Socket Mobile CHS2 Bluetooth Hand-Held Barcode Scanner User Manual Socket Mobile Cordless Hand Scanner User s Guide
Socket Mobile, Inc. Bluetooth Hand-Held Barcode Scanner Socket Mobile Cordless Hand Scanner User s Guide
Contents
- 1. Manual
 - 2. Users Manual
 
Manual

Cordless Hand Scanner Series 7 
with Bluetooth® Wireless Technology 
Featuring a Bluetooth enabled bar code scanner for wirelessly 
adding bar code scanning to Bluetooth enabled mobile 
computers running: 
• Windows Mobile 2003, 2003SE or 5.0 
• Windows CE.NET for the Intermec CK30 
• Palm OS 5.2 or later 
• Windows XP or XP Tablet Edition 
User’s Guide 

1/2008  Document # 6410-00233 L 
COPYRIGHT NOTICE 
Copyright © 2008 Socket Communications, Inc. dba Socket 
Mobile, Inc. All rights reserved. 
Socket, the Socket logo and Battery Friendly are registered 
trademarks of Socket Communications, Inc. dba Socket Mobile, 
Inc. Cordless Hand Scanner with Bluetooth Wireless Technology, 
SocketScan, Mobility Friendly, Connect!Agent, and Error Proof 
Protocol are trademarks of Socket Communications, Inc. dba 
Socket Mobile, Inc. Bluetooth and the Bluetooth logos are 
registered trademarks owned by Bluetooth SIG, Inc., U.S.A. and 
licensed to Socket Mobile, Inc. All other brand and product 
names are trademarks of their respective holders. 
The Cordless Hand Scanner includes technology licensed under 
United States Patent Numbers 5,902,991 and D526,320 S. 
Reproduction of the contents of this manual without the 
permission of Socket Mobile is expressly prohibited. Please be 
aware that the products described in this manual may change 
without notice. 
Feel free to contact Socket Mobile at: 
Socket Mobile, Inc. 
39700 Eureka Drive 
Newark, CA 94560-4808 
USA 
Other than the above, Socket Mobile can assume no 
responsibility for anything resulting from the application of 
information contained in this manual. 
Please refrain from any applications of the Socket Mobile 
Cordless Hand Scanner that are not described in this manual. 
Please refrain from disassembling the Cordless Hand Scanner. 
Disassembly of this device will void the product warranty. 
You can track new product releases, software updates and 
technical bulletins by visiting the Socket Mobile website at: 
www.socketmobile.com. 
TABLE OF CONTENTS 
COPYRIGHT NOTICE 2 
1 | INTRODUCTION 5 
Scanner Versions  5 
About the Software  5 
About Combining Scanning with Bluetooth 6 
System Requirements  7 
Package Contents  8 
Product Registration  8 
Additional Documentation  9 
Hardware Features  9 
2 | HARDWARE PREPARATION 11 
Installing Batteries and Attaching the Tether  11 
Charging the Scanner  12 
3 | SETUP FOR WINDOWS MOBILE 13 
STEP 1: Uninstall Other Scanning Software  14 
STEP 2: Install the Software  15 
STEP 3: Start SocketScan 17 
STEP 4: Configure Scanner Settings  18 
STEP 5: Turn on the CHS  19 
STEP 6: Connect Device to CHS  20 
STEP 7: Start Your Application  22 
STEP 8: Scan Data into Your Application  22 
Disconnecting 23 
Symbology Selector  24 
Scanner Settings  25 
Scan Demo  27 
Connect!Agent Utility  28 
4 | SETUP FOR THE INTERMEC CK30 30 
STEP 1: Install the Software  31 
STEP 2: Turn on the CHS  32 
STEP 3: Start SocketScan 33 
STEP 4: Connect CK30 to CHS  33 
STEP 5: Open Your Application  35 
STEP 6: Scan Data into Your Application  35 
Disconnecting 36 
Symbology Selector  37 
Prefixes/Suffixes 38 
Power Settings  39 
3 
5 | SETUP FOR PALM 40 
STEP 1: Uninstall Other Scanning Software  41 
STEP 2: Install the Software  41 
STEP 3: Turn on the CHS  43 
STEP 4: Start SocketScan 43 
STEP 5: Connect CHS to PDA with Bluetooth  44 
STEP 6: Open Your Application  46 
STEP 7: Scan Data into Your Application  47 
Scanner Settings  48 
Symbology Selector  51 
Scan Test  52 
6 | SETUP FOR WINDOWS XP 53 
STEP 1: Uninstall Other Scanning Software  54 
STEP 2: Install the Software  54 
STEP 3: Turn on the CHS  57 
STEP 4: Start Bluetooth on Your Computer  57 
STEP 5: Configure Bluetooth Settings  58 
STEP 6: Configure Scanner Settings  64 
STEP 7: Restart SocketScan 66 
STEP 8: Connect Computer to CHS  66 
STEP 9: Open Your Application  67 
STEP 10: Scan Data into Your Application  68 
Disconnecting 69 
Scanner Settings  70 
Advanced Bluetooth Settings  71 
Remote Trigger Button  73 
Symbology Selector  74 
Version Information  75 
APPENDICES 
A | SPECIFICATIONS 76 
B | SAFETY AND USAGE TIPS 79 
C | BAR CODE LABEL SPECIFICATIONS 82 
D | ENABLING OR DISABLING SYMBOLOGIES 84 
E | DECODE ZONE 86 
F | TROUBLESHOOTING 89 
G | TECHNICAL SUPPORT 93 
LIMITED WARRANTY 94 
REGULATORY COMPLIANCE 98 
4   

