STI Engineering RFI900 UHF Paging Transmitter User Manual FCC IC Certification Report
STI Engineering Pty Ltd UHF Paging Transmitter FCC IC Certification Report
User Manual

RFI-148 & RFI-900 HIGH OUTPUT 
POWER PAGING TRANSMITTERS 
 USER MANUAL 

RFI-148 & RFI-900 High Output Power Paging 
Transmitters 
User Manual 
DISCLAIMER 
© 2018 STI Engineering Pty Ltd. All rights reserved. 
STI Engineering reserves the right to make improvements on the product in this manual at any time without 
notice. 
No part of this manual may be produced, copied, translated, or transmitted in any form or by any means 
without the written permission of STI Engineering. 
Information  provided  in  this  manual  is  intended  to  be  accurate  and  reliable.  However,  STI  Engineering 
assumes no responsibility for its use or infringements upon the rights of third parties that may result from its 
use. 
Reference No. MAN00165 
Revision 2.5 
July 2018 
Firmware Version 4.x 

  Contents 
RFI-148 & RFI-900 High Output Power Paging Transmitters User Manual  Page 3 of 99 
Contents 
1. Introduction ................................................................................................................................................................................... 6 
2. Installation ..................................................................................................................................................................................... 7 
2.1 General Considerations ............................................................................................................................................................ 7 
2.2 External Antennas .................................................................................................................................................................... 7 
2.3 Product Installation .................................................................................................................................................................. 8 
2.3.1 Installation Guidelines to Ensure Safe Exposure Levels .................................................................................................. 9 
2.3.2 Typical Installation ......................................................................................................................................................... 10 
2.4 Safety and Compliance ........................................................................................................................................................... 12 
2.4.1 Human Exposure to Emissions, Safe Distances .............................................................................................................. 12 
2.4.2 Equipment Installation .................................................................................................................................................... 12 
2.4.3 Modifications .................................................................................................................................................................. 12 
3. Configuration ............................................................................................................................................................................... 13 
3.1 Overview ................................................................................................................................................................................. 13 
3.2 Cruise Control ........................................................................................................................................................................ 13 
3.2.1 Installation ...................................................................................................................................................................... 14 
3.2.2 Connecting to the Paging Transmitter ............................................................................................................................ 14 
3.2.3 Device Navigation .......................................................................................................................................................... 14 
3.2.4 Sensor Gauges ................................................................................................................................................................ 14 
3.2.5 Firmware Update ............................................................................................................................................................ 15 
3.3 SNMP...................................................................................................................................................................................... 16 
3.4 Terminal Menu Interface ........................................................................................................................................................ 17 
3.5 Hayes AT Command Interface ................................................................................................................................................ 17 
3.5.1 List Slicing Syntax .......................................................................................................................................................... 18 
3.5.2 Sequenced AT Commands .............................................................................................................................................. 18 
3.6 Front Panel Interface ............................................................................................................................................................. 19 
3.7 LIU Interface .......................................................................................................................................................................... 20 
4. Operation ..................................................................................................................................................................................... 21 
4.1 Serial Port Operation ............................................................................................................................................................. 21 
4.1.1 Overview......................................................................................................................................................................... 21 
4.1.2 Configuration .................................................................................................................................................................. 21 
4.1.3 Statistics .......................................................................................................................................................................... 21 
4.2 Ethernet Operation ................................................................................................................................................................. 22 
4.2.1 Overview......................................................................................................................................................................... 22 
4.2.2 IP Addressing .................................................................................................................................................................. 22 
4.2.3 Statistics .......................................................................................................................................................................... 22 
4.3 Transmitter Operation ............................................................................................................................................................ 22 
4.3.1 Transmit Power ............................................................................................................................................................... 22 
4.3.2 Channel Selection ........................................................................................................................................................... 22 
4.3.3 Push-To-Talk (PTT) ....................................................................................................................................................... 23 
4.3.4 External Reference .......................................................................................................................................................... 25 
4.3.5 Absolute Delay Adjustment ............................................................................................................................................ 25 
4.3.6 RF Diagnostics ................................................................................................................................................................ 26 
4.4 Data ........................................................................................................................................................................................ 26 
4.4.1 4-Level Deviation Mapping ............................................................................................................................................ 26 
4.4.2 Carrier Offset .................................................................................................................................................................. 27 
4.4.3 Custom Deviation ........................................................................................................................................................... 27 
4.5 Fan Control ............................................................................................................................................................................ 27 

  Contents 
RFI-148 & RFI-900 High Output Power Paging Transmitters User Manual  Page 4 of 99 
4.5.1 Fan Override ................................................................................................................................................................... 27 
4.5.2 Self-Test .......................................................................................................................................................................... 28 
5. Diagnostics ................................................................................................................................................................................... 29 
5.1 Status Monitoring ................................................................................................................................................................... 29 
5.1.1 Conditional Cut-off Checking ......................................................................................................................................... 29 
5.1.2 Minimum and Maximum Sensor History ....................................................................................................................... 30 
5.2 Faults ...................................................................................................................................................................................... 30 
5.2.1 Fault Actions ................................................................................................................................................................... 30 
5.2.2 Fleeting Faults ................................................................................................................................................................ 31 
5.2.3 Combined Fault .............................................................................................................................................................. 31 
5.2.4 Hardware Alarm Outputs ................................................................................................................................................ 31 
5.3 Remote Firmware Update and Snapshot ................................................................................................................................ 31 
5.3.1 Update ............................................................................................................................................................................. 31 
5.3.2 Snapshot .......................................................................................................................................................................... 32 
5.4 Time ........................................................................................................................................................................................ 33 
5.4.1 Real Time Clock ............................................................................................................................................................. 33 
5.4.2 SNTP Client .................................................................................................................................................................... 33 
6. Internal Encoding ........................................................................................................................................................................ 34 
6.1 Overview ................................................................................................................................................................................. 34 
6.2 POCSAG Settings ................................................................................................................................................................... 34 
6.3 Protocols Supported ............................................................................................................................................................... 35 
6.3.1 TNPP .............................................................................................................................................................................. 35 
6.3.2 PET ................................................................................................................................................................................. 35 
6.3.3 TAP ................................................................................................................................................................................. 35 
6.3.4 Page Datagram ................................................................................................................................................................ 36 
6.4 Test Functions ........................................................................................................................................................................ 38 
7. Hot Standby Operation ............................................................................................................................................................... 39 
7.1 Overview ................................................................................................................................................................................. 39 
7.2 Configuration ......................................................................................................................................................................... 39 
7.3 Operation ................................................................................................................................................................................ 40 
7.4 Switchover Faults ................................................................................................................................................................... 40 
7.5 Hardware Feedback ............................................................................................................................................................... 40 
Appendix A Technical Specifications ............................................................................................................................................ 42 
A.1 Type Approvals ...................................................................................................................................................................... 42 
A.2 RFI-148/900250 Specifications .............................................................................................................................................. 42 
A.3 Serial Connectors ................................................................................................................................................................... 45 
A.3.1 Rear Serial Port ............................................................................................................................................................. 45 
A.3.2 Front Serial Port (DCE) ................................................................................................................................................. 45 
A.4 LIU Interface .......................................................................................................................................................................... 45 
Appendix B Controller Configurations ......................................................................................................................................... 48 
B.1 Motorola NIU Controller / FLEX Mode ................................................................................................................................ 48 
B.2 Glenayre C2000 Controller / FLEX Mode ............................................................................................................................. 48 
B.3 Glenayre C2000 Controller / POCSAG Mode ....................................................................................................................... 48 
B.4 Zetron Model 66 Transmitter Controller / POCSAG Mode ................................................................................................... 49 

  Contents 
RFI-148 & RFI-900 High Output Power Paging Transmitters User Manual  Page 5 of 99 
Appendix C Management Reference ............................................................................................................................................. 50 
C.1 Serial Port Diagnostics .......................................................................................................................................................... 50 
C.2 SNMP Diagnostic Parameters ............................................................................................................................................... 51 
Appendix D Hayes AT Reference .................................................................................................................................................. 54 
Appendix E Sensor and Fault List Reference ............................................................................................................................... 88 
Appendix F Product Identification Table ..................................................................................................................................... 92 
Appendix G Troubleshooting ......................................................................................................................................................... 93 
G.1 Configuring Sensor Cutoffs ................................................................................................................................................... 93 
G.2 Fault LED Active ................................................................................................................................................................... 93 
G.2.1 External Reference Fail ................................................................................................................................................. 94 
G.2.2 High Transmit Power .................................................................................................................................................... 95 
G.2.3 High VSWR .................................................................................................................................................................. 95 
G.2.4 Disable Transmit ........................................................................................................................................................... 95 
G.3 Unit Won’t Transmit .............................................................................................................................................................. 96 
G.3.1 PTT Override ................................................................................................................................................................. 96 
G.3.2 Hardware or Auto PTT .................................................................................................................................................. 97 
G.3.3 Profile Definition ........................................................................................................................................................... 97 
G.4 Unit Transmits at Low Power ................................................................................................................................................ 97 
Appendix H Glossary ...................................................................................................................................................................... 98 

  Appendix A Technical Specifications 
RFI-148 & RFI-900 High Output Power Paging Transmitters User Manual  Page 6 of 99 
1. Introduction 
The RFI-148 and RFI-900 are high power output paging transmitters operating in the VHF and UHF band, 
respectively. 
 RFI-148:  VHF  band  operation  (138  MHz  – 
174 MHz) with 2.5 MHz switching bandwidth 
 RFI-900:  UHF  band  operation  (929  MHz  – 
932 MHz) with 3 MHz switching bandwidth 
 Up  to  250  W  (54  dBm)  maximum  transmit 
power 
 Compatible with: 
 POCSAG  512,  1200,  2400  bps  (2-level 
FSK). 
 FLEX 1600 (2-level FSK), 3200 (2- or 4-
level FSK), 6400 bps (4-level FSK). 
 Windows  GUI  for  configuration  and 
diagnostics  over  serial  or  network  (Cruise 
Control). 
 SNMP diagnostics. 
 TNPP  and  PET/TAP  support  (decoder)  over 
serial or network. 
 POCSAG  encoder  with  in-built  deployment 
test and modulation self-test feature. 
 DSP precision modulation. 
 Integrated isolator. 
 RF diagnostics port for in-rack receiver. 
 Remote firmware update capability. 
 Software selectable frequency offset. 
 Adjustable absolute delay correction. 
 Hardware alarm outputs. 
 Front  panel  indicators  for  power  output  and 
diagnostics. 
 High  frequency  stability  and  external 
reference option. 

  Appendix A Technical Specifications 
RFI-148 & RFI-900 High Output Power Paging Transmitters User Manual  Page 7 of 99 
2. Installation 
2.1 General Considerations 
There are a number of rules to observe when installing a paging transmitter. 
Antenna selection is vital to a good RF link. Different antennas are required depending on the application. 
Please contact your antenna manufacturer or STI Engineering for correct antenna selection. 
Antenna placement has a significant impact on RF link performance. In general, higher antenna placement 
results in a better communication link. A vantage point should be chosen to clear the propagation ellipsoid. 
An unobstructed, line-of-sight link will always perform better than a cluttered or obstructed link. 
Obstructions, such as walls and poles, will distort the antenna radiation pattern and VSWR, resulting in less 
efficient transmission and reception. 
Antennas in close proximity are potential sources of mutual interference. A transmitter can cause overload of 
a  nearby  receiver,  if  due  precautions  are  not  taken  in  antenna  location.  Moreover,  transmitters  in  close 
proximity  may  cause  intermodulation.  Slight  adjustments  in  antenna  placement  may  help  solving 
interference problems. 
All items of radio equipment, such as antennas,  are sources of RF radiation. They should thus be placed 
away from electrical equipment, such as computers, telephones or answering machines. 
Serial cable runs between radio modem and attached terminal equipment (eg RTU or PC) should be kept as 
small as possible. A maximum cable capacitance of 2,400 pF is recommended for transfer rates up to 19.2 
kbit/s.  If  a  non-shielded,  30  pF  /  foot  cable  is  used,  the  maximum  length  should  be  limited  to  80  feet 
(approximately 24m). For higher interface speeds, the length of the serial cable should be shortened. 
Long serial cables should also be avoided in areas with frequent lightning activity or static electricity build-
up. Nearby lightning strikes or high levels of static electricity may lead to interface failure. 
The Ethernet cable from the RFI-148/900250 to the Ethernet switch must be less than 10 metres long.  
STI Engineering supplies a range of external data interface converters for applications requiring long cable 
runs. 
2.2 External Antennas 
Long  antenna  feed  lines  cause  RF  loss,  both  in  transmission  and  reception  levels,  and  degrade  link 
performance. When long cable runs are required use a suitable low-loss cable.  
As an example, RG58 (tinned-copper braid) will exhibit a loss of 7.1 dB / 30 m at 148 MHz – 174 MHz, 
whereas RG58 CellFoil will exhibit 3 dB less (4.2 dB / 30 m). 
Antennas should not be located within close reach of people, due to radiation hazard. Exposure guidelines 
should be followed at all times. 

  Appendix A Technical Specifications 
RFI-148 & RFI-900 High Output Power Paging Transmitters User Manual  Page 8 of 99 
Use  extreme  caution  when  installing  antennas  and  follow  all  instructions  provided.  Because  external 
antennas are subject lightning strikes, STI Engineering recommends protecting all antennas against lighting 
strike by using lightning surge arrestors. 
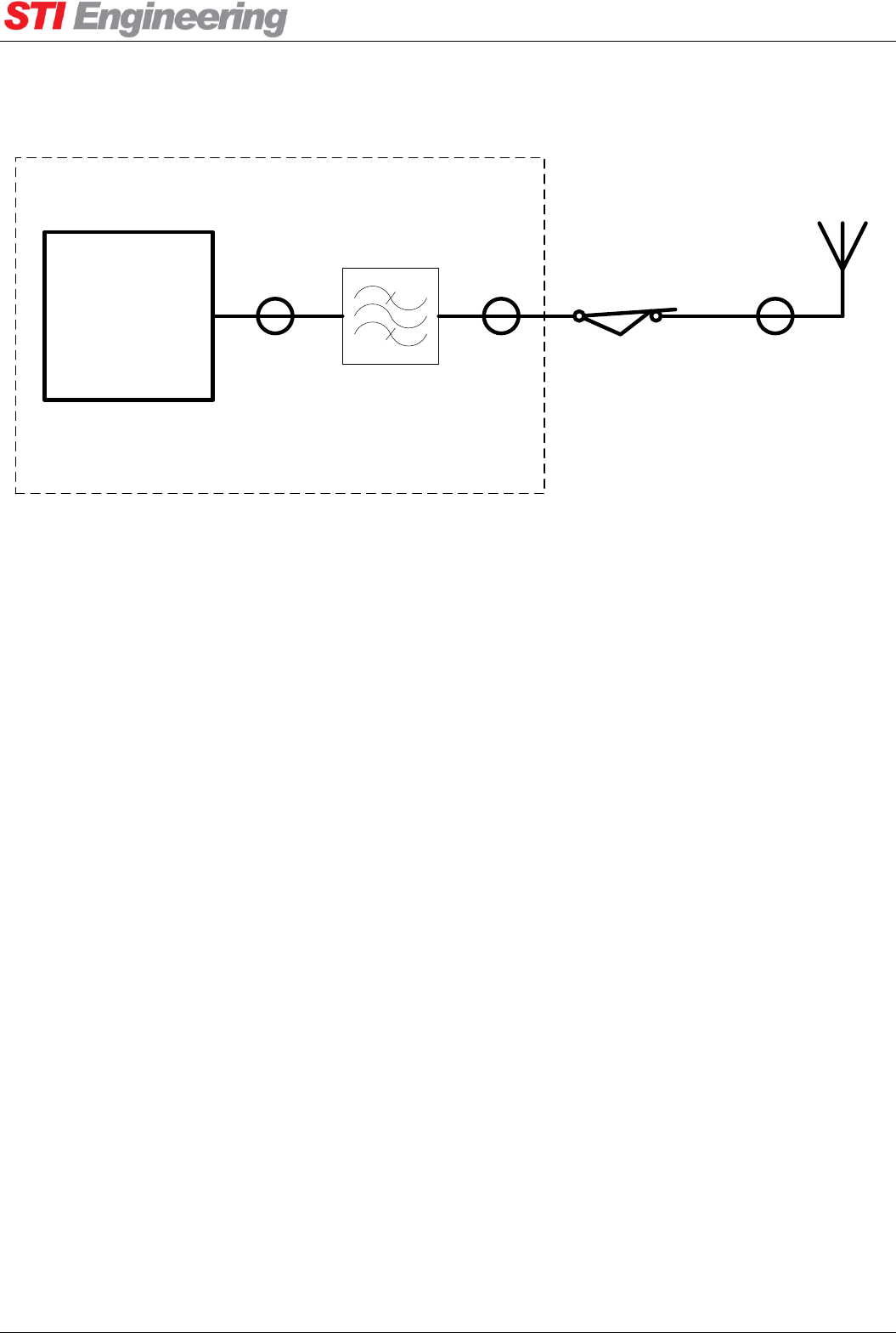
2.3 Product Installation 
The back panel of the AC model paging transmitter is shown below in Figure 1. 
Figure 1: Paging Transmitter Back Panel (AC model shown) 
1. System  Ground: External connection for system ground. When  connecting a 24 VDC supply the 
negative line is connected to the system ground. When connecting a -48 VDC supply the positive 
line is connected to the system ground 
2. RF Output: Modulated RF output from the paging transmitter. N-type female connector. 
3. External  Frequency:  External  reference  input  for  accurate  channel  synthesis.  BNC  female 
connector. 
4. Ethernet:  Ethernet  connection for  configuration and  diagnostics  over  UDP. RJ45  connector. The 
Ethernet cable from the RFI-148/900250 to the Ethernet switch must be less than 10 metres long. 
5. AC Switch: Power switch. 

  Appendix A Technical Specifications 
RFI-148 & RFI-900 High Output Power Paging Transmitters User Manual  Page 9 of 99 
6. Power Supply Input: The power supply input is model-specific. The AC input connector is shown in 
Figure 1. 
a. 24VDC  Model:  20  to  31.2  VDC  input  range  for  24  V  nominal.  Phoenix  terminal  block 
connector. 
b. -48VDC Model:  -40.5 to -57 VDC input range for -48 V nominal. Phoenix terminal block 
connector. 
c. 110/240VAC Model: 100 to 250 VAC, 50 to 60 Hz 
7. RF Diag: Sniffer port for diagnostics. TNC female connector. 
8. 24V  DC  Output  (RFI-900  only): Enabled  via  Cruise  Control  (Encoder  Interface  →  24  V  DC 
Output),  the  RFI-900  can  source  up  to  2A  at  24V  to  an  external  load.  Phoenix  terminal  block 
connector (plug supplied). 
9. LIU Interface: Combined alarm and encoder interface. DC-37 female connector. 
10. RS-232: Rear serial port.  
a. RFI-148: DE-9 male connector (DTE) 
b. RFI-900: DE-9 female connector (DCE). 
2.3.1 Installation Guidelines to Ensure Safe Exposure Levels 
The following installation guidelines ensure that safe exposure levels to radio frequency radiation are not 
exceeded: 
1. Ensure the unit is switched off, and the mains power supply is unplugged. 
2. Properly connect antennas, and RF cabling. 
3. Connect other cabling, leaving power cables last. 
4. Ensure that the safe distance limits in Table 1 are met before powering and operating the unit, using 
physical exclusion barriers if necessary. 

  Appendix A Technical Specifications 
RFI-148 & RFI-900 High Output Power Paging Transmitters User Manual  Page 10 of 99 
2.3.2 Typical Installation 
RFI-148/900 250 
Paging 
Transmitter
Inside weather-proof structure
2 m EUPEN 5092-
HFLR cable 5 m LDF4-50 
cable
30 m LDF4-50 
cable
Huber+Suhner 
3401 series 
lightening 
protector
Band-pass 
cavity filter
Antenna
Figure 2: Typical installation components 
In a typical installation the RFI-148/900 250 will be housed in a weather-proof structure. Inside the weather- 
proof structure a 2 m EUPEN 5092-HLFR cable will connect the antenna port of the RFI-148/900 250 to the 
input of a band-pass cavity filter (CV1417-0111-11 for RFI-148 or CV9296-0511-11 for RFI-900) . A 5 m 
run  of  LDF4-50  cable  will  connect  to  the  output  of  the  band-pass  cavity  filter,  exit  the  weather-proof 
structure into the input of a Huber+Suhner 3401 series lightening protector mounted on the outside of the 
weather-proof structure. A 50 m run of LDF4-50 cable will connect to the output of the Huber+Suhner 3401 
series lightening protector, run across to a 30 m antenna tower via a cable tray, then run up the tower to an 
antenna (COL54 for RFI148 or COL806 for RFI-900) mounted  at the top. The installation is completely 
fenced off and secured with lock and key. 

  Appendix A Technical Specifications 
RFI-148 & RFI-900 High Output Power Paging Transmitters User Manual  Page 11 of 99 
Figure 3: Typical installation site 
Weather-proof 
structure containing 
RFI-148/900 250 
paging transmitter 
Antenna 
height ≈ 
30 m 
Antenna 
A clear installation will provide optimal radio signal propagation.  
High rise building distance > 40 m 
Installation is completely 
fenced off. 

