SYLVANIA DVD Systems Manual L0808262
User Manual: SYLVANIA SYLVANIA DVD Systems Manual SYLVANIA DVD Systems Owner's Manual, SYLVANIA DVD Systems installation guides
Open the PDF directly: View PDF
.
Page Count: 146 [warning: Documents this large are best viewed by clicking the View PDF Link!]

//
|
Blu-rayDiscPlayer I_
Owner's Manual /
NB5OISL9 /
/
/
(o 2008 Funai Electric Co., Ltd.

This unit is compatible to play back the following discs /files.
Blu_ray Disc
RDwideo (single /double layer)
BD_RE ver.2.1 (single /double layer)
(Recorded in BDMV format)
BD_R (single /double layer) a/u-r.._..oi,_-
(Recorded in RDMV format)
(Unclosed discs may not be played
back.)
|tU
DVD video VID_O
DVD PRW (single layer)
DVD PR(single /double layer) _
DVDRW (finalized discs only) _
_w
DVDR (finalized discs only) _
CD_DA (audio CD)
CD42 ....._ ....
Kodak Picture CD
DTS_CD
JPEG
DVD, CD_RW/_R,
SD Memory Card (including
SDHC), miniSD Card,
microSD Card
SDMemoryCard (8MB 2GB)
SDHCMemory Card (4GB)
miniSD Card (SMB_ 2GR)
microSDCard(8MB 2GB)
JPEG, picturedmpicture
commentary, subtitles or
other extras for BD_ROM
Profile 1 ver.l.1
• For miniSD Card and microSD Card, the adapter is necessary.
-miniSD Card
pter
-microgD Card
il,il
"Blu_rayDisc"and _ aretrademarks.
is a trademark of DVD Format/Logo Licensing Corporation.
This unit has been designed to play back BD-video with region A and DVD-video with region
"1" or "ALL".
You cannot play back BD-video or DVD-video that are labeled for other regions. Look for the
symbols on the right on your BD-video or DVD-video. If these region symbols do not appear
on your BD-video or DVD-video, you cannot play back the disc in this unit. The letter or
number inside the globe refers to region of the world. A BD-video or DVD-video labeled for a
specific region can only play back on the unit with the same region code.
DVD_video BD_video
%
Printed inChina ESH26UD
lVMN25654 /_* _,_*
All devices should be turned off and
disconnected from the power outlet,
when you make the connections.
Make one of the following connections, depending on the capabilities of your existing device.
AUDIO CONNECTION VIDEO CONNECTION
AUDIO OUT
i
RCA
video cable
and
iVIDEO OUT
RCA component
video cable
ot
i WD_OO_ i
k_' i
COMPONENT VIDEO OUT
HDMI DVI
cable
or
i@
HDMI OUT
@
IAUDIO/VIDEOCONNECTION I
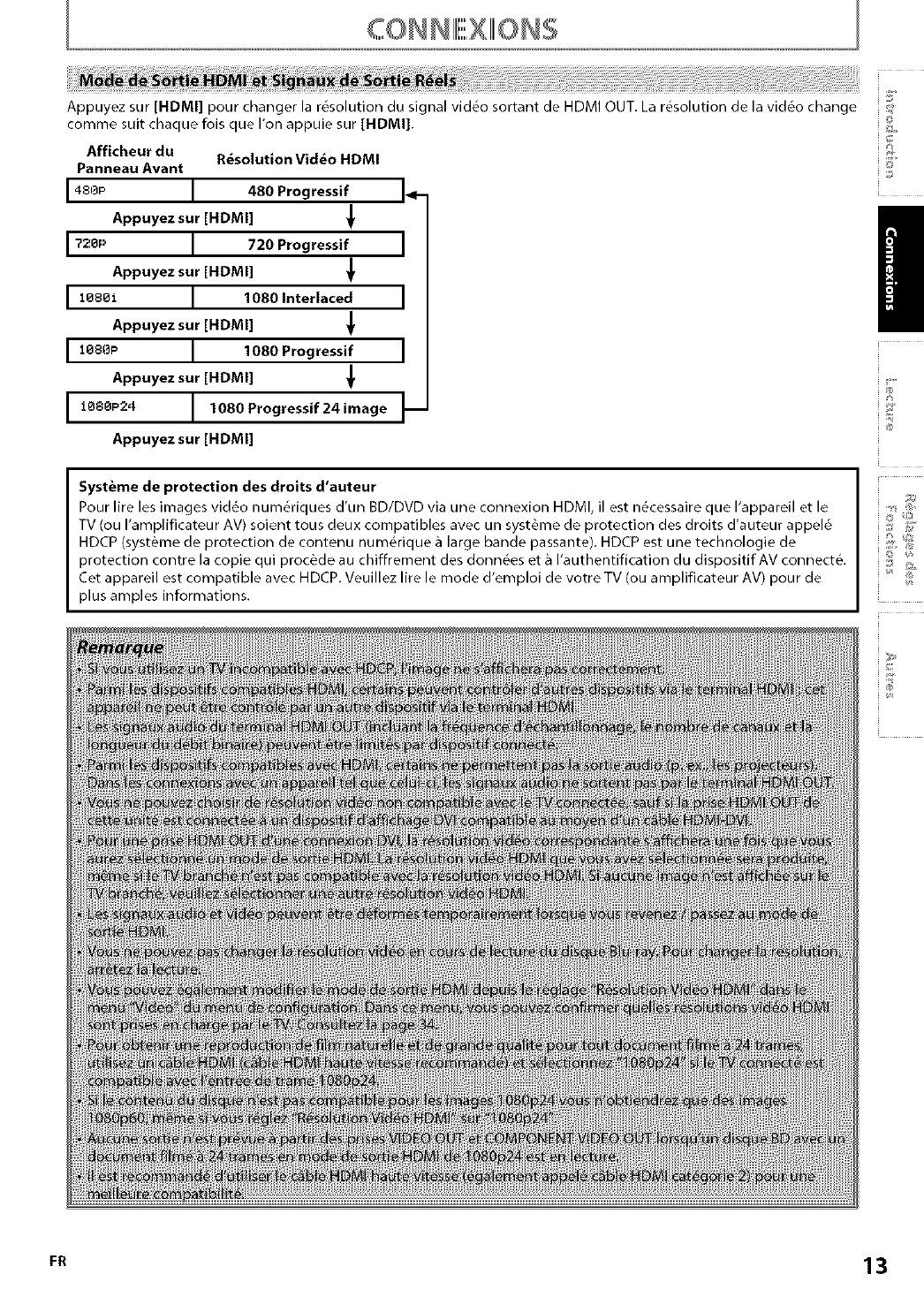
Press [HDMI] to change the resolution of the video signal being output from HDMI OUT jack.
The video resolution changes as follows every time [HDMI] is pressed.
480p _ 720p _ 1080J _ 1080p _ 1080p24
I
Follow to the back side of this sheet.
EN EN

•
stereo system
AV receiver/amplifier
DIGITALOUT (COAXIAL)
th® AC Co_d
After you made all necessary connections, connect the AC cord to the AC IN.
Then connect the AC cord to the AC outlet.
Insert the plugs securely. Incomplete connections will result in the generation of noise.
AC 120V, 60 Hz
•
[POWER].
and select the
appropriate input on the TV to which
the unit is connected.
[OPEN /CLOSE Am] to open
the disc tray.
;:Place the disc on the disc tray with
its label side facing up.
Align the disc to the
disc tray guide.
[[_fess [OPEN /CLOSE _] to close the
disc tray.
Some discs may start playback automatically.
[PLAY I_] to start playback.
For many of BD-video and DVD-video, a menu screen
mayappear.
In this case, use [,i_ I • I _I I I_ ] to select the desired
item, then press [ENTER].
To pause playback:
Press [PAUSE II ].
To return to normal playback:
Press [PLAYI_ ].
To stop playback:
Press [STOP • ].
To eject the disc:
Press [OPEN /CLOSE _]to open the disc tray, then
remove the disc before turning offthe unit.
EN EN

The model and serial numbers of this unit may be found on the cabinet.
You should record and retain those numbers for future reference. Model No.:
Serial No.:
WARNING: TO REDUCETHE RISKOF FIREOR ELECTRICSHOCK, DO NOT EXPOSETHIS
APPARATUS TO RAIN OR MOISTURE.
2
CAUTION
CAUTION: TO REDUCE THE RISK OF ELECTRIC
SHOCK, DO NOT REMOVE COVER (OR BACK). NO USER
SERVICEABLE PARTS INSIDE. REFER SERVICING TO
QUALIFIED SERVICE PERSONNEL.
The lightning flash with arrowhead symbol, within an
equilateral triangle, is intend_<J to alert the user to the
presence of uninsulated '_dangerous voltage"within the
apparatus's enclosure that may be of suffident magnitude
to constitute a risk of electric shock to persons.
The exclamation point within an equilateral triangle is
intended to alert the user to the presence of important
operating and maintenance (servicing) instructions in
the literature accompanying the apparatus.
The caution marking is located on the rear or bottom of the cabinet.
Important Safeguards
t, READINSTRUCTION$ Allthesaf_tyandop÷_atinginstructionsshould
be read before the apparatus isoperated.
g_ RETAININSTRUCTIONS ThesafatyandoperatinginstrucUonsshould
be retained for future reference.
3, HEEDWARNINGS Allwamingsontheapparatusandintheoperating
instructionsshould be adhered to.
4, FOLLOWlNSTRUCTIONS All operating and use instructions should be
followed.
g, CLEANING Unpiugthisapperatusffomthewalloutletbeforecieaning.
Do not use liquid cleaners or ae_sol cleaners. Use a damp cfoth for
cleaning.
EXCEPTION:An apparatus that is meant for uninterrupted service and,
that for some specific reason, such asthe possibility of the lossof an
authorization code for a CATVconverter, is not intended to be unplugged
by the user for cleaning or any other purpose, may exclude the reforence
to unplugging the apparatus in the cleaning description otherwise
required in item S.
5, ATTACHMENTS Do not useattachments not recommended by the
appa_tus manufact Liter as they may Cause hazards.
7, WATERANDMOISTURE Donotusethisapperatusnearwate_,for
example, near a bath tub, wash bowl, kitchen sink, or laundry tub, in a
wet basement, or near a swimming pool, and the like.
_, ACCESSORIES Donotplacethisappa_atusonan
unstable cart, _and,tripod, bracket, ortable.The
apparatus mayfall, causing serious i_ury to someone,
and seriousdamage to the apparatus. Useonly with a
cart, stand, tripod, bracket, or table recommended by the
manufacture_,or sold with the apparatus. Any mou nting
of the apparatus should follow the manufacturer _
s iRstructions and should USea mouRtiRg accessory
recommended by the manufacturer. An apparatus and cart combination
should be moved with care. Quick stops, excessive force, and uneven
Surfaces may CaUSe the apparatus aRd cart combiRation to overturn.
_VENTILATION Siotsandopeningsinthecabinetandthebackor
bottom a_ provided for ventilation and to ensu_ _liable operation of
the apparatus and to protect it from overheating, these openings must
not be blocked or covered. The openings should never be blocked by
placing the apparatus on a bed, sofa, carpet, rug, or other simila r surface.
This apparatus should never be placed near or over a radiator or heat
register. This apparatus should not be placed in a built in installation
such as abookcase or rack unlessproper ventilation isprovided or the
manufactu_r_ instructionshave been adhe_d to.
t_, POWER SOURCE$ Thisapparatusshould beoperatedonlyfromthe
type of power source indicated on the marking label. If you are not sure
of the type of power supply to you rhome, consult your apparatus dealer
or local power company. For the apparatus_ intended to operate from
battery power, or other sources, refer to the operating instructions.
it, GROUNDING ORPOLARIZATION Thisapparatusisequippedwitha
polarized alternating current line plu_(a plug having one blade wider
than the other).Thi_ plug will fit into the power outlet only one way.
This isa safoty faature. If you are unable to insertthe plug frilly into the
outlet, try reversingthe plug. If the plug should still fail to fit, contact
your electrician to replace your obsolete outlet. Do n_ defeat the safety
purpose of the polarized plug.
12, POWER-CORDPROTECTION Power supplycordsshouldberouted
so that they are not likely to be walked on or pinched by items placed
upon or against them, paying particular attention to cords at plugs,
convenience receptacles, and the point where they exit from the
apparatus.
13 OUTDOORANTENNAGROUNDING Ifanoutsideantennaorcable
system is connected to the appa_tus, be sure the antenna or cable
system is grounded _o as to provide some protection against voltage
su_es and built up static charges¸ Article 810 of the National Electrical
Code, A NSI/NFPA No 70, provides information with respect to proper
grounding of the mast a nd _upporting structure, grounding of the lead in
wire to an antenna discharge unit, size of grounding conductors, location
of antenna discharge unit, connection to grounding electrodes, and
requirements for the grounding electrode¸ (Fig¸ A)
FIGUREA
EXAMPLEOFANTENNAGROUNDING
ASPERNATIONALELECTRICALCODE
J
e_ POWER SERVIOE GROUNDING
NE¢ NATIONAL ELEGTRIGAL G ODE EL£OTRODE SYSTEM
(NE¢ ART 250 PART Hi
14 LIGHTNING For added protection for this appalatus ieceiver durilrg a
lightning storm, or when it is left unattended and un used for long periods
of time, unplug it from the wall outlet and discon nect the anten na or
cable system¸ This will prevent damage to the apparatus due to lightning
and power line surges¸
1_ POWERLINE$ Anoutsideantennasystemshouldnot belocatedinthe
vicinity of overhead power lines or other electric light of power circuits,
or where it can fall into such power lines or circuits¸ When installing an
outside antenna system, extreme care should be taken to keep from
touching such power lines or circuits as contact with them might be fatal¸
1_ OVERLOADING Donot ovedoadwalloutletsandextensioncordsasthis
can result in a risk of fire or electric shock¸
17_ OBJECTANDLIQUIDENTRY Neverpushobjectsofanykindintothis
apparatus through openings as they may touch dangerous voltage points
or short out parts that could result in a fire or electric shock¸ Never spill
liquid of any kind on the apparatus¸
1_ SERVICING Donotattempttoservicethisapparatusyourselfas
opening or removing covers may expose you to dangerous voltage or
other haza_s. Refer all servicing to qualified service personnel¸
19_ DAMAG£R£QUIRINGS£RVIC£ Unplugthisapparatusfromthewall
outlet a nd refer servicing to qualified service personnel u nder the
following conditions:
_ Whenthepowersup lycordorpfa isdamagedorfrayed
If liquid has been spi_d, or objectsCl_ave fallen into the apparatus
c If the appalatus has been exposed to iain or water
d If the appalatus does not rg_iate normally by following the rg_rat big
instructions Adjust only those controls that are coveled by the
opelating instructions, as improper adjustment of other controls may
iesu[t in damage and will often requile ext_n sire work by a qualified
technician to iestore the apparatus to its normal opelation
e If the appalatus has been dropped or damaged in any way
f Wherltheapparatusexhibitsadistinctchangeinperformance, this
indicates a need for service
2 R[_PLACEMENTPARTS Whenrep[acementpartsarerequh_d, besurethe
service technician uses replacement parts spedfl_] by the manufdcturer that
have the same chalact_ristics asthe original part Unauthorized substitutions
may r_sult infile, electric shock, injury to pelsons or other hazalds
2SAFETYCHECK Uponcompletionofanyserviceori_pairstothis
apparatus, ask the service technician to perform routine safety checks to
determine that the apparatus is in proper operating condition
22 l-[EAT This apparatus should be situated away from heat sources such as
radiators, heat registers, stoves, or other products (Jnduding amplifiers)
that produce heat
EN

Do not place the unit on the furniture that is capable of being tilted by a child and an adult leaning, pulling, standing I
or c imbing on it. A fa ing unit can cause serious injury or even death. /
ICAUTION: To prevent electric shock, match wide blade of plug to wide slot, fully insert.
FCC WARNING Y
This apparatus may generate or use radio frequency energy. Changes or modifications to this apparatus may cause
harmful interference unless the modifications are expressly approved in the manual. The user could lose the authorit
to operate this apparatus if an unauthorized change or modification is made.
RADIO-TV INTERFERENCE
This apparatus has been tested and found to comply with the limits for a Class B digital device, pursuant to Part 18 of
the FCC Rules. These limits are designed to provide reasonable protection against harmful interference in a
residential installation. This apparatus generates, uses, and can radiate radio frequency energy and, if not installed
and used in accordance with the instructions, may cause harmful interference to radio communications. However,
there is no guarantee that interference will not occur in a particular installation. If this apparatus does cause harmful
interference to radio or television reception, which can be determined by turning the apparatus off and on, the user
is encouraged to try to correct the interference by one or more of the following measures:
1) Reorient or relocate the receiving antenna.
2) Increase the separation between the apparatus and receiver.
3) Connect the apparatus into an outlet on a circuit different from that to which the receiver is connected.
4) Consult the dealer or an experienced radio/TVtechnician for help.
IThis Class Bdigital apparatus complies with Canadian ICES-003.
NOTE TO CATV SYSTEM INSTALLER
This reminder is provided to call the CATV system installer's attention to Article 820-40 of the NEC that provides
guidelines for proper grounding and, in particular, specifies that the cable ground should be connected to the
grounding system of the building as close to the point of cable entry as practical.
LASER SAFETY
This apparatus employs a laser. Only a qualified service person should remove the cover or attempt to service this
apparatus, due to possible eye injury.
CAUTION: Use of controls or adjustments or performance of procedures other than those specified herein may
result in hazardous radiation exposure.
CAUTION: Visible and invisible laser radiation when open and interlock defeated. Do not stare into beam.
LOCATION: Inside, near the deck mechanism.
ABOUT COPYRIGHT
Unauthorized copying, broadcasting, public performance and lending of discs are prohibited. This product
incorporates copyright protection technology that is protected by U.S. patents and other intellectual property rights.
Use of this copyright protection technology must be authorized by Macrovision, and is intended for home and other
limited viewing uses only unless otherwise authorized by Macrovision. Reverse engineering or disassembly is
prohibited.
i o
EN 3

remote control RCA audio /video AC cord
with batteries cables (WAV0162LW001)
(AAx2) (NBS04UD) (WPZ0102TM01B /
WPZ0102LTE01)
Servicinc I
• Please refer to relevant topics on 'ffROUBLESHOOTING" on
page 43 before returning the product.
• If this unit becomes inoperative, do not try to correct the
problem by yourself. There are no user-serviceable parts
inside. Turn off, unplug the power plug, and please call our
toll free customer support line found on the cover of this
manual to locate an authorized service center.
owner's manual (EN/ES/FR) quick start guide (EN/ES/FR)
(lVMN2B6B3 /lVMN2B6BB (lVMN2B6B4/lVMN2B6B6)
/lVMN2B6B7)
Cleaninq the cabinet
• Wipe the front panel and other exterior surfaces of the
unit with a soft, slightly damp cloth.
• Never use a solvent, thinner, benzene or alcohol to clean
the unit. Do not spray insecticide liquid near the unit. Such
chemicals may discolor the surface or damage the unit.
Cleaninc I discs
• When a disc becomes dirty, clean it with a cleaning
cloth. Wipe the disc from the center to out. Do not wipe
in a circular motion.
• Do not use solvents such as benzine, thinner, commercially
available cleaners, detergent, abrasive cleaning agents or
antistatic spray intended for analog records.
• Do not handle the power cord with wet hands. Cleaninc I the disc lens
• Do not pull on the power cord when disconnecting it • If this unit still does not perform properly although you
from an AC outlet. Grasp it by the plug. refer to the relevant sections and to '%ROUBLESHOOTING"
• Do not put your fingers or objects into the unit. in this user manual, the laser optical pickup unit may be
Edirty. Consult your dealer or an authorized service center
for inspection and cleaning of the laser optical pickup unit.
For safety and optimum performance of this unit:
• Install the unit in a horizontal and stable position. Do
not place anything directly on top of the unit. Do not
place the unit directly on top of the TV.
• Shield it from direct sunlight and keep it away from
devices of intense heat. Avoid dusty or humid places.
Avoid places with insufficient ventilation for proper heat
dissipation. Do not block the ventilation holes on the
back and sides of the unit. Avoid locations subject to
strong vibration or strong magnetic fields.
• Be sure to remove the disc and unplug the AC power
cord from the outlet before carrying the unit.
Moisture condensation may occur inside the unit when
is moved from a cold place to a warm place or after
heating a cold room or under conditions of high
humidity. Do not use this unit at least for 2 hours until its
inside gets dry.
• This unit's packaging materials are recyclable_
and can be reused. Please dispose of any 7"_"_
materials in accordance with your local _lj_l_
recycling regulations.
• Batteries should never be thrown away or
incinerated but disposed of in accordance with your
local regulations concerning chemical wastes.
Disc handlinc I
• Handle the discs so that fingerprints and dust do not
adhere to the surfaces of the discs.
• Always store the disc in its protective case when it is not
used.
• Note that discs with special shapes (heart-shaped discs,
octagonal discs, etc.) cannot be played back on this unit.
Do not attempt to playback such discs, as they may
damage the unit.
IR sic lnal check
• If the remote control is not working properly, you can
use an AM radio or digital camera (including a cellular
phone with built-in camera) to see if it is sending out an
infrared signal.
• With an AM radio:
Tune the AM radio station to a non-
broadcasting frequency. Point the
remote control towards it, push any
button and listen. If the sound from --
the radio flutters, it is receiving the
remote control's infrared signal.
• With adigital camera
(including built-in cell
phone cameras):
Point a digital camera towards the remote
control. Push any button on the remote
control and look through the digital
camera. If the infrared light appears
through the camera, the remote control is
working.
4 EN

i-illi::3rrl|-
HDMI, the HDMI logo and High-Definition Multimedia
Interface are trademarks or registered trademarks of
HDMI Licensing LLC.
ITI DOLB¥
Manufactured under license from Dolby Laboratories.
Dolby and the double-D symbol are trademarks of Dolby
Laboratories.
DigitalSurround
Manufactured under license under U.S. Patent #'s:
8,451,942; 8,986,674; 8,974,380; 8,978,762; 6,487,838 &
other U.S. and worldwide patents issued & pending. DT8
and DTS Digital Surround are registered trademarks and
the DTS Iogos and Symbol are trademarks of DTS, Inc.
(,) 1996-2007 DT8, Inc. All Rights Reserved.
"Blu-ray Disc"and _ are trademarks.
is a trademark of DVD Format/Logo Licensing
Corporation.
Java
Java and all other Java trademarks and Iogos are
trademarks or registered trademarks of Sun Microsystems,
Inc. in the United States and /or other countries.
Product that have earned ENERGY STAR° are designed to
protect the environment through superior energy
efficiency.
_:eture CI:_ is trademark of Eastman Kodak Company.
/
o
(,) 2008 Funai Electric Co., Ltd.
All rights reserved. No part of this manual may be reproduced, copied, transmitted, disseminated, transcribed,
downloaded or stored in any storage medium, in any form or for any purpose without the express prior written consent
of Funai. Furthermore, any unauthorized commercial distribution of this manual or any revision hereto is strictly
prohibited.
Information in this document is subject to change without notice. Funai reserves the right to change the content
herein without the obligation to notify any person or organization of such changes.
PIJNAI with the _ design is a registered trademark of Funai Electric Co., Ltd and may not be used in any way without
the express written consent of Funai. All other trademarks used herein remain the exclusive property of their
respective owners. Nothing contained in this manual should be construed as granting, by implication or otherwise, any
license or right to use any of the trademarks displayed herein. Misuse of any trademarks or any other content in this
manual is strictly prohibited. Funai shall aggressively enforce its intellectual property rights to the fullest extent of the
law.
EN S

PRECAUTIONS ................................... 2
FEATURES ....................................... 7
Features ............................................ 7
Symbols Used in this Manual ........................ 7
FUNCTIONAL OVERVIEW ......................... 8
Front Panel ......................................... 8
Rear Panel .......................................... 8
Remote Control ..................................... 9
Front Panel Display ................................ 11
CONNECTIONS .................................. 12
Connection to the TV .............................. 12
Connection to an Audio System ................... 15
Connecting the AC Cord ........................... 16
Yu_tio_ Setup
FUNCTION SETUP ............................... 31
Using the Setup Menu ............................. 31
TROUBLESHOOTING ............................ 43
GLOSSARY ..................................... 44
LANGUAGE CODE ............................... 45
SPECIFICATIONS ................................ 46
LIMITED WARRANTY .................... Back Cover
INFORMATION ON PLAYBACK ................... 17
BASIC PLAYBACK ............................... 20
Playback .......................................... 20
Operations Using Title Menu, Disc Menu,
and Pop-up Menu ................................. 21
Playing Back a VR mode DVD-RW/-R ............... 21
Pause ............................................. 21
Resume Playback ................................. 21
Playing Back an audio CD and a Disc with
JPEG Files ......................................... 22
Reading the SD Memory Card ..................... 23
SPECIAL PLAYBACK ............................. 25
Fast Forward /Fast Reverse ........................ 25
Slow Forward Playback ............................ 25
Step by Step Playback ............................. 25
Repeat Playback .................................. 25
A-B Repeat ........................................ 26
PIP (Picture in Picture) Setting ..................... 26
Program Playback ................................. 26
Random Playback ................................. 27
Camera Angle ..................................... 27
SEARCH........................................ 28
SPECIAL SETTINGS .............................. 29
Switching Subtitles ................................ 29
Switching Audio Soundtrack ...................... 29
Setting the BD Audio Mode ....................... 30
Adjusting the Picture .............................. 30
6EN

Full high-definition video playback
Watch movies in the highest picture quality available for
your HDTV. This unit offers full high-definition video
playback up to 1080p resolution for an amazing viewing
experience. A highly detailed picture and increased
sharpness delivers a more true-to-life picture.
Upconvert DVD for enhanced picture quality
Your current DVD will look even better than before
thanks to video upconversion. Upconversion will increase
the resolution of standard definition DVD to high
definition up to 1080p over an HDMI connection. The
picture will be less jagged and more realistic for a near
high-definition experience.
Enjoy your content on different kinds of media
Full backwards compatibility with DVD, CD ensures that
you can continue to enjoy your current audio-video
collection. Additionally, you can view JPEG.
Listen to the rich multi-channel surround sound
Multi-channel surround sound, which realizes reabtodife
sound and makes you feel that you are really there.
Easy and simple connection to your HDTV via HDMI
Connect this unit to your HDTV with one single HDMI
(high definition multimedia interface) cable. It is
recommended to use High Speed HDMI Cable for better
compatibility. The high definition video output signal will
be transferred to your HDTV without conversion to
analogue signals, so you will get an excellent picture and
sound quality, completely free from noise.
Thanks to other multiple outputs, you can also easily
connect to your home theater system or amplifier.
PIP
Some BD-video have the PIP (picture-in-picture) function
which enables you to display the secondary video in the
primary video. You can call up the secondary video by
pressing [PIP] whenever the scene contains the
secondary video.
Pop-up menu
Some BD-video have pop-up menu which is a navigation
menu that can be called up and be operated on the TV
screen without interrupting the playback. You can call up
the pop-up menu by pressing [POP MENU /MENU].
Contents in the pop-up menu vary depending on the
disc.
HDMI Deep Color
Deep Color reduces the posterization effect of the
playback image. Refer to "HDMI Deep Color" in
"FUNCTION SETUP" on page 34.
HDM11080p /fps output (BD only) /
This unit is equipped with the feature which can provide
the smooth movement in the playback of film originated
material with the frame rate of 24 frames per second with
progressive. (Available only when the TV is connected by
an HDMI cable and compatible with 1080p24 frame
input.)
Refer to "HDMI Video Resolution" in "FUNCTION SETUP"
on page 34.
Playing back the contents in SD Memory Card
You can play back JPEG stored in an SD Memory Card.
You can store picture-in-picture commentary, subtitles or
other extras for BD-ROM Profile 1 ver.1.1 files in an SD
Memory Card and play back with the BD-video.
b
©
To specify for which media type each function is, we put '_
the following symbols at the beginning of each item to
operate.
Description refers to BD-video and :;
BD-RE (ver. 2.1) /BD-R recorded in BDMV S_
format ,7
Description refers to DVD-video ,,
_ Description refers to DVD-RW/-R recorded in
VR mode
Description refers to audio CD /DTS-CD O
_ _ Description refers to DVD, CD-RW/-R and
_ SD Memor_ Card with JPEG files
If you do not find any of the symbols listed above under
the function heading, the operation is applicable to all
media.
EN 7

12* 3 456* 7 8 9
The unit can also be turned on by pressing these buttons.
10
1. Disc tray
Place a disc when opening the disc tray.
2. AmOPEN/CLOSE button _
Press to open or close the disc tray.
3. Display
Refer to "Front Panel Display" on page 11.
4. •STOP button
Press to stop playback.
5. II PAUSE button
Press to pause playback.
6. I_ PLAY button _
Press to start or resume playback.
7. SD card slot
•Insert an SD Memory Card, and play back the
contents in it.
8. Infrared sensor window
• Receive signals from your remote control so that
you can control the unit from a distance.
9. POWER indicator
• This indicator lights up in red when the power is on
and turns off when the power is off.
10. 0POWER button
• Press to turn the unit on or off.
6
2345
1. COMPONENT VIDEO OUT jacks
• Use to connect a TV with component video inputs
with an RCA component video cable.
2. HDMIOUTjack
• Use to connect a TV with an HDMI compatible port
with an HDMI cable.
3. AUDIO OUT jacks
• Use to connect a TV, an AV receiver /amplifier or
other device with an RCA audio cable.
4. DIGITAL OUT (COAXIAL) jack
• Use to connect an AV receiver /amplifier, Dolby
Digital /DTS decoder or other device with a digital
audio coaxial input jack with a digital audio coaxial
cable.
5. AC IN Terminal
• Use to connect the AC outlet with the AC cord.
6. VIDEO OUT jack
• Use to connect a TV, an AV receiver or other device
with an RCA video cable.
8EN

IIIr""UN CWIIIIONAIII1,,,,,, ,.,,OV IIIr""IIIRVIIIIIIIrw,,,,,,,,,,,,, ,,,,,,,,,,,
_usE
_] '28
$¥£1dAN/A
D D £3 D D
* The unit can also be turned on by pressing these buttons.
I. DISPLAY button
•Press to display the on-screen display menu.
2. POWER button
• Press to turn the unit on or off.
3. Number buttons
• Press to enter the title, chapter, track or file
number.
• Press to enter values in the input field.
4. SEARCH button
• Press to display the search menu.
5. RED IGREEN IBLUE IYELLOW button
• Press to select items on some BD menus.
6. TOP MENU button
• Press to display the top menu.
7. Cursor •/•/<1 /I_ buttons
• Press to select items or settings.
8. SETUP button
• Press to display the setup menu.
9. SUBTITLE button
• Press to display the subtitle menu.
10. REV _button
• During playback, press to fast reverse the playback.
EN
/
11. PLAY I_ button*
• Press to start playback or resume playback.
12.SKIP _ button
• During playback, press once to return to the
beginning of the current title, chapter or track.
• During the JPEG playback, press to return to the
previous file.
• During playback, press twice to return to the ;:_
previous title, chapter or track.
13. PAUSE I I button "'
• Press to pause playback. :_
• When playback is in pause mode, press repeatedly
to forward the playback step by step.
14.HDMI button
• Press to set the HDMI output mode..?
1S.OPEN/CLOSE _button*
• Press to open or close the disc tray.
16.PIP button ii_
• Press to switch picture-in-picture feature on or off
(only applicable to BD-video which supports the
PIP function).
17.ANGLE button _:
• Press to access various camera angles on the disc. S_
• Press to rotate the JPEG files clockwise by 90 ,>
degrees. ::_
18. REPEAT button ,,
• Press to toggle between various repeat modes, s
19.A-B button
• Press to play back a defined section between point
A and B repeatedly.
20.CLEAR button :_
• Press to clear the information once entered, to
clear the marker settings, or to cancel the
programming for audio CD, etc.
21.POP MENUIMENU button
• Press to display the pop-up menu /disc menu /file list.
• Press to change "Original" and "Playlist" on the TV
screen.
22. ENTER button
• Press to confirm or select menu items.
23. RETURN -,_ button
• Press to return to the previously displayed menu
screen.
24.AUDIO _ button
• Press to display the audio menu.
25.FWD _button
• During playback, press to fast forward the
playback.
• In pause mode, press to slow forward the playback.
26. STOP •button
• Press to stop playback.
27. SKIP I_H button
• During playback, press to skip to the next title,
chapter, track or file.
28. MODE button
• During playback, press to display the picture
adjustment menu.
• During the JPEG playback, press to display menus
for changing the visual effect for switching the
image or changing the size of the image.
• In stop mode with BD inserted, press to display a
menu for setting the BD audio mode.
• In stop mode with audio CD, or JPEG files inserted,
press to display menus for program and random
playback. 9

IIIFUN cTIrfONAIIII,,,,,OV III1,,,,,IIIWIIIII1,,,,,,W
Install the batteries (AAx2) matching the polarity
indicated inside battery compartment of the remote
control.
1Open the cover.
@
2Insert batteries•
Keep in mind the following when using the remote
control:
• Make sure that there are no obstacles between the
remote control and the infrared sensor window on the
unit.
• Remote operation may become unreliable if strong
sunlight or fluorescent light is shining on the infrared
sensor window of the unit.
• Remote control for different devices can interfere with
each other. Avoid using remote control for other device
located close to the unit.
• Replace the batteries when you notice a fall off in the
operating range of the remote control.
• The maximum operable ranges from the unit are as
follows.
-Line of sight: approx. 23 feet (7m)
-Either side of the center: approx. 16 feet (5m) within 30 °
-Above: approx. 16 feet (Sm) within 15°
- Below: approx. 10 feet (3m) within 30 °
Make sure to match + and- on the batteries to the
marks indicated in the battery compartment.
3Close the cover•
16 feet 23 feet 16 feet
(Sin) (7m) (Sin)
10 EN

III1""UN CTIIIIONAIII1,,,,,, ,,,,,OV IIIr""IIIRVIIIIIIIrw,,,,,,,,,,,,, ,,,,,,,,,,,
2
•Brightness of the display can be adjusted. Refer to "Panel Display" in "FUNCTION SETUP" on page 41.
1. Displays playback status icon. Refer to the table below.
2. Displays various kinds of information such as title number, elapsed time, repeat mode, etc.
/
©
;]3
F
II,.
II []
Playback is in progress
Stop mode
Pause mode
-- Fast forward mode
-- Fast reverse mode
-- Slow forward mode
Appears while function is set
repeat
,'4
I_ 1 01:23
I_ CHAPTER
ILOAD
I_ Dolb_ D
Title is being played back.
Indicating the current title number and the elapsed time,
Current chapter is in chapter repeat mode,
Loading a disc,
Dolby Digital audio is being played back,
EN 1 1

• Make one of the following connections, depending on the capabilities of your existing device.
AUDIO CONNECTION VIDEO CONNECTION AUDIO /VIDEO
CONNECTION
bikVJ standard audio
RCA
audio cable
................
and
AUDIO
OUT
L
!standard picture !better picture
RCA
video
cable RCA
component
or video cable
best picture
HDMI=DVI
cable
or
best audio/picture
HDMI
cable
or
AUDIO OUT VIDEO OUT COMPONENT HDMI OUT
VIDEO OUT
_ This unit is compatible with the progressive scan system. The feature provides you with the higher quality pictures
than traditional output system does. To utilize this feature, a component or an HDMI connection is required. Refer
to "HDMI Video Resolution" or "Component Output" setting on page 34 to set the video resolution.
_2 Analog audio connection is not required for this connection.
12 EN

Press [HDMI] to change the resolution of the video signal being output from HDMI OUTjack. The video resolution
changes as follows every time [HDMI] is pressed.
HDMI Video Resolution
Front Panel
Display
14°°p I 480 Progressive I÷
Press [HDMI]
I ?,?.OP I720 Progressive I
Press [HDMI] ,_
[ 1o8o_ j 1080 Interlaced j
Press [HDMI]
[looop j 1080 Progressive j
Press [HDMI] _€
1080P24 J 1080 Progressive 24 frame J_
Press [HDMI]
Copyright protection system
To play back the digital video images of a BD /DVD via an HDMI connection, it is necessary that both the unit and
the TV (or an AV amplifier) support a copyright protection system called HDCP (high-bandwidth digital content
protection system). HDCP is copy protection technology that comprises data encryption and authentication of the
connected AV device. This unit supports HDCP. Please read the operating instructions of your TV (or AV amplifier)
for more information.
©
,'4
i o
EN 13

When using HDMI connections make "HDMI Audio Out" setting in "Audio" menu according to the specifications of the
device to be connected.
Device compatible with Dolby Digital,
Dolby Digital Plus, Dolby TrueHD, DTS
or DTS-HD decoding
HDMI Multi (Normal) Dolby Digital, Dolby Digital Plus, Dolby
TrueHD, DTS, or DTS-HD bitstream are
output from HDMI OUT jack. Make the
speaker settings on the connected AV
amplifier, etc.
Device compatible with 3 or more HDMI Multi (LPCM) Multi-channel audio signals are output
channels of audio inputs (not Dolby from HDMI OUT jack. Make the speaker
Digital, Dolby Digital Plus, Dolby settings with the speaker setting items
TrueHD, DTS or DTS-HD compatible) appear after you select "HDMI
Multi(LPCM)". Refer to page 36.
HDMI connection to a TV, and digital Audio Mute HDMI audio will be muted, and Dolby
audio connection (coaxial) to an AV Digital /DTS bitstream or LPCM will be
amplifier, output from DIGITAL OUT jack
depending on "Digital Out" setting.
Refer to page 37.
•Audio signals output from HDMI OUT jack
Dolby Digital Dolby DigitaP _ Multi LPCM
Dolby Digital Plus Dolby Digital Plus .1 Multi LPCM .2
Dolby TrueHD Dolby TrueHD .1 Multi LPCM .3
DTS DTS.1 Multi LPCM
DTS-HD DTS-HD .1 Multi LPCM .4
LPCM Multi LPCM Multi LPCM
Dolby Digital Dolby Digital Multi LPCM
DTS DTS Multi LPCM
LPCM Multi LPCM Multi LPCM
2ch LPCM 2ch LPCM
DTS Multi LPCM
_' If"BD Audio Mode" setting is set to "Mix Audio Output", audio will be output as multi LPCM. Refer to page 36.
_2 Outputs audio signals decoded from independent substream.
_ Outputs audio signals decoded from Dolby Digital stream.
_4 Outputs audio signals decoded from DTS core stream.
•If the connected device is not compatible with the HDMI BITSTREAM, audio will be output as multi LPCM or 2-channel
down=mixed LPCM depending on the capability of the connected device even if you select "HDMI Multi(Normal)" in
"HDMI Audio Out" setting. Refer to page 36.
14 EN

•When you change the connections, all devices should be turned off.
• Refer to the manual accompanying external devices for more information.
stereo system
analog audio input jacks
AUDIO IN
R L
i©
/
m
AUDIO OUT
,'4
AV receiver /amplifier
c:;:;:;_ © QOAXIAL
i o
digital audio coaxial
input jack digital audio coaxial cable
n,'II't'r_l
DIGITAL OUT (COAXIAL)
[" 15

•Audio signals output from DIGITAL OUT jack (COAXIAL)
The audio signals currently output from HDMI OUT ack will be output from DIGITAL OUT jack as well, except that
Dolby Digital signal will be output instead of Dolby Digital Plus and Dolby TrueHD, and DTS signal will be output
instead of DTS-HD.
When "Audio Mute" is selected in "HDMI Audio Out" setting, audio signals output from HDMI OUT jack will be muted
and the audio signals output from DIGITAL OUT jack changes depending on "Digital Out" setting.
To set "Digital Out" setting, select "Audio Mute" in "HDMI Audio Out" setting.
Dolby Digital
Dolby Digital Plus
Dolby TrueHD
DTS
DTS-HD
LPCM
Dolby Digital
DTS
LPCM
Dolby Digital
Dolby Digital
Dolby Digital
DTS*
DTS*
2ch Downmix LPCM*
Dolby Digital
DTS
2ch Downmix LPCM
2ch LPCM
DTS
2ch Downmix LPCM
2ch Downmix LPCM
2ch Downmix LPCM
2ch Downmix LPCM
2ch Downmix LPCM
2ch Downmix LPCM
2ch Downmix LPCM
2ch Downmix LPCM
2ch Downmix LPCM
2ch LPCM
2ch Downmix LPCM
For BD titles with secondary or interactive audio, these audio will be output as Dolby Digital when all the conditions
listed below are met:
•When "BD Audio Mode" setting is set to "Mix Audio Output".
• When "HDMI Audio Out" setting is set to "Audio Mute".
• When "Digital Out" setting is set to "Bitstream".
If BD titles do not have secondary or interactive audio, the audio will be output as shown in the table.
• This table applies only when HDMI cable is not connected or "Audio Mute" is selected in "HDMI Audio Out" setting.
After you made all necessary connections, connect the AC cord to the AC IN. Then connect the AC cord to the AC
outlet.
Insert the plugs securely. Incomplete connections will result in the generation of noise.
_ AC cord
AC 120V,60 Hz
16 EN

Before you start playing back a disc, read the following information.
This unit is compatible to play back the following discs /
files.
To play back a disc /file, make sure that it meets the
requirements for region codes and color systems as
described below. You can play back discs that have the
following Iogos. Other disc types are not guaranteed to
play back.
Blu-ray Disc
- BD-video (single /double
layer)
- BD-RE ver.2.1 (single /
double layer)
(Recorded in BDMV format)
- BD-R (single /double layer)
(Recorded in BDMV format)
(Unclosed discs may not be
played back.)
_'i'i'_
DVD-video
DVD+RW (single layer)
_vo a W_il bo
oVO÷B D
(single /double layer) ............
DVD-RW (finalized discs only)
DVD-R (finalized discs only) _
CD-DA (audio CD) ...........
CD-RW
Kodak Picture CD £_,,_zJ, £,1P__u_ecD
DTS-CD
/
The following discs will not be played back in this unit.
• CD-ROM • CDq (compact discqnteractive)
DVD-RAM • VSD (video single disc)
DVD-audio • BD-RE (vet.1 /vet.3)
HD DVD • video CD
unfinalized disc • SVCD
BD-RE/-R recorded in BDAV format
DVD /CD /SD Memory Card contains MP3,
Windows Media Audio files and DivX _
• super audio CD- Only the sound on the CD layer can
be heard. The sound on the high-density super audio
CD layer cannot be heard.
• Playability of dual discs are not guaranteed.
JPEG
SD Memory Card (8MB - 2GB)
SDHC Memory Card (4GB)
miniBD Card (SMB - 2GB)
microSD Card (8MB - 2GB)
DVD, CD-RW/-R,
SD Memory Card
(including SDHC), miniBD
Card, microBD Card
JPEG, picture-in-picture
commentary, subtitles or
other extras for BD-ROM
Profile 1 ver.l.1
17

