Seba Dynatronic Mess und Ortungstechnik LOGCDR31 Portable device for program, configure and read out sensors data User Manual man sebalog n3 cdr set en 05 4
Seba Dynatronic Mess- und Ortungstechnik GmbH Portable device for program, configure and read out sensors data man sebalog n3 cdr set en 05 4
Contents
- 1. User manual
- 2. Users Manual
Users Manual
![&RQVXOWDWLRQZLWK6HED.07 8VHU0DQXDO$FRXVWLF/HDN'HWHFWLRQ6\VWHP6HEDORJ1(GLWLRQ(1$UWLFOHQXPEHU0HVVXQG2UWXQJVWHFKQLN0HDVXULQJDQG/RFDWLQJ7HFKQRORJLHV(OHNWUL]LWlWVQHW]H3RZHU1HWZRUNV .RPPXQLNDWLRQVQHW]H&RPPXQLFDWLRQ1HWZRUNV 5RKUOHLWXQJVQHW]H:DWHU1HWZRUNV$EZDVVHUQHW]H6HZHU6\VWHPV /HLWXQJVRUWXQJ/LQH/RFDWLQJ ](https://usermanual.wiki/Seba-Dynatronic-Mess-und-Ortungstechnik/LOGCDR31.Users-Manual/User-Guide-3124334-Page-1.png)

![ 7HUPVRI:DUUDQW\7HUPVRI:DUUDQW\6HED.07DFFHSW UHVSRQVLELOLW\ IRU D FODLP XQGHU ZDUUDQW\ EURXJKW IRUZDUG E\ DFXVWRPHUIRUDSURGXFWVROGE\6HED.07XQGHUWKHWHUPVVWDWHGEHORZ6HED.07 ZDUUDQW WKDW DW WKH WLPH RI GHOLYHU\ 6HED.07 SURGXFWV DUH IUHH IURPPDQXIDFWXULQJ RU PDWHULDO GHIHFWV ZKLFK PLJKW FRQVLGHUDEO\ UHGXFH WKHLU YDOXH RUXVDELOLW\ 7KLV ZDUUDQW\ GRHV QRW DSSO\ WR IDXOWV LQ WKH VRIWZDUH VXSSOLHG 'XULQJ WKHSHULRGRIZDUUDQW\6HED.07DJUHHWRUHSDLUIDXOW\SDUWVRUUHSODFHWKHPZLWKQHZSDUWVRUSDUWVDVQHZZLWKWKHVDPHXVDELOLW\DQGOLIHDVQHZSDUWVDFFRUGLQJWRWKHLUFKRLFH7KLVZDUUDQW\GRHVQRWFRYHUZHDUSDUWVODPSVIXVHVEDWWHULHVDQGDFFXPXODWRUV6HED.07UHMHFWDOOIXUWKHUFODLPVXQGHUZDUUDQW\LQSDUWLFXODUWKRVHIURPFRQVHTXHQWLDOGDPDJH (DFK FRPSRQHQW DQG SURGXFW UHSODFHG LQ DFFRUGDQFH ZLWK WKLV ZDUUDQW\EHFRPHVWKHSURSHUW\RI6HED.07$OO ZDUUDQW\FODLPVYHUVXV6HED.07 DUHKHUHE\OLPLWHGWRDSHULRGRIPRQWKVIURPWKH GDWH RI GHOLYHU\ (DFK FRPSRQHQW VXSSOLHG E\ 6HED.07 ZLWKLQ WKH FRQWH[W RIZDUUDQW\ZLOODOVREHFRYHUHGE\WKLVZDUUDQW\IRUWKHUHPDLQLQJSHULRGRIWLPHEXWIRUGD\VDWOHDVW(DFK PHDVXUH WR UHPHG\ D FODLP XQGHU ZDUUDQW\ VKDOO H[FOXVLYHO\ EH FDUULHG RXW E\6HED.07RUDQDXWKRUL]HGVHUYLFHVWDWLRQ7KLVZDUUDQW\GRHVQRW DSSO\WR DQ\IDXOWRU GDPDJHFDXVHGE\H[SRVLQJDSURGXFWWRFRQGLWLRQVQRW LQDFFRUGDQFHZLWK WKLVVSHFLILFDWLRQE\VWRULQJ WUDQVSRUWLQJRUXVLQJ LWLPSURSHUO\RUKDYLQJLWVHUYLFHGRULQVWDOOHGE\DZRUNVKRSQRWDXWKRUL]HGE\6HED.07$OO UHVSRQVLELOLW\ LV GLVFODLPHG IRU GDPDJH GXH WR ZHDU ZLOO RI *RG RU FRQQHFWLRQ WRIRUHLJQFRPSRQHQWV)RU GDPDJH UHVXOWLQJ IURP D YLRODWLRQ RI WKHLU GXW\ WR UHSDLU RU UHVXSSO\ LWHPV6HED.07FDQEHPDGHOLDEOHRQO\LQFDVHRIVHYHUHQHJOLJHQFHRULQWHQWLRQ$Q\OLDELOLW\IRUVOLJKWQHJOLJHQFHLVGLVFODLPHG6LQFH VRPHVWDWHV GRQRWDOORZWKHH[FOXVLRQ RUOLPLWDWLRQ RI DQ LPSOLHG ZDUUDQW\RURIFRQVHTXHQWLDO GDPDJH WKH OLPLWDWLRQV RI OLDELOLW\ GHVFULEHG DERYH SHUKDSV PD\ QRWDSSO\WR\RX](https://usermanual.wiki/Seba-Dynatronic-Mess-und-Ortungstechnik/LOGCDR31.Users-Manual/User-Guide-3124334-Page-4.png)


![7HUPVRI:DUUDQW\ 'LVSOD\LQJWKHIUHTXHQF\VSHFWUXPRIWKHOHDNQRLVHLQ3URIHVVLRQDOPRGHRQO\5HFRUGLQJDQRLVHGLUHFWO\LQ3URIHVVLRQDOPRGHRQO\'HOHWLQJDXGLRGDWDIURPWKHFRPPDQGHU([SRUWLQJWKHSURJUDPPLQJIURPD/RJ1GHYLFHLQ3URIHVVLRQDOPRGHRQO\6DYLQJDQGLQYRNLQJSLFWXUHV'HOHWLQJPHDVXUHGGDWD'HOHWLQJFXUUHQWPHDVXUHGGDWD'HOHWLQJKLVWRULFDOPHDVXUHGGDWD,QFUHDVLQJDORJJHU¶VZLUHOHVVUDQJHLQ3URIHVVLRQDOPRGHRQO\5HSHDWHUGHVLJQ,QVWDOOLQJWKHZLUHOHVVH[WHQVLRQ,QVWDOOLQJDQHWZRUNLQ3URIHVVLRQDOPRGHRQO\*HQHUDOLQIRUPDWLRQ,QWURGXFWLRQ6WUXFWXUHRIDQHWZRUN0RELOHFRPPXQLFDWLRQDQG)73VHUYHU2YHUYLHZOLVW*60ER[GHVLJQ3UHSDUDWLRQVLQWKHRIILFH&RQILJXULQJ)73VHUYHUDQGHPDLOVHQGLQJDFFRXQW,QVHUWLQJWKH6,0FDUG'HWHUPLQLQJWKHPHDVXULQJSRLQWV6DYLQJ)73RUHPDLODFFHVVGDWDLQWKH6'9VRIWZDUH3UHSDULQJDQHWZRUNJURXS6HOHFWLQJWKH]RQH&UHDWLQJORJJHUV&UHDWLQJD*60ER[(QWHULQJDQGVDYLQJFRQILJXUDWLRQGDWD7UDQVIHUULQJDQHWZRUNJURXSIURPWKH3&WRWKHFRPPDQGHU3URJUDPPLQJWKH*60ER[7HVWLQJWKH*60FRQQHFWLRQ6HWWLQJXSDQHWZRUNRQVLWH,QVWDOOLQJWKH*60ER[$WWDFKLQJWKH*60ER[6HWWLQJWKHWLPH7HVWLQJWKH*60FRQQHFWLRQDJDLQ,QVWDOOLQJWKHORJJHUVDQGVHWWLQJXSWKHFRPPXQLFDWLRQSDWKV,QVWDOOLQJSDWKV([SODQDWLRQVRQµPDQXDOO\HQWHULQJ¶UHSHDWHU,'V([SODQDWLRQVRQµ0DS¶IXQFWLRQ3URFHGXUHRQDPHDVXULQJGD\$FFHVVLQJDQGHYDOXDWLQJPHDVXUHGGDWD](https://usermanual.wiki/Seba-Dynatronic-Mess-und-Ortungstechnik/LOGCDR31.Users-Manual/User-Guide-3124334-Page-7.png)

![6DIHW\DGYLFHV 6DIHW\DGYLFHV *HQHUDOQRWHV7KLVPDQXDOFRQWDLQVEDVLFDGYLFHIRUWKHLQVWDOODWLRQDQGRSHUDWLRQRIWKHV\VWHP,WLVHVVHQWLDO WR PDNH WKLV PDQXDO DFFHVVLEOH WR WKH DXWKRULVHG DQG VNLOOHG RSHUDWRU +HQHHGVWRUHDGWKLVPDQXDOFORVHO\7KHPDQXIDFWXUHULVQRWOLDEOHIRUGDPDJHWRPDWHULDORU KXPDQV GXH WR QRQREVHUYDQFH RI WKH LQVWUXFWLRQV DQG VDIHW\ DGYLFHV SURYLGHG E\WKLVPDQXDO/RFDOO\DSSO\LQJUHJXODWLRQVKDYHWREHREVHUYHG,PSRUWDQW LQVWUXFWLRQV FRQFHUQLQJ WKH SURWHFWLRQ RI VWDII DQG HTXLSPHQW DV ZHOO DVWHFKQLFDOVDIHW\ZLWKLQWKLVGRFXPHQWDUHODEHOOHGZLWKRQHRIWKHIROORZLQJV\PEROV6\PERO 'HVFULSWLRQ&$87,21,QGLFDWHV D SRWHQWLDOO\ KD]DUGRXV VLWXDWLRQ ZKLFK LI QRW DYRLGHG PD\UHVXOWLQPLQRURUPRGHUDWHLQMXU\RUPDWHULDOGDPDJH1RWHV KDYH LPSRUWDQW LQIRUPDWLRQ DQG XVHIXO WLSV RQ WKH RSHUDWLRQ RI\RXU HTXLSPHQW 1RQREVHUYDQFH PD\ UHVXOW LQ XVHOHVV PHDVXUHPHQWUHVXOWV$OO HOHFWULFDO UHJXODWLRQV RI WKH FRXQWU\ ZKHUH WKH V\VWHP LV RSHUDWHG KDYH WR EHREVHUYHG DV ZHOO DV QDWLRQDO UHJXODWLRQV IRU SUHYHQWLRQ RI DFFLGHQWV DQG H[LVWLQJUHJXODWLRQVIRUWKHVDIHW\DQGRSHUDWLRQRIHTXLSPHQWRIWKHLQYROYHGFRPSDQLHV2ULJLQDO DFFHVVRULHV HQVXUH VDIH RSHUDWLRQ RI WKH HTXLSPHQW ,W LV QRWDOORZHG DQG WKHZDUUDQW\LVORVWLIRWKHUDFFHVVRULHVWKDQWKHRULJLQDORQHVDUHXVHGZLWKWKHHTXLSPHQW&KHFN WKH FRQWHQWV RI WKH SDFNDJH IRU FRPSOHWHQHVV DQG YLVLEOH GDPDJH ULJKW DIWHUUHFHLSW,QWKHFDVHRIYLVLEOHGDPDJHWKHGHYLFHPXVWXQGHUQRFLUFXPVWDQFHVEHWDNHQLQWRRSHUDWLRQ,IVRPHWKLQJLVPLVVLQJRUGDPDJHGSOHDVHFRQWDFW\RXUORFDOVDOHVUHSUHVHQWDWLYH5HSDLUVDQGVHUYLFHPXVWRQO\EHGRQHE\6HED.07RUDXWKRULVHGVHUYLFHGHSDUWPHQWVRI6HED.076HED.07UHFRPPHQGVKDYLQJWKHHTXLSPHQWVHUYLFHGDQGFKHFNHGRQFHSHU\HDUDWD6HED.07VHUYLFHORFDWLRQ6HED.07 DOVRRIIHUV GLUHFWRQVLWHVXSSRUW3OHDVHFRQWDFW RXUVHUYLFH RIILFH IRUPRUHLQIRUPDWLRQ7KHWUDQVSRUWRIOLWKLXPEDWWHULHVLWVHOYHVDQGRIGHYLFHVZKLFKFRQWDLQVXFKEDWWHULHVLVVXEMHFW WR UHJXODWLRQV EDVHG RQ WKH 81 0RGHO 5HJXODWLRQV µ7UDQVSRUW RI 'DQJHURXV*RRGV¶676*$&3OHDVH LQIRUP \RXUVHOI DERXW WKH WUDQVSRUWDWLRQ UHTXLUHPHQWV DQG IROORZ WKHP ZKHQVKLSSLQJWKHV\VWHP7KLV PHDVXULQJ V\VWHP LV LQWHQGHG WR EH XVHG LQ WKH LQGXVWULDO ILHOG :KHQ XVHG LQUHVLGHQWLDOHQYLURQPHQWWKHUHPD\EHGLVWXUELQJHIIHFWVRQRWKHUGHYLFHVHJUDGLRRUWHOHYLVLRQ7KH FRQGXFWHG HPLVVLRQV FRPSO\ ZLWK WKH&ODVV % OLPLWV UHVLGHQWLDO HQYLURQPHQW DQGWKHUDGLDWHGHPLVVLRQVFRPSO\ZLWKWKH&ODVV$OLPLWVLQGXVWULDOHQYLURQPHQWDFFRUGLQJWR(1$VWKHGHYLFHLVVXSSRVHGWREHXVHGLQLQGXVWULDOHQYLURQPHQWDWDVDIHGLVWDQFH WR UHVLGHQWLDO HQYLURQPHQW LW PD\ QRW LQWHUIHUH ZLWK GHYLFHV ORFDWHG LQ OLYLQJDUHDV6DIHW\SUHFDXWLRQV6\PEROVXVHGLQWKLVPDQXDO:RUNLQJZLWKHTXLSPHQWRI6HED.07&KHFNLQJWKHVFRSHRIGHOLYHU\5HSDLUDQGPDLQWHQDQFH6SHFLDOWUDQVSRUWDWLRQUHTXLUHPHQWV(09](https://usermanual.wiki/Seba-Dynatronic-Mess-und-Ortungstechnik/LOGCDR31.Users-Manual/User-Guide-3124334-Page-9.png)

