Prime Electronics and Satellitics WA211P-X Wireless Access Point User Manual WA211P

Prime Electronics & Satellitics Inc. Wireless Access Point WA211P

User Manual

   Wireless Access Point    User  Manual
Wireless Access Point    Copyright Copyright    2001 by this company.  All rights reserved.  No part of this publication may be reproduced, transmitted, transcribed, stored in a retrieval system, or translated into any language or computer language, in any form or by any means, electronic, mechanical, magnetic, optical, chemical, manual or otherwise, without the prior written permission of this company.  This company makes no representations or warranties, either expressed or implied, with respect to the contents hereof and specifically disclaims any warranties, merchantability or fitness for any particular purpose.  Any software described in this manual is sold or licensed "as is".  Should the programs prove defective following their purchase, the buyer (and not this company, its distributor, or its dealer) assumes the entire cost of all necessary servicing, repair, and any incidental or consequential damages resulting from any defect in the software.  Further, this company reserves the right to revise this publication and to make changes from time to time in the contents hereof without obligation to notify any person of such revision or changes. .   All brand and product names mentioned in this manual are trademarks and/or registered trademarks of their respective holders.
  Federal  Communication Commission    Interference Statement  This equipment has been tested and found to comply with the limits for a Class B digital device, pursuant to Part 15 of FCC Rules.  These limits are designed to provide reasonable protection against harmful interference in a residential installation.  This equipment generates, uses, and can radiate radio frequency energy and, if not installed and used in accordance with the instructions, may cause harmful interference to radio communications.  However, there is no guarantee that interference will not occur in a particular installation.  If this equipment does cause harmful interference to radio or television reception, which can be determined by turning the equipment off and on, the user is encouraged to try to correct the interference by one or more of the following measures:   1.  Reorient or relocate the receiving antenna. 2.  Increase the separation between the equipment and receiver. 3.  Connect the equipment into an outlet on a circuit different from that to which the receiver is connected. 4.  Consult the dealer or an experienced radio/television technician for help. Notice 1: The changes or modifications not expressly approved by the party responsible for compliance could void the user's authority to operate the equipment. Notice 2: Shielded interface cables, if any, must be used in order to comply with the emission limits. Notice 3: This device complies with Part 15 of the FCC Rules. Operations is subject to the following two conditions: (1) This devices may not cause harmful interference and (2) This devices must accept any interference received including interference that may cause undesired operation.    Caution: “ To comply with FCC RF exposure compliance requirements, a separation distance of at least 20cm must be maintained between the antenna of this device and all persons. Do not alter the antenna(s) which is equipped with this device”
   Manual Contents Purpose This user  guide gives you all the information to install and operate the Wireless Access Point Device properly. Structure This user guide consists of five chapters: Chapter  1  Introduction  This chapter introduce the feature and package contents of this product before you proceed the Wireless Access Point installation    Chapter 2  Installation   This chapter gives all the necessary information that to install the Wireless Access Point   Chapter 3  Configuring the Wireless Access Point   This chapter contains step-by-step procedure on how to  configure the Wireless Access Point  through the DFU utility or the SNMP manager. Chapter 4  Troubleshooting  This chapter provides solutions to problems usually encountered during the installation and operation of the Wireless Access Point  Chapter 5  Appendix
Wireless Access Point    This chapter contains definitions of technical terms and acronyms commonly found  when installing and configuring this device Table of Contents Chapter  1  Introduction  1.1   Package Contents ..................................................... 1-1 1.2   System Requirements ............................................... 1-1 1.3        Features ……………………………….…………………1-2 1.4        Specification…..……………………….…………………1-2  Chapter  2  Installation  2.1   Hardware connection  ..................................................... 2-1 2.2   LED Indicator .................................................................. 2-2 Chapter  3  Configuring the Wireless Access Point  3.1   Configure through DFU Utility  .................................. 3-1 3.2   Configure through SNMP Manager .......................... 3-7 Chapter  4  Troubleshooting  4.1   Frequently Asked Questions .................................... 4-1  Chapter  5  Appendix
Chapter 1 Introduction  Introduction   1-1 Thank you for purchasing Wireless Access Point. This device features the latest innovation wireless technology making the  wireless networking world happened. This manual guides you on how to install and properly use the Wireless Access Point in order to take full advantage of its features.     1.1 Package Contents Make sure that you have the following items: •  One Wireless Access Point  •  One AC Power Adapter  •  One USB Cable  •  One Installation Manual  •   One CD-Title with AP manager Software and manual  If any of the above items are missing, contact your supplier as soon as possible. 1.2 System Requirements Before installation, please check the following requirements with your equipment.
