Poulan Pro Pdgt26H48B Users Manual
POULAN Lawn, Tractor Manual L0310500 POULAN Lawn, Tractor Owner's Manual, POULAN Lawn, Tractor installation guides
!! Poulan-61 Poulan Lawn Mower Manuals - Lawn Mower Manuals – The Best Lawn Mower Manuals Collection
2015-02-06
: Poulan-Pro Poulan-Pro-Pdgt26H48B-Users-Manual-519941 poulan-pro-pdgt26h48b-users-manual-519941 poulan-pro pdf
Open the PDF directly: View PDF
.
Page Count: 48

IMPORTANT MANUAL Do Not Throw Away
Poulan 00993-poulan_pro
I
OWNER'S MANUAL
MODEL:
PDGT26H48B
LAWN TRACTOR
WARNING:
Read the Owner's Manual and fol-
low all Warnings and Safety Instruc-
tions. Failure to do so can result
in serious injury.
Always Wear Eye Protection During Operation
186714 Rev. 1 06.06.03 JH/TR
Printed in U.S.A.
k_

SAFETY RULES
SAFEOFERAT,ONPRACT,CESFOR.,DE-ON.OVERSa
IMPORTANT: THIS CUTTING MACHINEIS CAPABLEOF AMPUTATINGHANDS AND FEETAND THROWINGOBJECTS. FAILURE
TO OBSERVE THE FOLLOWING SAFETY INSTRUCTIONS COULD RESULTIN SERIOUS INJURYOR DEATH.
I. GENERAL OPERATION
•Read, understand, and follow all instructions in the
manual and on the machine before starting.
• Only allow responsible adults, who are familiar with the
instructions, to operate the machine.
• Clear the area of objects such as rocks, toys,wire, etc.,
which could be picked up and thrown by the blade.
•Be sure the area is clear of other people before mow-
ing. Stop machine if anyone enters the area.
•Never carry passengers.
•Do notmow inreverse unless absolutely necessary. Al-
ways lookdown and behind before and while backing.
•Be aware of the mower discharge direction and do not
point it at anyone. Do not operate the mower without
either the entire grass catcher or the guard in place.
•Slow down before turning.
•Never leave arunning machine unattended. Always
turn off blades, set parking brake, stop engine, and
remove keys before dismounting.
•Turn off blades when not mowing.
•Stop engine before removing grass catcher or un-
clogging chute.
• Mow only in daylight or good artificial light.
• Do not operate the machine while under the influence
of alcohol or drugs.
• Watch for traffic when operating near or crossing road-
ways.
• Use extra care when loading or unloading the machine
into atrailer or truck.
• Data indicates that operators, age 60 years and above,
are involved in a large percentage of riding mower-re-
lated injuries. These operators should evaluate their
ability to operate the riding mower safely enough to
protect themselves and others from serious injury.
• Keep machine free of grass, leaves or other debris
build-up which can touch hot exhaust /engine parts
and burn. Do not allow the mower deck to plow leaves
or other debris which can cause build-up to occur.
Clean any oil or fuel spillage before operating or
storing the machine. Allow machine to cool before
storage.
II. SLOPE OPERATION
Slopes are amajor factor related to loss-of-control and
tipover accidents,which can result insevere injury or death.
All slopes require extra c_ution. If you cannot back up the
slope or if you feel uneasy on it, do not mow it.
DO:
•Mow up and down slopes, not across.
•Remove obstacles such as rocks, tree limbs, etc.
•Watch for holes, ruts, or bumps. Uneven terrain could
overturn the machine. Tall grass can hide obstacles.
•Use slow speed. Choose,a low gear so that you will
not have to stop or shift while on the elope.
•Follow the manufacturer's recommendations forwheel
weights or counterweights to improve stability.
•Use extracare withgrasscatchers orother attachments.
These can change the stability of the machine.
•Keep all movement on the slopes slow and gradual.
Do not make sudden changes in speed or direction.
•Avoid starting or stopping on a slope. If tires lose trac-
tion, disengage the blades and proceed slowly straight
down the slope.
DO NOT:
•Do not turn on slopes unless necessary, and then,
turn slowly and gradually downhill, if possible.
•Do not mow near drep-offs, ditches, or embankments.
The mower could suddenly turn over ifawheel is over
the edge of a cliff or ditch, or if an edge caves in.
• Do not mow on wet grass. Reduced traction could
cause sliding.
•Do not try to stabilize the machine by putting yourfoot
on the ground.
•Do not use grass catcher on steep slopes.
III. CHILDREN
Tragic accidents can occur if the operator is not alert to
the presence of children. Children are often attracted to
the machine and the mowing activity. Never assume that
children will remain where you last saw them.
•Keep children out of the mowing area and under the
watchful care of another responsible adult.
•Be alert and turn machine off if children enter the
area.
• Before and when backing, look behind and down for
small children.
• Never carry children. They may fall off and be seriously
injured or interfere with safe machine operation.
• Never allow children to operate the machine.
• Use extra care when approaching blind corners, shrubs,
trees, or other objects that may obscure vision.
IV, SERVICE
•Use extra care in handling gasoline and other fuels.
They are flammable and vapors are explosive.
-Use only an approved container.
-Never remove gas cap or add fuel with the engine
running. Allow engine to cool before refueling. Do
not smoke.
- Never refuel the machine indoors.
- Never storethe machine orfuel oontainer insidewhere
there is an open flame, such as a water heater.
• Never run a machine inside a closed area.
•Keep nuts and bolts,especially blade attachment bolts,
tight and keel=equipment-in good condition.
•Never tamper with safety devices. Check their proper
operation regularly.
•Keep machine free of grass, leaves, or other debris
build-up. Clean oil or fuel spillage. Allow machine to
cool before storing.
•Stop and inspect the equipment if you strike an object.
Repair, if necessary, before restarting.
•Never make adjustments or repairs with the engine
running.
• Grass catcher components are subject to wear, dam-
age, and deterioration, which could expose moving
parts or allow objects to be thrown. Frequently check
components and replace with manufacturer's recom-
mended parts, when necessary.
•Mower blades are sharp and can cut.Wrap the blade(s)
or wear gloves, and use extra caution when servicing
them.
•Check brake operation frequently. Adjust and service
as required.
2

SAFETY RULES
• Be sure the area isclear of other people before mowing. Stop
machine if anyone enters the area.
• Never carry passengers or children even with the blades
off.
Do not mow in reverse unless absolutely necessary. Always
look down and behind before and while backing.
Nevercarry children.They may fall off and be seriously injured
or interfere with safe machine operation.
•Keep children out of the mowing area and underthe watchful
care of another responsible adult.
Be alert and turn machine off if children enter the area.
Before and when backing, look behind and down for small
children.
•Mow up and down slopes (15 °Max), not across.
Remove obstacles such as rocks, tree limbs, etc.
• Watch for holes, ruts, or bumps. Uneven terrain could overturn
the machine. Tall grass can hide obstacles.
• Use slow speed. Choose a low gear so that you will not have
to stop or shift while on the slope.
Avoid starting or stopping on a slope. If tires lose traction,
disengage the blades and proceed slowly straight down the
slope.
• If machine stops while going uphill, disengage blades, shift
into reverse and back down slowly.
• Do not turn on slopes unless necessary, and then, turn slowly
and gradually downhill, if possible.
&
&
WARNING: In order to prevent ac-
cidental starting when setting up,
transporting, adjusting or making re-
pairs, always disconnect spark plug
wire and place wire where it cannot
contact spark plug.
WARNING: Do not coast down a hill
in neutral, you may lose control of the
tractor.
WARNING
Engine exhaust, some of its constituents, and car-
tain vehicle components (_6ntain or emit chemicals
known to the State of California to cause cancer and
birth defects or other reproductive harm.
I
WARNING
Battery posts, terminals and related accessories
contain lead and lead compounds, chemicals known
to the State of California to cause cancer and birth
defects or other reproductive harm. Wash hands
after handling.
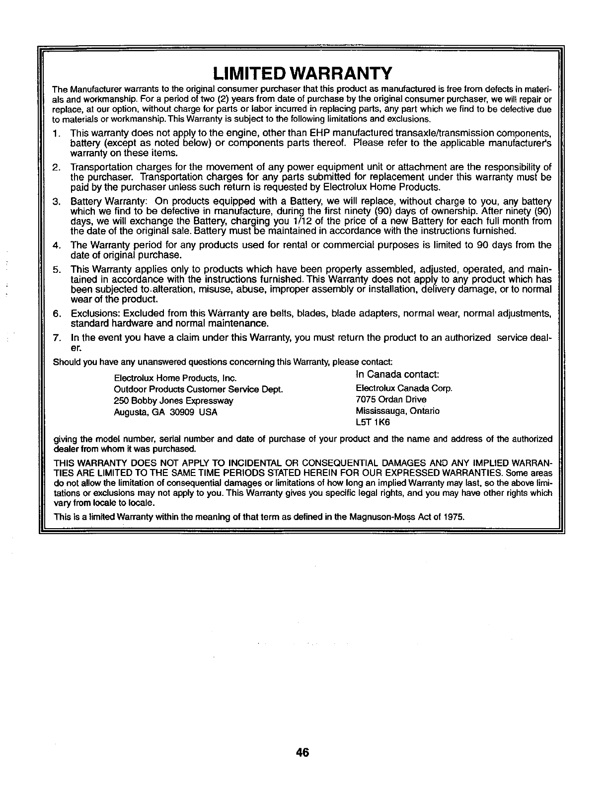
TABLE OF CONTENTS
ii i i • r p ...... ,r i- _ f i
SAFETY RULES ................................................. i ....... 2- 3
PRODUCT SPECIFICATIONS ....................................... 4
CUSTOMER RESPONSIBILITIES ................................. 4
ASSEMBLY ................................................................. 6-9
OPERATION ........................................................... 10-15
MAINTENANCE SCHEDULE ...................................... 16
MAINTENANCE ..................................................... 16-19
SERVICE AND ADJUSTMENTS ............................ 20-27
STORAGE .................................................................... 28
TROUBLESHOOTING ............................................ 29-30
REPAIR PARTS - TRACTOR .................................. 32-45
WARRANTY ................................................................. 46
3

PRODUCT SPECIFICATIONS
GasolineCapacity 5.0 Gallons
and type: UnleadedRegular
OilType(API-SF-SJ): SAE 30 (above,32°F)
SAE 5W-30 (below32°1=)
OilCapacity: W/Filter: 4.0 Pints
W/O Filter:3.75 Pints
Spark Plug: Champion QC12YC
3ap: .040")
Ground Speed (MPH): Forward: 5.8
Reverse: 2.1
Tire Pressure: Front: 14 PSI
Rear: 10 PSI
Charging System: 16 AMPS @ 3600 RPM
Battery: AMP/HR: 35
MIN. CCA: 280
CASE SIZE: U1R
BladeBoltTorque: 45-55 FT.LBS.
CONGRATULATIONS on your purchase of anew tractor.
It has been designed, engineered and manufactured togive
you the best possible dependability and performance.
Should you experience any problem you cannoteasily rem-
edy, please contact your nearest authorized service center/
department We have competent, well-trained technicians
and the proper tools to service or repair this tractor.
Please read and retain this manual. The instructions wiU
enable you to assemble and maintain your tractor properly.
Always observe the "SAFETY RULES".
CUSTOMER RESPONSIBILITIES
•Read and observe the safety rules.
• Follow a regular schedule in maintaining, caring for
and using your tractor.
• Follow the instructions under "Maintenance" and"Stor-
age" sections of this owner's manual.
WARNING: This tractor is equipped withan internal com-
bustion engine and should not be used on or near any
unimprovedforest-covered, brush-coveredorgrase-covered
land unless the engine's exhaust system is equipped with
a spark arrester meeting applicable local or state laws (if
any). If a spark arrester is used, it should be maintained
in effective working order by the operator.
Aspark arrester for the muffler is available through your
nearest authorized servicecentre/department (See REPAIR
PARTS section of this manual).
4

UNASSEMBLED PARTS
Steering Wheel
Steering Sleeve
Steering
Sleeve
Extension
©
Premium
Steering
Adapter Steering
Wheel Insert
Seat
(1) Washer
(_) 17/32 x 1-3/16 x 12
Gauge
(1) Knob I_
Nose Roller
_RNose Roller
Bra_
_l_J (2) Hex Bolts 5116o18x1
_Retainer
pring
5/16-16
Gauge Wheels
f
(4) Wheels
(4) Adjusting
Bars
(_-) Retainer Springs
(double loop)
(4) Washers
3/8 x 3/4 x 14 Ga.
I
(4) Clevis Pins I •
(4) Locknuts
3/8-16
(4) Shoulder Bolt
Mower
(2) Flanged
Assembly
(2) Retainer Springs
(singte loop) (5) Retainer Springs
(double loop)
Keys Slope Sheet
(2)Keys
For Future Use
5

ASSEMBLY
Your new tractor has been assembled at the factory with exception of those parts left unassembled for shipping purposes.
To ensure safe and proper operation of your tractor all parts and hardware you assemble must be tightened securely. Use
the correct tools as necessary to insure proper tightness.
TOOLS REQUIRED FOR ASSEMBLY
A socket wrench set will make assembly easier. Standard
wrench sizes are listed.
(1) Pliers (1) Tire pressure gauge
(2) 9/16" wrench (1) Utility knife
(1) 1/2" wrench (1) 3/4" socket w/drive ratchet
When right or left hand is mentioned in this manual, it means
when you are in the operating position (seated behind the
steering wheel).
TO REMOVE TRACTOR FROM
CARTON
UNPACK CARTON
•Remove all accessible loose parts and parts cartons
from carton.
• Cut along dotted lines on all four panels of carton.
Remove end panels and lay side panels flat.
• Remove mower and packing materials.
• Check for any additional loose parts or cartons and
remove.
BEFORE REMOVING TRACTOR FROM
SKID
_STEERING
@1 w
INSERT
_HEX BOLT
(_.,., _LOCK WASHER
_LARGE FLAT
SHER
STEERING \ _k. J "_ // STEERING
WHEEL \_'_-__ /i _// WHEEL
STEERING _ADAPTOR
SLEEVE EX---......___ TABSTENTION
STEERING
SHAFT
STEERING
SLEEVE
FIG. 1
ATTACH STEERING WHEEL (See Fig. 1)
•Remove hex bolt, lock washer and large flat washer
from steering shaft.
•Position front wheels of the tractor so they are pointing
straight forward.
•Slide the steering sleeve over the steering shaft.
•Align tabs and press steering sleeve extension into
bottom of steering wheel.
•Position steering wheel so cross bars are horizontal
(left to right) and slide onto steering wheel adapter.
•Secure steering wheel to steering shaft with hex bolt,
lock washer and large flat washer previously removed.
Tighten securely.
•Snap steering wheel insert into center of steering
wheel.
•Remove protective materials from tractor hood and
grill.
IMPORTANT: CHECK FOR AND REMOVE ANY STAPLES IN
SKID THAT MAYPUNCTURE TIRES WHERE TRACTORIS TO
ROLL OFF SKID.
HOW TO SET UP YOUR TRACTOR
CHECK BA'n'ERY (See Fig. 2)
•Lift hood to raised position.
•If this battery is put into service after month and year
indicated on label (label located between terminals)
charge battery for minimumof one hour at 6-10 amps.
(See"BATIERY" inMaintenance section ofthismanual
for charging instructions).
j_
/t"
j_
!£.
LABEL
FIG. 2
6