INIIII:::::OIII MATIIIIONON IPLAYBACIIII{
BD-video and DVD-video are recorded in different color
systems throughout the world. The most common color
system is NTSC (which is used primarily in the United
States and Canada).
This unit employs NTSC color system, so the disc you play
back must be recorded in the NTSC system. You cannot
play back the disc recorded in other color systems.
You can check information about the current disc by
pressing [DISPLAY].
To call the on-screen display menu, press [DISPLAY]
during playback. Every time you press [DISPLAY], the
information changes. Depending on the media, available
information varies.
This unit has been designed to play back BD-video
BD-video with region A and DVD-video with
region "1" or "ALL". You cannot play back
BD-video or DVD-video that are labeled for
other regions. Look for the symbols on the
right on your BD-video or DVD-video. DVD-video
If these region symbols do not appear on
your BD-video or DVD-video, you cannot
play back the disc in this unit. The letter or
number inside the globe refers to region of
the world. A BD-video or DVD-video labeled
for a specific region can only be played back
in the unit with the same region code.
•,_ Title information (elapsed time)
•,_ Title information (remaining time)
•,_ HDMI information ,,_ off
off -_ Chapter information (elapsed time)
•,_ Chapter information (remaining time)
•,_ Title information (elapsed time)
-_ Title information (remaining time)
-_ Bit rate information -_ HDMI information ,,_ off
off -_ Track information (elapsed time)
llll i ii li iil ll l li i ii ll " iiiiiiiiiiiiilil l ll ll ill ll lill l l i il ll lllllllllllllllTrackinformation remain,ngtime
•"_ Disc information* (elapsed time)
The contents of BD /DVD are generally divided into
titles. Titles may be further subdivided into chapters.
BD
title 1 title 2
•"_ Disc information* (remaining time)
•,_ HDMI information ,,_ off
(*not available during program /random playback)
off -_ File name information
•,_ File information ,,_ HDMI information ,,_ off
audio CD are divided into tracks.
audio CD
t_a_k ] tr_k 2 t_a_k 3 tr_k4 t_a_k _
Data discs or SD Memory Cards containing JPEG are
divided into folders, and the folders are subdivided into
files.
• For audio CD and JPEG, during program or random
playback, the indication will be displayed after the
track /file information.
JPEG
18 EN

;_' I'I !lhNII-OIRMA I IION ON II,L_Y [,AC II,_
• Chapter information •Track /File information
<Title /Chapter information for BD>
_] Current chapter number /Total number of
chapters
Elapsed time /Remaining time of the current
chapter
_i1 Indicates that the multi camera angle images are
available on the scene
_:_ Current playback status
Current title number
Current repeat setting (Only when repeat setting
is active)
(C: Chapter repeat, T: Title repeat, AB : A-B repeat)
•Title information
J i.
Current tltle number /Total number of tltles
Elapsed time /Remaining time of the current tltle
•Bit rate information
<For VR mode DVD-RW/-R>
_] Bit rate (The amount of video data currently being
read)
Layer number (Only for 2-layered discs)
(L0: Layer 0 is played back. L1 : Layer 1 is played
back)
Type of title (ORG: Original, PL: Playllst)
Ii]
I!)
G
{1<
i i]
Current track (file) number /Total number of track i:;',
i©
(file) ::_
Elapsed time /Remaining time of the current track
Indicatlon of SD Memory Card playback
Current repeat setting _
(Only when repeat setting is active) ::;
(T: Track /File repeat, G: Group repeat,
A: All repeat, AB: A-B repeat) o
•Disc information
I]] Current track number /Total number of tracks
_] Elapsed time /Remaining time of the current disc /
•File name information
/_ Media icon and file name
_ JPEGfil
:e o
•HDMI information
/ii_ HDMI video format
_/ Resolution of the HDMI output image
/_] HDMI audio format
l_l Maximum numbers of audio channels that can be
accepted by the connected device
EN 19

Press [POWER].
Turn on the TV and select the
appropriate input on the TV to which
the unit is connected.
Press [OPEN /CLOSE _] to open the
disc tray.
Place the disc on the disc tray with its
label side facing up.
Press [OPEN /CLOSE _] to close the
disc tray.
6
7
Some discs may start playback automatically.
Press [PLAY I_] to start playback.
For many of BD-video and DVD-video, a menu
screen may appear,
In this case, use [A /•/_1/1_] to select the
desired item, then press [ENTER],
Press [STOP •] once to stop
playback temporarily.
Refer to "Resume Playback" on page 21.
To eject the disc:
Press [OPEN /CLOSEAm] to open the disc tray,
then remove the disc before turning offthe unit.
20 EN

B SIIIiC IPIIIi,,,,,AYIBAC IIII{
Many of BD-video and DVD-video disc contains title menu
(BD-video /DVD-video), disc menu (DVD-video) or pop-
up menu (BD-video) which guides you through the
available functions in the disc. The contents of the menus
may differ depending on the discs.
Title menu (BD-video /DVD-video)
7Press [TOP MENU].
•The title menu will appear.
2Use [A /•/_1 /I_] to select an item, then
press [ENTER].
3Press [TOP MENU] to exit.
Disc menu (DVD-video)
7Press [POP MENU/MENU].
• The disc menu will appear.
2Use [A /•/_1 /I_] to select an item, then
press [ENTER].
3Press [POP MENU /MENU] to exit.
Pop-up menu (BD-vldeo)
• This is a special feature available for some BD-video.
When you press [POP MENU /MENU], a menu pops out
on the TV screen while the contents still play back.
1During the playback of BD-video, press
[POP MENU /MENU].
• The pop-up menu will appear.
2Use [A /•/_1 /I_] to select an item, then
press [ENTER].
3Press [POP MENU/MENU] to exit.
3Use [A /•] to select a desired title, then
press [ENTER].
rote
DV_
IDuring playback, press [PAUSE II ].
• Playback will be paused.
;;_
i©
i @
/
2Press [PLAYI_] to return to normal
playback.
C
1During playback, press [STOP II]. !'h
• Resume message will appear on the TV screen.
e.g.)BD
When you are playing back a VR mode DVD-RW/-R, you can
choose "Original" or "Playlist" if the disc contains a "Playlist'.
In stop mode, press [POP MENU /MENU]
to call up the DVD menu.
2Use [_1 /I_] to select "Original" or "Playlist'.
2Press [PLAYI_].
• In a few seconds, playback will resume from the
point at which it stopped last. To cancel the resume
playback and start playback the disc from the
beginning, press [STOP • ] again in stop mode.
EN 21

B SIIIiC IPIL YBACIIII{
Insert an audio CD or a disc with JPEG
files.
• The file list will appear on the TV screen.
• If file list does not appear automatically, press
[POP MENU /MENU].
• Press [POP MENU /MENU] to exit and resume
the file list.
It is recommended that files to be played back in this
unit are recorded under the following specifications:
<JPEG>
• Upper limit: 2,860 x 1,900 dots
(sub sampling is 4:4:4)
8,120 x 3,840 dots
(sub sampling is up to 4:2:2)
• Lower limit: 32 x 32 dots
• File size of image maximum: 12 MB
2Use [A IV] to select a desired folder
or file, then press [ENTER].
Use [ _1 /I1_ ] to go back and forward
between the hierarchies•
• If you press [ENTER] on the desired file,
playback will start.
e.g.) JPEG
_j audio CD: "CD-DA" will be displayed.
JPEG: Current folder name (Disc or SD
Memory Card name will be displayed
for the top of the hierarchies.)
_] audio CD: List of the track number and time.
JPEG: List of the file /folder names in the
current folder /disc
audio CD: Selected track number and time.
JPEG: Selected file /folder name
I_'/ Current page /Total page number
/_l Indication of previous /next page
• Use [SKIP _ /_ ] to go back and forward
between the pages.
• Press [TOP MENU] to return to the first item.
Icons:
m: Folder
m: audio CD track
:JPEG file
22 EN

BASK IPI,,,,,AYB GIII{
This unit can also run JPEG files stored on Kodak Picture
CD. You can enjoy picture images on the TV set by
playing back the Kodak Picture CD. This unit confirms to
vet.7.0 of Kodak Picture CD. For details of Kodak Picture
CD, contact a shop that provides developing service of
Kodak Inc.
1When Kodak Picture CD is inserted in
this unit, Kodak Picture CD menu will
appear automatically on the TV
screen•
1. Current track number lThe total number of tracks
2. Indicatlon of prevlous /next page
• In stop mode, press [POP MENU /MENU] to call
Kodak Picture CD menu.
2
3
Use [• /•/_1 /•] to select a desired
track to be played back, then press
[PLAY I_ ] or [ENTER].
• An image will be played back from the
selected track and go to the next one in turn.
• Use [SKIP _ /I_q_l] to go back and forward
between the pages.
Press [STOP •] to stop playback.
©
@
You can play back the JPEG files in an SD Memory Card. ';i
With the SD Memory Card, you can also enjoy the special _
additional contents for BD-ROM Profile 1 ver.l.1 which
can be downloaded from the internet. You can store the
contents on an SD Memory Card via computer and play
them back with the BD-video. For more information _5
about the special additional contents, please refer to the
instruction book that came with the disc.
•Setting the media mode /
In stop mode, press [SETUP].
2 Use [ •/•]to select [], then press
[ENTER].
Use [ • /•] to select [], then press
[ENTER].
Use [ • /•] to select "Media Select"
setting•
EN 23

IBASIIhCIli,IIh,,,,,,AYBACIIII{
Press [ENTER] repeatedly to select
"SD Memory". 1Insert an SD Memory Card into the
SD card slot until it clicks with the
label facing up.
Thefile listwill appear.
6
• This will set the unit to "SD Memory" mode. To
play back the contents in any discs, exit'SD
Memory" mode by selecting "Disc".
Press [SETUP] to exit.
Follow the step 2 in "Playing Back an
audio CD and a Disc with JPEG Files"
on page 22.
1
2
In stop mode, push the SD Memory
Card and then slowly remove your
finger•
Grasp the card and pull it out from
the SD card slot.
24 EN

1During playback, press [FWD I_1_]
repeatedly for fast forward.
During playback, press [REV _1_1]repeatedly for fast
reverse.
Every time you press [FWD I_1_]or [REV _1_1],the
playback speed will change.
2Press [PLAYI_] to return to normal
playback.
1During playback, press [PAUSE II], then
press [FWD I_].
Every time you press [FWD I_1_], playback speed will
change.
2Press [PLAYI_] to return to normal
playback.
1In pause mode, press [PAUSE II]
repeatedly.
Every time you press [PAUSE II], playback will
advance one step at a time.
2Press [PLAYI_] to return to normal
playback.
Available repeat functionsvarydepending the discs.
1During playback, press [REPEAT]
repeatedly to select the desired repeat
mode.
The current chapter will be
played back repeatedly.
The current title will be
played back repeatedly.
The current track or file
will be played back
repeatedly.
The current folder will be
played back repeatedly.
All tracks in the media will
be played back repeatedly.
/
EN 25

SIHI IPIIII,,,,,AYB CK
You can play back the specific part (between point A and
point B) repeatedly.
1During playback, press [A-B] at the
desired starting point A.
2During playback, press [A-B] at the
desired ending point B.
As soon as you set the point B, the part between point
A and point B will start playback repeatedly.
• To cancel the A-B repeat, press [A-B] a Din.
Some BD-video have the PIP (picturedn-picture) function
which enables you to display the secondary video in the
primary video. You can call up the secondary video by
pressing [PIP] whenever the scene contains the
secondary video.
video
secondar
video
You can play back the disc in your desired order.
1In stop mode, press [MODE].
• The program screen will appear.
2Use [A /V] to select atrack /file, then
press [ENTER].
3
e.g.) audio CD
•For JPEG files, use [A /V] to select a folder, then
press [ENTER] first, and then use [A IV] to select a
file, then press [ENTER].
• Press [CLEAR] to erase the last file of the program.
• Use [A /V] to select "All Clear" at the bottom of the
list to erase all the tracks /files in the program.
• The programmed tracks /files is displayed in the
right hand screen.
• If the entire program cannot be displayed on the TV
screen, "V"or "A" appears.
• Use [_1/1_] to go back forward between the
hierarchy of folders.
• If 8 or more tracks /files were set in a program, use
[SKIP _ /_ ] to see all the tracks /files.
Press [PLAY I_ ]to start program
playback.
• Program playback will start.
1During playback, press [PIP].
PIPinformation will appear.
2Use [A /V] to select the secondary video
you want.
• The secondary video will be displayed and the
secondary audio will be output.
3Press [RETURN -._] or [PIP] to remove the
PIP information.
_NO:te
_JjO_lt
I_e_
[Refe
26 EN

'_ iii
SillIIII,,,,,C£AIIII,=III I//,,,,,,AYB CIIII{
This function shuffles the playback order of tracks /files.
1In stop mode, press [MODE] twice•
• The random screen will appear.
e.g.) audio CD
2Press [PLAYI_ ] to start random
playback.
©
Some BD-video and DVD-video contain scenes which i©
have been shot simultaneously from various angles. You ::_
can change the camera angle when/_'°_ appears on the TV
screen.
7During playback, press [ANGLE]. _
• The selected angle will be displayed on the display
bar at the top of the TV screen. ,,,
i@
2Use [A /V] to select your desired angle• ;2
/
@
i /l}
i O
e. 27

1During playback, press [SKIP IHIH] to
move to the next track• Press it
repeatedly to skip to subsequent tracks.
Press [SKIP _] once to go back to the
beginning of the current track. Press it
repeatedly to go to the previous tracks.
•ForJPEGfiles, press [SKIP _ ] to go backto the
previous file.
•Marker search
Thisfeatureallowsyou to assign a specific point on atitle
or trackto be calledbacklater.
1During playback, press [SEARCH]
repeatedly until the marker setting
menu appears.
2Use [<1 /I_] to select a marker number
(1-9).
3When the disc reaches the point at which
you want to set a marker, press [ENTER].
•Thetitle ortrack and elapsed playback time will
appearon the TVscreen.
Press [SEARCH] or [RETURN -,_] to exit.
To return to the marker later, call the
marker setting by pressing [SEARCH]
repeatedly during playback or in stop
mode, and use [<1 /I_] to select a desired
marker, then press [ENTER].
4
By using [SEARCH], you can select following search
modes.
Chapter /Title search
mTrack search
Time search
Marker search
1During playback, press [SEARCH]
repeatedly until your desired search
mode appears.
2Enter the desired chapter, title, track, fUe
number or time to search for using [the
Number buttons].
• Chapter, title, track or time search will start.
• Press [CLEAR] to erase an incorrect input.
28 EN

You can select the format of audio and video as you prefer depending on the contents of the disc you are playing back.
Some BD and DVD may have subtitles in 1 or more
languages. For commercially available discs, the
supported languages can be found on the disc case.
Follow the steps below to switch the subtitle languages
during playback.
7During playback, press [SUBTITLE]
repeatedly to display "Primary",
"Secondary" or "Subtitle style"•
"Primary": Sets the subtitle for the primary
video.
"Secondary": Sets the subtitle for the secondary
video.
"Subtitle Style": Sets style of the subtitle.
2Use [A /V] to select your desired subtitle
or style•
• Use[_1/I_] to switch between current subtitle
setting and "Off".
3Press [SUBTITLE] repeatedly to exit,
7During playback, press [SUBTITLE].
2Use [A /v] to select your desired
subtitle.
m •
• Use [_1/I_] to switch between current subtitle
setting and "Off".
3Press [SUBTITLE] to exit.
Some BD and DVD contain multiple audio streams. Those ';i
are often in different audio languages or audio formats. _
For BD, available audio varies depending on "BD Audio
Mode" setting. Refer to page 36 for more information.
1During playback, press [AUDIO _]
repeatedly to display "Primary" or 'i_'
"Secondary". :2
"Primary": Sets the audio for the primary video.
"Secondary": Sets the audio for the secondary video.
2Use [A IV] to select your desired audio /
stream channel.
• For "Secondary", use [_1/I_] to switch between
current audio setting and "Off".
3Press [AUDIO .t] repeatedly to exit.
1During playback, press [AUDIOq].
2Use [A Iv] to select your desired audio
stream channel.
3
e.g.) DVD-video
• For audio CD, you can select following options. ,_C
"Stereo": Both right and left channels are active (stereo).
"L-oh': Only left channel is active.
"R-oh": Only right channel is active.
Press [AUDIO q] to exit.
EN 29

SIHtIIII,,,,,C@AIIII,,,,,SIIII:::::@NGS
There are 2 ways to set "BD Audio Mode" setting;
whether to output the secondary and interactive audio
accompanied by the primary audio or only the primary
audio. Depending on the setting of the mode, Dolby
Digital, Dolby Digital Plus, Dolby TrueHD, DTS, or DTS-HD
output changes between multi LPCM and bitstream.
1In stop mode with BD inserted, press
[MODE].
2Use [A /v] to select your desired setting.
"Mix Audio Output":
If it is available, BD-video's secondary and interactive
audio will be output with the primary audio.
• The secondary audio is the audio for the secondary
video (Director's comment etc.) and the interactive
audio is the audio for the interactive application
(Button click sounds etc.).
"HD Audio Output":
Only the primary audio will be output. Set this mode in
order to output Dolby Digital, Dolby Digital Plus, Dolby
TrueHD, DTS or DTS-HD audio of BD through HDMI
connection.
3Press [RETURN -._] to exit.
• You can also set "BD Audio Mode" from the setup
menu. Refer to page 36.
You can adjust the picture quality.
1During playback, press [MODE].
2Use [A Iv] to select your desired item,
then use [<1 /I_] to adjust the setting.
•Black level
You can adjust the black level setting to make the black
parts of the pictures as bright as you prefer. You can
select "On" or "Off"
"On": Makes the dark parts brighter.
"Off": Shows the original pictureas recorded.
•Noise reduction
Reduces the noise of the playback picture.
"1": Executes MPEG noise reduction which reduces the
block noise and mosquito noise on the subtitle on
movie.
"2": Executes 3D noise reduction which detects and
deletes the noise by comparing each picture
frames.
"3": Executes both MPEG noise reduction and 3D noise
reduction.
3Press [RETURN _._] repeatedly to exit.
30 EN

In the setup menu you can change the setting for audio, <_v
video, language, etc. You cannot change the setting _::
during playback, z_
"Z Quick" menu contains setting items extracted from
" _t Custom" menu which may be used frequently.
In stop mode, press [SETUP].
Use [A /V] to select y , then press
[ENTER]•
Use [A /V] to select your desired
setting items•
A]
B] _©
Follow the procedure below
depending on the setting items•
5
A) If '_I_ '_does not appear on the right side
of the setting items when you highlight
the items:
Press [ENTER] repeatedly to change
options.
B) If" I_ "appears on the right side of the
setting items when you highlight the
items:
1) Press [ENTER].
2) Use [A /V] to select options, then press
[ENTER].
•Use [_1] or [RETURN _,_] to go back to
the previous screen.
Press [SETUP] to exit•
EN 31

IIIFUNCTIIIiON51111,,,,,IUIII
" Custom" menu contains all the setting items.
1
2
3
4
In stop mode, press [SETUP].
Use [A /V] to select ;_, then press
[ENTER]•
Use [A /V] to select your desired
setting category, then press [ENTER].
,;_ : Language
:Video
i_,I_: Audio
: Parental
%_ : Others
• For" Parental" menu, follow the procedure
on page 40.
Use [A /V] to select your desired
setting items•
• The setting items which are not available with
current situation of this unit will be displayed
in gray and you cannot select them.
Follow the procedure below
depending on the setting items•
6
A) If "I_ "does not appear on the right side
of the setting items when you highlight
the items:
Press[ENTER] repeatedly to change
options.
B) If" I_ "appears on the right side of the
setting items when you highlight the
items:
1) Press [ENTER].
2) Use [A/V] to select options, then press
[ENTER].
• Use [_I] or [RETURN _-_] to go back to
the previous screen.
Press [SETUP] to exit.
32 EN

• ,,_ Language
IIIFUNCTIIIiON5111,,,,,,,1UII,
• For how to select the setting items and options, refer to" _f, Custom" on page 32.
Audio
Setsthe language for audio.
Subtitle
Sets the language for subtitle.
Disc Menu
Sets the language for disc menu or
pop-up menu.
Player Menu
Sets the language for OSD
(on-screen display).
OriginaP /English /French /Spanish /German /Italian /Swedish /Dutch /
Russian /Chinese /Japanese /Korean /Danish /Finnish /Norwegian /
Icelandic /Hungarian /Romanian /Turkish /Greek /Irish /Portuguese /
Polish /Czech /Slovak /Bulgarian /Other
OfP /English /French /Spanish /German /Italian /Swedish /Dutch /
Russian /Chinese /Japanese /Korean /Danish /Finnish /Norwegian /
Icelandic /Hungarian /Romanian /Turkish /Greek /Irish /Portuguese /
Polish /Czech /Slovak /Bulgarian /Other
English _ /French /Spanish /German /Italian /Swedish /Dutch /Russian /
Chinese /Japanese /Korean /Danish /Finnish /Norwegian /Icelandic /
Hungarian /Romanian /Turkish /Greek /Irish /Portuguese /Polish /Czech /
Slovak /Bulgarian /Other
English _ /Fran_ais /Espaiiol
• Settings with (*) are the default.
• "Quick" menu consists of the setting menus frequently used, and they are accompanied with _4 .
• If you select "Other", enter the 4-digit-number code for the desired language (Refer to "LANGUAGE CODE" on
page 4S). Only the languages supported by the disc can be selected.
©
_©
i $
EN 33

•; Video
IIIFUNCTIIIiON5111,,,,,,,IUII=
• For how to select the setting items and options, refer to " _4 Custom" on page 32.
TV Aspect according t_°
Sets the picture size
aspect ratio of the connected TV.
HDMI Video Resolution
Sets the HDMI video resolution.
HDMI Deep Color
Sets whether to output the picture
from HDMI OUTjack with Deep
Color or not.
Component Output
Sets the video resolution for
component output.
Progressive Mode
Sets the optimum progressive
mode for the image material
output from HDMI OUT jack and
COMPONENT VIDEO OUT jacks.
16:9 Wide*:
Select this when a wide-screen TV is connected. Discs recorded in wide-
screen format is played back over the entire TV screen.
4:3 Pan & Scan:
Select this to play back the discs recorded in wide-screen format with 4:3 TV
in the pan & scan mode (with the sides of the picture cut off). Discs which are
not specified for pan & scan are played back in the letter box mode.
4:3 Letter Box:
Select this to play back the discs recorded in wide-screen format with 4:3
TV in the letter box mode. (with black strips at the top and bottom).
16:9 Squeeze:
When playing back 4:3 images, the picture is displayed in the center of the
16:9 screen with a 4:3 aspect ratio.
Auto*:
HDMI video resolution will be selected automatically depending on the
connected HDMI device.
480p
720p
1080i
1080p
1080p24:
Gives a natural and high quality film reproduction of 24-frame film
material. The connected TV has to be compatible with 1080p24 frame
input.
Auto*:
The picture from HDMI OUT jack will be output with Deep Color to the
connected TV which supports HDMI Deep Color.
Off:
The picture from HDMI OUT jack will be output without Deep Color.
480i *
480p
720p
1080i
Auto_:
The progressive mode will detect 24-frame film material (movies) and
automatically select appropriate progressive mode.
Video:
Suited for playing back video material discs (TV shows or animation).
34 EN

IIFUNCTIIIiON5111,,,,,,,1UII,
Still Mode
Adjusts picture resolution and
quality in still mode.
Auto_:
Automatically selects the best resolution setting ("Frame" or "Field") based
on the data characteristics of the pictures.
Field:
Stabilizes the pictures, although the picture quality may become coarse
due to the limited amount of data. Select "Field" when the pictures are still
unstable even if "Auto" is selected.
Frame:
Displays relatively motionless pictures in higher resolution. "Frame"
improves the picture quality, although it may unstabilize the pictures due
to alternate output of 2-field data.
•Settings with (*) are the default.
• "Quick" menu consists of the setting menus frequently used, and they are accompanied with _ .
• If you set "HDMI Video Resolution" setting to "1080p24" and the contents of the BD are not compatible for
1080p24 frame, 1080p60 frame will be output. ;:
• An individual picture on the TV screen is called as "Frame", which consists of two separate images called as <
"Field". Some pictures may be blurred at the auto setting in "Still Mode" setting due to their data characteristics.
• If the picture is not output properly to the TV because of'HDMI Video Resolution" or "Component Output" _
setting, press and hold [ I_ PLAY] on the front panel for more than S seconds. Both settings will be reset to the
default automatically.
• If an HDMI cable is connected, for video resolution for the component output, you can only select video
resolution that currently output from HDMI OUT jack or "480i". /
• If the video resolution for the component output and HDMI video resolution do not match, the video resolution
for the component output will be switched to "480i". COMPONENT VIDEO OUT jacks may not output any signals
depending on the disc material.
• If you play back copy-protected DVD-video, 480p signal will be output from COMPONENT VIDEO OUT jacks,
when "Component Output" setting is set to "720p" or "1080i".
_©
EN 35

• _,_Audio
IIFUNCTIIIiON5111,,,,,,,1UII,
•For how to select the setting items and options, refer to " @'_Custom" on page 32.
36
BD Audio Mode Mix Audio Output*:
For BD, selects whether to output Outputs the secondary and interactive audio with primary audio if it isavailable.
the secondary and interactive HD Audio Output:
audio with primary audio if it is Outputs only the primary audio. Set this mode in order to output Dolby
available or only the primary Digital, Dolby Digital Plus, Dolby TrueHD, DTS or DTS-HD audio of BD
audio. Refer to "Setting the BD through HDMI connection.
Audio Mode" on page 30.
HDMI Audio Out
Sets the audio format for the
audio output from HDMI OUT jack.
Down Sampling
Sets the digital audio output
when playing back BD or DVD
recorded in LPCM.
DRC
Sets whether to compress the
range of sound volume (dynamic
range control) when Dolby Digital,
Dolby Digital Plus or Dolby
TrueHD audio is played back.
Virtual Surround
Sets to create a surround effect in
a system with 2 speakers
connected.
• Settings with (*) are the default.
HDMI Multi(Normal)*:
The multi<hannel audio signals are output from HDMI OUT jack with
bitstream or LPCM.
HDMI Multi(LPCM):
The multi<hannel audio signals are output from HDMI OUT jack with LPCM.
• Refer to pages 37-39 for setting options.
Audio Mute:
Mutes the HDMI audio signal, and set the signal format from DIGITAL OUT jack.
• Refer to "Digital out setting" on page 37 for setting options.
One:
LPCM signals are converted to 48 kHz for output.
• Set to "On" when using digital connections to an AV amplifier that is not
compatible with sampling frequencies of 96 kHz.
Off:
For BD and DVD recorded in LPCM without copyright protection, 2<hannel
audio signals up to 192 kHz are output as LPCM signals with no conversion.
Auto*:
When the discs recorded in Dolby TrueHD format are in playback, this unit detects
DRC setting of the disc and set "DRC" setting to "On" or"Off" automatically,
Off
On
Ofif:
Virtual surround is set to off.
1:
A natural surround effect in a system with 2 speakers connected.
2:
A stronger surround effect in a system with 2 speakers connected than "1".
• "Quick" menu consists of the setting menus frequently used, and they are accompanied with _ .
• Under following circumstances, "HDMI Multi(Normal)" and "HDMI Multi(LPCM)" are not available.
- HDMI cable is not connected to HDMI OUT jack.
- Connected TV is off.
- Connected TV is not compatible with audio output.
• Set "Virtual Surround" setting to "Off" or lower the volume if the sound is distorted.
• For the virtual surround, audio signal will always be 2<hannel LPCM.
EN

IIFUNCTIIIiON5111,,,,,,,1UII,
•Digital out setting
When "Audio Mute" is selected in "HDMI Audio Out" setting, HDMI audio signal will be muted and the audio signals
output from DIGITAL OUT jack changes depending on "Digital Out" setting.
Bitstream*:
When playing back discs recorded in Dolby Digital, Dolby Digital Plus, Dolby TrueHD, DTS or DTS-HD,
the corresponding core stream (Dolby Digital or DTS) are output.
LPCM:
LPCM signal will be output from DIGITAL OUT jack.
• This setting is not effective when the HDMI audio signal is output.
•Speaker setting
This unit allows you to enjoy multi-channel surround sound such as 7.1-channel / 5.1-channel surround.
Front speaker (left)
Surround speaker (left)
Surround back speaker (left) L_
Centerspeaker
Z
Front speaker (right)
Subwoofer
Surround speaker {right)
_ Surround back speaker (right)
e.g.) basic layout with 7.1-channel surround system
©
_©
To make the most of its feature, set up your speakers appropriately by referring to the following table.
Speaker setting options are available at the following locations;
<Speaker setting for the audio signal output from HDMI OUT jack>
(Available when you have HDMI cable connected to HDMI OUT jack)
Quick _ HDMI Audio Out _ HDMI Multi(LPCM)
Custom _ Audio _ HDMI Audio Out _ HDMI Multi(LPCM)
EN 37

IIFUNCTIIIiON5111,,,,,,,1UII,
How to navigate through "HDMI Multi(LPCM)'.
1Use [A /V] to select your desired menu item then press [ENTER].
2Use [A /T] to select your setting items.
•Press [RETURN _J] to go back to the previous screen.
3Use [<1 /I_] to select desired options• (Except for "Test Tone", "Default" and setting
options in "Speaker Size" setting.]
For setting options in "Speaker Size" setting:
Press [ENTER] to select desired options.
For "Test Tone":
Use [_1/1_] to select "Off", "Manual" or "Auto", then press [ENTER].
• The test tone will be output. If you select "Manual", use [A IV] to select desired speaker, then use [_1/1_] to
adjust the volume. If you select "Auto", use [_1 /I_] to adjust the volume of the speaker that outputs the test tone.
• If you want to stop the test tone, press [RETURN _-J].
For "Default":
Press [ENTER] to reset to the default.
4Press [SETUP] to exit.
i_,,rm_ _ .Lu'Tnm_ _rmpnt_
Speaker Size
Selects the desired
speaker to set. Then
change the setting
appropriately by
referring to the
descriptions.
Channel Level
Tests or sets the volume
for each speaker.
Front
Center
Subwoo_r
Surround
Surround Back
Default
Test Tone:
"Test Tone" is the
test tone which
can be output
from the speakers
so that you can
adjust the volume
for each speaker.
Front Lch
Center
Subwoofer
Front Bch
Surround Rch
Surround Back
Rch
Surround Back
Lch
Surround Lch
Large*
Small
Large*
Small
On
Large*
Small
Large*
Small
Off*
Manual
Auto
0dBtoq2dB
(0 dB*)
0dBtoq2dB
(0 dB*)
0dBtoq2dB
(0 dB*)
0dBtoq2dB
(0 dB*)
0dBtoq2dB
(0 dB*)
0dBtoq2dB
(0 dB*)
0dBtoq2dB
(0 dB*)
0dBtoq2dB
(0 dB*)
Large:
For the large speakers with strong low
, _qu_, ,_y ,_production capabilities.
Small:
For the small speakers which do not
provide strong bass sound.
You cannot change the setting of
"Subwoofer'. If connected device is not
compatible with subwoofer, "Subwoofer"
will be displayed in gray.
Select "Default", then press [ENTER] to
reset "Speaker Size" setting to the default.
Select "Off" to deactivate "Test Tone".
Select "Manual", then press [ENTER] to
manually set the volume for the desired
speaker.
Select "Auto", then press [ENTER] to
automatically output the test tone from
each speakers.
If you have selected "Manual" in "Test
Tone", select the desired speaker to set
and adjust the volume for the selected
speaker.
If you select "Auto" in "Test Tone", test
tone will automatically be output in order.
Adjust the volume of the speaker that
outputs the test tone.
Default Select "Default", then press [ENTER] to
reset "Channel Level" setting to the
default.
38 EN

IIFUNCTIIIiON5111,,,,,,,1UII,
Delay Time
This is a parameter for
optimizing the timing at
which the sound is
output from the
speakers according to
their distance from the
listening position.
Distance
Front
Center
Surround
Surround Back
Default
Feet*
Meters
Oft to 60ft (12ft*)
(0m to 18m (3.6m*))
Oft to 60ft (12ft*)
(0m to 18m (3.6m*))
Oft to 60ft (10ft*)
(0m to 18m (3.0m*))
Oft to 60ft (10ft*)
(0m to 18m (3.0m*))
Set the desired measure system. This
measure system will be used for
"Delay Time" setting. Press [ENTER] to
switch the settings.
Select the distance from the listening
position to the speaker to get the ideal
delay time.
Select "Default", then press [ENTER] to
reset "Delay Time" setting to the default.
• Settings with (*) are the default.
• For "Speaker Size" setting, the settings of each speaker sizes may be adjusted automatically corresponding to
each setting. (e.g. If "Front" is set to "Small", you cannot set "Center", "Surround", and "Surround Back" to "Large".)
• For "Delay Time" setting, the difference among the value of the each speaker cannot exceed 15 ft (4.5m).
_©
EN 39

IIh,,,,,,UNC]IIhONSill,,,,,,,1UII,
• _ Parental
Ratings control allows you to set a limit, which prevents your children from viewing inappropriate materials. Playback
will be stopped if the ratings exceed the levels you set, and it will require you to enter a password before playing back
the disc.
1Use [A /V] to select ,then press [ENTER]•
2Use [the Number buttons] to enter your 4-digit password•
For the first time use: Use [the Number buttons] to enter any 4-digit number (except for 4737), then press
[ENTER]. That number will be used as the password from the second time. Record your password in case you
forget it.
•If you forget the password, enter [4], [7], [3], [7]. The password will be cleared and rating level will be set to "All".
• While you input the password, press [CLEAR] to clear the number, then re-enter the password.
3Proceed to A - C
A) BD Rating Level
1) Use [A /v] to select "BD Rating Level', then press [F.NTF.R].
2) Use[A/V]toselectyourdeslredoption, thenpress[ENTER].
"All": To release the limitation.
"Age Setting": To set the age limitation.
• After selecting "Age Setting", use [the Number buttons] to enter the age from 0 2S4. (e.g. for age 15, press
101,[1],[5])
3) Press [SETUP] to exit.
B) DVD Rating Level
1) Use [A IV] to select "DVD Rating Level', then press [F.NTER].
2) Use [A /V] to select your desired level, then press [ENTER].
3) Press [SF,TUP] to exlt.
• All
• 8 [Adult]
• 7 [NC-17]
• 6 [R]
• 5 [PGR]
• 4 [PG-13]
• 3 [PG]
• 2 [G]
• 1 [Kid Safe]
RATING EXPLANATIONS
: Parental control is inactive; all discs can be played back.
: DVD software of any grades (adult/general/children) can be played back.
: No one under 17 admitted.
: Restricted; under 17requires accompanying parent or adult guardian.
: Parental guidance recommended.
: Unsuitable for children under 13.
: Parental guidance suggested.
: General audience.
: Suitable for children.
C) Password Change
1) Use [A Iv] to select "Password Change", then press [ENTF.R].
2) Enter a new 4-digit password, then press [ENTF,R].
3) Press [SF,TUP] to exlt.
40 F,N

• _@Others
IFUNCTIIIiON5111,,,,,,,IUII,
•For how to select the setting items and options, refer to" _/. Custom" on page 32.
Angle Icon
Auto Power Off
Panel Display
Setsthe brightness of the front
panel display.
Slide Show
Sets the display time for the still
picture (in JPEG format) playback
Media Select
Selects the media to playback.
On_
The angle icon appears on the TV screen when playing back the scene with
various angle.
Off:
The angle icon disappears on the TV screen.
On*:
If this unit is left with no activity for more than 30 minutes, this unit turns
off automatically.
Off:
Sets offthe auto power off.
Auto_:
Front panel display gets darker during playback.
Bright:
Front panel display gets brighter.
Dimmer:
Front panel display gets darker.
Bsec_
1Osec
Disd:
Select this when you play back a disc.
SD Memory:
Select this when you play back an SD Memory Card.
©
i©
i
i0
1:3
i
i
i@
i©
E. 41

IFUNCTIIIiONSIlLIUIII
Initialize the setting or SD Memory Card.
In stop mode, press [SETUP].
Use [A /V] to select _, then press
[ENTER].
Use [A /V] to select a desired option,
then press [ENTER].
"No": Exits without any initialization.
"Setup": Resets the setup menu to the default.
"Memory Device":
Initializes the SD Memory Card. After
confirmation message appears, use
[AlLIV] to select "Yes", then press
[ENTER].
Press [ENTER]. (For "Setup" and "
Memory Device" only]
Press [SETUP] to exit.
42 EN

If the unit does not perform properly when operated as instructed in this manual, check the unit, consulting the
following checklist.
No power - Check if the AC cord is properly connected.
- Unplug the AC cord once, and wait for 5=10 seconds and then plug it in again.
No sound or picture - Check if the connected TV is turned on.
- Check if the connections are made securely and correctly.
- Check whether the connected TV or other device supports HDCP. (This unit will
not output a video signal unless the other device supports HDCP.)
- Check whether the output format of this unit (HDMI FORMAT) matches the
supported input format of other connected device.
- Set "HDMI Video Resolution" setting ot her than "Auto" or "1080p24".
Distorted picture - Sometimes a small amount of picture distortion may appear.
This is not a malfunction.
- Connect this unit directly to the TV. If the RCA audio /video cables are connected
to a VCR, pictures may be distorted due to the copy right protection system.
Completely distorted picture or - Make sure the disc is compatible with this unit.
black /white picture with BD /DVD
No sound or distorted sound - Adjust the volume.
- Check that the speakers are connected correctly.
- Check the HDMI connections.
- Check the settings in "_ Audio" menu.
Picture freezes momentarily - Check the disc for fingerprints /scratches and clean with a soft cloth wiping
during playback from center to edge.
Clean the disc.
Disc cannot be played back Clean the disc.
Ensure the disc label is facing up.
Check if the disc is defective by trying another disc.
Cancel the ratings control or change the control level.
Insert a correct disc that can be played back on this unit.
SD Memory Card cannot be read. The format of the card does not match to this unit or the card is not compatible.
No return to start=up screen Reset this unit by turning it off, then on again.
when disc is removed
The unit does not respond to the - Aim the remote control directly at infrared sensor window on the front panel.
remote control - Reduce the distance to infrared sensor window.
- Replace the batteries in the remote control.
- Re=insert the batteries with their polarities (+ /- signs) as indicated.
Buttons do not work or the unit - To completely reset the unit, unplug the AC cord from the AC outlet for 5=10
stops responding seconds.
The unit does not respond to - Operations may not be permitted by the disc.
some operating commands Refer to the instructions of the disc.
during playback
The unit cannot read BD /DVD /- Condensation? (Let sit 1 or 2 hours)
CD - You are attempting to playback a disc other than one with one of the marks on
page 17.
- Wipe the dirt off the disc or replace the disc.
Angle does not switch - The angle cannot be switched for BD /DVD which do not contain multiple
angles. In some cases multiple angles are only recorded for specific scenes.
Playback does not start when - Check the settings in " _ Parental" menu.
the title is selected
The password for rating level has - Enter the default password "4737",then your forgotten password will be cleared.
been forgotten
/
EN 43

Analo 9Audio
An electrical signal that directly represents sound.
Compare this to digital audio which can be an electrical
signal, but is an indirect representation of sound. See also
"Digital Audio".
Aspect Ratio
The width of a TV screen relative to its heigbt.
Conventional TVs are 4:3 (in other words, the TV screen is
almost square); widescreen models are 16:9 (the TV
screen is almost twice as wide as it is high).
BD-Java
With some BD which support Java applications, you can
enjoy the interactive functions such as games or
interactive menus.
Dolby TrueHD
Dolby TrueHD is a lossless coding technology developed
for next generation optical discs. Blu-ray Disc supports 7.1
multi-channel surround sound output.
DTS (Diqital Theater System):
DTS is a multi-channel surround sound system. By
connecting to DTS decoder, you can enjoy movie dynamic
and realistic sound like movie theater. DTS surround sound
technologies were developed by DTS, Inc.
DTS-HD
DTS-HD is a lossless coding technology developed as an
extension of the original DTS Coherent Acoustics format.
Blu-ray Disc supports 7.1 multi-channel surround sound
output.
Blu-ray Disc (BD)
Blu-ray Disc is a next generation optical video disc which
is capable of storing much more data than a conventional
DVD is. The large capacity makes it possible to benefit
from the features such as high-definition videos, multi-
channel surround sounds, interactive menus and so on.
Chapter
Just as a book is split up into several chapters, a title on a
BD-video or DVD-video is usually divided into chapters.
See also "Title".
Component Video Output
Each signal of luminance (Y) and component (PB/CS,PR/CR)
is independent to output so that you can experience
picture color as it is.
Also, due to compatibility with progressive video
(525p/480p), you can experience higher-density picture
than that in interlace (525i/480i).
Diqital Audio
An indirect representation of sound by numbers. During
recording, the sound is measured at discrete intervals
(44,100 times a second for CD audio) by an analog-to-
digital converter, generating a stream of numbers. On
playback, a digital-to-analog converter generates an
analog signal based on these numbers. See also
"Sampling Frequency" and "Analog Audio".
Dolby Dicjital
The system to compress digital sound developed by
Dolby Laboratories. It offers you sound of stereo (2ch) or
multi-channel audio.
Dolby Dicjital Plus
Dolby Digital Plus is the next generation digital audio
compression technology developed as an extension to
Dolby Digital. Blu-ray Disc supports 7.1 multi-channel
surround sound output.
HDMI (hiqh-definition multimedia interface)
A digital interface between audio and video source. It can
transmit component video, audio, and control signal with
one cable connection.
JPEG (joint photocjraphic experts cjroup)
JPEGis a method of compressing still picture files. You
can copy JPEGfiles on CD-RW/-R,DVD or SDMemory
Card from a computer and play back the files in this unit.
PCM (pulse code modulation)
The most common system of encoding digital audio,
found on CD and DAT. Excellent quality, but requires a lot
of data compared to formats such as Dolby Digital and
MPEG audio. For compatibility with digital audio
recorders (CD, MD and DAT) and AV amplifiers with
digital inputs, this unit can convert Dolby Digital and
MPEG audio to PCM. See also "Digital Audio".
Recjion Code
Regions associate discs and players with particular areas
of the world. This unit will only play back discs that have
compatible region codes. You can find the region code of
your unit by looking on the rear panel. Some discs are
compatible with more than one region (or all regions).
Samplinq Frequency
The rate which sound is measured by a specified interval
to turn into digital audio data. The numbers of sampling
in one second defines as sampling frequency. The higher
the rate, the better the sound quality.
Title
A collection of chapters on BD-video or DVD-video. See
also "Chapter".
Track
Audio CD use tracks to divide up the content of a disc.
The BD-video or DVD-video equivalent is called a chapter.
See also "Chapter".
44 EN

