OSEE TECHNOLOGY BCM-215LCDM LCD Monitor User Manual
OSEE TECHNOLOGY CO.,LTD. LCD Monitor Users Manual
Users Manual

BCM-215 Series
LCD Monitor
USER MANUAL

PRODUCT INFORMATION
MODEL: BCM-215 Series LCD Monitor
Version: V010001
Modified: March 14th, 2013
COMPANY NAME
北京时代奥视数码技术有限公司
Beijing Osee Digital Technology Ltd.
CONTACT US
Address: No.22 Building, No.68 zone, Beiqing Road, Haidian District, Beijing, China
Post code: 100094
Tel: 8610 - 62434168
Fax: 8610 - 62434169
Http://www.osee-dig.com
E-mail:sales@osee-dig.com

BCM-215 Series LCD Monitor
User Manual
About The USER MANUAL
The user manual applies to the following device types:
BCM-215-3HSV
BCM-215-HSV
BCM-215-SV
BCM-215-V
The images of BCM-215 monitor are adopted in the following descriptions. Any of the different
specifications between the device types are elaborated. Before reading the manual, please
confirm the device type.
Note: The specs are subject to change without prior notice!

BCM-215 Series LCD Monitor
User Manual
Content
Chapter 1 Overview ............................................................................................... 1
Introduction............................................................................................................................................... 1
Feature ..................................................................................................................................................... 2
Chapter 2 Chapter 2 Safety Precaution for Use .................................................... 2
Chapter 3 Unpackaging and installation ................................................................ 4
Chapter 3 Description of product structure ............................................................ 5
Chapter 4 Usage .................................................................................................... 7
4.1 Description for Display status ............................................................................................................. 7
4.2 Supported Signal Format ................................................................................................................... 8
4.3 Interface of rear panel ........................................................................................................................ 9
4.4 Interface of front panel ..................................................................................................................... 10
Chapter 5 Menu Description ................................................................................ 10
5.1 Main menu ........................................................................................................................................ 10
5.2 Status Display .................................................................................................................................. 18
5.3 Function Display ............................................................................................................................... 18
5.4 Adjustment Menu .............................................................................................................................. 19
5.5 Source menu .................................................................................................................................... 19
5.6 PBP/PIP Input .................................................................................................................................. 20
5.7 Factory Reset Menu ......................................................................................................................... 21
Chapter 6 Specification ........................................................................................ 21
6.1 Description for Specification ............................................................................................................. 21
6.2 Input signal format ............................................................................................................................ 21
6.3 Specifications ................................................................................................................................... 22
6.4 Input/Output Resolution, Frame Refresh Rate and Color Matrix: ..................................................... 22

BCM-215 Series LCD Monitor
User Manual
1
BCM-215 Series LCD Monitor
Chapter 1 Overview
Introduction
The BCM-215 series LCD Monitor are high performance broadcast monitor tailoring most applications
from program production, intensive upload/download, playout to studio and intensive monitoring all sorts
of business in TV Stations.
The front frame of the unit comes in a slim bezel design made from rubber mold. The professional IPS
glass at full resolution of 1920 x 1080 with LED backlight makes the BCM-215 series LCD monitor
capable of reproducing a natural color at quickest response time. In addition, the unit boasts a full wide
viewing angle as well as excellent brightness and contrast ratio.
By adopting the advanced 10-bit digital signal processing technology plus 3D comb filter, de-interlacing
capability and accurate scaling ensures the BCM-215 series LCD Monitor to achieve a better effect of
smoother and more natural image.
The BCM-215 series LCD Monitor supports up to 2Ch 3G/HD/SD-SDI/analog input, 1Ch S-Video and
ICh YPbPr input, and 1Ch HDMI/DVI-D input. Featuring PBP/PIP and showing two signals
simultaneously on the same screen makes the BCM-215 with added value.
The BCM-215 series LCD Monitor delivers much capable display functionality like waveform/vector
scope, audio de-embedding, audio monitoring, audio metering bar, TC, CC, AFD, UMD and all kinds of
markers.
The BCM-215 series LCD Monitor also offers signal monitoring function, a real time monitoring for video
loss, freeze frame, audio loss, audio overloaded and audio over low.

BCM-215 Series LCD Monitor
User Manual
2
FCC Caution:
Any Changes or modifications not expressly approved by the party responsible for compliance
could void the user's authority to operate the equipment.
This device complies with part 15 of the FCC Rules.
Operation is subject to the following two conditions: (1) This device may not cause harmful
interference, and (2) this device must accept any interference received, including interference that
may cause undesired operation.
Note: This equipment has been tested and found to comply with the limits for a Class B digital
device, pursuant to part 15 of the FCC Rules. These limits are designed to provide reasonable
protection against harmful interference in a residential installation. This equipment generates uses
and can radiate radio frequency energy and, if not installed and used in accordance with the
instructions, may cause harmful interference to radio communications. However, there is no
guaran-tee that interference will not occur in a particular installation. If this equipment does cause
harmful interference to radio or television reception, which can be determined by turning the
equipment off and on, the user is encouraged to try to correct the interference by one or more of
the following measures:
Reorient or relocate the receiving antenna.
Increase the separation between the equipment and receiver.
Connect the equipment into an outlet on a circuit different from that to which the receiver is
connected.
Consult the dealer or an experienced radio/TV technician for help.
Feature
Prevailing slim bezel design
Having multi format input including 3G-SDI
Adopting full HD, wide viewing angle IPS glass
Using 10-bit signal processing technology plus advanced conversion technology between
the interlacing and the progressive
Featuring PBP and PIP, dual 3G-SDI capable under PBP mode
Supporting waveform/vector scope, audio metering bar, TC, IMD and CC
Supporting varied color temperature, varied scan modes, flexibility in marker setting, Blue
Only/Monochrome mode
Signal monitoring, types of alarm include video/audio loss, EDH, freeze frame, black field
and audio lever over high/over low
Chapter 2 Chapter 2 Safety Precaution for Use
Read and keep these instructions. Heed all warnings. Follow all instructions.
About the Position
1. Do not block any ventilation openings.
2. Do not use this unit near water.
3. Do not expose the unit to rain or moisture.

