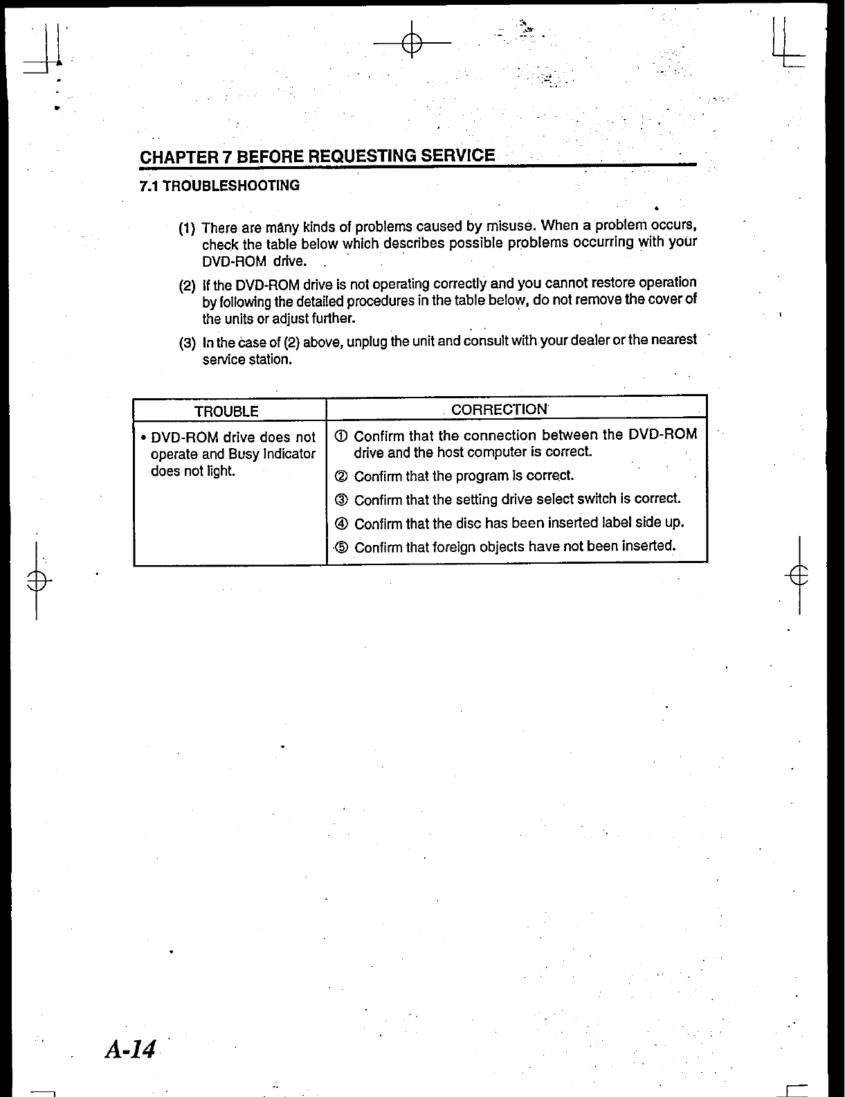
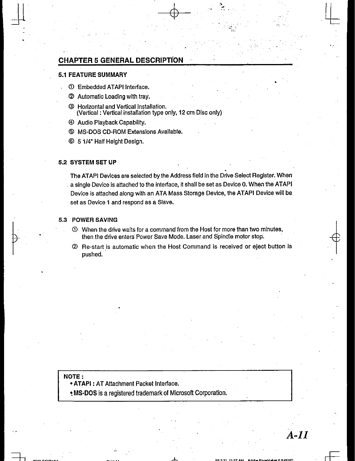
Panasonic Healthcare 9TB070CRB User Manual 8
Panasonic Healthcare Co., Ltd. 8
UserManual.wiki
>
Panasonic Healthcare
>
9TB070CRB User Manual HTML Version
8
Navigation menu
Upload a User Manual
Namespaces
Wiki Guide
HTML
PDF
Info
Views
User Manual
Discussion / Help
Navigation