Samsung Electronics Co SPI-2L10022500 Mobile WiMAX Outdoor RAS User Manual

Samsung Electronics Co Ltd Mobile WiMAX Outdoor RAS

Contents

User Manual

EPBD-002040 Ed. 00          Mobile WiMAX RAS SPI-2L10 System Description
    COPYRIGHT This manual is proprietary to SAMSUNG Electronics Co., Ltd. and is protected by copyright. No information contained herein may be copied, translated, transcribed or duplicated for any commercial purposes or disclosed to the third party in any form without the prior written consent of SAMSUNG Electronics Co., Ltd.   TRADEMARKS Product names mentioned in this manual may be trademarks and/or registered trademarks of their respective companies.                       This manual should be read and used as a guideline for properly installing and operating the product.  This manual may be changed for the system improvement, standardization and other technical reasons without prior notice. If you need updated manuals or have any questions concerning the contents of the manuals, contact our Document Center at the following address or Web site:  Address: Document Center 3rd Floor Jeong-bo-tong-sin-dong. Dong-Suwon P.O. Box 105, 416, Maetan-3dong Yeongtong-gu, Suwon-si, Gyeonggi-do, Korea 442-600 Homepage: http://www.samsungdocs.com ©2010 SAMSUNG Electronics Co., Ltd.    All rights reserved.
Mobile WiMAX RAS SPI-2L10 System Description © SAMSUNG Electronics Co., Ltd.  I INTRODUCTION      Purpose This description describes the characteristics, functions and structures of the SPI-2L10, which is the RAS of Mobile WiMAX.   Who Should Read This Manual This description is intended for engineers who want to know the functions and structures of the SPI-2L10 and the Mobile WiMAX equipment operators.   Document Content and Organization This description is composed of five Chapters and an Abbreviation as follows:  CHAPTER 1. Overview of Mobile WiMAX System  Mobile WiMAX System Introduction  Components of Mobile WiMAX Network  CHAPTER 2. System Overview  System Introduction  Main functions  Specifications  Interface between the Systems  CHAPTER 3. System Structure  Hardware Structure  Software Structure
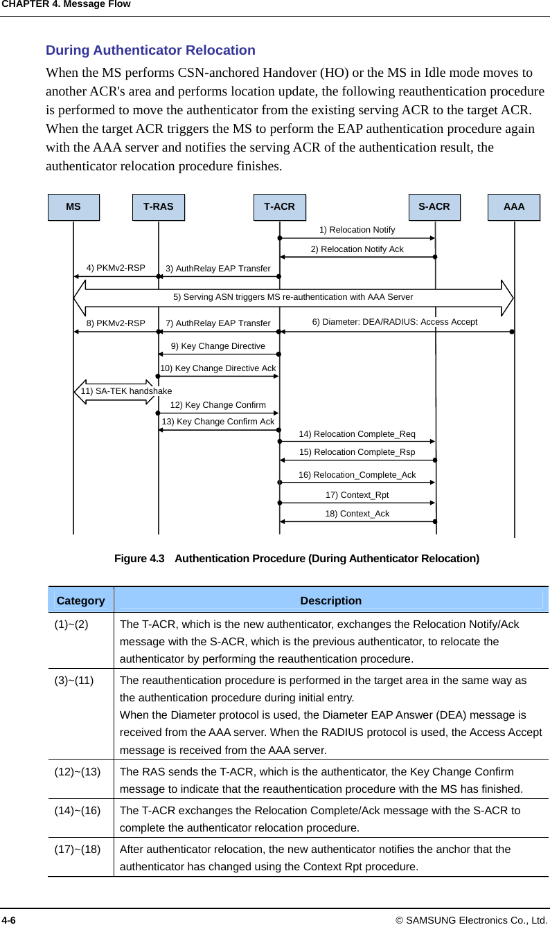
INTRODUCTION II © SAMSUNG Electronics Co., Ltd. CHAPTER 4. Message Flow  Call Processing Message Flow  Bearer Message Flow  Network Synchronization Message Flow  Alarm Message Flow  Loading Message Flow  Operation and Maintenance Message Flow  CHAPTER 5. Additional Functions and Tools Web-EMT  ABBREVIATION Describes the acronyms used in this description.   Conventions The following types of paragraphs contain special information that must be carefully read and thoroughly understood. Such information may or may not be enclosed in a rectangular box, separating it from the main text, but is always preceded by an icon and/or a bold title.   NOTE   Indicates additional information as a reference.   Revision History EDITION  DATE OF ISSUE  REMARKS 00  01. 2010.  First Edition
Mobile WiMAX RAS SPI-2L10 System Description © SAMSUNG Electronics Co., Ltd.  III TABLE OF CONTENTS   INTRODUCTION I Purpose....................................................................................................................................... I Who Should Read This Manual................................................................................................... I Document Content and Organization .......................................................................................... I Conventions................................................................................................................................ II Revision History.......................................................................................................................... II CHAPTER 1. Overview of Mobile WiMAX System  1-1 1.1 Introduction to Mobile WiMAX.............................................................................................. 1-1 1.2 Mobile WiMAX Network Configuration................................................................................. 1-5 CHAPTER 2. System Overview  2-1 2.1 Introduction to System..........................................................................................................2-1 2.2 Main Functions ...................................................................................................................... 2-3 2.2.1 Physical Layer Processing Function........................................................................... 2-3 2.2.2 Call Processing Function............................................................................................ 2-5 2.2.3 IP Processing Functions ............................................................................................. 2-6 2.2.4 Maintenance Function ................................................................................................ 2-8 2.3 Specifications ...................................................................................................................... 2-13 2.4 Interface between Systems................................................................................................. 2-15 CHAPTER 3. System Structure  3-1 3.1 Hardware Structure............................................................................................................... 3-1 3.1.1 Detailed Structure and Functions................................................................................ 3-3 3.1.2 External Interface........................................................................................................ 3-7 3.2 Software Structure................................................................................................................. 3-9 3.2.1 Software Basic Structure............................................................................................. 3-9 3.2.2 Call Control (CC) Block..............................................................................................3-11 3.2.3 OAM Block................................................................................................................ 3-13
TABLE OF CONTENTS IV © SAMSUNG Electronics Co., Ltd. CHAPTER 4. Message Flow  4-1 4.1 Call Processing Message Flow .............................................................................................4-1 4.1.1 Initial Entry...................................................................................................................4-1 4.1.2 Authentication..............................................................................................................4-4 4.1.3 State Transition............................................................................................................4-7 4.1.4 Location Update ........................................................................................................4-13 4.1.5 Paging .......................................................................................................................4-18 4.1.6 Handover...................................................................................................................4-19 4.1.7 Disconnection............................................................................................................4-24 4.2 Bearer Message Flow...........................................................................................................4-26 4.3 Network Synchronization Message Flow ...........................................................................4-27 4.4 Alarm Signal Flow ................................................................................................................4-28 4.5 Loading Message Flow ........................................................................................................4-29 4.6 Operation and Maintenance Message Flow .......................................................................4-31 CHAPTER 5. Additional Functions and Tools  5-1 5.1 Web-EMT.................................................................................................................................5-1 ABBREVIATION I A ~ D ............................................................................................................................................I E ~ L............................................................................................................................................II M ~ R .........................................................................................................................................III S ~ W ........................................................................................................................................ IV
  Mobile WiMAX RAS SPI-2L10 System Description/Ed.00 © SAMSUNG Electronics Co., Ltd.  V  LIST OF FIGURES Figure 1.1    Configuration of Mobile WiMAX System Functions (Based on Profile C).............. 1-3 Figure 1.2    Mobile WiMAX Network Configuration .................................................................. 1-5  Figure 2.1    Operating Networks Separately............................................................................. 2-7 Figure 2.2    Structure of SPI-2L10 Interface........................................................................... 2-15 Figure 2.3    Protocol Stack between NEs............................................................................... 2-16 Figure 2.4    Protocol Stack between SPI-2L10 and WSM ...................................................... 2-16  Figure 3.1    Appearance of the SPI-2L10 (External)................................................................. 3-1 Figure 3.2    Appearance of the SPI-2L10 (Internal).................................................................. 3-2 Figure 3.3    SPI-2L10 Block Diagram....................................................................................... 3-3 Figure 3.4    Detailed Structure of M2RU-2W ............................................................................ 3-6 Figure 3.5    External Interface Layout Plan .............................................................................. 3-7 Figure 3.6    External Interface Configuration............................................................................ 3-7 Figure 3.7    Software Structure of SPI-2L10............................................................................. 3-9 Figure 3.8    CC Block Structure...............................................................................................3-11 Figure 3.9    OAM Software Structure...................................................................................... 3-13 Figure 3.10  Interface between OAM Blocks ......................................................................... 3-14  Figure 4.1    Initial Entry Procedure........................................................................................... 4-2 Figure 4.2    Authentication Procedure (During Initial Entry) ..................................................... 4-4 Figure 4.3    Authentication Procedure (During Authenticator Relocation) ................................ 4-6 Figure 4.4    Awake Mode  Idle Mode State Transition Procedure (MS-Initiated)................... 4-7 Figure 4.5    Awake Mode  Idle Mode State Transition Procedure (Network-Initiated) ........... 4-8 Figure 4.6    Awake Mode  Sleep Mode State Transition Procedure ...................................... 4-9 Figure 4.7    Idle Mode  Awake Mode State Transition Procedure (QCS) ............................ 4-10 Figure 4.8    Inter-RAS Location Update Procedure................................................................ 4-13 Figure 4.9    Inter-ACR Location Update Procedure (PMIP/CMIP).......................................... 4-14 Figure 4.10    Inter-ACR Location Update Procedure (Simple IP) ........................................... 4-16 Figure 4.11    Paging Procedure.............................................................................................. 4-18 Figure 4.12  Inter-RAS Handover Procedure......................................................................... 4-19 Figure 4.13    Inter-ASN Handover (ASN-Anchored Mobility).................................................. 4-21 Figure 4.14    Inter-ASN Handover (CSN-Anchored Mobility).................................................. 4-23 Figure 4.15    Disconnection (Awake Mode)............................................................................ 4-24 Figure 4.16    Disconnection (Idle Mode)................................................................................. 4-25 Figure 5.17    Bearer Message Flow ....................................................................................... 4-26 Figure 4.18    Network Synchronization Flow of SPI-2L10 ...................................................... 4-27
TABLE OF CONTENTS VI © SAMSUNG Electronics Co., Ltd. Figure 4.19    Alarm Signal Flow of SPI-2L10 ..........................................................................4-28 Figure 4.20    Loading Message Flow......................................................................................4-30 Figure 4.21    Operation and Maintenance Signal Flow ...........................................................4-31  Figure 5.1    Web-EMT Interface................................................................................................5-1
Mobile WiMAX RAS SPI-2L10 System Description © SAMSUNG Electronics Co., Ltd.  1-1 CHAPTER 1.  Overview of Mobile WiMAX System      1.1 Introduction to Mobile WiMAX The Mobile WiMAX system is the wireless network system that supports IEEE 802.16 base service. The IEEE 802.16 standard is the basis of Mobile WiMAX, and includes IEEE Std 802.16-2004 defining fixed wireless internet access service and IEEE Std 802.16, P802.16-2004/Cor/D3 defining the technologies supporting mobility, which include handover, paging.   Mobile WiMAX Standard   In this description, the entire Mobile WiMAX standard is expressed IEEE 802.16.  The wireless LAN (Wireless Local Area Network, WLAN) can provide high speed data services, but its radio wave is short and covers only small areas, and also gives limited user mobility. It is difficult for WLAN to ensure Quality of Service (QoS) for data service. On the contrary, the present mobile communication networks support the mobility of the users, but the service charge and the cost of system operations are high due to the limited wireless resources. To provide faster service in the existing mobile communication networks, it requires a separate wireless communication technology such as High Speed Packet Access (HSPA) for the data services.  Mobile WiMAX can, therefore, overcome the limitations of the WLAN and present mobile communication networks, and accommodate only the advantages of the system. Mobile WiMAX can ultimately provide the high speed wireless internet services with low cost at any time and in anyplace.  Samsung Mobile WiMAX System provides high speed data services using the transmission technology of Orthogonal Frequency Division Multiple Access (OFDMA) by the Time Division Duplex (TDD), and can give wider coverage compared to the existing WLAN. The system performance and the capacity have been expanded by the high performance hardware, and thus, it can easily give various functions and services to the users.
CHAPTER 1. Overview of Mobile WiMAX System 1-2 © SAMSUNG Electronics Co., Ltd. Characteristics of the Mobile WiMAX System The major characteristics of Mobile WiMAX system are listed below.  High Compatibility and Cross-Interworking The Mobile WiMAX system is based on IEEE 802.16 standard and complies with Wave 2 Profile and ASN Profile C of the Mobile WiMAX Forum. Therefore, the Mobile WiMAX system provides high compatibility and excellent cross-interworking.  High Performance Module Structure The Mobile WiMAX system has high performance by using high-performance processor and provides the module structure that it is easy to upgrade hardware and software.  High System Stability The Mobile WiMAX system provides the redundancy structure for main modules to ensure higher stability.  Variant Advance RF and Antenna Solution Support The Mobile WiMAX system supports Multiple Input Multiple Output (MIMO) and applies the power amplifier to support wideband operation bandwidth.  Evolution Possibility into Next Generation Networking The Mobile WiMAX system complies with the structure of the Mobile WiMAX ASN Profile C network and the ASN Profile C network composition is similar to the network structure considered in 3GPP Long Term Evolution (LTE)/Service Architecture Evolution (SAE). Therefore, the Mobile WiMAX system can easily evolve into the next generation network.  Maintenance Function with Strengthened Security The Mobile WiMAX system provides the security function (SNMPv2c/SNMPv3, SSH, FTP/SFTP and HTTPs) to all channels for operation and maintenance. The Mobile WiMAX system provides the operator Authentication, Authorization and Accounting (AAA) function to authenticate the operator and assign the right for system access and stores the operation history in a log.
  Mobile WiMAX RAS SPI-2L10 System Description/Ed.00 © SAMSUNG Electronics Co., Ltd.  1-3 Mobile WiMAX System Functions(ACR, RAS) The Mobile WiMAX system consists of Radio Access Station (RAS), Access Control Router (ACR) and Mobile WiMAX System Manager (WSM). RAS manages 802.16 Medium Access Control (MAC)/Physical Layer (PHY) function for Mobile Station (MS), ACR manages various control functions and interworking function between Mobile WiMAX ASN system and CSN system.   System Support Standards   Network Working Group (NWG) of Mobile WiMAX Forum defines the Mobile WiMAX network as Access Service Network (ASN) and Connectivity Service Network (CSN). RAS of Samsung is Base Station (BS) and ACR is ASN-GW (Gateway) of ASN, respectively. RAS and ACR are based on ASN Profile C and Wave 2 Profile defined in the Mobile WiMAX Forum and the Wave 2 Profile contains Wave 1 Profile.  The figure below shows the functions of the ASN systems (ACR and RAS) based on Profile C. Each block name complies with the standard of Mobile WiMAX NWG.  Figure 1.1    Configuration of Mobile WiMAX System Functions (Based on Profile C)  ASN R6 ASN-GW (ACR) Location Register Context Function Handover Function (Handover Relay) Authenticator Key Distributor SFA AAA Client IP Packet Forwarding Header Compression Packet Classification Paging Controller MIP FA  PMIP client BS (RAS) Context Function Handover Function (Handover Control) Key Receiver RRC & RRA ARQ Operation MAC PDU Encapsulation/PHY SFM (Admission Control) DHCP relay agent
CHAPTER 1. Overview of Mobile WiMAX System 1-4 © SAMSUNG Electronics Co., Ltd. The ACR supports the Convergence Sublayer (CS) and performs the packet classification and Packet Header Suppression (PHS) functions. When the ACR carries out the header compression function, it supports Robust Header Compression (ROHC) defined in the NWG standard. In addition, the ACR performs the paging controller and location register functions for an MS in Idle Mode.  In authentication, the ACR performs the authenticator function and carries out the key distributor function to manage the higher security key by interworking with the AAA server as an AAA client. At this time, RAS performs the key receiver function to receive the security key from the key distributor and manage it. The ACR interworks with the AAA server of CSN for authentication and charging services and with the HA of CSN for Mobile IP (MIP) service. The ACR as FA of MIP supports Proxy MIP (PMIP).  The RAS performs the Service Flow Management (SFM) function to create/change/release connections for each Service Flow (SF) and the admission control function while creating/changing connections. In regard to the SFM function of the RAS, the ACR carries out the SF Authentication (SFA) and SFID management functions. The ACR carries out the SFA function to obtain the QoS information from Policy Function (PF) and apply it in the SF creation and performs the SFID management function to create/change/release SFID and map SF according to the packet classification.  In handover, the RAS performs the handover control function to determine the execution of the handover and deal with corresponding handover signaling. The ACR confirms the neighbor RAS list and relays the handover signaling message to the target system. At this time, the ACR and the RAS carries out the context function to exchange the context information between the target system and the serving system.  The RAS provides Admission Control to collect/manage the MS’s radio resource information and the RAS’s own radio resource information (e.g., BSID). When load balancing is required based on Admission Control results, it performs resource management through FA overriding and BS init HO (Handover).   ASN System Function   For the detailed description about the system functions, refer to the system description for each system provided by Samsung.