BCM-215 Series LCD Monitor
User Manual
3
4. Do not install near any heat sources such as radiators, heat registers, stoves, or other
apparatus (including amplifiers) that product heat.
5. A nameplate indicating operating voltage, etc., is located on the rear panel. Install only in
accordance with the instructions in the section entitled, “Unpacking and Installation” on page
3.
6. The socket-outlet shall be installed near the equipment and shall be easily accessible.
About the Power-supply Cord
7. Do not defeat the safety purpose of the polarized or grounding-type plug.
8. Do not damage the power cord, place the heavy objects on the power cord, stretch the power
cord, or bend the power cord.
9. Protect the power cord from being walked on or pinched, particularly at plugs, convenience
receptacles, and the point where they exit from the unit.
10. If the power cord is damaged, turn off the power immediately. It is dangerous to use the unit
with a damaged power cord. It may cause fire or electric shock.
11. Unplug this apparatus during lighting storms or when unused for long periods of time.
12. Disconnect the power cord from the AC outlet by grasping the plug, not by pulling the cord.
13. Should any solid object or liquid fall into the cabinet, unplug the unit and have it checked by
qualified personnel before operating it any further.

BCM-215 Series LCD Monitor
User Manual
4
Monitor
14. Do not beat with a hard object or scratch the LCD display.
15. Do not make the freeze picture displaying on the screen time too long, otherwise, it will leave
the afterimage on the screen.
16. Install in accordance with the manufacturer’s instructions
17. If the brightness is adjusted to the minimum, then it might be hard to see the display screen.
18. Refer all servicing to qualified service personnel. Servicing will be required under all of the
following conditions:
The unit has been exposed to rain or moisture.
Liquid had been spilled or objects have fallen onto the unit.
The unit has been damaged in any way, such as when the power-supply cord or plug is
damaged.
The unit does not operate normally.
19. Clean only with dry cloth.
20. Specifications are subject to change without notice.
Chapter 3 Unpackaging and installation
Opening the box, please check whether the device has been damaged during transport. Check all the
things listed on the packing list are received. If there is any missing, contact your distributors or Beijing
Osee Digital Technology Ltd. for it.
We recommend that you should save the packing materials for future needs.
1. Install the pedestal following the iinstallation instructions.
Note: The pedestal and the monitor are packaged separately.
2. Put the monitor on the position you need for installing, and connect the power. Please make sure the
place you put is safety.
3. Connect a standard signal lines to the corresponding input port. All BNC connector impedance must
be 75Ω.
Note: Please use the power adapter supplied to avoid unnecessary trouble.
4. Use the power adapter and cord to connect single-phase three-wire AC power or following the local
power supply conditions. Make sure the power cord grounding well.
5. Finally, turn on the power switch, so that the device will be ready for work.

BCM-215 Series LCD Monitor
User Manual
5
Packing List:
NO. Detail list Quantity
1 Monitor 1
2 Pedestal with screws 1
3 Accessory
warranty card 1
the base installation
instruction 1
User manual 1
4
The
electric
accessory
12V adapter 1
Power cord with fastening 1
Note: The packing list would be different according to the device type. Please
confirm the device type.
Chapter 3 Description of product structure
Front panel (Unit: mm) (As the following figure)

BCM-215 Series LCD Monitor
User Manual
6
Rear panel (Unit: mm) (As the following figure)
Side view (Unit: mm) (As the following figure)

BCM-215 Series LCD Monitor
User Manual
7
Top view (Unit: mm) (As the following figure)
Chapter 4 Usage
4.1 Description for Display status
1, Status information: Displayed in the upper left corner of each window, including the input channel
number and signal format.
Note: 1, If there is no signal input, it will display “NO SIGNAL " and if
the monitor doesn’t support the input signal, the display information will
be "UNKNOWN". For the current input signal, it will lock displaying the
corresponding video format. 2, the main window status information is
displayed in the upper left corner of the window, the sub-window state
information is displayed in the upper right corner of the window.
2, TC code: Display Format: HH: MM: SS: FF and if there is no TC code, display --:--:--:--.
3, UMD / IMD: 16 characters can be displayed. Support the character color change (red, green,
yellow, white).

