fail Transfer Unit . . . . . . . . . . . . . . . . . . . . . 441
Contents .. . . . . . . . . . . . . . . . . . . . . . . . . . . . . . . . . . . . . . . . . . . . . . . . 441
Introduction . . . . . . . . . . . . . . . . . . . . . . . . . . . . . . . . . . . . . . . . . . . . . . 441
Installing and connecting a QUA6 PFTU . . . . . . . . . . . . . . . . . . . . . . . 442
Installing and connecting a third-party PFTU .. . . . . . . . . . . . . . . . . . . 447
Connecting an analog (500/2500-type) telephone to a PFTU .. . . . . . . 448
Connecting a trunk to a PFTU .. . . . . . . . . . . . . . . . . . . . . . . . . . . . . . . 452

Page 14 of 488 Contents
553-3041-210 Standard 4.00 September 2007
Installing and cross-connecting
an external alarm from a PFTU . . . . . . . . . . . . . . . 455
Contents . . . . . . . . . . . . . . . . . . . . . . . . . . . . . . . . . . . . . . . . . . . . . . . . 455
Introduction .. . . . . . . . . . . . . . . . . . . . . . . . . . . . . . . . . . . . . . . . . . . . . 455
Installing an alarm using an alarm port assigned in LD 15 . . . . . . . . . 456
Installing an alarm through QUA6 PFTU connections . . . . . . . . . . . . 457
Configuring MG 1000T survivability and alternate
primary controller . . . . . . . . . . . . . . . . . . . . . . . . . . 461
Contents . . . . . . . . . . . . . . . . . . . . . . . . . . . . . . . . . . . . . . . . . . . . . . . . 461
Introduction .. . . . . . . . . . . . . . . . . . . . . . . . . . . . . . . . . . . . . . . . . . . . . 461
MG 1000T switch over to Survival Mode . . . . . . . . . . . . . . . . . . . . . . 462
Switchback from Survival Mode . . . . . . . . . . . . . . . . . . . . . . . . . . . . . 464
LOCK and UNLOCK commands .. . . . . . . . . . . . . . . . . . . . . . . . . . . . 465
Database synchronization . . . . . . . . . . . . . . . . . . . . . . . . . . . . . . . . . . . 466
Configuring a survivable MG 1000T Expansion . . . . . . . . . . . . . . . . . 472
Printing Survivable MG 1000T Expansion parameters . . . . . . . . . . . . 473
Configuring Alternate primary controller .. . . . . . . . . . . . . . . . . . . . . . 473
Verifying IP telephony node operation in Survival Mode . . . . . . . . . . 475
Retrieving CDR records from a survivable MG 1000T Expansion . . . 476
Basic system telephony configuration . . . . . . . . . 479
Contents . . . . . . . . . . . . . . . . . . . . . . . . . . . . . . . . . . . . . . . . . . . . . . . . 479
Introduction .. . . . . . . . . . . . . . . . . . . . . . . . . . . . . . . . . . . . . . . . . . . . . 479
Basic system configuration .. . . . . . . . . . . . . . . . . . . . . . . . . . . . . . . . . 479
MG 1000T card slot assignment .. . . . . . . . . . . . . . . . . . . . . . . . . . . . . 484
TN assignment . . . . . . . . . . . . . . . . . . . . . . . . . . . . . . . . . . . . . . . . . . . 485
Configuring IP Peer Networking and
managing the Gatekeeper database . . . . . . . . . . . 487
Contents . . . . . . . . . . . . . . . . . . . . . . . . . . . . . . . . . . . . . . . . . . . . . . . . 487
Introduction .. . . . . . . . . . . . . . . . . . . . . . . . . . . . . . . . . . . . . . . . . . . . . 487

Page 17 of 488
Communication Server 1000E Installation and Configuration
28
List of Procedures
Procedure 1
Rack-mounting a CS 1000E Call Server . . . . . . . . . . . . 77
Procedure 2
Removing the cover . . . . . . . . . . . . . . . . . . . . . . . . . . . .78
Procedure 3
Rack-mounting a Media Gateway or Media Gateway
Expander . . . . . . . . . . . . . . . . . . . . . . . . . . . . . . . . . . . . .80
Procedure 4
Preparing a Signaling Server for rack-mounting . . . . .83
Procedure 5
Rack-mounting a Signaling Server . . . . . . . . . . . . . . . .86
Procedure 6
Installing an NTBK80 Ground Bar . . . . . . . . . . . . . . . . . 93
Procedure 7
Installing an NTDU6201 Ground Bar . . . . . . . . . . . . . . .94
Procedure 8
Grounding Media Gateways powered by the same
electrical panel . . . . . . . . . . . . . . . . . . . . . . . . . . . . . . . .96
Procedure 9
Grounding Media Gateways powered by multiple
electrical panels . . . . . . . . . . . . . . . . . . . . . . . . . . . . . . .98

Page 18 of 488 List of Procedures
553-3041-210 Standard 4.00 September 2007
Procedure 10
Grounding a Media Gateway Expander . . . . . . . . . . . . 98
Procedure 11
Grounding equipment in the UK . . . . . . . . . . . . . . . . . . 101
Procedure 12
Connecting co-located Call Servers . . . . . . . . . . . . . . . 105
Procedure 13
Connecting Campus Redundant Call Servers . . . . . . . 106
Procedure 14
Connecting the CS 1000E Core Call Servers to
an MG 1000E . . . . . . . . . . . . . . . . . . . . . . . . . . . . . . . . . . 107
Procedure 15
Connecting an MG 1000E in the Dual Homed
configuration . . . . . . . . . . . . . . . . . . . . . . . . . . . . . . . . . . 111
Procedure 16
Connecting a Signaling Server to the ELAN . . . . . . . . 111
Procedure 17
Connecting a Signaling Server to the TLAN subnet . . 112
Procedure 18
Inserting a Shielded 50-pin to Serial/ELAN/TLAN
adapter on to a Media Card . . . . . . . . . . . . . . . . . . . . . . 113
Procedure 19
Connecting a Media Card to the ELAN subnet . . . . . . . 114
Procedure 20
Connecting a Media Card to the TLAN subnet . . . . . . . 115
Procedure 21
Connecting a Media Gateway to a Media Gateway
Expansion . . . . . . . . . . . . . . . . . . . . . . . . . . . . . . . . . . . . 116

List of Procedures Page 19 of 488
Communication Server 1000E Installation and Configuration
Procedure 22
Installing the software on the Call Server . . . . . . . . . . . 120
Procedure 23
Verifying the installation database . . . . . . . . . . . . . . . . 139
Procedure 24
Reconfiguring I/O ports and call registers . . . . . . . . . . 140
Procedure 25
Switching call processing to the Call Server . . . . . . . . 141
Procedure 26
Testing the Call Server . . . . . . . . . . . . . . . . . . . . . . . . . .141
Procedure 27
Installing the software on the second Call Server . . . . 141
Procedure 28
Making the system redundant . . . . . . . . . . . . . . . . . . . . 142
Procedure 29
Testing Call Server 0 . . . . . . . . . . . . . . . . . . . . . . . . . . . .147
Procedure 30
Switching call processing . . . . . . . . . . . . . . . . . . . . . .149
Procedure 31
Testing Call Server 1 . . . . . . . . . . . . . . . . . . . . . . . . . . . .149
Procedure 32
Switching call processing . . . . . . . . . . . . . . . . . . . . . .151
Procedure 33
Performing a data dump to backup the
customer database: . . . . . . . . . . . . . . . . . . . . . . . . . . . . 151
Procedure 34
Connecting the MG 1000T Core to an
MG 1000T Expansion . . . . . . . . . . . . . . . . . . . . . . . . . . .158

Page 20 of 488 List of Procedures
553-3041-210 Standard 4.00 September 2007
Procedure 35
Connecting an MG 1000T Core to the ELAN subnet . . 161
Procedure 36
Connecting a Signaling Server to the ELAN subnet . . 162
Procedure 37
Connecting a Signaling Server to the TLAN subnet . . 163
Procedure 38
Inserting a Shielded 50-pin to Serial/ELAN/TLAN
adapter on to a Media Card . . . . . . . . . . . . . . . . . . . . . . 164
Procedure 39
Connecting a Media Card to the ELAN . . . . . . . . . . . . . 165
Procedure 40
Connecting a Media Card to the TLAN subnet . . . . . . . 166
Procedure 41
Connecting a Media Gateway to a
Media Gateway Expansion . . . . . . . . . . . . . . . . . . . . . . . 166
Procedure 42
Downloading the Signaling Server CD image . . . . . . . 170
Procedure 43
Creating a Signaling Server Software CD-ROM . . . . . . 171
Procedure 44
Installing the Signaling Server software . . . . . . . . . . . . 172
Procedure 45
Logging in to the Signaling Server . . . . . . . . . . . . . . . . 196
Procedure 46
Verifying the Signaling Server Ethernet connection . . 197
Procedure 47
Enabling the Login Name option . . . . . . . . . . . . . . . . . . 201

List of Procedures Page 21 of 488
Communication Server 1000E Installation and Configuration
Procedure 48
Configuring login IDs and passwords . . . . . . . . . . . . . . 203
Procedure 49
Enabling the multi-user option . . . . . . . . . . . . . . . . . . . 206
Procedure 50
Configuring pseudo-terminals (PTYs) . . . . . . . . . . . . . . 207
Procedure 51
Checking PTY status . . . . . . . . . . . . . . . . . . . . . . . . . . . . 209
Procedure 52
Configuring MG 1000E Bandwidth Management
Zone . . . . . . . . . . . . . . . . . . . . . . . . . . . . . . . . . . . . . . . . .211
Procedure 53
Launching Element Manager . . . . . . . . . . . . . . . . . . . . . 216
Procedure 54
Importing an existing node . . . . . . . . . . . . . . . . . . . . . .219
Procedure 55
Performing a datadump using Element Manager . . . . . 221
Procedure 56
Installing an SSC NTM400 Software daughterboard and
NTDK57 (NT_REM) remote security device . . . . . . . . . 227
Procedure 57
Adding a 100BaseT daughterboard (dual port)
to an SSC . . . . . . . . . . . . . . . . . . . . . . . . . . . . . . . . . . . .227
Procedure 58
Adding a 100BaseT daughterboard (single port)
to an SSC . . . . . . . . . . . . . . . . . . . . . . . . . . . . . . . . . . . .231
Procedure 59
Installing software on an MG 1000E SSC . . . . . . . . . . . 236

Page 22 of 488 List of Procedures
553-3041-210 Standard 4.00 September 2007
Procedure 60
Installing software on an SSC . . . . . . . . . . . . . . . . . . . . 245
Procedure 61
Setting system time and date . . . . . . . . . . . . . . . . . . . . 250
Procedure 62
Connecting a Terminal Server to the system . . . . . . . . 256
Procedure 63
Configure IP address for the Terminal Server . . . . . . . 257
Procedure 64
Run telnet from PC . . . . . . . . . . . . . . . . . . . . . . . . . . . . . 258
Procedure 65
Accessing a CS 1000E from a PC through telnet
Terminal Server . . . . . . . . . . . . . . . . . . . . . . . . . . . . . . . . 259
Procedure 66
Configuring a transparent rlogin port . . . . . . . . . . . . . . 260
Procedure 67
Configuring a transparent rlogin port . . . . . . . . . . . . . . 263
Procedure 68
Accessing an MRV Console Port through the
on-board modem . . . . . . . . . . . . . . . . . . . . . . . . . . . . . . . 264
Procedure 69
Connecting SDI ports on the Media Gateways . . . . . . . 272
Procedure 70
Connecting the maintenance PC to a
Signaling Server . . . . . . . . . . . . . . . . . . . . . . . . . . . . . . . 273
Procedure 71
Checking the status of the ELAN network interfaces . 278

List of Procedures Page 23 of 488
Communication Server 1000E Installation and Configuration
Procedure 72
Checking the status of MG 1000T Core to MG 1000T
Expansion (1 - 4) 100BaseT links . . . . . . . . . . . . . . . . . . 283
Procedure 73
Checking the status of the MG 1000T trunks . . . . . . . . 287
Procedure 74
Check CS 1000E DID calls from MG 1000T . . . . . . . . . . 287
Procedure 75
Connecting a trunk . . . . . . . . . . . . . . . . . . . . . . . . . . . . .294
Procedure 76
Adding a Voice Gateway Media Card to an IP
telephony node . . . . . . . . . . . . . . . . . . . . . . . . . . . . . . . .321
Procedure 77
Adding voice gateway channels using Element
Manager . . . . . . . . . . . . . . . . . . . . . . . . . . . . . . . . . . . . . . 325
Procedure 78
Configuring voice gateway channels using LD 14 . . . . 328
Procedure 79
Installing the CompactFlash . . . . . . . . . . . . . . . . . . . . .332
Procedure 80
Installing a Voice Gateway Media Card in a card slot . 338
Procedure 81
Displaying the Voice Gateway Media Card status . . . . 340
Procedure 82
Displaying the Voice Gateway status
for all voice gateway channels . . . . . . . . . . . . . . . . . . . .341
Procedure 83
Displaying the status of Voice Gateway Media
Card units . . . . . . . . . . . . . . . . . . . . . . . . . . . . . . . . . . . . .344

Page 24 of 488 List of Procedures
553-3041-210 Standard 4.00 September 2007
Procedure 84
Displaying the status of one unit on a Voice
Gateway Media Card . . . . . . . . . . . . . . . . . . . . . . . . . . . . 347
Procedure 85
Disabling a Voice Gateway Media Card using Element
Manager . . . . . . . . . . . . . . . . . . . . . . . . . . . . . . . . . . . . . . 347
Procedure 86
Disabling a Voice Gateway Media Card unit using
Element Manager . . . . . . . . . . . . . . . . . . . . . . . . . . . . . . 348
Procedure 87
Enabling a Voice Gateway Media Card using Element
Manager . . . . . . . . . . . . . . . . . . . . . . . . . . . . . . . . . . . . . . 349
Procedure 88
Enabling a Voice Gateway Media Card unit using
Element Manager . . . . . . . . . . . . . . . . . . . . . . . . . . . . . . 350
Procedure 89
Installing a BIX cross-connect terminal . . . . . . . . . . . . 354
Procedure 90
Installing the Krone Test Jack Frame (UK) . . . . . . . . . . 358
Procedure 91
Connecting the cables to the Media Gateways . . . . . . 360
Procedure 92
Turning off browser caching in Internet Explorer . . . . 367
Procedure 93
Logging in to Element Manager . . . . . . . . . . . . . . . . . . . 370
Procedure 94
Importing an existing node . . . . . . . . . . . . . . . . . . . . . . 372

List of Procedures Page 25 of 488
Communication Server 1000E Installation and Configuration
Procedure 95
Reviewing and submitting IP telephony
node configuration . . . . . . . . . . . . . . . . . . . . . . . . . . . . . 374
Procedure 96
Adding a Follower Signaling Server to the
IP telephony node in Element Manager . . . . . . . . . . . . 379
Procedure 97
Performing a datadump using Element Manager . . . . . 380
Procedure 98
Cross-connecting telephones . . . . . . . . . . . . . . . . . . . . 386
Procedure 99
Connecting a telephone without a PFTU . . . . . . . . . . . 389
Procedure 100
Connecting an off-premise telephone . . . . . . . . . . . . . .390
Procedure 101
Connecting an attendant console . . . . . . . . . . . . . . . . .391
Procedure 102
Configuring VoIP bandwidth management zones
using the CLI . . . . . . . . . . . . . . . . . . . . . . . . . . . . . . . . . . 408
Procedure 103
Configuring virtual superloops . . . . . . . . . . . . . . . . . . . 410
Procedure 104
Configuring the IP Phones . . . . . . . . . . . . . . . . . . . . . . .411
Procedure 105
Setting passwords for the administrator and
temporary IP Telephone Installer . . . . . . . . . . . . . . . . . . 417
Procedure 106
Installing IP Phone hardware components . . . . . . . . . . 420

Page 26 of 488 List of Procedures
553-3041-210 Standard 4.00 September 2007
Procedure 107
Entering IP Telephone boot parameters using manual
configuration . . . . . . . . . . . . . . . . . . . . . . . . . . . . . . . . . . 425
Procedure 108
Entering IP Phone boot parameters using full DHCP
parameters . . . . . . . . . . . . . . . . . . . . . . . . . . . . . . . . . . . . 428
Procedure 109
Entering IP Phone boot parameters using partial
DHCP parameters . . . . . . . . . . . . . . . . . . . . . . . . . . . . . . 430
Procedure 110
Using Set-Based Installation . . . . . . . . . . . . . . . . . . . . . 433
Procedure 111
Configuring the IP Softphone 2050 . . . . . . . . . . . . . . . . 436
Procedure 112
Installing the USB Headset Kit . . . . . . . . . . . . . . . . . . . . 437
Procedure 113
Installing the IP Softphone 2050 on your PC . . . . . . . . 437
Procedure 114
Displaying registered IP Phones in
Element Manager . . . . . . . . . . . . . . . . . . . . . . . . . . . . . . 439
Procedure 115
Installing and connecting a QUA6 PFTU . . . . . . . . . . . 442
Procedure 116
Connecting an analog (500/2500-type) telephone
to a PFTU . . . . . . . . . . . . . . . . . . . . . . . . . . . . . . . . . . . . . 450
Procedure 117
Connecting a Trunk to a PFTU . . . . . . . . . . . . . . . . . . . . 452

List of Procedures Page 27 of 488
Communication Server 1000E Installation and Configuration
Procedure 118
Installing an alarm using an alarm port
assigned in LD 15 . . . . . . . . . . . . . . . . . . . . . . . . . . . . . .456
Procedure 119
Configuring a survivable MG 1000T Expansion . . . . . . 472
Procedure 120
Configuring the IP telephony node for
Alternate primary controller . . . . . . . . . . . . . . . . . . . . . . 473
Procedure 121
Verifying the operation of a Voice Gateway
Media Card in an MG 1000T expansion
in Survivable Mode . . . . . . . . . . . . . . . . . . . . . . . . . . . . .475
Procedure 122
Retrieving CDR files using XModem . . . . . . . . . . . . . . .476
Procedure 123
Configuring the basic system . . . . . . . . . . . . . . . . . . . . 480

Page 29 of 488
Communication Server 1000E Installation and Configuration
32
About this document
This document is a global document. Contact your system supplier or your
Nortel representative to verify that the hardware and software described are
supported in your area.
Subject
This document provides the information necessary to install and configure a
Nortel Networks Communication Server 1000E system.
Note on legacy products and releases
This NTP contains information about systems, components, and features that
are compatible with Nortel Communication Server 1000 Release 4.5
WARNING
Before a CS 1000E system can be installed, a network
assessment must be performed and the network must be
VoIP-ready.
If the minimum VoIP network requirements are not met,
the system will not operate properly.
For information on the minimum VoIP network
requirements and converging a data network with VoIP,
refer to Converging the Data Network with VoIP
(553-3001-160).

Page 30 of 488 About this document
553-3041-210 Standard 4.00 September 2007
software. For more information on legacy products and releases, click the
Technical Documentation link under Support & Training on the Nortel
home page:
www.nortel.com
Applicable systems
This document applies to the Communication Server 1000E (CS 1000E)
system.
Note: When upgrading software, memory upgrades may be required on
the Signaling Server, the Call Server, or both.
Conventions
In this document, the CS 1000E system is referred to generically as “system.”
Related information
This section lists information sources that relate to this document.
NTPs
The following NTPs are referenced in this document:
•Converging the Data Network with VoIP (553-3001-160)
•ISDN Primary Rate Interface: Installation and Configuration
(553-3001-201)
•Circuit Card: Description and Installation (553-3001-211)
•IP Peer Networking: Installation and Configuration (553-3001-213)
•Signaling Server: Installation and Configuration (553-3001-212)
•IP Peer Networking: Installation and Configuration (553-3001-213)
•ISDN Basic Rate Interface: Installation and Configuration
(553-3001-218)
•Features and Services (553-3001-306)

About this document Page 31 of 488
Communication Server 1000E Installation and Configuration
•Software Input/Output: Administration (553-3001-311)
•Element Manager: System Administration (553-3001-332)
•IP Line: Description, Installation, and Operation (553-3001-365)
•Telephones and Consoles: Description, Installation, and Operation
(553-3001-367)
•IP Phones: Description, Installation, and Operation (553-3001-368)
•Software Input/Output: Maintenance (553-3001-511)
•ISDN Primary Rate Interface: Maintenance (553-3001-517)
•ISDN Basic Rate Interface: Maintenance (553-3001-518)
•Communication Server 1000S: Overview (553-3031-010)
•Communication Server 1000S: Planning and Engineering
(553-3031-120)
•Communication Server 1000S: Upgrade Procedures (553-3031-258)
•Communication Server 1000S: Maintenance (553-3031-500)
Other documentation
The following documentation is referenced in this document:
• Nordex BIX documentation
• Krone documentation
Online
To access Nortel documentation online, click the Technical Documentation
link under Support & Training on the Nortel home page:
www.nortel.com
CD-ROM
To obtain Nortel documentation on CD-ROM, contact your Nortel customer
representative.

Page 33 of 488
Communication Server 1000E Installation and Configuration
36
Safety instructions
Contents
This section contains information on the following topics:
Introduction . . . . . . . . . . . . . . . . . . . . . . . . . . . . . . . . . . . . . . . . . . . . . . 33
Lifting system equipment . . . . . . . . . . . . . . . . . . . . . . . . . . . . . . . . . . . 34
Handling circuit cards . . . . . . . . . . . . . . . . . . . . . . . . . . . . . . . . . . . . . . 34
Installing telephones . . . . . . . . . . . . . . . . . . . . . . . . . . . . . . . . . . . . . . . 35
Using telephones . . . . . . . . . . . . . . . . . . . . . . . . . . . . . . . . . . . . . . . . . . 35
Introduction
Safety issues associated with the installation of a CS 1000E are identified in
this section. To avoid personal injury and equipment damage, review the
safety instructions before handling the equipment.
WARNING
Failure to follow the safety instructions in this chapter
could result in personal injury.
CAUTION — Damage to Equipment
Failure to follow the safety instructions in this chapter
could result in damage to equipment.

Page 34 of 488 Safety instructions
553-3041-210 Standard 4.00 September 2007
Lifting system equipment
Care should be exercised when lifting system components. If necessary, get
assistance to lift a component or install a component in a rack. The weight of
the system component can be found in the component profiles in “System
components” on page 41.
Before lifting or installing a component:
• Ensure that the planned location and the route to that location are free of
obstacles and debris.
• Determine the weight of the components (see component profiles in
“System components” on page 41).
• Get help with heavy components or components that are to be placed in
the upper section of a rack.
Handling circuit cards
Follow these precautions when handling circuit cards:
1Unpack or handle cards away from electric motors, transformers, or
similar machinery.
2Handle cards by the edges only. Do not touch the contacts or
components.
3Set cards on a protective antistatic bag. If an antistatic bag is not
available, hold the card or set it in a card slot unseated.
4Store cards in protective packing.
5Do not stack cards on top of each other unless they are packaged.
6Wear a properly connected antistatic wrist strap when you work on the
equipment.
CAUTION WITH ESDS DEVICES
Static electricity can damage circuit cards. Wear an
antistatic wrist strap when handling circuit cards or their
components.

Safety instructions Page 35 of 488
Communication Server 1000E Installation and Configuration
Installing telephones
Follow these safety instructions when installing telephone equipment:
• Never install telephone wiring during a lightning storm.
• Never install a telephone jack in wet locations unless the jack is designed
for wet locations.
• Never touch an uninsulated telephone wire or terminal unless the
telephone line is disconnected at the network interface.
• Use caution when installing or modifying telephone lines.
Using telephones
These safety precautions are intended to reduce the risk of fire, electric shock,
and personal injury. Always follow these basic safety precautions when using
telephone equipment:
• Follow all warnings and instructions marked on the product.
• Before you clean a telephone, remove the plug from the wall outlet. Use
a damp cloth for cleaning. Do not use liquid cleaners or aerosol cleaners.
• Do not use the telephone near water (for example, near a tub or sink).
• Do not place the telephone on a piece of furniture that is unstable. The
telephone can fall, causing serious damage to the telephone.
• Slots in the Media Gateway and the telephone are for ventilation. These
slots protect the equipment from overheating. Never block or cover these
slots.
• Never block the openings on a telephone by placing it on a surface like a
bed, sofa, or rug. Never place a telephone near or over a radiator or heat
register. Do not place it in a built-in installation, unless there is correct
ventilation.
• Only operate a telephone from the type of power source indicated on the
marking label. If you are not sure of the type of power supply, check with
your distributor.

Page 36 of 488 Safety instructions
553-3041-210 Standard 4.00 September 2007
• Some equipment has a three-wire grounding plug. This type of plug has
a third grounding pin. As a safety feature, the plug only fits into an
isolated ground outlet. If you cannot insert the plug completely into the
outlet, contact your electrician to replace the outlet.
• Some equipment has a polarized line plug. This type of plug has one
blade wider than the other. As a safety feature, this plug fits into the
power outlet one way. If you cannot insert the plug completely into the
outlet, try reversing the plug. If the plug still does not fit, contact your
electrician to replace the outlet.
• Do not place objects on the power cord. Do not locate the product where
persons can walk on the plug.
• Do not overload wall outlets and extension cords, as fire or electrical
shock can result.
• Never push objects of any kind into the telephone through the slots. The
objects can come in contact with dangerous voltage points. Also, parts
can short out, causing the risk of fire or electrical shock.
• Never spill liquid of any kind on the product.
• To reduce the risk of electrical shock, do not disassemble a telephone
product.
• Remove the telephone plug from the wall outlet and refer servicing to
qualified personnel if:
— the power supply cord or plug is damaged or worn
— liquid has spilled into the telephone
— the telephone has been exposed to rain or water
— the telephone has been dropped or damaged
— the product shows a distinct change in performance
— the telephone does not function correctly under normal
operating conditions
• Avoid using a telephone (except a type without a cord) during an
electrical storm. There is a remote risk of electric shock from lightning.
• Do not use the telephone to report a gas leak in the area of the leak.

Page 37 of 488
Communication Server 1000E Installation and Configuration
40
Installation summary
Contents
This section contains information on the following topics:
Introduction . . . . . . . . . . . . . . . . . . . . . . . . . . . . . . . . . . . . . . . . . . . . . . 37
Installation tasks . . . . . . . . . . . . . . . . . . . . . . . . . . . . . . . . . . . . . . . . . . 38
Introduction
Before undertaking the installation, review the chapter entitled “Safety
instructions” on page 33.
WARNING
Before a CS 1000E system can be installed, a network
assessment must be performed and the network must be
VoIP-ready.
If the minimum VoIP network requirements are not met,
the system will not operate properly.
For information on the minimum VoIP network
requirements and converging a data network with VoIP,
refer to Converging the Data Network with VoIP
(553-3001-160).

Page 38 of 488 Installation summary
553-3041-210 Standard 4.00 September 2007
See “System components” on page 41 to review the profiles of the key system
components. For information on the models of telephones compatible with
the CS 1000E system, see “Telephones” on page 71.
Installation tasks
Table 1 lists the tasks involved with the installation of a CS 1000E system.
Table 1
List of required installation tasks (Part 1 of 2)
Task Go to page
Rack-mounting the components 73
Installing system grounds 91
Connecting CS 1000E system components 103
Installing software on the CS 1000E 119
Installing and configuring the Signaling Server
software
169
Installing software on an MG 1000E
Small System Controller
235
Installing software on an MG 1000T
Small System Controller
241
Configuring a terminal and SDI ports 267
Connecting a Terminal Server 253
Configuring a Small System Controller 225
Configuring the MG 1000E ports 213
Verifying the network 277
Installing and configuring a
Voice Gateway Media Card
319
Installing the Main Distribution Frame 353
Configuring an IP telephony node 365

Installation summary Page 39 of 488
Communication Server 1000E Installation and Configuration
Installing Line cards and cross-connecting
telephones
383
Installing and configuring IP Phones 395
Installing and cross-connecting a trunk card 289
Installing and cross-connecting a
PowerFailTransferUnit
441
Installing and cross-connecting
an external alarm from a PFTU
455
Configuring MG 1000T survivability and alternate
primary controller
461
Basic system telephony configuration 477
Configuring IP Peer Networking and
managing the Gatekeeper database
485
Table 1
List of required installation tasks (Part 2 of 2)
Task Go to page

Page 41 of 488
Communication Server 1000E Installation and Configuration
70
System components
Contents
This section contains information on the following topics:
Introduction . . . . . . . . . . . . . . . . . . . . . . . . . . . . . . . . . . . . . . . . . . . . . . 41
CS 1000E Call Server . . . . . . . . . . . . . . . . . . . . . . . . . . . . . . . . . . . . . . 42
Signaling Server . . . . . . . . . . . . . . . . . . . . . . . . . . . . . . . . . . . . . . . . . . 45
Media Card . . . . . . . . . . . . . . . . . . . . . . . . . . . . . . . . . . . . . . . . . . . . . . 49
Media Gateway . . . . . . . . . . . . . . . . . . . . . . . . . . . . . . . . . . . . . . . . . . . 51
Media Gateway Expander . . . . . . . . . . . . . . . . . . . . . . . . . . . . . . . . . . . 57
19-inch Rack Mount Kit . . . . . . . . . . . . . . . . . . . . . . . . . . . . . . . . . . . . 60
BayStack 470 Switch . . . . . . . . . . . . . . . . . . . . . . . . . . . . . . . . . . . . . . 61
BayStack 460 Layer 2 switch . . . . . . . . . . . . . . . . . . . . . . . . . . . . . . . . 63
MRV Terminal Server. . . . . . . . . . . . . . . . . . . . . . . . . . . . . . . . . . . . . . 63
19-inch rack. . . . . . . . . . . . . . . . . . . . . . . . . . . . . . . . . . . . . . . . . . . . . . 65
System cables . . . . . . . . . . . . . . . . . . . . . . . . . . . . . . . . . . . . . . . . . . . . 65
Miscellaneous system components . . . . . . . . . . . . . . . . . . . . . . . . . . . . 69
Uninterruptible Power Supply. . . . . . . . . . . . . . . . . . . . . . . . . . . . . . . . 70
Introduction
The CS 1000E system consists of the following components:
• Call Server
• Signaling Server

Page 42 of 488 System components
553-3041-210 Standard 4.00 September 2007
•Media Card
• Media Gateway
• Media Gateway Expander
• BayStack 470 Switch
• MRV Terminal Server
• System cables
Note: You must order the power cord specified for your region
The system uses the following customer-supplied components:
• BayStack 460 Layer 2 switch
• 19-inch rack
• Uninterruptible Power Supply (UPS)
CS 1000E Call Server
The CS 1000E uses a Call Processor Pentium IV (CP PIV) processor for CS
1000 Release 4.5. It features the following enhancements:
• a PCI-based design
• an Intel Pentium IV processor
• two Compact Flash (CF) sockets (one on-board and one hot-swappable
on the faceplate)
• 512 MBytes of DRAM memory
The Call Server is shown in Figure 1 on page 43 and in Figure 2 on page 44.
CAUTION — Damage to Equipment
The CS 1000E Call Server chassis is constructed of
light-weight aluminum. It can be damaged if the unit is
lifted from the shipping box by its top plate.

System components Page 43 of 488
Communication Server 1000E Installation and Configuration
Figure 1
CS 1000E Core Call Server (top view)
The on-board CF is referred to as the Fixed Media Disk (FMD), and the
faceplate CF is referred to as the Removable Media Disk (RMD).
CP PIV has the following new hardware:
• A CP PIV processor board. See Figure 1 and Figure 2 on page 44.
• A blank panel.
Note: The front panel USB port on the CP PIV card is intended for
future applications.
The Call Server uses IP protocols to control all IP Phones, media services,
and interfaces to other gateways and applications.

Page 44 of 488 System components
553-3041-210 Standard 4.00 September 2007
The CS 1000E Call Server has a second processor running in “warm standby”
mode. This processor (Core Call Server 1) resides in a duplicate chassis that
can be located anywhere.
Figure 2
CS 1000E Core Call Server (front view)
Backup and restore enhancements
The backup rules group of commands was introduced in CS 1000 Release 4.0
with the single rule type Secondary Call Server (SCS). Backup and restore

System components Page 45 of 488
Communication Server 1000E Installation and Configuration
enhancements apply to both CP PII and CP PIV system configurations, unless
otherwise noted.
Note: This feature does not actually perform an EDD, which must be
initiated through an appropriate command in LD 43.
New backup rules
Three new backup rule types are introduced with CP PIV:
• FTP — an external FTP server is accessed for storing or retrieving
backup data.
• FMD — fixed media device for storing backup data in a special directory
on the /u partition. A CP PII system stores the data on a local hard drive,
while a CP PIV system uses an on-board Compact Flash card.
• RMD — removable media device for storing backup data. The RMD rule
type is available only on a CP PIV system.
Note: New backup rules are not available for Geographic Redundancy
Database Replication Control (GRDRC).
For more detailed information about backup and restore commands, see
Communication Server 1000M and Meridian 1: Large System Maintenance
(553-3021-500).
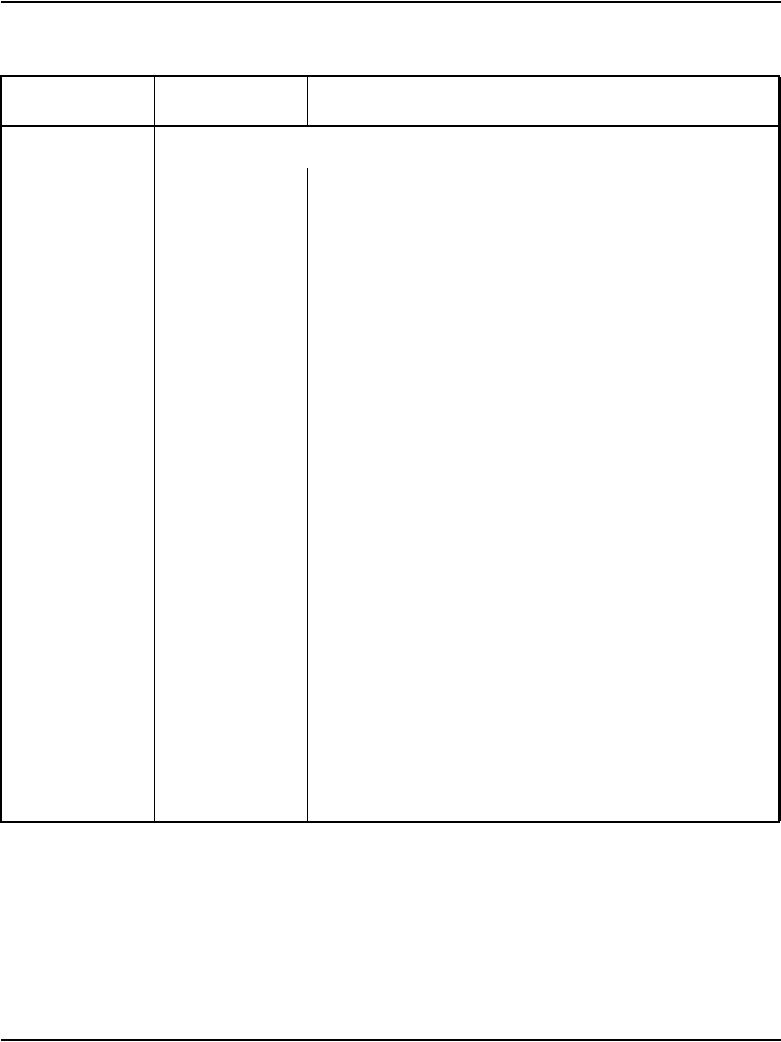
Signaling Server
The Signaling Server, as shown in Figure 3 and describ ed in Table 2,
provides signaling interfaces to the network using software components that
run on a real-time operating system. You can install Signaling Servers in a
load-sharing redundant configuration for higher scalability and reliability.
The Signaling Server is equipped with several software components:
• IP Phone Terminal Proxy Server (TPS)
• H.323 Signaling Gateway (virtual trunk)
• H.323 Gatekeeper
•SIP

Page 46 of 488 System components
553-3041-210 Standard 4.00 September 2007
• Network Routing Service
• Element Manager web server
Figure 3
Signaling Server
Table 2
Signaling Server profile (Part 1 of 2)
Property Description
Order Code • NTDU27
Height • 1 U (1 U = 1 3/4 inch or 4.4 cm)
Power • Power status indicator (green LED) is located on
the unit’s faceplate.
• Power cord connector is located on the left-hand
corner on the back of the unit.
• Power On/Off switch is on the faceplate.
• Power supplies are factory installed and not
customer replaceable.
• Unit is AC powered (100-240 VAC); DC input is
not supported.
Cooling • Forced air cooling with front-to-back air flow.
• The fan runs whenever the unit is on.
Card slots • None

System components Page 47 of 488
Communication Server 1000E Installation and Configuration
For detailed information about the Signaling Server, refer to Signaling
Server: Installation and Configuration (553-3001-212).
Connectors
(front)
• The DB-9 serial port, the CD-ROM and floppy
drives are located on the unit’s faceplate.
• The DB-9 serial port can support a login session
for Command Line Interface (CLI) management.
• See Figure 4 on page 48.
Connectors
(rear)
• The TLAN network interface (P2) connects the
unit to a TLAN network interface on a Layer 2
Switch.
• The ELAN network interface (P1) connects the
unit to an ELAN network interface on a Layer 2
Switch.
• The DB-9 serial port can support a login session
for Command Line Interface (CLI) management.
• There are three ports not used for any CS 1000E
system function. Do not plug any device into these
ports.
• See Figure 5 on page 49.
CAUTION — Service Interruption
Do not connect maintenance terminals or modems to
the faceplate and I/O panel DB-9 male serial
maintenance port at the same time.
Table 2
Signaling Server profile (Part 2 of 2)
Property Description

System components Page 49 of 488
Communication Server 1000E Installation and Configuration
Figure 5
Connectors at the back of the Signaling Server
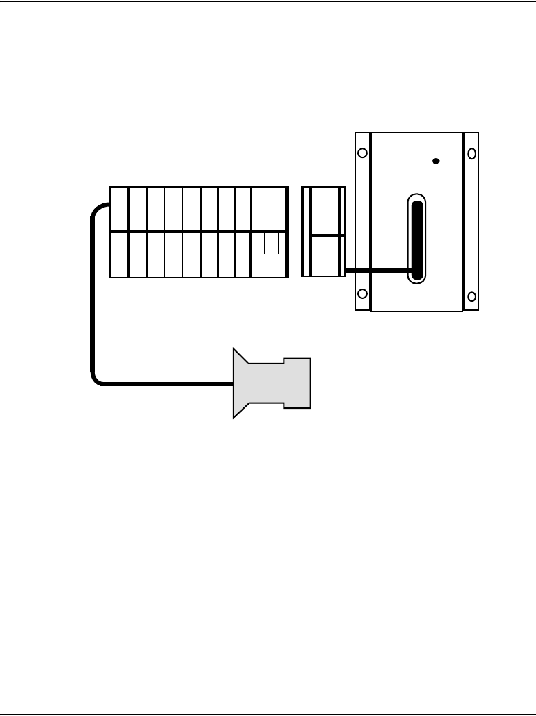
Media Card
The Media Card, described in Table 3 and shown in Figure 6, connects an IP
and circuit-switched device using Digital Signal Processors (DSPs) for either
line or trunk applications. The DSPs, enabled by a Voice Gateway
application, performs media transcoding between IP voice packets and
circuit-switched devices.
The Media Card also provides echo cancellation and compression/
decompression of voice streams.
Table 3
Media Card profile (Part 1 of 2)
Property Description
Product Code • NTDU41DA
Media Card 32 Port IP Line 3.1/Voice Gateway
• NTDU41DB
Media Card 8 Port IP Line 3.1/Voice Gateway
Power • Powered through a Media Gateway or a Media
Gateway Expander.
not used TLAN (P2)
not used ELAN (P1) Maintenance/
Universal AC
power cord
connector
not used Admin port

Page 50 of 488 System components
553-3041-210 Standard 4.00 September 2007
Cooling • Provided by the Media Gateway or Media
Gateway Expander.
Connectors
(front)
• The PC Card slot can be used to deliver software
or for additional storage.
• The maintenance port provides access to the card
for OA&M purposes.
Connectors
(back)
• The Shielded 50-pin to Serial/ELAN/TLAN
adapter provides connections to the card through
the connector labelled Card 1, Card 2, Card 3, or
Card 4 that corresponds to the card location.
• See Figure 34 on page 113.
Table 3
Media Card profile (Part 2 of 2)
Property Description

Page 52 of 488 System components
553-3041-210 Standard 4.00 September 2007
Figure 7
5-pair Cable Connectors on the Media Gateway
CAUTION — Damage to Equipment
Do not block equipment ventilation openings.
Table 4
Media Gateway profile (Part 1 of 3)
Property Description
Product Code • NTDU14
Height • less than 5 U (1 U = 1 3/4 inch or 4.4 cm)
25-pair
connectors
Card 3
Card 2
Card 1
Card 4

System components Page 53 of 488
Communication Server 1000E Installation and Configuration
Power • Power status indicator (Nortel logo) is located on
the unit faceplate.
• Power cord connector is located on the right rear
when viewed from the front.
• Power On/Off switch is located behind the
faceplate. See Figure 8 on page 56.
• Power supplies are factory installed and not
customer replaceable.
• Unit is AC powered (100-240 VAC); DC is not
supported.
Cooling • Forced air cooling with side-to-side air flow.
• The fans are temperature controlled. The fans run
at a reduced speed at room temperature.
• Ensure that equipment ventilation openings are
not blocked.
Card slots • Four usable universal card slots: 1 to 4.
• Slot 0 is dedicated to the NTDK20FA or later SSC.
• Slots 1 to 4 support:
— Digital Line cards (maximum four)
— Analog Line cards (maximum four)
— Analog Trunk cards (maximum four)
— Digital Trunk cards (maximum four)
Note: Each MG 1000T with digital trunks must have
a clock controller.
— Media Cards (maximum four)
— Application cards (maximum four)
Table 4
Media Gateway profile (Part 2 of 3)
Property Description

Page 54 of 488 System components
553-3041-210 Standard 4.00 September 2007
Connectors
(rear)
• The 25-pair cable connectors at the back panel
(see Figure 7 on page 52) provide access to the
cross-connect terminal (Main Distribution Frame).
• The AUX port connects a Power Failure Transfer
Unit (PFTU) to the Media Gateway.
• The MG 1000T link ports connect the MG 1000T
Expansion to the MG 1000T Core. Port 1 and
Port 2 correspond with bulkhead connectors 1 and
2, shown in Figure 8 on page 56.
• The ELAN network interface connects the
MG 1000T Core SSC to the ELAN subnet. Port 2
is not used.
• The Attachment Unit Interface (AUI) is used with
earlier version SSC which require a Media Access
Unit (MAU).
• The SDI connector in the Media Gateway provides
an interface for a three-port SDI cable. The
three-port cable is used in an MG 1000T to break
out into TTY0, TTY1, and TTY2. For MG 1000E
this cable is not used unless a maintenance
access using TTY0 is desired.
• The DS-30X and CE-MUX cables connect the
Media Gateway to the Media Gateway Expander.
DIP switches • DIP switches are available to set the ringing
voltages, ringing frequencies, and message
waiting voltages. See Figure 8 on page 56.
Table 4
Media Gateway profile (Part 3 of 3)
Property Description

System components Page 57 of 488
Communication Server 1000E Installation and Configuration
Media Gateway Expander
Figure 9 on page 57 shows the Media Gateway Expander and Table 5 on
page 57 describes the expander.
Figure 9
Media Gateway Expander
Table 5
Media Gateway Expander profile (Part 1 of 3)
Property Description
Order Code • NTDU15
Height • less than 5 U (1 U = 1 3/4 inch or 4.4 cm)
Slot 9
Slot 8
Slot 7
Slot 10
SLOT
7
SLOT
8
SLOT
9
SLOT
10
553-CSE9032

Page 58 of 488 System components
553-3041-210 Standard 4.00 September 2007
Power • Power status indicator (Nortel logo) is located on
the unit’s faceplate.
• Power cord connector is located on the right rear
when viewed from the front.
• Power On/Off switch is located behind the
faceplate. See Figure 8 on page 56.
• Power supplies are factory installed and not
customer replaceable.
• Unit is AC powered (100-240 VAC); DC is not
supported.
Cooling • Forced air cooling with side-to-side air flow.
• The fans are temperature controlled. The fans run
at a reduced speed at room temperature.
• Ensure that equipment ventilation openings are
not blocked.
Table 5
Media Gateway Expander profile (Part 2 of 3)
Property Description

System components Page 59 of 488
Communication Server 1000E Installation and Configuration
Card slots • Four usable universal card slots: 7 to 10. See
Figure 9 on page 57.
• Logical slots 5 and 6 are not supported.
• Slots 7 to 10 support:
— Analog Trunk cards (maximum four)
— Analog Line cards (maximum four)
— Digital Line cards (maximum four)
— Media Cards (maximum four)
— Application cards (maximum four)
Connectors
(rear)
• The 25-pair cable connectors at the back of the
unit (see Figure 10 on page 60) provide access to
the cross-connect terminal (Main Distribution
Frame). A Shielded 50-pin to Serial/ELAN/TLAN
adapter can also be used.
• The AUX port connects a Power Failure Transfer
Unit (PFTU).
• The DS-30X and CE-MUX cables connect the
Media Gateway to the Media Gateway Expander.
Table 5
Media Gateway Expander profile (Part 3 of 3)
Property Description

Page 60 of 488 System components
553-3041-210 Standard 4.00 September 2007
Figure 10
Connectors at the back of the Media Gateway Expander
19-inch Rack Mount Kit
A 19-inch Rack Mount Kit (NTTK09AA) is available for mounting a Media
Gateway and Media Gateway Expander in a 19-inch rack. It is described in
Table 6 on page 60
Table 6
NTTK09AA installation
Order Code Description Qty
P0904844 Left Rack Mount Bracket 1
P0904845 Right Rack Mount Bracket 1
DS-30X
CE-MUX
25-pair
connectors
Card 9
Card 8
Card 7
Card 10
Universal AC power
cord connector

System components Page 61 of 488
Communication Server 1000E Installation and Configuration
BayStack 470 Switch
The BayStack 470 Switch, described in Table 7 on page 61, provides
policy-enabled networking features to optimize consistent performance and
behavior of network traffic. The Differentiated Services (DiffServ) network
architecture offers varied levels of service for different types of data traffic.
DiffServ lets you designate a specific level of performance on a per-packet
basis.
P0906672 Left Shelf Mounting Bracket U/O 1
P097F813 Screw, .216- 24 X .500 STL 289A 8
P0719943 Sems, Ext Tooth Washer Pan Head, CR Type1A,
0.164- 32 X
4
P0906671 Right Shelf Mounting Bracket U/O 1
P0719587 Sems, Ext Tooth Washer Pan Head, CR Type
1A, 0.138- 3
4
Table 7
BayStack 470 Switch profile (Part 1 of 2)
Property Description
Height • 1 U (1 U = 1 3/4 inch or 4.4 cm)
Power • Power status LED indicator on the left side of the
unit’s faceplate.
• Power cord connector is located at the left rear of
the unit.
• Power supplies are factory installed and not
customer replaceable.
• Unit does not support DC input.
Table 6
NTTK09AA installation
Order Code Description Qty

Page 62 of 488 System components
553-3041-210 Standard 4.00 September 2007
For additional information, refer to Using the BayStack 470 Switch.
Figure 11
Ethernet switch
Cooling • Forced air cooling with side-to-side air flow.
• The three fans run whenever the unit is on.
Card slots • None
Connectors
(front)
• Unit is DCE for serial port connection to PC;
requires null modem for Terminal Server
connection.
• Console port default settings: 9600 baud with 8
data bits, 1 stop bit, and no parity as the
communications format, with flow control set to
enabled.
• 10BaseT/100BaseTX RJ-45 (8-pin modular) port
connectors.
Table 7
BayStack 470 Switch profile (Part 2 of 2)
Property Description

System components Page 63 of 488
Communication Server 1000E Installation and Configuration
A third-party data network switch can be used with the system. For more
information, refer to Converging the Data Network with VoIP
(553-3001-160).
BayStack 460 Layer 2 switch
The BayStack 460 Layer 2 switch, shown in Figure 12 on page 63, adds
power in addition to data communications over standard Category 5 LAN
drops for powering the IP Phones. The LAN power system eliminates the
need to connect each telephone to an AC power outlet saving in desktop
wiring and also allowing centralized UPSs for power backups. Using a Power
over LAN unit eliminates the need to use separate power transformers for
each IP Phone.
Figure 12
Power over LAN unit
MRV Terminal Server
The Terminal Server, described in Table 8 on page 65, provides the dedicated
rlogin service used to establish serial connection between a CS 1000E and
various serial devices. The IP-based Terminal Server provides standard serial
ports for applications that use a serial port interface. These applications
include billing systems that analyze Call Detail Recording (CDR) records,
Site Event Buffers (SEB) that track fault conditions, and various legacy
applications such as Property Management System (PMS) interface and
intercept Computer applications. In addition, serial ports are used to connect
maintenance terminals and modems for support staff.

Page 64 of 488 System components
553-3041-210 Standard 4.00 September 2007
Note: PTY ports are software ports and will not work until the system
has completed its INI or SYSLOAD . These ports cannot be used by a
SEB to track INI/SYSLOAD faults as they will not be able to see these
issues. If you wish to capture these messages using an SEB, it is
recommended that it be connected to a TTY port such as Port 0, which
displays SYS/INI messages.
The Terminal Server is configured to automatically log in to the active Core
Call Server upon start-up. It always connects to the Active CPU IP address.
The CS 1000E can configure up to 16 serial ports for applications within the
configuration Data Block. Ports can be configured by using:
• login userid of "PTYnn" – TTY ports are specified where nn is the PTY
port number configured for a particular TTY within LD 17. If a "PTYnn"
userid is specified and that port is busy because of another login, an error
message will be produced (on the maintenance consoles, in the report
log, or as SNMP alarms).
• no userid or the OTM userid – the highest available PTY port number is
selected
The Terminal Server has the following attributes:
• support “rlogin” protocol on local access mode
• support transparent, or binary mode, on “rlogin” connection
• support port speed up to 115kbps
• support auto rlogin connection and auto-retry after being disconnected
• support BOOTP
• support DHCP

System components Page 65 of 488
Communication Server 1000E Installation and Configuration
• rack mounted to a 19-inch rack
• provide configurable username for each port
19-inch rack
All CS 1000E system components are mounted in a customer-supplied
19-inch rack. Ground the rack and equipment to the NTDU6201 Ground Bar.
System cables
Table 9 on page 67 lists the cables required with the CS 1000E system.
Table 8
MRV IR-8020M Terminal Server profile
Property Description
Product Code NTVW00AB
Height • 1 U (1 U = 1 3/4 inch or 4.4 cm)
Power • Power cord connector is located on the left-hand
corner on the unit’s backplane.
• Power supplies are factory installed and not
customer replaceable.
• Unit is AC powered (120 V AV @ 1.58 amps).
Cooling • Forced air cooling with side-to-side air flow.
• The fans run at a single speed.
• Ensure that equipment ventilation openings are
not blocked.
Card slots • None
Connectors • Twenty console ports for modular RJ-45
connectors
• One RJ-45 (10BaseT) network interface

Page 66 of 488 System components
553-3041-210 Standard 4.00 September 2007
The base marketing package NTHU53AA provides an NTRC17 crossover
cable to connect the LAN2 ports of the two core Call Servers. It also contains
two MRV Terminal Server cables (NTDU6302) to connect from COM port 1
of both core Call Servers to the MRV Terminal Server.
Note: Order the proper power cord for your region.

System components Page 67 of 488
Communication Server 1000E Installation and Configuration
Table 9
CS 1000E cables (Part 1 of 3)
Component Descriptions Cable Kits
Cables &
Accessories Quantity
Communication Server 1000E Call Server NTDU62
Qty of 2 MRV Terminal Server cables for connecting
COM port 1 of the Call Server to the Terminal Server
NTDU6302 2
HS cross-over cable used to connect the two call
processors for redundancy.
NTRC17BA 1
Media Gateway/Media Gateway Expander
Media Gateway cable kit NTDU25BA
PC Maintenance Cable for accessing media card from
the faceplate
NTAG81CA 1
Three-Port SDI cable for connecting MG 1000T to
administration and maintenance ports. Can be used
for MG 1000Es during initial configuration.
NTBK48AA 1
AUX cable for Power Failure Transfer if required NTAK1104 1
25 pin M-F adapter, can be used with the NTBK48AA
cable for interconnecting to TTY ports
A0601396 1
25 pin F-F adapter, can be used with the NTBK48AA
cable for interconnecting to TTY ports
A0601397 1
Wrist strap A0783105 1
25 pin F-F Null modem adapter, can be used with the
NTBK48AA cable for interconnecting to TTY ports
A0378652
25 pin M-F Null modem adapter, can be used with the
NTBK48AA cable for interconnecting to TTY ports
A0381016
RJ45 ethernet cable, used to connect dual and single
port 100BT daughter cards from the SSC to the Media
Gateway bulk head
NTDU0606
Expansion cable kit NTDK89AA

Page 68 of 488 System components
553-3041-210 Standard 4.00 September 2007
Expansion cable to connect the Media Gateway DS-30
and CE-MUX to the Media Gateway Expander.
NTDK95AA 2
Disposable wrist strap A0783105 1
100BaseT Cross Over Cable, for connecting
MG 1000Ts point to point
NTTK34AA 1
100BaseT Connection
Signaling Servers, Layer two switch (BS 470), Carrier
Cards, ELAN on Gateways
CAT5 Cables
MRV Terminal Server
RJ45 to 9-pin female RS232, 25 feet long, for
connecting terminal equipment to the MRV Terminal
Server
NTVW01iX
Terminal server cable kit for interfacing with various
terminal ports (that is, Signaling Server, Baystack or
Gateway using BK48 cable)
NTDU6303
MRV Terminal Server cable for connecting various
Terminal Equipment to the Terminal Server
NTDU6302 1
9-pin male to 9-pin female Null Modem adapter for use
where connecting to DCE connections
N0007485 1
25 to 9-pin male adapter to interface with NTBK48AA
cable if desired
N0007488 1
Power cords
North American power Cord NTTK14AB
UK power cord NTTK18AB
Euro power cord NTTK16AB
Table 9
CS 1000E cables (Part 2 of 3)
Component Descriptions Cable Kits
Cables &
Accessories Quantity

System components Page 69 of 488
Communication Server 1000E Installation and Configuration
Miscellaneous system components
Table 10 contains a list of miscellaneous items that can be used with the
CS 1000E system installation.
ANZ power cord NTTK15AA
Swiss power cord NTTK17AB
Denmark power cord NTTK22AB
Table 10
Miscellaneous components
Order Code Description Purpose
QUA6A Power Failure Transfer
Unit
To transfer trunk lines during a power failure
NTBK80BA Ground bar Ground Bar Option 11C for same room AC
Cabinets (1 per system and 2 or more cabinets)
NTDU6201 Ground bar Ground Bar/LRE - Large
NT6D5304 Ground bar Ground Bar/LRE - Small
NTAK92BA External Protection
Device
Protects up to four off-premises analog
(500/2500-type) telephones
NT1R20BA Extended Line card
Off-Premises
Connects up to eight off-premises analog
(500/2500-type) telephones
Table 9
CS 1000E cables (Part 3 of 3)
Component Descriptions Cable Kits
Cables &
Accessories Quantity

Page 70 of 488 System components
553-3041-210 Standard 4.00 September 2007
Uninterruptible Power Supply
Use an Uninterruptible Power Supply (UPS) to provide a backup power
supply for:
• CS 1000E (Core Call Server 0 and Core Call Server 1)
• Media Gateway
• Media Gateway Expander
• Signaling Server
• MRV Terminal Server
• BayStack 470-24T
• BayStack 470-48T
• BayStack 460 with Power over LAN
A UPS provides a continuous AC power supply. Refer to Communication
Server 1000E: Planning and Engineering (553-3041-120) for calculating
power consumption requirements.
Install the UPS unit according to the manufacturer’s instructions.