 1-2 User Manual •  Pentium Based ( And Above ) IBM-Compatible PC System •  CD-ROM drive •  One Available USB Connector •  Windows 9x/ME/NT4.0/2000 Operating System with TCP/IP protocol  •  At least 500Kbytes of free disk space for utility and driver installation 1.3 Features  • Highly Efficient Dipole Antennas Provide Extensive Range of Operation  • Auto Fall-Back Data Rate for Long-Distance Communication and Noisy Environments • High-Speed Data Transmitter Rate Up to 11 Mbps • Interoperable with IEEE 802.11b (DSSS) 2.4GHz-Compliant Equipment • Features Roaming, Best Access Point Selection, Load Balancing, and Network Traffic Filtering • 40-Bit or 128-Bit (optional) Wired Equivalent Privacy • Free Software Driver Upgrades   • Auto Fallback Data Rate for Long-Distance Communication and Noisy Environments 1.4 Specification  • Standard   IEEE 802.11b
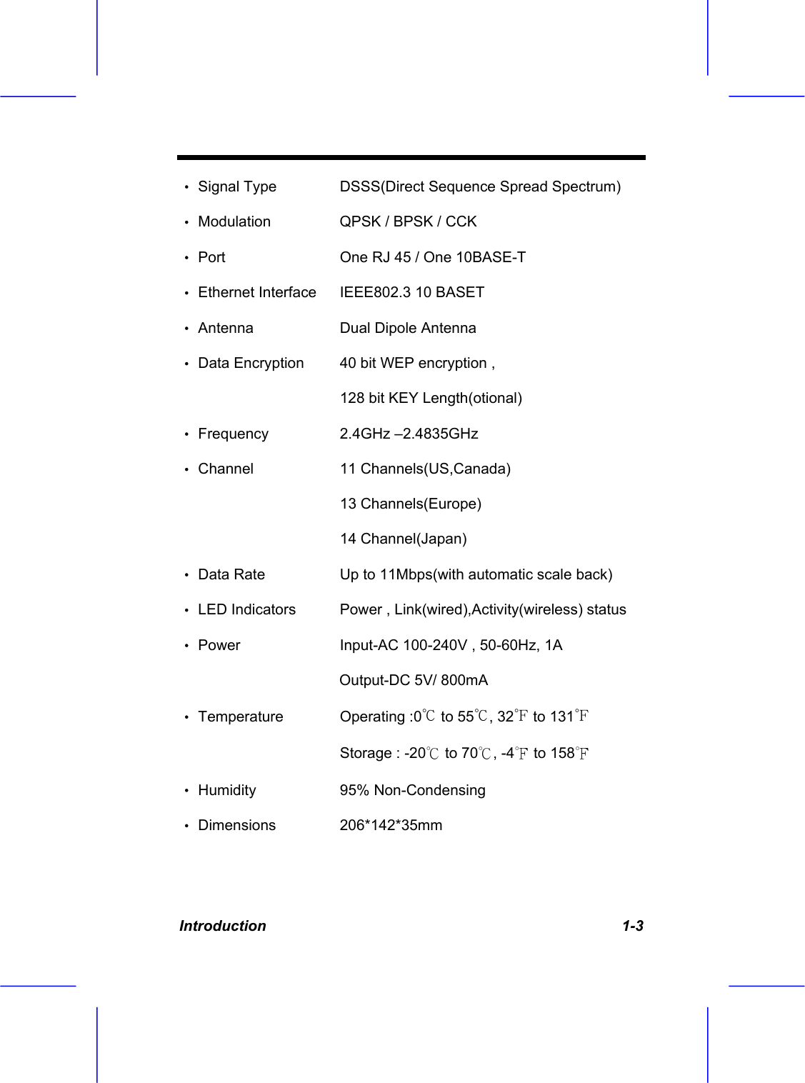
 Introduction   1-3 • Signal Type   DSSS(Direct Sequence Spread Spectrum)  • Modulation    QPSK / BPSK / CCK  • Port      One RJ 45 / One 10BASE-T  • Ethernet Interface   IEEE802.3 10 BASET • Antenna    Dual Dipole Antenna • Data Encryption   40 bit WEP encryption ,     128 bit KEY Length(otional) • Frequency   2.4GHz –2.4835GHz  • Channel     11 Channels(US,Canada)                  13 Channels(Europe)    14 Channel(Japan) • Data Rate     Up to 11Mbps(with automatic scale back) • LED Indicators  Power , Link(wired),Activity(wireless) status • Power     Input-AC 100-240V , 50-60Hz, 1A                                         Output-DC 5V/ 800mA  • Temperature   Operating :0℃ to 55℃, 32℉ to 131℉ Storage : -20℃ to 70℃, -4℉ to 158℉ • Humidity   95% Non-Condensing • Dimensions   206*142*35mm
Chapter 2 Installation  Installation    2-1 Before you proceed with the installation, it is necessary that you have enough information about the Wireless Access point  2.1  Hardware Connection  1. Locate an optimum location for the Wireless Network Access Point. The best place for your Wireless Network Access Point is usually at the center of your wireless network, with line of sight to all of your mobile stations. 2. Fix the direction of the antenna . Try to place it in a position which can best cover your wireless network . Normally, the higher you place the antenna, the better the performance will be. The antenna’s position enhances the receiving sensitivity. 3. Connect an RJ-45 to the Wireless Network Access Point. Then, connect the other end of the Ethernet cable to a switch or hub.  Wireless Network Access Point will then be connected to the 10/100 Network. 4. Connect the AC Power Adapter to the Wireless Network Access Point’s. Power 5. Then, power on the Access Point.
 2-2 User Manual 2.2  LED Indicator   The LED indicators located in the front of the panel shows the Wireless Access Point status and  connection activity.