BCM-215 Series LCD Monitor
User Manual
8
4, OSD TALLY: Display two OSD TALLY, support color transform (red, green, yellow).
5, Level meter: Display audio meter. Support for semi-transparent display, can reduce the impact
for the image.
Note: The audio level meter can be vertical or horizontal display. And
more information about meter setup refers to Table 3.
6, Waveform and vector
display:
In PIP mode, it would display on the sub-window. In PBP mode, it would
display side-by-side with the main window.
7, PBP/PIP: The sub-window size is 1/9 or 1/16 of the main window. And the window sizes
refer to 5.6 PBP/PIP Input.
Note: Marker setup is invalid in PBP mode.
8, AFD AFD will display at the upper center of the screen.
9, MUTE The mute logo icon is . It can be setup in the function key menu.
4.2 Supported Signal Format
Support two-channel analog video input with loop-through output, loop-through output and input
are identical.
Support two-channel adaptive SD/HD/3G-SDI video input and two-channel loop-through
output.The loop-through output and input are identical.
Support one channel DVI/HDMI input including HDMI audio.
Table-4.2 Supported signal format:
Signal Format SDI VIDEO YC YPBPR HDMI
PAL O O
NTSC O O
480I60/59.94 O O O
576I50 O O O
480P60/59.94 O O
576P50 O O
720P24/23.97 O O
720P25 O O O
720P30/29.97 O O O
720P50 O O O
720P60/59.94 O O O
1080SF24/23.97 O O O
1035I60/59.94 O O O
1080I50 O O O
1080I60/59.94 O O O
1080P24/23.97 O O O
1080P25 O O O
1080P30/29.97 O O O
1080P50 O O O
1080P60/59.94 O O O
VGA(640X480) O
SVGA(800X600) O
XGA(1024X768) O

BCM-215 Series LCD Monitor
User Manual
9
SXGA(1280X1024) O
WXGA(1360X768) O
WXGA+(1440X900) O
WXGA+(1400X1050) O
UXGA(1600X1200) O
UXGA+(1680X1050) O
WUXGA(1920X1080) O
WUXGA(1920X1200) O
Note:” O” is the Supported signal format.
4.3 Interface of rear panel
Note: The specs are subject to change without prior notice.
1,video input/output:
3G/HD/SD SDI signal input / output: BNC x4 (IN/OUT)
Composite signal input / output: BNC x4 (IN/OUT)
Y/C signal Input / Output: BNC x2 (IN/OUT)
YPbPr signal Input / Output: BNC x6 (IN/OUT)
HDMI/DVI-D signal Input / Output: HDMI Type-A x1 IN
2,Audio input/output:
Audio IN1: Audio signal input
Audio IN2: Audio signal input
Audio OUT: Audio signal output
3,The control input/output:
GPI port

BCM-215 Series LCD Monitor
User Manual
10
RJ45 input and output ports
Network port for parameter setup, alarm parameter setup, and alarm information read
4,Power input:
DC12-19V input, 60W
4.4 Interface of front panel
INPUT: Select the input signal.The source menu would display on the right conner of the window.
Each time you press to switch in the following order: SDI 1, SDI 2, VIDEO, YPbPr, and HDMI. The
machine retains input selection state. Unused inputs can choose to skip through the menu.
F1 ~ F5: function keys, the function can be set via the FUNCTION menu. Open the FUNCTION
menu after the first time, the selected function will remain.
MENU: Enter the main menu item and enter the next sub-menu. Or press this key to backspace to
the menu without save.
▽(DOWN): Select the menu item or select the option of the item.
△(UP): Select the menu item or select the option of the item.
ENTER: Press ENTER in turn to diaplay VOLUME, BRIGHTNESS, CONTRAST, CHROMA,
APPERTURE menu. And in main menu, click the button to enter the next level menu, or press the
botton to save the setup and backspace the menu.
POWER: Power switch.
Chapter 5 Menu Description
5.1 Main menu
It displays as following fig 5.1.1 by pressing the MENU button.

BCM-215 Series LCD Monitor
User Manual
11
Fig 5.1.1
Fig5.1.2
1 Main menu NAME
The main menu item which is selected will be display.
2 Menu items
Press MENU key, the menu will display in the screen.
Press ENTER key to enter the item selected and press the ENTER ket again, the setup will
be saved.
Press MENU key to exit the menu and don’t save the setup.
3 Sub-menu items
Press UP/DOWN to switch the items.
Press MENU key to backspace the main menu items.
Press ENTER key to enter the sub-menu items which is selected.
Note:
1. When the menu is enabled, if the signal changes, the menu will refresh the current contents of the
menu.
2. Press MENU key and if there is no operation within 60s, the menu will automatically disappear.
1
2
3