Page 71 of 488
Communication Server 1000E Installation and Configuration
72
Telephones
For information on the various telephones supported on the CS 1000E
system, refer to Telephones and Consoles: Description, Installation, and
Operation (553-3001-367) and IP Phones: Description, Installation, and
Operation (553-3001-368).

Page 73 of 488
Communication Server 1000E Installation and Configuration
90
Rack-mounting the components
Contents
This section contains information on the following topics:
Introduction . . . . . . . . . . . . . . . . . . . . . . . . . . . . . . . . . . . . . . . . . . . . . . 73
Lifting system components . . . . . . . . . . . . . . . . . . . . . . . . . . . . . . . . . . 74
Guidelines for component placement in a rack. . . . . . . . . . . . . . . . . . . 75
Rack-mounting a CS 1000E Call Server. . . . . . . . . . . . . . . . . . . . . . . . 76
Rack-mounting a Media Gateway or Media Gateway Expander . . . . . 77
Rack-mounting a Signaling Server . . . . . . . . . . . . . . . . . . . . . . . . . . . . 83
Rack-mounting a Terminal Server . . . . . . . . . . . . . . . . . . . . . . . . . . . . 90
Rack-mounting a BayStack 470 Switch . . . . . . . . . . . . . . . . . . . . . . . . 90
Rack-mounting a BayStack 460 Power over Ethernet unit. . . . . . . . . . 90
Introduction
All CS 1000E system components are installed in a customer-supplied,
19-inch rack. Also refer to the equipment layout plan and card slot assignment
plan for additional information.
Component air circulation is either from front to back or from side to side.
Therefore, components can be mounted immediately above or below an
installed component. The rack’s u pattern provides adequate clearance
between components. For example, a Media Gateway Expander could be
installed in the next 5u pattern of mounting holes below an already installed

Page 74 of 488 Rack-mounting the components
553-3041-210 Standard 4.00 September 2007
Media Gateway. The Media Gateway Expander would be approximately
1/4 in from the Media Gateway.
Note: In the 5u pattern, a “u” is equal to 1.75 in. and includes three holes
spaced at 5/8 in. + 5/8 in. + 1/2 in.
Other data communications equipment can be installed in a rack with
CS 1000E system components.
This chapter contains the following procedures:
• Procedure 1: "Rack-mounting a CS 1000E Call Server" on page 77
• Procedure 2: "Removing the cover" on page 78
• Procedure 3: "Rack-mounting a Media Gateway or Media Gateway
Expander" on page 80
• Procedure 4: "Preparing a Signaling Server for rack-mounting" on
page 83
• Procedure 5: "Rack-mounting a Signaling Server" on page 86
Lifting system components
Exercise care when lifting system components. If necessary, get assistance to
lift a component or install components in a rack. Table 11 on page 75 lists the
CS 1000E system components provided by Nortel and the weight of each
IMPORTANT!
Ensure that the unit’s power cord is appropriate for the area’s electrical
service. Do not modify or use the supplied AC power cord if it is not the
correct type.

Rack-mounting the components Page 75 of 488
Communication Server 1000E Installation and Configuration
component. Consult the manufacturer’s documentation for the weight of
other components installed during the CS 1000E system installation.
Guidelines for component placement in a rack
When installing equipment, the Layer two switches should be in a central
location to allow for easy access of all LAN cabling. The Media Gateways
and Media Gateway Expanders must be mounted together vertically, and they
must be powered from the same power rail. Typical vertical power bars in
equipment racks are rated at 15/20 amps @ 120 volts. Ensure that the
equipment load does not exceed the power bar rating. Refer to
Communication Server 1000E: Planning and Engineering (553-3041-120)
for information on power consumption. Do not place redundant equipment on
the same electrical circuit.
There are no thermal concerns about equipment placement.
Table 11
Weight of CS 1000E system components
Component Lbs Kg
CS 1000E Call Server 29 13.2
Signaling Server 23 10.5
Media Gateway without cards
— with 4 cards 26
30
12
13.5
Media Gateway Expander
— without cards
— with 4 cards
26
30
12
13.5
BayStack 470 Switch 14.7 6.7
BayStack 460 Power over Ethernet Switch 12.76 5.8
MRV Terminal Server 11 5

Page 76 of 488 Rack-mounting the components
553-3041-210 Standard 4.00 September 2007
Note 1: Leave wall space for the cross-connect terminal.
Note 2: Position the rack so that you have access to both the front and
rear.
Rack-mounting a CS 1000E Call Server
Items required
The following items are required to mount a CS 1000E Call Server in a
19-inch rack:
• equipment layout plan
• 4 – #10-32 machine screws. Use the screw type recommended by the
manufacturer of the equipment racks.
CAUTION — Damage to Equipment
The CS 1000E Call Server chassis is constructed of
light-weight aluminum. It can be damaged if the unit is
lifted from the shipping box by its top plate.

Rack-mounting the components Page 77 of 488
Communication Server 1000E Installation and Configuration
Procedure 1
Rack-mounting a CS 1000E Call Server
1Slide the CS 1000E Call Server into the rack until the ear brackets rest
against the rack support. See Figure 13.
Figure 13
CS 1000E Call Server with installed ear brackets
2Fasten the CS 1000E Call Server to the rack supports with #10-32
machine screws (two screws on each side).
End of Procedure
Rack-mounting a Media Gateway or
Media Gateway Expander
References to the Media Gateway in this section also apply to the Media
Gateway Expander. The Media Gateway Expander can be mounted either
above or below the Media Gateway.
The following items are required to mount each Media Gateway or Media
Gateway Expander in a 19-inch rack:
• equipment layout plan
• 8 – #10-32 machine screws
• 19-Inch Rack Mount Kit (NTTK09)

Page 78 of 488 Rack-mounting the components
553-3041-210 Standard 4.00 September 2007
The 19 Inch Rack Mount Kit (NTTK09) contains the following accessories:
• 1 – left guide bracket
• 1 – right guide bracket
• 1 – left ear bracket
• 1 – right ear bracket
• 4 – #8-32 machine screws
Follow Procedure 2 on page 78 to remove the cover on a Media Gateway or
a Media Gateway Expander.
Procedure 2
Removing the cover
1If the cover lock latches are in their locked position:
a. Use a flat screwdriver to slide the icon away from the latch. Refer to
Figure 14 on page 79.
b. Slide both spring-loaded latches simultaneously down toward the
bottom of the Media Gateway, and pull forward. Then lift the cover
upward to remove it from the Media Gateway. Refer to Figure 15 on
page 79.
Note: The bottom of the front cover is supported by, but not secured to,
the Media Gateway. Do not drop it.

Page 80 of 488 Rack-mounting the components
553-3041-210 Standard 4.00 September 2007
Procedure 3
Rack-mounting a Media Gateway or Media Gateway Expander
1Fasten the right guide bracket to the right rack support.
a. Insert two #10-32 machine screws into the two middle slots in the
guide bracket and into the respective holes in the right rack support.
See Figure 16.
b. Fasten the screws.
Figure 16
Guide bracket installed in a rack
2Fasten the left guide bracket to the left rack support.
a. Insert two #10-32 machine screws into the two middle slots in the
bracket and into the respective holes in the left rack support.
b. Fasten the screws.
#10-32

Rack-mounting the components Page 81 of 488
Communication Server 1000E Installation and Configuration
3Attach the right ear bracket (marked with an “R”) to the holes on the right
side of the Media Gateway.
a. Use two #8-32 machine screws. Position the ear bracket so that the
four holes on the bracket flange are nearer to the rear of the Media
Gateway.
Note: To determine the front of the bracket, locate the “R” on the bracket.
The “R” must be at the top of the bracket and face the front of the Media
Gateway (see Figure 17).
Figure 17
Right ear bracket on a Media Gateway
4Attach the left ear bracket (marked with an “L”) to the holes on the left side
of the Media Gateway (near the front).
Bracket flange marked
with an “R”. Attach this
ear bracket to the right-
hand side of the
Media Gateway.
Attach the
ear bracket to
these holes.

Page 82 of 488 Rack-mounting the components
553-3041-210 Standard 4.00 September 2007
a. Use two #8-32 machine screws. Position the ear bracket so the four
holes on the bracket flange are closer to the rear of the Media
Gateway.
Note: To determine the front of the bracket, locate the “L” on the bracket.
The “L” must be at the top of the bracket and face the front of the Media
Gateway.
5Place the Media Gateway on the guide brackets.
a. Carefully slide the Media Gateway into the rack until the ear brackets
come to rest against the rack support.
Note: Make sure that the rear of the Media Gateway is on the guide
brackets. See Figure 18 on page 82.
6Use the four remaining #10-32 machine screws to fasten the Media
Gateway to the rack supports (two screws on each side).
Figure 18
Media Gateway installed in a rack
End of Procedure
WARNING
A Media Gateway or a Media Gateway Expander each
weighs approximately 30 lb. (13.5 kg) with circuit cards
installed and 26 lb. (12 kg) without circuit cards installed.
If necessary, get assistance when lifting the equipment.
Use two screws on
each side to fasten
the Media Gateway

Rack-mounting the components Page 83 of 488
Communication Server 1000E Installation and Configuration
Rack-mounting a Signaling Server
This procedure describes how to install the Signaling Server hardware into
the 19-inch rack. Refer to Signaling Server: Installation and Configuration
(553-3001-212) for additional information.
Note: Save the packaging container and packing materials in the event
you need to package the server for reshipment.
Procedure 4
Preparing a Signaling Server for rack-mounting
1Ensure that the following parts are included with the Signaling Server:
a. 2 – chassis support brackets (A)
b. 2 – rack-mounting brackets (B)
c. 6 – rack-mount bracket screws (10-25 x 1/4” panhead Phillips)
Refer to Figure 19.
Figure 19
Signaling Server mounting accessories
A
A
B

Page 84 of 488 Rack-mounting the components
553-3041-210 Standard 4.00 September 2007
Note: The Front Mount Bracket assembly is not intended for use as a
slide rail system. The Signaling Server must be firmly attached to the rack.
2Align the end of the rail with the flange (B) toward the rear of the Signaling
Server. See Figure 20 on page 84.
Figure 20
Chassis support bracket
3Align the screw holes in the rack-mount rail to the mating holes in the side
of the Signaling Server chassis. Use three screws (C) on each side.
Note: Hand-tighten the screws to prevent cross-threading, then use a
Phillips screwdriver to secure them.
4Attach the bezel door to the faceplate of the Signaling Server, as shown
in Figure 21 on page 85 and Figure 22 on page 85.
WARNING

Page 86 of 488 Rack-mounting the components
553-3041-210 Standard 4.00 September 2007
When the door is attached to the Signaling Server and rack-mount
apparatus, it should appear as shown in Figure 23.
Figure 23
Snapped-in bezel door
End of Procedure
Procedure 5
Rack-mounting a Signaling Server
This procedure describes how to install the server in a rack.

Rack-mounting the components Page 87 of 488
Communication Server 1000E Installation and Configuration
Read the following warnings carefully before you begin installing the Signaling
Server in the rack.
DANGER OF ELECTRIC SHOCK
DISCONNECT AC POWER
The Signaling Server must be completely disconnected
from any AC power source before performing this
procedure. Pressing the Power button DOES NOT turn
off power to this Signaling Server. Some circuitry in the
unit can continue to operate even though the front panel
Power button is off.
Failure to disconnect the Signaling Server from its AC
power source can result in personal injury or equipment
damage.
DANGER OF ELECTRIC SHOCK
GROUNDING THE RACK INSTALLATION
To avoid the potential for an electrical shock hazard,
include a third wire safety grounding conductor with the
rack installation.
If Signaling Server power cords are plugged into AC
outlets that are part of the rack, then provide proper
grounding for the rack itself.
If Signaling Server power cords are plugged into wall AC
outlets, the safety grounding conductor in each power
cord provides proper grounding for the Signaling Server
only. Provide additional, proper grounding for the rack
and other devices installed in it.

Page 88 of 488 Rack-mounting the components
553-3041-210 Standard 4.00 September 2007
1Attach the rack-mount brackets (“B” as shown in Figure 19 on page 83) to
the equipment rack. Install the left and right side at an equal height. Use
standard length screws from the accessories pouch, and screw them into
the top and bottom drill holes of the bracket (see Figure 24 on page 88).
Figure 24
Installed rack-mount bracket
2When both brackets are fixed in place:
a. Align the rack-mount brackets on the Signaling Server with the slide
rail system on the rack posts.
b. Slide the Signaling Server in place. Refer to Figure 25 on page 89.
WARNING
MAIN AC POWER DISCONNECT
A main AC power disconnect must be installed. The main
AC power disconnect must:
• disconnect power to the entire rack unit
• be readily accessible
• be labeled as controlling power to the entire unit, not
just to the Signaling Server(s)

Rack-mounting the components Page 89 of 488
Communication Server 1000E Installation and Configuration
Figure 25
Rack-mounting the Signaling Server
3Tighten the screws through the faceplate of the Signaling Server to the
rack-mount bracket.
Note: Do not apply excessive torque while tightening the bolts. The bezel
door is plastic and does not require or withstand overtightening.
End of Procedure

Page 90 of 488 Rack-mounting the components
553-3041-210 Standard 4.00 September 2007
Rack-mounting a Terminal Server
Follow the manufacturer’s instructions to rack-mount this equipment.
Rack-mounting a BayStack 470 Switch
Follow the manufacturer’s instructions to rack-mount this equipment.
Rack-mounting a BayStack 460 Power over Ethernet unit
Follow the manufacturer’s instructions to rack-mount this equipment.

Page 91 of 488
Communication Server 1000E Installation and Configuration
102
Installing system grounds
Contents
This section contains information on the following topics:
Introduction . . . . . . . . . . . . . . . . . . . . . . . . . . . . . . . . . . . . . . . . . . . . . . 91
Installing a ground bar. . . . . . . . . . . . . . . . . . . . . . . . . . . . . . . . . . . . . . 92
Grounding a CS 1000E Call Server . . . . . . . . . . . . . . . . . . . . . . . . . . . 95
Grounding a Signaling Server . . . . . . . . . . . . . . . . . . . . . . . . . . . . . . . . 95
Grounding a Media Gateway powered by the same electrical panel . . 96
Grounding a Media Gateway powered by multiple electrical panels . . 97
Grounding a Media Gateway Expander . . . . . . . . . . . . . . . . . . . . . . . . 98
Grounding other rack-mounted components. . . . . . . . . . . . . . . . . . . . . 99
Grounding equipment in the UK. . . . . . . . . . . . . . . . . . . . . . . . . . . . . . 101
Introduction
This chapter contains the following procedures:
• Procedure 6: "Installing an NTBK80 Ground Bar" on page 93
• Procedure 7: "Installing an NTDU6201 Ground Bar" on page 94
• Procedure 8: "Grounding Media Gateways powered by the same
electrical panel" on page 96.
• Procedure 9: "Grounding Media Gateways powered by multiple
electrical panels" on page 98

Page 92 of 488 Installing system grounds
553-3041-210 Standard 4.00 September 2007
• Procedure 10: "Grounding a Media Gateway Expander" on page 98
• Procedure 11: "Grounding equipment in the UK" on page 101
Refer to your grounding plan for additional information.
Installing a ground bar
Install the NTBK80 Ground Bar for up to six Media Gateways with their
Expander. Install the NTDU6201 Ground Bar for up to 35 ground
connections. Reference to ground bar in this NTP refers to either the NTBK80
or the NTDU6201 Ground Bar.
WARNING
Correct grounding is very important. Failure to complete
the grounding procedures could result in a system that is
unsafe for the personnel using the equipment.
CAUTION — Service Interruption
If your system is not grounded correctly, it cannot be
protected from lightning or power surges, and it could be
subject to service interruptions. You must use insulated
ground wire for system grounding.
CAUTION — Service Interruption
To prevent ground loops, power all equipment from the
same dedicated electrical panel.
WARNING

Installing system grounds Page 93 of 488
Communication Server 1000E Installation and Configuration
Follow Procedure 6 to install a ground bar.
Procedure 6
Installing an NTBK80 Ground Bar
1Place the ground bar near the equipment.
Note: The ground bar is a bridging point for ground wires from up to
six components.
2Connect the ground bar to the ground bus in the AC electrical panel using
#6 AWG wire. See Table 12 on page 93 for region-specific grounding
requirements.
3Place a tag marked DO NOT DISCONNECT on the ground wire at the
electrical panel.
4Test the ground
Refer to Figure 26 on page 94 for the NTBK80 Ground Bar
WARNING
A qualified technician or electrician must make the
connection in the AC electrical panel.
Table 12
Region-specific grounding wire requirements
Region Grounding wire requirements
Germany #8AWG (8.36mm
2) green/yellow
wire
Other regions in Europe not smaller than #6 AWG
(13.3 mm2) at any point
UK two green/yellow wires no thinner
than two 10 mm2

Page 94 of 488 Installing system grounds
553-3041-210 Standard 4.00 September 2007
Figure 26
NTBK80 Ground Bar
End of Procedure
Follow Procedure 7 to install an NTDU6201 Ground Bar.
Procedure 7
Installing an NTDU6201 Ground Bar
1Place the NTDU6201 Ground Bar near the equipment.
Note: The ground bar is a bridging point for ground wires from up to
48 components.

Installing system grounds Page 95 of 488
Communication Server 1000E Installation and Configuration
2Connect the NTDU6201 Ground Bar to the ground bus in the AC electrical
panel, or to TGB for an ANSI/EIA/TIA 607 installation using #6 AWG wire.
See Table 12 on page 93 for region-specific grounding requirements.
3Place a tag marked DO NOT DISCONNECT on the ground wire at the
electrical panel.
4Test the ground.
End of Procedure
Grounding a CS 1000E Call Server
The CS 1000E Call Servers are not connected to a ground bar. They are
properly grounded when:
• the CS 1000E power cord is plugged into the rack’s AC outlet. The
rack’s AC outlet must be grounded to its dedicated electrical panel. This
is the preferred method.
• the CS 1000E power cord is plugged into a wall AC outlet. The
CS 1000E is grounded outside of the rack using the safety grounding
conductor in the power cord. This method ensures proper grounding only
of the CS 1000E itself. It does not provide grounding protection for other
rack-mounted pieces of equipment. Therefore, ensure that other devices
in the rack are properly grounded as required.
Grounding a Signaling Server
The Signaling Server is not connected to a ground bar. It is properly grounded
when:
• the Signaling Server power cord is plugged into the rack’s AC outlet. The
rack’s AC outlet must be grounded to its dedicated electrical panel. This
is the preferred method.
WARNING
A qualified technician or electrician must make the
connection in the AC electrical panel.

Page 96 of 488 Installing system grounds
553-3041-210 Standard 4.00 September 2007
• the Signaling Server power cord is plugged into a wall AC outlet. The
Signaling Server is grounded outside of the rack using the safety
grounding conductor in the power cord. This method ensures proper
grounding only of the Signaling Server itself. It does not provide
grounding protection for other rack-mounted pieces of equipment.
Therefore, ensure that other devices in the rack are properly grounded as
required.
Grounding a Media Gateway powered by the
same electrical panel
Follow Procedure 8 to ground one or more Media Gateway powered by the
same electrical panel.
Procedure 8
Grounding Media Gateways powered by the same electrical panel
1Disconnect the AC power cord from the power outlet.
2Install a #6 AWG ground wire from the ground lug, as shown in Figure 27
on page 97, at the back of the Media Gateway to the ground bar.
3Place a DO NOT DISCONNECT tag on the ground wire.

Installing system grounds Page 97 of 488
Communication Server 1000E Installation and Configuration
Figure 27
Media Gateway and Media Gateway Expander ground lug location
4Test the ground.
End of Procedure
Grounding a Media Gateway powered by
multiple electrical panels
Follow Procedure 9 on page 98 to ground multiple Media Gateway that are
powered by multiple electrical panels.
Ground wire
tie wrap lug
Ground wire to
ground bar
Media Gateway to
Media Gateway
Expander
ground lugs

Page 98 of 488 Installing system grounds
553-3041-210 Standard 4.00 September 2007
Procedure 9
Grounding Media Gateways powered by multiple electrical panels
1Disconnect the AC power cord from the power outlet.
2Identify the electrical panel powering each component.
3Install a ground bar for each electrical panel identified above.
Note: Each component must be grounded to the electrical panel that
provides the power to that component.
4Install a #6 AWG ground wire from the ground lug on the rear of the Media
Gateway to the ground bar identified for that component’s power source.
5Place a DO NOT DISCONNECT tag on the ground wire.
6Test the ground.
End of Procedure
Grounding a Media Gateway Expander
The Media Gateway Expander and the Media Gateway are considered as the
same ground.
Follow Procedure 10 to ground a Media Gateway Expander.
Procedure 10
Grounding a Media Gateway Expander
1Disconnect the AC power cord from the power outlet.
IMPORTANT!
Ground the Media Gateway Expander to the Media Gateway.
IMPORTANT!
Power each Media Gateway and Media Gateway Expander pair from the
same electrical panel.

Installing system grounds Page 99 of 488
Communication Server 1000E Installation and Configuration
2Install a #6 AWG ground wire from the ground lug on the rear of the Media
Gateway Expander to the Media Gateway. See Figure 27 on page 97.
3Place a DO NOT DISCONNECT tag on the ground wire.
4Test the ground.
End of Procedure
Grounding other rack-mounted components
To ground multiple pieces of equipment in a rack, use a separate ground
connection from each piece of equipment to the ground bar. If a piece of data
communications equipment in a rack does not have a grounding lug then
ground the rack to the ground bar.
When the rack is grounded to the ground bar, the equipment is grounded
using the Single Point Grounding method, as shown in Figure 28 on
page 100.

Page 100 of 488 Installing system grounds
553-3041-210 Standard 4.00 September 2007
Figure 28
Grounding multiple pieces of equipment in a rack
Signaling Server
Terminal Server
CS 1000E
Call Server
NTBK80 or NTDU6201 Ground Bar
Grounding lug on
back of chassis
Other data
communications
equipment with
grounding lug
Rack
grounding
block
553-CSE9027C
Media Gateway
Chassis
Media Gateway
Chassis Expansion

Installing system grounds Page 101 of 488
Communication Server 1000E Installation and Configuration
Grounding equipment in the UK
Follow Procedure 11 to ground equipment in the UK.
Procedure 11
Grounding equipment in the UK
1Connect a protective and functional ground wire from the grounding strip
on the Krone Test Jack Frame to the ground at the building entry point.
Use a green/yellow wire no thinner than 10 mm2.
Consider each Media Gateway and Media Gateway Expander pair as one
ground.
2Jumper the Media Gateway Expander ground to the Media Gateway
ground. See Figure 27 on page 97.
3In each Media Gateway:
a. Connect a ground wire from the ground lug in the equipment to the
ground connection at the Test Jack Frame. Use a green/yellow wire
no thinner than 10 mm2.
b. Place a DO NOT DISCONNECT tag on the grounding wire.
c. Measure the resistance of the ground between the Krone Test Jack
Frame and the Media Gateway frame ground. The resistance must
not be more than 0.25 Ohm.
End of Procedure

Page 103 of 488
Communication Server 1000E Installation and Configuration
118
Connecting CS 1000E system
components
Contents
This section contains information on the following topics:
Introduction . . . . . . . . . . . . . . . . . . . . . . . . . . . . . . . . . . . . . . . . . . . . . . 103
Connecting Call Server 0 to Call Server 1 . . . . . . . . . . . . . . . . . . . . . . 104
Connecting the CS 1000E Core Call Servers to an MG 1000E . . . . . . 106
Connecting a Signaling Server to the ELAN subnet. . . . . . . . . . . . . . . 111
Connecting a Signaling Server to the TLAN subnet. . . . . . . . . . . . . . . 112
Inserting a Shielded 50-pin to Serial/ELAN/TLAN
adapter onto a Media Card . . . . . . . . . . . . . . . . . . . . . . . . . . . . . . . . . . 113
Connecting a Media Card to the ELAN subnet. . . . . . . . . . . . . . . . . . . 114
Connecting a Media Card to the TLAN subnet. . . . . . . . . . . . . . . . . . . 115
Connecting a Media Gateway to a Media Gateway Expansion . . . . . . 116
Introduction
Several system connections are required to make the CS 1000E operational.
The CS 1000E must be connected to the MG 1000E through the ELAN
subnet. The Media Gateway are directly connected to the Media Gateway
Expander. The system’s components, such as the Signaling Server and the
Media Cards installed in the Media Gateway, require both ELAN subnet and
TLAN subnet connections.

Page 104 of 488 Connecting CS 1000E system components
553-3041-210 Standard 4.00 September 2007
This chapter contains the following procedures:
• Procedure 12: "Connecting co-located Call Servers" on page 105
• Procedure 13: "Connecting Campus Redundant Call Servers"
on page 106
• Procedure 14: "Connecting the CS 1000E Core Call Servers to an
MG 1000E" on page 107
• Procedure 16: "Connecting a Signaling Server to the ELAN"
on page 111
• Procedure 17: "Connecting a Signaling Server to the TLAN subnet"
on page 112
• Procedure 18: "Inserting a Shielded 50-pin to Serial/ELAN/TLAN
adapter on to a Media Card" on page 113
• Procedure 19: "Connecting a Media Card to the ELAN subnet"
on page 114
• Procedure 20: "Connecting a Media Card to the TLAN subnet"
on page 115
• Procedure 21: "Connecting a Media Gateway to a Media Gateway
Expansion" on page 116.
Connecting Call Server 0 to Call Server 1
The CS 1000E redundant architecture allows for the separation of
Call Server 0 and Call Server 1. The two processors are connected by either
a direct 100BaseT crossover cable or a carefully engineered Layer 2/VLAN
infrastructure.
Campus Redundancy provides the ability to separate the CS 1000E Call
Servers in a campus environment for “campus mirroring”. This feature
enables two Call Servers, one active and one redundant, to be connected
through an Ethernet network interface. Campus Redundancy can operate
using any vendor’s Layer 2 switching products, in addition to the
BayStack 470. The distance depends upon network parameter limitations
specified in Communication Server 1000: System Redundancy
(553-3001-307).

Connecting CS 1000E system components Page 105 of 488
Communication Server 1000E Installation and Configuration
To separate the redundant Call Servers, the ELAN subnet and the subnet of
the High Speed Pipe (HSP) can be extended between the two processors with
an Ethernet switch, using Layer 2 protocol.
If the two Call Servers are collocated, they can be connected using a standard
CAT5e or CAT6 crossover cable, limited to 100 meters in length.
For detailed information on Campus Redundancy, refer to Communication
Server 1000: System Redundancy (553-3001-307).
The Layer 2 switch allows the ELAN subnet and the subnet of the High Speed
Pipe (HSP) to be extended between the two processors. The
BayStack 470-24T provides full duplex wire-speed 100BaseT with no
significant packet loss (less than 0.001%) and delays of less than 100 usec.
The method used to connect Call Server 0 to Call Server 1 depends on the
proximity of the units. If the units are co-located, follow Procedure 12 to
connect the Call Servers. If the units are configured for Campus Redundancy,
follow Procedure 13 to connect the Call Servers.
Connecting co-located Call Servers
Follow Procedure 12 to connect co-located Call Servers.
Procedure 12
Connecting co-located Call Servers
1Plug one end of the CAT5E RJ-45 crossover cable (NTRC17) into the
LAN 2 connector on the front of Call Server 0.
2Plug the other end of the CAT5E RJ-45 NTRC17 crossover cable into the
LAN 2 connector on the front of Call Server 1.
End of Procedure
Connecting Campus Redundant Call Servers
The MultiLink Trunking (MLT) feature of the BayStack 470-24T enables the
two uplink fiber ports to be grouped but is not solely necessary for the two
uplink fiber ports to be linked. Grouping the uplink fiber ports increases
aggregate throughput up to 2 Gbps between sides with active redundant links.

Page 106 of 488 Connecting CS 1000E system components
553-3041-210 Standard 4.00 September 2007
The port-based VLANs used in the BayStack 470-24T switches operate in
accordance with the IEEE 802.1Q tagging rules. VLAN ports are grouped
into broadcast domains by assigning them to the same VLAN. Frames
received in one VLAN can be forwarded only within that VLAN. For more
information, see Communication Server 1000: System Redundancy
(553-3001-307).
Procedure 13
Connecting Campus Redundant Call Servers
1Connect the CAT5E RJ-45 LAN 2 port of Call Server 0 to a 100BaseT
ELAN network interface on the local Baystack 470-24T switch.
2Connect the CAT5E RJ-45 LAN 2 port of Call Server 1 to a 100BaseT port
on the remote Baystack 470-24T switch.
3Link the two Baystack 470-24T switches with two high-speed single-mode
fiber uplinks (1 Gbps per link), using the built-in GBIC ports for dedicated
uplink connectivity.
4Assign three VLANs to the BayStack 470-24T ports.
• VLAN 1 – Default
— All 104 ports belong to the four BayStack 470-24T ports.
• VLAN 2 – HSP
— Two ports connect CP PIV packs HSP ports in Call Server 0 and
Call Server 1.
— Four high-speed fiber uplinks (GBIC ports)
• VLAN 3 – ELAN
— Includes 2 ELAN network interfaces on the Call Servers, for
example, for ELAN connections for Signaling Servers,
MG 1000Es, Call Pilot, Symposium, OTM, Element Manager.
— Four high-speed fiber uplinks (GBIC ports)
End of Procedure
Connecting the CS 1000E Core Call Servers to an MG 1000E
An MG 1000E performs functions under the direct control of the CS 1000E
Core Call Server. The MG 1000E detects stimulus events from its interface

Connecting CS 1000E system components Page 107 of 488
Communication Server 1000E Installation and Configuration
cards and passes these events to the CS 1000E Core Call Server, where the
high-level call processing decisions are made. See Figure 29 on page 107 for
an example MG 1000E operation.
Figure 29
MG 1000E operation
Follow Procedure 14 to connect the CS 1000E Core Call Servers to an
MG 1000E.
Procedure 14
Connecting the CS 1000E Core Call Servers to an MG 1000E
1Connect the CAT5 RJ-45 ELAN 1 port on Call Server 0 to the BayStack
470.
2Connect the CAT5 RJ-45 ELAN 1 port on Call Server 1 to the BayStack
470-24T.
3Connect port 1 of the MG 1000E 100BaseT daughterboard #2 to the
bulkhead connector #1, as shown in Figure 30 on page 108. Connect the
100BaseT Port 1 at the back of the Media Gateway to the BayStack 470.
Refer to Figure 31 on page 108 for the location of the 100BaseT port.
1,3
56
9
MG 1000E Example - Digital set calls IP Phone
1. Digital set goes off-hook; off-hook message to CS.
2. CS tells MG 1000E to provide dial tone to set.
3. Digital set presses digit keys; messages to CS for each.
4. CS tells MG 1000E to play ringback tone to set and allocates DSP channel.
5. CS tells IP Phone to ring via SS.
6. IP phone goes off-hook to answer; message to SS/CS.
7. CS tells MG 1000E to connect set to DSP and IP phone.
8. CS requests media between DSP and IP phone.
9. Media path flows between DSP and IP phone.
MG 1000E
Digital set
2,4,7,8
Call Server 0
Sig Server
(SS)
15,000 +
Desktop Clients
QOS IP
WAN

Page 108 of 488 Connecting CS 1000E system components
553-3041-210 Standard 4.00 September 2007
Note 1: Physical ports 1 and 2 on the 100BaseT daughterboard #2 are
logical ports 2 and 4.
Note 2: Up to 30 MG 1000E can be connected to the ELAN subnet
controlled by the CS 1000E Core Call Servers.
Figure 30
Bulkhead connector for IP daughterboard
Figure 31
Media Gateway connectors
4Repeat step 3 for each MG 1000E in the system.
1
100BaseT ports

Connecting CS 1000E system components Page 109 of 488
Communication Server 1000E Installation and Configuration
Note: The MG1000E can be connected directly to the CS1000E ELAN
subnet, or it can be connected to the ELAN subnet through a Layer 3
switch.
End of Procedure
Dual Homed connection
An MG 1000E can optionally be connected to a second BayStack 470 to
provide a ‘Dual Homed’ connection to the network so that the Media
Gateway remains operational in the event of a failure of the first BayStack
470 used for the ELAN subnet connection. Logical port 4 of the Dual Port IP
daughterboard (NTDK83) provides a connection to the second BayStack 470
providing an alternate connection to the network in the event of a failure of
the primary BayStack 470 used for the logical port 2 connection. Refer to
Figure 32 for a sample configuration.

Page 110 of 488 Connecting CS 1000E system components
553-3041-210 Standard 4.00 September 2007
Figure 32
Robust Data Network Topology
After completing Procedure 14 on page 107, follow Procedure 15 on
page 111 to connect an MG 1000E in the Dual Homed configuration.
ELAN
ELANELAN
CP
PII
Sys Util
ESD
BOND POINT
SLOT
NO.
1
ALARM/FAN
MODULE
NTDU64AA
SYSTEM
FANS
POWER
TEMP
2
3
1
COM1
COM2
LAN2
LAN1
USB
INIT
RESET
ALARM SPKR
HDD PWR
Enb
Dis
CompactPCI
CP
PII
Sys Util
ESD
BOND POINT
SLOT
NO.
1
ALARM/FAN
MODULE
NTDU64AA
SYSTEM
FANS
POWER
TEMP
2
3
1
COM1
COM2
LAN2
LAN1
USB
INIT
RESET
ALARM SPKR
HDD PWR
Enb
Dis
CompactPCI
12100
Base T
SLOT
1
SLOT
2
SLOT
3
SLOT
4
RINGING FREQUENCY
SW 20Hz 25Hz 50Hz
1ON OFF ON
2ON ON OFF
RINGING FREQUENCY
SW 70Hz 75Hz 80Hz
3
4
5
OFF
OFF
OFF
ON
OFF
OFF
ON
ON
OFF
ON
ON
OFF
6
7
8
NOT USED
OFF
OFF
OFF
ON
ON
X
WAITING LAMP
-150V
DISABLE
ON
PWR
OFF
ON
OFF
MG
ssc
Man Int
Port
13
24
NTDN2OMA
MSLE 01
LED
NTDZ35MA
MSLE 01
TS
TS
CC
DCH
NTDZ35MA
MSLE 01
TS
TS
DCH
MC
Power Access Codes
00121352
12010123156-569-45
405405
001215561-54540-46
ET
T:20
NTDZ35MA
MSLE 01
MC
Power Access Codes
00121352
12010123156-569-45
405405
001215561-54540-46
ET
T:20
NTDZ35MA
MSLE 01
12100
Base T
SLOT
1
SLOT
2
SLOT
3
SLOT
4
RINGING FREQUENCY
SW 20Hz 25Hz 50Hz
1ON OFF ON
2ON ON OFF
RINGING FREQUENCY
SW 70Hz 75Hz 80Hz
3
4
5
OFF
OFF
OFF
ON
OFF
OFF
ON
ON
OFF
ON
ON
OFF
6
7
8
NOT USED
OFF
OFF
OFF
ON
ON
X
WAITING LAMP
-150V
DISABLE
ON
PWR
OFF
ON
OFF
MG
ssc
Man Int
Port
13
24
NTDN2OMA
MSLE 01
LED
NTDZ35MA
MSLE 01
TS
TS
CC
DCH
NTDZ35MA
MSLE 01
TS
TS
CC
DCH
MC
Power Access Codes
00121352
12010123156-569-45
405405
001215561-54540-46
ET
T:20
NTDZ35MA
MSLE 01
MC
Power Access Codes
00121352
12010123156-569-45
405405
001215561-54540-46
ET
T:20
NTDZ35MA
MSLE 01
QoS IP
Network
Active Call Server Inactive Call Server
MG 1000E MG 1000E
Signaling Server Signaling Server
Redundant
Fibre Links
HSP
MG 1000E
Port 2
Port 4

Connecting CS 1000E system components Page 111 of 488
Communication Server 1000E Installation and Configuration
Procedure 15
Connecting an MG 1000E in the Dual Homed configuration
1Connect logical port 2 of the MG 1000E 100BaseT daughterboard #2 to
the bulkhead connector #2. Connect the 100BaseT Port 2 at the back of
the Media Gateway to a second BayStack 470.
For CS 1000E systems, it is recommended that there be no single point of
failure for the data network. For information on engineering the data network,
refer to Converging the Data Network with VoIP (553-3001-160).
End of Procedure
Connecting a Signaling Server to the ELAN subnet
Follow Procedure 16 to connect a Signaling Server to the ELAN subnet.
Procedure 16
Connecting a Signaling Server to the ELAN
1Connect one end of a standard CAT5 cable to the ELAN network interface
(bottom) at the back of the Signaling Server, as shown in Figure 33 on
page 112.
2Connect the other end of the standard CAT5 cable to an RJ-45 ELAN
subnet port on the ELAN Layer 2 switch (BayStack 470-24T).

Page 112 of 488 Connecting CS 1000E system components
553-3041-210 Standard 4.00 September 2007
Figure 33
Signaling Server ELAN subnet and TLAN subnet connectors
End of Procedure
Connecting a Signaling Server to the TLAN subnet
Follow Procedure 17 to connect a Signaling Server to the TLAN.
Procedure 17
Connecting a Signaling Server to the TLAN subnet
1Connect a standard CAT5 cable to the TLAN network interface (top)
RJ-45 jack at the back of the Signaling Server, as shown in Figure 33 on
page 112.
2Connect the other end of the standard CAT5 cable to an RJ-45 TLAN
network interface on the data network switch (BayStack 470-24T).
End of Procedure
TLAN
ELAN

Connecting CS 1000E system components Page 113 of 488
Communication Server 1000E Installation and Configuration
Inserting a Shielded 50-pin to Serial/ELAN/TLAN
adapter onto a Media Card
The Shielded 50-pin to Serial/ELAN/TLAN adapter shown in Figure 34
provides access to the TLAN and ELAN Ethernet Ports. The adapter breaks
out the signals from the I/O connector to the following:
• ELAN (management) network interface
• TLAN (telephony) network interface
• one RS-232 (local console) port
Figure 34
Shielded 50-pin to Serial/ELAN/TLAN adapter
Procedure 18
Inserting a Shielded 50-pin to Serial/ELAN/TLAN adapter on to a
Media Card
1Open the Media Card package NTDU41CA.
2Remove the Shielded 50-pin to Serial/ELAN/TLAN adapter.
Identification Label
TLAN RJ-45
LAN socket
ELAN RJ-45
LAN socket
RS-232 Connector
Voice Gateway Media Card
maintenance port
50-pin connector

Page 114 of 488 Connecting CS 1000E system components
553-3041-210 Standard 4.00 September 2007
3Save the other items from the package for use in “Installing a
CompactFlash” on page 330.
4Insert the adapter, shown in Figure 34, into the connector Card 1, Card 2,
Card 3, or Card 4 that corresponds to the location of the Media Card.
For example, in Figure 35 on page 115, the Media Card is installed in card
slot 1. Therefore, the adaptor is installed in connector Card 1.
End of Procedure
Connecting a Media Card to the ELAN subnet
Follow Procedure 19 to connect a Media Card to the ELAN.
Procedure 19
Connecting a Media Card to the ELAN subnet
1Connect a standard CAT5 patch cable to the ELAN network interface on
the Adaptor (Figure 35 on page 115).
2Connect the other end of the standard CAT5 patch cable to an RJ-45
ELAN network interface on the BayStack 470 switch

Connecting CS 1000E system components Page 115 of 488
Communication Server 1000E Installation and Configuration
Figure 35
Shielded 50-pin to Serial/ELAN/TLAN adapter on the Media Gateway
End of Procedure
Connecting a Media Card to the TLAN subnet
Follow Procedure 20 to connect a Media Card to the TLAN subnet.
Procedure 20
Connecting a Media Card to the TLAN subnet
1Connect a standard CAT5 patch cable to the TLAN network interface on
the adaptor (see Figure 35 on page 115).
2Connect the other end of the standard CAT5 patch cable to an RJ-45
TLAN network interface on the BayStack 470 switch.
End of Procedure
TLAN
ELAN

Page 116 of 488 Connecting CS 1000E system components
553-3041-210 Standard 4.00 September 2007
Connecting a Media Gateway to a Media Gateway
Expansion
Procedure 21 describes how to connect a Media Gateway Expander to the
Media Gateway. The Media Gateway Expander Cable Kit (NTDK89)
contains two NTDK95 cables used to connect the Media Gateway Expander
to the Media Gateway. One cable provides DS-30X connectivity while the
second cable provides CE-MUX connectivity to slot 10 only.
Procedure 21
Connecting a Media Gateway to a Media Gateway Expansion
1Connect one NTDK95 cable from the CE-MUX connector at the back of
the Media Gateway to the CE-MUX connector at the back of the Media
Gateway Expander.
2Tighten the screws on the connectors.
3Connect the other NTDK95 cable from the DS-30X connector at the back
of the Media Gateway to the DS-30X connector at the back of the Media
Gateway Expander.
4Tighten the screws on the connectors. Figure 36 on page 117 shows the
Media Gateway and Media Gateway Expander connected with the two
NTDK95 cables.

Page 119 of 488
Communication Server 1000E Installation and Configuration
152
Installing software on the CS 1000E
Contents
This section contains information on the following topics:
Introduction . . . . . . . . . . . . . . . . . . . . . . . . . . . . . . . . . . . . . . . . . . . . . . 119
Installing the software . . . . . . . . . . . . . . . . . . . . . . . . . . . . . . . . . . . . . . 120
Testing the Call Servers . . . . . . . . . . . . . . . . . . . . . . . . . . . . . . . . . . . . 147
Introduction
The Software Install Kit required to install CP PIV includes one CF card for
system software and one for backup. The system CF card contains the
following:
• CS 1000E Release 4.5 software
• keycode files
• CS 1000E Release 4.5 Dependency List (PEPs) for Large and Small
systems
• default database (if initiated during the installation)
A third CF card is blank and can be used for database backup storage.

Page 120 of 488 Installing software on the CS 1000E
553-3041-210 Standard 4.00 September 2007
Installing the software
This section provides the steps involved in installing CS 1000 Release 4.5 for
the CP PIV.
Procedure 22
Installing the software on the Call Server
1Check that a terminal is connected to COM1 on the Call Server.
2Insert the RMD into the CF card slot.
3Press the manual RESET button on the CP PIV card faceplate in the Call
Server. EPE blocking message is possible.
4Enter <CR> at the Install Tool Menu.
IMPORTANT!
Systems and components delivered to customer sites
may include preinstalled software. However, the
pre-installed software versions are typically older and are
included only for manufacturing and order management
purposes. Do not attempt to operate the system with
the pre-installed software. You must download the
latest software from the Nortel Software Download web
site and install the software as part of the installation
process.

Installing software on the CS 1000E Page 121 of 488
Communication Server 1000E Installation and Configuration
5The system attempts to validate and format the FMD partitions. The
following format occurs only if the on-board 1 GByte FMD is blank.
>Obtaining and checking system configuration ...
>Validate hard disk partitions
Validate number of hard drive partitions
and size ...
Number of partitions 0:
Disk check failed: three partitions
expected
INST0010 Unable to validate Hard disk partition
"/u"
errNo : 0xd0001
Please press <CR> when ready ...
INST0010 Unable to validate Hard disk partition
"/p"
Please press <CR> when ready ...
INST0010 Unable to validate Hard disk partition
"/e"
Please press <CR> when ready ...

Page 122 of 488 Installing software on the CS 1000E
553-3041-210 Standard 4.00 September 2007
The Fix Media Device on Core 0 is blank.
Install cannot continue unless the FMD
is partitioned.
Note: INSTALL WILL REBOOT AFTER THIS
PROCEDURE AND
FIX MEDIA WILL BE EMPTY AFTER YOU
PARTITION IT.
INSTALL REMOVABLE MEDIA MUST BE IN
THE DRIVE AT THIS TIME.
Please enter:
<CR> -> <a> - Partition the Fix Media Device.
Enter choice>
>Repartitioning Fix Media Device ...
fdiskPartCreate(0x12d5ff0c, 1, 4, 0x10)
Size in sectors = 0x8000
Low boundary = 0
High boundary = 0x1e8bdf
fdiskPartCreate(0x12d5ff0c, 2, 11, 0x130)
Size in sectors = 0x98000
Low boundary = 0x7fc1
High boundary = 0x1e8bdf
fdiskPartCreate(0x12d5ff0c, 3, 11, 0x130)
Size in sectors = 0x98000
Low boundary = 0x9ffc1
High boundary = 0x1e8bdf
fdiskPartCreate(0x12d5ff0c, 4, 11, 0x130)
Size in sectors = 0x98000

Installing software on the CS 1000E Page 123 of 488
Communication Server 1000E Installation and Configuration
Low boundary = 0x137fc1
High boundary = 0x1e8bdf
>Fix Media Device repartition completed
>Formatting FMD ...
Mounting msdos fs /boot on /dev/hda1...
fdiskDevCreate(/dev/hda1)
/dev/hda1: partTablePtr = 0x12d5ff0c
Found partition 1, nodePtr = 0x12d30a4c
Partition 1 = type MSDOS FAT16 <= 32MB, cbioPtr =
0x131eb2e8
Initializing new slave device 0x131eb2e8
Retrieved old volume params with %95 confidence:
Volume Parameters: FAT type: FAT16, sectors per
cluster 32
2 FAT copies, 0 clusters, 245 sectors per FAT
Sectors reserved 1, hidden 63, FAT sectors 490
Root dir entries 512, sysId (null) , serial
number 3b691afd
Label:"NO NAME " ...
Disk with 32705 sectors of 512 bytes will be
formatted with:
Volume Parameters: FAT type: FAT16, sectors per
cluster 2
2 FAT copies, 16240 clusters, 64 sectors per
FAT
Sectors reserved 1, hidden 63, FAT sectors 128
Root dir entries 512, sysId VXDOS16 , serial
number 3b691afd

Page 124 of 488 Installing software on the CS 1000E
553-3041-210 Standard 4.00 September 2007
Label:" " ...
Mounting msdos fs /p on /dev/hda2...
fdiskDevCreate(/dev/hda2)
/dev/hda2: partTablePtr = 0x12d5ff0c
Found partition 2, nodePtr = 0x12d30a4c
Partition 2 = type Win95 FAT32, cbioPtr =
0x12d26ee8
Initializing new slave device 0x12d26ee8
Retrieved old volume params with %80 confidence:
Volume Parameters: FAT type: FAT16, sectors per
cluster 195
-61 FAT copies, 0 clusters, 50115 sectors per
FAT
Sectors reserved -15421, hidden -1010580541,
FAT sectors -3057015
Root dir entries -15421, sysId (null) , serial
number cfcfc3c3
Label:" " ...
Disk with 622592 sectors of 512 bytes will be
formatted with:
Volume Parameters: FAT type: FAT32, sectors per
cluster 8
2 FAT copies, 77660 clusters, 608 sectors per
FAT
Sectors reserved 32, hidden 63, FAT sectors
1216
Root dir entries 0, sysId VX5DOS32, serial
number cfcfc3c3
Label:" " ... 0x12d22e7c

Installing software on the CS 1000E Page 125 of 488
Communication Server 1000E Installation and Configuration
Mounting msdos fs /d on /dev/hda3...
fdiskDevCreate(/dev/hda3)
/dev/hda3: partTablePtr = 0x12d5ff0c
Found partition 3, nodePtr = 0x12d30a4c
Partition 3 = type Win95 FAT32, cbioPtr =
0x12d22e7c
Initializing new slave device 0x12d22e7c
Retrieved old volume params with %80 confidence:
Volume Parameters: FAT type: FAT16, sectors per
cluster 195
-61 FAT copies, 0 clusters, 50115 sectors per
FAT
Sectors reserved -15421, hidden -1010580541,
FAT sectors -3057015
Root dir entries -15421, sysId (null) , serial
number cffbc3c3
Label:" " ...
;CPP4 reboot automatically
Mounting /cf2
Found /cf2/nvram.sys
Mounting /boot|
Found /boot/nvram.sys
Selecting nvram file from 2
sources
Read boot parameters from:
F: Faceplate compact flash
H: Hard Drive
0 [H]
Reading boot parameters from /boot/nvram.sys
Press any key to stop auto-boot...

Page 126 of 488 Installing software on the CS 1000E
553-3041-210 Standard 4.00 September 2007
6The system then enters the Main Menu for keycode authorization.
The system searches for available keycode files in the keycode directory
on the RMD. If no keycode file is found, the system displays the following
menu:
M A I N M E N U
The Software Installation Tool will install or
upgrade Communication Server 1000 Software,
Database and the CP-BOOTROM. You will be prompted
throughout the installation and given the
opportunity to quit at any time.
Please enter:
<CR> -> <u> - To Install menu
<t> - To Tools menu.
<q> - Quit.
Enter Choice> <u>
Communication Server 1000 Software/Database/
BOOTROM RMD Install Tool
================================================
====================
No keycode files are available on the removable
media.
Please replace the RMD containing the keycode
file(s).
Please enter:
<CR> -> <a> - RMD is now in the drive.
<q> - Quit.
Enter choice>

Installing software on the CS 1000E Page 127 of 488
Communication Server 1000E Installation and Configuration
At this point, either replace the RMD or quit the installation. If you select
option ‘<q> - Quit’, the system requires confirmation.
If ‘<y> - Yes, quit’ is selected, the system prints “INST0127 Keycode file
is corrupted. Check Keycode file.” and returns to the installation main
menu.
After accessing the RMD containing the valid keycode, press <CR>. The
system displays the keycode file available as in the following example:
Note: A maximum of 20 keycode files can be stored under the “keycode”
directory on the RMD. The keycode files must have the same extension
(.kcd).
Communication Server 1000 Software/Database/
BOOTROM RMD Install Tool
================================================
====================
You selected to quit. Please confirm.
Please enter:
<CR> -> <y> - Yes, quit.
<n> - No, DON’T quit.
Enter choice>
The following keycode files are available on the
removable media:
Name Size Date Time
------------------------------------------------
<1> - kcxxxx.1114 Mar-29-2005 15:46
<2> - kc35f.kcd 1114 Mar-01-2005 15:33
<3> - kcbuffy450c.kcd 1114 Mar-31-2005 10:18
<q> - Quit
Enter choice> 3

Page 128 of 488 Installing software on the CS 1000E
553-3041-210 Standard 4.00 September 2007
7Select the keycode to be used on the system.The system validates the
selected keycode and displays the software release and machine type
authorized.
Note: The software release displayed depends on the keycode file
content.
8The system requests keycode validation.
Validating keycode ...
Copying "/cf2/keycode/KCport60430m.kcd" to "/u/
keycode" -
Copy OK: 1114 bytes copied
The provided keycode authorizes the install of
xxxx software (all subissues) for machine type
xxxx (CPP4 processor on xxxx).
Communication Server 1000 Software/Database/
BOOTROM RMD Install Tool
================================================
Please confirm that this keycode matches the
System S/W on the RMD.
Please enter:
<CR> -> <y> - Yes, the keycode matches.
Go on to Install Menu.
<n> - No, the keycode does not match.
Try another keycode.
Enter choice>

Installing software on the CS 1000E Page 129 of 488
Communication Server 1000E Installation and Configuration
9If the keycode matches, enter ‘<CR>’ to continue the installation. The
system displays the Install Menu.
Communication Server 1000 Software/Database/
BOOTROM RMD Install Tool
=================================================
I N S T A L L M E N U
The Software Installation Tool will install
or installation Succession Enterprise System
Software, Database and the CP-BOOTROM. You will be
prompted throughout the installation and given the
opportunity to quit at any time.
Please enter:
<CR> -> <a> - To install Software, CP-BOOTROM.
<b> - To install Software, Database,
CP-BOOTROM.
<c> - To install Database only.
<d> - To install CP-BOOTROM only.
<t> - To go to the Tools menu.
<k> - To install Keycode only.
For Feature Expansion, use OVL143.
<p> - To install 3900 set Languages.
<q> - Quit.
Enter Choice> <b>

Page 130 of 488 Installing software on the CS 1000E
553-3041-210 Standard 4.00 September 2007
10 Select option “<b> To install Software, Database, CP-BOOTROM.”.
11 If the RMD containing the software is already in the drive, select option
‘<a> - RMD is now in drive. Continue with s/w checking.’ (or simply press
<CR>) to continue. If the RMD is not yet in the drive, insert it and then
press <CR>.
12 The system displays the release of the software found on RMD under the
‘swload’ directory and requests confirmation to continue the installation.
Note: If the RMD contains the correct software release, select option
‘<y> - Yes, this is the correct version. Continue.’ (or simply press <CR>)
to continue. If the software release is not correct and you want to replace
the RMD, insert the correct RMD in the drive and then press <CR>. If you
Communication Server 1000 Software/Database/
BOOTROM RMD Install Tool
=================================================P
lease insert the Removable Media Device into the
drive on Core 1.
Please enter:
<CR> -> <a> - RMD is now in drive.
Continue with s/w checking.
<q> - Quit.
Enter choice> <CR>
Communication Server 1000 Software/Database/
BOOTROM RMD Install Tool
=================================================
The RMD contains System S/W version xxxx.
Please enter:
<CR> -> <y> - Yes, this is the correct
version. Continue.
<n> - No, this is not the correct version.
Try another RMD or a different keycode.
Enter choice> <CR>

Installing software on the CS 1000E Page 131 of 488
Communication Server 1000E Installation and Configuration
want to replace the keycode, select option ‘<n> - No, this is not the
correct version’.
13 Choose ‘<y> - Yes, Do the Dependency Lists installation’ for the
Dependency Lists installation.
Do you want to install Dependency Lists?
Please enter:
<CR> -> <y> - Yes, Do the Dependency Lists
installation
<n> - No, Continue without Dependency Lists
installation
Enter choice> y
Are you sure?
Please enter:
<CR> -> <n> - No, Go to the Dependency List menu
<y> - Yes, Go to the next menu
Enter choice> y
>Processing the install control file ...
>Installing release xxxx
Enable Automatic Centralized Software Upgrade
(CSU) Feature ? (Default - YES)
Please enter:
<CR> -> <y> - Yes
<n> - No
Enter choice> <y>

Page 132 of 488 Installing software on the CS 1000E
553-3041-210 Standard 4.00 September 2007
14 The system displays an Installation Status Summary report. Enter <CR>
to confirm and continue installation.
Set Automatic Centralized Software Upgrade Mode
to:
Please enter:
<CR> -> <1> - Sequential
<2> - Simultaneous
Enter choice> <1>
Please enter:
<CR> -> <y> - Yes, start installation.
<n> - No, stop installation. Return to the
Main Menu.
You selected to install Software release: 0450C on
the new system.
This will create all necessary directories and
pre-allocate files on the hard disk.
You may continue with software install or quit
now and leave your software unchanged.
Please enter:
<CR> -> <a> - Continue with new system
install.
<q> - Quit.
Enter choice>

Installing software on the CS 1000E Page 133 of 488
Communication Server 1000E Installation and Configuration
15 The PSDL files menu appears. Enter the appropriate choice for the
location of the site.
16 Successful installation confirmation appears. Enter <CR> to continue.
*************************************************P
SDL INSTALLATION MENU
The PSDL contains the loadware for all downloadable
cards in the system and loadware for M3900 series
sets.
*************************************************
Select ONE of the SEVEN PSDL files:
1. Global 10 Languages
2. Western Europe 10 Languages
3. Eastern Europe 10 Languages
4. North America 6 Languages
5. Spare Group A
6. Spare Group B
7. Packaged Languages
[Q]uit, <CR> - default
By default option 1 will be selected.
Enter your choice ->x
>Copying new PSDL ...
Communication Server 1000 Software/Database/
BOOTROM RMD Install Tool
=================================================
Software release xxxx was installed successfully
on Core 1.
All files were copied from RMD to FMD.
Please press <CR> when ready ...