1 | INTRODUCTION 
If you need to collect bar coded data but don't want to be tied to 
your mobile or desktop computer, the Cordless Hand Scanner 
(CHS) Series 7 with Bluetooth wireless technology is just what 
you're looking for.  This innovative device combines the power of 
laser bar code scanning with the convenience of Bluetooth 
wireless technology in a single compact, lightweight device that is 
ergonomically designed to fit comfortably in the palm of your 
hand. 
Bar code scanning is the most efficient way to collect data from a 
mobile computer.  If the data to be entered is bar coded, using a 
laser scanner is 50 times faster and 10,000 times more accurate 
than manual data entry. 
Bluetooth wireless technology 
transforms how devices connect 
with each other, offering you new 
possibilities for using your mobile 
computer with other devices.  
With the Cordless Hand Scanner 
(CHS), you can scan bar codes 
while connected to the PDA in 
your pocket or to your laptop, 
tablet or desktop computer 
located up to 300 feet away — all 
without the hassle of cables or the 
awkwardness of a protruding 
antenna. 
SCANNER VERSIONS 
The CHS Series 7 includes three versions of the scanner.  
• The entry-level CHS 7E uses linear CMOS imaging technology.  
• The mid-level CHS 7M has a Class 1 laser scanner.  
• The performance level CHS 7P features a Class 2 laser scanner 
and a ruggedized construction. 
ABOUT THE SOFTWARE 
SocketScan™ enters scanned data directly into any 
open Windows or Palm OS program as if the data 
were manually typed, so you can use the CHS with 
your favorite application. Included is a utility that 
CHAPTER 1: INTRODUCTION  5 

enables you to configure Prefix/Suffixes, sounds, and 
other special settings for the CHS. 
Connect!Agent™ for Windows Mobile and XP simplifies 
Bluetooth by automatically setting up and managing the wireless 
connection. Connect!Agent runs in the background, requiring no 
user interaction. 
ABOUT COMBINING SCANNING WITH BLUETOOTH 
The Cordless Hand Scanner represents an optimal combination of 
proven laser bar code scanning and state-of-the-art Bluetooth 
connectivity. Because of the problems inherent in the 
intermittent storage of scanned data in on-board memory if the 
Bluetooth connection is lost, the CHS is designed to operate only 
when connected to the host, with the powerful Class 1 radio 
providing the maximum possible connection range.  
The user is advised of the connection status with a single beep 
when the CHS connects to the host and a double beep when the 
connection is closed or lost. As with any wireless device, 
connectivity range can be affected by a variety of environmental 
variables.   
The most likely source of errors in any cordless scanning system is 
not in the scanning and decoding process, but in the transmission 
of the data to the host. For this reason, the Cordless Hand 
Scanner features the exclusive Error Proof Protocol (patent 
pending) from Socket Mobile, which ensures that scanned data is 
6 
correctly received by the host computer and allows for real-time 
validation of data and notifies the user in case of errors. 
The beeper and green LED signals provided by the CHS confirm 
not only a successful scan but also the successful transmission of 
the scanned data to the host. Users familiar with bar code 
scanning may notice a slight delay between the successful scan 
and shut off of the laser, and the beep and green LED from the 
CHS confirming completed transmission of the data. In most 
instances, this delay is less than 300 ms (milliseconds), but may be 
slightly longer as the connectivity range limit is approached. 
Because of the two-way transmission verification process, it is 
possible to cause communication problems by scanning bar codes 
as fast as possible.  When this occurs, all transmissions will stop 
for several seconds before scanning can be resumed. To prevent 
this from happening, the user should wait until the confirming 
beep is received before scanning the next bar code. 
SYSTEM REQUIREMENTS 
Windows Mobile devices should satisfy these minimum 
requirements: 
• Windows Mobile 2003, 2003SE or 5.0 
• Any of the following Bluetooth stacks:*  
− Broadcom (Widcomm) v1.5 or later for Windows Mobile 
2003/2003SE 
− Broadcom (Widcomm) v1.7 or later for Windows Mobile 5.0 
− Microsoft Bluetooth stack for Windows Mobile 
− Socket Mobile Drakar v1.4 
• Software installation requires either ActiveSync 4.0 or greater 
or Windows Vista on a host computer. 
The CHS Series 7 is also compatible with the Intermec CK30 
mobile computer, which runs Windows CE.NET. 
Palm OS devices should satisfy these minimum requirements: 
• Palm OS 5.2 or later 
• Bluetooth wireless technology 
• Software installation requires Palm Desktop Software on a 
host computer. 
CHAPTER 1: INTRODUCTION  7 

Windows XP computers should satisfy these minimum 
requirements: 
• Windows Mobile XP or XP Tablet Edition 
• Any of the following Bluetooth stacks:* 
− IVT BlueSoleil version 1.6.1.4  
− Microsoft Windows XP Service Pack 2 Bluetooth stack 
− Toshiba Bluetooth stack 3.0 or greater 
− Broadcom (Widcomm) Bluetooth stack 
*Other stacks may be compatible but have not been tested by 
Socket Mobile. For Windows XP, only the IVT, Microsoft, and 
Toshiba Bluetooth stacks are compatible with the optional Socket 
Mobile Connect!Agent software. 
For information about using the CHS with Symbian smartphones, 
please visit: www.socketmobile.com/products/bar-code-scanning-
data-collection/series7/
For software updates, please visit: 
www.socketmobile.com/support/downloads/data-collection/series7/
PACKAGE CONTENTS 
The Cordless Hand Scanner package includes these items: 
• Cordless Hand Scanner with Bluetooth Wireless Technology 
• AC charging adapter with international plugs 
• 2 NiMH rechargeable AAA batteries 
• Lanyard with retractable tether 
• Software Installation CD 
• Booklets with copyright, warranty, and regulatory compliance 
information 
PRODUCT REGISTRATION 
Socket Mobile highly recommends that all customers register 
their products. Registered users receive the following benefits: 
• Priority for technical support 
• Special offers for future products and upgrades 
• The latest new product information. 
Register online at: www.socketmobile.com/support/support/new 
8 