  Appendix A Technical Specifications 
RFI-148 & RFI-900 High Output Power Paging Transmitters User Manual  Page 12 of 99 
2.4 Safety and Compliance 
This device complies with Part 15 of the FCC Rules. Operation is subject to the following two conditions: 
(1)  This  device  may  not  cause  harmful  interference,  and  (2)  this  device  must  accept  any  interference 
received, including interference that may cause undesired operation. 
2.4.1 Human Exposure to Emissions, Safe Distances 
RF radiation source 
Safe distance  
Notes 
RFI-148/900 250 mechanical enclosure 
> 15 cm 
Transmit signal RF cabling 
> 15 cm 
Antenna  < 6 dBi gain 
> 7 m 
These distances are used to 
determine the minimum 
antenna height and distance 
to nearest high-rise 
habitable structures 
Antenna < 8 dBi gain 
> 8 m 
Antenna < 10 dBi gain 
> 10 m 
Antenna < 12 dBi gain 
> 13 m 
Antenna < 14 dBi gain 
> 16 m 
Table 1: Human exposure to emissions, safe distances 
For further information on human RF exposure, contact your local health department. For example, Health 
Canada’s Safety Code 6 provides a comprehensive set of Canadian guidelines. 
2.4.2 Equipment Installation 
Any devices that connect to the data ports must comply with clause 4.7 of EN 60950-1. 
The installation should be in accordance with EN 50310:2010. 
2.4.3 Modifications 
CAUTION:  Changes  or  modifications  not  expressly  approved  by  STI  Engineering  will  void  the  user’s 
authority to operate the equipment legally, as well as any warranty provided. 

  Appendix A Technical Specifications 
RFI-148 & RFI-900 High Output Power Paging Transmitters User Manual  Page 13 of 99 
3. Configuration 
3.1 Overview 
There are six interfaces available for configuration and diagnostic information to be monitored: 
 Cruise  Control  management  interface:  All  configuration  and  diagnostics  parameters  can  be 
accessed using the Windows-based Cruise Control Graphical User Interface (GUI). 
 SNMP interface: Support for diagnostics using SNMP through the RFI SNMP Proxy agent. 
 Terminal menu interface: A navigable menu system is available that has all the configuration and 
diagnostics that Cruise Control provides. 
 AT  command  interface:  The  AT  command  interface  provides  a  subset  of  the  configuration  and 
diagnostic information available over Cruise Control with ASCII Hayes attention commands. For a 
list of AT commands see Appendix D Hayes AT Reference. 
 Front panel interface: The front panel consists of six status LEDs and a transmit power gauge. 
 LIU  interface:  The  combined  LIU  interface  has  digital  inputs  and  alarm  outputs  for  limited 
configuration and diagnostic output. 
3.2 Cruise Control 
This section outlines how to use Cruise Control with the paging transmitter. For more information see the 
Cruise Control User Manual. Figure 4 below is a screenshot of Cruise Control running on Windows 10. 
Figure 4: Cruise Control Interface 

  Appendix A Technical Specifications 
RFI-148 & RFI-900 High Output Power Paging Transmitters User Manual  Page 14 of 99 
3.2.1 Installation 
The requirements for using the Cruise Control application are: 
 Pentium III+ Processor. 
 Windows XP (x86) or Windows 7 (x86 and x64). 
 At least 1 available serial port or a network connection to the device. 
3.2.2 Connecting to the Paging Transmitter 
SERIAL 
To connect to a device with RS-232, attach the paging transmitter to the PC running Cruise Control via a 
serial  port.  Configure  the  Cruise  Control  communication  settings  using  Device  ->  Configure 
Communications, ensure that Serial is selected from the dropdown box and enter in the serial settings 
(The front serial port is locked to 19200 8N1). 
Use the Device -> Connect to Local Device menu item to connect to the local device.  
ETHERNET 
To connect to a device over a network, the device IP address must be known. Configure the Cruise Control 
communication settings  using  Device  ->  Configure  Communications, ensure  that UDP  is selected 
from the dropdown box and enter the device IP address. For the UDP port, enter 64250, 64251 or 64252. 
The paging transmitter listens on UDP ports 64250, 64251 and 64252 for data and will not allow more than 
one simultaneous session per port. If the paging transmitter does not respond to Cruise Control on a UDP 
port, try another port as a connection could already be active on that port. 
Use the Device -> Connect to Local Device menu item to connect to the device.  
3.2.3 Device Navigation 
Once  all  the  settings  have  been  downloaded  from  the  device,  the  available  configuration  groups  are 
displayed in a tree on the left. Items that can be configured in each group are displayed in tables on the right. 
The names of editable items are displayed in black. Read only items have their names in grey. 
3.2.4 Sensor Gauges 
Cruise  Control  can  provide  real-time  operational  information  for  paging  transmitters  using  the  Sensor 
Gauges plugin. A screenshot of the Sensor Gauges plugin is shown below in Figure 5. 

  Appendix A Technical Specifications 
RFI-148 & RFI-900 High Output Power Paging Transmitters User Manual  Page 15 of 99 
Figure 5: Cruise Control Sensor Gauges Plugin 
To view Sensor Gauges for a paging transmitter, first connect to the paging transmitter using Cruise Control. 
Then use the Tools -> Plugins -> Sensor Gauges menu item to open the Sensor Gauges plugin.  
The  Sensor  Gauges  will  automatically  update,  with  the  needles  showing  the  current  value  of  the  gauge 
parameter. The green region indicates the expected normal operating value for the parameter. The upper and 
lower cut-off values for the sensor (see section 0) determine the range of the green region. There is a red 
indicator below each gauge which turns on when the parameter exceeds the upper or lower cut-off value. 
The Groups option box on the left shows the different groups of gauges available, grouped by the unit of 
measurement of  the  sensor.  There  are also two  additional  groups, overview and all. The overview  group 
provides a subset of the most informative gauges for quick diagnostic troubleshooting. The all group shows 
all of the gauges. 
3.2.5 Firmware Update 
Cruise Control supports the updating of device firmware. Cruise Control will only allow firmware images 
that are compatible with the paging transmitter to be uploaded. For more information, see section 0. 

  Appendix A Technical Specifications 
RFI-148 & RFI-900 High Output Power Paging Transmitters User Manual  Page 16 of 99 
3.3 SNMP 
RFI SNMP Proxy is an SNMP agent which allows configuration and diagnostics via SNMP.  RFI SNMP 
Proxy  can  be  installed  on  a  Windows  or  Debian  Linux  system,  including  embedded  devices  capable  of 
running Linux.  
In smaller networks, RFI SNMP Proxy may be run on the same machine as an SNMP network monitoring 
application. SNMP communication may be done via IP loopback as shown in Figure 6. Alternatively, RFI 
SNMP Proxy may run on existing embedded devices connected to the transmitter by Ethernet, as shown in 
Figure 7. 
Figure 6: RFI SNMP Proxy running on a central server 
SNMP versions 1 and 2c are supported. The community string ‘public’ should be used when issuing SNMP 
requests.  RFI  SNMP  Proxy  is  compatible  with  standard  SNMP  managers  and  other  SNMP  client 
applications. An SMI MIB file defining OIDs for this product is available from STI Engineering. 
RFI  SNMP  Proxy  communicates  with  the  paging  transmitter  via  a  proprietary  protocol  using  UDP  port 
64252 through the Ethernet interface. 
Not all configuration and diagnostic parameters may be accessed via SNMP. See Appendix C.2 for a list of 
values which may be accessed via SNMP. 

  Appendix A Technical Specifications 
RFI-148 & RFI-900 High Output Power Paging Transmitters User Manual  Page 17 of 99 
Figure 7: RFI SNMP Proxy running on embedded hardware on remote sites 
3.4 Terminal Menu Interface 
The terminal menu provides access to all configuration parameters in the radio. 
To access the terminal menu execute the AT? command at the Hayes AT command interface. See section 3.5 
on page 17 for information on executing AT commands. The terminal menu will not be started if it is open 
on another port, instead the BUSY response is returned. 
The terminal menu is available over serial, UDP (ports 64250 and 64251) and TCP (port 23). 
3.5 Hayes AT Command Interface 
The paging transmitter supports Hayes ATtention commands. These are used to query and change device 
configuration and probe performance parameters. AT commands are available via serial port, and via TCP 
port 23 on the Ethernet interface. 
The format for the query and configuration AT command is: 
ATxxx<[I1, I2, … In]><=value><TERM> 
Where: 
 AT is the attention code. All AT commands must be prefixed with AT. This is case insensitive, so 
At, aT, or at can also be used. 
 xxx is the actual command. The list of valid AT commands is given in Appendix D on page 54. 
 <[I1, I2, … In]> is an optional section that allows the specification of an index. Indexes are 
used to access one of an array of similar items. For example, the paging transmitter has a list of 
sensor values  which can  be  accessed using the  ATI90 indexer.  The command  ATI90[0]  will 
read the PA temperature, while the command ATI90[1] will read the driver temperature.  
 <=value> is an optional section that is used to set the value of a configuration parameter. If this 
section is omitted, then the value of the configuration parameter will be displayed. 
 <TERM>  is  the  terminator  for  the  AT  command.  A  terminator  can  consist  of  a  carriage  return 
(ASCII value 13Decimal) or a carriage return followed by a line feed (ASCII value 10Decimal). 

  Appendix A Technical Specifications 
RFI-148 & RFI-900 High Output Power Paging Transmitters User Manual  Page 18 of 99 
A response is generated for each AT command issued. Responses to AT commands are shown in Table 2. 
Response 
Code 
Response 
Number 
Description 
OK 
0 
Returned whenever a command is entered that is executed correctly. 
ERROR 
4 
Returned whenever a command is invalid or could not be executed. 
BUSY 
7 
Returned when an attempt is made to enable the menu via AT? but the menu 
system is already enabled on the other serial port. 
Table 2: AT command response codes 
3.5.1 List Slicing Syntax 
Multiple indexes of an indexer can be queried in a single AT command using the list slicing syntax.  AT 
command sets cannot be used with the list slicing syntax. The list slice syntax uses the colon ‘:’ operator to 
indicate a range of indexes to retrieve. Each value retrieved is printed on a new line. 
For example, the AT command for retrieving a single sensor value is  I90[n] where n is the index of the 
sensor.  To  retrieve  the  first  four  sensor values  (PA,  Driver, PA  Ambient,  and  Isolator  temperatures) the 
following syntax can be used: 
Figure 8: List slicing syntax on the current sensor value 
Running the list slice operator ‘:’ without specifying the range will return the length of the indexer: 
Figure 9: List slicing syntax for the length of an indexer 
3.5.2 Sequenced AT Commands 
A series of get AT commands can be concatenated into a single AT command, known as a sequenced AT 
command. AT  command  sets  cannot be sequenced. A sequenced  AT  command begins with the attention 
code, AT, followed by a number of commands, followed by the terminator.  
For example, the AT commands for the serial number, current channel, and main serial port baud rate are I6, 
S54 and S100[0], respectively. These commands can be run separately: 
ATI90[0:3] 
45 
42 
39 
30 
OK 
ATI90[:] 
27 
OK 

  Appendix A Technical Specifications 
RFI-148 & RFI-900 High Output Power Paging Transmitters User Manual  Page 19 of 99 
Figure 10: Separate AT commands 
Alternatively, they can be concatenated and run as a sequenced command: 
Figure 11: Sequenced AT command 
3.6 Front Panel Interface 
The front panel interface consists of six status LEDs and a transmit power gauge. The panel is illustrated in 
Figure 12 and the function of each LED is described in Table 3. 
LED 
Colour 
Description 
Transmit On 
Green 
Turns on when the transmitter is on. 
Fault 
Red 
Turns on when any fault is active. Will flash in unison with the 
Serial/Ethernet LED if there are serial errors. 
Low Power 
Red 
Turns on when the sensed transmit power is lower than the 
lower cut-off value as specified in the sensor parameters. 
High VSWR 
Red 
Turns on when the isolator VSWR is higher than the higher cut-
off value as specified in the sensor parameters. 
Serial/Ethernet 
Green 
Flashes when serial or Ethernet data is transmitted or received. 
Power 
Green 
Turns on/off at 1 Hz while power is supplied. 
Power Gauge 
Green/Red 
A bar graph displaying current transmit power. 
Table 3: Front panel LED descriptions 
ATI6 
F00012K01000  
OK 
ATS54 
1 
OK 
ATS100[0] 
8 
OK 
ATI6S54S100[0] 
F00012K01000  
1 
8 
OK 

  Appendix A Technical Specifications 
RFI-148 & RFI-900 High Output Power Paging Transmitters User Manual  Page 20 of 99 
TRANSMIT ON 
FAULT 
LOW POWER 
HIGH VSWR 
SERIAL/ETHERNET 
POWER 
25 
250 
125 
TX POWER (W) 
Figure 12: Front Panel Display 
3.7 LIU Interface 
The LIU interface is a DC-37 female connector at the rear of the paging transmitter. The pin-out for the LIU 
Interface  can  be  found  in  Appendix  A.4.  The  LIU  interface  has  nine  digital  inputs
1
  and  fourteen  alarm 
outputs. The alarm outputs are numbered 1 to 13 with an additional combined alarm and are configurable. 
The digital inputs are: 
 Frequency Select 1 
 Frequency Select 2 
 Frequency Select 3 
 Frequency Select 4 
 Protocol Select 
 Hardware PTT 
 Tx Data L-bit 
 Tx Data H-bit 
 Transmit Clock 
 Aux Input 1 (RFI-148 only) 
Use of the hardware PTT, protocol select and frequency select inputs are all optional and may be disabled in 
software. The use of the transmit clock is optional for 2-level protocols, but required for 4-level protocols. 
1
 RFi-148 has an extra, general purpose input “Aux Input 1,” for a combined total of 10. 

  Appendix A Technical Specifications 
RFI-148 & RFI-900 High Output Power Paging Transmitters User Manual  Page 21 of 99 
4. Operation 
4.1 Serial Port Operation 
4.1.1 Overview 
The RFI-148/900250 has two RS-232 serial ports, providing support as shown in Table 1. The serial port 
pin-outs can be found in Appendix A.3 on page 45. 
Serial Ports 
Front 
Connector Type 
Female DE9 (DCE) 
Supported 
TX, RX, GND. 
Rear 
Connector Type 
RFI-148 
RFI-900 
Male DE9 (DTE) 
Female DE9 (DCE) 
Supported 
TX, RX, and GND, 
RTS and DTR outputs 
CTS and DCD inputs 
Table 4: Serial port availability. 
4.1.2 Configuration 
The rear serial port supports the following configuration options: 
 Baud rate: 300, 600, 1200, 2400, 4800, 9600, 19200, 38400, 57600 or 115200. 
 Data bits: 7 or 8. 
 Parity: None, odd, or even. 
 Stop bits: 1 or 2. 
The front serial port is locked into a specific configuration to ensure a fail-safe way to communicate with the 
paging transmitter: 
 Baud rate: 19200. 
 Data bits: 8. 
 Parity: None. 
 Stop bits: 1. 
4.1.3 Statistics 
Statistics are maintained for both serial ports. These statistics are listed in Table 21 in Appendix C.1. All 
statistics are reset if power is removed. 
Serial Ports -> [Rear|Front] Settings 

  Appendix A Technical Specifications 
RFI-148 & RFI-900 High Output Power Paging Transmitters User Manual  Page 22 of 99 
These  statistics  may  be  useful  in  troubleshooting.  For  example,  Rx  framing errors  may indicate  that  the 
serial port configuration does not match the serial port configuration of the link partner. 
4.2 Ethernet Operation 
4.2.1 Overview 
The paging transmitter has one 10BASE-T/100BASE-TX Ethernet port. Auto-negotiation of link speed is 
supported, including duplex mode. There is also a software override for forcing the parameters of the link. 
4.2.2 IP Addressing 
The paging transmitter supports IPv4. The paging transmitter may have a statically assigned IP address or 
obtain an IP address as a DHCP client.  
A static IP address may be configured with a single static address. A subnet mask and default gateway may 
be configured to allow communication across sub-networks.  
The paging transmitter may act as a DHCP client. This allows a DHCP server to assign an IP address to the 
paging transmitter. By default, the DHCP client is enabled and the hostname of the paging transmitter is of 
the form “rfi-serial_number” where serial_number is the factory assigned serial number of the unit. If the 
unit does not receive an IP address from the DHCP server, the IP interface will not work. 
4.2.3 Statistics 
Both IP and Ethernet packet statistics are independently recorded and presented as combined figures for all 
active data streams since the transmitter was last powered-up. A power-cycle of the transmitter clears this 
data. 
4.3 Transmitter Operation 
4.3.1 Transmit Power 
The RFI-148/900250 supports transmit power from 20 to 250 Watts in 1 Watt increments. 
POWER FOLDBACK 
The power foldback is a configurable percentage which calculates the power to foldback to when the scale 
transmit power fault action is latched. For example, for a transmit power of 250 W and a power foldback of 
50%, the transmitter will transmit at 125 W when the scale transmit power fault action is latched. See section 
5.2.1 for more information on fault actions. 
4.3.2 Channel Selection 
The RFI-148/900250 has up to sixteen radio channels. Each channel represents a transmit frequency.  
LAN Interface 
Radio -> Power 
Radio -> Channel 

  Appendix A Technical Specifications 
RFI-148 & RFI-900 High Output Power Paging Transmitters User Manual  Page 23 of 99 
The channel frequencies can be set anywhere within the radio switching bandwidth, but must equal integer 
multiples of the raster frequency. 
The  channel  to  be  used  can  be  set  by 
adjusting the current channel setting. 
ENCODER CHANNEL CONTROL 
The active channel can be set by adjusting the current channel setting in software. Alternatively, “Encoder 
Channel Control” may be enabled and the channel set through the LIU interface as shown in Table 5 below. 
If encoder channel control is used, the channel cannot be changed in software. 
Channel 
CH4 
CH3 
CH2 
CH1 
1 
N/C 
N/C 
N/C 
N/C 
2 
N/C 
N/C 
N/C 
Gnd 
3 
N/C 
N/C 
Gnd 
N/C 
4 
N/C 
N/C 
Gnd 
Gnd 
5 
N/C 
Gnd 
N/C 
N/C 
6 
N/C 
Gnd 
N/C 
Gnd 
7 
N/C 
Gnd 
Gnd 
N/C 
8 
N/C 
Gnd 
Gnd 
Gnd 
9 
Gnd 
N/C 
N/C 
N/C 
10 
Gnd 
N/C 
N/C 
Gnd 
11 
Gnd 
N/C 
Gnd 
N/C 
12 
Gnd 
N/C 
Gnd 
Gnd 
13 
Gnd 
Gnd 
N/C 
N/C 
14 
Gnd 
Gnd 
N/C 
Gnd 
15 
Gnd 
Gnd 
Gnd 
N/C 
16 
Gnd 
Gnd 
Gnd 
Gnd 
Table 5: Channel selection via LIU Interface 
4.3.3 Push-To-Talk (PTT) 
There are three methods available to turn the transmitter on: 
 Software PTT: Software PTT is available using Hayes AT commands, through the Cruise Control 
GUI, or through the terminal menu interface. It is also selected implicitly when enabling TNPP or 
PET/TAP on either a serial or Ethernet stream. 
Encoder Interface -> Encoder Channel Control 

  Appendix A Technical Specifications 
RFI-148 & RFI-900 High Output Power Paging Transmitters User Manual  Page 24 of 99 
 Hardware  PTT:  Hardware  PTT  is  available  through  the  LIU  connector.  Hardware  PTT  can  be 
configured to be active high or active low. The delay from hardware PTT to transmitter on and data 
ready is 10 ms. 
 Auto PTT: Auto PTT is performed by detecting a change in the data bits on the LIU and turning on 
the  transmitter.  When  using  auto  PTT  some  preamble  will  be  lost;  some  encoders  may  need  to 
increase preamble time. 
Hardware  PTT  can  be  enabled  using  the  “Encoder  Hardware  PTT”  option  and  auto  PTT  can  be  enabled 
using the “Auto PTT” option in the “Encoder Interface” menu. Hardware PTT and auto PTT cannot both be 
enabled at the same time. 
PTT TURN OFF DELAY 
The unit has the option to leave the transmitter on for a set duration after receiving a PTT off signal. This 
delay is driven by software and typically accurate to 100 ms. 
TRANSMIT TIMEOUT 
The unit can automatically raise a fault if the transmitter has been transmitting for too long. By default, the 
transmit timeout feature is disabled. If enabled, the transmit timeout fault causes the transmitter to key down 
and set the PTT system override to disable transmit. See section 5.2.1 for 
more information on fault actions. 
PTT OVERRIDE 
Transmitter  PTT  can  be  completely  disabled  which  stops  the  paging  transmitter  from  transmitting.  PTT 
override can be changed using the “PTT override” setting. 
In  some  cases  the  paging  transmitter  will  disable  itself  from  transmitting.  If  PTT  override  is  disabling 
transmit  the  “PTT  Override  Status”  will  describe  what  caused  the  override.  There are  five  circumstances 
where the paging transmitter will override PTT: 
 User: The PTT override has been configured to “Disable Transmit”. 
 Listening: The isolator mode is set for listening (for operation of the isolator see section 0). 
 Fault: The disable transmit fault action is active (for more on fault actions see section 0). 
 Loading Config: Cruise Control is loading a configuration file. 
 In Standby: The unit is in Standby due to the Hot Standby operation (see section 7 Hot Standby 
Operation). 
PTT is enabled once the source of the override is addressed. 
Radio -> PTT Turn Off Delay 
Radio -> Transmit Timeout 
Radio -> PTT Override 