Page 134 of 488 Installing software on the CS 1000E
553-3041-210 Standard 4.00 September 2007
17 Select option ‘<b> - Install DEFAULT database’ from the database
installation main menu.
Communication Server 1000 Software/Database/
BOOTROM RMD Install Tool
=================================================
You will now perform the database installation.
Please enter:
<CR> -> <a> - Install CUSTOMER database.
(The Removable Media Device containing the
customer database must be in the drive.
<b> - Install the DEFAULT database.
(The System S/W media must be in drive.)
<c> - Transfer the previous system
database.(The floppy disk containing the customer
database must be in the floppy drive of the MMDU
pack)
<e> - Check the database that exists on the
Fixed Media Device.
<q> - Quit.
Enter choice> b

Installing software on the CS 1000E Page 135 of 488
Communication Server 1000E Installation and Configuration
The system verifies which customer databases are available on the RMD
under directory ‘backup’ and displays them.
18 Continue with database installation.
The installation summary screen appears.
You selected to transfer the default database from
the System S/W RMD onto the FMD, from release: 430O
to release: 2507Q.
This will erase the database on the hard disk. If
you quit now, the database will be left unchanged.
Please insert the System S/W RMD into the drive if
you are transferring the database.
Please enter:
<a> - Continue with default database install.
<q> - Quit.
Enter choice> <a>
Communication Server 1000 Software/Database/
BOOTROM RMD Install Tool
=================================================
You selected to install Software release: 0450C on
the new system.
This will create all necessary directories and
pre-allocate files on the hard disk.
You may continue with software install or quit
now and leave your software unchanged.
Please enter:
<CR> -> <a> - Continue with new system install.
<q> - Quit.

Installing software on the CS 1000E Page 137 of 488
Communication Server 1000E Installation and Configuration
19 Upon returning to the main Install Menu, enter q to quit.
I N S T A L L M E N U
The Software Installation Tool will install
or installation Succession Enterprise System
Software, Database and the CP-BOOTROM. You will be
prompted throughout the installation and given the
opportunity to quit at any time.
Please enter:
<a> - To install Software, CP-BOOTROM.
<b> - To install Software, Database, CP-BOOTROM.
<c> - To install Database only.
<d> - To install CP-BOOTROM only.
<t> - To go to the Tools menu.
<k> - To install Keycode only.
For Feature Expansion, use OVL143.
<p> - To install 3900 set Languages.
<CR> -> <q> - Quit.
Enter Choice> <q>

Page 138 of 488 Installing software on the CS 1000E
553-3041-210 Standard 4.00 September 2007
20 The system then prompts you to confirm and reboot. Enter <CR> to quit.
Enter <CR> again to reboot.
At this point the system reloads and initializes.
End of Procedure
You selected to quit. Please confirm.
Please enter:
<CR> -> <y> - Yes, quit.
<n> - No, DON'T quit.
Enter choice> <CR>
You selected to quit the Install Tool.
You may reboot the system or return to the Main
Menu.
------------------------------
DO NOT REBOOT USING RESET BUTTON!!!
------------------------------
Please enter:
<CR> -> <a> - Reboot the system.
<m> - Return to the Main menu.
Enter Choice> <CR>
>Removing temporary file "/u/disk3521.sys"
>Removing temporary file "/u/disk3621.sys"
>Rebooting system ...

Installing software on the CS 1000E Page 139 of 488
Communication Server 1000E Installation and Configuration
Verify the installation database
Procedure 23
Verifying the installation database
1Print ISSP (system software issue and patches).
2Print the system configuration record in LD 22 and compare the output
with the preinstallation configuration record.
3Print the SLT in LD 22. This output provides used and unused LICENSES.
Compare with preinstallation SLT output.
LD 22 Load program
REQ ISSP
**** Exit program
LD 22 Load program
REQ PRT
TYPE CFN
**** Exit program
LD 22 Load program
REQ SLT
**** Exit program

Page 140 of 488 Installing software on the CS 1000E
553-3041-210 Standard 4.00 September 2007
4Print the customer data block in LD 21.
Reconfigure I/O ports and call registers
Procedure 24
Reconfiguring I/O ports and call registers
1Evaluate the number of call registers and 500 telephone buffers that are
configured for the system (suggested minimum values are 4500 and 1000
respectively). If changes are required, reconfigure the values in LD 17:
2Print the Configuration Record to confirm the changes made in Step 1:
End of Procedure
Procedure 25
Switching call processing to the Call Server
1Plug the Call Server port labeled Lan 1 into the ELAN subnet.
2Initialize (using the init button) the CP PIV card in the Core.
LD 21 Load program
REQ PRT
TYPE CDB
CUST xx
**** Exit program
LD 17 Load program
500B 1000 Use 1000 as a minimum value
NCR 20000 Use 20000 as a minimum value
**** Exit program
LD 22 Load program
REQ PRT Set the print option
TYPE CFN Print the configuration
**** Exit program

Installing software on the CS 1000E Page 141 of 488
Communication Server 1000E Installation and Configuration
3Wait for “DONE” and then “INI” messages to display before you continue.
End of Procedure
Test the Call Server
Procedure 26
Testing the Call Server
1Verify that the Call Server is active.
2Check dial-tone.
3Verify that the Call Server is active, redundant, and single.
4Make internal, external, and network calls.
5Check attendant console activity.
6Check IP Peer networking for incoming and outgoing calls.
7Check applications (CallPilot, Symposium, and so on).
End of Procedure
Install the software on the second Call Server
Procedure 27
Installing the software on the second Call Server
1Attach the LAN 1 and LAN 2 cables to the CP PIV faceplate connectors
between the Call Servers.
2Complete procedures 22 through 27 for the second Call Server.
3Each Call Server can be named: Call Server 1 and Call Server 0.
Note: Do not install LAN 1 and LAN 2 cables at this time.
End of Procedure
LD 135 Load program
STAT CPU Get the status of the CPUs

Page 142 of 488 Installing software on the CS 1000E
553-3041-210 Standard 4.00 September 2007
Verifying Call Server 0 is active
Use the following commands to verify that Call Server 0 is active.
Make the system redundant
At this point, Core/Net 0 is ready to be synchronized with Core/Net 1.
Procedure 28
Making the system redundant
1Check to see if the LAN 1 and LAN 2 cables are attached. If not, attach
the LAN 1 and LAN 2 cables to the CP PIV faceplate connectors on Call
Server 0 and Call Server 1.
2Once the synchronization of memories and drives is complete, STAT the
CPU and verify that the CPUs are in a true redundant state.
LD 135 Load program
STAT CPU Get the status of the CPUs
CFN
LD 135
STAT CPU Get status of CPU and memory
**** Exit the program

Installing software on the CS 1000E Page 143 of 488
Communication Server 1000E Installation and Configuration
3Tier 1 and Tier 2 health of both Call Servers must be identical in order to
successfully switch service from Call Server 1 to Call Server 0.
.stat cpu
cp 0 16 PASS -- STDBY
TRUE REDUNDANT
DISK STATE = REDUNDANT
HEALTH = 20
VERSION = Mar 3 2005, 16:26:40
Side = 0, DRAM SIZE = 512 MBytes
cp 1 16 PASS -- ENBL
TRUE REDUNDANT
DISK STATE = REDUNDANT
HEALTH = 20
VERSION = Mar 3 2005, 16:26:40
Side = 1, DRAM SIZE = 512 MBytes
LD 135
STAT HEALTH Get status of CPU and memory
**** Exit the program

Page 144 of 488 Installing software on the CS 1000E
553-3041-210 Standard 4.00 September 2007
.stat health
Local (Side 0, Active, Redundant):
Components without TIER 1 Health contribution:
=================================================
disp 0 15 1:In Service
sio2 0 15 1:In Service
cp 0 16:In Service
ipb 0:In Service
TIER 1 Health Count Breakdown:
=====================================
sio8 0 16 1: 0002
sio8 0 16 2: 0002
sutl 0 15: 0002
strn 0 15: 0002
xsmp 0 15 1: 0002
eth 0 16 0: 0002
Local TIER 1 Health Total: 20

Installing software on the CS 1000E Page 145 of 488
Communication Server 1000E Installation and Configuration
TIER 2 Health Count Breakdown:
=======================================
ELAN 16 IP : 47.11.138.150 Health = 2
ELAN 17 IP : 47.11.138.153 Health = 2
Local AML over ELAN Total Health:4
Local Total IPL Health = 6
IPL connection history:3 3 3 3 3 3 3 3 3 3 3 3 3 3
3 3 3 3 3 3
Local TIER 2 Health Total:10
Remote (Side 1, Inactive, Redundant):
Components without TIER 1 Health contribution:
disp 1 15 1:In Service
sio2 1 15 1:In Service
cp 1 16:In Service
ipb 1:In Service
TIER 1 Health Count Breakdown:
sio8 1 16 1: 0002
sio8 1 16 2: 0002
sutl 1 15: 0002
strn 1 15: 0002
xsmp 1 15 1: 0002
eth 1 16 0: 0002
Remote TIER 1 Health Total: 20

Page 146 of 488 Installing software on the CS 1000E
553-3041-210 Standard 4.00 September 2007
4Get status of links to the Media Gateways (STAT IPL).
End of Procedure
Complete the CP PIV installation
LD 137 modifications
The CMDU/MMDU commands are not applicable to CP PIV. Instead, the
following commands are introduced in LD 137:
•STAT FMD
display text: Status of both Fixed Media Devices (FMD)
command parameter: none
TIER 2 Health Count Breakdown:
=======================================
ELAN 16 IP : 47.11.138.150 Health = 2
ELAN 17 IP : 47.11.138.153 Health = 2
Remote AML over ELAN Total Health:4
Remote Total IPL health = 6
Remote TIER 2 Health Total:10
LD 135
STAT IPL Get status of MG 1000E (IPMG)
Media Gateway 1: LINK UP
Media Gateway 2: LINK UP
Media Gateway 3: LINK UP
Media Gateway 4: LINK UP
**** Exit the program
The system now operates in full redundant mode with
Call Server 1 active.

Installing software on the CS 1000E Page 147 of 488
Communication Server 1000E Installation and Configuration
•STAT FMD
display text: Status of the specified Fixed Media
Device
command parameter: core # with values of 0 or 1
•STAT RMD
display text: Status of both Removable Media Devices
(RMD)
command parameter: none
•STAT RMD
display text: Status of the specified Removable Media
Device
command parameter: “core #” with values of 0 or 1
At this point, it is possible to customize the HSP IP addresses on the HSP
ports. To do this, change the HSP addresses on the active side, and the
addresses are automatically invoked on the inactive side.
For more information, see Communication Server 1000: System Redundancy
(553-3001-307).
Testing the Call Servers
Procedure 29
Testing Call Server 0
At this point in the installation, Call Server 0 is tested from active Call Server 1.
Upon successful completion of these tests, call processing is switched and the
same tests are performed on Call Server 1 from active Call Server 0. As a final
step, call processing is then switched again to Call Server 1.

Page 148 of 488 Installing software on the CS 1000E
553-3041-210 Standard 4.00 September 2007
From active Call Server 1, perform the following tests on Call Server 0:
1Perform a redundancy sanity test:
2Check the LCD states
a. Perform a visual check of the LCDs.
b. Test and LCDs:
c. Check that the LCD display matches the software check.
3Test the System Utility card
4Test system redundancy and media devices:
5Clear the display and minor alarms on both Call Servers:
6Check dial tone.
LD 135
STAT CPU Get status of CPU and memory
TEST CPU Test the CPU
LD 135
TEST LEDs Test LEDs
DSPL ALL
LD 135 Load program
STAT SUTL Get the status of the System Utility card
TEST SUTL Test the System Utility card
LD 137 Load program
TEST RDUN Test redundancy
DATA RDUN Test database integrity
STAT FMD Status of one or both Fixed Media Devices
(FMD)
STAT RMD Status of one or both Removable Media Devices
(RMD)
LD 135 Load program
CDSP Clear the displays on the cores
CMAJ Clear major alarms
CMIN ALL Clear minor alarms

Installing software on the CS 1000E Page 149 of 488
Communication Server 1000E Installation and Configuration
7Check applications (CallPilot, Symposium, and so on)
End of Procedure
Switch call processing
Procedure 30
Switching call processing
End of Procedure
Procedure 31
Testing Call Server 1
From active Call Server 0, perform these tests on Call Server 1:
1Perform a redundancy sanity test:
2Check the LCD states.
a. Perform a visual check of the LCDs.
b. Test LCDs:
c. Check that the LCD display matches the software check.
LD 135 Load program
SCPU Switch call processing from Call Server 1
to Call Server 0
Call Server 0 is now the active call processor.
LD 135 Load program
STAT CPU Get status of CPU and memory
TEST CPU Test the CPU
LD 135 Load program
TEST LCDs Test LCDs
DSPL ALL

Page 150 of 488 Installing software on the CS 1000E
553-3041-210 Standard 4.00 September 2007
3Test the System Utility card:
4Test system redundancy and media devices:
5Clear the display and minor alarms on both Call Servers:
6Check dial tone.
7Check applications (CallPilot, Symposium, etc.)
End of Procedure
LD 135 Load program
STAT SUTL Get the status of the System Utility card
TEST SUTL Test the System Utility card
LD 137 Load program
TEST RDUN Test redundancy
DATA RDUN Test database integrity
STAT FMD Status of one or both Fixed Media Devices
(FMD)
STAT RMD Status of one or both Removable Media Devices
(RMD)
**** Exit the program
LD 135 Load program
CDSP Clear the displays on the Call Servers
CMAJ Clear major alarms
CMIN ALL Clear minor alarms

Installing software on the CS 1000E Page 151 of 488
Communication Server 1000E Installation and Configuration
Switch call processing
Procedure 32
Switching call processing
End of Procedure
Perform a customer backup data dump (installation release)
Procedure 33
Performing a data dump to backup the customer database:
1Log in to the system.
2Insert a CF card into the active Call Server RMD slot to back up the
database.
3Load the Equipment Data Dump Program (LD 43). At the prompt, enter:
4When “EDD000” appears on the terminal, enter:
LD 135 Load program
SCPU Switch call processing from Call Server 0
to Call Server 1
Call Server 1 is now the active call processor.
LD 43 Load program.
.EDD
EDD Begin the data dump.
CAUTION — Service Interruption
Loss of Data
If the data dump is not successful, do not continue;
contact your technical support organization. A data
dump problem must be corrected before proceeding.

Page 153 of 488
Communication Server 1000E Installation and Configuration
168
Connecting MG 1000T system
components
Contents
This section contains information on the following topics:
Introduction . . . . . . . . . . . . . . . . . . . . . . . . . . . . . . . . . . . . . . . . . . . . . . 153
Connecting an MG 1000T Core to a Survivable MG 1000T Expansion 156
Connecting an MG 1000T Core to the ELAN subnet . . . . . . . . . . . . . . 161
Connecting a Signaling Server to the ELAN subnet. . . . . . . . . . . . . . . 162
Connecting a Signaling Server to the TLAN subnet. . . . . . . . . . . . . . . 163
Inserting a Shielded 50-pin to Serial/ELAN/TLAN adapter onto a
Media Card . . . . . . . . . . . . . . . . . . . . . . . . . . . . . . . . . . . . . . . . . . . . . . 163
Connecting a Media Card to the ELAN . . . . . . . . . . . . . . . . . . . . . . . . 165
Connecting a Media Card to the TLAN subnet. . . . . . . . . . . . . . . . . . . 166
Connecting a Media Gateway to a Media Gateway Expansion . . . . . . 166
Introduction
Several system connections are required to make the MG 1000T operational.
The MG 1000T must be connected to the CS 1000E through the TLAN
subnet. The MG 1000T Core is directly connected with a CAT5 cross-over
cable to each of the MG 1000T Expansions. The Media Gateway is directly
connected to the Media Gateway Expander. The system’s components, such

Page 154 of 488 Connecting MG 1000T system components
553-3041-210 Standard 4.00 September 2007
as the Signaling Server and the Media Cards installed in the Media Gateway,
require both ELAN subnet and TLAN subnet connections.
An MG 1000T provides CS 1000E system access to:
•PSTN
• Nortel Integrated DECT (DECT)
• Nortel WLAN IP Telephony
The MG 1000T have sufficient intelligence to handle digit manipulation and
call routing functions without using the resources of the Core Call Server. The
SSC in the MG 1000T Core functions as the Primary Controller for the
MG 1000T. This MG 1000T Core with its MG 1000T Expander provides 8
slots for IPE cards. The additional four Survivable MG 1000T Expansions
with their Media Gateway Expanders provide an additional 32 IPE slots.
They are linked to the MG 1000T Core. This maximum configuration allows
up to 20 E1 interfaces or 40 IPE card slots.
The MG 1000T Expander cannot support PRI/D-Channel type cards. The
MG 1000T Expander are typically used for Media Cards or IPE cards that do
not require Clock Controller support. Voice and signaling connections
between an MG 1000T and a CS 1000E use MCDN and IP Peer Networking
through their associated Signaling Server. The network used to transport
these connections can be engineered so that the gateways can be located
anywhere in a QoS-managed IP network following the engineering
guidelines for IP Peer Networking. For additional information, refer to
IP Peer Networking: Installation and Configuration (553-3001-213).
A Signaling Server provides the software used to provide IP Peer Networking
features between the MG 1000T and the network. The number of Signaling
Servers required will depend upon the capacity and level of redundancy
required. For additional information, refer to Signaling Server: Installation
and Configuration (553-3001-212).
Figure 37 on page 155 is an example of an IP Phone call through an
MG 1000T to the PSTN.

Connecting MG 1000T system components Page 155 of 488
Communication Server 1000E Installation and Configuration
Figure 37
MG 1000T Media Gateway operation
This chapter contains the following procedures:
• Procedure 34: "Connecting the MG 1000T Core to an MG 1000T
Expansion" on page 158.
• Procedure 35: "Connecting an MG 1000T Core to the ELAN subnet"
on page 161.
• Procedure 36: "Connecting a Signaling Server to the ELAN subnet"
on page 162.
• Procedure 37: "Connecting a Signaling Server to the TLAN subnet"
on page 163.
• Procedure 38: "Inserting a Shielded 50-pin to Serial/ELAN/TLAN
adapter on to a Media Card" on page 164.
MG 1000T Example - PRI call to IP Phone
1. Incoming ISDN D-Channel DID message to MG 1000T
2. MG 1000T Core converts to CDP call to Virtual Trunk/SS.
3. MG 1000T SS requests address for CDP DN from NRS.
4. NRS provides address of GW SS endpoint of CS0.
5. Signaling Server directs call to GW SS/CS0.
6. CS0 tells IP Phone to ring and sends Alerting to SSC.
7. IP Phone off-hook to answer; message to TPS SS/CS0.
8. CS0 sends connect to SSC using GW SS and MG 1000T SS.
9. Primary Controller cuts through media between PSTN/DSP and IP Phone
and sends Connect message to PSTN.
10. Media path flows between DSP and IP Phone.
MG 1000T Signaling Server (SS)
MG 1000T Core
PSTN
1
6,9
2,3,4
5,6,8
Signaling Server
(GW SS)
CS 1000E
MG 1000T
Call Server 0
(CS0)
Signaling Server
(TPS SS)
7
6
10 IP Phon
e
Network Redirect
Server (NRS)
QOS IP
WAN

Page 156 of 488 Connecting MG 1000T system components
553-3041-210 Standard 4.00 September 2007
• Procedure 39: "Connecting a Media Card to the ELAN" on page 165.
• Procedure 40: "Connecting a Media Card to the TLAN subnet"
on page 166.
• Procedure 41: "Connecting a Media Gateway to a
Media Gateway Expansion" on page 166.
Connecting an MG 1000T Core to a Survivable
MG 1000T Expansion
Follow Procedure 34 on page 158 to connect the MG 1000T Core to the
Survivable MG 1000T Expansion. The MG 1000T Core can be connected to
a maximum of four MG 1000T Expansions.
Figure 38 on page 157 shows the location of the two NTDK83 Dual Port
Daughterboards with port assignments. The MG 1000T uses
daughterboard # 2.

Connecting MG 1000T system components Page 157 of 488
Communication Server 1000E Installation and Configuration
Figure 38
CS 1000T SSC
Security Device
Software daughterboard
(Factory installed)
100BaseT
IP daughterboard #1
100BaseT
IP daughterboard #2
(Optional)
Port 1
Port 3
Port 2
Port 4
NTDK57AA
(NT_STD)
NTM400
NTDK83 dual port
NTDK83 dual port
Standard or NTTK34AA cross-over cable for ports 3 and 4.
NTDU0606 Ethernet cable for ports 1 and 2.

Page 158 of 488 Connecting MG 1000T system components
553-3041-210 Standard 4.00 September 2007
Procedure 34
Connecting the MG 1000T Core to an MG 1000T Expansion
1Choose one of the following:
a. For point-to-point 100BaseT connectivity, go to step 2.
b. For 100BaseT connectivity over a distributed Campus Data Network,
go to step 9 on page 159.
2For the MG 1000T Core connect port 1 of the SSC 100BaseT
daughterboard #1 to the bulkhead connector #1 shown in Figure 39 on
page 159.
Note 1: If the SSC cable is connected to bulkhead Port 1, then use Port 1
on the back of the Media Gateway. If the SSC cable is connected to
bulkhead Port 2, then use Port 2 on the back of the Media Gateway.
Note 2: Port 1 on the MG 1000T Core must go to MG 1000T
Expansion 1, Port 2 to MG 1000T Expansion 2, and so on.
3Connect the 100BaseT RJ-45 connector 1 on the back of the Media
Gateway to the identical connector on the first Survivable MG 1000T
Expansion, shown in Figure 40 on page 160.
Use the supplied NTTK34AA two-meter UTP CAT5 RJ-45 cross-over
cable to connect the MG 1000T Core and the Survivable MG 1000T
Expansion.
4Connect port 1 of the MG 1000T Expansion 100BaseT daughterboard #2
to the bulkhead connector #1, as shown in Figure 39 on page 159.
5For MG 1000T Expansion 2, connect port 2 of the MG 1000T Core
100BaseT daughterboard #1 to the bulkhead connector #2, shown in
Figure 39 on page 159
6Connect the 100BaseT RJ-45 connector 2 on the back of the Media
Gateway to the 100BaseT RJ-45 connector 1 on the second MG 1000T
Expansion, shown in Figure 40 on page 160.
7Connect port 1 of the MG 1000T Expansion 100BaseT daughterboard #2
to the bulkhead connector #1, as shown in Figure 39 on page 159

Connecting MG 1000T system components Page 159 of 488
Communication Server 1000E Installation and Configuration
8MG 1000T Expansion 3 and 4 network cables (NTDU0609) must be
routed from the 100 BaseT daughterboard through the cable slot on the
side of the MG 1000T Core with one ferrite on the inside of the Media
Gateway and the second ferrite external to the Media Gateway as shown
in Figure 39 on page 159. Connect to MG 1000T Expansion 3 and 4 using
the 100BaseT RJ-45 connector 1 on the back of each Media Gateway.
Note 3: The NTDU0609 crossover cables are connected directly to the
MG 1000T Core 100BaseT Daughterboards for MG 1000T Expansion 3
and 4.
Note 4: The required NTDU0609 crossover cables are contained in the
NTDU19BA Cable Kit.
Figure 39
MG 1000T SLAN subnet cables
9Connect the MG 1000T Core ports, shown in Figure 40 on page 160 to
the data network switch using a CAT5 patch cable.
Note: A customer supplied standard CAT5 cable is required.
100BaseT cable to
MG 1000T
#2
MG 1000T
#3
MG 1000T
#4
MG 1000T #1
Cable slot for NTDU0609 cables
to MG 1000T
Expansion 3 and 4

Page 160 of 488 Connecting MG 1000T system components
553-3041-210 Standard 4.00 September 2007
Figure 40
MG 1000T Core connectors
10 Connect RJ-45 #1 on the MG 1000T Expansion, shown in Figure 40 to the
data network switch.
Figure 41
MG 1000T 100BaseT cable connection
End of Procedure
To Port #1 on daughterboard
To Port #2 on daughterboard
To MG 1000T #2
To MG 1000T #1
Cable from MG 1000T Core
to MG 1000T Expansion

Connecting MG 1000T system components Page 161 of 488
Communication Server 1000E Installation and Configuration
Connecting an MG 1000T Core to the ELAN subnet
Follow Procedure 35 to connect an MG 1000T Core to the ELAN subnet.
Procedure 35
Connecting an MG 1000T Core to the ELAN subnet
1Connect one end of a standard CAT5 cable to the 10/100BaseT ELAN
network interface on the back of the MG 1000T Core as shown in Figure
42.
2Connect the other end of the standard CAT5 cable to an RJ-45 ELAN
network interface on the ELAN Layer 2 switch (BayStack 470-24T).
Figure 42
10/100 BaseT connectors
End of Procedure
1
2
10/100
BASE T
10/100
BASE T

Page 162 of 488 Connecting MG 1000T system components
553-3041-210 Standard 4.00 September 2007
Connecting a Signaling Server to the ELAN subnet
Follow Procedure 36 to connect a Signaling Server to the ELAN subnet.
Procedure 36
Connecting a Signaling Server to the ELAN subnet
1Connect one end of a standard CAT5 cable to the ELAN network interface
(bottom) on the back of the Signaling Server as shown in Figure 43.
2Connect the other end of the standard CAT5 cable to an RJ-45 ELAN
network interface on the ELAN Layer 2 switch (BayStack 470-24T).
Figure 43
Signaling Server ELAN and TLAN network interfaces
End of Procedure
TLAN
ELAN

Connecting MG 1000T system components Page 163 of 488
Communication Server 1000E Installation and Configuration
Connecting a Signaling Server to the TLAN subnet
Follow Procedure 37 to connect a Signaling Server to the TLAN subnet.
Procedure 37
Connecting a Signaling Server to the TLAN subnet
1Connect a standard CAT5 cable to the TLAN network interface connector
(top) RJ-45 jack on the back of the Signaling Server, see Figure 43 on
page 162.
2Connect the other end of the standard CAT5 cable to an RJ-45 TLAN
network interface on the data network switch (BayStack 470-24T).
End of Procedure
Inserting a Shielded 50-pin to Serial/ELAN/TLAN
adapter onto a Media Card
The Shielded 50-pin to Serial/ELAN/TLAN adapter, shown in Figure 44 on
page 164, provides access to the TLAN and ELAN Ethernet Ports. The
adapter breaks out the signals from the I/O connector to the following:
• ELAN (management) network interface
• TLAN (telephony) network interface
• one RS-232 (local console) port

Page 164 of 488 Connecting MG 1000T system components
553-3041-210 Standard 4.00 September 2007
Figure 44
Diagram of the Shielded 50-pin to Serial/ELAN/TLAN adapter
Procedure 38
Inserting a Shielded 50-pin to Serial/ELAN/TLAN adapter on to a
Media Card
1Open the Media Card package NTDU41CA.
2Remove the Shielded 50-pin to Serial/ELAN/TLAN adapter.
3Save the other items from the package for use in “Installing a
CompactFlash” on page 330.
4Insert the adapter, shown in Figure 44, into the connector Card 1, Card 2,
Card 3, or Card 4 that corresponds to the location of the Media Card.
For example, Figure 45 on page 165, the Media Card is installed in card
slot 1. Therefore, the Adaptor is installed in connector Card 1.
End of Procedure
Identification Label
TLAN RJ-45
LAN socket
ELAN RJ-45
LAN socket
RS-232 Connector
Voice Gateway Media Card
maintenance port
50-pin connector

Connecting MG 1000T system components Page 165 of 488
Communication Server 1000E Installation and Configuration
Connecting a Media Card to the ELAN
Follow Procedure 39 to connect a Media Card to the ELAN.
Procedure 39
Connecting a Media Card to the ELAN
1Connect a standard CAT5 patch cable to the ELAN network interface on
the adaptor, see Figure 45.
2Connect the other end of the standard CAT5 patch cable to an RJ-45
ELAN network interface on the BayStack 470 switch.
Figure 45
Shielded 50-pin to Serial/ELAN/TLAN adapter on the Media Gateway
End of Procedure
TLAN ELAN

Page 166 of 488 Connecting MG 1000T system components
553-3041-210 Standard 4.00 September 2007
Connecting a Media Card to the TLAN subnet
Follow Procedure 40 to connect a Media Card to the TLAN subnet.
Procedure 40
Connecting a Media Card to the TLAN subnet
1Connect a standard CAT5 patch cable to the TLAN network interface on
the Adaptor (see Figure 45 on page 165).
2Connect the other end of the standard CAT5 patch cable to an RJ-45
TLAN network interface on the BayStack 470 switch.
End of Procedure
Connecting a Media Gateway to a
Media Gateway Expansion
Procedure 41 describes how to connect a Media Gateway Expander to the
Media Gateway. The Media Gateway Expander Cable Kit (NTDK89)
contains two NTDK95 cables used to connect the Media Gateway Expander
to the Media Gateway. One cable provides DS-30X connectivity while the
second cable provides CE-MUX connectivity to slot 10 only.
Procedure 41
Connecting a Media Gateway to a Media Gateway Expansion
1Connect one NTDK95 cable from the CE-MUX connector on the back of
the Media Gateway to the CE-MUX connector on the back of the Media
Gateway Expander.
2Tighten the screws on the connectors.
3Connect the other NTDK95 cable from the DS-30X connector on the back
of the Media Gateway to the DS-30X connector on the back of the Media
Gateway Expander.
4Tighten the screws on the connectors. Figure 46 on page 167 shows the
Media Gateway and Media Gateway Expander connected with the two
NTDK95 cables.

Page 169 of 488
Communication Server 1000E Installation and Configuration
198
Installing and configuring the Signaling
Server software
Contents
This section contains information on the following topics:
Introduction . . . . . . . . . . . . . . . . . . . . . . . . . . . . . . . . . . . . . . . . . . . . . . 169
Signaling Server Software Install Tool . . . . . . . . . . . . . . . . . . . . . . . . . 169
Signaling Server Software CD-ROM. . . . . . . . . . . . . . . . . . . . . . . . 170
Installing the software . . . . . . . . . . . . . . . . . . . . . . . . . . . . . . . . . . . . . . 172
Logging in to the Signaling Server . . . . . . . . . . . . . . . . . . . . . . . . . . . . 195
Verifying a successful configuration. . . . . . . . . . . . . . . . . . . . . . . . . . . 197
Testing the Leader Signaling Server . . . . . . . . . . . . . . . . . . . . . . . . . . . 197
Introduction
This chapter describes the Signaling Server Install Tool and explains how to
install Signaling Server software and perform basic configuration.
Signaling Server Software Install Tool
The Signaling Server Software Install Tool runs from the Signaling Server
Software CD-ROM. Use this tool to install Signaling Server software.
Note: The Signaling Server is out-of-service during software
installation or upgrade.

Page 170 of 488 Installing and configuring the Signaling Server software
553-3041-210 Standard 4.00 September 2007
To perform a software installation or upgrade, reboot the Signaling Server
with the Software CD-ROM in its drive. No floppy disk is required, since the
Software CD-ROM is bootable.
The Install Tool installs all Signaling Server software, including the operating
system, applications, and web files. The Install Tool also copies software files
for the Voice Gateway Media Cards and IP Phones, which are used to
upgrade these components. For a new installation, the Install Tool prompts
for IP Telephony parameters to perform basic system configuration.
After installing the Signaling Server software and configuring basic
information about the Signaling Server, the Signaling Server components can
be configured using the web-based Element Manager interface. Refer to
Element Manager: System Administration (553-3001-332).
Signaling Server Software CD-ROM
If you do not have the latest version of the CD-ROM:
• Order or download the CD-ROM image from the Nortel Electronic
Software Download site. See Procedure 42 for instructions on
downloading the image.
• Create the Install Tool CD-ROM from the image. See Procedure 43 on
page 171.
A single “.iso” file is provided to create the Software CD-ROM. This file is a
ready-to-burn ISO9660 CD image that creates a bootable CD that complies
to the El Torito specification. You must use CD writer software that can
create a CD from this image. As the CD image is preconfigured, your
software automatically creates a bootable CS 1000 Release 4.5 CD-ROM.
See your software help pages to create a CD from an ISO file. Also review
the associated README file that is associated with the Nortel Signaling
Server Software download.
Procedure 42
Downloading the Signaling Server CD image
1Connect to the Nortel website at www.nortel.com.
2Navigate to the Software Downloads page.

Installing and configuring the Signaling Server software Page 171 of 488
Communication Server 1000E Installation and Configuration
a. Click Software Downloads in the Support & Training menu. The
Technical Support page appears.
b. Click Product Families. The Products Families list appears.
c. Click Succession. The By Product Family page opens.
d. Under the Succession Enterprise > Signaling Server and IP Peer
Networking headings, click Software.
3Download the Signaling Server CD image.
a. Click on the link for the appropriate Signaling Server CD image.
The CD-ROM image includes the Signaling Server software as well
as IP Phone firmware and Voice Gateway Media Card loadware.
b. If not logged in to a My Nortel account, click on Log In to sign in.
Note: If you are not registered to access this web site, refer to the
CS 1000 product bulletin for directions on how to register.
c. The Software: Software Details Information page appears. Click
the link next to File Download.
d. In the Save As window, choose the desired path to save the file to
the local disk on your PC and click Save.
End of Procedure
Procedure 43
Creating a Signaling Server Software CD-ROM
1Use the software option to “burn” or “create” a CD from the CD image. Do
not drag-and-drop, as this can result in a file copy and a CD-ROM that
does not work. Do not write the ISO file to the CD-ROM.
Note: Select the disk-at-once write option.
2Close the session.
3Label the CD appropriately, for example, Signaling Server, sse-x.xx.xx.
End of Procedure
The Software CD-ROM must be readable in a standard CD-ROM drive. After
you create a CD from the CD image, the CD contains several directories and

Page 172 of 488 Installing and configuring the Signaling Server software
553-3041-210 Standard 4.00 September 2007
files. If you cannot create a CD, refer to the CD writer's software
documentation.
Once the CD is created, you can use it to install new software or to upgrade
software on an existing Signaling Server.
Installing the software
Before proceeding, you must complete Procedure 16 on page 111 and
Procedure 17 on page 112.
Procedure 44
Installing the Signaling Server software
After you complete step 1 below, this procedure takes approximately
20 minutes.
1From your Planning and Engineering group, obtain the following network
and IP Telephony data for this Signaling Server:
• node ID for the IP Telephony node
• node IP address for the IP Telephony node
• hostname for the Signaling Server
• ELAN network interface IP address, Subnet mask, and Gateway
• TLAN network interface IP address, Subnet mask, and Gateway
• ELAN network interface IP address of the Call Server
• Primary and Alternate NRS IP addresses for this networked system
(refer to IP Peer Networking: Installation and Configuration
(553-3001-213))
• NRS role, if applicable (refer to IP Peer Networking: Installation and
Configuration (553-3001-213))
2Insert the Software CD-ROM into the Signaling Server CD drive, and
press the RST button on the front panel to cold-reboot the Signaling
Server.
Note: The Software CD-ROM should be bootable. If not, create a boot
floppy using the files in the /mkboot directory on the Signaling Server
Software CD-ROM.

Installing and configuring the Signaling Server software Page 173 of 488
Communication Server 1000E Installation and Configuration
3If this is a re-installation on an existing system, observe the boot
sequence. Enter c at the boot menu shown in Figure 47.
Note: Entering c in the “ISP1100 System Boot” banner screen speeds up
this process, as the keyboard input is buffered.
Figure 47
Upgrade boot sequence
Note: If you do not select c within the ten-second time-out, the Signaling
Server boots to the existing software on the hard disk.
4Enter b at the menu shown in Figure 48 on page 174.
ISP1100 System Boot
Copyright 2002-2004 Nortel Networks, Inc.
CPU: PC PENTIUM
Version: x
BSP version: 1.2/0
Creation date: Apr 22 2004, 15:44:38
ataDrv 1.0: ATAPI Drive Found
Controller 1 drive 0
Controller 1 drive 1
ATAPI Controller 1 #drives found = 1
Read boot parameters from:
[C]DROM
[H]ard Disk
5 [H]

Page 174 of 488 Installing and configuring the Signaling Server software
553-3041-210 Standard 4.00 September 2007
Figure 48
Copy IP configuration
5When the Install Tool banner appears (Figure 49 on page 175), press
<CR> to perform system checks and begin software installation.
CS 1000 Signaling Server Software Install Tool (sse-x.xx.xx)
=====================================================================
Please insert an empty diskette in the floppy drive
to backup the IP configuration.
Please enter:
<CR> -> <a> - Diskette is now in the floppy drive.
Continue.
<b> - Continue without copying IP configuration
<q> - Quit.
Enter Choice>