Chapter 3 Configuring the Wireless Access Point  Configuring 3-1 This chapter contain detains on how to configure your Wireless Access Point as well as how to verify if your setting is correct during the installation. We recommend that you follow the steps accordingly to avoid future problems.   3.1  Configure through DFU utility  The DFU Utility is provided to configure the Wireless  Access Point setting through the USB port. Note  : Before start using the AP ,configure through DFU utility first. Even if you won’t use the DFU to manager this AP in the future . When first connect the AP to the USB port , the operating system will ask for the driver upon detecting the device. Locate the driver into your CD and the installation will go on automatically. (Windows 98 and Windows 2000 are supported). After completing the installation , configure through the DFU utility to get the AP work.  Note: Be sure that there is no AP  inserted at this installation stage.
 3-2 User Manual Installing the DFU Utility  In order to install DFU Utility, execute/or double click DFU setup.exe program which may find in the CD title . A wizard appears indicating the completeness of installation process. Configuring the Wireless Network Access Point with the DFU Utility    Boots up the DFU utility form the Windows start manual the following dialog will apper.   Note : If this is your first time to use the DFU utility to configure the Access Point. We do recommend you use the “Access Point Wizard” as show above to go for the setting. This wizard  will guide you the most easy way to set up your device. Or you may click the “Configuration” to get advanced setting.
 Configuring   3-3 1  Access Point Wizard set up  1.1  Step up the IP address   Press the “Access Point Wizard” button, the following dialog will show up .If there is a DHCP server in your Ethernet, “Enable” DHCP Client. If not, consult your network administer about how to configure your IP setting. After complete the manual Setting ,click the “Next “ . 1.2  Step up the SSID  SSID is the identification string used to distinguish different wireless network. Key in any sting you like to identify your wireless network. Click “Next “to continue.
 3-4 User Manual Note : Be sure that the SSIDs of setting the Access Point and the Wireless LAN card must be the same in order to function properly. 1.3  Setting up the Channel  Choose the channel you may use, then click “Finish” to complete the setting.
 Configuring   3-5 2  Advanced DFU Setting  2.1  Be sure that you have enough information to have the advance setting before you boot up the following dialog. 2.2  You may use those buttons in the right side as shown in the figure able for advance setting. “ Get “ button details the current setting. “ Modify “ button allows new setting parameters  “  Set “ button save and take any effect to the current setting .  2.3 Click “Eth_IP-Address” to set the IP address used by the AP .Click the other items to continue other setting.