![7HFKQLFDOGHVFULSWLRQ 7HFKQLFDOGHVFULSWLRQ )XQFWLRQLQJDQGIHDWXUHV6HEDORJ1LVDV\VWHPIRUDFRXVWLFDOO\PRQLWRULQJSLSHV\VWHPV,WKDV/RJ1QRLVHOHYHO ORJJHUV DQG WKH SRUWDEOH SURJUDPPLQJ DQG UHDGLQJ GHYLFH &RPPDQGHU DV LWVEDVLV7R PRQLWRU D ]RQH \RX FDQ DWWDFKDV PDQ\ QRLVH OHYHO ORJJHUV DORQJ WKH SLSH DV \RXZLVK7KH\WKHQSHUIRUPUHJXODUQRLVHPHDVXUHPHQWVZLWKLQDFHUWDLQWLPHZLQGRZ7KHXVHU FDQ VHW WKH H[DFW PHDVXUHPHQW WLPH ZLQGRZ DQG RWKHU SDUDPHWHUV EHIRUHPHDVXULQJEHJLQV7KHOHYHODQGIUHTXHQF\RIWKHLQGLYLGXDOPHDVXUHPHQWVDUHVDYHGLQWKHORJJHU(YHQWKHTXLHWHVWQRLVHLVVDYHGDVDQDXGLRUHFRUGLQJ$IWHU PHDVXULQJ \RX FDQ FROOHFW WKH ORJJHUV FDOO XS WKH UHDGLQJV DQG FKHFN IRU OHDNQRLVHVDQGWKHQSXWWKHPEDFNLQDQHZ]RQHIRUH[DPSOH7KLVDOORZVDOOWKH]RQHVLQDSLSHV\VWHPWREHFKHFNHGLQVXFFHVVLRQIRUOHDNVµ/LIW6KLIW¶](https://usermanual.wiki/Seba-Dynatronic-Mess-und-Ortungstechnik/LOGCDR31.Users-Manual/User-Guide-3124334-Page-11.png)
![ 7HFKQLFDOGHVFULSWLRQ+RZHYHUWKHORJJHUVFDQDOVREHOHIWLQWKHVDPH ]RQHWRPRQLWRULWSHUPDQHQWO\7KHPHDVXUHPHQWVIURPWKH LQGLYLGXDO ORJJHUVDUHWKHQ UHDG RXW RQVLWH-XVW DSSURDFKLQJWKH LQVWDOOHG ORJJHUV ZLWK WKH &RPPDQGHU RU DQRWKHU UHDGHU ZLOO VXIILFH:LUHOHVV GDWDWUDQVIHU WDNHV SODFH DXWRPDWLFDOO\ ,GHDOO\ DOO \RX KDYH WR GR LV GULYH E\ ZKHUH WKHORJJHUVDUHEHLQJXVHGµ3DWURO¶PRGH,I D QHWZRUN LV HVWDEOLVKHG WKH PHDVXUHG GDWD DUH DXWRPDWLFDOO\ WUDQVIHUUHG IURP WKHORJJHUVWRDFRQWUROFHQWUHµ1HWZRUN¶PRGH7KH HYDOXDWLRQ RI WKH PHDVXUHG GDWD LV SRVVLEOH XVLQJ WKH &RPPDQGHU RU WKH6HED'DWD9LHZVRIWZDUHRQWKHFRPSXWHUµ3DWUROOLQJ¶Ã1HWZRUNµ](https://usermanual.wiki/Seba-Dynatronic-Mess-und-Ortungstechnik/LOGCDR31.Users-Manual/User-Guide-3124334-Page-12.png)

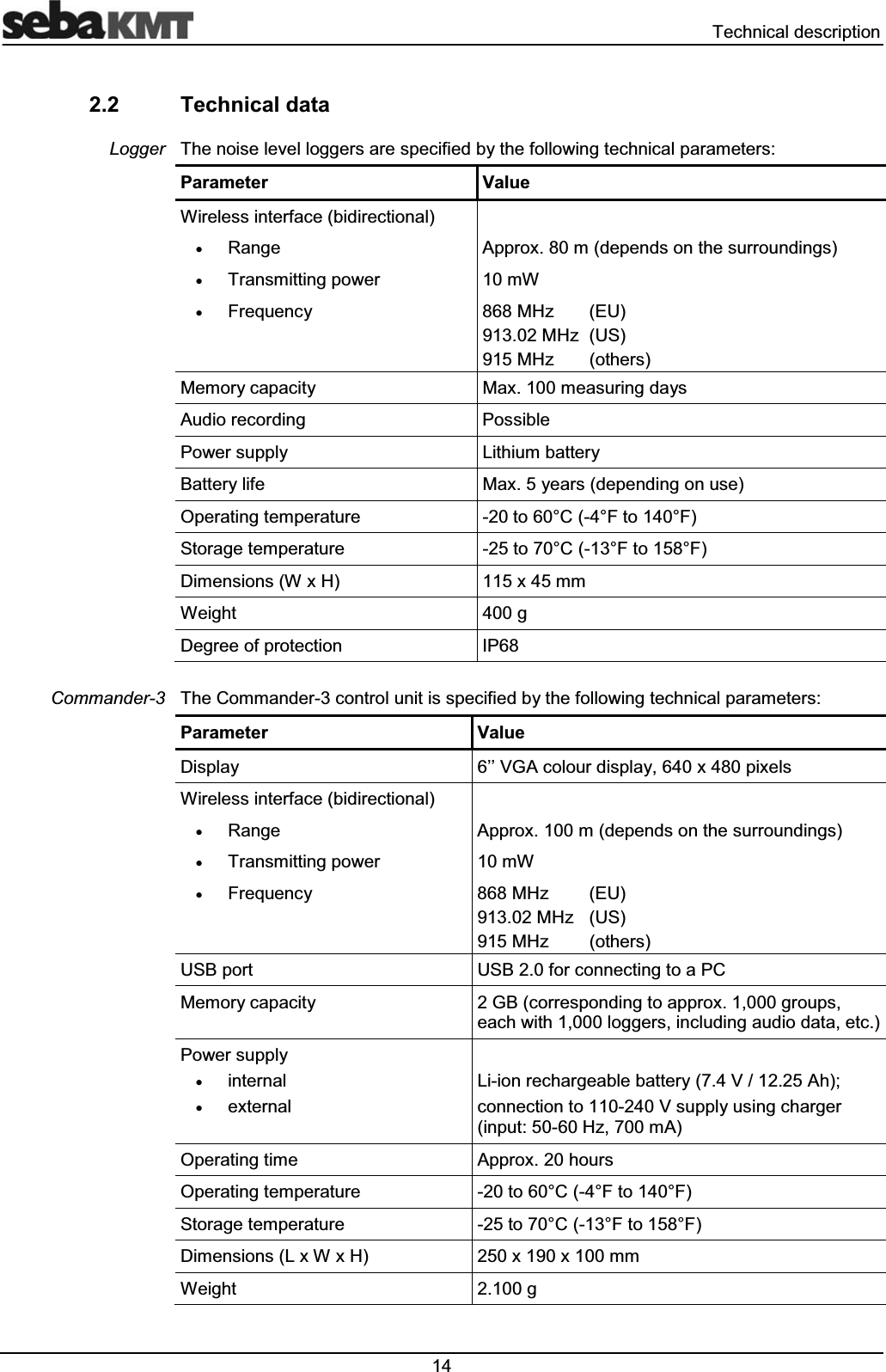
![ 7HFKQLFDOGHVFULSWLRQ 7HFKQLFDOGDWD7KHQRLVHOHYHOORJJHUVDUHVSHFLILHGE\WKHIROORZLQJWHFKQLFDOSDUDPHWHUV3DUDPHWHU9DOXH:LUHOHVVLQWHUIDFHELGLUHFWLRQDO x5DQJH $SSUR[PGHSHQGVRQWKHVXUURXQGLQJVx7UDQVPLWWLQJSRZHU P:x)UHTXHQF\ 0+] (8 0+] 86 0+] RWKHUV0HPRU\FDSDFLW\ 0D[PHDVXULQJGD\V$XGLRUHFRUGLQJ 3RVVLEOH3RZHUVXSSO\ /LWKLXPEDWWHU\%DWWHU\OLIH 0D[\HDUVGHSHQGLQJRQXVH2SHUDWLQJWHPSHUDWXUH WR&)WR)6WRUDJHWHPSHUDWXUH WR&)WR)'LPHQVLRQV:[+ [PP:HLJKW J'HJUHHRISURWHFWLRQ ,37KH&RPPDQGHUFRQWUROXQLWLVVSHFLILHGE\WKHIROORZLQJWHFKQLFDOSDUDPHWHUV3DUDPHWHU 9DOXH'LVSOD\ ¶¶9*$FRORXUGLVSOD\[SL[HOV:LUHOHVVLQWHUIDFHELGLUHFWLRQDO x5DQJH $SSUR[PGHSHQGVRQWKHVXUURXQGLQJVx7UDQVPLWWLQJSRZHU P:x)UHTXHQF\ 0+] (8 0+] 86 0+] RWKHUV86%SRUW 86%IRUFRQQHFWLQJWRD3&0HPRU\FDSDFLW\ *%FRUUHVSRQGLQJWRDSSUR[JURXSVHDFKZLWKORJJHUVLQFOXGLQJDXGLRGDWDHWF3RZHUVXSSO\xLQWHUQDOxH[WHUQDO/LLRQUHFKDUJHDEOHEDWWHU\9$KFRQQHFWLRQWR9VXSSO\XVLQJFKDUJHULQSXW+]P$2SHUDWLQJWLPH $SSUR[KRXUV2SHUDWLQJWHPSHUDWXUH WR&)WR)6WRUDJHWHPSHUDWXUH WR&)WR)'LPHQVLRQV/[:[+ [[PP:HLJKW J/RJJHU&RPPDQGHU](https://usermanual.wiki/Seba-Dynatronic-Mess-und-Ortungstechnik/LOGCDR31.Users-Manual/User-Guide-3124334-Page-14.png)
![7HFKQLFDOGHVFULSWLRQ 'HJUHHRISURWHFWLRQ ,37KH 5HDGHU UHDGLQJ GHYLFH LQ WKH 6HEDORJ1 V\VWHP LV VSHFLILHG E\ WKH IROORZLQJWHFKQLFDOSDUDPHWHUV3DUDPHWHU 9DOXH'LVSOD\ /&'GLVSOD\EZ[SL[HOV:LUHOHVVLQWHUIDFHELGLUHFWLRQDO x5DQJH $SSUR[PGHSHQGVRQWKHVXUURXQGLQJVx7UDQVPLWWLQJSRZHU P:x)UHTXHQF\ 0+] (8 0+] 86 0+] RWKHUV86%SRUW 86%IRUFRQQHFWLQJWRD3&YLDGRFNLQJVWDWLRQ0HPRU\FDSDFLW\ *%6'PHPRU\FDUG3RZHUVXSSO\ /LLRQUHFKDUJHDEOHEDWWHU\9$K2SHUDWLQJWLPH KRXUV2SHUDWLQJWHPSHUDWXUH WR&)WR)6WRUDJHWHPSHUDWXUH WR&)WR)'LPHQVLRQV/[:[+ [[PP:HLJKW J'HJUHHRISURWHFWLRQ ,37KH UHSHDWHUV LQ WKH 6HEDORJ1 V\VWHP DUH VSHFLILHG E\ WKH IROORZLQJ WHFKQLFDOSDUDPHWHUV3DUDPHWHU 9DOXH'LVSOD\ 6WDWXV/(':LUHOHVVLQWHUIDFHELGLUHFWLRQDO x5DQJH $SSUR[PGHSHQGVRQWKHVXUURXQGLQJVx7UDQVPLWWLQJSRZHU P:x)UHTXHQF\ 0+] (8 0+] 86 0+] RWKHUV3RZHUVXSSO\ /LWKLXPEDWWHU\UHSODFHDEOH%DWWHU\OLIH 0D[\HDUVGHSHQGLQJRQXVH2SHUDWLQJWHPSHUDWXUH WR&)WR)6WRUDJHWHPSHUDWXUH WR&)WR)'LPHQVLRQV/[:[+ [[PP:HLJKW J'HJUHHRISURWHFWLRQ ,35HDGHU5HSHDWHU](https://usermanual.wiki/Seba-Dynatronic-Mess-und-Ortungstechnik/LOGCDR31.Users-Manual/User-Guide-3124334-Page-15.png)
![ 7HFKQLFDOGHVFULSWLRQ7KH *60ER[ LQ WKH 6HEDORJ 1 V\VWHP LV VSHFLILHG E\ WKH IROORZLQJ WHFKQLFDOSDUDPHWHUV3DUDPHWHU 9DOXH:LUHOHVVLQWHUIDFHELGLUHFWLRQDO x5DQJH $SSUR[PGHSHQGVRQWKHVXUURXQGLQJVx7UDQVPLWWLQJSRZHU P:x)UHTXHQF\ 0+] (8 0+] 86 0+] RWKHUV0HPRU\FDSDFLW\ *%FRUUHVSRQGVWRWKHGDWDIURPDSSUR[ORJJHUV3RZHUVXSSO\xLQWHUQDOxH[WHUQDO/LWKLXPEDWWHU\UHSODFHDEOH9$%DWWHU\OLIH 8SWR\HDUV2SHUDWLQJWHPSHUDWXUH WR&)WR)6WRUDJHWHPSHUDWXUH WR&)WR)'LPHQVLRQV/[:[+ [[PP:HLJKW J'HJUHHRISURWHFWLRQ ,37KH /RJ5, ZLUHOHVV LQWHUIDFH LQ WKH 6HEDORJ1 V\VWHP LV VSHFLILHG E\ WKH IROORZLQJWHFKQLFDOSDUDPHWHUV3DUDPHWHU 9DOXH'LVSOD\ 6WDWXV/(':LUHOHVVLQWHUIDFHELGLUHFWLRQDO x5DQJH 0D[PGHSHQGVRQWKHVXUURXQGLQJVx7UDQVPLWWLQJSRZHU P:x)UHTXHQF\ 0+] (8 0+] 86 0+] RWKHUV86%SRUW 86%IRUFRQQHFWLQJWRD3&3RZHUVXSSO\ 9LD86%2SHUDWLQJWHPSHUDWXUH WR&)WR)6WRUDJHWHPSHUDWXUH WR&)WR)'LPHQVLRQV/[:[+ [[PP:HLJKW J'HJUHHRISURWHFWLRQ ,3*60ER[/RJ5,](https://usermanual.wiki/Seba-Dynatronic-Mess-und-Ortungstechnik/LOGCDR31.Users-Manual/User-Guide-3124334-Page-16.png)
![7HFKQLFDOGHVFULSWLRQ 6FRSHRIGHOLYHU\DQGDFFHVVRULHV 6HWFRQWHQWV$/2*6(7&'5FRQVLVWVRIWKHIROORZLQJFRPSRQHQWV'HVLJQDWLRQ 'HVFULSWLRQ ,WHP1R/2*&'5 &RPPDQGHU &6:'$7$9,(: 6HED'DWD9LHZXVHUVRIWZDUH /2*&'57 &DUULHUEDJIRU&RPPDQGHU /*6(%$/2* &KDUJHUIRU&RPPDQGHU /. 9HKLFOHFKDUJHUFDEOHPORQJ 9. &RQQHFWLRQFDEOH86%RXWSXW .5 6WHUHRKHDGSKRQH $QWHQQD0+]ZLWKPDJQHW0$*71&$ORJJHUVHWFRQVLVWVRIWKHIROORZLQJFRPSRQHQWV'HVLJQDWLRQ 'HVFULSWLRQ ,WHP1R/2*1 1RLVHOHYHOORJJHUQXPEHUGHSHQGLQJRQVHWVL]H/2*0:$ 0DJQHWLFDQJOHDGDSWRUQXPEHUGHSHQGLQJRQVHWVL]H 7KUHDGFDS0QXPEHUGHSHQGLQJRQVHWVL]H 7UDQVSRUWER[ 2SWLRQDODFFHVVRULHV7KHIROORZLQJRSWLRQDODFFHVVRULHVDUHDYDLODEOH'HVLJQDWLRQ 'HVFULSWLRQ ,WHP1R/2**36 *36PRGXOHIRU&RPPDQGHU &RPPDQGHUVHW/RJJHUVHW](https://usermanual.wiki/Seba-Dynatronic-Mess-und-Ortungstechnik/LOGCDR31.Users-Manual/User-Guide-3124334-Page-17.png)