A-B French [FRE] 5264
Abkhazian 4748 Frisian 5271
Afar 4747 Galician 5358
Afrikaans 4752 Georgian 5747
Albanian 6563 German [GER] 5051
Amharic 4759 Greek [GRE] 5158
Arabic 4764 Greenlandic 5758
Armenian 5471 Guarani 5360
Assamese 4765 Gujarati 5367
Aymara 4771 Hausa 5447
Azerbaijani 4772 Hebrew 5569
Bashkir 4847 Hindi 5455
Basque 5167 Hungarian [HUN] 5467
Bengali;Bangla 4860 I-K
Bhutani 5072 Icelandic lICE] 5565
Bihari 4854 Indonesian 5560
Bislama 4855 Interlingua 5547
Breton 4864 Interlingue 5551
Bulgarian [BUL] 4853 Inupiak 5557
Burmese 5971 Irish [IRI] 5347
Byelorussian 4851 Italian [ITA] 5566
C-E Japanese [JPN] 5647
Cambodian 5759 Javanese 5669
Catalan 4947 Kannada 5760
Chinese [CHI] 7254 Kashmiri 5765
Corsican 4961 Kazakh 5757
Croatian 5464 Kinyarwanda 6469
Czech [CZE] 4965 Kirghiz 5771
Danish [DAN] 5047 Kirundi 6460
Dutch [DUT] 6058 Korean [KOR] 5761
English [ENG] 5160 Kurdish 5767
Esperanto 5161 L-N
Estonian 5166 Laothian 5861
F-H Latin
Macedonian 5957 Siswat 6565
Malagasy 5953 Slovak [SLO] 6557 _;,
g-
Malay 5965 Slovenian 6558
Malayalam 5958 Somali 6561 _:
Maltese 5966 Spanish [SPA] 5165
Maori 5955 Sundanese 6567
Marathi 5964 Swahili 6569
Moldavian 5961 Swedish [SWE] 6568 ;:_
Mongolian 5960 T
Nauru 6047 Tagalog 6658 _
Nepali 6051 Tajik 6653
Norwegian [NOR] 6061 Tamil 6647
O-R Tatar 6666
Occitan 6149 Telugu 6651 C:"
Oriya 6164 Thai 6654 _:_,
Oromo(Afan) 6159 Tibetan 4861
Panjabi 6247 Tigrinya 6655
Pashto;Pushto 6265 Tonga 6661
Persian 5247 Tsonga 6665 _
Polish [POL] 6258 Turkish [TUR] 6664 :_
Portuguese [POR] 6266 Turkmen 6657 /_
Quechua 6367 Twi 6669
Rhaeto-Romance 6459 U-Z •
Romanian [RUM] 6461 Ukrainian 6757
Russian [RU5] 6467 Urdu 6764
SUzbek 6772 /
Samoan 6559 Vietnamese 6855
Sangho 6553 Volapuk 6861
Sanskrit 6547 Welsh 4971
Scots Gaelic 5350 Wolof 6961
Serbian 6564 Xhosa 7054
Serbo-Croatian 6554 Yiddish 5655
Sesotho 6566 Yoruba 7161
5847 Setswana 6660 Zulu 7267
Faroese 5261 Latvian;Lettish 5868 Shona 6560
Fiji 5256 Lingala 5860 Sindhi 6550
Finnish [FIN] 5255 Lithuanian 5866 Singhalese 6555
EN 45

|_I|_T
Signal system NTSC color
Power requirements 120V AC, 60Hz
Power consumption 30W (standby: 0.SW)
Dimensions (width x height x depth) 17.2 x 2.8 x 13.9 inches (435 x 70 x 351ram)
Weight 9.1 Ibs. ( 4.1 kg )
Operating temperature 41°F (5°C) to 104°F (40°C)
Operatinc_ humidity Less than 80% (no condensation)
L/R: 2Vrms (output impedance: more than 1k_)
lVp-p (75_)
Y: lVp-p (75_) PB/CB: 700mVp-p (75Q) PR/CR: 700mVp-p (75Q)
500mVp-p (75_)
Video: 480p, 720p, 1080i, 1080p, 1080p24 /Audio
46 EN

SYLVANIA
LIMITED WARRANTY
FUNAICORP.will repair this product, free of charge in the USAin the event of defect in materials or workmanship
as follows:
DURATION:
PARTS: FUNAI CORP. will provide parts to replace defective parts without charge for one (1) year from the date
of original retail purchase. Certain parts are excluded from this warranty.
LABOR: FUNAI CORP. will provide the labor without charge for a period of ninety (90) days from the date of
original retail purchase.
LIMITS AND EXCLUSIONS:
THIS WARRANTY IS EXTENDED ONLY TO THE ORIGINAL RETAIL PURCHASER. A PURCHASE RECEIPT OR OTHER
PROOF OF ORIGINAL RETAIL PURCHASE WILL BE REQUIRED TOGETHER WITH THE PRODUCT TO OBTAIN SERVICE
UNDER THIS WARRANTY.
This warranty shall not be extended to any other person or transferee.
This warranty is void and of no effect if any serial numbers on the product are altered, replaced, defaced, missing
or if service was attempted by an unauthorized service center. This limited warranty does not apply to any
product not purchased and used in the United States.
This warranty only covers failures due to defects in material or workmanship which occur during normal use. It
does not cover damage which occurs in shipment, or failures which are caused by repairs, alterations or products
not supplied by FUNAI CORP., or damage, which results from accident, misuse, abuse, mishandling,
misapplication, alteration, faulty installation, improper maintenance, commercial use such as hotel, rental or
office use of this product, or damage which results from fire, flood, lightning or other acts of God.
THIS WARRANTY DOES NOT COVER PACKING MATERIALS, ANY ACCESSORIES (EXCEPT REMOTE CONTROL), ANY
COSMETIC PARTS, COMPLETE ASSEMBLY PARTS, DEMO OR FLOOR MODELS.
FUNAI CORP. AND ITS REPRESENTATIVES OR AGENTS SHALL IN NO EVENT BE LIABLE FOR ANY GENERAL, INDIRECT
OR CONSEQUENTIAL DAMAGES ARISING OUT OF OR OCCASIONED BY THE USE OF OR THE INABILITY TO USE THIS
PRODUCT. THIS WARRANTY IS MADE IN LIEU OF ALL OTHER WARRANTIES, EXPRESSOR IMPLIED, AND OF ALL
OTHER LIABILITIES ON THE PART OF FUNAI, ALL OTHER WARRANTIES INCLUDING THE WARRANTY OF
MERCHANTABILITY AND FITNESS FOR A PARTICULAR PURPOSE, ARE HEREBY DISCLAIMED BY FUNAI AND ITS
REPRESENTATIVES IN THE UNITED STATES.
ALL WARRANTY INSPECTIONS AND REPAIRS MUST BE PERFORMED BY AN AUTHORIZED SERVICE CENTER.
THIS WARRANTY IS ONLY VALID WHEN THE UNIT IS CARRIED-IN TO AN AUTHORIZED SERVICE CENTER.
THE PRODUCT MUST BE ACCOMPANIED BY A COPY OF THE ORIGINAL RETAIL PURCHASE RECEIPT. IF NO PROOF
OF PURCHASE IS ATTACHED, THE WARRANTY WILL NOT BE HONORED AND REPAIR COSTS WILL BE CHARGED.
IMPORTANT:
THIS LIMITED WARRANTY GIVES YOU SPECIFIC LEGAL RIGHTS. YOU MAY HAVE OTHER RIGHTS THAT VARY FROM
STATE TO STATE. IF, AT ANY TIME DURING THE WARRANTY PERIOD, YOU ARE UNABLE TO OBTAIN SATISFACTION
WITH THE REPAIR OF THIS PRODUCT, PLEASE CONTACT FUNAI CORP.
ATTENTION:
FUNAI CORP. RESERVES THE RIGHT TO MODIFY ANY DESIGN OF THIS PRODUCT WITHOUT
PRIOR NOTICE.
WARRANTY STATEMENT REGARDING NON AUTHORIZED REPAIRS:
To obtain warranty service, you must take the product, or deliver the product freight prepaid, in either its original
packaging or packaging affording an equal degree of protection, to any AUTHORIZED SERVICE CENTER. FUNAI
CORP. will not reimburse you for any service done by unauthorized service providers without prior written
approval.
To locate your nearest AUTHORIZED SERVICE CENTER or for general service inquiries, please
contact us at:
FUNAI CORPORATION
Customer Service
Tel: 1-800-968-3429
http://www.sylvania-ce.com
19900 Van Ness Avenue_Torrance, CA 90501
Printed in China ESH26UD
1VMN25653 *****

Reproductor de Discos Blu-ray
F
/
Manual del Usuario I_
I
|
NB5OISL9 /
/
/
(,) 2008 Funai Electric Co., Ltd.

1 n}
1. Conexiones
AI hacer las conexiones, todos los
dispositivos deben estar apagados y
desconectados de la toma de corriente.
Haga una de las siguientes conexiones, dependiendo de las capacidades de su aparato existente.
CONEXI6N DE SONIDO CONEXI6N DEVIDEO
iILvl
cable de
sonido RCA
cable de
video RCA
AUDIO OUT VIDEO OUT
a
[ CONEXIONDESONIDO/VfDEO]
cable de video de
componente RCA
COMPONENT
VIDEO OUT
cable
HDMbDVI
o
HDMIOUT
ki vj
cable HDMI
Pulse[HDMI]paracambiarlaresoluciOndelaseilaldevldeoqueseda 480p _ 720p _ 1080J _ 1080p _ 1080p24
como salida desde la HDMI OUT. La resolution de video cambia como _ I
sigue cada vez que se pulsa [HDMI].
Despu6s de que haya hecho todas las conexiones necesarias, conecte el cable de alimentaci6n a AC IN. Despu6s, conecte el cable de
alimentaci6n al enchufe de CA.
Introduzca las clavijas de manera segura. Las conexiones incompletas tienen como resultado la generaci6n de ruidos.
CA 120 V, 60 Hz
2. RepPoduccion
[POWER].
el televisor y seleccione la entrada apropiada en el
televisor al cual est6 conectada la unidad.
[OPEN /CLOSE Am] para abrir la bandeja para discos.
el disco en la bandeja para discos con la etiqueta hacia
arriba.
Alinee el disco con la guia de la
bandeja de discos.
[OPEN /CLOSE Am] para cerrar la bandeja de discos.
Algunos discos pueden comenzar a reprodudrse autom_ficamente.
[PLAY I_] para comenzar la reproducci6n.
Para muchos BD_v[deo y DVDwideo, puede que aparezca una pantalla de men_s.
En este caso, utilice [& /•/41/1_] para seleccionar a la opci6n deseada y despu6s pulse [ENTER].
Para pausar la reproduccibn:
Pulse [PAUSE II].
Para detener la reproduccibn:
Pulse [STOP n].
Para reanudar la reproducci6n
normal;
Pulse [PLAY I_].
Para expulsar el disco:
Pulse [OPEN /CLOSE __ ] para abdr la bandeja de
discos y despu6s saque el disco antes de apagar
la unidad.
Imptimldo en Chil_a
ES ES

:|_I [(e]; I_g:[q / :][e[_1:[e[_
2
El modelo y el numero de serie de esta unidad se pueden encontrar
en la caja. Debera anotar y guardar el modelo y el numero de serie
para consu tar os, si os necesita, ell e futuro.
Numero de modelo:
Numero de serie:
ADVERTENCIA: PARAREDUCIRELRIESGODEQUESEPRODUZCAUN INCENDIO0 SERECIBAUNADESCARGA
ELECTRICA,NO EXPONGAESTEAPARATOA LALLUVlANIA LAHUMEDAD.
CAUTION
_VISO, PARAREDUCIRELRIESGODESUFRIRUNADESCARGAELECTRI-
IA NOQUITELACUBIERTA(0 ELPANELPOSTERIOR).ENELINTERIORDEL
_PARATONOHAYPEAS QUEDEBAMANIPULARELUSUARIO.SOLICITEEL
_ERVICIODEREPARACIONESALPERSONALDESERVICIOCUALIFICADO.
Elsimbolo del rayo con punta de flecha, en el interior de un
triangulo equilatero, tiene la finalidad de avisar al usuario
de la presencia de'_tensibn peligrosa"dentro de la caja del
aparato que podria ser de suficiente intensidad como para
constituir un riesgo para las personas ell caso de que _stas
recibiesen una descarga el_ctrica.
_b l signo de exclamacion dentro de un triangulo equil_tero
tiene la flnalidad de avisar al usuario de la presencia de
instrucciones de utilizacibn y mantenimiento (servicio) en el
material impreso que acompafia al aparato.
La marca de aviso est_ situada en la parte inferior o posterior de la caja.
Importante para su Seguridad
• LEALASINSTRUCCIONES Debenleersetodaslasinstruccionesde
seguridad y de fun¢ionamiento antes de utilizar el aparato
2, CONSERVELASINSTRUCCIONES Lasinstruccionesdeseguddadyde
fun¢ionamiento deben conserva_se para futu ra ¢onsuIta
g, HAGACASODELASADVERTENCIAS Tedaslasadveltenciasqueaparezcan
en el aparato y en las instzucdones de fundonamiento deben sel tenidas en cuenta
_, SIGALASINSTRUCCIONES Debensegubsetodaslasinstluccionesde
fundonamiento y de uso
_, LIMPIEZA Desenchufeesteaparatodelatomadeparedantesdesulimpieza
No utilice Iimpiadores liquidos ni Iimpiadores en aerosol¸ Utilice un pabo
homede para la Iimpieza
EXCEPCION: Un aparato destinado a su selvicio interrumpido y que, par
alguna razon especifica, par ejemplo la pasibilidad de p_rdida de un cbdigo
de autorizaci6n para un convertider de CATV, no debe set desenchu fado para
su Iimpieza o cualquier otto fin, puede excluir la referencia a desenchufar el
aparato en la descripci6n de Iimpieza requeiida en el elemento 5
6, CONEXIONES Noutiliceconexionesnorecomendadasporelfabricante
del aparato, dado que podrlan provocar desgos
7, AGUAYHUMEDAD Noutillaeesteapalatocelcadeagua, porejemplo,
cerca de una babera, un lavabo, un ffegadero o una pila de lavado de iopa,
en un suelo hOmedo o cerca de una piscina o lugares similares
8, ACCESORIOS Nocoloqueesteaparatosobreun
mueble con ruedas, un soporte, un tripode, un soparte
vertical o una mesa inestables Elaparato puede caelse,
provocando lesiones graves a alguien y sedes dabos en
el propio aparato Utilicelo solamente con un mueble
con r uedas, sopar re, t ripade, soparte vertical o mesa
recomendados par el fabricante o vendidos junto
con el aparato Cualquier instaladde del aparato debe
seguir las instru¢ciones del fabricante y dede utilizar un
accesode de montNe re_omendade par el fabricante
Elconjunto de aparato y mueble con ruedas debe
moverse con precaud6n Las paradas b:uscas, la fuerza exces_vao las super_des
kreg ulares pueden provoca_ la caida del co_u nto de aparato ymueble con rueda_
9, VENTILACION Elmuebleylapartetraseraoinfederdelaparatoincluyenranuras
y aberturas para ventiladde; para garantiz_r un funcionamiento fiable del aparato
y para protegerlo de un pasible sobrecalentamiento, dichas aberturas no deben
bbquearse nitaparse Lasaberturas no deben bloq_arse nunca colocande el
apa rato sobre una ca ma, un sof_, una alfom b_au otra supeiflde similar Este aparato
no debe col_a rse nunca ¢erca o enci ma de un tad lador o una rejilia de aire ca Iiente
Esteapa rato no debe colocarse en una instalaci6n em potrada, i:_r ejempb una
Iibrerla o estanter_ a menos q ue se fadlite la ventilacibn adecuada o q ue se hayan
seguido lasinstrucdones del fabricante_
__, FU ENTES DE ALIMENTACION Este apalato debe utiliza rse sola mente con
el tipo de fuente de alimentacibn indicada en la etiq ueta de f_brica Si no
est_ seguro del tipa de suminlatro de alimentacide elect rica de su hogar,
consulte con el dlatiibuidor de su aparato o con la empresa el_ctiica local¸
Para aparatos destinados a fundonal con alimentaci6n pot pilas u otlas
fuentes, consulte las instrucciones de fundonamiento
_1, PU ESTA A TIERRA 0 POLARIZACION Este aparato est_ equipado con
un enchufe de linea de corriente alterna polarizada (u n enc h ufe con un
contacto pla no m_s ancho que el otto) Este enchufe encaja r_ en la toma de
¢orriente sola mente en un sentido Esto es una coracter _ti¢o de segu_idad
Si no puede inseltar el enchufe totalmente en la toma, intente inver tit la
pasicibn del enchufe Si el enchufe sigue sin encajar, pbngase en contacto
con un elect iiclata pala sustituir su toma obsoleta No subestime la fi nalidad
de segundad del ench ufe polarizado
_ZPROTECCIONDELCABLEDEAUMENTAClON Los cables de alimentaci6n
elect rica deben extendelse de manela que resulte improbable que nadie
los plae o que queden pinzados pot elementos colocados encima o ¢ontla
elms, prestando espa_ial atend6n a enchufes de los cables, sus tomas de
corriente y su punto de salida del apa rato
_3, PU ESTA A TIERRA DE ANTENA EXTERIOR Sihay una antena exterior o un
sistema de cable conectade al aparato, asegOrese de que la antena o el si_ema
de cable est_ puesto a tierra de manera que ploparcione prote<ci6n contra las
subidas de tensibn y las cargas de ele<tricidad ester ka acumulada Elart_ulo 8] 0
del National Electrical Code ICodigo El_<trico National), ANS[/NFPA numero 70,
prolz_rciona infor macide con respecto a la adecuada puesta a tierra del m_stil y
la estructura de sol:_ rre, puesta a derra del cable de entrada de cordente a una
unidad de descarga de antena, tamabo de los conductores de puesta a tielra,
ubicaci6n de la unidad de descarga de antena, conexbn a electrodes de puesta a
derra y requisitos para el el_<trodo de puesta a tierra (Fig A)
Ej_LO D__U_TA_,r_E_,__ ,_EN_ ¸ C_BLEDEE"_R_CaDE
EQUlPODE i
SERVlClO
.............................. _I_2_o ...................
zL RAYOS Para protecd6n abadida de este aparato en caso de tomlenta
el_ctdea, o cuando permanezca desatendido y sin utiJlaar durante largos
periodos de tiempo, desenchOt_lo de la toma de corriente y descone_te la
antena o el slatema de cable Esto impedir_ que se produzcan dailos en el
aparato debido a dailos provocados pot rayos y sobretensiones de la bnea
el_ctrica
!_, LIN_AS DE CON DUCCION EL_CTRICA Un sistema de antena extedor
no debe coloca rse en las proximidades de lineas de cond ucci6n eldctdea
a_reas u otras lineas de conducci6n de circuitos elect deos, o de manera que
pueden caer sobre dichas bneas o circuitos elbct deos Cua ndo se instale un
slatema de antena exterior, debe tonerse el m_ximo c uidado para no tocar
dicbas lineas o decuitos el_ct ricos, dado que el contacto podria resu[tar
mortal
_,, SOBRECARGA No soblecargue las tomas de paled ni los cables
alargadores, dado que esto puede suponer un desgo de i ncendio o
descarga el6ct rica
7, ENTRADA DE OBJETOS Y L[QUIDOS No tuerce la entlada de objetos de
ningun tipa en el inteliol de este a pa rato a tlav#s de sus adelturas, dado
que pueden tocar puntos peligrosos de tensi6n o provocar un cot todecuito,
lo cual podria dar lugal a incendio o descarga elbct rica
Nunca delrame liquidos de ningOn tipa soble el apa rato
g, REPARAaON No intente r_parar usted mlamo este apalato, ya que el
hecho de abrir o extrael ]as cubJertas puede exponerle a tensibn peligrosa
u otros riesgos D_je toda reparacibn en ma nos de personal de servlaio
tecnico cualificado
9, D.a.l_0 SQ U EI_XIG I_N IJ NARI_P.a.R.a.ClON Desencbufe este apalato de
la toma de pared y ll_velo a u n servido de repa rad6n cuaiificado en las
sit uaciones siguientes:
a Cuando el cable o el enchut_ de dlatlibud6n de cordente est6 dabado
o desgastado
b. Si se ha delramado Ikluido o han caido obj_tos en el inteder del aparato
c Si el aparato ha estado expuesto a lluvia o agua
d Si el aparato no tundona nolmaMlente ¢uando se siguen las
instlucdones de funcionamiento Ajuste Onicamente los controles a
los que se reflelan las instrucciones de funcionamiento, dado que el
ajuste inadecuado de otros controles puede provocal debos y a men udo
exigir_ una gran ca ntidad de trabajo por parte de un t_cnico cualificado
para que el aparato pueda volve_ a tunciona r normalment_
e Si el aparato se ha caido o ha sutrido cualquiel tipo de dabo
tCuando el aparato d_je de tuncionar con nolmalidad, esto indica que
necesita una reparacibn
,PlI_ZAS DI_ REPUESTO Cuando se necesiten Nezas de repuesto, asegOrese
de que el personal de servicio tbcnico utiliza piezas de ropuesto especificadas
pol el fabricant_ y de las mismas caracteristicas que la pieza original
Las sustituciones no autorizadas pueden provocar i ncendio, descarga
el_t rica, lesiones personales u otros riesgos
_, COMPROBACION DE SEGU_IDAD A[ fi nalizal cualquiel selvlaio o
reparaci6n de esto apa rato, pida al pelsonal de selvicio tecnico que realice
unas comprobaciones de seguridad de rutina para d_terminar que el
aparato est_ en condiciones correctas de funcionamiento
22, CALOR Este aparato debe situarse Iojos de tuentes de calor tales ¢omo
radiadoles, r_jillas de abe ¢alient_, estutas u otlos productos (ind uidos
ampiificadores) emisores de calor
ES

No coloque la unidad sobre un mueble que pueda volcar si algun niffo o adulto Io inclina, empuja, se coloca encima
o trepa por 6. La ca da de a unidad puede provocar esiones graves e inc uso a muerte.
CUIDADO; Para evitar la descarga el6ctrica, haga coincidir el contacto ancho del enchufe con la ranura ancha
e inserte firmemente.
ADVERTENCIA DE LA FCC
Este aparato puede generar o utilizar energia radioelectrica. Los cambios o las modificaciones que se hagan en este aparato
podr_n causar interferencias a menos que _stos sean aprobados expresamente en este manual. El usuario podr& perder la
autorizacion que tiene para utilizar este aparato si hace algun cambio o modificaci6n que no haya sido autorizado.
INTERFERENCIA DE RADIO Y TV
Este aparato ha sido probado y ha demostrado cumplir con los llmites existentes para los dispositivos digitales de la
Clase B, de conformidad con el Apartado 18 de las Normas de la FCC. Este aparato genera, utiliza y puede radiar
energ[a radioel6ctrica, y, si no se instala y utiliza de acuerdo con las instrucciones, puede causar interferencias
3erjudiciales en las comunicaciones pot radio. Sin embargo, no existen garantias de que no se produzcan
nterferencias en una instalacion particular. Si este aparato causa interferencias perjudiciales en la recepcion de la
"adio o la televisi6n, Io que se puede determinar apagando y luego encendiendo el aparato, al usuario se le
"ecomienda intentar eliminar la interferencia tomando una, o mas, de las medidas siguientes:
1) Cambie la orientaci6n y la ubicaci6n de la antena de recepcion.
2)Aumente la separaci6n entre el aparato y el receptor.
3) Conecte el aparato en una toma de corriente o circuito que sean diferentes de aquellos a los que esta conectado el recepton
4) Consulte a su concesionario o t_cnico en radio/TV con experiencia para solicitar su ayuda.
Este aparato digital de la ¢lase Bcumple con la norma canadiense ICES-O03.
NOTA PARA EL INSTALADOR DEL SISTEMA CATV
Esta recordatorio se facilita para Ilamar la atenci6n del instalador del sistema CATV sobre el Artfculo 820-40 de la NEC,
que proporciona pautas para una apropiada puesta a tierra, y en particular especifica que la toma de tierra del cable
_ebe estar conectada al sistema de puesta a tierra del edificio Io mas cerca posible del punto de entrada del cable.
SEGURIDAD DEL LASER
Este aparato usa un laser. Para evitar posibles daf_os personales, solamente el personal de mantenimiento cualificado
debe quitar la tapa o reparar este aparato.
PRECAUCION: El uso de controles, ajustes o procedimientos diferentes de los especificados en este manual
puede producir una exposici6n peligrosa a la radiaci6n.
PRECAUCION: Cuando se abre la unidad y se anula el enclavamiento se produce una radiaci6n laser visible e
invisible, evite mirar fijamente al rayo.
UBICACION: En el interior, cerca del mecanismo de la platina.
ACERCA DEL COPYRIGHT
La copia, la emisi6n, la muestra al publico y el pr6stamo de los discos sin la debida autorizaci6n estan prohibidos.
Este producto incorpora tecnologla de proteccion del copyright que a su vez esta protegida pot patentes y otros
derechos de la propiedad intelectual de los EE.UU. La utilizaci6n de esta tecnologfa de protecci6n del copyright
deber_ contar con la autorizaci6n de Macrovision, y 6sta se limitar_ a casas y otros lugares de visi6n limitada a menos
que Macrov s on autor ce Io contrar o. La nvers 6n de la ngen erfa o el desmonta e del aparato estan proh b dos.
i©
@
i0
3

4
mando a distancia cables de sonido/ cable de
con pilas (AAx2) video RCA alimentacion
(NB804UD) (WPZ0102TM015 /(WAV0162LW001)
WPZ0102LTE01)
manual del usuario gula de arranque r_pido
(EN/ES/FR) (EN/ES/FR)
(1VMN25653 /1VMN25655 (1VMN25654/1VMN25656)
/1VMN25657)
• No maneje el cable de alimentacion con las manos
mojadas.
• No tire del propio cable cuando Io desconecte de una
toma de CA. Sujete la clavija y tire de ella.
• No meta sus dedos ni otros objetos en la unidad.
Para la seguridad y el desempei'_o optimo de este aparato:
• No ponga esta unidad verticalmente. Instale el equipo
en una posicidn horizontal y estable. No coloque nada
directamente encima del equipo. No coloque el aparato
directamente encima del televisor.
• Aislela de la luz directa del sol y mant6ngala lejos de
fuentes de calor intenso. Evite los lugares polvorientos o
htSmedos. Para Iograr una disipacidn correcta del calor,
evite los lugares sin suficiente ventilacidn. No bloquee
los agujeros de ventilacidn en la parte trasera yen los
costados del aparato. Evite las ubicaciones sujetas a
fuertes vibraciones o campos magn6ticos intensos.
• AsegtSrese de sacar el disco y desenchufar el cable de
alimentacidn de CA antes de transportar la unidad.
Puede tener lugar condensaci6n de humedad dentro del
aparato cuando 6ste es trasladado desde un lugar ffio a
otro c_lido o luego de calefaccionar una habitaci6n ffia o
bajo condiciones de alta humedad. No utilice este equipo
al menos durante 2horas hasta que su interior se seque.
• Los materiales de embalaje de esta unidad
son reciclables y pueden volver a utilizarse. @
Disponga de ellos segOn los reglamentos de
reciclado locales.
• Las baterlas y las pilas nunca deber&n tirarse
a la basura ni incinerarse, sino que se deber& disponer
de elias segun los reglamentos locales relacionados con
la basura qulmica.
Servicio
• Consulte los temas relevantes de la secci6n "SOLUCION DE
PROBLEMAS" en la pagina 43 antes de devolver el producto.
• Siesta unidad deja de funcionar, no intente solucionar
el problema usted mismo. En el interior no hay piezas
que pueda repara el usuario. Apague el aparato,
desenchufe el cable de alimentacion y Ilame al tel_fono
gratuito de nuestro servicio de atenci6n al cliente que
encontrara en la portada de este manual para encontrar
un centro de servicio t6cnico autorizado.
Limpieza del _abinete
• Limpie el panel frontal y demos superficies exteriores
del equipo con un paf_o suave levemente humedecido.
• Nunca utilice solventes, diluyentes, benceno o alcohol
para limpiar el equipo. No rocle liquido insecticida cerca
del equipo. Tales productos qulmicos podrian descolorar
la superficie o da{_ar el equipo.
Limpiar los discos
• Cuando se ensucie un disco, limpielo con un paffo de
limpieza. Limpie el disco desde el centro afuera. No
limpie en movimiento circulares.
• No utilice disolventes como bencina, diluyentes, limpiadores
comerciales, detergente, agentes limpiadores abrasivos o
rociadores antiest&ticos para registros anal6gicos
Limpieza de la lente del disco
• Si este aparato siguiera sin funcionar adecuadamente
aunque usted haya consultado las secciones .
correspondientes y el capitulo sobre "SOLUCION DE
PROBLEMAS" de este manual del usuario, puede estar sucio
el equipo de captura por I_ser 6ptico. Para la inspecci6n y
limpieza del equipo de captura pot I_ser 6ptico consulte
con su distribuidor o un centro de servicio autorizado.
Manipulaci6n de los discos
• Manipule los discos detal manera que no seadhieran a
las superficies de los mismos huellas digitales y polvo.
• Siempre almacene el disco en su estuche protector
cuando no Io utilice.
• Tenga en cuenta que los discos con formas especiales no
pueden set reproducidos en este reproductor. No intente
reproducir dichos discos ya que pueden daffar a la unidad.
Comprobaci6n de la serial de infrarrojos (IR)
• Si el mando a distancia no funciona correctamente,
puede utilizar una radio AM o una camara digital
(incluso un tel_fono movil con camara incorporada)
para comprobar si est& enviando una serial de
infrarrojos.
• Con una radio AM: "_
Sintonice la emisora de radio AM en una
frecuencia de no emision. Apunte con el
mando a distancia hacia ella, presione
cualquier boron y escuche. Si el sonido
de la radio fluctua, significa que est_
recibiendo la seffal de infrarrojos del
mando a distancia.
•Coil uila camara
digital (incluidas las c6maras
incorporadas en tel_fonos m6viles):
Apunte con la c_mara digital hacia el
mando a distancia. Presione cualquier
boton del mando a distancia y mire en el
visor de la camara digital.
Si la luz infrarroja aparece en la camara, el
mando a distancia funciona. I:S

141 lT|| TM
HDMI, el Iogotipo HDMI y High-Definition Multimedia
Interface (Interface de Multimedios de Alta Definici6n)
son marcas comerciales o marcas registradas de HDMI
Licensing LLC.
13RDOLBY
DIGITAL
Fabricado bajo licencia de Dolby Laboratories. Dolby y el
slmbolo de la doble D son marcas comerciales de Dolby
Laboratories.
DigitalSurround
Fabricado bajo licencia bajo las patentes de los EE.UU.
numeros: 5,451,942; 5,956,674; 5,974,380; 5,978,762;
6,487,535 y otras patentes de EE.UU. y mundiales
publicadas y pendientes. DTS y DT5 Digital Surround es
una marca registrada y los Iogotipos y el simbolo DTS son
marcas registradas de DTS, Inc. (o 1996-2007 DTS, Inc.
Reservados todos los derechos.
"Blu-ray Disc'y _=_._ son marcas registradas.
es una marca registrada de DVD Format/Logo
Licensing Corporation.
Java
Java y todas las marcas se Iogotipos basados en Java son _5
marcas o marcas registradas de Sun Microsystems en los _
Estados Unidos yen otros palses. _
Los Productos que han conseguido el ENERGY STAR_
estan diseffados para proteger el medio ambiente a
trav6s de una mejor eficiencia en el consumo de energla. i©
o
es una marca registrada de Eastman Kodak Company. :_,
i 0
(_)2008 Funai Electric Co., Ltd.
Todos los derechos reservados. No se permite la reproducci6n total o parcial de este manual, ni su copia, transmision,
difusion, transcripcion, descarga o almacenamiento en ningun soporte de almacenamiento, en forma alguna o con fin
alguno sin la autorizacion expresa y previa por escrito de Funai. Ademas, toda distribucion comercial no autorizada de
este manual o toda revision del mismo queda estrictamente prohibida.
La informaci6n contenida en este documento puede set objeto de cambios sin previo aviso. Funai se reserva el
derecho de cambiar el contenido de este documento sin la obligacion de notificar dichos cambios a ninguna persona
u organizacion.
_'UNAI con el diseffo _'_ es una marca comercial registrada de Funai Electric Co., Ltd y no se puede utilizar en modo
alguno sin la autorizacion expresa por escrito de Funai. Todas las restantes marcas comerciales utilizadas en este
documento siguen siendo propiedad exclusiva de sus respectivos propietarios. Nada de Io contenido en este manual
debe set entendido como concesion, implicita o de otro tipo, de cualquier licencia o derecho de uso de cualquiera de
las marcas comerciales en _1visualizadas. El uso indebido de cualquier marca comercial o de cualquier otto contenido
de este manual queda estrictamente prohibido. Funai hara cumplir en6rgicamente sus derechos de propiedad
intelectual dentro de los limites maximos establecidos pot la ley.
Es S

PRECAUCIONES .................................. 2
FUNCIONES ...................................... 7
Funciones ........................................... 7
Simbolos Utilizados en este Manual ................. 7
VISTA GENERAL FUNCIONAL ...................... 8
Panel Delantero ..................................... 8
Panel Trasero ....................................... 8
Mando a Distancia .................................. 9
Pantalla del Panel Delantero ....................... 11
Co,cHicanes
CONEXIONES ................................... 12
Conexi6n al Televisor .............................. 12
Conexi6n a un Sistema de Sonido ................. 15
Conectar el Cable de Alirnentaci6n ................ 16
CONFIGURACION DE FUNCIONES ................ 31
Utilizar el MenO Configuraci6n ..................... 31
©t_os
SOLUCION DE PROBLEMAS ...................... 43
GLOSARIO ...................................... 44
CODIGO DE IDIOMA ............................. 45
ESPECIFICACIONES .............................. 46
GARANTiA LIMITADA ................. Tapa Trasera
INFORMACION SOBRELA REPRODUCCI6N ....... 17
REPRODUCCION BASICA ......................... 20
Reproducci6n ..................................... 20
Funcionamientos Utilizando el Men0 de Disco,
el Menu de Titulos y el Menu Desplegable ......... 21
Reproducir Discos DVD-RW/-R en Modo VR ........ 21
Pausar ............................................ 21
Reproduction de Reanudaci6n .................... 21
Reproducir un CD de sonido y un Disco con
Archivos JPEG ..................................... 22
Leer la Tarjeta de Memoria SD ..................... 23
REPRODUCCION ESPECIAL ....................... 25
Avance Rapido IRebobinado R_pido .............. 25
Reproducci6n Avance Lento ....................... 25
Reproducci6n Paso a Paso ......................... 25
Reproducci6n de Repetici6n ....................... 25
Repetici6n de A-B ................................. 26
Configuraci6n PIP (Imagen en Imagen) ............ 26
Reproducci6n de Programa ....................... 26
Reproducci6n Aleatoria ........................... 27
Angulo de la Carnara .............................. 27
BUSCAR ........................................ 28
AJUSTES ESPECIALES ............................ 29
Alternar Subtitulos ................................ 29
Cambiar la Banda Sonora de Sonido ............... 29
Configurar el Modo de BD de Sonido .............. 30
Ajustar la Irnagen ................................. 30
6ES

Reproducci6n de video de alta definici6n completa
Ver peliculas con la mayor calidad de irnagen disponible
paraa su HDTV. Esta unidad ofrece reproducci6n de video
de alta definici6n de una resolution de hasta I080p para
obtener una apasioannte experiencia de visionado. Una
irnagen con gran detalle y una nitidez aurnentada oferce
una imagen m&s realista.
Mejorar el DVD para un calidad de imagen mejorada
Su DVD actual tendr_ un aspecto incluso mejor que antes
gracias a la rnejora a video. La rnejora aurnentara la
resoluci6n est&ndar de DVD de alta definition hasta
I080p por una conexion HDMI. La irnagen tendra rnenos
irnperfecciones y sera rnas realista para disfrutar de una
experiencia cercana a la alta definici6n.
Disfrute de sus contenidos de distintos tipos de
soportes
La compatibilidad completa hacia atras con DVD yCD le
asegura que puede seguir disfrutando de su coleccion
actual de imagen-sonido. Adem_s, puede visualizar JPEG.
Escuchar el rico sonido envolvente multicanal
El sonido envolvente multicanal, que proporciona un
sonido realista y le hate sentir que usted esta realmente
allL
F_cil y sencilla conexi6n a su HDTV a trav_s de HDMI
Conecte esta unidad a su HDTV con un solo cable HDMI
(Interfaz de multimedia de alta definici6n, por sus siglas
en ingl6s). Se recomienda utilizar cable HDMI de alta
velocidad para una mejor compatibilidad. La serial de
salida de alta definici6n se transfiere a su HDTV sin
conversion a sefiales anal6gicas, por Io que conseguir&
una excelente calidad de imagen y sonido, totalmente
libre de ruido.
Gracias a otras salidas multiples, tambi6n puede
conectarse facilmente a su sistema de cine en casa o
amplificador.
PIP
Algunos BD-video tienen la funcion PIP (imagen en
irnagen) que le permite rnostar la imagen secundaria en
la irnagen primaria. Puede llarnar a la imagen secundaria
pulsando [PIP] siempre que la escena contenga la imagen
secundaria.
Menu desplegable
Algunos BD-video tiene un menu desplegable que es un
men0 de navegacion que se puede sacar en pantalla sin
interrurnpir la reproducci6n. Puede llarnar al menu
desplegable pulsando [POP MENU I MENU]. El contenido
del menu desplegable cambia dependiendo del disco.
Deep Color de HDMI
El Deep Color reduce el efecto de irnagen de cartel de la
imagen de reproduction. Consulte "HDMI Deep Color" en
"CONFIGURACION DE FUNCIONES" en la pagina 34.
Salida HDM11080p /fps (s61o BD) I
Esta unidad esta equipada con una funcion que le puede I
proporcionar un movirniento suave en la reproduction de
material originado de pellcula con una velocidad de 24
fotogramas por segundo con progresivo. (Disponible solo
cuando el dispositivo de visualization esta conectado con
un cable HDMI y compatible con entrada de I080p24
fotogramas).
Consulte "Resolution de Video HDMI" en
"CONFIGURACION DE FUNCIONES" en la p_gina 34.
Reproducir el contenido de la tarjeta de memoria SD
Puede reproducir los archivos JPEG guardados en tarjetas
de memorias SD.
Puede almacenar comentarios en im_genes, subtitulos u
otros extras para archivos BD-ROM Profile 1 ver.1.1 de una
tarjeta de memoria SD y reproducirlos con el
BD-vldeo.
©
D
i©,
Para especificar para que tipo de medio es cada funcion,
colocarnos los siguientes slmbolos al comienzo de cada
elernento descripto. :;!'
La descripci6n se refiere a BD-vldeo y _ ®
BD-RE(ver. 2.1) /BD-R grabado en formato
BDMV <
La descripci6n se a
refiere DVD-vldeo
La description se refiere a DVD-RW/-R O
grabado en modo VR ,:
_:"_'_'<_'_ DTS-cDLadescripcidn se refiere a CD de sonido /_
_4 La descripci6n se refiere a DVD, CD-RW/-R y
_ tarieta de memoria SD con archivos JPEG
Si usted no encuentra en el encabezado de la function
ninguno de los simbolos listados rnas arriba, la operation
es v_lida para todos los medios.
ES 7

12*3456* 7 8 9
La unidad tambi6n se puede encender pulsando estos botones.
10
1. Bandeja de disco
SitOe un disco al abrir la bandeja para discos.
2. Botbn AmOPEN /CLOSE _
POIselo para cerrar o abrir la bandeja para discos.
3. Pantalla
Consulte "Pantalla del Panel Delantero" en la pagina 11.
4. Bot6n •STOP
P01selo para detener la reproducci6n.
S. Bot6n I I PAUSE
Pulselo para pausar la reproducci6n.
6. Bot6n I_ PLAY _
POIselo para comenzar o reanudar la reproduccion.
7. Ranura para SD card
• Introduzca la tarjeta de rnemoria SD y reproduzca el
contenido de ella.
8. Ventana del sensor de infrarrojos
• Recibe las se_ales de su mando a distancia para que
pueda controlar la unidad desde la distancia.
9. Indicador POWER
•Este indicador se ilumina de color rojo cuando la
alirnentaci6n est_ encendida y se apaga cuando
est_ apagada.
lO.Bot6n 0 POWER
• POIselo para encender y apagar la unidad.
6
2345
1. Tomas COMPONENT VIDEO OUT
• Utilicelas para conectar a un televisor visualizacion
con un tomas de entrada de componente con un
cable de video cornponente RCA.
2. Toma HDMIOUT
• Utilicela para conectar a un televisor con puerto
compatible con HDMI con un cable HDMI.
3. Tomas AUDIO OUT
• Utilicela para conectar a un televisor, un receptor /
amplificador AV u otro dispositivo con un cable de
sonido RCA.
4. Toma DIGITAL OUT (COAXIAL)
• Utilicelo para conectar a un receptor /amplificador
de AV, descodiflcador Dolby Digital /DTS o a otro
dispositivo con una toma de entrada coaxial de
sonido digital.
5. Terminal AC IN
• Utillcela para conectar al CA con el cable de
alimentaci6n.
6. Toma VIDEO OUT
•Utilicela para conectar a un televisor, un receptor/
arnplificador AV u otro dispositivo con un cable de
video RCA.
8ES