ADDITIONAL DOCUMENTATION 
Socket Mobile has also published Quick Start Guides and an 
Advanced Programming Guide for this product, available online 
at: www.socketmobile.com/support/downloads/data-
collection/series7/?page=Detail 
HARDWARE FEATURES 
Rechargeable Batteries and AC Adapter 
Charge the internal batteries by using the included AC adapter. 
The adapter rating is 5V, 2A, positive pole center. A fully charged 
battery should provide roughly 8 hours of normal operation.  
WARNING: Charge ONLY NiMH batteries in the CHS. Damage may 
result if other battery types are charged. Do not store the CHS 
for more than 30 days with the batteries installed. 
The red Battery Status LED will not function properly if standard 
AAA non-rechargeable batteries are being used. 
Besides the included AC adapter, you can also recharge the CHS 
by using any of the following:  
• Socket Mobile Power Pack (available in Americas and Asia 
Pacific). www.socketmobile.com/products/accessories/mobile-
power-pack/ 
• AC and DC adapters of most recent Pocket PCs from Socket 
Mobile, Casio, Fujitsu, HP, and Toshiba are also compatible. 
Touch Screen Stylus 
The CHS features a stylus tip in the tail of the 
CHS that you can use Pocket PC and other 
device touch screens. The stylus can be 
removed with small pliers if desired. Visit the 
Socket Mobile website to purchase 
replacement styli. 
WARNING: Do not use the stylus if 
damaged. A damaged stylus may scratch 
the display screen of your computer. 
The stylus does not work with XP Tablet computers using Active 
Matrix displays. 
CHAPTER 1: INTRODUCTION  9 

Status Indicator LED 
LED LED Activity  Meaning 
1 blink per second  Bluetooth radio is on, but not 
connected. 
Bluetooth 
Status 
(Blue) 
1 blink per 5 seconds  Bluetooth radio is on, connection 
established. 
Good Read 
(Green) 
Green  Data successfully scanned and 
transmitted to host device. 
1 blink per second  Less than 20% of battery life 
remaining. 
Solid red  Batteries are charging.  
Battery 
Status 
(Red) 
Off when connected 
to charger  Batteries are fully charged.  
Status Indicator Beeps 
The scanner beeps to signal the Bluetooth connection status. You 
can also have the scanner beep to indicate scanned data reaching 
the host device. 
LED Beep Pattern  Meaning 
1 beep  Connection to host device has begun. 
Bluetooth 
Status 
(Blue) 
 2 beeps  Connection to host device has ended. 
Good Read 
(Green) 
1 beep  Data was successfully scanned and 
transmitted to host device. 
10 

2 | HARDWARE PREPARATION 
INSTALLING BATTERIES AND ATTACHING THE TETHER 
1. Use a coin or screwdriver to unlock and remove the battery 
cover. Turn the lock underneath the scanner to a horizontal 
position. Remove the casing. 
2. Install the batteries in opposite directions, as indicated by the 
positive symbols. 
WARNING: Do not install the batteries incorrectly. 
Damage may result. 
3. If desired, attach the tether. Wrap the string loop around the 
inside part of the lock. 
4. Replace the battery cover and lock it into place. 
5. If desired, attach the tether to a lanyard or belt. 
CHAPTER 2: SETUP FOR WINDOWS MOBILE  11 

CHARGING THE SCANNER 
Use the included AC adapter to charge the Cordless Hand 
Scanner. The scanner’s NiMH batteries must be charged for at 
least 4 hours before the first use. The Battery Status LED will emit 
a solid red light while charging, and turn off when the batteries 
are fully charged. 
WARNING: Do not attempt to charge alkaline 
batteries — this may cause alkaline batteries to 
leak and damage the CHS.  
The red Battery Status LED will not function 
properly if standard AAA alkaline batteries are 
being used. 
12 

3 | SETUP FOR WINDOWS MOBILE 
This chapter explains how to install and use 
the Cordless Hand Scanner (CHS) with the 
SoMo 650 or other Bluetooth enabled Pocket 
PC or mobile computer running Windows 
Mobile 2003, 2003SE or 5.0. 
Before you begin the instructions in this 
chapter, make sure you have installed the 
batteries (and tether, if desired), and charged 
the scanner, as described in Chapter 2, 
“Hardware Preparation.” 
Setup Summary 
STEP 1: Uninstall other scanning software. 
STEP 2: Install the software.* 
STEP 3: Start SocketScan. 
STEP 4: Configure scanner settings. 
STEP 5: Turn on the CHS. 
STEP 6: Connect CHS to host device. 
STEP 7: Start your application. 
STEP 8: Scan bar codes. 
Application Features 
Symbology Selector 
Scanner Settings 
Scan Demo 
Connect!Agent Utility 
*Note: Software installation is not required for the Socket 
Mobile SoMo 650 handheld computer. However, you may want 
to update the software if a more recent version of SocketScan or 
Connect!Agent is available. 
CHAPTER 2: SETUP FOR WINDOWS MOBILE  13 
STEP 1: UNINSTALL OTHER SCANNING SOFTWARE 
Delete any bar code scanning software already installed on your 
device. You can either uninstall the software directly from your 
device, or indirectly with ActiveSync. 
Note: The SocketScan software pre-installed on the SoMo 650 
cannot be uninstalled but can be upgraded. 
OPTION 1: Uninstall Directly from the Pocket PC 
1. Make sure the bar code scanning software is closed, and 
remove the CF RFID Reader Card from your Pocket PC. 
2. Tap Start | Settings. Tap on the System tab or Control 
Panel. 
3. Tap on the Remove Programs icon. 
4. Select the bar code scanning software, then tap Remove. 
5. Tap Yes to confirm removal of the program. 
OPTION 2: Uninstall via ActiveSync 
1. Make sure the bar code scanning software is closed, and 
remove the CF RFID Reader Card from your device. 
2. Use ActiveSync and a serial/Ethernet/USB cable or cradle to 
make an active connection between your device and a host PC. 
3. On the host PC, open Microsoft ActiveSync. 
4. Click Tools | Add/Remove Programs.  
5. Select the bar code scanning software and click Remove. 
6. In the confirmation screen, click OK. 
7. The next dialog will ask if you want to remove the software 
from your host PC as well.  
• Click NO to keep a copy of the software on the host PC 
that can later be re-installed onto a device. 
• Click YES to remove the software from the host PC. 
14 