 3-6 User Manual 2.4 Click ”Eth_Submask” to set the subnet address . 2.5  Click  “Wirel_ESSID” to give a name for the AP which may find them to the network.  2.6 Click ”Wirel_Channel” to define the channel used by the AP. 2.7 Click “Access Point Name” to name the AP . 2.8 Click “ Gateway IP Address” to set the Gateway IP Address. 2.9 Click “Operation Mode “ to set the mode used by AP.Refer to the Appendix for more information.  Lastly, close the application and unplug the cable.  Note: Chapter 5 contains definitions of technical terms and acronyms commonly found when installing and configuring this device.    3.2  Configure through SNMP Manager  The Access Point SNMP Manager is provided to manage the  Wireless Access Point through Ethernet. Note: Before using the SNMP manager to configure the AP, please check with your Network Administrator to have enough information for the setting. .
 Configuring   3-7 Note: Be sure that there is no AP  inserted at this installation stage. Installing the Wireless Access Point SNMP manager  In order to install the SNMP manager, run the program setup.exe which may find in the CD . Follow the instructions of the set-up program and select the directory where the application will be installed. A window wizard  appears indicating the completeness of the installation process. Configuring the Wireless Network Access Point with the SNMP Manager    Before configure the AP by the SNMP Manger utility ,Please set the  Access Point IP address following the procedure described below. On the Windows Start Menu, choose   Start->Programs->SNMP Manger   Connect to Access Point –You can directly connect with the Access Point by typing the appropriate IP address and community in the panel,(The default password is” public”). Additionally you  select the User or Administrator Authority in the Authority combo-box. User Authority allow you to view the Access Point Configuration only, while Administrator Authority allow you to view or change to the Access Point Configuration. After the above configuration setting, press “OK”.
 3-8 User Manual     Find out Access Point– 1.This submenu allows you to find and connect with the Access Point without the necessity of knowing its IP address. Choose this submenu in order to find the Access Point and press “Connect”. Window appears indicating the IP Address of the selected Access Point and prompting you do select Authority and appropriate password at the community field. Then press “OK”. 2.The following window appears indicates a successful connection to Access Point. Press “OK” 3.The following message appears an unsuccessful connection.
 Configuring   3-9 4.If the above error message appears, please check whether the AP has and appropriate IP address and been connected to the network.  5.a message “Get Configuration done” and the “IP Address” will appear at the left and right button of the manual box once the connection between the Access point been established.   File menu: The file menu contains the following enabled submenus ●  Close Connection AP – Terminates the connection with the Access Point.  ● Download changes – When all the desired values of the parameters have been set you are able to download the changes (save the changes) to the Access Point by selecting this submenu. ●  Options – Defines the polling interval according to which the SNMP Manager polls the Access Point in order to update the Associated Stations List.   Setup Menu: You are able to view or set the Access Point parameters under the “Setup” menu, the section consists of following submenus.    Setup->Bridge->IP Configuration or Filtering       ● IP Configuration –  The “IP Address” and “IP Mask” can be modified through “IP Configuration”, if DHCP client is not enabled. If DHCP client is enabled the IP Address field displays the IP Address that was dynamically assigned to the AP by the network DHCP server and the IP Mask field displays the IP Mask utilized by the network DHCP server. Additional you have to select the Primary Port which is the interface that determines the “File” menu in order to save them.
 3-10 User Manual    ●Filtering  – If IP Routing is enabled all the other protocols will be filtered out offer than the IP protocol through the WLAN.  Setup->Wireless LAN ->Privacy Options or Operational Settings or Authorized Mac Address  ●  Privacy Options –  By choosing this option you must define the encryption key values of your choice. There are four 5 Hex digit encryption keys available if you select 64 bit WEP or there are four 13 Hex digit encryption keys available if you select 128bit WEP. The key is enabled only if you select it in the “Default Key” option. Enable the WEP (Wired Equivalent Privacy) option in order to activate WEP encryption for transmissions between the stations and the Access Point. WEP is an authentication algorithm which protects authorized Wireless LAN users against eavesdropping.
 Configuring   3-11 Note: The authentication type must be the same on the wireless station and on the access point. All shared keys on the wireless station must be the same as those on the access point with which the client station is associated. ● Operational settings-  Using this option you can either view or modify the Wireless LAN parameters of the Access Point . These parameters are described below:   ESSID---It is an ASCII string up to 21 characters used to identify a WLAN that prevents the unintentional merging of two co-located WLANs. The ESSID value must be the same in all stations and Access point in the extended WLAN. Select the ESSID to be used. Channel---There are 14 channels available. The channels differ from country to country. Select the channel to be used. Fragmentation threshold---The size at which packets will be fragmented. Choose a setting within a range of 256 to 2346 bytes.