Installing and configuring the Signaling Server software Page 175 of 488
Communication Server 1000E Installation and Configuration
Figure 49
Install Tool banner screen
Note: If the system has less than 512 MBytes of RAM, the following
error message appears:
WARNING: Your system has less than 512 MB RAM.
In order to run Rls 4 software you must
upgrade RAM to 512 MB and repeat install.
Otherwise serious service problems are likely
Please enter:
<CR> -> <q> - Quit.
<a> - Accept the possible risks and
continue install.
Press <CR> to quit. Upgrade to 512 MBytes of RAM and restart the
Signaling Server Install Tool again.
CS 1000 Signaling Server Software Install Tool (sse-x.xx.xx)
=====================================================================
#####
######### ########
########`` `#############
######## `` `#############
#######` ######```####
####### ######`` `### NORTEL NETWORKS
####### #####`` ####
####### #####` #### Communication Server 1000 Software
`#########` ####`
#######` ##### Copyright 2002 – 2004
`####### #####’
########## `###`
##``########## #
## `########################
`# `########################
###########################``
````````` ````####````
Please press <CR> when ready ... <CR>

Page 176 of 488 Installing and configuring the Signaling Server software
553-3041-210 Standard 4.00 September 2007
The system verifies the file systems.
• When the software runs for the first time on a new system, the hard
disk will not be partitioned, so the test normally fails. Upon failure, the
menu in Figure 50 appears.
Figure 50
First boot of a new system
a. Enter a to start the new installation.
The system displays the messages:
Partitioning hard disk ...
Hard disk partitioning succeeded.
Creating filesystems ...
Filesystems creation succeeded.
Rebooting system ...
b. The Install Tool banner screen (Figure 49 on page 175)
reappears. Press <CR> to verify the filesystems.
The disk check reports:
Filesystems verification succeeded.
c. Confirm or enter the date and time (Figure 51).
CS 1000 Signaling Server Software Install Tool (sse-x.xx.xx)
=====================================================================
The filesystems verification failed! (This is normal for a new
system.)
The hard disk must be (re)partitioned and (re)initialized. This will
erase all data on the hard disk. The system will then reboot and
the Install Tool will restart.
Please enter:
<CR> -> <a> - Partition and initialize the hard disk, then reboot.
Enter Choice> a

Installing and configuring the Signaling Server software Page 177 of 488
Communication Server 1000E Installation and Configuration
Figure 51
Date and time
• When reinstalling the software on an existing system, the system
verifies the file systems. The disk check reports:
Filesystems verification succeeded.
The system summary appears (Figure 52 on page 178). Enter a to
continue the installation.
Note: For a new installation, the data fields in the system summary
are blank.
CS 1000 Signaling Server Software Install Tool (sse-x.xx.xx)
====================================================================
You should ensure the system date and time are correct prior to
installation, since all files copied or created during install will
be time-stamped.
You can press <CR> to accept the current values.
Current date is: WEDNESDAY 16-02-2005
Enter new date (dd mm yyyy): 18 02 2005
Date is set to: FRIDAY 18-02-2005
Current time is: 09:47:18
Enter new time (hh mm ss): 08 38 30
Time is set to: 08:38:30
Current date and time is:
FRIDAY 18-02-2005, 08:38:30

Page 178 of 488 Installing and configuring the Signaling Server software
553-3041-210 Standard 4.00 September 2007
Figure 52
System Summary
6Test the disk.
• If the hard drive has never been tested or is corrupt, enter a at the
menu shown in Figure 53 on page 179.
CS 1000 Signaling Server Software Install Tool (sse-x.xx.xx)
=====================================================================
------------------------------------------
SYSTEM INFORMATION
------------------------------------------
+================================================================+
| Hostname: SS_Node276_Ldr S/W Ver: x.xx.xx |
| |
| Role: Leader Set TPS: Disabled |
| Node ID: Vtrk TPS: Disabled |
| Node IP: NRS Config: Alternate SIP |
| H.323 ID: SS_Node276_Ldr CS IP: |
| ELAN IP: 192.168.10.20 TLAN IP: 192.168.20.20 |
| ELAN SM: 255.255.255.0 TLAN SM: 255.255.255.0 |
| ELAN GW: 192.168.10.1 TLAN GW: 192.168.20.1 |
| ELAN MAC: 00:02:b3:c5:51:c6 TLAN MAC: 00:02:b3:c5:51:c7 |
+================================================================+
Please enter:
<CR> -> <a> - Continue with Install Tool.
<q> - Quit.
Enter Choice>
| |

Installing and configuring the Signaling Server software Page 179 of 488
Communication Server 1000E Installation and Configuration
Figure 53
Hard disk test
• If the hard disk has not recently been tested, enter a at the menu
shown in Figure 54.
Figure 54
Not recently tested
• If the hard disk has been checked in the last 24 hours, enter a at the
menu shown in Figure 55 on page 180.
The Install Tool cannot determine when the hard disk was last tested.
The hard disk must be tested before installation can continue.
This test will take approximately 14 minutes.
Please enter:
<CR> -> <a> - Test the hard disk.
Enter Choice> a
=====================================================================
CS 1000 Signaling Server Software Install Tool (sse-x.xx.xx)
CS 1000 Signaling Server Software Install Tool (sse-x.xx.xx)
=====================================================================
The Install Tool has detected that the hard disk has not been tested
recently.
Enter Choice> a
<b> - Skip the hard disk test.
<CR> -> <a> - Test the hard disk.
Please enter:
approximately 14 minutes.
It is recommended to test the hard disk now. This test will take

Page 180 of 488 Installing and configuring the Signaling Server software
553-3041-210 Standard 4.00 September 2007
Figure 55
Tested within 24 hours
The following messages display on the screen:
Testing hard disk ...
Testing partition /u (4194241 blocks) ...
xxx% complete
Testing partition /p (4194241 blocks) ...
xxx% complete
Hard disk testing succeeded.
Where xxx = 0 to 100.
Note: If the physical check did not pass, contact your technical support
group.
CS 1000 Signaling Server Software Install Tool (sse-x.xx.xx)
=====================================================================
The Install Tool has detected that the hard disk has been tested
recently.
It is recommended to skip the hard disk test. If you select to test
Enter Choice> a
<b> - Test the hard disk.
<CR> -> <a> - Skip the hard disk test.
Please enter:
the hard disk anyway, it will take approximately 14 minutes.

Installing and configuring the Signaling Server software Page 181 of 488
Communication Server 1000E Installation and Configuration
Figure 56
Install Tool Main Menu
7At the Main Menu (Figure 56), enter a to install Signaling Server software.
Option a performs options b, c, d, and e.
The following sample lines display on the screen:
Copying “/cd0/sse37012.p3/disk.sys” to “/u/disk.sys”.
Processing the install control file ...
“/cd0/sse37012.p3/install.dat” parsed.
The screen shown in Figure 57 on page 182 shows actions that can be
performed.
CS 1000 Signaling Server Software Install Tool (sse-x.xx.xx)
=====================================================================
M A I N M E N U
The Install Tool will install Signaling Server software and related
files. You will be prompted throughout the installation.
Please enter:
<CR> -> <a> - To perform a complete installation/upgrade (Signaling
Server s/w, IP Phone f/w, Voice Gateway Media
<b> - To install/upgrade Signaling Server software only.
<c> - To copy IP Phone firmware only.
<d> - To copy Voice Gateway Media Card loadware only.
<e> - To perform basic Signaling Server configuration only.
<t> - To go to the Tools Menu.
<q> - Quit.
Enter Choice>
Card l/w, basic Signaling Server configuration).

Page 182 of 488 Installing and configuring the Signaling Server software
553-3041-210 Standard 4.00 September 2007
Figure 57
Installation Status
8Enter y to start the installation. The screens shown in Figures 58 to 62,
which start on page 185, appear.
CS 1000 Signaling Server Software Install Tool (sse-x.xx.xx)
=====================================================================
---------------------------------------------------
INSTALLATION STATUS SUMMARY
---------------------------------------------------
+=================+========+========+==============================+
| Option | Choice | Status | Comment |
+=================+========+========+==============================+
| software | yes | | new install x.xx.xx |
+-----------------+--------+--------+------------------------------+
| firmware | yes | | copy ALL |
+-----------------+--------+--------+------------------------------+
| loadware | yes | | copy ALL |
+-----------------+--------+--------+------------------------------+
| configuration | yes | | |
+-----------------+--------+--------+------------------------------+
Please enter:
<CR> -> <y> - Yes, start complete installation.
<n> - No, cancel complete installation and return to the Main
Menu.
Enter Choice>

Installing and configuring the Signaling Server software Page 183 of 488
Communication Server 1000E Installation and Configuration
Figure 58
Installation output
Figure 59
Success
CS 1000 Signaling Server Software Install Tool (sse-x.xx.xx)
=====================================================================
You have selected to install version x.xx.xx on the system. As
this is a new install, all necessary directories and files will
be created on the hard disk.
Starting new install of version x.xx.xx.
Initializing protected partition ...
“/p” initialized.
Creating directory ... (many directories are created here) ...
Copying ... (many files are copied here) ...
Boot ROM “/p/load/bootrom.bin” installed.
CS 1000 Signaling Server Software Install Tool (sse-x.xx.xx)
=====================================================================
Software version x.xx.xx was installed successfully.
All files were copied to the hard disk.

Page 184 of 488 Installing and configuring the Signaling Server software
553-3041-210 Standard 4.00 September 2007
Figure 60
IP Phone firmware
Figure 61
Voice Gateway Media Card loadware
The system echoes the ELAN network interface MAC address.
For future reference, the ELAN MAC address is:
“00:02:b3:c5:5l:c6”.
This address is found on the face of the Signaling Server, on the
right-hand side when the bezel door is open.
Note: The ELAN network interface MAC address must be configured in
the Element Manager node configuration web page.
CS 1000 Signaling Server Software Install Tool (sse-x.xx.xx)
=====================================================================
The installation source contains multiple Internet Telephone firmware
files.
Copying /cd0/0603Bxx.bin” to “/u/fw/0603Bxx.bin”.
Copying “/cd0/0602Bxx.bin” to “/u/fw/0602Bxx.bin”.
Copying “/cd0/0604Dxx.bin” to “/u/fw/0604Dxx.bin”.
CS 1000 Signaling Server Software Install Tool (sse-x.xx.xx)
=====================================================================
The installation source contains multiple Voice Gateway Media Card
loadware files.
Copying “/cd0/IPL4xxxx.p2” to “/u/fw/IPL4xxxx.p2”.
Copying “/cd0/IPL4xxxx.sa” to “/u/fw/IPL4xxxx.sa”.

Installing and configuring the Signaling Server software Page 185 of 488
Communication Server 1000E Installation and Configuration
9Configure the Signaling Server as Leader or Follower. See Figure 62.
• If there is not already a Leader Signaling Server in the IP Telephony
node, or if the Signaling Server is to be a stand-alone Signaling
Server, enter a at the prompt to configure this Signaling Server as
Leader.
• If there is already a Leader Signaling Server in the IP Telephony
node, enter b at the prompt to set this Signaling Server as Follower.
Then go to step 13 on page 189.
For more information about Leader and Follower Signaling Servers, see
IP Line: Description, Installation, and Operation (553-3001-365).
Figure 62
Leader/Follower Signaling Server configuration
Please select the role of this Signaling Server.
If this Signaling Server will be a Leader then its data networking
and IP Telephony parameters must be entered now. (This will pre-
configure the IP Telephony node files.)
If this Signaling Server will be a Follower then its data networking
and IP Telephony parameters must be configured through Element
Manager later.
Please enter:
<CR> -> <a> - Set this Signaling Server as a Leader.
<b> - Set this Signaling Server as a Follower.
<q> - Quit.
Enter Choice>
=====================================================================
CS 1000 Signaling Server Software Install Tool (sse-x.xx.xx)
Note: This step will over-write all existing configuration parameters
on this Signaling Server.

Page 186 of 488 Installing and configuring the Signaling Server software
553-3041-210 Standard 4.00 September 2007
10 Configure the application configuration for this Signaling Server. See
Figure 63.
• If the Set TPS, Virtual Trunk TPS, and optional Network Routing
Service (NRS) applications are to be enabled on this Signaling
Server, enter a at the prompt to configure this Signaling Server as a
co-resident Signaling Server.
• If only the NRS is to be enabled on this Signaling Server:
— If this Signaling Server is to be associated with a Call Server,
enter a at the prompt to configure this Signaling Server as a
co-resident Signaling Server. After you finished installing the
Signaling Server software, you can disable the Set TPS and
Virtual Trunk TPS in Element Manager (refer to
Element Manager: System Administration (553-3001-332)).
— If this Signaling Server is not to be associated with a Call Server,
enter b at the prompt to set this Signaling Server as a
stand-alone Signaling Server.
Figure 63
Application configuration
Please enter:
<CR> -> <a> - Co-resident (LTPS + VTRK + NRS).
<b> - Stand-alone (NRS only - no Call Server).
<q> - Quit.
Enter Choice>
=====================================================================
CS 1000 Signaling Server Software Install Tool (sse-x.xx.xx)
Please select the application configuration for this Signaling Server.

Installing and configuring the Signaling Server software Page 187 of 488
Communication Server 1000E Installation and Configuration
11 Select the Network Routing Service (NRS) to be provided by this
Signaling Server. See Figure 64 for a co-resident Signaling Server or
Figure 65 on page 188 for a stand-alone Signaling Server.
• Enter a if this Signaling Server will provide an H.323 Gatekeeper and
a SIP Redirect/Proxy Server.
• Enter b if this Signaling Server will provide only an
H.323 Gatekeeper.
• Enter c if this Signaling Server will provide only a SIP Redirect/Proxy
Server.
• Enter d if this Signaling Server is a Leader Signaling Server and will
not provide an NRS. Go to step 13 on page 189.
Refer to IP Peer Networking: Installation and Configuration
(553-3001-213) for more information on the NRS.
Figure 64
Network Routing Service (NRS) — co-resident Signaling Server
CS 1000 Signaling Server Software Install Tool (sse-x.xx.xx)
=====================================================================
Please select the Network Routing Service (NRS) configuration for this
Signaling Server.
Please enter:
<CR> -> <a> - H.323 Gatekeeper and SIP Redirect/Proxy Server.
<b> - H.323 Gatekeeper only.
<c> - SIP Redirect/Proxy Server only.
<d> - None.
Enter Choice>

Page 188 of 488 Installing and configuring the Signaling Server software
553-3041-210 Standard 4.00 September 2007
Figure 65
Network Routing Service (NRS) — stand-alone Signaling Server
12 Select the type of NRS to be provided by this Signaling Server. See
Figure 66 for a co-resident Signaling Server. See Figure 67 on page 189
for a stand-alone Signaling Server.
• If this Signaling Server is to be the Primary NRS, enter a.
• If this Signaling Server is to be the Alternate NRS, enter b.
• If this Signaling Server is not a stand-alone Signaling Server and is
to be the Failsafe NRS, enter c.
Refer to IP Peer Networking: Installation and Configuration
(553-3001-213) for more information on the NRS.
Figure 66
NRS type — co-resident Signaling Server
CS 1000 Signaling Server Software Install Tool (sse-x.xx.xx)
=====================================================================
Please select the Network Routing Service (NRS) configuration for this
Signaling Server.
Please enter:
<CR> -> <a> - H.323 Gatekeeper and SIP Redirect/Proxy Server.
<b> - H.323 Gatekeeper only.
<c> - SIP Redirect/Proxy Server only.
Enter Choice>
CS 1000 Signaling Server Software Install Tool (sse-x.xx.xx)
=====================================================================
Please select the type of Network Routing Service (NRS) for this
Signaling Server.
Please enter:
<CR> -> <a> - Primary.
<b> - Alternate.
<c> - Failsafe.
Enter Choice>

Installing and configuring the Signaling Server software Page 189 of 488
Communication Server 1000E Installation and Configuration
Figure 67
NRS type — stand-alone Signaling Server
13 Enter the data networking and IP telephony parameters for the Signaling
Server, as prompted.
• If this is a Leader Signaling Server, enter the parameters for the
Node, ELAN network interface, TLAN network interface, and Call
Server as required. See Figure 68 on page 190. For the Call Server:
— If installing the Signaling Server at an office that is not a branch
office, enter the ELAN network interface IP address of the Call
Server.
— If installing the Signaling Server at a branch office, enter the
ELAN network interface IP address of the MG 1000B Core.
• If this is a Follower Signaling Server, enter the Hostname of the
Leader Signaling Server. See Figure 69 on page 190. Then go to
step 15 on page 192.
• If this is a stand-alone Signaling Server and not associated with a
Call Server (that is, b was selected in step 10 on page 186), enter the
TLAN subnet parameters as required. The Call Server IP address is
automatically set to 0.0.0.0. See Figure 70 on page 191. Then go to
step 14 on page 191.
The IP information applies to a temporary IP Telephony node.
Note: IP addresses shown in Figure 68, Figure 69 on page 190, and
Figure 70 on page 191 are examples.
CS 1000 Signaling Server Software Install Tool (sse-x.xx.xx)
=====================================================================
Please select the type of Network Routing Service (NRS) for this
Signaling Server.
Please enter:
<CR> -> <a> - Primary.
<b> - Alternate.
Enter Choice>

Page 190 of 488 Installing and configuring the Signaling Server software
553-3041-210 Standard 4.00 September 2007
Figure 68
Leader Signaling Server configuration
Figure 69
Follower Signaling Server configuration
CS 1000 Signaling Server Software Install Tool (sse-x.xx.xx)
=====================================================================
Please enter the data networking and IP Telephony parameters for
this Leader Signaling Server.
Node ID : 276
Hostname : SS_Node276_Ldr
ELAN IP : 192.168.10.20
ELAN subnet mask: 255.255.255.0
ELAN gateway IP : 192.168.10.1
TLAN IP : 192.168.20.20
TLAN subnet mask: 255.255.255.0
TLAN gateway IP : 192.168.20.1
Node IP : 192.168.10.20
Call Server IP : 192.168.10.10
CS 1000 Signaling Server Software Install Tool (sse-x.xx.xx)
======================================================================
=
This Follower Signaling Server will obtain its data network and IP
telephony configuration from the Leader Signaling Server at boot.
To identify this Signaling Server, please enter a Hostname.
Hostname : SS_Node276_Ldr

Installing and configuring the Signaling Server software Page 191 of 488
Communication Server 1000E Installation and Configuration
Figure 70
Stand-alone Signaling Server configuration
14 Enter the Primary NRS IP address or the Alternate NRS IP address,
depending on the option entered in step 11 on page 187 or step 12 on
page 188.
•If b was entered in step 12, enter the address of the Primary NRS.
See Figure 71 on page 192.
•f a was entered in step 12, you can enter the address of the Alternate
NRS if you know it, but it is not required. See Figure 72 on page 192.
•If c was entered in step 12:
— Enter the address of the Primary NRS. See Figure 71.
— Enter the address of the Alternate NRS. See Figure 72.
•If d was entered in step 11:
— Enter the address of the Primary NRS (optional). See Figure 71.
— If you did enter the address of the Primary NRS, enter the
address of the Alternate NRS (also optional). See Figure 72.
The Gatekeeper configuration can be updated later using Element
Manager.
CS 1000 Signaling Server Software Install Tool (sse-x.xx.xx)
=====================================================================
Please define the data networking parameters for this Standalone
Signaling Server. Note that the ELAN parameters are necessary for
Hostname : SS_SA
TLAN IP : 192.168.20.20
TLAN subnet mask: 255.255.255.0
TLAN gateway IP : 192.168.20.1
management access (e.g. SNMP).
ELAN IP : 192.168.10.20
ELAN subnet mask: 255.255.255.0
ELAN gateway IP : 192.168.10.1

Page 192 of 488 Installing and configuring the Signaling Server software
553-3041-210 Standard 4.00 September 2007
Figure 71
Primary NRS IP address
Figure 72
Alternate NRS IP address
15 Enter y to confirm the parameters. See Figure 73 on page 193.
The example in Figure 73 is for a Leader Signaling Server configured with
an Alternate H.323 and SIP NRS. The confirmation screens for a Follower
and stand-alone Signaling Server are similar, showing the same list of
parameters, specifically:
• The screen for the Follower Signaling Server displays only the value
for the Hostname parameter; all other values are blank.
• The screen for the stand-alone Signaling Server displays values for
the Hostname, ELAN network interface, TLAN network interface, and
NRS parameters. The Node ID field is set to 0. The Call Server IP
field is set to 0.0.0.0.
CS 1000 Signaling Server Software Install Tool (sse-x.xx.xx)
=====================================================================
Please enter the Primary NRS IP Address:
Primary NRS IP :
CS 1000 Signaling Server Software Install Tool (sse-x.xx.xx)
=====================================================================
Please enter the Alternate NRS IP Address:
Alternate NRS IP :

Installing and configuring the Signaling Server software Page 193 of 488
Communication Server 1000E Installation and Configuration
Figure 73
IP Telephony parameter configuration
The system echoes the ELAN network interface MAC address.
For future reference, the ELAN MAC address is:
“00:02:b3:c5:5l:c6”.
This address is on the face of the Signaling Server, on the right side when
the bezel door is open.
Note: The ELAN network interface MAC address must be configured in
the Element Manager node configuration web page.
16 To complete the installation, the Installation Status Summary screen
appears as shown in Figure 74 on page 194.
CS 1000 Signaling Server Software Install Tool (sse-x.xx.xx)
=====================================================================
You have entered the following parameters for this Leader
Signaling Server:
Node ID : 276
Hostname : SS_Node276_Ldr
ELAN IP : 192.168.20.100
ELAN subnet mask: 255.255.255.0
ELAN gateway IP : 192.168.10.1
TLAN IP : 192.168.20.20
TLAN subnet mask: 255.255.255.0
TLAN gateway IP : 192.168.20.1
Node IP : 192.168.20.100
Call Server IP : 192.168.10.10
NRS configuration: Alternate GK + SIP
Primary NRS IP : 192.168.20.10
Alternate NRS IP : 192.168.20.24
Please enter:
<CR> -> <y> - Yes, these parameters are correct.
<n> - No, these parameters are not correct.
Enter Choice>

Page 194 of 488 Installing and configuring the Signaling Server software
553-3041-210 Standard 4.00 September 2007
Figure 74
Installation Status Summary
17 Press <CR> to exit to the Main Menu (see Figure 56 on page 181). Enter
q at the Main Menu to quit the installation process. Figure 75 on page 195
appears. Enter q again.
---------------------------------------------------
INSTALLATION STATUS SUMMARY
---------------------------------------------------
+=================+========+========+==============================+
| Option | Choice | Status | Comment |
+=================+========+========+==============================+
| software | yes | ok | new install/upgrade x.xx.xx |
+-----------------+--------+--------+------------------------------+
| firmware | yes | ok | copy i2002 version 1.xx |
| firmware | yes | ok | copy i2004 version 1.xx |
+-----------------+--------+--------+------------------------------+
| loadware | yes | ok | copy IP Line x.xx.xx for P2 |
| loadware | yes | ok | copy IP Line x.xx.xx for SA |
+-----------------+--------+--------+------------------------------+
| configuration | yes | ok | set as Leader/Follower |
+-----------------+--------+--------+------------------------------+
Please press <CR> when ready ...
CS 1000 Signaling Server Software Install Tool (sse-x.xx.xx)
=====================================================================
| | | | version x.xx |
| firmware | yes | ok | copy PhaseII IP Firmware |

Installing and configuring the Signaling Server software Page 195 of 488
Communication Server 1000E Installation and Configuration
Figure 75
Quit
18 Remove the CD-ROM from the drive and reboot the system.
Note: After software installation and reboot, a Follower Signaling Server
sends out BOOTP requests and waits for a response. Since the Follower
Signaling Server is not yet configured in an IP Telephony node, there is
no BOOTP response. For more information see Signaling Server:
Installation and Configuration (553-3001-212).
End of Procedure
Use Element Manager to install the Follower Signaling Server in the
IP Telephony node.
Logging in to the Signaling Server
Use Procedure 45 on page 196 to log in to the vxWorksTM shell to access the
Signaling Server from a maintenance terminal.
CS 1000 Signaling Server Software Install Tool (sse-x.xx.xx)
=====================================================================
You have selected to quit the Install Tool.
Before quitting and rebooting the system, remove all disks (floppy,
CDROM) from the drives.
Please enter:
<CR> -> <m> - Return to previous menu.
<q> - Quit and reboot the system.
Enter Choice> q

Page 196 of 488 Installing and configuring the Signaling Server software
553-3041-210 Standard 4.00 September 2007
Procedure 45
Logging in to the Signaling Server
Before you begin, make sure the DTE–DTE null modem cable (supplied with
the Signaling Server) runs between the serial port on the back of the Signaling
Server and the maintenance terminal.
1Make sure the Signaling Server is powered up and connected to the
maintenance terminal.
The Signaling Server must boot successfully before the user can log in.
2Press <CR> to invoke the login prompt.
3Enter the login credentials.
Note: If the Signaling Server has connected to the Call Server (the
startup messages indicate if the PBX link is up), use the PWD1 login to
access the Signaling Server.
a. Enter the default Signaling Server Command Line Interface (CLI)
login admin.
b. Enter the Signaling Server Command Line Interface (CLI) password.
• If this Signaling Server has just been installed and you are
logging in for the first time, enter the default password
cseadmin.
The system immediately prompts you to change the default
password.
• If this is not the first login to the Signaling Server, enter the
appropriate password.
If you have forgotten the password, reset it from the Tools Menu
(see Signaling Server: Installation and Configuration
(553-3001-212).
End of Procedure
To log out of the Signaling Server, enter exit at the command line.

Installing and configuring the Signaling Server software Page 197 of 488
Communication Server 1000E Installation and Configuration
Verifying a successful configuration
To ensure that the Signaling Server Ethernet connections (for the ELAN and
TLAN subnets) are configured correctly, perform a ping test to one or more
of the other devices connected to the network, particularly the Call Server.
Procedure 46
Verifying the Signaling Server Ethernet connection
1Log in to the Signaling Server, using Procedure 45 on page 196.
2Ping the IP address of the Signaling Server. Enter the command:
ping x.x.x.x
Where x.x.x.x is the Signaling Server ELAN network interface IP
address.
3Ping the IP address of the Call Server. Enter the command:
ping x.x.x.x,3
Where x.x.x.x is the Call Server ELAN network interface IP address.
4If desired, repeat step 3 for other devices connected to the network.
End of Procedure
Testing the Leader Signaling Server
Configure two IP Phones to register to the Signaling Server on its temporary
node. These IP Phones must be provisioned on the Call Server.

Page 199 of 488
Communication Server 1000E Installation and Configuration
224
Configuring the CS 1000E Call Server
Contents
This section contains information on the following topics:
Introduction . . . . . . . . . . . . . . . . . . . . . . . . . . . . . . . . . . . . . . . . . . . . . . 200
Enabling the Login Name option . . . . . . . . . . . . . . . . . . . . . . . . . . . . . 201
Configuring login IDs and passwords. . . . . . . . . . . . . . . . . . . . . . . . . . 202
Enabling the multi-user option . . . . . . . . . . . . . . . . . . . . . . . . . . . . . . . 206
Configuring pseudo-terminals (PTYs) . . . . . . . . . . . . . . . . . . . . . . . . . 207
Checking PTY status. . . . . . . . . . . . . . . . . . . . . . . . . . . . . . . . . . . . . . . 209
Configuring Virtual Tone and Conference Circuits . . . . . . . . . . . . . . . 210
Configuring the MG 1000E Bandwidth Management Zones . . . . . . . . 211
Configuring the MG 1000E ports . . . . . . . . . . . . . . . . . . . . . . . . . . . . . 213
Configuring Digitone Receivers . . . . . . . . . . . . . . . . . . . . . . . . . . . . . . 214
Configuring Tone Detectors . . . . . . . . . . . . . . . . . . . . . . . . . . . . . . . . . 215
Logging in to Element Manager . . . . . . . . . . . . . . . . . . . . . . . . . . . . . . 216
Importing preconfigured IP telephony files . . . . . . . . . . . . . . . . . . . . . 219
Reviewing and submitting IP telephony node configuration files . . . . 221
Adding a Follower Signaling Server to an IP telephony node . . . . . . . 221
Performing a datadump . . . . . . . . . . . . . . . . . . . . . . . . . . . . . . . . . . . . . 221

Page 200 of 488 Configuring the CS 1000E Call Server
553-3041-210 Standard 4.00 September 2007
Introduction
The CS 1000E system requires the configuration of an IP telephony node.
The configuration data is stored in the BOOTP.TAB and CONFIG.INI files
on the CS 1000E. Copies of both files are maintained on each node
component (Signaling Server and Media Card).
The preconfigured IP telephony configuration files from the leader Signaling
Server must be imported. These files are saved on the CS 1000E as:
• c:/u/db/node/nodex.cfg where x is the node number
• c:/u/db/node/nodex.btp where x is the node number
The node database files are backed up along with the customer database using
the LD 43 EDD command.
This chapter contains the following procedures:
• Procedure 47: "Enabling the Login Name option" on page 201
• Procedure 48: "Configuring login IDs and passwords" on page 203
• Procedure 49: "Enabling the multi-user option" on page 206
• Procedure 50: "Configuring pseudo-terminals (PTYs)" on page 207
• Procedure 51: "Checking PTY status" on page 209
• Procedure 52: "Configuring MG 1000E Bandwidth Management Zone"
on page 211
• Procedure 53: "Launching Element Manager" on page 216
• Procedure 54: "Importing an existing node" on page 219
• Procedure 55: "Performing a datadump using Element Manager"
on page 221
IMPORTANT!
Do not attempt to alter the configuration files either manually or with
OTM’s ITG or IP Phone management. Use Element Manager only.

Configuring the CS 1000E Call Server Page 201 of 488
Communication Server 1000E Installation and Configuration
Enabling the Login Name option
Follow Procedure 47 to enable the Login Name option.
Procedure 47
Enabling the Login Name option
1Log in to the CS 1000E.
a. Enter the command:
LOGI
b. Enter PASS? <xxxx>
Where:
<xxxx> = password for the system
System response:
WARNING: THE PROGRAMS AND DATA STORED ON THIS SYSTEM
ARE LICENSED TO OR ARE THE PROPERTY OF Nortel AND
ARE LAWFULLY AVAILABLE ONLY TO AUTHORIZED USERS FOR
APPROVED PURPOSES. UNAUTHORIZED ACCESS TO ANY
PROGRAM OR DATA ON SYSTEM IS NOT PERMITTED. THIS
SYSTEM MAY BE MONITORED AT ANY TIME FOR OPERATIONAL
REASONS. THEREFORE, IF YOU ARE NOT AN AUTHORIZED
USER, DO NOT ATTEMPT TO LOGIN.
TTY #00 LOGGED IN ADMIN2 16:17 22/10/2002
2Enter the command:
LD 17
System response:
CFN000
MEM AVAIL: (U/P): 1015918 USED U P: 138773 24956
TOT:1179647
DISK RECS AVAIL: 486
TMDI D-CHANNELS AVAIL: 0 USED: 0 TOT: 0
DCH AVAIL: 80 USED: 0 TOT: 80
AML AVAIL: 15 USED: 1 TOT: 16
3Enter the command:
CHG

Page 202 of 488 Configuring the CS 1000E Call Server
553-3041-210 Standard 4.00 September 2007
4Enter the command:
TYPE PWD
5Enter the command:
PWD2 <xxxx>
Where:
<xxxx> = your current level 2 password
6Enter the command:
LNAME_OPTION YES
System response:
DEFAULT LOGIN NAMES SAVED
MEM AVAIL: (U/P): 1015893 USED U P: 138773 24981
TOT: 1179647
DISK RECS AVAIL: 486
TMDI D-CHANNELS AVAIL: 0 USED: 0 TOT: 0
DCH AVAIL: 80 USED: 0 TOT: 80
AML AVAIL: 15 USED: 1 TOT: 16
7Enter the command:
REQ ****
End of Procedure
Configuring login IDs and passwords
For increased security:
• Change the default login username and password.
The default login is username admin1 and password 0000, as used
throughout this guide.
• Configure the Limited Access Password (LAPW) IDs and passwords.

Configuring the CS 1000E Call Server Page 203 of 488
Communication Server 1000E Installation and Configuration
Follow Procedure 48 to configure login IDs and passwords.
Procedure 48
Configuring login IDs and passwords
1Enter the command:
LD 17
CFN000
MEM AVAIL: (U/P): 1015918 USED U P: 138773 24956
TOT:1179647
DISK RECS AVAIL: 486
TMDI D-CHANNELS AVAIL: 0 USED: 0 TOT: 0
DCH AVAIL: 80 USED: 0 TOT: 80
AML AVAIL: 15 USED: 1 TOT: 16
2Enter the command:
REQ CHG
3Enter the command:
TYPE PWD
4Enter the command:
PWD2 <xxxx>
Where:
<xxxx> = your current level 2 password
5Enter the command:
LNAME_OPTION
6Enter the command:
NPW1 <xxxx>
OR
<cr> for no change
Where
<xxxx> = new PWD1 password
7Enter the command:
LOGIN_NAME <xxxx>

Page 204 of 488 Configuring the CS 1000E Call Server
553-3041-210 Standard 4.00 September 2007
OR
<cr> for no change
Where:
<xxxx> = new PWD1 login name
8Enter the command:
NPW2 <xxxx>
OR
<cr> for no change
Where:
<xxxx> = new PWD2 password
9Enter the command:
LOGIN_NAME <xxxx>
OR
<cr> for no change
Where:
<xxxx> = new PWD2 login name
10 Enter the command:
LAPW <nn>
Where:
<nn> = new or changed LAPW password number (0-99)
11 Enter the command:
PWTP ovly
12 Enter the command:
PWnn <xxxx>
Where:
<xxxx> = LAPW nn password
13 Enter the command:
LOGIN_NAME <xxxx>

Configuring the CS 1000E Call Server Page 205 of 488
Communication Server 1000E Installation and Configuration
Where:
<xxxx> = LAPW nn login name
14 Enter the command:
OVLA <xx>
Where:
<xx> = all or the list of overlays allowed
15 Enter the command:
CUST <xx>
Where:
<xx> = all or the list of customers allowed
16 Enter the command:
MAT YES
17 Enter the command:
MAT_READ_ONLY NO
System response:
MEM AVAIL: (U/P): 1015893 USED U P: 138773 24981
TOT: 1179647
DISK RECS AVAIL: 486
TMDI D-CHANNELS AVAIL: 0 USED: 0 TOT: 0
DCH AVAIL: 80 USED: 0 TOT: 80
AML AVAIL: 15 USED: 1 TOT: 16
18 Enter the command:
REQ ****
End of Procedure

Page 206 of 488 Configuring the CS 1000E Call Server
553-3041-210 Standard 4.00 September 2007
Enabling the multi-user option
Follow Procedure 49 to enable the multi-user option.
Procedure 49
Enabling the multi-user option
1Enter the command:
LD 17
System response:
CFN000
MEM AVAIL: (U/P): 1015918 USED U P: 138773 24956
TOT: 1179647
DISK RECS AVAIL: 486
TMDI D-CHANNELS AVAIL: 0 USED: 0 TOT: 0
DCH AVAIL: 80 USED: 0 TOT: 80
AML AVAIL: 15 USED: 1 TOT: 16
2Enter the command:
REQ chg
3Enter the command:
TYPE ovly
....
4Enter the command:
MULTI_USER on
System response:
MEM AVAIL: (U/P): 1015893 USED U P: 138773 24981
TOT: 1179647
DISK RECS AVAIL: 486
TMDI D-CHANNELS AVAIL: 0 USED: 0 TOT: 0
DCH AVAIL: 80 USED: 0 TOT: 80
AML AVAIL: 15 USED: 1 TOT: 16
5Enter the command:
REQ ****
End of Procedure

Configuring the CS 1000E Call Server Page 207 of 488
Communication Server 1000E Installation and Configuration
Configuring pseudo-terminals (PTYs)
CS 1000E provides two ports (COM1 and COM2) on the CPU. A Terminal
Server is used to provide additional serial ports for specific applications, such
as ACD, BGD, CTY, MCT, PMS, and TRF. Each configured Terminal
Server serial port automatically starts an rlogin session with a user ID to a
dedicated pseudo (PTY) port in the CS 1000E system. Nortel recommends
configuring at least two PTYs for general use (rlogin sessions with no user
ID). In practice, a maximum of 14 PTYs can be used, leaving 2 TTYs for
COM1 and COM2 on the CPU card. Login to PTY is case sensitive.
Every PTY configured is given a user ID "PTYx", where x is the port number
assigned to the PORT prompt. If no input is entered for the PORT prompt, the
default value is the same as the TTY number. Nortel recommends using the
default value for easy management. When an rlogin session is initiated with
a user ID, the Call Server searches for a free PTY with a matching user ID.
The search starts with the highest configured PTY number and progresses in
descending order of the PTY number. If no free PTY with a matching user ID
is found, the connection is refused. In this case, TTY012 message is printed
on the administration terminal. When an rlogin session is initiated with no
user ID specified, the Call Server searches for a free PTY. The search starts
from the lowest configured PTY number and progresses in ascending order
of the PTY number. The first available PTY is used to open the rlogin session.
In order to minimize the probability of having a PTY configured for a specific
application being used for general rlogin sessions, PTYs of specific
applications are configured to start with the highest TTY number, such as 15,
and progress in descending order. PTYs for general use are configured to start
with the lowest number and progress in ascending order.
Follow Procedure 50 to configure pseudo-terminals.
Procedure 50
Configuring pseudo-terminals (PTYs)
Nortel recommends that at least two PTYs be configured. A maximum of four
PTYs can be allocated on a CS 1000E system.
1Enter the command:
LD 17

Page 208 of 488 Configuring the CS 1000E Call Server
553-3041-210 Standard 4.00 September 2007
System response:
CFN000
MEM AVAIL:(U/P):1019254 USED U P:138012 22381
TOT:1179647
DISK RECS AVAIL: 491
TMDI D-CHANNELS AVAIL: 0 USED: 0 TOT: 0
DCH AVAIL: 80 USED: 0 TOT: 80
AML AVAIL: 15 USED: 1 TOT: 16
2Enter the command:
REQ CHG
3Enter the command:
TYPE CFN
4Enter the command:
ADAN NEW TTY <x>
Where:
<x> = an available TTY number (0-15)
5Enter the command:
TTY_TYPE PTY
6Enter the command:
PORT <y>
Where:
<y> = an available PTY port (0-7)
7Enter the command:
DES <z>
Where:
<z> = designator (for example, “““ether 1”)
8Enter the command:
FLOW NO
9Enter the command:
USER MTC BUG SCH

Configuring the CS 1000E Call Server Page 209 of 488
Communication Server 1000E Installation and Configuration
10 Enter the command:
TTYLOG NO
11 Enter the command:
BANR YES
System response:
MEM AVAIL: (U/P):1019130 USED U P: 138064 22453
TOT: 3555327
DISK RECS AVAIL: 491
TMDI D-CHANNELS AVAIL: 0 USED: 0 TOT: 0
DCH AVAIL: 80 USED: 0 TOT: 80
AML AVAIL: 15 USED: 1 TOT: 16
ADAN DATA SAVED
12 Enter the command:
ADAN ****
End of Procedure
Checking PTY status
Follow Procedure 51 to check the PTY status.
Procedure 51
Checking PTY status
Pseudo-terminals show enabled only if you are using them.
1Enter the command:
LD 37
2Enter the command:
STAT
System response:
TTY 0: ENBL DES: ...
TTY 1: ENBL DES: ...
TTY 2: ENBL DES: ...
TTY 3: ENBL DES: ...
TTY 12: DSBL DES: ether 1

Page 210 of 488 Configuring the CS 1000E Call Server
553-3041-210 Standard 4.00 September 2007
TTY 13: DSBL DES: ether 2
TTY 14: DSBL DES: ether 3
3Enter the command:
****
4Perform an EDD to save your changes.
End of Procedure
Configuring Virtual Tone and Conference Circuits
Virtual Tone and Conference Circuits must be defined for use by each
MG 1000E. Use LD 17 to add Virtual Tone and Conference circuits (VXCT).
Each VXCT consists of two loops. The VXCT must start with an even loop
number. The Virtual Tone and Conference Circuits in the same MG 1000E
must occupy contiguous double loops. For easy management, Nortel
recommends to start the VXCT loops from a loop number high enough (for
example, 60) to leave enough superloop number for all MG 1000E
superloops. If an MG 1000E has two Virtual Tone and Conference Circuits
and the starting loop is 60, VXCTs 60 and 62 must be configured.
LD 17 – Add Virtual Tone and Conference loops.
Prompt Response Comment
REQ CHG Change existing data
TYPE CEQU Common Equipment
... ...
VXCT x...x Add a Virtual Tone and Conference Circuit. Where:
x...x = 0, 2, 6, ... 158
It is recommended that Virtual Tone and Conference loops
start as a multiple of 4 and be configured as even loops
thereafter, i.e. 60, 62, 64, 66. Virtual Tone and Conference
loops in the same MG 1000E must occupy adjacent double
loops.

Configuring the CS 1000E Call Server Page 211 of 488
Communication Server 1000E Installation and Configuration
Configuring the MG 1000E Bandwidth Management Zones
Follow Procedure 52 for configuring bandwidth management zones.
Procedure 52
Configuring MG 1000E Bandwidth Management Zone
1Enter LD 117 and press <cr>.
2Enter NEW ZONE 0, to create a new zone with default parameters.
Note: LD 117 also includes DIS and ENL commands to disable or enable
a zone. When you create a zone, its default state is enabled. See LD 117
– Bandwidth management zone commands on page 212.
3Print zone and bandwidth information using PRT INTRAZONE or PRT
INTERZONE.
4Exit from LD 117 by entering the command: ****

Page 212 of 488 Configuring the CS 1000E Call Server
553-3041-210 Standard 4.00 September 2007
End of Procedure
LD 117 – Bandwidth management zone commands
Command Description
NEW ZONE xxx p1 p2 p3 p4 p5 Create a new zone, where:
xxx = zone number = (0) - 255.
p1 = Intrazone available bandwidth
= 0 - (10 000) - 100 000 (Kbps)
p2 = Intrazone preferred strategy
= (BQ for Best Quality) or BB for Best Bandwidth
p3 = Interzone available bandwidth
= 0 - (10 000) - 100 000 (Kbps)
p4 = Interzone preferred strategy
= BQ for Best Quality or BB for Best Bandwidth
p5 = Zone resource type
= (shared) or private
NEW ZONE xxx Create a new zone with default values for the parameters:
p1 = 10 000 (Kbps)
p2 = BQ
p3 = 10 000 (Kbps)
p4 = BQ
p5 = shared
CHG ZONE xxx p1 p2 p3 p4 p5 Change parameters of a zone. All parameters, including
those that are unchanged, must be re-entered.
OUT ZONE xxx Remove a zone.
DIS ZONE xxx Disable a zone. When a zone is disabled, no new calls are
established inside, from, or toward this zone.
ENL ZONE xxx Enable a zone.
PRT ZONE xxx Print zone and bandwidth information.

Configuring the CS 1000E Call Server Page 213 of 488
Communication Server 1000E Installation and Configuration
The type of any Bandwidth Management Zone for MG 1000E with
conference resources configured must be shared.
Distortion in Music is expected when G.729AB codec is used. Hence the
Interzone and the Intrazone policies for an MG 1000E Bandwidth
Management Zone should have Best Quality to give preference to G711
codec to minimize of occurrence of music distortion.
Ensure that the bandwidth provisioned is adequate to provide the acceptable
blocking level of the resources in the MG 1000E. Refer to the
Communication Server 1000E: Planning and Engineering (553-3041-120)
for details.
Configuring the MG 1000E ports
IP addresses must be configured on the Call Server for each MG 1000E in the
system. Use LD 97 to configure the MG 1000E ports.
IMPORTANT!
Currently, the CS 1000E only supports Recorded Announcement
Broadcast and Music Broadcast.
LD 97 – Configuring the MG 1000E ports (Part 1 of 2)
Prompt Response Comment
REQ CHG Change existing data
TYPE SUPL Superloop
SUPL 0, 4, 8, -252 Superloop number
SLOT <cr> Select default
SUPT IPMG MG 1000E
IPRO xx.xx.xx.xx IP address of the first MG 1000E Uplink IP address; <cr> to
skip to IPR1 when configuring new superloop.

Page 214 of 488 Configuring the CS 1000E Call Server
553-3041-210 Standard 4.00 September 2007
Configuring Digitone Receivers
Digitone Receivers must be configured in each MG 1000E if any analog
terminals or trunks are equipped. The loop of the Digitone Receivers is the
ZONE0 0-255 First MG 1000E zone number
VXTC0 l x First MG 1000E Virtual conference circuit starting loop
number. Two consecutive VXCTs are assigned.
The VXCTs must be previously configured in LD 17.
Where:
l = 0-252
x = 0 means 1 TDS loop only.
x = 1 means 1 TDS loop and 1 conference loop.
x = 2 means 2 TDS loops and 2 conference loops.
x = 3 means 2 TDS loops and 3 conference loops.
x = 4 means 2 TDS loops and 4 conference loops.
Precede with X to remove.
IPR1 xx.xx.xx.xx IP address of second MG 1000E cabinet uplink IP address;
<cr> to skip to IPR2 when configuring new superloop.
ZONE1 0-255 Second MG 1000E zone number
VXCT1 l x Second MG 1000E Virtual conference circuit starting loop
number. Two consecutive VXCTs are assigned.
The VXCTs must be previously configured in LD 17.
Where:
l = 0-252
x = 0 means 1 TDS loop only.
x = 1 means 1 TDS loop and 1 conference loop.
x = 2 means 2 TDS loops and 2 conference loops.
x = 3 means 2 TDS loops and 3 conference loops.
x = 4 means 2 TDS loops and 4 conference loops.
Precede with X to remove.
LD 97 – Configuring the MG 1000E ports (Part 2 of 2)
Prompt Response Comment

Configuring the CS 1000E Call Server Page 215 of 488
Communication Server 1000E Installation and Configuration
superloop of the MG 1000E. The first MG 1000E in the superloop is on shelf
0, and the second MG 1000E’s on shelf 1. Sixteen units of DTMF tone
detection (DTR) are integrated within the controller (SSC) circuitry, or eight
Digitone Receiver units can be configured on each of card 14 and card 15.
These Digitone Receiver units are built in on the SSC card in the MG 1000E.
No additional hardware is required. If Digitone Receivers units are
configured in any other card slots, a receiver hardware pack must be equipped
in the slot. If no hardware is equipped, the unequipped receiver units may be
allocated during call processing, resulting in call failure.
Any additional tone signaling resources must be added and configured as IPE
cards.
Configure Digitone Receivers in LD 13.
Configuring Tone Detectors
Tone Detectors, when required, are configured in a manner similar to that for
Digitone Receivers. The SSC card in the MG 1000E provides four units of
Multifrequency Senders and Receivers. These units are configured on card 15
LD 13 – Configure the Digitone Receivers
Prompt Response Comment
REQ NEW CHG Add or change the existing data.
TYPE a...a Type of data block (a...a = DTR, MFC, MFE, MFK5, MFK6,
or MFR)
TN l s c u Terminal Number
l = loop for CS 1000E system. MG 1000E requiring Digitone
Receivers.
s = 0 or 1
c = 14 or 15 to access the integrated MG 1000E tone
circuits
u = 0-7 DTMF detectors (DTR)
0-3 MFR, MFC, MFE, MFK5, MFK6 units on card 15

Page 216 of 488 Configuring the CS 1000E Call Server
553-3041-210 Standard 4.00 September 2007
of the MG 1000E. In addition Multifrequency Transmit Level codes (MFTL0
and MFTL1) must be configured in LD 97.
Logging in to Element Manager
To log in to Element Manager, follow the steps in Procedure 53 on page 216.
Element Manager supports Microsoft TM Internet Explorer 6.0.2600 for
Windows operating systems.
Before following this procedure, see Signaling Server: Installation and
Configuration (553-3001-212) for information about setting up a browser for
optimal performance of Element Manager.
Note: This procedure requires Service Pack 1 and Java Runtime
environment.
Procedure 53
Launching Element Manager
1Open the web browser.
LD 97 - Configure Tone Detectors
Prompt Response Comment
REQ CHG Change existing data
TYPE SYSP System Parameters for Peripheral equipment)
...
MFLT0 (0)-15 Multifrequency transmit level code for Identifier 0 for
MG 1000E
MFLT1 (0)-15 Multifrequency transmit level code for Identifier 1 for
MG 1000E

Configuring the CS 1000E Call Server Page 217 of 488
Communication Server 1000E Installation and Configuration
2Enter the Signaling Server Node IP address in the Address Bar of the
browser window, and press Enter on the keyboard.
Note: The ELAN network interface IP address may be required, instead
of the Node IP address, to access the Element Manager login web page
in secure environments.
3Element Manager opens with the Login web page (see Figure 76).
Note: If a security certificate has been correctly installed, and the usage
rule set to “UserChoice”, the user will have the option of logging in using
Secure mode. If the usage rule is set to “Always”, the user will be
redirected to the https site, and a warning message will appear.
a. Enter a valid User ID and Password combination.
Note: A valid User ID and Password combination is one which is
defined on the Call Server.
The IP Address of the Call Server appears in the Call Server IP
Address field.
b. Click Login.

Configuring the CS 1000E Call Server Page 219 of 488
Communication Server 1000E Installation and Configuration
Importing preconfigured IP telephony files
Follow Procedure 54 to import the preconfigured IP telephony files from the
Signaling Server.
Procedure 54
Importing an existing node
Figure 77 displays the Element Manager System Information home page.
Figure 77
Element Manager – System Information

Page 220 of 488 Configuring the CS 1000E Call Server
553-3041-210 Standard 4.00 September 2007
1Select Configuration > IP Telephony from the navigator.
The Node Summary web page appears. No nodes are defined.
2Import the Node files from the leader Signaling Server.
a. Click Import Node Files on the Node Summary web page.
The Import Node Files screen in Figure 78 on page 220 appears.
b. Enter the ELAN IP address of the leader Signaling Server in the input
box.
Figure 78
Import Node Files – Retrieve and upgrade configuration files
3Click Import.
A success message appears.
4Click OK to go to the next procedure.
End of Procedure

Configuring the CS 1000E Call Server Page 221 of 488
Communication Server 1000E Installation and Configuration
Reviewing and submitting IP telephony node
configuration files
To review and submit IP telephony node configuration files, please refer to
IP Line: Description, Installation, and Operation (553-3001-365).
Adding a Follower Signaling Server to an
IP telephony node
To add a follower signaling server to an IP telephony node, follow the
procedure as given in Signaling Server: Installation and Configuration
(553-3001-212).
Performing a datadump
Follow Procedure 55 to perform a datadump using Element Manager. This
procedure is an alternative to using the CLI to perform a datadump. The
datadump backs up new IP Telephony node files on the CS 1000E at the same
time that it backs up the customer database.
Procedure 55
Performing a datadump using Element Manager
From Element Manager (see Figure 76 on page 218 for details on logging in),
do the following:
1Choose Services > Backup and Restore > Call Server from the
navigator.
The Call Server Backup and Restore web page opens (see Figure 79
on page 222).

Configuring the CS 1000E Call Server Page 223 of 488
Communication Server 1000E Installation and Configuration
Figure 80
CS 1000E Backup
3Select Backup from the Action drop-down list box.
4Click Submit.
The message displays indicating “Backup in progress. Please wait...”
5Click OK in the EDD complete dialog box.
The Backup function then displays information in a tabular form, indicating
the actions that were performed.
End of Procedure

Page 225 of 488
Communication Server 1000E Installation and Configuration
234
Configuring a Small System Controller
Contents
This section contains information on the following topics:
Introduction . . . . . . . . . . . . . . . . . . . . . . . . . . . . . . . . . . . . . . . . . . . . . . 225
Adding a software daughterboard and remote security device . . . . . . . 226
Adding a 100BaseT daughterboard (dual port). . . . . . . . . . . . . . . . . . . 227
Adding a 100BaseT daughterboard (single port) . . . . . . . . . . . . . . . . . 231
Introduction
An NTDK20 Small System Controller (SSC) must be installed in each Media
Gateway. Security devices and Daughterboards can be installed on the SSC
prior to its placement in a Media Gateway. See Table 13 for details on the
SSC, including available accessories.
Table 13
Small System Controller profile (Part 1 of 2)
Property Description
Order Code • NTDK20HA
Power • Powered through a Media Gateway
Cooling • Provided by the Media Gateway
Card slots • None

Page 226 of 488 Configuring a Small System Controller
553-3041-210 Standard 4.00 September 2007
Configuring an SSC can involve:
1Procedure 56: "Installing an SSC NTM400 Software daughterboard and
NTDK57 (NT_REM) remote security device" on page 227.
2Procedure 57: "Adding a 100BaseT daughterboard (dual port) to an SSC"
on page 227
3Procedure 58: "Adding a 100BaseT daughterboard (single port) to an
SSC" on page 231.
Adding a software daughterboard and
remote security device
A software daughterboard (NTM400) and a remote security device
(NTDK57) (NT_REM) must be installed on the SSC. Follow Procedure 56 to
install these required components.
Connectors • Port 1 – 100BaseT
• Port 2 – 100BaseT (optional)
• Port 3 – 100BaseT
• Port 4 – 100BaseT (optional)
Required
components
• Remote Security Device (NTDK57DA)
• Software daughterboard (NTM400)
Accessories • Flash daughterboard (NTTK25BA)
• 100BaseT daughterboard (single port)
(NTDK99AA)
• 100BaseT daughterboard (dual port)
(NTDK83AA)
Table 13
Small System Controller profile (Part 2 of 2)
Property Description

Configuring a Small System Controller Page 227 of 488
Communication Server 1000E Installation and Configuration
Procedure 56
Installing an SSC NTM400 Software daughterboard and NTDK57
(NT_REM) remote security device
1Unpack the NTDK20 SSC, and set it aside on a clean surface.
2Install the NTM400 Software daughterboard in the appropriate connector,
as shown in Figure 84 on page 233.
3Press firmly on the standoffs to ensure that the NTM400 Software
daughterboard is secured to the SSC.
4Insert the NTDK57 (NT_REM) Security Device with NT_REM facing out.
See Figure 84 on page 233.
5Repeat procedure for each SSC.
End of Procedure
Adding a 100BaseT daughterboard (dual port)
Follow Procedure 57 to add a 100BaseT daughterboard (dual port) to an SSC.
Procedure 57
Adding a 100BaseT daughterboard (dual port) to an SSC
1Unpack the 100BaseT daughterboard (dual port) and the NTDU0606
cable.
2Using the two NTDU0606 CAT5 Ethernet cables provided:
CAUTION WITH ESDS DEVICES
Static electricity can damage circuit cards. Wear an
antistatic wrist strap when handling circuit cards or any of
their components.
CAUTION WITH ESDS DEVICES
Static electricity can damage circuit cards. Wear an
antistatic wrist strap when handling circuit cards or any of
their components.

Page 228 of 488 Configuring a Small System Controller
553-3041-210 Standard 4.00 September 2007
a. Attach the appropriate port number label “2” or “4” to the respective
cable.
b. Install these cables firmly into the RJ-45 ports on the 100BaseT
daughterboard (dual port) #2. Completely insert each cable. See
Figure 82 on page 230 and Figure 83 on page 231.
3Insert the red black yellow LED cable on the SSC into the LED connector
on the 100BaseT daughterboard (dual port). See Figure 81 on page 228.
This connection provides the link status display on the front cover.
Figure 81
100Baset daughterboard (dual port) LED cable connector
CAUTION — Service Interruption
The RJ-45 connectors located on the top of the
100BaseT daughterboard (dual port) are for Media
Gateways 1 and 3.
The RJ-45 connectors located on the bottom of the
100BaseT daughterboard (dual port) are for
Media Gateways 2 and 4.

Configuring a Small System Controller Page 229 of 488
Communication Server 1000E Installation and Configuration
4Install the 100BaseT daughterboard (dual port) in slot 2 of the SSC:
a. Locate the alignment pin on the SSC.
b. Insert the alignment pin into the appropriate hole on the
daughterboard.
c. Secure the 100BaseT daughterboard (dual port) using metal
screw-downs on the SSC.
d. Route the NTDU0606 Ethernet cable(s) through the plastic guides on
the SSC.
Figure 82 on page 230 shows an SSC with two 100BaseT
Daughterboards (dual port).
5Install the SSC in a Media Gateway.
6Connect each labeled Ethernet cable to the corresponding port number
bulkhead connectors.
7Reinstall the front cover.
End of Procedure
CAUTION — Service Interruption

Page 230 of 488 Configuring a Small System Controller
553-3041-210 Standard 4.00 September 2007
Figure 82
SSC with two 100BaseT Daughterboards (dual port)
Security Device
Software daughterboard
(Factory-installed)
100BaseT
daughterboard #1
100BaseT
daughterboard #2
(Optional)
Port 1
Port 3
Port 2
Port 4
NTDK57AA
(NT_STD)
NTM400
NTDK83 dual port
NTDK83 dual port
Ethernet cables
NTDU0606
LED cables
(Red/Black/Yellow)

Configuring a Small System Controller Page 231 of 488
Communication Server 1000E Installation and Configuration
Adding a 100BaseT daughterboard (single port)
Follow Procedure 58 to add a 100BaseT daughterboard (single port) to a SSC
for MG 1000T 1 to 4.
Note: The NTDK99 is only used in an MG 1000T.
Procedure 58
Adding a 100BaseT daughterboard (single port) to an SSC
1Unpack the 100BaseT daughterboard (single port) (NTDK99) and the
NTDU0606 cable (see Figure 83).
Figure 83
100BaseT daughterboard (single port) (NTDK99)