STEP 2: INSTALL THE SOFTWARE 
Follow these instructions to install SocketScan into your Pocket PC. 
Afterwards, you may choose to repeat the same process to install 
the RFID Demo and/or Floating Trigger software, if desired. 
1. Use a serial/USB cable or cradle to make an active connection 
between your device and a host PC.  
• If your host computer is running Windows Vista, use the 
Windows Mobile Device Center. 
• If your host computer is running Windows 2000/XP, 
ActiveSync 4.0 or greater is required. Download it free 
from: www.socketmobile.com/activesync. 
2. Insert the installation CD into your host PC.  
3. Use My Computer or Windows Explorer to access your CD-
ROM drive. In the CD, click on SETUP.EXE. 
4. The SocketScan Setup Center will appear in your web browser. 
Read the first page and click Installation in the left margin. 
CHAPTER 2: SETUP FOR WINDOWS MOBILE  15 

5. In the SocketScan Installation page, in the Windows CE 
section, click Install In the first paragraph. 
6. Your web browser will present a series of dialogs. 
Internet Explorer: 
• In the File Download –Security Warning dialog, click Run. 
• In the second warning dialog, click Run. 
• Internet Explorer will download the file. 
Firefox: 
• In the file opening dialog, click Save File. 
• Firefox will download the file. 
• In the Downloads list, next to SocketScanCE.exe, click Open. 
• In the warning dialog, click OK to continue. 
7. The InstallShield Wizard for SocketScan Software will 
automatically launch. Follow the wizard to install the software. 
16 

8. If your device warns that the software comes from an 
unknown publisher, tap Yes to continue installation. 
9. After installing the software, a dialog on your Pocket PC will 
direct you to soft reset. Tap ok. 
10. Remove your device from the cable/cradle and perform a soft 
reset by pressing the reset button. If you skip this step, some 
icons may not appear correctly. 
11. Install Connect!Agent by returning to the SocketScan Setup 
Center. In the Installation page, scroll down to Connect!Agent 
– Mobile Devices section and click on the Connect!Agent 
software link there. 
STEP 3: START SOCKETSCAN 
1. Tap Start | Programs | SocketScan.  
2. Return to the Today screen by tapping Start | Today.  
CHAPTER 2: SETUP FOR WINDOWS MOBILE  17 

STEP 4: CONFIGURE SCANNER SETTINGS 
1. Tap the SocketScan icon   at the bottom of the screen. In the 
pop-up menu, tap Settings. 
2. The Scanner Settings utility will appear. Tap on the CS tab at 
the bottom of the screen.  
3. Check the box Enable Cordless Scanner support. IMPORTANT!!! 
18 

4. Tap on the CS HW tab.  Enter the following settings: 
• Trigger: Select whether you would like the CHS to scan 
only when a Bluetooth connection to the device is 
detected. If you require the CHS to detect a Bluetooth 
connection before each scan, scanning will be a few 
milliseconds slower. 
• Good Read Indicator: Select how you would like the CHS 
to indicate that it has successfully read data. 
• Battery Level: No progress bar should appear since you 
are not connected to the CHS. 
• Disable Auto Power Off mode: The CHS automatically 
shuts off if there is no Bluetooth connection for 20 
minutes. Check to disable. 
5. After entering settings, tap ok to save the changes. 
STEP 5: TURN ON THE CHS 
Press the small power button for five seconds, 
until you see the LED turn blue.  
The LED should blink blue once every second to 
show that the Bluetooth radio is on but not 
connected. If the LED begins blinking red, the 
battery needs to be recharged. 
CHAPTER 2: SETUP FOR WINDOWS MOBILE  19 

STEP 6: CONNECT DEVICE TO CHS 
SocketScan supports a generic Bluetooth COM port and may be 
able to connect to Bluetooth stacks on mobile computers other 
than those listed. 
1. Tap on the SocketScan icon   at the bottom of the screen. In 
the menu, tap Connect CS. 
Your mobile device cannot connect to the CHS if another 
device is set as the default Bluetooth serial device. 
If Connect CS does not appear, tap Settings in the menu, tap 
on the CS tab, and enable cordless scanner support. 
2. Connect!Agent will automatically turn on the Bluetooth radio 
and begin to search for and connect to the CHS. 
- If this is your first time connecting to a CHS or CRS 
(Cordless Ring Scanner) from this device, Connect!Agent 
will begin searching for any CHS or CRS in range. 
- If you have previously connected to a CHS or CRS, 
Connect!Agent will automatically begin searching for your 
favorite (default) device. 
20 

3. If Connect!Agent does not have a favorite scanner and finds 
multiple CHS and/or CRS devices in range, select the one you 
want to connect to and tap ok. 
To help you identify the scanner, Connect!Agent reports the 
scanner’s Bluetooth MAC address. The last six characters are 
displayed after the Bluetooth device name. 
4. Connect!Agent will begin connecting to the CHS.  
5. After the devices connect, the CHS will beep once. The 
SocketScan icon at the bottom of the Today screen will 
change into a scanner icon to indicate the connection.  
Connect!Agent will save data about the CHS to automate 
future connections to your specific unit. To change which 
scanner is saved as your favorite, use the Connect!Agent utility. 
CHAPTER 2: SETUP FOR WINDOWS MOBILE  21 

STEP 7: START YOUR APPLICATION 
1. Start the application that you want SocketScan to feed the bar 
code data into (e.g., Excel Mobile, Notepad, etc.). Make sure a 
document or spreadsheet is open. 
2. Place the cursor where you want data from the next scan to 
go. 
STEP 8: SCAN DATA INTO YOUR APPLICATION 
1. Press the trigger button and scan the bar code. 
When data is read and sent to device, the scanner beam will 
turn off. Depending on your settings, the scanner may beep 
and/or the CHS’s LED may flash green to indicate a good read.  
If no data is read in a few seconds, the scanner beam will turn 
off, and you must try again. 
2. After a successful scan, data should appear in your document. 
For example, after you scan a bar code into an Excel Mobile 
spreadsheet, data should appear in the first cell. The default 
22 