 3-12 User Manual RTS Threshold--- Minimum packet size to require an RTS (Request To Send). For packets smaller than this threshold, an RTS is not sent and the packet is transmitted directly to the WLAN. This is the option for the RTS Threshold activation. Authentication Type-- Select Open System, Shared Key, or Both Open System: With this setting any station in the WLAN can associate with an Access Point and receive and transmitted data (null authentication). Shared Key: With this setting only stations using a shared key encryption identified by the Access Point are allowed to associate with it. Both: with this setting stations communicate with the Access Point either with or without data encryption. Preamble Type (Short/Long)--- Preamble is the first subfield of PPDU, which is the appropriate frame format for transmission to PHY (Physical layer). There are two options, Short Preamble and Long Preamble. The Short Preamble option improves throughput performance Rate---By default the unit adoptively selects the highest possible rate for transmission. Select the basic rates to be used among the following options 1-2-5.5-11 (Mbps). Auto Rate Fall Back--- When this is enabled the transmission rate is the optimum rate. In case of obstacles or interference, the system will automatically fall back. Regulatory Domain--- The value of this field is already set and cannot be modified. Advanced Setting--- there are the following three operational modes available.
 Configuring   3-13    Access Point: This mode provides access for wireless stations to wired LANs and from wired LANs to wireless stations. Furthermore, wireless stations within the range of the Access Point device may communicate with each other via the Access Point. Access Point Client: This mode allows the connection of one or more remote LANs with a central LAN, creating thus an extended single virtual LAN. In this way, any station of the Remote LAN can successfully communicate with any station of the central LAN, as if all of them belonged to the same physical LAN. Wireless Stations can’t associated with Access Point Clients. The Access Point conducts the designated traffic to the appropriate wired or wireless station. Wireless Bridge: This mode allows two types of connections. a. Point to point: The wireless bridge can communicate with a specific Remote MAC Address. b. Point to Multipoint: The Wireless bridge can communicate with any Wireless Bridge available in the same channel. When Authorization Algorithm (see the next menu – Authorized MAC Address ), is enabled, the Wireless Bridge can communicate For each mode you can either view or modify the Wireless LAN parameters of the Wireless Operational Settings window. In the Operational Mode Window there are the following parameters. Preferred BSS: It is enabled only if you select the Access Point C lient option. BSS corresponds to the MAC Address of the desired AP. Remote MAC Address: It is enabled only if you select Point to Point. It corresponds to the MAC Address of the Wireless Bridge of the Remote LAN.
 3-14 User Manual  ●Authorized MAC Address – For security reasons the Access Point has the ability to associate with authorized MAC Address stations, if the authorization Table option is enabled. Thus, under the Authorized MAC Address option you may press the following buttons.  The “Load file” button in order to load a file with the MAC Address that can be associated with the Access Point (Authorized MAC Address). The “Download” button in order to download the Authorized MAC Address to the Access Point.  The “Get” button in order to get from the Access Point the Authorized MAC Addresses.   Setup->Enable SNMP Traps  ●  Enable SNMP traps –
 Configuring   3-15 using this submenu you can either enable or disable SNMP traps, which are messages displayed in the right bottom corner of the main window indicating that an action related to the AP took place. Permitted messages are: Trap association -- This trap message is sent when a Station’s association request is received from the AP – Bridge. Trap association: Indicates the reception of an association request packet and the sender Station’s successful association with the Wireless Bridge. Trap Disassociation: This trap message is sent when disassociation notification packet is received from a station. Trap Reset: This trap message is sent when the AP-Bridge resets. Trap Setting IP Address with Ping: This trap message is sent when the AP-Bridge IP address is sent with the transmission of a ping message. Trap Start UP: This trap message is sent when Bridge starts up. Trap Failed To Erase Flash: This trap message is sent when Bridge fails to erase flash.   Setup->Authorization  ●  Authorization –  Using this submenu the Administrator can change the passwords which referred to the community field for the User and the Administrator Authority.