ASSEMBLY
INSTALL SEAT (See Fig. 3)
Adjust seat before tightening adjustment knob.
•Remove adjustment knob and flat washer securing
seat to cardboard packing and set aside for assembly
of seat to tractor.
Pivot seat upward and remove from the cardboard pack-
ing. Remove the cardboard packing and discard.
• Place seat on seat pan so head of shoulder bolt is
positioned over large slotted hole in pan.
• Push down on seat to engage shoulder bolt in slot and
pull seat towards rear of tractor.
Pivot seat and pan forward and assemble adjustment
knob and fiat washer loosely. Do not tighten.
• Lower seat into operating position and sit on seat.
Slide seat until a comfortable position is reached
which allows you to press clutch/brake pedal all the
way down.
•Get off seat without moving its adjusted position.
• Raise seat and tighten adjustment knob securely.
SEAT PAN
,SHOULDER
BOLT
FLAT WASHER
KNOB
FIG. 3
NOTE: You may now roll or drive your tractor off the skid.
Follow the appropriate instruction below to remove the
tractor from the skid.
TO ROLL TRACTOR OFF SKID (See Op-
eration section for location and function of
controls)
• Press lift lever plunger and raise attachment lift lever
to its highest position.
•Release parking brake by depressing brake pedal.
• Place freewheel control in disengaged position to dis-
engage transmission (See "TO TRANSPORT" in the
Operation section of this manual).
• Roll tractor forward off skid.
TO DRIVE TRACTOR OFF SKID (See Op-
eration section for location and function of
controls)
_WARNING: Before starting, read, understand andfollow
all instructions in the Operation section of this manual. Be
sure tractor is inawell-ventilated area. Be sure the area in
front of tractor is clear of other people and objects.
• Be su re all the above assembly steps have been com-
pleted.
• Check e_gine oil level and fill fuel tank with gasoline.
• Place freewheel control in "transmission engaged"
position (see "TO TRANSPORT" in Operation section
of this manual).
• Sit on seat in operating position, depress brake pedal
and set the parking brake.
•Press lift lever plunger and raise attachment lift lever
to its highest position.
• Start the engine.After engine hasstarted, move throttle
control to idle position.
• Release parking brake.
• Slowly move the motion control lever forward and slowly
drive tractor off skid.
• Apply brake to stop tractor and set parking brake.
• Turn ignition key to "STOP" position.
Continue with the instructions that follow,
ASSEMBLE GAUGE WHEELS TO MOWER
DECK (See Fig. 4)
The gauge wheels are designed to keep the mower deck
in proper position when operating mower. Be sure they
are properly adjusted to ensure optimum mower perfor-
mance.
• Slide gauge wheel bar down into bracket channel, Be
sure that gauge wheel bar aligning holes are on top.
Assemble gauge wheels as shown using shoulder bolts,
3/8 washers and 3/8-16 center Iocknuts and tighten
securely.
• For ease of mower to tractor assembly, raise gauge
wheels to highest position and retain with clevis pins
and spring retainers.
Adjust gauge wheels before operating mower. See "TO
ADJUST GAUGE WHEELS" in the Operation section
of this manual.
RETAINER
SPRING
SHOULDER
BOLT
ADJUSTING
WHEELG"
3/8 WASHER 3/8-16 CENTER
LOCKNUT
FIG. 4
7

ASSEMBLY
TO ATrACH NOSE ROLLER (See Fig. 5)
•Assemble brackets "A" and "B"to the inside of mower
mounting brackets as shown. Tighten securely.
NOTE: Be sure bracket tabs are positioned in tab holes
in mower brackets.
•Position nose roller between brackets and install rod
and retainer spring.
LOCK HEX BOLT
ROD
TAB BRACKET
HOLE
"A" BRACKE'i' RETAINER SPRING
ROLLER
FIG. 5
INSTALL MOWER AND DRIVE BELT
(See Figs. 6 and 7)
Be sure tractor is on level surface and mower suspension
arms are raised with attachment lift control. Engage park-
ing brake.
•Cut and remove ties securing anti-sway bar and belts.
Swing anti-sway bar to left side of mower deck.
•Slide mower under tractor withdeflector shield to right
side of tractor.
IMPORTANT: Check belt for proper routing in all mower
pulley grooves.
•If equipped, turn height adjustment knob counter-
clockwise until it stops.
Lower mower linkage with attachment lift control.
Be sure belt tension rod is in disengaged position.
Install belt into electric clutch pulley groove.
Place the suspension arms on outward pointing deck
pins. Retain with double loop retainer spring with loops
up as shown.
Install front plate assembly to tractor suspension
brackets and retain with single loop retainer springs
as shown.
Position front plate assembly between front mower
brackets. Raise deck and plate assemblyto align holes
and insert flanged pins. Secure pins with double loop
retainer springs between the plate assembly and mower
brackets.
NOTE: To assist in locating hole in flanged pin, the hole in
pin is inline with notch on head of pin.If necessary, move
mower side-to-side togive space between plate and mower
brackets.
IMPORTANT: Check belt for proper routing in all mower
pulley grooves. Engage belt tension rod by pushing rod
into locking bracket.
•Engage belt tension rod by pushing rod into locking
bracket.
I& CAUTION: Belt tension rod is spring
loaded. Have a tight grip on rod and
engage slowly.
• Connect anti-sway bar to chassis bracket under left
footrest and retain with double loop retainer spring.
•If equipped, turn height adjustment knob clockwise to
remove slack from mower suspension.
•Raise deck to highest position.
•Adjustgauge wheels before operatingmower as shown
in the Operation section of this manual.
,_AUGE
WHEEL
LOCK BRACKET
BELT TENSION ROD
(DISENGAGED POSITION)
CHASSIS _"
BRACKET
FRONT
ELECTRIC SUSPENSION
CLUTCH PULLEY BRACKETS
FRONT MOWER
BRACKET RETAINER SPRING
ASSEMBLY
SINGLE LOOP
RETAINER SPRINGS
DOUBLE LOOP
RETAINER SPRING
USE PUERS FOR
RETAINER
P
ANTI-SWAY
BAR
SUSPENSION ARMS
DOUBLE LOOP
RETAINER SPRING
(OUTWARD POINTING
DECK PINS)
FIG. 6
DEFLECTOR
SHIELD
8

ASSEMBLY
CHECKTIRE PRESSURE
The tires on your tractor were overinflated at the factory
for shipping purposes. Correct tire pressure is important
for best cutting performance.
•Reduce tire pressure to PSI shown in "PRODUCT
SPECIFICATIONS" section of this manual.
CHECK MOWER LEVELNESS
For best cutting results, mower should be properly leveled.
See "TO LEVEL MOWER HOUSING" in the Service and
Adjustments section of this manual.
CHECK FOR PROPER POSITION OF ALL
BELTS
See the figures that are shown for replacing motion, mower
drive, and mower blade drive belts in the Service and Ad-
justments section of this manual. Verity that the belts are
routed correctly.
,/CHECKLIST
BEFORE YQU OPERATE AND ENJOYYOUR NEW TRAC-
TOR, WE WISH TO ASSURE THAT YOU RECEIVE THE
BEST PERFORMANCE AND SATISFACTION FROM THIS
QUALITY PRODUCT.
PLEASE REVIEW THE FOLLOWING CHECKLIST:
,/ All assembly instructions have been completed.
,/ No remaining loose parts in carton.
,/ Battery is properly prepared and charged. (Minimum
1 hour at 6 amps).
#" Seat is adjusted comfortably and tightened securely.
,/ All tires are properly inflated. (For shipping purposes,
the tires were overinflated at the factory).
,/ Be sure mower deck is properly leveled side-to-side/
frent-to-rear for best cutting results. (Tires must be
properly inflated for leveling).
,/ Check mower and drive belts. Be sure they are routed
properly around pulleys and inside all belt keepers.
,/ Check wiring. See that all connections are still secure
and wires are properly clamped.
,/ Before driving tractor, be sure freewheel control is in
drive position.
WHILE LEARNING HOW TO USE YOUR TRACTOR, PAY
EXTRA ATTENTION TO THE FOLLOWING IMPORTANT
ITEMS:
,f •Engine oil is at proper level
,/ Fuel tank is filled with fresh, clean, regular unleaded
gasoline.
/Become familiar with all controls - their location and
function. Operate them before you start the engine.
,/ Be sure brake system is in safe operating condition.
,/ It is important to purge the transmission before oper-
ating your tractor for the first time. Follow proper start-
ing and transmission purging instructions (See "TO
START ENGINE" and "PURGE TRANSMISSION" in
Operation section of this manual).
9

OPERATION
These symbols may appear on your tractor or in literature supplied with the product, Learn and understand their mean-
ing.
R N H L I'-,I
REVERSE NEUTRAL HIGH LOW CHOKE FAST SLOW IGNITION
ENGINE OFF LIGHTS ON ENGINE ON ENGINE START PARKING BRAKE PARKING BRAKE PARKING BRAKE
LOCKED UNLOCKED
OVER TEMP FUEL OIL PRESSURE BATTERY REVERSE FORWARD MOWER HEIGHT MOWER LIFT
UGHT
ATTACHMENT ATTACHMENT
CLUTCH ENGAGED CLUTCH DISENGAGED
FREE WHEEL
(Automatic Models only)
DANGER, KEEP HANDS
AND FEET AWAY
KEEP AREA CLEAR SLOPE HAZARDS
(SEE SAFETY RULES SECTION)
&
&
&
&
;Failureto follow instructions
could result in serious injury or
death. The safety alert symbol
is used to identify safety inform-
ation about hazards which can
result in death, serious injury _1_
and/or property damage.
DANGER indicates a hazard which, if not avoided,
will result in death or serious injury.
WARNING indicates a hazard which, if not avoided,
could result in death or serious injury.
CAUTION indicates a hazard which, if not avoided,
might result in minor or moderate injury.
CAUTION when used without the alert symbol,
indicates a situation that could result in damage
to the tractor and/or engine.
HOT SURFACES indicates a hazard which,
if not avoided, could result in death, serious injury
and/or property damage.
FIRE indicates a hazard which, if not avoided,
could result in death, serious injury and/or
property damage.
10

OPERATION
KNOW YOUR TRACTOR
READ THIS OWNER'S MANUAL AND SAFETY RULES BEFORE OPERATING YOUR TRACTOR.
Compare the illustrations wtth your tractor to famtlianze yourself with the Iocahon of various controls and adjustments.
Save thts manual for future reference
MOTION DRIVE
BELT TENSION
HANDLE
CHOKE CONTROL
THROI-rLE
CONTROL
BRAKE PEDAL
HOURMETER ,_- LJGHT SWITCH
IGNITION POSITION
SWITCH
AMMETER
ATTACHMENT
CLUTCH SWITCH
PLUNGER
UFTLEVER
PARKING
BRAKE LEVER
FREEWHEEL
CONTROL
HEIGHT
ADJUSTMENT
KNOB
MORON
CONTROL
LEVER
FIG. 7
Our tractors conform to the safety standards of the American Na.t_.Ral ,St,aadar_dsInstitute
ATTACHMENT CLUTCH SWITCH - Used to engage mower
blades or other attachments mounted to your tractor.
UFT LEVER - Used to raise and lower mower deck or
other attachments mounted to your tractor.
BRAKE PEDAL -Used for braking the tractor and starting
the engine.
MOTION CONTROL LEVER -Selects the speed and
direction of tractor.
CHOKE CONTROL - Used when starting acold engine.
UGHT SWITCH - Turns the headlights on and off.
UFT LEVER PLUNGER - Used to release attachment lift
lever when changmg its positron.
HOURMETER -Indicates hoursof operation.
rf
THRO'n'LE CONTROL - Used to control engine speed.
FREEWHEEL CONTROL - Disengages transmission for
pushing or slowly towmg the tractor wtth the engine off.
IGNITION SWITCH - Used to start and stop the engine.
AMMETER - Indicates battery chargmg(+) or discharg-
ing(-)
PARKING BRAKE LEVER - Locks brake pedal tnto the
brake position.
HEIGHT ADJUSTMENT KNOB -Usedto adjust the mower
height.
MOTION DRIVE BELTTENSION HANDLE- Used when
changing motion drive beltand, ifnecessary, starting engine
under extremely cold conditions.
11