CAUTION WITH ESDS DEVICES
Static electricity can damage circuit cards. Wear an
antistatic wrist strap when handling circuit cards or any of
their components.
Ethernet cable
NTDU0606

Page 232 of 488 Configuring a Small System Controller
553-3041-210 Standard 4.00 September 2007
2Using one of the NTDU0606 CAT5 Ethernet cables:
a. Attach port number label “1” to the cable.
b. Install the cable firmly into the RJ-45 port on the 100BaseT
daughterboard (single port). Make sure that the cable end is inserted
completely. See Figure 84 on page 233.
Note: Do not connect the LED cable to the 100BaseT daughterboard
(single port).

Configuring a Small System Controller Page 233 of 488
Communication Server 1000E Installation and Configuration
Figure 84
SSC components including a 100BaseT daughterboard (single port)
Security Device
Software daughterboard
(single port) NTDK99
LEDs (Xmit, Rcv, Link)
LED cables
100Base T daughterboard
NTDU0606
Cable
NTM400
NTDK57DA
(NT_REM)
(not used)
Port 2

Page 234 of 488 Configuring a Small System Controller
553-3041-210 Standard 4.00 September 2007
3Install the 100BaseT daughterboard (single port) in slot 2 of the SSC:
a. Locate the alignment pin on the SSC.
b. Insert the alignment pin into the appropriate hole on the 100BaseT
daughterboard (single port).
c. Secure the 100BaseT daughterboard (single port) using metal
screw-downs on the SSC.
d. Route the NTDU0606 Ethernet cable through the plastic guides on
the SSC.
4Install the SSC in the Media Gateway.
5Connect the NTDU0606 Ethernet cable to port 1 of the Media Gateway
bulkhead connector shown in Figure 85 on page 234.
6Repeat Step 1 to Step 5 for each Media Gateway.
Figure 85
Bulkhead connector on a Media Gateway
End of Procedure
Port 1

Page 235 of 488
Communication Server 1000E Installation and Configuration
240
Installing software on an MG 1000E
Small System Controller
Contents
This section contains information on the following topics:
Introduction . . . . . . . . . . . . . . . . . . . . . . . . . . . . . . . . . . . . . . . . . . . . . . 235
Installing software on an MG 1000E SSC . . . . . . . . . . . . . . . . . . . . . . 236
Introduction
This chapter describes the software installation on the Small System
Controller (SSC) in an MG 1000E using the software delivery card.
PC card interface
The SSC card has a PC card interface through a socket located on its
faceplate. The PC card socket can accommodate a Software Delivery card
used for software upgrading and for backup data storage. This chapter
contains Procedure 59: "Installing software on an MG 1000E SSC" on
page 236.
CAUTION — Service Interruption
The Nortel Networks Communication Server 1000E
Release 4.5 software must be installed prior to installing
the SSC software in the Media Gateways.
Media Gateways can be installed in any order.

Page 236 of 488 Installing software on an MG 1000E Small System Controller
553-3041-210 Standard 4.00 September 2007
Installing software on an MG 1000E SSC
The MG 1000E is shipped with a pre-programmed software daughterboard
that must be mounted on the SSC.
Procedure 59
Installing software on an MG 1000E SSC
1Confirm that the outlet is providing the correct voltage. Refer to the label
at the back of the equipment.
2Connect the power cord from the power connectors at the back of the
MG 1000E to an AC power source.
3Ensure that the system terminal (TTY) is connected to the cable marked
“port 0” on the NTBK48 3-port cable of the Media Gateway.
4Turn the Media Gateway power switch to “ON”.
System response:
Current system time and date :
2/14/2096 6:19:00
Enter new time (hh:mm:ss) : 14:41:00
Enter new date (mm/dd/yy) : 06/03/04
14:41:0 -- 6/3/2004 is the new system time and date.
Is this correct? (y/n/[a]bort) : y
q]uit, [h]elp or [?], <cr> - redisplay
IMPORTANT!
Before proceeding, ensure that the required hardware is correctly
installed and that all connections are secure.

Installing software on an MG 1000E Small System Controller Page 237 of 488
Communication Server 1000E Installation and Configuration
5Enter y.
System response:
SOFTWARE INSTALLATION PROGRAM
************************************
Verify
Media Gateway/IP Expansion Security ID: 40000322
Call Server/Main Security ID: 19999999
************************************
Media Gateway/Expansion Cabinet Software Installation Main Menu :
1. Media Gateway/Expansion Cabinet Installation - From Software
Delivery Card
2. Utilities
3. Media Gateway/Expansion Cabinet Installation - From Software
DaughterBoard
[q]uit, [h]elp or [?], <cr> - redisplay
6Select Media Gateway/Expansion Cabinet Installation from Software
DaughterBoard from the menu.
Enter: 3
System response:
Do you wish to do IP configuration? (y/n/[a]bort):
7Configure the IP.
Enter: y
System response:
IP Configuration Menu:
2. Using Manual Configuration
3. Keep Existing Configuration
4. Print Existing Configuration
[q]uit, [p]revious, [m]ain menu, [h]elp or [?],
<cr> - redisplay
Enter Selection: _

Page 238 of 488 Installing software on an MG 1000E Small System Controller
553-3041-210 Standard 4.00 September 2007
8Configure the IP address for the CS 1000E to Media Gateway link
network manually.
Enter: 2
System response:
Enter Media Gateway New IP Parameters:
Media Gateway IP : x.x.x.x
Call Server IP : x.x.x.x
Media Gateway NetMask : x.x.x.x
Media Gateway Router : x.x.x.x
Is this correct? (y/n/[a]bort): _
Note: If the Media Gateway IP and the Call Server IP are on different
subnets, then the Media Gateway Router IP is prompted.
9Confirm the IP configuration.
If correct, enter: y
System response:
Select M3900 Language Set:
1. Global 10 languages
2. Western Europe 10 languages
3. Eastern Europe 10 languages
4. North America 6 languages
5. Spare Group A
6. Spare Group B
[q]uit, [p]revious, [m]ain menu, [h]elp or [?],
<cr> - redisplay
Enter Selection: _
10 Select the M3900 Language Set (same as on CS 1000E).
Enter: 1
System response:
Copying new PSDL ...
Copying new PSDL ...
Copying loadware files ...

Installing software on an MG 1000E Small System Controller Page 239 of 488
Communication Server 1000E Installation and Configuration
Copying language files ...
Copying FIJI files ...
Detected change in system type (Pkg 298/299)
Detected change in machine type from 0 to 33
Deleting files in directory "/u/db/hi/"
Installed BOOTROM "/p/load/main_bt"ommunication
Server 1000 Software Rls 4.5 will be installed.
*** WARNING *** A system restart will be invoked
as part of the software installation process
Are you sure you wish to perform the installation?
(y/n/[a]bort): _
11 Perform the installation.
a. Enter: y
System response (if software installation successful):
Installation completed successfully.
b. The system then reboots.
Rebooting...
Once the installation program completes, messages appear on the
terminal screen. When the message “INIXXX” appears, the system is
operational.
End of Procedure

Page 241 of 488
Communication Server 1000E Installation and Configuration
252
Installing software on an MG 1000T
Small System Controller
Contents
This section contains information on the following topics:
Introduction . . . . . . . . . . . . . . . . . . . . . . . . . . . . . . . . . . . . . . . . . . . . . . 241
Software Installation Program. . . . . . . . . . . . . . . . . . . . . . . . . . . . . . . . 242
Keycodes . . . . . . . . . . . . . . . . . . . . . . . . . . . . . . . . . . . . . . . . . . . . . . . . 244
Installing software on an SSC . . . . . . . . . . . . . . . . . . . . . . . . . . . . . . . . 245
Setting the system time and date. . . . . . . . . . . . . . . . . . . . . . . . . . . . . . 250
Introduction
The Nortel Communication Server 1000 4.5 software is installed on the Small
System Controller (SSC) using the Software Installation Program. The
Software Installation Program provides a menu-driven method of installing,
modifying, or upgrading:
• software
• feature set (packages)
• License parameters
This chapter contains the following procedures:
• Procedure 60 "Installing software on an SSC" on page 245.
• Procedure 61 "Setting system time and date" on page 250.

Page 242 of 488 Installing software on an MG 1000T Small System Controller
553-3041-210 Standard 4.00 September 2007
Software Installation Program
The Software Installation Program main menu provides access to the
following functionality:
• installing software in a new system
• upgrading and modifying software in an existing system
• using utilities to work with archived databases, review data, back up data,
undo an installation in progress, and clear unwanted data
In addition, the Software Installation Program has the following options:
• Clear Upgrade Information
If the installation terminates after you enter the keycodes, but before the
installation is complete, you can abort the installation with the “Clear
Upgrade Information” option.
• Confirm Upgrade Information
This option enables you to review selected installation options. You can
use the “Confirm Upgrade Information” after the system validates the
keycodes and before the installation is complete.
• Set system time and date
The system time and date is usually set before installation. This makes
sure that all flash drive files have the correct creation date.
On a new system with a pre-installed software daughterboard, the Software
Installation Program runs automatically.
Feature set and licenses
The Software Installation Program enables administrators to install and
enable the CS 1000E system. A feature set, such as Basic Services, Advanced
Services, and Premium Services, has an associated list of software packages
and licenses. The Software Delivery Card can include several preconfigured
IMPORTANT!
The Software Installation Program must run from TTY 0 (port 0 on
card 0).

Installing software on an MG 1000T Small System Controller Page 243 of 488
Communication Server 1000E Installation and Configuration
feature sets. The Software Installation Program also enables administrators to
add individual packages from the feature set and change ISM system
parameters.
Additions and changes are keycode controlled. Therefore, the packages and
licenses must match those corresponding to the site’s keycodes.
Note: The Software Installation Program does not check the
prerequisites and interactions of added packages.
AUX ID
Enter the AUX ID using the Software Installation Program. For new
CS 1000E sites, the AUX ID is the system security ID.
Customer database
The Software Installation Program enables an administrator to install a
customer database from one of the following sources:
• Preconfigured database — The Software Delivery card can include
several preconfigured databases and their associated feature sets. In
addition, a minimal database is provided containing basic system
configuration information with no customer data.
• Archived database — The Software Installation Program enables the
archiving of various databases which can be used later at CS 1000E sites.
It also enables multiple databases to be configured off-site and then
installed ready-to-use at customer sites.
• Off-site programming of databases is subject to all security keycode
restrictions. The off-site system must either use the Security Device that
is installed in the CS 1000E system at the customer site, or must have its
own keycodes for the feature set used.
• Remote restored database — A database can be restored remotely using
the LD 143 CCBR remote restore command.
• Backed up database — This option enables the copy on the backup flash
drive to be installed. It is provided to recover a customer database if the
customer database on the primary flash drive becomes corrupted.

Page 244 of 488 Installing software on an MG 1000T Small System Controller
553-3041-210 Standard 4.00 September 2007
Keycodes
A security keycode system protects the installation of software, feature set,
and license parameters. The keycodes required for a new installation or
system upgrade are on the Keycode Data Sheet that is supplied with the
software and security device.
A different keycode is assigned to each site for a particular combination of
items such as software release, feature set, and LICENSES. The installation
does not continue unless correct keycodes are entered.
Note: If an invalid keycode is entered, the software and databases on the
present system are not affected.
Note: Contact your support group if the Keycode Data Sheet is missing.
Keycode rejection
The Software Installation Program validates the keycodes. If the keycodes are
valid then the installation continues. If the system rejects the keycodes, then
ensure that the:
• correct keycodes have been entered
• software is the correct version for the site
• feature set data has been entered correctly
• License parameter data has been entered correctly
If the correct data has been entered and the keycodes are rejected, then stop
the installation and call the support group.
IMPORTANT!
The system limits the validation of keycodes to three consecutive
attempts. If the third consecutive attempt is unsuccessful, then the
Software Installation Program returns to the main menu. Any data
entered during this session is lost.

Installing software on an MG 1000T Small System Controller Page 245 of 488
Communication Server 1000E Installation and Configuration
Installing software on an SSC
Follow Procedure 60 to power up a new system installation in preparation for
loading the software.
Procedure 60
Installing software on an SSC
1Test the power outlet.
Make sure that the correct voltage is present before you plug the power
cord into the outlet. The source must match the label at the back of the
equipment.
2Connect the power cord from the power connectors at the back of the
Media Gateway to an AC power source. See Figure 86 on page 246.
IMPORTANT!
Before proceeding, ensure that the required hardware is correctly
installed and that all connections are secure.

Installing software on an MG 1000T Small System Controller Page 247 of 488
Communication Server 1000E Installation and Configuration
4Turn the Media Gateway power switch to “ON”.
System response:
SOFTWARE INSTALLATION PROGRAM
************************************
Verify
Security ID: xxxxxxxx
*************************************
Technology Software Installation Main Menu:
1. Media Gateway/IP Expansion Cabinet
2. Call Server/Main Cabinet
[q]uit, [h]elp or [?], <cr> - redisplay
Enter Selection:
Release:
Created: Weekday Month Day hh:mm:ss EDT Year
5Select Media Gateway / Expansion Cabinet Software Installation From
Software Delivery Card from the menu.
a. Enter: 1
System response:
Media Gateway/Expansion Cabinet Software
Installation Main Menu:
1. Media Gateway/Expansion Cabinet Installation -
From Software Delivery Card
2. Utilities
[q]uit, [p]revious, [m]ain menu, [h]elp or [?],
<cr> - redisplay
Enter Selection: _
6Select Media Gateway / Expansion Cabinet Installation from Software
Delivery Card from the menu.
a. Enter: 1
System response:
Do you wish to do IP configuration? (y/n/[a]bort):
7To manually configure the IP, go to Step 9

Page 248 of 488 Installing software on an MG 1000T Small System Controller
553-3041-210 Standard 4.00 September 2007
8Configure the IP for the CS 1000E to Media Gateway link network
automatically using the BootP.
a. Enter: 1
System response:
Media Gateway New IP Parameters:
Media Gateway IP : x.x.x.x
Call Server IP : x.x.x.x
Media Gateway NetMask : x.x.x.x
Media Gateway Router : x.x.x.x
Is this correct? (y/n/[a]bort): _
b. If IP parameters are correct, enter: y
c. Go to Step 12.
9Configure the IP for the CS 1000E to Media Gateway link network
manually.
a. Enter: 2
System response:
Enter Media Gateway New IP Parameters:
Media Gateway IP : x.x.x.x
Call Server IP : x.x.x.x
Media Gateway NetMask : x.x.x.x
Layer-2 configuration
System response:
L2 Configuration...
Media Gateway Router: 0.0.0.0
10 Enter the Media Gateway Router IP for a layer-3 configuration.
a. Enter router parameter
System response:
Media Gateway New IP Parameters:
Media Gateway IP : x.x.x.x

Installing software on an MG 1000T Small System Controller Page 249 of 488
Communication Server 1000E Installation and Configuration
Call Server IP : x.x.x.x
Media Gateway NetMask : x.x.x.x
Media Gateway Router : x.x.x.x
Is this correct? (y/n/[a]bort): _
11 Confirm the IP configuration.
a. If correct, enter: y
System response:
Select M3900 Language Set:
1. Global 10 languages
2. Western Europe 10 languages
3. Eastern Europe 10 languages
4. North America 6 languages
5. Spare Group A
6. Spare Group B
[q]uit, [p]revious, [m]ain menu, [h]elp or [?],
<cr> - redisplay
Enter Selection: _
12 Select the M3900 Language Set (same as on CS 1000E).
a. Enter: 1
System response:
Copying new PSDL ...
Copying new PSDL ...
Copying loadware files ...
Copying language files ...
Copying FIJI files ...
Detected change in system type (Pkg 298/299)
Detected change in machine type from 0 to 33
Deleting files in directory "/u/db/hi/"
Installed BOOTROM "/p/load/main_bt"
Communication Server 1000 Software Rls 4.5 will be
installed.

Page 250 of 488 Installing software on an MG 1000T Small System Controller
553-3041-210 Standard 4.00 September 2007
*** WARNING *** A system restart will be invoked
as part of the software installation process
Are you sure you wish to perform the installation?
(y/n/[a]bort): _
13 Perform the installation.
a. Enter: y
System response (if software installation successful):
Installation completed successfully.
b. The system then reboots.
Rebooting...
Once the installation program completes, messages appear on the
terminal screen. When the message “INIXXX” appears, the system is
operational.
End of Procedure
Setting the system time and date
Follow Procedure 61 to set the system time and date. You can also use
Element Manager or OTM.
Procedure 61
Setting system time and date
1Log in to the CS 1000E.
a. Enter the command:
LOGI
System response:
PASS?
b. Enter the default password:
0000
2Access LD 2. Enter the command:
LD 2

Installing software on an MG 1000T Small System Controller Page 251 of 488
Communication Server 1000E Installation and Configuration
3Set the time and date. Enter the command:
STAD <day> <month> <year> <hour> <minute> <second>
Where:
<day> = the day of the month (1-31).
<month> = the month number (1-12).
<year> = the year, in four-digit or two-digit form (see Note on
page 251).
<hour> = the hour of the day (0-23).
<minute> = the minutes (0-59).
<second> = the seconds (0-59).
Sample entry:
STAD 2 9 2002 16 47 0
4Print the current time and date. Enter the command:
TTAD
Sample system response:
MON 02 09 2002 14 47 05
Note: Except for the year, the other entries in the time-of-day output are
two-digit numbers. The year can be any year from 1901 to 2099 inclusive.
It can be input as a full four-digit field or as a two-digit short form. The
two-digit short form is assumed to be in the range 1976 to 2075 and the
appropriate addition is made when calculating the day of week and leap
years.
5Exit from LD 2. Enter the command:
****
End of Procedure

Page 253 of 488
Communication Server 1000E Installation and Configuration
266
Connecting a Terminal Server
Contents
This section contains information on the following topics:
Introduction . . . . . . . . . . . . . . . . . . . . . . . . . . . . . . . . . . . . . . . . . . . . . . 253
Configuring a Terminal Server . . . . . . . . . . . . . . . . . . . . . . . . . . . . . . . 255
Telnet Terminal Server virtual management port . . . . . . . . . . . . . . . . . 258
Telnet CS 1000E COM port from a PC . . . . . . . . . . . . . . . . . . . . . . . . 259
Configuring a transparent rlogin port . . . . . . . . . . . . . . . . . . . . . . . . . . 260
Accessing an MRV Console Port through the on-board modem . . . . . 264
CS 1000E COM port types . . . . . . . . . . . . . . . . . . . . . . . . . . . . . . . . . . 265
Introduction
Many third-party applications require serial port interfaces to provide a
connection to a PBX. As well, support staff traditionally use serial ports to
connect maintenance terminals and modems to a system for maintenance. As
the CS 1000E Call Server provides only two local serial ports for these
purposes, an IP-based Terminal Server is required to provide the necessary
standard serial ports for applications.
As the Terminal Server is configured to automatically log in to the active Call
Server upon start-up, only one Terminal Server is required for the system. It
can be located anywhere on the LAN. One connection from each Call Server
COM1 port is connected to the Terminal Server.

Page 254 of 488 Connecting a Terminal Server
553-3041-210 Standard 4.00 September 2007
Up to 16 TTY ports can be configured with the CS 1000E Call Server. The
Terminal Server can be used as a central point to manage several devices
through their serial ports.
The CS 1000E system currently supports the MRV IR-8020M-101
commercial Terminal Server only.
The MRV IR-8020M-101 Terminal Server is used with the CS 1000E system
to provide serial connections for accessing the CS 1000E COM ports. The
user can access each COM port from a local PC through telnet sessions or
from a remote PC by dialing the on-board modem.
The Terminal Server provides IP connections to each Pseudo TTY (PTY)
ports 0-15 for monitoring CDR and traffic reports.
The MRV IR-8020M-101 Terminal Server is supported by the CS 1000E
system. The IR-8020M-101 – In-Reach Standalone has 20 Console Ports and
a V.90 internal modem. A 19-inch rack-mount kit is provided with the unit.
On the MRV IR-8020M-101 Terminal Server, port 20 is the default
management port. It will be used for primary configuration of the IP address,
mask address and gateway address. Port 20 is reserved for configuring the
Terminal Server in a CS 1000E system. Port 1 to 19 can be configured for
Serial Data Interface for the CSE1000E system components.
This chapter contains the following procedures:
• Procedure 62: "Connecting a Terminal Server to the system"
on page 256
• Procedure 63: "Configure IP address for the Terminal Server"
on page 257
• Procedure 64: "Run telnet from PC" on page 258
IMPORTANT!
Before connecting the Terminal Server to another component of the
CS 1000E system, read and understand the documentation provided by
the Terminal Server’s manufacturer.

Connecting a Terminal Server Page 255 of 488
Communication Server 1000E Installation and Configuration
• Procedure 65: "Accessing a CS 1000E from a PC through telnet
Terminal Server" on page 259
• Procedure 66: "Configuring a transparent rlogin port" on page 260
• Procedure 68: "Accessing an MRV Console Port through the
on-board modem" on page 264
Configuring a Terminal Server
Follow Procedure 62 to connect a Terminal Server with a CS 1000E system.
Table 14 lists the MRV cables required to install the IR-8020M-101 Terminal
Server in a CS 1000E system.
Customer-made cables with the following pin out (as NTDU6302) can also
be used. See Table 15.
Table 14
Required MRV serial cables and connectors
Order Code Description
NTDU6302 Connects MRV Terminal Server to any
standard DTE port or DCE port when a Null
modem is used
NTDU6303 Used for telnet, rlogin connections
P/N-151-3028 Male RJ-45 to Male RJ-45 with connectors,
10 feet
P/N-350-0308 Female RJ-45 to Female DB9
Table 15
Customer made cable pin out
Pins on DB9 Female Pins on RJ45 Male (MRV Terminal Server)
1
6
DCD
DSR
2DTR
2RXD 3TxD

Page 256 of 488 Connecting a Terminal Server
553-3041-210 Standard 4.00 September 2007
Procedure 62
Connecting a Terminal Server to the system
1Connect the MRV P/N-151-3028 serial cable from the Terminal Server
console port 20 to the PC COM port.
2Plug MRV PC Card (in MRV package) into Terminal Server faceplate
socket, and power on the Terminal Server.
3Start the MRV HyperTerminal application. In Windows:
Start > Programs > Accessories > Communication >
HyperTerminal.exe
4Configure HyperTerminal to communicate with the Terminal Server’s
management port:
3TXD 6RxD
4DTR 7DSR/DCD
5S GND 4
5
TxD GND
RxD GND
7RTS 1CTS
8CTS 8RTS
9 N/C
WARNING
Port 20 is the default console port. Do not change the
configuration for port 20.
Table 15
Customer made cable pin out
Pins on DB9 Female Pins on RJ45 Male (MRV Terminal Server)

Connecting a Terminal Server Page 257 of 488
Communication Server 1000E Installation and Configuration
a. Set baud rate to 9600.
b. Set data bits to 8.
c. Set parity to none.
d. Set stop bit to 1.
e. Set flow control to “None”.
f. Set Terminal Emulation to VT100.
g. Press <CR> until you receive a log-in prompt.
5Log in to the Terminal Server. Enter:
ACCESS
6Enter the user name. Enter:
ADMIN
7Set privileged mode. Enter:
SET PRIV
8Enter the password. Enter:
SYSTEM
End of Procedure
Configuring the Terminal Server IP address
Procedure 63
Configure IP address for the Terminal Server
Note: The IP address can be configured or changed only from local
management port 20.
1Configure the Terminal Server’s IP address. At the In-Reach_Priv prompt.
Enter:
define server ip address [ip address]
2Configure the Terminal Server’s IP subnet mask. Enter:
define server ip subnet mask [ip address]
3Configure the Terminal Server’s IP primary gateway address. Enter:

Page 258 of 488 Connecting a Terminal Server
553-3041-210 Standard 4.00 September 2007
define server ip primary gateway address [ip address]
4Check Terminal Server configuration. Enter:
list server ip
Example commands:
define server ip address 172.16.3.50
define server ip subnet mask 255.255.255.0
define server ip primary gateway address 172.16.3.1
End of Procedure
Telnet Terminal Server virtual management port
Connect the Terminal Server ethernet port to the ELAN using a CAT5
ethernet cable. The virtual management port 0 is accessible from an online PC
using a telnet session. The Terminal Server can now be configured from the
on-line PC.
Procedure 64
Run telnet from PC
1Use Start > Run
Input telnet command: telnet ip-address port#
Where:
ip-address: Terminal Server IP address
Port#: The target port number on Terminal Server=2000+(xx x 100)
For Terminal Server virtual management port xx=0
Example: telnet 172.16.3.50 2000
2Press <CR> until the MRV login prompt appears.
3Input login password and username to log in to the virtual management
port. The default password is "access".
End of Procedure

Connecting a Terminal Server Page 259 of 488
Communication Server 1000E Installation and Configuration
Telnet CS 1000E COM port from a PC
Connect port xx (xx = 1 - 19) of the Terminal Server to COM1 port of the
CS 1000E Call Server.
Follow Procedure 65 to establish access to a Call Server from a PC through
telnet Terminal Server. Use the same port number for each procedure step.
Procedure 65
Accessing a CS 1000E from a PC through telnet Terminal Server
1Disable IP TCP Keepalive Timer so that the telnet session is always on
and LAN traffic is reduced. Enter:
DEFINE PORT xx IP TCP KEEPALIVE TIMER 0
Where: xx = 1-19
Note: Do not change the configuration for the default console (port 20).
2Specify the character to be transferred for <CR> in telnet. Enter:
define port xx TELNET NEWLINE FILTERING CR
3Define the port baud rate to equal the baud rate of the CS 1000E COM
port. Enter:
define port xx speed [BAUDRATE]
Where: xx = Port number from 1-19 and BAUDRATE = the baud rate of
the connected Call Server COM port.
4Logout. Enter:
logout port xx
5Check the configuration. Enter:
list port xx alternate chara
list port xx telnet chara
6Run telnet on the PC.
a. In Windows:
Start > Run

Page 260 of 488 Connecting a Terminal Server
553-3041-210 Standard 4.00 September 2007
b. Enter the Input telnet command. Enter the command:
TELNET xxx.xx.x.xx xxxx
Where:
xxx.xx.x.xx = Terminal Server IP Address
xxxx = telnet port (for port 1 to 19)
Note: The value of the target telnet port, xxxx, is determined using the
following formula:
TELNET PORT = 2 000 + (port number × 100)
For example, if the telnet port is 7, then:
TELNET PORT = 2 000 + (port number x 100)
= 2 000 + (700)
= = 2700
If the Terminal Server IP Address is 172.16.3.50 and the telnet port is 7,
then TELNET command line is:
TELNET 172.16.3.50 2700
Example:
telnet 172.16.3.50 2000 (telnet to virtual management port)
telnet 172.16.3.50 2700 (telnet port 7)
End of Procedure
Configuring a transparent rlogin port
The CS 1000E system uses Pseudo TTY (PTY) ports as TTY ports. All serial
applications, such as CDR and Traffic, can be implemented through PTY
ports. PTY ports are configured in LD 17. An external device, such as a
printer, can access a Call Server PTY port through the Terminal Server by
using a remote login (rlogin) session. Using HyperTerminal, follow
Procedure 66 to configure a transparent rlogin port.
Procedure 66
Configuring a transparent rlogin port
1Enable keepalive timer 1 for the port. Enter the command:
DEFINE PORT XX IP TCP KEEPALIVE TIMER 1

Connecting a Terminal Server Page 261 of 488
Communication Server 1000E Installation and Configuration
Where:
xx = port number
2Enable a dedicated service using rlogin. Enter the command:
DEFINE PORT XX RLOGIN DEDICATED SERVICE xx.xx.xx.xx
Where:
xx = port number
xx.xx.xx.xx = port IP address
3Enable the port to be accessible only by local command and from a serial
connection only. Enter the command:
DEFINE PORT xx ACCESS LOCAL
Where:
xx = port number
4Enable the In-Reach Element Manager to complete a ZMODEM transfer
using the rlogin feature. Enter the command:
DEFINE PORT xx RLOGIN TRANSPARENT MODE ENABLED
Where:
xx = port number
Note 1: When the rlogin transparent mode is enabled, characters are
passed raw (without interpretation) and transparently within an rlogin
session. This allows the ZMODEM transfer to complete. See Table 16 for
ZMODEM requirements.
Table 16
ZMODEM requirements
Feature Setting
Typeahead 1024
TCP window size 1024
telnet CSI ES Enabled
telnet NEW LINE FILTER LF or Standard

Page 262 of 488 Connecting a Terminal Server
553-3041-210 Standard 4.00 September 2007
5Enable autoconnect for the port. Enter the command:
DEFINE PORT xx AUTOCONNECT ENABLED
Where:
xx = port number
6Enable autodedicate for the port. Enter the command:
DEFINE PORT xx AUTODEDICATED ENABLED
Where:
xx = port number
7Define a user name for the port. Enter the command:
DEFINE PORT xx USERNAME “ptyxx”
Where:
xx = port number
ptyxx = User Name is the pty port set during Call Server configuration
for rlogin connection. The pty port is set using LD 17. For example, in LD
17, configure TTY 2 as pty. The port # username on Terminal Server
becomes "pty2", not "PTY2" or "pty02".
Note 1: Ignore the following MRV information message during using
DEFINE command. "In-Reach -729- Parameter cannot be modified by a
set command". This is informational only that you must use DEFINE and
not the more general SET command. It is not an error.
Note 2: The quotation marks (““) are also required around "PTYxx"
8Log out of the port. Enter the command:
LOGOUT PORT xx
Where:
xx = port number

Connecting a Terminal Server Page 263 of 488
Communication Server 1000E Installation and Configuration
9Check port configuration. Enter the command:
LIST PORT xx
LIST PORT xx ALTERNATE CHARA
Where:
xx = port number
End of Procedure
Configuring a transparent rlogin port with sample data
Sample data has been incorporated into Procedure 67. This configuration
shows that a device connected to MRV Port 2 will rlogin 47.11.166.76
through pty 10.
Procedure 67
Configuring a transparent rlogin port
1Enable keepalive timer 1 for the port. Enter the command:
DEFINE PORT 2 IP TCP KEEPALIVE TIMER 1
2Enable a dedicated service using rlogin. Enter the command:
DEFINE PORT 2 RLOGIN DEDICATED SERVICE 47.11.166.76
3Enable the port to be accessible only by local command and from a serial
connection only. Enter the command:
DEFINE PORT 2 ACCESS LOCAL
4Enable the In-Reach Element Manager to complete a ZMODEM transfer
using the rlogin feature. Enter the command:
DEFINE PORT 2 RLOGIN TRANSPARENT MODE ENABLED
5Enable autoconnect for the port. Enter the command:
DEFINE PORT 2 AUTOCONNECT ENABLED
6Enable autodedicate for the port. Enter the command:
DEFINE PORT 2 AUTODEDICATED ENABLED

Page 264 of 488 Connecting a Terminal Server
553-3041-210 Standard 4.00 September 2007
7Define a user name for the port. Enter the command:
DEFINE PORT 2 USERNAME “pty7”
Note: When typing the letters “pty”, they must be lower case letters. The
number must equal the pty number configured on the system.
8Log out of the port. Enter the command:
LOGOUT PORT 2
End of Procedure
Accessing an MRV Console Port through the
on-board modem
The MRV IR-8020M Terminal Server is equipped with a V.90/K56flex 56
Kbps on-board modem. The modem port is 23. Follow Procedure 68 to access
an MRV Console Port through the on-board modem.
Procedure 68
Accessing an MRV Console Port through the on-board modem
1Connect an analog telephone line to the MRV telephone line port.
2Set up the remote PC connection.
3Dial in to the MRV onboard modem from the PC.
4From the PC, run HyperTerminal. Enter the command:
ATD [phone number]
Screen response:
CONNECT 9600/ARQ/V34/LAPM/V42BIS
Login
5Log in to the In-Reach Element Manager using the default password, (see
steps 4,5,6,and 7 in Procedure 62 on page 256).
End of Procedure
Once logged in to the on-board modem, it is possible to telnet to ports 1-20.
It is also possible to rlogin to different IPs.

Connecting a Terminal Server Page 265 of 488
Communication Server 1000E Installation and Configuration
CS 1000E COM port types
Table 17 lists various components of the CS 1000E system and their COM
port types.
Table 17
System components and COM port type
System component COM port type
Baystack 460 9-pin DCE (male)
Baystack 470 9-pin DCE (male)
NTDU27 Signaling Server 9-pin DTE (male)
Note: Signaling Server comes
with a six-foot female-to-female
null modem cable.
NT4N64AA CPPII 9-pin DTE (male)
A0852632 Media Card L-adapter 9-pin DCE (female)
A0870611 MIRAN L-adapter 9-pin DCE (female)
P0609204 Media Card L-adapter 9-pin DTE (male)
P0609205 MIRAN L-adapter 9-pin DTE (male)
NTDU14 Gateway 9-pin DTE (male) (modified to
isolate pins 6, 7, and 8)
Use PORT 0 of NTBK48AA
3-port SDI cable.

Page 267 of 488
Communication Server 1000E Installation and Configuration
276
Configuring a terminal and SDI ports
Contents
This section contains information on the following topics:
Introduction . . . . . . . . . . . . . . . . . . . . . . . . . . . . . . . . . . . . . . . . . . . . . . 267
Setting the TTY terminal port . . . . . . . . . . . . . . . . . . . . . . . . . . . . . . . . 268
Traditional terminal SDI connection. . . . . . . . . . . . . . . . . . . . . . . . . . . 268
CS 1000E Core Call Server SDI connection. . . . . . . . . . . . . . . . . . . . . 269
MG 1000E SDI connection. . . . . . . . . . . . . . . . . . . . . . . . . . . . . . . . . . 270
MG 1000T SDI connection. . . . . . . . . . . . . . . . . . . . . . . . . . . . . . . . . . 270
Signaling Server SDI connection . . . . . . . . . . . . . . . . . . . . . . . . . . . . . 273
BayStack 470 SDI connection. . . . . . . . . . . . . . . . . . . . . . . . . . . . . . . . 274
Media Card SDI connection . . . . . . . . . . . . . . . . . . . . . . . . . . . . . . . . . 274
Introduction
In the CS 1000E system, each stand-alone module (Call Server, MG 1000E,
MG 1000T, Signaling Server, and Baystack switch) has a Serial Data
Interface (SDI) port to be used for software installation and maintenance
access. The SDI port can be accessed by running a Telnet session through the
Terminal Server locally or remotely. See “Configuring a Terminal Server” on
page 255 for Terminal Server Setup. The SDI port can also be accessed by a
local terminal through the SDI connection.

Page 268 of 488 Configuring a terminal and SDI ports
553-3041-210 Standard 4.00 September 2007
Setting the TTY terminal port
A TTY terminal can be any standard PC running terminal software, (for
example, HyperTerminal). The TTY terminal port must be configured as:
• Bits per second - Baud rate must be the same as the speed of SDI port.
• Data bits - 8
•Parity- None
• Stop bit – 1
• Flow control – None
• Terminal Emulation- VT100
Traditional terminal SDI connection
Figure 87 shows the setup values for a traditional terminal setup.

Configuring a terminal and SDI ports Page 269 of 488
Communication Server 1000E Installation and Configuration
Figure 87
VT220 setup values
CS 1000E Core Call Server SDI connection
Each CS 1000E Core Call Server has two SDI ports on the Call Server CPU
card, COM1 and COM2. Both COM1 and COM2 are standard RS232 DTE
ports (9-pin male). COM1 is used for maintenance access, and COM2 is for
an external modem connection. Both SDI ports, COM1 and COM2, are set to:
• Baud rate - 9600
• Data bit - 8
• Stop bit - 1
Global Set-Up
On Line Comm1=RS232
Sessions on Comm1 70Hz
CRT Saver Printer Shared
Display Set-Up
80 Columns Light Text, Dark Screen
Interpret Controls Cursor
Auto Wrap Block Style Cursor
Jump Scroll
General Set-up
VT200 Mode, 7-bit Controls Application Keypad
User Defined Keys Unlocked Normal Cursor Keys
User Features Unlocked No New Line
Multinational
Communications Set-Up
Transmit=2400 No Local Echo
Receive=Transmit Data Leads Only
Xoff at 64 Disconnect, 2 s Delay
8bits, No Parity Limited Transmit
1 Stop Bit
Printer Set-Up
Speed=9600
Normal Print Mode Print Full Page
8bits, No Parity, Print National Only
1 Stop bit No Terminator
Keyboard Set-up
Typewriter Keys Warning Bell
Caps Lock Break
Auto Repeat Answerback=
Keyclick High Not Concealed
Margin Bell
Tab Set-Up Screen
Leave this screen at the default values

Page 270 of 488 Configuring a terminal and SDI ports
553-3041-210 Standard 4.00 September 2007
• Parity - none
• Flow control - none
MG 1000E SDI connection
SDI connection to the MG 1000E is made at the back. See Figure 88 on
page 272 for location of the 9-pin DTE (male) connector. It is modified to
isolate pins 6, 7, and 8. Use PORT0 of NTBK48AA 3-port SDI cable for
terminal connection.
Note: Connection must be made initially to each MG 1000E to set the
IP address.
MG 1000T SDI connection
A terminal, modem, or other device (such as CDR devices and additional
TTYs) can be connected to the SDI ports. Follow Procedure 69 on page 272
to connect devices to Media Gateways.
Refer to Table 18 for SDI port numbering for MG 1000T Core and
MG 1000T Expansions.
Table 18
SDI port numbering for Media Gateways
Media Gateway Normal mode Survival mode
MG 1000T Core 0, 1, 2 N/A
MG 1000T Expansion 1 3, 4, 5 0, 1, 2
MG 1000T Expansion 2 6, 7, 8 0, 1, 2
MG 1000T Expansion 3 9, 10, 11 0, 1, 2
MG 1000T Expansion 4 12, 13, 14 0, 1, 2

Configuring a terminal and SDI ports Page 271 of 488
Communication Server 1000E Installation and Configuration
Controlling the baud rate
You can use a switch setting on the SSC’s faceplate to control the baud rate
for port 0. Use LD 17 to configure port 1 and port 2. Make sure the baud rate
and device option settings are set correctly.
• Use Port 0 for software installation and upgrades. Port 0 is the only
system terminal (SDI) port that you can use for software installation and
upgrades.
• You can use all three ports on the SSC to connect terminals or modems.
• Use an NTBK48 3-port SDI cable with the SSC.
Table 19 shows the SDI port numbering.
Table 19
SDI port numbering
Port Use Baud rate Data bits Stop bits Parity
0 MTC/SCH/BUG Set by a DIP switch 8 1 None
1 MTC/SCH/BUG 1200 8 1 None
2 MTC/SCH/BUG 1200 8 1 None

Page 272 of 488 Configuring a terminal and SDI ports
553-3041-210 Standard 4.00 September 2007
Procedure 69
Connecting SDI ports on the Media Gateways
1Connect the NTBK48 3-port SDI cable to the 9-pin SDI port (RS-232) at
the rear of the Media Gateways (see Figure 88).
Figure 88
SDI port access to the Media Gateway SSC card
2Connect the system terminal to the cable marked “port 0” on the NTBK48
3-port cable. You require a Modem Eliminator adapter to connect the
system to a TTY terminal. This adapter is included in the CS 1000E and
the Media Gateway cable kits.
3If the system is accessed remotely, connect the system modem to the
cable marked “port 1” on the NTBK48 cable.
4When instructed, connect the modem to an outside line.
5When instructed, test the modem for correct operation when the system
is operating.
Note: You can use the remaining ports for other equipment, such as
CDR devices or TTYs.
End of Procedure
SDI
port

Configuring a terminal and SDI ports Page 273 of 488
Communication Server 1000E Installation and Configuration
Signaling Server SDI connection
The Signaling Server has two maintenance ports: the Front port and the
Console port (see Figure 89). The Console port must be used to install the
Signaling Server software to perform the basic configuration.
Figure 89
Signaling Server maintenance port locations
Procedure 70
Connecting the maintenance PC to a Signaling Server
1Connect a DTE–DTE null modem serial cable (supplied with the Signaling
Server) from the Console port to a PC workstation.
Note: The Signaling Server is shipped with the Admin/Serial port set to
19200 bit/s.
During the initial installation, the unit requires the PC Maintenance
terminal settings as provided in Step 2 on page 274.
Front port Console port

Page 274 of 488 Configuring a terminal and SDI ports
553-3041-210 Standard 4.00 September 2007
Figure 90
Maintenance to Signaling Server connection
2The COM port on the PC Maintenance terminal should be set as follows:
• Terminal type: VT100
• Speed: 19200
• Data bits: 8
• Parity: none
• Stop bits: 1
• Flow control: none
After the installation, the Signaling Server maintenance port speed can be
changed. See Signaling Server: Installation and Configuration
(553-3001-212).
End of Procedure
BayStack 470 SDI connection
The SDI port on the Bay Stack 470 can be used for basic configuration and
maintenance. The SDI port is located on the faceplate. It is a DCE port with
a default speed of 9600 bps.
Media Card SDI connection
The SDI ports on a Media Card can be used for basic configuration or
maintenance. Figure 91 shows the maintenance port location on the Media
Card and the Shielded 50-pin to Serial/ELAN/TLAN adapter.
PC Maintenance
Terminal
serial

Configuring a terminal and SDI ports Page 275 of 488
Communication Server 1000E Installation and Configuration
Figure 91
Maintenance port location on the Media Card and the
Shielded 50-pin to Serial/ELAN/TLAN adapter
The Media Card faceplate provides a female 8-pin mini-DIN serial
maintenance port connection. The maintenance port on the Shielded 50-pin
to Serial/ELAN/TLAN adapter provides an alternative to the faceplate
maintenance port. Both are DTE ports with a speed of 9600 bit/s.
CAUTION — Service Interruption
Do not connect maintenance terminals or modems to
the faceplate and I/O panel DB-9 male serial
maintenance port at the same time.
Maintenance port
Shielded 50-pin to
Serial/ELAN/TLAN
adapter

Page 277 of 488
Communication Server 1000E Installation and Configuration
288
Verifying the network
Contents
This section contains information on the following topics:
Introduction . . . . . . . . . . . . . . . . . . . . . . . . . . . . . . . . . . . . . . . . . . . . . . 277
Checking the status of the ELAN network interfaces. . . . . . . . . . . . . . 278
Checking the status of the MG 1000T 100BaseT links . . . . . . . . . . . . 283
Checking MG 1000T trunking functionality. . . . . . . . . . . . . . . . . . . . . 287
Establish CS 1000E DID calls from MG 1000T. . . . . . . . . . . . . . . . . . 287
Introduction
The CS 1000E to Media Gateway links and ELAN interfaces are verified
using LD 97, LD 117, LD 135, and LD 137. For details on LD 97, LD 117,
LD 135, and LD 137, see the Software Input/Output: Maintenance
(553-3001-511).
This chapter contains the following procedures:
• Procedure 71: "Checking the status of the ELAN network interfaces" on
page 278
• Procedure 72: "Checking the status of MG 1000T Core to MG 1000T
Expansion (1 - 4) 100BaseT links" on page 283
• Procedure 73: "Checking the status of the MG 1000T trunks" on
page 287

Page 278 of 488 Verifying the network
553-3041-210 Standard 4.00 September 2007
Checking the status of the ELAN network interfaces
Follow Procedure 71 to check the status of the ELAN network interfaces.
Note: IP addresses used are for example only.
Procedure 71
Checking the status of the ELAN network interfaces
1Observe the ELAN Ethernet LEDs (Layer 2 network link) on all Media
Gateway SSC cards. See Figure 94 on page 284.
a. If the ELAN LED is green, the Link is established.
b. If the Link LED is not lit, check all cable connections to ensure that
they are connected correctly, and not damaged.
The ELAN red and yellow LEDs flash when there is network activity.
Note: Cards in slot 1 can make viewing difficult.

Verifying the network Page 279 of 488
Communication Server 1000E Installation and Configuration
Figure 92
SSC card ELAN LED location
2Access LD 137. Enter the command:
LD 137
3Display the status of the Call Server ELAN network interface. Enter the
command:
STAT ELNK
System response:
.stat elnk
ELNK ENABLED
Auto Negotiation: Enabled
Auto Negotiation Completed: YES
ELAN Ethernet LEDs

Page 280 of 488 Verifying the network
553-3041-210 Standard 4.00 September 2007
Actual Line Speed: 100 Mbps
Actual Duplex Mode: Full Duplex
Ethernet (gei unit number 0):
Host: PRIMARY_ENET
Internet address: 47.11.226.10
Broadcast address: 47.11.226.31
Ethernet address: 00:c0:8b:07:a5:9e
Netmask: 0xff000000 ; Subnetmask: 0xffffffe0
15 packets received; 20 packets sent
0 input errors; 0 output errors
0 collisions
4Exit from LD 137. Enter the command:
****
5Access LD 117. Enter the command:
LD 117
6Verify active host table. Enter the command:
STAT HOST
System response:
*** Active Internet Host Table ***
ID Hostname IP Address
-- localhost 127.0.0.1
1 LOCAL_PPP_IF 137.135.192.4
2 REMOTE_PPP_IF 100.1.1.1
3 ACTIVECPU 47.11.223.68
4 INACTIVECPU 47.11.223.69
5 DEV_SIDE0_HSP 192.2.3.10
7 DEV_SIDE1_HSP 192.2.3.11
7Verify active routing table. Enter the command:
STAT ROUTE

Verifying the network Page 281 of 488
Communication Server 1000E Installation and Configuration
System response:
8Ping IP addresses on the ELAN network.
a. Enter the command:
PING 192.11.0.1
System response:
PING 192.11.0.1 SUCCESSFUL
b. Enter the command:
PING 192.11.0.101
System response:
PING 192.11.0.101 SUCCESSFUL
c. Enter the command:
PING 192.11.0.102
System response:
PING 192.11.0.102 SUCCESSFUL
d. Enter the command:
PING 192.11.0.103
System response:
PING 192.11.0.103 SUCCESSFUL
e. Enter the command:
PING 192.11.0.104
*** Active Internet Routing Table ***
1207.179.154.0 207.179.153.97 0 [qu0]
-- 207.179.153.96 207.179.153.99 0 [qu0]
-- 127.0.0.1 127.0.0.1 -- [lo0]
-- 200.30.200.13 200.30.200.13 3 [ipDB2]
-- 200.30.200.23 200.30.200.13 3 [ipDB2]
-- 207.179.153.103 207.179.153.103 1 [ipDB0]
-- 207.179.153.104 207.179.153.103 1 [ipDB0]

Page 282 of 488 Verifying the network
553-3041-210 Standard 4.00 September 2007
System response:
PING 192.11.0.104 SUCCESSFUL
9Exit from LD 117. Enter the command:
****
End of Procedure
Checking the status of the HSP ports
Use LD 137 STAT HSP command to check the status of the HSP. The
following is a sample output of the STAT HSP command.
LD 137
.stat hsp
HSP LINK CARRIER: OK
Auto Negotiation: Enabled
Auto Negotiation Completed: YES
Actual Line Speed: 1000 Mbps
Actual Duplex Mode: Full Duplex
LCS HSP STATE is UP
Ethernet (gei unit number 1):
Internet address: 127.2.0.2
Broadcast address: 127.255.255.255
Ethernet address: 00:c0:8b:07:a5:9f
Netmask: 0xff000000; Subnetmask: 0xff000000

Verifying the network Page 283 of 488
Communication Server 1000E Installation and Configuration
39698 packets received; 80156 packets sent
0 input errors; 0 output errors
0 collisions
Checking the status of the MG 1000T 100BaseT links
Follow Procedure 72 to check the status of the MG 1000T Core to MG 1000T
Expansion (1- 4) 100BaseT links.
Procedure 72
Checking the status of MG 1000T Core to MG 1000T Expansion (1 - 4)
100BaseT links
1Observe the link LEDs (Layer2 network link) on all Media Gateway
100BaseT Daughterboards. See Figure 93 and Figure 94 on page 284.
Note: Cards in slot 1 can make viewing difficult.
Figure 93
SSC 100BaseT daughterboard link LED location
Link LEDs

Page 284 of 488 Verifying the network
553-3041-210 Standard 4.00 September 2007
Figure 94
SSC 100BaseT daughterboard (dual port) LEDs
a. If the Link LED is green, the Link is established.
b. If the Link LED is not lit, check the daughterboard installation. Check
all cable connections to ensure that they are connected correctly.
Make sure that the cables are not damaged.
The receive and transmit LEDs should be flashing (evidence of network
activity).
2Observe Port LEDs on the Media Gateway SSC faceplates (see
Figure 95 on page 285). These LEDs show OSI Layer 7 Call Processing
application indications.
a. If the Port LEDs are red, the link is disabled and voice is disabled.
b. If the Port LEDs are yellow/amber, the link is established and voice
is disabled.
c. If the Port LEDs are green, the link and voice is established.
RX - Red
TX - Yellow
Link - Green
For the NTDK83, these link LEDs indicate the status of port 1
when installed in the upper position of the NTDK20 SSC,
or port 2 when installed in the lower position of the NTDK20 SSC.
These link LEDs indicate the status of port 3 when installed in the
upper position of the NTDK20 SSC, or port 4 when installed in the
lower position of the NTDK20 SSC.
553-AAA0003

Verifying the network Page 285 of 488
Communication Server 1000E Installation and Configuration
Figure 95
Media Gateways SSC faceplate Port LEDs
3Observe bootup system messages on system terminals.
SRPT017 OMM: IP link is UP between cab 0 and cab 1
SRPT017 OMM: IP link is UP between cab 0 and cab 2
SRPT017 OMM: IP link is UP between cab 0 and cab 3
SRPT017 OMM: IP link is UP between cab 0 and cab 4
4Log in to the CS 1000E.
a. Enter the command:
LOGI
System response:
PASS?
b. Enter the default password
0000
5Access LD 135. Enter the command:
LD 135
6Display status of 100BaseT links. Enter the command:
STAT IPL
System response:
Media Gateway 1 : LINK UP
Media Gateway 2 : LINK UP
Media Gateway 3 : LINK UP
Media Gateway 4 : LINK UP

Page 286 of 488 Verifying the network
553-3041-210 Standard 4.00 September 2007
7Exit from LD 135. Enter the command:
****
8Access LD 117. Enter the command:
LD 117
9Ping IP addresses on the 100BaseT links.
a. Enter the command:
PING 192.168.0.11
System response:
PING 192.168.0.11 SUCCESSFUL
b. Enter the command:
PING 192.168.0.21
System response:
PING 192.168.0.21 SUCCESSFUL
c. Enter the command:
PING 192.168.0.31
System response:
PING 192.168.0.31 SUCCESSFUL
d. Enter the command:
PING 192.168.0.41
System response:
PING 192.168.0.41 SUCCESSFUL
Note: Replace the sample IP addresses with the IP addresses from your
Planning and Engineering group.
10 Exit from LD 117. Enter the command:
****
End of Procedure

Verifying the network Page 287 of 488
Communication Server 1000E Installation and Configuration
Checking MG 1000T trunking functionality
To check trunking on the MG 1000T follow Procedure 73 on page 287.
Procedure 73
Checking the status of the MG 1000T trunks
1Install an i2050 on MG 1000T core. Refer to IP Line: Description,
Installation, and Operation (553-3001-365) for additional information.
2Establish a call from the i2050 to a telephone on CS 1000E using CDP
number.
3Establish a call from i2050 to the PSTN.
4Establish a call from the i2050 to a telephone on the CS 1000E through
the PSTN using <local AC code> <NXX>, for example 9-967-5555.
End of Procedure
Establish CS 1000E DID calls from MG 1000T
To check CS 1000E DID calls from MG 1000T follow procedure
To terminate incoming DID calls the number of digits picked up at the
terminating node for call termination, from the Called Number of the message
is based on the length of LDN value. LDN0 is considered for this by default.
Therefore to ensure that all the five digits of the DN are considered for call
termination LDN0 should have a five digit number.
Procedure 74
Check CS 1000E DID calls from MG 1000T
1Establish a Listed Directory Number in LD 15.
2Ensure that all the digits of the DN are considered for call termination,
LDN0 should be a number whose length is equal to the maximum length
DN on the Node.
For example, if DNs are five digits, then LDN0 could be configured as
55555.
3Establish a DID call.
End of Procedure

Page 289 of 488
Communication Server 1000E Installation and Configuration
318
Installing and cross-connecting a
trunk card
Contents
This section contains information on the following topics:
Introduction . . . . . . . . . . . . . . . . . . . . . . . . . . . . . . . . . . . . . . . . . . . . . . 289
Circuit card options . . . . . . . . . . . . . . . . . . . . . . . . . . . . . . . . . . . . . . . . 293
Digital trunk cards. . . . . . . . . . . . . . . . . . . . . . . . . . . . . . . . . . . . . . . . . 293
Connecting a trunk . . . . . . . . . . . . . . . . . . . . . . . . . . . . . . . . . . . . . . . . 294
Universal Trunk card connections. . . . . . . . . . . . . . . . . . . . . . . . . . . . . 295
E&M Trunk card connections . . . . . . . . . . . . . . . . . . . . . . . . . . . . . . . . 298
Trunk connections (Europe) . . . . . . . . . . . . . . . . . . . . . . . . . . . . . . . . . 300
Trunk connections (UK) . . . . . . . . . . . . . . . . . . . . . . . . . . . . . . . . . . . . 310
Verifying trunk functionality . . . . . . . . . . . . . . . . . . . . . . . . . . . . . . . . 318
Introduction
The work order outlines the placement of circuit cards in the Media Gateway
and Media Gateway Expander. Analog trunks can be installed in both Media
Gateway and Media Gateway Expander. However, digital trunk cards can
only be installed in slots 1 to 4 of the MG 1000T. See Circuit Card:
Description and Installation (553-3001-211) for card placement into card
slots.

Page 290 of 488 Installing and cross-connecting a trunk card
553-3041-210 Standard 4.00 September 2007
Figure 96 shows the circuit card slots in a Media Gateway. To view the circuit
card slots available in a Media Gateway Expander, see Figure 97 on
page 291.
Figure 96
Circuit card assignments in the Media Gateway
IMPORTANT!
Digital Trunk cards can be installed only in slots 1 to 4 of the
Media Gateway.
SLOT
0
SSC
SLOT
1
SLOT
2
SLOT
3
SLOT
4
Slot 4
Slot 3
Slot 2
Slot 1
Slot 0 - SSC
553-CSE9025

Installing and cross-connecting a trunk card Page 291 of 488
Communication Server 1000E Installation and Configuration
Figure 97
Circuit card assignments in the Media Gateway Expander
WARNING
Use caution when installing or modifying telephone lines.
Avoid installing telephone wiring during a lightning storm.
Do not install telephone jacks in wet locations unless the
jacks are designed for wet locations. Never touch
uninsulated telephone wiring unless the line is
disconnected at the network interface.
Slot 9
Slot 8
Slot 7
Slot 10
SLOT
7
SLOT
8
SLOT
9
SLOT
10
553-CSE9032

Page 292 of 488 Installing and cross-connecting a trunk card
553-3041-210 Standard 4.00 September 2007
Before you proceed, install the cable from the slot that contains the Line card
associated with the telephone being connected. Refer to “Installing the Main
Distribution Frame” on page 353, if you require additional cable installation.
Refer to the Circuit Card: Description and Installation (553-3001-211) for
full descriptions of country-specific circuit cards and their installation
procedures.
DANGER OF ELECTRIC SHOCK
Always use caution when installing or modifying
telephone lines. Do not install telephone wiring during a
lightning storm. Do not install telephone jacks in wet
locations unless the jacks are designed for wet locations.
Never touch uninsulated telephone wiring unless the line
is disconnected at the network interface.
CAUTION WITH ESDS DEVICES
Always handle circuit cards with caution to avoid damage
caused by static electricity. Always store circuit cards that
are not in use in an antistatic bag or the original
packaging
Wear an antistatic wrist strap, such as the one shown in
Figure 98 on page 293, when handling circuit cards.
Static electricity can damage circuit card components.

Installing and cross-connecting a trunk card Page 293 of 488
Communication Server 1000E Installation and Configuration
Figure 98
Antistatic wrist strap
Circuit card options
A circuit card that has a switch symbol on its faceplate is equipped with
option switches, strapping plugs, or both. Ensure that the option switches or
strapping plugs are set correctly. Circuit cards can also have daughterboards
or other add-on devices installed on them.
Digital trunk cards
Digital trunk cards can be installed only in slots 1 to 4 in a Media Gateway.
The following Digital trunk cards can be installed:
• NTAK09 1.5 Mbit DTI/PRI
• NTAK10 2.0 Mbit DTI
• NTAK79 2.0 Mbit PRI
•NTBK22 MISP
• NTBK50 2.0 Mbit BRI
Antistatic
wrist strap

Page 294 of 488 Installing and cross-connecting a trunk card
553-3041-210 Standard 4.00 September 2007
• NTRB21 TMDI 1.5 Mbit DTI/PRI
• NT6D70 SILC
• NT6D71 UILC
For additional information about installing Digital trunk cards, refer to the
following documents:
•ISDN Primary Rate Interface: Installation and Configuration
(553-3001-201)
•ISDN Basic Rate Interface: Installation and Configuration
(553-3001-218)
•ISDN Primary Rate Interface: Maintenance (553-3001-517)
•ISDN Basic Rate Interface: Maintenance (553-3001-518)
Connecting a trunk
Follow Procedure 75 to connect a trunk.
Procedure 75
Connecting a trunk
1From the assignment record, determine the location of the trunk
connection and its associated Terminal Number (TN) at the
cross-connect terminal.
2With cross-connect wire, connect the trunk to the TN.
Make sure that the wiring is not reversed and that it is on the correct
terminals.
• Table 20 on page 295 to Table 22 on page 298 list the connections
for trunks.
• For European trunk connections, see Table 23 on page 300 to
Table 31 on page 309.
• For UK trunk connections, see Table 32 on page 311 to Table 38 on
page 318.

Installing and cross-connecting a trunk card Page 295 of 488
Communication Server 1000E Installation and Configuration