  Appendix A Technical Specifications 
RFI-148 & RFI-900 High Output Power Paging Transmitters User Manual  Page 25 of 99 
HARDWARE PTT EDGE OR LEVEL DETECTION 
The transmitter keys up due to the rising or falling edge of the hardware PTT signal – it is based on edge 
detection rather than sampling. However, there are three exceptions to this case where the hardware PTT 
signal is sampled to check for key up: 
 When the unit powers up. 
 When the hardware PTT configuration is changed from Disabled to Enabled. 
 When the unit comes out of PTT Override. 
4.3.4 External Reference 
The transmitter supports an external reference for channel frequency generation. 
To use the external reference, a 5 or 10 MHz sine or square wave -20  dBm to  +15 dBm signal must be 
applied to the “External Frequency” input BNC connector on the back panel. The “Reference Mode” must 
then  be  configured to  “External With  Failover”. The paging transmitter will use the internal reference by 
default. 
The external reference frequency must be configured correctly in order to lock to the external reference. By 
default the external reference is configured to 10 MHz. 
AUTOMATIC REFERENCE SWITCHOVER 
If  the  external  reference  is  selected  as  the  default  reference,  the  transmitter  will  switch  to  the  internal 
reference  in  the  event  of  the  external  reference  failing.  There  are  two  conditions  which  characterise  an 
external reference failure: 
 The external reference is not detected. The external reference won’t be detected if it is less than the 
specified input power. 
 Cannot  lock  to  external  reference.  If  the  frequency  difference  between  the  internal  and  external 
reference drifts too far, the paging transmitter will not lock to the external reference. 
NOTE:  If  the  paging  transmitter  is  transmitting  when 
reference switchover occurs, there may be data loss. 
4.3.5 Absolute Delay Adjustment 
The paging transmitter can insert a small artificial delay on data presented on the LIU interface before it is 
passed  to  the  digital  synthesiser.  The  delay  adjustment  can  be  set  from  0  to  40  ms  in  5  µs  steps.  The 
additional net delay is accurate to  3 µs. 
Absolute delay adjustment can be used for matching delay in: 
 Simulcast networks where transmitters from different manufacturers are used. 
Radio -> Reference 
Radio -> Absolute Delay Adjustment 

  Appendix A Technical Specifications 
RFI-148 & RFI-900 High Output Power Paging Transmitters User Manual  Page 26 of 99 
 Radio and leased line simulcast systems. 
4.3.6 RF Diagnostics 
The paging transmitter provides an RF diagnostics port output on the back panel. The RF diagnostics port 
can be configured for two different modes using the “Isolator Mode” setting: 
 Set for Transmitting: The RF diagnostics port will output a signal identical to that of RF out but at a 
much lower power level. 
 Set for Listening: Insertion loss from RF out to RF diag is decreased to 12 dB. This is a special mode 
of operation used for network testing. NOTE: While in listening mode, PTT override is forced to 
disable transmit. 
LISTEN MODE TIMEOUT 
A timeout can be enabled for listening mode. When the listening mode timeout is enabled, the isolator mode 
will automatically revert to transmitting mode after the timeout expires. The timeout starts when the isolator 
mode is set to listening mode. By default, the listening mode timeout is disabled. 
ISOLATOR FEEDBACK 
The isolator feedback is a read-only field that indicates the isolator status when the isolator is in listening 
mode. When the isolator mode is set  to  listening,  the  feedback  status  will  change to  “Switching”  for  one 
second  and  then  change  to  “Listening  Mode”.  However,  if  the  status  changes  to  “Listening  Failure”  then 
there may be a hardware failure of the mechanical attenuation switch-out. 
4.4 Data 
The RFI-148/900250 supports the following modulation formats: 
 POCSAG: Baud rates of 512, 1200 and 2400 bps (2-level FSK) are supported. 
 FLEX: Baud rates of 1600 (2-level FSK), 3200 (2-level or 4-level FSK) and 6400 bps (4-level FSK) 
are supported. 
 Custom: A customizable deviation and FSK level at baud rates up to 6400 bps. See section 0. 
2-level  FSK  protocol  data may  optionally be  clocked  into  the  paging transmitter  using the  external  data 
clock  or  may  run  asynchronously.  4-level  FSK 
protocols must use the external data clock. 
4.4.1 4-Level Deviation Mapping 
When using 4-level FSK the deviation with respect to the H and L bits is outlined in Table 6 below. Note 
that two interpretations of the H-bit/L-bit are available, denoted as “Legacy” and “Normal” and configurable 
Radio -> Isolator 
Encoder Interface -> 4-Level Operation 

  Appendix A Technical Specifications 
RFI-148 & RFI-900 High Output Power Paging Transmitters User Manual  Page 27 of 99 
via Encoder Interface → 4-Level Operation. The “Legacy/Normal” operation was introduced in firmware 
4.0, firmware versions prior to this operate implicitly in “Legacy” mode. 
H-Bit 
L-bit 
Deviation from Carrier (Hz) 
Legacy 
Normal 
N/C 
N/C 
+
𝐹
𝑑
3 
+
𝐹
𝑑
3 
N/C 
Gnd 
+ 𝐹
𝑑 
−
𝐹
𝑑
3 
Gnd 
N/C 
−
𝐹
𝑑
3 
+ 𝐹
𝑑 
Gnd 
Gnd 
−𝐹
𝑑 
−𝐹
𝑑 
Table 6: Custom 4-level deviation frequency offsets 
Where  𝐹
𝑑  is  the  deviation 
frequency in Hz. 
4.4.2 Carrier Offset 
The  carrier  offset  setting  is  provided  for  use  in  simulcast  paging  networks.  The  offset  from  the  carrier 
frequency  can  be  specified  for  each  protocol.  The  carrier  offset  can  be  set  from  +5000  to  -5000  Hz  in 
increments of 1 Hz.  
4.4.3 Custom Deviation 
The  transmitter  supports  generation  of  non-standard  paging  protocol  settings.  When  the  paging  protocol 
custom is selected, the custom deviation and FSK level are used for that protocol. The custom deviation 
setting  is  useful  for  legacy  paging  systems  with  non-standard  protocols  and/or  paging 
receivers. 
4.5 Fan Control 
The transmitter has two fans for cooling; the front fan is an intake and the rear fan is the exhaust. The fans 
turn  on  at  the  configured  fan  turn  on  temperature,  and  then  turn  off  at  the  configured  fan  turn  off 
temperature. The temperature reference is configurable to either individual sensors, the hottest of all sensors, 
or the hottest of all sensors on the PA and Isolator (‘PA Group Sensors’). 
4.5.1 Fan Override 
There is a fan override feature available to force the fans to turn on at full speed. When fan override is set to 
always on the fans will turn on and ignore the reference temperature. 
Paging Protocols -> Profile [1|2] -> Carrier Offset 
Paging Protocols -> Advanced 
Fan Control 

  Appendix A Technical Specifications 
RFI-148 & RFI-900 High Output Power Paging Transmitters User Manual  Page 28 of 99 
4.5.2 Self-Test 
The  fan  controller  has  a self-test  feature  which  causes the  fans  to  run  at  full  speed  for  a  minute  so  fan 
operation can be verified. The self-test feature runs once every 24 hours by default. 

  Appendix A Technical Specifications 
RFI-148 & RFI-900 High Output Power Paging Transmitters User Manual  Page 29 of 99 
5. Diagnostics 
5.1 Status Monitoring 
The paging transmitter has a number of sensors which are continuously monitored. The sensors are used to 
monitor: 
 Internal voltage and current levels. 
 Ambient and transmitter temperature. 
 Fan operation. 
 Transmitted and reflected power. 
Each sensor has configurable upper and lower cut-offs that will cause a fault when exceeded. For example, if 
the driver temperature upper cut-off is exceeded, the high driver temperature fault will be set active. 
A full list of sensors, units of measure, and range of values can be found in Appendix E. 
5.1.1 Conditional Cut-off Checking 
Some sensors are only compared against their upper and lower  cut-offs  under certain conditions, such as 
when the transmitter is on. The following sensors have conditional cut-off checking: 
During transmission: 
 Exciter current. 
 PA current. 
 Driver current. 
 Reverse power. 
 Transmit power. 
 Driver power. 
 Exciter power. 
 Isolator VSWR. 
While the fans are turned on to full speed: 
 Front and rear fan current. 
 Front and rear fan RPM. 
A sensor that falls outside its cut-offs while its checking condition is met will cause the respective fault to 
become active. A non-latching fault will only be cleared once it has returned to within its cut-offs while its 
checking condition is met. A latching fault must be cleared in software. 
Sensors -> Sensor Configuration 

  Appendix A Technical Specifications 
RFI-148 & RFI-900 High Output Power Paging Transmitters User Manual  Page 30 of 99 
5.1.2 Minimum and Maximum Sensor History 
When  a  sensor  exceeds  a  previous  minimum  or  maximum  value  for  that  sensor,  the  new  minimum  or 
maximum value is saved to non-volatile storage. The minimum and maximum sensor values also use the 
conditional cut-off checking. For example, minimum and maximum transmit power values are only recorded 
during transmission. The sensor history can be cleared to aid in 
troubleshooting. 
5.2 Faults 
Undesirable  operating  conditions  are  reported  using  the  faults  feature  of  the  paging  transmitter.  In most 
circumstances the paging transmitter should not have any active faults. Active faults indicate incorrect setup, 
a hardware issue or misconfiguration of the paging transmitter. 
Faults can be in one of four states: 
 Inactive: The fault is inactive. 
 Fleeting: The source of the fault is currently active; however it has not been active longer than the 
minimum fault duration setting. 
 Active: The source of the fault is currently active. 
 Latched:  
o For Faults: The fault was previously active but the source of the fault is no longer present. 
o For Fault Actions: The fault action has been carried out. 
A list of possible faults can be found in Appendix E. 
5.2.1 Fault Actions 
Each fault can be configured to perform an action when the fault transitions from the inactive (or fleeting) to 
the active or latched state. The actions that are taken due to a fault are called Fault Actions. There are five 
fault actions: 
 Reference switchover: The paging transmitter switches to the internal reference. 
 Disable transmission:  Any  current  transmission is  interrupted,  the  transmitter is  keyed down  and 
future transmissions are disabled. 
 Scale transmit power: Transmit power is reduced to a configured percentage. See section 0. 
 Enable PA current fold-back: The PA current fold-back is engaged. 
 Enable reverse power fold-back: The reverse power fold-back is engaged. 
Faults -> Fault Configuration 

  Appendix A Technical Specifications 
RFI-148 & RFI-900 High Output Power Paging Transmitters User Manual  Page 31 of 99 
Each fault action operates as a fault itself; therefore when a fault action is taken, it can be seen as latched in 
the faults menu and logged in the fault history. Fault actions are latch-only and can only be cleared through 
user intervention. Any actions performed are reverted once the fault action is cleared.  
5.2.2 Fleeting Faults 
The minimum fault duration parameter determines how long the source of a fault is active until it is reported 
to the fault interface. A fault that does not reach the minimum fault duration will not be logged, activate a 
hardware alarm or trigger a fault action. 
5.2.3 Combined Fault 
The combined fault is an optional fault that will become active if any fault within the combined fault set 
becomes active. Each fault can be configured to be part of the combined fault set. The combined fault will 
only become inactive when all of the faults in the combined fault set return to inactive. The combined fault 
has a dedicated alarm output. 
5.2.4 Hardware Alarm Outputs 
A hardware alarm output can be assigned to each fault (see Appendix A.4 for the LIU interface pin-outs). 
When the fault is in the active or latched state, the respective alarm will be set to active. Multiple faults can 
share the same alarm output. The alarm output will only be set inactive if all of the faults that use that alarm 
output are inactive. 
A list of hardware alarms available can be found in section 3.7. 
5.3 Remote Firmware Update and Snapshot 
5.3.1 Update 
The remote firmware update feature is used to upload a firmware image to a paging transmitter for feature 
additions  and/or  bug  fixes.  Remote  firmware  update  requires  a  Cruise  Control  connection  to  the  paging 
transmitter and a valid RFI-148/900250 firmware image file. 
The firmware update process has two stages: uploading the firmware image to the paging transmitter and 
applying the firmware image. 
FIRMWARE IMAGE UPLOAD 
To upload the firmware image to the paging transmitter first connect to the transmitter using Cruise Control. 
In  the  Cruise  Control  interface  select  Device  ->  Load  Firmware  from  the  toolbar.  In  the  new 
window that appears, navigate to the directory where the firmware image file is located, select the file and 
click Upload. The upload process is displayed on the status bar in Cruise Control, near the bottom right. 
Once the upload is finished, the status will display “Monitoring”. 
Note that at this point the firmware image has not been applied. The firmware image is kept in non-volatile 
storage until it is required. 
Diagnostics -> Firmware Update 

  Appendix A Technical Specifications 
RFI-148 & RFI-900 High Output Power Paging Transmitters User Manual  Page 32 of 99 
Once the firmware image has been uploaded, at any later date the firmware image can be applied. 
APPLYING FIRMWARE IMAGE 
To apply an uploaded firmware image, run the “Update Firmware Now” routine. The paging transmitter will 
reset  to  apply  the  image  and  will  be  unresponsive  for  up  to  one  minute.  Note  that  while  the  paging 
transmitter is applying the firmware image, it will not transmit, respond to AT commands or connect with 
Cruise Control. 
Figure 13: “Update Firmware Now” routine 
When the firmware starts up after applying the new image the “Version String” can be inspected to ensure 
the new firmware image was loaded. 
5.3.2 Snapshot 
The paging transmitter has a firmware “Snapshot” used for recovering the paging transmitter to a previous 
state. The snapshot contains a backup of the current firmware and configuration. 

  Appendix A Technical Specifications 
RFI-148 & RFI-900 High Output Power Paging Transmitters User Manual  Page 33 of 99 
To  create  a  snapshot,  run  the  “Take  Firmware  Snapshot”  routine.  The  paging  transmitter  will  continue 
operating normally during the snapshot process, which takes up to one minute to complete. The progress of 
the snapshot is displayed in the “Snapshot Progress” field. 
The snapshot can be reverted to at any stage. This can be useful to revert back to a ‘known good state’ if the 
paging transmitter has been misconfigured or has been updated with an unwanted firmware update. To revert 
to the snapshot run the “Roll  Back  to Snapshot” routine. The  paging  transmitter  will reset  and take up to 
ninety seconds to revert back to the snapshot firmware and configuration. After reverting to a snapshot the 
paging transmitter will start up with the firmware update exception fault latched to notify that the snapshot 
was used. 
By  default,  the  paging  transmitter  has  a  factory  snapshot  that  contains  default  factory  firmware  and 
configuration. 
5.4 Time 
5.4.1 Real Time Clock 
A battery-backed real time clock is used to track the passage of time. An accurate time is not essential for the 
operation of the transmitter, but aids diagnostics and troubleshooting. The time is used for: 
 Generating time stamps for: 
o The transmitter fault history. 
o Firmware update images. 
 Transmitter uptime since power-up. 
 A short history of transmitter events (PTT on, off). 
TIME ZONE 
The time zone can be specified in hours and minutes as an offset from 
Coordinated Universal Time (UTC). 
5.4.2 SNTP Client 
The transmitter supports time synchronisation using the Simple Network Time Protocol (SNTP) version 4. 
The SNTP client can be disabled or set to unicast mode. In unicast mode, the paging transmitter will query 
the configured time server for time updates at a configurable interval. By default the SNTP client is disabled. 
Diagnostics -> Time 
LAN Interface -> SNTP 

  Appendix A Technical Specifications 
RFI-148 & RFI-900 High Output Power Paging Transmitters User Manual  Page 34 of 99 
6. Internal Encoding 
6.1 Overview 
The RFI PTX supports both internal and external page message encoding: 
 External  Encoding:  The  historical  and  most  common  way  of  interfacing  to  the  RFI  PTX  is  by 
clocking in pre-encoded paging data using the TTL inputs on the LIU. The RFI PTX will typically 
interface with a Base Station Controller (BSC) that provides the encoded data. 
 Internal Encoding: The RFI PTX supports internal encoding of the POCSAG paging standard for 
generating messages when submitted through the serial or Ethernet ports. Messages can be submitted 
using  the  industry  standard  TNPP,  TAP,  or PET  protocols.  A  custom  protocol  developed by  STI 
Engineering  also  provides  an  additional  simple  datagram  protocol  for  submitting  pages:  “Page 
Datagram”. 
This section provides an overview of the internal encoding functionality. 
When internal encoding is in use, the Hardware PTT and Auto PTT 
functions are disabled. 
6.2 POCSAG Settings 
The RFI PTX has several options for the POCSAG protocol in order to support differing networks: 
 Preamble Length: The POCSAG preamble is used to wake up paging receivers and allow them to 
lock to the incoming signal. A default value of 576 bits is used which is the de facto standard for 
POCSAG. 
 Function Override: Allows the function bits in a POCSAG address codeword to be overridden to this 
value. By default the function bits will follow the message encoding (00: Numeric, 01: Tone-only, 
11: Alpha-numeric). The function bits have also been known as the “Group Code”. 
 Purge  Timeout:  The  RFI  PTX  waits  up  until  the  purge  timer  in  order  to  collate  incoming  page 
subsmissions  into  a  single  large  transmission.  This  saves  on  overhead  of  having  to  repeat  the 
preamble. Shorter Purge Timeouts will produce lower latency on page submission to transmission, at 
the  possible  expense  of 
lower  throughput  when 
sending  many  page 
messages. 
PAGE REPEATING 
The RFI PTX supports a set of rules that trigger the repetition of a submitted page messages. When a rule is 
enabled  any  messages  which  match  the  cap  code  will  be  repeated  Count  number  of  times  every  Delay 
seconds. 
Paging Protocols -> POCSAG 
Paging Protocols -> POCSAG -> Page Repeat Rules 

  Appendix A Technical Specifications 
RFI-148 & RFI-900 High Output Power Paging Transmitters User Manual  Page 35 of 99 
6.3 Protocols Supported 
All protocols are accessible through either the rear serial port  or the Ethernet port via TCP or UDP port 
64250. 
6.3.1 TNPP 
The  RFI  PTX  supports  the  ETE  REQ  and  CAP  PAGE  block  types.  The  TNPP  station  address  is 
configurable. 
6.3.2 PET 
The RFI PTX supports the PG1 and PG3 page submission types. Note that the page “zone” for PG3 has no 
effect  on  the  RFI  PTX  and  it  only  accepts  this  value  for  backwards  compatibility.  Also  accepted  is  a 
password  up  to  length  6  characters.  The  password  is  not  checked  and  also  exists  only  for  backwards 
compatibility. 
There are several options available to allow for differences in PET implementations: 
 Line Separator: The RFI PTX can print either a carriage return (<CR>) or a carriage return and line 
feed (<CR><LF>) for line separation. Note that the RFI PTX only accepts lines separated by <CR>. 
 Timeout: The timeout while expecting the next command string is configurable. The RFI PTX starts 
a timer when it is expecting more data. If the timeout expires the RFI PTX PET parsing returns to 
either the Idle or Logged In state. 
 Baud Rate: Due to PET not having a way to submit baud rate with page messages, the baud rate must 
be pre-configured. Standard POCSAG baud rates of 512, 1200, and 2400 are supported. 
 Stay Logged In: This option allows the RFI PTX to remain in the Logged In state (ie, after the PG1 
and password sequence) so messages can be submitted without having to handshake the connection 
each time. This option can be used in conjunction with Implied Login to skip handshaking altogether. 
 Implied Login: If the <STX> character (the start of a message submission) is sent to the RFI PTX 
this option allows the RFI PTX to transition directly to message submission state and skip the login 
handshaking.  
 Detect Numeric Pages: Encode a paging message as numeric if all characters within the message fit 
the  numeric  encoding  scheme  (ie,  all  characters  are  any  of  the  following:  '0',  '1',  '2', 
'3', '4', '5',  '6', '7', '8',  '9', '!', 
'U', ' ', '-', ']', '[').  
6.3.3 TAP 
The TAP protocol is treated the same as PET, however with some extensions: 
Paging Protocols -> Encoding Mode 
Paging Protocols -> TNPP 
Paging Protocols -> TAP/PET 
Paging Protocols -> TAP/PET 

  Appendix A Technical Specifications 
RFI-148 & RFI-900 High Output Power Paging Transmitters User Manual  Page 36 of 99 
 Group Code: The RFI PTX can be configured to accept a group code that trails the pager ID during a 
message submission. The group code can be ‘A’, ‘B’, ‘C’, or ‘D’ when set for “Trailing Character”, 
or ‘1’, ‘2’, ‘3’, ‘4’ when set to “Trailing Digit”.  
6.3.4 Page Datagram 
The Page Datagram  protocol is  request-response.  The maximum datagram length including the  sync  and 
CRC-32 fields is 265 bytes. Any datagrams larger than this will be dropped without response. 
The general format of the protocol is (size in bytes of field shown in parenthesis): 
Sync (1) 
0xCA 
Length (2) 
Type (1) 
Source 
Address (2) 
Sequence 
number (2) 
Packet-specific-data (x) 
CRC-32 (4) 
Header 
Footer 
Figure 14: Page datagram generic format 
The general fields are: 
 Sync (1): The datagram sync byte, always 0xCA 
 Length (2): The length of the datagram, minus the 3-byte header (sync, length) 
 Type (1): The type of the page datagram, see below 
 Source Address (2): The address of the RTU to which the reply (if any) should be sent. This can be 
set to 0xFFFF if unused 
 Sequence number (2): An incrementing sequence number for confirming replies. This can be set to 0 
if unused 
 Packet-specific-data (x): Changes depending on the type field. Each type is shown in the following 
section 
 CRC-32  (4):  32-bit  CRC  generated  by  the  polynomial  0xEDB8832,  with  a  starting  value  of 
0xFFFFFFFF and the resulting value XOR’d with 0xFFFFFFFF. The CRC-32 is generated over the 
whole datagram excluding the Sync and CRC field. 
PAGE SUBMIT 
Submits a page message for transmission by the RFI PTX. The format of the page submit packet is shown in 
Figure 15. 
<header> 
Message 
length (2) 
Baud rate 
(2) 
Message (x) 
<footer> 
Page 
class (1) 
Cap code 
(4) 
Function 
override (1) 
Figure 15: Page submission packet format 
The fields are: 
 <header>: The generic header shown in Figure 14 with the type field set to 0 
 Message length (2): The length of the “Message (x)” field (the only variable length portion of this 
packet) 
Paging Protocols -> Page Datagram 

  Appendix A Technical Specifications 
RFI-148 & RFI-900 High Output Power Paging Transmitters User Manual  Page 37 of 99 
 Baud rate (2): The baud rate as an integer (ie, 512, 1200, 2400). 
 Page class (1): Determines the encoding of the message, one of: 
o 0: Numerical encoding 
o 1: A tone-only message – no message codewords are sent, only an address codeword. The 
message field should be empty 
o 3: Alpha numeric encoding 
 Cap code (4): Also known as pager ID, pager address, pager number, etc. The destination cap code 
for this message. For POCASG the valid cap codes are 1 to (2^21)-1 
 Function override (1): When set to 0, does not override the “function” bits in the address codeword 
and instead uses the page class to determine the function bits. When set to 1 through 4 will encode 
the page as per the page class format, however it will override the function bits to this value. 
 Message (x): 0 to 239 bytes long message 
 <footer>: The generic footer shown in Figure 14 
SUBMIT RESPONSE 
A reply datagram generated by the RFI PTX. The format of the submit response is shown in Figure 16. 
<header> 
<footer> 
Response 
code (4) 
Figure 16: Submit response packet format 
The fields are: 
 <header>: The generic header shown in Figure 14 with the type field set to 1. 
 Response code (4): A 32-bit response code: 
o 0x0: Page submission succeeded 
o 0x1: Page submission failed: too many pages in queue 
o 0x2: Unknown datagram type field 
o 0x3: Unexpected packet length 
o 0x4: Page submission failed: general error 
o 0x10: Nothing was performed – this is a link test reply 
 <footer>: The generic footer shown in Figure 14. 