TOPERATION
HOW TO USE YOUR TRACTOR
TO SET PARKING BRAKE (See Fig. 8)
Your tractor is equipped with an operator presence sens-
ing switch. When engine is running, any attempt by the
operator to leave the seat without first setting the parking
brake will shut off the engine.
•Depress brake pedal into full "BRAKE" position and
hold.
•Place parking brake lever in "ENGAGED" position
and release pressure from brake pedal. Pedal should
remain in "BRAKE" position. Make sure parking brake
will hold tractor secure.
The operation of any tractor can result in foreign objects thrown into the eyes, which
can result in severe eye damage. Always wear safety glasses or eye shields while op-
erating your tractor or performing any adjustments or repairs. We recommend a wide
vision safety mask over spectacles or standard safety glasses.
NOTE: Under certain conditions when tractor is standing
idle with the engine running, hotengine exhaust gases may
cause "browning" of grass. To eliminate this possibility, al-
ways stop engine when stopping tractor on grass areas.
CONTROL
/BRAKE PEDAL
POSITION
ATTACHMENT
CLUTCH SWITCH
PUSHINTO PULL OUTTO
"DISENGAGE .... ENGAGE"
POSnlON
HEIGHT "DISENGAGED"
ADJUSTMENT POSITION
KNOB
FIG. 8
MOTION
PARKINGBRAKE
"ENGAGED"
POSITION
MOWER BLADES -
• To stop mower blades,move attachment clutch switch
to "DISENGAGED" position.
GROUND DRIVE -
•To stop ground drive, depress brake pedal into full
=BRAKE" position.,
IMPORTANT: THE MOTIONCONTROL LEVER RETURNS
TO NEUTRAL (N) POSITION WHEN THE BRAKE PEDAL IS
FULLYDEPRESSED.
ENGINE -
•Move throttle control to slow position.
NOTE: Failure to move throttlecontrol to slow position and
allowing engine to idle before stopping may cause engine
to "backfire".
•Turn ignition key to "OFF" position and remove key.
Always remove key when leaving tractor to prevent
unauthorized use.
•Never use choke to stopengine.
IMPORTANT: LEAVING THE IGNITION SWITCH IN ANY
POSITION OTHER THAN "OFF"WILL CAUSE THE BATI'ERY
TO BE DISCHARGED, (DEAD).
CAUTION: Allays stop tractor corn- J
pletely, as described above, before leav- I
ing the operator's position; to empty
grass catcher, etc.
TO USE THROI-rLE CONTROL (See Fig. 8)
Always operate engine at full throttle.
•Operating engine at less than full throttle reduces the
battery charging rate.
•Full throttle offers the best mower performance.
TO USE CHOKE CONTROL (See Fig. 8)
Use choke control whenever you are starting a coldengine.
Do not use to start a warm engine.
•knob in to disengage.
TO MOVE FORWARD AND BACKWARD
(See Fig. 8)
I CAUTION: Do not attempt to operate motion I
control lever when the parking brake is set or I
when the brake pedal is depressed. Doing so
may result in misadjustment to the drive control
system.
The direction and speed of movement is controlled by the
motion control lever.
• Start tractor with motion control lever in neutral (N)
position.
• Release parking brake.
• Slowly move motion control lever to desired position.
12
TO ADJUST MOWER CUTTING HEIGHT
(See Fig. 8)
The cutting height is controlled by turning the height ad-
justment knob in desired direction.
•Turn knob clockwise (f-N) to raise cutting height.
•Turn knob counterclockwise (1__)to lower cutting
height.
The cutting height range is approximately 1-1/2" to 4-1/2".
The heights are measured from the ground to the blade tip
with the engine notrunning.These heightsare approximate
and may vary depending upon soil conditions, height of
grass and types of grass being mowed.
• Theaveragelawnshouldbecuttoapproximately2-1/2
inches during the cool season and to over 3 inches
during hot months. For healthier and better looking
lawns, mow often and after moderate growth.
•For best cutting performance, grass over 6 inches
in height should be mowed twice. Make the first cut
relatively high;the second to desired height.

OPERATION
TO ADJUST GAUGE WHEELS (See Fig. 9)
Gauge wheels are properly adjusted when they are slightly
off the ground when mower is at the desired cutting height
in operating position. Gauge wheels then keep the deck
in proper position to help prevent scalping in most terrain
conditions.
NOTE:Adjust gauge wheels with tractor on a flat level
surface.
• Adjust mower to desired cutting height (See "TO AD-
JUST MOWER CUTTING HEIGHT" in the Operation
section of this manual).
• Remove retainer spring and clevis pin which secure
each gauge wheel bar.
•Lower gauge wheels to ground. Raise gauge wheels
slightly to align holes in bracket and gauge wheel bar
and insert clevis pin. Gauge wheels should be slightly
off the ground.
Replace retainer spring into clevis pin.
• Be sure all gauge wheels are in the same setting.
IMPORTANT:BESURETO READJUSTGAUGEWHEELSIFYOU
CHANGE THE CU'i-rlNG HEIGHT OFTHE MOWER DECK.
RETAINER
SPRING
CLEVIS
PIN
FIG. 9
TO OPERATE MOWER (See Fig. 10)
Yourtractor is equipped with an operator presence sensing
switch. Any attempt by the operator to leave the seat with
the engine running and the attachment clutch engaged will
shut off the engine.
•Select desired height of cut.
•Lower mower with attachment lift control.
•Start mower blades by engaging attachment clutch
control.
•TO STOP MOWER BLADES -disengage attachment
clutch control.
CAUTION: Do notoperate the mower I
without either the entire grass catcher, I
on mowers so equipped, or the deflector
shield in place.
UFT LEVER
•HIGHEST
,'_" POSIITON
ATrACHEMNT
CLUTCH
SWITCH PULL
OUTTO
"ENGAGE"
POSITION
PUSH INTO
"DISENGAGE"
FIG. 10
DEFLECTOR
SHIELD
TO OPERATE ON HILLS
li_ WARNING: Do not drive up or down
hills with slopes greater than 15° and
do not drive across any slope.
• Choose the slowest speed befora starting up or down
hills.
•Avoidstopping or changing speed on hills.
•If stopping is absolutely necessary, push brake pedal
quicklyto brake position and engage parking brake.
IMPORTANT: THE MOTIONCONTROL LEVERRETURNS
TO NEUTRAL (N) POSITIONWHEN THE BRAKEPEDAL IS
FULLYDEPRESSED.
•Torestart movement, slowly release parking brake and
brake pedal.
•Slowly move motioncontrol lever to slowest setting.
•Make all turns slowly.
TO TRANSPORT (See Figs. 7 and 11)
When pushing or towingyour tractor, be sureto dLsengage
transmission by placing fme_,=heelcontrol in freew'h'eeling
position. Free wheel _b_troli_ located at the rear drawbar
of tractor.
•Raise attachment liftto highestpositionwithattachment
liftcontrol.
•Pull freewheel controlout and into the slotand release
so it is held in the disengaged position•
•Do not push or tow tractor at more than two (2)
MPH.
•To reengage transmission, reverse above procedure.
NOTE: To protect ho0d from damage when transporting
your tractor on a truck or a trailer, be sure hood is closed
and secured to tractor. Use an appropriate means of tying
hood to tractor (rope, cord, etc.).
13

OPERATION
FIG. 11
TOWING CARTS AND OTHER ATTACH-
MENTS
Tow only the attachments that are recommended by and
comply with specifications of the manufacturer of your trac-
tor. Use common sense when towing.Too heavy of a load,
while on a slope, is dangerous. Tires can lose traction with
the ground and cause you to lose control of your tractor.
BEFORE STARTING THE ENGINE
CHECK ENGINE OIL LEVEL
•The engine inyour tractor has been shipped, from the
factory, already filled with summer weight oil.
• Check engine oil with tractor on level ground.
• Remove oil fill cap/dipstick and wipe clean, reinsert the
dipstick and screw cap tight, wait for a few seconds,
remove and read oil level. If necessary, add oil until
"FULL" mark on dipstick is reached. Do not overfill.
• For cold weather operation you should change oil for
easier starting (See "OIL VISCOSITY CHART" in the
Maintenance section of this manual).
• To change engine oil, see the Maintenance section in
this manual.
ADD GASOLINE
•Fill fuel tank to bottom of filler neck. Do not overfill.
• Use fresh, clean, regular unleaded gasoline with a
minimum of 87 octane. (Use of leaded gasoline will
increase carbon and lead oxide deposits and reduce
valve life). Do not mix oil with gasoline. Purchase fuel
in quantities that can be used within 30 days to assure
fuel freshness.
CAUTION: Wipe off any spilled oil or I
m
fuel. Do not store, spill or use gasoline I
near an open flame.
IMPORTANT: WHEN OPERATING IN TEMPERATURES
BELOW32°F(0°C), USE FRESH, CLEAN WINTER GRADE
GASOLINE TO HELP INSURE GOOD COLD WEATHER
STARTING.
14
CAUTION: Alcohol blended fuels (called
gasohol or using ethanol or methanol) can at-
tract moisture which leads to separation and
formation of acids during storage. Acidic gas
can damage the fuel system of an engine while
in storage. To avoid engine problems, the fuel
system should be emptied before storage of
30 days or longer. Drain the gas tank, start
the engine and let it run until the fuel lines
and carburetor are empty. Use fresh fuel next
season. See Storage Instructions for additional
information. Never use engine or carburetor
cleaner products in the fuel tank or permanent
damage may occur.
TO START ENGINE (See Fig. 7)
When starting the engine for the first time or if the engine
has run out of fuel, it will take extra cranking time to move
fuel fromthe tank to the engine.
•Besurefreewheel controlis inthe transmissionengaged
position.
•Sit on seat in operating position, depress brake pedal
and set parking brake.
•Move attachment clutch to "DISENGAGED" position.
•Move throttle control to fast position
•Pull choke control out for a cold engine start attempt.
Forawarm engine start attempt the choke control may
not be needed.
NOTE: Before starting, read the warm and cold starting
procedures below.
•Insert key into ignition and turn key clockwise to
"START" position and release key as seen as engine
starts. Do not run starter continuously for more than
fifteen seconds per minute•If the engine does not start
after several attempts, push choke control in, wait a
few minutes and try again. If engine stilldoes notstart,
pullthe choke control out and retry.
WARM WEATHER STARTING (50 °F and above)
•When engine starts, slowly push choke control in until
the engine begins to run smoothly. If the engine starts
to run roughly, pull the choke control out slightly for a
few seconds and then continue to push the control in
slowly.
•The attachments and ground drive can now be used. If
the engine does notaccept the load, restart the engine
and allow itto warm up for one minute using the choke
as described above.
COLD WEATHER STARTING (50 °Fand below)
•When engine starts, slowly push choke control in until
the engine begins to run smoothly. Continue to push
the choke control insmall steps allowing the engine to
accept smallchanges inspeed and load, untilthe choke
control is fully in. Ifthe engine starts to run roughly,pull
the choke control out slightly for afew seconds and
then continue to push the control in slowly.This may
requirean engine warm-up period from several seconds
to several minutes, depending on the temperature.
NOTE: Inextreme cold conditions,if engine will notstart, you
may need to disengage the motion drive belt as follows:
•Be sure parking brake is engaged.

OPERATION
•Remove retainer sprmg from the drive belt tenston
handle to relieve belt tension.
• Start engme and allow _tto warm up for three (3) min-
utes
• Shut-off engine and engage parking brake
• Engage dnve belt tension handle and replace the
retainer spring.
AUTOMATIC TRANSMISSION WARM UP
•Before dnving the unit mcold weather, the transmisston
should be warmed up as follows:
• Be sure the tractor is on level ground.
• Place the motion control lever in neutral. Re-
lease the parkmg brake and let the brake slowly
return to operating posttton.
• Allow one mmute for transmtssion to warm up.
This can be done during the engine warm up
period.
• The attachments can be used during the engine warm-
up penod after the transmission has been warmed
up and may requtre the choke control be pulled out
shghtiy.
NOTE: If at a htgh altitude (above 3000 feet) or m cold
temperatures (below 32 F) the carburetor fuel mtxture may
need to be adjusted for best engine performance. See "TO
ADJUST CARBURETOR" m the Service and Adjustments
section of thts manual.
PURGE TRANSMISSION
I_ CAUTION: Never engage or disengage I
freewheel lever while the engine is run-
ning.
To ensure proper operation and performance, it is recom-
mended that the tmnsmtsslon be purged before operating
tractor for the first time Thts procedure will remove any
trapped air inside the transmission which may have de-
veloped during shippingof your tractor.
IMPORTANT: SHOULD YOUR TRANSMISSION REQUIRE
REMOVALFOR SERVICE OR REPLACEMENT, IT SHOULD
BE PURGEDAFTER REINSTALLATIONBEFORE OPERATING
THE TRACTOR.
• Place tractor safely on level surface with engine off and
parkmg brake set.
• Disengage transmission by placing freewheel control
infreewheeling position (See'rOTRANSPORT" inthts
section of manual)
• Sitttng in the tractor seat, start engine. After the en-
gine =srunning, move throttle control to slow pesltion.
Disengage parking brake
• Move motion control lever to full forward position and
hold for five (5) seconds. Move lever to full reverse
position and hold for five (5) seconds. Repeat this
procedure three (3) times.
NOTE: Dunng this procedure there wtll be no movement
of drive wheels. The air is being removed from hydraulic
dnve system.
• Move motion control lever to neutral (N) position. Shut-
off engine and set parking brake.
• Engage transmission by placing freewheel control m
driving position (See "TO TRANSPORT" inthis sectton
of manual).
• Sitting m the tractor seat, start engine. After the engine
ts running, move throttle control to half (1/2) speed.
Disengage parking brake.
• Slowly move motton control lever forward, after the
tractor moves approximately five (5) feet, slowly move
motton control lever to reverse posihon. After the trac-
tor moves approximately five (5) feet return the mo-
tion control lever to the neutral (N) poslhon. Repeat
thts procedure with the motion control lever three (3)
times.
• Your tractor =snow purged and now ready for normal
operation.
15
MOWING TIPS
Tire chains cannot be used when the mower housing
is attached to tractor.
•Mower should be properly leveled for best mowing per-
formance. See "TO LEVEL MOWER HOUSING" inthe
Service and Adjustments section of this manual.
•The left hand stde of mower should be used for trim-
mmg.
• Drive so that clippings are discharged onto the area
that has been cut. Have the cut area to the nght of
.the tractor. This wdl result in a more even d=stnbutlon
of clippings and more uniform cutting.
• When mowinglarge areas, start byturnmg tothe r_ghtso
that chppmgs will discharge away from shrubs, fences,
dnveways, etc. After one or two rounds, mow m the
opposite dtrection making left hand turns untd finished
(See Fig. 12).
i
00272
FIG. 12
•If grass is extremely tall, it should be mowed twice to
reduce load and possible fire hazard from dried chp-
pings. Make first cut relahvely high; the second to the
desired height.
•Do not mow grass when it is wet. Wet grass will plug
mower and leave undesirable clumps. Allow grass to
dry before mowing.
•Always operate engine at full throttle when mow-
ing to assure better mowing performance and proper
discharge of material. Regulate ground speed by se-
lecUng a low enough gear to give the mower cutting
performance as well as the quality of cut desired.
•When operating attachments, select a ground speed
that will suit the terrain and give best performance of
the attachment being used.