 3-16 User Manual     Commands menu: Under this menu there are two submenus.   Commands->Reset device or Restore Default ●  Reset device –  You can reset the Access Point. This action takes place after a user makes configuration changes in order to initiate the changes. ●  Restore Default –  You can restore the factory default values of the Access Point.   Info menu: Using this menu you can view a limited number of statistics by choosing the “SNMP – Shot View” of the “Change Mode” Software. There are the following submenus:   Info ->Wireless statistic or Ethernet statistics ●  Wireless statistics: This submenu reports the statistics concerning the unit’s wireless activity. The meaning of the fields, concerning all the statistics, is giving in the following table.
 Configuring   3-17 ●  Ethernet statistics: This submenu reports the statistics concerning the unit’s Ethernet port activity. The meaning of the fields, concerning all the statistics is given in the following table.    Network menu: Provides information about the Network. Under this menu there is only the Associated Station submenu.   Network ->Associated stations ●  Associated stations – Using this submenu you can view the MAC Address of the Associated stations with the Access Point.   Window menu: Under this menu there are the following submenus   Window ->Cascade or Tile ●  Cascade – All opened windows are arranged on the desktop in a cascade fashion. ●  Tile – All open windows are visible on the desktop.   Help menu: Provides on line help about the application.
Chapter 4 Troubleshooting  Trobleshooting 4-1 This chapter gives tips on how to configure the communication software. This chapter provides solutions to problems usually encountered during the installation and operation of the Wireless Network Access Point. Read the description below to solve your problems. 4.1  Frequently Asked Questions Can I run an application from a remote computer over the wireless network? This will depend on whether or not the application is designed to be used over a network. Consult the application’s user guide to determine if it supports operation over a network. Can, I play computer games with other members of the cordless network? Yes, as long as the game supports multiple plays over a LAN (local area network).Refer to the game’s user guide for more information. What is the IEEE 802.11b standard? The IEEE 802.11b Wireless LAN standards subcommittee, which is formulating a standard for the industry. The objective is to enable wireless LAN hardware from different manufactures to communicate. What IEEE  802.11 feature are supported?
 4-2 User Manual The product supports the following IEEE 802.11 functions: • CSMA/CA plus Acknowledge protocol • Multi-Channel Roaming • Automatic Rate Selection • RTS/CTS feature • Fragmentation • Power Management •  What is Ad-hoc? An Ad-hoc integrated wireless LAN is a group of computers, each with a WLAN adapter, Connected as an independent wireless LAN. Ad hoc wireless LAN is applicable at a departmental scale for a branch or SOHO operation. What is Infrastructure? An integrated wireless and wireless and wired LAN  is called an Infrastructure configuration. Infrastructure is applicable to enterprise scale for wireless access to central database, or wireless application for mobile workers. What is Roaming? Roaming is the ability of a portable computer user to communicate continuously while moving freely throughout an area greater than that covered by a single Wireless Network Access Point. Before using the roaming function, the workstation must make sure that it is the same channel number with the Wireless Network Access Point of dedicated coverage area.
 Troubleshooting   4-3 To achieve true seamless connectivity, the wireless LAN must incorporate a number of different functions. Each node and Wireless Network Access Point, for example, must always acknowledge receipt of each message. Each node must maintain contact with the wireless network even when not actually transmitting data. Achieving these functions simultaneously requires a dynamic RF networking technology that links Wireless Network Access Points and nodes. In such a system, the user’s end node undertakes a search for the best possible access to the system. First, it evaluates such factors as signal strength and quality, as well as the message load currently being carried by each Wireless Network Access Point and the distance of each Wireless Network Access Point to the wired backbone. Based on that information, the node next selects the right Wireless Network Access Points and registers its address. Communications between end node and host computer can then transmitted up and down the backbone.  As the user moves on, the end nodes RF transmitter regularly checks the system to determine whether it is in touch with the original or Wireless Network Access Point whether it should seek a new one. When a node no longer receives acknowledgment from its original Wireless Network Access Point, it undertakes a new search. Upon finding a new Wireless Network Access Point, it then re-registers, and the communication process continues.  What is BSS ID? A specific Ad hoc LAN is called a Basic Service Set (BSS). Computers in a BSS must be configured with the same BSS ID. What is ESS ID? An Infrastructure configuration could also support roaming capability for mobile workers. More than one BSS can be configured as an Extended Service Set (ESS).Users within an ESS could Roam freely between BSSs while served as a continuous connection to the network wireless stations and Wireless Network Access Points within an ESS must be configured with the same ESS ID and the same radio channel. What is ISM band?