Note: See “Installing and cross-connecting a Power Fail Transfer Unit”
on page 441 for connecting trunks with the PFTU.
End of Procedure
Universal Trunk card connections
The Universal Trunk card (NT8D14) provides eight Analog trunks that can
function in the modes identified in Table 20. Refer to Table 21 on page 296
for the connections to the Universal trunk at the cross-connect terminal.
Table 20
NT8D14 Universal Trunk card – modes and option settings
Modes Location Jumper strap
Central (CO) J1, J2 OFF
2-way TIE trunk (loop Dial Repeat) J1, J2 OFF
2-way TIE trunk (Outgoing Incoming
Dial)
J1, J2 OFF
Recorded Announcement (RAN) J1, J2 OFF
Paging trunk J1, J2 OFF
Japan CO/DID operation J1, J2 OFF
DID operation
Loop length>2000 ohms
J1, J2 ON
DID operation
Loop length <2000 ohms
J1, J2 OFF
Note 1: OFF indicates that no strap is present.
Note 2: J1 and J2 locations apply to all eight trunks.

Page 296 of 488 Installing and cross-connecting a trunk card
553-3041-210 Standard 4.00 September 2007
Table 21
NT8D14 Universal Trunk connections (Part 1 of 2)
Cable from equipment Unit
RAN
mode
Paging
mode
All other
modes
Pair Color Designations
1T
1R
W-BL
BL-W
0
T0
R0
T0
R0
T0
R0
2T
2R
W-O
O-W
CP
MB
A
PG
3T
3R
W-G
G-W
1
T1
R1
T1
R1
T1
R1
4T
4R
W-BR
BR-W
CP
MB
A
PG
5T
5R
W-S
S-W
2
T2
R2
T2
R2
T2
R2
6T
6R
R-BL
BL-R
CP
MB
A
PG
7T
7R
R-O
O-R
3
T3
R3
T3
R3
T3
R3
8T
8R
R-G
G-R
CP
MB
A
PG
9T
9R
R-BR
BR-R
4
T4
R4
T4
R4
T4
R4
10T
10R
R-S
S-R
CP
MB
A
PG
11T
11R
BK-BL
BL-BK
5
T5
R5
T5
R5
T5
R5
12T
12R
BK-O
O-BK
CP
MB
A
PG

Installing and cross-connecting a trunk card Page 297 of 488
Communication Server 1000E Installation and Configuration
13T
13R
BK-G
G-BK
6
T6
R6
T6
R6
T6
R6
14T
14R
BK-BR
BR-BK
CP
MB
A
PG
15T
15R
BK-S
S-BK
7
T7
R7
T7
R7
T7
R7
16T
16R
Y- B L
BL-Y
CP
MB
A
PG
Note: Remaining pairs are spare.
Table 21
NT8D14 Universal Trunk connections (Part 2 of 2)
Cable from equipment Unit
RAN
mode
Paging
mode
All other
modes
Pair Color Designations

Page 298 of 488 Installing and cross-connecting a trunk card
553-3041-210 Standard 4.00 September 2007
E&M Trunk card connections
Table 22 lists the connections required by the E&M Trunk card (NT8D15).
Table 22
NT8D15 E&M Trunk card (Part 1 of 2)
Cables
Card 1 through
Card 10 from
equipment Unit
2W
Paging
mode
2W
Type 1
mode
4W
Type 1
mode
4W
Type 2
mode
Pair Color Designations
1T
1R
W-BL
BL-W
0
T0
R0
T0
R0
TA
TB
TA
TB
2T
2R
W-O
O-W
RA
RB
RA
RB
3T
3R
W-G
G-W
E
M
E
M
EA
EB
4T
4R
W-BR
BR-W
A
PG
ESC
ESCG
MA
MB
5T
5R
W-S
S-W
1
T1
R1
T1
R1
TA
TB
TA
TB
6T
6R
R-BL
BL-R
RA
RB
RA
RB
7T
7R
R-O
O-R
E
M
E
M
EA
EB
8T
8R
R-G
G-R
A
PG
ESC
ESCG
MA
MB

Installing and cross-connecting a trunk card Page 299 of 488
Communication Server 1000E Installation and Configuration
9T
9R
R-BR
BR-R
2
T2
R2
T2
R2
TA
TB
TA
TB
10T
10R
R-S
S-R
RA
RB
RA
RB
11T
11R
BK-BL
BL-BK
E
M
E
M
EA
EB
12T
12R
BK-O
O-BK
A
PG
ESC
ESCG
MA
MB
13T
13R
BK-G
G-BK
3
T3
R3
T3
R3
TA
TB
TA
TB
14T
14R
BK-BR
BR-BK
RA
RB
RA
RB
15T
15R
BK-S
S-BK
E
M
E
M
EA
EB
16T
16R
Y- B L
BL-Y
A
PG
ESC
ESCG
MA
MB
Note: A and B are the transmit and receive pairs, where:
TA = Transmit Tip, and RA = Receive Tip
TB = Transmit Ring, and RB = Receive Ring
Table 22
NT8D15 E&M Trunk card (Part 2 of 2)
Cables
Card 1 through
Card 10 from
equipment Unit
2W
Paging
mode
2W
Type 1
mode
4W
Type 1
mode
4W
Type 2
mode
Pair Color Designations

Page 300 of 488 Installing and cross-connecting a trunk card
553-3041-210 Standard 4.00 September 2007
Trunk connections (Europe)
Trunk connections for Europe are provided in the following tables:
• Table 23: “E&M TIE trunk card (2-Wire)” on page 300
• Table 24: “E&M 2-wire Type 2” on page 301
• Table 25: “E&M TIE Trunk card (4-Wire)” on page 302
• Table 26: “E&M TIE Trunk card” on page 304
• Table 27: “E&M 2280 Hz TIE Trunk connections” on page 305
• Table 28: “E&M 2-wire Recorded Announcement Trunk connections”
on page 306
• Table 29: “E&M 2-wire Music Trunk connections” on page 307
• Table 30: “Central Office & Direct Dial Inward Trunk connections” on
page 307
• Table 31: “Central Office Trunk connections” on page 309
Table 23
E&M TIE trunk card (2-Wire) (Part 1 of 2)
Cables Card 1 through Card 10
from equipment
Column 1
Paging
Column 2
Paging
Column 3
Type 5
(BPO)
Pair Color Unit Pins Lead Designations
1T
1R
W-O
O-W
0
27
2
T0
R0
T0
R0
T0
R0
2T
2R
W-BR
BR-W
29
4
A
PG
SIGB
SIGA
E
M
3T
3R
R-BL
BL-R
1
31
6
T1
R1
T1
R1
T1
R1
4T
4R
R-G
G-R
33
8
A
PG
SIGB
SIGA
E
M

Installing and cross-connecting a trunk card Page 301 of 488
Communication Server 1000E Installation and Configuration
5T
5R
R-S
S-R
2
35
10
T2
R2
T2
R2
T2
R2
6T
6R
BK-O
O-BK
37
12
A
PG
SIGB
SIGA
E
M
7T
7R
BK-BR
BR-BK
3
39
14
T3
R3
T3
R3
T3
R3
8T
8R
Y- B L
BL-Y
41
16
A
PG
SIGB
SIGA
E
M
Table 24
E&M 2-wire Type 2 (Part 1 of 2)
Lead
designations Pins Pair color Unit number
T0
R0
27
2
W-O
O-W
0
E1
E2
28
3
W-G
G-W
M1
M2
29
4
W-G
G-W
T1
R1
31
6
R-BL
BL-R
1
E1
E2
32
7
R-O
O-R
M1
M2
33
8
R-G
G-R
Table 23
E&M TIE trunk card (2-Wire) (Part 2 of 2)
Cables Card 1 through Card 10
from equipment
Column 1
Paging
Column 2
Paging
Column 3
Type 5
(BPO)

Page 302 of 488 Installing and cross-connecting a trunk card
553-3041-210 Standard 4.00 September 2007
T2
R2
35
10
R-S
S-R
2
E1
E2
36
11
BK-BL
BL-BK
M1
M2
37
12
BK-O
O-BK
T3
R3
39
14
BK-BR
BR-BK
3
E1
E2
40
15
BK-S
S-BK
M1
M2
41
16
Y- B L
BL-Y
Table 25
E&M TIE Trunk card (4-Wire) (Part 1 of 2)
Cables Card 1 through
Card 10 from equipment
Column 1
Type 1 & 5
Column 2
Type 1 & 5
Pair Color
Unit
# Pins Lead Designations
1T
1R
W-BL
BL-W
0
26
1
RA
RB
TA
TB
2T
2R
W-O
O-W
27
2
TA
TB
RA
RB
3T
3R
W-G
G-W
28
3
E
M
E
M
Table 24
E&M 2-wire Type 2 (Part 2 of 2)

Installing and cross-connecting a trunk card Page 303 of 488
Communication Server 1000E Installation and Configuration
4T
4R
W-S
S-W
1
30
5
RA
RB
TA
TB
5T
5R
R-BL
BL-R
31
6
TA
TB
RA
RB
6T
6R
R-O
O-R
32
7
E
M
E
M
7T
7R
R-BR
BR-R
2
34
9
RA
RB
TA
TB
8T
8R
R-S
S-R
35
10
TA
TB
RA
RB
9T
9R
BK-BL
BL-BK
36
11
E
M
E
M
10T
10R
BK-G
G-BK
3
38
13
RA
RB
TA
TB
11T
11R
BK-BR-
BR-BK
39
14
TA
TB
RA
RB
12T
12R
BK-S
S-BK
40
15
E
M
E
M
Note: The cable pair designated TA, TB is the transmit pair. The pair
designated RA, RB is the receive pair.
Table 25
E&M TIE Trunk card (4-Wire) (Part 2 of 2)
Cables Card 1 through
Card 10 from equipment
Column 1
Type 1 & 5
Column 2
Type 1 & 5

Page 304 of 488 Installing and cross-connecting a trunk card
553-3041-210 Standard 4.00 September 2007
Table 26
E&M TIE Trunk card (Part 1 of 2)
Cables Card 1 through
Card 10 from equipment
Column 1
Type 2
Column 2
Type 2
Pair Color
Unit
# Pins Lead Designations
1T
1R
W-BL
BL-W
0
26
1
RA
RB
RA
RB
2T
2R
W-O
O-W
27
2
TA
TB
TA
TB
3T
3R
W-G
G-W
28
3
E1
E2
E
M
4T
4R
W-BR
BR-W
29
4
M1
M2
SIG0A
SIG0B
5T
5R
W-S
S-W
1
30
5
RA
RB
RA
RB
6T
6R
R-BL
BL-R
31
6
TA
TB
TA
TB
7T
7R
R-O
O-R
32
7
E1
E2
E
M
8T
8R
R-G
G-R
33
8
M1
M2
SIG1A
SIG1B
9T
9R
R-BR
BR-R
2
34
9
RA
RB
RA
RB
10T
10R
R-S
S-R
35
10
TA
TB
TA
TB
11T
11R
BK-BL
BL-BK
36
11
E1
E2
E
M
12T
12R
BK-O
O-BK
37
12
M1
M2
SIG2A
SIG2B

Installing and cross-connecting a trunk card Page 305 of 488
Communication Server 1000E Installation and Configuration
13T
13R
BK-G
G-BK
3
38
13
RA
RB
RA
RB
14T
14R
BK-BR
BR-BK
39
14
TA
TB
TA
TB
15T
15R
BK-S
S-BK
40
15
E1
E2
E
M
16T
16R
Y- B L
BL-Y
41
16
M1
M2
SIG3A
SIG3B
Note: The cable pair designated TA, TB is the transmit pair. The pair
designated RA, RB is the receive pair.
Table 27
E&M 2280 Hz TIE Trunk connections (Part 1 of 2)
Lead
designations Pins Pair color Unit number
TA
TB
26
1
W-BL
BL-W
0
RA
RB
27
2
W-O
O-W
TA
TB
30
5
W-S
S-W
1
RA
RB
31
6
R-BL
BL-R
Table 26
E&M TIE Trunk card (Part 2 of 2)
Cables Card 1 through
Card 10 from equipment
Column 1
Type 2
Column 2
Type 2

Page 306 of 488 Installing and cross-connecting a trunk card
553-3041-210 Standard 4.00 September 2007
TA
TB
34
9
R-BR
BR-R
2
RA
RB
35
10
R-S
S-R
TA
TB
38
13
BK-G
G-BK
3
RA
RB
39
14
BK-BR
BR-BK
Table 28
E&M 2-wire Recorded Announcement Trunk connections
Lead
designations Pins Pair color Unit number
T0
R0
26
1
W-BL
BL-W 0
SIG B
SIG A
29
4
W-BR
BR-W
T1
R1
30
5
W-S
S-W 1
SIG B
SIG A
33
8
R-G
G-R
T2
R2
34
9
R-BR
BR-R 2
SIG B
SIG A
37
12
BK-O
O-BK
T3
R3
38
13
BK-G
G-BK 3
SIG B
SIG A
41
16
Y- B L
BL-Y
Table 27
E&M 2280 Hz TIE Trunk connections (Part 2 of 2)

Installing and cross-connecting a trunk card Page 307 of 488
Communication Server 1000E Installation and Configuration
Table 29
E&M 2-wire Music Trunk connections
Lead
designations Pins Pair color Unit number
T0
R0
26
1
W-BL
BL-W
0
T1
R1
30
5
W-S
S-W
1
T2
R2
34
9
R-BR
BR-R
2
T3
R3
38
13
BK-G
G-BK
3
Table 30
Central Office & Direct Dial Inward Trunk connections (Part 1 of 2)
Cable from
equipment
Unit Pins
Column 1 Column 2 Column 3
Pair Color Lead designations
1T
1R
W-BL
BL-W
0
26
1
T0
R0
T0
R0
A0
B0
2T
2R
W-O
O-W
27
2
PPM0
—
C0
Spare
3T
3R
W-G
G-W
1
28
3
T1
R1
T1
R1
A1
B1
4T
4R
W-BR
BR-W
29
4
PPM1
—
C1
Spare
5T
5R
W-S
S-W
2
30
5
T2
R2
T2
R2
A2
B2
6T
6R
R-BL
BL-R
31
6
PPM2
—
C2
Spare

Page 308 of 488 Installing and cross-connecting a trunk card
553-3041-210 Standard 4.00 September 2007
7T
7R
R-O
O-R
3
32
7
T3
R3
T3
R3
A3
B3
8T
8R
R-G
G-R
33
8
PPM3
—
C3
Spare
9T
9R
R-BR
BR-R
4
34
9
T4
R4
T4
R4
A4
B4
10T
10R
R-S
S-R
35
10
PPM4
—
C4
Spare
11T
11R
BK-BL
BL-BK
5
36
11
T5
R5
T5
R5
A5
B5
12T
12R
BK-O
O-BK
37
12
PPM5
—
C5
Spare
13T
13R
BK-G
G-BK
6
38
13
T6
R6
T6
R6
A6
B6
14T
14R
BK-BR
BR-BK
39
14
PPM6
—
C6
Spare
15T
15R
BK-S
S-BK
7
40
15
T7
R7
T7
R7
A7
B7
16T
16R
Y- B L
BL-Y
41
16
PPM7
—
C7
Spare
Table 30
Central Office & Direct Dial Inward Trunk connections (Part 2 of 2)
Cable from
equipment
Unit Pins
Column 1 Column 2 Column 3
Pair Color Lead designations

Installing and cross-connecting a trunk card Page 309 of 488
Communication Server 1000E Installation and Configuration
Table 31
Central Office Trunk connections (Part 1 of 2)
Cable from
equipment
Unit Pins Lead designationsPair Color
1T
1R
W-BL
BL-W
0
26
1
T0
R0
2T
2R
W-O
O-W
27
2
3T
3R
W-G
G-W
28
3
4T
4R
W-BR
BR-W
29
4
5T
5R
W-S
S-W
1
30
5
T1
R1
6T
6R
R-BL
BL-R
31
6
7T
7R
R-O
O-R
32
7
8T
8R
R-G
G-R
33
8
9T
9R
R-BR
BR-R
2
34
9
T2
R2
10T
10R
R-S
S-R
35
10
11T
11R
BK-BL
BL-BK
36
11
12T
12R
BK-O
O-BK
37
12

Page 310 of 488 Installing and cross-connecting a trunk card
553-3041-210 Standard 4.00 September 2007
Trunk connections (UK)
Trunk connections for the UK are provided in the following tables:
• Table 32: “NT5K17 Direct Inward Dial card terminations” on page 311
• Table 33: “NT5K18 Exchange line trunk card cross-connect
terminations” on page 312
• Table 34: “NT5K19 2W paging mode terminations” on page 314
• Table 35: “NT5K19 2W Type 1 mode terminations” on page 314
• Table 36: “NT5K19 4W Type 1 mode terminations” on page 316
• Table 37: “NT5K19 AC15 mode pair terminations” on page 317
• Table 38: “NT5K19 Recorded Announcement mode pair terminations”
on page 318
13T
13R
BK-G
G-BK
3
38
13
T3
R3
14T
14R
BK-BR
BR-BK
39
14
15T
15R
BK-S
S-BK
40
15
16T
16R
Y- B L
BL-Y
41
16
Table 31
Central Office Trunk connections (Part 2 of 2)
Cable from
equipment
Unit Pins Lead designationsPair Color

Installing and cross-connecting a trunk card Page 311 of 488
Communication Server 1000E Installation and Configuration
Table 32
NT5K17 Direct Inward Dial card terminations (Part 1 of 2)
Pair Pins Pair color Unit
T0
R0
26
1
W-BL
BL-W 0
27
2
W-O
O-W
T1
R1
28
3
W-G
G-W 1
29
4
W-BR
BR-W
T2
R2
30
5
W-S
S-W 2
31
6
R-BL
BL-R
T3
R3
32
7
R-O
O-R 3
33
8
R-G
G-R
T4
R4
34
9
R-BR
BR-R 4
35
10
R-S
S-R
T5
R5
36
11
BK-BL
BL-BK 5
37
12
BK-O
O-BK
T6
R6
38
13
BK-G
G-BK 6

Page 312 of 488 Installing and cross-connecting a trunk card
553-3041-210 Standard 4.00 September 2007
Note: The connections on the NT5K18 Exchange Line Trunk card are
polarity-sensitive. Make sure the ground side of the trunk is connected to
the A leg of the NT5K18 circuit. Make sure the -50 Volt side of the trunk
is connected to the B leg of the NT5K18 circuit.
39
14
BK-BR
BR-BK
T7
R7
40
15
BK-S
S-BK 7
41
16
Y- B L
BL-Y
Table 33
NT5K18 Exchange line trunk card cross-connect terminations
(Part 1 of 2)
Pair Pins Pair color Unit
T0
R0
26
1
W-BL
BL-W 0
27
2
W-O
O-W
T1
R1
28
3
W-G
G-W 1
29
4
W-BR
BR-W
T2
R2
30
5
W-S
S-W 2
31
6
R-BL
BL-R
Table 32
NT5K17 Direct Inward Dial card terminations (Part 2 of 2)
Pair Pins Pair color Unit

Installing and cross-connecting a trunk card Page 313 of 488
Communication Server 1000E Installation and Configuration
T3
R3
32
7
R-O
O-R 3
33
8
R-G
G-R
T4
R4
34
9
R-BR
BR-R 4
35
10
R-S
S-R
T5
R5
36
11
BK-BL
BL-BK 5
37
12
BK-O
O-BK
T6
R6
38
13
BK-G
G-BK 6
39
14
BK-BR
BR-BK
T7
R7
40
15
BK-S
S-BK 7
41
16
Y- B L
BL-Y
Table 33
NT5K18 Exchange line trunk card cross-connect terminations
(Part 2 of 2)
Pair Pins Pair color Unit

Page 314 of 488 Installing and cross-connecting a trunk card
553-3041-210 Standard 4.00 September 2007
Note: The speech pairs on the NT5K19 card are polarity-insensitive.
The E&M signaling pairs, however, are polarity-sensitive. Make sure the
ground side of the trunk is connected to the A leg of the NT5K19 circuit.
Make sure the -50 Volt side of the trunk is connected to the B leg.
Table 34
NT5K19 2W paging mode terminations
Pair Pins Pair color Unit
T0
R0
27
2
W-O
O-W 0
A
PG
29
4
W-BR
BR-W
T1
R1
31
6
R-BL
BL-R 1
A
PG
33
8
R-G
G-R
T2
R2
35
10
R-S
S-R 2
A
PG
37
12
BK-O
O-BK
T3
R3
39
14
BK-BR
BR-BK 3
A
PG
41
16
Y- B L
BL-Y
Table 35
NT5K19 2W Type 1 mode terminations (Part 1 of 2)
Pair Pins Pair color Unit
T0
R0
27
2
W-O
O-W 0
E
M
28
3
W-G
G-W

Page 316 of 488 Installing and cross-connecting a trunk card
553-3041-210 Standard 4.00 September 2007
Table 36
NT5K19 4W Type 1 mode terminations
Pair Pins Pair color Unit
TA
TB
26
1
W-BL
BL-W
RA
RB
27
2
W-O
O-W 0
E
M
28
3
W-G
G-W
RA
RB
30
5
W-S
S-W
TA
RB
31
6
R-BL
BL-R 1
E
M
32
7
R-O
O-R
TA
TB
34
9
R-BR
BR-R
RA
RB
35
10
R-S
S-R 2
E
M
36
11
BK-BL
BL-BK
TA
TB
38
13
BK-G
G-BK
RA
TB
39
14
BK-BR
BR-BK 3
E
M
40
15
BK-S
S-BK

Installing and cross-connecting a trunk card Page 317 of 488
Communication Server 1000E Installation and Configuration
Table 37
NT5K19 AC15 mode pair terminations
Pair Pins Pair color Unit
TA
TB
26
1
W-BL
BL-W 0
RA
RB
27
2
W-O
O-W
TA
TB
30
5
W-S
S-W 1
RA
RB
31
6
R-BL
BL-R
TA
TB
34
9
R-BR
BR-R 2
RA
RB
35
10
R-S
S-R
TA
TB
38
13
BK-G
G-BK 3
RA
TB
39
14
BK-BR
BR-BK

Page 318 of 488 Installing and cross-connecting a trunk card
553-3041-210 Standard 4.00 September 2007
Verifying trunk functionality
You can now use the trunks. To test the trunks, make trunk calls.
Table 38
NT5K19 Recorded Announcement mode pair terminations
Pair Pins Pair color Unit
T0
R0
26
1
W-BL
BL-W 0
SIG B
SIG A
29
4
W-BR
BR-W
T1
R1
30
5
W-S
S-W 1
SIG B
SIG A
33
8
R-G
G-R
T2
R2
34
9
R-BR
BR-R 2
SIG B
SIG A
37
12
BK-O
O-BK
T3
R3
38
13
BK-G
G-BK 3
SIG B
SIG A
41
16
Y- B L
BL-Y

Page 319 of 488
Communication Server 1000E Installation and Configuration
352
Installing and configuring a
Voice Gateway Media Card
Contents
This section contains information on the following topics:
Introduction . . . . . . . . . . . . . . . . . . . . . . . . . . . . . . . . . . . . . . . . . . . . . . 320
Configuring a card. . . . . . . . . . . . . . . . . . . . . . . . . . . . . . . . . . . . . . . . . 321
Adding a card to an IP telephony node . . . . . . . . . . . . . . . . . . . . . . . . . 321
Configuring a card as a node Leader. . . . . . . . . . . . . . . . . . . . . . . . . . . 325
Configuring voice gateway channels using Element Manager . . . . . . . 325
Configuring voice gateway channels using LD 14 . . . . . . . . . . . . . . . . 327
Saving configuration changes . . . . . . . . . . . . . . . . . . . . . . . . . . . . . . . . 329
Installing a CompactFlash. . . . . . . . . . . . . . . . . . . . . . . . . . . . . . . . . . . 330
Installing a card in a Media Gateway . . . . . . . . . . . . . . . . . . . . . . . . . . 335
Verifying a card. . . . . . . . . . . . . . . . . . . . . . . . . . . . . . . . . . . . . . . . . . . 339
Disabling a card. . . . . . . . . . . . . . . . . . . . . . . . . . . . . . . . . . . . . . . . . . . 347
Disabling a card unit . . . . . . . . . . . . . . . . . . . . . . . . . . . . . . . . . . . . . . . 348
Enabling a card . . . . . . . . . . . . . . . . . . . . . . . . . . . . . . . . . . . . . . . . . . . 349
Enabling a card unit. . . . . . . . . . . . . . . . . . . . . . . . . . . . . . . . . . . . . . . . 350
Verifying functionality . . . . . . . . . . . . . . . . . . . . . . . . . . . . . . . . . . . . . 351
Upgrading loadware . . . . . . . . . . . . . . . . . . . . . . . . . . . . . . . . . . . . . . . 351

Page 320 of 488 Installing and configuring a Voice Gateway Media Card
553-3041-210 Standard 4.00 September 2007
Introduction
The Voice Gateway Media Card provides access to the voice gateway and
functions as a Follower to the Signaling Server, which is the node Leader and
which, by default, acts as a Master for the node. In the absence of the
Signaling Server a Voice Gateway Media Card may be an active Leader, a
backup Leader, or a Follower. Each customer in a system has only one
Leader.
A Voice Gateway Media Card runs the IP Line 3.1 software. It provides voice
gateway channels (DSPs) to transcode voice data between IP and TDM
(analog/digital). The card’s node properties, as well as the voice gateway
channels, must be configured. The cards are installed in a Media Gateway or
a Media Gateway Expander.
The Voice Gateway Media Card is represented by a Media Card 32-Port IP
Line 3.1/Voice Gateway.
For details, see IP Line: Description, Installation, and Operation
(553-3001-365).
This chapter contains the following procedures:
• Procedure 76: "Adding a Voice Gateway Media Card to an IP telephony
node" on page 321
• Procedure 77: "Adding voice gateway channels using Element Manager"
on page 325
• Procedure 78: "Configuring voice gateway channels using LD 14" on
page 328
• Procedure 79: "Installing the CompactFlash" on page 332
• Procedure 80: "Installing a Voice Gateway Media Card in a card slot" on
page 338
• Procedure 81: "Displaying the Voice Gateway Media Card status" on
page 340
• Procedure 82: "Displaying the Voice Gateway status
for all voice gateway channels" on page 341

Installing and configuring a Voice Gateway Media Card Page 321 of 488
Communication Server 1000E Installation and Configuration
• Procedure 83: "Displaying the status of Voice Gateway Media Card
units" on page 344
• Procedure 84: "Displaying the status of one unit on a Voice Gateway
Media Card" on page 347
• Procedure 85: "Disabling a Voice Gateway Media Card using Element
Manager" on page 347
• Procedure 86: "Disabling a Voice Gateway Media Card unit using
Element Manager" on page 348
• Procedure 87: "Enabling a Voice Gateway Media Card using Element
Manager" on page 349
• Procedure 88: "Enabling a Voice Gateway Media Card unit using
Element Manager" on page 350
Configuring a card
A Voice Gateway Media Card requires configuration of:
• the IP telephony properties defined with Element Manager (the Voice
Gateway Media Cards are assigned to an IP telephony node). See
“Configuring an IP telephony node” on page 365.
• the voice gateway channels defined on the CS 1000E. See “Configuring
voice gateway channels using Element Manager” on page 325.
Adding a card to an IP telephony node
The Voice Gateway Media Card is added to an IP telephony node using
Element Manager only. See Element Manager: System Administration
(553-3001-332) for details.
Procedure 76
Adding a Voice Gateway Media Card to an IP telephony node
1Log in to Element Manager.
2Select IP Telephony > Nodes: Servers, Media Cards > Configuration
from the navigator.
The Node Configuration web page opens, as shown in Figure 99.

Installing and configuring a Voice Gateway Media Card Page 323 of 488
Communication Server 1000E Installation and Configuration
Figure 100
Edit web page
4Click Add next to the Cards tab.
The Cards tab expands (see Figure 101 on page 324).
5Enter your data for this Voice Gateway Media Card. The ELAN MAC
address is on a faceplate sticker. The TN is the Voice Gateway Media
Card logical card slot (See Table 41 on page 338).
Note: For more detail on Voice Gateway Media Card properties, see
IP Line: Description, Installation, and Operation (553-3001-365).

Installing and configuring a Voice Gateway Media Card Page 325 of 488
Communication Server 1000E Installation and Configuration
Configuring a card as a node Leader
A Voice Gateway Media Card remains at the default “Follower” setting in a
CS 1000E system. A Signaling Server is the IP telephony node Leader.
In an IP telephony node without a Signaling Server, one of the Voice
Gateway Media Cards must be configured as a Leader. If this is your
configuration, see the IP Line: Description, Installation, and Operation
(553-3001-365) for a detailed configuration procedure.
Normally, Voice Gateway Media Cards default as Followers. If you need to
configure a Voice Gateway Media Card as a Follower, see the IP Line:
Description, Installation, and Operation (553-3001-365) for a detailed
configuration procedure.
Configuring voice gateway channels using
Element Manager
The voice gateway channels are also called “DSP channels” or the card’s
“physical TNs”. Follow Procedure 77 to configure the voice gateway
channels using Element Manager.
Note: The voice gateway channels can also be configured using LD 14.
To configure the voice gateway channels using LD 14, follow
Procedure 78 on page 328.
Procedure 77
Adding voice gateway channels using Element Manager
1Select IP Telephony > Nodes: Servers, Media Cards > Configuration
from the navigator.
The Node Configuration web page opens, as shown in Figure 99 on
page 322.
2Click the + next to the desired node to expand it.
3Click VGW Channels next to the desired card.
If no VGW channels are configured yet, an alert box is displays. Click OK
to close the alert box.

Page 326 of 488 Installing and configuring a Voice Gateway Media Card
553-3041-210 Standard 4.00 September 2007
The VGW channels configuration for this card opens, as shown in
Figure 102.
Figure 102
VGW Channel web page
4Click Add.
The Add VGW channels web page opens, as shown in Figure 103.
Figure 103
Add VGW channels
5Enter the appropriate parameters to configure the VGW channels.
The TN is the logical TN of the first Voice Gateway Media Card unit. See
Table 41 on page 338 for the logical slot numbers.
Note: The Media Card has 8 or 32 channels. The ITG-P card has 24
channels.
6Click Submit.

Installing and configuring a Voice Gateway Media Card Page 327 of 488
Communication Server 1000E Installation and Configuration
The VGW channels for this card are displayed. See Figure 104 on
page 327.
Note: If you receive an error that a pad category table does not exist for
this customer, go back to your DTI configuration step, (see “Basic system
telephony configuration” on page 479) and create a default DTI Data
Block (DDB), and then perform this procedure again.
Figure 104
VGW channels list
End of Procedure
Configuring voice gateway channels using LD 14
The voice gateway channels are also called “DSP channels” or the card’s
“physical TNs.” Follow Procedure 78 on page 328 to configure the voice
gateway channels using LD 14.

Page 328 of 488 Installing and configuring a Voice Gateway Media Card
553-3041-210 Standard 4.00 September 2007
Note: The voice gateway channels can also be configured using Element
Manager. To configure the voice gateway channels using Element
Manager, follow Procedure 77 on page 325.
Procedure 78
Configuring voice gateway channels using LD 14
1Log in to the CS 1000E.
a. Enter the command:
LOGI
System response:
PASS?
b. Enter the default password:
0000
2Access LD 14. Enter the command:
LD 14
3Enter responses shown in Table 39.
Table 39
LD 14 – Configure physical TNs (Part 1 of 2)
Prompt Response Description
REQ NEW 24
NEW 32
Create 24 voice Media Gateway channels on an ITG-P Line card.
Not supported on MG 1000E.
Create 32 voice Media Gateway channels on a Media Card.
TYPE VGW Voice Gateway.
TN l s c u TN of the first Voice Gateway Media Card unit.
See Table 40 on page 337 for TN assignments.
DES aa.......a Description for gateway channels.
Identify the channels using the card’s TLAN IP address or MAC
address.
XTRK MC32 Media Card 32-port

Installing and configuring a Voice Gateway Media Card Page 329 of 488
Communication Server 1000E Installation and Configuration
4Exit from LD 14. Enter the command:
****
End of Procedure
Saving configuration changes
Perform a datadump to save configuration changes. Complete the steps in
Procedure 97: "Performing a datadump using Element Manager" on
page 380.
MAXU 32
24
32 is the maximum number of voice Media Gateway channels on
the Media Card.
For MG 1000T when XTRK = ITG2
24 is the maximum number of voice Media Gateway channels on
the ITG-P Line card.
IPTN YES ITG Physical TN.
ZONE 0-255 MG 1000T Zone number to which the Voice Gateway Media Card
Physical TNs belong.
Verify that the zone exists in LD 117.
The ZONE prompt is not available when configuring VGW in an
MG 1000E. The VGWs are assigned the same zone as the
MG 1000E.
Note: If the Zone of an MG 1000E is changed, all VGW in the
MG 1000E must be removed and reconfigured to assume the
new Zone of the MG 1000E.
CUST xx The customer to which the IPTN resources are assigned.
Note: This means that for multi-customer CS 1000E systems,
each customer must have a dedicated IP Telephony node for
IP Phones.
Table 39
LD 14 – Configure physical TNs (Part 2 of 2)
Prompt Response Description

Page 330 of 488 Installing and configuring a Voice Gateway Media Card
553-3041-210 Standard 4.00 September 2007
Installing a CompactFlash
The Voice Gateway Media Card requires a CompactFlash card to operate.
The CompactFlash card contains the IP Line 3.1 software.
The Voice Gateway Media Card package includes the following:
•Media Card
• CompactFlash card and Retaining Pin (nylon pillar)
• Shielded 50-pin to Serial/ELAN/TLAN adapter
The CompactFlash card must be installed on the Voice Gateway Media Card
prior to installing the Voice Gateway Media Card in the system. Figure 105
on page 331 shows the CompactFlash card location on the Voice Gateway
Media Card.
CAUTION WITH ESDS DEVICES
Wear an antistatic device to avoid damage to the Voice
Gateway Media Card.

Page 332 of 488 Installing and configuring a Voice Gateway Media Card
553-3041-210 Standard 4.00 September 2007
Procedure 79
Installing the CompactFlash
1Remove the Media Card, CompactFlash card, and Retaining Pin from the
packaging.
2Locate the CompactFlash socket in the lower left-hand corner of the Voice
Gateway Media Card (see Figure 107).
Figure 107
CompactFlash socket on Voice Gateway Media Card
3Position the CompactFlash card with the label facing up and contact pins
toward the socket, as shown in Figure 108.
Figure 108
Position the CompactFlash in socket

Installing and configuring a Voice Gateway Media Card Page 333 of 488
Communication Server 1000E Installation and Configuration
4Insert the CompactFlash card in the socket.
Press firmly until it is fully seated and the Eject button extends (see
Figure 109).
Figure 109
Insert CompactFlash to extend Eject button
5Turn the Voice Gateway Media Card over to view the back of the card.
Identify the hole for the Retaining Pin. The hole (labeled a in Figure 110)
is located approximately 1 inch (2.5 cm) above the lower lock latch and
1 inch (2.5 cm) from the card’s faceplate.
Figure 110
Retaining Pin hole
6Insert the Retaining Pin in this hole (labeled 1 in Figure 111).
Eject button

Page 334 of 488 Installing and configuring a Voice Gateway Media Card
553-3041-210 Standard 4.00 September 2007
Press the Retaining Pin into the hole until the pin clicks as it locks into
position (labeled 2 in Figure 111). The underside of the head of the
Retaining Pin should be flat against the card.
Figure 111
Inserting the Retaining Pin
7Turn the card over to view the front of the card. Ensure the Retaining Pin
is in place, as shown Figure 112 on page 334.
Figure 112
Retaining Pin fully inserted
End of Procedure

Installing and configuring a Voice Gateway Media Card Page 335 of 488
Communication Server 1000E Installation and Configuration
Installing a card in a Media Gateway
A Voice Gateway Media Card can be installed in a Media Gateway or a
Media Gateway Expander slot. See Figure 113 on page 335 and Figure 114
on page 336 to make sure that you insert the Voice Gateway Media Card in
the correct slot.
Note: See your installation worksheet, provided by your Planning and
Engineering group for the correct slot for the Voice Gateway Media
Cards.
Figure 113 shows the circuit card assignments in the Media Gateway.
Figure 113
Media Gateway card slot location
Figure 114 on page 336 shows the circuit card assignments in the Media
Gateway Expander.
SLOT
0
SSC
SLOT
1
SLOT
2
SLOT
3
SLOT
4
Slot 4
Slot 3
Slot 2
Slot 1
Slot 0 - SSC
553-CSE9025

Page 336 of 488 Installing and configuring a Voice Gateway Media Card
553-3041-210 Standard 4.00 September 2007
Figure 114
Media Gateway Expander card slot location
Table 40 on page 337 shows the TN assignments for the MG 1000E.
Communication Server 1000 Release 4.5 supports up to 30 MG 1000E.
Slot 9
Slot 8
Slot 7
Slot 10
SLOT
7
SLOT
8
SLOT
9
SLOT
10
553-CSE9032

Installing and configuring a Voice Gateway Media Card Page 337 of 488
Communication Server 1000E Installation and Configuration
Table 40
TN assignments for MG 1000E
MG 1000E MG 1000E Expander
Slots123478910
TN l s c l s c l s c l s c l s c l s c l s c l s c
MG 1000E
1 000 0 01 000 0 02 000 0 03 000 0 04 000 0 07 000 0 08 000 0 09 000 0 10
2 000 1 01 000 1 02 000 1 03 000 1 04 000 1 07 000 1 08 000 1 09 000 1 10
3 004 0 01 004 0 02 004 0 03 004 0 04 004 0 07 004 0 08 004 0 09 004 0 10
4 004 1 01 004 1 02 004 1 03 004 1 04 004 1 07 004 1 08 004 1 09 004 1 10
5 008 0 01 008 0 02 008 0 03 008 0 04 008 0 07 008 0 08 008 0 09 008 0 10
6 008 1 01 008 1 02 008 1 03 008 1 04 008 1 07 008 1 08 008 1 09 008 1 10
7 012 0 01 012 0 02 012 0 03 012 0 04 012 0 07 012 0 08 012 0 09 012 0 10
8 012 1 01 012 1 02 012 1 03 012 1 04 012 1 07 012 1 08 012 1 09 012 1 10
9 016 0 01 016 0 02 016 0 03 016 0 04 016 0 07 016 0 08 016 0 09 016 0 10
10 016 1 01 016 1 02 016 1 03 016 1 04 016 1 07 016 1 08 016 1 09 016 1 10
11 020 0 01 020 0 02 020 0 03 020 0 04 020 0 07 020 0 08 020 0 09 020 0 10
12 020 1 01 020 1 02 020 1 03 020 1 04 020 1 07 020 1 08 020 1 09 020 1 10
13 024 0 01 024 0 02 024 0 03 024 0 04 024 0 07 024 0 08 024 0 09 024 0 10
14 024 1 01 024 1 02 024 1 03 024 1 04 024 1 07 024 1 08 024 1 09 024 1 10
...
...
127 252 0 01 252 0 02 252 0 03 252 0 04 252 0 07 252 0 08 252 0 09 252 0 10
128 252 1 01 252 1 02 252 1 03 252 1 04 252 1 07 252 1 08 252 1 09 252 1 10
Note: The bottom most card slot in the Media Gateway is reserved for the SSC card.

Page 338 of 488 Installing and configuring a Voice Gateway Media Card
553-3041-210 Standard 4.00 September 2007
Table 41 shows the slot assignments for the MG 1000T Media Gateway and
Media Gateway Expansion
Procedure 80
Installing a Voice Gateway Media Card in a card slot
The ELAN subnet and TLAN subnet should already be connected on the back
of the Media Gateway. If not, refer back to “Connecting CS 1000E system
components” on page 103.
Table 41
MG 1000T Media Gateway/Expansion card slot assignments
Media Gateway/Media Gateway Expansion
Media Gateway
0
Media Gateway
1
Media Gateway
2
Media Gateway
3
Media Gateway
4
Physical
card slot
Logical
card slot
Physical
card slot
Logical
card slot
Physical
card slot
Logical
card slot
Physical
card slot
Logical
card slot
Physical
card slot
Logical
card slot
Media
Gateway
1 1 1 11 121 131 141
2 2 2 12 222 232 242
3 3 3 13 323 333 343
4 4 4 14 424 434 444
5 * 5 *5*5*5*
6 * 6 * 6 * 6 * 6 *
Media
Gateway
Expansion
7 7 7 17 727 737 747
8 8 8 18 828 838 848
9 9 9 19 929 939 949
10 10 10 20 10 30 10 40 10 50
Note: The bottom most card slot in the Media Gateway is reserved for the SSC card.

Installing and configuring a Voice Gateway Media Card Page 339 of 488
Communication Server 1000E Installation and Configuration
Optionally, you can connect a maintenance terminal to the maintenance port
on the Voice Gateway Media Card, to see the Voice Gateway Media Card’s
boot messages or to perform maintenance on it. See “Connecting CS 1000E
system components” on page 103 for more detail.
1Install the Voice Gateway Media Card into the card slot.
a. Pull the top and bottom locking devices away from the card faceplate.
b. Insert the Voice Gateway Media Card into the card guides and gently
push it until it makes contact with the backplane connector.
c. Hook the locking devices.
Note: The Voice Gateway Media Card boots automatically. If the Voice
Gateway Media Card is a Follower, then it retrieves the node
configuration files from the IP telephony node Leader. If it is a Leader,
then you must configure it. See IP Line: Description, Installation, and
Operation (553-3001-365) for a detailed configuration procedure.
2Observe the Voice Gateway Media Card faceplate display.
The red LED remains lit until the card is configured and enabled, at which
point it turns off. When the card has finished booting, the display is either
“Fxxx” or “Lxxx” (where xxx is the number of telephones registered to the
card), indicating that the card is a Follower or Leader.
3If required, you can now perform maintenance on the card using Element
Manager, or through the card’s maintenance port if you connected a
maintenance terminal to it. See IP Line: Description, Installation, and
Operation (553-3001-365) for detailed maintenance procedures.
End of Procedure
Verifying a card
Verifying a card involves:
• Procedure 81: "Displaying the Voice Gateway Media Card status" on
page 340
• Procedure 82: "Displaying the Voice Gateway status
for all voice gateway channels" on page 341
• Procedure 83: "Displaying the status of Voice Gateway Media Card
units" on page 344

Page 340 of 488 Installing and configuring a Voice Gateway Media Card
553-3041-210 Standard 4.00 September 2007
• Procedure 84: "Displaying the status of one unit on a Voice Gateway
Media Card" on page 347
Procedure 81
Displaying the Voice Gateway Media Card status
1In Element Manager, select IP Telephony > Nodes: Servers, Media
Cards > Maintenance and Reports from the navigator.
The Node Maintenance and Reports web page opens, as shown in
Figure 115.
Figure 115
Node Maintenance and Reports web page
2Open the desired node by clicking on the + next to the Node ID.
This displays the Signaling Servers and Voice Gateway Media Cards
belonging to the node, as shown in Figure 116 on page 341.

Installing and configuring a Voice Gateway Media Card Page 341 of 488
Communication Server 1000E Installation and Configuration
Figure 116
Node Maintenance and Reports – expanded node
3Click Status for the desired Voice Gateway Media Card.
The output from this command is displayed in the window pane
(result box).
The output can be one of the following:
xx.xxx.xxx.xxx : Disabled
xx.xxx.xxx.xxx : Enabled
xx.xxx.xxx.xxx : Unequipped
Where xx.xxx.xxx.xxx is the ELAN IP address of the Voice Gateway
Media Card and the meaning of the status is:
•Disabled – The card is configured but out-of-service.
•Enabled – The card is configured and operational.
•Unequipped – The card is not configured in the Call Server.
End of Procedure
Procedure 82
Displaying the Voice Gateway status for all voice gateway channels
1In Element Manager, select IP Telephony > Nodes: Servers, Media
Cards > Maintenance and Reports from the navigator.
The Node Maintenance and Reports web page opens, as shown in
Figure 115 on page 340.

Page 342 of 488 Installing and configuring a Voice Gateway Media Card
553-3041-210 Standard 4.00 September 2007
2Open the desired node by clicking on the + next to the Node ID.
This displays the Signaling Servers and Voice Gateway Media Cards
belonging to the node, as shown in Figure 116 on page 341.
3Click GEN CMD for the desired Voice Gateway Media Card.
The General Commands web page opens, as shown in Figure 117.
Figure 117
General Commands
4From the Group drop-down list, select Vgw.
5From the Command drop-down list, select vgwShowAll.
6Click RUN.
Figure 118 on page 343 shows the General Commands web page with
the output from the vgwShowAll command. The output shows
information about all the voice gateway channels.

Installing and configuring a Voice Gateway Media Card Page 343 of 488
Communication Server 1000E Installation and Configuration
Figure 118
vgwShowAll result
The following information is provided for each VGW channel:
• Chan – Channel number
• ChanState – State of channel (Idle/Busy/Disabled/Unequipped)
• DspMode – Mode DSP is in (Voice/Closed)
• Codec – Codec frame-size used for the call
• Tn – Channel's physical TN in packed format
• Reg – Status of channel's gateway registration
• Air Time – Duration of audio stream connection in seconds. Zero
when the audio stream is closed.
• txTsap – IP address and port the Voice Gateway Media Card is using
to send RTP packets.
End of Procedure

Page 344 of 488 Installing and configuring a Voice Gateway Media Card
553-3041-210 Standard 4.00 September 2007
Procedure 83
Displaying the status of Voice Gateway Media Card units
1Select System > Maintenance from the navigator.
The Maintenance web page opens as shown in Figure 119. This page
allows you to perform maintenance using overlays or using a selected
functionality. The default is overlay, as shown in Figure 119.
Figure 119
Maintenance (by Overlay) web page
2Select Select by Functionality.
The list in the web page changes to show a list of diagnostics you can use,
as shown in Figure 120 on page 345.

Installing and configuring a Voice Gateway Media Card Page 345 of 488
Communication Server 1000E Installation and Configuration
Figure 120
Maintenance (by functionality) web page
3Select Network & Peripheral Equipment Diagnostics from the list in
Figure 120.
The Network and Peripheral Diagnostics web page opens, as shown in
Figure 121 on page 346.

Page 346 of 488 Installing and configuring a Voice Gateway Media Card
553-3041-210 Standard 4.00 September 2007
Figure 121
Network & Peripheral Diagnostics web page
4Choose the STAT — Get card status command from the Card
Commands drop-down list.
5Enter the card number in the corresponding Command Parameter text
box.
6Click Submit to the right of the text box.
The output from this command is shown in the text box in the lower half
of the web page.
End of Procedure

Installing and configuring a Voice Gateway Media Card Page 347 of 488
Communication Server 1000E Installation and Configuration
Procedure 84
Displaying the status of one unit on a Voice Gateway Media Card
1Select System > Maintenance from the navigator.
The Maintenance web page opens as shown in Figure 119 on page 344.
This page allows you to perform maintenance using overlays or using a
selected functionality. The default is overlay, as shown in Figure 119.
2Select Select by Functionality.
The list in the web page changes to show a list of diagnostics you can use,
as shown in Figure 120 on page 345.
3Select Network & Peripheral Equipment Diagnostics from the list in
Figure 120 on page 345.
The Network and Peripheral Diagnostics web page opens, as shown in
Figure 121 on page 346.
4Choose the STAT — Get unit status command from the Unit
Commands drop-down list.
5Enter the card number and unit number in the corresponding Command
Parameter text box.
6Click Submit to the right of the text box.
The output from this command is shown in the text box in the lower half
of the web page.
End of Procedure
Disabling a card
Follow Procedure 85 to disable a Voice Gateway Media Card using
Element Manager.
Procedure 85
Disabling a Voice Gateway Media Card using Element Manager
1Select System > Maintenance from the navigator.
The Maintenance web page opens as shown in Figure 119 on page 344.
This page allows you to perform maintenance using overlays or using a
selected functionality. The default is overlay, as shown in Figure 119.
2Select Select by Functionality.

Page 348 of 488 Installing and configuring a Voice Gateway Media Card
553-3041-210 Standard 4.00 September 2007
The list in the web page changes to show a list of diagnostics you can use,
as shown in Figure 120 on page 345.
3Select Network & Peripheral Equipment Diagnostics from the list in
Figure 120 on page 345.
The Network and Peripheral Diagnostics web page opens, as shown in
Figure 121 on page 346.
4Select the DISC – Disable card command from the Card Commands
drop-down list.
5Enter the card number in the corresponding Command Parameter text
box.
6Click Submit to the right of the text box.
The output from this command is shown in the text box in the lower half
of the web page.
End of Procedure
Note: For graceful disabling of the voice gateway channels refer to
“Graceful Disable” in IP Line: Description, Installation, and Operation
(553-3001-365).
Disabling a card unit
Follow Procedure 86 to disable a Voice Gateway Media Card unit in
Element Manager.
Procedure 86
Disabling a Voice Gateway Media Card unit using Element Manager
1Select System > Maintenance from the navigator.
The Maintenance web page opens as shown in Figure 119 on page 344.
This page allows you to perform maintenance using overlays or using a
selected functionality. The default is overlay, as shown in Figure 119.
2Select Select by Functionality.
The list in the web page changes to show a list of diagnostics you can use,
as shown in Figure 120 on page 345.
3Select Network & Peripheral Equipment Diagnostics from the list in
Figure 120 on page 345.

Installing and configuring a Voice Gateway Media Card Page 349 of 488
Communication Server 1000E Installation and Configuration
The Network and Peripheral Diagnostics web page opens, as shown in
Figure 121 on page 346.
4Select the DISU – Disable unit command from the Unit Commands
drop-down list.
5Enter the card number and unit number in the corresponding Command
Parameter text box.
6Click Submit to the right of the text box.
The output from this command is shown in the text box in the lower half
of the web page.
End of Procedure
Enabling a card
Follow Procedure 87 to enable a Voice Gateway Media Card using
Element Manager.
Procedure 87
Enabling a Voice Gateway Media Card using Element Manager
1Select System > Maintenance from the navigator.
The Maintenance web page opens as shown in Figure 119 on page 344.
This page allows you to perform maintenance using overlays or using a
selected functionality. The default is overlay, as shown in Figure 119.
2Select Select by Functionality.
The list in the web page changes to show a list of diagnostics you can use,
as shown in Figure 120 on page 345.
3Select Network & Peripheral Equipment Diagnostics from the list in
Figure 120 on page 345.
The Network and Peripheral Diagnostics web page opens, as shown in
Figure 121 on page 346.
4Select the ENLC – Enable and reset card command from the Card
Commands drop-down list.
5Enter the card number in the corresponding Command Parameter text
box.
6Click Submit to the right of the text box.

Page 350 of 488 Installing and configuring a Voice Gateway Media Card
553-3041-210 Standard 4.00 September 2007
The output from this command is shown in the text box in the lower half
of the web page.
End of Procedure
Enabling a card unit
Follow Procedure 88 to enable a Voice Gateway Media Card unit using
Element Manager.
Procedure 88
Enabling a Voice Gateway Media Card unit using Element Manager
1Select System > Maintenance from the navigator.
The Maintenance web page opens as shown in Figure 119 on page 344.
This page allows you to perform maintenance using overlays or using a
selected functionality. The default is overlay, as shown in Figure 119.
2Select Select by Functionality.
The list in the web page changes to show a list of diagnostics you can use,
as shown in Figure 120 on page 345.
3Select Network & Peripheral Equipment Diagnostics from the list in
Figure 120 on page 345.
The Network and Peripheral Diagnostics web page opens, as shown in
Figure 121 on page 346.
4Select the ENLU – Enable unit command from the Unit Commands
drop-down list.
5Enter the card number and unit number in the corresponding Command
Parameter text box.
6Click Submit to the right of the text box.
The output from this command is shown in the text box in the lower half
of the web page.
End of Procedure

Installing and configuring a Voice Gateway Media Card Page 351 of 488
Communication Server 1000E Installation and Configuration
Verifying functionality
You can now use the Voice Gateway Media Card to transcode voice data
between IP and TDM. To test the voice gateway channels (DSPs), perform a
variety of analog or digital calls to IP Phones and vice-versa.
Note: You require analog or digital telephones or trunks to perform this
test.
Upgrading loadware
Refer to Communication Server 1000E: Upgrade Procedures
(553-3041-258) to check for the latest Voice Gateway Media Card loadware
version and how to upgrade to the latest Voice Gateway Media Card
loadware.

Page 353 of 488
Communication Server 1000E Installation and Configuration
364
Installing the Main Distribution Frame
Contents
This section contains information on the following topics:
Introduction . . . . . . . . . . . . . . . . . . . . . . . . . . . . . . . . . . . . . . . . . . . . . . 353
Terminal block requirements . . . . . . . . . . . . . . . . . . . . . . . . . . . . . . . . 354
Installing a BIX cross-connect terminal . . . . . . . . . . . . . . . . . . . . . . . . 354
Installing a Krone Test Jack Frame for the UK . . . . . . . . . . . . . . . . . . 356
Connecting the cables to the Media Gateways . . . . . . . . . . . . . . . . . . . 360
Introduction
This chapter describes how to install and connect a CS 1000E system using
the BIX, or Krone Test Jack Frame (UK) cross-connect terminals.
This chapter contains the following procedures:
1Procedure 89: “Installing a BIX cross-connect terminal” on page 354.
2Procedure 90: “Installing the Krone Test Jack Frame (UK)” on page 358.
3Procedure 91: “Connecting the cables to the Media Gateways” on
page 360.
Note: The use of the BIX system is not mandatory; however, it is the
recommended option.

Page 354 of 488 Installing the Main Distribution Frame
553-3041-210 Standard 4.00 September 2007
Terminal block requirements
The cross-connect terminal requires enough connecting blocks to terminate
up to four 25 pair cables for each Media Gateway and each Media Gateway
Expander. When Ethernet connections are used instead of traditional cabling,
the Media Card Input/Output adapter is used:
• For the 1.5 Mbit DTI/PRI circuit card NTRB21, use the NTBK04 cable.
• For the 2.0 Mbit DTI circuit card NTAK10, 2.0 Mbit PRI circuit card
NTAK79, and 2.0 Mbit PRI circuit card NTBK50, use the NTBK05
cable.
• Each IPE card slot equipped with a Line or Trunk card requires a 25-pair
cable from the host Media Gateway or Media Gateway Expander.
• Four conductors for the AUX cable from the Media Gateway.
• One 25-pair cable from each Power Fail Transfer Unit (PFTU) QUA6.
• Wiring from telephones and trunks
Installing a BIX cross-connect terminal
Procedure 89 describes how to install a BIX cross-connect terminal. For
detailed information, refer to the Nordex BIX documentation.
Procedure 89
Installing a BIX cross-connect terminal
1Refer to the equipment layout plan to determine where to place the
cross-connect terminal.
2Lay out the terminal blocks as shown in Figure 122 on page 355.
DANGER
Do not install telephone wiring during a lightning storm.
Never touch uninsulated telephone wiring, unless the line
is disconnected at the network interface.

Installing the Main Distribution Frame Page 355 of 488
Communication Server 1000E Installation and Configuration
3Attach labels on the cross-connect terminal to indicate the terminal blocks
assigned to the following:
• 25-pair cables from the system
•AUX wiring
•PFTUs
• Telephones and consoles
•Trunks
• Miscellaneous equipment
Figure 122
Typical BIX cross-connect terminal layout
End of Procedure
Media Gateway
Cable Card 1
Cable Card 2
Cable Card 3
AUX cable
PFTU
Telephones
Trunks
and
Miscellaneous
553-CSE9026A
Cable Card 4
Cable Card 7
Cable Card 8
Cable Card 9
Cable Card 10
Media Gateway Expansion

Page 356 of 488 Installing the Main Distribution Frame
553-3041-210 Standard 4.00 September 2007
Installing a Krone Test Jack Frame for the UK
The Krone Test Jack Frame provides terminating strips that hold ten pairs of
cable. Generally, only eight of ten pairs are used. As a result, one 25-pair
cable requires three terminating strips (8 pairs/strip x 3 strips = 24 pairs).
Figure 123 on page 357 shows how one 25-pair cable is divided among three
terminating strips on the Krone Test Jack Frame.

Installing the Main Distribution Frame Page 357 of 488
Communication Server 1000E Installation and Configuration
Figure 123
25-pair cable on three Krone strips
1
2
3
Pair Pin Number Wire Colour Krone Strip
1T
1R
2T
2R
3T
3R
4T
4R
5T
5R
6T
6R
7T
7R
8T
8R
9T
9R
10T
10R
11T
11R
12T
12R
13T
13R
14T
14R
15T
15R
16T
16R
17T
17R
18T
18R
19T
19R
20T
20R
21T
21R
22T
22R
23T
23R
24T
24R
25T
25R
26
1
27
2
28
3
29
4
30
5
31
6
32
7
33
8
34
9
35
10
36
11
37
12
38
13
39
14
40
15
41
16
42
17
43
18
44
19
45
20
46
21
47
22
48
23
49
24
50
25
W-BL
BL-W
W-O
O-W
W-G
G-W
W-BR
BR-W
W-S
S-W
R-BL
BL-R
R-O
O-R
R-G
G-R
R-BR
BR-R
R-S
S-R
BK-BL
BL-BK
BK-O
O-BK
BK-G
G-BK
BK-BR
BR-BK
BK-S
S-BK
Y-BL
BL-Y
Y- O
O-Y
Y- G
G-Y
Y-BR
BR-Y
Y- S
S-Y
V-BL
BL-V
V-O
O-V
V-G
G-V
V-BR
BR-V
V-S
S-V
553-CSE0019

Page 358 of 488 Installing the Main Distribution Frame
553-3041-210 Standard 4.00 September 2007
Procedure 90 describes how to install the Krone Test Jack Frame for the UK.
For detailed information, refer to the Krone documentation.
Procedure 90
Installing the Krone Test Jack Frame (UK)
1Refer to the equipment layout plan to determine where to place the
cross-connect terminal.
2Lay out the terminal blocks as shown in Figure 124 on page 359.
3Attach labels on the cross-connect terminal to indicate the terminal blocks
assigned to the following:
• Analog Line cards
• DC15/AC15/RAN/PAG cards
• Data Access cards
•AUX wiring
• Power Fail Transfer Units
• Digital Line cards
• Telephones
• Exchange Line Trunk cards
• Direct Dialing Inward trunk cards
• Miscellaneous equipment

Installing the Main Distribution Frame Page 359 of 488
Communication Server 1000E Installation and Configuration
Figure 124
Typical Krone cross-connect terminal layout (UK)
End of Procedure
24
16
8
6
24
16
8
24
16
8
24
16
8
24
16
8
24
16
8
16
16
8
8
16
8
16
24
16
8
24
8
16
24
8
17
9
1
1
17
9
1
17
9
1
17
9
1
17
9
1
17
9
1
9
1
1
9
9
1
17
9
1
17
9
1
9
17
1
J10
J9
Pair Pair
Media Gateway
Expansion
Other
equipment
Media Gateway
Spare
PFTU
termination
Grounding block
AUX cable
Card 7
Card 8
Card 3
Card 2
Card 1
Card 9
Card 10
553-CSE9033
Card 4

Page 360 of 488 Installing the Main Distribution Frame
553-3041-210 Standard 4.00 September 2007
Connecting the cables to the Media Gateways
Each Media Gateway and each Media Gateway Expander requires up to four
25-pair cables. The CS 1000E requires an additional terminal block at the
cross-connect terminal to terminate the 9-pin conductor auxiliary cable for
the QUA6 Power Fail Transfer Unit (PFTU).
Procedure 91
Connecting the cables to the Media Gateways
1Loosen the velcro straps at each connector you plan to use.
2Connect a 25-pair cable to each of the connectors that contains a line or
trunk card. Refer to the card slot assignment plan.
3Tag both ends of each cable with the equipment and connector numbers.
See Figure 125 on page 361 and Figure 126 on page 361.
DANGER
Always use caution when installing or modifying
telephone lines. Do not install telephone wiring during a
lightning storm. Never touch uninsulated telephone
wiring unless the line is disconnected at the network
interface.
WARNING
Do not use the NE-A25B cable with the NTRB21,
NTAK10, NTBK50, or NTAK79 circuit cards.

Installing the Main Distribution Frame Page 361 of 488
Communication Server 1000E Installation and Configuration
Figure 125
Cable connectors at the back of the Media Gateway
Figure 126
Cable connectors at the back of the Media Gateway Expander
25-pair
connectors
Card 1
Card 2
Card 3
Card 4
25-pair
connectors
Card 9
Card 8
Card 7
Card 10

Page 362 of 488 Installing the Main Distribution Frame
553-3041-210 Standard 4.00 September 2007
4Tighten the velcro straps when you have connected each cable to the
system.
5Terminate all the 25-pair cables installed at the cross-connect terminal.
6Label all the cables at the cross-connect terminal blocks according to the
card slot assignment plan.
7Connect the AUX cable in the upper 9-pin connector located on the top
left-hand side of the Media Gateway. See Figure 127 on page 362.
Figure 127
AUX cable connector
AUX

Installing the Main Distribution Frame Page 363 of 488
Communication Server 1000E Installation and Configuration
8When auxiliary power is required from the QUA6 PFTU, terminate the
AUX cable at the PFTU cross-connect terminal, according to Table 42.
End of Procedure
Table 42
AUX cable termination information
Color Wire number Designation Connection
W-BL 1 BRTN to QUA6-J1 1R
BL-W 2 BRTN to QUA6-J1 2R
O-W 3 -48V AUX
(250mA)
to QUA6-J1
25T, 25R
W-O 4 PFTS to QUA6-J1 2T
G-W 5 Not used Not used
W-G 6 Not used Not used

Page 365 of 488
Communication Server 1000E Installation and Configuration
382
Configuring an IP telephony node
Contents
This section contains information on the following topics:
Introduction . . . . . . . . . . . . . . . . . . . . . . . . . . . . . . . . . . . . . . . . . . . . . . 365
Before you begin . . . . . . . . . . . . . . . . . . . . . . . . . . . . . . . . . . . . . . . . . . 366
Configuring MS Internet Explorer . . . . . . . . . . . . . . . . . . . . . . . . . . . . 367
Logging in to Element Manager . . . . . . . . . . . . . . . . . . . . . . . . . . . . . . 370
Importing preconfigured IP telephony files . . . . . . . . . . . . . . . . . . . . . 372
Reviewing and submitting IP telephony node configuration files . . . . 374
Adding a Follower Signaling Server to an IP telephony node . . . . . . . 379
Performing a datadump . . . . . . . . . . . . . . . . . . . . . . . . . . . . . . . . . . . . . 380
Introduction
An IP Telephony node is defined as a collection of Signaling Servers and
Voice Gateway Media Cards. Each network node has a unique Node ID,
which is an integer value. A node has only one Leader Signaling Server. All
other Signaling Servers and Voice Gateway Media Cards are defined as
Followers. An IP Telephony node must be configured to make a CS 1000
system operational. For more information about IP Telephony nodes and their
configuration, refer to IP Line: Description, Installation, and Operation
(553-3001-365).
The IP Telephony node database files are backed up, along with the customer
database, by using the EDD command in LD 43. Refer to Software Input/
Output: Maintenance (553-3001-511) for details about this command.

Page 366 of 488 Configuring an IP telephony node
553-3041-210 Standard 4.00 September 2007
The preconfigured IP telephony configuration files from the leader Signaling
Server must be imported. These files are saved on the CS 1000E as:
• c:/u/db/node/nodex.cfg where x is the node number
• c:/u/db/node/nodex.btp where x is the node number
This chapter contains the following procedures:
• Procedure 92: "Turning off browser caching in Internet Explorer"
on page 367
• Procedure 93: "Logging in to Element Manager" on page 370
• Procedure 94: "Importing an existing node" on page 372
• Procedure 95: "Reviewing and submitting IP telephony node
configuration" on page 374
• Procedure 96: "Adding a Follower Signaling Server to the IP telephony
node in Element Manager" on page 379
• Procedure 97: "Performing a datadump using Element Manager"
on page 380
Before you begin
Perform a datadump
Use Element Manager to perform a datadump before making any changes to
the IP telephony node. A datadump backs up both the IP telephony node
configuration files and the customer database files. The datadump procedure
using Element Manager is outlined in Procedure 97 on page 380.
Enable the multi-user option
Enable the multi-user option to access Command Line Interface (CLI)
overlays and Element Manager at the same time. For more information about
IMPORTANT!
Do not attempt to alter the configuration files either manually or with
OTM’s ITG or IP Phone management. Use Element Manager only.

Configuring an IP telephony node Page 367 of 488
Communication Server 1000E Installation and Configuration
Limited Access to Overlays, see Features and Services (553-3001-306) and
Software Input/Output: Administration (553-3001-311).
Configuring MS Internet Explorer
Element Manager is available to configure IP telephony parameters on the
system. It is accessed by pointing MS Internet Explorer (version 6.0.2600 or
higher) to the ELAN subnet, TLAN subnet, or node IP address of the
Signaling Server.
Note: Element Manager requires Microsoft Internet Explorer 6.0.2600
or higher. The Netscape browser is not supported.
Follow Procedure 92 to prevent caching of web pages by Internet Explorer.
Procedure 92
Turning off browser caching in Internet Explorer
1Launch Internet Explorer.
2Click Tools > Internet Options. The Internet Options window opens
(see Figure 128 on page 368).
IMPORTANT!
Internet Explorer caching must be turned off. If Internet Explorer caching
is on, the user cannot see the changes in real-time.

Configuring an IP telephony node Page 369 of 488
Communication Server 1000E Installation and Configuration
Figure 129
Temporary Internet files – Settings window
4Click Every visit to the page. This checks for new versions of stored
pages on every visit to the web page.
5Click OK in the Settings window.
6Click OK in the Internet Options window.
End of Procedure

Page 370 of 488 Configuring an IP telephony node
553-3041-210 Standard 4.00 September 2007
Logging in to Element Manager
Follow Procedure 93 to log in to Element Manager.
Procedure 93
Logging in to Element Manager
1Open the web browser.
2Enter the Signaling Server Node IP address in the Address Bar of the
browser window, and press Enter on the keyboard.
Note: This address can be the ELAN IP, TLAN IP, or Node IP, depending