BCM-215 Series LCD Monitor
User Manual
12
3. The main menu display in the upper left corner of the screen.
4. The background of selected menu item color changes to yellow.
5. The items can not be adjusted in the submenu would be gray.
Details are as follows:
MAIN MENU SUB-MENU ITEMS
STATUS Status messages
INPUT
SELECT(G)
SDI1 ON, OFF
SDI2 ON, OFF
LINE1 ON, OFF
LINE2 CVBS, Y/C, YPbPr, OFF
Note: The BCM215 monitor support only.
HDMI HDMI, DVI-D, OFF
NTSC SETUP*2 0, 7.5
NTSC PHASE -50-0-50
MARKER*1(G)
MARKER OFF, ON
Note: If you selected NATIVE, the MARKER will be disabled.
AREA MARKER OFF, 4:3, 15:9, 14:9, 13:9, 1.85:1, 2.35:1( in 16:9mode);
OFF, 16:9
CENTER
MARKER OFF, ON
SAFETY
MARKER OFF, 80%, 85%, 88%, 90%, 93%, 95%, 100%
MARKER LEVEL
1, 2, 3
1: amount to 50% white level
2: amount to 75% white level
3: amount to 100% white level
MARKER MAT OFF, HALF, BLACK
ADUIO*1
AUDIO SOURCE
(S)
AUDIO1, AUDIO2, UNDEF (VIDEO1 in)
AUDIO1, AUDIO2, UNDEF (VIDEO2/ YC/YPBPR in)
AUDIO1, AUDIO2, EMBEDDED, UNDEF (SDI1/SDI2/HDMI in)
Note: UNDEFINED is simple spelled as undef.
SPEAK OUT L
(S)
EBD CH1, EBD CH2, EBD CH3, EBD CH4, EBD CH5, EBD
CH6, EBD CH7, EBD CH8, EBD CH9, EBD CH10, EBD CH11,
EBD CH12, EBD CH13, EBD CH14, EBD CH15, EBD CH16
Note: When the AUDIO SOURCE is EMBEDDED
,
the
inputwould be SDI. When the input is HDMI, this item is
disabled. When the AUDIO SOURCE is AUDIO1, AUDIO2
orUNDEF, this item is disabled.

BCM-215 Series LCD Monitor
User Manual
13
SPEAK OUT R
(S)
EBD CH1, EBD CH2, EBD CH3, EBD CH4, EBD CH5, EBD
CH6, EBD CH7, EBD CH8, EBD CH9, EBD CH10, EBD CH11,
EBD CH12, EBD CH13, EBD CH14, EBD CH15, EBD CH16
Note: When the AUDIO SOURCE is EMBEDDED
,
the
inputwould be SDI. When the input is HDMI, this item is
disabled. When the AUDIO SOURCE is AUDIO1, AUDIO2
orUNDEF, this item is disabled.
AUDIO METER
(G) OFF, ON
MTER
SELECT(G) CH1-2,G1,G2,G3,G4,G1+2,G1+3,G1+4,G2+3,G2+4,G3+4,G1-4
METER DIS
MODE SIMPLE,INTACT
METER
POSITION
TOP,BOTTOM,(when the METER DIRECTION is
HORIZONTAL);
BOT LEFT,BOT RIGHT,TOP RIGHT,TOP LEFT(when the
METER DIRECTION is VERTICAL);
METER DISPALY
MODE
MODE1,MODE2,MODE3
Note: The MODE1 is the Simple meter mode. The MODE2 is
the meter with channel name and the MODE3 is the meter with
channle name and level vaule.
REF LEVEL(G) -20dB, -18dB
OVER LEVEL(G) -10dB, -8dB, -6dB, -4dB, -2dB
DISPLAY
STATUS
DISPLAY(G)
OFF, AUTO, ON
Note: When the setuo is AUTO, the signal status display for 15s
and then disappears when it changed.
AFD DISPLAY(G)
OFF, ON
Note: When it is setted as ON, it would display follow the
STATUS or be OFF. If the input is not SDI signal, it can be set
but does not enable. When STATUS is set to AUTO, and AFD
is ON, either STATUS or AFD changes, it will show the
STATUS and AFD information.
WAVE FORM
MODE*1(G)
WAVEFORM,VECTOR 75,VECTOR 100,LINE WAVE
Note: If the input is not SDI signal, it can be set but does not
enable.
WAVE OVER(G)
LIMIT*1(G)
50-100
Note: If the input is not SDI signal, it can be set but does not
enable.When it is set to 100, OVER LIMIT does not enable.
WAVE UNDER
LIMIT*1(G)
0-50
Note: If the input is not SDI signal, it can be set but does not
enable.When it is set to 0, OVER LIMIT does not enable.