![ ,PSRUWDQWDQGFRPPRQWHUPV7KH&RPPDQGHUFDQRQO\HYHULQWHUDFWZLWKDVLQJOHUHJLVWHUHGORJJHUJURXS7KLVJURXSLV FDOOHG WKH µZRUNJURXS¶ ,W LV QRW SRVVLEOH WR SURJUDP RU UHDG ORJJHUV IURP DQRWKHUJURXS7KH µPHDVXULQJ ZLQGRZ¶ LV WKH WLPH GXULQJ ZKLFK D ORJJHU LV SURJUDPPHG WR FDUU\ RXWPHDVXUHPHQWVHJIURPDPXQWLODPLQWKHPRUQLQJ$PHDVXULQJZLQGRZFRXOGDOVREHUHIHUUHGWRDVDµPHDVXULQJGD\¶$ PHDVXULQJ SHULRG UHIHUV WR WKH WLPH VSDQ WKDW SDVVHV EHWZHHQ SURJUDPPLQJ DQGUHDGLQJDORJJHU$PHDVXULQJSHULRGFDQWKHUHIRUHODVWWRPHDVXULQJGD\V7KHWLPHSHULRGLQZKLFKDGHYLFHLVSURJUDPPHGWRUHFHLYHDQGVHQGVLJQDOVLVFDOOHGWKH WUDQVPLVVLRQ ZLQGRZ %HFDXVH PDLQWDLQLQJ WKH ZLUHOHVV DYDLODELOLW\ KDV D QHJDWLYHLPSDFWRQWKHEDWWHU\OLIHVSDQLWFDQEHOLPLWHGWRDFHUWDLQSHULRGLQDGD\DQGFHUWDLQGD\VRIWKHZHHNIRUH[DPSOH0RQGD\WR)ULGD\IURPDPWRSPUHVSHFWLYHO\7KHGHYLFHFDQQRWEHUHDFKHGE\ZLUHOHVVVLJQDOVRXWVLGHWKLVWLPH7KHUH LV D FHUWDLQ EDVLF QRLVH OHYHO LQ HDFK SLSH V\VWHP 7KLV EDVLF QRLVH OHYHO LVUHIHUUHG WR DV WKH µOHDNWKUHVKROG¶ 7KLV OHYHO PD\ EH NQRZQ RU HVWLPDWHG EDVHG RQH[SHULHQFH ,I WKH ORZHVW PHDVXUHG QRLVH OHYHO LQ D VHFWLRQ RI SLSH LV DERYH WKH OHDNWKUHVKROGWKHUHLVSUHVXPHGWREHDOHDN7KH TXLHWHVW UHFRUGLQJ LQ D PHDVXULQJ SHULRG LV UHIHUUHG WR DV µOHDN QRLVH¶ 7KLV WHUPVVKRXOG QRW KRZHYHU EH WDNHQ OLWHUDOO\ ,W PHUHO\ VWDWHV WKDW WKH QRLVH UHFRUGHG FRXOGRULJLQDWHIURPDOHDN7KH WHUP µOHDN YDOXH¶ FRPELQHV WKH WKUHH PHDVXUHPHQW UHVXOWV ± OHYHO IUHTXHQF\ DQG(6$YDOXH±GHWHUPLQHGIRUWKHTXLHWHVWQRLVHLQDPHDVXULQJSHULRG,IWKHOHYHORIWKHTXLHWHVWQRLVHLQDPHDVXULQJZLQGRZLVDERYHWKHSUHYLRXVO\IRXQGOHDNWKUHVKROGVHHDERYHWKHORJJHUJRHVLQWRµOHDNVWDWXV¶7KLVPHDQVIRUH[DPSOHWKDWZKHQWKLVORJJHULVUHDGDZDUQLQJDSSHDUVRQWKHUHDGHULQGLFDWLQJWKDWWKHUHLVDQLQFUHDVHGSUREDELOLW\RIDOHDNFORVHWRWKHORJJHU,I D QRLVH ORJJHU KDV EHHQ VZLWFKHG RII LH LW KDV VWRRG µRQ LWV KHDG¶ IRU DW OHDVWPLQXWHVLWLVLQµFRQILJXUDWLRQPRGH¶DIWHULWLVVZLWFKHGEDFNRQ7KLVPHDQVx7KHSUHYLRXVSURJUDPPLQJKDVEHHQGHOHWHG7KHORJJHULVQRZXQSURJUDPPHGx6ZLWFKLQJRIIKDVQRWGHOHWHGWKHSUHYLRXVO\VDYHGPHDVXUHPHQWUHVXOWV7KH\DUHVWLOOLQWKHORJJHU¶VPHPRU\DQGFDQEHDFFHVVHGE\DUHDGLQJGHYLFH+RZHYHUWKLVLVRQO\SRVVLEOHE\VLQJOHLQWHUURJDWLRQVHHSDJHx7KHORJJHULVUHDG\IRUZLUHOHVVRSHUDWLRQDQGZDLWLQJWREHFRQWDFWHGE\WKH&RPPDQGHURU3&7KHORJJHUUHPDLQVLQFRQILJXUDWLRQPRGHXQWLOLWLVUHSURJUDPPHG(DFKGHYLFHLQWKH6HEDORJ1VHULHVKDVDXQLTXHVHULDOQXPEHU61<RXZLOOILQGLWRQWKHW\SHSODWHRIWKHGHYLFH$OOORJJHUVUHSHDWHUVDQG*60ER[HVDOVRKDYHDQLGHQWLILFDWLRQQXPEHU,'ZKLFKFDQEH XVHG E\ WKH &RPPDQGHU RU WKH 6HED'DWD9LHZ VRIWZDUH WR PDQDJH WKHP <RX ZLOODOVRILQGWKH,'RQWKHW\SHSODWHRURQDVHSDUDWHSODWHRQWKHGHYLFH7KHLGHQWLILFDWLRQQXPEHULVLGHQWLFDOWRWKHODVWVL[GLJLWVRIWKHVHULDOQXPEHU,Q PDQ\ FDVHV \RX KDYH D FKRLFH RI HQWHULQJ WKH ,' RI WKH GHYLFH FRQFHUQHG HLWKHUPDQXDOO\RUXVLQJWKHIXQFWLRQ¶$XWRPDWLFGHWHFWLRQ¶VHHSDJH:KHQLQSXWWLQJDQ,'WKHSUHFHGLQJ]HURGLJLWVFDQEHRPLWWHG7KXVLIWKH,'LVµ¶\RXQHHGRQO\HQWHUµ¶:RUNJURXS0HDVXULQJZLQGRZ0HDVXULQJSHULRG7UDQVPLVVLRQZLQGRZ/HDNWKUHVKROG/HDNQRLVH/HDNYDOXH/HDNVWDWXV&RQILJXUDWLRQPRGH,GHQWLILFDWLRQQXPEHU](https://usermanual.wiki/Seba-Dynatronic-Mess-und-Ortungstechnik/LOGCDR31.Users-Manual/User-Guide-3124334-Page-20.png)

![7KHORJJHUV 'HVLJQ$OOQRLVHORJJHUVKDYHDKLJKO\VHQVLWLYHPLFURSKRQHZLWKDODUJHG\QDPLFUDQJHDGDWDPHPRU\ DQG DOLWKLXP EDWWHU\ LQVLGH 7KH VWDQGDUG ORJJHUV DOVR KDYH DQ LQWHUQDO UDGLRDQWHQQD7KHORJJHUVKDYHWKHIROORZLQJH[WHUQDOFKDUDFWHULVWLFV(OHPHQW 'HVFULSWLRQ+ROH0WKUHDG)RUILWWLQJWKHVXSSOLHGULQJZKLFKFDQEHXVHGIRUFDUU\LQJWKHORJJHUDQGSXOOLQJLWRXWRIWKHVKDIW/DEHOZLWKLGHQWLILFDWLRQQXPEHU,'(DFKORJJHUKDVLWVRZQVL[GLJLWLGHQWLILFDWLRQQXPEHU7\SHSODWH7KHODVWVL[GLJLWVRIWKHVHULDOQXPEHU61RQWKHW\SHSODWHRIWKHGHYLFHDUHLGHQWLFDOWRWKH,'0DUNLQJ0XVWDOZD\VIDFHXSZDUGVZKHQWKHORJJHULVILWWHGKRUL]RQWDOO\0DJQHWLFIRRW&DQEHXQVFUHZHGDQGUHSODFHGE\DQDGDSWHURUVLPLODUIURPWKHDVVHPEO\DFFHVVRULHV7KHVSHFLDO71&YHUVLRQRIORJJHUVKDYHQRLQWHUQDODQWHQQD,QVWHDGRIWKHKROHIRUWKHDVVHPEO\ULQJ WKH\KDYHDQDQWHQQDVRFNHWIRUFRQQHFWLQJDQH[WHUQDODQWHQQD,QWURGXFWLRQ6WDQGDUGYHUVLRQ71&YHUVLRQµ+HDG¶RIWKHORJJHUµ)RRW¶RIWKHORJJHU](https://usermanual.wiki/Seba-Dynatronic-Mess-und-Ortungstechnik/LOGCDR31.Users-Manual/User-Guide-3124334-Page-22.png)