MAINTENANCE
FELL IN OATES
REGU RSERV,CE S V,CE" DATES
Check Brake Operation
Check Tire Pressure _
Check Operator Presence and
T Interlock Systems
RCheck for Loose Fasteners _I_s If
ASharpen/Replace Mower Blades _3
TLubrication Chart V e
0Check Battery Level
RClean Battery and Terminals V°V'
Cheek Transaxle Cooling
Check V-Belts V'
Check Engine Oil Level I_ V#
Change Engine Oil (with oil filter) IIP#_,_ V'
EChange Engine Oil (without oil filter) V'1,2 ./
NClean Air Filter
Gclean Air Screen
Ni Inspect Muffler/Spark If
Arrester
EReplace Oil Filter (If equipped) V_,2
Clean Engine Cooling Fins V#2
Replace Spark Plug ik_ V'
Replace Air Filter Paper Cartridge _2
Replace Fuel Filter
1 - Change more often when operating under aheavy load or
in high ambient temperatures.
2-Serwce more often when operating in dirty or dusty conditions.
3- Replace blades more often when mowing in sandy soil.
4 * Not required if equipped with m3intenance-free battery.
5 - Tighten front axle pivot pelt to 35 ff.4bs, maximum.
Do not ovedighten.
GENERAL RECOMMENDATIONS LUBRICATION CHART
The warranty on this tractor does not cover items that have
been subjected to operator abuse or negligence. To receive
full value from the warranty, operator must maintain tractor
as instructed in this manual.
Some adjustments will need to be made periodically to
properly maintain your tractor.
All adjustments in the Service and Adjustments section
of this manual should be checked at least once each
season.
• Once a year you should replace the spark plug, clean
or replace air filter, and check blades and belts for wear.
A new spark plug and clean air filter assure proper air-
fuel mixture and help your engine run better and last
longer.
BEFORE EACH USE
•Check engine oil level.
•Check brake operation.
• Check tire pressure.
•Check operator presence and
intedock systems for proper operation.
•Check for loose fasteners.
FRONT WHEEL
BEARING ZERK
STEERING
SECTOR GEAR
TEETH
(D TIE ROD BALL JOINTS
_) SPINDLE ZERK
"_ FRONTWHEEL
BEARINGZERK
MANDREL
ZERKS
(_ SPRAY SIUCONE LUBRICANT (MOVE BOOTS TO LUBRICATE)
(_ GENERAL PURPOSE GREASE
REFER TO MAINTENANCE"ENGINE" SECTION
IMPORTANT: DO NOT OIL OR GREASE THE PIVOT POINTS
WHICH HAVE SPECIAL NYLON BEARINGS. VISCOUS
LUBRICANTS WILL ATrRACT DUST AND DIRT THAT WILL
SHORTEN THE LIFE OFTHE SELF-LUBRICATING BEARINGS.
IFYOU FEELTHEY MUST BE LUBRICATED, USE ONLY A DRY,
POWDERED GRAPHITE TYPE LUBRICANT SPARINGLY.
16

MAINTENANCE
MANDREL
ASSEMBLY
TRACTOR
Always observe safety rules when performing any main-
tenance.
BRAKE OPERATION
If tractor requires more than six (6) feet stopping distance
at highspeed in highestgear, then brake must be adjusted.
(See "TO ADJUST BRAKE"in the Service andAdjustments
section of this manual).
TIRES
•Maintain properairpressure inalltires(See"PRODUCT
SPECIFICATIONS" section of this manual).
Keep tires free of gasoline, oil, or insectcontrol chemi-
cals which can harm rubber.
•Avoid stumps, stones, deep ruts, sharp objects and
other hazards that may cause tire damage.
NOTE: To seal tire punctures and prevent flat tires due to
slow leaks, tire sealant may be purchased from your local
parts dealer. Tire sealant also prevents tire dry rot and
corrosion.
OPERATOR PRESENCE SYSTEM
Be sure operator presence and interlock systems are work-
ing properly. If your tractor does not function as described,
repair the problem immediately.
•The engine should not start unless the brake pedal is
fully depressed and attachement clutch control is in
the disengaged position.
•Whentheengineisrunning, anyattemptbytheoperator
to leave the seat without first setting the parking brake
should shut off the engine.
•When the engine is running and the attachment clutch
is engaged, any attempt by the operator to leave the
seat should shut off the engine.
•The attachment clutch should never operate unless
the operator is inthe seat.
BLADE CARE
For best results mower blades must be keptsharp, Replace
bent or damaged blades.
BLADE REMOVAL (See Fig. 13)
•Raise mower to highest position to allow access to
blades.
NOTE: Protect your hands with gloves and/or wrap blade
with heavy cloth.
•Remove blade bolt by turning counterclockwise.
•Install new or resharpened blade with stamped "THIS
SIDE UP" facing deck and mandrel assembly.
IMPORTANT: TO ENSURE PROPER ASSEMBLY,CENTER
HOLE IN BLADE MUST ALIGN WITH STAR ON MANDREL
ASSEMBLY.
•Install and tighten blade bolt securely (45-55 Ft. Lbs.
torque).
IMPORTANT: SPECIALBLADEBOLT HEATTREATED.
BLADE
CENTER
HOLE
(SPECIAL)
FIG. 13
TO SHARPEN BLADE (See Fig. 14)
NOTE: We do not recommend sharpening blade -but if
you do, be sure the blade is balanced.
Care should be taken to keep the blade balanced. An un-
balanced blade will cause excessive vibration and eventual
damage to mower and engine.
• " The bladecan be sharpened with a file or on a grind-
ing wheel. Do not attempt to sharpen while on the
mower.
• To check blade balance, you will need a 5/8" diameter
steel bolt, pin, or a cone balancer. (When using a
cone balancer, follow the instructions supplied with
balancer.)
NOTE: Do not use a nail for balancing blade. The lobes of
the center hole may appear to be centered, but are not.
• Slide blade on to an unth readed portion of the steel bolt
or pin and hold the bolt or pin parallel with the ground.
If blade is balanced, it should remain in a horizontal
position. If either end of the blade moves downward,
sharpen the heavy end untilthe blade is balanced.
OR PIN
FIG. 14
BA'B'ERY
Yourtractor has a battery chargingsystem which is sufficient
for normal use. However, periodic charging of the battery
with an automotive charger will extend its life.
•Keep battery and terminals clean.
•Keep battery bolts tight.
•Keep small vent holes open.
•Recharge at 6-10 amperes for 1 hour.
NOTE: The original equipment battery on your tractor is
maintenance free. Do not attempt to open or remove caps
or covers. Adding or checking level of electrolyte is not
necessary.
17

MAINTENANCE
TO CLEAN BATI'ERY AND TERMINALS
Corrosion and dirt on the battery and terminals can cause
the battery to "leak" power.
•Remove terminal guard.
• Disconnect BLACK battery cable first then RED bat-
tery cable and remove battery from tractor.
• Rinse the battery with plain water and dry.
• Clean terminals and battery cable ends with wire brush
until bright.
• Coat terminals with grease or petroleum jelly.
• Reinstall battery (See "REPLACING BATI'ERY" in
the SERVICE AND ADJUSTMENTS section of this
manual).
V-BELTS
Check V-belts for deterioration and wear after 100 hours
of operation and replace if necessary. The belts are not
adjustable. Replace belts if t.hey begin to slip from wear.
TRANSAXLE COOLING
The fan and cooling fins of transmissi0n.should be kept
clean to assure proper cooling.
Do not attempt to clean fan or transmission while engine
is running or while the transmission is hot. To prevent pos-
sible damage to seals, no not use high pressure water or
steam to clean transaxle.
•Inspect cooling fan to be sure fan blades are intact and
clean.
•Inspect cooling fins for dirt, grass clippings and other
materials. To prevent damage to seals, do not use
compressed air or highpressure sprayer to clean cool-
ing fins.
TRANSAXLE PUMP FLUID
The transaxle was sealed at the factory and fluid mainte-
nance is not required for the life of the transaxle. Should
the transaxle ever leak or require servicing, contact your
nearest authorized service center/department.
ENGINE
LUBRICATION
Or_lyuse high quality detergent oil rated with API service
classification SF-SJ. Select the oil's SAE viscosity grade
according to your expected operating temperature.
*20 0 3O
-30 -20 -10 0 10 20 30 40
TEMPERATURE RANGE ANTICIPATED BEFORE NEXT OIL CHANGE
ol_vir,c cimrtl e
FIG. 15
NOTE: Although multi-viscosity oils (5W30, 10W30 etc.)
improve starting incold weather, these multi-viscosityoils
will result in irlcreased oil consumption when used above
32°F. Check your engine oil level morefrequently to avoid
possible engine damage from running low on oil.
Change the oil after every 50 hoursof operation or at least
once a year if the tractor is not used for 50 hours in one
year.
Check the crankcase oil level before starting the engine
and after each eight (8) hours of operation. Tighten oil fill
cap/dipstick securely each time you check the oil level.
TO CHANGE ENGINE OIL (See Figs. 15 and 16)
Determine temperature range expected before oil change.
All oil must meet API service classification SF-SJ.
•Be sure tractor is on level surface.
•Oil will drain more freely when warm.
•Catch oil in asuitable container.
•Remove oil fill cap/dipstick. Be careful not to allow dirt
to enter the engine when changing oil.
•Remove yellow cap from end of drain valve and install
the drain tube onto the fitting.
OIL DRAIN VALVE
YELLOW
_1 I I 12% CLOSED
DRAIN_ _' " J \AND
TUBE gCg,%
FIG. 16
•Unlock drain valve by pushing inward and turning
counterclockwise.
•To open, pull out on the drain valve.
•After oil has drained completely, close and lock the
drain valve by pushing inward and turning clockwise
until the pin is in the locked positionas shown.
• Remove the draintube and replace the cap onto to the
bottom fitting of the drain valve.
•Refill engine with oil through oil fill dipsticktube. Pour
slowly. Do not overfill. For approximate capacity see
"PRODUCT SPECIFICATIONS" section of this man-
ual.
•Use gauge on oil fill cap/dipstick for checking level.
Be sure dipstickcap is tightened securely for accurate
reading. Keep oil at "FULL" line on dipstick.
18

MAINTENANCE
CLEAN AIR SCREEN
Air screen must be kept free of dirt and chaff to prevent
engine damage from overheating. Clean with a wire brush
or compressed air to remove dirt and stubborn dried gum
fibers.
CLEAN AIR INTAKE/COOLING AREAS
To insure proper cooling, make sure the grass screen,
cooling fins, and other external surfaces of the engine are
kept clean at all times.
Every 100 hours of operation (more often under extremely
dusty, dirty conditions), remove the blower housing and
other cooling shrouds. Clean the cooling fins and external
surfaces as necessary. Make sure the cooling shrouds are
reinstalled.
NOTE: Operating the engine with a blocked grass screen,
dirtyor plugged cooling fins, and/or cooling shrouds removed
will cause engine damage due to overheating.
AIR FILTER (See Fig. 17)
Your enginewill notrun properly usinga dirtyairfilter. Clean
the foam pre-cleaner after every 25 hours of operation or
every season. Service paper cartridge every 100 hours of
operation or every season, whichever occurs first.
Service air cleaner more often under dusty conditions.
•Remove knobs and cover.
TO SERVICE PRE-CLEANER
•Wash it in liquid detergent and water.
• Squeeze it dry in a clean cloth.
• Saturate it in engine oil. Wrap it in clean, absorbent
cloth and squeeze to remove excess oil.
• If very dirty or damaged, replace pre-cleaner.
TO SERVICE CARTRIDGE
• Clean cartridge by tapping gently on flat surface. If
very dirty or damaged, replace cartridge.
• Reinstall precleaner cartridge, cover and secure with
knobs.
IMPORTANT: PETROLEUM SOLVENTS, SUCH AS KEROSENE,
ARE NOT TO BE USED TO CLEAN THE CARTRIDGE. THEY
MAY CAUSE DETERIORATION OFTHE CARTRIDGE. DO NOT
OIL CARTRIDGE. DO NOT USE PRESSU RIZED AIR TO CLEAN
OR DRY CARTRIDGE.
KNOBS
FoAIOVER _CARTRIDGE
PRE-CLEANER_
FIG. 17
MUFFLER
Inspect and'replace corroded muffler and spark attester
(if equipped) as it could create a fire hazard and/or dam-
age.
SPARK PLUGS
Replace spark plugs at the beginning of each mowing
season or after every 100 hours of operation, whichever
occurs first. Spark plug type and gap setting are shown in
"PRODUCT SPECIFICATIONS" section of this manual.
ENGINE OIL FILTER
Replace the engine oil filter every season or every other
oil change if the tractor is used more than 100 hours in
one year.
IN-LINE FUEL FILTER (See Fig. 18)
The fuel filter should be replaced once each season. Iffuel
filter becomes clogged, obstructing fuel flow to carburetor,
replacement is required.
With engine cool, remove filter and plug fuel line sec-
tions.
•Place new fuel filter in position in fuel line with arrow
pointing towards carburetor.
Be sure there are no fuel line leaks and clamps are
properly positioned.
•immediately wipe up any spilled gasoline.
,_:LAMP
CLAMP FILTER
FIG. 18
CLEANING
•Clean engine, battery, seat, finish, etc. of all foreign
matter.
•Keep finished surfaces and wheels free of all gasoline,
oil, etc.
•Protect painted surfaces with automotive type wax,
We do not recommend_using a garden hose or pressure
washer to clean your tractor unless the engine and trans-
mission are covered to keep water out. Water in engine or
transmission will shorten the useful lifeof your tractor. Use
compressed air or aleaf blower to remove grass, leaves
and trash from tractor and mower.
19

SERVICE AND ADJUSTMENTS
WARNING:TO AVOID SERIOUS INJURY, BEFORE PERFORMING ANY SERVICE OR ADJUSTMENTS:
Depress brake pedal fully and set parking brake.
Place attachment clutch in "DISENGAGED" position.
•Turn ignition key to "STOP" and remove key.
•Make sure the blades and all moving parts have completely stopped.
•Disconnect spark plug wire from spark plug and place wire where it cannot come in contact
with plug.
TRACTOR
TO REMOVE MOWER (See Fig. 19)
•Place attachment clutch in "DISENGAGED" position.
• If equipped, turn height adjustment knob to lowest
setting.
• Lower mower to its lowest position.
• Disengage belt tension rod from lock bracket.
&I
CAUTION: Rod is spring loaded. Have a I
tight grip on rod and release slowly, I
•Remove retainer spring holding anti-swaybar to chassis
bracket and disengage anti-swaybar from bracket.
•Removefourretainerspringsfromfmntplateassembly
and remove plate.
•Remove retainer springsfrom suspensionarms at deck
and disengage arms from deck.
•Raise attachment liftto its highest position.
Slide mower forward and remove belt from electric
clutch pulley.
•Slide mower out from under right side of tractor.
TO INSTALL MOWER
Be sure tractor is on level surface and mower suspension
arms are raised with attachment lift control. Engage park-
ing brake.
• Swing anti-sway bar to left side of mower deck.
• Slide mower under tractor with deflector shield to right
side of tractor.
IMPORTANT: CHECK BELT FOR PROPER ROUTING IN ALL
MOWER PULLEY GROOVES.
• If equipped, turn height adjustment knob counter-
clockwise until it stops.
• Lower mower linkage with attachment lift control.
• Be sure belt tension rod is in disengaged position.
• Install belt into electric clutch pulley groove.
• Place the suspension arms on outward pointing deck
pins. Retain with double loop retainer spring with loops
up as shown.
• Install front plate assembly to tractor suspension
brackets and retain with single loop retainer springs
as shown.
•Position front plate assembly between front mower
brackets. Raise deck and plate assembly to align holes
and insert flanged pins. Secure pins with double loop
ratainer springs betweenthe plateassembly and mower
brackets.
SUSPENSION
ARMS
BELT TENSION ROD ,;
(DISENGAGED POSITION) _.,.._, ,;,
CHASSIS
LOCK BRACKET
FRONT
MOWER
BRACKET
ELECTRIC
CLUTCH FRONT
PULLEY PLATE
ASSEMBLY
RETAINER
SPRING
RETAINER
SINGLE LOOP
RETAINER
SPRING
USE PLIERS FOR ANTI-SWAY
BAR
SUSPENSION ARMS DOUBLE
LOOP RETAINER SPRINGS
(Outward pointing deck pins)
SHIELD
RG. 19
20