“CR” (carriage return) suffix will advance the cursor to the 
next cell, ready for the next scan. 
Wait for the “Good Scan” indication before you scan another 
bar code. If you try to scan too fast, the device can lock up 
until you stop scanning. 
SocketScan Auto-Reconnect 
If your mobile device suspends or the CHS moves out of range, 
the connection will end. After the mobile device turns on 
again or returns in range, SocketScan will try to re-connect for 
approximately three minutes. If, after 3 minutes, they have 
not re-connected, you will need to manually re-connect them. 
DISCONNECTING 
To disconnect, tap on the SocketScan icon at the bottom of the 
Today screen and tap Disconnect. Your mobile device will 
disconnect from the CHS, and Connect!Agent will turn off the 
Bluetooth radio of your mobile device. 
Turning off the CHS 
To turn off the CHS, press the power button at least 2 seconds, 
until the LED stops blinking. 
CHAPTER 2: SETUP FOR WINDOWS MOBILE  23 

SYMBOLOGY SELECTOR 
The applet makes it quick and convenient to modify which 
symbologies you want the scanner to recognize. By default, the 
scanner is set to recognize nine of the most common 
symbologies. 
1. Tap on the SocketScan icon. In the pop-up menu, tap Symbology 
Selector... 
2. In the screen that appears, check the symbologies you wish to 
enable. Uncheck those you wish to disable. For convenience, 
you can tap Disable All to disable all the symbologies and 
select the ones you want. Tap ok. 
Symbologies not supported by the CHS will be 
gray. Enabling all possible symbologies will make 
the decode process slightly longer. 
24 

SCANNER SETTINGS 
1. Tap on the SocketScan icon. In the pop-up menu, tap 
Settings.  
You can configure prefix/suffixes whether or not the 
CHS is connected to your Pocket PC.   
2. In the pop-up menu, select Settings... 
3. In the screen that appears, enter the characters you want to 
be appended to each scan (128 character maximum). 
By default, SocketScan enters a carriage return after every 
data scan. 
• Use \r for Carriage Return, \n for Linefeed, \t for Tab., \\ for a single \ 
character.  
• Other characters can be typed or entered using the format 
\nnn, where nnn = ASCII character 001 through 255. 
4. Tap on the Sound tab. 
CHAPTER 2: SETUP FOR WINDOWS MOBILE  25 

5. Select which sound you want your mobile computer to use to 
indicate a good read. If you select Play .wav file, tap on the 
… button to search for the .wav file you want to use (the file 
must be in the My Documents folder).  
6. Tap ok. 
26 

SCAN DEMO 
Scan Demo makes it easy to determine the symbology, number 
of characters, and decoded data (in either ASCII or Hex) of any 
bar code supported by the scanner. This is especially useful if you 
encounter a bar code that the scanner will not decode by 
default. 
1. Tap Start | Programs | Scan Demo.  
Accessing Scan Demo disconnects the Bluetooth link. If 
you have not configured the CHS to automatically 
connect, select the CHS tab at the bottom of the page 
to re-establish this link. 
2. The Scan Demo screen will appear. If desired, use the check 
boxes at the bottom of the screen to modify the test. 
Enable all symbologies: By default, this option is checked. 
Different symbologies can sometimes interpret the same bar 
code differently, so you may want to uncheck this option. 
Display as hex data: Check this box to view scanned data in 
hexadecimal format. Otherwise, data will appear as ASCII.  
3. Scan the bar code. Scan Demo will report the properties of the 
bar code. 
CHAPTER 2: SETUP FOR WINDOWS MOBILE  27 

CONNECT!AGENT UTILITY 
The Connect!Agent utility enables you to view and change the 
default Socket Mobile Bluetooth peripherals that Connect!Agent 
will try to connect to. 
1. Tap Start | Settings | System tab | Connect!Agent. 
2. The Connect!Agent utility lists the wireless bar code scanners 
and/or modems that it has saved as favorite devices. These are 
specific devices that Connect!Agent automatically attempts to 
connect to whenever SocketScan or a Bluetooth dial-up 
connection is initiated.  
Note: The Connect!Agent utility can save a favorite CHS and 
CRS for SocketScan as well as for Scan Demo. The same 
CHS/CRS can be the favorite for both SocketScan and Scan 
Demo. 
28 

3. If you wish to remove a device from the partnership list, select 
the device and tap Delete. In the confirmation screen, tap 
Yes. 
CHAPTER 2: SETUP FOR WINDOWS MOBILE  29 

4 | SETUP FOR THE INTERMEC CK30 
This chapter explains how to install and 
use the Cordless Hand Scanner (CHS) with 
the Intermec CK30 mobile computer, 
which runs the Windows CE.NET 
operating system. 
Before you begin the instructions in this 
chapter, make sure you have installed the 
batteries (and tether, if desired), and 
charged the scanner, as described in 
Chapter 2, “Hardware Preparation.” 
Setup Summary 
STEP 1: Install the software. 
STEP 2: Turn on the CHS. 
STEP 3: Connect CHS to CK30. 
STEP 4: Open your application. 
STEP 5: Scan data into your application. 
Application Features 
Symbology Selector 
Prefixes/suffixes 
Power settings 
30 

STEP 1: INSTALL THE SOFTWARE 
You must install both SocketScan and Connect!Agent. 
1. Use ActiveSync (4.0 or greater), the Windows Mobile Device Center 
(for Windows Vista) or another method to copy the 
CEConnect!Agent.160s.ARM… and SocketScan.160s.ARM… 
CAB files from the 160s folder in the installation CD and paste them 
into the CK30. Refer to your CK30 manual for instructions. 
Remember where you save the CAB files in the CK30. For 
example, you may want to save the files in the My Documents 
folder. 
2. After copying the CAB files into the CK30, push the green 
button then the orange button on the CK30 to access the 
System Main Menu. 
3. In the System Main Menu, press 2 File Manager. 
4. Navigate to the location where you saved the CAB files.  
CHAPTER 4: SETUP FOR INTERMEC CK30  31 

5. Select the CE.Connect!Agent.160s.ARM… CAB file and 
press the Enter button on the right side. 
6. In the options window, select Run and press the Enter button 
on the right side.  
7. Follow the instructions on your screen to install 
Connect!Agent. 
8. After you finish Connect!Agent installation, navigate to 
where you saved the CE.SocketScan.160s.ARM… CAB file and 
run it. 
STEP 2: TURN ON THE CHS 
Press the small power button for five seconds, 
until you see the LED turn blue. The LED should 
blink blue once per second to show that the 
Bluetooth radio is on but not connected. If the LED 
begins blinking red, the battery needs to be 
charged. 
32 