  Mobile WiMAX RAS SPI-2L10 System Description/Ed.00 © SAMSUNG Electronics Co., Ltd.  1-5 1.2  Mobile WiMAX Network Configuration Mobile WiMAX network is composed of ASN and CSN. ACR and RAS are involved in ASN and WSM is the Network Element (NE) to manage ACR and RAS. CSN is composed of AAA server, HA and PCRF server. ASN is connected with CSN by router and switch.  The following diagram shows the composition of Mobile WiMAX network.  Figure 1.2    Mobile WiMAX Network Configuration  Radio Access Station (RAS) RAS as the system between ACR and MS has the interface with ACR and provides the wireless connection to MS under IEEE 802.16 standards to support wireless communication service for subscribers.  RAS carries out wireless signal exchange with MS, modulation/demodulation signal processing for packet traffic signal, efficient use of wireless resources, packet scheduling for Quality of Service (QoS) assurance, assignment of wireless bandwidth, Automatic Repeat request (ARQ) processing and ranging function. In addition, RAS controls the connection for packet calls and handover. RAS  RAS  RAS  RAS WSM ACR ACRMS MS MS MSEdge Router/SwitchPCRF HA AAA Core Router/SwitchCSNASNInternet DHCP
CHAPTER 1. Overview of Mobile WiMAX System 1-6 © SAMSUNG Electronics Co., Ltd. Access Control Router (ACR) ACR, which is the system between CSN and RAS, enables several RASs to interwork with IP network, sends/receives traffic between external network and MS, and controls QoS. The ACR interfaces with the Authentication, Authorization and Accounting (AAA) server using the Diameter/RADIUS protocols, and with the Policy & Charging Rules Function (PCRF) server using the Diameter protocol. In this way, the ACR provides interfaces for the NEs of the CSN.  Mobile WiMAX System Manager (WSM) WSM provides the management environment for the operator to operate and maintain ACR and RAS.  Home Agent (HA) HA accesses other networks or private networks and enables Mobile IP (MIP) users to access internet. HA interworks with ACR that performs Foreign Agent (FA) function for Mobile IPv4 and interworks with MS to exchange data for Mobile IPv6.  Dynamic Host Configuration Protocol (DHCP) Server The DHCP server allocates IP addresses to simple IP users. When an MS requests an IP address allocation, the DHCP server allocates an IP address in interoperation with the ACR that functions as the DHCP relay agent and sends it to the ACR.  Authorization, Authentication and Accounting (AAA) Server AAA server interfaces with ACR and carries out subscriber authentication and accounting functions. The AAA server interfaces with ACR via Diameter/RADIUS protocol and provides Extensible Authentication Protocol (EAP) certification.  Policy & Charging Rules Function (PCRF) Server The PCRF server is the server that manages the service policy and interfaces with ACR via Diameter protocol. The PCRF server sends QoS setting information for each user session and accounting rule information to ACR.
Mobile WiMAX RAS SPI-2L10 System Description © SAMSUNG Electronics Co., Ltd.  2-1 CHAPTER 2.  System Overview      2.1  Introduction to System The SPI-2L10, RAS of Mobile WiMAX, is controlled by ACR and connects Mobile WiMAX calls to MS.  The SPI-2L10 interfaces with MS via a wireless channel observing the Mobile WiMAX standard (IEEE 802.16) and provides high-speed data service and multimedia service in wireless broadband. To this end, the SPI-2L10 provides the following functions: modulation/demodulation of packet traffic signal, scheduling and radio bandwidth allocation to manage air resources efficiently and ensure Quality of Service (QoS), Automatic Repeat request (ARQ) processing, ranging function, connection control function to transmit the information on the SPI-2L10 and set/hold/disconnect the packet call connection, handover control and ACR interface function and system operation management function.  The SPI-2L10 interfaces with the ACR using the Fast Ethernet method, enabling various control signals and traffic signals to be transmitted stably and quickly.  The SPI-2L10 can be installed in an outdoor environment and supports MIMO and a capacity of 2Carrier/Omni per unit.  The SPI-2331 supports 10 MHz bandwidth per carrier and has a large packet service in high speed. Other features are as follows.  Compact System The SPI-2L10 is a single unit system that has a small system size and is lightweight.  Supporting Outdoor Environment The SPI-2L10 is a system that can be operated in an outdoor environment. To operate normally in an outdoor environment, it detects and controls the inside temperature of the system and collects and reports the temperature-related alarms. Because the SPI-2L10 uses a natural convection mechanism where no fan is used, it tolerates an outdoor environment and has low power consumption.
CHAPTER 2. System Overview 2-2 © SAMSUNG Electronics Co., Ltd. Convenience of Installation and Work The SPI-2L10 can be installed on a wall or pole, or in a rack, and it can be also installed in an outdoor environment, allowing the operator to take appropriate and flexible action for various installation environments.  Supporting MIMO and Use of a High Output Power Amplifier The SPI-2L10 supports the MIMO of 2TX/2RX RF paths to obtain diversity gains and Spatial Multiplexing (SM) effects, increasing the data transfer rate. In addition, it supports a maximum output of 4 W per antenna path and a maximum output of 8 W per system.  High Integrated System The SPI-2L10 has a highly integrated modular structure optimized for the 2Carrier/Omni system. It also has a small system size and is lightweight.  Protection of Software The SPI-2L10 protects software and its configuration information using non-volatile memory within the system.    Providing or not the System Feature and Schedule to Provide the System Feature   For the providing or not the system feature and schedule to provide the features described in this system description, see separate document.
  Mobile WiMAX RAS SPI-2L10 System Description/Ed.00 © SAMSUNG Electronics Co., Ltd.  2-3 2.2 Main Functions 2.2.1  Physical Layer Processing Function OFDMA Ranging The ranging supported by the OFDMA system is roughly divided by the uplink timing synchronization method and the contention based bandwidth request method.  Uplink Timing Synchronization In the uplink timing synchronization method, the SPI-2L10 detects the timing error of the uplink signal by using the ranging code transmitted from MS and transmits the timing correction command to each MS to correct the transmission timing of the uplink. The uplink timing synchronization method has initial ranging, periodic ranging, handover ranging, etc.  Contention Based Bandwidth Request In the contention based bandwidth request method, the SPI-2L10 receives the bandwidth request ranging code from each MS and allocates uplink resources to the corresponding MS to enable to transmit the bandwidth request header. The contention based bandwidth request method has bandwidth request ranging or something.  OFDMA Sub-carrier Allocation The subchannelization is the process to tie the sub-carriers of OFDMA as a transmission unit after grouping them by a certain rule. The SPI-2L10 performs the subchannelization to mitigate the interference between cells. The SPI-2L10 maps the column of the modulated downlink QAM symbol structure with each sub-carrier and carries out the subchannelization when the column of the QAM symbol structure is transmitted to the MS over the wireless line. In such way, the SPI-2L10 transmits the column of the QAM symbol structure to the MS via the sub-carriers pertained to each subchannel.  DL/UL MAP Construction The SPI-2L10 informs the air resources for the uplink and the downlink to the MS by using DL/UL MAP. The DL/UL MAP consists of the scheduling information of the SPI-2L10 and includes various control information for the MS.  Power Control The SPI-2L10 carries out the power control function for the uplink signal received from multiple MSs and then set the power intensity of the uplink signal to a specific level. The SPI-2L10 transmits the power correction command to each MS and then makes the MS power intensity be the level required in the SPI-2L10 when the MS transmits the modulated uplink signal in a specific QAM modulation method.
CHAPTER 2. System Overview 2-4 © SAMSUNG Electronics Co., Ltd. Hybrid-ARQ (H-ARQ) Operation H-ARQ is the physical layer retransmission method using the stop-and-wait protocol. The SPI-2L10 carries out the H-ARQ function to minimize the effect attending to the change of wireless channel environment.  MIMO The SPI-2L10 provides the MIMO function as follows according to Mobile WiMAX Wave 2 Profile:  Downlink  Matrix A (STC) Transmission ratio of the Matrix A or STC is 1 and equal to that of Single Input Single Output (SISO). However The Matrix A or the STC reduces the error of the signal received from the MS by raising the stability of the signal received from the MS by means of the Tx diversity. This technology is, also, effective in low Signal to Noise Ratio (SNR) and provides excellent performance even when the MS moves in high speed.  Matrix B (SM, vertical encoding) Matrix B or SM method raises the effectiveness of the frequency by raising the transmission ratio in proportion to the number of antenna in comparison with SISO. This technology is effective when the reception SNR is high.  Uplink  Collaborative SM Collaborative SM is the technology that doubles the frequency efficiency in view of the SPI-2L10 as two MSs with each individual antenna send data simultaneously by using the same channel.  Adaptive MIMO Switching(SM/STC) The SPI-2L10 provides the adaptive MIMO switching function which selects the SM or STC method dynamically for the downlink MIMO function. The SPI-2L10 performs switching based on a value calculated by reflecting the Carrier to Interference and Noise Ratio (CINR) and transmission success rate sent by an MS.
  Mobile WiMAX RAS SPI-2L10 System Description/Ed.00 © SAMSUNG Electronics Co., Ltd.  2-5 2.2.2  Call Processing Function Cell Initialization Function The SPI-2L10 announces the MAC Management message such as DCD/UCD/MOB_NBR-ADV to the cell area in service periodically to enable the MS receiving the message to carry out the appropriate call processing function.  Call Control and Wireless Resource Allocation Function The SPI-2L10 enables an MS to enter to or exit from the network. When an MS enters to or exit from the network, the SPI-2L10 transmits/receives the signaling message required for call processing via R1 interface with the MS or R6 interface with ACR. The SPI-2L10 allocates various management/transport Connection Identifier (CID) required for the network entry and service to an MS. When the MS exit from the network, the SPI-2L10 collects and release the allocated CID.  Handover The SPI-2L10 carries out the signaling and bearer processing for inter-sector HO (Handover), inter-ACR HO and inter-carrier HO. At this time, ACR relays the handover message between serving RAS and target RAS through the R6 interface.  Support of Sleep Mode Sleep mode is defined in the IEEE 802.16 standard to save MS battery power. When the MS transits to Sleep mode or the MS in Sleep mode returns to Awake mode, the SPI-2L10 sends and receives the required signaling messages to and from the MS and carries out the corresponding call processing functions.  Admission Control (AC) Function When receiving a call setup request, such as network entry, QCS (or network re-entry), or handover request, from the MS, the SPI-2L10 carries out the admission control function that monitors the CPU load, the traffic load and the number of users in Awake mode for each subcell, and the number of service flows for each MS, subcell and QoS class to prevent system overload and guarantee service quality.  MAC ARQ Function The SPI-2L10 carries out the ARQ function of the MAC layer. In packet data exchange, the transmission side transmits ARQ block which SDU is divided into, and retransmits the packet according to the ARQ feedback information received from the reception side to raise the reliability of data communication. The SPI-2L10 carries out the following function for the service flows applying ARQ:  MAC Management creation and transmission concerned with ARQ operation  Feedback processing depending on ARQ types  Block processing (fragmentation/reassemble/retransmission) depending on ARQ types  ARQ timer/window management
CHAPTER 2. System Overview 2-6 © SAMSUNG Electronics Co., Ltd. QoS Support Function To maintain the QoS constraints given to each QoS class or service flow, the SPI-2L10 assigns a queue within the modem to each service flow and performs a scheduling according to the priorities of those service flows. Because real-time traffic has a higher priority than non-real-time traffic, a strict priority scheduling is used to schedule real-time traffic first. All real-time traffic is scheduled considering its transmission delay. All non-real-time traffic is scheduled using the Proportional Fair (PF) scheduling considering efficiency and fairness of air resources. The scheduled air resource assignment is sent to the MS using the MAP. When receiving the MAP, the MS checks the air resources assigned to it and then modulates or demodulates the downlink packets or sends the uplink packets to the assigned uplink area. Meanwhile, the SPI-2L10 can monitor the throughput statistics per service flow and the Service Flow Addition (SFA) statistics per service flow, and provides the statistics for admission control rejection.  2.2.3  IP Processing Functions IP QoS Function The SPI-2L10 supports 8-class DiffServ and mapping between the services classes of the user traffic received from the MS and DiffServ classes. In addition, the SPI-2L10 supports mapping between the Differentiated Services Code Points (DSCP) and the 802.3 Ethernet MAC service classes.   However, to support the backhaul QoS function, the SPI-2L10n must interoperate with an ACR that can support the function above.  Ethernet/VLAN Interface Function The SPI-2L10 provides Ethernet interfaces and supports the Virtual Local Area Network (VLAN) function and the Ethernet CoS function. Here, the MAC bridge function defined in IEEE 802.1D is not supported. The SPI-2L10 allows multiple VLAN IDs to be set for an Ethernet interface. To support Ethernet CoS, it maps the DSCP value of the IP header to the CoS value of the Ethernet header for Tx packets.  Operating Networks Separately The SPI-2L10 allows configuration of two logical VLAN interfaces in a physical interface to support the network operation method in which the network for common user traffic and the network dedicated to management are separated. In this case, the IP address of each VLAN interface must have a different subnet. Of the two VLAN interfaces, one is used for management and the other is used for user traffic. At this time, the SPI-2L10 provides the static routing table configuration function to separate the traffic of two VLAN interfaces and control each traffic path. When the network for common user traffic and the network dedicated to management are not separated, no VLAN interface is used or only one VLAN interface can be used.
  Mobile WiMAX RAS SPI-2L10 System Description/Ed.00 © SAMSUNG Electronics Co., Ltd.  2-7 The following figure shows an example in which the network dedicated to management and the user domain network are operated separately using the VLAN function of the SPI-2L10. In the figure below, the SPI-2L10 is connected to the ASN using a physical link and supports communication with the two logically separated networks using two VLAN interfaces.  Figure 2.1  Operating Networks Separately  Number of IP Addresses for a Backhaul Interface The SPI-2L10 uses one IP address per carrier. Since the SPI-2L10 supports 2carrier, a total of two IP addresses are needed. At this time, the IP addresses used by the two carriers belong to a subnet. The SPI-2L10 can operate the management network (OAM network) and the network for user traffic separately. In this case, the SPI-2L10 requires one additional IP address for interoperation with the WSM. When the management network and the network for user traffic are not separated from each other, no additional IP address is needed. One of the two IP addresses used by the SPI-2L10 is used for interoperation with the WSM. Access Network Network for management  Network for user traffic WSM ACR router router VLAN Interface 1 VLAN interface 2 RAS
CHAPTER 2. System Overview 2-8 © SAMSUNG Electronics Co., Ltd.   IP Address   When the SPI-2L10 does not separate the management network from the network for user traffic, no additional IP address is needed. One of the two basic IP addresses is used for interoperation with the WSM.  2.2.4 Maintenance Function The SPI-2L10 interworking with the management system carries out the following maintenance functions: system initialization and restart, management for system configuration, management for the operation parameters, failure and status management for system resources and services, statistics management for system resources and various performance data, diagnosis management for system resources and services and security management for system access and operation.  Keepalive Monitoring for ACR and RAS The SPI-2L10 monitors the keepalive status for the ACR to check whether the logical backhaul line to the ACR is connected or disconnected. If this line is disconnected, the SPI-2L10 blocks RF output and continues to monitor the up/down status for the ACR. Then, if the SPI-2L10 receives a response message from the ACR again, it decides that the backhaul line is reconnected and starts to send RF output normally.  Graphic and Text-based Console Interface The Mobile WiMAX System Manager (WSM) manages all RASs using the Database Management System (DBMS) and the SPI-2L10 interoperates with the WSM. Moreover, the SPI-2L10 interoperates with the console terminal to allow the operator to connect directly to the system and carry out the operation and maintenance functions. The operator can use the graphics-based console interface (Web-EMT, Web-based Element Maintenance Terminal) or the text-based console interface (IMISH, Integrated Management Interface Shell) according to preferences and work purposes. The operator can access the console interfaces without separate software. For the Web-EMT, the operator can log in to the system using Internet Explorer. For the IMISH, the operator can log in to the system using the Secure Shell (SSH) in the Command window. However, for the Web-EMT, the operator can connect to the system only from a PC where a Web-EMT license is installed and which is authenticated. The operator can view and configure the configuration and operational information and perform fault and status monitoring, and so on using the console terminal. However, the operator can perform resource grow/degrow or change the major parameter values only using the WSM.