SERVICE AND ADJUSTMENTS
NOTE: To assist in locating hole in flanged pin, the hole in
pin is inline with notch on head of pin. If necessary, move
mowerside-to-side to givespace between plate and mower
brackets.
IMPORTANT: CHECK BELT FOR PROPER ROUTING IN ALL
MOWER PULLEY GROOVES.
• Engage belt tension rod by pushing rod into locking
bracket.
SUSPENSION
UFT LINK
I& CAUTION: Belt tension rod is spring
loaded. Have a tight grip on rod and
engage slowly.
• Connect anti-sway bar to chassis bracket under left
footrest and retain with double loop retainer spring.
•If equipped, turn height adjustment knob clockwise to
remove slack from mower suspension.
•Raise deck to highest position.
TO LEVEL MOWER HOUSING
Adjust the mower while tractor is parked on level ground
or driveway. Make sure tires are properly inflated (See
=PRODUGT SPECIFICATIONS" section of this manual). If
tires are over or underinflated, you will not properly adjust
your mower.
SIDE-TO-SIDEADJUSTMENT (See Figs. 20 and 21)
•Raise mower to its highest position.
• Measure height from bottom edge of mower to ground
level at front corners of mower. Distance =A" on both
sides of mower should be the same.
• If adjustment is necessary, make adjustment on one
side of mower only.
• To raise one side of mower, tighten lift link adjustment
nut on that side.
• To lower one side of mower, loosen lift link adjustment
nut on that side.
NOTE: Each full turn of adjustment nutwill change mower
heightabout 3/16".
•Recheck measurements aftg_cadjusting.
_1Mandrel Dec_
BoTroM EDGE :re:*: Ti7droll. 114-2_(_1._0M EDGE
OF MOWERTO :,,,i_,wer SeconOFrMOWERTO
GROUND _GROUND
FIG. 20
FIG. 21
FRONT-TO-BACK ADJUSTMENT (See Figs. 22 and 23)
IMPORTANT= DECK MUST BE LEVEL SIDE-TO-SIDE. IFTHE
FOLLOWING FRONT-TO-BACK ADJ USTM ENT IS NECESSARY,
BE SURE TO ADJUST BOTH FRONT LINKS EQUALLY SO
MOWER WILL STAY LEVEL SIDE-TO-SIDE.
To obtain the best cutting results, the mower blades should
be adjusted so the front tip is approximately 1/8" to 1/2"
lower than the rear tip when the mower is in its highest
_osition.
_1) CAUTION: Blades are sharp. Protect
your hands with gloves and/or wrap
blade with heavy cloth.
Check adjustment on right sideof tractor.Position any blade
so the tip is pointing straight forward. Measure distance "B"
at front and rear tip of the blade.
•Before making any necessaryadjustments, checkthat
both front plate links are equal in length.
• If links are not equal in length, adjust one link to same
length as other link.
• To lower front of blade, loosen nut "C" on both front
links an equal number of turns.
NOTE: Each full turn of nut "C" will change distance."B"
by approximately 3/16".
• Whendistance=B°isll8"toll2"loweratfrontthanrear,
tighten nut "D" against trunnion on both front links.
•To raise front of blade, loosen nut =D"from trunnion on
both front links. Tighten nut =C"on both front links an
equal number of turns. The two front links must remain
equal in length.
• When distance"B" is 1/8" to 1/2" Iowerat frontthan rear,
tighten nut =D" against trunnion on both front links.
• Recheck side-to-side adjustment.
BLADE
FIG. 22
21

SERVICE AND ADJUSTMENTS
f
BOTH FRONT PLATE LINKS MUST BE
EQUAL IN LENGTH
NUT "D"_
FRONT PLATE !. ]"/
ASSEMBLY _
NUT"C"
_TRUNNION
FIG. 23
TO REPLACE MOWER DRIVE BELT
MOWER DRIVE BELT REMOVAL (See Fig. 24)
• Park tractor on a level surface. Engage parking
brake.
• Lower mower to its lowest position.
• Disengage belt tention rod from lock bracket.
,_ CAUTION: Rod is spring loaded. Have a
_1_ tight grip on rod and re ease s ow y,
•Remove screws from R.H. mandrel cover and remove
cover.
•Remove any dirt or grass clippings which may have
accumulated around mandrels and entire upper deck
surface.
•Disconnect R.H. suspension arm from raar deck bracket
by removing retainer spring.
•Roll belt over the top of R.H. mandrel pulley carefully.
•Remove belt from electric clutch pulley.
•Remove belt from idler pulleys.
•Check primary idler arm and two idlers to see that they
rotate freely.
•Be sure spring is securely hocked to primary idler arm
and spring arm.
MOWER DRIVE BELT INSTALLATION (See Fig. 24)
Install belt in both idlers.
Install new belt onto electric clutch pulley.
• Roll belt into upper groove of R.H. mandrel pulley care-
fully.
Carefully check belt routing making sure belt is in the
grooves correctly.
• Reconnect R.H. suspension arm to rear deck bracket
with retainer spring.
• Reassemble R.H. mandrel cover.
Engage belt tension rod by pushing rod into locking
bracket.
BELT TENSION
ROD(DISENGAGED
POSITION)
RH
SPRING
ARM
RH SUSPENSION
ARM PRIMARY
IDLER ARM
FIG. 24
22

SERVICE AND ADJUSTMENTS
TO REPLACE MOWER BLADE (SECONDARY)
DRIVE BELT (See Fig. 25)
Park the tractor on level surface. Engage parking brake.
Remove mower (See "TO REMOVE MOWER" in this
section of manual).
•Remove screws from R.H. and L.H. mandrel covers
and remove covers.
REMOVE MOWER DRIVE BELT
(Refer to "TO REMOVE MOWER DRIVE BELT" illustration
in this section of manual).
• Carefully roll belt over the top of R.H. mandrel pulley.
• Remove belt from idler pulleys.
• Check primary idlerarm and two idlers to see that they
rotate freely.
• Be sure spring is securely hooked to primary idler arm
and spring arm.
REMOVE MOWER BLADE (SECONDARY) DRIVE BELT
•Carefully roll belt off L.H. mandrel pulley.
Remove belt from center mandrel pulley, idler pulley,
and R.H. mandrel pulley.
•Remove any dirtorgrass which mayhave accumulated
around mandrels and entire upper deck surface.
• Check secondary idler arm and idlerpulleyto see that
they rotate freely.
• Be sure spring is hooked in secondary idler arm and
secondary spring arm.
INSTALL NEW MOWER BLADE (SECONDARY) DRIVE
BELT
•Install new belt in lower groove of R.H. mandrel pulley,
idler pulley, and center mandrel pulleyas shown.
•Carefully roll belt over LH. mandrel pulley. Make sure
belt is in all grooves properly.
REINSTALL MOWER DRIVE BELT
(Refer to "TO REMOVE MOWER DRIVE BELT" illustration
in this section of manual).
•Install belt into upper groove of R.H. mandrel pulley
and around both idlers. Pull belt to front of mower to
remove slack.
•Reinstall mandrel covers and securely tighten all
screws.
•Carefully check belt routing making sure belt is in a!l
grooves correctly.
•Reinstall mower totractor (See %O INSTALL MOWER"
in this section of manual).
SECONDARY
IDLER ARM SPRING
L.H.M_NDREL IDLER SECONDARY
PULLEY SPRING ARM
CENTER
R.H. MANDREL
FIG. 25
TO ADJUST ATTACHMENT CLUTCH
(See Fig. 26)
The electric clutch should provide years of service. The
clutch has a built-in brake that stops the pulley within 5
seconds. Eventually, the internal brake will wear which
may cause the mower blades to notengage, or, to notstop
as required. Adjustments should be made by your nearest
authorized service center/department.
•Make sure attachment clutch and ignition switches are
in "OFF" position.
Adjust the three nylon Iocknuts until space between
clutch plate and rotor measures .012" at all three slot
locations cut in side of brake plate.
NOTE: After installing a new electric clutch, run tractor at
full throttle and engage and disengage electric clutch 10
cycles to wear in clutch plate.
ROTOR
SLOT (3) CLUTCH PLATE .012"
I
.._
NYLONLOCKNUT(3) BRAKE PLATE
FIG. 26
23

SERVICE AND ADJUSTMENTS
TO CHECK AND ADJUST BRAKE
If tractor requires more than five (5) feet to stop at highest
speed in highest gear on a level, dry concrete or paved
surface, then brake must be checked and adjusted.
TO CHECK BRAKE
• Park tractor on a level, dry concrete or paved surface,
depress clutch/brake pedal all the way down and en-
gage parking brake.
• Disengage transmission by placing freewheel control
in "transmission disengaged" position. Pull freewheel
control out and into the slot and release so it is held in
the disengaged position.
The rear wheels must lock and skid when you try to manually
push the tractor forward. If the rear wheels rotate, the brake
needs to be adjusted or the pads need to be replaced.
TO ADJUST BRAKE/REPLACE PADS
Contact a qualified service center.
TO REPLACE MOTION DRIVE BELT
(See Fig, 27)
Park the tractor on level surface. Engage parking brake.
For ease of service there is a belt installation guide decal
on bottom of left footrest.
•Remove mower (See =TO REMOVE MOWER" in this
section of this manual.)
BELT REMOVAL -
•Create slack in belt by removing retainer spring from
drive belt tension handle.
• Remove belt from all idler pulleys, transaxle pulley and
then from engine pulley.
BELT INSTALLATION -
• Install new bolt around engine pulley first, then around
transaxle pulley and lastly into all the idler pulleys.
•Check to be sure belt is positioned correctly and is on
proper side of all bolt keepers.
•Engage the drive belt tension handle and replace the
retainer spring.
•Reinstall mower.
R rA,NE
SPRING
DRIVEBELT
TENSIONHANDLE
ENGINE PULLEY
BELT KEEPER TRANSAXLE
FLATIDLER
KEEPER V4DLER KEEPER
BELT
KEEPER
CLUTCHING CLUTCHING
IDLER FLATIDLER
TRANSAXLE MOTION CONTROL LEVER
NEUTRAL ADJUSTMENT (See Fig. 28)
The motioncontrol lever has been preset at the factory and
adjustment should not be necessary.
•Park tractor on level surface. Stop tractor by turning
ignition key to "OFF" position and engage parking
brake.
Loosen the adjustment bolt in front of the right rear
wheel,
•Move motion control lever to the neutral position (N).
•Tighten the adjustment bolt.
BOLT
FIG. 28
TRANSMISSION REMOVAL/REPLACEMENT
Should your transmission require removal for service or
replacement, it should be purged after reinstallation and
before operatingthe tractor.See "PURGETRANSMISSION"
in the Operation section of this manual.
TO ADJUST STEERING WHEEL ALIGN-
MENT
If steering wheel crossbars are not horizontal (left to right)
when wheels are positioned straight forward, remove steer-
ing wheel and reassemble per instructionsinthe Assembly
section of this manual.
FRONT WHEEL TOE-IN/CAMBER
The front wheel toe-in and camber are not adjustable on
your tractor. If damage has occurred to affect the front
wheel tee-in or camber, contact your nearest authorized
service center/department.
FIG. 27 24

SERVICE AND ADJUSTMENTS
TO REMOVE WHEEL FOR REPAIRS
FRONT WHEEL (See Fig. 29)
• Block up axle securely.
• Remove axle cover, retaining ring and washers to allow
wheel removal.
Repair tire and reassemble.
• Replace washers and snap retaining ring securely in
axle groove.
• Replace axle cover.
REAR WHEEL -
• Block rear axle securely.
• Remove five (5) hub bolts to allow wheel removal.
Repair tire and reassemble. Replace and tighten hub
bolts securely.
NOTE: To seal tire punctures and prevent flat tires due to
slow leaks, tire sealant may be purchased from your local
parts dealer. Tire sealant also prevents tire dry rot and
corrosion.
WASHERS
RETAINING
RING
AXLE
COVER
0O663
FIG. 29
TO START ENGINE WITH A WEAK BATTERY
(See Fig. 30)
WARNING: Lead-acid batteries geno !
erate explosive gases. Keep sparks,
flame and smoking materi_ls away from
batteries. Always wear ,-'tion
when around batteries. ]
If your battery is too weak to start the engine, =,_.... _ oe
recharged. (See "BATTERY" in me Maintenance section
of this manual).
If "jumper cables" are used for emergency starting, follow
this procedure:
IMPORTANT: YOUR TRACTOR IS EQUIPPEDWITH A 12 VOLT
SYSTEM. THE OTHER VEHICLE MUST ALSO BE A 12 VOLT
SYSTEM. DO NOT USEYOUR TRACTOR BATTERY TO START
OTHER VEHICLES.
TO ATTACH JUMPER CABLES -
Connect one end of the RED cable to the POSITIVE
(+) terminal of each battery(A-B), taking care not to
short against tractor chassis.
Connect one end of the BLACK cable to the NEGATIVE
(-) terminal (C) of fully charged battery.
• Connect the other end of the BLACK cable (D) to good
chassis ground, away from fuel tank and battery.
TO REMOVE CABLES, REVERSE ORDER -
• BLACK cable first from chassis and then from the fully
charged battery.
•RED cable last from both batteries.
WEAK OR DEAD FULLY CHARGED
BATTERY BATTERY
FIG. 30
REPLACING BA'n'ERY (See Fig. 31)
WARNING: Do not short battery ter-
minals byallowing a wrench or any other
object to contact both terminals at the
same time. Before connecting battery,
remove metal bracelets, wristwatch
bands, rings, etc.
Positive terminal must be connected
first to prevent sparking from accidental
grounding.
Lift hood to raised position.
• Remove terminal guard.
• Disconnect BLACK battery cable then RED battery
cable and carefully remove batterv from tractor.
old battery.
• Reinstall terminal guard.
• First connect RED battery cable to positive (+) battery
terminal with hex bolt and keps nut as shown. Tighten
securely.
• Connect BLACK grounding cable to negative (-) battery
terminal with remaining hex bolt and keps nut. Tighten
securely
• Close terminal access doors.
• Close hoed.
25