STEP 3: START SOCKETSCAN 
1. On the CK30, press the green button and then the orange 
button to access the System Main Menu. 
2. In the System Main Menu, press 7 SocketScan. 
STEP 4: CONNECT CK30 TO CHS 
1. In the SocketScan menu, press 1 Connect Cordless Scanner. 
2. Connect!Agent will automatically turn on the Bluetooth radio 
and begin to search for and connect to the CHS.  
CHAPTER 4: SETUP FOR INTERMEC CK30  33 

- If this is your first time connecting to a CHS or CRS 
(Cordless Ring Scanner) from this CK30, Connect!Agent 
will begin searching for any CHS or CRS in range. 
- If you have previously connected to a CHS/CRS, Connect!Agent 
will begin searching for the last one you connected to. 
3. If Connect!Agent does not have a favorite scanner and finds 
multiple CHS and/or CRS devices in range, select the one you 
want to connect to and press the Enter button on the right side. 
The characters in brackets are the last six characters of the 
Bluetooth MAC address. 
4. Connect!Agent will begin connecting to the CHS.  
5. After the CK30 connects to the CHS, the CHS will beep once, 
and the bottom of the screen will report, “CHS connected.” 
6. In the SocketScan menu, press 6 Hide SocketScan. 
IMPORTANT! Do not press the Esc button, or you will close 
SocketScan and won’t be able to scan bar codes into the CK30. 
34 

STEP 5: OPEN YOUR APPLICATION 
1. Start the Windows application that you want to receive the 
data (e.g., Word Pad). Make sure a document is open. 
2. Place the cursor where you want data from the next scan to 
go. 
STEP 6: SCAN DATA INTO YOUR APPLICATION 
1. Press the trigger button and scan the code. 
When data is read and sent to the CK30, the scanner beam 
will turn off. Depending on your scanner settings, the scanner 
may beep and/or the CHS LED may flash green to indicate a 
good read.  
If no data is read in a few seconds, the scanner beam will turn 
off, and you must try again. 
2. After a successful scan, data should appear in your document. 
For example, after you scan a bar code into a spreadsheet, 
data should appear in the first cell. The default “CR” (carriage 
return) suffix will advance the cursor to the next cell, ready 
for the next scan. 
Wait for the “Good Scan” indication before you scan another 
bar code. If you try to scan too fast, the device can lock up until 
you stop scanning. 
SocketScan Auto-Reconnect 
If your CK30 suspends or the CHS moves out of range, the 
connection will end. After the mobile device turns on again or 
returns in range, SocketScan will try to re-connect for 
CHAPTER 4: SETUP FOR INTERMEC CK30  35 
approximately 3 minutes. If, after 3 minutes, they have not re-
connected, you will need to manually re-connect them. 
DISCONNECTING 
In the SocketScan menu, press 2 Disconnect Cordless Scanner. 
Turning off the CHS 
To turn off the CHS, press the power button at least 2 seconds, 
until the LED stops blinking. 
36 

SYMBOLOGY SELECTOR 
The SocketScan utility makes it easy to choose which symbologies 
you want the scanner to recognize. 
1. In the SocketScan menu, press 4 Symbology Selector. 
2. In Symbology Selector, press the arrow buttons to scroll 
through the list. To enable/disable a symbology, select it from 
the list and press the Enter button on the right side. For 
convenience, you can press F3 to disable all the symbologies, 
and later select the ones you want. 
3. After making all of your selections, press Esc to exit 
Symbology Selector. 
Enabling all possible symbologies will make the 
decode process slightly longer. 
CHAPTER 4: SETUP FOR INTERMEC CK30  37 

PREFIXES/SUFFIXES 
The SocketScan utility lets you specify prefix and/or suffix 
characters to be added automatically to the data you scan. This 
helps to further eliminate manual data entry.  
1. In the SocketScan menu, press 3 Settings.  
You can configure prefix/suffixes whether or not the 
CHS is connected to the CK30.   
2. In the Settings menu, press 1 Prefix and suffix. 
3. In the screen that appears, enter the characters you want to 
be appended to each scan (128 character maximum). 
By default, SocketScan enters a carriage return after every 
data scan. 
• Use \r for Carriage Return, \n for Linefeed, \t for Tab., \\ for a single \ 
character.  
• Other characters can be typed or entered using the format 
\nnn, where nnn = ASCII character 001 through 255. 
4. When you have finished entering prefixes/suffixes, press Esc. 
38 

POWER SETTINGS 
The SocketScan utility lets you manage the power settings of the 
CHS.  
1. Make sure the CHS is connected to the CK30. 
2. In the SocketScan menu, press 3 Settings.  
3. In the Settings menu, press 3 Battery level. 
4. The next screen will report the battery level of the CHS.  
By default, the CHS will automatically turn off when there is 
no Bluetooth connection in 20 minutes. If desired, check 
Disable Auto Power Off mode if you would like the CHS to 
always stay on. Press the Enter button on the right side. 
5. Press Esc to exit the Battery Level screen. 
CHAPTER 4: SETUP FOR INTERMEC CK30  39 

5 | SETUP FOR PALM 
This chapter explains how to install and use 
the Cordless Hand Scanner (CHS) with a 
Bluetooth enabled device running Palm OS 
5.2 or later.  
Before you begin the instructions in this 
chapter, make sure you have installed the 
batteries (and tether, if desired), and 
charged the scanner, as described in Chapter 
2, “Hardware Setup.” 
Setup Summary 
STEP 1: Uninstall other scanning software. 
STEP 2: Install the software. 
STEP 3: Turn on the CHS. 
STEP 4: Start SocketScan 
STEP 5: Connect PDA to CHS. 
STEP 6: Open your application. 
STEP 7: Scan data into your application. 
Application Features 
Scanner settings 
Symbology Selector 
Scan Test 
For help using SocketScan, tap on the   button on the 
top of any screen. 
40 