![7KHORJJHUV,QIRUPDWLRQDERXWDZHDNEDWWHU\LVDOVRSURYLGHGDWWKHIROORZLQJSRLQWVx'XULQJUHDGRXWRIWKHPHDVXUHGGDWDDEDWWHU\V\PERODSSHDUVRQWKHFRPPDQGHUVFUHHQx,QPHQXVOLNHWKHVHLQZKLFKWKHORJJHUVLQDZRUNJURXSDUHOLVWHGDEDWWHU\V\PERODSSHDUVWRWKHIDUULJKWLQWKHOLQHIRUWKHORJJHUFRQFHUQHG7KHFRPPHQWWH[WDOVRDSSHDUVDJDLQVWDSDOHUHGEDFNJURXQG)ODWEDWWHULHVFDQQRWEHUHFKDUJHG7KH\PXVWEHUHSODFHG&$87,216HED.07RUDQDXWKRULVHGVHUYLFHSDUWQHUPXVWFKDQJHWKHEDWWHULHV2WKHUZLVHZDWHUDQGGLUWUHVLVWDQFHRIWKHORJJHUFDQQRWEHJXDUDQWHHG ,QVWDOOLQJWKHORJJHUV,QVWDOOWKHORJJHUVRIWKHZRUNJURXSLQVXFFHVVLRQDORQJWKHVWUHWFKRISLSH,WLVEHVWWRILWWKHPGLUHFWO\RQWKHSLSH+RZHYHU\RXFDQDOVRDWWDFKWKHORJJHUVWRYDOYHURGVRUK\GUDQWVIRUH[DPSOHRUDQ\RWKHUSRVLWLRQDORQJWKHSLSHOLQHWKDWLVHDVLO\DFFHVVLEOH7KHUHPXVWEHWKHEHVWSRVVLEOHFRQWDFWEHWZHHQWKHORJJHUIRRWRUWKHPRXQWHGDGDSWHUVHHEHORZDQGWKHSLSH,IWKHORJJHULVDWWDFKHGWRDYDOYHURGIRUH[DPSOHPDNHVXUHWKHVXUIDFHLVDVIODWDVSRVVLEOH&OHDQWKHURGWKRURXJKO\SUHIHUDEO\ZLWKDZLUHEUXVK'XH WR WKHLU SRZHUIXO PDJQHW WKH ORJJHUV FDQ DOVR EH DWWDFKHG KRUL]RQWDOO\ WRIHUURPDJQHWLF VXUIDFHV <RX PXVW KRZHYHU PDNH VXUH WKH UHG PDUN RQ WKH ORJJHU LVIDFLQJ XSZDUGV 2WKHUZLVH WKH LQWHUQDO WLOW VZLWFK ZLOO VZLWFK WKH ORJJHU RII DIWHUPLQXWHV/RJJHUVZLWKWKHPDUNIDFLQJXSZDUGVDUHVZLWFKHGRQ/RJJHUVZLWKWKHPDUNIDFLQJGRZQZDUGVDUHVZLWFKHGRII,IWKHORJJHUFDQQRWEHDWWDFKHGDQ\ZKHUHGLUHFWO\WKHDFFHVVRULHVIRUWKH6HEDORJ1VHWKDYHYDULRXVDGDSWHUV,I IRU H[DPSOH WKH VXUIDFH RI WKH YDOYH URG LV QRW IODW RU QRW PDJQHWLF XQVFUHZ WKHPDJQHW RQ WKH IRRW RI WKH ORJJHU DQG ILW WKH PP RU PP YDOYH URG DGDSWHURSWLRQDOO\DYDLODEOHLQVWHDG:KHQLQVWDOOLQJWKHORJJHURQDQXQGHUJURXQGK\GUDQW\RXFDQILWLWRQWKHYDOYHURGRURQ WKH VLGH RI WKH URG GHSHQGLQJ RQ WKH KHLJKW RI WKH VKDIW 8VH WKH PDJQHWLF DQJOHDGDSWHUIRUH[DPSOHIRUVLGHPRXQWLQJ%DVLFV+RUL]RQWDOLQVWDOODWLRQ6SHFLDOFDVHV](https://usermanual.wiki/Seba-Dynatronic-Mess-und-Ortungstechnik/LOGCDR31.Users-Manual/User-Guide-3124334-Page-24.png)
![7KHORJJHUV 7KHIROORZLQJSLFWXUHVVKRZDIHZPHWKRGVIRULQVWDOOLQJ1QRLVHORJJHUV/RJJHURQWKHYDOYHURGRIDQXQGHUJURXQGK\GUDQW/RJJHURQDQXQGHUJURXQGK\GUDQW/RJJHUZLWKDQDQJOHDGDSWHURQWKHYDOYHURG/RJJHUZLWKDQDQJOHDGDSWHURQWKHK\GUDQWFODZ/RJJHUZLWKDQDQJOHDGDSWHUKRUL]RQWDOO\RQWKHYDOYHURG,QVWDOODWLRQH[DPSOHV](https://usermanual.wiki/Seba-Dynatronic-Mess-und-Ortungstechnik/LOGCDR31.Users-Manual/User-Guide-3124334-Page-25.png)




![ 7KH&RPPDQGHU9DULRXVIXQFWLRQVUHTXLUHWKHLGHQWLILFDWLRQQXPEHUV,'VRIORJJHUVUHSHDWHUVRU*60ER[HV WR EH VSHFLILHG <RX FDQ ILQG WKH ,' RQ WKH GHYLFH W\SH SODWH RU RQ DQ H[WUDVWLFNHU,WFDQEHHQWHUHGLQWKHIROORZLQJVFUHHQYLHZRUDVLPLODURQHZKLFKRSHQV'(/ « GHOHWHVODVWFKDUDFWHU(17(5 « FRQILUPVDQGFRPSOHWHVLQSXW$FFHSW « DFFHSWVDQGHQWHUVDXWRPDWLFDOO\GHWHFWHG,''HFOLQH « GRHVQRWDFFHSWDXWRPDWLFDOO\GHWHFWHG,')LQLVK « FRPSOHWHVWKHDXWRPDWLFGHWHFWLRQ)RUWKHµ0DQXDOHQWU\¶RI,'VWKHQXPEHUILHOGGLVSOD\HGLVXVHG:KHQLQSXWWLQJDQ,'WKHSUHFHGLQJ]HURGLJLWVFDQEHRPLWWHG7KXVLIWKH,'LVµ¶\RXQHHGRQO\HQWHUµ¶7R WKH ULJKW RI WKH QXPEHU ILHOG WKHUH DUH ILHOGV DQG EXWWRQV IRU WKHµ$XWRPDWLFGHYLFHGHWHFWLRQ¶IXQFWLRQ7KHGHYLFHVFRQFHUQHGPXVWEHVZLWFKHGRIIIRUWKLV DQG EH FORVH WR WKH FRPPDQGHU 'LUHFWO\ DIWHU VZLWFKLQJ RQ D GHYLFH LWV ,' LVGHWHFWHG DQG GLVSOD\HG E\ WKH FRPPDQGHU 8VLQJ WKH FRUUHVSRQGLQJ EXWWRQV WKH ,'GHWHFWHG FDQ EH DFFHSWHG IRU HQWU\ RU UHMHFWHG 7KLV DOORZV D ODUJH QXPEHU RI GHYLFH,'VWREHGHWHFWHGLQVXFFHVVLRQTXLFNO\DQGHQWHUHGLQWKHFRPPDQGHUIRUH[DPSOHWKH,'VRIRQHORJJHUJURXS7RLQSXWFRPPHQWV RUVLPLODUDYLUWXDONH\ERDUG DSSHDUVRQWKHVFUHHQ ZKLFKLVDOVRRSHUDWHGZLWKWKHVHOHFWRUNQRE'(/ « GHOHWHVODVWFKDUDFWHU6+,)7 « VZLWFKHVEHWZHHQXSSHUDQGORZHUFDVH63$&( « LQVHUWVVSDFH(17(5 « FRQILUPVDQGFRPSOHWHVLQSXW(QWHULQJLGHQWLILFDWLRQQXPEHUV(QWHULQJWH[W](https://usermanual.wiki/Seba-Dynatronic-Mess-und-Ortungstechnik/LOGCDR31.Users-Manual/User-Guide-3124334-Page-30.png)



![ 7KH&RPPDQGHU %DVLFVHWWLQJV7KHIROORZLQJEDVLFVHWWLQJVFDQEHPDGHLQERWK3URIHVVLRQDOPRGHDQG(DV\PRGH/LQH 'HVFULSWLRQ8VHUPRGH 6HOHFWDXVHUPRGHVHHSDJHIRUWKHGHYLFH:KLOHDQHWZRUNJURXSLVUHJLVWHUHGDVDZRUNJURXSVHHSDJHLQWKHFRPPDQGHULWLVQRWSRVVLEOHWRDFFHVV(DV\PRGH/DQJXDJH 6HOHFWDODQJXDJHIRUWKHXVHULQWHUIDFH,I\RXFDQQRWUHDGWKHSUHVHWODQJXDJH\RXFDQJRWRWKHODQJXDJHVHOHFWLRQVWDUWLQJIURPWKHPDLQPHQXYLDWKHIROORZLQJV\PEROVÎ Î7LPHDQGGDWHVHWWLQJV,QWKH7LPH]RQHOLQHVHOHFWWKHWLPH]RQHIRUZKHUH\RXDUH,QWKH'D\OLJKWVDYLQJWLPHOLQHVHOHFWZKHWKHULWLVFXUUHQWO\ZLQWHURUVXPPHUWLPH,QWKH'DWHIRUPDWOLQHVHOHFWWKHGDWHIRUPDWWREHXVHGE\WKH&RPPDQGHU''«'D\00«0RQWK<<<<«<HDU,QWKH7LPHOLQHHQWHUWKHFXUUHQWWLPHIRUWKH&RPPDQGHUKRXUPLQXWHVVHFRQGV,QWKH'DWHOLQHHQWHUWKHFXUUHQWGDWHIRUWKH&RPPDQGHUGD\PRQWK\HDU%DFNOLJKWVZLWFKRII 6HOHFWDSHULRGRIWLPHIRUWKHEDFNOLJKWXQWLOLWLVVZLWFKHGRIIDXWRPDWLFDOO\QHYHU FRQWLQXRXVEDFNOLJKW7XUQRIIDXWRPDIWHU6HOHFWDSHULRGRIWLPHIRUWKHDXWRRIIIXQFWLRQ,IQRHQWU\LVPDGHIRUORQJHUWKHVSHFLILHGWLPHWKH&RPPDQGHUVZLWFKHVRIIDXWRPDWLFDOO\QHYHU DXWRPDWLFVZLWFKRIIGHDFWLYDWHG.H\EHHS $FWLYDWHGHDFWLYDWHWKHNH\WRQHWKDWVRXQGVZKHQWKHVHOHFWRUNQRELVSUHVVHG+LVWRU\ $FWLYDWHGHDFWLYDWHWKHµ+LVWRU\¶IXQFWLRQ,IWKHµ+LVWRU\¶IXQFWLRQLVDFWLYDWHGWKHPHDVXUHGGDWDIURPORJJHUVUHPDLQVVWRUHGLQWKH&RPPDQGHUDIWHUWKH\DUHUHDGRXW7KH\FDQWKHQEHFDOOHGXSDWDQ\WLPHDQGGLVSOD\HGDJDLQ,IWKHIXQFWLRQLVGHDFWLYDWHGWKHSUHYLRXVGDWDVHWLVRYHUZULWWHQZKHQQHZGDWDLVUHDG'HDFWLYDWLQJWKHIXQFWLRQFDQEHXVHIXOEHFDXVHWKLVVDYHVPHPRU\VSDFHDQGWKH&RPPDQGHUFDQZRUNIDVWHULQFHUWDLQVLWXDWLRQV7RXFK (QDEOH'LVDEOHWKHWRXFKIXQFWLRQWRXFKVHQVLWLYLW\RIWKHVFUHHQ,IWKLVIXQFWLRQLVGLVDEOHGWKHVFUHHQRQO\ZRUNVDVDGLVSOD\7KHGHYLFHFDQRQO\EHRSHUDWHGXVLQJWKHURWDU\HQFRGHU](https://usermanual.wiki/Seba-Dynatronic-Mess-und-Ortungstechnik/LOGCDR31.Users-Manual/User-Guide-3124334-Page-34.png)
![7KH&RPPDQGHU ([WHQGHGVHWWLQJVLQ3URIHVVLRQDOPRGH7KHIROORZLQJH[WHQGHGVHWWLQJVDUHRQO\DYDLODEOHLQ3URIHVVLRQDOPRGH/LQH 'HVFULSWLRQ/HDNYDOXHKLJKOLJKWLQJ'HWHUPLQLQJWKHPHDQLQJRIWKHFRORXUHGEDFNJURXQGWRWKHPHDVXUHGYDOXHVLQORJJHUOLVWV7KHLQGLYLGXDOORJJHUVLQDORJJHUJURXSDUHOLVWHGLQDWDEOHLQYDULRXVPHQXV,IWKHYDOXHVPHDVXUHGE\DORJJHUDSSHDUZLWKDFRORXUHGEDFNJURXQGH[FHSWIRUµJUH\¶WKHQWKLVLQGLFDWHVDKLJKSUREDELOLW\RIDOHDNLQWKHPHDVXULQJSHULRGFRQFHUQHG7KLVPHDQVWKDWWKHOHYHORIWKHOHDNQRLVHGXULQJWKHPHDVXULQJSHULRGKDVH[FHHGHGWKHVHWOHDNWKUHVKROG7KHPHDQLQJRIWKHFRORXULWVHOIFDQEHVHWKHUH7KHIROORZLQJVHWWLQJVFDQEHPDGHXVLQJWKHGURSGRZQPHQX$OOFROXPQV(6$FRORU7KHFRORXUHGEDFNJURXQGURXJKO\PLUURUVWKH(6$YDOXHRIWKHOHDNQRLVH%OXH <HOORZ2QO\(6$7KHFRORXUHGEDFNJURXQGURXJKO\PLUURUVWKH(6$YDOXHRIWKHOHDNQRLVH%OXH <HOORZ2QO\OHYHO7KHFRORXUHGEDFNJURXQGURXJKO\PLUURUVWKHYROXPHRIWKHOHDNQRLVH%OXH <HOORZG%G%2QO\IUHTXHQF\7KHFRORXUHGEDFNJURXQGURXJKO\UHIOHFWVWKHIUHTXHQF\RIWKHOHDNQRLVH%OXH <HOORZ+]+](YHU\FROXPQZLWKRZQFRORU7KHFRORXUHGEDFNJURXQGPLUURUVWKHUHVSHFWLYHOHYHORIWKHPHDVXUHGYDOXHLQHDFKFROXPQ/RJJHUIRXQGEHHS 6ZLWFKWKHDFRXVWLFVLJQDORQRIIWKDWRFFXUVZKHQDORJJHULVIRXQG$QDFRXVWLFVLJQDOVRXQGVHDFKWLPHWKH&RPPDQGHUGHWHFWVDORJJHUZKHQUHDGLQJRXWGDWD$FRUUHVSRQGLQJPHVVDJHLVVKRZQEULHIO\RQWKHVFUHHQ:KHQµSDWUROOLQJ¶WKLVFDQKDSSHQVHYHUDOWLPHVLQVXFFHVVLRQEHFDXVHWKHORJJHUVVHQGGDWDSDFNHWVWRWKH&RPPDQGHUDWUHJXODULQWHUYDOVFRQWLQXHGRQWKHQH[WSDJH](https://usermanual.wiki/Seba-Dynatronic-Mess-und-Ortungstechnik/LOGCDR31.Users-Manual/User-Guide-3124334-Page-35.png)