SERVICE AND ADJUSTMENTS
TERMINAL KEPS NUT
ACCESS
DOOR .. -,-..
i
HEX BOLT
POSITIVE
CABLE
TERMINAL
GUARD NEGATIVE
(SLACK)
CABLE
FIG. 31
TO REPLACE HEADLIGHT BULB
•Raise hood.
•Pull bulb holder out of the hole in the backside of the
grill.
• Replace bulb in holder and push bulb holder securely
back into the hole in the backside of the grill.
• Close hood.
INTERLOCKS AND RELAYS
Loose or damaged wiring may cause your tractor to run
poorly, stop running, or prevent it from starting.
• Check wiring. See electrical wiring diagram in the
Repair Parts section.
TO REPLACE FUSE
Replace with 30 amp automotive-type plug-in fuse. The
fuse holder is located behind the dash.
TO REMOVE HOOD AND GRILL ASSEMBLY
(See Fig. 32)
• Raise hood.
•Unsnap headlight wire connector.
Stand in frontof tractor. Grasp hoodat sides, tilttoward
engine and lift off of tractor.
• To replace, reverse above procedures.
HOOD
HEADLIGHT
WIRE
CONNECTOR
FIG. 32
26

SERVICE AND ADJUSTMENTS
ENGINE
TO ADJUST THROTTLE CONTROL CABLE
(See Fig. 33)
The throttle control has been preset at the factory and
adjustment should not be necessary. Check adjustment
as described below before loosening cable. If adjustment
is necessary, proceed as follows:
•With engine not running, move throttlecontrol lever to
fast position.
•Check that swivel is against stop. If it is not, loosen
cable clamp screw and pull cable back until swivel is
against stop.Tighten cable clamp screw securely.
TO ADJUST CHOKE CONTROL (See Fig. 34)
The choke control has been preset at the factory and ad-
justment should not be necessary. Check adjustment as
described below before loosening cable. If adjustment is
necessary, proceed as follows:
•With engine not running, move choke control (located
on dash panel) to full choke position.
Loosen knob and remove cover assembly from air
cleaner.
• Choke should be closed. If it is not, loosen casing clamp
screw and move choke cable until choke is completely
closed. Tighten casing clamp screw securely.
• Replace air cleaner cover assembly and tighten
knob.
TO ADJUST CARBURETOR
Your carburetor is not adjustable. If your engine does not
operate properly due to suspected carburetor problems,
take your tractor to an authorized service center for repair
and/or adjustment.
High speed stop is factory adjusted. Do not adjust - dam-
age may result.
IMPORTANT: NEVERTAMPERWITHTHE ENGINEGOVERNOR,
WHICH IS FACTORY SET FOR PROPER ENGINE SPEED.
OVERSPEEDING THE ENGINE ABOVE THE FACTORY HIGH
SPEED SE-FrlNG CAN BE DANGEROUS. IFYOUTHINKTHE
ENGINE-GOVERNED HIGH SPEED NEEDS ADJUSTING,
CONTACTYOUR NEAREST AUTHORIZED SEPV!_r- - =:NTER/
DEPARTMENT, WHICH HA? _-_"3 c'c':" "_
EXPERIENCE TO MAKE _ _"
SWIVEL CLAMP
SCREW
FIG. 33
FIG. 34
27

STORAGE
ENGINE
Immediately prepare your tractor for storage at the end
of the season or if the tractor will not be used for 30 days
or more.
AWARNING: Never store the tractor with
gasoline in the tank inside a building
where fumes may reach an open flame
or spark. Allow the engine to cool before
storing in any enclosure•
TRACTOR
Remove mower frem tractor forwinter storage. When mower
is to be stored fora period of time, clean itthoroughly, remove
all dirt, grease, leaves, etc. Store in a clean, dry area.
• Clean entire tractor (See "CLEANING" in the Mainte-
nance section of this manual).
• Inspect and replace belts, if necessary (See belt re-
placement instructions in the Service and Adjustments
section of this manual).
• Lubricate as shown in the Maintenance section of this
manual.
• Be sure that all nuts, bolts and screws are securely
fastened. Inspect moving parts for damage, breakage
and wear. Replace if necessary.
• Touch up all rusted or chipped paint surfaces; sand
lightly before painting.
BA'rrERY
•Fully charge the battery for storage.
•After a period of time in storage, battery may require
recharging.
•To help prevent corrosion and power leakage during
long periods of storage, battery cables should be dis-
connected and battery cleaned thoroughly (see "TO
CLEAN BATTERY AND TERMINALS" in the Mainte-
nance section of this manual).
After cleaning, leave cables disconnected and place
cables where they cannot come incontact with battery
terminals.
•If battery is removed from tractor for storage, do not
•store battery directly on concrete or damp surfaces.
FUEL SYSTEM
IMPORTANT:IT ISIMPORTANTTOPREVENTGUMDEPOSITS
FROM FORMING IN ESSENTIALFUELSYSTEM PARTSSUCH
AS CARBURETOR, FUEL FILTER, FUEL HOSE, OR TANK
DURING STORAGE. ALSO, EXPERIENCE INDICATESTHAT
ALCOHOL BLENDED FUELS(CALLEDGASOHOL OR USING
ETHANOLOR METHANOL) CANATTRACTMOISTUREWHICH
LEADSTOSEPARATIONANDFORMATIONOFACIDSDURING
STORAGE. ACIDIC GAS CAN DAMAGETHE FUEL SYSTEM
OF AN ENGINE WHILE IN STORAGE.
Drain the fuel tank.
•Start the engine and let it run until the fuel lines and
carburetor are empty.
•Never use engine or carburetorcleaner products in the
fuel tank or permanent damage may occur.
•Use fresh fuel next season.
NOTE: Fuel stabilizer is an acceptable alternative in mini-
mizing the formation of fuel gum deposits during storage.
Add stabilizer to gasoline infuel tank or storage container.
Always follow the mix ratio found on stabilizer container.
Run engine at least 10 minutes after adding stabilizer to
allow the stabilizer to reach the carburetor. Do not drain
the gas tank and carburetor if using fuel stabilizer.
ENGINE OIL
Drain oil (with engine warm) and replace with clean en-
gine oil. (See "ENGINE" in the Maintenance section of
this manual).
CYLINDER(S)
•Remove spark plug(s).
•Pour one ounce of oil through spark plug hole(s) into
cylinder(s).
•Turn ignition keyto"START" position fora few seconds
to distribute oil.
•Replace with new spark plug(s).
OTHER
•Do not store gasoline from one season to another.
•Replace your gasoline can if your can starts to rust.
Rust and/or dirt in your gasoline will cause problems.
•If possible, store your tractor indoors and cover it to
give protection from dust and dirt.
•Cover your tractor with a suitable protective cover that
does not retain moisture. Do not use plastic. Plastic
cannot breathe which allows condensation to formand
will cause your tractor to rust.
IMPORTANT: NEVERCOVERTRACTORWHILEENGINE AND
EXHAUST AREAS ARE STILLWARM.
28

TROUBLESHOOTING POINTS
PROBLEM
Will not start
Hardto start
Engine will not turn over
Engine clicks but will not
start
Loss of power
Excessive vibration
CAUSE
1. Out of fuel.
2. Engine not =CHOKED" properly.
3. Engine flooded.
4. Bad spark plug.
5. Dirty air filter.
6. Dirty fuel tilter.
7. Water in fuel.
8. Looseor damaged wiring,
9. Carburetor out of adjustment.
10. Enginevalves out of adjustment.
11. Extreme cold conditions.
1. Dirty air filter.
2. Bad spark plug.
3. Weak or dead battery.
4. Dirty fuel tilter.
5. Stale or dirty fuel.
6. Loose or damaged wiring.
7. Carburetor out of adjustment.
8. Engine valvesout of adjustment.
1. Brake pedal not depressed.
2. Attachment clutch is engaged.
3. Weak or dead battery.
4. Blown fuse.
5. Corroded battery terminals.
6. Loose or damaged wiring.
7. Faulty ignition switch.
8. Faulty solenoid or starter.
9. Faulty operator presence switch(as).
1. Weak or dead battery. ,
2. Corrodedbattery terminals.
3. Looseor damagedwidng.
4. Faultysolenoidorstarter.
t. Cutting too much grass/too fast.
2. Throttle in =CHOKE" position.
3, Build-up of grass, leaves and trash under mower.
4. Dirty air filter.
5. Low oil level/dirty oil.
6. Faulty spark plug.
7. Dirty fuel filter.
8. Stale or dirty fuel.
9. We+.... %@!.
10. Sp_,; ' ::,_se.
11. Dirty engine _screen/fins.
!2 Didy/clogged muffler.
13. Loose or damaged wiring.
14. Carburetor out of adjustment.
15. Engine valves out of adjustment.
1. Worn, bent or loose blade.
2. Rent blade mandrel.
3. Loose/damaged part(s).
CORRECTION
1. Fill fuel tank.
2. See "TO START ENGINE" in Operation section.
3. Wait several minutes before attempting to start.
4. Replace spark plug.
5. Clean/replace air filter.
6. Replace fuel filter.
7. Drain fuel tank and carburetor, refill tank with fresh
gasoline and replace fuel filter.
8. Check all widng.
9. See "To Adjust Carburetor" in Service Adjustments
section.
10. Contact an authorized service center/department.
11. See "To start engine" in operafion section
1. Clean/replece air filter.
2. Replace spark plug.
3. Recharge or replace battery.
4. Replace fuel tilter.
5. Drain fuel tank and refill with fresh gasoline.
6. Check all wiring.
7. See "To Adjust Carburetor" in Service Adjustments
seciton.
8. Contact an authorized service center/department.
1. Depress brake pedal.
2. Disengage attachment clutch.
3. Recharge or replace battery
4. Replace fuse.
5. Clean battery terminals.
6. Check all wiring.
7. Check/replace ignition switch.
8. Check/replece solenoid or starter.
9. Contact an authorized service center/depar_ent.
1. Recharge or replace battery.
2. Clean battery terminals.
3. Check all wiring.
4. Check/replase solenoid or starter.
1. Set in "Higher Cut"position/reduce speed.
2. Adjust thretUe control.
3. Clean underside of mower housing.
4. Clean/replace air filter.
5. Check oil level/change oil.
6. Clean and regap or change spark plug.
7. Replace fuel filter.
8. Drain fuel tank and refill with fresh gasoline.
9. Drain fuel tank and carburetor, refilltank with fresh
gasoline and replace fuel filter.
10. Connect and tighten spark plug wire.
11. Clean engine air screen/tins.
1_. Clean/replace muffler.
14. See'fc _ ,!.._. :. ............ Z._ "-_ ^'_!,,_tments
section.
15. Contact an authorized service center/department.
1. Replace blade. Tighten blade bolt.
2. Replace blade mandrel,
3. Tighten loose part(s). Replace damaged parts.
29

TROUBLESHOOTING POINTS
PROBLEM CAUSE CORRECTION
Engine continues to run
when operator leaves seat
with attachment clutch
engaged
Poorcut - uneven
Mower blades will net
rotate
Poor grass discharge
Ileedllght(e) not working
(if so equipped)
Battery will not charge
Loss of drive
Engine "bad(fires"
when turning engine
=OFF"
1. Faulty operator-safety presence control system.
1. Worn, bent or loose blade.
2. Mower deck not level.
3. Buildup of grass, leaves, and trash under mower.
4. Bent blade mandrel.
5. Clogged mower deck vent holes from buildup of
grass, leaves, and trash around mandrels.
1. Obstruction in clutch mechanism.
2. Worn/damaged mower drive belt,
3. Frozen idler polley.
4. Frozen blade mandrel,
1. Engine speed too slow.
2. Travel speed ton fast.
3. Wet grass.
4. Mower deck not level.
5. Low/uneven tire air pressure.
6. Wore, bent or loose blade.
7. Buildup of grass, leaves and trash under mower.
8. Mower drive belt worn.
9. Blades improperly installed,
10. Improper blades used.
11. Clogged mower deck vent holes from buildup of
grass, leaves, and trash around mandrels.
1. Switch is "OFF".
2. Bulb(s) or lamp(s) burned Out.
3. Faulty light switch. .
4. Loose or damaged wiring.
5. Blown fuse.
1. Badbattery cell(s).
2. Poorcableconnections.
3. Faultyregulator(if so equipped).
4. Faultyalternator.
1. Freewheelcontrol in "disengaged"position.
2. Motiondrive beltworn, damaged, or broken.
3. Airtrappedin transmissionduringshipment
orservicing.
Engine throttle control not set at"SLOW _
position for 30 seconds beforestnbn!_,__nC;,_e
1. Check wiring, switches and connections. If not
corrected, contact an authohzed service center/
department.
1. Replace blade. Tighten blade bolt.
2. Level mower deck.
3. Clean underside of mower housing.
4. Replace blade mandrel.
5. Clean around mandrels to open vent holes.
1. Remove obstruction.
2. Replace mower drive belt.
3. Replace idler pulley.
4. Replace blade mandrel.
1. Place throttle control in =FAST' position.
2. Shift to slower speed.
3. Allow grass to dry before mowing.
4. Level mower deck.
5. Check tires for proper air pressure.
6. Replace/sharpen blade. Tighten blade bolt.
7. Clean underside of mower housing.
8. Replace mower drive belt.
g. Reinstall blades sharp edge down.
10. Replace with blades listed in this manual.
11. Clean around mandrels to open vent holes.
1. Turn switch "ON".
2, Replace bulb(s) or lamp(s).
3. Check/raplace light switch.
4. Check wiring and connections.
5. Replace fuse.
1. Replace battery.
2. Check/clean all connec_ons.
3, Replace regulator,
4, Replace aitamator,
1. Place freewheel control in "engaged" position.
2. Replace motion ddve belt.
3. Purge transmission.
Move throttle control to "SLOW" position and allow
to idle for 30 seconds before stopping engine.
30