STEP 1: UNINSTALL OTHER SCANNING SOFTWARE 
Delete any bar code scanning software already installed in your 
device, including previous versions of SocketScan. 
1. Make sure the software is closed.  
2. Tap Home, then tap Menu.  
3. In the App menu, tap Delete.  
4. Use the utility to delete the bar code scanning software. 
STEP 2: INSTALL THE SOFTWARE 
1. Use HotSync and a serial/USB cable or cradle to connect your 
device to a host PC.  
2. Insert the installation CD into your host PC.  
3. Use My Computer or Windows Explorer to access your CD-
ROM drive. In the CD, click on SETUP.EXE. 
4. The SocketScan Setup Center will appear in your web browser. 
Read the first page and click Installation in the left margin. 
CHAPTER 5: SETUP FOR PALM  41 

5. In the SocketScan Installation page, scroll down to the Palm 
OS section and click the Install link there. 
6. Your web browser will present a series of dialogs. 
Internet Explorer: 
• In the File Download –Security Warning dialog, click Run. 
• In the second warning dialog, click Run. 
• Internet Explorer will download the file. 
Firefox: 
• In the file opening dialog, click Save File. 
• Firefox will download the file. 
• In the Downloads list, next to SocketScanCE.exe, click Open. 
• In the warning dialog, click OK to continue. 
7. The SocketScan Installation program will begin. Follow the 
instructions on your screen to install the software. 
8. When software installation is complete, disconnect the device 
from the host PC. Soft reset the device by pressing the reset 
button. 
42 

STEP 3: TURN ON THE CHS 
Press the small power button for five seconds, 
until you see the LED turn blue. The LED should blink 
blue once every second to show that the Bluetooth 
radio is on but not connected. If the LED begins 
blinking red, the battery needs to be recharged. 
STEP 4: START SOCKETSCAN 
1. Tap Home. 
2. In the upper right corner, make sure All is selected.  
3. Scroll down and tap on the SocketScan icon. 
CHAPTER 5: SETUP FOR PALM  43 

STEP 5: CONNECT CHS TO PDA WITH BLUETOOTH 
1. After you start SocketScan, the main screen of SocketScan will 
appear, showing a picture of the Socket Mobile SD Scan Card. 
In the Scanner Device drop-down menu, select Bluetooth 
CHS. 
2. The screen will display a picture of the Cordless Hand Scanner. 
In the Device is field, tap Enabled. 
3. If you have not yet enabled your Bluetooth hardware, a 
message will ask if you wish to do so. Tap OK. 
44 

4. Your device will begin searching for Bluetooth enabled 
devices in range. After it finishes searching, select the Socket 
CHS from the list of discovered devices and tap OK. 
Note: The characters in brackets are the last 6 characters of 
the scanner’s Bluetooth MAC address. 
5. Your device will connect to the CHS. If a passkey is requested, 
enter 1234. 
6. When the devices connect, the CHS will beep once. The main 
screen of SocketScan will report that the CHS is enabled, and 
the Configure, Symbologies, and Test buttons will appear. 
If the PDA suspends, the CHS will automatically re-
connect once you turn on the PDA again. 
CHAPTER 5: SETUP FOR PALM  45 

If the CHS is taken out of range, or if the Bluetooth 
connection is otherwise lost, to resume operation you 
must enable it again in SocketScan. 
For more information about the meanings of LEDs 
and beeps, please see page 9. 
STEP 6: OPEN YOUR APPLICATION 
1. Start the Palm application that you want to receive the data 
(e.g., Memo). Make sure a document or spreadsheet is open. 
Note: You cannot scan data into Palm Note Pad, because it is a 
graphics-based program. 
2. Place the cursor where you want data from the next scan to 
enter. 
46 

STEP 7: SCAN DATA INTO YOUR APPLICATION 
1. Press the trigger button and scan the bar code.  
When data is read and transmitted to the host, the scanner 
beam will turn off. Depending on the settings chosen in the 
SocketScan Configure screen, the scanner may beep and/or 
the LED may flash green.  
If the Scanner fails to read data within a few seconds, the 
scanner beam will turn off, and you must try again. 
2. After a successful scan, data should appear in your document. 
For example, after you scan a bar code into a Memo, data 
should appear in the first line. The default “CR” (carriage 
return) suffix will advance the cursor to the next line, ready 
for the next scan. 
Wait for the “Good Scan” indication before you scan another 
bar code. If you try to scan too fast, the device can lock up 
until you stop scanning. 
CHAPTER 5: SETUP FOR PALM  47 

SCANNER SETTINGS 
1. Make sure the main screen of SocketScan reports that the CHS 
is enabled. Tap Configure.  
You can configure prefix/suffixes whether or not the 
CHS is connected to your device.   
2. The Configure screen will appear. Enter any settings, as 
desired: 
• Trigger Mode: Select Local to directly trigger the scanner 
whenever you press the trigger button. Select Remote to 
have the scanner verify a connection to your PDA before it 
activates the laser. 
• Read Indicator: Select how you would like the CHS to 
indicate that data was successfully decoded and 
transmitted to the PDA. 
• Auto reconnect to last device: Check to have your PDA 
automatically connect to the last CHS unit it connected to 
whenever you tap Enabled in the main screen of 
SocketScan. 
48 