  Appendix A Technical Specifications 
RFI-148 & RFI-900 High Output Power Paging Transmitters User Manual  Page 38 of 99 
LINK TEST 
A link test is a query with no side effects that confirms the RFI PTX is “alive” and receiving datagrams. The 
reply to a link test query is a submit response but with the response code of 0x10. 
The format of the link test query is shown in Figure 17. 
<header> 
<footer> 
Figure 17: Link test query packet format 
The fields are: 
 <header>: The generic header shown in Figure 14 with the type field set to 2. 
 <footer>: The generic footer shown in Figure 14. 
6.4 Test Functions 
When internal encoding is enabled the RFI PTX can generate test messages as a simple means to confirm 
site operation or perform extended site surveys. 
Paging Protocols -> Test 

  Appendix A Technical Specifications 
RFI-148 & RFI-900 High Output Power Paging Transmitters User Manual  Page 39 of 99 
7. Hot Standby Operation 
7.1 Overview 
Hot standby operation allows the transmitter to operate in sites with high uptime requirements. It features 
automatic fail-over to a secondary transmitter. Hot standby operation is an optional variant to the RFI-148 
and  RFI-900  that  requires  an  additional  external  control  unit  (“RFI-PHSB”:  Paging  transmitting  Hot-
Standby Box). The installation of such a system is illustrated in Figure 18. 
RFI-148 250
(Primary)
RFI-148 250
(Secondary)
RFI-PHSB
Base Station Controller
(Secondary)
Base Station Controller
(Primary)
RF out
Expansion port
Expansion port
RF out
RF out
LIU
LIU
Figure 18: Hot standby system 
The RFI-PHSB contains a high power RF switch to ensure minimal signal loss from the active RFI-148 250 
to the antenna. 
The pair of RFI-148 250 transmitters assume either a Primary or Secondary role. The role of the transmitter 
is  determined  by  which  port  it  is  connected  to  the  RFI-PHSB,  there  are  two  ports  “Primary”  and 
“Secondary”. The typical behaviour is that the Primary RFI-148 250 is keying up and sending paging data. 
7.2 Configuration 
The hot standby operation is configured with the Standby Mode setting: 
 Disabled (Default): The PTX is not operating in a hot standby environment and operates as normal 
 Hardware: The Can Go Active signal is presented on pin 17 of the LIU. Active High. 
 Software: The Can Go Active signal is controlled via Hayes AT command or Cruise Control. 
Encoder Interface -> Hot Standby 

  Appendix A Technical Specifications 
RFI-148 & RFI-900 High Output Power Paging Transmitters User Manual  Page 40 of 99 
Any changes  to  Standby Mode  or installing  the  expansion port connector requires a power cycle to  take 
effect. 
7.3 Operation 
The  Primary  RFI-148  250  has  control  of  the  RF  switch  position.  The  default  switch  position,  when  no 
Primary unit exists or the RFI-PHSB is unpowered, is for the Secondary unit. Upon power up the Primary 
unit will always favour itself for the RF switch position, but the power up default is to leave the switch in the 
Secondary unit position. 
The Primary unit will change the RF switch to itself when all three signals satisfy the conditions: 
 “Can Go Active” is True 
o For Hardware Standby Mode: Pin 17 is HIGH 
o For  Software  Standby  Mode:  “Can  Go  Active  (SW)”  is set  to  “True”  (Hayes  command: 
ATM12=1)” 
 “TX Fault” is False (See section 7.4 below) 
 “PTT” is Inactive 
The Primary unit will change the RF switch to the Secondary unit if any two signals violate the conditions: 
 “Can Go Active” is True 
 “TX Fault” is False 
Both the Primary and Second units know what position the switch is in. If the unit does not hold the switch 
position, transmission is disabled using the “PTT Override” feature. In this case “PTT Override Status” will 
read “DISABLED:In Standby”. Because of this behaviour, the Base Station Controllers providing encoded 
paging  data  and  PTT  need  not  know  of 
the RF switch position. 
7.4 Switchover Faults 
An additional option per fault is provided that is the source of the “TX Fault” signal. By default, any faults 
that  would  usually  cause  paging  messages  to  fail  to  transmit  will  assert  the  “TX  Fault”  signal.  This  is 
configurable  per-fault  within  the  Faults  menu  as  the 
“Go Standby” option. 
7.5 Hardware Feedback 
Two open-collector MOSFET outputs report a summary of the unit state: 
 IN STANDBY (LIU pin 23): Active when the unit is in Standby mode (ie, PTT disabled) 
Faults -> Fault Configuration -> Go Standby 
Encoder Interface -> External I/O 

  Appendix A Technical Specifications 
RFI-148 & RFI-900 High Output Power Paging Transmitters User Manual  Page 41 of 99 
 IS PRIMARY (LIU pin 24): Active if the unit is the Primary unit 

  Appendix A Technical Specifications 
RFI-148 & RFI-900 High Output Power Paging Transmitters User Manual  Page 42 of 99 
Appendix A Technical Specifications 
A.1 Type Approvals 
RFI-148 
Australia / New Zealand 
AS NZS 4769.1 
Australian Supplier ID: N161 
FCC 
CFR 47 Part 15 and Part 90 
FCC ID P5MRFI148 
ETSI 
ETSI EN 300 113, EN 301 
489, EN 60950 
N/A 
Table 7: RFI-148 type approvals 
RFI-900 
FCC 
CFR 47 Part 15 and Part 90 
FCC ID P5MRFI900 
Table 8: RFI-900 type approvals 
A.2 RFI-148/900250 Specifications 
RF Operating Bandwidth 
RFI-148 
RFI-900 
138 MHz – 174 MHz 
929 MHz – 932 MHz 
RF Switching Bandwidth 
RFI-148 
RFI-900 
2.5 MHz 
3MHz 
RF Channel Spacing 
12.5 kHz, 20 kHz, 25 kHz 
RF Channel Occupation 
POCSAG 512   
POCSAG 1200 
POCSAG 2400 
FLEX-2 1600 
FLEX-2 3200 
FLEX-4 3200 
FLEX-4 6400 
6.25 kHz (wide)  3.18 kHz (narrow) 
6.30 kHz (wide)  3.20 kHz (narrow) 
7.45 kHz (wide)  3.78 kHz (narrow) 
6.90 kHz (wide)  3.50 kHz (narrow) 
7.30 kHz (wide)  3.70 kHz (narrow) 
7.00 kHz (wide)  3.55 kHz (narrow) 
7.80 kHz (wide)  3.95 kHz (narrow) 
RF Frequency Raster 
Selectable: 30kHz, 25 kHz, 20 kHz, 15kHz, 12.5 kHz, 10 kHz, 
7.5kHz, 6.25 kHz, 5 kHz, 2.5kHz. 
RF Output 
20 to 250 Watts +/- 0.5 dB 
RF Diag 
Transmitting mode power level: -50 dBm 
Listening mode insertion loss: 12 dB +/- 2 dB 
Internal Reference  
Frequency: 10 MHz 
Stability: +/- 1 ppm (-30 to +75 degrees C) 
External Reference 
Frequency: 5 or 10 MHz 
Amplitude: -20 to 15 dBm 

  Appendix A Technical Specifications 
RFI-148 & RFI-900 High Output Power Paging Transmitters User Manual  Page 43 of 99 
Modulation 
 POCSAG 512, 1200, 2400 bps (2-level FSK). 
 FLEX 1600 (2-level FSK), 3200 (2- or 4-level FSK), 6400 
bps (4-level FSK). 
Real-time Clock   
Time drift: 1 hour after 10 years 
Battery life: 43 years (estimated) 
Ethernet Port 
10BASE-T/100BASE-TX, auto-negotiating. 
Serial Ports 
Dual asynchronous full-duplex RS-232 
Baud rates (rear port only): 300, 600, 1200, 2400, 4800, 9600, 
19200, 38400, 57600, 115200 bps 
Data bits (rear port only): 7 or 8 
Parity (rear port only): None, odd, or even 
Stop bits (rear port only): 1 or 2 
Flow control (rear port only): None or hardware (RTS/CTS) 
Control lines (rear port only): RTS, CTS, DTR, DCD 
Front port configuration locked to 19200 8N1 
Front port: DCE 
Rear Port 
RFI-148 
RFI-900 
DTE 
DCE 
Digital Inputs 
TTL Schmitt trigger with internal 100 KΩ pull-up. 
 Frequency Select 1 
 Frequency Select 2 
 Frequency Select 3 
 Frequency Select 4 
 Protocol Select 
 Hardware PTT 
 Tx Data L-bit 
 Tx Data H-bit 
 Transmit Clock 
 Aux Input 1 (General purpose, RFI-148 only) 
Alarm Outputs 
Open-collector Darlington with 500 mA sink current. 
Input Voltage (Model 
specific) 
24VDC Model: 20 V to 31.2 V for 24 V nominal 
-48VDC Model: -40.5 V to -57 V for -48 V nominal 
110/240V AC Model: 100 to 250 V AC, 50 to 60 Hz 
Operating Temperature 24 
V DC and -48 V DC 
-30 to 55 0C 
Operating Temperature 
110/240VAC 
-30 to 50 0C 
Connectors (DC model) 
DC Power: Terminal block Phoenix Contact 1703454 and cable 
mount plug Phoenix Contact 1967456. 
Front Serial Port: DE-9 RS-232 Female (DCE) 
LIU Interface: DC-37 Female 
Ethernet: RJ45 socket 

  Appendix A Technical Specifications 
RFI-148 & RFI-900 High Output Power Paging Transmitters User Manual  Page 44 of 99 
RF Output: N-type female 50 Ω 
RF Diag: TNC female 50 Ω 
External Reference Input: BNC female 
Rear Serial Port 
RFI-900 
RFI-148 
DE-9 RS-232 
Female (DCE) 
DE-9 RS-232 
Male (DTE) 
DC Output (RFI-900 only) 
Voltage 
24V 
Max. Load 
2A 
Table 9: RFI-148/900250 Specifications 
RFI-148 current draw 
Typical Current Draw at 
24 V DC. 
AMCA, FCC 
ETSI 
 Idle: 0.6 A 
 20 W: 5.85 A 
 100 W: 11.58 A 
 250 W: 17.28 A 
 Idle: 0.6 A 
 20 W: 6.03 A 
 100 W: 11.79 A 
 250 W: 19.05 A 
Typical Current Draw at -
48 V DC. 
AMCA, FCC 
ETSI 
 Idle: 0.5 A 
 20 W: 3.42 A 
 100 W: 6.51 A 
 250 W: 10.31 A 
 Idle: 0.5 A 
 20 W: 3.52 A 
 100 W: 6.89 A 
 250 W: 11.48 A 
Typical Current Draw at 
240 V AC 
ACMA, FCC 
ETSI 
 Idle: 0.10 A 
 20 W: 0.79 A 
 100 W: 1.43 A 
 250 W: 2.14 A 
 Idle: 0.10 A 
 20 W: 0.82 A 
 100 W: 1.46 A 
 250 W: 2.36 A 
Table 10: RFI-148 current draw 
RFI-900 current draw 
Typical Current Draw at 
120 V AC 
Figures quoted are with fans on unless specified. 
 Idle (Fans off): 0.48 A 
 20 W: 2.01 A 
 50 W: 2.84 A 
 100 W: 3.93 A 
 200 W: 5.56 A 
 250 W: 6.22 A 
Table 11: RFI-900 current draw 

  Appendix A Technical Specifications 
RFI-148 & RFI-900 High Output Power Paging Transmitters User Manual  Page 45 of 99 
A.3 Serial Connectors 
A.3.1 Rear Serial Port 
Pin 
Function 
Direction 
RFI-148 
RFI-900 
1 
DCD 
Input 
Output 
2 
RxD 
Input 
Output 
3 
TxD 
Output 
Input 
4 
DTR 
Output 
Input 
5 
GND 
6 
N/A 
7 
RTS 
Output 
Input 
8 
CTS 
Input 
Output 
9 
N/A 
Table 12: Back Panel Connector Pin OutRFI-900 
A.3.2 Front Serial Port (DCE) 
Pin 
Function 
Direction 
1 
N/A 
2 
RxD 
Output 
3 
TxD 
Input 
4 
N/A 
5 
GND 
6 
N/A 
7 
N/A 
8 
N/A 
9 
N/A 
Table 13: Front Connector Pin Out 
A.4 LIU Interface 
Pin 
Function 
Label 
Direction 
1 
Protocol Select 
PRO 
Input 
2 
Alarm 3 
ALM3 
Output 
3 
Alarm 10 
ALM10 
Output 
4 
Alarm 11 
ALM11 
Output 

  Appendix A Technical Specifications 
RFI-148 & RFI-900 High Output Power Paging Transmitters User Manual  Page 46 of 99 
5 
Frequency Select 4 
CH4 
Input 
6 
Frequency Select 3 
CH3 
Input 
7 
Frequency Select 2 
CH2 
Input 
8 
Frequency Select 1 
CH1 
Input 
9 
GND 
GND 
10 
GND 
GND 
11 
Hardware PTT 
PTT 
Input 
12 
Combined Alarm 
COMB 
Output 
132 
Auxiliary Input 1 
Aux Input 1 
Input 
14 
Alarm 1 
ALM1 
Output 
15 
Tx Data L-bit 
LB 
Input 
16 
Tx Data H-bit 
HB 
Input 
17 
LIU Detect OR Hot Standby “Can Go Active” 
DET 
Input 
18 
Tx Data Clock 
CLK 
Input 
19 
GND 
GND 
20 
Alarm 2 
ALM2 
Output 
21 
Alarm 7 
ALM7 
Output 
22 
Alarm 4 
ALM4 
Output 
23 
Alarm 12 OR Hot Standby “IN STANDBY” 
ALM12 
Output 
24 
Alarm 13 OR Hot Standby “IS PRIMARY” 
ALM13 
Output 
25 
N/A 
26 
Alarm 9 
ALM9 
Output 
27 
N/A 
28 
N/A 
29 
Alarm 5 
ALM5 
Output 
30 
Alarm 6 
ALM6 
Output 
31 
Alarm 8 
ALM8 
Output 
32 
+5 V 
5V 
Output 
33 
+5 V 
5V 
Output 
34 
RFI-148 
+12 V 
12V 
Output 
RFI-900 
+24V 
24V 
35 
RFI-148 
+12 V 
12V 
Output 
RFI-900 
+24V 
24V 
36 
RFI-148 
+24 V nominal (Note: identical to DC 
input voltage for 24 VDC model) 
24V 
Output 
2
 A general purpose input available on the RFI-148 only. 

  Appendix A Technical Specifications 
RFI-148 & RFI-900 High Output Power Paging Transmitters User Manual  Page 47 of 99 
RFI-900 
+48 V nominal (Note: identical to DC 
input voltage) 
48V 
37 
RFI-148 
+24 V nominal (Note: identical to DC 
input voltage for 24 VDC model) 
24V 
Output 
RFI-900 
+48 V nominal (Note: identical to DC 
input voltage) 
48V 
Table 14: LIU Interface Pin Out 
Non-exciter-based build 
Exciter-based build 
Interface standards  
5 V CMOS 
5 V TTL (with modification)  
3.3 TTL (with modification)  
3.3 CMOS (with modification) 
5 V CMOS 
5 V TTL  
3.3 TTL  
3.3 CMOS 
Input resistance 
Schmitt trigger with internal 
33 KΩ pull-up. 
Schmitt trigger with internal 
100 KΩ pull-up (148P306-B), 
33 KΩ pull-up (148P306-C). 
Nominal logic high input voltage 
3.3 V to 5 V  
3.3 V to 5 V 
Minimum logic high input voltage 
3.5 V  
2.5 V 
Maximum logic high input voltage 
12 V 
12 V 
Nominal logic low input voltage 
0 V 
0 V 
Maximum logic low input voltage 
1.5 V 
0.5 V 
Minimum logic low input voltage 
-12 V 
-12 V 
Over voltage protection 
±12 V 
±12 V 
Table 15: LIU Encoder Input Specifications 
Non-exciter-based build 
Exciter-based build 
Output transistor type 
Open collector MOSFET 
Open collector Darlington 
Maximum sink current 
500 mA 
50 mA 
Maximum output voltage 
50 V 
12 V 
Table 16: LIU Alarm Output Specifications 

  Appendix B Controller Configurations 
RFI-148 & RFI-900 High Output Power Paging Transmitters User Manual  Page 48 of 99 
Appendix B Controller Configurations 
The following section provides example wiring between the transmitter and some common controllers. 
B.1 Motorola NIU Controller / FLEX Mode 
External NIU(TB3, TB4) 
Transmitter (LIU, DC37) 
TB3-2: Tx Clock 
DC37-18: CLK 
TB3-4: Tx key 
DC37-11: PTT 
TB3-8: GND 
DC37-19: GND 
TB4-2: Rx FQ1 
DC37-15: LB 
TB4-3: Rx FQ2 
DC37-16: HB 
Table 17: Motorola NIU Controller / FLEX Mode Connection 
B.2 Glenayre C2000 Controller / FLEX Mode 
C2000 (J4) 
Transmitter (LIU, DC37) 
J4-10: GND 
DC37-19: GND 
J4-26: TXKEY+ 
DC37-11: PTT 
J4-3: TD0+, MSB 
DC37-16: HB 
J4-34: TD1+, LSB 
DC37-15: LB 
J4-18: Data Clock+ 
DC37-18: CLK 
J4-7: Freq2 
DC37-6: CH3 
J4-6: Freq1 
DC37-7: CH2 
J4-36: Freq0 
DC37-8: CH1 
Table 18: Glenayre C2000 Controller / FLEX Mode Connection 
B.3 Glenayre C2000 Controller / POCSAG Mode 
Encoder 
Transmitter (LIU, DC37) 
Tx Data 
DC37-15: LB 
PTT 
DC37-11: PTT 
GND 
DC37-19: GND 
Table 19: Glenayre C2000 Controller / POCSAG Mode Connection 

  Appendix B Controller Configurations 
RFI-148 & RFI-900 High Output Power Paging Transmitters User Manual  Page 49 of 99 
B.4 Zetron Model 66 Transmitter Controller / POCSAG Mode 
Model 66 
Transmitter (DC37) 
DIG DATA (pin 10) 
DC37-15: LB 
DIG PTT (pin 7) 
DC37-11: PTT 
GND (pin 3) 
DC37-19: GND 
Table 20: Zetron Model 66 Controller / POCSAG Mode Connection 

  Appendix C Management Reference 
RFI-148 & RFI-900 High Output Power Paging Transmitters User Manual  Page 50 of 99 
Appendix C Management Reference 
C.1 Serial Port Diagnostics 
Name 
Description 
AT 
Rx Total 
The size of the input buffer. 
I20[p,0] 
Rx Used 
The number of bytes currently stored in the input buffer. 
I20[p,1] 
Rx Bytes 
The total number of bytes received. 
I20[p,2] 
Rx Errors 
The total number of receive errors that have occurred. Sum of Rx 
Overflows, Rx Overruns, Rx Framing, and Rx Parity errors. 
I20[p,3] 
Rx Overflows 
The number of receive overflow errors that have occurred. An 
overflow occurs when data is received, but the buffer is full. 
I20[p,4] 
Rx Overruns 
The number of overrun errors that have occurred. An overrun 
occurs when the device is overloaded and cannot handle the 
incoming data. 
I20[p,5] 
Rx Framing 
The number of framing errors that have occurred. Framing errors 
usually occur due to mismatched serial port baud rates. 
I20[p,6] 
Rx Parity 
The number of serial parity errors that have been detected. 
I20[p,7] 
Tx Total 
The size of the output buffer. 
I20[p,8] 
Tx Used 
The number of bytes currently stored in the output buffer. 
I20[p,9] 
Tx Bytes 
The total number of bytes that have been transmitted. 
I20[p,10] 
Tx Errors 
The total number of errors that have occurred while transmitting. 
This is equal to the Tx Overflows count. 
I20[p,11] 
Tx Overflows 
The number of transmit overflow errors that have occurred. This 
occurs when there is data to transmit, but the buffer is full. 
I20[p,12] 
Table 21: Serial Port Statistics 