TRACTOR -MODEL NUMBER PDGT26H48B; PRODUCT NUMBER 954 56 95-30
SCHEMATIC
_'i" CH_ RGING SYSTEM
16 AMp OC @ 3600 RPM
_r eye project.
IGNITION SWITCH
POSI_ON CIRCUIT "MAKE" RELAY
OFF M+G+A1 NONE
DN + LIGHTS B+A1 L+A2
ON B + A1 NONE
START B+ S + AI NONE
WIRING INSULATED CLIPS
NOTE: IF WIRING INSULATED
CLIPS WERE REMOVED FOR
SERVICING OF UNIT, THEY
SHOULD BE REPLACED TO
PROPERLY SECURE YOUR
WIRING.
RED
A J
11r
REGULATOR _"
28 VOLTS AC @ 3600 RPM (REGULATOR DISCONNECTED)
BROW N i 8LAC K
Ir]Sla][ l]e_/,.';)EE_
PTO SWITCH HEADLIGHTS
POSmON CIRCUIT
OFF C+G,B+H
ON C+F,B+E,A+D
REMOVABLE
CONNECTIONS
GFC
NON-REMOVABLE
CONNECTIONS H B
DA
7
31

REPAIR PARTS
TRACTOR -MODEL NUMBER PDGT26H48B, PRODUCT NUMBER 954 56 95-30
ELECTRICAL
41
\
8
81
29
I
J
33
3O
I
I
I
I
32

REPAIR PARTS
TRACTOR - MODEL NUMBER PDGT26H48B, PRODUCT NUMBER 954 56 95-30
ELECTRICAL
KEY PART
NO. NO. DESCRIPTION
1 144927 Battery
2 74760412 Bolt Hex Head 1/4-20 x 3/4
87603J Tray, Battery
10 145211 Bolt Btr Frt 1/4-20 x 7.5 zinc
11 150109 Holdown Battery Front Mount
12 145769 Nut Push Nylon 1/4"
16 176138 Switch Interlock Push-In
21 175688 Harness Headlight w/Bulbs
22 4152J Bulb Light
24 185464 Cable, Battery
25 146149 Cable, Battery
26 108824X Fuse
27 73510400 Nut Keps Hex 1/4-20 Unc
28 170697 Cable, Ground
29 160784 Switch, Plunger
3() 175566 Switch, Ign
33 140401 Key
40 170238 Harness, Ignition
41 17720408 Screw 1/4-20 x 1/2
42 131563 Cover, Terminal Red
43 178861 Solenoid
45 122822X Ammeter
46 169635 Hourmeter Snap-In
50 174653 Switch, PTO
79 175242 Socket, Light Bulb
81 109748X Relay Asm.
89 169639 Bracket Snap-In
NOTE: All component dimensions given in U.S.
inches 1 inch = 25.4 mm
33

REPAIR PARTS "
TRACTOR -MODEL NUMBER PDGT26H48B, PRODUCT NUMBER 954 56 95-30
CHASSIS AND ENCLOSURES
21
47
58
28
161
;11 ='_l
i
!_2 o
19
158
37
86
17
138
56
99
34

REPAIR PARTS .........
TRACTOR -MODEL NUMBER PDGT26H48B, PRODUCT NUMBER 954 56 95-30
CHASSIS AND ENCLOSURES
KEY PART KEY PART
NO. NO. DESCRIPTION NO. NO. DESCRIPTION
1 180375
2 175282
5 163976X428
6157882
7 17720408
8 184668
14 175260X428
16 121794X
17 17060612
18 175289X428
19 19131312
20 74780616
21 73800600
24 179717X428
28 179716X428
30 145052
31 161419
32 161327
33 161326
34 177018
35 19111116
36 17060512
37 178510X428
39 175278
43 136939
44 136940
45 176018
47 17490608
50 175476
56 176016
58 183569
Rail, Frame RH
Drawbar, Gt
Dash
Dash Asm., Lower
Screw, Thd Cut 1/4-20 x 1/2
Support, Battery
Hood Asm., Pnt
Cover, Access
Screw, 3/8-16 x 3/4
Grille
Washer 13/32 x 13/16 x 12 Ga.
Bolt, Fin Hex 3/8-16 x 1
Nut, Lock Hex w/Ins. 3/8-16 Unc
Footrest, RH
Footrest, LH
Saddle, Hydro 1995
Bracket, Supt 1-pc VGT Steering
Bracket, Pivot Chassis LH
Bracket, Pivot Chassis RH
Plate Asm. Engine Chassis
Washer 11/32 x 11/16 x 16 Ga.
Screw 5/16-18 x 3/4
Fender, Pnt.
Bracket, Axle Front
Bracket, Spnsn Front Lh
Bracket, Spnsn Front Rh
Bracket Asm., Susp Chassis Rh
ScrewThdrol 3/8-16 x I/2TYT
Bracket, Chassis Front
Bracket Asm., Susp Chassis Lh
Bracket Asm., Fender
68 17490508 Screw, Thd 5/16-18 x 1/2
86 74780716 Bolt, Fin Hex 7/16-14 Unc x 1
91 180374 Rail, Frame Lh
99 177143 Rod By Pass
122 161464 Screw Hex Wshd 8-18 x 7/8
130 171875 Screw HWHD Hi-Lo #13-16 x 3/4
138 179125X428 CupholderYTGT
139 171873 Bolt Shoulder 5/16-18 TT
140 163806 Magnet YTGT
141 163805 Stricker Plate YTGT
142 161897 Bracket Dash RH
143 169847X428 Skirt Grill RH
144 161900 Bracket Dash LH
146 169848X428 Skirt Grill LH
148 164655 Extrusion Bumper
150 175352 Duct Heat Hood
152 177956 Shield Browning
153 179761 Light Box Asm. w/Lens
156 17000512 Screw 5/16-18 x 3/4
157 161840 Lens, Bar
158 17670608 ScrewThdrol 3/8-16 x 1/2
159 17000612 Screw 3/8-16 x 3/4
161 179612X428 Console Fuel Window
162 142432 Screw 1/4-1/2
165 183554 Bracket Support Tank
166 73680700 Nut, Crownlock 7/16-14Unc
167 184672 Bushing
NOTE: All component dimensions given in U.S. inches
1 inch = 25.4 mm
35

REPAIR PARTS ....
TRACTOR -MODEL NUMBER PDGT26H48B, PRODUCT NUMBER 954 56 95-30
GROUND DRIVE
9
69
drive_6-vgt
127 120
122,
42
6
38 37 46
128
\
06
07
108
112
36

REPAIR PARTS
TRACTOR "-MODEL NUMBER PDGT26H48B, PRODUCT NUMBER 954 56 95-30
GROUND DRIVE
KEY PART KEY
NO. NO. DESCRIPTION NO.
1....... Transaxle Hydro Gear 77 74780716
331-3000 (Order Parts From Trans- 89 73680700
axle Manufacturer) 94 133835
2 7070E Key Sq. 1/4 x 2.5 98 141004
3 7563R Washer Thrust 106 142917
6 76020412 Pin, Cotter 107 154739
7 140507 Wheel, Hub Assembly 108 142918
9 140080 Bolt, Hub 111 156240
20 73940800 Nut 112 178558
22 180235 Lever Asm Shift 114 73800500
23 140845 Knob 117 73900600
29 176600 Brake, Rod 120 17060612
33 12000053 Ring E121 175611
34 71673 Cap, Parking Brake 122 72010520
35 137648 Rod, Parking Brake 123 183254
36 149412 Spring, Drive Ground 124 165492
37 121749X Washer 25132 x 1-1/4x 16 Ga. 125 166880
38 150035 Nyliner 126 166002
39 74321016 Screw, Fin. #10-24 x 1 127 1773_62
40 178575 Actuator, Interlock Switch 128 176624
41 73931000 Nut Centerlock 10-24 Unc 129 179473
42 123533X Cover, Pedal 130" 19131016
46 145170 Retainer, Spring 131 76020312
48 72110614 Bolt Carr. Shoulder 3/8-16 x 1-3/4 132 175467
Gr. 5 133 175468
50 131494 Pulley, Idler, Flat 135 177364
52 127783 Pulley, Idler, Grooved 137 1685H
55 105706X Bearing, Idler 138 1370H
56 161597 V-Belt 142 175469
58 74760724 Bolt Fin HexT/16-14 x 1-1/2 143 17060512
61 143995 Pulley, Transaxle 145 163168
64 176601 Shall, Brake Pedal 146 140462
65 179613 Bolt, Shoulder 147 141322
68 5142H Pin, Roll 151 74760514
69 123800X Washer 152 178705
70 179121X428 Console Shift 153 4497H
73 74490548 Bolt Hex Flghd 5/16-18 x 3 Gr5
74 142432 Screw Hex Wsh. Hi-Lo 1/4-1/2
PART
NO. DESCRIPTION
Bolt Fin Hex 7/16-14 x 1
Nut Crownlock 7/16-14 Unc
Fastener Christmas Tree
Bracket Shift
Cap Asm Vent Hydro Gear
Line Fuel Hydro 15" VGT
O-Ring Asm Hydro Gear
Spacer Shift Lever VGTH
Washer Nylon High Temp
Nut Lock Hex W/Ins 5/16-18 Unc
Nut, Lock Fig. 3/8-16
Screw 3/8-16 x .75
Bracket Strap Torque
Bolt 5/16-18 x 2.50
Rod Shift
Bolt Shoulder 5/16-18 x .561
Screw 5/16-18 x 5/8
Washer Srrtd 5/16 ID x 1.0 x .125
Link Control Clutch
Spring Drive GRND
Bracket Asrn Idler Tensioning
Washer 13/32 x 5/8 x 16 Ga.
Pin Cotter 3/32 x 3/4
Bracket Mtg Hydro 3500 LH VGT
Bracket Mtg Hydro 3500 RH VGT
Link Asm Control Hydro 3500
Nut Lock 5/16-18 NC Thd.
Washer Thrust 5/8 x 1.10 x 1/32
Strap Torque HG-3500
Screw 5/16-18 x 3/4
Washer Axle Flange HG-3000
Fan 7" Hydro
Washer
Bolt Fin Hex 5/16-18 x 7/3
Bolt Hex 5/16-18 x 1
Spring Retainer
NOTE: All component dimensions given in U.S. inches
1inch = 25.4 mm
37

REPAIR PARTS
TRACTOR -MODEL NUMBER PDGT26H48B, PRODUCT NUMBER 954 56 95-30
STEERING ASSEMBLY
23
,.. _3
34
32
6
27
42
22
.31
14
\
\
19
\
'\
'\ j
18 '_"'-,_st eedng_10-_t
28 47 \
15
1313
38

REPAIR PARTS
TRACTOR -MODEL NUMBER PDGT26H48B, PRODUCT NUMBER 954 56 95-30
STEERING ASSEMBLY
KEY PART
NO. NO. DESCRIPTION
1 180656
2178557
3 6855M
4 161849
5 161848
6 6266H
7121748X
8 12000029
9 121232X
10 74781044
11 136518
12 73901000
13 121749X
14 10040600
15 7810H
16 145103
18 175572
19 156011
20 163887X428
21 159945
22 155105
23 152927
25 74780616
26 180657
27 3366R
28 17000612
29 104239X
31 138136
32 19111610
33 10040500
34 74780512
35 138059
36 186799
45 19132_;_
46 19131610
47 179471
48 17060612
49 175820
50 73900600
Wheel, Steering
Axle Asm., Front
Fitting, Grease
Spindle Asm, LH
Spindle Asm., RH
Bearing, Race Thrust Harden
Washer 25/32 x 1-5/8 x 16 Ga.
Ring, Klip #T5304-75
Cap, Spindle
Bolt, Fin Hex 5/8-11 x 2-3/4
Spacer, Brg. Axle Front
Nut, Lock Flange 5/8-11 Unc
Washer 25/32 x 1-1/4 x 16 Ga.
Washer, Lock Hvy Hlcl Spr 3/8
Nut Lock Center 3/8-24 Unf
Shaft Asm., Steering
Draglink, Ball Joint Solid Vgt
Support Asm., Steering Vgt
Boot Steering Stealth
Adapter, Wheel Steering
Bushing, Strg.
Screw
Bolt, Fin Hex 3/8-16 x 1 Gr. 5
Insert Cap Strg WH
Bearing, Col. Strg.
Screw Hexwsh thdr 3/8-16 x 3/4
Bearing, Flange
Bushing, Nyliner Snap
Washer 11/32 x 1 x 10 Ga.
Washer, Lock Hvy HIcl Spr 5/16
Bolt, Hex Hd 5/16-18 x 3/4
Gear, Sector Steering
Tie Rod
-_,:.ket Switch Interlock Vgt 97
,Thdrol 5/16-18 x 1/2 Tyt
"'_ '-!/2 x11Ga.
bracket As_-. ,_;: ._hunary
Screw 3/8-16 x .75
Pulley Idler Flat
Nut Lock Fig. 3/8-16 Uric
NOTE: All component dimensions given in U.S. inches
1 inch =25.4 mm
39

REPAIR PARTS
TRACTOR -MODEL NUMBER PDGT26H48B, PRODUCT NUMBER 954 56 95-30
ENGINE
18
15
37
26 "37 39
KEY PART
NO. NO. DESCRIPTION
84
B4 _/74
I
81
KEY
NO.
29
/
!
ISPARK ARRESTER KIT I
engine-intek-FLS_l 0-vgt
PART
NO. DESCRIPTION
2 149723
8 121361X
9 177748
10 175287
11 179335
12 143996
15 179115
18 179124X428
20 175437X428
21 171875
22 175440X428
24 11050600
25 73920600
26 3645J
27 139277
28 7834R
29 137180
31 145006
Engine Briggs, Model No. 446777
(Older p_fts fz'om engine manuf.)
Muffler Side
Pulley V-Idler
Keeper Asm. Belt Engine VGT
Bushing
Clutch Electric
Pulley Engine VGT Elect Clutch
Tank Fuel Rear 5.0
Cap Asm. Fuel
Control Throttle
Screw HwHd Hi-Lo #13-16 x 3/4
Control Choke
Washer Ext Tooth 3/8
Nut Keps 3/8-24 Unf
Bushing
Stem Tank Fuel
Fuel Line
Spark Arrester Kit
Clip 4O
37 123487X
39 17490636
40 17490664
41 126197X
42 10040700
43 179953
45 73510400
47 175288
62 146629
69 165391
70 176069
71 176070
74 162295
79 183906
81 148456
82 181854
83 171877
84 17060624
Clamp Hose
Screw'lF 3/8-16 x 2-1/4 Unc
Screw'lT 3/8-16 x 4 Unc
Washer 1-1/20D x 15/32 ID x .250
Washer Lock 7/16
Bolt Hex 7/16-20 x 3.75 Gr. 5
Nut Keps Hex 1/4-20
Spacer
Shield Heat Muffler CV-Intek
Gasket
Tube Exhaust LH
Tube Exhaust RH
Elbow Street Brass
Screw Socket Head 5/16-18 x 1
Tube Drain Oil Easy
Plug Oil Drain Easy
Bolt 5/16-18 Unc x 1-3/4 W/Sems
Screw Thdrol 3/8-16 x 1-1/2
NOTE:' All component dimensions given in U.S. inches
.1 inch = 25.4 mm