V II5"rA QIII1""N""IIII+'''IIIR,,IIIIIII1+U""N CIIII0 N IIII
,m ,m m,r m,r
_USE
_/ '"28
al. _zt oi_c
SYLVANIA
[3 E] D [3 D
La unidad tambi_n se puede encender pulsando estos botones.
1. Bot6n SETUP
• POlselo para mostrar el menO de configuraci6n.
2. Bot6n POWER
• Pulselo para encender y apagar la unidad.
3. Botones num_ricos
• POlselos para introducir los numeros de titulo,
capitulo, pista o archivo.
•Pulselos para introducir valores en el campo de entrada.
4. Bot6n SEARCH
• Pulselo para mostrar el menu de busqueda.
5. Bot6n RED /GREEN /BLUE /YELLOW
•P01selo para seleccionar opciones en algunos de los
menOs de BD.
6. Bot6nTOP MENU
• P01selo para mostrar el men0 superior.
7. Botones de cursor •/•/_1 /I_
• P01selo para seleccionar elementos o configuraciones.
8. Bot6n SETUP
• Pulselo para mostrar el menÙ de configuraci6n.
9. Bot6n SUBTITLE
• P01selo para mostrar el men0 de subtitulos.
10.Bot6n REW
• Durante la reproducci6n, pOlselo para invertir
rapido la reproducci6n.
11. Bot6n PLAY I_ _
• P01selo para iniciar la reproducci6n o reanudar la
reproducci6n.
ES
/
12.Bot6n SKIP
• Durante la reproducci6n, p01selo una vez para volver
al principio del titulo, capitulo, pista o archivo actual.
• Durante la reproducci6n de JPEG, pulse para volver
al archivo anterior.
• Durante la reproducci6n, pulselo dos veces para
volver al titulo, capitulo o pista anterior.
13. Bot6n PAUSE I I
• Pulselo para pausar la reproducci6n. :;_
ddp _>• Cuando la reproducci6n est6 en mo ausa,
pulselo repetidamente para avanzar la _
reproduccion paso a paso. _:
14.Bot6n HDMI
• Pulselo para establecer el modo de salida de HDMI.
15. Bot6n OPEN/CLOSE _
• Pulselo para cerrar oabrir la bandeja para discos. _
@
16. Bot6n PIP
•Pulselo para encender /apagar la funci6n imagen c:
en imagen (pertinente solo a BD-video que admita ;;
la funci6n PIP). '_
17. Bot6n ANGLE _:
• P01selo para acceder a distintos angulos de c_mara ;:_
del disco.
• Pulselo para girar los archivos JPEG en sentido o
horario 90 grados. :_,
18. Bot6n REPEAT
• P01selo para conmutar entre distintos modo de
repeticion.
19.Bot6n A-B _ ®
• P01selo para reproducir una secci6n definida entre ;_.
el punto A y el B repetidamente. <
20.Bot6n CLEAR
•P01selo para borrar la informaci6n una vez que se ha
introducido, para borrar la programacion del marcador
o para cancelar la programacion del CD de sonido. _:
21.Bot6n POP MENU/MENU _
•P01selo para mostrar el men0 desplegable /del _
disco /liste de archivos.
• Pulselo para cambiar el "Original'y la'Playlist'en la
pantalla de TV.
22.Bot6n ENTER
•P01selo para confirmar o seleccionar elementos de
ment3.
23.Bot6n RETURN -,_
•P01selo para volver a la pantalla de men0 mostrada
anteriormente.
24. Bot6n AUDIO =!
•Pulselo para mostrar el men0 de sonido.
25. Bot6n FWD I_
•Durante la reproducci6n, pulselo para avanzar
rapido la reproduccion.
• Cuando la reproduccion est6 en pausa, pulselo para
avanzar lentamente la reproducci6n.
26. Bot6n STOP •
•Pulselo para detener la reproducci6n.
27.Bot6n SKIP
• Durante la reproducci6n, pulselo para saltar al
siguiente tltulo, capitulo, pista oarchivo.
28.Bot6n MODE
• Durante la reproducci6n, pulse para mostrar el
menu de ajuste de imagen.
• Durante la reproducci6n de JPEG, pulse para mostrar
menus para cambiar el efecto visual para conmutar
la imagen o cambiar el tamai_o de la imagen.
• En modo de detenci6n con BD insertado,
presionelo para mostrar un menu para establecer el
modo de audio BD.
• En modo parado con CD de sonido, o un disco con
archivos JPEG introducido, presione para mostrar
menus de programa y reproduccion aleatoria.
9

,,, I
VIII,STA QIIII:::::NIIII:::::III AIIII,,,,,,FUNCIIIIONAIIII.....
Instale las pilas (AAx2) haciendo coincidir la polaridad que
se indica dentro del compartimento de pilas del mando a
distancia.
1Abra la tapa. @
2Introduzca las pilas.
Tenga Io siguiente en cuenta cuando utilice el mando a
distancia:
•Asegurese de que no haya obstaculos entre el mando a
distancia y la ventana del sensor de infrarrojos de la
unidad.
• El funcionamiento a distancia puede set no liable si hay
una fuerte luz del sol o luz fluorescente dando en la
ventana del sensor de inffarrojos de la unidad.
• Los mandos a distancia de distintos dispositivos pueden
interferir los unos con los otros. Evite utilizar el mando a
distancia de otros aparatos situados cerca de la unidad.
• Cuando advierta una disminucion en el rango de
operacion del control remoto, reemplace las pilas.
• Los maximos tangos de operacion del equipo son los
siguientes.
-Linea de visi6n: aprox. 23 pies (7 m)
- Hacia cualquier costado respecto del centro:
aprox. 16 pies (5 m) dentro de los 30 °
-Pot encima: aprox. 16 pies (5 m) dentro de los 15°
-Pot debajo: aprox. 10 pies (3 m) dentro de los 30 °
Compruebe que hace coincidir las marcas + y - de las
pilas con las marcas indicadas en el compartimento
de las pilas.
3Cierre la tapa.
16 pies 23 pies 16 pies
(5 m) (7 m) (5 m)
10 es

... ... ... i
VIIIISTAQIIII:::::NIIII:::::III_AIIL,IIIIUNCIIIIONAIIII......
2
• El brillo de la pantalla puede ajustarse. Consulte "Panel Pantalla" en "CONFIGURACION DE FUNCIONES" en la
pagina 41.
1. Muestra el icono de estado de reproducci6n. Consulte la tabla a continuacibn.
2. Aparecen dlstlntos tipos de informaci6n del disco como el nt_mero de tltulo, tiempo transcurrido, modo
repeticibn, etc.
!!!!!!!!!!!!!!i!!_!!i!!_!_!i!!!!!!_!!i!!i!!i!!
_" r_ Reproducci6n en progreso
• r_ Modo parada
II B Modo pausa
[1_ -- Modo avance rapido
-- Modo rebobinado r_pido
IDII_ -- Modo avance lento
Aparece cuando la funci6n repetici6n
est& configurada
/
©
f>
©
g
@s
©
g_
i©
f! ©
i0
I_ 1 01=23
I_ CHAPTER
ILOAD
I_ Dolb_ D
El titulo se reproduce.
Indica el numero del titulo actual y el tiempo transcurrido.
El capitulo actual esta en modo repetir capitulo.
Cargando discos
El sonido Dolby Digital se reproduce,
Es 1 1

• Haga una de las siguientes conexiones, dependiendo de las capacidades de su aparato existente.
CONEXION DE SONIDO CONEXION DEVIDEO CONEXION DE
SONIDO/VIDEO
sonido est6ndar
I _ _ I_ RAu[
cable de sonido
RCA
!imagen est6ndar! mejor imagen
cable
de cable de
video video de
RCA o componente
:RCA
la mejor imagen
DVI IN
: cable
HDMI-DVI
: la mejor sonido/imagen
• ....................!
HDMI I_
cable
HDMI
AUDIO OUT VIDEO OUT COMPONENT HDMI OUT
VIDEO OUT
_1 Esta unidad es compatible con el sistema de barrido progresivo. La funcion le ofrece imagenes de mas alta calidad
que el sistema de salida tradicional. Para utilizar esta funci6n, se necesita un componente o una conexi6n HDMI.
Consulte "Resolucion de Video HDMI" o "Salida de components" en la pagina 34 para configurar la resolucion.
_2 No se requiere conexion de sonido analogico para esta conexion.
12 ES

CONIIIF""XIIIION,,,,,,,,,,,lllrs,,,,,,,,,,,
Pulse [HDMI] para cambiar la resolucion de la sei_al de video que se da como salida desde la HDMI OUT. La resolucion
de video cambia como sigue cada vez que se pulsa [HDMI].
Pantalla del Resoluci6n de Video HDMI
Panel Delantero
148' p I ,80P,og,es vo I÷
Pulse [HDMI]
I ?,?.OP I720 Progresivo I
Pulse [HDMI]
[10801 J 1080 Entrelazado J
Pulse [HDMI]
[ 1080P J 1080 Progresivo J
Pulse [HDMI]
I 1_8_P2'* I 1080 Progresivo de 24 fotogramas [_
Pulse [HDMI]
/
g3,
gg
[:?
Sistema de protecci6n de derechos de autor _:_
Para reproducir las ira&genes de video digital de un BD/DVD a trav6s de una conexi6n HDMI, es necesario que tanto :_,
la unidad como el televisor (o amplificador AV) soporten un sistema de protecci6n de derechos de autor Ilamado
HDCP (sistema de proteccion de contenidos digitales de alto ancho de banda). HDCP es una tecnologla de
protecci6n contra copias que consta de cifrado y autentificaci6n de datos del dispositivo AV conectado. Esta _ ¢_
unidad soporta HDCP. Por favor, lea las instrucciones de funcionamiento de su televisor (o amplificador de AV) para _ _
mayor information. _
i 0
Es 13

C::::i ...........01 IL,,× II01 II:::::5
Cuando utilice conexiones HDMI haga la configuraci6n de "Salida audio HDMI" del men0 "Audio" del men0 de
configuracion seg0n las especificaciones del dispositivo o monitor a conectar.
Dispositivo compatible con Dolby
Digital, Dolby Digital Plus, Dolby
TrueHD, DTS o DTS-HD descodificacion
Mult. HDMl(Normal) Se da como salida Dolby Digital, Dolby
Digital Plus, Dolby TrueHD, DTS o
corriente de bits DTS-HD se dan como
salida desde la toma HDMI OUT. Haga
las configuraciones del altavoz en el
amplificador AV conectado, etc.
Dispositivo compatible con 3 canales o Muir. HDMI (LPCM) Se dan como salida se_iales de sonido
rnas de entradas de sonido (no de multicanales desde la toma HDMI
compatible Dolby Digital, Dolby Digital OUT. Haga las configuraciones del
Plus, Dolby TrueHD, DTS o DTS-HD) altavoz con las opciones de
configuraci6n del altavoz que aparecen
despu6s de que seleccione "Mult.
HDMI(LPCM)". Consulte la pagina 36.
Conexion HDMI a un televisor y una Audio desactivado El sonido HDMI se silenciara y la
conexion de sonido digital (coaxial) a corriente de bits Dolby Digital/DTS o
un amplificador AV. LPCM se daran como salida desde
DIGITAL OUT dependiendo de la
configuration de "Salida Digital".
Consulte la pagina 37.
• Las seEales de sonido se dan como salida desde la toma HDMI OUT
Dolby Digital Dolby Digital _ Mult. LPCM
Dolby Digital Plus Dolby Digital Plus _ Mult. LPCM _2
Dolby TrueHD Dolby TrueHD _1 Mult. LPCM _3
DTS DTS_1 Mult. LPCM
DTS-HD DTS-HD _ Mult. LPCM _4
LPCM Mult. LPCM Mult. LPCM
Dolby Digital Dolby Digital Mult. LPCM
DTS DTS Mult. LPCM
LPCM Mult. LPCM Mult. LPCM
2ch LPCM 2ch LPCM
Mult. LPCM
_ Si la opci6n "Modo de audio BD" est& ajustada a "Salida audio comb." se dar& como salida multi LPCM. Consulte la
pagina 36.
_2 Da como salida seffales de sonido descodificadas desde una subcorriente independiente.
_ Da como salida seffales de sonido descodificadas desde una corriente Dolby Digital.
_4 Da como salida seffales de sonido descodificadas desde una corriente central de DTS.
• Si el dispositivo conectado no es compatible con HDMI BITSTREAM, el sonido ser& dado como salida multi LPCM o
LPCM con mezcla reducida a 2 canales dependiendo de la capacidad del dispositivo conectado incluso si selecciona
"Mult. HDMl(Normal)" en la opcibn "Salida audio HDMI". Consulte la pagina 36.
14 ES

CONIIIF""XIIIION,,,,,,,,,,,IIIF""S,,,,,,,,,,,
•Cuando cambie las conexiones, se deben apagar todos los dispositivos.
• Consulte con el manual que acompana a los dispositivos extemos para ver mas informaci6n.
15'
i@-
sistema est_reo /
AUDIO IN
R L
tomas de entrada de
sonido anal6gico
AUDIO OUT _
amplificador /receptor de AV
_1_ _ 0 COAXIAL
tomas de entrada coaxiales/
6pticas de sonido digital cable coaxial de sonido digital
DIGITAL OUT
(PCM/BITST_EAM)
DIGITAL OUT (COAXIAL)
Es 15

Iill Iill
CON III,Rill,ON 111,,,,,,,5
•Las seEales de sonido se dan come salida desde la toma DIGITAL OUT (COAXIAL)
Las se_ales de sonido que se dan actualmente come salida desde la toma HDMI OUT se dara come salida tambi6n
desde la toma DIGITAL OUT, exceptuando que la seffal Dolby Digital se dar_ como salida en vez de Dolby Digital Plus y
la se_al Dolby TrueHD, DTS se data como salida en vez de DTS-HD.
Cuando se selecciona "Audio desactivado" en la opcion "Salida audio HDMI", las se_ales de sonido que se dan como
salida desde la toma HDMI OUT se silenciar_ y las seffales de sonido que se dan como salida desde la toma DIGITAL
OUT cambia dependiendo de la opci6n "Salida Digital".
Para configurar la opcion "Salida Digital", seleccione "Audio desactivado" en la opcion "Salida audio HDMF.
Dolby Digital
Dolby Digital
Dolby Digital
DTS_
DTS_
LPCM Downmix de 2 canales_
Dolby Digital
DTS
LPCM Downmix de 2 canales
2ch LPCM
DTS
LPCM Downmix de 2 canales
LPCM Downmix de 2 canales
LPCM Downmix de 2 canales
LPCM Downmix de 2 canales
LPCM Downmix de 2 canales
LPCM Downmix de 2 canales
LPCM Downmix de 2 canales
LPCM Downmix de 2 canales
LPCM Downmix de 2 canales
2ch LPCM
LPCM Downmix de 2 canales
Para titulos con sonido secundario o interactivo, estos sonidos se dar_n como salida como Dolby Digital cuando se
cumplan todas las condiciones enumeradas a continuacion:
• Cuando la opcion "Modo de audio BD" esta ajustada a "Salida audio comb.".
• Cuando la opcion "Salida audio HDMI" esta conflgurada a "Audio desactivado".
• Cuando la opcion "Salida Digital" est_ conflgurada a "Bitstream".
Si los titulos BD no tienen sonido secundario ni interactivo, el sonido se dar_ como salida segun se muestra en la tabla.
• Esta tabla es pertinente solo cuando el HDMI no est_ conectado o "Audio desactivado" est_ seleccionado en la
opcion "Salida audio HDMI'.
Despu6s de que haya hecho todas las conexiones necesarias, conecte el cable de alimentacion a AC IN. Despu_s,
conecte el cable de alimentaci6n al enchufe de CA.
Introduzca las clavijas de manera segura. Las conexiones incompletas tienen come resultaclo la generacibn de
ruidos.
®'_I " SII® ._
-J Cable de ahmentaaon
CA 120 V, 60 Hz
16 ES

Antes de que comience a reproducir un disco, lea la siguiente informacion.
Este aparato es compatible con la reproduccion de los
siguientes discos /archivos.
Para reproducir un disco /archivo, asegurese de que
cumple los requisitos de c6digos de region y sistemas de
colores descritos a continuacion. Usted puede reproducir
discos que tengan los siguientes Iogotipos. No se
garantiza que otros tipos de discos se reproduzcan.
Discos Blu-ray
=BD=video (una/doble capa)
=BD=RE (versi6n 2.1)
(grabado en formato BDMV)
=BD=R (una/doble capa) 81u._yoisc
(grabado en formato BDMV)
(Los discos no cerrados
pueden no reproducirse.)
DVD-video
VID_O
DVD+RW (una sola capa)
DVD+R (sencilla/doble capa) _
DVD-RW
(sblo discos finalizados) _Rw
DVD-R
(s61o discos finalizados) R
CD-DA (CD de sonido) _,_,,,,__,_,_
CD=RW
CD-R .:::
Kodak Picture CD
DTS-CD
JPEG
Tarjeta de memoria SD
DVD, CD=RW/=R,
tarjeta de memorias SD
(incluyendo SDHC),
tarjeta miniSD,
tarjeta microSD
En este aparato no se podr_n reproducir los siguientes
discos.
CD=ROM •CD-I (disco compacto interactivo)
DVD=RAM • VSD (disco simple de video
audio en DVD • BD=RE (vet.1 /vet.3)
HD DVD • CD de video
disco sin finalizar • SVCD
BD=RE/=Rgrabado en formato BDAV
el DVD/CD/Tarjeta de memoria SD contiene archivos
MP3 y Windows Media _"Audio y DivX _'
• CD de super audio - Solo se podra escuchar el sonido
de la capa normal del CD. El sonido de la de capa de
alta densidad de un CD de super audio no podra set
escuchado.
• La reproducibilidad de los discos duales no est_
garantizada.
©
©
o
(8 MB = 2 GB) JPEG, comentario en
Tarjeta de memoria SDHC (4GB) im_genes, subtitulos u
otros extras del BD=ROM
Tarjeta miniSD (8 MB =2 GB) Profile 1 ver.l.1
Tarjeta microSD (8 MB =2 GB)
ES 17

............ ......_ II,, . ... J I ... ,i
IN III1,,,,,,OIIRM £C IIIIO N 5O BIR{,,ILA RILIIIIRO DUCCION
Los BD-video y DVD-vldeo de video estan grabados en
distintos sistemas de colores en todo el mundo. El
sistema de color mas com0n es el NTSC (que se utiliza
principalmente los Estados Unidos y Canad&).
Esta unidad utiliza el sistema de color NTSC, por Io tanto
el disco que reproduzca tiene que estar grabado en el
sistema NTSC. No puede reproducir discos que est_n
grabados en otros sistemas de colores.
Puede comprobar la informaci6n acerca del disco actual
pulsando [DISPLAY].
Para llamar a la visualization en pantalla, pulse [DISPLAY]
durante la reproducci6n. Cada vez que pulsa [DISPLAY],
cambia la inforrnaci6n. Dependiendo del soporte, la
informaci6n disponible varia.
Esta unidad se ha dise_ado para reproducir BD-v/deo
BD-vldeo con region A y DVD-video con
regi6n "1" o "ALL". Usted no puede
reproducir BD-vldeo o DVD-video que est6n
rnarcados para otras regiones. Busque los
slmbolos a la derecha de su BD-vldeo o DVD-video
DVD-vldeo. Si estos simbolos de regiones
no aparecen en su BD-video o DVD-video,
no puede reproducir el disco en esta unidad.
El n0mero o letra dentro del globo se refiere
a la regi6n del rnundo. Un BD-video L@J
o DVD-video etiquetado para una regi6n
especiflca solarnente puede reproducirse en
unidades que tengan el mismo codigo de region.
El contenido de BD /DVD esta generalmente dividido en
titulos. Los titulos pueden a su vez ser subdivididos
adicionalmente en capitulos.
BD
titulo 1 titulo 2
apagado -_ Informaci6n de titulo/capitulo
•,_ Informaci6n de titulo (tiempo transcurrido)
•,_ Informaci6n de titulo (tiempo restante)
•,_ Informacion de HDMI ,,_ apagado
apagado -_ Informaci6n de capitulo (tiempo transcurrido)
•,_ Informaci6n de capitulo (tiempo restante)
•,_ Informaci6n de titulo (tiempo transcurrido)
•,_ Informacion de titulo (tiempo restante)
-_ Indicador de velocidad de bits
-_ Informacion de HDMI ,,_ apagado
apagado -_ Informaci6n de pista (tiempo transcurrido) ,,_
Informaci6n de pista (tiempo restante)
-_ Informaci6n de disco* (tiempo transcurrido)
•,_ Informaci6n de disco* (tiempo restante)
•,_ Informaci6n de HDMI -_ apagado
(*no disponible durante la reproduccion de programa /
aleatoria)
apagado -_ Informaci6n de nombre de archivo
•,_ Informacion de archivo ,,_lnformaci6n de HDMI
•,_ apagado
Los CD de sonido est_n divididos en pistas.
CD de sonido
pista 1 pista 2 pista 3 pista 4 pista 5
I_*-!l_-II_*_ll*_J_l
Los discos de datos o tarjetas de memoria SD contienen
archivos JPEG que est_n divididos en carpetas y las
carpetas estan subdivididas en archivos.
JPEG
carpeta (gru I
• Para CD de sonido y JPEG, durante la reproducci6n de
programa o aleatoria, la indicaci6n se mostrar_ despu_s
de la informaci6n de pista /archivo.
18 Es

IIIINIII!""OII MAQIONSOIBII, IL,, IRILIIIIROII,,,)UCGII,ON
•|nformaci6n de capitulo
<lnformacion del titulo y el capitulo pare BD>
_N_mero del capitulo actual /N_mero total de
capitulos
_1 Tiempo transcurrido /Tiempo restante del
capitulo actual
_i1 Indica que hay disponibles im6genes de distintos
6ngulos de c6mara en la escena
_Estado actual de reproducci6n
N_mero del titulo actual
Conflguraclbn actual de repetici6n (Solamente
cuando est_ active la (onfiguraci6n de repetJci6n}
(C: Repetir capitulo, T: Repetir titulo,
AB: Repetir A-B)
• Informaci6n de titulo
N_mero del titulo actual /N_mero total de titulos
Tiempo transcurrido /Tiempo restante del titulo
actual
•Indicador de velocidad de bits
<Para modo VR DVD-RW/-R>
_Velocidad de bits (La cantidad de datos de imagen
que se est6 leyendo actualmente)
N_mero de capa ($61o para discos de dos capes)
(L0: Se reproduce la capa 0. LI: Se reproduce la
cape 1)
Tipo de titulo (ORG: original, PL: lista de
reproducci6n)
•Informaci6n de pista/archivo
/_ii_/N_mero de la pista (archivo) actual /':
i©
N_mero total de pistas (archivos) ::_
[}Tiempotranscurrido/Tiemporestantedelapista
actual
Indicacidn de reproduccidn de tarjeta de memoria
SD ;;_
]l:l C fig _>
.........on uracibn actual de repet c 6n (Solamente ©
cuando est6 activa la configuraci6n de repetici6n) _
(T: Repetir pista /Archivo, G: Repetir grupo, ,_:
A: Repetir todo)
•Informacibn del disco
_N_mero de la pista actual /N0mero total de pistas
1Tiempo transcurrido /Tiempo restante del disco
actual
•Informaci6n de nombre de archivo
1I; Icono de soporte y nombre de archivo
_: Archive JPEG
•Informacibn sobre HDMI
@
O
i;i!
_"] Formato de video HDMI
/_/ Resoluci6n de la imagen de sallda HDMI
_Formato de sonido HDMJ
/_l El nOmero m6xlmo de canales de sonido que se
pueden aceptar por parte del equipo conectado
19

Pulse [POWER].
Encienda el televisor y seleccione la
entrada apropiada en el televisor al
cual estli conectada la unidad.
Pulse [OPEN /CLOSE _] para abrir la
bandeja para discos,
Sit_e el disco en la bandeja para
discos con la etiqueta hacia arriba,
Pulse [OPEN /CLOSE _] para cerrar
la bandeja de discos.
6
7
Algunos discos pueden comenzar a reproducirse
autom_ticamente.
Pulse [PLAY I_] para comenzar la
reproduccibn,
Para muchos BD-vldeo y DVD-video, puede que
aparezca una pantalla de menus.
Eneste caso,utilice [A/V/_1/1_] para seleccionar
a la opcion deseaday despu6s pulse [ENTER].
Pulse [STOP •] una vez para detener
la reproduccibn temporalmente.
Consulte "Reproducci6n de Reanudaci6n" en la
pagina 21.
Para expulsar el disco:
Pulse [OPEN/CLOSEA ] para abrir la bandeja
de discos y despu6s saque el disco antes de
apagar la unidad.
20 Es

IRIIII:::::IPIROD" ' IB'i\SIIIiCA'
Muchos discos de BD-video y DVD-video contiene un
menu de tltulos (BD-video /DVD-video), menu de disco
(DVD-video) o menu desplegable {BD-video) que le gula
por las funciones disponibles del disco. El contenido de
los menus puede variar dependiendo de los discos.
Menu de titulo (BD-video /DVD-video)
7Pulse [TOP MENU]•
• Aparecer_ el menO de titulo.
2Utilice [A 11'/_1/1_] para seleccionar
una opcibn ydespu_s pulse [ENTER].
3Pulse [TOP MENU] para salir.
Menu de disco (DVD-vldeo)
7Pulse [POP MENU /MENU].
• Aparecer_ el menO de disco.
2Utilice [A IV/_1/1_] para seleccionar
una opci6n y despu_s pulse [ENTER].
3Pulse [POP MENU /MENU] para salir.
Menu desplegable (BD-video)
• Esta es una funci6n especial disponible en algunos BD.
• Cuando pulsa [POP MENU /MENU], aparece un men0
en pantalla mientras que el contenido sigue
reproduci6ndose.
1Durante la reproducci6n de BD-video,
pulse [POP MENU /MENU].
• Aparecer_ el menÙ emergente.
2Utilice [A IV/_1/1_] para seleccionar
una opci6n y despu_s pulse [ENTER].
3Pulse [POP MENU/MENU] para salir.
3UtUice [A/V] para seleccionar el titulo
deseado y despu_s pulse [ENTER].
@
;;y
1Durante la reproducci6n, pulse [PAUSE I I ].
• La reproducci6n se pausar_. |
2Pulse [PLAY I_] para volver a la
reproducci6n normal.
1Durante la reproducci6n, pulse [STOP Ill].
•El mensaje de reanudaci6n aparecer_ en la pantalla
del TV.
0
Cuando esta reproduciendo un disco DVD-RW/-R en modo
VR, puede elegir "Original" o "Playlist" si el disco contiene
una "Playlist".
7En el modo parado, pulse [POP UP MENU
/MENU] para Ilamar al men_ de DVD.
2Utilice [_1/1_] para seleccionar'Odginal'o
"Playlist'.
ES
Ej.)BD
2Pulse [PLAYII_].
• Sereanudarala reproducci6ndesde el momento en el
que se par6 por L_ltimavez.Paracancelarlareproducci6n
de reanudaci6ny comenzara mproducir el discodesde
el comienzo, pulse[STOP• ] de nuevoen modo parada.
21

1
2
IRIIII,,,,,IHIIHIRODUCC ONIBASIII,CA
Introduzca un CD de sonido o disco
con archivos JPEG.
• La lista de archivos aparece en la pantalla del
TV.
• Si la lista de archivos no aparece
autom&ticamente, pulse [POP MENU IMENU].
• Pulse [POP MENUIMENU] para salir y
reanudar la lista de archivos.
Se recomienda que los archivos a reproducir en esta
unidad se graben segt_n las slgulentes especificaciones:
<JPEG>
• Limite superior : 2.560 x 1.900 puntos
(el muestreo secundario es 4:4:4
5.120 x 3.840 puntos
(el muestreo secundario es hasta 4:2:2)
• Limiteinferior: 32x32puntos
• Maximo del tama_o de archivo de la imagen :
12MB
UtUice [4,/V] para seleccionar una
carpeta o archivo deseado y despu_s
pulse [ENTER].
Utilice [_1 /I_ ] para retroceder y
adelantar entre las jerarquias.
• Sipulsa [ENTER] sobre el archivo deseado,
comenzara la reproducci6n.
Ej.) JPEG
Io_ CD de sonido: Se mostrar6 "CD-DA'.
JPEG: Nombre actual de carpeta (El disco
o nombre de la tarjeta de memorla
SD se mostrar6 para la superior de
las jerarqulas).
Lista del n_mero de pista y el
tiempo.
Lista de los hombres de carpeta /
archivo en la carpeta/dlsco actual
Nt_mero de pista seleccionado y el
tlempo.
Nombre del archlvo/carpeta
seleccionado
IT/P6glna actual /Nt_mero total de p6glnas
_Indlcaci6n de p6gina anterior /slgulente
• Utilice [SKIP _ /_]para retroceder y adelantar
entre las paginas.
• Pulse [TOP MENU] para volver al primer elernento.
II_I1CD de sonido:
JPEG:
l_/J CD de sonido:
JPEG:
Iconos:
m: Carpeta
m:Pista de CD de sonido
_: Archivo JPEG
22 ES

IRL,,IHIIRODUCC ON B SIIIiCA
Esta unidad tambi6n puede ejecutar archivos JPEG
guardados en Kodak Picture CD. Puede disfrutar de
imagenes en el televisor reproduciendo el CD de fotos.
Esta unidad cumple con la versi6n 7.0 de Kodak Picture
CD. Para ver los detalles de Kodak Picture CD, p6ngase en
contacto con alguna tienda que ofrezca servicios de
revelado de Kodak Inc.
1Cuando se introduce un Kodak
Picture CD en esta unidad, aparece
autom6ticamente el menu Kodak
Picture CD en la pantalla del TV.
1. Ndmero de la pista actual /Ndmero total de pistas
2. Indlcaci6n de p6gina anterior /siguiente
•En el modo parado, pulse [POP MENU /MENU] para
Ilamar al menO de Kodak Picture CD.
2UtUice [• /•/_1 /•] para seleccionar
una pista deseada a reproducir y
despu_s pulse [PLAY I_ ] o [ENTER].
• Se reproducir_ una imagen desde la vista
seleccionada e ira a la siguiente en orden.
• Utilice [SKIP _ /II_IH] para retroceder y
adelantar entre las paginas.
Pulse [STOP •] para detener la
reproducci6n.
Puede reproducir los archivos JPEG de tarjetas de memorias ;:
SD. Con la tarjeta memoria SD, tambi_n puede disfrutar de _
los contenidos adicionales especiales de BD-ROM Profile 1
ver.1.1 que se pueden descargar desde internet. Puede
almacenar el contenido en una tarjeta de memoria SD a
trav6s de un ordenador y reproducirlo con BD-vldeo. Para _
mayor informaci6n acerca del contenido adicional especial, _>
por favor consulte el libro de instrucciones que viene con el _
disco. ;_
•Configurar el modo del soporte /
En modo parado, pulse [SETUP].
Utilice [ • /•] para seleccionar [] y
despu_s pulse [ENTER]. _?
y!
@
i©
Utilice [ • /•] para seleccionar [] y
despu_s pulse [ENTER].
UtUice [ •/•] para seleccionar la
opci6n "Selecci6n de medios".
23

........._ I
IRIL,,IH,IROIL UCGIION BASIIIIC
Pulse [ENTER] repetidamente para
seleccionar "Memoria SD".
1Introduzca una tarjeta de memoria
SD en la ranura para SD card con la
etiqueta hacia arriba.
Aparecer_ una listade archivos.
6
• Esto configura la unidad a modo"Memoria
SD". Para reproducir el contenido de cualquier
disco, salga del modo"Memoria SD"
seleccionando "Disco".
Pulse [SETUP] para saliro
Siga el paso 2 de "Reproducir un CD
de sonido y un Disco con Archivos
JPEG" en la p6gina 22.
1
2
En modo parado, empuje la tarjeta
de memoria SD y despu_s quite
lentamente su dedo°
Agarre la tarjeta y tire de ella hacia
fuera de la ranura para SD card.
24 Es

1Durante la reproducci6n, pulse [FWD IHI_]
repetidamente para avance r6pido.
Durante la reproduccion, pulse [REV _1_1]repetidamente
para rebobinado rapido.
Cadavez que pulse [FWD I_1_]o [REV_1_1],la velocidad
de reproduccion cambia.
2Pulse [PLAY I_] para volver a la
reproduccibn normal.
1En el modo pausa, pulse [PAUSE II]
repetidamente.
Cada vez que pulse [PAUSE II], la reproducci6n
avanzar_ paso a paso.
2Pulse [PLAY I1_]para volver a la
reproduccibn normal.
|||
1Durante la reproducci6n, pulse [PAUSE I I].
Despu_s, pulse [FWD IHI_].
Cada vez que pulse [FWD I,'_], la velocidad de
reproducci6n cambia.
2Pulse [PLAY I_] para volver a la
reproducci6n normal.
Que la funci6n repetir est6 disponible puede variar
dependiendo de los discos,
1Durante la reproduccibn, pulse [REPEAT]
repetidamente para seleccionar la _' _
funcidn repetir deseada. <
El capitulo actual se
reproducir_ repetidamente.
El titulo actual se
reproducir_ repetidamente.
El archivo o pista actual se
reproducir_ repetidamente.
La carpeta actual se
reproducir_ repetidamente.
Todas las pistas del
soporte se reproducir_n
repetidamente.
ES 25

IRIIII,,,,,IHIIHIRODUCC ONIIIESIHIIIII,,,,,C IIII......
Puede reproducir la parte especifica (entre el punto A y el B)
repetidamente.
1Durante la reproducci6n, pulse [A-B] en
el punto deseado de inicio A.
2Durante la reproducci6n, pulse [A-B] en
el punto deseado de final B.
En cuanto configure el punto B, la parte entre el
punto A y el punto B comenzar& a reproducirse
repetidamente.
• Para cancelar la repetici6n A-B, pulse [A-B] de nuevo.
Algunos BD-video tienen la funci6n PIP (imagen en imagen)
que le permite mostar la imagen secundaria en la imagen
primaria. Puede Ilamar a la imagen secundaria pulsando
[PIP] siempre que la escena contenga la imagen secundaria.
[mac
principal
Puede programar el disco para que se reproduzca en el
orden deseado pot usted.
1En modo parado, pulse [MODE].
• Aparecer_ la pantalla de programa.
2UtUice [A/V] para seleccionar una pista/
archivo y luego pulse [ENTER].
3
Ej.) CD de son[do
• Para archivos JPEG, utilice [A IV] para seleccionar
una carpeta y despu6s pulse [ENTER] primero y
despu_s utilice [A IV] para seleccionar un archivo y
despu6s pulse [ENTER].
• Pulse [CLEAR] para borrar el ultimo archivo del programa.
• Utilice [A /V] para seleccionar "Borra Todo" de la
parte inferior de la lista para borrar todas las pistas /
archivos del programa.
• La pista /archivo programado se muestra en la
pantalla de la derecha.
• Si no se puede mostrar el programa entero en la
pantalla del TV, aparece "V"o "A".
• Utilice [_1 /I_] para ir atras o adelante entre las
jerarquJas de carpetas.
• Si se han configurado ocho o m_s pistas /archivos
en un programa, utilice [SKIP _ /I_ ] para ver
todas las pistas/archivos.
Pulse [PLAY I_ ] para comenzar la
reproduccibn del programa.
• Comenzara la reproducci6n de programa.
secundaria
1Durante la reproduccibn, pulse [PIP].
Aparecera la informaci6n de PIP.
2Utilice [A IV] para seleccionar video
secundaria que desea mostrar.
• El video secundario se mostrara el audio secundario
se enviara a la salida.
3Pusle [RETURN _._] o [PIP] para borrar la
informaci6n de PIP.
26 Es

IRIIII,,,,,IHIIHIRODUCC ONIIII,,,,,SIHIIIII,,,,,GIII IIII......
Estafunci6n desordena el orden de reproducci6n de las
pistas /archivos.
1En modo parado, pulse [MODEl dos
veces0
• Aparecer_ la pantalla aleatoria.
Ej.) CD de sonido
Algunos BD-video y DVD-video contienen escenas que se 6
han rodado simultaneamente desde distintos angulos. ::>
Puede cambiar el _ngulo de c_mara cuando aparece/°_
en pantalla del TV.
7Pulse [ANGLE] durante la reproduccibn, _
• Se mostrara el angulo seleccionado en la barra de _>
visualizaci6n de la parte superior de la pantalla del
2UtUice [A/V] para seleccionar su 6ngulo
deseado. /
2Pulse [PLAY I_ ] para comenzar la
reproduccibn aleatoria.
@
0
Es 27

7Durante la reproducci6n, pulse [SKIP I_H]
para pasar a la pista siguiente. Pulselo
repetidamente para saltarse pistas
siguientes. Pulse [SKIP _] para regresar
al inicio de la pista actual. Pdlselo
repetidamente para ira las pistas
anteriores.
•ParaarchivosJPEG, pulse [SKIP _ ]para volveral
archivoanterior.
•B_squeda de marcador
Estafuncion le permite asignarun punto especffico de
un titulo o pista paravolver aIlamarm_starde.
1Durante la reproducci6n, pulse [SEARCH]
repetidamente hasta que aparezca el
menu de configuracibn de marcadores.
2Utilice [_1/11_] para seleccionar un
numero marcador (de I a 9).
Utilizando [SEARCH], usted puede seleccionar las
siguientes opciones de busqueda.
QJm
Busqueda de Titulo /
Capitulo
Busqueda de Pista
BOsqueda de Hora
BOsqueda de Marcado_
3
4
5
Cuando el disco alcance el punto que
desea configurar como marcador, pulse
[ENTER].
• Eltitulo o pista y el tiempo de reproduccion
transcurrido apareceran en la pantalla del TV.
Pulse [SEARCH] o [RETURN _] para salir.
Para volver despu_s al marcador, Ilame a
la configuraci6n del marcador pulsando
[SEARCH] repetidamente durante la
reproducci6n o en modo parada y utUice
[_1/11_] para elegir un marcador deseado
y despu_s pulse [ENTER].
1Durante la reproducci6n, pulse [SEARCH]
repetidamente hasta que aparezca el
modo de b_squeda que desee•
2Introduzca el capitulo, titulo, pista,
archivo, el nt_mero de archivo o la hora
deseados a buscar utilizando [los
botones num_ricos].
• Comenzar_ la b0squeda de capitulo, titulo, pista u
hora.
• Pulse [CLEAR] para borrar la entrada incorrecta.
28 ES

Usted puede seleccionar el formato de imagen y sonido como prefiera dependiendo del contenido del disco que est_ reproduciendo.
Ciertos discos BD y DVD pueden tener subtitulos en uno
o m_s idiomas. Para los discos comerciales, los idiomas
disponibles de subtitulos pueden encontrarse en el
estuche del disco. Siga los pasos a continuaci6n para
cambiar el idioma del subtitulo durante la reproduccion.
1Durante la reproducci6n, pulse
[SUBTITLE] repetidamente para mostrar
"Principal", "Secundario" o "Tipo de
subtitulos'.
"Principal": Configura el subtitulo de la
imagen principal.
"Secundario': Configura el subtitulo de la
imagen secundaria.
"Tipo de subtitulos":
Configura el estilo de subtitulo.
2UtUice [A/V] para seleccionar el
subtitulo o estilo que desee.
• Utilice [_1/I_] para alternar entre la option actual
de subtitulo y "Apdo.".
3Pulse [SUBTITLE] repetidamente para salir.
1Durante la reproducci6n, pulse [SUBTITLE].
2UtUice [A/V] para seleccionar el
subtitulo deseado.
J •
• Utilice [_1/I_] para alternar entre la opcion actual
de subtltulo y "Apdo.".
3Pulse [SUBTITLE] para salir.
Ciertos discos BD y DVD contienen mOItiples corrientes
de sonido. Con frecuencia son distintos idiomas de
sonido o formatos de sonido. Para BD, el sonido
disponible depende de la opcion "Modo de audio BD".
Consulte la pagina 36 para mayor informacidn.
1Durante la reproduccidn, pulse [AUDIO.q] _>
repetidamente para mostrar "Principal" _
o"Secundario. _
"Principal": Configura el sonido de la imagen principal.
ES
2
3
1
2
3
"Secundario': Configura el sonido de la imagen secundaria.
UtUice [A /V] para seleccionar el canal
de corriente de sonido que desee. |
• Para "Secundario", utilice [_I II_] para alternar
entre la opci6n actual de sonido y "Apdo.".
Pulse [AUDIO N] repetidamente para salir.
Durante la reproducci6n, pulse [AUDIO .q].
UtUice [A IV] para seleccionar el canal
de corriente de sonido que desee.
@
Ej.) DVD-video
• Para los CD de sonido, usted puede seleccionar las
siguientes opciones.
Est_reo :Tanto el canal derecho como el izquierdo :_
estan activos (est_reo)
"L-oh": Solo est_ activo el canal izquierdo
"R-oh": Solo est_ activo el canal derecho
Pulse [AUDIO,I] para salir.
29

AJUS IIII:::::SIIII,,,,,SIH,IIIEC IIII,,,,,ES
Hay dos maneras de configurar la opci6n "Modo de
audio BD": puede dar como salida el sonido secundario e
interactivo acompaiiado del sonido primario o solo el
sonido primario. Dependiendo de la configuracion del
modo, la salida de Dolby Digital, Dolby Digital Plus,
Dolby TrueHD, DTSo DTS-HDcambia entre multi-LPCM y
corriente de bits.
7En modo parado con un BD introducido,
pulse [MODE].
2Utilice [A/V] para seleccionar la
configuraci6n deseada.
"Salida audio comb.";
Siesta disponible, el sonido secundario e interactivo del
BD se dar_ igual que el sonido principal.
• El sonido secundario es el sonido de la imagen
secundaria (comentarios del director, etc.) y el sonido
interactivo es el sonido de la aplicaci6n interactiva
(sonidos de clic de los botones, etc.).
"Salida de audio HD':
Se data como salida el sonido principal. Configure este
rnodo para dar corno salida sonido Dolby Digital, Dolby
Digital Plus, Dolby TrueHD, DTS oDTS-HD de BD por la
conexi6n HDMI.
3Pulse [RETURN -._] para salir.
• Tambi_n puede establecer "Modo de audio BD"
desde el men0 de configuracion. Consulte la p_gina
36.
Usted puede ajustar la calidad de la imagen.
7Durante la reproducci6n, pulse [MODE],
2UtUice [A/V] para seleccionar su opci6n
deseada y despu_s utilice [<1/I_] para
ajustar la opci6n,
• Nivel de negro
Usted puede ajustar la opci6n de nivel de negro para
hacer que las partes negras de las im_genes tan brillantes
como prefiera. Puede seleccionar "Enc." o "Apdo.".
"Eric.": Hace que las partes oscuras sean m_s brillantes.
"Apdo.": Muestra la imagen original seg0n se grabo.
•Reducci6n de ruido
Reduce el ruido de la imagen de reproducci6n.
"1": Reduce el ruido de la imagen de reproducci6n.
"2": Ejecuta la reduccion de ruido de 3D que detecta y
eliminar el ruido comparando cada fotograma de
imagen.
"3": Ejecuta tanto la reducci6n de ruido de MPEG como
la reduccion de ruido de 3D.
3Pulse [RETURN -._] repetidamente para
salir,
30 Es