  Mobile WiMAX RAS SPI-2L10 System Description/Ed.00 © SAMSUNG Electronics Co., Ltd.  2-9 Interfacing with auxiliary devices The SPI-2L10 supports the Ethernet interfaces (User Defined Ethernet (UDE)) for connecting the provider’s auxiliary devices (for example, an environment monitoring device). The SPI-2L10 also provides traffic paths along which maintenance traffic can be transmitted between the auxiliary devices and the remote auxiliary device monitoring server. For the packets received from an auxiliary device via the UDE port, the SPI-2L10 translates their source IP address (auxiliary device's private IP address  RAS’s public IP address) and then sends them to the external auxiliary device monitoring server. For the packets received from the external via the backhaul port and also destined to an auxiliary device, the SPI-2L10 translates their destination IP addresses (RAS’s public IP address  auxiliary device's private IP address) and sends them to the auxiliary device via the UDE port. To accomplish this, the operator must set an NAT rule in the PI-2L10 and also must configure IP address and port information in the auxiliary device monitoring server to make it communicate with the specified auxiliary devices. Only one UDE port can be used. The SPI-2L10 can interface with up to four auxiliary devices. The bandwidth for an auxiliary device is limited within 128 kbps.  Operator Authentication Function The SPI-2L10 provides the authentication and the permission management functions for the operator who manages the Mobile WiMAX system. The operator accesses the SPI-2L10 by using the operator’s ID and password via Web-EMT or IMISH and the SPI-2L10 assigns the operation right in accordance with the operator’s level. The SPI-2L10 carries out the logging function for access successes or failures and login history, etc. This is not a function provided in interoperation with the authentication server but a local authentication function of the RAS.  Maintenance Function with Enhanced Security Function When communicating with the WSM, the SPI-2L10 supports SNMPv2c and Simple Network Management Protocol version 3 (SNMPv3), and FTP and SSH File Transfer Protocol (SFTP) for security. When communicating with the console terminal, the SPI-2L10 supports Hyper Text Transfer Protocol over SSL (HTTPs) and Secure Shell (SSH).  On-line Software Upgrade When a software package is upgraded, the SPI-2L10 can upgrade the package while running old version of software package. The package upgrade is progressed in the following procedure: ‘Add New Package  Change to New package  Delete Old Package’.  In package upgrade, the service is stopped temporarily because the old process is terminated and the new process is started in the ‘Change to New package’ stage. However, since OS is not restarted, the service will be provided again within a few minutes. After upgrading software, the SPI-2L10 updates the package stored in a non-volatile storage. In addition, the SPI-2L10 can re-perform the ‘Change to New package’ stage to roll back into the previous package before upgrade.
CHAPTER 2. System Overview 2-10 © SAMSUNG Electronics Co., Ltd. Call Trace Function The SPI-2L10 supports the call trace function for a specific MS. The SPI-2L10 can carry out the call trace function up to 10 MSs. If a call occurs in the MS that an operator previously specified via ACR, the signaling message and statistical traffic data are transmitted to WSM. Besides, the SPI-2L10, also, sends the RF environment information, such as Carrier-to-Interference-and-Noise-Ratio (CINR) for MS, Modulation and Coding Schemes (MCS) level and Burst Error Rate (BER).  Detailed Information for Each Session and Service Flow (PSMR/PSFMR) The Mobile WiMAX system of Samsung collects and stores detailed information of all sessions (Per Session Measurement Record, PSMR) and detailed information of all service flows (Per Service Flow Measurement Record, PSFMR) to provide it to an external log server. When a session or service flow is created, the Mobile WiMAX system starts to collect relevant information, and when the session or service flow terminates, the system creates and stores a message in a file so that the external log server can collect the message. The information collected by the ACR includes session termination time, initial and final handover information (handover types, cell information), and the MAC address and IP address allocated to the MS. The SPI-2L10 collects such information as MS MAC addresses, continued session time, continued service flow time, turnaround time for network entry, CID, SFID, initial and final wireless quality information (RSSI, CINR, Tx power), and throughput information.  The ACR deliver the information collected by ACR to the SPI-2L10, and the SPI-2L10 creates and stores a file for each period.  Threshold Cross Alert (TCA) Control The SPI-2L10 defines under/over threshold for statistics. When a statistical value collected at Bucket Interval (15, 30, and 60 minutes) is lower than the under threshold, it generates an under TCA alarm. When the value is higher than the over threshold, it generates an over TCA alarm. The alarms are reported to the WSM. TCA can enable or disable details of each statistical group and set a threshold per severity.  IEEE 802.3ah   The SPI-2L10 provides IEEE 802.3ah Ethernet OAM for a backhaul interface. Although IEEE 802.3ah OAM pertains the PHY layer, it is located in the MAC layer so that it can be applied to all IEEE 802.3 PHYs. It creates or processes 802.3ah OAM frames according to the functions defined in the specification. Ethernet OAM continuously monitors the connection between links at each end, and also monitors discovery, remote loopback, and error packets which deliver important link events such as Dying Gasp. It also includes a link monitoring function which delivers event notification in the event of threshold errors, and a variable retrieval function for 802.3ah standard MIB. The SPI-2L10 supports 802.3ah Ethernet OAM passive mode such as responding to 802.3ah OAM which is triggered in external active mode entities and loopback mode operation, and sending event notification.
  Mobile WiMAX RAS SPI-2L10 System Description/Ed.00 © SAMSUNG Electronics Co., Ltd.  2-11 Integrity Check The SPI-2L10 proactively checks whether system configuration or operation information (PLD) is in compliance with operator commands during system loading or operation, and also checks whether system settings are OK and there is no problem with call processing. If the result is not OK, it sends an alarm to the operator. That is, it checks whether system configuration meets the minimum configuration conditions for call processing or whether all operation information consists of valid values within an appropriate range. The result is reported to the operator to help with correction of errors.    OAM Traffic Throttling The SPI-2L10 provides a function that suppresses OAM related traffic which can occur in the system depending on the operator command. The OAM related traffic includes fault trap messages for alarm reports and statistics files that are created periodically. In a fault trap, the operator can use an alarm inhibition command to suppress alarm generation for all or some of system fault traps. This helps control alarm traffic. In a statistics file, the operator can use commands for statistics collection configuration to control the size of statistics file by disabling collection functions of each statistics group.  Throughput Test The SPI-2L10 provides a throughput test for the backhaul to the ACR. The SPI-2L10 supports a server and client function for throughput tests. The operator can set up target IP addresses, test duration, and bandwidths for throughput tests, and check throughput and loss as test results. However, as the throughput test affects system performance and call services, it is recommended not to perform the test during in-service.  System Log Control The SPI-2L10 provides a log and log control function per application. An application log can be created by an operator command or its debug level can be set. The operator can usually keep the log function disabled, and when the log function is necessary, he can change the debug level (Very Calm, Calm, Normal, Detail, Very Detail) to enable logging and log save functions. However, enabling log functions for many applications while the SPI-2L10 is running may affect the system performance.
CHAPTER 2. System Overview 2-12 © SAMSUNG Electronics Co., Ltd. Disabling Zero Code Suppression (ZCS) The SPI-2L10 collects statistics data and generates statistics files periodically. The WSM collects these statistics files. A statistics file is composed of the header used to indicate a statistics group and its detailed index (for example, a specific carrier, sector, CPU, port, etc.) and the statistics data for that index. In a statistics period, the statistics data for a specific index can become zero in a statistics file in the following cases:  When the index does not actually exist in the configuration.  When the index exists in the configuration but its statistics data collected during that period is zero.  Therefore, the Disabling ZCS function, which sets the zero data flag in the sub index header, is provided to recognize the two cases separately.
  Mobile WiMAX RAS SPI-2L10 System Description/Ed.00 © SAMSUNG Electronics Co., Ltd.  2-13 2.3 Specifications Capacity The capacity of the SPI-2L10 is as follows:  Category  System Capacity Maximum Number of Carriers/Sectors  2 Carrier per RAS Sector Omni Backhaul Interface  1000 Base-LX 1 Port  RF Specification The RF specifications of the SPI-2L10 is as follows:  Category  Description Operating Frequency  2,496~2,690 MHz Channel Bandwidth  5MHz/10 MHz Output  Reference for the port for system antenna interfacing - 1 W + 1 W per Carrier @5 MHz - 2 W + 2 W per Carrier @10 MHz  Unit Size and Weight The table below lists the size and weight of the SPI-2L10.  Category  Description Size (W × H × D, mm)  335 × 450 × 180 Weight (kg)  25 or less  Input Power The table below lists the power standard for the SPI-2L10.  Category  Description System Input Voltage  -48 VDC Power Consumption  - Typical: 188 W (TBD) - Max: 220 W (TBD) * Condition: Based on room temperature, DL:UL=29:18
CHAPTER 2. System Overview 2-14 © SAMSUNG Electronics Co., Ltd. Environmental Condition The following table specifies the operating temperature, humidity, vibration, wind velocity and waterproof ranges within which the SPI-2L10 can operate, as well as the strength of the noise and electromagnetic interference produced during operation of the SPI-2L10.  Category  Range  Standard Temperature -40~45˚C GR-487-CORE Sec. 3.29 Humidity  5~95% (Condensing up to 32˚C and not to exceed 0.024 kg water/kg dry air) GR-487-CORE Sec.3.34.2 Noise  Acoustical Noise Suppression (Outdoor) - Under 65 dBA at a height of 1.0m and distance of 1.5m - Measured point add: top roof GR-487-CORE Sec.3.29 EMI  Meets class B.  FCC Part 15 EMS/EMI  Meets the standard.  GR-1089-CORE Section2, 3, 4 Vibration Immunity  - Earthquake: Zone4 - Office Vibration : 5~100 Hz, 1g, 0.25 octave/minute - Transportation Vibration : 5~20 Hz: 0.01 g2/Hz 20~200 Hz: -3 dB/octave GR-63-CORE Sec.4.4 Wind Immunity  No damage when subject to winds in excess of 150 miles per hour GR-487-Core 3.30 Waterproof  Meets IP55.  IEC 60529
  Mobile WiMAX RAS SPI-2L10 System Description/Ed.00 © SAMSUNG Electronics Co., Ltd.  2-15 2.4 Interface between Systems Interface Structure The SPI-2L10 interfaces with another RAS and ACR as shown in the figure below:  Figure 2.2    Structure of SPI-2L10 Interface   Interface between SPI-2L10 and MS The SPI-2L10 interfaces with an MS according to the IEEE 802.16 radio access standard to exchange the control signal and the subscriber traffic.  Interface between SPI-2L10 and ACR The interface between an ACR and the SPI-2L10 in the same ASN is R6 and its physical access method is GE/FE. The R6 is the interface between ACR and RAS defined in Mobile WiMAX NWG and is composed of signaling plane (IP/UDP/R6) and bearer plane (IP/GRE).  Interface between SPI-2L10 and WSM The interface between the SPI-2L10 and the WSM complies with SNMPv2c or SNMPv2c/SNMPv3c of IETF standard, FTP/SFTP and proprietary standard of Samsung and its physical access method is GE/FE.  Interface between SPI-2L10 and GM The interface between the SPI-2L10 and GM is IEEE 1588 protocol (PTP) and its physical access method is GE.This interface is for data and control signal for system synchronization. PTP CSN AAA ACR R3(Diameter/RADIUS, MIP, DHCP) R6 R1(802.16) R4 SNMP, SFTP PCRF MS WSM SPI-2L10 RASR6 R8 ACR RASHA ASN DHCP GM(1588 Master)
CHAPTER 2. System Overview 2-16 © SAMSUNG Electronics Co., Ltd. Protocol Stack  Protocol Stack between NEs The figure below shows the protocol stack between NEs.  Figure 2.3    Protocol Stack between NEs  The SPI-2L10 interworks with MSs via R1 interface according to IEEE 802.16 standard and the interface between the SPI-2L10 and ACR is R6 interface. The R6 signaling interface is executed on UDP/IP and the R6 traffic interface uses the GRE tunnel.   Protocol Stack for Operation and Maintenance  Figure 2.4    Protocol Stack between SPI-2L10 and WSM  The ACR interworks with WSM in IP/UDP-based SNMP method to carry out the operation and maintenance functions. In particular, the SPI-2L10 interworks with WSM in IP/TCP-based FTP/SFTP (FTP over SSH) method to collect the statistical data periodically, initialize & restart the system and download software. WSMRAS IPApplication FTPTCPSSHFTPTCPSSHL2 IP ApplicationSNMP UDP  UDPSNMPL1 L2 L1 16PHY 802.16  MAC 802.16  PHY 802.16 MAC GRE(R6)R6UDPIPL2L1MS RAS  ACR GRE(R6)R6UDP L2 L1 IPL2L1802.16 PHY
  Mobile WiMAX RAS SPI-2L10 System Description/Ed.00 © SAMSUNG Electronics Co., Ltd.  2-17 Physical Interface Operation Method Meets IP55.The operation and maintenance interface (interface with WSM) is operated in in-band method, which shares the common user traffic interface.
CHAPTER 2. System Overview 2-18 © SAMSUNG Electronics Co., Ltd.  This page is intentionally left blank.
Mobile WiMAX RAS SPI-2L10 System Description © SAMSUNG Electronics Co., Ltd.  3-1 CHAPTER 3.  System Structure      3.1 Hardware Structure The SPI-2L10 is configured as follows.  Figure 3.1    Appearance of the SPI-2L10 (External)
CHAPTER 3. System Structure 3-2 © SAMSUNG Electronics Co., Ltd.   M2DA-A  U-RAS Light series-1 Digital board Assembly-A PDP-T3R Power Distribute Panel-T3R TSCM-I  ToP Slave Clock Mezzanine board assembly-Industrial UCCM-P  Universal Core Clock Module-Plus M2RU-2W  U-RAS Light series-1 Radio Unit-2 Carrier W Figure 3.2    Appearance of the SPI-2L10 (Internal) M2DA-A PDP-T3R  M2RU-2WTSCM-I UCCM-P 삭제됨: Plus삭제됨: M2RU-2W U-RAS Light series-1 Radio Unit-2 CarrierUCCM-P Universal Core Clock Module-Plus
  Mobile WiMAX RAS SPI-2L10 System Description/Ed.00 © SAMSUNG Electronics Co., Ltd.  3-3 3.1.1  Detailed Structure and Functions The structure and the function blocks of the SPI-2L10 are as follows.  Figure 3.3    SPI-2L10 Block Diagram  Board Name  Quantity  Function M2DA-A  1  Mobile WiMAX light series 2Digital board Assembly-A - The main processor for the system (Control, Bearer, O & M) - Channel card for processing wireless channels - Provides various Ethernet interfaces. UCCM-P  1  Universal Core Clock Module-Plus Generates and distributes network synchronization clocks by receiving GPS signal. TSCM-I  1  ToP Slave Clock Mezzanine board assembly-Industrial Generates and distributes network synchronization clocks by receiving timing information from IEEE 1588 Master via Ethernet network. M2RU-2W  1  Mobile WiMAX light series 2 Radio Unit-2 Carrier W - Carries out the transceiver function. - Amplifies RF signal level so that RF output can be provided from the antenna port. - TDD switch function: Identifies the sending and receiving signals - Amplifies low level noise from the received RF signals - Suppresses spurious waves from the bandwidth radiating from the RF signals PDP-T3R  1  Power Distribute Panel-T3R Provides DC-48V input power to the system. SPI-2L10 GPS RF signal   (2Tx/2Rx) PP2S TOD   Ethernet  Antenna  PDP-T3R DC -48 V -48 VDCACRConsole/Craft /Rectifier CPRI, Digital I/Q & OAM ClockModem ScheduleProcessor Memory Filter  TDD Switch  Power Amp LNA  Transceiver UCCM-P  M2DA-A M2RU-2W TSCM-I-48 VDCEthernet 1588 Master
CHAPTER 3. System Structure 3-4 © SAMSUNG Electronics Co., Ltd. M2DA-A The M2DA-A is the software that carries out the SPI-2L10 routing protocol function. The M2DA-A operates and maintains the SPI-2L10. It makes it possible for the SPI-2L10 to interface with the ACR and provides a communication path between processors within the system. Moreover, the M2DA-A generates reference clocks, supplies them to the lower hardware blocks, and carries out the signal processing function for subscriber signals.  From a functional standpoint, the M2DA-A consists of the following.  Network Interface Part The Network Interface part of the M2DA-A interfaces with the ACR via Fast Ethernet, and provides the following interfaces and ports.  One 1000 Base-LX port  Control Part The Control part of the M2DA-A performs the topmost control of the SPI-2L10. It downloads the software in the system, manages the status of all hardware/software, and reports it to the WSM via the ACR. In addition, the Control part assigns the trunk lines and channel resources within the system and performs call processing, system operation and maintenance, and TDD signal control.  Signal Processing Part The Signal Processing part of the M2DA-A is equipped with a modem that supports the IEEE 802.16/16e Mobile WiMAX standard physical layer (PHY).This modem processes OFDMA signals under control of the Control part. That is, the Signal Processing part modulates the packet data received from the ACR and sends them to the RF Processing part. In the other direction, the Signal Processing part carries out the Automatic Gain Control (AGC) function on the data received from the RF Processing part, converts them to the format defined in the specifications of the IEEE 802.16/16e Mobile WiMAX standard physical layer. The Signal Processing part can support 2-branch Rx diversity, by default, and, further, 2Carrier/Omni 2Tx/2Rx SM/STC-MIMO.  GPS Reception and Clock Distribution Part The M2DA-A can receive synchronization signals via the GPS or IEEE 1588 master. The M2DA-A interfaces with the Universal Core Clock Module-Plus (UCCM-P) to receive GPS signals. The UCCM-P generates reference clocks (PP2S, 10 MHz, TOD) using the signals from the GPS so that each block of the SPI-2L10 can operate with a synchronized clock system. The reference clocks generated by the UCCM-P are regenerated by the CPLD and PLL within the M2DA-A as the clocks necessary for each block and they distribute those regenerated clocks to their corresponding blocks. These clocks are used to maintain internal synchronization in the SPI-2L10 and operate the system. If GPS signals, which have been provided continually, are not provided due to a fault, the UCCM-P uses its previously learned ability to carry out the holdover function which provides clocks in the locked state for a specific period of time (24 hours).