 4-4 User Manual The FCC and their counterpart outside of the U.S. have set aside bandwidth for unlicensed use in the ISM (Industrial, Scientific and Medical) band. Spectrum in the Vicinity of 2.4 GHz, in particular, is being made available worldwide. This presents a truly revolutionary opportunity to place convenient high speed wireless capabilities in the hands of users around the globe. What is Spread Spectrum? Spread Spectrum technology is a wideband radio frequency technique developed by the military for use in reliable, secure, mission-critical communication systems. It is designed to trade off bandwidth efficiency for reliability, integrity, and security. In other words, more bandwidth is consumed than in the case of narrowband transmission , but the trade off produces a signal that is, in effect, louder and thus easier to detect, provided that the receiver knows the parameters of the spread-spectrum signal being broadcast. If a receiver is not tuned to the right frequency, a spread –spectrum signal looks like background noise. There are two main alternatives, Direct Sequence Spread Spectrum (DSSS) and Frequency Hopping Spread Spectrum (FHSS). What is DSSS?What is FHSS?And what are their differences? Frequency-hopping spread-spectrum (FHSS) uses a narrowband carrier that changes frequency in a pattern that is known to both transmitter and receiver. Properly synchronized, the net effect is to maintain a single logical channel. To an unintended receiver, FHSS appears to be short-duration impulse noise. Direct-sequence spread-spectrum (DSSS) generates a redundant bit pattern for each bit to be transmitted.This bit pattern is called a chip (or chipping code). The longer the chip,  the greater the probability that the original data can be recovered. Even if one or more bits in the chip are damaged during transmission, statistical techniques embedded in the radio can recover the original data without-the need for retransmission. To an unintended receiver, DSSS appears as low power wideband noise and is rejected (ignored) by most narrowband receivers. Would the information be intercepted while transmitting on air?
 Troubleshooting   4-5 WLAN features two-fold protection in security. On the hardware side, as with Direct Sequence Spread Spectrum technology, it has the inherent security feature of scrambling. On the software side, WLAN series offer the encryption function (WEP) to enhance security and Access Control. Users can set it up depending upon their needs.   Can Wireless products support printer sharing? Wireless products perform the same function as LAN products. Therefore, Wireless products can work with Netware, Windows NT/2000, or other LAN operating systems to support printer or file sharing. What is WEP? WEP is Wired Equivalent Privacy, a data privacy mechanism based on a 40 bit shared key algorithm, as described in the IEEE 802 .11 standard.
Chapter 5 Appendix Appendix 5-1 MAC Address  The MAC Address of the AP. Unique 48-bit, hard-coded Media Access Control address known as the station identifier. Regulatory domain You need to select the Regulation Domain among the following options, FCC, ETSI, SPAIN, DOC, SPAIN, FRANCE and MKK. Ethernet IP Address The IP Address of the AP. Network-assigned Internet protocol address of the Access Point. Ethernet Subnet Mask The Ethernet station and the Access Point must be on the same subnet. The IP address for the Access Point must correspond to the Subnet Mask. Subnet Mask consists of four sets of three digits that divides a network into subnetworks. ESSID Select the ESSID to be used. The ESSID (up to 32 printable ASCII characters) of the unit is a string used to identify a WLAN. The ID prevents the unintentional merging of two co-located WLANs. ESSID Length The length of the ESSID (number of characters).