![ :RUNLQJLQ(DV\PRGH6WHS 'HVFULSWLRQ7KHFRORXUHGEDFNJURXQGRIWKHUHDGGDWDLQWKHOHIWKDQGZLQGRZUHIOHFWVWKHSUREDELOLW\RIDOHDN1RFRORXU « /HDNSUREDELOLW\ORZOHDNWKUHVKROGZDVQRWH[FHHGHG*UH\ « /HDNSUREDELOLW\QRWDYDLODEOHORJJHULQFRQILJXUDWLRQPRGHVLQFHLWZDVVZLWFKHGRIIGXULQJRUDIWHUPHDVXUHPHQW2WKHUFRORXU « /HDNSUREDELOLW\KLJK/HDNWKUHVKROGH[FHHGHG7KHFRORXUUHIOHFWVDSSUR[LPDWHO\WKHIUHTXHQF\RIWKHOHDNQRLVH%OXH <HOORZ+]+],IDORJJHU¶VFRPPHQWLVRQDUHGEDFNJURXQGWKLVPHDQVWKDWLWVEDWWHU\LVZHDN 7KH6WRSEXWWRQFDQEHXVHGWRFDQFHOUHDGLQJDWDQ\WLPH,WFDQEHFRQWLQXHGZLWKWKH6WDUWEXWWRQ7KHSURFHGXUHILQLVKHVDXWRPDWLFDOO\RQFHWKH&RPPDQGHUKDVUHFHLYHGDQGVDYHGWKHPHDVXUHGGDWDIURPDOOWKHORJJHUVLQWKHJURXS,IDORJJHUFRXOGQRWEHUHDGLWPD\KDYHEHHQVZLWFKHGRIIQRWUHDG\IRUZLUHOHVVRSHUDWLRQRULWZDVRXWVLGHWKH&RPPDQGHU¶VZLUHOHVVUDQJH <RXFDQLPPHGLDWHO\YLHZWKHGDWDRIDORJJHUWKDWKDVMXVWEHHQUHDG7RGRVRVHOHFWWKHOHIWKDQGZLQGRZRQWKHVFUHHQDQGWKHQVHOHFWWKHUHVSHFWLYHORJJHU5HVXOW7KHORJJHU¶VPHDVXUHGGDWDLVVKRZQVHHSDJH8VHWKH(6&EXWWRQ WRUHWXUQWRWKHPDLQPHQX](https://usermanual.wiki/Seba-Dynatronic-Mess-und-Ortungstechnik/LOGCDR31.Users-Manual/User-Guide-3124334-Page-44.png)

![ :RUNLQJLQ(DV\PRGH6WHS 'HVFULSWLRQ,IWKHGLVSOD\HGPHVVDJHFRQWDLQVDFORFNV\PEROWKLVPHDQVWKHORJJHU¶VLQWHUQDOFORFNGLIIHUVIURPWKHV\VWHPWLPHRIWKHUHDGLQJGHYLFHE\PRUHWKDQPLQXWHV7KHORJJHUJURXSFRQFHUQHGVKRXOGEHUHSURJUDPPHG7KHORJJHU¶VFORFNLVV\QFKURQLVHGZLWKWKDWRIWKH&RPPDQGHU,WLVRQO\SRVVLEOHWRFKDQJHWKHWLPHRILQGLYLGXDOORJJHUVLQ3URIHVVLRQDOPRGH7KHGHWHFWHGORJJHUVZLWFKHVIURPWKHULJKWKDQGWRWKHOHIWKDQGZLQGRZRQWKH&RPPDQGHUVFUHHQ7KHFRORXUHGEDFNJURXQGRIWKHUHDGGDWDUHIOHFWVWKHSUREDELOLW\RIDOHDN1RFRORXU « /HDNSUREDELOLW\ORZOHDNWKUHVKROGZDVQRWH[FHHGHG*UH\ « /HDNSUREDELOLW\QRWDYDLODEOHORJJHULQFRQILJXUDWLRQPRGHVLQFHLWZDVVZLWFKHGRIIGXULQJRUDIWHUWKHPHDVXUHPHQW2WKHUFRORXU « /HDNSUREDELOLW\KLJK/HDNWKUHVKROGH[FHHGHG7KHFRORXUUHIOHFWVDSSUR[LPDWHO\WKHIUHTXHQF\RIWKHOHDNQRLVH%OXH <HOORZ+]+],IDORJJHU¶VFRPPHQWLVRQDUHGEDFNJURXQGWKLVPHDQVLWVEDWWHU\LVZHDN 7KH6WRSDQG6WDUWEXWWRQVFDQEHXVHGWRFDQFHODQGFRQWLQXHUHDGLQJDWDQ\WLPH7KHSURFHGXUHILQLVKHVDXWRPDWLFDOO\RQFHWKH&RPPDQGHUKDVUHFHLYHGDQGVDYHGWKHPHDVXUHGGDWDIURPDOOWKHORJJHUVLQWKHJURXS'XULQJµ3DWUROOLQJ¶WKHFRPSOHWHPHDVXUHGGDWDVHWLVRQO\WUDQVIHUUHGWRWKH&RPPDQGHUIURPORJJHUVLQOHDNVWDWXVVHHSDJH7RVDYHSRZHULIWKHTXLHWHVWQRLVHLQDPHDVXUHPHQWLVEHORZWKHSURJUDPPHGOHDNWKUHVKROGWKHORJJHUVZLOORQO\VHQGDVPDOOSDFNHWWRWKH&RPPDQGHUZLWKWKHOHYHODQGIUHTXHQF\RIWKLVQRLVH,IQHFHVVDU\WKHFRPSOHWHPHDVXUHGGDWDRIWKHVHORJJHUVFDQEHFDOOHGXSXVLQJVLQJOHLQWHUURJDWLRQLQ3URIHVVLRQDOPRGHVHHSDJH,IDORJJHUFRXOGQRWEHUHDGLWPD\KDYHEHHQVZLWFKHGRIIQRWUHDG\IRUZLUHOHVVRSHUDWLRQRULWZDVRXWVLGHWKH&RPPDQGHU¶VZLUHOHVVUDQJH <RXFDQLPPHGLDWHO\YLHZWKHGDWDRIDORJJHUWKDWKDVMXVWEHHQUHDG7RGRVRVHOHFWWKHUHVSHFWLYHORJJHULQWKHOHIWKDQGZLQGRZRQWKHVFUHHQ5HVXOW7KHORJJHU¶VPHDVXUHGGDWDLVVKRZQVHHSDJH8VHWKH(6&EXWWRQ WRUHWXUQWRWKHPDLQPHQX](https://usermanual.wiki/Seba-Dynatronic-Mess-und-Ortungstechnik/LOGCDR31.Users-Manual/User-Guide-3124334-Page-46.png)

![ :RUNLQJLQ(DV\PRGH 'LVSOD\LQJWKHPHDVXUHGYDOXHV7KHPHDVXUHGGDWDIURPWKHORJJHUVDUHVKRZQDVDEDUGLDJUDPRQWKHVFUHHQ(OHPHQW 'HVFULSWLRQ,GHQWLILFDWLRQQXPEHUDQGFRPPHQWRIWKHGLVSOD\HGORJJHU'LDJUDP;D[LV«FRXUVHRIPHDVXUHPHQWRYHUWLPH<D[LV«QRLVHOHYHOLQG%(DFKEDUUHSUHVHQWVDVLQJOHQRLVHUHFRUGLQJ7KHFRORXURIWKHEDUVKRZVWKHDSSUR[LPDWHIUHTXHQF\RIWKHQRLVHEOXH \HOORZ+]+]7KHSRLQWZKHUHWKHWZRJUHHQOLQHVLQWHUVHFWPDUNVWKHTXLHWHVWUHFRUGLQJLQWKHGLVSOD\HGPHDVXUHPHQWWKHVRFDOOHGµOHDNYDOXH¶/HDNYDOXHORZHVWYDOXHWREHGLVSOD\HG7KHOHDNYDOXHUHIHUVWRWKHTXLHWHVWUHFRUGLQJLQWKHGLVSOD\HGPHDVXULQJSHULRG7KHYDOXHVRIWKLVUHFRUGLQJDUHVKRZQLQWKHWKUHHILHOGVGLUHFWO\XQGHUWKHGLDJUDP/HIWKDQGILHOG « (6$YDOXHRIWKHTXLHWHVWUHFRUGLQJ&HQWUHILHOG « 1RLVHOHYHORIWKHTXLHWHVWUHFRUGLQJLQG%5LJKWKDQGILHOG « )UHTXHQF\RIWKHTXLHWHVWUHFRUGLQJLQ+]%XWWRQVWRDFFHVVLQGLYLGXDOIXQFWLRQVVHHEHORZ9LHZ](https://usermanual.wiki/Seba-Dynatronic-Mess-und-Ortungstechnik/LOGCDR31.Users-Manual/User-Guide-3124334-Page-48.png)
![:RUNLQJLQ(DV\PRGH 7KHUHDUHWKHIROORZLQJIXQFWLRQVIRUDQDO\]LQJWKHGLVSOD\HGGDWD%XWWRQ 'HVFULSWLRQ6FUROO <RXFDQXVHWKLVIXQFWLRQWRYLHZLQWKHGLDJUDPWKHPHDVXUHPHQWUHVXOWVRIWKHRWKHUORJJHUVLQWKHJURXS7RGRVRDSSO\WKHEXWWRQDQGWXUQWKHVHOHFWRUNQREWRVHOHFWDORJJHU$SSO\WKHEXWWRQDJDLQWRFRQILUP\RXUVHOHFWLRQ0RYH&XUVRU<RXFDQXVHWKLVIXQFWLRQWRPRYHWKHYHUWLFDOJUHHQOLQHLQWKHGLDJUDPIURPRQHEDUWRWKHQH[W7KHYDOXHVRIWKHSDUWLFXODUQRLVHPHDVXUHPHQWYROXPHIUHTXHQF\(6$DQGWKHWLPHRIWKHUHFRUGLQJDUHVKRZQ7RGRVRDSSO\WKHEXWWRQDQGWXUQWKHVHOHFWRUNQRE$SSO\WKHEXWWRQDJDLQWRHQGWKHIXQFWLRQ'HWDLOV 7KLVIXQFWLRQRSHQVDQHZZLQGRZRQWKHVFUHHQ,WVKRZVWKHFRQILJXUDWLRQGDWDRIWKHSDUWLFXODUORJJHUDWWKHWLPHRIWKHPHDVXUHPHQW<RXFDQXVHWKH6FUROOEXWWRQWRYLHZWKHFRQILJXUDWLRQGDWDRIWKHRWKHUORJJHUVLQWKHJURXS8VHWKH2.EXWWRQWRUHWXUQWRWKHPHDVXUHGGDWDGLVSOD\0RGH<RXFDQXVHWKLVIXQFWLRQWRFKDQJHWKHPHDVXUHPHQWXQLWRQWKH<D[LVLQWKHGLDJUDP6WDQGDUGYLHZ« 7KH<D[LVVKRZVWKHYROXPHRIWKHQRLVHV(DFKEDULQWKHGLDJUDPUHSUHVHQWVDVLQJOHUHFRUGLQJ(6$YLHZ« 7KH<D[LVVKRZVWKH(6$YDOXHVHHSDJH(DFKEDUUHSUHVHQWVWKHTXLHWHVWUHFRUGLQJRIDPHDVXULQJGD\)XQFWLRQV](https://usermanual.wiki/Seba-Dynatronic-Mess-und-Ortungstechnik/LOGCDR31.Users-Manual/User-Guide-3124334-Page-49.png)
















![ :RUNLQJLQ3URIHVVLRQDOPRGH6WHS 'HVFULSWLRQ 7RFKDQJHWKHWKUHVKROGYDOXHIRUWKHOHYHODQGRUIUHTXHQF\VHOHFWWKHUHVSHFWLYHLQSXWER[DQGHQWHUWKHUHTXLUHGYDOXH5HVXOW,PPHGLDWHO\DIWHUHQWHULQJWKHYDOXHVWKHHVWLPDWHRIDOHDNSUREDELOLW\IRUHDFKORJJHULVXSGDWHGDQGGLVSOD\HGDJDLQ,I\RXZLVKWRGLVSOD\WKHPHDVXUHPHQWGDWDIRUDORJJHUVHOHFWWKHORJJHULQTXHVWLRQLQWKH OLVW DQG WKHQ FOLFN RQ 9LHZ 7KH VFUHHQ FKDQJHV WR WKH PHQX IRU GLVSOD\LQJPHDVXUHPHQWGDWDVHHSDJH<RXFDQHQGWKH$GYDQFHG$QDO\VLVE\FOLFNLQJRQ2.'LVSOD\LQJPHDVXUHPHQWGDWD/HYHOWKUHVKROG$GMXVWDEOHIURPG%)UHTXHQF\WKUHVKROG$GMXVWDEOHIURP+]LQVWHSVRI+]HDFK](https://usermanual.wiki/Seba-Dynatronic-Mess-und-Ortungstechnik/LOGCDR31.Users-Manual/User-Guide-3124334-Page-66.png)