BCM-215 Series LCD Monitor
User Manual
14
LINE WAVE(G)
23-310-623 (when the Input format is 576i50 ;)
22-261-524 (when the Input format is 480i60 ;)
26-386-745 (when the Input format is 720p ;)
21-560-1123 (when the Input format is
1080i50,60/59.94,sf23/23.97 ;)
41-557-1120 (when the Input format is 1035i60 ;)
42-561-1121 (when the Input format is 1080p ;)
TIME CODE*1(G)
OFF, VITC, LTC, D-VITC
Note: If the input is not SDI signal, it can be set but does not
enable.
CLOSE
CAPTION
CLOSE
CAPTION*1(G)
OFF, CC1, CC2, CC3, CC4, TEXT1, TEXT2, TEXT3, TEXT4( in
Y/C/NTSC signal)
SDI CC LOG OFF,ON
CONFIG
I/P MODE*1(S)
NORMAL, FILM, FIELD
Note: If the input is DVI signal, it can be set but does not
enable.When it is set to 0, OVER LIMIT does not enable. It is
used to minimize the de-interlacing processing time delay and
improves the quality of fast moving and fine details under
interlaced format.
NORMAL:2 full fields per frame,delay 1 frame time;
FIELD: Fast mode,1 field per frame,delay 1/2 frame time;
SUB IN TYPE(G) OFF,PBP,PIP
SUB IN
SELECT*1(S)
In SDI1: SDI2,VIDEO1,VIDEO2,YC,YPBPR,HDMI,WAVE
FORM;
In SDI2: SDI1,VIDEO1,VIDEO2,YC,YPBPR,HDMI,WAVE
FORM;
In VIDEO1:SDI1,SDI2,YPBPR,HDMI;
In VIDEO2: SDI1,SDI2,YPBPR,HDMI;
In YC: SDI1,SDI2,YPBPR,HDMI;
In YPBPR: SDI1,SDI2, VIDEO1,VIDEO2,YC,HDMI;
In HDMI: SDI1,SDI2, VIDEO1,VIDEO2,YC ,YPBPR;
PIP SIZE(G) SMALL,LARGE
PIP POSTION(G) BOT LEFT,BOT RIGHT,TOP RIGHT,TOP LEFT
BACKLIGHT(G) 0-15-30
AUTO
STANDBY(G)
OFF, ON
Note: When it is set to ON, if the siganl is diappear for 1 minute,
the device will be standby.
APPERTURE 0-24
LOCK
NUMBER(G)
XXXXXXXX
Note: Support 8 characters. Characters including 0-9 and A-Z.
Press the ENTER key to input and press UP or DOWN button
to select a character. Press the ENTER key to select the next
character and press the MENU key to exit edit.
LANGUAGE(G) ENGLISH, 中文

BCM-215 Series LCD Monitor
User Manual
15
COLOR
TEMP*1
COLOR TEMP(G) D93, D65, D56, D32,USER1, USER2
RED GAIN(G) 0-128-256
GREEN GAIN(G) 0-128-256
BLUE GAIN(G) 0-128-256
RED BIAS(G) -50-0-50
BLUE BIAS(G) -50-0-50
GREEN BIAS(G) -50-0-50
COPY FROM Copy the color temp to USER from D93, D65, D56, D50.
RESET(G) Reset R/G/B GAIN and R/G/B BIAS to default vaule.
COLOR SPACE OFF,EBU,SMPTE-C,ITU-709
FUNCTION
KEY
F1
SCAN, NATIVE (When the LCD resolution is less than the input
image resolution, continuously press NATIVE, the display
position will loop. Or press SCAN to exit NATIVE.), ASPECT,
BLUE ONLY, MONO, MARKER, H/V DELAY, AUDIO METER,
I/P MODE, TC, IMD, MUTE, PBP, CC, UNDEF
Parameter specification:
SCAN: NORMAL-OVER-UNDER
NATIVE: When the LCD resolution is less than the input image
resolution: OFF-TOP LEFT-TOP RIGHT-BOTTOM
RIGHT-BOTTOM LEFT-MIDDLE; Or: OFF-ON
ASPECT: 4:3 -16:9
BLUE ONLY: OFF-ON
MONO: OFF-ON
MARKER: OFF-ON
H/V DELAY: H DELAY-V DELAY-H/V DELAY
AUDIO METER: OFF-ON
I/P MODEvNORMAL-FILM-FIELD
TC: OFF-VITC-LTC
IMD: OFF-ON
MUTE: OFF-ON
PBP: OFF-ON
CC: OFF-ON
F2 Ditto
F3 Ditto
F4 Ditto
F5 Ditto
GPI
GPI1
UNDEF, AREA MARKER, CENTER MARKER,SAFETY
MARKER, ASPECT,NATIVE,OVER SCAN, UNDER SCAN,
BLUE ONLY,MONO, H DELAY,V DELAY,H/V DELAY, SDI1,
SDI2, LINE1, LINE2, HDMI, TALLY GREEN, TALLY RED
Note: Details are as Table 5.1.2.
GPI2 Ditto
GPI3 Ditto

BCM-215 Series LCD Monitor
User Manual
16
GPI4 Ditto
GPI5 Ditto
GPI6 Ditto
IMD(G)
IMD DISPLAY ON, OFF
IMD COLOR RED, GREEN, YELLOW, WHITE
IMD
CHARACTER
XXXXXXXXXXXXXXXX
Note: Support 16 characters. Characters including 0x00 and
0x7F (ASCII). Press the ENTER key to input IMD and press UP
or DOWN button to select a character. Press the ENTER key to
select the next character and press the MENU key to exit edit.
IMD PROTOCOL LOCAL, TSL3.1, TSL4.0,TSL5.0, IMAGE VIDEO,NETWORK
IMD ID 0 – 255
IMD NAME
XXXXXXXXXXXX
Note: Support 16 characters. Characters including 0x00 and
0x7F (ASCII). Press the ENTER key to input IMD and press UP
or DOWN button to select a character. Press the ENTER key to
select the next character and press the MENU key to exit edit.
BAUD RATE
2400, 4800, 9600, 19200, 38400, 57600, 115200
Note: TSL V3.1 and TSL V4.0 default value is 38400
;
In Image
Video, the items are 9600, 19200, 38400.
LED TALLY ON, OFF
OSD TALLY
MODE
RG, GR, RGY, OFF
Note: Use this setup to select OSD Tally mode, only TALLY
source for standard or standard + IV422, the setup is available.
IMD TALLY
MODE
T1, T2, T1T2, T2T1, T1-, T2-, T1T2-, T2T1-
Note: In Image Video tally control, use this setup to determine
the selection state.
TALLY SOURCE
STANDARD, IMAGE VIDEO ,TSL
STANDARD: GPI triggers OSD TALLY
IMAGE VIDEO :IMAGE VIDEO treaty triggers OSD TALLY
TSL:TSL treaty triggers OSD TALLY
KEY
INHIBIT(G) KEY INHIBIT
ON, OFF
Note: The KEY INHIBIT is ON, KEY INHIBIT is enabled and
p
ress the POWER key, the device would turn on or off.
MENU
,
UP
,
DOWN
,
ENTER key can be enable but only the
KEYINHIBIT can disaplay.
Note:
*1 - each input would be respectively set.
Dash of select items is the default value.