  Mobile WiMAX RAS SPI-2L10 System Description/Ed.00 © SAMSUNG Electronics Co., Ltd.  3-5 In addition, by using the TSCM-I, which is a slave board embedded in the IEEE 1588 function, the M2DA-A receives the timing information which is transmitted via the Ethernet network from the IEEE 1588 master and generates reference clocks using the received timing information. The generated reference clocks are regenerated as the clocks necessary for each block within the M2DA-A, and are distributed to them. These clocks are used to maintain internal synchronization in the SPI-2L10 and operate the system.  M2RU-2W The M2RU-2W is a unified RF board that carries out the transceiver, power amplifier, TDD switch, and Low Noise Amplifier (LNA) functions in the SPI-2L10.  Downlink (Tx) Signal Processing The M2RU-2W converts the baseband signals received from the M2DA-A to analog IF signals through Digital-to-Analog Conversion (DAC). These analog IF signals are again frequency upconverted into signals of RF bandwidth and then sent to the power amplifier. The power amplifier performs power amplification on those received signals of RF bandwidth and then sends them to the filter. The filter suppresses spurious radiation, except the received RF signals within the RF signal bandwidth, and then sends those RF signals through the antenna. At this time, the strength of the RF signals sent per Tx path is 2W/4 W at the RF output port.  Uplink (Rx) Signal Processing The filter suppresses spurious radiation, except the RF signals, which are received through the antenna, within the RF signal bandwidth. The received signals are filtered and are low noise amplified by the LNA, and then down converted into IF signals. The converted IF signals undergo Analog-to-Digital Conversion (ADC) to obtain baseband signals, and then are sent to the M2DA-A.  TDD Operation The M2RU-2W includes a TDD switch. The TDD switch of the M2RU-2W receives TDD signals from the M2DA-A and performs switch-over for sending and receiving paths to make the SPI-2L10 operate as a TDD system. The TDD switch sends the received TDD signal to the power amplifier so that it can operate in the Tx section.
CHAPTER 3. System Structure 3-6 © SAMSUNG Electronics Co., Ltd.  Figure 3.4    Detailed Structure of M2RU-2W  PDP-T3R The PDP-T3R is the power distribution device that distributes -48VDC power applied to the SPI-2L10 to other blocks and devices in the system.  M2RU-2W Filter TDD S/W DUC/DDC ADC/DAC PA  LNA  PA LNACPRITrafficM2DA-A 삭제됨: ClockAlarm and Control
  Mobile WiMAX RAS SPI-2L10 System Description/Ed.00 © SAMSUNG Electronics Co., Ltd.  3-7 3.1.2 External Interface The external interface layout plan of the SPI-2L10 is as follows.  Figure 3.5  External Interface Layout Plan  Figure 3.6    External Interface Configuration  B/H GPS  UDE RSVD PWR Ant A  Tx A  Ant B Tx B TDD Backhaul GPS Antenna Reserved UDE Debug (Processor) Debug (Processor) Debug (UCCM-P)   Power Input  Power ModuleM2DA-ARF Antenna RF Antenna Tx Test Port Tx Test Port TDD Switching Signal M2RU-2W삭제됨: Rsvd삭제됨: UDE
CHAPTER 3. System Structure 3-8 © SAMSUNG Electronics Co., Ltd.  Connector Name Connector Type  Board  Quantity Waterproof Specification Usage ANT A, ANT B N Type  M2RU-2W  2  IP55  The RF output port (Carrier #0, Carrier #1). Connected to an external RF antenna. TX A, TX B  SMA  M2RU-2W  2  IP55  The port for monitoring RF output. Used to measure output signals. TDD  SMA  M2RU-2W  1  IP55  The port for outputting the duration of output and input signals. Connected to a measurement device. GPS N Type M2DA-A  1 IP55  Connected to the GPS antenna. PWR Power connector PDP-T3R  1  IP67  The connector for DC -48 V input power. B/H  LC  M2DA-A  1  IP67  The port for connecting 1000Base-LX Optic backhaul. UDE RJ-45 M2DA-A 1 IP 67  UDE/Craft/Console RSVD RJ-45 M2DA-A  1 IP67  This port is used for only R&D. -  Mini USB  M2DA-A  3  N/A  The port for debugging the processor and UCCM-P. Open the waterproof cover and connect a cable.
  Mobile WiMAX RAS SPI-2L10 System Description/Ed.00 © SAMSUNG Electronics Co., Ltd.  3-9 3.2 Software Structure 3.2.1  Software Basic Structure The components of the SPI-2L10 software are shown below: Operating System (OS), Device Driver (DD), Middleware (MW), Network Processor Software (NPS), IP Routing Software (IPRS), and application. The application is divided by Call Control (CC) block for the call processing and the OAM block for operation and maintenance of the SPI-2L10.  Figure 3.7  Software Structure of SPI-2L10  Operating System (OS) OS initializes and controls the hardware device, and runs the software operation in the hardware. To operate the software, OS uses the embedded Linux OS, and manages the dual software processes. Then, OS provides various functions efficiently with limited resources.  Middleware (MW) MW helps the smooth operation between OS and application under various types of hardware environment, and to achieve this, MW provides various services: message delivery service between applications, event notification service, debugging utility services. In addition, the MW provides the systematic and strong management of the account, the authority and the authentication function.  Device Driver (DD) DD manages the normal operation of applications that OS does not control in the system. DD provides the API for the user processor to setup/control/detect the hardware device. Also, DD confirms the device configuration by receiving the configuration data from the upper user processor, and also provides the functions of register manipulation for device operation, device diagnosis, statistics and status management.  MW IPRSOS DD NPS Hardware OAMCC APPLICATION
CHAPTER 3. System Structure 3-10 © SAMSUNG Electronics Co., Ltd. Network Processor Software (NPS) NPS manages the innate functions of Network Processor (NP) that mainly processes the packets, and it connects the upper processor and NP in Board Processor (BP), and provides the functions of NP message processing, NP statistics data collection and report.  IP Routing Software (IPRS) IPRS executes the IP routing protocol function. IPRS collects and manages the system configuration and status data necessary for IP routing operation, and based on the data, it generates the routing table via the routing protocol, and makes packet forwarding possible.  Call Control (CC) CC is a software subsystem that processes the calls in the SPI-2L10, and CC interfaces with MS and ACR. CC supports data exchange function to support wireless data service such as the MAC scheduling, air link control, ARQ processing and IEEE 802.16 message processing.  Operation And Maintenance (OAM) The OAM provides the interface (SNMPv2c/SNMPv3, FTP/SFTP, HTTPs, SSH) of which the security is strengthened, and which is standardized to interwork with the upper management system such as the WSM, the Web-EMT and console terminal based on the IMISH.  In addition, this performs the functions of initializing and restarting the system, collecting the statistics for processing the call and various performance data, managing the system configuration and resources, managing the status of the software resources and the hardware resources, managing the failure and performing the diagnostics for the operation and the management of the SPI-2L10.
  Mobile WiMAX RAS SPI-2L10 System Description/Ed.00 © SAMSUNG Electronics Co., Ltd.  3-11 3.2.2  Call Control (CC) Block The CC block caries out the resource management function of the SPI-2L10 and the BS function of ASN Profile-C defined in NWG of Mobile WiMAX forum. The CC block consists of RAS Resource Controller (RRC), RAS Service Controller (RSC) and RAS Traffic Controller (RTC) sub-blocks and the functions of each sub-block are as follow:  Figure 3.8  CC Block Structure  RRC as the resource manager of the SPI-2L10 exchanges the status information with all blocks and assigns appropriate software resources to a service when it receives the necessary service request from RAS/ACR.  RSC processes the MAC signaling via R1 interface and interworks with ACR via R6 interface. RSC performs the Call Admission Control (CAC) in the service creation process and requests the traffic channel setup to RTC. In addition, RSC transfers the information on the internal control message to the modem block in the SPI-2L10.  RTC fragments the user data received from ACR via the R6 interface in MAC PDU format and transfers the data to the modem block or re-assembles the MAC PDU received from an MS via the R1 interface and transmits to ACR. In addition, the RTC interworks with the RSC block controlling the RAS signal and performs the call setup/release procedure.  RAS Resource Controller (RRC) RRC is in charge of the resource management of the SPI-2L10 and is activated on the MMA-G. The RRC interfaces with ACR outside the system and the RSC and OAM blocks inside the system.  Main functions of RRC are as follows:  ACR Keep Alive  RSC Keep Alive  Inter Carrier Load Balancing  Paging Message Transmission  System Resource Management SDA RRC 1) RAS signaling interface 2) RAS state monitoring CC RSC 1) RAS signaling interface 2) Modem control interfaceRTC 1) RAS traffic interface 2) Modem traffic interface
CHAPTER 3. System Structure 3-12 © SAMSUNG Electronics Co., Ltd. RAS Service Controller (RSC) The RSC is in charge of the signaling-concentrated service in the SPI-2L10. As for the system outside, the RSC performs the message exchange with ACR via the Mobile WiMAX standard R6 interface. As for the system inside, RSC interworks with the RTC that is in charge of traffic data and transmits the information on the internal control message to the modem block. The RSC performs the MAC message exchange described in IEEE 802.16 with an MS and carries out the call setup procedure by interworking with the RRC via the system internal message. The RSC is activated on MRA.  Main functions of RSC are as follows:  CID Creation and Release  MAC Management Message Processing  R6 Interface Message Processing  Handover processing  Sleep Mode Support for Power Reduction  Collection of Various Statistics  Paging Relay Function for MS  RAS Traffic Controller (RTC) The RTC is the block to process the traffic of the SPI-2L10. The RTC is the block pertaining to the bearer plane and is located as the kernel module format of the corresponding CPU. The RTC performs the R6 interface under IEEE 802.16 standard and enables to the modem block to perform the R1 interface normally.  The RTC fragments the user data received from ACR via the R6 interface in MAC PDU format and transfers the data to the modem block or re-assembles the MAC PDU received from an MS via the R1 interface and transmits to ACR.  In addition, the RTC interworks with the RTC block controlling the RAS signal and performs the call setup/release procedure. This process is carried out via the memory interface in the M2DA-A. The RTC communicates with the modem block via the PCI interface.  The RTC is activated on MRA and its main functions are as follows:  ARQ function: Receives the ARQ feedback message from an MS and processes the message.  Analyzes and processes the RSC control message and performs the queue management.  Performs the traffic interface with the modem block.  Performs the scheduling function for each QoS class
  Mobile WiMAX RAS SPI-2L10 System Description/Ed.00 © SAMSUNG Electronics Co., Ltd.  3-13  Data Traffic Processing Function RTC provides the data path between ACR and the SPI-2L10 via the R6 data path (GRE tunnel).  Traffic Control Function for Handover In handover, RTC performs the data synchronization function between serving RAS/ACR and target RAS/ACR.  3.2.3 OAM Block Operation And Maintenance (OAM) block manages the operation and maintenance of the SPI-2L10, and it is divided as the three shown below: EMS Interface (EMI), Main OAM and Board OAM.  Figure 3.9    OAM Software Structure  The following interface structure diagram shows the communication between OAM blocks.  OAM (Operation And Maintenance) EMI 1) SNMPD 2) OAGS 3) Web-EMT 4) CLIM 5) PAM Main OAM6) UFM 7) Loader 8) ULM 9) OPM 10) OSSM 11) OER/OEV 12) OCM 13) RDM Board OAM6) UFM 7) Loader 8) ULM 9) OPM 10) OSSM
CHAPTER 3. System Structure 3-14 © SAMSUNG Electronics Co., Ltd.  Figure 3.10    Interface between OAM Blocks  The EMI carries out SNMP agent and web server function, and provides the OAM interface between the management system (WSM, Web-EMT and CLI Terminal) and the SPI-2L10 by providing the IMISH. Then, to access the SPI-2L10 directly via the Web-EMT or the console terminal, the process of the operator authentication and the authority allowance via the WebEMT or Pluggable Authentication Module (PAM) block should be done.  The Main OAM is located in the main processor. The Main OAM communicates with the upper management system by interworking with the EMI block and distributes the Programmable Loading Data (PLD) to the lower processors by managing the system configuration as the format of the PLD. In addition, the Main OAM performs the role of the Image Server (IS) and the Registration Server (RS), collects and saves the statistics data and the failure information, and reports them to the upper management system.  The Board OAM is located in the lower processor. The Board OAM collects the failure and the statistics data of each board, reports them to the Main OAM and monitors the software process of each board.  Functional details of each block are as follows. Main ProcessorMain OAM  IPCAPIAPIShared MemoryWSM  sFTP Board OAM Board Processor…HTTPs SSH CLI (IMISH) Terminal  MDS Web-EMT Software Entity MDSIPCAPIAPIShared MemorySoftware Entity Data R/W Non-volatile Memory EMI SNMP
  Mobile WiMAX RAS SPI-2L10 System Description/Ed.00 © SAMSUNG Electronics Co., Ltd.  3-15 SNMP Daemon (SNMPD) SNMPD plays the SNMP agent role to support the standard SNMP (SNMPv2c/SNMPv3) and an interface role for the upper management system (WSM) and interworks with internal subagent. While receiving requests on the standard MIB object from WSM are processed by SNMPD itself, it transmits requests on the private MIB object to subagent in order to be handled properly.  Main functions are as follows:  Standard MIB processing If the request for the MIB-II object is received, the SNMPD processes it directly and transmits the response.  Private MIB processing If the request for the Private MIB object is received, it is not processed directly by the SNMPD, but it is transmitted to the corresponding internal subagent, and then the response is transmitted from the subagent and it is transmitted to the manager.  Common SNMP Agent Subagent (OAGS) OAGS plays the SNMP subagent role to support the standard SNMP (SNMPv2c/SNMPv3). Also, through master agent (SNMPD) OAGS plays an interface role for the upper management system for the command inquiry and change of ACR to be operated through the get/get-next/get-bulk/set/trap command defined by SNMP.  Main functions are as follows:  Providing private MIB  Provide private MIB to the management system.  Generate the message data file necessary for the interface function between OAM blocks.  SNMP command processing Process the command received from the management system and transmit the corresponding result via the SNMPD.  Notification function Send the SNMP trap to master agent (SNMPD) whenever there are needs to inform the change or the alarm of the SPI-2L10 data to the upper management system.
CHAPTER 3. System Structure 3-16 © SAMSUNG Electronics Co., Ltd. Web-based Element Maintenance Terminal (WebEMT) The WebEMT is the block to interface with the Web client of the console terminal which uses the Web browser, and performs the role of the Web server. Both Web-EMT and the SPI-2L10 support the HTTP communications based on the Secure Sockets Layer (SSL).  Main functions are as follows:  Web server function  HTTP server for the management using Web-EMT  Receive html requests and display HTML pages  OAM block interface  Process commands from Web-EMT interoperating with other OAM blocks  User management  Command Line Interface Management (CLIM) The CLIM is the block to interface with the IMISH, when it is connected to the console terminal via the Secure Shell (SSH) method. The CLIM processes the received command via the IMISH and displays the corresponding result.  Main functions are as follows:  IMISH command processing  Setup/change/inquiry of interface and routing functions  Setup/change/inquiry of the SPI-2L10 operation & maintenance  Pluggable Authentication Module (PAM) The PAM receives the account and the password of the operator who uses the console terminal (IMISH and Web-EMT) when logging in, thus it perform the operator authentication and the process of allowing the authority.  Main functions are as follows:  Operator’s account management and authentication The function of managing and authenticating the account of the operator who uses the console terminal (IMISH and Web-EMT) is performed.  Operator’s authority management The function of allowing the authority for all the commands which the operator can perform is performed.  Password management Management functions such as creating the operator’s password, saving and updating the encryption are performed.