![ $GGLWLRQDOPHDVXULQJIXQFWLRQV7KHFRXUVHRIWKHUHDOWLPHPHDVXUHPHQWLVVKRZQRQWKH&RPPDQGHU¶VVFUHHQZLWKDUXQQLQJEDUGLDJUDP(OHPHQW 'HVFULSWLRQ,GHQWLILFDWLRQQXPEHUDQGFRPPHQWRIWKHREVHUYHGORJJHU'LDJUDP;D[LV«FRXUVHRIPHDVXUHPHQWRYHUWLPH<D[LV«QRLVHOHYHOLQG%(DFKEDUUHSUHVHQWVDVLQJOHQRLVHUHFRUGLQJ7KHFRORXURIWKHEDUVKRZVWKHDSSUR[LPDWHIUHTXHQF\RIWKHQRLVH%OXH <HOORZ+]+]7KHSRLQWZKHUHWKHWZRJUHHQOLQHVLQWHUVHFWPDUNVWKHTXLHWHVWUHFRUGLQJLQWKHGLVSOD\HGPHDVXUHPHQWWKHVRFDOOHGµOHDNYDOXH¶$QWHQQDV\PEROLQGLFDWHVWKDWWKH&RPPDQGHULVZLUHOHVVO\RSHUDWLRQDO0LQLPXPYDOXHRIWKHGLVSOD\OHDNYDOXH/HIWKDQGILHOG « (6$YDOXHRIWKHTXLHWHVWUHFRUGLQJ&HQWUHILHOG « 1RLVHOHYHORIWKHTXLHWHVWUHFRUGLQJLQG%5LJKWKDQGILHOG « )UHTXHQF\RIWKHTXLHWHVWUHFRUGLQJLQ+]&XUUHQWYDOXHRIWKHGLVSOD\1RLVHOHYHOEDUKHLJKWDQGIUHTXHQF\EDUFRORXURIWKHFXUUHQWPHDVXULQJYDOXHLQFOXGLQJQXPHULFYDOXHV%XWWRQV6WRSDQG6WDUWFDQEHXVHGWRFDQFHODQGFRQWLQXHWKHREVHUYDWLRQDWDQ\WLPH+RZHYHUWKHWLPHJDSEHWZHHQFDQFHOODWLRQDQGFRQWLQXDWLRQLVQRWVKRZQ8VHWKH(6&EXWWRQ WRHQGWKHIXQFWLRQDQGUHWXUQWRWKHPDLQPHQX7KHSHUPDQHQWZLUHOHVVFRQQHFWLRQGXULQJWKHUHDOWLPHPHDVXUHPHQWUHTXLUHVDORWRISRZHU7KLVKDVDGHWULPHQWDOHIIHFWRQWKHOLIHWLPHRIWKHORJJHU¶VEDWWHU\3OHDVHFRQVLGHUWKLVZKHQXVLQJWKHIXQFWLRQ'LVSOD\RIPHDVXUHGGDWD](https://usermanual.wiki/Seba-Dynatronic-Mess-und-Ortungstechnik/LOGCDR31.Users-Manual/User-Guide-3124334-Page-72.png)



![ $GGLWLRQDOPHDVXULQJIXQFWLRQV 'LVSOD\LQJWKHIUHTXHQF\VSHFWUXPRIWKHOHDNQRLVHLQ3URIHVVLRQDOPRGHRQO\,Q3URIHVVLRQDOPRGH\RXFDQYLHZWKHIUHTXHQF\VSHFWUXPRIWKHVDYHGOHDNQRLVHIRUDQHYHQPRUHLQGHSWKDQDO\VLV6RPHWLPHV WKH DVVXPHG OHDN QRLVH VWHPV IURP D NQRZQ VRXUFH RI LQWHUIHUHQFH HJ+]+] PDLQV YROWDJH RU D SXPS LQ RSHUDWLRQ +RZHYHU \RX VKRXOG QRWSUHPDWXUHO\EHOLHYHWKHFRQVSLFXRXVQRLVHWREHQRQFULWLFDOEHFDXVHWKHUHFRXOGVWLOOEHD UHDO OHDN QRLVH QH[W WR WKH EDFNJURXQG QRLVH %\ DQDO\VLQJ WKH IUHTXHQF\ VSHFWUXP\RXFDQFKHFNWKHVDYHGQRLVHIRUIUHTXHQF\SHDNVRWKHUWKDQWKRVHRIWKHLQWHUIHUHQFH$SSO\WKH6SHFWUXPEXWWRQLQWKHPHQXIRUSOD\LQJEDFNDXGLRILOHVVHHSDJH7KHIROORZLQJYLHZRSHQVRQWKHVFUHHQ7KH GLDJUDP VKRZV WKH VSHFWUXP RI IUHTXHQFLHV SURGXFLQJ WKH VDYHG OHDN QRLVH WRDERXW+];D[LV « )UHTXHQF\VSHFWUXPRIWKHOHDNQRLVH<D[LV « 7KHPRVWGRPLQDQWIUHTXHQF\RIWKHQRLVHFRUUHVSRQGVWRµ¶RQWKHGLPHQVLRQOHVVVFDOH$OOWKHRWKHUIUHTXHQFLHVRFFXUULQJDUHVKRZQLQUHODWLRQWRWKLV<RXFDQPRYHWKHYHUWLFDOJUHHQOLQHLQWKHGLDJUDPLQRUGHUWRYLHZLQJUHDWHUGHWDLOWKHIUHTXHQFLHVDWLQGLYLGXDOSRLQWVRQWKH FXUYH7RGRVRDSSO\WKH0RYH&XUVRUEXWWRQDQGWXUQWKHVHOHFWRUNQRE&ORVHWKHYLHZZLWKWKH2.EXWWRQDQGUHWXUQWRWKHPHQXIRUSOD\LQJEDFNDXGLRILOHV7KHUHFRUGHGIUHTXHQF\VSHFWUXPRIDQRLVHLVLQIOXHQFHGE\PDQ\IDFWRUVSRVLWLRQRIWKHORJJHUORJJHU¶VFRQWDFWZLWKWKHSLSHUHIOHFWLRQVLQWKHSLSHHWF(YHQVPDOOFKDQJHVLQWKHVHIDFWRUVFDQFRQVLGHUDEO\FKDQJHWKHGLVSOD\HGIUHTXHQF\VSHFWUXPRIWKHVDPHQRLVH7KHLQH[SHULHQFHGXVHUFDQTXLFNO\PDNHPLVMXGJHPHQWV7KHUHIRUHWKHIUHTXHQF\VSHFWUXPDQDO\VLVVKRXOGDERYHDOOEHSHUIRUPHGE\H[SHULHQFHGXVHUVZKRIRUH[DPSOHNQRZKRZWRXVHFRUUHODWRUV6RPHWLPHVWKHIUHTXHQF\VKRZQXQGHUµOHDNYDOXH¶FDQGLYHUJHVOLJKWO\IURPWKHPD[LPXPIUHTXHQF\LQWKHGLDJUDPGLVSOD\7KLVLVQRWDQHUURU7KLVLVFDXVHGE\WKHILQHUJUDGXDWLRQRIWKHGLVSOD\HGIUHTXHQF\EDQGLQWKH&RPPDQGHUFRPSDUHGWRWKHLQWHUQDOJUDGXDWLRQLQWKHORJJHUV7KHYDOXHVKRZQLQWKHGLDJUDPLVWKHUHIRUHVRPHZKDWPRUHSUHFLVH,QWURGXFWLRQ3XUSRVH3URFHGXUH](https://usermanual.wiki/Seba-Dynatronic-Mess-und-Ortungstechnik/LOGCDR31.Users-Manual/User-Guide-3124334-Page-76.png)



![ $GGLWLRQDOPHDVXULQJIXQFWLRQV 6DYLQJDQGLQYRNLQJSLFWXUHV<RXFDQVDYHSLFWXUHILOHVLQWKH&RPPDQGHUDQGVKRZWKHSLFWXUHVRQWKHVFUHHQ7KLVFDQUHIHUKHUHWRVHFWLRQVRIDPDSRUSKRWRVRIWKHLQVWDOODWLRQORFDWLRQVIRUWKHORJJHUHWF7KLVPD\EHRIVRPHKHOSWR\RXLI\RXZLVKWRUHORFDWHLQVWDOOHGGHYLFHVRQVLWH7KHIROORZLQJUHTXLUHPHQWVPXVWEHPHWx)LOHIRUPDW-3*x)LOHVL]HPD[0%x2SWLPXPUHVROXWLRQ[SL[HOVx$GHVWLQDWLRQIROGHUQDPHGµ?B3,&6¶LVFUHDWHGLQWKH&RPPDQGHUVPDLQGLUHFWRU\7RVDYHDSLFWXUHILOHLQWKH&RPPDQGHUSURFHHGDVIROORZV6WHS 'HVFULSWLRQ (VWDEOLVKD86%FDEOHFRQQHFWLRQEHWZHHQWKH&RPPDQGHUDQGWKHFRPSXWHUVHHSDJH5HVXOW7KH&RPPDQGHULVDXWRPDWLFDOO\GHWHFWHGDVDPDVVVWRUDJHGHYLFH &KHFNZKHWKHUWKHPDLQGLUHFWRU\RIWKH&RPPDQGHUFRQWDLQVDIROGHUQDPHGµ?B3,&6¶,IWKLVLVQRWWKHFDVHFUHDWHDIROGHUZLWKWKLVQDPH &RS\WKHUHTXLUHGSLFWXUHILOHIURPWKHFRPSXWHUWRWKH&RPPDQGHUDQGVDYHLWWKHUHLQWKHµ?B3,&6¶IROGHU7RLQYRNHDSLFWXUHRQWKH&RPPDQGHULQWKHPDLQPHQXVHOHFWWKH V\PERODQGWKHQ6KRZSLFWXUH7KHILUVWRIWKHVDYHGSLFWXUHVLVWKHQGLVSOD\HG7KH WZR DUURZ NH\V DW WKH ERWWRP ULJKW RI WKH VFUHHQ FDQ EH XVHG WR VFUROOEHWZHHQWKHVDYHGSLFWXUHV7R GHOHWH D SLFWXUH FRQQHFW WKH &RPPDQGHU WR WKH FRPSXWHU DJDLQ DQG GHOHWH WKHSLFWXUHLQTXHVWLRQIURPWKHµ?B3,&6¶IROGHU,QWURGXFWLRQ5HTXLUHPHQWV6DYHSLFWXUH9LHZLQJSLFWXUH'HOHWLQJSLFWXUH](https://usermanual.wiki/Seba-Dynatronic-Mess-und-Ortungstechnik/LOGCDR31.Users-Manual/User-Guide-3124334-Page-80.png)






![,QVWDOOLQJDQHWZRUNLQ3URIHVVLRQDOPRGHRQO\ ,QVWDOOLQJDQHWZRUNLQ3URIHVVLRQDOPRGHRQO\ *HQHUDOLQIRUPDWLRQ ,QWURGXFWLRQ8S WR ORJJHUV LQ WKH 1 V\VWHP FDQ EH SRROHG WR IRUP D QHWZRUN 5HJXODUPHDVXUHPHQWVDOORZDODUJHDUHDRIWKHSLSHQHWZRUNWREHFRQWLQXRXVO\PRQLWRUHG7KHORJJHUVDUHDIIL[HGWRNH\SRLQWVLQWKHSLSHQHWZRUN$µ*60ER[¶LVLQVWDOOHGLQWKHPLGGOH RI WKH QHWZRUN ,W IXQFWLRQV DV QHWZRUN QRGHV EHWZHHQ WKH ORJJHUV DQG DV DQLQWHUIDFH WR WKH PRELOH FRPPXQLFDWLRQ QHWZRUN RU WR WKH µFRPPDQGHU¶ 7KHPHDVXUHPHQWV DUH TXHULHG E\ WKH ORJJHUV DIWHU HYHU\ PHDVXULQJ SHULRG XVLQJ VKRUWUDQJH UDGLR DQG VDYHG LQ WKH *60 ER[ 7KH TXHU\LQJ IROORZV D IL[HG FKURQRORJLFDOURXWLQHVHHSDJH7KHGDWD DUHVXEVHTXHQWO\WUDQVPLWWHGWRDQ)73VHUYHUXVLQJPRELOH FRPPXQLFDWLRQ IURP ZKHUH WKH\FDQEHGRZQORDGHGRQWRDQ\LQWHUQHWFDSDEOH3&8VLQJ D 3& WKH XVHUVFDQNHHSWKHPVHOYHVLQIRUPHGRIWKHFRQGLWLRQRIWKH]RQHEHLQJPRQLWRUHGZLWKRXWKDYLQJWREHRQVLWH±IRUH[DPSOHHYHU\PRUQLQJLQWKHRIILFH)XUWKHUPRUH WKH XVHU FDQ UHFHLYH PHVVDJHV ZLWK WKH UHVXOWV RI WKH ODVW PHDVXUHPHQWDVDQ606RUHPDLO 6WUXFWXUHRIDQHWZRUN$ QHWZRUN JURXS LV DOZD\V FRPSULVHG RI D *60 ER[ DQG D QXPEHU RIORJJHUVXSWRGHSHQGLQJRQWKHVL]HRIWKH]RQHIRUPRQLWRULQJ(DFKLQGLYLGXDOORJJHULVFRQQHFWHGWRWKH*60ER[YLDVKRUWUDQJHUDGLR,IWKHGLVWDQFHEHWZHHQ WKH ORJJHU DQG WKH *60 ER[ LV WRR ODUJH IRU D GLUHFW FRQQHFWLRQ WKHQµUHSHDWHUV¶FDQEHXVHGWRH[WHQGWKHUDGLRVLJQDO7KHZLUHOHVVUDQJHEHWZHHQDORJJHUDQGWKH*60ER[LVUHIHUUHGWRDVWKHµFRPPXQLFDWLRQSDWK¶LQWKHIROORZLQJ2QHSDWKFDQEHFRPSULVHGRIDPD[LPXPRIUHSHDWHUV$UHSHDWHUFDQDGPLQLVWHUDPD[LPXPRISDWKV](https://usermanual.wiki/Seba-Dynatronic-Mess-und-Ortungstechnik/LOGCDR31.Users-Manual/User-Guide-3124334-Page-87.png)





