Seiko Epson FBP923A 9-Pin Dot Matrix Printer User Manual 28393
Seiko Epson Corporation 9-Pin Dot Matrix Printer 28393
UserManual.wiki
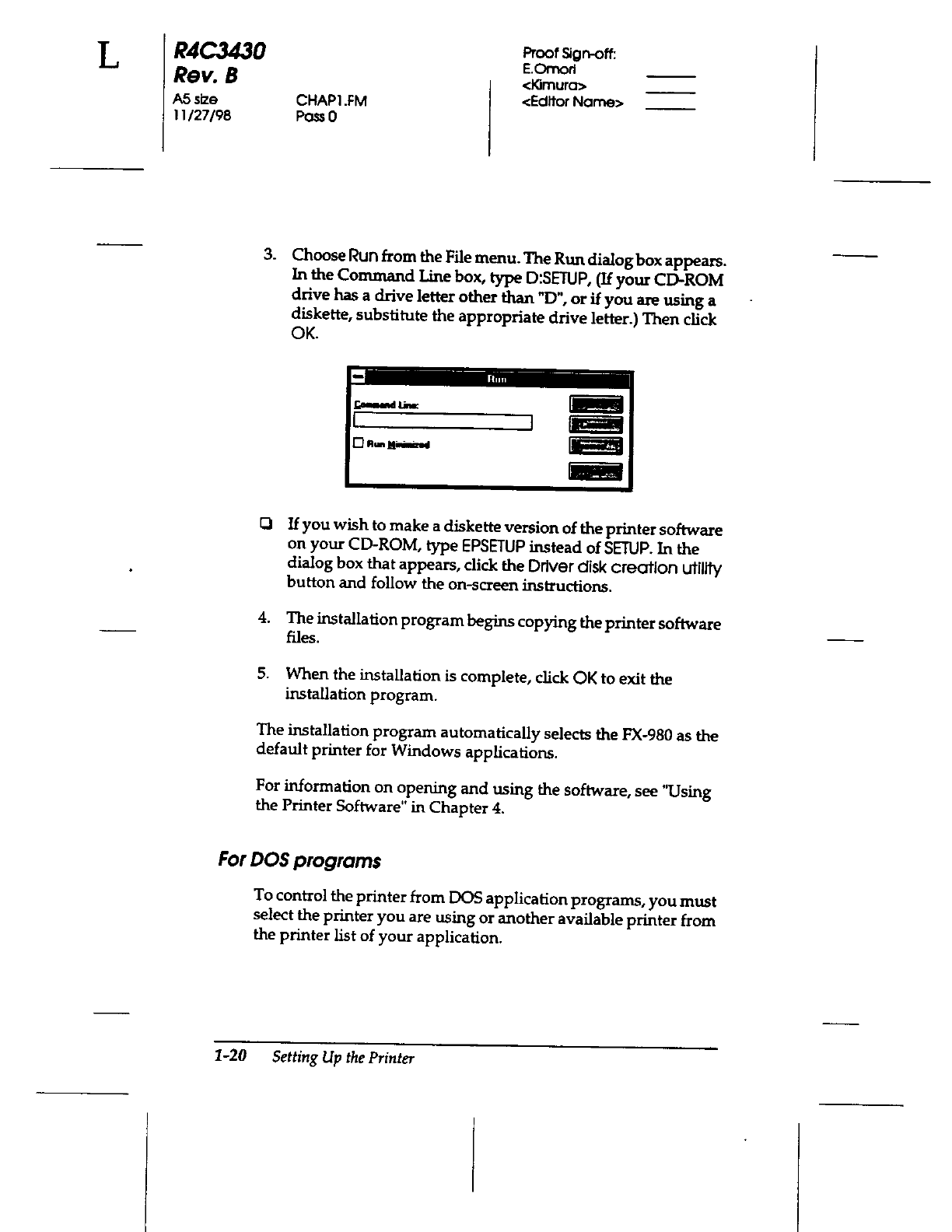
>
Seiko Epson
>
FBP923A User Manual HTML Version
8
Navigation menu
Upload a User Manual
Namespaces
Wiki Guide
HTML
PDF
Info
Views
User Manual
Discussion / Help
Navigation