  Appendix C Management Reference 
RFI-148 & RFI-900 High Output Power Paging Transmitters User Manual  Page 51 of 99 
C.2 SNMP Diagnostic Parameters 
Table  22  outlines  the  parameters  accessible  by  SNMP.  An  ‘R’  under  the  access  column  indicates  the 
parameter is read-only; an ‘R/W’ indicates read-write. 
SNMP Textual Name 
Access 
Description 
Diagnostics 
rfiDiagTimeLcl 
R 
The current local time (in seconds since Jan 1 1970). 
rfiDiagTimeLclstring 
R 
The current local time. 
rfiDiagTimeUp 
R 
Seconds since the radio powered up. 
rfiDiagTimeUtc 
R/W 
The current UTC (in seconds since Jan 1 1970). 
Fan Control 
rfiFanCtrlForce 
R/W 
Manual fan override (allows fans to be forced on). 
rfiFanCtrlSensor 
R/W 
Temperature sensor used for fan control. 
rfiFanCtrlTempOff 
R/W 
Sensed temperature below which fans will be turned off. 
rfiFanCtrlTempOn 
R/W 
Sensed temperature above which fans will be turned on. 
rfiFanSensTemp 
R 
Current temperature at sensor used for fan control. 
Faults 
rfiFaultHistTblFault 
R 
The fault that occurred. 
rfiFaultHistTblTime 
R 
The time that the fault occurred. 
rfiFaultTblAction 
R/W 
Configured action to be taken when this fault occurs. 
rfiFaultTblActtime 
R 
Duration for which this fault has been active, or 0 if the fault is 
not active. 
rfiFaultTblCount 
R/W 
The number of times this fault has occurred since the statistics 
were reset. 
rfiFaultTblLatch 
R/W 
Configured latching mechanism for this fault. 
rfiFaultTblName 
R 
Name of the fault in this row of the table. 
rfiFaultTblStatus 
R 
Indicates whether or not this fault condition is currently active. 
Identity 
rfiIdApproval 
R 
International type approval code which applies to this device. 
rfiIdFwver 
R 
Version information for the firmware loaded in this device. 
rfiIdMfdate 
R 
Date on which this device was manufactured. 
rfiIdOphours 
R 
An approximation of the total number of hours that this device 
has been powered up. 
rfiIdProdstr 
R 
The model name for this device. 
rfiIdSerialno 
R 
Factory assigned serial number for this device. 
Paging Protocols 

  Appendix C Management Reference 
RFI-148 & RFI-900 High Output Power Paging Transmitters User Manual  Page 52 of 99 
rfiPageProtSelect 
R/W 
Active protocol profile. 
rfiPageProtTblOffset 
R/W 
Configured carrier frequency offset for this profile. 
rfiPageProtTblProt 
R/W 
Configured paging protocol for this profile. 
Radio Parameters 
rfiRadioFrqChSelect 
R/W 
Currently selected radio channel number. 
rfiRadioFrqChTblNo 
R 
Radio channel number. 
rfiRadioFrqChTblTxfrq 
R/W 
Radio channel transmit frequency. 
rfiRadioFrqRefCur 
R 
The  current  reference  being  used  to  generate  channel 
frequencies. 
rfiRadioFrqRefExt 
R 
The state of the external reference. 
rfiRadioFrqRefMode 
R/W 
The reference selection method. 
rfiRadioIsolatorFeed 
R 
Hardware  feedback  from  the  isolator  attentuation  switchout 
mechanism. 
rfiRadioIsolatorMode 
R/W 
Sets the isolator for normal transmission (high attenuation on RF 
diag  port)  or  for  listening  to  signal  from  antenna,  for  network 
testing (low attenuation on RF diag port, transmission disabled). 
rfiRadioTxDelay 
R/W 
Applies an artificial transmission delay to all data. Can be used 
for matching delay in heterogeneous transmitter networks. 
rfiRadioTxIdletime 
R 
Time since last transmission ended (if not transmitting), or zero 
if currently transmitting. 
rfiRadioTxOntime 
R 
Time since current transmission started (if transmitting), or zero 
if not currently transmitting. 
rfiRadioTxPttAuto 
R/W 
Setting to enable or disable the automatic Push-To-Talk on data 
feature. 
rfiRadioTxPttAutoTmout 
R/W 
No-data timeout for the automatic PTT feature. 
rfiRadioTxPttOverride 
R/W 
Master override allowing transmission to be completely disabled, 
regardless of PTT inputs. 
rfiRadioTxPttStatus 
R 
If PTT is currently disabled, describes what is the source of the 
override. 
rfiRadioTxPttTofftime 
R/W 
Delay  before  turning  off  the  transmitter  after  PTT  off  is 
signalled. 
rfiRadioTxPwrCtrlLvl 
R/W 
Transmitter output power setting. 
rfiRadioTxStatus 
R 
Current transmission status. May be off, on, or waiting for PTT 
delay to expire before turning off. 
rfiRadioTxTimeout 
R/W 
Continuous  transmission  time,  in  seconds,  which  will  cause  a 
Transmit  Timeout  fault  to  occur.  By  default  this  will  disable 
further transmission until the fault is cleared. 
rfiRadioTxTimeouten 
R/W 
Enable or disable the transmit timeout feature. 
Sensors 

  Appendix C Management Reference 
RFI-148 & RFI-900 High Output Power Paging Transmitters User Manual  Page 53 of 99 
rfiSensTblCutoffHi 
R/W 
Upper cutoff value for this sensor. Measurements which exceed 
this cutoff cause a fault. 
rfiSensTblCutoffLo 
R/W 
Lower cutoff value for this sensor. Measurements lower than this 
cutoff cause a fault. 
rfiSensTblFault 
R 
Current fault status associated with this sensor. 
rfiSensTblMax 
R 
Maximum recorded sensor value since the statistics were reset. 
rfiSensTblMin 
R 
Minimum recorded sensor value since the statistics were reset. 
rfiSensTblName 
R 
Name of the fault in this row of the table. 
rfiSensTblVal 
R 
Current measured sensor value. 
Table 22: SNMP Diagnostic Parameters 

  Appendix D Hayes AT Reference 
RFI-148 & RFI-900 High Output Power Paging Transmitters User Manual  Page 54 of 99 
Appendix D Hayes AT Reference 
AT-only commands 
Print All Sensors 
Legacy command for printing all sensor values as a comma separated list.  
ATI100: Runs the Print All Sensors routine 
Print Faults Mask 
Prints a comma separated list of active faults, each fault represented by their index. Prints 'None.' if there are 
no faults active.  
ATI101: Runs the Print Faults Mask routine 
Print Upper Limits 
Legacy command for printing all sensor upper cutoff values as a comma separated list.  
ATI102: Runs the Print Upper Limits routine 
Print Lower Limits 
Legacy command for printing all sensor lower cutoff values as a comma separated list.  
ATI103: Runs the Print Lower Limits routine 
Print Sensor Minimums 
Legacy command for printing all sensor minimum recorded values since last sensor history reset as a comma 
separated list.  
ATI105: Runs the Print Sensor Minimums routine 
Print Sensor Maximums 
Legacy command for printing all sensor maximum recorded values since last sensor history reset as a 
comma separated list.  
ATI106: Runs the Print Sensor Maximums routine 
Read Faults Detailed 
Print all active faults, in the format "<FaultNumber>:<ActiveDuration>:<Counter>, ..."  
ATI180: Runs the Read Faults Detailed routine 
Online 
(Alias for ATO) Exit command parsing mode and go online 
ATO0: Runs the Online routine. 
Online 
Exit command parsing mode and go online 
ATO: Runs the Online routine. 
Reset 
Perform a software reset 
AT&T9: Runs the Reset routine. 
RUF Init 
Initialise the length for a .ruf file transfer 
ATU1=n: Runs the RUF Init routine where n is the length of the .ruf file in bytes. 
RUF Block 

  Appendix D Hayes AT Reference 
RFI-148 & RFI-900 High Output Power Paging Transmitters User Manual  Page 55 of 99 
Send a data block as part of a .ruf file transfer, the CRC over the data is returned 
ATU2=n: Runs the RUF Block routine where n is the .ruf file data block. 
RUF Status 
Query the status of an in-progress .ruf file transfer 
ATU4: Runs the RUF Status routine. 
RUF Query 
Query the most recently completed .ruf file transfer 
ATU5: Runs the RUF Query routine. 
RUF Update 
Execute an update to the most recently transferred .ruf file 
ATU6: Runs the RUF Update routine. 
Save All 
Write through all AT command sets since power-on-reset to EEPROM 
AT&W: Runs the Save All routine. 
Password 
Set the device password 
AT%23=n: Runs the Password routine where n is the new password. 
Open Menu 
Open the terminal menu on this stream 
AT?: Runs the Open Menu routine. 
Stream Index 
Show the index number of this stream 
AT&S0: Runs the Stream Index routine. 
Cruise Control Menu 
Product String 
The model name for this device. 
ATI0: Returns the current value of Product String. 
Manufacture Date 
Date on which this device was manufactured. 
ATI5: Returns the current value of Manufacture Date. 
Serial Number 
Factory assigned serial number for this device. 
ATI6: Returns the current value of Serial Number. 
Radio Menu 
Current Transmit Time 
Time since current transmission started (if transmitting), or zero if not currently transmitting. 
ATP119: Returns the current value of Current Transmit Time. 
Transmitter Idle Time 
Time since last transmission ended (if not transmitting), or zero if currently transmitting. 
ATP116: Returns the current value of Transmitter Idle Time. 

  Appendix D Hayes AT Reference 
RFI-148 & RFI-900 High Output Power Paging Transmitters User Manual  Page 56 of 99 
PTT Override Status 
If PTT is currently disabled, describes what is the source of the override. 
ATP6: Returns the current value of PTT Override Status. 
PTT Override 
Master override allowing transmission to be completely disabled, regardless of PTT inputs. 
ATP7: Returns the current value of PTT Override. 
ATP7=n sets PTT Override to n 
Values accepted: 
0 = Enable Transmit  
1 = Disable Transmit  
PTT Turn Off Delay 
Delay before turning off the transmitter after PTT off is signalled. 
ATP112: Returns the current value of PTT Turn Off Delay. 
ATP112=n[.m]: Sets the value of PTT Turn Off Delay to n s, given that 0.000 <= n <= 65.535. 
Enable Transmit Timeout 
Enable or disable the transmit timeout feature. 
ATP117: Returns the current value of Enable Transmit Timeout. 
ATP117=n sets Enable Transmit Timeout to n 
Values accepted: 
0 = False  
1 = True  
Transmit Timeout 
Continuous transmission time, in seconds, which will cause a Transmit Timeout fault to occur. By default 
this will disable further transmission until the fault is cleared. 
ATP118: Returns the current value of Transmit Timeout. 
ATP118=n[.m]: Sets the value of Transmit Timeout to n s, given that 0.000 <= n <= 4294967.295. 
Absolute Delay Adjustment 
Applies an artificial transmission delay to all data. Can be used for matching delay in heterogeneous 
transmitter networks. 
ATI154: Returns the current value of Absolute Delay Adjustment. 
ATI154=n[.m]: Sets the value of Absolute Delay Adjustment to n ms, given that 0.000 <= n <= 40.000. 
Power Menu 
Transmitter Status 
Current transmission status. May be off, on, or waiting for PTT delay to expire before turning off. 
ATP115: Returns the current value of Transmitter Status. 
(Distributer) Max Tx Power 
Override the maximum configurable transmit power to a sublevel of the radios capabilities. 
ATS209: Returns the current value of Max Tx Power. 
ATS209=n: Sets the value of Max Tx Power to n W, given that 20 <= n <= 250. 
Tx Power 

  Appendix D Hayes AT Reference 
RFI-148 & RFI-900 High Output Power Paging Transmitters User Manual  Page 57 of 99 
Transmitter output power setting. 
ATS45: Returns the current value of Tx Power. 
ATS45=n: Sets the value of Tx Power to n W, given that 20 <= n <= 250. 
Power Foldback 
The percent of transmit power in Watts to foldback to when the scale transmit power fault action goes active. 
ATP120: Returns the current value of Power Foldback. 
ATP120=n: Sets the value of Power Foldback to n %%, given that 0 <= n <= 100. 
Transmit On 
Software PTT method to key up the transmitter. 
ATP3: Runs the Transmit On routine. 
Transmit Off 
Software PTT method to key down the transmitter. 
ATP2: Runs the Transmit Off routine. 
Channel Menu 
Tx Range 
ATS183: Returns the current value of Tx Range. 
Current Tx Freq 
ATS184: Returns the current value of Current Tx Freq. 
Raster 
Read-only node for viewing the raster frequency of the radio. 
ATS185: Returns the current value of Raster. 
Channel Width 
Read-only node for viewing the channel width of the radio. 
ATS186: Returns the current value of Channel Width. 
Current Channel 
Currently selected radio channel number. 
ATS54: Returns the current value of Current Channel. 
ATS54=n: Sets the value of Current Channel to n , given that 1 <= n <= 17. 
(Distributer) Channel Count 
Number of channels that can be switched between using the current channel setting. 
ATS210: Returns the current value of Channel Count. 
ATS210=n: Sets the value of Channel Count to n , given that 1 <= n <= 16. 
Advanced Menu 
(Distributer) Tx Base Freq 
Minimum transmit frequency. 
ATS211: Returns the current value of Tx Base Freq. 
ATS211=n[.m]: Sets the value of Tx Base Freq to n MHz, given that 130.000000 <= n <= 1050.000000. 
(Distributer) Bandwidth 

  Appendix D Hayes AT Reference 
RFI-148 & RFI-900 High Output Power Paging Transmitters User Manual  Page 58 of 99 
The amount of usable frequncies available to the radio. 
ATS212: Returns the current value of Bandwidth. 
ATS212=n[.m]: Sets the value of Bandwidth to n MHz, given that 1.000000 <= n <= 100.000000. 
(Distributer) Raster 
Frequency raster. All channel frequencies must be divisible by the raster. 
ATS57: Returns the current value of Raster. 
ATS57=n sets Raster to n 
Values accepted: 
0 = 0.001 kHz  
1 = 2.500 kHz  
2 = 5.000 kHz  
3 = 6.250 kHz  
4 = 7.500 kHz  
5 = 10.000 kHz  
6 = 12.500 kHz  
7 = 15.000 kHz  
8 = 20.000 kHz  
9 = 25.000 kHz  
10 = 30.000 kHz  
Channel Width 
The radios channel width. 
ATS66: Returns the current value of Channel Width. 
ATS66=n sets Channel Width to n 
Values accepted: 
0 = 12.500 KHz  
1 = 25.000 KHz  
Channel Table  
Tx Freq 
Radio channel transmit frequency. 
ATS55[a]: Returns the current value of Tx Freq. 
ATS55[a]=n[.m]: Sets the value of Tx Freq to n MHz, given that 130.000000 <= n <= 1050.000000. Where: 
a = Channel Table table index (starting from 1) 
Reference Menu 
Current Reference 
The current reference being used to generate channel frequencies. 
ATI122: Returns the current value of Current Reference. 
External Reference 
The state of the external reference. 
ATI123: Returns the current value of External Reference. 
Reference Mode 
The reference selection method. 
ATI120: Returns the current value of Reference Mode. 
ATI120=n sets Reference Mode to n 
Values accepted: 

  Appendix D Hayes AT Reference 
RFI-148 & RFI-900 High Output Power Paging Transmitters User Manual  Page 59 of 99 
0 = Internal  
1 = External With Failover  
Ext. Ref. Frequency 
Configures the frequency of the external reference. 
ATI121: Returns the current value of Ext. Ref. Frequency. 
ATI121=n sets Ext. Ref. Frequency to n 
Values accepted: 
0 = 5 MHz  
1 = 10 MHz  
Isolator Menu 
Feedback 
Hardware feedback from the isolator attentuation switchout mechanism. 
ATP33: Returns the current value of Feedback. 
Isolator Mode 
Sets the isolator for normal transmission (high attenuation on RF diag port) or for listening to signal from 
antenna, for network testing (low attenuation on RF diag port, transmission disabled). 
ATP31: Returns the current value of Isolator Mode. 
ATP31=n sets Isolator Mode to n 
Values accepted: 
0 = Set for Transmitting  
1 = Set for Listening  
Listening Mode Timeout 
A timeout in seconds that starts when the isolator is set to listening mode. When the timeout expires the 
isolator will automatically return to transmitting mode. 
ATP35: Returns the current value of Listening Mode Timeout. 
ATP35=n[.m]: Sets the value of Listening Mode Timeout to n s, given that 0.000 <= n <= 65.535. 
Enable Listening Timeout 
Enables or disables listening mode timeout. 
ATP34: Returns the current value of Enable Listening Timeout. 
ATP34=n sets Enable Listening Timeout to n 
Values accepted: 
0 = Disabled  
1 = Enabled  
Paging Protocols Menu 
POCSAG Deviation 
ATP105: Returns the current value of POCSAG Deviation. 
FLEX Deviation 
ATP106: Returns the current value of FLEX Deviation. 
Encoding Mode 
Configure the encoding source for paging transmitter data. 
ATN10: Returns the current value of Encoding Mode. 
ATN10=n sets Encoding Mode to n 
Values accepted: 

  Appendix D Hayes AT Reference 
RFI-148 & RFI-900 High Output Power Paging Transmitters User Manual  Page 60 of 99 
0 = External Encoder  
1 = TNPP Serial  
2 = TNPP TCP:64250  
3 = TNPP UDP:64250  
4 = PET/TAP Serial  
5 = PET/TAP TCP:64250  
6 = PET/TAP UDP:64250  
PET/TAP Menu 
Current State 
ATN43: Returns the current value of Current State. 
Line Separator 
The line separator output between new lines. Configurable for compatibility across terminals. 
ATN15: Returns the current value of Line Separator. 
ATN15=n sets Line Separator to n 
Values accepted: 
0 =  
1 =  
Timeout 
Intercharacter timeout before purging input buffer and reverting to idle state. 
ATN16: Returns the current value of Timeout. 
ATN16=n[.m]: Sets the value of Timeout to n s, given that 0.5 <= n <= 10.0. 
Baud Rate 
Baud rate at which encoded POSCAG pages are sent over the air. 
ATN19: Returns the current value of Baud Rate. 
ATN19=n sets Baud Rate to n 
Values accepted: 
0 = 512  
1 = 1200  
2 = 2400  
Stay Logged In 
Remains logged in indefinitely after receiving a valid login string. 
ATN41: Returns the current value of Stay Logged In. 
ATN41=n sets Stay Logged In to n 
Values accepted: 
0 = False  
1 = True  
Implied Login 
Option to skip login sequence if a <STX> is read while waiting for wake up sequence. 
ATN42: Returns the current value of Implied Login. 
ATN42=n sets Implied Login to n 
Values accepted: 
0 = Disabled  
1 = PG1  
2 = PG3  

  Appendix D Hayes AT Reference 
RFI-148 & RFI-900 High Output Power Paging Transmitters User Manual  Page 61 of 99 
Detect Numeric Pages 
When enabled, will encode a POCSAG page in numeric format (rather than alpha-numeric) if the message is 
wholly formed by digits. 
ATN14: Returns the current value of Detect Numeric Pages. 
ATN14=n sets Detect Numeric Pages to n 
Values accepted: 
0 = False  
1 = True  
Group Code 
Allows the use of the final character or digit in the Pager ID field of a message submission to determine the 
function bits of the paging message. 
ATN13: Returns the current value of Group Code. 
ATN13=n sets Group Code to n 
Values accepted: 
0 = None  
1 = Trailing Character  
2 = Trailing Digit  
Reset Statistics 
Reset the TAP/PET statistics accumulated since start-up. 
ATN17: Runs the Reset Statistics routine. 
Statistics Table 
Name 
Value 
ATN18[a]: Returns the current value of Value. 
Where: a = Statistics table index (starting from 0) 
TNPP Menu 
Address 
The address of this TNPP node. 
ATN23: Returns the current value of Address. 
ATN23=n: Sets the value of Address to n , given that 0 <= n <= 65535. 
Promiscuous Mode 
When enabled, this node will accept packets destined for any address. 
ATN24: Returns the current value of Promiscuous Mode. 
ATN24=n sets Promiscuous Mode to n 
Values accepted: 
0 = False  
1 = True  
Transparent CRC support 
ATN25: Returns the current value of Transparent CRC support. 
ATN25=n sets Transparent CRC support to n 
Values accepted: 
0 = False  
1 = True  

  Appendix D Hayes AT Reference 
RFI-148 & RFI-900 High Output Power Paging Transmitters User Manual  Page 62 of 99 
Address Extension support 
ATN26: Returns the current value of Address Extension support. 
ATN26=n sets Address Extension support to n 
Values accepted: 
0 = False  
1 = True  
Multi-Block support 
ATN27: Returns the current value of Multi-Block support. 
ATN27=n sets Multi-Block support to n 
Values accepted: 
0 = False  
1 = True  
Large Packet support 
ATN28: Returns the current value of Large Packet support. 
ATN28=n sets Large Packet support to n 
Values accepted: 
0 = False  
1 = True  
Reset TNPP Statistics 
ATN22: Runs the Reset TNPP Statistics routine. 
TNPP Statistics Table 
Name  
ATN20[a]: Returns the current value of Name . 
Where: a = TNPP Statistics table index (starting from 0) 
Count 
ATN21[a]: Returns the current value of Count. 
Where: a = TNPP Statistics table index (starting from 0) 
POCSAG Menu 
Preamble Length 
Length of the preamble sent prior to paging data. 
ATN30: Returns the current value of Preamble Length. 
ATN30=n: Sets the value of Preamble Length to n bit, given that 32 <= n <= 2304. 
Function Override 
Override the function bits in the address codeword. Default (`Message Encoding`) is to set the function bits 
based on message encoding: Numeric: 00, Tone: 01, Alpha-numeric: 11. 
ATN11: Returns the current value of Function Override. 
ATN11=n sets Function Override to n 
Values accepted: 
0 = Message Encoding  
1 = Always 00  
2 = Always 01  
3 = Always 10  
4 = Always 11  