BCM-215 Series LCD Monitor
User Manual
17
Table 5.1.2 GPI Control
MONO Low: MONO;
High: NORMAL BLUE ONLY Low: BLUE ONLY;
High: NORMAL
ASPECT Low: 16:9
High: 4:3 NATIVE Low: NATIVE(In center);
High: NORMAL
AREA
MARKER Low: Enabled;
High: Disabled SDI1 Switch at the falling edge,
when switching to the other
input, exit.
CENTER
MARKER Low: Enabled;
High: Disabled SDI2 Switch at the falling edge,
when switching to the other
input, exit.
SAFETY
MARKER Low: Enabled;
High: Disabled VIDEO1 Switch at the falling edge, when
switching to the other input, exit.
OVER SCAN Low: OVER;
High: NORMAL VIDEO2 Switch at the falling edge, when
switching to the other input, exit.
UNDER SCAN Low: UNDER;
High: NORMAL HDMI Switch at the falling edge, when
switching to the other input, exit.
H DELAY Low: H DELAY;
High: NORMAL TALLY
GREEN Low: ON;
High: OFF
V DELAY Low: V DELAY;
High: NORMAL TALLY RED Low: ON;
High: OFF
H/V DELAY Low: H/V DELAY;
High: NORMAL - -
Note: GPI control: when itchanges it would be as a control value of response control. If the
level does not change, but there are other control caused by changes in the control value,
perform this change. When boot, detect the GPI input status after initialization. If a GPI
value is low, the monitor will control the corresponding operation. The TALLY is directly
control by the level.
Table 5.1.3 Function
Function Composit
e & Y/C
YPbPr(S
D)
YPbPr(H
D)
SDI(SD) SDI(HD) HDMI(
SD)
HDMI(H
D)
Volume(S) O O O O O O O
Contrast(S) O O O O O O O
Brightness(S) O O O O O O O
Chroma(S) O O O O O O O
Phase(S) O(NSTC) X X X X X X
Aperature(S) O O O O O O O
Backlight(G) O O O O O O O
Color Temp(G) O O O O O O O
NTSC Setup(G) O(NSTC) X X X X X X
Scan(S) O O O O O O O
Native(S) O O O O O O O
Aapect(S) O O X O X O X
Marker(G) O O O O O O O
Blue Only(G) O O O O O O O
Mono(G) O O O O O O O
H/V Delay(G) O O O O O X X

BCM-215 Series LCD Monitor
User Manual
18
Auto Standby(G) O O O O O O O
I/P MODE(S) O O O O O O O
WFM/VECT(G) X X X O O X X
Audio Meter(G) O O O O O O O
TC(G) X X X O O X X
IMD(G) O O O O O O O
Mute(G) O O O O O O O
CC(S) O(NSTC) X X O O(HD) X X
SubWin (S) O O O O O O O
Note: "G" represents the channel is irrelevant; "S" indicates that set associated the channel.
Siganl channel such as SDI1
,
SDI2
,
VIDEO1
,
VIDEO2
,
YC
,
YPBPR
,
HDMI.
5.2 Status Display
Press MENU, it will display the status information as following. If there is no operation for 10 seconds,
the menu would disappear.
INPUT SDI1(or others)
FORMAT 1080I50(DVI: 1024X768@60, etc.)
COLOR TEMP D65
SCAN MODE NORMAL
I/P MODE NORMAL
MODEL BCM2150(according to the monitor)
SERIAL NUMBER XXXXXXXXXXXXXXXX
IP ADDRESS 168.192.1.86
COLOR VERSION 65535 – 255 – 255 . 65535
5.3 Function Display
In all mode, the function menus are displayed in the lower left corner of the screen, with blue
background and white font. The background color of the currently selected item changes into yellow. If
there is no operation for 10 seconds, the menu would disappear.

BCM-215 Series LCD Monitor
User Manual
19
Detailed information refers to main menu table.
5.4 Adjustment Menu
When it is not in main menu mode, press ENTER to disaplay
VOLUME/BRIGHTNESS/CONTRAST/CHROMA menu items. If there is no operation for 10
seconds, the menu would disappear.
5.5 Source menu
Source menu displays in the upper-right corner of the screen, with blue background and white
font. The background color of the currently selected item changes into yellow.