 5-2 User Manual Auto Rate Fall Back Select Enable or Disable. When this is enabled the transmission rate is defined by the past transmission status. Wireless Channel Select the channel to be used. The channels differ from country to country. There are 14 channels available. WEP Key The WEP key if the WEP option is enabled in order to activate WEP encryption for transmissions between the stations and the Access Point. WEP Type The Wired Equivalent Privacy Algorithm (64 or 128 bits) Wireless Fragmentation Threshold The size at which packets will be fragmented . Choose a setting within a range of 256 to 2346 bytes. This is the option for the Fragmentation Threshold activation. Wireless RTS Threshold Minimum packet size to require an RTS (Request To Send). For packets smaller than this threshold, an RTS is not sent and the packet is transmitted directly to the WLAN. This is the option for the RTS Threshold activation. WEP Keys#1-#4- The default key that will be used. May be edited only if WEP type is 64 bits. Preamble Type
 Appendix   5-3 Select Short or Long Preamble Type. Preamble is the first sub field of PPDU, which is the appropriate frame format for transmission to PHY (Physical layer).There are two options, Short Preamble and Long Preamble. The Short Preamble option improves throughput performance. Authentication Type Select Open System or Shared Key Authentication Type   Open System- With this setting any station in the WLAN can associate with an Access Point and receive and transmit data (null authentication).  Shared Key- With this setting only stations using a shared key encryption identified by the Access Point are allowed to associate with it.   Both- With this setting stations communicate with or without data encryption. Operational Rate Set By default the unit adaptively selects the highest possible ate for transmission. In case of obstacles or interference, the system will step down. Select the basic rates to be used among the following options 1 - 2 (Mpbs), 1 - 2 - 5.5 - 11 (Mbps). Select the Operational Rate set among the following options, 82 84 8B 96 (1 – 2 - 5.5 - 11 Mbps) or 82 84 0B 16 (1 - 2 Mbps). Beacon Period Set the Beacon Period parameter, which specifies the duration between the range 20-1000 with a typical value of 100. DTIM Set the DTIM period. Determines at which interval the AP will send its broadcast traffic. Default value is 4 beacons.
 5-4 User Manual Receive Antenna Set the Receive Antenna among the following options Left, Right or Diversity, to determine which antennas are used for reception. Transmit Antenna Set the Transmit Antenna among the following options Left, Right or Diversity, to determine which antennas are used for transmission. Operational Mode Set one of the following operational modes on the Access Point Access Point Access Point Client Wireless Bridge User Community Indicates the user’s password. The default password is “public” User Access Indicates the user’s access rights. The user can only read and not set or change the AP’s parameters. Administrator Community Indicates the administrator’s password. The default password is “public”. Administrator Access Indicates the Administrator’s access rights. The administrator can read and also set or save changes to the AP’s parameters.
 Appendix   5-5 Manufacturer Community Indicates the manufacturer’s password. Manufacturer Access Indicates the manufacturer’s access rights. The manufacturer can read and set or save changes to the AP’s parameters. Also can view or modify the Hardware Configuration. Gateway IP Address Network Gateway IP Filtering Enable/Disable the possibility to allow only IP protocol packets to pass through the WLAN and any other protocol packets filtered out. DHCP client Enable/Disable automatic IP address assignment by the DHCP server Primary Port: Determines the Access Point’s MAC and IP Address. Primary Port The interface which determines the DHCP server ( Ethernet Port/ Wireless Port). Authorization Algorithm Enable/Disable the association with authorized MAC Addresses stations. SNMP traps Enabled/Disabled SNMP traps, which are the messages indicating the actions related to the AP that have taken place.
 5-6 User Manual Preferred BSSID Remote MAC Address for connection, in Access Point Client or Wireless Bridge Operational modes. WEP 128 keys #1-#4 The default key that will be used. May be edited if WEP type is 128 bits. ESSID: It is an ASCII string up to 21 characters used to identify a WLAN that prevents the unintentional merging of two co-located WLANs. The ESSID value must be the same in all stations and Access point in the extended WLAN. Select the ESSID to be used. Channel: There are 14 channels available. The channels differ from country to country. Select the channel to be used. Fragmentation threshold: The size at which packets will be fragmented. Choose a setting within a range of 256 to 2346 bytes. RTS Threshold: Minimum packet size to require an RTS (Request To Send). For packets smaller than this threshold, an RTS is not sent and the packet is transmitted directly to the WLAN. This is the option for the RTS Threshold activation. Authentication Type: Select Open System, Shared Key, or Both Open System: With this setting any station in the WLAN can associate with an Access Point and receive and transmitted data (null authentication). Shared Key: With this setting only stations using a shared key encryption identified by the Access Point are allowed to associate with it. Both: with this setting stations communicate with the Access Point either with or without data encryption.
 Appendix   5-7 Preamble Type (Short/Long): Preamble is the first sub field of PPDU, which is the appropriate frame format for transmission to PHY (Physical layer). There are two options, Short Preamble and Long Preamble. The Short Preamble option improves throughput performance Rate: By default the unit adoptively selects the highest possible rate for transmission. Select the basic rates to be used among the following options 1-2-5.5-11 (Mbps). Auto Rate Fall Back: When this is enabled the transmission rate is the optimum rate. In case of obstacles or interference, the system will automatically fall back. Regulatory Domain: The value of this field is already set and cannot be modified.

Navigation menu