En el menu configuracion, usted puede cambiar la _:_
configuracion de sonido, imagen, idioma, etc. No puede _:
cambiar la configuracion durante la reproduccion. _:
El menO" _ R_pido" contiene opciones de configuraci6n
extraidas del menu " _ Persnaliz." que pueden utilizarse
con frecuencia.
En modo parado, pulse [SETUP]. 9
Utilice [A /V] para seleccionar _y:,_
despu_s pulse [ENTER].
Utilice [A /V] para seleccionar las _
opciones de configuraci6n que desee. _:
Siga el procedimiento a continuaci6n
dependiendo de las opciones de
configuraci6n.
5
A) Si no aparece "I_ "a la derecha de las
opciones de configuraci6n cuando
seleccione las opciones:
Pulse [ENTER] repetidamente para cambiar
las opciones.
B) Si aparece "I_ "a la derecha de las
opciones de configuraci6n cuando
seleccione las opciones:
1) Pulse [ENTER].
2) Utilice [J, /V] para seleccionar opciones
y despu_s pulse [ENTER].
• Utilice [_1] o [RETURN -.,_] para volver a
la pantalla anterior.
Pulse [SETUP] para salir.
Es 31

CON II1!IIIQUIIRAC_ONM,,,,III1,,,,,IIh""UNC_ON III1:::::S
El menu" _/, Persnaliz." contiene todas las opciones de
conflguraci6n.
1
2
3
4
En modo parado, pulse [SETUP].
Utilice [A/V] para seleccionar _/, y
despu_s pulse [ENTER].
UtUice [A/V] para seleccionar la
categoria deseada y despu_s pulse
[ENTER]•
_£ : Idioma
_ :Video
i.}* : Audio
: Paterno
:_ : Otros
• Parael menu" Paterno', siga el
procedimiento de la pagina 40.
UtUice [A/V] para seleccionar las
opciones de configuraci6n que
desee,
• Lasopciones de configuraci6n que no est@_
disponibles con la situation actual de esta
unidad se rnuestran en gris y no puede
seleccionarlas.
Siga el procedimiento a continuaci6n
dependiendo de las opciones de
configuraci6n.
6
A) Si no apatece "I_ "a la derecha de las
opciones de configuracibn cuando
seleccione las opciones:
Pulse [ENTER] repetidamente para cambiar
las opciones.
B) Si aparece "I_ "a la derecha de las
opciones de configuraci6n cuando
seleccione las opciones:
1) Pulse [ENTER].
2) Utilice [A /V] para seleccionar opciones
y despu_s pulse [ENTER].
• Utilice [_1] o [RETURN _,J] para volver a
la pantalla anterior.
Pulse [SETUP] para salir•
32 ES

• ,,_ Idioma
• Para ver c6mo seleccionar los elementos y opciones, consulte" _ Persnaliz." en la pagina 32.
Audio
Conflgura el idioma de sonido.
Subtitulo
Conflgura el idioma de subtitulo.
Menu de Disco
Conflgura el idioma del men0 del
disco o del menu ernergente.
Menu Reproduc.
Conflgurar idioma para la
visualizacion en pantalla.
Original _ /Ingles /Franc_s /Espa_ol /Alem_n /Italiano /Sueco /Dan6s /
Ruso /Chino /Japon6s /Coreano /Dan_s /Fin6s /Noruego /Island,s /
Hungaro /Rumano /Turco /Griego /Irland6s /Portugu6s /Polaco /Checo /
Eslovaco /Bulgaro /Otto
Apdo.* /Ingles /Franc@ /Espai_ol /Alem_n /Italiano /Sueco /Dan_s /
Ruso /Chino /Japon6s /Coreano /Dan_s /Fin6s /Noruego /Island,s /
Hungaro /Rumano /Turco /Griego /Irland6s /Portugu6s /Polaco /Checo /
Eslovaco /Bulgaro /Otto
Ingles * /Franc6s /Espai_ol /Alem_n /Italiano /Sueco /Dan6s /Ruso /
Chino /Japon6s /Coreano /Dan6s /Fin_s /Noruego /Island,s /Hungaro /
Rumano /Turco /Griego /Irland6s /Portugu_s /Polaco /Checo /Eslovaco /
Bulgaro /Otto
English * /Franqais /Espai_ol
• Las configuraciones con (_) son los predeterminados.
• El menÙ "R_pido" consta de menus de configuracion que se utilizan con frecuencia y se acompa_]an de la marca z_.
• Si selecciona "Otto", introduzca el codigo de numero de 4 dlgitos del idioma deseado (consulte la lista de
"CODIGO DE IDIOMA" de la pagina 45). Solamente se pueden seleccionar los idiomas soportados pot los discos.
iT
i@
ii=
i(
i!,
O,
i©
ii)
i,+
i©
i #
Es 33

•; Video
• Para ver c6mo seleccionar los elementos y opciones, consulte" _;, Persnaliz." en la pagina 32.
Aspecto de TV
Conflgura el tamaffo de imagen
segOn la proporci6n de aspecto
del televisor conectado.
Resoluci6n de Video HDMI
Conflgurar la resoluci6n de video
HDMI.
HDMI Deep Color
Conflgura si dar la salida de
irnagen de la HDMI OUT con Deep
Color o no.
Salida de components
Conflgura la resoluci6n de video a
salida de cornponente.
16:9 Wide_:
Seleccione esto cuando est_ conectado a una television de pantalla ancha.
Los discos grabados en formato de pantalla ancha se reproducen en toda
la pantalla del TV.
4:3 Pan & Scan:
Seleccione esto para reproducir discos grabados en formato 4:3 pantalla
ancha en el modo panoMmico y barrido (con los lados de la imagen
cortados). Los discos en los que la panor_mica y barrido no est_
especiflcados se muestran en el modo letter box.
4:3 Letter Box:
Seleccione esto para reproducir el disco grabado en formato 4:3 en el
modo letter box. (con tiras negras arriba y abajo).
16:9 ling. Compr.
AI reproducir im_genes 4:3, la imagen se muestra en el centro de la
pantalla 16:9 con proporcion de aspecto 4:3.
Auto_:
La resoluci6n de video HDMI se selecciona automaticamente dependiendo
del dispositivo HDMI conectado.
480p
720p
1080i
1080p
1080p24:
Da una reproduccion de pelicula natural y de alta calidad de material
fllmado de 24 fotogramas. El televisor conectado tiene que set compatible
con una entrada de fotogramas 1080p24.
Auto_:
La imagen de la toma HDMI OUT se dar_ como salida con Deep Color al
televisor conctado a trav6s de HDMI que admite Deep Color.
Apdo.:
La imagen de la toma HDMI OUT se dar_ como salida sin Deep Color.
480i _
480p
720p
1080i
34 Es

CON II1!IIIQUIIRAC£ONIDE [111111n _E_I _ I_l _IIIIII[ _IIIIIII (
Modo Progresivo
Conflgura el modo progresivo
6ptimo para el material de imagen
U_bU_ Id LUIIIcl NIJIVII gU I y Idb
tomas COMPONENT VIDEO OUT.
Modo Vista fija
Ajustar la resolution de la irnagen
y la calidad en modo fijo.
Auto_:
El modo progresivo detecta material filmico de 24 fotogramas (peliculas) y
selecciona automaticamente el modo progresivo apropiado.
Video:
Apropiado para reproducir discos de material de video (programas de TV o
animaciones).
Auto_:
Selecciona autom_ticamente la mejor configuration de resoluci6n
("Cuadro" o "lmagen') basada en las caracterlsticas de datos de las
im_genes.
Imagen:
Estabiliza las imageries, aunque la calidad de la imagen puede vulgarizarse
debido a la cantidad limitada de datos. Seleccione "lmagen" cuando las
im_genes sigan siendo inestables incluso si est_ seleccionado "Auto".
Cuadro:
Muestra imagenes relativamente sin movimiento en resoluci6n mas alta.
"Cuadro" mejora la calidad de imagen aunque pueden desestabilizar las
im_genes debido a las salidas alterna de dos datos de campos.
iT
ii=
ii:
i?
ii,
i©,
i]5
i©
if>
i,+
i©
i @
• Las configuraciones con (*) son los predeterminados.
•El menO"R_pido"consta de menOsdeconfiguraci6nquese utilizan confrecuenciayseacompa_andela marca _.
• Si configura "Resolution de Video HDMI" a "1080p24", cuando el contenido del BD no es compatible con
fotograma 1080p24, el fotograma 1080p60 se data como salida.
• Una pantalla del televisor de imagen individual se llama "Cuadro", que consta de dos im&genes separadas
Ilamadas "lmagen". Algunas imagenes pueden estar borrosas en la configuration automatica de la opci6n "Modo
Vista fija" debido a sus caracteristicas de datos.
• Si la imagen no se da como salida correctamente al televisor debido a la configuraci6n de "Resoluci6n de Video
HDMI" o "Salida de components", pulse y mantenga [ I_ PLAY] en el panel delantero durante m&s de 5
segundos. Ambas configuraciones se cambias automaticamente a su predeterminado.
• Siesta conectado un cable HDMI, para la salida de componente de resolution de video, solo puede seleccionar
una resolution de video que se d6 como salida actualmente desde la tomaHDMI OUT o "480i".
• Si la resolution de video de la salida de componente y la resolucion de video HDMI no coincide, la resolution de
video de la salida de componente cambiar& a "480i'. Las tomas COMPONENT VIDEO OUT no puede dar como
salida ninguna seffal dependiendo del material del disco.
• Si reproduce DVD-video protegido contra copias, se dar& como salida una seffal de 480p desde las tomas
COMPONENT VIDEO OUT, cuando la opci6n "Salida de components" est6 configurada a "720p" o "1080i".
Es 35

• _,_Audio
• Para ver c6mo seleccionar los elementos y opciones, consulte" _,, Persnaliz." en la pagina 32.
36
Salida audio comb._:
Modo de audio BD Da como salida el sonido secundario e interactivo con sonido principal si
Para BD, seleccione si dar corno salida est_ disponible.
el sonido secundario e interactivo Salida de audio HD:
con el sonido principal si est_ Da como salida s61o el sonido principal. Configure este modo para dar
disponible o s61o el sonido principal, corno salida sonido Dolby Digital, Dolby Digital Plus, Dolby TrueHD, DTS o
Consulte'Configurar el Modo de BD DTS-HD de BD por la conexi6n HDMI.
de Sonido" en la p_gina 30.
Salida audio HDMI
Configura el formato de sonido de
la salida de sonido desde la torna
HDMI OUT
Sub Muestreo
Configure la salida de sonido
digital al reproducir BD o DVD
grabados en LPCM.
DRC
Configura si comprimir el rango de
volumen de sonido (control de
rango dinamico) cuando se
reproduce sonido Dolby Digital,
Dolby Digital Plus o Dolby TrueHD.
Virtual Surround
Conflgura para crear un efecto
envolvente en un sistema que
tenga conectados 2 altavoces.
Mult. HDMl(Normal)_:
Se dan como salida sefiales de sonido multicanal desde la toma HDMI OUT
con una corriente de datos o LPCM.
Mult. HDMI(LPCM):
Se dan como salida sefiales de sonido multicanal desde la toma HDMI OUT
con LPCM.
• Consulte las paginas 37-39 para ver las opciones de configuraci6n.
Audio desactivado:
Silencia la serial de sonido HDMI y conflgura el formato de serial de la toma
DIGITAL OUT.
• Consulte "Configuraci6n de salida digital" en la p_gina 37 para ver las
opciones de configuraci6n.
Enc._:
Las sefiales LPCM se convierten a 48 kHz para su salida.
• Configure a "Enc.." cuando utilice conexiones digitales a un amplificador
AV que no sea compatible con frecuencias de muestreo de 96 kHz.
Apdo.:
Para BD o DVD grabados en LPCM sin protecci6n de derechos de autor, se
dan como salida sefiales de sonido de 2 canales de hasta 192 kHz como
sefiales LPCM sin conversion.
Auto_:
Cuando los discos grabados en forrnato Dolby TrueHD estan siendo
reproducidos, esta unidad detecta la conflguraci6n DRC del disco y configura
la opci6n "DRC" de esta unidad a "Enc." o "Apdo." autom_ticamente.
Apdo.
Enc.
Apdo._:
El envolvente virtual est_ ajustado a apagado.
I:
Un efecto envolvente natural en un sistema que tenga conectados 2 altavoces.
2:
Un efecto envolvente mas potente en un sistema que tenga conectados 2
altavoces que "I ".
• Las configuraciones con (_) son los predeterminados.
• El menu "R_pido" consta de menus de configuracion que se utilizan con frecuencia y se acompafian de la marca z_ .
• En las siguientes circunstancias, "Mult. HDMl(Normal)" y "Mult. HDMI(LPCM)" no est_n disponibles.
- El cable HDMI no est_ conectado a una toma HDMI OUT.
- El televisor conectado est_ apagado.
- El televisor conectado no es compatible con la salida de sonido.
• Configure la opci6n "Virtual Surround" a "Apdo." o baje el volumen si se distorsiona el sonido.
• Para el envolvente virtual, la serial de sonido siempre sera LPCM de 2 canales. ES

•Configuraci6n de salida digital
Cuando se selecciona "Audio desactivado" en la in "Salida audio HDMI", la serial de sonido HDMI se silenciara y las
sef_alesde sonido que se da como salida desde la toma DIGITALOUT carnbia dependiendo de la opci6n "Salida
Digital".
Bitstream_:
Cuando se reproducen discos grabados en Dolby Digital, Dolby Digital Plus, Dolby TrueHD, DTS o
DTS-HD, se dan como salida la corriente central correspondiente (Dolby Digital o DTS).
LPCM:
La serial LPCM se data como salida desde la toma DIGITAL OUT.
• Esta configuracion no es efectiva cuando se da como la salida de sonido de HDMI.
•Configuraci6n de altavoces
Esta unidad le 3ermite disfrutar de sonido envolvente multicanal como el envolvente 7.1 /5.1 c.
Altavoz delantero
(izquierdo)
Altavoz envolvente (izquierdo)
Envolvente trasero (izq uierdo)_
Altavoz central
Altavoz delantero
(derecho)
Realzador de graves
Altavoz envolvente (derecho)
_ Envolvente trasero (derecho)
ej.) disef_o basico de sistema envolvente 7.1c
Para aprovechar Io m_ximo de esta funcion, configure sus altavoces correctamente consultando la tabla a
continuacion.
Las opciones de configuracion de los altavoces est_n disponibles en las siguientes ubicaciones:
<Configuraci6n de los altavoces para la salida de serial de sonido desde la toma de HDMI OUT>
(Disponible cuando tiene el cable HDMI conectado a la toma HDMI OUT)
R_pido-'_ Salida audio HDMI "_ Mult. HDMI(LPCM)
Persnaliz."_ Audio "_ Salida audio HDMI "_ Mult. HDMI(LPCM)
iT
i0
ii=
i?
i!,
O,
i©
if>
i,+
i©
i @
Es 37

C6mo navegar por la configuraci6n de "Mult. HDMI(LPCM)".
7Utilice [A /V] para seleccionar las opciones de configuraci6n que desee y despu_s pulse
[ENTER]•
2UtUice [A/V] para seleccionar las opciones de configuraci6n•
•Pulse [RETURN 4.J] para volver a la pantalla anterior.
3Utilice [_1/1_] para seleccionar las opciones deseadas. (Excepto para "Tono Prueba',
"Pot Defecto" y las opciones de ajuste de "TamaEo'.)
Para las opciones de ajuste de "Tamai_o":
Presione [ENTER] para seleccionar las opciones deseadas.
Para "Tono Prueba":
Utillce [<1/1_] para selecclonar "Apdo.', "Manual" o "Auto" y despu_s pulse [ENTER].
• Se data como salida el tono de prueba. Si selecciona "Manual", utilice [A IV] para seleccionar el altavoz deseado
y despu6s utilice [<1/1_] para ajustar el volumen. Si selecciona "Auto" utilice [<1/1_] para ajustar el volumen
del altavoz que da como salida el tono de prueba.
• Si desea parar el tono de prueba, pulse [RETURN _'J].
Para "Pot Defecto":
Pulse [ENTER] para restablecer a Io predeterminado.
4Pulse [SETUP] para salir.
Tamai_o
Seleccione la
configuraci6n de
altavoces deseada a
configurar, Despu@s
cambie la conflguraci6n
correctamente
consultando las
descripciones.
Frontal
Central
Sub graves
Surround
Envoi. trasero
Por Defecto
Ancha*
Estrecha
Ancha *
Estrecha
Enc.
Ancha _
Estrecha
Ancha _
Estrecha
Ancha:
Para altavoces grandes con potentes
_opacidades de reproducci6n de baja
frecuencia.
Estrecha:
Para altavoces pequeP_os que no dan un
potente sonido de bajos.
El valor de "Sub graves" no se puede
cambiar. Si el dispositivo conectado no es
compatible con el realzador de graves, el
parametro "Sub graves" se mostrara
atenuado en color gris.
Seleccione "Por Defecto" y despu_s pulse
[ENTER] para reconfigurar la
configuraci6n de "Tama6o" al
predeterrninado de fabrica.
38 ES

Nivel Canales
Prueba o configura el
volumen de cada
altavoz.
Tiempo de Retardo
Este es un par_metro
para optimizar la
temporizaci6n en la que
el sonido se da como
salida de los altavoces y
segun la distancia a la
posici6n de escucha.
Tono Prueba:
"Tono Prueba" es el
tono de prueba que
se puede dar como
salida desde los
altavoces para que
pueda ajustar el
volumen de cada
altavoz.
Frontal Lch
Central
Sub graves
Frontal Rch
Surround Rch
Envoi. trasero Rch
Envoi. trasero Lch
Surround Lch
Por Defecto
Apdo.*
Manual
Auto
0dBa-12dB
(0 dB*)
0dBa-12dB
(0 dB*)
0dBa-12dB
(0 dB*)
0dBa-12dB
(0 dB*)
0dBa-12dB
(0 dB*)
0dBa-12dB
(0 dB*)
0dBa-12dB
(0 dB*)
0dBa-12dB
(0 dB*)
Distancia Pies*
Metros
Frontal
Central
Surround
Envoi. trasero
Por Defecto
Oft a 6Oft(12ft*)
(0ma 18m(3,6m*))
Oft a 6Oft(12ft*)
(0ma 18m(3,6m*))
Oft a 6Oft(lOft*)
(0ma 18m(3,0m*))
Oft a 6Oft(lOft*)
(0ma 18m(3,0m*))
Seleccione "Apdo." para desactivar "Tono
Prueba'.
5eleccione "Manual", y despu_s presione
[ENTER] para configurar manualmente el
volumen del altavoz deseado.
Seleccione "Auto", y despu_s presione
[ENTER] para dar como salida
automaticamente el tono de prueba
desde cada altavoz.
Si ha seleccionado "Manual" en "Tono
Prueba', seleccione el altavoz deseado a
configurar y ajuste el volumen del altavoz
seleccionado.
Si ha seleccionado "Auto" en '%ono Prueba',
el tono de pruebas se dara como salida
autom&ticamente en orden. Ajuste el
volumen del altavoz que d_ como salida el
tono de prueba.
Seleccione "Por Defecto" y despu_s pulse
[ENTER] para reconfigurar la
configuracion de "Nivel Canales" al
predeterminado de fabrica.
Configure el sistema de medida deseado.
Este sistema de medida ser& utilizado
para la configuraci6n del "Tiempo de
Retardo'. Pulse [ENTER] para conmutar la
configuracion.
Seleccione la distancia desde el punto de
escucha al altavoz para obtener el tiempo
de retardo ideal.
Seleccione "Por Defecto" y despu_s pulse
[ENTER] para reconfigurar la
configuracion de "Tiempo de Retardo" al
predeterminado de fabrica.
• Las configuraciones con (*) son los predeterminados.
• Para la "Tamaf_o", la configuracion del tamaffo de cada altavoz se puede ajustar autom&ticamente
correspondi_ndose con cada configuracion. (p.ej. si "Frontal" se establece en "Estrecha', no puede establecer
"Central", "Surround" ni "Envoi. trasero" en "Ancha".)
• Para "Tiempo de Retardo', la diferencia entre el valor de cada altavoz no puede superar los 15 ft (4,5 m).
iT
ii=
ii:
i?
ii,
i©,
i]5
i©
if>
i,+
i©
i @
ES 39

• Paterno
Elcontrol de calificaciones le permite establecer un limite que evite que sus hijos vean materiales inapropiados. La
reproducci6n se detendr_ si la calificaci6n excede los niveles que usted ha configurado y requerir_ que introduzca una
contrasefla antes de que el disco se reproduzca.
1Utilice [A IV] para seleccionar ±_ ydespu_s pulse [ENTER].
2Utilice [los botones num_ricos] para introducir su contraseEa de 4 digitos.
Para el uso pot primera vez: Utilice [los botones num_ricos] e introduzca una contrase[_a de 4 dlgitos nueva
(excepto 4737) y despu_s pulse [ENTER].
Ese m]mero se utilizar_ como contrase[_a desde la segunda vez. Anote su contrasefla por si la olvida.
•Si ha olvidado la contrasefla, introduzca [4], [7], [3], [7]. La contrasefla se borrar_ y el nivel de califlcaci6n se
configurar_ a "Todo".
• Mientras introduce la contrase[_a, pulse [CLEAR] para borrar el n0mero y volver al introducir la contrasefla.
3Pasea A- C
A) Nivel dasiflc. BD
1) Utillce[A /V]paraseleccionar"Nivelclaslfic. BD" ydespu_spreslone EENTER].
2) Utillce[A /V]paraseleccionarsuopci6ndeseadaydespu_spulse[ENTER].
"Todo": Para liberar la limitaci6n.
"Ajuste de edad': Para liberar la limitaci6n.
• Despu_s de seleccionar "Ajuste de edad", utilice [los botones num_ri¢os] para introducir la edad de desde 0
a 254. (por ejemplo, para una edad de 15 a6os, pulse [0],[1 ],[S])
3) Pulse [SETUP] para salt.
B) Nivel clasific. DVD
1) Utilice [A /V ] para seleccionar "Nivel claslfic. DVD" y despu_s pulse [ENTER].
2) Utilice[A /V]paraseleccionarelnivelquedeseeydespu_spulse[ENTER].
3) Pulse [SETUP] para sallr.
EXPLICACIONES DE LA CALIFICACION
• Todo : El control paterno est_ inactivo, se pueden reproducir todos los discos.
• 8 [Adulto] : Software de DVD de cualquier calificaci6n (adulto/general/nff_os) pueden reproducirse.
• 7 [NC-17] : No se permite a nadie de menos de 17 aflos.
• 6 [R] : Restringido, quienes tengan menos de diecisiete a_os necesitan ir acompa_ados de
un padre o tutor.
• 5 [PGR] : Se recomienda orientacion paterna.
• 4 [PG-13] : No apropiado para nif_os de menos de 13 a_os.
• 3 [PG] : Se sugiere orientacion paterna.
• 2 [G] : P0blico general.
• 1 [Tolerado] :Apropiado para nif_os.
C) Camb. Contras.
1) Utilice[A Iv]paraseleccionar'Camb. Contras.'ydespu_spulse[ENTER].
2) Introduzca una contrasel_a de cuatro dlgitos nueva y despu_s pulse [ENTER].
3) Pulse [SETUP] para sallr.
40 ES

•Otros
• Para ver c6mo seleccionar los elementos y opciones, consulte Persnaliz.' en la pagina 32.
Icono De Angulo
Auto Apagato
Panel Pantalla
Conflgura el brillo de la pantalla
del panel delantero.
Vista Mimiat.
Conflgura el tiempo de
visualizaci6n de la reproducci6n
de foto flja (en formato JPEG)
Selecci6n de medios
Seleccione el soporte a reproducir.
Enc._:
El icono angulo aparece en la pantalla del TV cuando se reproduce una
escena con varios angulos.
Apdo.:
El icono de _ngulo desaparece de la pantalla del TV.
ERC._:
Si se deja la unidad sin actividad durante m_s de 30 minutos, la unidad se
apaga autom_ticamente.
Apdo.:
Configura el apagado automatico.
Auto_:
La pantalla del panel delantero se oscurece durante la reproduccion.
Brillo:
La pantalla del panel delantero se oscurece.
Oscuro:
La pantalla del panel delantero se oscurece.
5sec _
10sec
Disco_:
Seleccione esto cuando reproduzca un disco.
Memoria SD:
Seleccione esto cuando reproduzca una tarjeta de memoria SD.
iT
i0
i£
i(
i£,
O,
i©
if>
i,+
i©
i @
Es 41

"" I I
CON IIIIIIQ U IIRAC_ONM,,,,IIII,,,,,I""U NCIIIIONIIII:::::S
Inicializarla configuraci6n o tarjeta dememoriaSD.
Pulse [SETUP] en modo parado,
Utilice [A /V] para seleccionar _y
despu_s pulse [ENTER].
UtUice [A IV] para seleccionar una
opci6n deseada y despu_s pulse
[ENTER].
"No": Sale sin inicializaci6n.
"lnstalaci6n':
Reconfigura el menu de configuracion
al predeterminado de f_brica.
"Dispositivo memoria":
Inicializa la tarjeta de memoria SD.
Despu_s de que aparezca el mensaje
de confirmaci6n, utilice [A IV] para
seleccionar "Yes" y despu_s pulse
[ENTER].
Pulse [ENTER]. (S61o para
"lnstalaci6n" y"Dispositivo
memoria')
Pulse [SETUP] para salir,
42 ES

Si la unidad no funciona correctamente cuando se hace funcionar segt3n este manual, compruebe la unidad
consultando la siguiente lista de cornprobaci6n.
IFffi'i
Sin alimentaci6n - Compruebesielcabledealimentaci6nestaconectadocorrectamente.
- Desenchufe el cable de alimentaci6n una vez y espere durante cinco de
segundos y despu6s vuelva a enchufarlo de nuevo.
Sin sonido o imagen - Compruebe si el televisor conectado esta encendido.
- Verifique si las conexiones est_n hechas de rnanera segura y correcta.
- Compruebe si el televisor conectado u otro equipo soportan HDCP. (Esta unidad
no puede dar como salida sei_al de video a rnenos que el otro equipo soporte
HDCP).
- Compruebe si el formato de salida de esta unidad (FORMATO HDMI) coincide
con el formato de entrada soportado del otro equipo conectado.
- Establezca el par_metro "Resoluci6n deVideo HDMI" en un valor distinto a
"Auto" o "I 080p24".
Imagen distorsionada - A veces puede que aparezca una pequei_a distorsi6n de la imagen. No es un
fallo de funcionarniento.
- Conecte esta unidad directarnente al TV. Si los cables de sonido /video RCA se
conectan a un grabador de video, las im_genes puede que se distorsionen
debido al sistema de protecci6n contra copias.
- Aseg0rese de que el disco sea compatible con esta unidad.Imagen completamente
distorsionada o imagen en blanco
y negro con BD/DVD
Sin sonido o sonido - Ajuste el volumen.
distorsionado - Compruebe que los altavoces estan conectados correctamente.
- Compruebe la conexiones HDMI.
- Compruebe las opciones del menÙ ",._/Audio".
La imagen se congela - Compruebe el disco para vet si tiene huellas /rayas y llmpielo con un pai_o
moment_neamente durante la suave desde el centro hasta el extremo.
reproduccion Limpie el disco.
No se puede reproducir el disco Limpie el disco.
Asegurese de que la etiqueta del disco est_ hacia arriba.
Compruebe si el disco es defectuoso probando otto disco.
Cancele el control de calificacion o cambie el nivel de control.
Introduzca un disco correcto que se pueda reproducir en esta unidad.
La tarjeta de memoria SD no se Elformato de la tarjeta no coincide con esta unidad o la tarjeta no es
puede leer. compatible.
No vuelve a la pantalla de inicio - Restablezca esta unidad apagandola y despu6s encendi6ndola de nuevo.
cuando se quita el disco
La unidad no responde al mando - Dirija el mando a distancia directamente a la ventana del sensor de infrarrojos
a distancia del panel delantero.
- Reduzca la distancia hasta la ventana del sensor de infrarrojos.
- Sustituya las pilas del mando a distancia.
- Vuelva a introducir las pilas con su polaridades (signos +/-) segun se indican.
Los botones no funcionan o la - Para restaurar completamente la unidad, desenchufe el cable de alimentacion
unidad deja de responder del enchufe de CA durante 5 a 10 segundos.
La unidad no responde a algunas - Las operaciones pueden no permitirse por parte del disco. Consulte las
instrucciones de funcionamiento instrucciones del disco.
durante la reproduccion
La unidad no puede leer los BD /- zCondensaci6n? (Deje la unidad reposar durante 1 o 2 horas)
DVD /CD - Est_ intentando reproducir un disco distinto de los que tienen las marcas de la
p_gina 17.
- Limpie la suciedad del disco o cambielo.
El angulo no cambia - El angulo no puede cambiarse para BD/DVD que no contengan multiples
angulos. En algunos casos, los multiples _ngulos estan grabados solamente para
escenas especificas.
La reproduccion no comienza - Compruebe las opciones del menÙ " _ Paterno'.
cuando se selecciona el tltulo
Se ha olvidado la contrase_a - Introduzca la contrasei_a predeterminada "4737"y despu6s su contrase_a
para este nivel de calificacion olvidada ser_ borrada.
/
Es 43

Audio ana169ico
Una se_al el_ctrica que representa directamente al
sonido. Compare esto con el audio digital que puede set
tambi_n una se_al el_ctrica, pero es una representaci6n
indirecta del sonido. Consulte tambi6n "Audio digital".
Dolby TrueHD
Dolby TrueHD es una tecnologla de codificaci6n sin
p_rdidas desarrollada para discos 6pticos de la siguiente
generaci6n. Blu-ray Disc admite salida de sonido
envolvente multicanal 7.1.
Frecuencia de muestreo
La frecuencia a la cual se toman muestras del sonido para
convertirlo en informaci6n de audio digital. El numero de
muestras tomadas pot segundo se define como
frecuencia de muestreo. Cuanto mayor la frecuencia,
mejor sera la calidad de sonido.
Audio digital
Una representacion indirecta del sonido mediante n0meros.
Durante la grabaci6n, el sonido es medido a intervalos
discretos (44.100 veces por segundo para un CD de sonido)
por un convertidor de anal6gico a digital, el cual genera un
flujo de n0meros. Durante la reproduccion, un convertidor
de digital a analogico genera una se[_al analogica en base a
dichos numeros. Consulte tambi6n "Frecuencia de
muestreo" y "Audio analogico".
BD-Java
Con algunos BD que soportan aplicaciones Java, usted
puede disfrutar de funciones interactivas como juegos o
menus interactivos.
Capitulo
Asi como un libro esta dividido en varios capitulos, un
titulo de un BD-video o DVD-vldeo esta habitualmente
dividido en capitulos. Consulte tambi6n "Titulo".
C6digo de regi6n
Las regiones asocian discos y reproductores con
especificas regiones del mundo. Este aparato reproducira
unicamente discos que tengan c6digos compatibles de
recji6n. Usted puede encontrar el c6digo de regi6n de su
equipo mirando en el panel trasero. Algunos discos son
compatibles con mas de una regi6n (o todas las regiones).
Disco Blu-ray (BD)
Los discos Blu-ray son discos de video optico de siguiente
generaci6n que son capaces de almacenar muchos mas
datos que los DVD convencionales. La gran capacidad
hace posible beneficiarse de funciones como videos de
alta definici6n, sonido envolvente de multicanal, menus
interactivos, etc.
DTS (Digital Theater System):
DTS is a multi channel surround sound system. By connecting
to DTS decoder, you can enjoy movie dynamic and realistic
sound like movie theater. DTS surround sound technologies
were developed by DTS,Inc.
DTS-HD
DTS-HD es una tecnologia de codificacion sin p_rdidas
desarrollada como extensi6n del formato de acustica
coherente DTS original. Blu-ray Disc admite salida de
sonido envolvente multicanal 7.1.
Dolby Digital
Elsistema de compresi6n de sonido digital desarrollado por
Dolby Laboratories. Le ofrecesonido est6reo (2 canales)o
audio multicanal.
HDMI (high-definition multimedia interface)
Interfaz digital entre una fuente de audio y una de video.
Puede transmitir la se[_al del componente de video, audio
y control con una conexi6n por cable.
JPEG (joint photographic experts group)
JPEG es un m_todo de compresi6n de archivos de fotos
fijas. Puede copiar archivos JPEG a CD-RW/-R, DVD desde
o tarjeta de memoria SD un ordenador o reproducir los
archivos de esta unidad.
PCM (pulse code modulation)
PCM es un formato que convierte el audio en datos
digitales. Se utiliza principalmente para CD de sonido y
DAT. Esta unidad puede reproducir sonidos Io m_s
realista posible al convertir incluso audio Dolby Digital y
MPEG comprimido a PCM.
Pista
Un CD de sonido utiliza pistas para dividir el contenido de
un disco. El equivalente en BD-vldeo o DVD-video se
denomina capitulo. Ver tambi_n "Capitulo".
Relacibn de aspecto
La relacion entre el ancho y la altura de una pantalla de
TV. Los televisores convencionales tienen una relaci6n de
aspecto de 4:3 (en otras palabras, la pantalla del televisor
es casi cuadrada); los modelos de pantalla amplia son de
16:9 (la pantalla del televisor es casi el doble de ancha
respecto de su altura).
Salida de video componente
Cada seffal de luminancia (Y) y componente (P_/CB, PR/CR)
es independiente en su salida, de tal manera que usted
pueda disfrutar del color de la imagen tal cual es.
Asimismo, y debido a razones de compatibilidad con el
video progresivo (525p/480p), usted puede experimentar
imagenes de mayor densidad que con el modo
entrelazado (525i/480i).
Titulo
Una colecci6n de capitulos en un BD-vldeo o DVD-video.
Consulte tambi_n "Capitulo".
Dolby Digital Plus
Dolby Digital Plus es la tecnologla de compresi6n de
audio digital de la siguiente generaci6n desarrollada
como una extensi6n a Dolby Digital. Blu-ray Disc admite
salida de sonido envolvente multicanal 7.1.
44 es

A-B F-H
abkhazian 4748 faro_s 5261
afar 4747 fidjiano 5256
afrikaans 4752 finland6s [FIN] 5255
aimara 4771 franc_s [FRE] 5264
alban_s 6563 frisio 5271
alem_n [GER] 5051 galls 4971
amarico 4759 gallego 5358
arabe 4764 georgiano 5747
armenio 5471 griego [GRE] 5158
assam6s 4765 groenland_s 5758
azerbaiyano 4772 guarani 5360
bashkir 4847 gujarati 5367
bengali; 4860 hausa 5447
bangladesi hebreo 5569
bhutani 5072 hindi 5455
bielorruso 4851 holand_s [DUT] 6058
bihari 4854 hungaro [HUN] 5467
birmano 5971 I-K
bislama 4855 indonesio 5560
breton 4864 ingles [ENG] 5160
bulgaro [BULl 4853 interlingua 5547
C-E interlingue 5551
cachemir 5765 inupiak 5557
camboyano 5759 irland_s [IRI] 5347
catal&n 4947 island6s [ICE] 5565
checo [CZE] 4965 italiano [ITA] 5566
chino [CHI] 7254 japon6s [JPN] 5647
coreano [KOR] 5761 javan6s 5669
corso 4961 kannada 5760
croata 5464 kazakh 5757
dan6s [DAN] 5047 kinyarwanda 6469
escoc6s ga_lico 5350 kirguis 5771
eslovaco [SLO] 6557 kirundi 6460
esloveno 6558 kurdo 5767
espaffol [SPA] 5165 L-N
esperanto 5161 laosiano 5861
estonio 5166 latin 5847
latvio; let6n 5868 sindhi 6550 i_
lingala 5860 siswat 6565
lituano 5866 somali 6561
macedonio 5957 sueco [SWE] 6568
malayalam 5958 sundan_s 6567
malayo 5965 swahili 6569
malgache 5953 T
malt6s 5966 tagalog 6658
maorl 5955 tailand6s 6654
marati 5964 tajik 6653
moldavo 5961 tamil 6647
mongol 5960 t&rtaro 6666
nauru 6047 telugu 6651 :,;_
nepal,s 6051 tibetano 4861 _
noruego [NOR] 6061 tigrinya 6655 _
O-R tonga 6661 _"
occitano 6149 tsonga 6665 _;
oriya 6164 turco [TUR] 6664
oromo(af&n) 6159 turkmen 6657
panjabi 6247 twi 6669 _
pashtu; pushto 6265 U-Z
persa 5247 ucranio 6757
polaco [POL] 6258 urdu 6764 _,_ _
portugu6s [POR] 6266 uzbeco 6772 _
quichua 6367 vasco 5167 /
raeto-romance 6459 vietnamita 6855
rumano [RUM] 6461 volapuk 6861
ruso [RUS] 6467 wolof 6961
S xhosa 7054
samoano 6559 yiddish 5655
sangho 6553 yoruba 7161
sanscrito 6547 zulu 7267
senegal6s 6555
serbio 6564
serbio-croata 6554
sesotho 6566
setswana 6660
shona 6560
45

i[_1:t11:tI_ll:f
Sistema de sefiales Color NTSC
Requisitos de alimentaci6n CA 120 V, 60 Hz
Consumo de alimentaci6n 30 W (Espera: 0,8 W)
Dimensiones (anchura x altura x
profundidad) 17,2 x 2,8 x 13,9 pulgadas (435 x 70 x 351 mm)
Peso 9,1 libras (4,1 kg)
Temperatura de funcionamiento 41°F (5°C) a 104°F (40°C)
Humedad de funcionamiento Menos del 80%/sin condensacion)
!I:illlllli_ll:f
Salid audio (Anal6gico)
Toma RCA x 2 L/R: 2 VRMS (impedancia de salida: mas de IkD)
Salida de video
Toma RCA x 1 1 Vp-p (75n)
Sahda de video de componente
Toma RCA x 3 Y: 1 Vp-p (75_) PB/CB: 700 mVp-p (75_) PR/CR:700 mVp-p (75_)
Salid audio (Digital)
Toma RCA x 1 500 mVp-p (75_)
Salida HDMI
Toma HDMIx 1 Video: 480p, 720p, 1080i, 1080p, 1080p24/Sonido
46 es

SYLVANIA
GARANT|A LIMITADA
FUNAI CORP. reparara este producto, de forma gratuita en Estados Unidos, en caso de defecto de materiales o
fabricaci6n, del modo siguiente:
DURACION:
PIEZAS: FUNAI CORP.suministrar_ piezas de repuesto de las piezas defectuosas de forma gratuita durante
un (1) afro desde la fecha de compra minorista original. Determinadas piezas est_n excluidas de
esta garantla.
MANO DE OBRA: FUNAI CORE suministrar_ la mano de obra de forma gratuita durante un periodo de noventa (90)
dlas desde la fecha de compra minorista original.
LIMITES Y EXCLUSIONES:
ESTA GARANT[A SE EXTIENDE SOLAMENTE AL COMPRADOR MINORISTA ORIGINAL. UN RECIBO DE COMPRA U
OTRA PRUEBA DE COMPRA MINORISTA ORIGINAL SERA EXIGIDA JUNTO CON EL PRODUCTO PARA OBTENER
SERVlCIO BAJO ESTA GARANT[A.
Esta garantia no se extendera a ninguna otra persona o beneficiario.
Esta garantia quedara invalidada y sin efecto en caso de alteracion, sustituci6n, borrado o p6rdida de los numeros
de serie del producto o si se intent6 una reparacion pot parte de un centro de servicio no autorizado. Esta
garantia limitada no se aplica a ningun producto no comprado y utilizado en Estados Unidos.
Estagarant[a solamente cubre los fallos debidos a defectos de material o fabricaci6n que se produzcan durante su uso normal.
No cubre daffos producidos durante el transporte, ni daffos ocasionados pot reparaciones, alteraciones o productos no
suministrados por FUNAI CORE,o daffos resultantes de accidente, uso indebido, abuso, trato indebido, aplicaci6n indebida,
alteraci6n, instalaci6n defectuosa, mantenimiento inadecuado, uso comercial (pot ejemplo, el uso de este producto en hoteles,
establecimientos de alquiler u oflcinas)o daffos resultantes de incendio, inundaci6n, tormenta el_ctrica o cat_strofes naturales.
ESTAGARANT[A NO CUBRELOS MATERIALES DE EMBALAJE, NINGUN TIPO DE ACCESORIOS(EXCEPTOEL MANDO A
DISTANCIA), NINGUNA PIEZA DE ADORNO, PIEZAS DE MONTAJE COMPLETAS, MODELOS DE DEMOSTRACION O DE TALLER.
FUNAI CORE Y SUS REPRESENTANTES O AGENTES NO SERAN EN NINGON CASO CONSIDERADOS RESPONSABLES
DE DAiXlOS GENERALES, INDIRECTOS O CONSECUENCIALES, RESULTANTES DE O PROVOCADOS POR EL USO O
LA IMPOSIBILIDAD DE USO DE ESTE PRODUCTO. ESTA GARANT[A SUSTITUYE A CUALQUIER OTRA GARANT[A,
EXPRESA O IMPL[CITA, Y CUALQUIER OTRA RESPONSABILIDAD CIVIL POR PARTE DE FUNAI, CUALQUIER OTRA
GARANTfA QUE INCLUYA LA GARANT[A DE COMERCIABILIDAD E IDONEIDAD PARA UN FIN CONCRETO, QUEDAN
POR LA PRESENTE EXCLUIDAS POR DE FUNAI Y SUS REPRESENTANTES EN ESTADOS UNIDOS.
TODAS LAS INSPECCIONES Y REPARACIONES BAJO GARANTfA DEBEN SER EFECTUADAS POR UN CENTRO DE
SERVlCIO AUTORIZADO.
ESTA GARANT[A ESVALIDA EXCLUSIVAMENTE CUANDO EL APARATO SEA ENTREGADO A UN CENTRO DE SERVlCIO
AUTORIZADO.
EL PRODUCTO DEBE IR ACOMPAi_ADO POR UNA COPIA DEL RECIBO DE COMPRA MINORISTA ORIGINAL. SI NO SE
ADJUNTA PRUEBA DE COMPRA, LA GARANT[A NO SE APLICARA Y SECOBRARP, N LOS COSTES DE LA REPARACION.
IMPORTANTE:
ESTA GARANT[A LIMITADA LE OTORGA DERECHOS LEGALES ESPEC[FICOS. ES POSIBLE QUE SEA USTED
BENEFICIARIO DE OTROS DERECHOS QUE VAR[EN DE UN ESTADO A OTRO. SI, EN CUALQUIER MOMENTO DURANTE
EL PERIODO DE GARANT[A, NO PUEDE USTED OBTENER SATISFACCION CON RESPECTO A LA REPARACION DE ESTE
PRODUCTO, LE ROGAMOS QUE SE PONGA EN CONTACTO CON FUNAI CORE
ATENCION:
FUNAI CORR SE RESERVAEL DERECHO DE MODIFICAR CUALQUIER DISENO DE ESTF
PRODUCTO SIN PREVlO AVlSO.
DECLARACION DE GARANTIA CON RESPECTO A REPARACIONES NO AUTORIZADAS:
Para obtener servicio de garantla, debe usted aceptar el producto, o hacer entrega del producto con portes
pagados, ya sea en su ernbalaje original o en un embalaje que proporcione el rnismo grado de protecci6n, a
cualquier CENTRO DE SERVICIO AUTORIZADO. FUNAI CORP. no efectuara reernbolso por ningOn servicio realizado
por proveedores de servicio no autorizados sin autorizaci6n previa por escrito.
Para Iocalizar su CENTRO DE SERVICIO AUTORIZADO m_s pr6ximo o para solicitudes generales
de servicio, puede ponerse en contacto con nosotros en:
FUNAI CORPORATION
Servicio de atenci6n al cliente
Teh 1-800-968-3429
http://www.sylvania-ce.com
19900 Van Ness Avenue_Torrance, CA 90501
Imprimido en China E5H26UD
1VMN25655 *****

F
Blu-ray Disques Lecteurs
Guide d'utilisation
NB5OISL9
/
/
/
/
/
(,_2008 Funai Electric Co., Ltd.