on the network in use. The ELAN IP address may be required, instead of
the Node IP address, to access to the Element Manager login web page
in secure environments.
3Element Manager opens and the Login web page appears (see
Figure 130 on page 371).
a. Enter the User ID and Password of the CS 1000E.
— User ID = admin1 or any LAPW
— Password = 0000
b. Enter the ELAN IP address of the CS 1000E in the CS IP Address
field.
c. Click Login.

Page 372 of 488 Configuring an IP telephony node
553-3041-210 Standard 4.00 September 2007
Importing preconfigured IP telephony files
Follow Procedure 94 to import the preconfigured IP telephony files from the
Signaling Server.
Procedure 94
Importing an existing node
Figure 131 displays the Element Manager System Information home page.
Figure 131
Element Manager – System Overview web page

Configuring an IP telephony node Page 373 of 488
Communication Server 1000E Installation and Configuration
1Select IP Telephony > Node: Servers, Media Cards > Configuration
from the navigator.
The Node Configuration web page opens, as shown in Figure 132. If this
is the first node to be added, the “No nodes are configured” message is
displayed.
Figure 132
Node Configuration web page
2Import the Node files from the leader Signaling Server.
a. Click Import Node Files.
The Import Node Files screen as shown in Figure 133 on page 374
appears.
b. Enter the ELAN IP address of the leader Signaling Server in the input
box.

Page 374 of 488 Configuring an IP telephony node
553-3041-210 Standard 4.00 September 2007
Figure 133
Import Node Files web page
3Click Import.
Click OK in the dialog when the operation is complete. The Node
Summary web page is re-displayed showing the new node.
End of Procedure
Reviewing and submitting IP telephony node
configuration files
Follow Procedure 95 to review and submit IP telephony node configuration
files.
Procedure 95
Reviewing and submitting IP telephony node configuration
1From the Node Summary web page (see Figure 99 on page 322), click
Edit to view the node parameters.
The Edit web page appears as shown in Figure 100 on page 323.

Configuring an IP telephony node Page 375 of 488
Communication Server 1000E Installation and Configuration
Note 1: Clicking Transfer / Status displays the Transfer / Status web
page (see Figure 137 on page 378). This sends the node configuration
files to all IP Telephony components in the node.
• If any element within the node fails to transfer either BOOTP or
CONFIG files, Transfer / Status is highlighted in red.
•Transfer / Status is highlighted in yellow if the transfer status of the
node elements is unavailable.
Note 2: Delete is used to delete the corresponding node. The node is not
automatically deleted. A message displays and asks if you are sure you
want to delete the node.
2Review the node parameters by opening each tab.
Note: For detailed information on each of the node parameters, refer to
IP Line: Description, Installation, and Operation (553-3001-365).
3Click Save and Transfer.
4Click OK to save the node configuration to the CS 1000E and transfer the
configuration to all elements.
After a few seconds, the Transfer Progress web page opens and
displays each of the elements in the node (see Figure 134 on page 376).
The Voice Gateway Media Cards retrieve the CONFIG.INI and
BOOTP.TAB files from the CS 1000E. A check mark is added to each
field as the card receives its CONFIG.INI and BOOTP.TAB files.
The status column provides the progress of the transfer:
• The Status column displays “Starting” as the transfer begins (see
Figure 134 on page 376).
• The Status column displays “Transfer” as the node configuration is
transferred to the elements (see Figure 135 on page 376).
• The Status column displays “Complete” if the transfer is successful
for an element (see Figure 136 on page 377).
• The Status column displays “Fail” if the transfer is unsuccessful.

Configuring an IP telephony node Page 377 of 488
Communication Server 1000E Installation and Configuration
Figure 136
Transfer Progress – Complete
5Click OK in the dialog box.
The Transfer / Status web page displays.
Note: The Transfer / Status web page (see Figure 137) can also be
displayed from the Node Summary web page by clicking Transfer /
Status. This web page indicates if the transfer was successful or not. For
example, Figure 137 shows some elements as unreachable; you can
transfer to these elements again.

Page 378 of 488 Configuring an IP telephony node
553-3041-210 Standard 4.00 September 2007
Figure 137
Transfer / Status web page
The previous status of the node displays, and the failure reason is
displayed for elements in nodes that failed to get configuration files
(BOOTP.TAB and CONFIG.INI) from the CS 1000E.
The Transfer / Status web page has five buttons:
•Selected All. Selects all the elements in the node (that is, it adds a
check mark in each element’s check box).
•Unselect All. Unselects all the elements in the node (that is, it
removes the check marks for all the selected elements).
•Transfer to Selected Elements. Re-transfers node configuration
files only to selected elements, regardless of a “Transfer Failed”
state.
•Transfer to Failed Elements. Transfers only node configuration files
to elements in a “Transfer Failed” state. The Transfer to Failed
Elements button is displayed only when at least one element on the
Node failed to transfer either a BOOTP.TAB or CONFIG.INI in the
previous operation.

Configuring an IP telephony node Page 379 of 488
Communication Server 1000E Installation and Configuration
•Cancel. Closes the Transfer / Status pages without performing any
action, and displays the Node Summary web page.
6If the Signaling Server configuration was changed on the Edit web page,
reboot the Signaling Server.
End of Procedure
Adding a Follower Signaling Server to an
IP telephony node
Follow Procedure 96 to add a Follower Signaling Server to the IP telephony
node in Element Manager.
Procedure 96
Adding a Follower Signaling Server to the IP telephony node in
Element Manager
Note: After software installation and reboot, the Follower Signaling
Server sends out BootP requests and waits for a response. Because the
Follower Signaling Server has not booted successfully before, it waits for
a non-existing BootP response. Do not wait for this response; proceed to
the next steps.
In Element Manager:
1Click Edit on the Node Configuration web page (see Figure 132 on
page 373).
2Click Add beside the Signaling Server row.
3Enter the Follower Signaling Server data to an IP telephony node. Include
the ELAN MAC address (used to answer BootP requests).
4Click Save and Transfer to save the changes and the Leader Signaling
Server then obtains a copy of the node files.
5Click OK to save the node configuration to the CS 1000E and transfer the
configuration to all elements.
When the file transfer is complete, the Transfer/ Status web page
appears.
The Leader Signaling Server responds to the Follower Signaling Server's
BootP request.
The Follower Signaling Server initializes its network interfaces.

Page 380 of 488 Configuring an IP telephony node
553-3041-210 Standard 4.00 September 2007
The Follower Signaling Server attempts to FTP the BOOTP.TAB file from
the node master (Leader Signaling Server).
Note: Since the Follower cannot obtain the system login and password,
the FTP fails (for first-time Follower Signaling Server installation only). It
does not have the current CONFIG.INI file that contains the CS 1000E IP
address. Subsequent FTPs succeed.
6Transfer the node files again, so that the Follower Signaling Server
obtains a copy of CONFIG.INI.
7Reboot the Follower Signaling Server so that all its applications can start
based on the new CONFIG.INI file.
The Signaling Server uses BootP to obtain its network data, and it then
FTPs the BOOTP.TAB file from the node master (Leader Signaling
Server).
End of Procedure
Performing a datadump
Follow Procedure 97 to perform a datadump using Element Manager. This
procedure is an alternative to using CLI to perform a datadump. The
datadump backs up new IP Telephony node files on the CS 1000E at the same
time that it backs up the customer database.
Procedure 97
Performing a datadump using Element Manager
From within Element Manager (see Figure 93 on page 370 for details on
logging in), do the following:
1Choose Services > Backup and Restore > Call Server from the
navigator.
2The Call Server Backup and Restore web page opens, as shown in
Figure 80 on page 223.

Configuring an IP telephony node Page 381 of 488
Communication Server 1000E Installation and Configuration
Figure 138
CS 1000E Backup
3Select Backup.
The Call Server Backup web page appears (see Figure 138 on
page 381).
4Select Backup from the Action drop-down list box.
5Click Submit.
The message displays indicating “Backup in progress. Please wait...”
6Click OK in the EDD complete dialog box.
The Backup function displays information in a tabular form indicating the
actions that were performed.
End of Procedure

Page 383 of 488
Communication Server 1000E Installation and Configuration
394
Installing Line cards and
cross-connecting telephones
Contents
This section contains information on the following topics:
Introduction . . . . . . . . . . . . . . . . . . . . . . . . . . . . . . . . . . . . . . . . . . . . . . 383
Card placement in a Media Gateway or a Media Gateway Expansion. 386
Cross-connecting telephones. . . . . . . . . . . . . . . . . . . . . . . . . . . . . . . . . 386
Connecting a telephone without a PFTU . . . . . . . . . . . . . . . . . . . . . . . 388
Connecting an off-premise telephone . . . . . . . . . . . . . . . . . . . . . . . . . . 389
Connecting an attendant console. . . . . . . . . . . . . . . . . . . . . . . . . . . . . . 391
Introduction
This chapter contains instructions for connecting telephone Line cards
located in the Media Gateway and Media Gateway Expander to the MDF
cross-connect terminal.
This chapter contains the following procedures:
• Procedure 98: "Cross-connecting telephones" on page 386
• Procedure 99: "Connecting a telephone without a PFTU" on page 389
• Procedure 100: "Connecting an off-premise telephone" on page 390
• Procedure 101: "Connecting an attendant console" on page 391

Page 384 of 488 Installing Line cards and cross-connecting telephones
553-3041-210 Standard 4.00 September 2007
Before you proceed, install the cable from the slot that contains the Line card
associated with the telephone being connected. Refer to “Installing the Main
Distribution Frame” on page 353, if you require additional cable installation.
Refer to the Circuit Card: Description and Installation (553-3001-211) for
full descriptions of country-specific IPE cards and their installation
procedures
Figure 139 and Figure 140 on page 385 show the circuit card assignments for
the Media Gateway and Media Gateway Expander. Refer to these figures to
make sure that you have all circuit cards inserted in the correct slots.
DANGER OF ELECTRIC SHOCK
Always use caution when installing or modifying
telephone lines. Do not install telephone wiring during a
lightning storm. Do not install telephone jacks in wet
locations unless the jacks are designed for wet locations.
Never touch uninsulated telephone wiring unless the line
is disconnected at the network interface.

Installing Line cards and cross-connecting telephones Page 385 of 488
Communication Server 1000E Installation and Configuration
Figure 139
Circuit card assignments in a Media Gateway
Figure 140
Circuit card assignments in a Media Gateway Expander
SLOT
0
SSC
SLOT
1
SLOT
2
SLOT
3
SLOT
4
Slot 4
Slot 3
Slot 2
Slot 1
Slot 0 - SSC
553-CSE9025
Slot 9
Slot 8
Slot 7
Slot 10
SLOT
7
SLOT
8
SLOT
9
SLOT
10
553-CSE9032

Page 386 of 488 Installing Line cards and cross-connecting telephones
553-3041-210 Standard 4.00 September 2007
Circuit cards features
If a circuit card has a switch symbol on its faceplate, it is equipped with option
switches, strapping plugs, or both. Make sure that the circuit cards with option
switches or strapping plugs are set correctly. Some circuit cards can have
daughterboards and other add-on devices installed on them.
Card placement in a Media Gateway or a Media Gateway
Expansion
The work order developed by the planning and engineering department
outlines the placement of peripheral cards in the Media Gateway and Media
Gateway Expander slots. See Circuit Card: Description and Installation
(553-3001-211) for card placement into card slots. The 48-port Digital Line
Card is not supported.
Cross-connecting telephones
Connect the telephones according to Figure 141 on page 387 and Figure 142
on page 388.
Procedure 98
Cross-connecting telephones
1Locate the telephone terminations at the cross-connect terminal.
2Connect the Z-type cross-connect wire to the leads of the telephone.
3Locate line circuit card (TN) terminations at the cross-connect terminal.
4Connect the other end of the cross-connect wire to the assigned TN
terminal block.

Installing Line cards and cross-connecting telephones Page 387 of 488
Communication Server 1000E Installation and Configuration
Figure 141
NE-500/2500-type telephone cross connections
Cable pairs
Cross connect
terminal
Lead
designation
Unit
0
Unit
1
Unit
2
Unit
3
Unit
4
Unit
5
Unit
6
Unit
7
Unit
8
Unit
9
Unit
10
Unit
11
Unit
12
Unit
13
Unit
14
Unit
15
Line
Pack
W-BL
BL-W
W-O
O-W
W-G
G-W
W-BR
BR-W
W-S
S-W
R-BL
BL-R
R-O
O-R
R-G
G-R
R-BR
BR-R
R-S
S-R
BK-BL
BL-BK
BK-O
O-BK
BK-G
G-BK
BR-BK
BK-BR
BK-S
S-BK
Y-BL
BL-Y
T
R
T
R
T
R
T
R
T
R
T
R
T
R
T
R
T
R
T
R
T
R
T
R
T
R
T
R
T
R
T
R
To 500/2500-type
telephone
To 500/2500-type
telephone
To 500/2500-type
telephone
To 500/2500-type
telephone
To 500/2500-type
telephone
To 500/2500-type
telephone
To 500/2500-type
telephone
To 500/2500-type
telephone
To 500/2500-type
telephone
To 500/2500-type
telephone
To 500/2500-type
telephone
To 500/2500-type
telephone
To 500/2500-type
telephone
To 500/2500-type
telephone
To 500/2500-type
telephone
To 500/2500-type
telephone
553-8349.EPS

Page 388 of 488 Installing Line cards and cross-connecting telephones
553-3041-210 Standard 4.00 September 2007
Figure 142
Digital telephone cross connections
End of Procedure
Connecting a telephone without a PFTU
See “Installing and cross-connecting a Power Fail Transfer Unit” on
page 441 for connecting telephones with the PFTU.
Unit 0
Unit 1
Unit 14
Unit 15
T0
R0
T1
R1
2
6
1
2
7
2
4
0
1
5
4
0
1
6
W-BL
BL-W
W-O
O-W
BK-S
S-BK
Y-BL
BL-Y
T0
R0
T1
R1
T14
R14
T15
R15
G
R
W
B
Line cord
to telephone
For Power
Supply leads
to telephone
to telephone
to telephone
PE shelf
Line
pack
Pack
connecto
r
Part of
25 pair cable
Shelf
connecto
r
Part of 25
pair cable
Cross connect
block
Telephone connectin
g
block, or connector
T14
R14
T15
R15
553-8350.EPS

Installing Line cards and cross-connecting telephones Page 389 of 488
Communication Server 1000E Installation and Configuration
Procedure 99
Connecting a telephone without a PFTU
1Locate the telephone terminations on the cross-connect terminal.
2Connect one end of the cross-connect wire to the leads of the telephone.
3Locate the Line card terminations on the cross-connect terminal.
4Connect the other end of the cross-connect wire to the assigned TN
terminal block.
5Activate the telephone.
End of Procedure
Connecting an off-premise telephone
Connect off-premise analog (500/2500-type) telephones through an NT1R20
Off-premise Line card or NTAK92AA Off-Premise Protection Module. Each
NTAK92AA module can connect up to four analog (500/2500-type)
telephones and can interface with the NT8D09 Message Waiting Line card.
DANGER OF ELECTRIC SHOCK
The message-waiting Line card produces -150 volts,
which is considered hazardous on off-premise
telephones. Make sure that the -150 volts are disabled
on off-premise telephones.
The voltage is disabled when the telephone’s Class of
Service (CLS) is Message Waiting Lamp Denied (LPD)
and Message Waiting Denied (MWD) in LD 10.
Refer to the Software Input/Output: Administration
(553-3001-311) for information about LD 10.
Do not assign a Class of Service of LPA or MWA to an
off-premise telephone.

Page 390 of 488 Installing Line cards and cross-connecting telephones
553-3041-210 Standard 4.00 September 2007
Procedure 100
Connecting an off-premise telephone
1Install the NTAK92BA Off-Premise Protection Module on the wall using
four #10 1/2-in (minimum) screws.
2Connect a #6 AWG from the grounding lug at the bottom of the
NTAK92AA Off-Premise Protection Module to the system ground. Refer
to Figure 143 on page 391.
3Connect two NTAK9204 cables (one from connector J1 and one from
connector J2) from the protection module to the cross-connect terminal.
4Terminate the cables as shown in Figure 141 on page 387.
5Cross-connect the J1 cable to the Tip and Ring connections coming from
the Line card.
6Cross-connect the J2 cable to the off-premise telephone.
7Install the regulatory label provided with the Off-Premise Protection
Module on the inside right-hand wall of the Media Gateway.
8Install the Line card in its assigned position.
9Activate the telephone.
DANGER OF ELECTRIC SHOCK
If connecting to a message-waiting Line card, unseat the
card from its assigned slot before continuing with the
next step.

Installing Line cards and cross-connecting telephones Page 391 of 488
Communication Server 1000E Installation and Configuration
Figure 143
NTAK92BA Off-Premise Protection Module connections
End of Procedure
Connecting an attendant console
Procedure 101
Connecting an attendant console
1Locate the attendant console terminations at the cross-connect terminal.
2Locate the Line card terminations at the cross-connect terminal.
3With cross-connect wire, connect the Line card and other connections to
the console, as shown in Figure 144 on page 392.
To off-premise
telephones
To analogue
line card in
Option 11
cabinet
NTAK92AA
Off-Premise
Protection
Module
Connector J1Connector J2
Ground lug
BL - 1W
BL - 2W
O - 1W
O - 2W
G - 1W
G - 2W
BR - 1W
BR - 2W
BL - 1W
BL - 2W
O - 1W
O - 2W
G - 1W
G - 2W
BR - 1W
BR - 2W
J2
J1
NTAK9204
Cable
NTAK9204
Cable
Cross-connect
terminal block
T1
R1
T2
R2
T3
R3
T4
R4
T1
R1
T2
R2
T3
R3
T4
R4
553-8351.EPS

Page 392 of 488 Installing Line cards and cross-connecting telephones
553-3041-210 Standard 4.00 September 2007
Figure 144
Attendant console connections
Cross-connect
block
W-BL
BL-W
W-O
O-W
Y-BL
BL-Y
V-S
S-V
W-S
S-W
R-O
To 1st TN
To 2nd TN
To 3rd TN
Y-
O
O-
Y
+VP
S
+VPS RTN
Relay 2
Relay 1
ASM/
ADN
R-G
G-R
+ AU
X
- AUX
To +15 AUX
(W-G 1 dot wire)
on AUX cable
To -15 AUX
(G-W 1 dot wire)
on AUX cable
Console power
from AUX
cable
(one console
only)
Note:
As an alternative, console
power can be obtained from the
4 th and 5 th TNs on the circuit
card.
To 4th TN Tip
To 4th TN Rin
g
Console
connecto
r
Cable to
M2250
Console
26
1
27
2
30
5
32
7
33
8
41
16
42
17
50
25
Cable from
console to
cross-connect
terminal
To 5 th TN Tip
To 5 th TN Ring
O-
R
BK-BL
BL-BK
36
11
GND
TC
Note 1:
The M2250 is powered using the line circuits and if required from the AUX cable. In addition to
the primary TN, secondary TN and ASMTN, two TNs are for power from the AUX cable are cabled to
the M2250 through the + AUX and - AUX leads. Maximum loop length is 3000 ft (915 m) of 24 AWG
(5.0 Metric Wire Gauge).
Note 2:
When additional options are used (BLF), an additional 16V DC power supply is
required. The 16V DC source is cabled through +VPS and +VPS RTN leads. The maximum
distance from the console to the power source is 120 ft (36 m) of 24 AWG (5.0 Metric Wire Gauge) wire.
(Note 1)
(Note 2)
553-8352.EPS

Installing Line cards and cross-connecting telephones Page 393 of 488
Communication Server 1000E Installation and Configuration
End of Procedure
Table 43
Color combinations of cable pairs
Color
W-Bl
Bl-W
W-O
O-W
W-G
G-W
W-BR
BR-W
W-S
S-W
R-BL
BL-R
R-O
O-R
R-G
G-R
Unit 01234567
Color
R-BR
BR-R
R-S
S-R
BK-BL
BL-BK
BK-O
O-BK
BK-G
G-BK
BK-BR
BR-BK
BK-S
S-BK
Y- B
B-Y
Unit 8 9 10 11 12 12 14 15

Page 395 of 488
Communication Server 1000E Installation and Configuration
440
Installing and configuring IP Phones
Contents
This section contains information on the following topics:
Introduction . . . . . . . . . . . . . . . . . . . . . . . . . . . . . . . . . . . . . . . . . . . . . . 396
Configuring VoIP bandwidth management zones . . . . . . . . . . . . . . . . 408
Configuring virtual superloops . . . . . . . . . . . . . . . . . . . . . . . . . . . . . . . 410
Configuring an IP Phone using LD 11 . . . . . . . . . . . . . . . . . . . . . . . . . 411
Setting administrator and temporary IP Telephone Installer passwords 417
Installing IP Phone hardware components . . . . . . . . . . . . . . . . . . . . . . 420
Configuring the IP Phone boot parameters . . . . . . . . . . . . . . . . . . . . . . 424
Entering IP Phone boot parameters using manual configuration . . . . . 425
Entering IP Phone boot parameters using full DHCP parameters . . . . 428
Entering IP Phone boot parameters using partial DHCP parameters . . 430
Using Set-Based Installation . . . . . . . . . . . . . . . . . . . . . . . . . . . . . . . . . 433
Installing the IP Softphone 2050. . . . . . . . . . . . . . . . . . . . . . . . . . . . . . 435
Verifying IP Phone functionality . . . . . . . . . . . . . . . . . . . . . . . . . . . . . 439
Displaying registered IP Phones . . . . . . . . . . . . . . . . . . . . . . . . . . . . . . 439
Upgrading firmware . . . . . . . . . . . . . . . . . . . . . . . . . . . . . . . . . . . . . . . 439

Installing and configuring IP Phones Page 396 of 488
Communication Server 1000E Installation and Configuration
Introduction
The following IP Phones can be installed on a CS 1000E system:
• Nortel IP Phone 2001
• Nortel IP Phone 2002
• Nortel IP Phone 2004
• Nortel IP Softphone 2050
• Nortel IP Phone 2007
• IP Audio Conference Phone 2033
• WLAN Handsets 2210/2211/2212
• MVC 2050
The system must be configured before the IP phones can be installed. The
configuration includes:
• The IP Phone TN blocks must be defined on the Call Server (See
“Configuring VoIP bandwidth management zones” on page 408 or
“Using Set-Based Installation” on page 433).
• The IP Phones are assigned to an IP telephony node, and use the IP
telephony node properties defined using Element Manager (see
“Configuring an IP telephony node” on page 365).
• The IP Phones require local boot parameter configuration (see
“Configuring the IP Phone boot parameters” on page 424).

Installing and configuring IP Phones Page 397 of 488
Communication Server 1000E Installation and Configuration
Package components for the IP Phones
Table 44 lists the IP Phone 2001 package components and product codes.
Table 44
IP Phone 2001 components list (Part 1 of 2)
IP Phone 2001 package contents include:
• IP Phone 2001
• Handset
• Handset cord
• Footstand
• 7 ft. Cat5 Ethernet cable
• Getting Started card
IP Phone 2001(Ethergray) with Icon keycaps NTDU90AA16/A0533387
IP Phone 2001 (Ethergray) with English text label keycaps NTDU90BA16/A0533388
IP Phone 2001 (Charcoal) with Icon keycaps NTDU90AA70/A0053389
IP Phone 2001 (Charcoal) with English text label keycaps NTDU90BA70/A0533390
Replacement parts
7 ft. Cat5 Ethernet Cable A0648375
Handset, Ethergray A0788874
Handset, Charcoal A0758634
Handset cord, Ethergray; for IP Phone 2004 and IP Phone 2001 A088682
Handset cord, Charcoal; for IP Phone 2004 and IP Phone 2001 N0000764
IP Phone 2001/2002/2004 Power Adapters
Power transformer (117/120 VAC 50/60 Hz) (North America) A0619627
Power transformer 3 prong AC to AC, direct plug-in, 8W, 240
VAC, 50Hz to 16 VAC at 500 mA (Ireland and UK)
A0656598

Installing and configuring IP Phones Page 398 of 488
Communication Server 1000E Installation and Configuration
Table 45 lists the IP Phone 2002 package components and product codes.
Power transformer AC to AC, direct plug-in, 8W, 230 VAC, 50/
60 Hz, to 16 VAC at 500 mA (Europe)
A0619635
Power transformer 2 prong wall plug direct plug-in AC to AC,
8W, 240 VAC, 50 Hz, to 16 VAC at 500 mA (Australia and New
Zealand)
A0647042
Power transformer AC to AC, direct plug-in, 8W, 100 VAC, 50
Hz, to 16 VAC at 500 mA
A0828858
Table 45
IP Phone 2002 components list (Part 1 of 2)
IP Phone 2002 package contents include:
• IP Phone 2002
• Handset
• Handset cord
• Footstand
• 7ft Cat5 Ethernet cable
• Getting Started card
IP Phone 2002 (Ethergray) with Icon keycaps NTDU91AA16/A0533404
IP Phone 2002 (Ethergray) with English text label keycaps NTDU91BA16/A0533405
IP Phone 2002 (Charcoal) with Icon keycaps NTDU91AA70/A0533406
IP Phone 2002 (Charcoal) with English text label keycaps NTDU91BA70/A0533407
Replacement parts
7 ft. Cat5 Ethernet cable A0648375
Handset, Ethergray A0788874
Handset, Charcoal A0758634
Table 44
IP Phone 2001 components list (Part 2 of 2)

Installing and configuring IP Phones Page 399 of 488
Communication Server 1000E Installation and Configuration
Table 46 lists the IP Phone 2004 package components and product codes.
Handset cord, Ethergray A0897725
Handset cord, Charcoal N0000763
Footstand, Charcoal (used for Ethergray and Charcoal models) A0891619
IP Phone 2001/2002/2004 Power Adaptors
Power transformer (117/120 VAC 50/60 Hz) (North America) A0619627
Power transformer 3 prong AC to AC, direct plug-in, 8W, 240
VAC, 50Hz to 16 VAC at 500 mA (Ireland and UK)
A0656598
Power transformer AC to AC, direct plug-in, 8W, 230 VAC, 50/
60 Hz, to 16 VAC at 500 mA (Europe)
A0619635
Power transformer 2 prong wall plug direct plug-in AC to AC,
8W, 240 VAC, 50 Hz, to 16 VAC at 500 mA (Australia and New
Zealand)
A0647042
Power transformer AC to AC, direct plug-in, 8W, 100 VAC, 50
Hz, to 16 VAC at 500 mA
A0828858
Table 46
IP Phone 2004 component list (Part 1 of 2)
IP Phone 2004package contents includes
• IP Phone 2004
• Handset
• Handset cord
• Footstand
• 7 ft. Ethernet cable
• Getting Started card
IP Phone 2004 (Ethergray) with Icon keycaps NTDU92AA16/
A0533408
Table 45
IP Phone 2002 components list (Part 2 of 2)

Installing and configuring IP Phones Page 400 of 488
Communication Server 1000E Installation and Configuration
IP Phone 2004 (Ethergray) with English text label keycaps NTDU92BA16/
A0533409
IP Phone 2004 (Charcoal) with Icon keycaps NTDU92AA70/
A0533410
IP Phone 2004 (Charcoal) with English text label keycaps NTDU92BA70/
A0533411
IP Phone 2004 wall mount kit (Charcoal), used with Ethergray and
Charcoal models
NTMN15BA70/
A0503076
Replacement parts
7 ft. Ethernet Cat5 cable A0648375
Handset (Ethergray) A0788874
Handset (Charcoal) A0758634
Handset cord (Ethergray) A0788682
Handset cord (Charcoal) N0000764
Footstand (Charcoal), used for Ethergray and Charcoal models A0538587
IP Phone 2004 Power Adaptors
Power transformer (117/120 VAC 50/60 Hz) (North America) A0619627
Power transformer 3 prong AC to AC, direct plug-in, 8W, 240 VAC,
50Hz to 16 VAC at 500 mA (Ireland and UK)
A0656598
Power transformer AC to AC, direct plug-in, 8W, 230 VAC, 50/60
Hz, to 16 VAC at 500 mA (Europe)
A0619635
Power transformer 2 prong wall plug direct plug-in AC to AC, 8W,
240 VAC, 50 Hz, to 16 VAC at 500 mA (Australia and New Zealand)
A0647042
Power transformer AC to AC, direct plug-in, 8W, 100 VAC, 50 Hz, to
16 VAC at 500 mA
A0828858
Table 46
IP Phone 2004 component list (Part 2 of 2)

Installing and configuring IP Phones Page 401 of 488
Communication Server 1000E Installation and Configuration
Table 47 lists the IP Phone 2007 package components and product codes.
Table 47
IP Phone 2007 component list (Part 1 of 2)
IP Phone 2007 package contents includes
• IP Phone 2007(charcoal with metallic bezel)
• Handset
• Handset cord
• Footstand
• 7 ft. (2.3 m) CAT5 Ethernet cable
• Getting Started card
NTDU96AB70
Replacement parts
7 ft. CAT5 Ethernet cable A0648375
Handset (charcoal) A0758634
Handset cord (charcoal) N0000764
Footstand (charcoal) A0538587
IP Phone 2007 power adapter
Global power adapter N0014020
IP Phone 2007 power cords
Cord 9.9 ft. NA Power, NEMA, 125Vac 13a
NA, M.East, Taiwan, Indonesia, Philippines, Korea, Thailand,
Vietnam, Japan
NTTK14AB
Cord 8 ft., ANA Power AS-3, 240Vac 10A
Australia, New Zealand, PRC
NTTK15AA
Option 11C Standard European Power Cord 250Vac
Other EMEA, Kenya
NTTK16AB
Option 11C Swiss Power Cord, 9.9 ft. 125Vac
Switzerland
NTTK17AB

Installing and configuring IP Phones Page 402 of 488
Communication Server 1000E Installation and Configuration
Table 48 lists the IP Phone ACP 2033 package components and product
codes.
Table 48
IP Audio Conference Phone 2033 components list
Option 11C UK Power Cord 240Vac
Hong Kong, Ireland, UK, Singapore, Malaysia, India, Bangladesh,
Pakistan, Brunei, Sri Lanka
NTTK18AB
Option 11C Denmark Power Cord Kit, 9.9 ft. 125Vac
Denmark
NTTK22AB
IP Audio Conference Phone 2033 package contents include:
• IP Audio Conference Phone 2033 (charcoal)
• 7 ft. CAT5 Ethernet cable
• Power Interface Module (PIM) with 25 ft. console cable
• IP Audio Conference Phone 2033 Quick Reference Card
• Universal power supply
NTEX11AA70
IP Audio Conference Phone 2033 package contents include:
• IP Audio Conference Phone 2033 (charcoal)
• 7 ft. CAT5 Ethernet cable
• Power Interface Module (PIM) with 25 ft. console cable
• IP Audio Conference Phone 2033 Quick Reference Card
• 2 Extension microphones (charcoal)
• Universal power supply
NTEX11BA70
Additional Extension microphones with 7 ft. cable NTEX11DA70
Power accessory kit (PIM, Universal power supply, cabling) NTEX11CA
IP Phone IP Audio Conference Phone 2033 Power cords
Table 47
IP Phone 2007 component list (Part 2 of 2)

Installing and configuring IP Phones Page 403 of 488
Communication Server 1000E Installation and Configuration
Table 49 lists the Package components for the WLAN Handsets.
NA NEMA 5-15P, 125V 13A (10ft.) NTTK14AB
Euro CEE (7) VII, 250V, 10A (2.5m) NTTK16AB
ANZ AS3112, 250V 10A (2.5m) NTTK15AA
Swiss SEV 1011, 250V 10A (8ft.) NTTK17AB
UK/Ireland BS1363, 240V 10A (8ft.) NTTK18AB
Denmark AFSNIT, 250V 10A (2.5m) NTTK22AB
Argentina IRAM 2073, 250V 10A (8ft.) A0814961
Table 49
WLAN Handset component list (Part 1 of 4)
WLAN Handset 2210 kit North America
WLAN Handset 2210 kit Global (power supply not included)
North American kit includes:
WLAN 2210 Handset
WLAN Handset 2210 Battery Pack
WLAN Handset 2210 Desktop Charger
WLAN 2210/2211 Charger & Nortel Application Gateway 2246-64
Power Supply for North America
Global kit is the same as the North American kit without the power
supply
NTTQ40AA/A0548444
NTTQ40BA/A0548450
NTTQ4010/A0548445
NTTQ4050/A0548446
NTTQ4060/A0548447
NTTQ4101/A0548449

Installing and configuring IP Phones Page 404 of 488
Communication Server 1000E Installation and Configuration
WLAN Handset 2211 kit North America)
WLAN Handset 2211 kit Global (power supply not included
North American kit includes:
WLAN 2211 Handset
WLAN Handset 2211 Battery Pack
WLAN Handset 2211 Desktop Charger
WLAN 2210/2211 Charger & WLAN Application Gateway 2246-64
Power Supply for North America
Global kit is the same as the North American kit without the power
supply
NTTQ50AA/A0548451
NTTQ50BA/A0548455
NTTQ5010/A0548452
NTTQ5050/A0548453
NTTQ5060/A0548454
NTTQ4101/A0548449
WLAN Handset 2211 Gang Charger NTTQ5070/A0548039
WLAN Handset 2210 Clothing Clip NTTQ4080/A0548940
WLAN Handset 2211 Clothing Clip NTTQ5101/A0548941
WLAN Handset Headset with noise cancellation NTTQ5501/A0548946
WLAN Handset Headset, over ear A0548947
WLAN Handset Headset quick disconnect cord NTTQ5521/A0548948
WLAN Handset 2210/2211 User Guide CD ROM NTLH21AB/A0548993
WLAN Handset 2211 carrying case, black NTTQ/5111/A0548942
WLAN Handset 2211 carrying case, (key cover) black NTTQ5131/A0548944
WLAN Handset 2211 carrying case, yellow NTTQ5121/A0548943
WLAN Handset 2211 carrying case, (key cover) yellow NTTQ5141/A0548945
Nortel WLAN IP Telephony Manager 2245, a minimum of one
Telephony Manager is required per system order
NTTQ60AA/A048950
Table 49
WLAN Handset component list (Part 2 of 4)

Installing and configuring IP Phones Page 405 of 488
Communication Server 1000E Installation and Configuration
WLAN Application Gateway 2246
64 users
128 users
256 users
512 users
1,024 users
10,000+ users
NTTQ65AB/N0023211
NTTQ65BA/A0548971
NTTQ65CA/A0548972
NTTQ65DA/A0548973
NTTQ65EA/A0548974
NTTQ65FA/A0548975
The following items must be ordered with the applicable power supply:
WLAN Handset 2210 Desktop Charger
WLAN Handset 2211 Desktop Charger
WLAN Handset 2211 Gang Charger
WLAN IP Telephony Manager 2245
WLAN Application Gateway 2246 - 64 users
WLAN Application Gateway 2246 - 128 users
WLAN Application Gateway 2246 - 256 users
WLAN Application Gateway 2246 - 512 users
WLAN Application Gateway 2246 - 1024 users
WLAN Application Gateway 2246 - 10,000 users
Table 49
WLAN Handset component list (Part 3 of 4)

Installing and configuring IP Phones Page 406 of 488
Communication Server 1000E Installation and Configuration
Power supplies —
WLAN Handset 2211 Gang Charger:
• North America
• Europe
•UK-HK
• Switzerland
• Australia-New Zealand
•Mexico
WLAN Handset 2210/2211 Charger & WLAN Application Gateway
2246-64:
• North America
• Europe
•UK-HK
• Switzerland
• Australia-New Zealand
•Mexico
WLAN IP Telephony Manager 2245 & WLAN Application Gateway
2246 (128+ users):
• North America
• Europe
•UK-HK
• Switzerland
• Australia-New Zealand
•Mexico
NTTQ4301/A0548951
NTTQ4311/A0548952
NTTQ4321/A0548953
NTTQ4331/A0548954
NTTQ4341/A0548955
NTTQ4351
NTTQ4101/A0548499
NTTQ4111/A0548956
NTTQ4121/A0548958
NTTQ4131/A0548959
NTTQ4141/A0548960
NTTQ4151
NTTQ4201/A0548961
NTTQ4211/A0548962
NTTQ4221/A0548964
NTTQ4231/A0548966
NTTQ4241/A0548967
NTTQ4251
Table 49
WLAN Handset component list (Part 4 of 4)

Installing and configuring IP Phones Page 407 of 488
Communication Server 1000E Installation and Configuration
Connectivity and power requirements
Each IP Phone requires:
• a dedicated 10BaseT or 100BaseT or 10/100BaseT Ethernet interface
• a small desktop hub or switch if sharing an existing desktop Ethernet
connection with a PC.
• a local power supply appropriate for the voltage in the area or a Power
over LAN unit. (The IP Phone 2002 comes with a built-in 3-port switch
and is ready for LAN powering.)
Installation and configuration procedures
This chapter contains the following procedures:
• Procedure 102: "Configuring VoIP bandwidth management zones using
the CLI" on page 408
• Procedure 103: "Configuring virtual superloops" on page 410
• Procedure 104: "Configuring the IP Phones" on page 411
• Procedure 105: "Setting passwords for the administrator and temporary
IP Telephone Installer" on page 417
• Procedure 106: "Installing IP Phone hardware components" on page 420
• Procedure 107: "Entering IP Telephone boot parameters using manual
configuration" on page 425
• Procedure 108: "Entering IP Phone boot parameters using full DHCP
parameters" on page 428
• Procedure 109: "Entering IP Phone boot parameters using partial DHCP
parameters" on page 430
• Procedure 110: "Using Set-Based Installation" on page 433
• Procedure 111: "Configuring the IP Softphone 2050" on page 436
• Procedure 112: "Installing the USB Headset Kit" on page 437
• Procedure 113: "Installing the IP Softphone 2050 on your PC" on
page 437

Installing and configuring IP Phones Page 408 of 488
Communication Server 1000E Installation and Configuration
• Procedure 114: "Displaying registered IP Phones in Element Manager"
on page 439
Configuring VoIP bandwidth management zones
Follow Procedure 102 to configure the VoIP bandwidth management zones.
For more details on bandwidth management zones, see IP Line: Description,
Installation, and Operation (553-3001-365).
VoIP bandwidth management zones can be configured with Element
Manager or using the CLI. For more information about Element Manager, see
Element Manager: System Administration (553-3001-332).
Procedure 102
Configuring VoIP bandwidth management zones using the CLI
1Log in to the Call Server.
a. Enter the command:
LOGI
System response:
PASS?
b. Enter the default password:
0000
2Access LD 117. Enter the command:
LD 117
3Create a new zone with default parameters. Enter the command:
NEW ZONE 0
Note: LD 117 also includes DIS and ENL commands to disable or enable
a zone. When you create a zone, its default state is enabled. See
Table 50 on page 409 for the LD 117 zone commands.
4Print zone and bandwidth information. Enter the command:
PRT ZONE.

Installing and configuring IP Phones Page 409 of 488
Communication Server 1000E Installation and Configuration
5Exit from LD 117. Enter the command:
****
Table 50
Bandwidth management zones configuration commands in LD 117
Command Description
NEW ZONE xxx p1 p2 p3 p4 p5 Create a new zone, where:
xxx = zone number = (0) - 255.
p1 = Intrazone available bandwidth
= 0 - (10000) - 100000 (Kbps)
p2 = Intrazone preferred strategy
= (BQ for Best Quality) or BB for Best Bandwidth
p3 = Interzone available bandwidth
= 0 - (10000) - 100000 (Kbps)
p4 = Interzone preferred strategy
= BQ for Best Quality or BB for Best Bandwidth
p5 = Zone resource type
= (shared) or private
NEW ZONE xxx Create a new zone with default values for the parameters:
p1 = 10000 (Kbps)
p2 = BQ
p3 = 10000 (Kbps)
p4 = BQ
p5 = shared
CHG ZONE xxx p1 p2 p3 p4 p5 Change parameters of a zone. All parameters must be
re-entered, even those that are unchanged.
OUT ZONE xxx Remove a zone.
DIS ZONE xxx Disable a zone. When a zone is disabled, no new calls are
established inside, from, or toward this zone.
ENL ZONE xxx Enable a zone.
PRT ZONE xxx Print zone and bandwidth information.

Installing and configuring IP Phones Page 410 of 488
Communication Server 1000E Installation and Configuration
End of Procedure
Configuring virtual superloops
Follow Procedure 103 to configure the virtual superloops. For more details on
virtual superloops, see IP Line: Description, Installation, and Operation
(553-3001-365).
Procedure 103
Configuring virtual superloops
1Access LD 97. Enter the command:
LD 97
2Enter responses shown in Table 51.
Table 51
LD 97 – Configure a Virtual Superloop.
Prompt Response Comment
REQ CHG Change existing data
TYPE SUPL Superloop
SUPL Vxxx V stands for a virtual superloop and xxx is the number of the virtual
superloop.
xxx = 0-252 in multiples of four for MG 1000E
xxx = 96-112 in multiples of four for MG 1000T (See Table 52)

Installing and configuring IP Phones Page 411 of 488
Communication Server 1000E Installation and Configuration
3Exit from LD 97. Enter the command:
****
End of Procedure
Configuring an IP Phone using LD 11
Follow Procedure 104 to configure an IP Phone. The configuration can be
completed using either OTM or CLI.
Procedure 104
Configuring the IP Phones
1Access LD 11. Enter the command:
LD 11
Table 52
MG 1000T virtual superloop/virtual card mapping
SUPL Card
96 61-64 81-84
100 65-68 85-88
104 69-72 89-92
108 73-76 93-96
112 77-80 97-99

Installing and configuring IP Phones Page 412 of 488
Communication Server 1000E Installation and Configuration
2Enter the appropriate responses shown in Table 53.
Table 53
LD 11 – Configure an IP Phone. (Part 1 of 4)
Prompt Response Description
REQ: NEW CHG Add new or change existing data
TYPE: i2001
i2002
i2004
i2050
For IP Phone 2001, IP Phone 2002, IP Phone 2004, or
IP Softphone 2050. CS 1000E accepts this response if it
is equipped with packages 88 and 170.
TN
l s c u
c u
Terminal Number
Format for CS 1000E, where:
l = 0, 4, 8, - 252: superloop number in multiples of 4
s = 0-1: MG 1000E on superloop
c = 1-4, 7-10
u = 0-31, (see Table 64 on page 485)
Format for MG 1000T, where:
c = 0-4, 7-10, 11-14, 17-24, 27-34, 37- 44, 47-50
u = 0-31
DES d...d Office Data Administration System Station Designator
CUST xx Customer number as defined in LD 15
ZONE 0-255 Zone number to which this IP Phone belongs
CLS ADD Class of Service
ADD - Automatic Digit Display, (default for IP Phone)
For a complete list of responses, refer to Software Input/
Output: Administration (553-3001-311).

Installing and configuring IP Phones Page 413 of 488
Communication Server 1000E Installation and Configuration
KEY xx aaa yyyy (cccc or D) zz..z
Telephone function key assignments
The following key assignments determine calling options
and features available to a telephone. Note that KEY is
prompted until just a carriage return <CR> is entered.
xx = key number
aaa = key name or function
yyyy = additional information required for the key
zz..z = additional information required for the key aaa.
The cccc or D entry deals specifically with the Calling
Line identification feature. Where:
cccc = CLID table entry of (0)-N, where N = the value
entered at the SIZE prompt in LD 15 minus 1.
D = the character “D”. When the character “D” is
entered, the system searches the DN keys from key 0
and up, to find a DN key with CLID table entry. The CLID
associated with the found DN key will then be used.
Note: The position of the (cccc or D) field varies depending on
the key name or function.
You may enter a CLID table entry if aaa = ACD, HOT d,
HOT L, MCN, MCR, PVN, PVR, SCN or SCR.
Type xx NUL to remove a key function or feature.
Some data ports require specific key assignments. Refer
to the Meridian Data Services NTPs for information
regarding these requirements.
Table 53
LD 11 – Configure an IP Phone. (Part 2 of 4)
Prompt Response Description

Installing and configuring IP Phones Page 414 of 488
Communication Server 1000E Installation and Configuration
Key number limits that can be assigned are as follows:
0-7 for Meridian Communications Adapter (MCA)
0-5 for M2006
0-7 for M2008
0-59 for M2616, varies with number of add-on
modules
0-79 for I2002, varies with value of KEM
0-79 for I2004, varies with value of KEM
Note: The first IP Phone KEM is assigned keys 32-55, and the
second IP Phone KEM is assigned keys 56-79.
Type xx = NUL to remove a key function or feature for
i2002 and i2004.
If either the Meridian Programmable Data Adapter
(MPDA) or the Display Module is equipped, then key 7
on sets M2008, M2216, and M2616 sets and key 5 on
set M2006 will become Program keys which cannot be
used as function keys.
Any printout of the TN block will not show key 7 because
it is a local function key.
On the M2616, if CLS = HFA, key 15 on the voice TN
defaults to the Handsfree key. No other feature
assignment is accepted.
Primary and secondary data DNs must be unique.
A station SCR, SCN, MCR, or MCN DN must be
removed as a member from all Group Hunt lists before
the DN can be modified.
Table 53
LD 11 – Configure an IP Phone. (Part 3 of 4)
Prompt Response Description

Installing and configuring IP Phones Page 415 of 488
Communication Server 1000E Installation and Configuration
On the M3903, keys 4-15 are blocked. No feature
assignment is accepted for keys 2-15.
On the M3903, M3904, and M3905, keys 29-31 are
reserved. No feature assignment is accepted for keys
29-31 other than NUL.
On M3904, no feature assignment is accepted for keys
12-15.
On M3905, the technician can assign NUL or a server
application on key 5. On key 6, the craftsperson can
assign NUL or a local application.
On M3905, the technician can assign NUL or the
program key on key 7.
On M3905, the technician can assign AAG, AMG,
ASP,DWC, EMR, MSB, or NRD on keys 8-11. Other
features are blocked.
For IP Phones:
xx = Keys 0-5 (and 6-11 using Shift key). These are
self-labeled physical keys that can be programmed with
any feature.
Note 1: The IP Phone 2002 does not have a Shift key.
Only keys 0-3 can be programmed.
Note 2: Keys 16-26 are reserved for dedicated IP
Phone soft keys.
Table 54 on page 416 lists the dedicated IP Phone key
name values (aaa). Other key name values can be found
in Software Input/Output: Administration
(553-3001-311).
Table 53
LD 11 – Configure an IP Phone. (Part 4 of 4)
Prompt Response Description

Installing and configuring IP Phones Page 416 of 488
Communication Server 1000E Installation and Configuration
3Configure the dedicated soft keys, as shown in Table 54.
Table 54
IP Phone dedicated soft key assignment (Part 1 of 2)
IP Phone key number Response(s) Allowed
Key 16 MWK, NUL
MWK – Message Waiting key
Key 17 TRN, NUL
TRN – Call Transfer key
Key 18 A03 or A06, NUL
AO3 – 3-party conference key
AO6 – 6-party conference key
Key 19 CFW, NUL
CFW – Call Forward key
Key 20 RGA, NUL
RGA – Ring Again key
Key 21 PRK, NUL
PRK – Call Park key
Key 22 RNP, NUL
RNP – Ringing Number pickup key
Key 23 SCU – Speed Call User
SSU – System Speed Call User
SCC – Speed Call Controller
SSC – System Speed Call Controller
NUL
Key 24 PRS, NUL
PRS – Privacy Release key

Installing and configuring IP Phones Page 417 of 488
Communication Server 1000E Installation and Configuration
4Repeat Steps 2 and 3 for each IP Phone.
End of Procedure
Setting administrator and temporary IP Telephone
Installer passwords
IP Phone Installer Passwords is an optional feature that provides protection
against unauthorized modification of the TN on the IP Phones. For detailed
information about the IP Phone Installer Passwords, see IP Line: Description,
Installation, and Operation (553-3001-365).
The IP Phone Installer Passwords are configured on either a Signaling Server
or a Media Card in a node. The passwords then apply to all components in the
node.
Procedure 105
Setting passwords for the administrator and temporary
IP Telephone Installer
Note: This procedure can also be performed from the CLI of a Signaling
Server or Media Card.
1Log in to Element Manager.
2Select IP Telephony > Nodes: Servers, Media Cards > Maintenance
and Reports from the navigator.
The Node Maintenance and Reports web page opens, as shown in
Figure 115 on page 340.
Key 25 CHG, NUL
CHG – Charge Account key
Key 26 CPN, NUL
CPN – Calling Party Number key
Table 54
IP Phone dedicated soft key assignment (Part 2 of 2)
IP Phone key number Response(s) Allowed

Installing and configuring IP Phones Page 418 of 488
Communication Server 1000E Installation and Configuration
3Click the desired node to expand it.
4Click GEN CMD for the chosen Signaling Server or Media Card.
The General Commands web page opens, as shown in Figure 145.
Figure 145
General Commands
5Select NodePwd from the Group drop-down list.
6Select nodePwdShow from the Command drop-down list.
7Click RUN.
The current node password information displays in the text area at the
bottom of the web page.
8Enter the administrator IP Phone Installer Password in the Node
Password box (see Figure 146).
9Select nodePwdSet from the drop-down list.

Installing and configuring IP Phones Page 419 of 488
Communication Server 1000E Installation and Configuration
10 Click SET.
The administrator password is set and enabled.
Figure 146
Node Password
Note: The entered password appears as asterisks. The valid characters
are 0-9 * #. The password can be null or 6 to 14 digits in length.
11 Select NodePwd from the Group drop-down list.
12 Select nodePwdShow from the Command drop-down list.
13 Click RUN.
The updated administrator IP Phone Installer Password is displayed in the
text area at the bottom of the web page.
14 Enter the temporary IP Phone Installer Password (see
Figure 147):
a. Enter the password in the Node Password text box.
b. Select NodePwd from the Group drop-down list.
c. Select nodeTempPwdSet from the Command drop-down list.
The area then displays the Uses and Timeout text boxes.
d. Enter a value for the number of uses or a value for timeout (in hours)
or both.
WARNING
If the administrator password is null (zero length), then
the Node ID, TN, and Password screens are not
displayed on the IP Phones during their registration
process. This provides security as it prevents any entry
of passwords or TNs on the IP Phones. However, it is
impossible to install new IP Phones (unless a temporary
password is set).

Installing and configuring IP Phones Page 420 of 488
Communication Server 1000E Installation and Configuration
15 Click SET.
The temporary password is set.
Figure 147
Node Temp Password
Note 1: The entered password appears as asterisks. The valid
characters are 0-9 * #. The password can be 6 to 14 digits in length.
Note 2: The temporary password automatically deletes itself after it has
been used the defined number of times or when the duration expires,
whichever comes first.
16 Select NodePwd from the Group drop-down list.
17 Select the nodePwdShow command from the Command drop-down list.
18 Click RUN.
The updated temporary IP Phone Installer Password is displayed.
End of Procedure
Installing IP Phone hardware components
Follow Procedure 106 to install IP Phone hardware components.
Procedure 106
Installing IP Phone hardware components
For details on installing hardware components, see IP Phones: Description,
Installation, and Operation (553-3001-368).
1Refer to Figure 148 on page 421, when installing the following:
a. Footstand
b. 3-Port Switch only on the IP Phone 2004, required if a single Ethernet
connection is shared with a PC
c. Ethernet cable from the set to the 3-Port Switch
d. Power Transformer or Power Splitter for Power over LAN unit

Installing and configuring IP Phones Page 422 of 488
Communication Server 1000E Installation and Configuration
2Connect one end of the CAT5 line cable to the Ethernet jack at the back
of the telephone. See Figure 148 on page 421.
3Connect the other end into the IP voice network (Ethernet), using an
RJ-45 connector. See Figure 149 on page 423.
4Power the IP Phone with one of the following methods:
a. Using a 16V AC power adaptor, plug the AC power transformer into
the nearest power outlet. Check the IP Phone User Guide for
country-specific parameters.
b. Using a Power over LAN unit, connect the Power over LAN unit as
shown in Figure 149 on page 423.
5Secure the telephone footstand to the base of the telephone. Use the
angle adjustment grip on the top rear of the telephone to adjust the
position.
WARNING
Do not plug the IP Phone into an ISDN connection.
Severe damage can result. Consult the system
administrator to ensure that the telephone is being
plugged in to a 10/100BaseT Ethernet jack.

Installing and configuring IP Phones Page 424 of 488
Communication Server 1000E Installation and Configuration
Configuring the IP Phone boot parameters
The IP Phone boot parameters are configured during telephone installation.
The following configuration modes are available:
• Manual configuration
— All of the IP Phone's boot parameters are statically configured at the
IP Phone.
— See Procedure 107: "Entering IP Telephone boot parameters using
manual configuration" on page 425.
• Partial Dynamic Host Configuration Protocol (DHCP) mode
— Works with standard DHCP server. The DHCP server automatically
provides the IP Phone with an IP address; the remainder of the IP
Phone's boot parameters are statically configured at the IP Phone.
— See Procedure 108: "Entering IP Phone boot parameters using full
DHCP parameters" on page 428.
• Full DHCP mode
— Requires special configuration of the DHCP server to recognize the
IP Phone. The DHCP server provides all boot parameters to the IP
Phone, including IP address and server address.
— See Procedure 109: "Entering IP Phone boot parameters using
partial DHCP parameters" on page 430.
For configuration of the DHCP server, see Converging the Data Network with
VoIP (553-3001-160).

Installing and configuring IP Phones Page 425 of 488
Communication Server 1000E Installation and Configuration
Entering IP Phone boot parameters
using manual configuration
Follow Procedure 107 to enter IP Telephone boot parameters using manual
configuration.
Procedure 107
Entering IP Telephone boot parameters using manual configuration
1Power the IP Phone.
Within four seconds, the Nortel logo appears.
2When the Nortel logo appears on the display, you have one second to
press the four feature keys at the bottom of the display in sequence, from
left to right.
Note: If the Nortel logo times out, repeat step 1 and step 2.
3For the following prompts:
a. Press the BKSpace (backspace) or Clear keys to change an entry.
b. Enter new values using the telephone’s keypad.
c. Press the OK key to accept your selection.
The IP Phone prompts:
DHCP? (0-No, 1-Yes): 0
4Enter 0 for manual boot parameter configuration.
The IP Phone prompts:
SET IP: x.x.x.x
5Enter the IP Phone IP address.
The IP Phone prompts:
NETMSK: x.x.x.x
6Enter the subnet mask.
The IP Phone prompts:
DEF GW: x.x.x.x

Installing and configuring IP Phones Page 426 of 488
Communication Server 1000E Installation and Configuration
7Enter the default gateway.
The IP Phone prompts:
S1 IP: x.x.x.x
8Enter the Server 1 IP (node IP).
The IP Phone prompts:
S1 PORT: 4100
9Enter the Server 1 port.
The IP Phone prompts:
S1 ACTION: 1
10 Enter the Server 1 action.
The IP Phone prompts:
S1 RETRY COUNT: 10
11 Enter the Server 1 retry count.
The IP Phone prompts:
S2 ...
12 Enter same information as for Server 1.
The IP Phone prompts:
VLAN?(0-No,1-Ma,2-Au)0
13 Choose one of the following:
a. Enter 0 to configure no VLAN.
The IP Phone displays:
Locating server...
After several seconds, the IP Phone prompts:
Connect Svc
Node: x
TN: x.x
Go to step 14 on page 427.

Installing and configuring IP Phones Page 427 of 488
Communication Server 1000E Installation and Configuration
b. Enter 1 to configure manual VLAN.
The IP Phone prompts:
VLAN: x
Go to step 14 on page 427.
c. Press the OK key.
The IP Phone prompts:
Invalid TN: x.x
Reason: Unequipped.
Go offhook to do SBI
14 Enter the VLAN ID.
The IP Phone displays:
Locating server...
If you did not configure an IP Phone Installer Password, after several
seconds, the IP Phone prompts:
Node: x
TN: x.x
15 Enter the node number and the IP Phone's (virtual) TN, then go to Step
18.
If you configured an IP Phone Installer Password, the IP Phone prompts:
Node: x
PassWord: x
16 Enter the node number and the temporary or administrator IP Phone
Installer Password.
Note 1: An asterisk is displayed for each password digit entered; the
actual password is not displayed.
Note 2: If this screen times out, or if you do not successfully enter the
password in three attempts, the IP Phone continues its registration
process as if no entry had been made to this prompt. You can reboot the
telephone and try again if more tries are needed.
The IP Phone prompts:
TN: x.x

Installing and configuring IP Phones Page 428 of 488
Communication Server 1000E Installation and Configuration
17 Enter the IP Phone’s (virtual) TN.
The IP Phone displays the logo, the date and time, and the DN keys.
18 Check for dial tone and the correct DN above the display.
End of Procedure
Entering IP Phone boot parameters
using full DHCP parameters
Follow Procedure 108 to enter IP Phone boot parameters using full DHCP
parameters.
Procedure 108
Entering IP Phone boot parameters using full DHCP parameters
1Power the IP Phone.
Within four seconds, the Nortel logo appears.
2When the Nortel logo appears on the display, you have one second to
press the four feature keys at the bottom of the display in sequence, from
left to right.
Note: If the Nortel logo times out, repeat step 1 and step 2.
3For the following prompts:
a. Press the BKSpace (backspace) or Clear keys to change an entry.
b. Enter new values using the telephone’s keypad.
c. Press the OK key to accept your selection.
The IP Phone prompts:
DHCP? (0-No, 1-Yes): 0
4Enter 1 to use DHCP.
The IP Phone prompts:
DHCP:0-Full, 1-Partial:0
5Enter the 0 to use Full DHCP.
The IP Phone prompts:
VLAN?(0-No,1-Ma,2-Au)0

Installing and configuring IP Phones Page 429 of 488
Communication Server 1000E Installation and Configuration
6Choose one of the following:
a. Enter 0 to configure no VLAN.
The IP Phone displays:
Locating server...
After several seconds, the IP Phone prompts:
Connect Svc
Node: x
TN: x.x
Go to step 7 on page 429.
b. Enter 1 to configure manual VLAN.
The IP Phone prompts:
VLAN: x
Go to step 7.
c. Enter 2 to configure automatic VLAN.
The IP Phone prompts:
VLAN: x
Go to step 7
7Enter the VLAN ID.
The IP Phone displays:
Locating server...
If you did not configure an IP Phone Installer Password, after several
seconds, the IP Phone prompts:
Node: x
TN: x.x
8Enter the node number and the IP Phone's (virtual) TN, and then go to
step 11 on page 430.
If you configured an IP Phone Installer Password, the IP Phone prompts:
Node: x
PassWord: 0

Installing and configuring IP Phones Page 430 of 488
Communication Server 1000E Installation and Configuration
9Enter the node number and the temporary or administrator IP Phone
Installer Password.
Note 1: An asterisk is displayed for each password digit entered; the
actual password is not displayed.
Note 2: If this screen times out, or if you do not successfully enter the
password in three attempts, the IP Phone continues its registration
process as if no entry had been made to this prompt. You can reboot the
telephone and try again if more tries are needed.
The IP Phone prompts:
TN: x.x
10 Enter the IP Phone’s (virtual) TN.
The IP Phone displays the logo, the date and time, and the DN keys.
11 Check for dial tone and the correct DN above the display.
End of Procedure
Entering IP Phone boot parameters
using partial DHCP parameters
Follow Procedure 109 to enter IP Telephone boot parameters using partial
DHCP parameters.
Procedure 109
Entering IP Phone boot parameters using partial DHCP parameters
1Power up the IP Phone.
Within four seconds, the Nortel logo appears.
2When the Nortel logo appears on the display, you have one second to
press the four feature keys at the bottom of the display in sequence, from
left to right.
Note: If the Nortel logo times out, repeat step 1 and step 2.
3For the following prompts:
a. Press the BKSpace (backspace) or Clear keys to change an entry.
b. Enter new values using the telephone’s keypad.

Installing and configuring IP Phones Page 431 of 488
Communication Server 1000E Installation and Configuration
c. Press the OK key to accept your selection.
The IP Phone prompts:
DHCP? (0-No, 1-Yes): 0
4Enter 1 to use DHCP.
The IP Phone prompts:
DHCP:0-Full, 1-Partial:0
5Enter the 1 to use Partial DHCP.
The IP Phone prompts:
S1 IP: x.x.x.x
6Enter the Server 1 IP (node IP).
The IP Phone prompts:
S1 PORT: 4100
7Enter the Server 1 port.
The IP Phone prompts:
S1 ACTION: 1
8Enter the Server 1 action.
The IP Phone prompts:
S1 RETRY COUNT: 10