BCM-215 Series LCD Monitor
User Manual
20
In the menu, the sourse which can not be selected is still display with gray point. If there is no
operation for 10 seconds, the menu would disappear.
5.6 PBP/PIP Input
Table 5.6.1 PBP/PIP Input source
Sub
Main
SDI1 SDI2 VIDEO1
VIDE
O2
YC YPBPR HDMI WAVE
FORM
SDI1 X O O O O O O O
SDI2 O X O O O O O O
VIDEO1 O O X X X O O X
VIDEO2 O O X X X O O X
YC O O X X X O O X
YPBPR O O O O O X O X
HDMI O O O O O O X X
Table 5.6.2 PBP screen size
Ratio
Signal
4:3 16:9
SD PanelWidth/2 X (PanelWidth/2)*3/4 PanelWidth/2 X
PanelHeight/2
HD X PanelWidth/2 X
PanelHeight/2
WAVEFORM PanelHeight/2 X PanelHeight/2 PanelHeight/2 X
PanelHeight/2

BCM-215 Series LCD Monitor
User Manual
21
Table 5.6.2 PIP screen size
Ratio
Signal
4:3 16:9
SD SMALL (PanelWidth/4)*3/4 X PanelHeight/4 PanelWidth/4 X
PanelHeight/4
HD SMALL X PanelWidth/4 X
PanelHeight/4
SD LARGE (PanelWidth/4)*3/4 X PanelHeight/4 PanelWidth/3 X
PanelHeight/3
HD LARGE X PanelWidth/3 X
PanelHeight/3
WAVEFORM
SMALL PanelHeight/4 X PanelHeight/4 PanelHeight/4 X
PanelHeight/4
5.7 Factory Reset Menu
Press INPUT key and F2 at the same for 3 secounds,and the factory reset menu would be displayed。Select
YES or NO by UP and DOWN keys and press ENTER to restore factory settings. Press MENU to disable the
factory reset menu.
Chapter 6 Specification
6.1 Description for Specification
LCD Dimension 21.5”
Screen Scale 16:9
Resolution 1920 (H) x 1080 (V)
Color Depth 16.7M, 24-bit
Viewing Angle 178°(H/V)
Brightness 250 cd/m^2
Contrast Ratio 1000:1
6.2 Input signal format
Analog Composite: PAL, NTSC
SD-SDI: 480i、576i
HD-SDI: 1080i50、1080i 59.94、 1080i 60, 720p50、720p 59.94、720p 60,
1035i59.94、1035i 60
3G-SDI: 1080p50、1080p 59.94、1080p 60