![,QVWDOOLQJDQHWZRUNLQ3URIHVVLRQDOPRGHRQO\ (DFK *60 ER[ IHDWXUHV LQWHUQDO OLWKLXP EDWWHULHV ,W FDQ SRZHU WKH GHYLFH IRU XS WR\HDUV 7KH DFWXDO EDWWHU\ OLIHVSDQ GHSHQGV RQ WKH ZLUHOHVV VHWWLQJV RI WKH ORJJHUVZKLFKDUHFRQQHFWHGWRWKH*60ER[:KHQ \RX TXHU\ WKH FRQILJXUDWLRQ RI D *60 VHH SDJH LWV EDWWHU\ VWDWXV LV DOVRVKRZQ)ODWEDWWHULHVFDQQRWEHUHFKDUJHG7KH\PXVWEHUHSODFHG&$87,217KHYDOLGLW\RIWKHJXDUDQWHHDQGZDUUDQW\IRUWKHGHYLFHRQO\UHPDLQVXQDIIHFWHGLIWKHFKDQJHRIEDWWHU\LVFDUULHGRXWE\6HED.07RUDQDXWKRULVHGVHUYLFHSDUWQHU/LWKLXPEDWWHULHVDUHFODVVLILHGDVKD]DUGRXVPDWHULDO3OHDVHQRWHWKHFRUUHVSRQGLQJOHJDOUHJXODWLRQVZKHQVKLSSLQJWKHGHYLFH7KH*60ER[FDQDOVREHFRQQHFWHGWRDQH[WHUQDO9YROWDJHVRXUFHIRUH[DPSOHWRDVRODUSDQHORUVLPLODU7KHFRQQHFWLRQFDEOHVXSSOLHGKDVEHHQOHIWDVDQRQWHUPLQDWHGFDEOHDWRQHHQGDQGFDQEHFXVWRPLVHGE\WKHXVHU$WWKHRWKHUHQGWKHFDEOHIHDWXUHVDSLQFRQQHFWRUIRUWKHFRQQHFWLRQVRFNHW RQWKH*60ER[<RXPXVWIHHOWKHSOXJHQJDJH$V VRRQ DV DQ H[WHUQDO YROWDJH VRXUFH LV FRQQHFWHG WKH GHYLFH LV RQO\ SRZHUHG IURPWKLV VRXUFH $V VRRQ DV WKLV IHHG YROWDJH IDOOV EHORZ D FHUWDLQ OHYHO WKH *60 ER[DXWRPDWLFDOO\VZLWFKHVEDFNWRLQWHUQDOYROWDJHVXSSO\2EVHUYHWKHVSHFLILFDWLRQVIRUWKH*60ER[LQWKH7HFKQLFDO'DWDVHHSDJH&RQVWDQW ZLUHOHVV DYDLODELOLW\ KDV D QHJDWLYH LPSDFW RQ WKH OLIHVSDQ RI WKH *60 ER[EDWWHULHV )RUWKLVUHDVRQWKHUHLVWKHRSWLRQRIOLPLWLQJWKHSHULRGRIWLPHLQ ZKLFKWKHGHYLFHFDQEHDFFHVVHGZLUHOHVVO\HDFKGD\7RGRWKLVDGDLO\µZLUHOHVVSHULRG¶LVGHILQHGZKHQSURJUDPPLQJWKH*60ER[2XWVLGHWKLVSHULRGWKH*60ER[LVLQHQHUJ\VDYLQJPRGHZKLFKPHDQVLWLVVZLWFKHGRQEXWµQRWUHVSRQVLYH¶7KHVWDWXV/('GRHVQRWOLJKWXS7RFKHFNZKHWKHUWKHGHYLFHLVFXUUHQWO\LQHQHUJ\VDYLQJPRGHRUVZLWFKHGRIIEULHIO\KROG WKH PDJQHW IRU OHVV WKDQ VHFRQGV RYHU WKH RQRIIFRQWDFW ILHOG :KHQ WKHVWDWXV/('OLJKWVXSLQ\HOORZWKH*60ER[LVFXUUHQWO\LQHQHUJ\VDYLQJPRGH,QWHUQDOHQHUJ\VXSSO\([WHUQDOHQHUJ\VXSSO\(QHUJ\VDYLQJPRGH](https://usermanual.wiki/Seba-Dynatronic-Mess-und-Ortungstechnik/LOGCDR31.Users-Manual/User-Guide-3124334-Page-93.png)




![ ,QVWDOOLQJDQHWZRUNLQ3URIHVVLRQDOPRGHRQO\ 3UHSDULQJDQHWZRUNJURXS%HIRUHLQVWDOOLQJWKHLQGLYLGXDOORJJHUVUHSHDWHUVDQGWKH*60ER[RQVLWHDQGSRROLQJWKHPLQWRDQHWZRUNWKHIROORZLQJVWHSVPXVWEHFDUULHGRXW<RX ZLOO ILQG PRUH GHWDLOHG H[SODQDWLRQV RI WKH LQGLYLGXDO VWHSV ZKLFK PXVW EHSHUIRUPHGFRQVHFXWLYHO\LQWKHIROORZLQJSDUDJUDSKV 6HOHFWLQJWKH]RQH2SHQWKH6HED'DWD9LHZVRIWZDUHRQWKH3&DQGLQWKHGLUHFWRU\WUHHDWWKHOHIWPDUNWKH]RQHWRZKLFKWKHQHZQHWZRUNJURXSVKRXOGEHDGGHG,I\RXZLVKWRFUHDWHDFRPSOHWHO\QHZ]RQHLQWKHGLUHFWRU\WUHHSURFHHGDVIROORZV6WHS 'HVFULSWLRQ 0DUNWKHIROGHULQWKHGLUHFWRU\WUHHLQZKLFKWKHQHZ]RQHVKRXOGEHFUHDWHG 2SHQWKHWDE'LUHFWRU\LQWKHPXOWLIXQFWLRQEDU ,QWKHVHJPHQW=RQHFOLFNRQ1HZ ,QWKHZLQGRZZKLFKRSHQVHQWHUWKH1DPHDQGD&RPPHQWIRUWKHQHZ]RQHDQGFRQILUPWKHHQWULHVE\SUHVVLQJ2.5HVXOW7KHQHZ]RQHKDVQRZEHHQFUHDWHGLQWKHGDWDEDVHDQGZLOODSSHDULQWKHGLUHFWRU\WUHH,I\RXZLVKWRFUHDWHDFRPSOHWHO\QHZIROGHULQWKHGLUHFWRU\WUHHSURFHHGDVIROORZV6WHS 'HVFULSWLRQ 0DUNWKHIROGHUµ6HED'DWD¶RUDQ\RWKHUH[LVWLQJIROGHUZKLFKWKHQHZIROGHUVKRXOGEHDGGHGWRDVDVXEGLUHFWRU\ 2SHQWKHWDE'LUHFWRU\LQWKHPXOWLIXQFWLRQEDU ,QWKHVHJPHQW)ROGHUFOLFNRQ1HZ ,QWKHZLQGRZZKLFKRSHQVHQWHUWKH1DPHDQGD&RPPHQWIRUWKHQHZIROGHUDQGFRQILUPWKHHQWULHVE\SUHVVLQJ2.5HVXOW7KHQHZIROGHUKDVQRZEHHQFUHDWHGLQWKHGDWDEDVHDQGZLOODSSHDULQWKHGLUHFWRU\WUHH6WHS 'HVFULSWLRQ &UHDWLRQRIWKH*60ER[DVZHOODVDOOORJJHUVZKLFKDUHWREHXVHGLQWKHQHWZRUNLQWKH6'9VRIWZDUH (QWU\RIWKHFRQILJXUDWLRQGDWDDVSUHSDUDWLRQIRUSURJUDPPLQJWKHQHWZRUNJURXSODWHURQ 7UDQVPLVVLRQRIWKHQHZO\FUHDWHGQHWZRUNJURXSIURPWKH3&WRWKHFRPPDQGHU 3URJUDPPLQJRIWKH*60ER[ 7HVWRIWKHPRELOHFRPPXQLFDWLRQFRQQHFWLRQ&UHDWLQJDQHZ]RQH&UHDWLQJDQHZIROGHU](https://usermanual.wiki/Seba-Dynatronic-Mess-und-Ortungstechnik/LOGCDR31.Users-Manual/User-Guide-3124334-Page-98.png)
![,QVWDOOLQJDQHWZRUNLQ3URIHVVLRQDOPRGHRQO\ &UHDWLQJORJJHUV$OOORJJHUVZKLFKDUHWREHXVHGLQWKHQHWZRUNPXVWEHDGGHGWRWKH]RQHVHOHFWHGLQWKH6'9VRIWZDUH3URFHHGDVIROORZV6WHS 'HVFULSWLRQ 0DUNWKH]RQHLQWKHGLUHFWRU\WUHHWRZKLFKWKHORJJHUVVKRXOGEHDGGHG 2SHQWKHWDE/RJ1LQWKHPXOWLIXQFWLRQEDU ,QWKHVHJPHQW$GPLQLVWUDWLRQFOLFNRQ1HZ5HVXOW7KHIROORZLQJZLQGRZRSHQV )URPWKHGURSGRZQOLVWVHOHFWWKHJURXSPRGH1HWZRUNDQGFRQILUPE\SUHVVLQJ2.5HVXOW7KHIROORZLQJZLQGRZRSHQV (QWHUWKHLGHQWLILFDWLRQQXPEHUVHHSDJHRIWKHILUVWORJJHU0DQXDOHQWU\'HDFWLYDWHWKHWZRFKHFNER[HVLQWKHZLQGRZ(QWHUWKH,'RIWKHORJJHUGLUHFWO\LQWKHLQSXWILHOGDQGLIUHTXLUHGFKDQJHWKHDXWRPDWLFDOO\FUHDWHGFRPPHQWWH[W$XWRPDWLFGHWHFWLRQRQO\SRVVLEOHZKHQDZLUHOHVVLQWHUIDFH/RJ5,RU5HDGHULVFRQQHFWHGWRWKH3&$FWLYDWHWKHFKHFNER[$XWRPDWLFGHWHFWLRQ0RYHWKHVZLWFKHGRIIORJJHUFORVHUWRWKH3&DQGVZLWFKLWRQ5HVXOW7KH,'RIWKHORJJHULVGLVSOD\HG,IQHFHVVDU\FKDQJHWKHFRPPHQWWH[WZKLFKZDVFUHDWHGDXWRPDWLFDOO\8VLQJ,QVHUWFRQILUP\RXUHQWU\DQGDGGWKHORJJHUWRWKH]RQHFRQWLQXHGRQWKHQH[WSDJH&UHDWLQJORJJHUV](https://usermanual.wiki/Seba-Dynatronic-Mess-und-Ortungstechnik/LOGCDR31.Users-Manual/User-Guide-3124334-Page-99.png)
![ ,QVWDOOLQJDQHWZRUNLQ3URIHVVLRQDOPRGHRQO\6WHS 'HVFULSWLRQ 8VHWKHVDPHPHWKRGWRDGGDOOWKHRWKHUORJJHUVWRWKH]RQH,I\RXDFWLYDWHWKHFKHFNER[$XWRPDWLFLQVHUWLRQHYHU\ORJJHUGHWHFWHGGXULQJDXWRPDWLFGHWHFWLRQZLOOEHLPPHGLDWHO\DGGHGGLUHFWO\WRWKH]RQH'XULQJDXWRPDWLFGHWHFWLRQRQO\HYHUEULQJORJJHUVWRWKH3&LQGLYLGXDOO\VZLWFKLQJWKHPRQRQHDIWHUWKHRWKHU'XULQJDXWRPDWLFORJRQDOOORJJHUVDUHGHWHFWHGZKLFKDUHFXUUHQWO\VZLWFKHGRQZLWKLQUDQJHRIWKHZLUHOHVV3&LQWHUIDFHZKLFKPD\LQFOXGHVRPHZKLFKDUHQRWPHDQWWREHLQFOXGHGLQWKHQHWZRUNJURXS,IWKHFKHFNER[$XWRPDWLFLQVHUWLRQLVDFWLYDWHGDWWKHVDPHWLPHVXFKORJJHUVPD\EHDGGHGWRWKHVHOHFWHG]RQHZLWKRXW\RXQRWLFLQJ 4XLWORJJHUFUHDWLRQXVLQJWKH&ORVHEXWWRQ5HVXOW7KHZLQGRZFORVHV$OOORJJHUVLQWKHQHWZRUNJURXSKDYHQRZEHHQFUHDWHGLQWKHVRIWZDUHDQGZLOODSSHDUXQGHUWKHVHOHFWHG]RQHLQWKHGLUHFWRU\WUHH 'RXEOHFKHFNZKHWKHUDOOUHTXLUHGORJJHUVDUHDFWXDOO\LQFOXGHGLQWKH]RQH,I D ORJJHU ZKLFK KDV DOUHDG\EHHQ FUHDWHG VKRXOG QR ORQJHU EH LQFOXGHG LQ D QHWZRUNJURXSUHPRYHLWIURPWKH]RQHFRQFHUQHG3URFHHGDVIROORZV6WHS 'HVFULSWLRQ 0DUNWKHORJJHUWREHGHOHWHGLQWKHGLUHFWRU\WUHH 2SHQWKHWDE/RJ1LQWKHPXOWLIXQFWLRQEDU ,QWKHVHJPHQW$GPLQLVWUDWLRQFOLFNRQ'HOHWH5HVXOW7KHFRUUHVSRQGLQJORJJHULVUHPRYHGIURPWKHGLUHFWRU\WUHH &UHDWLQJD*60ER[7KH*60ER[ZKLFKLVWREHXVHGLQWKHQHWZRUNPXVWEHDGGHGWRWKH]RQHVHOHFWHGLQWKH6'9VRIWZDUH3URFHHGDVIROORZV6WHS 'HVFULSWLRQ 0DUNWKH]RQHLQWKHGLUHFWRU\WUHHWRZKLFKWKH*60ER[VKRXOGEHDGGHG 2SHQWKHWDE*60%R[LQWKHPXOWLIXQFWLRQEDU ,QWKHVHJPHQW$GPLQLVWUDWLRQFOLFNRQ1HZ ,QWKHZLQGRZZKLFKRSHQVHQWHUWKHLGHQWLILFDWLRQQXPEHU,'RIWKH*60ER[DQGDFRPPHQWDQGFRQILUPWKHHQWULHVXVLQJ2.5HVXOW7KH*60ER[KDVQRZEHHQFUHDWHGLQWKHVRIWZDUHDQGDSSHDUVLQWKHGLUHFWRU\WUHHXQGHUWKH]RQHVHOHFWHG'HOHWLQJORJJHUV](https://usermanual.wiki/Seba-Dynatronic-Mess-und-Ortungstechnik/LOGCDR31.Users-Manual/User-Guide-3124334-Page-100.png)