9Enter the Server 1 retry count.
The IP Phone prompts:
S2 ...
10 Enter same information as for Server 1.
The IP Phone prompts:
VLAN?(0-No,1-Ma,2-Au)0

Page 432 of 488 Installing and configuring IP Phones
553-3041-210 Standard 4.00 September 2007
11 Choose one of the following:
a. Enter 0 to configure no VLAN.
The IP Phone displays:
Locating server...
After several seconds, the IP Phone prompts:
Connect Svc
Node: x
TN: x.x
Go to step 12.
b. Enter 1 to configure manual VLAN.
The IP Phone prompts:
VLAN: x
Go to step 12 on page 432.
c. Enter 2 to configure automatic VLAN.
The IP Phone prompts:
VLAN: x
Go to step 12.
12 Enter the VLAN ID.
The IP Phone displays:
Locating server...
If you did not configure an IP Phone Installer Password, after several
seconds, the IP Phone prompts:
Node: x
TN: x.x
13 Enter the node number and the IP Phone's (virtual) TN then go to step 16.
If you configured an IP Phone Installer Password, the IP Phone prompts:
Node: x
PassWord: 0

Installing and configuring IP Phones Page 433 of 488
Communication Server 1000E Installation and Configuration
14 Enter the node number and the temporary or administrator IP Phone
Installer Password.
Note 1: An asterisk is displayed for each password digit entered; the
actual password is not displayed.
Note 2: If this screen times out, or if you do not successfully enter the
password in three attempts, the IP Phone continues its registration
process as if no entry had been made to this prompt. You can reboot the
telephone and try again if more tries are needed.
The IP Phone prompts:
TN: x.x
15 Enter the IP Phone’s (virtual) TN.
The IP Phone displays the logo, the date and time, and the DN keys.
16 Check for dial tone and the correct DN above the display.
End of Procedure
Using Set-Based Installation
Set-Based Installation enables the delegation of telephone installation to
trusted users. To have a trusted user perform this function, configure a
temporary IP Phone Installer Password for the system. See “Setting
administrator and temporary IP Telephone Installer passwords” on page 417.
Note: This feature can be an alternative to LD 11 or OTM to configure
IP Phones on the Call Server.
Follow Procedure 110 to use Set-Based Installation.
Procedure 110
Using Set-Based Installation
This procedure is the same as Procedure 107 on page 425, Procedure 108 on
page 428, and Procedure 109 on page 430, except when the system
response, displayed on the IP Phone, is as follows:
If you did not configure an IP Phone Installer Password, the IP Phone prompts:

Page 434 of 488 Installing and configuring IP Phones
553-3041-210 Standard 4.00 September 2007
Node: x
TN: x.x
1Enter the node number and the IP Phone's (virtual) TN, then go to Step 4.
If you configured an IP Phone Installer Password, the IP Phone prompts:
Node: x
PassWord: 0
2Enter the node number and the temporary or administrator IP Phone
Installer Password.
Note 1: An asterisk is displayed for each password digit entered; the
actual password is not displayed.
Note 2: If this screen times-out, or if you do not successfully enter the
password in 3 attempts, the IP Phone continues its registration process
as if no entry had been made to this prompt. You can reboot the telephone
and try again if more tries are needed.
The IP Phone prompts:
TN: x.x
3Enter the IP Phone’s (virtual) TN.
4Press the OK key.
The IP Phone responds Unequipped...
5Lift the handset. The system accepts the TN.
6Listen for the continuous dial tone.
The system response, displayed on the IP Phone, is as follows:
Model ? (20)
7Press the # key to select the default model, or enter the model number
and press #.
8Listen for a special tone.
The system response, displayed on the IP Phone, is as follows:
OK, ZONE? (0)
9Press the # key to select the default zone, or enter the zone number and
press #.
The system response, displayed on the IP Phone, is as follows:

Installing and configuring IP Phones Page 435 of 488
Communication Server 1000E Installation and Configuration
OK, EXTENSION? 2244
10 Press the # key to select the default DN, or enter a DN and press #.
11 Listen for a relocation tone.
The system response, displayed on the IP Phone, is as follows:
OK
12 Replace the handset.
The set displays the logo, the date and time, and the DN keys The set
based installation is complete.
End of Procedure
Installing the IP Softphone 2050
This chapter contains the following procedures:
• Procedure 111: "Configuring the IP Softphone 2050" on page 436
• Procedure 112: "Installing the USB Headset Kit" on page 437
• Procedure 113: "Installing the IP Softphone 2050 on your PC" on
page 437
• “Running the IP Softphone 2050 for the first time” on page 438

Page 436 of 488 Installing and configuring IP Phones
553-3041-210 Standard 4.00 September 2007
Procedure 111
Configuring the IP Softphone 2050
1Access LD 11. Enter the command:
LD 11
2Enter appropriate responses shown in Table 55.
End of Procedure
Installing and configuring on the PC
Installing the USB Headset Kit
Installing the USB Headset Kit application after the IP Softphone 2050
software application enables the IP Softphone 2050 application to show it as
an audio device option during the installation. If the USB Headset Kit is
Table 55
LD 11 – Configure the IP Softphone 2050
Prompt Response Description
REQ: NEW
CHG
Add new data
Change existing data
TYPE: I2050 Type of data block
TN c u Terminal number
DES x...x ODAS telephone designator
CUST xx Customer number, as defined in LD 15
...
ZONE 0-255 Zone number
FDN x...x Flexible CFNA DN
...
CLS aaa Class of service
HFA - Digital Telephone Handsfree Allowed is default for IP
Softphone 2050 to enable the USB interface

Installing and configuring IP Phones Page 437 of 488
Communication Server 1000E Installation and Configuration
installed, you can still choose it as the audio device from the Configuration
Utility.
Procedure 112
Installing the USB Headset Kit
1Connect the coiled lower cord to the headset cord with the Quick
Disconnect connector. Ensure the Quick Disconnect is securely fastened.
2Connect the headset cord to the RJ9 jack on the adaptor.
3Connect the USB cable to the headset adaptor and to one of the USB
jacks at the back of your PC or USB hub.
End of Procedure
The first time the headset adapter is plugged in, there is a delay while
Windows ® configures the device and locates appropriate driver software.
During the installation you can be prompted to supply the original Windows
CD-ROM so that Windows can locate the required drivers.
Installing the IP Softphone 2050 application
Procedure 113
Installing the IP Softphone 2050 on your PC
1Insert the CD-ROM disk into the CD-ROM drive of your PC.
Note: Installation should proceed automatically. If it does not, then
continue with step 1. Otherwise go directly to step 5.
2On the PC desktop, double-click the My Computer icon.
3Double-click the CD icon.
4Double-click the Setup icon.
5Follow the prompts that appear on the screen.
6Run the IP Softphone 2050 Configuration Utility to assign a server
address, select sound devices, and select a server type.
End of Procedure

Page 438 of 488 Installing and configuring IP Phones
553-3041-210 Standard 4.00 September 2007
Running the IP Softphone 2050 for the first time
Installation places the IP Softphone 2050 in the Windows Start menu at Start
> Programs > Nortel > IP Softphone 2050. The Configuration Utility is
placed in the Windows Control Panel.
The IP Softphone 2050 application is started by one of the following:
• Select Start > Programs > Nortel > IP Softphone 2050.
• Click the desktop shortcut (if one was created during the installation).
• Automatic start-up sequence.
Note: If you want the IP Softphone 2050 to start automatically when the
PC boots, place a shortcut to the application in the Start-up folder.
When an IP Softphone 2050 starts for the first time and connects to the
network, it executes a start-up sequence. The elements of the start-up
sequence are as follows:
• Get the IP parameters.
• Find a gateway server, and authenticate the user.
As the IP Softphone 2050 registers with the system, the following occurs:
• If a non-null node password is enabled, it prompts for a node number and
password. Enter the node number and password using the keyboard or
numeric keypad. After the password is verified, enter the TN of the IP
Softphone 2050. See IP Line: Description, Installation, and Operation
(553-3001-365) for more on the password feature.
• If the null node password is configured and enabled, these screens are
skipped and no option is provided to change the password.
• If the node password is disabled or not configured, it prompts for a node
number and TN. Enter the node number and TN using the keyboard or
numeric keypad.
The IP Softphone 2050 configuration is complete.

Installing and configuring IP Phones Page 439 of 488
Communication Server 1000E Installation and Configuration
Verifying IP Phone functionality
You can now use the IP Phones. To test the telephones, make IP Phone-to-IP
Phone calls.
Displaying registered IP Phones
Follow Procedure 114 to display the IP Phones registered on a Signaling
Server or Voice Gateway Media Card.
Procedure 114
Displaying registered IP Phones in Element Manager
1Log in to Element Manager.
2Select System Status > IP Telephony from the navigator.
3Click the desired node to expand it.
4Click GEN CMD for the desired Signaling Server or Media Card.
a. Select isetShow from the drop-down list box.
b. If prompted, select the range of sets to display.
c. Click RUN.
The status of all IP Phones registered on this Signaling Server or Media Card
is displayed.
End of Procedure
Upgrading firmware
Refer to the IP Line: Description, Installation, and Operation
(553-3001-365), to check for the latest IP Phone firmware version and how
to upgrade to the latest IP Phone firmware.

Page 441 of 488
Communication Server 1000E Installation and Configuration
454
Installing and cross-connecting a
Power Fail Transfer Unit
Contents
This section contains information on the following topics:
Introduction . . . . . . . . . . . . . . . . . . . . . . . . . . . . . . . . . . . . . . . . . . . . . . 441
Installing and connecting a QUA6 PFTU . . . . . . . . . . . . . . . . . . . . . . . 442
Installing and connecting a third-party PFTU. . . . . . . . . . . . . . . . . . . . 447
Connecting an analog (500/2500-type) telephone to a PFTU. . . . . . . . 448
Connecting a trunk to a PFTU. . . . . . . . . . . . . . . . . . . . . . . . . . . . . . . . 452
Introduction
Power fail transfer occurs when the main power to the CS 1000E system is
cut off. When a power interruption occurs, the Power Fail Transfer Unit
(PFTU) connects predetermined analog (500/2500-type) telephones directly
to the Central Office trunks. A PFTU is capable of supporting a maximum of
five or eight telephones (depending on the PFTU type).
A PFTU can be connected to the AUX connector on a Media Gateway.
IMPORTANT!
A PFTU does not support Digital trunks. Use Analog trunks if power
failure backup is required.

Page 442 of 488 Installing and cross-connecting a Power Fail Transfer Unit
553-3041-210 Standard 4.00 September 2007
The following procedures are provided in this chapter:
1Procedure 115: "Installing and connecting a QUA6 PFTU" on page 442
2Procedure 116: "Connecting an analog (500/2500-type) telephone to a
PFTU" on page 450
3Procedure 117: "Connecting a Trunk to a PFTU" on page 452
Installing and connecting a QUA6 PFTU
Follow Procedure 115 to install and connect a QUA6 PFTU. Refer to the
equipment layout plan for the location of the PFTU.
Note: The QUA6 PFTU operates with loop-start and ground-start
Central Office trunks. With ground start trunks, the associated telephone
set must have a ground start button.
Procedure 115
Installing and connecting a QUA6 PFTU
1Install the PFTU on the wall near the system cross-connect terminal.
Fasten the PFTU in position with four screws.
2Install an NE-A25B-type 25-pair cable from connector J1 on the faceplate
of the PFTU to its assigned location at the cross-connect terminal.
3Label the pairs of the J1 cable on the cross-connect terminal block as
shown in Figure 150 on page 442.
Figure 150
J1 cable labels
Control PFT1 PFT2 PFT3 PFT4 PFT5 PFT1
Power
Pairs
1 to 4
Pairs
1 to 4
Pairs
1 to 4
Pairs
1 to 4
Pairs
1 to 4
Pairs
1 to 4
Pairs
1 to 4
Label the pairs on the terminal block as shown. If using
BIX blocks, attach the appropriate designation strip.

Installing and cross-connecting a Power Fail Transfer Unit Page 443 of 488
Communication Server 1000E Installation and Configuration
4Connect the PFTU power and control connections to the AUX connector
on the Media Gateway. See Figure 151 on page 443 and Figure 152 on
page 444, Table 56 on page 444, and Figure 153 on page 446.
Figure 151
AUX cable connectors on media gateway
J1
QUA6A
PFTU
XFER
5
2
V
5
2
V
P
F
T
U
A
U
X
PFT1
TR 2 3 4
W-
BL
BL-
W
O-
W
W-
O
G-
W
W-
G
T
1
R
1
T
2
R
2
T
3
R
3
NTAK1104
553-CSE8343

Page 444 of 488 Installing and cross-connecting a Power Fail Transfer Unit
553-3041-210 Standard 4.00 September 2007
Figure 152
AUX cable connector on Media Gateway
Table 56
Control and power connections on cable J1 (Part 1 of 2)
J1 Cable from QUA6
Function Pair Number Pair Color Connects to Cross-connects to
Control 1T W-BL (ALM) Not used
1R BL-W BRTN W-BL 1-dot connection on
AUX cable
2T W-O PFTS W-O 1-dot connection on
AUX cable. Transfer begins by
applying ground to this lead.
2R O-W BRTN BL-W 1-dot connection on
AUX cable.

Installing and cross-connecting a Power Fail Transfer Unit Page 445 of 488
Communication Server 1000E Installation and Configuration
3T W-G (TC) Console transfer switch. See
console connections. Transfer
begins by applying ground to
this lead.
3R G-W Not used
4T W-BR Not used
4R BR-W Not used
PFTU
power
25T
25R
S-V
V-S
-48 V
-48 V
O-W 1-dot connection on
AUX cable. Maximum 250 mA
draw on O-W lead.
Table 56
Control and power connections on cable J1 (Part 2 of 2)
J1 Cable from QUA6
Function Pair Number Pair Color Connects to Cross-connects to

Installing and cross-connecting a Power Fail Transfer Unit Page 447 of 488
Communication Server 1000E Installation and Configuration
Installing and connecting a third-party PFTU
Follow the equipment manufacturer’s instructions for installing the PFTU.
Use the information in Table 57 to connect a third-party PFTU.
Note 1: Refer to Figure 152 on page 444 to see where the Auxiliary
cable connects to the CS 1000E system.
Note 2: If power is removed from the QUA6, a transfer of the PFTU can
occur.
Table 57
PFTU control lead signals
Lead State
NTAK1104 AUX
cable lead
When PFTU is in
non-transferred state
When PFTU is in
transferred state
BRTN GROUND GROUND
BRTN GROUND GROUND
-48V AUX -48V DC (250 mA max.) -48V DC (250 mA max.)
PFTS OPEN GROUND

Page 448 of 488 Installing and cross-connecting a Power Fail Transfer Unit
553-3041-210 Standard 4.00 September 2007
Connecting an analog (500/2500-type) telephone to a PFTU
Ensure that the cable from the appropriate Line card slot has been connected
to the telephone. Refer to “Installing the Main Distribution Frame” on
page 353.
Follow Procedure 116 to connect an analog telephone to a PFTU. Refer to the
equipment layout plan to determine where to locate the PFTU.
DANGER
Always use caution when installing or modifying
telephone lines. Do not install telephone wiring during a
lightning storm. Do not install telephone jacks in wet
locations unless the jacks are designed for wet locations.
Never touch un-insulated telephone wiring unless the
line is disconnected at the network interface.

Installing and cross-connecting a Power Fail Transfer Unit Page 449 of 488
Communication Server 1000E Installation and Configuration
Figure 154
Analog Line card cable distribution
Cable pairs
Cross connect
terminal
Lead
designation
Unit
0
Unit
1
Unit
2
Unit
3
Unit
4
Unit
5
Unit
6
Unit
7
Unit
8
Unit
9
Unit
10
Unit
11
Unit
12
Unit
13
Unit
14
Unit
15
Line
Pack
W-BL
BL-W
W-O
O-W
W-G
G-W
W-BR
BR-W
W-S
S-W
R-BL
BL-R
R-O
O-R
R-G
G-R
R-BR
BR-R
R-S
S-R
BK-BL
BL-BK
BK-O
O-BK
BK-G
G-BK
BR-BK
BK-BR
BK-S
S-BK
Y-BL
BL-Y
T
R
T
R
T
R
T
R
T
R
T
R
T
R
T
R
T
R
T
R
T
R
T
R
T
R
T
R
T
R
T
R
To 500/2500-type
telephone
To 500/2500-type
telephone
To 500/2500-type
telephone
To 500/2500-type
telephone
To 500/2500-type
telephone
To 500/2500-type
telephone
To 500/2500-type
telephone
To 500/2500-type
telephone
To 500/2500-type
telephone
To 500/2500-type
telephone
To 500/2500-type
telephone
To 500/2500-type
telephone
To 500/2500-type
telephone
To 500/2500-type
telephone
To 500/2500-type
telephone
To 500/2500-type
telephone
553-8349.EPS

Page 450 of 488 Installing and cross-connecting a Power Fail Transfer Unit
553-3041-210 Standard 4.00 September 2007
Procedure 116
Connecting an analog (500/2500-type) telephone to a PFTU
1Locate the telephone terminations on the cross-connect terminal.
2Connect one end of the cross-connect wire to the leads of the telephone.
3Locate the PFTU connections (unit PFTU 1 through PFTU 5) assigned to
this telephone at the cross-connect terminal. See Table 58 on page 450.
4Connect the other end of the cross-connect wire to the pair assigned to
the telephone on the PFTU.
5Connect a second cross-connect wire to the pair assigned to the Line card
on the PFTU.
6Locate the Line card terminations on the cross-connect terminal.
7Connect the other end of the cross-connect wire to the assigned TN
terminal block.
Table 58
Power Fail Transfer Unit connections (Part 1 of 3)
QUA6 J1 Cable
Function Pair Color Connects to:
PFT 1
5T
5R
W-S
S-W
Telephone
6T
6R
R-BL
BL-R
Telephone Line card
7T
7R
R-O
O-R
Central Office Trunk
8T
8R
R-G
G-R
Trunk Line card

Installing and cross-connecting a Power Fail Transfer Unit Page 451 of 488
Communication Server 1000E Installation and Configuration
PFT 2
9T
9R
R-BR
BR-R
Telephone
10T
10R
R-S
S-R
Telephone Line card
11T
11R
BK-BL
BL-BK
Central Office Trunk
12T
12R
BK-O
O-BK
Trunk Line card
PFT 3
13T
13R
BK-G
G-BK
Telephone
14T
14R
BK-BR
BR-BK
Telephone Line card
15T
15R
BK-S
S-BK
Central Office Trunk
16T
16R
Y- B L
BL-Y
Trunk Line card
PFT 4
17T
17R
Y- O
O-Y
Telephone
18T
18R
Y- G
G-Y
Telephone Line card
19T
19R
Y- B R
BR-Y
Central Office Trunk
20T
20R
Y- S
S-Y
Trunk Line card
Table 58
Power Fail Transfer Unit connections (Part 2 of 3)
QUA6 J1 Cable
Function Pair Color Connects to:

Page 452 of 488 Installing and cross-connecting a Power Fail Transfer Unit
553-3041-210 Standard 4.00 September 2007
End of Procedure
Connecting a trunk to a PFTU
Follow Procedure 117 to connect a Trunk to a PFTU.
Procedure 117
Connecting a Trunk to a PFTU
1Locate the PFTU terminal blocks at the cross-connect terminal.
2Cross-connect the first pair of the assigned PFTU to the telephone.
See Table 59 on page 453 for PFTU connections.
3Cross-connect the second pair of the PFTU to the TN assigned to the
telephone.
4Cross-connect the third pair of the PFTU to the Central Office trunk.
5Cross-connect the third pair of the PFTU to the TN assigned to the trunk.
PFT 5
21T
21R
V-BL
BL-V
Telephone
22T
22R
V-O
O-V
Telephone Line card
23T
23R
V-G
G-V
Central Office Trunk
24T
24R
V-BR
BR-V
Trunk Line card
Table 58
Power Fail Transfer Unit connections (Part 3 of 3)
QUA6 J1 Cable
Function Pair Color Connects to:

Installing and cross-connecting a Power Fail Transfer Unit Page 453 of 488
Communication Server 1000E Installation and Configuration
6Repeat for each trunk assigned to the PFTU.
Table 59
Power Fail Transfer Unit connections (Part 1 of 2)
QUA6 J1 cable
Function Pair Color Connects to: Connects to:
P
F
T
1
5T
5R
W-S
S-W
Telephone —
6T
6R
R-BL
BL-R
Telephone Line card TN assigned to the telephone
7T
7R
R-O
O-R
Central office trunk —
8T
8R
R-G
G-R
Trunk Line card TN assigned to the Trunk
P
F
T
2
9T
9R
R-BR
BR-R
Telephone —
10T
10R
R-S
S-R
Telephone Line card TN assigned to the telephone
11T
11R
BK-BL
BL-BK
Central office trunk —
12T
12R
BK-O
O-BK
Trunk Line card TN assigned to the Trunk
P
F
T
3
13T
13R
BK-G
G-BK
Telephone —
14T
14R
BK-BR
BR-BK
Telephone Line card TN assigned to the telephone
15T
15R
BK-S
S-BK
Central office trunk —
16T
16R
Y- B L
BL-Y
Trunk Line card TN assigned to the Trunk

Page 454 of 488 Installing and cross-connecting a Power Fail Transfer Unit
553-3041-210 Standard 4.00 September 2007
End of Procedure
P
F
T
4
17T
17R
Y- O
O-Y
Telephone —
18T
18R
Y- G
G-Y
Telephone Line card TN assigned to the telephone
19T
19R
Y- B R
BR-Y
Central office trunk —
20T
20R
Y- S
S-Y
Trunk Line card TN assigned to the Trunk
P
F
T
5
21T
21R
V-BL
BL-V
Telephone —
22T
22R
V-O
O-V
Telephone Line card TN assigned to the telephone
23T
23R
V-G
G-V
Central office trunk —
24T
24R
V-BR
BR-V
Trunk Line card TN assigned to the Trunk
Table 59
Power Fail Transfer Unit connections (Part 2 of 2)
QUA6 J1 cable
Function Pair Color Connects to: Connects to:

Page 455 of 488
Communication Server 1000E Installation and Configuration
460
Installing and cross-connecting
an external alarm from a PFTU
Contents
This section contains information on the following topics:
Introduction . . . . . . . . . . . . . . . . . . . . . . . . . . . . . . . . . . . . . . . . . . . . . . 455
Installing an alarm using an alarm port assigned in LD 15. . . . . . . . . . 456
Installing an alarm through QUA6 PFTU connections. . . . . . . . . . . . . 457
Introduction
This chapter describes the procedures for connecting an external alarm to the
CS 1000E system.
This chapter contains the following procedure: Procedure 118: "Installing an
alarm using an alarm port assigned in LD 15" on page 456
The following are the two methods of connecting an external alarm to the
CS 1000E system:
• through an alarm port assigned in software
• through contacts in a QUA6 Power Failure Transfer Unit (PFTU)

Page 456 of 488 Installing and cross-connecting an external alarm from a PFTU
553-3041-210 Standard 4.00 September 2007
Installing an alarm using an alarm port assigned in LD 15
The system can be equipped with an alarm port that is assigned in software.
Connect an analog line to an analog (500/250-type) telephone or another
similar type of ringing or alerting device.
Follow Procedure 118 to install an alarm using an alarm port assigned in
LD 15.
Procedure 118
Installing an alarm using an alarm port assigned in LD 15
1Install an analog (500/2500-type) line as described in “Installing and
configuring IP Phones” on page 395.
2Connect an analog (500/2500-type) telephone, or another similar alerting
device used as an alarm, to the line.
3Use LD 15 to assign an alarm port, (see Table 60).
Note: If the DN assigned to the alarm is accidentally called, the alarm
activates. To avoid false alarms, make sure the DN is not already
assigned.
End of Procedure
Table 60
LD 15 – Assign an alarm port.
Prompt Response Comment
REQ CHG Change existing data
TYPE CDB Customer Data Block
CUST xx Customer Number as defined in LD 15
...
ALDN x...x Alarm Directory Number

Installing and cross-connecting an external alarm from a PFTU Page 457 of 488
Communication Server 1000E Installation and Configuration
Installing an alarm through QUA6 PFTU connections
A QUA6 PFTU can be used to connect an external alarm through normally
open or normally closed contacts of one of its units. The contacts operate
under the same conditions as the PFTU and can support the capacities listed
in Table 61.
Figure 155 on page 458 is an example of the contacts on one unit (PFT1) of
the PFTU. The figure also shows the contacts in normal operating mode, not
in failure mode. Table 62 on page 458 provides the connections for all units
on the PFTU.
Table 61
The AC capacities
Maximum AC capacities
Switching power 50.0 V A
Switching voltage 125.0 V rms
Switching current 0.5 A

Page 458 of 488 Installing and cross-connecting an external alarm from a PFTU
553-3041-210 Standard 4.00 September 2007
Figure 155
Contacts in PFTU
Table 62
PFTU connections (Part 1 of 3)
Unit Pair Color Normal mode Failure mode
P
F
T
1
5T
5R
W-S
S-W
Makes with 6T and 6R Opens 6T and 6R
Makes with 7T and 7R
6T
6R
R-BL
BL-R
Makes with 5T and 5R Open
7T
7R
R-O
O-R
Makes with 8T and 8R Opens 8T and 8R
Makes with 5T and 5R
8T
8R
R-G
G-R
Makes with 7T and 7R Open
8T (R-G)
8R (G-R)
6T (R-BL)
6R (BL-R)
7T (R-O)
7R (O-R)
5T (W-S)
5R (S-W)
Normally
connected
to a
CO trunk
Normally
connected
to a
telephone
Normally
connected
to a
trunk line card
Normally
connected
to a
telephone line card
PFT 1 on PFTU

Installing and cross-connecting an external alarm from a PFTU Page 459 of 488
Communication Server 1000E Installation and Configuration
P
F
T
2
9T
9R
R-BR
BR-R
Makes with 10T and
10R
Opens 10T and 10R
Makes with 11T and 11R
10T
10R
R-S
S-R
Makes with 9T and 9R Open
11T
11R
BK-BL
BL-BK
Makes with 12T and
12R
Opens 12T and 12R
Makes with 9T and 9R
12T
12R
BK-O
O-BK
Makes with 11T and
11R
Open
P
F
T
3
13T
13R
BK-G
G-BK
Makes with 14T and
14R
Opens 14T and 14R
Makes with 15T and 15R
14T
14R
BK-BR
BR-BK
Makes with 13T and
13R
Open
15T
15R
BK-S
S-BK
Makes with 16T and
16R
Opens 16T and 16R
Makes with 13T and 13R
16T
16R
Y- B L
BL-Y
Makes with 15T and
15R
Open
P
F
T
4
17T
17R
Y- O
O-Y
Makes with 18T and
18R
Opens 18T and 18R
Makes with 19T and 19R
18T
18R
Y- G
G-Y
Makes with 17T and
17R
Open
19T
19R
Y- B R
BR-Y
Makes with 20T and
20R
Opens 20T and 20R
Makes with 17T and 17R
20T
20R
Y- S
S-Y
Makes with 19T and
19R
Open
Table 62
PFTU connections (Part 2 of 3)
Unit Pair Color Normal mode Failure mode

Page 460 of 488 Installing and cross-connecting an external alarm from a PFTU
553-3041-210 Standard 4.00 September 2007
P
F
T
5
21T
21R
V-BL
BL-V
Makes with 22T and
22R
Opens 22T and 22R
Makes with 23T and 23R
22T
22R
V-O
O-V
Makes with 21T and
21R
Open
23T
23R
V-G
G-V
Makes with 24T and
24R
Opens 24T and 24R
Makes with 21T and 21R
24T
24R
V-BR
BR-V
Makes with 23T and
23R
Open
Table 62
PFTU connections (Part 3 of 3)
Unit Pair Color Normal mode Failure mode

Page 461 of 488
Communication Server 1000E Installation and Configuration
476
Configuring MG 1000T survivability and
alternate primary controller
Contents
This section contains information on the following topics:
Introduction . . . . . . . . . . . . . . . . . . . . . . . . . . . . . . . . . . . . . . . . . . . . . . 461
MG 1000T switch over to Survival Mode . . . . . . . . . . . . . . . . . . . . . . 462
Switchback from Survival Mode. . . . . . . . . . . . . . . . . . . . . . . . . . . . . . 464
LOCK and UNLOCK commands . . . . . . . . . . . . . . . . . . . . . . . . . . . . . 465
Database synchronization . . . . . . . . . . . . . . . . . . . . . . . . . . . . . . . . . . . 466
Configuring a survivable MG 1000T Expansion . . . . . . . . . . . . . . . . . 472
Printing Survivable MG 1000T Expansion parameters . . . . . . . . . . . . 473
Configuring Alternate primary controller . . . . . . . . . . . . . . . . . . . . . . . 473
Verifying IP telephony node operation in Survival Mode . . . . . . . . . . 475
Retrieving CDR records from a survivable MG 1000T Expansion . . . 476
Introduction
This chapter provides procedures for configuring an alternate primary
controller and survivability on an MG 1000T.
This chapter contains the following procedures:
• Procedure 119: "Configuring a survivable MG 1000T Expansion" on
page 472

Page 462 of 488 Configuring MG 1000T survivability and alternate primary controller
553-3041-210 Standard 4.00 September 2007
• Procedure 120: "Configuring the IP telephony node for Alternate
primary controller" on page 473
• Procedure 121: "Verifying the operation of a Voice Gateway Media Card
in an MG 1000T expansion in Survivable Mode" on page 475
• Procedure 122: "Retrieving CDR files using XModem" on page 476
MG 1000T switch over to Survival Mode
If survivability is configured on an MG 1000T, the following scenarios can
trigger a switchover to Survival Mode:
• Automatic Switchover — triggered when the MG 1000T Expansion
loses communication with the primary controller and the Switchover
Time Out (SWOTO) timer expires. This can occur if there is a
catastrophic failure of the primary controller, or the IP link is lost
between the MG 1000T Core and the MG 1000T Expansion.
• Manual Switchover — triggered with the Switchover to Survival (SOTS)
command in LD 135.
Automatic Switchover to Survival Mode
When an MG 1000T, with survivability configured, loses communication
with the primary controller, the MG 1000T automatically switches over to
Survival Mode when the SWOTO timer expires.
If the IP link is detected as down again before the expiration of the SWOTO
timer, the timer stops, and the MG 1000T remains in Survival operating
mode.
The state of communication between the primary controller and the
MG 1000T Expansion is monitored by a simple polling mechanism called a
Heartbeat.
This example illustrates the tasks performed by an MG 1000T Expansion
when communication with the MG 1000T Core is lost.
1The MG 1000T Expansion attempts to re-establish the connection to the
MG 1000T Core. After four re-connection attempts with a pre-defined
delay between each attempt, the SWOTO starts.

Configuring MG 1000T survivability and alternate primary controller Page 463 of 488
Communication Server 1000E Installation and Configuration
2The SWOTO expires after the time defined in LD 117.
3The MG 1000T Expansion re-starts. As the MG 1000T is going through
the re-start procedure, it attempts to register with the MG 1000T Core.
4If a connection cannot be made to the core processor, the MG 1000T
Expansion comes up in Survival Mode.
Manual Switchover to Survival Mode
Manual commands are provided to enable a technician to force a switch over
to Survival Mode. These commands are available only on the MG 1000T
Core. They can be used only if an IP link is established between the
MG 1000T Core and an MG 1000T Expansion. To manually switch over to
Survival Mode, use the SOTS command in LD 135.
After the SOTS command has been successfully executed, the MG 1000T
Expansion remains in Survival Mode until the Switchback From Survival
(SBFS) command is issued. The SBFS command is issued in LD 135.
In Survival Mode, a valid database must be downloaded to the MG 1000T
Expansion in order to function. The database is downloaded or
“synchronized” each time a datadump is performed. An exact copy of the
database on the MG 1000T Core is downloaded to the MG 1000T with every
datadump.
CAUTION — Service Interruption
A manually invoked switch-over causes a restart of the
MG 1000T.
CAUTION — System Failure
If the software is upgraded on the MG 1000T Core, it
must also be upgraded on the MG 1000T Expansion for
Survivability to function.

Page 464 of 488 Configuring MG 1000T survivability and alternate primary controller
553-3041-210 Standard 4.00 September 2007
Switchback from Survival Mode
A MG 1000T Expansion can switchback to Normal Mode after
communication with the MG 1000T Core is restored. The following
scenarios can trigger an MG 1000T in Survival Mode to return to Normal
Mode:
• Automatic Switchback (AUTOSB) — enables an MG 1000T to
automatically switchback from Survival Mode to Normal Mode as soon
as the IP link with the primary controller is restored and the SWOTO
timer has expired. A restart is initiated on the MG 1000T Expansion. At
the end of the system start, the MG 1000T Expansion is ready to operate
in Normal Mode.
• Manual Switchback — enables a technician to force the system into
Normal Mode by issuing the SBFS command. This command returns the
system to Normal Mode after the SOTS command has been used.
Automatic Switchback from Survival Mode
When the Automatic Switchback option is configured, a Survivable
MG 1000T Expansion automatically switches from Survival Mode to Normal
Mode. It returns to Normal Mode as soon as the IP link with the primary
controller is restored and the SWOTO timer expires.
A MG 1000T Expansion requires a valid database to be survivable.
The AUTOSB command is available in LD 117:
CHG AUTOSB <cab#> <Switchback setting>
Where:
cab# = 1-4, Media Gateway
Switchback setting = (YES) NO
When the switchback parameter is set to YES, the MG 1000T Expansion
automatically switches from Survival Mode when the SWOTO timer expires.
If switchback is set to NO, the MG 1000T remains in Survival Mode until a
technician enters the SBFS command.

Configuring MG 1000T survivability and alternate primary controller Page 465 of 488
Communication Server 1000E Installation and Configuration
Switchover Timer
The timer is started on a Survivable MG 1000T as soon as the IP link with the
primary controller goes up or down. When the timer expires, the switchover
(or switchback) is triggered. The timer is used to avoid instability in the
Operating Mode of the MG 1000T Expansion if the IP link with the primary
controller is unstable.
The Switchover Timer is also used during the start-up of a Survivable
MG 1000T Expansion. The timer enables the MG 1000T Expansion to go
into Survival Mode when it cannot connect to the primary controller on
system start-up.
When the IP link is restored for an MG 1000T Expansion in Survival Mode
with AUTOSB configured, the SWOTO timer is started. If the timer expires,
a switchback is initiated to change from Survival Mode to Normal Mode. If
the IP link is detected as down again before the expiration of the SWOTO
timer, the timer stops, and the MG 1000T remains in Survival operating
mode.
Manual Switchback from Survival Mode
After the SOTS command has been successfully executed, the MG 1000T
Expansion remains in Survival Mode until the Switchback From Survival
(SBFS) command in LD 135 is issued.
LOCK and UNLOCK commands
The LOCK and UNLOCK commands are available from the MG 1000T
Core. The LOCK/UNLOCK command can be used in any mode to keep an
MG 1000T Expansion in the current mode, regardless of the state of the IP
link to the primary controller.
For example, a SOTS command forces the selected MG 1000T Expansion
into Survival Mode prior to restarting the MG 1000T Core. A LOCK
command can be issued from the MG 1000T Core prior to a restart. This
keeps the selected MG 1000T Expansion in Survival Mode until manually
returned to Normal Mode. Manually returning to Normal Mode reboots the
MG 1000T Expansion.

Page 466 of 488 Configuring MG 1000T survivability and alternate primary controller
553-3041-210 Standard 4.00 September 2007
These commands are applicable to both modes and can be used to keep an
MG 1000T in Survival Mode after the Automatic Switchback occurs.
The LOCK/UNLOCK command is issued in LD 135.
LOCK <cab #>
Where:
cab# = specified Survivable Media Gateway
UNLOCK <cab #>
Where:
cab# = specified Survivable Media Gateway
Database synchronization
The DWL (Download) command is available in LD 43:
DWL [<cab#>]
Where:
<cab#> = a specified Survivable Media Gateway
Programming the <cab#> parameter is optional. If omitted, the database is
downloaded to all connected Survivable Media Gateways.
EDD LCL command (local EDD)
The Invoke Datadump Program (EDD) command introduces the Invoke
Datadump Program Local (EDD LCL) command. It performs a local
datadump where data is dumped only on the MG 1000T Core. The databases
on the Survivable Media Gateways are not updated. This operation is used
when the database changes are tested by the technician prior to downloading
them to the Survivable Media Gateways.
The sequence of operations for the EDD LCL command is as follows. Prior
to an actual dump, the MG 1000T Core performs a security check. If the
security check fails, the datadump operation is aborted. If the security check
passes, the existing database files on the primary flash drive are renamed with
the extension “.bak”. The data is then written to the primary flash drive. When
the database files in the primary flash drive are updated, data and patches are
written to the internal backup flash drive (z:).

Configuring MG 1000T survivability and alternate primary controller Page 467 of 488
Communication Server 1000E Installation and Configuration
Note: LD 43 and LD 143 are not available on an MG 1000T Expansion
in Survival Mode.
SWP, RES, RIB, and DAT commands for survivability
To ensure the database synchronization on the MG 1000T Core and the
Survivable MG 1000T Expansion(s), the Swap (SWP), Restore (RES) and
Restore Backup (RIB) commands are modified to produce the same results
on the Survivable MG 1000T Expansion(s), as on the MG 1000T Core.
The optional parameter, [<cab#>], enables the technician to select a
specific MG 1000T Expansion. If no parameter is provided, the command is
first performed on the primary controller. The technician is then prompted
with a confirmation request. If <YES>, the command is performed on all
Survivable MG 1000T Expansions.
As with the database download operation, preliminary security checks are
performed by the primary controller against the Survivable MG 1000T
Expansions’ security ID and software release. If these security checks fail for
any MG 1000T Expansion, synchronization is aborted for that MG 1000T
Expansion.
SWP command
The SWP command is used to swap the regular and “*.bak” copies of the
database on the primary flash drive. It restores the database to the state prior
to the most recent datadump.
Figure 156 on page 469 illustrates the operation of the SWP command. Only
one MG 1000T Expansion is shown for illustration purposes.
RES and RIB commands
The RES command restores data from the MG 1000T Core’s external PC
Card drive to its (c:) drive and all Survivable MG 1000T Expansions’ (c:)
drives.
The RES command is illustrated in Figure 157 on page 470.

Page 468 of 488 Configuring MG 1000T survivability and alternate primary controller
553-3041-210 Standard 4.00 September 2007
The RIB command restores data from the MG 1000T Core’s internal backup
flash drive to its (c:) drive and from the Survivable MG 1000T Expansions’
internal backup flash drive to the (c:) drive.
The RIB command is illustrated in Figure 158 on page 471.
Only one MG 1000T Expansion is shown for illustration purpose; however,
the synchronization is performed sequentially on all Survivable MG 1000T
Expansions.
DAT command
Use the DAT command to print the data issue and creation date of the
CS 1000E’s primary and backup databases, as well as those of the Survivable
Media Gateways. The software release of the Survivable Media Gateways
must match that of the CS 1000E.
The DAT command is available in LD 43.

Configuring MG 1000T survivability and alternate primary controller Page 469 of 488
Communication Server 1000E Installation and Configuration
Figure 156
SWP command operation
SWP command operation
MG 1000T Core
SURVIVALBLE
MG 1000T Expansion
Main Memory
Main Memory
1. Swap .rec and .bak on MG 1000T Core
2. Swap .rec and .bak on MG 1000T Expansion
553-AAA2048
database.rec
External
PCMCIA Drive
database.rec
Backup
Flash Drive
1
Primary
Flash Drive
database
in use
database.rec
database.bak
database.rec
External
PCMCIA Drive
(optional)
database.rec
Backup
Flash Drive
2
Primary
Flash Drive
database
in use
database.rec
database.bak

Page 470 of 488 Configuring MG 1000T survivability and alternate primary controller
553-3041-210 Standard 4.00 September 2007
Figure 157
RES command
RES command operation
MG 1000T Core
SURVIVALBLE
MG 1000T Expansion
Main Memory
Main Memory
1. Copy the database as .tmp file
2. Rename the database .rec file to .bak
3. Rename the database .tmp file to .rec
4. Copy MG 1000T Core external database
to MG 1000T Expansion's (c:) drive as .tmp
5. Rename the database .rec file to .bak
6. Rename the database .tmp file to .rec
553-AAA2049
database.rec
External
PCMCIA Drive
database.rec
Backup
Flash Drive
2
Primary
Flash Drive
database
in use
database.rec
database.bak
External
PCMCIA Drive
database.rec
Backup
Flash Drive
Primary
Flash Drive
database
in use
3
database.tmp
1
database.rec database.rec
5
database.rec
database.bak
database.tmp
46

Configuring MG 1000T survivability and alternate primary controller Page 471 of 488
Communication Server 1000E Installation and Configuration
Figure 158
RIB command
RIB command operation
MG 1000T Core
SURVIVALBLE
MG 1000T Expansion
Main Memory
Main Memory
1. Rename the database .rec file to .bak
2. Copy backup database to primary
The same sequence of steps are performed on
the Survivable MG 1000T Expansion.
3. Rename the database .rec file to .bak
4. Copy backup database to primary
553-AAA205
0
database.rec
External
PCMCIA Drive
database.rec
Backup
Flash Drive
1
Primary
Flash Drive
database
in use
database.rec
database.bak
database.rec
External
PCMCIA Drive
database.rec
Backup
Flash Drive
3
Primary
Flash Drive
database
in use
database.rec
database.bak
2
4

Page 472 of 488 Configuring MG 1000T survivability and alternate primary controller
553-3041-210 Standard 4.00 September 2007
Configuring a survivable MG 1000T Expansion
Follow Procedure 119 to configure a survivable MG 1000T Expansion.
Procedure 119
Configuring a survivable MG 1000T Expansion
The default licence parameter for survivability enables one MG 1000T
Expansion to be configured as survivable.
1Ensure the link is up between the MG 1000T Core and the MG 1000T
Expansion.
2Ensure that the Survivability ISM is set on the system for each MG 1000T
Expansion that is to be configured as survivable.
3Configure the Survivability (SURV) capability.
Each MG 1000T Expansion must be separately configured to be
survivable.
The SURV command is configured in LD 117:
CHG SURV <cab#> <Survival setting>
• cab# = 1-4, MG 1000T Expansion
• Survival setting = (NO) YES
4Configure the Automatic Switchback parameter.
The Automatic Switchback (AUTOSB) option enables a Survivable
MG 1000T Expansion to switchback from Survival Mode to Normal Mode
automatically as soon as the IP link with the MG 1000T Core is restored
and the SWOTO expires.
The AUTOSB command is configured in LD 117:
CHG AUTOSB <cab#> <Switchback setting>
• cab# = 1-4, MG 1000T Expansion
• Switchback setting = (YES) NO

Configuring MG 1000T survivability and alternate primary controller Page 473 of 488
Communication Server 1000E Installation and Configuration
5Configure the SWOTO.
Configure the SWOTO separately for each MG 1000T Expansion.
The SWOTO command is configured in LD 117:
CHG SWOTO <cab#> <value>
• cab# = 1-4, MG 1000T Expansion
•value = 2 - (120) - 600 seconds
For point-to-point connection (MG 1000T Expansions that are not
connected over a LAN), Nortel recommends that you set the timer to a low
value to minimize service interruption.
End of Procedure
Printing Survivable MG 1000T Expansion parameters
The following Print commands, available in LD 117, print the MG 1000T
Expansion parameters and Survivability for all, or specified, Survivable
MG 1000T Expansion.
PRT SURV cab
Where:
cab = 1 to 4, MG 1000T Expansion
PRT CAB cab
Where:
cab = 1 to 4, MG 1000T Expansion
Configuring Alternate primary controller
Procedure 120
Configuring the IP telephony node for Alternate primary controller
1Log in to Element Manager, if you are not already logged in.
2Select IP Telephony > Nodes: Servers, Media Cards > Configuration
from the navigator.
The Node Configuration web page opens, as shown in Figure 99 on
page 322.

Page 474 of 488 Configuring MG 1000T survivability and alternate primary controller
553-3041-210 Standard 4.00 September 2007
3Click Edit next to the desired node.
The Edit web page opens, as shown in Figure 100 on page 323.
4Click LAN configuration.
The LAN configuration menu expands (see Figure 159 on page 474).
Figure 159
LAN configuration
5Enter the Survivable Media Gateway IP address.
The IP address is the ELAN IP address of the survivable MG 1000T SSC
that this IP telephony node registers to if it loses the connection to the
MG 1000T Core.
6Click Save and Transfer at the bottom of the Edit web page, then click
OK to save and transfer the changes.
End of Procedure

Configuring MG 1000T survivability and alternate primary controller Page 475 of 488
Communication Server 1000E Installation and Configuration
Verifying IP telephony node operation in Survival Mode
Follow Procedure 121 to verify the operation of a Voice Gateway Media Card
in an MG 1000T Expansion in Survival Mode.
Procedure 121
Verifying the operation of a Voice Gateway Media Card in an MG 1000T
expansion in Survivable Mode
1LD 135 and use the SOTS command to force the MG 1000T Expansion
into Survival Mode.
2Check the IP Phones and TTY:
• Local Mode is visible on the telephone display.
• If configured, check to see if the dial tone is apparent.
• Special text is also displayed on the TTY connected to the MG 1000T
Expansion as shown below.
TTY 00 SCH MTC BUG CTY 14:10
SURVIVAL MODE
OVL111 IDLE
3Return to Normal Mode using the SBFS command in LD 135.
The MG 1000T Expansion and Voice Gateway Media Card reboots
again.
Note: Due to the reboot of the Voice Gateway Media Card after the
MG 1000T Expansion has gone into Survival Mode, there is a slight
incremental delay before the IP Phones become operational.
End of Procedure

Page 476 of 488 Configuring MG 1000T survivability and alternate primary controller
553-3041-210 Standard 4.00 September 2007
Retrieving CDR records from a survivable MG 1000T
Expansion
The XCDR command, file retrieval in LD 143, transfers the CDR file from
the survivable MG 1000T Expansion directly to the PC connected to the
MG 1000T Core.
Use the following procedure to retrieve the CDR files stored on the survivable
MG 1000T Expansion (one file in each MG 1000T Expansion).
Procedure 122
Retrieving CDR files using XModem
1Connect a PC to the MG 1000T Core either remotely using a modem or
directly using an SDI cable and a modem eliminator. Using a
terminal-emulation program such as Hyperterminal, establish a TTY
session with the MG 1000T through the modem or SDI cable.
2Log in and access LD 143 on the MG 1000T Core.
3Enter the following command: XCDR
The system prompts for the MG 1000T Expansion number.
4Enter the MG 1000T Expansion number on which the <dba.cdr> file is
stored.
The system prints the following.
Getting CDR file for EXP_CAB <num>
Ready to transmit
5Select the XModem protocol on the PC to receive the CDR file.
Use the Hyperterminal transfer function to receive the file using XModem
protocol. Rename the file to indicate which MG 1000T Expansion the
CDR data is from.
Note: Use a filename that does not overwrite any DBA-specific files if
DBA is used to retrieve CDR/Traffic files from the MG 1000T.
6Parse the CDR file into the MG 1000T’s database on the PC. Refer to the
OTM NTPs for how to process CDR records for billing applications.
End of Procedure

Page 477 of 488
Communication Server 1000E Installation and Configuration
484
Basic system telephony configuration
Contents
This section contains information on the following topics:
Introduction . . . . . . . . . . . . . . . . . . . . . . . . . . . . . . . . . . . . . . . . . . . . . . 479
Basic system configuration . . . . . . . . . . . . . . . . . . . . . . . . . . . . . . . . . . 479
MG 1000T card slot assignment . . . . . . . . . . . . . . . . . . . . . . . . . . . . . . 484
TN assignment. . . . . . . . . . . . . . . . . . . . . . . . . . . . . . . . . . . . . . . . . . . . 485
Introduction
This chapter shows overlay (LD) sequences required to configure the system
with basic telephony features. Your Planning and Engineering group provides
the details needed to configure basic telephony.
Note: The Command Line Interface (CLI) must be used for some
configuration (for example, LD 10 and LD 11) before Element Manager
can be used to further configure basic telephony.
This chapter contains Procedure 123: "Configuring the basic system" on
page 480.
Basic system configuration
Programming the CS 1000E and MG 1000T systems requires loading
different overlay programs and using each one to enter a specific type of
information.

Page 478 of 488 Basic system telephony configuration
553-3041-210 Standard 4.00 September 2007
See Software Input/Output: Administration (553-3001-311) for information
about overlays.
Flow charts
Figure 160 on page 481 shows the programming overlay (LD) sequence for a
new system. The Data-entry-sequence flowchart does not show all possible
administration overlays.
In some cases, you must move back and forth between overlays to complete
the programming. For example, you must program the Customer Data Block
(CDB) before you program the attendant console. However, there are
console-related prompts in the CDB that cannot be programmed until you
have programmed an attendant console. Skip the console-related prompts,
complete the CDB programming, then return to the CDB after the console is
programmed. Finish the CDB console-related prompts. A similar situation
exists with the Speed Call lists and the Telephones. You must activate the
Speed Call list(s) before you can assign the list(s) to a telephone.
Figure 161 on page 482, and Figure 162 on page 483 show overlay titles and
gate openers for each feature group. A gate opener enables users to program
a related group of features without stepping through all prompts of an overlay.
NTP references are shown in the flowchart shaded boxes for those features
and options beyond the scope of this guide.
Procedure 1
Configuring the basic system
Use the overlays to configure basic system features offered by the CS 1000E.
1Complete the configuration using the overlays in the order shown in
Figure 160 on page 481, Figure 161 on page 482, and Figure 162 on
page 483.

Basic system telephony configuration Page 479 of 488
Communication Server 1000E Installation and Configuration
Figure 1
Data-entry-sequence for new systems
Customer Data Block
LD 15
Attendant
Console
LD 12
Digitone
Receiver
LD 13
Speed
Call
LD 18
Code Resrtriction
Block
LD 19
Digital
Telephone
LD 11
Calling Party
Name Display
LD 95
553-A060
Do Not
Disturb
LD 26
Analog
(500/2500-type)
Telephone
LD 10
Trunk Data
Block
LD 14
Route Data
Block
LD 16
Configuration Record 2
LD 97
Configuration Record 1
LD 17

Page 480 of 488 Basic system telephony configuration
553-3041-210 Standard 4.00 September 2007
Figure 2
Configuration Record
Configuration Record 1
LD 17
Common Equipment
CEQU
System Parameters
PARM
Overlay
OVL
I/O Devices
ADAN
Password
PWD
553-A058
Offset & Values
553-2201-182 VAS
ATAN
553-2201-181
ALARM
553-3001-511
Configuration Record 2
LD 97
SUSP
553-3001-181
XCTP
553-3001-181
DTD
553-3001-306
Superloops
SUPL
Extended Peripheral
Equipment XPE
FIRP
553-3001-022
LOSP
553-2201-181
SYSM
553-3001-195
DTR
553-3001-306
FDL
553-3001-216
BTD
553-3001-306

Basic system telephony configuration Page 481 of 488
Communication Server 1000E Installation and Configuration
Figure 3
Customer Data Block
553-A059
Customer Data Block
LD 15
Attendant
Console
ATT
Intercept
Treatments
INT
Feature
Options
FTR
Listed
DN
LDN
Night
Service
NIT
Password
PWD
Timers
TIM
HSP
553-2311-316
ISM
553-3001-306
ICP
553-3001-306
MOP
553-3001-306
OAS
553-3001-306
NET
553-2751-xxx
RDR
553-3001-306
PPM
553-3001-306
FFC
553-3001-306
FCR
553-3001-306
CDR
553-2631-100
CCS
553-3001-306
CAS
553-2681-100
AWU
553-3001-306
ANI
553-3001-306
Default
CDB
TST
553-3001-500
ROA
553-2671-110 AML
553-3001-306

Page 482 of 488 Basic system telephony configuration
553-3041-210 Standard 4.00 September 2007
MG 1000T card slot assignment
The MG 1000T Core and MG 1000T Expansion contain physical card slots
numbered 1 to 10. When configuring the system, the physical card slot
numbers must be transposed to “logical” card slot numbers. For example, to
configure a card physically located in slot 2 of the first MG 1000T Expansion,
use logical slot 12. To configure a card physically located in slot 2 of the
second MG 1000T Expansion, use logical slot 22. See Table 63.
Table 1
MG 1000T card slot assignments
Core
Media Gateway Expansion
First Second Third Fourth
Physical
card slot
Logical
card slot
Physical
card slot
Logical
card slot
Physical
card slot
Logical
card slot
Physical
card slot
Logical
card slot
Physical
card slot
Logical
card slot
Media
Gateway
1 1 1 11 121 131 141
2 2 2 12 222 232 242
3 3 3 13 323 333 343
4 4 4 14 424 434 444
5 * 5 *5*5*5*
6 * 6 * 6 * 6 * 6 *
Media
Gateway
Expansion
7 7 7 17 727 737 747
8 8 8 18 828 838 848
9 9 9 19 929 939 949
10 10 10 20 10 30 10 40 10 50
Note: The bottom-most card slot in the Media Gateway is reserved for the SSC card.

Basic system telephony configuration Page 483 of 488
Communication Server 1000E Installation and Configuration
TN assignment
Table 64 shows the TN assignments for the MG 1000E.
Table 2
TN assignments for MG 1000E
MG 1000E MG 1000E Expander
Slots123478910
TN l s c l s c l s c l s c l s c l s c l s c l s c
MG 1000E
1 000 0 01 000 0 02 000 0 03 000 0 04 000 0 07 000 0 08 000 0 09 000 0 10
2 000 1 01 000 1 02 000 1 03 000 1 04 000 1 07 000 1 08 000 1 09 000 1 10
3 004 0 01 004 0 02 004 0 03 004 0 04 004 0 07 004 0 08 004 0 09 004 0 10
4 004 1 01 004 1 02 004 1 03 004 1 04 004 1 07 004 1 08 004 1 09 004 1 10
5 008 0 01 008 0 02 008 0 03 008 0 04 008 0 07 008 0 08 008 0 09 008 0 10
6 008 1 01 008 1 02 008 1 03 008 1 04 008 1 07 008 1 08 008 1 09 008 1 10
7 012 0 01 012 0 02 012 0 03 012 0 04 012 0 07 012 0 08 012 0 09 012 0 10
8 012 1 01 012 1 02 012 1 03 012 1 04 012 1 07 012 1 08 012 1 09 012 1 10
9 016 0 01 016 0 02 016 0 03 016 0 04 016 0 07 016 0 08 016 0 09 016 0 10
10 016 1 01 016 1 02 016 1 03 016 1 04 016 1 07 016 1 08 016 1 09 016 1 10
11 020 0 01 020 0 02 020 0 03 020 0 04 020 0 07 020 0 08 020 0 09 020 0 10
12 020 1 01 020 1 02 020 1 03 020 1 04 020 1 07 020 1 08 020 1 09 020 1 10
13 024 0 01 024 0 02 024 0 03 024 0 04 024 0 07 024 0 08 024 0 09 024 0 10
14 024 1 01 024 1 02 024 1 03 024 1 04 024 1 07 024 1 08 024 1 09 024 1 10
...
...
127 252 0 01 252 0 02 252 0 03 252 0 04 252 0 07 252 0 08 252 0 09 252 0 10
128 252 1 01 252 1 02 252 1 03 252 1 04 252 1 07 252 1 08 252 1 09 252 1 10
Note: The bottom most card slot in the Media Gateway is reserved for the SSC card.

Page 485 of 488
Communication Server 1000E Installation and Configuration
488
Configuring IP Peer Networking and
managing the Gatekeeper database
Contents
This section contains information on the following topics:
Introduction . . . . . . . . . . . . . . . . . . . . . . . . . . . . . . . . . . . . . . . . . . . . . . 485
Implementation summary . . . . . . . . . . . . . . . . . . . . . . . . . . . . . . . . . . . 485
Introduction
This chapter provides an outline for configuring IP Peer Networking and
managing the Gatekeeper database.
Use the IP Peer Networking: Installation and Configuration (553-3001-213)
NTP to configure IP Peer Networking and for instructions about managing
the Gatekeeper database.
Implementation summary
Note: This section is intended as a summary of how to implement
IP Peer Networking and how to manage the Gatekeeper database. Many
of these steps can be performed out of sequence.

Page 486 of 488 Configuring IP Peer Networking and managing the Gatekeeper database
553-3041-210 Standard 4.00 September 2007
You must configure the following data when setting up a CS 1000E
IP network:
1Configure the Virtual Trunk routes using Element Manager or the
Command Line Interface (LD 16). Configure the Route Data Blocks and
associate the Virtual Trunk routes with the IP network by configuring the
following parameters:
aroute information
bnetwork management information
(for example, Access Restrictions)
cbandwidth zone
dSignaling Server host name for the route
eprotocol identifier
fassociated Node ID
2Configure the Virtual Trunks using Element Manager or the Command
Line Interface (LD 14).
3Configure the network routing within the CS 1000E.
aUse existing tools to configure networking features, such as routing
calls based on digits dialed.
bConfigure dialing plan information for calls that must be routed to
circuit-switched trunks (for example, PSTN interfaces). You can
route these calls using a feature such as Network Alternate Route
Selection (NARS). Configure Virtual Trunk routes in NARS the
same way as traditional trunks.
4Configure the Primary, Alternate, and Failsafe Gatekeepers at
installation and initial setup.

Configuring IP Peer Networking and managing the Gatekeeper database Page 487 of 488
Communication Server 1000E Installation and Configuration
5Configure the Gatekeeper database to provide a central database of
addresses that are required to route calls across the network, using the
Gatekeeper web pages in Element Manager.
aLog in to the Gatekeeper web pages in Element Manager.
bVerify that the Gatekeeper is the Primary Gatekeeper and is active.
cConfigure the System Wide Settings.
dCreate the CDP domains.
eAdd the RAS and non-RAS endpoints.
fAdd the endpoint prefixes.
gAdd the Numbering Plan entries for each endpoint, including the
Cost Factor for each entry.
hAdd the default routes.
iAdd the Gatekeeper zones (if required).
jTest the Numbering Plans.
kPerform database cutover.
lPerform the following operations, as necessary:
i. Take the Gatekeeper out-of-service.
ii. Perform database cutover.
iii. Perform database rollback.
iv. View traffic reports.
mLog out of the Gatekeeper web pages in Element Manager.

Page 488 of 488 Configuring IP Peer Networking and managing the Gatekeeper database
553-3041-210 Standard 4.00 September 2007

Family Product Manual Contacts Copyright FCC notice Trademarks Document
number Product release Document release Date Publish
Nortel Communication Server 1000
Communication Server 1000E
Installation and Configuration
Copyright © 2007 Nortel Networks. All rights reserved.
The information in this document is subject to change without
notice. The statements, configurations, technical data, and
recommendations in this document are believed to be accurate
and reliable, but are presented without express or implied
warranty. Users must take full responsibility for their
applications of any products specified in this document. The
information in this document is proprietary to Nortel Networks
Nortel, Nortel (Logo), the Globemark, SL-1, Meridian 1, and
Succession are trademarks of Nortel Networks.
Publication number: 553-3041-210
Document release: Standard 4.00
Date: September 2007
Produced in Canada
To provide feedback or report a problem in this document,
go to www.nortel.com/documentfeedback.













