BCM-215 Series LCD Monitor
User Manual
22
6.3 Specifications
CVBS Input/ Output:
Signal Type NTSC, PAL
Signal Amplitude 1Vp-p+/-3dB
Impedance 75 ohms
Return Loss >40 dB 到5 MHz
DC Offset 0V±0.05 V
Frequency Response ±0.2 dB to 5 MHz
Differential Gain <1%
Differential Phase <1.5°
3G-SDI /HD-SDI /SDI-SDI Input/ Output:
Signal Type SMPTE 424M, SMPTE 292M, SMPTE 259M, SMPTE 297M
Connector BNC per IEC 169-8
Impedance 75 ohms
Return Loss >18 dB 5 to 270 MHz
>15 dB 270 MHz to 1.5 GHz
>10 dB up to 3 GHz
Maximum Signal Level 800 mV pk-pk 10%
Signal Amplitude 800 mV pk-pk 10%
DC Offset 0 V ±0.5 V
Overshoot <10%
Total Jitter <0.2 UI
Rise and Fall Time <700 ps for SD
<270 ps for 1.5 Gb/s HD
<135 ps for 3 Gb/s HD
Extinction Ratio >8
Back Reflection <-14 dB
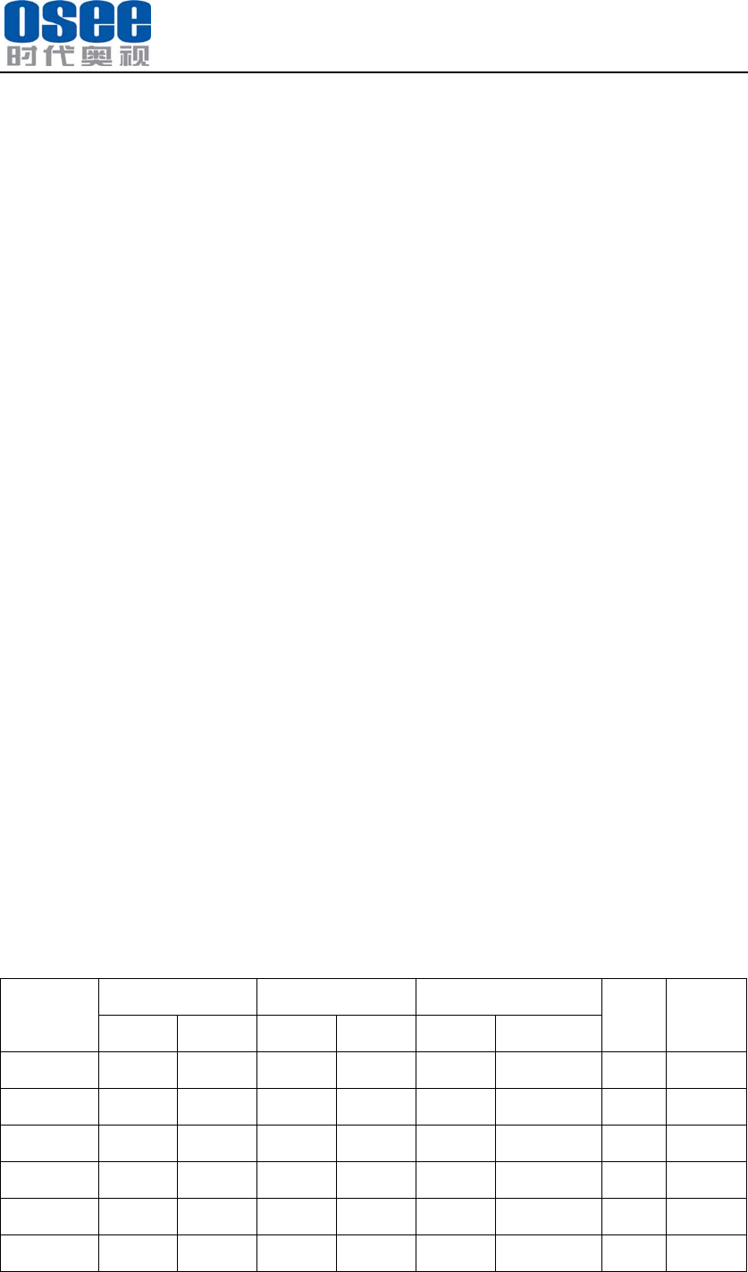
6.4 Input/Output Resolution, Frame Refresh Rate and Color Matrix:
OVERSCAN NATIVE FULL
NORMAL
Frame
Rate
Color
Matrix
INPUT OUTPUT INPUT OUTPUT INPUT
ALL
OUTPUT
NORMAL
NTSC 684X462 1366X768
1024X768
720X487 720X487 720X487 1366X768
1024X768
60 601
PAL 684X548 1366X768
1024X768
720X576 720X576 720X576 1366X768,
1024X768
50 601
SECAM 684X548 1366X768
1024X768
720X576 720X576 720X576 1366X768,
1024X768
50 601
NTCS-4.43 684X462 1366X768
1024X768
720X487 720X487 720X487 1366X768,
1024X768
60 601
PAL-M 684X462 1366X768
1024X768
720X487 720X487 720X487 1366X768,
1024X768
60 601
480I60 684X462 1366X768
1024X768
720X487 720X487 720X487 1366X768,
1024X768
60 601/709

BCM-215 Series LCD Monitor
User Manual
23
576I50 684X548 1366X768
1024X768
720X576 720X576 720X576 1366X768,
1024X768
50 601
480P60 684X462 1366X768
1024X768
720X487 720X487 720X487 1366X768,
1024X768
60 601/709
576P50 684X548 1366X768
1024X768
720X576 720X576 720X576 1366X768,
1024X768
50 601
720P24 1216X684
1366X768, 1280x720 1280x720 1280x720 1366X768, 48 709
720P25 1216X684
1366X768, 1280x720 1280x720 1280x720 1366X768, 50 709
720P30 1216X684
1366X768, 1280x720 1280x720 1280x720 1366X768, 30 709
720P50 1216X684
1366X768, 1280x720 1280x720 1280x720 1366X768, 50 709
720P60 1216X684
1366X768, 1280x720 1280x720 1280x720 1366X768, 60 709
1035I60 1824X984
1366X768, 1920X1035
1920X1035
1920X1035
1366X768, 60 709
1080I60 1824X1026
1366X768, 1920X1080
1920X1080
1920X1080
1366X768, 60 709
1080I50 1824X1026
1366X768, 1920X1080
1920X1080
1920X1080
1366X768, 50 709
1080P24 1824X1026
1366X768, 1920X1080
1920X1080
1920X1080
1366X768, 48 709
1080P25 1824X1026
1366X768, 1920X1080
1920X1080
1920X1080
1366X768, 50 709
1080P30 1824X1026
1366X768, 1920X1080
1920X1080
1920X1080
1366X768, 60 709
1080P50 1824X1026
1366X768, 1920X1080
1920X1080
1920X1080
1366X768, 50 709
1080P60 1824X1026
1366X768, 1920X1080
1920X1080
1920X1080
1366X768, 60 709
1080SF24 1824X1026
1366X768, 1920X1080
1920X1080
1920X1080
1366X768, 48 709
VGA 640X480 1366X768 60-75
SVGA 800X600 1366X768 60-75
XGA 1024x768 1366X768 60-75
SXGA 1280x1024
1366X768 60-75
UXGA 1600x1200
1366X768 60
WXGA 1360X768
1360X768 60
WUXGA 1920x1200
1366X768 60
*Don’t display all OSD except FORMAT when SCAN is NATIVE.
*Don’t display MARKER when SCAN is NATIVE.
Note: The specs are subject to change without prior notice!