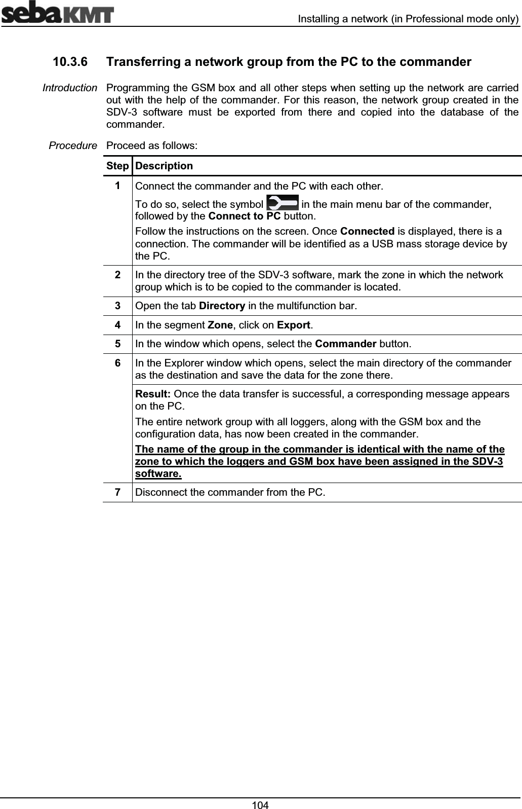
![ ,QVWDOOLQJDQHWZRUNLQ3URIHVVLRQDOPRGHRQO\ 7UDQVIHUULQJDQHWZRUNJURXSIURPWKH3&WRWKHFRPPDQGHU3URJUDPPLQJWKH*60ER[DQGDOORWKHUVWHSVZKHQVHWWLQJXSWKHQHWZRUNDUHFDUULHGRXWZLWKWKH KHOSRIWKHFRPPDQGHU)RU WKLVUHDVRQWKHQHWZRUNJURXSFUHDWHGLQWKH6'9 VRIWZDUH PXVW EH H[SRUWHG IURP WKHUH DQG FRSLHG LQWR WKH GDWDEDVH RI WKHFRPPDQGHU3URFHHGDVIROORZV6WHS 'HVFULSWLRQ &RQQHFWWKHFRPPDQGHUDQGWKH3&ZLWKHDFKRWKHU7RGRVRVHOHFWWKHV\PERO LQWKHPDLQPHQXEDURIWKHFRPPDQGHUIROORZHGE\WKH&RQQHFWWR3&EXWWRQ)ROORZWKHLQVWUXFWLRQVRQWKHVFUHHQ2QFH&RQQHFWHGLVGLVSOD\HGWKHUHLVDFRQQHFWLRQ7KHFRPPDQGHUZLOOEHLGHQWLILHGDVD86%PDVVVWRUDJHGHYLFHE\WKH3& ,QWKHGLUHFWRU\WUHHRIWKH6'9VRIWZDUHPDUNWKH]RQHLQZKLFKWKHQHWZRUNJURXSZKLFKLVWREHFRSLHGWRWKHFRPPDQGHULVORFDWHG 2SHQWKHWDE'LUHFWRU\LQWKHPXOWLIXQFWLRQEDU ,QWKHVHJPHQW=RQHFOLFNRQ([SRUW ,QWKHZLQGRZZKLFKRSHQVVHOHFWWKH&RPPDQGHUEXWWRQ ,QWKH([SORUHUZLQGRZZKLFKRSHQVVHOHFWWKHPDLQGLUHFWRU\RIWKHFRPPDQGHUDVWKHGHVWLQDWLRQDQGVDYHWKHGDWDIRUWKH]RQHWKHUH5HVXOW2QFHWKHGDWDWUDQVIHULVVXFFHVVIXODFRUUHVSRQGLQJPHVVDJHDSSHDUVRQWKH3&7KHHQWLUHQHWZRUNJURXSZLWKDOOORJJHUVDORQJZLWKWKH*60ER[DQGWKHFRQILJXUDWLRQGDWDKDVQRZEHHQFUHDWHGLQWKHFRPPDQGHU7KHQDPHRIWKHJURXSLQWKHFRPPDQGHULVLGHQWLFDOZLWKWKHQDPHRIWKH]RQHWRZKLFKWKHORJJHUVDQG*60ER[KDYHEHHQDVVLJQHGLQWKH6'9VRIWZDUH 'LVFRQQHFWWKHFRPPDQGHUIURPWKH3&,QWURGXFWLRQ3URFHGXUH](https://usermanual.wiki/Seba-Dynatronic-Mess-und-Ortungstechnik/LOGCDR31.Users-Manual/User-Guide-3124334-Page-104.png)














![,QVWDOOLQJDQHWZRUNLQ3URIHVVLRQDOPRGHRQO\ ([SODQDWLRQVRQµPDQXDOO\HQWHULQJ¶UHSHDWHU,'V7KH HQWU\ VFUHHQ IURP VWHS GLVSOD\V WKH FRPPXQLFDWLRQ SDWK EHWZHHQ WKH *60ER[DQGDORJJHU7KH ILHOG DW WKH WRS RI WKH VFUHHQ UHSUHVHQWV WKH *60 ER[ DQG LWV ,' 7KH ILHOG DW WKHERWWRP RI WKH VFUHHQUHSUHVHQWVWKHORJJHUDQGLWV,'7KHWZRILHOGVDUHFRQQHFWHGWRHDFK RWKHU E\ D EODFN OLQH ZKLFK V\PEROL]HV WKH UDGLR FRQQHFWLRQ EHWZHHQ WKH WZRGHYLFHV/RFDWHG DORQJ WKH OLQH DUH LQSXW ER[HV LQ ZKLFK WKH LGHQWLILFDWLRQ QXPEHUV RIPD[UHSHDWHUVWKDWDUHLQWHJUDWHGIRUH[WHQGLQJWKHUDGLRVLJQDOLQSDWKKDYHWREHHQWHUHG,Q WKH ILUVW ILHOG DW WKH XSSHU OHIW RI WKH VFUHHQ HQWHU WKH ,' RI WKH UHSHDWHU ZKLFK LVFORVHVWWRWKH*60ER[7KHQH[WUHSHDWHUVKRXOGWKHQEHHQWHUHGLQWKHILHOGEHORZDQGVRRQ,QHDFKLQVWDQFHVHOHFWWKH V\PERODWWKHULJKWQH[WWRWKHLQSXW ER[7KHQXVHWKHNH\SDGVKRZQWRHQWHU WKH,' <RXFDQUHYRNHWKH ODVW HQWU\XVLQJ'(/:LWK(17(5\RXFDQFRQILUPWKH,'DQGUHWXUQWRWKHLQSXWVFUHHQ7KH,'LVWKHQVKRZQWKHUH3OHDVHQRWHWKDWWKHUHSHDWHUVHTXHQFHRQWKHVFUHHQPXVWUHIOHFWWKHDFWXDOUHSHDWHUVHTXHQFHRQVLWH,QWURGXFWLRQ3URFHGXUH7HQWKUHSHDWHUDVVHHQIURPGLUHFWLRQRI*60ER[)LUVWUHSHDWHUDVVHHQIURPGLUHFWLRQRI*60ER[/RJJHU*60ER[](https://usermanual.wiki/Seba-Dynatronic-Mess-und-Ortungstechnik/LOGCDR31.Users-Manual/User-Guide-3124334-Page-119.png)




![ ,QVWDOOLQJDQHWZRUNLQ3URIHVVLRQDOPRGHRQO\ $FFHVVLQJDQGHYDOXDWLQJPHDVXUHGGDWD $FFHVVLQJGDWDIURPWKH)73VHUYHUXVLQJD3&<RXFDQGRZQORDGWKHPHDVXUHGGDWDIRUDJURXSIURPWKH)73VHUYHUWR\RXU3&ZLWKWKHDLGRIWKH6HED'DWD9LHZVRIWZDUH6WHS 'HVFULSWLRQ 6WDUWWKH6'9VRIWZDUHRQ\RXU3& 0DUNWKH]RQHLQWKHGLUHFWRU\WUHHLQZKLFKWKHQHWZRUNJURXSORJJHUVIURPZKLFK\RXZLVKWRGRZQORDGWKHPHDVXUHGGDWDDUHIRXQG,IWKH]RQHFRQFHUQHGGRHVQRWDSSHDULQWKHGLUHFWRU\WUHHVWDUWE\FUHDWLQJWKH]RQHLQWKHVRIWZDUHVHHSDJHDQGWKHQDGGWKH*60ER[IRUWKHQHWZRUNJURXSWRLWVHHSDJH 2SHQWKHWDE'LUHFWRU\LQWKHPXOWLIXQFWLRQEDU ,QWKHVHJPHQW1HWZRUNFOLFNRQ)73'RZQORDG5HVXOW7KHPHDVXUHGGDWDDUHGRZQORDGHGIURPWKH)73VHUYHU7KHSURJUHVVRIWKHGDWDWUDQVIHULVGLVSOD\HGLQDZLQGRZ2QFH GRZQORDGHG WKH PHDVXUHG GDWD IURP WKH ORJJHUV DUH VDYHG LQ WKH VRIWZDUHGDWDEDVHDQGFDQEHGLVSOD\HGVHHEHORZLQWH[W 'LVSOD\LQJGDWDLQWKH6'9VRIWZDUH7R KDYH WKH PHDVXUHG GDWD IRU D QHWZRUN JURXS GLVSOD\HG RQ WKH 3& SURFHHG DVIROORZV6WHS 'HVFULSWLRQ 0DUNWKHORJJHULQWKHGLUHFWRU\WUHHZKRVHPHDVXUHGGDWDDUHWREHGLVSOD\HG 2SHQWKHWDE/RJ1LQWKHPXOWLIXQFWLRQEDU ,QWKHVHJPHQW0HDVXUHPHQWGDWDFOLFNRQ6KRZGDWD$OWHUQDWLYHO\\RXFDQGRXEOHFOLFNWKHUHTXLUHGORJJHULQWKHGLUHFWRU\WUHHWRDFFHVVLWVPHDVXUHGGDWD5HVXOW$QHZZLQGRZRSHQV7KHPHDVXUHGGDWDIURPWKHODVWPHDVXULQJSHULRGDUHGLVSOD\HGLQLWDVDGLDJUDPVHHWKHQH[WSDJH](https://usermanual.wiki/Seba-Dynatronic-Mess-und-Ortungstechnik/LOGCDR31.Users-Manual/User-Guide-3124334-Page-124.png)
![,QVWDOOLQJDQHWZRUNLQ3URIHVVLRQDOPRGHRQO\ 7KHIROORZLQJSLFWXUHVKRZVWKHPHQXIRUGLVSOD\LQJWKHPHDVXUHGGDWD(OHPHQW 'HVFULSWLRQ0DUNHUJUHHQYHUWLFDOOLQH<RXFDQFOLFNRQHDFKLQGLYLGXDOEDUWRKDYHWKHIROORZLQJYDOXHVIURPWKLVLQGLYLGXDOUHFRUGLQJGLVSOD\HG(6$YDOXHOHYHOIUHTXHQF\WLPHDQGGDWHRIWKHPHDVXUHPHQW$XGLRGDWDEXWWRQ%\FOLFNLQJRQWKHQRWHV\PEROEXWWRQWKHVHFRQGOHDNQRLVHUHFRUGLQJRIWKHPHDVXULQJSHULRGGLVSOD\HGLVSOD\HGEDFNRQHWLPH6WULFWO\VSHDNLQJLWLVWKHTXLHWHVWUHFRUGLQJRIWKHODVWPHDVXULQJGD\RIWKHSHULRGGLVSOD\HG+RZHYHULWLVDUHTXLUHPHQWWKDWWKHFRUUHVSRQGLQJDXGLRILOHKDVDOUHDG\EHHQTXHULHGIURPWKHORJJHU,IWKHEXWWRQLVGHDFWLYDWHGWKHUHLVQRDXGLRILOHVWRUHGLQWKHVRIWZDUHGDWDEDVHIRUWKHUHVSHFWLYHPHDVXULQJSHULRG'LDJUDP;D[LV«&KURQRORJLFDOSURJUHVVRIWKHPHDVXUHPHQW<D[LV«1RLVHOHYHOLQG%(DFKEDUUHSUHVHQWVDVLQJOHQRLVHUHFRUGLQJ7KHFRORXURIWKHEDUVKRZVWKHDSSUR[LPDWHIUHTXHQF\RIWKHQRLVHLQ+]%OXH <HOORZ+]+]/HDNYDOXHPLQLPXPYDOXHRIWKHGLVSOD\7KH(6$YDOXHOHYHODQGIUHTXHQF\RIWKHTXLHWHVWUHFRUGLQJLQWKHPHDVXULQJSHULRGGLVSOD\HGLVVKRZQLQWKHWKUHHILHOGVGLUHFWO\XQGHUWKHGLDJUDPFRQWLQXHGRQWKHQH[WSDJH](https://usermanual.wiki/Seba-Dynatronic-Mess-und-Ortungstechnik/LOGCDR31.Users-Manual/User-Guide-3124334-Page-125.png)