  Mobile WiMAX RAS SPI-2L10 System Description/Ed.00 © SAMSUNG Electronics Co., Ltd.  3-17 Universal Fault Management (UFM) UFM manages the ACR faults and the status of software and hardware. UFM informs the detected failures to the upper management system by the filtering function, and applies the severity changes and the threshold to the fault management system. In particular, the UFM receives ToD from a Global Positioning System (GPS) signal receiver, distributes the received ToD to CC software for call processing, and manages faults concerned with the ToD.  The UFM supports statistics and status management of Ethernet switch devices.  Main functions are as follows:  Failure Management  Hardware and software failure management by interrupt and polling  When the failure is detected, it is reported to the management system and the related block.  Status Management  Status management for the components  When the status information of the resource is changed, it is reported to the management system and the related block.  Failure filtering and inhibition  The filtering function is applied to many kinds of the occurred failure, and only the failure of the original reason is reported.  Function of inhibiting reporting a specific kind of failure or a specific system according to the operator’s request  Inquiring and changing the failure configuration information Inquiring and changing the parameters such as the failure severity and the threshold for the generation  Failure audit Auditing the failure is performed when initializing and restarting the system and when the operator requests to minimize the inconsistency of the failure information between the ACR and the upper management system.  Failure history information management and save  Call fault reporting In case of the call fault, the related information (call status, error code, MS information, etc.) is collected and reported to the management system.  DD Interface The interface between DD and applications is provided for statistics and status management of devices.
CHAPTER 3. System Structure 3-18 © SAMSUNG Electronics Co., Ltd. Loader Loader manages the entire process from the start of OS to the previous step of ULM running (pre-loading). After that, if ULM is actuated after the initialization script is executed and the registration and loading function is performed, the loader monitors the ULM block.  Main functions are as follows:  System time setting Before NTP-based synchronization, the system time is set by receiving the Time of Date (ToD) from a GPS receiver.  SPI-2L10 registration and loading  Registration of the SPI-2L10 to the Registration Server (RS)  Determination of the loading method 1)    Loading as the latest version via the version comparison: Loading via its own nonvolatile storage or remote IS 2)    Loading via the console port (at this time, omitting the registration of the SPI-2L10 to the RS)  Backing up and restoring the software image and the PLD Loader saves the software image and the PLD of the latest version in its own nonvolatile storage and restores it as the corresponding information when required. (In case of PLD, back-up by operator’s command)  ULM monitoring Loader monitors whether the ULM block operates normally and if it is abnormal, this restarts it.
  Mobile WiMAX RAS SPI-2L10 System Description/Ed.00 © SAMSUNG Electronics Co., Ltd.  3-19 Universal Loading Management (ULM) ULM downloads and executes the packages that are identified in the file list downloaded by loader during pre-loading process. Also, ULM monitors the executed software and provides the running software information, and supports the restart and the software upgrade by the command. In addition, in the initialization stage, ULM sets the system time by using the Time of Date information obtained from a GPS receiver and periodically performs the synchronization with the NTP server by actuating as an NTP client after the loading is completed.  Main functions are as follows:  System initialization and reset  System reset by command  Act as internal RS & IS of lower board  Software management  Monitor the operation of software block and restart the software block in abnormal state  Software restart by command  Provide information on software block and the status  Inventory Management  ULM provides the information such as the software version for the components, the PBA ID, the PBA version and the serial number, etc.  Function of reporting the inventory information when performing the initialization, adding and extending the components  Online upgrade and version management for the software ULM provides the functions of updating the software and the firmware, upgrading the package and managing the version.  System time information synchronization Synchronize system time information with NTP server as a NTP client and transmit the time information to the lower boards  Time Zone setup Setup Time Zone and Daylight Saving Time (DST)  Mortem time update Setup mortem time after system time information synchronization
CHAPTER 3. System Structure 3-20 © SAMSUNG Electronics Co., Ltd. Common Performance Management (OPM) OPM collects and provides the performance data for the upper management system operator to know the SPI-2L10 performance. The OPM collects the event generated during the system operation and the performance data and transmits them to the management system. The collection cycle of the statistics data of the actual OPM can be set as 15 minutes, 30 minutes, 60 minutes, and if the entire statistics file of the binary format is created every 15 minutes, the management system collects it periodically via the FTP/SFTP.  Main functions are as follows:  Record and collect statistics data Record statistics data to the memory and generate the statistics file by regularly collecting data per each board  Save the statistics data Save the statistics data of each board in its own nonvolatile storage during up to eight hours  Inquire and change the statistics configuration information Inquire and change the collection cycle (BI) and the threshold of the statistics data  Threshold Cross Alert (TCA) Generate the TCA (Critical, Major, Minor) according to the defined threshold in every collection cycle and report it to the UFM  Monitor the statistics in real time Provide the real-time monitoring function for the specific statistics item designated by the operator  Common Subscription Service Management (OSSM) OSSM distributes the PLD data necessary for the software blocks, and reports the data changed to the corresponding software block if PLD data are changed. Also, it supports the function to maintain the consistency of PLD data that are scattered in the system.  Main functions are as follows:  PLD distribution OSSM loads PLD to the shared memory for software block in order to access PLD  PLD change report Report the changes of PLD to the corresponding software block  PLD audit Maintain the consistency of PLDs which are distributed in the SPI-2L10 (between main board and lower boards)
  Mobile WiMAX RAS SPI-2L10 System Description/Ed.00 © SAMSUNG Electronics Co., Ltd.  3-21 Common Event Router (OER)/Common Event Viewer (OEV) The OER/OEV manages the event history as the text format. The OER/OEV transmits the information on all the events received from the OAM applications to the related agent (OAGS, WebEMT), and creates and saves the history file of the daily/hourly events, and displays the log contents on the operator window (IMISH) in real time.  Main functions are as follows:  Event transmission OER/OEV transmits the information on the generated event to the OAGS or the WebEMT block, thus it enables to report it to the management system.  Creating and saving the event history file OER/OEV creates and saves the daily/hourly event history file in its own nonvolatile storage as the 1 Mbyte maximum size.  Event display OER/OEV displays the event generated in the SPI-2L10 on the operator window (IMISH) in real time.  Common Configuration Management (OCM) OCM manages the SPI-2L10 configuration and parameter with PLD, and it provides the data that are necessary for the software blocks. Other software blocks can approach PLD by the internal subscription service (OSSM), and through the command from EMI.   OCM provides the following functions: SPI-2L10 configuration grow/degrow, inquiry and change of configuration data and operational parameters.  Main functions are as follows:  ACR configuration management Manage the SPI-2L10 system configuration with PLD  PLD inquiry and change  Upper management system inquires and changes PLD by command  PLD changes are updated in its own nonvolatile storage by operator’s command.  PLD audit For the consistent PLD data with the upper management system  Grow/degrow of resources Link, board, sector, the auxiliary devices in the SPI-2L10
CHAPTER 3. System Structure 3-22 © SAMSUNG Electronics Co., Ltd. RAS Diagnosis Management (RDM) The RDM checks if internal and external connection paths or resources of the SPI-2L10 are normal. The connection paths are roughly divided into the external path between the SPI-2L10 internal IPC path and another NE and the path between ACR and the SPI-2L10. In addition, it supports the on-demand test at the request of an operator and the periodical test according to the schedule defined by the operator.  Main functions are as follows:  Path Test  Internal path test: Ping test for the IPC path of the board level in NE  External path test: Traceroute test for external hosts  Traffic path test: Test for the UDP message-based bearer path between ACR and the SPI-2L10  Software Block Test Ping test for main programs by processors  RF Exchange Test Tx path, Receive Signal Strength Indicator-based (RSSI-based) Rx path and VSWR diagnosis  DU-RRH Loopback Test Support of loopback function for ‘Digital I/Q and C & M’ interface  Backhaul performance monitoring test Quality (packet loss, delay and delay variance) measurement for backhaul between ACR and the SPI-2L10  Periodical online test by the operator setting  Change of the Diagnosis Schedule Schedule setup, such as diagnosis period, start time and end time of periodical online test  Support of Call Trace Function It reports the call trace information (signaling message of a specific MS, RF parameter, and traffic statistics) to the management system via SNMPD.  Virtual Interface (VIF) generation and removal Generate and remove VIF based on physical link configuration in PLD  VIF state management   Change the state of physical VIF with link failure  RF Module Setup and Control Transmission of the setup information required for the RF module, redundancy structure and management of failure/status
Mobile WiMAX RAS SPI-2L10 System Description © SAMSUNG Electronics Co., Ltd.  4-1 CHAPTER 4.  Message Flow      4.1  Call Processing Message Flow 4.1.1 Initial Entry Below is the procedure that sets up a provisioned Service Flow (SF) in the network-initiated Dynamic Service Add (DSA) mode during the initial network entry procedure. In the initial entry procedure, the MS periodically receives Downlink Channel Descriptor (DCD), Downlink-MAP (DL-MAP), Uplink Channel Descriptor (UCD), and Uplink-MAP (UL-MAP) messages from the RAS, obtains the downlink channel synchronization and uplink parameters, and sets a provisioned SF connection.
CHAPTER 4. Message Flow 4-2 © SAMSUNG Electronics Co., Ltd.  Figure 4.1    Initial Entry Procedure  DHCP 31) DHCP Discover  32) DHCP Discover 34) DHCP Offer 33) DHCP Offer 35) DHCP Request 37) DHCP Ack 38) DHCP Ack MS RAS ACR AAA8) Authentication & Key Exchange HAFor PMIP For CMIP 1) RNG-REQ 2) RNG-RSP 3) SBC-REQ 6) SBC-RSP 9) REG-REQ 12) REG-RSP 15) DSA-REQ 16) DSA-RSP 19) DSA-ACK 20) DHCP Discover 23) DHCP Offer 24) DHCP Request 25) DHCP Ack 27) MIP REG REQ 30) MIP REG RSP 26) Agent Advertisement 7) MS_PreAttachment_Ack 10) MS_Attachment_Req 11) MS_Attachment_Rsp 13) MS_Attachment_Ack 17) Path Registration Response 14) Path Registration Request 21) MIP REG REQ 22) MIP REG RSP 28) MIP REG REQ 29) MIP REG RSP 39) Diameter: ACR, RADIUS: Accounting Request 40) Diameter: ACA, RADIUS: Accounting Response 18) Path Registration Ack 4) MS_PreAttachment_Req For Simple IP 5) MS_PreAttachment_Rsp DHCP Relay case 36) DHCP Request
  Mobile WiMAX RAS SPI-2L10 System Description/Ed.00 © SAMSUNG Electronics Co., Ltd.  4-3  Category  Description (1)~(2)  The MS sends the RAS the RNG-REQ message containing the MAC address and Ranging Purpose Indication of the MS. The RAS assigns the Basic & Primary Management CID and sends the RNG-RSP message to the MS. (3)~(4)  The MS sends the RAS the SBC-REQ message containing the physical parameter and authorization policy information the MS supports. To request the authorization policy, the RAS sends the ACR the MS_PreAttachment_Req message containing the authorization policy support value using the default IP address and UDP port number of the ACR. (5)~(7)  The ACR sends the RAS the MS_PreAttachment_Rsp message containing the supported authorization policy. The RAS extracts the information received from the ACR and sends the MS the SBC-RSP message containing it. Then the RAS sends the ACR the MS_PreAttachment_Ack message to explicitly provide notification of the start time of the next procedure (EAP transmission). (8)  The subscriber authentication procedure is performed between the MS and AAA server. When the authentication is successful, the ACR receives provisioned policy information for each subscriber from the AAA server. For more information, see 4.1.2 Authentication. (9)~(13)  The MS sends the RAS the REG-REQ message containing the registration information (MS Capabilities, CS Capabilities, HO Support, etc.). The RAS sends the ACR the MS_Attachment_Req message to inquire about MS Capabilities and CS Capabilities. The ACR sends the RAS a response containing the result for the requested registration information. The RAS sends the MS the REG-RSP message. The RAS sends the ACR the MS_Attachment_Ack message to explicitly provide notification of the start time of the next procedure. (14)~(19)  To request DSA for Pre-Provisioned SF, the ACR sends the RAS the Path Registration Request message containing the SFID field, Resource Description field (SF/CS parameter), and Data Path ID (= GRE Key) field for setting a data path with the RAS. The RAS receives this message, performs admission control, and then sends the MS the DSA-REQ message. The MS sends the RAS the DSA-RSP message containing the confirmation code as the result of the DSA-REQ message. The RAS sends the ACR the Path Registration Response message containing the data path ID to set a data path with the ACR. The ACR sends the RAS the Path Registration Confirm message. The RAS sends the MS the DSA-ACK message. (20)~(25)  This procedure is used to assign an IP address to the MS when it uses PMIP. If the MS requests the DHCP procedure to obtain an IP address, the ACR performs the PMIP procedure. (26)~(30)  This procedure is used to assign an IP address to an MS when it uses CMIP. If the MS directly requests MIT registration to obtain an IP address, the ACR operates as an FA and assigns an MIP address to the MS in interoperation with the HA.