1. Connexions
I_teignez tous les appareils puis
debranchez-les des sources
d'slimentstionelectriquesvant
d'effectuerlesconnexions.
Effectuer I'une des connexions suivantes selon les capacit_s de votre appareil existant.
CONNEXION AUDIO CONNEXION VIDI_O
iMi
RCA
cable audio
Cable de composant
:vid(_o RCA
ou
AUDIO OUT VIDEO OUT
IAuD'°/v'D °C°NNEx'°NIII
........J
COMPONENT
VIDEO OUT
cable
HDMFDVI
ou
HDMIOUT
kt vj
Appuyezsur [HDMI]pourchangerlar_solutiondusignalvid_osortant 480p _ 720p _ 1080J _ 1080p _ 1080p24
de HDMI OUT.La r_solu_ion de la video change comme suit chaque fob # /
que ['on appuie sur [HDMI].
1
Une lois que vous aurez fair routes les connexions n?_cessaires, branchez le cordon d'alimentation dans AC IN. Branchez ensuite le
cordon d'alimentation dans la prise c.a.
Ins_rez fermement les fiches. Des connexions real faites peuvent produire du bruit.
c.a. 120V, 60Hz
2. Lecture
'ii' iiiiii ppu,ez,u,[POWE,,.
s_lectionnez I'entr_e appropri_e du TV pour
connecter I'appareil.
OPEN /CLOSE A] pour ouvrir le tiroir _disque.
le disque sur le tiroir 6disque, I'_tiquette tourn_e
vers le haut.
guide du tiroir.
;;_:ppuyez sur [OPEN /CLOSE Am] pour fermer le tiroir bdisque,
La lecture peut commencer automatiquement sur certains disques.
lecture,
Pour plusieurs disque BD_vid6o et DVD_vid6o, un 6cran de menu peut apparaitre.
Dans ce cas, utilisez [A /•/_1 /I_] pour s6lectionner I'item voulu, puis appuyez sur [ENTER].
Pour mettre la lecture en pause :
Appuyez pour [PAUSE II].
Pour reprendre la lecture
normale :
Appuyez pour [PLAY I_].
Pour arr_ter la lecture :
Appuyez pour [STOP II].
Pour _jecter le disque :
Appuyez sur [OPEN /CLOSE __.] pour ouvrir le
tiroir & disque, puis retirez le disque avant de
fermer [e [ecteur.
Impr_m_ en Ch_e £5H26UD
FR lVMN25656 /** *** FR

Les num_ros de module et de s_rie de cet appareil se trouvent sur le boftier.
Vous devriez prendre ces nurn_ros en note car ils pourraient vous _tre utiles. N° module
N° s_rie.:
MISE EN GARDE: POUR Rt_DUIRELESRISQUESDE FEU OU DE CHOCS ELECTRIQUES,N'EXPOSEZ
PAS CETAPPAREIL A LA PLUIEOU A L'HUMIDIT¢.
CAUTION
ATTENTION: AFIN DE REDUIRE LE RISQUE D'EL.EC-
TROCUTION, NE PAS ENLEVER LE COUVERCLE (ARRIERE)
DU BOITIER DE CET APPAREIL - IL NE CONTENT PAS
DE PIECES REPARABLES PAR L'UTILISTEUR. CONFER LA
REPARATION ,&,UN TECHNICIEN QUALIFIE.
Lesymbole de mise en garde setrouve a I'arri6re ou sous le boitier.
Le symbole repr6sentant un 6clair avec une pointe de
fl6che dans un triangle signale la pr6sence de"tension
dangereuse" non isol6 a I'interieur de I'appareil qui peut
pr_senter un risque de choc 61ectrique.
Le symbole repr_sentant un point d'exclamation dans
un triangle signale la presence d'instructions importan-
tes au sujet de I'utilisation et de I'entretien a I'interieur
de la documentation qui accompagne I'appareil.
Mises en Garde Importantes
1, LISEZ LE MODE D'EMPLOI Toutes les directives de s4curit4 #t dr
utilisation doivent 4ire lues avant d'utiliser l'a ppareil.
Z_ CONSERVEZLEMODE D'EMPLOI - Lesdirectives de s4curit6 et d'
utilisation devraient 4tre conserv_es pour consultation future.
3, TENEZCOMPTEDESMISESENGARDE Touteslesmisesengarde
qui setrouvent sur l'appareil et darts le guide d'titilisation doivent 4ire
respec[_es.
4, SUIVEZLESINSTRUCTIONS Totiteslesinstructionsd'utilisation
doivent 4ire suivies.
S, NETTOYAGE D4branchezi'appareilavantdenettoyer.Nepasutiliserde
produits nettoyants liquides oti en a6rosols. Utilisez un linge humide.
EXCEPTION:Un appareil con_u pour une utilisation continue ot qui, pour
quelque raison qtie cesoit, telle la perte d'un code d'atitodsation pour un
convertisseur CATV,ne doit pas4tre debranch& Cependant ilpeut faire I'
objet d'une exception dans lecasdu neltoyage telqtie p_vu dans lasection 5.
6, ACCESSOIRES N'utilisezpasdesaccessoi_squinesontpas
recommand_s pal le fabricant poisqu'ils pouvent pr6senter des dangers.
7, EADETHDMIDITE N'utilisezpascetappareiilorsqu'ilyadel_au_
proximit4. Parexem pi_, pres d'une baignoire, d'un bac de lavag÷, d'un
lavabo, d'une ctive _ lessive, d'une piscine et autres endroits semblables.
8, ACCESSOIRES Neplacezpasc_tappareilsurtinchari_nonstable,
un support, un tripled ou unetable. Eappareil peut tomber, causer des
blessuresgraves et subir desdommages consid6rables.
Utilisez seulement ave< un chariot, un support, un tr_pied
ou tine table recomm_nde par le fabrican[ oti vendu avec
l_ppareii.Toute installationde l_ppa_il stir un support
doit 4t_ eff_ctti_ selon lesdirectives du fabdcant et en
utilisant tin dispositif recommand4 par ce dernie_ Un
appareil ins_li_ surun chariot doit 4t_ d4place avec
precaution. Des arr_tsbru_qties, tire pouss_e excessive
ou une surfaceaccident_e peuvent faire renverser l'appareil et le chariot.
_ VENTILATION - Lesouvertures_i'arrier_ ousur ledessotis du boltier sont
n4cessair_s_ laventilation de l_ppar_il ot en assurentle bon fonctionnemenL
Eilesaident _ p_venir lesurchauffomentot ne doivent pas4ire obstru_s oti
_co tiverte_S.Lesotiverttil_s ne doiven[ jamai__ obstrti_s en d_os_nt ir
appa_il surun lit, un canap4,un tapis,une moqu_t_ ou tou_ aut_ _urface
_mblable. L'appareil ne doit jamais4t_ plat4 surou presd'une souse
de chaletirou d'un radiat_u_Lrappareil _ doit pas4t_ install4dans une
biblioth4que ou tout autre meuble _moins que laventilation soit adequa_ et
que lesdi_ctives du fabricant soient _spect_s.
I_, SODRCESD'AUMENTATION Cetappareildoit seulement fonctionner
avec la source d'alimentation 41ectrique indiqu6e sur l_iqtiette. Sivous
n_tes pos certain dti type de source d'alimentation _lectdque dont vous
disposez, contactez le d_taiilant oti la compagnie _lectriqtie qui _urnit
l'alimentation. Sivous d_sirez b_ancher l'appareil sur tine pile ou une
autre _ource d'alimentation _lectrique, consultez le guide d'utilisation.
11, MISEALATERREETPOLAMSATION Cetappareilestmtinid'unefiche
d_limentation _cou_antal_rnatif polaris4e (une fiche avec une lame de
contact pluslarge que l'aut re).Leslames de contact de la fiche ne peuvent
pas4tre invers_s dans la prise, ils'agit d'tine mesure de s4cudt& Sivotis n'
_s pas capable d'ins4_r la fiche compi4tement dansla pris_ essay_zd'
inversorla fiche.Sila fiche ne s'inserepascor_ctement apr4s i_voir invers6e,
con_ctez un 41ectricienqui pour_a_mplacer laprise d_limentation
_lectriqu_ Pourdes raisonsde s_urit& ne modiflezjamais lafiche polaris4e.
I_, PROTECTION DU CORDON D'ALIMENTATION Lescordonsd'
alimentation 41ectrique doivent 4ire install_sde _on _ ce que personne
ne poisse marcher desstis et qu'aucun objet ne puisse _tre d4pos4
dessus. Une attention pottictiliere doit 4ire pot t4e ati× endroits comme
les prises de courant et le point de sortie de l'appareil du cordon d'
alimentation.
I_ MISEALATERREDEL'ANTENNEEXTI_RIEURE Siuneantenneex_deure
ou un systeme de cable t41_est branche _ i'appareil, asstirez-vous qti'il est
correctement mis_ la terre afin d_voir une protection en casde surcha_es
de courantet de ci_arges_lectrostatique_ Earfide 810 du Code national de i'
electd¢ite, ANSI/NFPANc¸70, foumit route l'information n_ce_saireen cequi
trait _ la raise _la terre dumM et de la strticture de support, au fil d_ntr4e
6lectrique de I'tinitg de d6charge de I'antonne, au calib_odes conducteurs
de raise a laterre, a laIocalisation de I'unit4 de d6cha_e de I'antenne, _ la
connexion atix _lectrodes de raise a la terre et a_× e×igeRcesconcemant
les 41ectrodesde mise _ la terre (Scl_ma A)
_c_e a_ 25o pa_tioH)
14 FOUDRE Potirunemeilleuleprotectiondel'appareilencasdbrage
_lectrique ou Iorsqu'il est sans surveillance ou inutilise pendant une Iongtie
p4dode, d_branchezde de la prise d'aliment_ion et de I_ntenne ou du
sys_me de cable tele. Ced p_viendra les dommages qui pourraient _tre
cau_e_ par un orage electriqtie et les surcl_arges de courant
1_ LIGNES_LECTRIQDES Unsystemed'antennee×t4rieurenedoitpas
_tre installe pr4s d'une ligne de transport d_lect ricit6, d'un d _uit d'
alimentation _lect riqtie ou tout autre endroit o(_ il pour_ait tomber et
causer des dommages _ ces installations Lors de I'installation d'une
antenne exterieure, il est tr4_ important de ne pas toticl_er des lignes ou de_
d _uit_ 41ectdqties puisqu'un contact avec ces demie_ peut 4tre mortel
1_ SURCHARGE Nesur_hargezpaslesprisesdecourantetlesrallonges
_lec triques Une surcharge peut causer des chocs _le_triques et des incendies
17_ INTRODUCTION D'OBJETS ET DE LIQUIDE Ne jamais introdtiire d'
o_ets _ I'int4rietir de cet appa reil par les ouvertu res Ces demiers
pourraient entrer en contact ave¢ des points de tension ou causer des
courts circuit_ qui pourraient occasionner des incendies et des chocs
_lectriques Ne jamais renverser du liquide stir I'appareil
1_t_ RI_PARATION Netentezpa_dereparercetappareilvous m_me Le
fair d buvrir ou d_nlever les couvercles petit vous exposer _ des ha utes
tensions et d k_utres dangers¸ Totite reparation doit _tre effect u4e pa r du
personnel qualifi4
19_ DOMMAGENI_CESSITANTDNER_PARATION Danslessitu_tions
suivantes, d_bra_chez rapp_reil et confiez les r_parations _ u_ personnel qualifi_:
a Lorsque le cordon dk_limentafion ou la flcl_e d'alimentation sont
endommages ou d6nud4s
b Si un liquide a _t_ renvers_ sur I'a pareil ou si un ob et est toml_ _ I_nt_rieu_
cSi I'appareil a et6 expos6 _ la p_ie ou a I'eau
dSil'appareilnefonctionnepascorrectementapr4savoirrespecteles
consignes du guide d'utilisafion N'ajustez qtie les cont_les qtii sont
mentionne_ darts le guide d'utilisation De_ ajustements inad6quats
petivent causer de_ dommages et necessiter le travail d'u n technicien
qualifi_ qtii remettra I'a ppareil en _tat de fonctionne_
e Si I'appareil est tomb4 par terre ou a _t4 endommag6 d'une autre fa_on
£ Lorsqtie la performance de I'appareil a diminti6 de fa_on marqti6e II
est alors temps de le _ire r4parer
2_ PII_CESDERECHANGE Lorsquedespiecesderecl_angesontn_cessaires,
as_urez-vous que le tecl_nicien utilise des pi_ces autod_ees par le fa bricant
et qui possd_dent les m_mes caract4risfiqties que les pieces d_dgine Des
piece_ de recl_ange non atitoris6es p_uvent causer des incendies, des
chocs _lectdqties, des blessures et d'autres dangers¸
21_ CONTROLEDES_CURIT_ Apre_tinentretienouuner4paration,
demandez ati technicien d'effect tier un cont_le de s6curit6 afin de vous
assurer qtie I'appa reil fonctionne correctement
2_ CI4ALEUR Cetappareildevrait_treinstall_loinde_ourcesdechaleur
telles que les radiateurs, les regist res de chaleur, le_ cuisiniere_ ou autres
appareils (incluant les amplificateurs) qtii produisent de la chaleu_
2 FR

Ne placez pas cet appareil sur un meuble qui pourrait 6tre renvers_ par un enfant ou un adulte qui pourrait s'y
appuyer, e tirer ou monter dessus. La chute de 'apparei peut causer des b essures graves ou m_me a mort.
ATTENTION: :Pour _viter les chocs _lectriques, introduire la lame la plus large de la fiche dans la borne
correspondante de la prise et pousser jusqu'au fond.
MISE EN GARDE DE LA FCC (FEDERAL COMMUNICATIONS COMMISSION)
Cet appareil peut g_n@er ou utiliser de I'_nergie de fr_quence radio. La modification de cet appareil peut entrainer
des interf@ences nuisibles sauf dans le cas ou la modification serait approuv_e et mentionn_e dans le guide.
L'utilisateur pourrait perdre le droit d'utiliser cet appareil si une modification non autoris6e est effectu_e.
INTERFERENCE RADIO-TV
Cet appareil a _t_ test6 et respecte les limitations pr6vues pour un dispositif num@ique de classe B selon la
r_glementation de I'article 1 5 de la FCC. Ces limitations sont con_ues dans le but de fournir une protection
raisonnable contre de I'interf&rence nuisible a I'int@ieur d'un _tablissement r_sidentiel. Cet appareil g_n_re et utilise
et peut 6mettre de I'_nergie de fr_quence radio et, s'il n'est pas install_ et utilis_ selon les directives, peut causer de
I'interf&rence nuisible pour les communications radio. Cependant, il est possible que de I'interf&rence soit pr_sente
dans une installation precise. Si cet appareil cause de I'interf&rence nuisible pour la r6ception radio ou t_l_,
interf&rence qui peut _tre v@ifi_e en allumant et en 6teignant I'appareil, I'utilisateur devrait tenter d'61iminer
I'interf&rence par les moyens suivants :
1) R_orienter ou relocaliser I'antenne de r_ception.
2) Augmenter la distance entre I'appareil et le r_cepteur.
3) Brancher I'appareil dans une prise situ_e sur un circuit diff@ent de celui du r6cepteur.
4) Consulter le d_taillant ou un technicien radio /TV exp@iment&
ICet appareil num_rique de la classe Best conforme _ la norme NMB-003 du Canada.
NOTE,_. L'ATTENTION DE L'INSTALLATEUR DU SYSTJ:ME CATV
Ce rappel est destin_ a attirer I'attention de I'installateur du syst_me du t61_viseur sur I'article 820-40 du Code
national de 1'61ectricit_ qui fournit des directives sur une raise a la terre correcte, en particulier en sp6cifiant que le
c_ble de mise a la terre doit 6tre raccord6 au syst_me de mise a la terre de I'immeuble, aussi pros que possible du
point d'entr6e du c_b e.
S!_CURITI_ CONCERNANT I.E LASER
Cet appareil utilise un laser. Seul un employ_ qualifi_ devrait ouvrir le couvercle ou tenter de r_parer cet appareil
puisque le laser peut endommager la vue.
ATTENTION: L'utilisation de commandes, I'ajustement ou I'ex_cution de procedures autres que celles
sp_cifl_es dans ce guide peuvent entrainer le risque d'exposition a des radiations dangereuses.
ATTENTION: Rayon laser visible et invisible Iorsque I'appareil est ouvert avec le verrouillage invalid& ne pas
regarder le rayon.
EMPLACEMENT: _, I'int@ieur, pros du m_canisme de la platine.
A PROPOS DU COPYRIGHT
La copie sans autorisation, la diffusion, la presentation publique et le pr@ de disques sont interdits.
Ce produit incorpore une technologie de protection des droits d'auteur protegee par une patente U.S. et autres
droits a la propri_t_ intellectuelle. L'utilisation de cette technologie de protection des droits d'auteur doit @re
autoris_e par Macrovision et est conque seulement pour le foyer et autres usages de visionnement a moins d'une
autorisation diff_rente par Macrovision. Le d_montage ou e d_sassemb age sont interdits.
/ b
FR 3

4
t616commande
avec piles (AAx2)
(NB804UD)
RCA c_ble audio /cordon
video d'alimentation
(WPZ0102TM015 /(WAV0162LW001)
WPZ0102LTE01)
Entretien
•Veuillez consulter les points se rapportant au "DEPANNAGE"
en page 43 avant de retourner I'appareil.
• Si I'appareil cesse de fonctionner, n'essayez pas de r6gler le
probl_me vous-m6me. II n'y a pas de piece que vous
pouvez r6parer a I'int6rieur de I'appareil. Arr&tez I'appareil,
d6branchez-le et composez le num@o sans frais qui se
trouve sur la page couverture de ce guide afin d'entrer en
contact avec un centre de service autoris6.
guide d'utilisation guide de d_marrage rapide
(EN/ES/FR) (EN/ES/FR)
(1VMN25653 /1VMN25655 (1VMN25654/1VMN25656)
/1VMN25657)
Nettoyacje du boitier
• Essuyez le panneau avant et autres surfaces ext@ieures
I'aide d'un chiffon doux 16g_rement humide.
• N'utilisez jamais de solvant, diluant, benz_ne ou alcool
pour nettoyer I'appareil. Ne pulv_risez pas d'insecticide
liquide a proximit_ de I'appareil. De tels produits
chimiques peuvent d6colorer la surface de I'appareil.
• Ne manipulez pas le cordon d'alimentation avec les
mains mouill_es.
• Ne tirez pas directement sur le cordon d'alimentation
pour le d6brancher de la prise de courant. Saisissezde
par la fiche.
• Ne pas ins@er vos doigts ou des objets a I'int_rieur de
I'appareil.
Pour la s_curit_ et les performances optimales de cet appareil:
• Ne pas mettre I'appareil debout sur le c6t& Installez
I'appareil en position horizontale et de fa_on stable. Ne
posez rien directement sur I'appareil. Ne placez pas
I'appareil directement sur le t61_viseur.
• Prot_ger contre les rayons du soleil et tenir _loign_ des
sources de chaleur intense. Evitez les lieux poussi@eux
ou humides. Evitez es ieux dont a venti ation est
insuffisante pour une bonne dissipation thermique.
N'obstruez pas les trous de ventilation sur I'arri&re et sur
les c6t_s de I'appareil. Evitez les lieux soumis a de fortes
vibrations ou a des champs magn@iques intenses.
• Assurez-vous d'avoir retir_ le disque et de d_brancher le
cordon d'alimentation de la fiche avant de transporter
I'appareil.
L'humidit_ peut se condenser a I'int6rieur de I'appareil s'il
est transport@ d'un lieu chaud dans un lieu froid, apr_s le
chauffage d'une pi@ce froide ou en pr6sence d'une forte
humidit& N'utilisez pas cet appareil pendant au moins 2
Nettoyacje des disclues
•Si un disque est sale, nettoyez-le avec un chiffon de
nettoyage. Essuyez le disque du centre vers l'ext@ieur.
Ne l'essuyez pas selon un mouvement circulaire.
• N'utilisez pas de solvants tels que la benzine, les diluants,
les d_capants du commerce, les d_tergents, les produits de
nettoyage abrasifs ou les a6rosols antistatiques destines
aux disques analogiques.
Nettoyacje de la lentille du lecteur
• Sicet appareil ne fonctionne toujours pas correctement une lois
que vous avez appliqu_ les sections appropri_es et le
"DEPANNAGE" du present manuel de I'utilisateur, I'unit6 de
lecture optique laser peut _tre sale. Ser_f_rer votre revendeur
ou un centre de service agr_ pour une inspection et un
nettoyage de la t_te de lecture optique laser.
Manipulation des disques
• Manipulez les disques en veillant ace que les empreintes
digitales et la poussi@e n'adh_rent pas a leurs surfaces.
• Rangez toujours le disque dans son boitier protecteur
Iorsque vous ne I'utilisez pas.
• Veuillez prendre note que cet appareil ne peut life les
disques ayant des formes sp_ciales. Ne tentez pas de lire
ces derniers au risque d'endommager le lecteur.
Vdrification du siclnal IR
•Si la t_l@ommande ne fonctionne pas correctement,
vous pouvez utiliser une radio AM ou un appareil photo
num_rique (y compris un t_l_phone portable avec un
appareil photo int_gr_) pour v_rifl er si elle _met un
signal infrarouge.
• Avec une radio AM:
R_glez la radio AM sur une fr_quence
non 6m_trice. Pointez la t_l_commande
dans sa direction, appuyez sur n'importe
quelle touche et _coutez. Si la radio
heures jusqu'a ce que son int@ieur soit sec. _met un son irr_gulier, cela signifi e
qu'elle reqoit le signal infrarouge de la
t_l_commande.
• Les mat@iaux utilis_s pour l'emballage de • Avec un appareil
cet appareil sont recyclables et peuvent _tre R,-_'r"_
r_utilis_s. Veuillez r_cup_rer le mat@iel
d'emballage selon les dispositions en
vigueur dans votre r_gion.
• Les piles ne doivent jamais _tre jet_es ou br01_es. Vous
devez en disposer selon la r_glementation en vigueur
dans votre r_gion.
photo num_rique
(y compris les appareils photos
int_gr_s dans un t_l_phone portable):
Dirigez I'appareil photo num_rique vers la
t_l@ommande. Appuyez sur n'importe
quelle touche de la td@commande et
regardez I'appareil photo num@ique. Si
une lumi@e infrarouge apparait dans
I'appareil photo num@ique, cela signifi e
que la t_l@commande fonctionne.
FR

i-i m|
HDMI, le logo HDMI et High-Definition Multimedia
Interface HDMI Licensing LLC sont des marques
commerciales ou des marques commerciales.
ITI DOLBY
......................................5i_iY_[
Fabriqu_ sous licence de Dolby Laboratories. Le terme
Dolby et le sigle double D sont des marques
commerciales de Dolby Laboratories.
DigitalSurround
Fabriqu_ sous licence en vertu des num6ros de brevet
am_ricains suivants : 8,481,942; 5,956,674; 8,974,380;
5,978,762; 6,487,835 et autres brevets am6ricains et
internationaux _mis ou en instance. DTS et DTS Digital
Surround sont des marques d_pos_es et les Iogos et le
symbole DTS sont des marques de commerce de DT8, Inc.
(_)1996-2007 DT8, Inc. Tous droits r_serv_s.
"Blu-ray Disc"et _=_ sont des marques de
commerce.
est une marque commerciale de DVD Format/
Java
Java, toutes les autres marques de commerce et tous les _
autres logos sont des marques de commerce ou des '
marques d6pos_es de Sun Microsystems, Inc. aux Etats-
Unis et/ou dans les autres pays.
Les produits labellis6s ENERGY STAR_ sont conqus pour
prot6ger I'environnement par un rendement 6nerg6tique
sup6rieur.
Kodak _
COMPATIBLE est une marque de commercede Eastman
Kodak Company. _ _
Logo Licensing Corporation.
(o 2008 Funai Electric Co., Ltd.
Tous droits r_serv6s. Aucune partie du present manuel ne peut _tre reproduite, copi6e, transmise, diffus6e, transcrite,
t_16charg6e ou stock_e sur un support de stockage quelconque, sous aucune forme ou dans n'importe quel but sans
consentement _crit expr_s pr_alable de Funai. En outre, toute diffusion commerciale non autoris6e du pr6sent manuel
ou de I'une de ses r6visions est strictement interdite.
Les informations contenues dans ce document sont susceptibles d'etre modifi_es sans pr_avis. Funai se r_serve le droit
de modifier son contenu sans obligation d'en informer une personne ou une organisation.
FtJNAI et le dessin _ forment une marque commerciale d_pos_e de Funai Electric Co., Ltd et ne peuvent _tre utilis_s
en aucune faqon sans consentement _crit expr_s de Funai. Toutes les autres marques mentionn_es ici sont la propri_t_
exclusive de leurs d_tenteurs respectifs. Aucune information contenue dans le present ne doit _tre interpr_t_e comme
un octroi, implicite ou autre, d'une licence ou d'un droit quelconque a utiliser I'une de marques commerciales
pr_sent6es ci-dessus. L'usage abusif de toute marque commerciale ou de tout autre contenu du present manuel est
strictement interdit. Funai fera appliquer avec d_termination ses droits de propri_t_ intellectuelle dans toute I'_tendue
des lois.
5

PRI_CAUTIONS ................................... 2
CARACTI_ RISTIQUES .............................. 7
Caract@istiques ..................................... 7
Symboles Utilis6s dans ce Guide .................... 7
VUE D'ENSEMBLE DU FONCTIONNEMENT ......... 8
Panneau Avant ...................................... 8
Panneau Arri_re ..................................... 8
T616commande ..................................... 9
Afficheur du Panneau Avant ....................... 11
CONNEXIONS ................................... 12
Connexion a un T_l@viseur ........................ 12
Connexion a un Syst_me Audio .................... 15
Connexion du Cordon d'Alimentation ............. 16
INFORMATIONS RELATIVES ALA LECTURE ........ 17
LECTURE DE BASE ............................... 20
Lecture ........................................... 20
Op@ations au Moyen du Menu Titre,
du Menu Disque et du Menu Eclair ................ 21
Lecture d'un Disque DVD-RW/-R en Mode VR ...... 21
Pause ............................................. 21
Reprendre la Lecture .............................. 21
Lecture d'un CD audio et d'un Disque Contenant
des Fichiers JPEG.................................. 22
Lecture de la Carte M_moire SD ................... 23
LECTURE SPECIALE .............................. 25
Avance Rapide /Retour Rapide .................... 25
Avance Lente Lecture ............................. 25
Lecture Pas a Pas .................................. 25
R_p@ition de la Lecture ........................... 25
A-B R6p_t_ ........................................ 26
Param_tre PIP (Picturedn-Picture) .................. 26
Programmation de la Lecture ...................... 26
Lecture Al_atoire .................................. 27
Angle de Camera .................................. 27
RECHERCHE .................................... 28
REGLAGES SPECIAUX ............................ 29
Alternance des Sous-titres ......................... 29
Alternance des Pistes Sonores Audio .............. 29
R@glage du Mode Audio BD ....................... 30
R@glage de l'Image ................................ 30
FONCTION DE CONFIGURATION ................. 31
L'utilisation du Menu de Configuration ............ 31
DI_PANNAGE .................................... 43
GLOSSAIRE ..................................... 44
CODE DE LANGUE ............................... 45
SPECIFICATIONS ................................ 46
GARANTIE LIMIT!_E ........ Quatri&me de Couverture
6 FR

Lecture video haute d_finition
Regardez des films en jouissant de la qualit_ d'image la
plus _lev_e disponible pour votre t_l_viseur haute
d6finition. Cette unit_ permet une lecture video haute
d6finition avec une r_solution pouvant atteindre 1080p
pour une experience audiovisuelle 6poustoufiante. Une
image extr_mement d_taill_e et une nettet_ accrue permet
d'obtenir des images plus r_alistes.
Mettez a niveau votre DVD pour une image de
meilleure qualit_
Votre DVD actuel se pr_sentera encore mieux qu'avant
grace a une conversion vid6o de mise a niveau. Une
conversion de mise a niveau augmentera la r_solution des
DVD de d_finition standard aux DVD haute d6finition
jusqu'a 1080p sur une connexion HDMI. Les images seront
moins dentel_es et plus r_alistes pour une vision se
rapprochant de la haute d_finition.
Votre contenu est compatible avec diff_rentes sortes
de supports
La compatibilit_ complete avec les versions ant@ieures
de DVD, CD garantit que vous pouvez continuer
appr6cier votre biblioth_que audio et video. Vous pouvez
_galement visualiser les images JPEG.
Profitez de la richesse des sons ambiophoniques
multicanaux
Des sons ambiophoniques multicanaux qui assurent une
sono r_aliste et vous fait sentir comme si vous y _tiez.
Deep Color HDMI
La profondeur de couleur r_duit I'effet de post@isation
sur I'image en lecture. Consultez "HDMI Deep Color" dans
"FONCTION DE CONFIGURATION" a la page 34.
Sortie HDM11080p/fps (Blu-ray seulement)
Cet appareil est 6quip_ de la fonction pouvant
procurer la fiuidit_ de lecture du materiel film_ au taux /
de trame de 24 images par seconde en progressif
(uniquement disponible si le TV est branch6 via un _
c_ble HDMI et compatible avec une entr6e de trame de _;
1080p24).
Reportez=vous au paragraphe "R6solution Vid6o HDMI" :_
dans le chapitre "FONCTION DE CONFIGURATION" a la
page 34.
Lecture du contenu d'une carte m_moire SD
Vous pouvez life les images JPEG stock6es dans une carte ,_:
m_moire SD.
Vous pouvez stocker des commentaires image dans _;'
image, sous-titres ou autres suppl6ments pour BD=ROM
profil 1 ver.l.1 dans une carte m6moire SD et les life avec
le BD-vid_o.
Afin d'indiquer a quel type de m_dia correspond chaque
fonction, nous avons mis les symboles suivants devant
chaque _l_ment a utiliser.
Connexion simple et pratique _votre HDTV via HDMI
Branchez cette unit_ a votre HDTV avec un seul c_ble _¢_
HDMI (high definition multimedia interface - interface
multimedia haute d_finition). II est recommand_ d'utiliser
le c_ble HDMI haute vitesse pour une meilleure
compatibilitY. Le signal de sortie video haute d_flnition
sera transf@_ a votre HDTV sans _tre converti en signaux
analogiques pour vous offrir une excellente qualit_
d'image et de son, sans aucun bruit. Grace a ses _
nombreuses sorties, vous pouvez facilement brancher
votre syst_me home video ou amplificateur.
PIP
Certaines BD-vid_os disposent de la fonction PIP
(incrustation d'image) vous permettant d'afficher une
deuxi_me image en surimpression sur la video.Vous pouvez
commander I'affichage de la deuxieme image en appuyant
sur [PIP] quand la scene contient cette seconde image.
Menu contextuel
Certaines BD=vid_o disposent de menus contextuels,
c'esbMdire un menu de navigation pouvant @re affich_
et mis en fonction a I'_cran sans interrompre la lecture.
Pour afficher le menu contextuel, appuyez sur
[POP MENU /MENU]. Le contenu du menu contextuel
varie selon le disque.
La description concerne les disques BD-vid_o _.s_
et BD=RE (vet. 2.1) /BD-R enregistr6s en
format BDMV ,_'
La description concerne les DVD=vid6o
La description concerne un disque DVD=RW/=R
enregistr6 en mode VR
La description concerne les CD audio /
DTS-CD
La description se rapporte aux DVD,
CD=RW/=R et carte de m_moire SD avec
fichiers JPEG
Si vous ne trouvez aucun des symboles list,s ci=dessus
sous 'ent@e de la fonction, I'op@ation est applicable
tousles supports.

12*3456* 7 8 9
L'appareil peut 6galement _tre allure6 en appuyant sur ces touches.
10
1. Plateau
• Mettez un disque Iorsque vous ouvrez le tiroir
disque.
2. Touche_ OPEN/CLOSE _
• Appuyez pour fermer ou ouvrir le tiroir a disque.
3. !_cran
• Consultez "Afficheur du Panneau Avant" a la page 11.
4. Touchell STOP
• Appuyez pour interrornpre la lecture.
S. Touchell PAUSE
• Appuyez pour suspendre la lecture.
6. Touchel_ PLAY _
• Appuyez pour d_rnarrer ou reprendre la lecture.
7. Fente pour SD card
• Ins6rez une carte m_moire SD et mettez son
contenu en mode lecture.
8. Fen_tre du capteur infrarouge
• Recevoir les signaux de votre t_l_commande afin
que vous puissiez contr61er I'appareil a distance.
9. Voyant POWER
• Ce voyant s'illurnine en rouge quand I'alimentation
est allum_e et s'_teint si I'alirnentation est couple.
10.Touche O POWER
• Appuyez pour allumer et 6teindre I'appareil.
6
2 3 45
1. Prises COMPONENT VIDEO OUT
• Sert a brancher un TV comprenant des entr_es de
composant video avec un c_ble de composant video
RCA.
2. Prise HDMIOUT
• Sert a raccorder un 6cran a un port compatible
HDMI avec un c_ble HDMI.
3. Prises AUDIO OUT
• Sert a brancher un TV, un r_cepteur /amplificateur
AV ou un autre dispositif avec un c_ble audio RCA.
4. Prise DIGITAL OUT (COAXIAL)
• Sert a raccorder un r_cepteur /amplificateur AV,
d@odeur Dolby Digital/DTS ou un autre dispositif
comprenant un terminal d'entr_e coaxial audio-
nurn_rique avec c_ble coaxial audiomurn@ique.
5. Terminal AC IN
• Sert a raccorder la prise CA au cordon
d'alimentation.
6. Prise VIDEO OUT
•Sert a brancher un TV, un r_cepteur /arnplificateur
AV ou un autre dispositif avec un c_ble video RCA.
8 FR

I ,,, ,,, ,,
VUIIII:::::D IIII,,,,,NSIIII,,,,,MBLEDU IIII""ONCTIIIIONNIIII:::::MENT
15"
16
17
18
19
20
11
t= i)
SYLVANIA
21
22
"23
24
• 27
•28
26
L'appareil peut _galement 6tre allum6 en appuyant
sur ces touches.
1. Touche DISPLAY
• Appuyez pour afficher le menu a I'_cran.
2. Touche POWER
• Appuyez pour allumer et _teindre I'appareil.
3. Touches de chiffre
• Appuyez pour entrer les num6ros de titre, chapitre,
piste et fichier.
• Appuyez pour saisir des valeurs dans le champ de
saisie.
4. Touche SEARCH
• Appuyez pour afficher le menu de recherche.
5. Touche RED /GREEN /BLUE /YELLOW
• Appuyez pour choisir des items sur certains menus
de disque BD.
6. Touche TOP MENU
• Appuyez pour afficher le menu sup6rieur.
7. Touches de curseur • /•/_1 /I_
• Appuyez pour choisir les items ou les param_tres.
8. Touche SETUP
• Appuyez pour afficher le menu de configuration.
9. Touche SUBTITLE
• Appuyez pour afficher le menu de sous-titre.
10.Touche REV _1
• Pendant la lecture, appuyez pour un retour rapide.
11.Touche PLAY I_*
• Appuyez pour d6marrer ou reprendre la lecture.
FR
/
12.Touche SKIP
• Pendant la lecture, appuyez une fois pour revenir
au d_but du titre, chapitre ou de la piste en cours.
• Lors de la lecture JPEG, appuyez pour revenir au
fichier precedent.
• Pendant la lecture, appuyez deux fois pour revenir
au/a la titre, chapitre ou piste precedent(e).
13.Touche PAUSE II 4:
• Appuyez pour interrompre la lecture. _
• Lorsque la lecture est en pause, appuyez de
mani@e r6p6t6e pour avancer la lecture pas a pas. _
14. Touche HDMI
• Appuyez pour d6finir le mode de sortie HDMI.
15.Touche OPEN/CLOSE ___*
• Appuyez pour fermer ou ouvrir le tiroir a disque.
16. Touche PIP
• Appuyez pour activer ou d6sactiver la fonction
d'incrustation d'image (uniquement applicable au _,
BD-vid_o qui prend en charge la fonction PIP),
17.Touche ANGLE
• Appuyez pour acceder a divers angles de camera
sur le disque.
• Appuyer pour appliquer une rotation de 90 degr_s
dans le sens horaire aux fichiers JPEG,
18.Touche REPEAT
• Appuyez pour passer d'un mode de r_p_tition _ un autre. _ _''
19.Touche REPEAT A-B _
• Appuyez pour lire une section d_termin6e entre le
point A et le point B de fa_on r_p@6e.
20.Touche CLEAR
• Appuyez pour effacer I'information pr6alablement
entree, pour effacer les param_tres ou pour annulet _';_
la programmation de CD audio, etc.
21. Touche POP MENU/MENU _
• Appuyez pour afficher le menu contextuel /disque
/liste des fichiers.
• Appuyer pour changer "Original" et "Playlist"
lecture sur I'_cran de t616vision.
22.Touche ENTER
• Appuyez pour confirmer ou choisir un item de menu.
23.Touche RETURN
• Appuyez pour revenir a la page du menu pr6c_dement.
24.Touche AUDIO =I
• Appuyez pour afficher le menu audio.
25.Touche FFW I_
• Pendant la lecture, appuyez pour une avance
rapide de la lecture.
• Lorsque la lecture est en pause, appuyez pour une
avance lente de la lecture.
26.Touche STOP •
• Appuyez pour interrompre la lecture.
27.Touche SKIP
• Pendant la lecture, appuyez pour passer au titre,
chapitre, ala piste ou au fichier suivant.
28.Touche MODE
• Pendant la lecture, appuyez pour afficher le menu
de r6glage de I'image.
• Pendant la lecture de JPEG, appuyez pour afficher
les menus pour modifier I'effet visuel, pour changer
d'image ou pour modifier la taille de I'image.
• En mode arr6t et Iorsqu'un disque BD est ins_r6,
appuyez pour afficher un menu pour r_gler le
mode audio du BD.
• En mode arr6t et alors qu'un CDaudio ou un
disque avec des fichiers JPEG est ins@_, appuyez
pour afficher les menus pour lecture de
programme et lecture al6atoire. 9

i ,,, ,,, [,, [,,, ,,, ,,,
VUIIII:::::D IL,NSIIII,,,,,MBIIII,,,,,,EDU FONCTIIIIONNIIII,,,,,MIIII,,,,,N
Installez les piles (AA x 2) en tenant compte des polarit@s
indiqu6es a I'int@ieur du compartiment des piles de la
t@16commande.
70uvrezle couvercle.
@
2Placez les piles.
Assurez-vous de bien faire correspondre les signes +
et - sur les piles avec les m6mes signes sur le
compartiment.
3Fermez le couvercle.
Ayez toujours ces points a I'esprit Iorsque vous utilisez
une t616commande:
• V_rifiez qu'il n'y a pas d'obstacles entre la
td6commande et la fen6tre du capteur infrarouge de
I'appareil.
• Le fonctionnement de la td6commande peut devenir
instable si la fen6tre du capteur infrarouge de I'appareil
est fortement inond6e par les rayons du soleil ou par
une lumi@e fluorescente.
• Les t61@commandes des autres dispositifs peuvent
interf#rer les unes avec les autres. Evitez d'utiliser la
td@commande d'un autre _quipement situ_ a proximit@
de I'appareil.
• Remplacez les piles quand vous remarquez une
diminution de la pottle de la t_l_commande.
• Les potties op_rationnelles maximales mesur@es
partir de I'appareil sont les suivantes.
- Visibilit_ directe :
environ 23pieds (7m)
- De chaque c6t_ du centre :
environ 16pieds (5m) a 30 °
-Audela: environ 16pieds(5m)a15 °
- En de_;a : environ 10pieds (3m) a 30 °
16pieds 23pieds 16pieds
(Sm) (7m) (Sm)
10 FR