  Appendix D Hayes AT Reference 
RFI-148 & RFI-900 High Output Power Paging Transmitters User Manual  Page 63 of 99 
Purge Timeout 
Duration to wait to collate paging messages for sending over the air. 
ATN29: Returns the current value of Purge Timeout. 
ATN29=n: Sets the value of Purge Timeout to n ms, given that 250 <= n <= 5000. 
Reset Statistics 
ATN40: Runs the Reset Statistics routine. 
Page Repeat Rules Table 
Enabled 
Whether this rule is enabled. 
ATN36[a]: Returns the current value of Enabled. 
ATN36[a]=n sets Enabled to n 
Values accepted: 
0 = False  
1 = True  
Where: a = Page Repeat Rules table index (starting from 0) 
Capcode 
The Capcode to match for this rule. 0 matches any capcode, all other integers match the specific capcode. 
ATN37[a]: Returns the current value of Capcode. 
ATN37[a]=n: Sets the value of Capcode to n , given that 0 <= n <= 2097152. Where: a = Page Repeat Rules 
table index (starting from 0) 
Delay 
The delay to insert between page repetitions. 
ATN38[a]: Returns the current value of Delay. 
ATN38[a]=n: Sets the value of Delay to n s, given that 4 <= n <= 60. Where: a = Page Repeat Rules table 
index (starting from 0) 
Count 
The number of times to repeat pages. 
ATN39[a]: Returns the current value of Count. 
ATN39[a]=n: Sets the value of Count to n , given that 1 <= n <= 5. Where: a = Page Repeat Rules table 
index (starting from 0) 
POCSAG MAC Statistics Table 
Name 
ATN34[a]: Returns the current value of Name. 
Where: a = POCSAG MAC Statistics table index (starting from 0) 
Count 
ATN35[a]: Returns the current value of Count. 
Where: a = POCSAG MAC Statistics table index (starting from 0) 
Test Menu 
Status 
ATG171: Returns the current value of Status. 
Message 

  Appendix D Hayes AT Reference 
RFI-148 & RFI-900 High Output Power Paging Transmitters User Manual  Page 64 of 99 
ATG172: Returns the current value of Message. 
ATG172=s: Sets the value of Message to s, given that 0 <= length(s) <= 30. 
Encoding 
ATG173: Returns the current value of Encoding. 
ATG173=n sets Encoding to n 
Values accepted: 
0 = Alpha-numeric  
1 = Numeric  
Capcode 
ATG174: Returns the current value of Capcode. 
ATG174=n: Sets the value of Capcode to n , given that 1 <= n <= 2097152. 
Baud Rate 
ATG175: Returns the current value of Baud Rate. 
ATG175=n sets Baud Rate to n 
Values accepted: 
0 = 512  
1 = 1200  
2 = 2400  
Append 
ATG176: Returns the current value of Append. 
ATG176=n sets Append to n 
Values accepted: 
0 = Nothing  
1 = Count  
2 = Timestamp  
3 = Count and Timestamp  
Interval 
ATG177: Returns the current value of Interval. 
ATG177=n: Sets the value of Interval to n s, given that 1 <= n <= 120. 
Duration 
ATG178: Returns the current value of Duration. 
ATG178=n: Sets the value of Duration to n mins, given that 0 <= n <= 720. 
Begin Survey 
ATG180: Runs the Begin Survey routine. 
Stop Survey 
ATG181: Runs the Stop Survey routine. 
Send One Message 
ATG182: Runs the Send One Message routine. 
Advanced Menu 
Custom Deviation 

  Appendix D Hayes AT Reference 
RFI-148 & RFI-900 High Output Power Paging Transmitters User Manual  Page 65 of 99 
The deviation of the custom paging protocol. 
ATP103: Returns the current value of Custom Deviation. 
ATP103=n[.m]: Sets the value of Custom Deviation to n Hz, given that 0.0 <= n <= 4800.0. 
Custom FSK level 
The FSK-levels of the custom paging protocol. 
ATP104: Returns the current value of Custom FSK level. 
ATP104=n sets Custom FSK level to n 
Values accepted: 
0 = 2-level  
1 = 4-level  
Profiles Table 
Paging Protocol 
Configured paging protocol for this profile. 
ATP91[a]: Returns the current value of Paging Protocol. 
ATP91[a]=n sets Paging Protocol to n 
Values accepted: 
0 = POCSAG  
1 = FLEX-2  
2 = FLEX-4  
3 = Custom  
Where: a = Profiles table index (starting from 0) 
Carrier Offset 
Configured carrier frequency offset for this profile. 
ATP92[a]: Returns the current value of Carrier Offset. 
ATP92[a]=[+/-]n: Sets the value of Carrier Offset to n Hz, given that -4000 <= n <= 4000. Where: a = 
Profiles table index (starting from 0) 
Ext. Data Clock 
Configures whether to use an external clock to synchronise data. An external clock is mandatory for 4-level 
protocols. 
ATP93[a]: Returns the current value of Ext. Data Clock. 
ATP93[a]=n sets Ext. Data Clock to n 
Values accepted: 
0 = Disabled  
1 = Enabled  
Where: a = Profiles table index (starting from 0) 
Fan Control Menu 
Sensed Temp. 
Current temperature at sensor used for fan control. 
ATP109: Returns the current value of Sensed Temp.. 
Time Until Fan Test 
ATP111: Returns the current value of Time Until Fan Test. 
Fan Override 
Manual fan override (allows fans to be forced on). 
ATP22: Returns the current value of Fan Override. 

  Appendix D Hayes AT Reference 
RFI-148 & RFI-900 High Output Power Paging Transmitters User Manual  Page 66 of 99 
ATP22=n sets Fan Override to n 
Values accepted: 
0 = Normal  
1 = Always On  
Sensor To Use 
Temperature sensor used for fan control. 
ATP108: Returns the current value of Sensor To Use. 
ATP108=n sets Sensor To Use to n 
Values accepted: 
0 = Baseband Sensor  
1 = PA Sensor  
2 = Driver Sensor  
3 = PA/Driver Ambient Sensor  
4 = Isolator Sensor  
5 = Baseband Thermistor  
6 = PA Group Average  
7 = Hottest Sensor  
8 = PA Group Sensors  
Turn On Temp. 
Sensed temperature above which fans will be turned on. 
ATP20: Returns the current value of Turn On Temp.. 
ATP20=[+/-]n: Sets the value of Turn On Temp. to n deg C, given that -128 <= n <= 127. 
Turn Off Temp. 
Sensed temperature below which fans will be turned off. 
ATP21: Returns the current value of Turn Off Temp.. 
ATP21=[+/-]n: Sets the value of Turn Off Temp. to n deg C, given that -128 <= n <= 127. 
Fan Test Interval 
Interval in hours between fan self-tests. 
ATP110: Returns the current value of Fan Test Interval. 
ATP110=n: Sets the value of Fan Test Interval to n hrs, given that 12 <= n <= 48. 
Sensors Menu 
(Distributer) Fault Reporting 
ATI203: Returns the current value of Fault Reporting. 
ATI203=n sets Fault Reporting to n 
Values accepted: 
0 = Disabled  
1 = Enabled  
(Distributer) Fail-safes 
ATI204: Returns the current value of Fail-safes. 
ATI204=n sets Fail-safes to n 
Values accepted: 
0 = Disabled  
1 = Enabled  
Sensor Configuration Menu 

  Appendix D Hayes AT Reference 
RFI-148 & RFI-900 High Output Power Paging Transmitters User Manual  Page 67 of 99 
Reset Cutoffs 
ATI207: Runs the Reset Cutoffs routine. 
Reset Min/Max 
Reset the historical minimums and maximums of monitored sensor values. 
ATI104: Runs the Reset Min/Max routine. 
Status Parameters Table 
Name 
Name of the sensor and its unit in this row of the table. 
ATI176[a]: Returns the current value of Name. 
Where: a = Status Parameters table index (starting from 0) 
Current 
Current measured sensor value. 
ATI90[a]: Returns the current value of Current. 
Where: a = Status Parameters table index (starting from 0) 
Relevant Value 
The current measured sensor value if it is relevant. Otherwise -2000000 
ATI99[a]: Returns the current value of Relevant Value. 
Where: a = Status Parameters table index (starting from 0) 
Maximum 
Maximum recorded sensor value since the statistics were reset. 
ATI91[a]: Returns the current value of Maximum. 
Where: a = Status Parameters table index (starting from 0) 
Minimum 
Minimum recorded sensor value since the statistics were reset. 
ATI92[a]: Returns the current value of Minimum. 
Where: a = Status Parameters table index (starting from 0) 
Current State 
Current fault status associated with this sensor. 
ATI177[a]: Returns the current value of Current State. 
Where: a = Status Parameters table index (starting from 0) 
Upper Cutoff 
Upper cutoff value for this sensor. Measurements which exceed this cutoff cause a fault. 
ATI93[a]: Returns the current value of Upper Cutoff. 
Where: a = Status Parameters table index (starting from 0) 
Hysteresis 
Hysteresis value for this sensor. When a sensor is near the cutoff value this helps reduce excessive fault 
toggling. 
ATI97[a]: Returns the current value of Hysteresis. 
ATI97[a]=n: Sets the value of Hysteresis to n , given that 0 <= n <= 65535. Where: a = Status Parameters 
table index (starting from 0) 
Lower Cutoff 

  Appendix D Hayes AT Reference 
RFI-148 & RFI-900 High Output Power Paging Transmitters User Manual  Page 68 of 99 
Lower cutoff value for this sensor. Measurements lower than this cutoff cause a fault. 
ATI96[a]: Returns the current value of Lower Cutoff. 
Where: a = Status Parameters table index (starting from 0) 
Reset Sensor Min/Max 
Reset the historical minimum and maximum for this sensor. 
ATI181[a]: Runs the Reset Sensor Min/Max routine. 
Where: a = Status Parameters table index (starting from 0) 
Sensor Interpolation Menu 
Transmit Power Variation Table 
Name 
Name of the sensor and its unit in this row of the table. 
ATG156[a]: Returns the current value of Name. 
Where: a = Transmit Power Variation table index (starting from 0) 
20W Lower Cutoff 
ATG157[a]: Returns the current value of 20W Lower Cutoff. 
ATG157[a]=[+/-]n: Sets the value of 20W Lower Cutoff to n , given that -2147483648 <= n <= 
2147483647. Where: a = Transmit Power Variation table index (starting from 0) 
20W Upper Cutoff 
ATG158[a]: Returns the current value of 20W Upper Cutoff. 
ATG158[a]=[+/-]n: Sets the value of 20W Upper Cutoff to n , given that -2147483648 <= n <= 2147483647. 
Where: a = Transmit Power Variation table index (starting from 0) 
50W Lower Cutoff 
ATG159[a]: Returns the current value of 50W Lower Cutoff. 
ATG159[a]=[+/-]n: Sets the value of 50W Lower Cutoff to n , given that -2147483648 <= n <= 
2147483647. Where: a = Transmit Power Variation table index (starting from 0) 
50W Upper Cutoff 
ATG160[a]: Returns the current value of 50W Upper Cutoff. 
ATG160[a]=[+/-]n: Sets the value of 50W Upper Cutoff to n , given that -2147483648 <= n <= 2147483647. 
Where: a = Transmit Power Variation table index (starting from 0) 
100W Lower Cutoff 
ATG161[a]: Returns the current value of 100W Lower Cutoff. 
ATG161[a]=[+/-]n: Sets the value of 100W Lower Cutoff to n , given that -2147483648 <= n <= 
2147483647. Where: a = Transmit Power Variation table index (starting from 0) 
100W Upper Cutoff 
ATG162[a]: Returns the current value of 100W Upper Cutoff. 
ATG162[a]=[+/-]n: Sets the value of 100W Upper Cutoff to n , given that -2147483648 <= n <= 
2147483647. Where: a = Transmit Power Variation table index (starting from 0) 
200W Lower Cutoff 
ATG163[a]: Returns the current value of 200W Lower Cutoff. 
ATG163[a]=[+/-]n: Sets the value of 200W Lower Cutoff to n , given that -2147483648 <= n <= 
2147483647. Where: a = Transmit Power Variation table index (starting from 0) 

  Appendix D Hayes AT Reference 
RFI-148 & RFI-900 High Output Power Paging Transmitters User Manual  Page 69 of 99 
200W Upper Cutoff 
ATG164[a]: Returns the current value of 200W Upper Cutoff. 
ATG164[a]=[+/-]n: Sets the value of 200W Upper Cutoff to n , given that -2147483648 <= n <= 
2147483647. Where: a = Transmit Power Variation table index (starting from 0) 
250W Lower Cutoff 
ATG165[a]: Returns the current value of 250W Lower Cutoff. 
ATG165[a]=[+/-]n: Sets the value of 250W Lower Cutoff to n , given that -2147483648 <= n <= 
2147483647. Where: a = Transmit Power Variation table index (starting from 0) 
250W Upper Cutoff 
ATG166[a]: Returns the current value of 250W Upper Cutoff. 
ATG166[a]=[+/-]n: Sets the value of 250W Upper Cutoff to n , given that -2147483648 <= n <= 
2147483647. Where: a = Transmit Power Variation table index (starting from 0) 
Other Table 
Name 
Name of the sensor and its unit in this row of the table. 
ATG167[a]: Returns the current value of Name. 
Where: a = Other table index (starting from 0) 
Lower Cutoff 
ATG169[a]: Returns the current value of Lower Cutoff. 
ATG169[a]=[+/-]n: Sets the value of Lower Cutoff to n , given that -2147483648 <= n <= 2147483647. 
Where: a = Other table index (starting from 0) 
Upper Cutoff 
ATG168[a]: Returns the current value of Upper Cutoff. 
ATG168[a]=[+/-]n: Sets the value of Upper Cutoff to n , given that -2147483648 <= n <= 2147483647. 
Where: a = Other table index (starting from 0) 
Temperature Sensors Table 
Voltage Sensors Table 
Current Sensors Table 
Fan Speeds Table 
Power Table 
Ratio Table 
Faults Menu 
Total Faults Counter 
ATI156: Returns the current value of Total Faults Counter. 
Active Faults 
ATI157: Returns the current value of Active Faults. 
Combined Fault Status 
The status of the combined alarm. 
ATI158: Returns the current value of Combined Fault Status. 
Overview Filter 

  Appendix D Hayes AT Reference 
RFI-148 & RFI-900 High Output Power Paging Transmitters User Manual  Page 70 of 99 
ATI155: Returns the current value of Overview Filter. 
ATI155=n sets Overview Filter to n 
Values accepted: 
0 = Show All  
1 = Show Active/Latched  
2 = Show Counter > 0  
Clear All Faults 
Clears all active faults and reverts all fault actions that have been taken. 
ATI151: Runs the Clear All Faults routine. 
Fault Configuration Menu 
Combined Fault Ext. Alarm 
The hardware alarm associated with the combined alarm. 
ATI173: Returns the current value of Combined Fault Ext. Alarm. 
ATI173=n sets Combined Fault Ext. Alarm to n 
Values accepted: 
0 = ALM1  
1 = ALM2  
2 = ALM3  
3 = ALM4  
4 = ALM5  
5 = ALM6  
6 = ALM7  
7 = ALM8  
8 = ALM9  
9 = COMB  
10 = ALM10  
11 = ALM11  
12 = ALM12  
13 = ALM13  
14 = None  
Min. Fault Duration 
The minimum duration a parameter must be in its fault condition before it is reported. 
ATI172: Returns the current value of Min. Fault Duration. 
ATI172=n[.m]: Sets the value of Min. Fault Duration to n s, given that 0.000 <= n <= 65.535. 
Fault Beeper 
ATI174: Returns the current value of Fault Beeper. 
ATI174=n sets Fault Beeper to n 
Values accepted: 
0 = Never  
1 = Activity  
2 = Heartbeat  
Reset Counters 
ATI163: Runs the Reset Counters routine. 
Faults Table 
Fault Name 

  Appendix D Hayes AT Reference 
RFI-148 & RFI-900 High Output Power Paging Transmitters User Manual  Page 71 of 99 
Name of the fault in this row of the table. 
ATI164[a]: Returns the current value of Fault Name. 
Where: a = Faults table index (starting from 0) 
Status 
Indicates whether or not this fault condition is currently active. 
ATI165[a]: Returns the current value of Status. 
Where: a = Faults table index (starting from 0) 
Active Duration 
Duration for which this fault has been active, or 0 if the fault is not active. 
ATI170[a]: Returns the current value of Active Duration. 
Where: a = Faults table index (starting from 0) 
Ext. Alarm 
The hardware alarm that will be asserted when this fault is active. 
ATI166[a]: Returns the current value of Ext. Alarm. 
ATI166[a]=n sets Ext. Alarm to n 
Values accepted: 
0 = ALM1  
1 = ALM2  
2 = ALM3  
3 = ALM4  
4 = ALM5  
5 = ALM6  
6 = ALM7  
7 = ALM8  
8 = ALM9  
9 = COMB  
10 = ALM10  
11 = ALM11  
12 = ALM12  
13 = ALM13  
14 = None  
Where: a = Faults table index (starting from 0) 
Fault Action 
Configured action to be taken when this fault occurs. 
ATI167[a]: Returns the current value of Fault Action. 
ATI167[a]=n sets Fault Action to n 
Values accepted: 
0 = None  
1 = Reference Switchover  
2 = Disable Transmit  
3 = Scale Transmit Power  
4 = Enable PA0 Current Foldback  
5 = Enable PA90 Current Foldback  
6 = Enable Reverse Power Foldback  
Where: a = Faults table index (starting from 0) 
Latching Mechanism 

  Appendix D Hayes AT Reference 
RFI-148 & RFI-900 High Output Power Paging Transmitters User Manual  Page 72 of 99 
Configured latching mechanism for this fault. 
ATI168[a]: Returns the current value of Latching Mechanism. 
ATI168[a]=n sets Latching Mechanism to n 
Values accepted: 
0 = None  
1 = SW Reset  
Where: a = Faults table index (starting from 0) 
Triggers Combined 
Allows this fault to assert the combined alarm (COMB) in addition to it's configured alarm. 
ATI169[a]: Returns the current value of Triggers Combined. 
ATI169[a]=n sets Triggers Combined to n 
Values accepted: 
0 = False  
1 = True  
Where: a = Faults table index (starting from 0) 
Go Standby 
Configures this fault as a TX FAULT for the purposes of entering standby mode when Hot Standby 
operation is enabled 
ATM17[a]: Returns the current value of Go Standby. 
ATM17[a]=n sets Go Standby to n 
Values accepted: 
0 = False  
1 = True  
Where: a = Faults table index (starting from 0) 
Counter 
The number of times this fault has occurred since the statistics were reset. 
ATI171[a]: Returns the current value of Counter. 
ATI171[a]=n: Sets the value of Counter to n , given that 0 <= n <= 65535. Where: a = Faults table index 
(starting from 0) 
Faults Overview Table 
Fault 
ATI159[a]: Returns the current value of Fault. 
Where: a = Faults Overview table index (starting from 0) 
Status 
ATI160[a]: Returns the current value of Status. 
Where: a = Faults Overview table index (starting from 0) 
Active Duration 
ATI161[a]: Returns the current value of Active Duration. 
Where: a = Faults Overview table index (starting from 0) 
Counter 
ATI162[a]: Returns the current value of Counter. 
Where: a = Faults Overview table index (starting from 0) 
Encoder Interface Menu 

  Appendix D Hayes AT Reference 
RFI-148 & RFI-900 High Output Power Paging Transmitters User Manual  Page 73 of 99 
Encoder Detected 
ATP102: Returns the current value of Encoder Detected. 
Data Idle Duration 
ATP94: Returns the current value of Data Idle Duration. 
24 V DC Current 
ATP126: Returns the current value of 24 V DC Current. 
Data Idle Timeout 
Configurable timeout for detecting the encoder data inputs as idle, which will cause the encoder data idle 
fault to go active. 
ATP95: Returns the current value of Data Idle Timeout. 
ATP95=n[.m]: Sets the value of Data Idle Timeout to n s, given that 0.000 <= n <= 4294967.295. 
Report Data Idle 
Enable or disable reporting of idle encoder data fault. 
ATP96: Returns the current value of Report Data Idle. 
ATP96=n sets Report Data Idle to n 
Values accepted: 
0 = False  
1 = True  
4-Level Operation 
Allows swapping of L-/H-bit. 
ATP124: Returns the current value of 4-Level Operation. 
ATP124=n sets 4-Level Operation to n 
Values accepted: 
0 = Normal  
1 = Legacy  
Encoder Protocol Control 
Allows the active protocol profile to be toggled by hardware input. 
ATP99: Returns the current value of Encoder Protocol Control. 
ATP99=n sets Encoder Protocol Control to n 
Values accepted: 
0 = Disabled  
1 = Enabled  
Encoder Channel Control 
Allows the active channel to be toggled by hardware input. 
ATS180: Returns the current value of Encoder Channel Control. 
ATS180=n sets Encoder Channel Control to n 
Values accepted: 
0 = Disabled  
1 = Enabled  
Encoder Hardware PTT 
Allows transmitter PTT to be controlled by hardware input. 
ATP97: Returns the current value of Encoder Hardware PTT. 