CHAPTER 4. Message Flow 4-4 © SAMSUNG Electronics Co., Ltd. (Continued) Category  Description (31)~(38)  This is the procedure for allocating an IP address to the MS that uses the simple IP method. If the MS requests the DHCP procedure to receive an allocated IP address, the ACR allocates the Simple IP address to the MS using the built-in DHCP server functions. As an option, the ACR supports the DHCP Relay Agent function, which interoperates with the external DHCP server. (39)~(40)  When the Diameter protocol is used, it is notified that accounting has begun for the service flow using the ACR/ACA message. When the RADIUS protocol is used, the Accounting Request/Accounting Response message is used.  4.1.2 Authentication During Initial Entry The figure below shows the MS authentication procedure during the 'Initial Entry' procedure, as described above.  Figure 4.2    Authentication Procedure (During Initial Entry)  MS RAS ACR AAA Repeat 2) PKM-RSP (PKMv2 EAP-Transfer) 3) PKM-REQ (PKMv2 EAP-Transfer) 8) PKM-RSP (PKMv2 EAP-Transfer) 9) PKM-REQ (PKMv2 EAP-Transfer) 14) PKM-RSP (PKMv2 EAP-Transfer) 17) PKM-RSP 18) PKM-REQ (PKMv2 SA-TEK-Request) 19) PKM-RSP 20) PKM-REQ (PKMv2 Key Request) 21) PKM-RSP (PKMv2 Key Reply) (PKMv2 SA-TEK-Challenge) (PKMv2 SA-TEK-Response) 0) MS_PreAttachment_Ack 1) AuthRelay-EAP-Transfer 4) AuthRelay-EAP-Transfer 7) AuthRelay-EAP-Transfer 10) AuthRelay-EAP-Transfer 15) Key_Change_Directive 16) Key_Change_Directive_Ack 5) Diameter: DER/RADIUS: Access Request 6) Diameter: DEA/RADIUS: Access Challenge 11) Diameter: DER/RADIUS: Access Request 12) Diameter: DEA/RADIUS: Access Accept13) AuthRelay-EAP-Transfer
  Mobile WiMAX RAS SPI-2L10 System Description/Ed.00 © SAMSUNG Electronics Co., Ltd.  4-5  Category  Description (0)~(2)  When receiving the MS_PreAttachment_Ack message from the RAS as a response to the SBC-RSP message, the ACR sends the RAS the AuthRelay-EAP-Transfer message containing the EAP Request/Identity payload to begin EAP authentication. The RAS relays the received EAP payload to the MS using the PKMv2 EAP-Transfer/ PKM-RSP message. (3)~(5)  The MS includes the NAI in the EAP Response/Identity and sends the RAS the PKMv2 EAP-Transfer/PKM-REQ message. The RAS relays the received information to the ACR using the AuthRelay-EAP-Transfer message. The authenticator of the ACR analyzes the NAI and transmits the Diameter EAP Request (DER) message (when using the Diameter protocol) or the Access Request (AR) message (when using the RADIUS protocol) to the home AAA server of the MS. (6)~(11)  In accordance with the EAP method, the subscriber authentication procedure is performed between the MS and AAA server. The authentication procedure is performed using the Diameter EAP Request (DER)/Diameter EAP Answer (DEA) message (when the Diameter protocol is used) or the Access-Challenge/Access-Request message (when the RADIUS protocol is used). (12)~(16)  When the authentication is successfully completed, the ACR receives the Master Session Key (MSK) that is the upper key to provide security and provisioned policy information per subscriber from the AAA server using the Diameter EAP Answer (DEA) message (when the Diameter protocol is used) or the Access-Accept message (when the RADIUS protocol is used). The ACR creates an AK from the MSK and sends the RAS the Key_Change_Directive message containing the created AK Context information and Security Association (SA) information of the MS. Moreover, the RAS communicates EAP Success to the MS using the PKMv2-EAP-Transfer message. (17)~(19)  After EAP authentication, the RAS sends the MS the SA-TEK-Challenge message to verify the AK key value of the MS and notify the start of SA negotiation. The MS verifies the CMAC of the SA-TEK-Challenge message, verifies the AK key value, and then sends the RAS the SA negotiation information using the SA-TEK-Request. The RAS sends the MS the SA-TEK-Response message containing not only the AKID but also the SA Descriptor, which is the final SA negotiation result. (20)~(21)  The MS requests a Traffic Encryption Key (TEK) from the RAS using the PKMv2 Key-Request message. The RAS creates a TEK randomly and sends it to the MS using the PKMv2 Key-Reply message. At this time, the TEK is sent encrypted, with a Key Encryption Key (KEK).   Types and Uses of Keys   The types and uses of keys are as follows:   - MSK: Used to create an AK - AK: Used to create a CMAC key - KEK: Used to encrypt a TEK - CMAC key: Used to provide integrity for the MAC management message - TEK: Used to encrypt traffic in the air section
CHAPTER 4. Message Flow 4-6 © SAMSUNG Electronics Co., Ltd. During Authenticator Relocation When the MS performs CSN-anchored Handover (HO) or the MS in Idle mode moves to another ACR's area and performs location update, the following reauthentication procedure is performed to move the authenticator from the existing serving ACR to the target ACR. When the target ACR triggers the MS to perform the EAP authentication procedure again with the AAA server and notifies the serving ACR of the authentication result, the authenticator relocation procedure finishes.  Figure 4.3    Authentication Procedure (During Authenticator Relocation)  Category  Description (1)~(2)  The T-ACR, which is the new authenticator, exchanges the Relocation Notify/Ack message with the S-ACR, which is the previous authenticator, to relocate the authenticator by performing the reauthentication procedure. (3)~(11)  The reauthentication procedure is performed in the target area in the same way as the authentication procedure during initial entry. When the Diameter protocol is used, the Diameter EAP Answer (DEA) message is received from the AAA server. When the RADIUS protocol is used, the Access Accept message is received from the AAA server. (12)~(13)  The RAS sends the T-ACR, which is the authenticator, the Key Change Confirm message to indicate that the reauthentication procedure with the MS has finished. (14)~(16)  The T-ACR exchanges the Relocation Complete/Ack message with the S-ACR to complete the authenticator relocation procedure. (17)~(18)  After authenticator relocation, the new authenticator notifies the anchor that the authenticator has changed using the Context Rpt procedure. MS T-RAS AAA T-ACR S-ACR6) Diameter: DEA/RADIUS: Access Accept 4) PKMv2-RSP 8) PKMv2-RSP 3) AuthRelay EAP Transfer 11) SA-TEK handshake7) AuthRelay EAP Transfer 9) Key Change Directive 10) Key Change Directive Ack12) Key Change Confirm 13) Key Change Confirm Ack5) Serving ASN triggers MS re-authentication with AAA Server14) Relocation Complete_Req15) Relocation Complete_Rsp1) Relocation Notify 2) Relocation Notify Ack 17) Context_Rpt 18) Context_Ack 16) Relocation_Complete_Ack
  Mobile WiMAX RAS SPI-2L10 System Description/Ed.00 © SAMSUNG Electronics Co., Ltd.  4-7 4.1.3 State Transition Awake Mode  Idle Mode (MS-Initiated) If there is no traffic transmission for a specific period of time, the MS transits from Awake mode to Idle mode.   Sleep Mode  Idle Mode Transition   The MS in Sleep mode does not directly transit to Idle mode. This is because, before the MS transits from Sleep mode to Idle mode, it first transits to Awake mode and requests DREG before transiting to Idle mode.  The deregistration procedure for transiting to Idle mode is divided into MS-initiated Idle mode transition and Network-initiated Idle mode transition. The figure below shows the MS-initiated idle mode transition procedure.  Figure 4.4    Awake Mode  Idle Mode State Transition Procedure (MS-Initiated)  Category  Description (1)  When the MS transits to Idle mode, it creates the DREG-REQ message and sends it to the RAS. The De-Registration Request Code field value is set to 0x01. (2)~(5)  The RAS creates the IM_Entry_State_Change_Req message containing the context information of the MS and sends it to the ACR (paging controller). The ACR creates the IM_Entry_State_Change_Rsp message containing Action Code (0 × 05), paging information(PAGING_CYCLE, PAGING_OFFSET), and Idle Mode Retain flag and sends it to the RAS. The RAS sends the MS the DREG-CMD message containing the information received. (6)~(8)  If no network reentry request is received from the MS until the Idle Resource Retain timer expires, the RAS performs the Data Path (DP) Release procedure with the ACR. MS RAS ACR4) DREG-CMD1) DREG-REQ (Code=0x01, Paging Cycle Request) 2) IM_Entry_State_Change_Req3) IM_Entry_State_Change_Rsp(ActionCode, Paging Controller ID, Paging Information) 6) Path_Dereg_Req 7) Path_Dereg_Rsp 8) Path_Dereg_Ack AAA5) IM_Entry_State_Change_Ack‘Idle Mode Noti On’ Case 9) Diameter: ACR/RADIUS: Accounting Request 10) Diameter: ACA/RADIUS: Accounting
CHAPTER 4. Message Flow 4-8 © SAMSUNG Electronics Co., Ltd. (Continued) Category  Description (9)~(10)  As the MS has been transited to Idle mode, an accounting end message is sent to the AAA server to update the accounting information using the ACR/ACA message. When the Diameter/RADIUS protocols are used, they are operated according to the Idle Mode Notification on/off. If it is on, the accounting information is updated using the Diameter ACR/RADIUS Accounting Request message.  Awake Mode  Idle Mode (Network-Initiated) The figure below shows the Network-initiated idle mode transition procedure.  Figure 4.5    Awake Mode  Idle Mode State Transition Procedure (Network-Initiated)  Category  Description (1)~(3)  If the Dormant timer expires, the RAS creates the IM_Entry_State_Change_Req message containing the context information for the MS and sends it to the ACR (Paging Controller). The ACR creates the IM_Entry_State_Change_Rsp message containing paging information (PAGING_CYCLE, PAGING_OFFSET) and Idle Mode Retain and sends it to the RAS. At this time, the Idle Mode Retain info is set to 0x7F. The RAS sends the MS the DREG-CMD message containing the information received. (4)  The MS sends the RAS the DREG-REQ message and sets the De-Registration_Request_Code field value to 0x02. (6)~(8)  If no network re-entry request is received from the MS until the Idle Resource Retain timer expires, the BS performs the Data Path (DP) Release procedure with the ASN-GW. (9)~(10)  Now the MS has transited to Idle mode. When the Diameter/RADIUS protocols are used, they are operated according to the Idle Mode Notification on/off. If it is on, the accounting information is updated using the Diameter ACR/RADIUS Accounting Request message. MS RAS ACR3) DREG-CMD 4) DREG-REQ (De-registration_Request_Code =0x02) 1) IM_Entry_State_Change_Req2) IM_Entry_State_Change_Rsp(ActionCode=0x05, Paging Controller ID, Paging Information) 6) Path_Dereg_Req 7) Path_Dereg_Rsp 8) Path_Dereg_Ack AAA9) Diameter:ACR/RADIUS: Accounting Request 10) Diameter: ACA/RADIUS: Accounting Response 5) IM_Entry_State_Change_Ack‘Idle Mode Noti On’ Case
  Mobile WiMAX RAS SPI-2L10 System Description/Ed.00 © SAMSUNG Electronics Co., Ltd.  4-9 If an error occurs during the procedure of changing the MS-initiated Idle Mode or network-initiated Idle Mode, the RAS can start the BS-initiated network exit procedure. Below are the cases in which the RAS starts the network exit procedure.  Time out has occurred due to no response from the ACR or the fail indication is notified from the ACR when the MS asked for the Idle Mode transition.  Time out has occurred due to no response from the ACR or the fail indication is notified from the ACR when the RAS asked for the Idle Mode transition.  Awake Mode  Sleep Mode Only the RAS can recognize whether the MS is in Awake or Sleep mode. The ACR recognizes both states as Awake mode regardless of which mode the MS is actually in.  Figure 4.6  Awake Mode  Sleep Mode State Transition Procedure  Category  Description (1)~(2)  If there is no data transmission for a specific period of time (set by the MS/RAS using a parameter) in the MS, its timer is timed out, and the MS transits from Awake mode to Sleep mode. At this time, the MS sends the MOB_SLP-REQ message to the RAS. The RAS sends the MS the MOB_SLP-RSP message as a response, and then the MS transits to Sleep mode. (3)~(4)  If incoming traffic occurs for the MS in Sleep mode, the RAS sends the MS the MOB_TRF-IND message at the listening cycle of the MS. When receiving this message, the MS sends the RAS the UL BW Request message in which the BW value is set to 0. When receiving this message, the RAS recognizes that the MS has transited to Awake mode and sends traffic to the MS.  MS RAS ACR2) MOB_SLP-RSP 1) MOB_SLP-REQ Awake Sleep 3) MOB_TRF-IND 4) BW Request HeaderAwake DL Traffic
CHAPTER 4. Message Flow 4-10 © SAMSUNG Electronics Co., Ltd. Idle Mode  Awake Mode(QCS) When the MS in Idle mode responds to a paging caused by incoming traffic or when the MS in Idle mode sends traffic, it transits from Idle mode to Awake mode. For both cases, the MS has to perform a network re-entry procedure to enter Awake Mode. The Mobile WiMAX system should consider the QCS procedure as a network re-entry method by default. The figure below shows the procedure (QCS) in which Idle mode is changed to Awake mode during network re-entry.  Figure 4.7  Idle Mode  Awake Mode State Transition Procedure (QCS)  1) RNG-REQ 2) IM Exit State Change Request (PC ID, Ranging Purpose=0)3) IM Exit State Change Response 4) Path Reg Request 5) Path Reg Response 9) Path Reg Ack 6) RNG-RSP (CID Update) 10) BW Request HeaderMS RAS ACR AAA7) CMAC_Key_Count_Update 8) CMAC_Key_Count_Update_Ack 11) Diameter: ACR/RADIUS: Accounting Request 12) Diameter: ACA/RADIUS: Accounting Response   ‘Idle Mode Noti On’ Case
  Mobile WiMAX RAS SPI-2L10 System Description/Ed.00 © SAMSUNG Electronics Co., Ltd.  4-11  Category  Description (1)  When the MS transits from Idle mode to Awake mode, it creates the RNG-REQ message containing the MAC address and Paging Controller ID and sends it to the RAS. At this time, the Ranging Purpose Indication field value is set to 0x00 (= Network Reentry). (2)~(3)  The RAS creates the IM Exit State Change Request message containing the parameter value contained in the received RNG-REQ message, and sends it to the ACR. After the ACR checks the Idle mode state information for the MS, to perform the QCS procedure, the ACR sends the RAS the IM Exit State Change Response message containing the Idle Mode Retain information and the AK Context information for CMAC authentication, etc. (4)~(5)  To set a data path (UL) with the ACR, the RAS sends the ACR the Path Registration Request message containing the data path information, such as the GRE key. As a response (DL) to this message, the ACR sends the RAS the Path Registration Response message containing the data path information, such as the GRE key. (6)  The RAS responds with the RNG-RSP message containing the HO Optimization flag and the related CID_Update and SA-TEK_Update information for QCS.
CHAPTER 4. Message Flow 4-12 © SAMSUNG Electronics Co., Ltd. (Continued) Category  Description (7)~(8)  The RAS notifies the ACR, which is the authenticator, of the new CMAC_KEY_COUNT value updated by the MS. (9)  The RAS notifies the ACR of the data path setup result using the Path Registration Ack message. (10)  When receiving the RNG-RSP message, the MS sends the BW Request Header to notify the system that it has transited to Awake mode. (11)~(12)  Now the MS has transited to Awake mode and a new Transport CID has been assigned. When the Diameter/RADIUS protocols are used, they are operated according to the Idle Mode Notification on/off. If it is on, the accounting information is updated using the Diameter ACR/RADIUS Accounting Request message.   Idle Mode  Awake Mode Transition   For the procedure used when the MS transits from Idle Mode to Awake Mode because of a paging, refer to ‘Paging’.
  Mobile WiMAX RAS SPI-2L10 System Description/Ed.00 © SAMSUNG Electronics Co., Ltd.  4-13 4.1.4 Location Update Inter-RAS Location Update The figure below shows the location update procedure performed when the MS moves to another paging group in the same ACR.  Figure 4.8  Inter-RAS Location Update Procedure  Category  Description (1)  When the MS in Idle mode moves from paging group 1 to paging group 2, it receives the PAG-ADV message and thus recognizes that its location has changed. (2)~(3)  To request the location update, the MS sends the new RAS (RAS 2) the RNG-REQ message containing the MAC address, Location Update Request, and Paging Controller ID. Then RAS 2 sends the Location Update Request message to the ACR. (4)~(5)  The ACR sends RAS 2 the Location Update Response message containing paging information, AK Context information, etc. The RAS 2 checks the validity of the CMAC, and then sends the MS the RNG-RSP message containing the LU Response. (6)~(7)  The RAS notifies the ACR, which is the authenticator, of the new CMAC_KEY_COUNT value updated by the MS. (8)  The ACR sends the LU Confirm message to provide notification that the location update procedure has finished.  MS RAS 1 (PG 1) ACR 1) MOB-PAG_ADV 5) RNG-RSP (Location Update Response) RAS 2(PG 2)1) MOB-PAG_ADV 2) RNG-REQ (Location Update Request, Paging Controller ID) 3) LU Request 4) LU Response 6) CMAC_Key_Count_Update 7) CMAC_Key_Count_Update_Ack 8) LU Confirm
CHAPTER 4. Message Flow 4-14 © SAMSUNG Electronics Co., Ltd. Inter-ACR Location Update (Anchor Relocation)-PMIP/CMIP The figure below shows the location update procedure performed when the MS moves to another ACR’s area.  Figure 4.9    Inter-ACR Location Update Procedure (PMIP/CMIP) S-ACR AAA HA1) RNG-REQ 40) MIP REG REQ 41) MIP REG RSP44) MIP REG REQT-ACR 2) LU Request 3) LU Request5) LU Response 4) LU Response11) LU Confirm14) LU Confirm12) PC_relocation_Ind13) PC_relocation_Ack15) Relocation Notify38) Anchor DPF HO Trigger16) Relocation Notify Ack39) Anchor DPF HO Request17) MS Paging Announce 20) Exit MS State Change Request19) RNG-REQ 18) MOB_PAG-ADV 28) RNG-RSP (0b10 Enter Net.) (Event Code 0x01) 23) IM Exit State 21) IM Exit State Change Req22) IM Exit State Change Rsp24) Path Reg Request 33) Path Reg Ack 27) Path Reg Response 26) Path Reg Response25) Path Reg Request37) Context Ack36) Context Report(to DPF)35) Re-authenticationFor PMIP For CMIP 42) Agent Advertisement 43) MIP REG REQ 45) MIP REG RSP46) CMIP REG RSP 47) Anchor DPF HO Response48) ACR/AAA/HA Resource release action6) RNG-RSP MS T-RAS Change Response 29) CMAC_Key_Count_Update32) CMAC_Key_Count_Update_Ack30) CMAC_Key_Count_Update 31) CMAC_Key_Count_Update_Ack34) Path Reg Ack7) CMAC_Key_Count_Update10) CMAC_Key_Count_update_Ack 8) CMAC_Key_Count_Update 9) CMAC_Key_Count_update_Ack
  Mobile WiMAX RAS SPI-2L10 System Description/Ed.00 © SAMSUNG Electronics Co., Ltd.  4-15  Category  Description (1)~(2)  When the paging group changes, the MS sends the RNG-REQ message containing the MAC address, location update request, paging controller ID to the new T-RAS (Target RAS) to request a location update. The T-RAS sends its default ACR the Location Update Request message containing the paging controller ID. (3)~(5)  If the received paging controller ID belongs to the T-ACR (Target ACR), it sends the Location Update Request message to the previous S-ACR (Serving ACR) via the R4 interface to change the paging controller. At this time, the APC Relocation Destination value in the Location Update Request message is set to the paging controller ID of the T-ACR. The S-ACR responds with the Location Update Response that indicates whether to accept the paging controller relocation and the context information for the MS. (6), (11)  When receiving the Location Update Response message, the T-RAS sends the MS the RNG-RSP message containing ‘LU Response = Success’ and sends the LU Confirm message to confirm that the paging controller has changed to the T-ACR.   (7)~(10)  The T-RAS notifies the S-ACR, which is the authenticator, of the new CMAC_KEY_COUNT value updated by the MS. (12)~(14)  After the location update confirmation, the T-ACR notifies the FA and authenticator, which are still located in the S-ACR, that the paging controller has changed. (15)  The T-ACR sends the S-ACR an FA relocation request for the MS. (16)~(18)  When the S-ACR accepts the FA/DPF relocation request received from the T-ACR, the T-ACR/RAS requests that the MS perform paging to trigger the relocation.   (19)~(34)  When receiving the MOB_PAG-ADV message, the MS performs the QCS procedure, a network reentry procedure, with the network. (35)~(37)  This is the procedure for relocating the authenticator from the S-ACR to the T-ACR. The T-ACR triggers the MS to perform the EAP authentication procedure again with the AAA server and notifies the S-ACR of the authentication result to complete the authenticator relocation procedure. (38)~(39)  The T-ACR sends the S-ACR an Anchor DPF relocation request for the MS. (40)~(41)  When the MS uses PMIP, the T-ACR, in place of the MS, registers MIP to the HA.   (42)~(46)  When the MS uses CMIP, the ACR operates only as an FA, and the MS registers MIP to the HA directly. (47)~(48)  If the anchor DPF relocation has finished successfully, the S-ACR releases the existing connections to the AAA server and HA.