REPAIR PARTS
TRACTOR -MODEL NUMBER PDGT26H48B, PRODUCT NUMBER 954 56 95-30
LIFT ASSEMBLY
40 43 35 73
31 8
t0 10 /
26
7O 23
7O
KEY
NO.
1
2
3
4
5
6
7
8
10
11
12
23
24
26
29
30
31
32
33
PART
NO.
121006X
180045
159189
12000022
19292016
71110624
175830
175831X421
183894
175375
163552
4939M
73350800
73680800
150233
110807X
19131016
137150
76020308
76 °26
4 78
2_
II
KEY PART
NO. NO. DESCRIPTION
ROO ,'-_&li;., _-_vel
Shaft Asm., Lift Vgt
Lever Asm., L!t _'
E-Ring Truarc _' :-87
Washer 29/32 x 1-1/4 x 16 Ga.
Bolt, Fin Hex 3/8-16 x 1-1/2
Grip, Handle
Button, Plunger
Spring 0.62 OD x 2.125
Link Lift
Retainer, Spring
Retainer, Spring
Nut, Jam Hex 1/2-13 Unc
Nut, Crownlock 1/2-13 Unc
Trunnion Inf. Height
Nut, Special
Washer 13/32 x 5/8 x 16 Ga.
Spring, Compression Inf Hgt
Pin, Cotter 3/32 x 1/2
41
34 !371_7
35 138057
38 155097
39 123935X
40 17060516
41 175994
42 19112410
43 123934X
70 145212
72 110452X
73 73350600
74 175802
75 175805
76 175560
77 176205
78 175689
79 175378
R_ _,'_iL_ff
Knob, Int 3/6-16 Unc
Pointer, Height Indicator
Plug, Hole
Screw 5/16-18 x 3/4
Nut, Lift Link 7/16-20
Washer 11/32 x 1-1/2 x 10 Ga.
Scale, Indicator Height
Nut, Hexflange Lock
Nut, Push Phos & Oil
Nut Hex Jam 3/8-16 Unc
Arm Susp. Rear RH
Plate Asm Susp. Front
Pin Flange
Trunnion Susp. Arm
Trunnion Susp. Front
Arm Susp. Rear LH
NOTE: All component dimensions given in U.S. inches
1 inch = 25.4 mm

REPAIR PARTS
TRACTOR -MODEL NUMBER PDGT26H48B, PRODUCT NUMBER 954 56 95-30
'SEAT ASSEMBLY
_KEY
NO,
1
2
4
5
,6
7
8
10
12
13
14
75
PART
NO.
171684
140551
127018X
145006
73800600
124181X
171877
182493
121246X
121248X
72050412
121249X
DESCRIPTION
Seat
Bracket, Pivot Seat
Bolt, Shoulder 5/16-18 x .62
Clip, Push-In Hinged
Nut, Crownlock 3/8-16
Spring, Seat Cprsn.
Bolt 5/16-18 UNC x 3/4 w/Sems
Pan, Seat
Bracket, Mounting Switch
Bushing, Snap
Bolt, Carriage 1/4-20 x 1-1/2
Spacer, Split
seatS-vgt
42
KEY PART
NO. NO. DESCRIPTION
16 123740X
17 123976X
18 19171912
19 166369
2O 124238X
21 171852
37 73800500
38 19131610
39 71110616
Spring, Cprsn.
Nut, Lock 1/4 Lg. Fig. Gr. 5
Washer 17/32 x 1-3/16 x 12 Ga.
Knob, Seat
Cap, Spring Seat BIk
Bolt 5/16-18 Unc-2A
Nut, Crownlock 5/16-18
Washer Flat 13/32 x 1 x 10 Ga.
Bolt 3/8-16 x 1
NOTE:. All component dimensions given in U.S. inches
1 inch = 25.4 mm

REPAIR PARTS
TRACTOR -MODEL NUMBER PDGT26H48B, PRODUCT NUMBER 954 56 95-30
DECALS
915
355\410
7
29
2
2
14
6
...... , 17
KEY PART KEY
NO. NO. DESCRIPTION NO,
1164097 Decal, Dash 13
2 184858 Decal, Engine 14
3 176272 Decal, Hood, RH 15
4 176273 Decal, Hood, LH 17
5 185539 Decal, Hood Sides 19
6 170563 Decal, Warning 23
7 166960 Decal, Bypass 29
8 178502 Decal, Deck Caution - -
9 172740 Decal - -
10 157140 Decal, Danger - -
11 181253 Ft. Rest - -
PART
NO,
185443
175291
172743
140837
145005
106202X
176651
1"77769X428
179768X428
186714
186715
DESCRIPTION
Decal, Battery
Decal, V-Belt Schematic
Decal, Ins. Whl. Strg.
De(_al, Saddle Brake Parking
Decal, Battery
Reflector, Taillight
Decal, Fender Auto Trans
Pad Footrest RH
Pad Footrest LH
Manual, Owner's (English)
Manual, Owner's (French)
WHEELS & TIRES KEY
NO.
3
4
7 10
5
PART
159192
2 65139
3 106228X421
48134H
'F 161024
278H
7 9040H
8 104757X421
9 170453
10 7154J
11 106277X421
12 6856M
--144334
DESCRIPTION
Cap, Valve, Tire
Stem, Valve
Rim Assembly, Front
Tube, Front (Service Item Only)
Tire, Front
Fitting, Grease (Front Wheel nly)
Bearing, Flange (Front Wheel Only)
Cap, Axle (Front Wheel Only)
Tire, Rear
Tube, Rear (Service Item Only)
Rim Assembly, Rear
Fitting, Grease
Sealant, Tire (10 oz.Tube)
NOTE: All component dimensions given in U.S. inches
1 inch = 25.4 mm
43

REPAIR PARTS
•+TRACTOR -MODEL NUMBER PDGT26H48B, PRODUCT NUMBER 954 56 95-30
MOWER DECK
46 132 95
112
i
5
121
33
_30
114
21
110 '1
I,!
46
45
I I
47
mower_dec_.4.8prem_2
44

REPAIR PARTS
TRACTOR ;MODEL NUMBER PDGT26H48B, PRODUCT NUMBER954 56 95-30
MOWER DECK
KEY PART KEY PART
NO. NO. DESCRIPTION NO. NO. DESCRIPTION
1
3
5
6
8
11
13
14
15
16
17
18
19
20
21
24
25
26
27
28
29
30
31
32
33
36
37
39
42
43
45
46
47
48
180358X421
178915
4939M
178024
174365
173921
180054
174360
174358
110485X
174493
72110610
72140505
132827
174378
73680500
105304X
178102
110452X
180655X428
19111016
131491
173984
129963
177865
178342
19131316
177968
174375
122052X
_74373
180806
137729
180808
174368
Deck Weldment Mower 48 49 73680600
Bracket Asm., Sway Bar 50 72110612
Retainer Spring 52 175820
Sway Bar Deck 56 155986
Bolt 7/16 Asm. Blade 57 156941
(The following blades are available) 91 180535
Blade, 48" Mulching 94 176066
(For mulching mowers only) 95 180534
Blade, 48" Hi-lift 97 178515
(For bagging and discharging) 98 179479
Shaft Asm. w/Lower Bearing 99 184058
Mandrel Asm. 100 72110616
Bearing, Ball, Mandrel 110 175016
Stripper Mandrel Deck 112 174387
Bolt RDHD Sq Neck 3/8-16 x 1.25 113 72110506
Bolt, Carriage 5/16-18 x 5/8 114 174384
Bolt, Hex Hd, Shoulder 5/16-18 115 174609
Baffle, Vortex Mower 116 184219
Nut, Crownlock 5/16-18 Unc 117 174873
Cap, Sleeve 118 73930600
Spring, Torsion 119. 19121414
Nut, Push 121 174371
Deflector Shield 122 174606
Washer 11/32x5/8x16Ga. 126 174372
Rod, Hinge 130 17000616
Screw, Thdroll Washer Head 132 17000612
Washer, Spacer Mower Vented 182 179127
Pulley, Mandrel 183 163552
Nut, Fig.Top Lock Cntr. 9/16 184 173979
Washer 13/32 x 13/16 x 16 Ga. - - 174356
Pulley, Idler, Flat
Pulley, Idler, Driven -- 180939
Spacer, Retainer
Arm, Idler Secondary
Cover, Mandrel Deck
Screw, Thdroll. 1/4-20 x 5/8
V-Belt, Mower, Secondary
V-Belt, Mower, Primary
Nut, Crownlock 3/8-16 Unc
Bolt, Carr. 3/8-16 x 1-1/2 Gr. 5
Pulley Idler Flat
Bar Pnt Adj.
Pin Head Rivet
Bracket Asm N Roller RH
Roller Nose 48"
Bracket Asm N Roller LH
Washer Hardened
Spring Primary Drive
Pulley Idler"V"
Bolt RDHD Sqnk 3/8-16 Unc x 2
Arm Spring Secondary
Link Tension Relief Lever
Bolt Carr. 5/16-18 x 3/4
Tension Asm. Relief Lever
Arm Spring Tension Relief
Bolt, Shoulder
Gauge Wheel
Nut, Centerlock 3/8-16 Unc
Washer 3/8 x 7/8 x 14 Ga.
Spring Secondary Drive
Bushing Pivot Tension Relief
Arm, Idler, Primary Deck
Screw 3/8-16 x 1.0
Screw 3/8-16 x .75
Red Roller Nose
Retainer Spring
Keeper Belt Idler
Mandrel Asm. Service
(Includes Key Nos. 13-15 and 33)
Replacement Mower, Complete
(Std. Deck - Order separately nose
roller components key nos. 91, 94,
95, 132, 182, and 183)
NOTE: All component dimensions given in U.S. inches
1 inch = 25.4 mm
45

LIMITED WARRANTY
The Manufacturerwarrantsto the originalconsumerpurchaserthat this product as manufacturedisfree from defectsinmateri-
als andworkmanship.For a periodoftwo (2) years from date of purchaseby the originalconsumerpurchaser,we wiltrepairor
replace,at our option,withoutchargefor partsor laborincurredinreplacingparts, any part whichwe find to be defectivedue
to materialsorworkmanship.ThisWarrantyis subjectto the following limitationsandexclusions.
1. This warranty d_es n_t app_yt_ the engine_ _ther than EHP manufactured transax_e/transmissi_n c_mp_nents_
battery (except as noted below) or components parts thereof. Please refer to the applicable manufacturer's
warranty on these items.
2. Transportation charges for the movement of any power equipment unit or attachment are the responsibilityof
the purchaser. Transportation charges for any parts submitted for replacement under this warranty must be
paid by the purchaser unless such return is requested by Electrolux Home Products.
3. Battery Warranty: On products equipped with a Battery, we will replace, without charge to you, any battery
which we find to be defective in manufacture, during the first ninety (90) days of ownership. After ninety (90)
days, we will exchange the Battery, charging you 1/12 of the price of anew Battery for each full month from
the date of the original sale. Battery must be maintained in accordance with the instructionsfurnished.
4. The Warranty period for any products used for rental or commercial purposes is limitedto 90 days from the
date of original purchase.
5. This Warranty applies only to products which have been properly assembled, adjusted, operated, and main-
tained in accordance with the instructions furnished. This Warranty does not apply to any product which has
been subjected to.alteration, misuse, abuse, improper assembly or installation, delivery damage, or to normal
wear of the product.
6. Exclusions: Excluded from this Wa.rranty are belts, blades, blade adapters, normal wear, normal adjustments,
standard hardware and normal maintenance.
7. In the event you have a claim under this Warranty, you must return the product to an authorized service deal-
el'.
Should you have any unanswered questions concerning this Warranty, please contact:
Electrolux Home Products, Inc. In Canada contact:
Outdoor Products Customer Sen/ice Dept. Electrolux Canada Corp.
250 Bobby Jones Expressway 7075 Ordan Drive
Augusta, GA 30909 USA Mississauga, Ontario
L5T 1K6
giving the model number, serial number and date of purchase of your product and the name and address of the authorized
dealer from whom it was purchased.
THIS WARRANTY DOES NOT APPLY TO INCIDENTAL OR CONSEQUENTIAL DAMAGES AND ANY IMPLIED WARRAN-
TIES ARE LIMITED TO THE SAME TIME PERIODS STATED HEREIN FOR OUR EXPRESSED WARRANTIES. Some areas
do not allow the limitation of consequential damages or limitations of how long an implied Warranty may last, so the above limi-
tations or exclusions may not apply to you. This Warranty gives you specific legal rights, and you may have other rights which
vary from locale to locale.
This is a limited Warranty within the meaning of that term as defined in the Magnuson-Moss Act of 1975.
46

SUGGESTED GUIDE FOR SIGHTING SLOPES FOR SAFE OPERATION
15 DEGREES MAX.
_t ARNING: To avoid serious injury, operate your tractor up and
down the face of slopes, never across the face. Do not mow
slopes greater than 15 degrees. Make turns gradually to prevent
tipping or loss of control. Exercise extreme caution when
changing direction on slopes.
D q
1. F(J_t this page along dotted line indicated above.
2. Ho! Ipage before you so that its left edge is vertically parallel to a tree
trur, _or other upright structure.
3. Sigt t across the fold in the direction of hill slope you want to measure.
4. Con mare the angle of the fold with the slope of the hill.

PARTS AND SERVICE
Your POULAN PRO product has been expertly engineered and carefully manufactured to rigid quality standards.
As with all mechanical products, some adjustments or part replacement may be necessary during the life of your
unit.
FOR SERVICE OR REPLACEMENT PARTS:
1. Consult your dealer/place of purchase.
2. Consult the yellow pages of your phone directory for the name of the nearest service dealer (under "saws" for
Chain Saws or under "lawn mowem" for Trimmers, Brushcutters, and Blowers).
3. For replacement parts, have available the following information:
v. Model Number/Manufacturer's I.D. Number
b. Description of part.
NOTE: Electrolux Home Products provides parts and service through its authorized distributors and dealem;
therefore, all requests for parts and service should be directed to your local dealer(s). The philosophy
of Electrolux Home Products is to continually improve all of its products. If the operating character-
2._:: cr _ _,.:_,rance of your product differs from those described in this Manual, please contact
your local dealer for updated information and assistance.