  Appendix D Hayes AT Reference 
RFI-148 & RFI-900 High Output Power Paging Transmitters User Manual  Page 74 of 99 
ATP97=n sets Encoder Hardware PTT to n 
Values accepted: 
0 = Disabled  
1 = Enabled  
Tx On Active Level 
Configures which state is considered to be active with hardware PTT. 
ATP98: Returns the current value of Tx On Active Level. 
ATP98=n sets Tx On Active Level to n 
Values accepted: 
0 = Active Low  
1 = Active High  
Auto PTT 
Setting to enable or disable the automatic Push-To-Talk on data feature. 
ATP100: Returns the current value of Auto PTT. 
ATP100=n sets Auto PTT to n 
Values accepted: 
0 = Disabled  
1 = Enabled  
Auto PTT Timeout 
No-data timeout for the automatic PTT feature. 
ATP101: Returns the current value of Auto PTT Timeout. 
ATP101=n[.m]: Sets the value of Auto PTT Timeout to n s, given that 0.000 <= n <= 65.535. 
Active Profile 
Active protocol profile. 
ATP90: Returns the current value of Active Profile. 
ATP90=n sets Active Profile to n 
Values accepted: 
0 = Profile 1  
1 = Profile 2  
Aux Input 1 Debounce 
ATP121: Returns the current value of Aux Input 1 Debounce. 
ATP121=n[.m]: Sets the value of Aux Input 1 Debounce to n s, given that 0.5 <= n <= 120.0. 
Aux Input 1 Active Level 
ATP122: Returns the current value of Aux Input 1 Active Level. 
ATP122=n sets Aux Input 1 Active Level to n 
Values accepted: 
0 = Low  
1 = High  
Clock Edge 
Configures the clock edge to use when using an external data clock. 
ATI152: Returns the current value of Clock Edge. 
ATI152=n sets Clock Edge to n 
Values accepted: 

  Appendix D Hayes AT Reference 
RFI-148 & RFI-900 High Output Power Paging Transmitters User Manual  Page 75 of 99 
0 = Rising-edge  
1 = Falling-edge  
Data Invert 
Set to true to invert data internally before modulation. 
ATI153: Returns the current value of Data Invert. 
ATI153=n sets Data Invert to n 
Values accepted: 
0 = Normal  
1 = Inverted  
24 V DC Output 
ATP125: Returns the current value of 24 V DC Output. 
ATP125=n sets 24 V DC Output to n 
Values accepted: 
0 = Disabled  
1 = Enabled  
24 V DC Cycle 
ATP127: Runs the 24 V DC Cycle routine. 
External I/O Table 
Name 
ATR248[a]: Returns the current value of Name. 
Where: a = External I/O table index (starting from 0) 
Direction 
ATR249[a]: Returns the current value of Direction. 
Where: a = External I/O table index (starting from 0) 
State 
ATR250[a]: Returns the current value of State. 
Where: a = External I/O table index (starting from 0) 
Hot Standby Menu 
Role 
ATM13: Returns the current value of Role. 
State 
ATM14: Returns the current value of State. 
RF Switch 
ATM15: Returns the current value of RF Switch. 
Can Go Active (HW) 
ATM11: Returns the current value of Can Go Active (HW). 
TX Fault 
ATM16: Returns the current value of TX Fault. 
Standby Mode 

  Appendix D Hayes AT Reference 
RFI-148 & RFI-900 High Output Power Paging Transmitters User Manual  Page 76 of 99 
ATM10: Returns the current value of Standby Mode. 
ATM10=n sets Standby Mode to n 
Values accepted: 
0 = Disabled  
1 = Hardware  
2 = Software  
Can Go Active (SW) 
ATM12: Returns the current value of Can Go Active (SW). 
ATM12=n sets Can Go Active (SW) to n 
Values accepted: 
0 = False  
1 = True  
Serial Ports Menu 
Main DTR State 
The state of the DTR input on the main serial port. 
ATS92: Returns the current value of Main DTR State. 
Main RTS State 
The state of the RTS input on the main serial port. 
ATS93: Returns the current value of Main RTS State. 
Main Flow Control 
Configures flow control methods for the main serial port 
ATS104: Returns the current value of Main Flow Control. 
ATS104=n sets Main Flow Control to n 
Values accepted: 
0 = None  
2 = Hardware (RTS / CTS)  
Main DCD Mode 
Configures the behaviour of the DCD output on the main serial port. 
ATS90: Returns the current value of Main DCD Mode. 
ATS90=n sets Main DCD Mode to n 
Values accepted: 
0 = Always High  
1 = Always Low  
2 = Mirrors DCD  
3 = Mirrors CTS  
4 = Follows TX  
Main CTS Mode 
Configures the behaviour of the CTS output on the main serial port. 
ATS91: Returns the current value of Main CTS Mode. 
ATS91=n sets Main CTS Mode to n 
Values accepted: 
0 = Always High  
1 = Always Low  
2 = Mirrors DCD  

  Appendix D Hayes AT Reference 
RFI-148 & RFI-900 High Output Power Paging Transmitters User Manual  Page 77 of 99 
3 = Mirrors CTS  
4 = Follows TX  
Settings Table 
Baud Rate 
The baud rate configured for this serial port. 
ATS100[a]: Returns the current value of Baud Rate. 
ATS100[a]=n sets Baud Rate to n 
Values accepted: 
1 = 300  
2 = 600  
3 = 1200  
4 = 2400  
5 = 4800  
6 = 9600  
8 = 19200  
9 = 38400  
10 = 57600  
11 = 115200  
Where: a = Settings table index (starting from 0) 
Data Bits 
The number of data bits configured for this serial port. 
ATS102[a]: Returns the current value of Data Bits. 
ATS102[a]=n sets Data Bits to n 
Values accepted: 
0 = 7  
1 = 8  
Where: a = Settings table index (starting from 0) 
Parity 
The parity configuration for this serial port. 
ATS101[a]: Returns the current value of Parity. 
ATS101[a]=n sets Parity to n 
Values accepted: 
0 = None  
1 = Even  
2 = Odd  
Where: a = Settings table index (starting from 0) 
Stop Bits 
The number of stop bits used on this serial port. 
ATS103[a]: Returns the current value of Stop Bits. 
ATS103[a]=n sets Stop Bits to n 
Values accepted: 
0 = 1  
1 = 2  
Where: a = Settings table index (starting from 0) 
Reset Statistics 

  Appendix D Hayes AT Reference 
RFI-148 & RFI-900 High Output Power Paging Transmitters User Manual  Page 78 of 99 
ATS189[a]: Runs the Reset Statistics routine. 
Where: a = Settings table index (starting from 0) 
Statistics Table 
Name 
ATS188[a,b]: Returns the current value of Name. 
Where: a = Settings table index (starting from 0) b = Statistics table index (starting from 0) 
Value 
Shows statistics for serial port events. 
ATI20[a,b]: Returns the current value of Value. 
Where: a = Settings table index (starting from 0) b = Statistics table index (starting from 0) 
LAN Interface Menu 
Ethernet Menu 
Local MAC Address 
The factory-assigned Ethernet MAC address of the unit. 
ATR46: Returns the current value of Local MAC Address. 
Link Status 
ATR255: Returns the current value of Link Status. 
Auto Negotiation Status 
ATR256: Returns the current value of Auto Negotiation Status. 
Link Speed 
ATR257: Returns the current value of Link Speed. 
Link Duplex 
ATR258: Returns the current value of Link Duplex. 
Auto Negotiation 
Configure whether the Ethernet interface will automatically detect link speed and duplex. 
ATR259: Returns the current value of Auto Negotiation. 
ATR259=n sets Auto Negotiation to n 
Values accepted: 
0 = Force  
1 = Auto-negotiate  
Forced Link Speed 
Configures the speed to use when the link parameters are forced. 
ATR260: Returns the current value of Forced Link Speed. 
ATR260=n sets Forced Link Speed to n 
Values accepted: 
0 = 10 Mbps  
1 = 100 Mbps  
Forced Link Duplex 
Configures duplex when the link parameters are forced. 
ATR261: Returns the current value of Forced Link Duplex. 

  Appendix D Hayes AT Reference 
RFI-148 & RFI-900 High Output Power Paging Transmitters User Manual  Page 79 of 99 
ATR261=n sets Forced Link Duplex to n 
Values accepted: 
0 = Half duplex  
1 = Full duplex  
TCP/IP Menu 
IP Address 
A read-only string that shows the current IP address of the unit. If DHCP is enabled this will be the IP 
address assigned by the DHCP server. If DHCP is disabled this will be the configured static IP address. 
ATI70: Returns the current value of IP Address. 
Subnet Mask 
ATI201: Returns the current value of Subnet Mask. 
Gateway 
ATI202: Returns the current value of Gateway. 
Bcast Addr 
ATI205: Returns the current value of Bcast Addr. 
TCP Idle Timeout 
Idle time before a TCP connection times out. 
ATG48: Returns the current value of TCP Idle Timeout. 
ATG48=n: Sets the value of TCP Idle Timeout to n s, given that 0 <= n <= 65535. 
UDP Idle Timeout 
Idle time before a UDP connection times out. 
ATG96: Returns the current value of UDP Idle Timeout. 
ATG96=n: Sets the value of UDP Idle Timeout to n s, given that 20 <= n <= 600. 
DHCP Client 
Enables or disables the DHCP client of this unit. When disabled, the unit will use the configured static IP 
address. 
ATI71: Returns the current value of DHCP Client. 
ATI71=n sets DHCP Client to n 
Values accepted: 
0 = Disabled  
1 = Enabled  
Hostname 
The hostname of the unit. 
ATI72: Returns the current value of Hostname. 
ATI72=s: Sets the value of Hostname to s, given that 0 <= length(s) <= 26. 
Static IP Configuration Table 
1st Octet 
Get or set the 1st Octet of either IP address, subnet mask or gateway. 
ATI80[a]: Returns the current value of 1st Octet. 
ATI80[a]=n: Sets the value of 1st Octet to n , given that 0 <= n <= 255. Where: a = Static IP Configuration 
table index (starting from 0) 

  Appendix D Hayes AT Reference 
RFI-148 & RFI-900 High Output Power Paging Transmitters User Manual  Page 80 of 99 
2nd Octet 
Get or set the 2nd Octet of either IP address, subnet mask or gateway. 
ATI81[a]: Returns the current value of 2nd Octet. 
ATI81[a]=n: Sets the value of 2nd Octet to n , given that 0 <= n <= 255. Where: a = Static IP Configuration 
table index (starting from 0) 
3rd Octet 
Get or set the 3rd Octet of either IP address, subnet mask or gateway. 
ATI82[a]: Returns the current value of 3rd Octet. 
ATI82[a]=n: Sets the value of 3rd Octet to n , given that 0 <= n <= 255. Where: a = Static IP Configuration 
table index (starting from 0) 
4th Octet 
Get or set the 4th Octet of either IP address, subnet mask or gateway. 
ATI83[a]: Returns the current value of 4th Octet. 
ATI83[a]=n: Sets the value of 4th Octet to n , given that 0 <= n <= 255. Where: a = Static IP Configuration 
table index (starting from 0) 
SNTP Menu 
Status 
ATG8: Returns the current value of Status. 
Last Sync 
ATG2: Returns the current value of Last Sync. 
Last Query Latency 
ATG5: Returns the current value of Last Query Latency. 
Mode 
ATG1: Returns the current value of Mode. 
ATG1=n sets Mode to n 
Values accepted: 
0 = Disabled  
1 = Unicast  
Server IP 
ATG3: Returns the current value of Server IP. 
ATG3=s: Sets the value of Server IP to s, given that 0 <= length(s) <= 32. 
Query Interval 
ATG4: Returns the current value of Query Interval. 
ATG4=n: Sets the value of Query Interval to n mins, given that 1 <= n <= 2880. 
Request Timeout 
ATG6: Returns the current value of Request Timeout. 
ATG6=n[.m]: Sets the value of Request Timeout to n s, given that 0.000 <= n <= 65.535. 
Send Request 
ATG7: Runs the Send Request routine. 
UDP Connections Table 

  Appendix D Hayes AT Reference 
RFI-148 & RFI-900 High Output Power Paging Transmitters User Manual  Page 81 of 99 
Local Port 
ATG49[a]: Returns the current value of Local Port. 
Where: a = UDP Connections table index (starting from 0) 
Remote IP 
ATG50[a]: Returns the current value of Remote IP. 
Where: a = UDP Connections table index (starting from 0) 
Remote Port 
ATG51[a]: Returns the current value of Remote Port. 
Where: a = UDP Connections table index (starting from 0) 
Diagnostics Menu 
(Distributer) Estimated Life Uptime 
An approximation of the total number of hours that this device has been powered up. 
ATI206: Returns the current value of Estimated Life Uptime. 
Total Tx Time 
ATG155: Returns the current value of Total Tx Time. 
Startup Reason 
ATG9: Returns the current value of Startup Reason. 
Startup Config 
ATG154: Returns the current value of Startup Config. 
Approval Code 
International type approval code which applies to this device. 
ATI175: Returns the current value of Approval Code. 
EEPROM Status 
Displays the EEPROM status at start-up. Blank or Invalid EEPROM could indicate a hardware fault. 
ATR10: Returns the current value of EEPROM Status. 
Build Date 
The date the firmware was compiled. 
ATR9: Returns the current value of Build Date. 
Firmware Version 
Version information for the firmware loaded in this device. 
ATI4: Returns the current value of Firmware Version. 
FPGA Version 
Version information for the FPGA image loaded into this device. 
ATI18: Returns the current value of FPGA Version. 
Bootloader Version 
ATI130: Returns the current value of Bootloader Version. 
(Distributer) Assertion Messages 

  Appendix D Hayes AT Reference 
RFI-148 & RFI-900 High Output Power Paging Transmitters User Manual  Page 82 of 99 
ATG170: Returns the current value of Assertion Messages. 
ATG170=n sets Assertion Messages to n 
Values accepted: 
0 = Disabled  
1 = Enabled  
Software Reset 
ATG10: Runs the Software Reset routine. 
Time Menu 
Uptime 
Seconds since the radio powered up. 
ATG16: Returns the current value of Uptime. 
Local Time 
The current local time (in seconds since Jan 1 1970). 
ATG11: Returns the current value of Local Time. 
Battery Status 
ATG13: Returns the current value of Battery Status. 
Local Time 
The current local time. 
ATG12: Returns the current value of Local Time. 
Startup Date 
ATG17: Returns the current value of Startup Date. 
Power Off Date 
ATG14: Returns the current value of Power Off Date. 
UTC 
The current UTC (in seconds since Jan 1 1970). 
AT%63: Returns the current value of UTC. 
AT%63=n: Sets the value of UTC to n s, given that 0 <= n <= -1. 
Time String Format 
ATG15: Returns the current value of Time String Format. 
ATG15=n sets Time String Format to n 
Values accepted: 
0 = DoW MMM DD HH:MM:SS YYYY  
1 = ''DD/MM/YYYY''  
2 = DD/MM/YYYY  
3 = ''DD/MM/YYYY HH:MM:SS''  
4 = DD/MM/YYYY HH:MM:SS  
5 = ''YYYY/MM/DD HH:MM:SS''  
6 = YYYY/MM/DD HH:MM:SS  
Time Zone (UTC +/-) Table 
Hours 

  Appendix D Hayes AT Reference 
RFI-148 & RFI-900 High Output Power Paging Transmitters User Manual  Page 83 of 99 
The hours portion of the time zone. 
ATG18[a]: Returns the current value of Hours. 
ATG18[a]=[+/-]n: Sets the value of Hours to n hrs, given that -12 <= n <= 14. Where: a = Time Zone (UTC 
+/-) table index (starting from 0) 
Minutes 
The minutes portion of the time zone. 
ATG19[a]: Returns the current value of Minutes. 
ATG19[a]=n: Sets the value of Minutes to n mins, given that 0 <= n <= 59. Where: a = Time Zone (UTC +/-
) table index (starting from 0) 
Firmware Update Menu 
Current State 
ATU50: Returns the current value of Current State. 
Startup State 
ATU46: Returns the current value of Startup State. 
Snapshot Progress 
Displays the completion status of a firmware snapshot being created. 
ATU11: Returns the current value of Snapshot Progress. 
Use Schedule Information 
Use the schedule information in the CCMP-FIRMWARE-SCHEDULE packet to determine when to update 
to the new firmware image. 
ATU47: Returns the current value of Use Schedule Information. 
ATU47=n sets Use Schedule Information to n 
Values accepted: 
0 = False  
1 = True  
Update Firmware Now 
Update the firmware to the most recent uploaded firmware image. This operation cannot be reversed and can 
cause configuration loss. 
ATU17: Runs the Update Firmware Now routine. 
Take Firmware Snapshot 
Trigger a firmware snapshot to be created. The progress of the snapshot creation can be tracked under the 
node 'Snapshot Progress'. 
ATU10: Runs the Take Firmware Snapshot routine. 
Roll Back to Snapshot 
'Roll Back' to the most recent firmware snapshot. This will load the firmware and configuration saved on the 
most recent firmware snapshot. This operation cannot be reversed. 
ATU15: Runs the Roll Back to Snapshot routine. 
Firmware Update Table 
ATU48[a]: Returns the current value of . 
Where: a = table index (starting from 0) 
Available 

  Appendix D Hayes AT Reference 
RFI-148 & RFI-900 High Output Power Paging Transmitters User Manual  Page 84 of 99 
Displays availability of the firmware image saved into this memory bank. True means an image is available, 
false means there is no image. 
ATU20[a]: Returns the current value of Available. 
Where: a = table index (starting from 0) 
Type 
ATU49[a]: Returns the current value of Type. 
Where: a = table index (starting from 0) 
Version 
The firmware version of the firmware image loaded into this memory bank. 
ATU21[a]: Returns the current value of Version. 
Where: a = table index (starting from 0) 
Timestamp 
The creation date or upload date of the firmware image loaded into this memory bank. 
ATU22[a]: Returns the current value of Timestamp. 
Where: a = table index (starting from 0) 
(Distributer) Load Image 
ATU51[a]: Runs the Load Image routine. 
Where: a = table index (starting from 0) 
Ethernet Statistics Menu 
Ethernet Summary Statistics Table 
Name 
ATR251[a]: Returns the current value of Name. 
Where: a = Ethernet Summary Statistics table index (starting from 0) 
Value 
ATR252[a]: Returns the current value of Value. 
Where: a = Ethernet Summary Statistics table index (starting from 0) 
Ethernet Error Statistics Table 
Name 
ATR253[a]: Returns the current value of Name. 
Where: a = Ethernet Error Statistics table index (starting from 0) 
Value 
ATR254[a]: Returns the current value of Value. 
Where: a = Ethernet Error Statistics table index (starting from 0) 
Ethernet Data Statistics Table 
Name 
Value 
ATR303[a]: Returns the current value of Value. 
Where: a = Ethernet Data Statistics table index (starting from 0) 
IP Statistics Menu 

  Appendix D Hayes AT Reference 
RFI-148 & RFI-900 High Output Power Paging Transmitters User Manual  Page 85 of 99 
IP Statistics Table 
Name 
ATG34[a]: Returns the current value of Name. 
Where: a = IP Statistics table index (starting from 0) 
Value 
ATG35[a]: Returns the current value of Value. 
Where: a = IP Statistics table index (starting from 0) 
Protocol Statistics Table 
Protocol 
ATG36[a]: Returns the current value of Protocol. 
Where: a = Protocol Statistics table index (starting from 0) 
Transmitted 
ATG37[a]: Returns the current value of Transmitted. 
Where: a = Protocol Statistics table index (starting from 0) 
Re-Transmitted 
ATG38[a]: Returns the current value of Re-Transmitted. 
Where: a = Protocol Statistics table index (starting from 0) 
Received 
ATG39[a]: Returns the current value of Received. 
Where: a = Protocol Statistics table index (starting from 0) 
Forwarded 
ATG40[a]: Returns the current value of Forwarded. 
Where: a = Protocol Statistics table index (starting from 0) 
Dropped 
ATG41[a]: Returns the current value of Dropped. 
Where: a = Protocol Statistics table index (starting from 0) 
Checksum Error 
ATG42[a]: Returns the current value of Checksum Error. 
Where: a = Protocol Statistics table index (starting from 0) 
Length Error 
ATG43[a]: Returns the current value of Length Error. 
Where: a = Protocol Statistics table index (starting from 0) 
Memory Error 
ATG44[a]: Returns the current value of Memory Error. 
Where: a = Protocol Statistics table index (starting from 0) 
Routing Error 
ATG45[a]: Returns the current value of Routing Error. 
Where: a = Protocol Statistics table index (starting from 0) 
Protocol Error 

  Appendix D Hayes AT Reference 
RFI-148 & RFI-900 High Output Power Paging Transmitters User Manual  Page 86 of 99 
ATG46[a]: Returns the current value of Protocol Error. 
Where: a = Protocol Statistics table index (starting from 0) 
Error 
ATG47[a]: Returns the current value of Error. 
Where: a = Protocol Statistics table index (starting from 0) 
Fault History Menu 
(Distributer) Reset Fault History 
ATG179: Runs the Reset Fault History routine. 
Fault History Table 
Time 
The time that the fault occurred. 
ATG20[a]: Returns the current value of Time. 
Where: a = Fault History table index (starting from 0) 
Fault 
The fault that occurred. 
ATG21[a]: Returns the current value of Fault. 
Where: a = Fault History table index (starting from 0) 
Event Log Menu 
Level 
The granularity of information to write to the event log. 
ATS60: Returns the current value of Level. 
ATS60=n sets Level to n 
Values accepted: 
0 = Faults  
1 = Warnings  
2 = Status  
3 = Information  
4 = Debugging  
Clear Event Log 
Clears all entries in the event log. 
ATS65: Runs the Clear Event Log routine. 
Filters Table 
Type 
ATS181[a]: Returns the current value of Type. 
Where: a = Filters table index (starting from 0) 
Status 
ATS182[a]: Returns the current value of Status. 
ATS182[a]=n sets Status to n 
Values accepted: 
0 = Disabled  
1 = Enabled  
Where: a = Filters table index (starting from 0) 