VUIIII"""D_IIII""NSIIIi""MBIE DU IIII""ONCTIIIIONNIIII""MENT
,,, I ,,, ,,, . ,,, ,,, ,,,
2
•La luminosit6 de I'affichage peut 6tre ajust6e. Consultez "Afficheur" dans "FONCTION DE CONFIGURATION" a la page 41.
1. Affiche I'ic6ne d'_tat de lecture. Voir le tableau ci-dessous.
2. Affiche divers types d'informatlon comme le num_ro de titre, le temps _coul_, le mode de r_p_tition, etco
II
41
[]
La lecture est en cours
Mode d'arr_t
Mode pause
-- Mode avance rapide
-- Mode retour rapide
-- Mode avance lente
S'affiche tandis que la fonction de
r6p_tition est r_gl_e
/
IF 1 01=23
I_ CHAPTER
I LOAD
IF Dolb_ D
Le titre est en cours de lecture.
Indiquant le num6ro de titre en cours et le temps _coul_.
Le chapitre actuel est en mode de r_p_tition de chapitre.
Charger un disque
L'audio Dolby Digital est en cours de lecture.
F_ 1 1

• Effectuer I'une des connexions suivantes, selon les capacites de votre appareil existant.
CONNEXION AUDIO CONNEXION VIDEO AUDIO /VIDEO
CONNEXION
h_ audiostandard
c_ble audio
:image standard : meilleure image
RCA
vid6o
c_ble C_ble de
composant
et ou vid6o RCA
qualit_ optimale
DVIJN
c_ble
HDMI-DVI
OU OU
optimale
audio /image
HDMI I_
c_bl_
HDMI
AUDIO OUT VIDEO OUT COMPONENT HDMI OUT
VIDEO OUT
_ Cet appareil est compatible avec le syst6me de num_risation progressive. Cette fonction vous donne des images
de la meilleure qualit6 par rapport au syst6me de sortie traditionnelle. Pour utiliser cette fonction, un composant
ou une connexion HDMI est n6cessaire. Consultez "R6solution Vid6o HDMI" ou "Sortie composantes'a la page 34
pour le r6glage de la r6solution.
_2 La connexion audio analogique n'est pas requise pour cette connexion.
12 FR

Appuyez sur [HDMI] pour changer la r6solution du signal video sortant de HDMI OUT. La r_solution de la vid6o change
comme suit chaque lois que I'on appuie sur [HDMI].
Afficheur du 8_solution Video HDMI
Panneau Avant
I_'_ I 480_rogro.if I÷
Appuyez sur [HDMI]
I?'_'0PI720 Progressif I
Appuyez sur [HDMI] ,_
[ l_J. J1080 Interlaced J
Appuyez sur [HDMI]
[1080P J1080 Progressif J
Appuyez sur [HDMI] _,
J,O80Pro,re.i.4imo,eJ--
Appuyez sur [HDMI]
_©
/
Syst_me de protection des droits d'auteur
Pour lire les images vid6o num@iques d'un BD/DVD via une connexion HDMI, il est n_cessaire que I'appareil et le
TV (ou I'amplificateur AV) soient tous deux compatibles avec un syst_me de protection des droits d'auteur appel6
HDCP (syst_me de protection de contenu num_rique a large bande passante). HDCP est une technologie de
protection contre la copie qui proc&de au chiffrement des donn_es eta I'authentiflcation du dispositif AV connectS. :_ _s
Cet apparei_ est c_mpatib_e avec HDCP. veui__ez _ire _e m_de d_emp__i de v_tre Tv (_u amp_i_cateur Av) p_ur de _
plus amples informations.
F8 13

Lors de l'utilisation de connexions HDMI, d6finissez le r_glage "Sortie Audio HDMI" dans le menu "Audio" en fonction
des sp6cifications du dispositif a brancher.
[_iM',_l_?'_2 _ _,- ,J -._,If_llli_i _'_"I__ _,i_
Dispositif compatible avec d6codage
Dolby Digital, Dolby Digital Plus, Dolby
TrueHD, DTS ou DTS-HD
Multi HDMI (Normal) Le flux binaire Dolby Digital, Dolby
Digital Plus, Dolby TrueHD, DTS ou DTS-
HD est 6mis depuis le terminal HDMI
OUT. Faites la configuration de
I'enceinte sur I'amplificateur AV
connectS, etc.
Dispositif compatible avec 3 canaux Multi HDMI (LPCM) Les signaux audio a canaux multiples
minimum d'entr_es audio (non- sont _mis par le terminal HDMI OUT.
compatible Dolby Digital, Dolby Digital Faites la configuration de I'enceinte
Plus, Dolby TrueHD, DTS ou DTS-HD) avec les param_tres d'enceinte qui
apparaissent apr_s avoir s61ectionn_
"Multi HDMI (LPCM)'. Consultez la page
36.
Connexion HDMI a un TV et connexion Sourdine L'audio HDMI sera mis en sourdine, et le
audio num_rique (coaxiale) a un flux binaire Dolby Digital /DTS ou
amplificateur AV. LPCM sera _mis du terminal DIGITAL
OUT selon le r_glage "Sortie
Num_rique". Consultez la page 37.
•Sortie de signaux audio par le terminal HDMI OUT
Dolby Digital Dolby Digital _ Multi LPCM
Dolby Digital Plus Dolby Digital Plus .1 Multi LPCM .2
Dolby TrueHD Dolby TrueHD .1 Multi LPCM *s
DTS DTS.1 Multi LPCM
DTS-HD DTS-HD *_ Multi LPCM *_
LPCM Multi LPCM Multi LPCM
Dolby Digital Dolby Digital Multi LPCM
DTS DTS Multi LPCM
LPCM Multi LPCM Multi LPCM
2ch LPCM 2ch LPCM
Multi LPCM
_' Si le r6glage "Mode Audio BD" est d_fini sur "Sortie Audio Mixte", I'audio sortira en multi LPCM. Consultez la page 36.
_2 Signaux de sortie audio d@od6s a partir d'un sous-flux binaire ind6pendant.
_ Signaux de sortie audio d@od6s a partir d'une suite Dolby Digital.
_4 Signaux de sortie audio d_cod6s a partir d'une source DTS.
• Si le dispositif branch_ n'est pas compatible avec le HDMI BITSTREAM, I'audio sortira en multi LPCM ou en LPCM
deux canaux r_duits par mixage selon la capacit_ du dispositif connectS, m6me si vous s_lectionnez "Multi HDMI
(Normal)" dans le r_glage "Sortie Audio HDMI". Consultez la page 36.
14 FR

•Lorsque vous changez les connexions, tousles dispositifs doivent _tre _teints.
• Voir le manuel accompagnant les dispositifs externes pour en savoir davantage.
syst_me stereo
AUDIO IN
R L
terminaux d'entr_e audio
analogique
RCA
/
AUDIO OUT
amplificateur /rbcepteur AV
OOAXIAL
prises audio num6rique
coaxiales/optiques c_ble coaxial audio num_rique
DIGITAL OUT
(PCM/BITSTREAM)
DIGITAL OUT (COAXIAL)
FR 15

•Sortie de signaux audio par le terminal DIGITAL OUT (COAXIAL)
Les signaux audio actuellement _mis par le terminal HDMI OUT sortiront _galement du terminal DIGITAL OUT, mais le signal
Dolby Digital sera 6mis au lieu de Dolby Digital Plus et Dolby TrueHD, et le signal DTS sera _mis au lieu de DTS-HD.
Quand "Sourdine" est s_lectionn_ dans le r6glage "Sortie Audio HDMI", les signaux audio 6mis du terminal HDMI OUT seront
mis en sourdine et les signaux audio 6mis du terminal DIGITAL OUT changent selon le r_glage "Sortie Num6rique".
Pour d6finir le r6glage "Sortie Num_rique', s61ectionnez "Sourdine" dans le r6glage "Sortie Audio HDMI'.
Dolby Digital 2ch R6duit LPCM
Dolby Digital 2ch R6duit LPCM
Dolby Digital 2ch R6duit LPCM
DTS* 2ch R6duit LPCM
DTS* 2ch R6duit LPCM
2ch R6duit LPCM* 2ch R6duit LPCM
Dolby Digital 2ch R6duit LPCM
DTS 2ch R6duit LPCM
2ch R6duit LPCM 2ch R6duit LPCM
2ch LPCM 2ch LPCM
DTS 2ch R6duit LPCM
Pour les titres BD avec audio secondaire ou interactif, ces signaux audio seront 6mis en Dolby Digital quand toutes
les conditions ci-6num@_es sont remplies :
• Quand le r_glage "Mode Audio BD" est d_flni sur "Sortie Audio Mixte'.
• Quand le r_glage "Sortie Audio HDMI" est d_fini sur "Sourdine".
• Quand le r_glage "Sortie Num6rique" est d_fini sur '%rain Binaire'.
Si les titres BD Wont pas d'audio secondaire ou interactif, I'audio sera _mis comme I'indique le tableau.
• Ce tableau ne s'applique que si le c_ble HDMI est connect6 ou si "Sourdine" est s_lectionn_ dans le r6glage "Sortie
Audio HDMI'.
Une lois que vous aurez fait toutes les connexions n_cessaires, branchez le cordon d'alimentation dans AC IN. Branchez
ensuite le cordon d'alimentation dans la prise c.a.
Ins_rez fermement les fiches. Des connexions mal faites peuvent produire du bruit.
c.a. 120V, 60Hz
16 FR

Avant de commencer la lecture d'un disque, life les informations suivantes.
Cet appareil est compatible avec la lecture des disques
fichiers suivants. Pour lire un disque /fichier, assurez-vous
que celui-ci est conforme aux exigences en mati_re de
code r_gional et syst_mes de couleur d_crits ci-apr_s. Vous
pouvez lire les disques qui portent les logos suivants. La
lecture des autres types de disques n'est pas garantie.
,ii_1,1,[_-1=E i ;][-i
Disque Blu-ray
- BD-vid_o
(couche simple /double)
- BD-RE (ver.2.1)
(Enregistr_ en format BDMV)
- BD-R
(Enregistr_ en format BDMV)
(II est possible que les
disques non finalists ne
puissent _tre lus.)
_'i'i'[
DVD-vid6o
vID_o
DVD+RW (couche simple)
ovo÷R D
(couche simple /double) ............
DVD-RW
(disques finalis6s uniquement) _
DVD-R
(disques finalis6s uniquement)
CD-DA (CD audio) _]_
CD-RW
COMP_C_
CD-R o,o,_._o,_
Kodak Picture CD
DTS-CD
DVD, CD-RW/-R,
carte m_moire SD
JPEG (comprend SDHC),
carte miniSD,
carte microSD
Les disques suivants ne sont pas lus sur cet appareil.
CD-ROM • CD-I (disques compacts interactifs)
DVD-RAM • VSD (disque simple vid6o)
DVD-audio • BD-RE (vet.1 /vet.3)
HD DVD • CD vid6o
disques non finalists • SVCD
BD-RE/-R enregistr6s en format BDAV
DVD/CD/carte m_moire SD contient des fichiers audio
MP3 et Windows Media _" et DivX _'
• super CD audio - Seul le son enregistr6 sur la couche
normale du CD peut &tre lu. Le son enregistr_ sur la
couche super CD audio haute densit_ n'est pas lu.
• La lisibilit_ de bi-disques n'est pas garantie.
_©
/
Carte m_moire SD (8 MB a 2 GB) JPEG, commentaire image
Carte m_moire SDHC (4 GB) dans image, sous-titres ou
Carte miniSD (8 MB - 2 GB) autres supplements pour
BD-ROM profil lver.l.1
Carte microSD (8 MB - 2 GB)
17

@NIIII:;::OIII / K[IIIIONSIIRfiii]l=K/'lVIIIliiiii',SA {,,AIIIl=fiii',C]'UIIl lllliiiii',
Les BD-vid_o et les DVD-vidio sont enregistr£s selon des
syst_mes de couleurs diff£rents dans le monde entier. Le
syst_me de couleur le plus courant est NTSC
(principalement utilis6 aux Etats-Unis et au Canada).
Cet appareil adopte le syst_me de couleur NTSC de sorte
que le disque que vous souhaitez lire doit £tre enregistr£
dans ce syst£me. Vous ne pouvez pas life de disques
enregistr£s dans d'autres systimes de couleur.
Vous pouvez v6rifier les informations du disque en cours
en appuyant sur [DISPLAY].
Pour activer I'_cran, appuyez sur [DISPLAY] pendant la
lecture. Chaque fois que vous appuyez sur [DISPLAY], les
informations changent. En fonction du support utilis6, les
informations varieront.
Cet appareil a 6t_ conqu pour lire les disques BD-vid_o
BD-vid_o de la r6gion A et les disques vid6o
en DVD de la r6gion "1" ou "ALL". Vous ne
pouvez pas lire des disques BD-vid_o ou
DVD-Vid6o marqu6s pour d'autres r6gions.
Rep6rez les symboles qui se trouvent sur DVD-vid6o
la droite de votre BD-vid_o ou de votre
DVD-vid_o. Si ces symboles de r6gion
n'apparaissent pas sur votre BD-vid_o ou
votre DVD-vid_o, cet appareil ne pourra pas
life le disque. La lettre ou le chiffre a I'int_rieur
du globe d_signe la r_gion dans le monde.
Un BD-vid6o ou un DVD-vid_o _tiquet_ pour
une r_gion en particulier ne peut _tre lu que sur un
apparel portant le m_me code de r_gion.
Le contenu d'un BD /DVD est g6n_ralement divis6 en
titres. Les titres peuvent 6tre subdivis6s en chapitres.
arr6t ,,_ Information sur le titre/chapitre
•,_ Information sur le titre (temps 6coul6)
•,_ Information sur le titre (temps restant)
•,_ Information HDMI ,,_ arr6t
arr6t ,,_ Information sur le chapitre (temps _coul6)
•,_ Information sur le chapitre (temps restant)
•,_ Information sur le titre (temps restant)
•,_ Information sur le titre (temps restant)
•,_ Information sur le d6bit binaire
•,_ Information sur HDMI ,,_ arr6t
arr_t ,_ Information sur la piste (temps _coul6)
•,_ Information sur la piste (temps restant)
•,_ Information sur le disque* (temps _coul_)
•,_ Information sur le disque* (temps restant)
•,_ Information sur HDMI ,,_ arr_t
(*non disponible pendant la lecture d'un programme ou
la lecture al6atoire)
BD/DVD ,1
titre 1 ,_ titre 2
chaPlitre2 chaPlitrel cha_itre2 chapiltre3
Les CD audio sont divis6s en pistes.
CDaudio
piste 1 piste 2 piste 3 piste 4 piste 5
Les disques de donn6es ou les cartes m_moire SD
contiennent des images JPEG, qui sont divis_es en
dossiers, et ces dossiers sont sous-divis_s en fichiers.
, JPEG
dossier (groupe)1_ _ dossier (group
_ch_er(p_ste) 1 richter (p_ste)2 _ch_er(p_ste) 3 _d/_e/(p_ste)4 _c}/_er(l_ste)5
arr_t ,,_ Information sur le nom de fichier
•,_ Information sur le fichier ,,_lnformation sur HDMI
•,_ arr6t
• Pendant la lecture d'un programme ou la lecture
al_atoire, dans le cas des CD audio et des JPEG,
I'indication sera affich_e apr_s I'information de la piste/
du fichier.
18

IIhNIII!""OIII MAIIIION$ IIIVIII,,,,,,,$A IIIi,,,,,,AIII,,,,,,,ECTUII III........
•Information sur le chapitre
<Information sur le titre /chapitre, pour les disques BD>
_Num_ro du chapitre en tours de lecture /Nombre
total de chapltres
Temps _coul_ /Temps restant du chapitre en
tours
_i) Indique qu'il y a des images 6 angles multiples
disponibles pour la sc_ne
_Statut de la lecture en cours
Num_ro du titre en tours
R_glage de r_p_tition actuel (Uniquement Iorsque
le param_tre de r_p_tltlon est actif)
(C: R_p_tition de chapitre, T: R_p_titlon de titre,
AB : A-B r_p_t_)
• Information sur le titre
J
Num_ro du titre en tours de lecture /Nombre
total de titres
Temps 6coul_ /Temps restant du titre en cours de
lecture
•Information du ddbit binaire
<Pour DVD-RW/-R en mode VR>
Taux blnalre (La quantit_ de donn_es video en
tours de lecture)
Num_ro de la couche (Uniquement pour les
disques 6deux couches)
(L0 : Couche 0 en lecture. L1 : Couche 1 en lecture)
_1 Type de tltre (ORG: original, PL: liste)
•Information sur la piste/le fichier
/_ii_/Num_ro de la piste (fichier) en tours de lecture /::_
_©
Nombre total de pistes (fichiers) _:_
Temps _coul_ /Temps restant de la piste en tours
de lecture
i_ Indication de la lecture de la carte m_molre SD
_R_glage de r_p_tition actuel (Uniquement Iorsque ;_
le param_tre de r_p_tition est actlf)
(T: R_p_titlon de la piste/du flchler, G: R_p_tition
du groupe, A: R_p_tition de tout, AB : A-B r_p_t_) ,:_
•Information sur le disque
/fill Num_ro de la piste en tours / Nombre total de
pistes
1Temps _coul_ /Temps restant du disque en tours
de lecture /
•Information sur le nom du fichier
dum diaetnoradufichier
I_: Fichier JPEG
• Informations sur HDMI _
_/ Format vld_o HDMI
/_/ R_solution de la sortie d'image HDMI
_Format audio HDMI
/_l Nombre maximum de canaux audio compatibles
avec le disposltif connect_
19

Appuyez sur [POWER].
Allumez le TV et s_lectionnez I'entr_e
appropri_e du TV pour connecter
I'appareil.
Appuyez sur [OPEN /CLOSE A] pour
ouvrir le tiroir _disque.
Placez le disque sur le tiroir _disque,
I'_tiquette tourn_e vers le haut.
Appuyez sur [OPEN /CLOSE _] pour
fermer le tiroir _disqueo
6
7
La lecture peut commencer automatiquement
sur certains disques.
Appuyez sur [PLAY I_] pour
commercer la lecture.
Pour plusieurs disque BD-vid_o et DVD-vid6o, un
_cran de menu peut apparaitre.
Dans ce cas, utilisez [A IV/_1/1_] pour
s_lectionner I'item voulu, puis appuyez sur
[ENTER].
Appuyez sur [STOP •] pour
interrompre la lecture
temporairement.
Consultez "Reprendre la Lecture" a la page 21.
Pour 6jecter le disque:
Appuyez sur [OPEN /CLOSEAm]pour ouvrir le
tiroir a disque, puis retirez le disque avant de
fermer le lecteur.
2O FR

,,,,,_ ,,,,,L i,, i,,,,,_ i
IIH,,,,,ECTUIHI IIII,,,,,,,,,,,,,Dill,,,,,,,,,,,,,,,IBASIII........
Plusieurs disques BD-vid6o et DVD-vid_o comportent un
menu titre (BD-vid_o/DVD-vid6o), un menu disque (DVD-
vid6o) ou un menu @lair (BD-vid_o) qui vous guide parmi
les fonctions disponibles du disque. Le contenu des
menus peut diff@er selon le disque.
Menu titre (BD-vid_o /DVD-vid6o)
1Appuyez sur [TOP MENU]•
•Le menu titre apparaitra.
2Utilisez [A/V/_1/11_] pour s_lectionner
un item, ensuite appuyez sur [ENTER].
3Appuyez sur [TOP MENU] pour quitter•
Menu du disque (DVD-vid_o)
1Appuyez sur [POP MENU /MENU].
•Le menu du disque apparaitra.
2Utilisez [A/V/_1/11_] pour s_lectionner
un item, ensuite appuyez sur [ENTER].
3Appuyez sur [POP MENU /MENU] pour quitter.
Menu eclair (BD-vid_o)
• II s'agit d'une option sp6ciale offerte sur certains BD.
Lorsque vous appuyez sur [POP MENU /MENU], un
menu contextuel apparait a 1'6cran, sans que la lecture
ne s'interrompe.
1Durant la lecture de BD-vid_o, appuyez
sur [POP MENU /MENU].
• Le menu eclair apparaitra.
2Utilisez [A/V/_1/11_] pour s_lectionner
un item, ensuite appuyez sur [ENTER].
3Appuyez sur [POPMENU /MENU] pour quitter.
3Utilisez [A /V] pour s_lectionner le titre
voulu, ensuite appuyez sur [ENTER]•
g
o
x
o
1Pendant la lecture, appuyez sur [PAUSE I I 1.
• La lecture s'arr_tera. _I
|
2Appuyez sur [PLAY I_] pour reprendre la
lecture normale.
1Pendant la lecture, appuyez sur [STOP II].
• Le message de reprise apparaitra a I'@ran.
Lors de la lecture d'un disque DVD-RW/-R en mode VR, vous
pouvez choisir "Original" ou "Playlist" si le disque contient
un "Playlist".
1En mode arr_t, appuyez sur [POP UP
MENU /MENU] pour faire apparaitre le
menu du DVD•
2Utilisez [_1 /I1_] pour s_lectionner "Original"
ou "Playlist'.
p.ex.) BD
2Appuyez sur [PLAY I_].
•Dans quelques secondes, la lecture reprendra depuis
le point ou elle a _t@ interrompue. Pour annuler la
reprise de la lecture et recommencer la lecture du
disque depuis le d@but, appuyez a nouveau sur
[STOP • ] pendant que la lecture est interrompue.
FR 21

1
2
.....................IBIIL,,ECTUIHI IIII:::::DIIkII,ASlII.......
Ins_rez un CD audio ou un disque
avec fichiers JPEG.
• Laliste des fichiers apparaitra a l'_cran.
• Sila liste n'apparait pasautomatiquement,
appuyez sur [POP MENU IMENU].
• Appuyez sur [POP MENU IMENU] pour
quitter et reprendre la liste des fichiers.
II est recommand_ d'enregistrer les fichiers qui seront
lus sur cet appareil en respectant les sp_fifications
suivantes:
<JPEG>
• Limite sup6rieure : 2 560 x 1 900 dots
(le sous-6chantillon est 4:4:4)
5 120 x3 840 dots
(le sous-6chantillon est jusqu'a 4:2:2)
• Limite infMeure : 32 x 32 dots
• Grandeur maximum de I'image :12 MB
Utilisez [A /V] pour s_lectionner le
dossier ou le fichier voulu, puis
appuyez sur [ENTER].
UtUisez [ _1 /I1_ ] pour revenir et
avancer entre les hierarchies.
• Sivous appuyez sur [ENTER] sur le fichier
souhait6, la lecture commencera.
p.ex.)JPEG
Io_ CD audio : "CD-DA" s'affichera.
JPEG : Nom du dossier en tours de lecture (Le
nora du dlsque ou de la carte m_moire
SD sera afflch_ pour les premieres
hierarchies).
l_i/ CD audio : Liste des num_ros de plste et des dur_es.
JPEG : Liste des noms de fichiers/dossiers sur
le dossler/disque en cours de lecture
/_}_l CD audio: Num_ro de plste choisie et dur_e.
JPEG: Nom du fichier/dossier s_lectionn_
_!_ Page en cours/nombre total de pages
_ Indication de la page pr_c_dente/suivante.
• Utilisez [SKIP _I_ ] pour revenir et avancer
entre les pages.
• Appuyez sur [TOP MENU] pour revenir au premier
item.
Icons:
m: Dossier
m:Piste de CD audio
_: Fichier JPEG
22 FR

U,,,,,,,,,.TUIRIIII,,,,,................,,,,,
Cet appareil lit _galement sans probl@me les fichiers JPEG
stock,s sur les Kodak Picture CD. Profitez d'une excellente
qualit@ d'image en ins6rant le CD photos dans I'appareil
et en les visionnant sur votre t_16viseur. Cet appareil
accepte jusqu'a la version 7.0 des Kodak Picture CD. Pour
de plus amples informations sur les Kodak Picture CD,
communiquez avec un magasin offrant le service de
d_veloppement Kodak Inc.
1Lorsqu'un Kodak Picture CD est
ins_rd dans cet appareil, son menu
apparait automatiquement _I'_cran.
Image A Image _Image C
I_ge D I_ge E Image
1. Num_ro de la piste en cours /Nombre total de pistes
2. Indication de la page pr_c_dente /sulvante
•En mode arr@, appuyez sur [POP MENU /MENU]
pour faire apparaitre le menu du Kodak Picture CD.
2Utilisez [A IV/_1/A] pour
s_lectionner la piste _lire, ensuite
appuyez sur [PLAY I_ ] ou [ENTER].
• Une image de la piste s_lectionn_e s'affichera
et passera a la prochaine.
• Utilisez [SKIP _ /_ ] pour revenir et
avancer entre les pages.
Appuyez sur [STOP •] pour
interrompre la lecture.
iT
_©
Vous pouvez life les fichiers en format JPEG, et sur une
carte m_moire SD. Avec la carte m_moire SD, vous
pouvez 6galement profiter du contenu compl6mentaire
d'un BD-ROM profil 1 ver.l.1, qu'il est possible de
t@16charger depuis I'lnternet. Vous pouvez conserver le
contenu d'une carte m_moire SD par I'entremise d'un _
ordinateur et la lire avec un le BD-vid_o. Pour de plus _;
amples informations sur le contenu compl6mentaire,
consultez le livret accompagnant le disque. _
m
•Programmation du mode mddia
En mode arr_t, appuyez sur [SETUP]. |
Utilisez [ •/V] pour sdlectionner _,
ensuite appuyez sur [ENTER].
Utilisez [ •/V] pour sdlectionner _,
ensuite appuyez sur [ENTER].
Utilisez [A IV] pour s_lectionner le
rdglage "Sdlection m_dia".
23

5
l I I,,l_ ,,l_ ,,l_
III,,,,,,,EC_'_UIRIII,,,,,,,H,,,III1,,,,,BASIIII:::::
Appuyez sur [ENTER] de mani_re i_ti_ _ i_ Ca_ _ _ _ _
SD".r_p_t_epour s_lectionner "M_moire 1 Ins_rez la carte m_moire SD dans la
II fente pour SD card avec I'_tiquette
tourn_e vers le haut, jusqu'b ce que
vous entendiez un d_clic•
Lalistedesfichiersapparaitra.
6
• Ceci placera I'appareil en mode"M_moire SD'.
Pour la lecture du contenu d'un disque,
quittez le mode"M_moire SD" en
s61ectionnant"Disque".
Appuyez sur [SETUP] pour quitter•
2Suivez I'_tape 2 dans le chapitre
"Lecture d'un CD audio et d'un
Disque Contenant des Fichiers
JPEG." _la page 22.
1
2
En mode arr_t, poussez la carte
m_moire SD puis retirez ientement
votre doigt.
Saisissez ia carte et tirez-la hors de la
fente pour SD card.
24 FR

1Pendant la lecture, appuyez sur
[FWD IIH_] plusieurs fois pour avancer en
mode rapide.
Pendant la lecture, appuyez sur [REV _1_1] plusieurs
lois pour retourner en arri@e en mode rapide.
Chaque lois que vous appuyez sur [FFW I_1_] ou sur
[REV _1_1], la vitesse de lecture change.
2Appuyez sur [PLAYI_] pour reprendre la
lecture normale.
iT
1En mode pause, appuyez sur [PAUSE I I] _ _:;_
plusieurs reprises. ::_
Chaque lois que vous appuyez sur [PAUSE II], la
lecture avancera pas a pas.
2Appuyez sur [PLAY I_] pour reprendre la
lecture normale.
/
Available repeat functionsvarydepending the discs.
1Pendant la lecture, appuyez sur [REPEAT] _
plusieurs fois pour s_lectionner la _'__
fonction souhait_e de r_p_tition.
Pendant la lecture, appuyez sur [PAUSE I I].
Appuyez ensuite sur [FFW IIH_].
Chaque lois que vous appuyez sur [FWD I_1_], la
vitesse de lecture changera.
2Appuyez sur [PLAYI_] pour reprendre la
lecture normale.
R6p6tition du chapitre en
cours de lecture,
R6p6tition du titre en
cours de lecture,
R6p6tition de la piste en
cours de lecture.
R6p6tition de groupe
La lecture de toutes les
pistes sur le m6dia sera
r6p_t_e.
FR 25

IIH............ SIPIIIi""C AIIIIEECTUIRIIII......, ......
m,_ ,m I ,m m,_
Vous pouvez relire une certaine pattie (entre le point A et
le point B) de facon r_p6t6e.
1Durant la lecture, appuyez sur [A-B]
I'endroit o_ vous souhaitez que la lecture
reprenne, point A.
2Durant la lecture, appuyez sur [A-B]
I'endroit oQ vous souhaitez que la lecture
s'arr_.te, point B.
D_s que vous avez d_fini le point B, la partie entre le
point A et le point B commencera la lecture
plusieurs reprises.
• Pour annuler la r_p6tition A-B, appuyez sur [A-R]
une lois de plus.
_Jl_
Certaines BD-vid6o disposent de la fonction PIP (incrustation
d'image) vous permettant d'afficher une deuxi_me image en
surimpression sur la video. Vous pouvez commander
I'affichage de la deuxi&me image en appuyant sur [PIP]
quand la sc_ne contient cette seconde image.
principale
Vous pouvez programmer I'ordre de lecture du disque.
1En mode arr_t, appuyez sur [MODE].
• L'_cran de programmation apparaitra.
2Utilisez [A IV] pour s_lectionner une piste /
un flchier, puis appuyez sur [ENTER].
3
p.ex.) CD audio
• Pour les disque avec fichiers JPEG, utilisez [A IV]
pour s_lectionner un dossier, puis appuyez d'abord
sur [ENTER]. Ensuite, utilisez [A IV] pour
s_lectionner un flchier, puis appuyez sur [ENTER].
• Appuyez sur [CLEAR] pour effacer le dernier fichier
du programme.
• Utilisez [A IV] pour s_lectionner "Annul Tout" au
has de la liste pour effacer toutes les pistes /tousles
flchiers du programme.
• La piste /le fichier programm_ est affich_ dans le
coin droit de I'_cran.
• Si le programme au complet ne peut 6tre affich6
I'_cran, "V" ou "A" s'affiche.
• Utilisez [_1/1_] pour revenir au d6but de la
hi@archie des dossiers.
• Si huit pistes /fichiers ou plus ont 6t_ programm_s,
utilisez [SKIP _ /_ ] pour voir toutes les pistes /
tousles fichiers.
Appuyez sur [PLAY I_ ]pour commencer
la lecture de programme•
• La lecture du programme d_butera.
secondaire
1Pendant la lecture, appuyez sur [PIP].
Les informations correspondant a la fonction PIP
s'afficheront.
2Utilisez [_/V] pour s_lectionner I'image
secondaire que vous souhaiter montrer.
• Le video secondaire sera present a I'_cran et I'audio
secondaire sera une sortie.
3Appuyez sur [RETURN _._]ou [PIP] pour
supprimer los informations
correspondant bla fonction PIP.
26 FR

i[r,,,,,ECT_ IRIIII'''_,,,,,,,,,,,,,SIPIIIl""C@AIIII,,,,,,,,,,,,,,,,,E
Cette fonction d_fait I'ordre 6tabli des pistes /fichiers et
r_gle la lecture en mode al_atoire.
1En mode arr_t, appuyez sur [MODE]
deux reprises.
•L'_cran de lecture al_atoire apparaitra.
p.ex.) CD audio
2Appuyez sur [PLAY I_ ] pour commercer
la lecture al_atoire,
iT
Certains disques BD-vid6o et DVD-vid_o contiennent des 6
sc@nes qui ont _t_ prises simultan_ment avec une cam@a :>
angles multiples. Vous pouvez modifier I'angle de la
cam6ra Iorsque _ apparait a 1'6cran.
1Appuyez sur [ANGLE] pendant la lecture• _
• "'L'angle choisi s'affichera sur la barre "_''cl'amcnageen _
haut de I'_cran.
2Utilisez [A/V] pour s_lectionner I'angle
voulu, /
FR 27

1Pendant la lecture, appuyez sur
[SKIP I_1_1]pour aller _la piste suivante.
Appuyez dessus de mani_re r_p_t_e
pour sauter les pistes suivantes•
Appuyez sur [SKIP _] pour retourner
au d_but de la piste en cours. Appuyez
dessus de mani_re r_p_t_e pour aller aux
pistes pr_c_dentes•
•PourlesfichiersJPEGfiles, appuyezsur [SKIP _ ]
pour reveniraufichier pr6c6dent.
•Recherche de marque
Cette fonction vous permet d'attribuer une marque
particuli_re a un titre ou a une piste afin de les rappeler
plus tard.
1Lots de la lecture, appuyez sur [SEARCH]
plusieurs reprises jusqu'_ ce que le
menu de param_trage de la marque
apparaisse.
2
3
Sous le mode [SEARCH], vous pouvez s61ectionner les
options de recherche suivantes.
4
E311/m
Recherche Titre /Chapitre
m Recherche de Piste
Recherche de Temps
Recherche de Marque
5
Utilisez [_1 !I1_] pour s_lectionner un
num_ro de marque (1 _9).
Lorsque le disque parvient _I'endroit ou
vous voulez fixer une marque, appuyez
sur [ENTER].
• Letitre ou la piste et la dur_e _coul_e apparaitront
l'6cran.
Appuyez sur [SEARCH] ou [RETURN _._]
pour quitter.
Pour revenir _la marque plus tard,
appelez le param_tre de la marque en
appuyant sur [SEARCH] de mani_re
r_p_t_e pendant la lecture ou en mode
arr_t, et utilisez [_1/11_] pour
s_lectionner la marque voulue, puis
appuyez sur [ENTER].
7Lors de la lecture, appuyez sur [SEARCH]
plusieurs reprises jusqu'_ ce que votre
mode de recherche souhait_e
apparaisse.
2Pour effectuer une recherche, entrez le
num_ro du chapitre, de la piste, du titre,
du fichier ou le temps d_sir_ en utilisant
lies Toches num_riques].
• La recherche de chapitre, titre, piste ou dur_e
d_butera.
• Appuyez sur [CLEAR] pour effacer une entree
incorrecte.
28 FR

Vous pouvez s_lectionner le format de I'audio et de lavideo selon votre choix, en fonction du contenu du disque en tours de lecture.
Certains diques BD et DVD peuvent avoir des sous4itres
en une ou plusieurs langues. Pour les disques disponibles
en commerce, on trouvera les langues prises en charge sur
la boite. Suivez les _tapes ci-dessous pour passer d'une
langue de sous4itrage a une autre en cours de lecture.
1Lots de la lecture, appuyez sur
[SUBTITLE] _plusieurs reprises pour
afficher "Primaire", "Secondaire" ou
"Style sous-titres'.
"Primaire': R_gle le sous4itre de la video
principale.
"Secondaire": R_gle le sous4itre de la video
secondaire.
"Style sous-titres": R_gle le style du sous-titrage.
2Utilisez [A IV] pour s_lectionner le sous-
titre ou style souhait&
• Utilisez [_1 /I_] pour basculer entre le r_glage
de sous-tltre actuel et "Hf".
3Appuyez sur [SUBTITLE] de mani_re
r_p_t_e pour quitter•
7Pendant la lecture, appuyez sur [SUBTITLE].
2Utilisez [A/V] pour sdlectionner le sous-
titre voulu•
m •
• Utilisez [_1/I_] pour basculer entre le r6glage de
sous-titre actuel et "Hf".
3Appuyez sur [SUBTITLE] pour quitter.
FR
iT
_©
Certains disques BD et DVD contiennent de multiples
suites audio. Souvent, elles sont offertes en plusieurs
langues audio ou formats audio. Pour BD, I'audio
disponible varie selon le r6glage "Mode Audio BD".
Consultez la page 36 pour de plus amples informations.
1Lors de la lecture, appuyez sur [AUDIO.q] _;_
_plusieurs reprises pour afficher
"Primaire" ou "Secondaire". _
"Primaire": R@gle I'audio de la video principale.
"Secondaire": R@gle I'audio de la vid6o secondaire.
2Utilisez [A /V] pour s_lectionner la suite /
ou le canal audio souhait&
• Pour "Secondaire", utilisez [_1/1_1 pour basculer
entre le r_glage audio actuel et "Hf".
3Appuyez sur [AUDIO i] de manibre
r_p_t_e pour quitter•
1
2Pendant la lecture, appuyez sur [AUDIO =].
Utilisez [A /V] pour s_lectionner la suite
ou le canal audio souhait& _
p.ex.) DVD-vid6o
• Pour CD audio, vous pouvez choisir les options suivantes.
"St_r_o": Les deux canaux, autant le droit et le gauche, _,
sont actifs (st_r_o)
"L-oh": Seul le canal gauche est actif _
"R-oh": Seul le canal droit est actif _'_
3Appuyez sur [AUDIO =] pour quitter.
29

IRIII1"" G,,,,,""III1, ,,,AG IIIrs,,,,,,,,,,,s IP,III1c,,,,,,,,,,,A u x
II existe 2 mani@es de d_finir le r_glage "Mode Audio
BD'; soit 6mettre I'audio secondaire ou interactif
accompagn_ de I'audio principal ou uniquement I'audio
principal. Selon le r6glage du mode, Dolby Digital, Dolby
Digital Plus, Dolby TrueHD, DTS,ou DTS-HD la sortie
change entre multi LPCMet flux binaire.
1En modearr_t et avec un BD ins_r_,
appuyez sur [MODE].
2Utilisez [A/V] pour s_lectionner le
r_glage voulu•
"Sortie Audio Mixte":
Si disponibles, I'audio secondaire et interactif du
BD-vid6o seront _galement en sortie, tout comme I'audio
primaire.
• L'audio secondaire est I'audio de la vid6o secondaire
(Commentaires du r6alisateur, etc.) et I'audio interactif
est celui des applications interactives (Lorsque vous
cliquez sur un bouton, etc.).
"Sortie Audio HD':
Uniquement I'audio primaire sera en sortie. R@glezce
mode afin d'6mettre I'audio Dolby Digital, Dolby Digital
Plus, Dolby TrueHD, DTS ou DTS-HD de BD via connexion
HDMI.
3Appuyez sur [RETURN _._] pour quitter.
• Vous pouvez aussi r6gler le "Mode Audio BD" sur le
menu de configuration. Consultez la page 36.
Vous pouvez ajuster la qualit6 de I'image.
1Pendant la lecture, appuyez sur [MODE].
2UtUisez [A/V] pour s_lectionner I'item
souhait_, puis utilisez [<1 /I_] pour
ajuster le param_tre.
•Niveau noir
Vous pouvez r6gler le r_glage du niveau de noir pour
rendre les parties noires de I'image selon la luminosit6
voulue. Vous pouvez s_lectionner "Ef" ou "Hf'.
"Ef': Montre I'image originale comme enregistr_e.
"Hf': Rend les parties sombres plus lumineuses.
•R_duction du bruit
R_duire le bruit de I'image en lecture.
"1": Execute la r_duction de bruit MPEG, ce qui r_duit le
bruit bloqu6 et le bruit d'insecte darts les sous-titres
d'un film.
"2": Execute la r_duction de bruit 3D, ce qui d_tecte et
supprime le bruit en comparant chaque image.
"3": Execute la r6duction de bruit MPEG et la r6duction
de bruit 3D.
3Appuyez sur [RETURN _,-_]de manibre
rdp_t_e pour quitter•
30 FR

Sous le menu de configuration, vous pouvez modifier les _:,_
param_tres de I'audio, vid6o, langue, etc. Vous ne pouvez ,2!
,/
pas changer les param_tres pendant la lecture.
ke menu" y Rapide" contient des items provenant du
menu " i_i Personnak" qui peuvent _tre utilis6s souvent. _:
En mode arr_t, appuyez sur [SETUP]. d
1
2Utilisez [A /V] pour s_lectionner _,
ensuite appuyez sur [ENTER].
Utilisez [A /V] pour s_lectionner les !9
items souhait_s•
A]
8]
Suivez la procedure ci-dessous, en
fonction des items de r_glage.
A) Si "I_ "ne figure pas a droite des items de
r_glage quand vous mettez en valeur les
items :
Appuyez sur [ENTER] de mani_re r_p_t_e
pour modifier les options.
B) Si "I_ "figure a droite des items de
r_glage quand vous mettez en valeur les
items :
1) Appuyez sur [ENTER].
2) Utilisez [A /V] pour s_lectionner les
options, ensuite appuyez sur [ENTER].
• Utilisez [_1] ou [RETURN _J] pour
revenir a 1'6cran precedent.
Appuyez sur [SETUP] pour quitter•
FR 31

iI ,,r_ i i_ i
IFONCTION IIi}ECONIIIIIIIIQURAT£ON
Le menu " Personnal." contient tous les items de
r6glage.
1
2
3
4
En mode arr_t, appuyez sur [SETUP].
Utilisez [A /V] pour s_lectionner _,
ensuite appuyez sur [ENTER].
UtUisez [A /V] pour s_lectionner la
cat_gorie de r_glage souhait_e,
ensuite appuyez sur [ENTER].
_£ : Langue
_ :Video
_?_: Son
_ : Parent
_ : Autres
• Pour le menu" Parent", suivez la proc6dure
page 40.
Utilisez [A /V] pour s_lectionner les
items souhait_s.
• Les param_tres non disponibles pour
I'appareil courant apparaitront en gris et vous
ne pourrez les s61ectionner.
Suivez la procedure ci-dessous, en
fonction des items de r_glage.
6
A) Si "I_ "ne figure pas a droite des items de
r_glage quand vous mettez en valeur les
items :
Appuyez sur [ENTER] de mani_re r_p_t_e
pour modifier les options.
B) Si "I1_ "figure a drolte des items de
r_glage quand vous mettez en valeur les
items :
1) Appuyez sur [ENTER].
2) Utilisez [A /V] pour s_lectionner les
options, ensuite appuyez sur ]ENTER].
• Utilisez [_1] ou [RETURN _] pour
revenir a 1'6cran precedent.
Appuyez sur [SETUP] pour quitter•
32 FR