CHAPTER 4. Message Flow 4-16 © SAMSUNG Electronics Co., Ltd. Inter-ACR Location Update (Anchor Relocation)-Simple IP Figure 4.10    Inter-ACR Location Update Procedure (Simple IP)  S-ACR AAA1) RNG-REQ T-ACR 2) LU Request 3) LU Request5) LU Response 4) LU Response7) LU Confirm 8) LU Confirm10) IM Exit MS State Change Request9) RNG-REQ 14) RNG-RSP 11) IM Exit State Change Req12) IM Exit State Change Rsp6) RNG-RSP MS T-RAS 13) IM Exit MS State Change ResponseDHCP20) Authentication & Key Exchange 18) SBC-RSP 21) REG-REQ 24) REG-RSP 27) DSA-REQ 28) DSA-RSP 31) DSA-ACK 19) MS_PreAttachment_Ack 22) MS_Attachment_Req 23) MS_Attachment_Rsp 25) MS_Attachment_Ack 29) Path Registration Response26) Path Registration Request 30) Path Registration Ack 16) MS_PreAttachment_Req 17) MS_PreAttachment_Rsp 15) SBC-REQ 32) DHCP Discover 35) DHCP Offer 36) DHCP Request 39) DHCP Ack 33) DHCP Discover 34) DHCP Offer 37) DHCP Request 38) DHCP Ack 40) Diameter: ACR/RADIUS: Accounting Request 41) Diameter: ACA/RADIUS: Accounting Response DHCP Relay Case
  Mobile WiMAX RAS SPI-2L10 System Description/Ed.00 © SAMSUNG Electronics Co., Ltd.  4-17  Category  Description (1)~(2)  When the paging group changes, the MS sends the RNG-REQ message containing the MAC address, location update request, paging controller ID to the new T-RAS (Target RAS) to request a location update. The T-RAS sends its default ACR the Location Update Request message containing the paging controller ID. (3)~(5)  If the received paging controller ID belongs to the T-ACR (Target ACR), it sends the Location Update Request message to the previous S-ACR (Serving ACR) via the R4 interface to change the paging controller. At this time, the APC Relocation Destination value in the Location Update Request message is set to the paging controller ID of the T-ACR. The S-ACR responds with the Location Update Response that indicates whether to accept the paging controller relocation and the context information for the MS. (6)  When the T-RAS receives the Location Update Response message, it sends the MS an RNG-RSP message with 'LU Response' set to 'Fail'. (7)~(8)  The LU Confirm message is sent to notify that the paging controller is maintained in the S-ACR. (9)~(14)  The MS performs idle mode exit with the S-ACR, and the S-ACR induces full network re-entry in the MS. (15)~(31)  The MS performs network re-entry with the T-ACR (32)~(39)  This is the procedure for allocating an IP address to the MS that uses the simple IP method. If the MS requests the DHCP procedure to receive an allocated IP address, the ACR allocates the Simple IP address to the MS using the built-in DHCP server functions. As an option, the ACR supports the DHCP Relay Agent function, which interoperates with the external DHCP server. (40)~(41)  The T-ACR notifies the AAA server that the accounting procedure must be started for the service flow newly generated in the network entry. When the Diameter protocol is used, it is notified that accounting has begun for the service flow using the ACR/ACA message. When the RADIUS protocol is used, the Accounting Request/Accounting Response message is used.    Inter-ASN Location Update The procedure for inter-ASN location update is the same as for inter-ACR location update.
CHAPTER 4. Message Flow 4-18 © SAMSUNG Electronics Co., Ltd. 4.1.5 Paging Paging can be divided into the following two types:  By periodically broadcasting the MOB_PAG-ADV message, the RAS notifies the MS of the corresponding paging group. Based on the paging information (Paging Cycle, Paging Offset, and PGID) received from the system when the MS transits to Idle mode, the MS checks whether its paging group has changed by periodically checking the MOB_PAG-ADV message.  When the ACR has traffic to send to the MS in Idle mode, it triggers the MOB_PAG-ADV to the RAS to transit the MS to Awake mode.  The figure below shows the procedure for performing paging to the MS in Idle mode.  Figure 4.11  Paging Procedure  Category  Description (1)~(2)  If the MS is in Idle mode when receiving a packet that will be sent to a specific MS, the ACR sends the RAS the MS Paging Announce message containing the MAC address and paging group ID, and Paging Cause (0x02) of the MS to the RAS. The RAS sends the MS the MOB_PAG-ADV message containing the information received from the ACR.  Then, the MS performs the QCS procedure with the network. For more information on the QCS procedure, see to Idle Mode  Awake Mode of ‘State Transition’.  MS RAS ACR1) MS Paging Announcement 2) MOB PAG-ADV QCS Incoming traffic
  Mobile WiMAX RAS SPI-2L10 System Description/Ed.00 © SAMSUNG Electronics Co., Ltd.  4-19 4.1.6 Handover Inter-RAS Handover (HO) The figure below shows the inter-RAS handover procedure.  Figure 4.12  Inter-RAS Handover Procedure 25) Path Reg Response 24) Path Reg Request 21) Path Reg Ack MS S-RAS T-RAS1 T-RAS2 1) MOB-MSHO-REQACR2) HO-Request 3) HO-Request 4) HO-Response5) HO-Response 7) HO-Ack 9) MOB-HO-IND 10) HO-Confirm 14) Context-Request15) Context-Report12) HO-Ack 13) HO-Ack 23) RNG-REQ 27) RNG-RSP 34) MAC PDU with SN Report Header (Opt.) or BW Request with 0 (Opt.) 35) HO-Complete 36) HO-Complete 39) Path De-Reg Request40) Path De-Reg Response6) MOB-BSHO-RSP8) HO-Ack 11) HO-Confirm16) Path Pre-Reg Request19) Path Reg Request (For Data Integrity) 20) Path Reg Response 17) Path Pre-Reg Response18) Path Pre-Reg Ack 28) Path De-Reg Request(For Data Integrity)31) Path De-Reg Response 29) Path De-Reg Request30) Path De-Reg Response22) Fast Ranging IE() 37) CMAC_KEY_COUNT Update38) CMAC_KEY_COUNT Update Ack41) Path De-Reg Ack 33) Path De-Reg Ack26) Path Reg Ack
CHAPTER 4. Message Flow 4-20 © SAMSUNG Electronics Co., Ltd.  Category  Description (1)~(3)  To request a handover, the MS sends the current S-RAS (Serving RAS) the MOB_MSHO-REQ message containing the neighbor BS (RAS) ID and handover-related parameters. The S-RAS sends the ACR the HO-Request message containing the MOB_MSHO-REQ parameter received and the context information. The ACR forwards the HO-Request message to the T-RAS (Target RAS). (4)~(8)  The T-RAS sends the ACR the HO-Response message containing the capability information for the T-RAS. The S-RAS sends the MS the MOB_BSHO-RSP message containing the recommended neighbor BS-IDs, HO-ID, and parameter result value. (9)~(13)  The MS sends the S-RAS the MOB_HO-IND message containing the HO-IND type and target BS-ID to provide notification that the handover will be performed. The S-RAS sends the T-RAS the HO-Confirm message containing the context information and data integrity information (e.g., buffered SDU SN) for the MS. (14)~(15)  The T-RAS sends the ACR (authenticator) the Context-Request message to request the AK Context information. The ACR responds with the Context-Report message containing the AK context information. (16)~(21)  The path pre-registration procedure is performed to set up a new data path between the ACR and T-RAS. In addition, a forwarding path is set up so that the S-RAS can send the T-RAS the traffic that it has not yet transmitted to the MS. The traffic is transmitted to the T-RAS. (22)  When the T-RAS accepts the handover request from the MS, it notifies the MS of the UL_MAP IE so that the MS can send the HO Ranging Request message through the uplink. (23)  The MS sends the T-RAS the RNG-REQ message containing the MAC address, serving BS-ID, HO indication, etc. (24)~(26)  The path registration procedure is performed to exchange the SF information that will be mapped to the data path between the ACR and T-RAS, which was created in steps (16) to (18). (26) The procedure is performed if the Path PreReg procedure fails. (27)  The T-RAS responds with the RNG-RSP message containing the HO Optimization flag, CID_update, and SA-TEK_update. (28)~(33)  After the S-RAS has sent all traffic to the T-RAS, the forwarding path is released.   (34)  When receiving the RNG-RSP message successfully, the MS sends the RAS the Bandwidth Request (BR) MAC PDU as notification. (35)~(36)  The T-RAS sends the S-RAS the HO-Complete message to provide notification that the handover has finished. (37)~(38)  The RAS notifies the ACR, which is the authenticator, of the new CMAC_KEY_COUNT value updated by the MS. (39)~(41)  When the handover procedure has finished, the old path between the S-RAS and ACR is released.  Inter-ACR Handover (HO) When performing a handover between ACRs in the same ASN, the path extension through the R6 interface is considered. Therefore, the procedure for inter-ACR handover is the same as inter-RAS handover.
  Mobile WiMAX RAS SPI-2L10 System Description/Ed.00 © SAMSUNG Electronics Co., Ltd.  4-21 Inter-ASN Handover (HO): ASN-Anchored Mobility Inter-ASN HO is divided into the ASN-anchored mobility method through the R4 interface and the CSN-anchored mobility method through the R3/R4 interface. The figure below shows the inter-ASN handover procedure in the ASN-anchored mobility method. The S-ACR (Serving ACR) carries out the anchor function.  Figure 4.13    Inter-ASN Handover (ASN-Anchored Mobility)  35) Path Reg Ack MS S-RAS T-ACR T-RAS1 T-RAS2 1) MOB-MSHO-REQS-ACRAK Context Transfer 2) HO-Request 3) HO-Request 4) HO-Request 5) HO-Response6) HO-Response7) HO-Response 8) MOB-BSHO-RSP 9) HO-Ack 10) HO-Ack 11) HO-Ack 12) MOB-HO-IND 13) HO-Confirm 14) HO-Confirm 15) HO-Confirm21) Context-Request 20) Context-Request22) Context-Report 23) Context-Report17) HO-Ack 16) HO-Ack 18) HO-Ack R4 Data Path Setup 25) Path Pre-Reg Request26) Path Pre-Reg Response29) Path Pre-Reg Ack 28) Path Pre-Reg Ack19) Fast Ranging IE ()30) RNG-REQ 37) RNG-RSP 38) MAC PDU with SN Report Header (Opt.) or BW Request with 0 (Opt.) 40) HO-Complete 39) HO-Complete 41) HO-Complete 46) Path De-Reg Request47) Path De-Reg Response42) CMAC_COUNT_UPDATE 45) CMAC_COUNT_UPDATE Ack 43) CMAC_COUNT_UPDATE44) CMAC_COUNT_UPDATE Ack32) Path Reg Request36) Path Reg Ack 24) Path Pre-Reg Request 27) Path Pre-Reg Response 34) Path Reg Response 31) Path Reg Request 33) Path Reg Response48) Path De-Reg Ack
CHAPTER 4. Message Flow 4-22 © SAMSUNG Electronics Co., Ltd. The HO signaling procedure is the same as in inter-RAS HO, but the HO signaling message exchange steps through the R4 interface are added between the S-ACR and   T-ACR (Target ACR).  Category  Description (1)~(4)  To request a handover, the MS sends the current S-RAS (Serving RAS) the MOB_MSHO-REQ message containing the neighbor BS (RAS) ID and handover-related parameters. The S-RAS sends the ACR the HO-Request message containing the MOB_MSHO-REQ parameter received and the context information. The ACR forwards the HO-Request message to the T-RAS (Target RAS). (5)~(11)  The T-RAS sends the ACR the HO-Response message containing the capability information for the T-RAS. The S-RAS sends the MS the MOB_BSHO-RSP message containing the recommended neighbor BS-IDs, HO-ID, and parameter result value. (12)~(18)  The MS sends the S-RAS the MOB_HO-IND message containing the HO-IND type and target BS-ID to provide notification that the handover will be performed. The S-RAS sends the T-RAS the HO-Confirm message containing the context information and data integrity information (e.g., buffered SDU SN) for the MS. (19)~(22)  The T-RAS sends the ACR (authenticator) the Context-Request message to request the AK Context information. The ACR responds with the Context-Response message containing the AK context information. (23)~(28)  The path pre-registration procedure is performed to set up a new data path between the ACR and T-RAS. In addition, a forwarding path is set up so that the S-RAS can send the T-RAS the traffic that it has not yet transmitted to the MS. The traffic is transmitted to the T-RAS. (29)  When the T-RAS accepts the handover request from the MS, it notifies the MS of the UL_MAP IE so that the MS can send the HO Ranging Request message through the uplink. (30)  The MS sends the T-RAS the RNG-REQ message containing the MAC address, serving BS-ID, and HO indication. (31)~(36)  The path registration procedure is performed to exchange the SF (Service Flow) information that will be mapped to the data path between the ACR and T-RAS, which was created in steps (23) to (28). (35)~(36) The procedure is performed if the Path PreReg procedure fails. (37)  The T-RAS responds by sending the RNG-RSP message containing the HO Optimization flag, CID_update, and SA-TEK_update. (38)  When receiving the RNG-RSP message successfully, the MS sends the RAS the Bandwidth Request (BR) MAC PDU as notification. (39)~(41)  The T-RAS sends the S-RAS the HO-Complete message to provide notification that the handover has finished. (42)~(45)  The RAS notifies the ACR, which is the authenticator, of the new CMAC_KEY_COUNT value updated by the MS. (46)~(48)  When the handover procedure has finished, the old path between the S-RAS and ACR is released.