  Appendix D Hayes AT Reference 
RFI-148 & RFI-900 High Output Power Paging Transmitters User Manual  Page 87 of 99 
Transmission Log Table 
Time 
ATP113[a]: Returns the current value of Time. 
Where: a = Transmission Log table index (starting from 0) 
Event 
ATP114[a]: Returns the current value of Event. 
Where: a = Transmission Log table index (starting from 0) 

  Appendix E Sensor and Fault List Reference 
RFI-148 & RFI-900 High Output Power Paging Transmitters User Manual  Page 88 of 99 
Appendix E Sensor and Fault List Reference 
Index 
Sensor 
Unit 
Range 
Default Upper 
Cut-off 
Default Lower 
Cut-off 
0 
PA Temp 
ºC 
-40 to 126 
75 
-20 
1 
Driver Temp 
ºC 
-40 to 126 
70 
-20 
2 
PA Ambient Temp 
ºC 
-40 to 126 
70 
-20 
3 
Isolator Temp 
ºC 
-40 to 126 
60 
-20 
4 
Baseband Temp 1 
ºC 
-40 to 126 
60 
-20 
5 
Baseband Thermistor 
ºC 
-42 to 152 
60 
-20 
6 
Baseband Voltage 
mV 
0 to 32991 
49000 
46500 
7 
24V Voltage 
mV 
0 to 14833 
25930 
23040 
8 
5V Voltage 
mV 
0 to 6649 
5380 
4810 
9 
3.3V Voltage 
mV 
0 to 4347 
3510 
3170 
10 
Baseband Current 
mA 
0 to 3296 
2490 
40 
11 
24V Current 
mA 
0 to 3296 
3110 
200 
12 
5V Current 
mA 
0 to 2197 
2640 
800 
13 
3.3V Current 
mA 
0 to 3296 
1130 
670 
14 
PA0 Current3 
mA 
0 to 24951 
7330 
4500 
15 
PA90 Current3  
mA 
0 to 24951 
7330 
4500 
16 
Driver Current 
mA 
0 to 2495 
390 
90 
17 
Supply Current3 
mA 
0 to 30742 
16170 
40 
18 
Rear Fan Current 
mA 
0 to 1636 
470 
50 
19 
Front Fan Current 
mA 
0 to 1636 
470 
50 
20 
Rear Fan Speed 
RPM 
0 to 32767 
4440 
1320 
21 
Front Fan Speed 
RPM 
0 to 32767 
4440 
1320 
22 
Reverse Power3 
mW 
0 to 86000 
1730 
0 
23 
Transmit Power3 
mW 
0 to 650000 (typical) 
281000 
222000 
24 
Driver Power3 
mW 
0 to 1714000 
2640 
800 
25 
Exciter Power 
mW 
0 to 21977 
680 
220 
26 
Isolator VSWR 
10-3:1 
0 to 9000 
2500 
0 
Table 23: Sensor Reference 
3
 Measurement varies according to Tx Power – these values apply to Tx Power = 250W. 

  Appendix E Sensor and Fault List Reference 
RFI-148 & RFI-900 High Output Power Paging Transmitters User Manual  Page 89 of 99 
Index 
Fault 
Latching 
Default Fault Action 
Default Alarm 
0 
High PA Temperature 
Configurable 
Disable Transmit 
ALM7 
1 
High Driver Temperature 
Configurable 
Disable Transmit 
ALM7 
2 
High  PA  Ambient 
Temperature 
Configurable 
None 
ALM7 
3 
High Isolator Temperature 
Configurable 
Disable Transmit 
ALM7 
4 
High Baseband 1 Temperature 
Configurable 
None 
ALM7 
5 
High Baseband 2 Temperature 
Configurable 
None 
ALM7 
6 
High Baseband Voltage 
Configurable 
None 
ALM1 
7 
High 24V Voltage 
Configurable 
None 
ALM1 
8 
High 5V Voltage 
Configurable 
None 
ALM1 
9 
High 3.3V Voltage 
Configurable 
None 
ALM1 
10 
High Baseband Current 
Configurable 
None 
ALM1 
11 
High 24V Current 
Configurable 
None 
ALM1 
12 
High 5V Current 
Configurable 
None 
ALM1 
13 
High 3.3V Current 
Configurable 
None 
ALM1 
14 
High PA0 Current 
Configurable 
Disable Transmit 
ALM1 
15 
High PA90 Current 
Configurable 
Disable Transmit 
ALM1 
16 
High Driver Current 
Configurable 
None 
ALM1 
17 
High Supply Current 
Configurable 
None 
ALM1 
18 
High Rear Fan Current 
Configurable 
None 
ALM8 
19 
High Front Fan Current 
Configurable 
None 
ALM8 
20 
High Rear Fan RPM 
Configurable 
None 
ALM8 
21 
High Front Fan RPM 
Configurable 
None 
ALM8 
22 
High Reverse Power 
Configurable 
Disable Transmit 
None 
23 
High Transmit Power 
Configurable 
Disable Transmit 
ALM4 
24 
High Driver Power 
Configurable 
None 
None 
25 
High DDS Power 
Configurable 
None 
ALM4 
26 
High Isolator VSWR 
Configurable 
Disable Transmit 
ALM6 
27 
Low PA Temperature 
Configurable 
None 
None 
28 
Low Driver Temperature 
Configurable 
None 
None 
29 
Low PA Ambient Temperature 
Configurable 
None 
None 
30 
Low Isolator Temperature 
Configurable 
None 
None 
31 
Low Baseband 1 Temperature 
Configurable 
None 
None 

  Appendix E Sensor and Fault List Reference 
RFI-148 & RFI-900 High Output Power Paging Transmitters User Manual  Page 90 of 99 
32 
Low Baseband 2 Temperature 
Configurable 
None 
None 
33 
Low Baseband Voltage 
Configurable 
None 
ALM1 
34 
Low 24V Voltage 
Configurable 
None 
ALM1 
35 
Low 5V Voltage 
Configurable 
None 
ALM1 
36 
Low 3.3V Voltage 
Configurable 
None 
ALM1 
37 
Low Baseband Current 
Configurable 
None 
ALM1 
38 
Low 24V Current 
Configurable 
None 
ALM1 
39 
Low 5V Current 
Configurable 
None 
ALM1 
40 
Low 3.3V Current 
Configurable 
None 
ALM1 
41 
Low PA0 Current 
Configurable 
None 
ALM1 
42 
Low PA90 Current 
Configurable 
None 
ALM1 
43 
Low Driver Current 
Configurable 
None 
ALM1 
44 
Low Supply Current 
Configurable 
None 
ALM1 
45 
Low Rear Fan Current 
Configurable 
None 
ALM8 
46 
Low Front Fan Current 
Configurable 
None 
ALM8 
47 
Low Rear Fan RPM 
Configurable 
None 
ALM8 
48 
Low Rear Fan RPM 
Configurable 
None 
ALM8 
49 
Low Reverse Power 
Configurable 
None 
None 
50 
Low Transmit Power 
Configurable 
None 
ALM5 
51 
Low Driver Power 
Configurable 
None 
None 
52 
Low DDS Power 
Configurable 
None 
None 
53 
Low Isolator VSWR 
Configurable 
None 
None 
54 
External Reference Fail 
Configurable 
Reference Switchover 
ALM2 
55 
Software Fault 
Configurable 
None 
None 
56 
Exciter Out-of-Lock 
Configurable 
Disable Transmit 
ALM9 
57 
Efficiency Warning 
Configurable 
None 
None 
58 
Transmit Timeout 
Latch-only 
Disable Transmit 
None 
59 
Encoder Data Idle 
Configurable 
None 
None 
60 
PA Current Foldback 
Configurable 
None 
None 
61 
Reverse Power Foldback 
Configurable 
Disable Transmit 
None 
62 
Invalid Calibration 
Latch-only 
Disable Transmit 
None 
63 
Watch Dog Reset 
Latch-only 
None 
None 
64 
Assertion Reset 
Latch-only 
None 
None 
65 
Firmware Update Exception 
Latch-only 
None 
None 

  Appendix E Sensor and Fault List Reference 
RFI-148 & RFI-900 High Output Power Paging Transmitters User Manual  Page 91 of 99 
66 
Mass Storage 
Configurable 
None 
None 
67 
Module 
Latch-only 
Disable transmit 
None 
68 
Reference Switchover 
Latch-only 
None 
ALM3 
69 
Disable Transmission 
Latch-only 
None 
None 
70 
Scale Transmit Power 
Latch-only 
None 
None 
71 
Enable PA0 Current Foldback 
Latch-only 
None 
None 
72 
Enable  PA90  Current 
Foldback 
Latch-only 
None 
None 
73 
Enable  Reverse  Power 
Foldback 
Latch-only 
None 
None 
Table 24: Fault Reference 

  Appendix F Product Identification Table 
RFI-148 & RFI-900 High Output Power Paging Transmitters User Manual  Page 92 of 99 
Appendix F Product Identification Table 
Table  25  shows  the  Paging  Transmitter  product  identification.  The  green  shaded  items  are  the  available 
configurations. This table should be used when ordering a Paging Transmitter. 
FREQUENCY 
BAND 
MAXIMUM TX 
POWER 
POWER 
SUPPLY 
INTEGRATED 
ISOLATOR 
RELEASE 
OTHER 
FEATURES 
148 
VHF 
250 
250 W 
E 
24 VDC 
ND 
Not Fitted 
A 
Australia and 
US 
H 
Hot standby 
operation 
900 
UHF 
T 
-48 VDC 
CD 
Fitted 
E 
Europe 
P 
110/240 
VAC 
Table 25: Paging Transmitter product identification table 
For example, the product code for a 250 W Paging Transmitter supplied from -48 VDC, with an integrated 
isolator and released for Europe is RFI-148 250TCDE. 

  Appendix G Troubleshooting 
RFI-148 & RFI-900 High Output Power Paging Transmitters User Manual  Page 93 of 99 
Appendix G Troubleshooting 
This section outlines steps that can be taken in response to issues with the paging transmitter.  
G.1 Configuring Sensor Cutoffs 
Changing the paging transmitter transmit power should also include changing the sensor cutoffs. The factory 
default settings for the paging transmitter is for 20 W transmit power, including reasonable sensor cutoffs for 
this  transmit  power. If the transmit  power is  increased,  then  the sensor  cutoffs also  need to  be similarly 
increased.  Please  contact  STI  Engineering  for  accessing  Cruise  Control  configuration  files  with 
recommended sensor cutoffs for common transmit power settings. 
G.2 Fault LED Active 
The paging transmitter has several different indicators that a fault is currently active. The easiest method to 
determine fault status is to observe the front panel of the unit. If the red fault LED is on then the transmitter 
has an active fault. The fault status can also be interrogated using Cruise Control. 
To determine the  type of  fault  that  is  active, connect  to  the  paging transmitter using Cruise Control  (for 
information on using Cruise Control see section 3.2). The front serial port of the paging transmitter has a 
configuration locked to 19200 8N1 (19200 baud, 8 data bits, even parity, and 1 stop bit). Once connected 
with Cruise Control, navigate to the Faults group and Cruise Control will display a view similar to the one 
shown in Figure 19 below. 

  Appendix G Troubleshooting 
RFI-148 & RFI-900 High Output Power Paging Transmitters User Manual  Page 94 of 99 
Figure 19: Cruise Control Faults Overview 
In  the  case  of  Figure  19,  the  external  reference  fail  and  reference  switchover  faults  are  active.  See  the 
headings below to diagnose some common active faults. 
G.2.1 External Reference Fail 
The external reference fail fault goes active when the transmitter is configured to use the external reference, 
but it cannot be locked to. 
If an external reference is not in use, change the reference mode to internal and then run the clear all faults 
routine to clear the fault LED. 
If an external reference is required: 
 Ensure the external reference is plugged in. 
 Ensure the external reference is within specification (see Table 9). 
 Ensure the external reference frequency is configured correctly. 

  Appendix G Troubleshooting 
RFI-148 & RFI-900 High Output Power Paging Transmitters User Manual  Page 95 of 99 
G.2.2 High Transmit Power 
A  high  transmit  power  fault  could  indicate  a  hardware  issue,  however  it  is  usually  due  to  incorrect 
configuration. The high  transmit  power fault will  go  active  when  the  sensed  transmit  power exceeds  the 
transmit power upper cutoff. A high transmit power fault is usually seen in tandem with high PA current and 
foldback faults. 
If the transmit power setting has been increased without changing the sensor cutoff values then this is likely 
the cause of the fault. See appendix G.1 for troubleshooting sensor cutoffs. For information on sensor cutoffs 
see section 0. 
G.2.3 High VSWR 
The high VSWR fault goes active when there is too much power being reflected into the RF out connection. 
When diagnosing a VSWR fault ensure the guidelines on human exposure to RF emissions are followed in 
section 0. To diagnose a high VSWR fault: 
 Ensure an antenna is attached to the RF out port. 
 Ensure  the  paging  transmitter  is  configured  for  the  correct  operating  frequency  and  the  correct 
channel number is selected. 
 Ensure the antenna is tuned to the operating frequency. 
o Also ensure any in-line devices (such as a cavity filter) are tuned to the correct frequency. 
 Ensure there are no open circuits in the cable run from the paging transmitter to the antenna. 
 If possible, visually inspect the antenna for damage. 
G.2.4 Disable Transmit 
The disable transmit fault is a fault action automatically performed by the firmware due to other faults being 
active. The disable transmit fault action is caused by critical faults in the paging transmitter to stop hardware 
damage  or  transmitting  off  frequency.  A  list  of  faults  that  will  cause  disable  transmit  and  how  to 
troubleshoot them follows. 
G.2.4.1 High PA or Driver Temperature 
The  temperature  on  the  PA  module  has  exceeded  the  sensor  cutoff  values  (80  °C  by  default).  To 
troubleshoot high PA temperature: 
 Ensure  the  fans  are  configured  to  turn  on  at  a  reasonable  temperature.  The  factory  default  is 
recommended and has the fans turn on at 40 °C. 
 Check the ambient air temperature where the paging transmitter is installed. When transmitting at 
250 W with an ambient temperature  of 60  °C, the paging transmitter is expected to reach 80  °C. 
Ensure proper air circulation and/or air conditioning in the area the paging transmitter is installed. 

  Appendix G Troubleshooting 
RFI-148 & RFI-900 High Output Power Paging Transmitters User Manual  Page 96 of 99 
 Ensure the fans are working. Check for blockages of the fan intake and exhaust. 
G.2.4.2 High Reverse Power or Reverse Power Foldback 
A high reverse power fault indicates a hardware failure of the circulator inside the paging transmitter. Failure 
of the circulator can cause RF spectrum splatter, so transmit is disabled. Return the unit to STI Engineering 
for repair. 
G.2.4.3 Exciter Out-of-Lock 
An exciter out-of-lock fault indicates that the channel frequencies can no longer be generated. There are two 
possible causes of an exciter out-of-lock: 
 If  an  external  reference  is  in  use:  the  external  reference  frequency  has  drifted  too  far  from  the 
configured reference frequency. Check the accuracy of the external reference. 
 A critical hardware failure in the paging transmitter. Return the unit to STI Engineering for repair. 
G.2.4.4 Transmit Timeout 
The  transmit  timeout  fault  goes  active  when  the  unit  has  been  transmitting  for  longer  than  the  transmit 
timeout duration. The transmit timeout fault can either be disabled, or the timeout can be increased. 
G.3 Unit Won’t Transmit 
There could be several causes for the paging transmitting not transmitting, each is explained below. 
G.3.1 PTT Override 
The  paging  transmitter  PTT  override  can  disable  the  transmitter  from  transmitting.  The  status  of  PTT 
override is displayed in the PTT Override Status field under the radio settings: 
 Enabled: Transmitting is enabled. 
 DISABLED:User: Transmitting is disabled because the user-configurable option PTT Override is set 
to disable transmit. To enable transmit again, set PTT override to enable transmit. 
 DISABLED:Fault: Transmitting is disabled because the disable transmit fault action is active. See 
section G.2.4 for troubleshooting a disable transmit fault action. 
 DISABLED:Listening: Transmitting is disabled because the isolator mode is set for listening. To 
enable transmitting again, the isolator mode must be set for transmitting. 
 DISABLED:Loading  Config:  Transmitting  is  disabled  while  Cruise  Control  is  loading  a 
configuration file. 

  Appendix G Troubleshooting 
RFI-148 & RFI-900 High Output Power Paging Transmitters User Manual  Page 97 of 99 
G.3.2 Hardware or Auto PTT 
When troubleshooting hardware or auto PTT, ensure the following: 
 The paging transmitter can transmit with the “Transmit On” routine in Cruise Control. 
 Hardware PTT or auto PTT is enabled. 
For hardware PTT: 
 The correct hardware PTT active level is configured, active low or active high. 
 Toggling the hardware PTT state is reflected in the “Ext I/O” table in Cruise Control in the Encoder 
Interface group. If this does not work, it indicates a cabling issue with the hardware PTT input. 
For auto PTT: 
 Toggling the L-bit state is reflected in the “Ext I/O” table in Cruise Control in the Encoder Interface 
group. If this does not work, it indicates a cabling issue with the L-bit input. 
G.3.3 Profile Definition 
If the RFI-900 reports that it is transmitting (Radio → Power → Transmitter Status), yet LIU L-Bit activity 
does not produce modulated data, ensure that the selected modulation profile (Encoder Interface → Active 
Profile) is not configured to use an external data clock (via the LIU) unless you are providing one (Paging 
Protocols → Profiles → Ext. Data Clock). 
G.4 Unit Transmits at Low Power 
If the unit is transmitting at low power as indicated by the front panel power gauge or transmit power sensor 
there could be several causes. Ensure: 
 The required transmit power is configured. 
 There are no faults active. A unit configured to transmit at a high power level needs similarly higher 
sensor cutoffs, see appendix G.1. 
Otherwise, low transmit power could indicate a hardware failure. If troubleshooting fails, return the unit to 
STI Engineering for repair. 

  Appendix H Glossary 
RFI-148 & RFI-900 High Output Power Paging Transmitters User Manual  Page 98 of 99 
Appendix H Glossary 
BNC 
Bayonet Neill-Concelman (Connector) 
CTS 
Clear To Send 
DCD 
Data Carrier Detect 
DCE 
Data Communications Equipment (radio modem) 
DTE  
Data Terminal Equipment (computer device) 
DTR 
Data Terminal Ready 
EIRP 
Effective Isotropic Radiated Power 
GUI 
Graphical User Interface 
PA 
Power Amplifier 
POCSAG 
Post Office Code Standardisation Advisory Group 
PET 
Motorola Page Entry (now TAP) 
PTT 
Push-To-Talk 
RF 
Radio Frequency 
RSSI 
Received Signal Strength Indicator 
RTS 
Request To Send 
Rx 
Received 
SNMP 
Simple Network Management Protocol 
SNTP 
Simple Network Time Protocol 
TAP 
Telelocator Alphanumeric Protocol (formerly PET) 
TNC 
Threaded Neill-Concelman (Connector) 
TNPP 
Telelocator Network Paging Protocol 
Tx 
Transmitted 
UTC 
Coordinated Universal Time 
VHF 
Very High Frequency 
VSWR 
Voltage Standing Wave Ratio 
Table 26: Glossary 

RFI-148 & RFI-900 High Output Power Paging Transmitters User Manual  Page 99 of 99 
Index 
Appendix 
Controller Configurations 
Glenayre C2000 Controller / FLEX Mode ............... 48 
Glenayre C2000 Controller / POCSAG Mode .......... 48 
Motorola NIU Controller / FLEX Mode ................... 48 
Zetron Model 66 Controller / POCSAG Mode ......... 49 
Configuration ..................................................................... 13 
Auto PTT ....................................................................... 24 
Carrier Offset ................................................................. 27 
Channel Selection .......................................................... 22 
Combined Fault ............................................................. 31 
Default Reference .......................................................... 25 
Delay Correction ........................................................... 25 
Encoder Frequency Control ........................................... 20 
Encoder Hardware PTT ................................................. 20 
Encoder Protocol Control .............................................. 20 
External Reference ........................................................ 25 
Isolator Mode ................................................................ 26 
Minimum Fault Duration ............................................... 31 
PTT System Override .................................................... 24 
PTT Turn Off Delay ...................................................... 24 
Sensor Cut-off ............................................................... 29 
Serial Ports .................................................................... 21 
SNTP ............................................................................. 33 
Transmit Power ............................................................. 22 
Transmit Timeout .......................................................... 24 
Diagnostics and Troubleshooting 
Serial Port Statistics ...................................................... 21 
Fault Reference .................................................................. 88 
Glossary ............................................................................. 98 
Installation 
Product ............................................................................ 8 
Introduction .......................................................................... 6 
Operation ............................................................................ 21 
Serial Ports .................................................................... 21 
Sensor Reference ................................................................ 88 
Technical Specifications .................................................... 42 
Paging Transmitter ........................................................ 42 
Serial Ports .................................................................... 45 