• ,,_ Langue
iI ,,r_ al i
IF0 NCTI0 N IDE CONIIIIIIIQUIIRA [1110N
• Pour la mani@e de s61ectionner les 616ments de param6trage et les options, voir" Personnal." page 32.
Son
R6gle la langue pour I'audio.
Sous-Titre
R6gle la langue des sous-titres.
Menu du Disque
D6finit la langue du menu de
disque ou menu contextuek
Menu du iecteur
R6gle la langue du menu du
disque.
Original _ /Anglais /Franqais /Espagnol /Allemand /Italien /Su6dois /
Hollandais /Russe /Chinois /Japonais /Cor6en /Danois /Finnois /
Norv6gien /Islandais /Hongrois /Roumain /Turc /Grec /Irlandais /
Portugais /Polonais /Tch6que /Slovaque /Bulgare /Autre
Hf_ /Anglais /Franqais /Espagnol /Allemand /Italien /Su6dois /Hollandais /
Russe /Chinois /Japonais /Cor6en /Danois /Finnois /Norv6gien /Islandais /
Hongrois /Roumain /Turc /Grec /Irlandais /Portugais /Polonais /Tch6que /
Slovaque /Bulgare /Autre
Anglais* /Franqais /Espagnol /Allemand /Italien /Su6dois /Hollandais /
Russe /Chinois /Japonais /Cor6en /Danois /Finnois /Norv6gien /Islandais /
Hongrois /Roumain /Turc /Grec /Irlandais /Portugais /Polonais /Tch6que /
Slovaque /Bulgare /Autre
English * /Franqais /Espai_ol
• Les param6tres accompagn6s d'un (*) sont des param_tres d'usine.
• Le menu "Rapide" consiste de la programmation des menus utilis_s fr_quemment, et sont accompagn_s de S •
• Si vous s_lectionnez "Autre', inscrivez le code a quatre chiffres de la langue d_sir_e (consultez la liste des "CODE
DE LANGUE" a la page 45). Seules les langues compatibles avec le disque peuvent 6tre s_lectionn6es
_©
FR 33

•; Video
iI ,,r_ al i
IF0 NCTI0 N I1=,}E CONIIIIIIIQUIIRA [1110N
•Pour la mani@e de s61ectionner les 616ments de param6trage et les options, voir" _,_ Personnal." page 32.
Aspect TV
R6gle la taille d'une image en
fonction du rapport hauteur/
largeur de TV connect6.
R_solution Video HDMI
R_gle la r6solution vid6o HDMI.
HDMI Deep Color
R_gle si la sortie d'ir'nage du
terminal HDMI OUT dolt 6tre avec
Deep Color ou non.
Sortie composantes
R6gle la r6solution vid6o pour la
sortie de composant
16:9 Wide*:
Sdectionnez ceci Iorsqu'une t616vision a grand 6cran est connect6e. Les
disques enregistr6s en format grand 6cran sont lus sur tout 1'6cran t616vis6.
4:3 Pan & Scan:
S61ectionnez ceci pour life en mode de recadrage plein 6cran les disques
enregistr6s en format grand 6cran (les c6t6s de I'image coup6s) sur une t616
4:3. Les disques pour lesquels le mode de recadrage n'est pas indiqu6 sont
lus en mode boite aux lettres.
4:3 Letter Box:
S61ectionnez ceci pour life en format panoramique les disques enregistr6s
en format grand @ran sur une t616 4:3. (avec bandes noires dans le haut et
dans le bas de 1'6cran).
16:9 Squeeze:
Lorsqu'une image 4:3 est en lecture, I'image est afflch6e au centre d'un
6cran 16:9 avec un rapport hauteur /largeur de 4:3.
Auto*:
La r6solution vid6o HDMI est automatiquement s61ectionn6e en fonction
de dispositif connect6 HDMI.
480p
720p
1080i
1080p
1080p24:
Donne une reproduction de film naturelle et de grande qualit6 pour tout
tout mat@iel film6 en 24 trames. Le TV connect6 dolt _tre compatible avec
une entr6e de trame 1080p24.
Auto*:
L'image du terminal HDMI OUT sera 6raise avec Deep Color au TV branch6
et prenant en charge Deep Color HDMI.
Hf:
L'image du terminal HDMI OUT sera 6raise sans Deep Color.
480P
480p
720p
1080i
34 FR

iI iiiir_ al i
IF0 NCTI0 N IDE CONIIIIIIIQUIIRA [1110N
Mode Progressif
R_gle le mode progressif optimal
pour la sortie des images du
L_llllllldl NIJIVII %/U I _t U_b
terminaux COMPONENT VIDEO
OUT.
Arr_t sur Image
R_gle la r6solution de I'image et la
qualit6 en mode pause.
Auto*:
Le mode progressif d_tecte tout mat@iel film6 en 24 images (films) et
s61ectionne automatiquement le mode progressif appropri&
Video:
Convient a la lecture de disques de mat@iel vid6o (6missions t616 ou
dessins anim6s),
Auto*:
S61ectionne automatiquement le meilleur r6glage de r_solution ("Image"
ou "Trame') en fonction des caract@istiques des images,
Trame:
Stabilise les images, bien que la qualit6 de I'image peut devenir grossi_re
en raison de la quantit6 limit_e de donn6es, Sdectionnez "Trame" Iorsque
les images sont toujours instables, m6me si "Auto" est s61ectionn&
Image:
Affiche des images relativement immobiles en haute r6solution, "Image"
amdiore la qualit_ de I'image, bien que cela puisse d6stabiliser les images
en raison d'une diffusion simultan6e des deux champs de donn6es,
•Les param6tres accompagn6s d'un (*) sont des param6tres d'usine.
iT
i P:;&
• Le menu "Rapide" consiste de la programmation des menus utilis6s fr_quemment, et sont accompagn6s de j_ .
• Si vous r6glez "R6solution Vid6o HDMI" a "1080p24" et si le contenu du BD n'est pas compatible pour les images
1080p24, vous n'obtiendrez que des images 1080p60. i
• Une image individuelle a 1'6cran est appel6e "Image", soit deux images s6par6es appel_es "Trame". Certaines
images peuvent 6tre brouill_es, a cause des caract@istiques des donn6es, si le r6glage "Arr6t sur Image" est en
mode automatique.
• Si I'image n'est pas sortie correctement vers le TV en raison du r6glage "R6solution Vid6o HDMI" ou "Sortie
composantes", appuyez et maintenez sur [ I_ PLAY] enfonc6 pendant plus de cinq secondes sur I'afficheur du
panneau avant. Les deux param_tres seront automatiquement rapport_s aleur valeur par d_faut.
• Si un c_ble HDMI est connect6, en ce qui concerne la r_solution video pour la sortie de composant, vous pouvez
s61ectionner uniquement la r6solution vid6o sortie actuellement de HDMI OUT ou "480i".
• Si la r6solution video pour la sortie du composant et la r_solution video HDMI sont incompatibles, la r6solution b
video de la sortie de composant passera a "480i". Les prises COMPONENT VIDEO OUT pourraient ne produire
aucun signal selon le mat@iel du disque. _
• Si vous lisez des disques DVD-vid_o proteges, le signal 480p sera 6mis des terminaux COMPONENT VIDEO OUT,
quand le r6glage "Sortie composantes" est d6fini sur "720p" ou "1080i".
35

iI ,,r_ al i
IF0 NCTI0 N IDE CONIIIIIIIQUIIRA [1110N
• _,_Son
• Pour la mani@e de s61ectionner les 616ments de param6trage et les options, voir" _'M Personnal." page 32.
Mode Audio BD
Pour BD, s61ectionnez I'une des
options, de sortir soit I'audio
secondaire et interactif avec
I'audio primaire si disponible, soit
I'audio primaire seulement.
Consultez "R_glage du Mode
Audio BD" a la page 30.
Sortie Audio HDMI
R_gle le format audio de la sortie
audio du terminal HDMI OUT
Sous Echantillon
Configure la sortie audio
num@ique Iors de la lecture d'un
BD ou d'un DVD enregistr_ en
LPCM.
DRC
Configuration Iorsque la port_e du
volume du son (contr61e de la
pottle dynamique) doit 6tre
compress_e Iorsqu'un audio en
Dolby Digital, Dolby Digital Plus
ou Dolby TrueHD est lu.
Sortie Audio Mixte*:
Sortir I'audio secondaire et interactif avec I'audio primaire si disponible.
Sortie Audio HD:
Emet I'audio primaire seulement. R6glez ce mode afin d'_mettre I'audio
Dolby Digital, Dolby Digital Plus, Dolby TrueHD, DTS ou DTS-HD de BD via
connexion HDMI.
Multi HDMl(Normal)*:
Les signaux audio a canaux multiples sont diffus6s par le terminal HDMI
OUT avec un flux binaire ou LPCM.
Multi HDMI(LPCM):
Les signaux audio a canaux multiples sont diffus6s par le terminal HDMI
OUT avec LPCM.
• Consultez les pages 37-39 pour les options de r6glage.
Sourdine:
Coupe le son du signal audio HDMI, et d6finit le format du signal en sortie
du terminal DIGITAL OUT.
• Consultez "R6glage de la sortie num_rique" a la page 37 pour les options
de r_glage.
El*:
Les signaux LPCM sont convertis en 48 kHz pour sortie.
• R6glage sur "El" Iorsque vous utilisez des connexions num6riques a un
amplificateur AV qui n'est pas compatible avec les fr_quences
d'6chantillonnage de 96 kHz.
Hf:
Pour les disques BD et DVD enregistr6s en LPCM sans protection des
copyrights, des signaux audio a 2 canaux allant jusqu'a 192 kHz sont
envoy6s en sortie comme signaux LPCM sans conversion.
Auto_:
Quand les disques ne sont pas enregistr6s au format Dolby TrueHD de
lecture, cet appareil d@ecte le r_glage DRC du disque et d_finit le r6glage
"DRC" sur "El" ou "Hf" automatiquement.
Hf
Ef
36 FR

iI iiiir_ al i
IF0 NCTI0 N IDE CONIIIIIIIQUIIRA [1110N
Ambio virtuel
R6glez pour cr6er un effet
ambiophonique pour un syst6me
deux enceintes.
HP:
L'ambiophonie virtuelle est 6teinte.
1:
Un effet ambiophonique naturel pour un syst_mes a cleux haut-parleurs
branch6s.
2:
Un effet ambiophonique plus intense pour un syst_mes a cleux haut-
parleurs branch6s que pour un a hautparleur unique.
•Les param6tres accompagn6s d'un (*) sont des param6tres d'usine.
• Le menu "Rapide" consiste de la programmation des menus utilis6s fr_quemment, et sont accompagn6s de y .
• Dans les circonstances suivantes, "Multi HDMl(Normal)" et "Multi HDMI(LPCM)" ne sont disponibles.
Le c_ble HDMI n'est pas connect6 a un port HDMI OUT.
L'6cran raccord6 est @eint.
L'@ran raccord6 n'est pas compatible avec la sortie audio.
•S61ectionnez le r_glage "Ambio virtuel" sur "Hf" ou baissez le volume si le son est d6form&
• Ce param_tre prend effet quand le signal audio HDMI est transmis en sortie.
•R_glage de la sortie num_rique
Lorsque I'option "Sourdine" est s61ectionn6e dans "Sortie Audio HDMI", le signal audio de HDMI est en mode
silencieux et les signaux audio de DIGITAL OUTchangent selon le param@rage de "Sortie Num6rique".
Train Binaire*:
Lors de la lecture de disques enregistr6s en Dolby Digital, Dolby Digital Plus, Dolby TrueHD, DTS ou
DTS-HD, le flux principal correspondant (Dolby Digital ou DTS) est en sortie.
LPCM:
Le signal LPCM sera produit en sortie du terminal DIGITAL OUT.
• Ce param_tre prend effet quand le signal audio HDMI est transmis en sortie.
•Programmation des enceintes
Cet appareil vous permet de proflter pleinement du son ambiophonique a canaux multiples, par exemple 7.1 et 5.1.
Encein[eavant
(gauche) Enceinte avant (droite)
En(_ein_@ cent r_le
_ _-i_ _Subwoofer
Enceinte d'ambiophonie (gauche) Enceinte d'ambiophonie (droite)
Ambiophonie arriere (gauche)_ _Am biophonie arriere (droite)
p.ex.) sch6ma d'assemblage de base pour un syst_me ambiophonique 7.1
Pour profiter au maximum, r6glez vos enceintes en cons6quence, tel qu'indiqu6 dans le tableau suivant.
Les options de r6glage des enceintes sont disponibles dans les sections suivantes;
<R6glage des enceintes pour la sortie du signal audio du terminal HDMI OUT >
(Disponible Iorsque vous avez un c_ble HDMI connect6 au terminal HDMI OUT)
Rapide"_ Sortie Audio HDMI "_ Multi HDMI(LPCM)
Personnal. _ Son -_ Sortie Audio HDMI -_ Multi HDMI(LPCM)
iT
37

iI ,,r_ al i
IF0 NCTI0 N IDE CONIIIIIIIQUIIRA [1110N
Comment naviguer dans les param_tres "Multi HDMI(LPCM)".
7Utilisez [A /V] pour votre item de menu souhait_, puis appuyez sur [ENTER].
2UtUisez [A /V] pour s_lectionner les items de r_glage.
• Appuyez sur [RETURN -_-_]pour revenir a I'_cran pr6c_dent.
3Utilisez [_1/ll_] pour s_lectionner les options d_sir_es. (Except_ pour "Test Tonalite',
"Defaut" et les options des param_tres du menu "Taille'.)
Pour r_gler les param_tres du menu "Taille':
appuyez sur [ENTER] pour s_lectionner les options d_sir_es.
Pour "Test Tonalite':
Utilisez [_1/1_] pour s_lectionner "Hf", "Manuel" ou "Auto", puls appuyez sur [ENTER].
• Vous entendrez la tonalit_ d'essai. Si vous choisissez "Manual", utilisez [A IV] pour s_lectionner le enceinte
d6sir6, puis utilisez [_1/1_] pour ajuster le volume. Si vous choisissez "Auto", utilisez [_1/1_] pour ajuster le
volume du enceinte 6mettant la tonalit6 d'essai.
• Si vous d6sirez arr6ter la tonalit6 d'essai, appuyez sur [RETURN -,-@
Pour "Defaut":
Appuyez sur [ENTER[ pour r_initlallser les valeurs par d_faut.
4Appuyez sur [SETUP] pour quitter•
Taille
S_lectionnez I'enceinte
que vous souhaitez
configurer. Changez
ensuite les param_tres
en fonction des
descriptions.
Avant
Centre
Subwofer
Surround
Surround back
Defaut
Haut*
Bas
Haut*
Bas
Ef
Haut*
Bas
Haut*
Bas
Haut:
Pour les grosses enceintes avec de fortes
_pacit6s de reproduction des fr6qu_,,_
basses.
Bas:
Pour les petites enceintes offrant un son
de basse pas trop puissant.
Vous ne pouvez pas modifier le r_glage
du "Subwofer'. Si I'appareil branch_ n'est
pas compatible avec le caisson de basse,
le mot "Subwofer" sera affich_ en gris.
S61ectionnez "Defaut", puis appuyez sur
[ENTER] pour r_initialiser le r6glage
'%aille" aux valeurs par d6faut.
38 FR

iI ,,r_ al i
IF0 NCTI0 N IDE CONIIIIIIIQUIIRA [1110N
Niveaux par Canal
Teste ou r6gle le volume
de chacune des
enceB1tes.
Temp de Decalage
Ce param_tre sert
optimiser le temps
d'attente avant que le
son ne soit _mis des
enceintes, en fonction
de leur distance de la
position d'6coute.
Test Tonalite:
'%est Tonalite" est le
test sonore qu'il est
possible de diffuser
dans les enceintes, ce
qui vous aidera
ajuster leur volume.
Avant Lch
Centre
Subwofer
Avant Rch
Surround Rch
Surround back Rch
Surround back Lch
Surround Lch
Defaut
HP
Manuel
Auto
OdBa-12dB
(0 dB*)
0dBa-12dB
(0 dB *)
0dBa-12dB
(0 dB _)
0dBa-12dB
(0 dB _)
0dBa-12dB
(0 dB _)
0dBa-12dB
(0 dB _)
0dBa-12dB
(0 dB *)
0dBa-12dB
(0 dB _)
SGlectionnez "Hf" pour d_sactiver "Test
Tonalite".
5electionnez "Manuel" et appuyez ensuite
sur [ENTER] pour r_gler manuellement le
volume de I'enceinte d6sir6e.
S61ectionnez "Auto" et appuyez ensuite sur
[ENTER] pour diffuser automatiquement le
test sonore dans chacune des enceintes.
Si vous avez s61ectionn_ "Manuel" dans
'_rest Tonalite", s61ectionnez I'enceinte
que vous souhaitez r6gler et ajustez son
volume.
Si vous s61ectionnez "Auto" dans "Test
Tonalite', la tonalit6 d'essai sera
automatiquement envoy_e en sortie dans
I'ordre. R_glez le volume du haut-parleur
d'ou la sortie de la tonalit6 d'essai est
produite.
S61ectionnez "Defaut', puis appuyez sur
[ENTER] pour r6initialiser le r_glage
"Niveaux par Canal" aux valeurs par
d_faut.
Distance Pieds*
Metres
Avant
Centre
Surround
Surround back
Defaut
Oft a 60ft (12ft*)
(0m _ 18m (3,6m*))
Oft a 60ft (12ft*)
(0m _ 18m (3,6m*))
Oft a 60ft (10ft*)
(0m _ 18m (3,0m*))
Oft a 60ft (10ft*)
(0m _ 18m (3,0m*))
R_glez le syst6me de mesure que vous
souhaitez; ce syst6me de mesure sera
utilis6 pour "Temp de Decalage"
d'attente.
Appuyez sur [ENTER] pour changer le
r6glage.
S61ectionnez la distance entre la position
d'_coute et I'enceinte pour obtenir le
meilleur temps d'attente possible.
S61ectionnez "Defaut', puis appuyez sur
[ENTER] pour r6initialiser le r6glage
'%emp de Decalage" aux valeurs par
d_faut.
• Les param6tres accompagn6s d'un (*) sont des param_tres d'usine.
• Pour "Taille', les r6glages de chacune des tailles d'enceinte peuvent 6tre ajust_s automatiquement en fonction
de chacun des r_glages. (Ex. Si "Avant" est r6g16 a "Bas', vous ne pouvez pas r6gler "Centre", "Surround", et
"Surround Back" a "Haut'.)
• Pour "Temp de Decalage', la dill#fence entre la valeur de chaque haut-parleur ne peut exc6der les 1Sft (4,5m).
iT
i !;£
FR 39

IIhIIIIIlO IIhONI'VECON IlllIIhQUlIRA1IIION
• _ Parent
Le contr61e des valeurs nominales vous permet de fixer une limite, ce qui emp_che les enfants de visionner du
mat@iel inad6quat. La lecture sera interrompue si les valeurs nominales exc6dent les niveaux programm6s. Vous
devrez entrer un mot de passe avant de lire le disque.
1Utilisez [A /V] pour s_lectionner _, ensuite appuyez sur [ENTER].
2UtUisez PiesToches num_riques] pour entre le mot de passe _quatre chiffres.
La premiere fols: Utilisez pies Toches num6riques] pour entrer un num@o a 4 chiffres (hormis 4737), puis
appuyez sur [ENTER]. Ce num@o vous servira de mot de passe a partir de la deuxi_me utilisation. Inscrivez votre
mot de passe, afln de ne pas l'oublier.
• Si vous avez oubli6 votre mot de passe, entrez [4], [7], [3], [7]. Le mot de passe sera effac_ et le niveau de
classification sera r_gl_ a '%out'.
• Pendant que vous entrez votre num_ro de passe, appuyez sur [CLEAR] pour effacer le num@o et entrer
nouveau un mot de passe.
3Poursuivez Avec A - C
A) Niveau nominal BD
1) Utiilsez [A /V] pour s_lectionner "Niveau nomlnal BD', ensulte appuyez sur [ENTER].
2) Utiilsez[A /V]pours_lectionneriesoptionsvoulues, ensuiteappuyezsur[ENTER].
"Tout": Pour effacer les limites.
"R_glage de I'_ge": Pour fixer une limite d'&ge.
• Apr_s avoir s61ectionn6 "R_glage de I'&ge", utilisez pies Toches num_riques] pour entrer I'&ge (0 254).
(par ex., pour 15 ans, appuyez sur [0], [1], [S])
3) Appuyez sur [SETUP] pour quitter.
B) Niveau nominal DVD
1) Utillsez[A /V]pours_lectionner'NiveaunominalDVD',ensulteappuyezsur[ENTER].
2) Utillsez [A /V] pour s_lectionner le nlveau voulu, ensulte appuyez sur [ENTER].
3) Appuyez sur [SETUP] pour quitter.
EXPLICATIONS DES VALEURS
Tout
8[Adulte]
7 [NC-17]
6 [R]
5[PGR]
4[PG-13]
3[PG]
2 [G]
• 1 [Pour Enfant]
: Contrble parental inactif; tousles disques peuvent @re lus.
: Logiciel DVD de toutes categories (adulte/g_n@al/enfants) peuvent _tre lus.
: Moins de 17 ans ne sont pas admis.
: Limit6; accompagnement parental ou adulte requis pour les moins de 17 ans.
: Surveillance parentale recommand_e.
: Ne convient pas aux enfants _g_s de moins de 1 3 ans.
: Surveillance parentale sugg_r6e.
:Audience g_n@ale.
: Convient aux enfants.
C) Modification du mot de passe
1) Utilisez[AIv]pours_lectionner'ChangePassword',ensulteappuyezsur[ENTER].
2) Entrez un nouveau mot de passe _quatre chiffres, puls appuyez sur [ENTER].
3) Appuyez sur [SETUP] pour quitter.
40 FR

• @ Autres
iI ,,r_ al i
IF0 NCTI0 N IDE CONIIIIIIIQUIIRA [1110N
•Pour la mani@e de s61ectionner les 616ments de param6trage et les options, voir" _/ Personnal." page 32.
Ic6ne De L'Angle
Arr6t Auto.
Afficheur
R6gle la luminosit6 de I'affichage
du panneau avant.
Panorama
R_gle I'heure d'affichage pour une
photo (en format JPEG)
S_lection m_clia
S_lectionner le m6dia a lire.
Eft:
L'ic6ne d'angle apparait a 1'6cran Iors de la lecture de la sc6ne avec des
angles vari6s.
Hf:
L'ic6ne d'angle disparait de 1'6cran t616vis6.
Eft:
Si cet appareil ne d6note aucune activit6 pendant plus de 30 minutes, il
s'6teint automatiquement.
Hf:
D6sactive le courant automatique.
Auto_:
L'affichage du panneau avant s'obscurcit en cours de lecture.
Clair:
L'afficheur du panneau avant s'obscurcit.
Sombre:
Le panneau avant s'obscurcit en cours de lecture.
5sec _
10sec
Disque_:
S61ectionner ceci Iorsque vous faites la lecture d'un disque.
Memoire SD:
S61ectionner ceci Iorsque vous faites la lecture d'une carte m6moire SD.
_©
FR 41

i....... j, I
IIIFONCTIONIIi}ECO IIIIIIIIIIIQ RAT O
Initialise le param_tre ou la carte m6moire SD.
Appuyez sur [SETUP] Iorsque
I'appareil est en mode arr_t.
Otilisez [A /V] pour s_lectionner _,
ensuite appuyez sur [ENTER].
Utilisez [A /V] pour s_lectionner
I'option souhait_e, ensuite appuyez
sur (ENTER].
"Non": Quitter sans initialisation.
"Installation":
R_initialise le menu de configuration
aux valeurs par d_faut.
"Dispositif memoire":
Initialise la carte m@_loire SD. Apr_s
I'apparition du message de
confirmation, utilisez [A IV] pour
s61ectionner "Oui", puis appuyez sur
[ENTER].
Appuyez sur [ENTER]. (pour
"Installation" et "Dispositif
memoire" uniquement)
Appuyez sur [SETUP] pour quitter.
42 FR

Si I'appareil ne fonctionne pas correctement Iorsque utilis_ selon les instructions de ce manuel, veuillez v6rifier
I'appareil en suivant la liste de v_rification suivante.
_©
Pas de courant - V_rifiez si le cordon d'alimentation est correctement branch,.
- D6branchez le cordon et attendre 5 a 10 secondes, puis branchez a nouveau.
Pas de son ou d'image - V6rifiez si TV branch6 est allum_.
- Contr61ez que routes les connexions sont correctes et fermes.
- V6rifiez si TV branch6 ou tout autre dispositif est compatible avec HDCP. (Ce
appareil n'6mettra pas un signal de sortie vid6o a moins que I'autre dispositif ne
soit compatible avec HDCP.) 4:
- V6rifiez si le format de sortie pour I'appareil (FORMAT HDMI) correspond au :;
format d'entr6e compatible de I'autre dispositif connect6.
- R6glezla"R6solutionVid6oHDMl"autrequesur"Auto"ou"1080p24".
Image d_form6e - Parfois une petite quantit_ d'images d_form6es peuvent apparaitre.
Ceci n'est pas un fonctionnement d_fectueux.
- Connectez cet appareil directement a la t_16. Si les c_bles audio/video RCA sont
connect6s a un magn_toscope, les images peuvent _tre d_form6es a cause du
syst6me de protection contre la copie. .....
Image compl_tement d6form6e ou - Assurez-vous que le disque est compatible avec cet appareil.
image en noir et blanc sur BD/DVD _
Aucun son ou son d6form6 - R6glez le volume.
- V6rifiez si les enceintes sont bien connect6es.
- V6rifiez la connexions HDMI.
- V6rifiez les r6glages dans le menu _ Son".
Image fige momentan_ment - V_rifiez s'il y a des marques de doigts ou des _gratignures sur le disque;
pendant la lecture nettoyezde avec un chiffon doux du centre au bord.
- Nettoyez le disque.
Le disque ne peut _tre lu - Nettoyez le disque. ::_
- V_rifiez si I'_tiquette du disque est tourn_e vers le haut. _
- V_rifiez si le disque est d6fectueux en essayant un autre disque.
- Annulez les contr61es de classification ou modifiez le niveau de contr61e.
- Ins6rez un disque en bon 6tat pouvant _tre lu par ce lecteur. /
La carte m_moire SD ne peut - Le format de la carte ne correspond pas avec cet appareil ou la carte n'est pas
_tre lue. compatible.
Pas de retour sur I'_cran de - Reinitialisez cet appareil en 1'6teignant et en I'allumant a nouveau.
d6marrage Iorsque le disque est
retir_
L'appareil ne r6pond pas a la - Alignez la t616commande directement avec la fen_tre du capteur infrarouge
t61_commande situ_e sur le panneau avant.
- Diminuez la distance entre la t_l_commande et la fen_tre du capteur infrarouge.
- Remplacez les piles de la td_commande.
- R6ins6rez les piles en respectant la polarit_ (signes +/-) comme indiqu_e.
Les touches ne fonctionnent pas - Pour r_initialiser compl6tement I'appareil, d6branchez le cordon d'alimentation
ou I'appareil ne r_agit plus de la prise de courant pendant 5 a 10 secondes.
L'appareil ne r6agit pas a - Les operations peuvent ne pas 6tre permises par le disque.
certaines commandes pendant Veuillez vous reporter aux directives accompagnant le disque..
la lecture
L'appareil ne lit aucunBD /DVD /- Condensation ? (Laissez reposer pendant 1 ou 2 heures)
CD - Vous tentez de lire un disque autre qu'un disque marqu_ tel qu'indiqu_ a la
page 17.
- Essuyez la salet_ pr_sente sur le disque ou remplacez le disque.
L'angle n'embarque pas - L'angle ne peut _tre modifi_ sur les BD/DVD ne contenant aucun angle multiple.
Dans certains cas, les angles multiples sont uniquement enregistr6s pour
certaines sc_nes.
La lecture ne se fait pas - V_rifiez les r_glages dans le menu " _ Parent".
Iorsqu'un titre est s_lectionn_
Le mot de passe oubli6 pour la - Entrez le mot de passe par d_faut, "473T'; le mot de passe oubli_ sera effac6.
classification
43

Audio analogique
Un signal _lectrique qui repr_sente directement le son.
Comparez-le a l'audio num_rique qui peut _tre un signal
61ectrique, mais qui est une representation indirecte du
son. Voir 6galement "Audio num_rique".
DTS-HD
DTS-HD est une technologie d'encodage sans perte
d6velopp_e pour faire suite a la premiere technologie de
format acoustique DTS. Le disque Blu-ray fonctionne avec
le syst_me de son ambiophonique 7.1.
Fr_quence d'_chantillonnacle
Le taux de mesure d'un son selon un intervalle sp6cifi6
afin de le transformer en donn_es audio num6rique. Le
nombre d'_chantillonnages par seconde d_flnit la
fr_quence d'_chantillonnage. Plus ce taux est 61ev6,
rneilleure est la qualit6 de son.
Audio numdrique
Une representation indirecte du son par des chiffres.
Pendant l'enregistrement, le son est mesur_ a intervalles
r_guliers (44 I00 fois par seconde pour un CD audio) par
un convertisseur analogique-num_rique, qui g_n_re un
flux de nombres. Lors de la lecture, un convertisseur
num@ique-analogique g_n_re un signal analogique
BD-Java
Avec les Blu-ray permettant d'exploiter les applications
Java, vous pouvez proflter des fonctions interactives
comrne les jeux ou les menus interactifs.
Disclue Blu-ray (BD)
Le disque Blu-ray est un disque video optique de
prochaine g_n6ration capable de stocker bien plus de
donn_es qu'un DVD conventionnel. Sa grande capacit6
perrnet de jouir de fonctions telles que les videos haute
d6finition, des sons arnbiophonique multicanaux, des
sons ambiophoniques multicanaux, des menus
interactifs, etc.
Chapitre
Exactement comme un livre est fractionn_ en plusieurs
chapitres, un titre sur un BD-vid_o o DVD-vid_o est
habituellernent divis6 en chapitres. Voir _galement
"Titre".
Code r_ional
Les zones associent des disques et des lecteurs de zones
donn6es dans le monde. Cet appareil ne lira que les
disques avec des codes de zone compatibles. Vous pouvez
trouver le code de zone de votre appareil en regardant sa
face arri_re. Certains disques sont compatibles avec plus
d'une zone (ou toutes les zones).
Dolby Diclital
Lesyst_me de compression du son num6rique d6velopp6
par Dolby Laboratories. II vous offre un son de l'audio
st@6o (2 oh) ou rnulticanal.
HDMI (hiclh-definition multimedia interface)
C'est une interface num_rique vers la source audio et
video. Elle peut transmettre la video composite, I'audio et
un signal de contr61e sur une seule connexion par c_ble.
JPEG (joint photoclraphic experts clrouP)
JPEG est une m_thode de compression des fichiers photo.
Vous pouvez copier des fichiers JPEG sur CD-RW/-R, DVD ou
la carte m_moire SD depuis un ordinateur et lire les fichiers
sur cet appareil.
PCM (pulse code modulation)
Le syst_me le plus courant de codage de l'audio
num@ique, utilis_ sur les CD et les DAT. II offre une
excellente qualitY, rnais requiert beaucoup de donn_es
compar_ aux formats tels que Dolby Digital et MPEG
audio. Pour la compatibilit_ avec les enregistreurs audio
num@iques (CD, MD et DAT) et les arnplificateurs AV
entr6es num_riques, cet appareil peut convertir du Dolby
Digital et du MPEG audio en PCM. Voir _galement "Audio
num@ique".
Piste
Les CD audio utilisent des pistes pour diviser leur
contenu. L'_quivalent sur un BD-vid_o o DVD-vid_o
s'appelle un chapitre. Voir _galement "Chapitre".
Rapport hauteur-larcjeur
La largeur d'un _cran de t616vision par rapport a sa taille.
Les TV conventionnelles sont au format 4:3 (l'_cran de la
TV est presque carr@ ; les modules a @cran large sont au
format 16:9 (la largeur de l%cran de la TV est
pratiquernent _gale a deux lois sa hauteur).
Dolby Dicjital Plus
Dolby Digital Plus se veut la nouvelle g@_ration de
technologie de compression audio d_velopp_e pour faire
suite a la technologie Dolby Digital. Le disque Blu-ray
fonctionne avec le syst_me de son ambiophonique 7.1.
Dolby TrueHD
Dolby TrueHD est une technologie d'encodage sans perte
d_velopp_e pour la nouvelle g6n6ration de disques
optiques. Le disque Blu-ray fonctionne avec le syst6me de
son ambiophonique 7.1.
DTS (Diclital Theater System)
DTS est un syst_me de son ambiophonique multicanaux.
En utilisant un d_codeur DTS, vous pouvez profiter d'un
son dynamique et r_aliste digne des salles de cinema. Les
technologies de son ambiophonique DTS ont #t_
d6velopp_es par DTS, Inc.
44
Sortie de composantes video
Chaque signal de luminance (Y) et des composantes (PB/
C_, P,/C_) est ind_pendant a la sortie afin que vous
puissiez appr_cier les couleurs de I'image telles qu'elles
sont.En outre, en raison de la compatibilit_ avec la video
progressive (525p/480p), vous pouvez profiter d'une
image de plus haute densit_ qu'une image entrelac_e
(525i/480i).
Titre
Un ensemble de chapitres sur un BD-vid6o o DVD-vid_o.
Voir _galement "Chapitre'.
FR

A-B Fidji 5256 Lingalais 5860 Setswana 6660 !J
Abkhaze 4748 Finlandais [FIN] 5255 Lituanien 5866 Shana 6560 _::_
Afar 4747 Fran_ais [FRE] 5264 Mac_donien 5957 Sindhi 6550
Afrikaans 4752 Frison 5271 Malais 5965 Singhalais 6555
Albanais 6563 Galicien 5358 Malayalam 5958 Siswat 6565
Allemand [GER] 5051 Gallois 4971 Malgache 5953 Slovaque [5LO] 6557
Amharique 4759 G_orgien 5747 Maltais 5966 Slovene 6558 4:
Anglais [ENG] 5160 Goujrati 5367 Maori 5955 Somalien 6561 :_
Arabe 4764 Grec [GRE] 5158 Marathi 5964 Soudanais 6567 ,_:
Arm_nien 5471 Groenlandais 5758 Moldave 5961 Su6dois [SWE] 6568 ':_
Assamais 4765 Guarani 5360 Mongol 5960 Swahili 6569
Aymara 4771 Haoussa 5447 Nauru 6047 T
Azerbatdjanais 4772 H_breu 5569 N_palais 6051 Tadjik 6653 ....
Bachkir 4847 Hindi 5455 Norv_gien [NOR] 6061 Tagalog 6658 ZII
Balonga 6665 Hollandais [DUT] 6058 O-R Tamil 6647 _,
Basque 5167 Hongrois [HUN] 5467 Occitan 6149 Tatar 6666
Bengali ; Bangla 4860 I-K Oromo(Afan) 6159 Tch_que [CZE] 4965
Bhoutanais 5072 Indon6sien 5560 Ouolof 6961 T61ougou 6651
Bi61orusse 4851 Interlingua 5547 Ourdou 6764 Thadandais 6654
Bihari 4854 Interlingue 5551 Ouzbek 6772 Tib_tain 4861
Birman 5971 Inupiak 5557 Panjabi 6247 Tigrigna 6655 ::_
Bislama 4855 Irlandais [IRI] 5347 Perse 5247 Tonga 6661
Breton 4864 Islandais lICE] 5565 Polonais [POLl 6258 Turc [TUR] 6664 i
Bulgare [BULl 4853 Italien [ITA] 5566 Portugais [POR] 6266 Turcoman 6657 i
C-E Japonais [JPN] 5647 Provencal 6164 Twi 6669 /
Cambodgien 5759 Javanais 5669 Pushtu ; Pushto 6265 U-Z --
Catalan 4947 Kachm_r_ 5765 Quechua 6367 Ukrainien 6757
Chinois [CHI] 7254 Kannara 5760 Rh_to-Roman 6459 Vietnamien 6855
Cor_en [KOR] 5761 Kazakh 5757 Roumain [RUM] 6461 VolapOk 6861
Corse 4961 Kinyarwanda 6469 Russe [RUS] 6467 Xhosa 7054
Croate 5464 Kirghiz 5771 S Yiddish 5655
Danois [DAN] 5047 Kiroundi 6460 Samoan 6559 Yoruba 7161
Ecossais ga61ique 5350 Kurde 5767 Sangho 6553 Zoulou 7267
Espagnol [SPA] 5165 L-N Sanscrit 6547
Esperanto 5161 Laotien 5861 Serbe 6564
Estonien 5166 Latin 5847 Serbo-Croate 6554
F-H Latvien;Letton 5868 Sesotho 6566
F6ringien 5261
FR 45

Syst@me de signaux NTSC couleur
Puissance recommand6e 120 V AC, 60 Hz
Consommation 30 W (en veille: 0,8 W)
Dimensions (largeur x hauteuw x
profondeur) 17,2 x 2,8 x 13,9 pouces (435 x 70 x 351 ram)
Poids 9,1 Ibs. (4,1 kg)
Temp6ratures recommand6es 41°F (5°C) a 104°F (40°C)
Humidit6 recommand6e Moins de 80 % (pas de condensation)
!l_itlnllnlql
Sortie audio (Analogique)
Termina,deRCA×2 GJD:2Vrms/_mp_dancedesortie:sup_rieure_lk_/
Sortie vid@o
Terminal de RCA x 1 lVp=p (75_)
i_ Sortie video composantes
Terminal de RCA x 3 Y: 1Vp-p (75_) PB/CB: 700mVp-p (75_) PR/CR: 700mVp-p (75_)
Sortie audio (Num@rique)
Terminal de RCA x 1 500mVp-p (75_)
Sortie HDMI
Prise HDMIx 1 Vid6o:480p, 720p, 1080i, 1080p, 1080p24 /Audio
46 FR

_©
FR 47

SYLVANIA
GARANTIE LIMITleE
FUNAI CORE r_parera ce produit sans frais aux Etats-Unis dans le cas d'une d6fectuosit6 des mat@iaux ou d'un
d_faut de fabrication selon les dispositions suivantes :
DURI_E :
PIECES : FUNAI CORP. remplacera les pi_ces d_fectueuses sans frais pour une dur_e d'un (I) an suivant
la date d'achat initial. Certaines pi_ces ne sont pas couvertes par cette garantie.
MAIN D'(IUVRE :FUNAI CORE fournira la main d'ceuvre sans frais pour une p@iode de quatre-vingt-dix (90)
jours suivant la date d'achat initial.
LIMITATIONS ET EXCLUSIONS :
CETTE GARANTIE NE COUVRE QUE L'ACHAT INITIAL DU PRODUIT. UN RECU D'ACHAT OU TOUTE AUTRE PREUVE
D'ACHAT INITIAL SERAREQUISE AVEC LE PRODUIT POUR POUVOIR SEPREVALOIR DE CETTEGARANTIE.
Cette 9arantie ne peut s'#tendre a une autre personne ou autre cessionnaire.
Cette garantie ne sera plus valable si un ou les num@os de s6rie sont modifi6s, remplac_s, sont rendus illisibles,
sont manquants ou si des r_parations ont 6t_ tent6es par un centre de service non autoris6. Cette garantie limit6e
ne s'applique pas aux produits achet_s et utilis_s a I'ext@ieur des Etats-Unis.
Cette garantie ne couvre que les probl_mes causes par des d_fectuosit_s de mat_riaux ou de fabrication qui
surviennent apr_s une utilisation normale. Elle ne couvre pas les dommages causes lots du transport ou les
d_fectuosit_s suite a des r_parations, des modifications utilisant des produits qui ne sont pas autoris_s par
FUNAI CORE ou des dommages suite a un accident, une mauvaise utilisation, une manipulation inad6quate, une
modification, une mauvaise installation, un entretien inad_quat, une utilisation dans un h6tel, pour la location,
dans un bureau commercial ou des dommages causes par le feu, I'eau, la foudre ou tout autre catastrophe
naturelle.
CETTE GARANTIE NE COUVRE PAS LE MATERIEL D'EMBALLAGE, LESACCESSOIRES (SAUF LA TELECOMMANDE), LES
PIECES DITES ESTHETIQUES, LES PIECES D'ASSEMBLAGE, LES MODELES DE DEMONSTRATION OU LES MODELES EN
MONTRE.
FUNAI CORE ET SES REPRESENTANTS OU AGENTS NE SERONT DANS AUCUN CAS RESPONSABLES POUR TOUS
DOMMAGES GENERAUX, INDIRECTS, OU CONSEQUENTIELS SUITE A L'UTILISATION OU A L'ABSENCE D'UTILISATION
DE CE PRODUIT. CETTE GARANTIE EST TENANT LIEU DE TOUTES AUTRES GARANTIES, EXPRESSESOU TACITES ET
DE TOUTES AUTRES RESPONSABILITES DE LA PART DE FUNAI CORE, TOUTES AUTRES GARANTIES INCLUANT LA
GARANTIE DE QUALITE MARCHANDE ET DE COMPATIBILITE SELON UN USAGE PRECIS SONT DECLINEES PAR FUNAI
ET SESREPRESENTANTS AUX ETATS-UNIS.
TOUTES LES VERIFICATIONS ET LES REPARATIONS DOIVENT ETRE EFFECTUEES PAR UN CENTRE DE SERVICE
AUTORISE. CETTE GARANTIE N'ESTVALABLE QUE LORSQUE L'APPAREIL EST APPORTE DANS UN CENTRE DE
SERVICE AUTORISE. LE PRODUIT DOlT ETRE ACCOMPAGNE D'UNE COPIE DE L'ORIGINAL DU RE_U DE L'ACHAT. SI
AUCUNE PREUVE D'ACHAT N'EST FOURNIT, LA GARANTIE NE SERA PAS HONOREE ET DES FRAIS DE REPARATION
SERONT FACTURES.
IMPORTANT :
CETTEGARANTIELIMITEEVOUSACCORDECERTAINSDROITSLEGAUX.CESDROITSPEUVENTVARIERD'UN ETATA
L'AUTRE.SI,AU COURSDE LA PERIODECOUVERTEPARLA GARANTIE,VOUS N'ETESPASENMESURED'OBTENIRUN
SERVICESATISFAISANTDANSLE CASD'UNE REPARATIONDU PRODUIT,VEUILLEZCONTACTERFUNAI CORE
MISE EN GARDE :
FUNAI CORE SE RESERVELE DROIT DE MODIFIER LE PRODUIT SANS AVIS PREALABLE,
NOTE DE GARANTIE AU SUJET DES RI_PARATIONS NON AUTORISI_ES :
Pour obtenir un service couvert par la garantie, vous devez apporter le produit ou le faire parvenir a vos frais, soit
dans son emballage d'origine ou un emballage qui offre une protection _gale, dans n'importe quel CENTRE DE
SERVICE AUTORISE. FUNAI CORE ne vous remboursera pas les frais encourus pour des r_parations effectu6es par
un centre de service qui n'est pas autoris_ sans avoir obtenu une autorisation 6crite au pr_alable.
Pour trouver le CENTRE DE SERVICE AUTORISI_ le plus pres de chez-vous ou pour des
informations gdndrales, veuillez nous contacter au :
FUNAI CORPORATION
Service _la Clientele
Tel: 1-800-968-3429
http://www.sylvania-ce.com
19900 Van Ness Avenue_Torrance, CA 90501
Imprim6 en Chine ESH26UD
1VMN25657 *****