  Mobile WiMAX RAS SPI-2L10 System Description/Ed.00 © SAMSUNG Electronics Co., Ltd.  4-23 Inter-ASN Handover (Inter-ASN HO): CSN-Anchored Mobility Below is described the inter-ASN HO in the CSN-anchored mobility. The anchor function is relocated from the S-ACR (Serving ACR) to the T-ACR (Target ACR). The CSN-anchored mobility method consists of the steps through which ASN-anchored mobility Ho is performed and the authenticator and DPF anchor are relocated to the target ACR. For convenience, the triggering of relocation by T-ACR is defined as Pull mode, and the triggering of relocation by S-ACR is defined as Push mode. The Mobile WiMAX system supports both pull mode and push mode. The CSN-anchored mobility method complies with the MIP standard. The earlier steps of the CSN-anchored HO signaling procedure are the same as in the ASN-anchored mobility HO procedure. The figure below shows the steps after the ASN-anchored HO has been performed.  Figure 4.14    Inter-ASN Handover (CSN-Anchored Mobility) MS T-RAS T-ACR S-ACR(Anchor) Inter-ASN HHO 1) Relocation Notify 2) Relocation Notify Ack3) Relocation Request4) Relocation ResponsePullModelPushModel10) Anchor DPF HO Trigger11) Anchor DPF HO Request12) MIP REG REQ 13) MIP REG RSP 16) MIP REG REQ 17) MIP REG RSP 14) Agent Advertisement 15) CMIP REG REQ 18) CMIP REG RSP 19) Anchor DPF HO Response24) Diameter: STR 25) Diameter: STA Pull Mode 5) Re-authentication 21) Registration Revocation Ack6) Relocation Confirm7) Relocation Confirm Ack 8) Context Report 9) Context Ack HA AAA22) Diameter: ACR/RADIUS: Accounting Request stop23) Diameter: ACA/RADIUS: Accounting Response stopPMIP Re-registration CMIP Re-registration 20) Registration Revocation Request
CHAPTER 4. Message Flow 4-24 © SAMSUNG Electronics Co., Ltd.  Category  Description (1)~(7)  This is the procedure for relocating the authenticator from the S-ACR to the T-ACR. The T-ACR triggers the MS to perform the EAP authentication procedure again with the AAA server. The T-ACR notifies the S-RAS of the authentication results to finish the authenticator relocation procedure. (8)~(9)  The T_ACR transmits the context information for the MS to the S_ACR. (10)~(19)  The authenticator and FA relocation are triggered and the PMIP or CMIP registration is processed. (20)~(21)  The S-ACR cancels MIP registration of the MS in the HA. (22)~(25)  The S-ACR updates the final accounting information for the MS in interoperation with the AAA server. If the Diameter protocol is used as the AAA protocol, the S-ACR performs the session release procedure with the AAA server. However, when the RADIUS protocol is used, only the Accounting Request stop procedure and the Accounting Response stop procedure are processed and the STR/STA procedure is omitted.  4.1.7 Disconnection Disconnection (Awake Mode) The figure below shows the procedure with which the MS in Awake mode is disconnected because the power is turned off.  Figure 4.15  Disconnection (Awake Mode)  MS RAS ACR AAA1) DREG-REQ (ReqCode: 0) 3) Path Deregistration Request 2) DREG-CMD (ActionCode: 4) (Power Down Indication) 5) Path Deregistration Response 6) Path Deregistration Ack 9) Diameter: STR10) Diameter: STAHA4) MIP release 7) Diameter: ACR/RADIUS: Accounting Request stop 8) Diameter: ACA/RADIUS: Accounting Response stop
  Mobile WiMAX RAS SPI-2L10 System Description/Ed.00 © SAMSUNG Electronics Co., Ltd.  4-25  Category  Description (1)~(3)  When the MS in Awake mode is turned off, the MS sends the RAS the DREG-REQ message containing ‘Deregistration code=0,’ and the RAS notifies the ACR of this. (4)  The ACR performs the procedure for releasing the MIP-related information with the HA. (5)~(6)  The ACR notifies the RAS of the result for the power down of the MS, and releases the data path. (7)~(10)  The ACR updates the final accounting information for the MS in interoperation with the AAA server. If the Diameter protocol is used as the AAA protocol, the S-ACR performs the session release procedure with the AAA server. However, when the RADIUS protocol is used, only the Accounting Request stop procedure and the Accounting Response stop procedure are processed and the STR/STA procedure is omitted.  Disconnection (Idle Mode) The figure below shows the procedure with which the MS in Idle mode is disconnected because the power is turned off.  Figure 4.16  Disconnection (Idle Mode)  Category  Description (1)~(5)  When the MS in Idle mode is turned off, the MS sends the RAS the RNG-REQ message containing the power down indicator, and the RAS notifies the ACR of this. The ACR deletes the information for the MS. (6)  The ACR performs the procedure for releasing the MIP-related information with the HA. (7)~(8)  If the Diameter protocol is used as the AAA protocol, the S-ACR performs the session release procedure with the AAA server. However, when the RADIUS protocol is used, only the Accounting Request stop and Accounting Response stop operations are performed, instead of the STR/STA process. MS RAS ACR1) RNG-REQ(Location Update Request, Paging Controller ID) 2) LU Request 4) RNG-RSP (Location Update Response) 3) LU Response 5) LU Confirm AAA HA6) MIP release 7) Diameter: STR/RADIUS: Accounting Request stop 8) Diameter: STA/RADIUS: Accounting Response stop
CHAPTER 4. Message Flow 4-26 © SAMSUNG Electronics Co., Ltd. 4.2  Bearer Message Flow The data that the SPI-2L10 has received from the ACR is sent to the call processing block of the corresponding processor via the Ethernet switch, and then it is divided into the MAC PDU data and transmitted to the modem block. Then the data is sent again to the RF block through the CPRI. These signals undergo signal conversion and amplification and then are transmitted wirelessly via the antenna. In the other direction, the MAC PDU data that the SPI-2L10 has received from the MS via the R1 interface is converted by the RF block into baseband signals and then converted into digital signals. The converted signals are reassembled into the MAC PDU through the CPRI via the modem of the digital block and then transmitted to the ACR via the Ethernet switch.  Figure 5.17  Bearer Message Flow   Asynchronous Digital Interfaces (ADI)   The ADI is a 16-bit digital interface and has a throughput of 160 Mbps between devices.  TOD GPS Block ACR GPS Antenna Traffic flow Traffic (optic interface) Control and Clock ADI bus CPLD Processor MTOD PP2S 10 MHz Clock TOD 1588 Block Low MAC SPCI 32 bit  Modem EMIF 32 bit M2DA-ADebug  Eth PHY Eth S/W  Eth PHY Eth PHY GMII MII Processor MPCI 32 bit  Low MAC SModem SCPRI System Clock 1000BASE-LX Reserve Debug SCPRI#1 SCPRI#2 EMIF 32 bit ADI ADI MII H삭제됨: SS삭제됨:  100BASE-TX
  Mobile WiMAX RAS SPI-2L10 System Description/Ed.00 © SAMSUNG Electronics Co., Ltd.  4-27 4.3  Network Synchronization Message Flow The M2DA-A can receive synchronization signals via the GPS or IEEE 1588 master. In the SPI-2L10, the reference clocks output from the UCCM-P, which is a PS Receiver (GPSR), is supplied to each device by the clock distribution block. There are two types of reference clocks output from the GPSR, 10 MHz and PP2S. The clock distribution block consists of the CPLD, PLL and FPGA, and converts the signals received from the GPSR into the clocks necessary for each device. In addition, the reference clocks output from the TSCM-I, which is an IEEE 1588 slave board, is regenerated as the clocks necessary for each block in the M2DA-A and distributed to them. These clocks are used to maintain internal synchronization in the SPI-2L10 and operate the system.  Figure 4.18    Network Synchronization Flow of SPI-2L10  M2RU-2W M2DA-A UCCM-P PLL CPU CPRI I/FCPLD PLL CPRI FPGA GPS ANT. GPS Signal PP2S, 10 MHz, TOD 40 kHz 40 kHz 61.44 MHzPP2S, 80 ms56 MHzTOD 1.2288 Gbps TSCM-I PP2S, 25 MHz, TODOptic B/H Port  Eth.SW From  1588 Master.
CHAPTER 4. Message Flow 4-28 © SAMSUNG Electronics Co., Ltd. 4.4  Alarm Signal Flow The detection of failures in the SPI-2L10 can be implemented by hardware interrupt or software polling method. The failures generated in the SPI-2L10 are reported to the management system via the SNMP trap message.  Failure Alarm Types  System Failure Alarms NTP Update Error, Temperature High, Temperature Low, etc.  Board Failure Alarms  Hardware Failure Alarms: FUNCTION FAIL, etc.  Software Failure Alarms: COMMUNICATION FAIL, PORT DOWN, CPU OVERLOAD, etc.  RU Failure Alarms LOW GAIN, OVER POWER, VSWR FAIL, PLL UNLOCK, etc.  Failure Report Message Flow When a fault occurs and is detected in a board of the SPI-2L10, the Main OAM (UFM) logs it and notifies the management systems. At this time, only the upper fault information is reported through the fault filtering function. If the command requesting inhibition of reporting a specific fault or all the system faults is received from the management systems, the fault information is not reported. The flows for the failure detection and the report message are as shown in the figures below:  Figure 4.19    Alarm Signal Flow of SPI-2L10  SPI-2L10 M2DA-A M2RU-2W TSCM-I Alarm detection Alarm filtering Alarm Report (SNMP trap) WSM (SNMP Manager) UCCM-P
  Mobile WiMAX RAS SPI-2L10 System Description/Ed.00 © SAMSUNG Electronics Co., Ltd.  4-29 4.5  Loading Message Flow Loading is the procedure to download the software execution files and the data from the IS, which are required to perform each function of each processor and each device of the SPI-2L10. Loading the SPI-2L10 is performed in the procedure of initializing the system. In addition, if a specific board is mounted on the system or the hardware is reset, or if the operator of the upper management system reboots a specific board, loading is performed.  Loading is classified into two types, one is loading by using its own non-volatile storage and the other is loading by using the remote IS. When the system is initialized for the first time, the SPI-2L10 receives the loading by using the remote IS, and after this, saves the corresponding information in the internal storage, and backs up the recent information periodically, and then it is available to avoid unnecessary loading. After the first initialization, if the information saved in its own storage is the recent information by comparing the version, the SPI-2L10 does not receive the remote loading.  The loaded information includes the software image which is configured with the execution file and the script file, the configuration information, the PLD related to the operation parameter and various configuration files. Among them, all the information required for the static routing function of the SPI-2L10 is saved in its own storage as the startup configure file format, and provides the information required at the time of the initialization.  Loading Procedure To perform the loading procedure when initializing the SPI-2L10, the loader performs the followings first. (Pre-loading)  Boot-up The booter of the Flash ROM loads the kernel and the Root File System (RFS) from the flash ROM to the RAM Disk, and performs the kernel.  IP configuration The IP address information is acquired from the flash ROM and is set to communicate with the first upper management system.  Registration The NE is registered to the RS, and the IP address of the IS is acquired during the registration.  Version Comparison The version of the software image and the version of the PLD saved in the remote IS and in the internal storage are compared, and the location where to perform loading is determined from that.  File List Download The list of the files to be loaded is downloaded for each board.
CHAPTER 4. Message Flow 4-30 © SAMSUNG Electronics Co., Ltd. After the preloading procedure has been performed and the loading method has been determined, the Main OAM of the M2DA-A that performs operation and maintenance for the SPI-2L10 carries out loading from the corresponding IS (a remote IS or internal storage) via FTP. The information for the software loaded in the SPI-2L10 can be checked using the WSM.  The loading message flow is as the following figure:  Figure 4.20    Loading Message Flow   IS, RS   The IS and RS each mean a logical functionality of the WSM.  SPI-2L10 M2DA-AWSM(RS/IS) Registration Image Loading Non-volatile Storage
  Mobile WiMAX RAS SPI-2L10 System Description/Ed.00 © SAMSUNG Electronics Co., Ltd.  4-31  WSM (SNMP Manager) Web-EMT (HTTP Client)/IMISH MRA-F M2DA-AHTTP ServerSNMP Agent CLIM SNMP get/set/get_next/get_bulk, SNMP trap HTTP message (command/response) CLI Command Statistical Data SPI-2L10 4.6  Operation and Maintenance Message Flow An operator can check and change the status of the SPI-2L10 by means of the management system. To this end, the SPI-2L10 provides the SNMP agent function. The function enables the WSM operator to perform the operation and maintenance function of the SPI-2L10 at remote site by using the SNMP. In addition, the operator can perform Web-EMT based maintenance function by using a Web browser in a console terminal or IMISH based maintenance function by using the SSH connection. However, grow/degrow, paging information change and neighbor list change functions are only available on WSM.  The statistical information provided by the SPI-2L10 are provided to the operator according to collection period and the real-time monitoring function for a specific statistical item specified by the operator is, also, provided.  Operation and Maintenance Message Flow The operation and maintenance of the SPI-2L10 is carried out via the SNMP get/get_next/ get_bulk/set/trap message between the SNMP agent on the main OAM and the SNMP manager of the WSM. The SPI-2L10 deals with various operation and maintenance messages received from the SNMP manager of the management system, transfers the results and reports the events, such as failure generation or status change, in real time as applicable. The statistical information is provided as statistical file format in unit of BI and the collection period can be specified as one of 15, 30 and 60 minutes.  The OAM signal flow is as shown in the figure below:  Figure 4.21    Operation and Maintenance Signal Flow
CHAPTER 4. Message Flow 4-32 © SAMSUNG Electronics Co., Ltd.  This page is intentionally left blank.
Mobile WiMAX RAS SPI-2L10 System Description © SAMSUNG Electronics Co., Ltd.  5-1 CHAPTER 5.  Additional Functions and Tools      5.1 Web-EMT The Web-EMT is a type of GUI-based consol terminals and the tool to access the SPI-2L10 directly, monitor the device status and perform operation and maintenance. An operator can execute the Web-EMT only with Internet Explorer and the installation of additional software is not necessary. In addition, GUI is provided in HTTPs protocol type internally.  Figure 5.1    Web-EMT Interface  The Web-EMT enables the operator to restart the SPI-2L10 or internal boards, inquire/set configuration and operation parameters, carry out status and failure monitoring and perform the diagnosis function. However, the functions for resource grow/degrow or the changes of the operation information concerned with neighbor list are only available on the WSM managing the entire network and the loading image.   SPI-2L10  M2DA-AWeb-EMT HTTP message HTTP Server
CHAPTER 5. Additional Functions and Tools 5-2 © SAMSUNG Electronics Co., Ltd.  This page is intentionally left blank.
Mobile WiMAX RAS SPI-2L10 System Description © SAMSUNG Electronics Co., Ltd.  I ABBREVIATION      A AAA  Authentication Authorization Accounting AC Alternating Current ACK Acknowledgement ADC  Analog to Digital Conversion ADI Asynchronous Digital Interfaces AGC  Automatic Gain Control ANT Antenna ARQ  Automatic Repeat request ASN  Access Service Network ACR  Access Service Network-Gateway  B BER Burst Error Rate BI Bucket Interval BS Base Station BW Bandwidth  C CID Connection Identifier CINR  Carrier to Interference and Noise Ratio CMIP  Client Mobile IP CPU  Central Processing Unit CS   Convergence Sublayer CSN  Connectivity Service Network  D DAC Digital to Analog Conversion DBMS Database Management System DC Direct Current DL Downlink DP Data Path DSA Dynamic Service Agreement DSCP  Differentiated Services Code Point
ABBREVIATION II © SAMSUNG Electronics Co., Ltd. E EAP Extensible Authentication Protocol EMC Electro-Magnetic Compatibility EMI Electro-Magnetic Interference  F FA Foreign Agent FFR Fractional Frequency Reuse  G GPS  Global Positioning System GPSR GPS Receiver GRE  Generic Routing Encryption  H HA Home Agent H-ARQ Hybrid-ARQ HO Handover  I I/Q In-phase/Quadrature-phase IEC International Electrotechnical Commission IEEE  Institute of Electrical and Electronics Engineers IND Indication IP Internet Protocol IS Image Server  K KEK  Key Encryption Key  L M2DA-A  U-RAS Light series-1 Digital board Assembly-A M2RU-2W  U-RAS Light series-1 Radio Unit-2 Carrier W LED Light Emitting Diode LOF  Loss Of Frame LOS  Loss Of Signal
  Mobile WiMAX RAS SPI-2L10 System Description/Ed.00 © SAMSUNG Electronics Co., Ltd.  III M MAC Medium Access Control MCS Modulation Coding Scheme MIMO Multiple Input Multiple Output MIP Mobile IP MS Mobile Station MSK  Master Session Key  N NE Network Element NW Network NWG Network Working Group  O OAM  Operation and Maintenance OFDMA  Orthogonal Frequency Division Multiple Access OMC  Operation and Maintenance Center  P PDP  Power Distribution Panel PHY Physical Layer PLD Program Load Data PLL Phase Locked Loop PMIP Proxy Mobile IP  Q QAM Quadrature Amplitude Modulation QCS  Quick Connection Setup QoS Quality of Service QPSK  Quadrature Phase Shift Keying  R RADIUS  Remote Authentication Dial In User Service REQ Request RF Radio Frequency RFS  Root File System RH Relative Humidity RJ Registered Jack RNG Ranging
ABBREVIATION IV © SAMSUNG Electronics Co., Ltd. S SA Security Association SBC SS Basic Capability SF Service Flow SISO  Single Input Single Output SM Spatial Multiplexing SMA Subminiature version A SSH Secure Shell STC Space Time Coding  T TDD Time Division Duplex TEK Traffic Encryption Key TSCM-I  ToP Slave Clock Mezzanine board assembly-Industrial Tx/Rx Transmit/Receive  U UDP  User Datagram Protocol UL Uplink UCCM-P  Universal Core Clock Module-Plus USB  Universal Serial Bus  V VCCI  Voluntary Control Council for Interference VLAN Virtual Local Area Network  W Web-EMT  Web-based Element Maintenance Terminal WSM  Mobile WiMAX System Manager
   MPE Information ⓒ SAMSUNG Electronics Co., Ltd.    Warning: Exposure to Radio Frequency Radiation The radiated output power of this device is far below the FCC radio frequency exposure limits. Nevertheless, the device should be used in such a manner that the potential for human contact during normal operation is minimized. In order to avoid the possibility of exceeding the FCC radio frequency exposure limits, human proximity to the antenna should not be less than 300cm during normal operation. The gain of the antenna is 17 dBi.   The antenna(s) used for this transmitter must not be co-located or operating in conjunction with any other antenna or transmitter.
       Mobile WiMAX RAS SPI-2L10 System Description  ©2010 Samsung Electronics Co., Ltd. All rights reserved.  Information in this manual is proprietary to SAMSUNG Electronics Co., Ltd. No information contained here may be copied, translated, transcribed or duplicated by any form without the prior written consent of SAMSUNG. Information in this manual is subject to change without notice.

Navigation menu