• Keep PDA alive for: Select how long you would like the 
PDA to stay alive after the last scan. This feature allows you 
to scan data for several hours without touching the PDA, as 
long as you scan at least once before the time limit passes. 
Select System Default to keep your PDA alive for the 
amount of time set as default in the PDA’s system settings.  
• Insert Special: First tap in the Prefix or Suffix field to 
indicate where you would like to enter special data, such as 
a date stamp, time stamp, tab, etc. Then tap on the Insert 
Special drop-down menu and select the type of special 
data to enter. 
• Prefix: Tap to enter characters you would like appended 
before scanned data (128 character maximum). Besides 
special data items, only printable ASCII characters can be 
used. 
• Suffix: Tap to enter characters you would like appended 
after scanned data (128 character maximum). Besides 
special data items, only printable ASCII characters can be 
used. The default suffix is a carriage return [CR]. 
• Launch App: Check the box, then use the drop-down 
menu that appears to select an application that you would 
like SocketScan to automatically enter data into whenever 
you press the trigger button. The application will launch 
only when you are outside of SocketScan (i.e., SocketScan is 
running in the background). 
If you configured SocketScan to launch an application, 
whenever you scan data into a document, the data will 
only be entered after any existing data, no matter 
where you place the cursor. You will not be able to 
scan data into the middle of existing data. 
CHAPTER 5: SETUP FOR PALM  49 
For example, if you already scanned three lines of data 
into Memo, the next data you scan will appear on the 
fourth line, even if you place the cursor on a previous 
line before scanning. 
3. After entering any settings, tap OK to make the changes take 
effect. 
50 

SYMBOLOGY SELECTOR 
The feature makes it easy to modify which symbologies you want 
the scanner to recognize. By default, the scanner is set to 
recognize eight of the most common symbologies. 
1. In the main screen of SocketScan, tap Symbologies. 
2. In the screen that appears, check the symbologies you wish to 
enable. Uncheck those you wish to disable. Tap OK. 
Enabling all possible symbologies will make the 
decode process slightly longer. 
CHAPTER 5: SETUP FOR PALM  51 

SCAN TEST 
SocketScan includes a Test feature that makes it easy to 
determine the symbology, number of characters, and decoded 
data (in either ASCII or Hex) of any bar code supported by the 
scanner. This is especially useful if you encounter a bar code that 
the scanner will not decode by default. 
1. In the main screen of SocketScan, tap Test. 
2. The Test Scan screen will appear. If desired, check the View 
as Hex box to view scanned data in hexadecimal format. 
Otherwise, data will appear as ASCII.  
3. Scan the bar code. You can either press the trigger button on 
the CHS, or press the Scan button on the screen. SocketScan 
will report the properties of the bar code. 
4. After you complete your testing, tap OK. 
52 

6 | SETUP FOR WINDOWS XP 
This chapter explains how to install and 
use the Cordless Hand Scanner (CHS) with 
a Bluetooth enabled computer running 
Windows XP or Windows XP Tablet 
Edition. 
Before you begin the instructions in this 
chapter, make sure you have installed the 
batteries (and tether, if desired), and 
charged the scanner, as described in 
Chapter 2, “Hardware Setup.” 
Setup Summary 
STEP 1: Uninstall other scanning software 
STEP 2: Install the software. 
STEP 3: Turn on the CHS. 
STEP 4: Start Bluetooth on your computer. 
STEP 5: Configure Bluetooth settings. 
STEP 6: Configure scanner settings 
STEP 7: Restart SocketScan. 
STEP 8: Connect computer to CHS. 
STEP 9: Open your application. 
STEP 10: Scan data into your application. 
Application Features 
Scanner settings. 
Advanced Bluetooth settings. 
Remote trigger button. 
Symbology selector 
Version information 
CHAPTER 6: SETUP FOR WINDOWS XP  53 

STEP 1: UNINSTALL OTHER SCANNING SOFTWARE 
Delete any bar code scanning software already installed in your 
computer, including previous versions of SocketScan.  
1. Make sure the software is closed.  
2. Click Start | Control Panel | Add or Remove Programs.  
3. Use the utility to delete the software. 
STEP 2: INSTALL THE SOFTWARE 
You must install SocketScan, but installing Connect!Agent is 
optional. Connect!Agent is only compatible with the IVT 
BlueSoleil, Toshiba and Microsoft XP SP2 Bluetooth stacks. 
Should I install Connect!Agent? 
Connect!Agent simplifies the Bluetooth setup and 
connection process. Once the CHS is turned on and 
SocketScan is running, Connect!Agent will automatically 
set up and manage the Bluetooth connection. It runs in the 
background and requires no interaction from the user. 
ADVANCED USERS: Refer to the README file for CAB installation 
instructions. 
54 

Software installation instructions 
1. Insert the installation CD into your host PC.  
2. Use My Computer or Windows Explorer to access your CD-
ROM drive. In the CD, click on SETUP.EXE. 
3. The SocketScan Setup Center will appear in your web 
browser. Read the first page and click Installation in the left 
margin. 
4. In the SocketScan Installation page, scroll down to the 
Windows XP, Windows XP Tablets section and click on the 
Install link there. 
CHAPTER 6: SETUP FOR WINDOWS XP  55 

5. Your web browser will present a series of dialogs. 
Internet Explorer: 
• In the File Download –Security Warning dialog, click Run. 
• In the second warning dialog, click Run. 
• Internet Explorer will download the file. 
Firefox: 
• In the file opening dialog, click Save File. 
• Firefox will download the file. 
• In the Downloads list, next to SocketScanCE.exe, click Open. 
• In the warning dialog, click OK to continue. 
6. The installation wizard will launch. Follow the wizard to 
install the software. 
7. If a screen reports that the product has not passed Windows 
logo testing, ignore and click Continue Anyway. 
56 

8. After software installation, icons for SocketScanXP and 
Socket CS Connect will appear on your desktop. 
9. If desired, install Connect!Agent by returning to the 
SocketScan Setup Center. In the Installation page, scroll down 
to the Connect!Agent section for Windows XP and click the 
Install link there. Download and install Connect!Agent just as 
you did for SocketScan. 
STEP 3: TURN ON THE CHS 
Press the small power button for five seconds, until you see 
the LED turn blue. The LED should blink blue once per second to 
show that the Bluetooth radio is on but not connected. 
STEP 4: START BLUETOOTH ON YOUR COMPUTER 
1. If you are using an add-on Bluetooth card or adapter, plug it into 
your computer. 
2. If you did not install Connect!Agent, turn on the Bluetooth radio. 
Please refer to the documentation that came with your computer’s 
Bluetooth hardware for instructions. 
3. If you did not install Connect!Agent, start your computer’s 
Bluetooth software. Please refer to the documentation that came 
with your Bluetooth software for instructions. 
CHAPTER 6: SETUP FOR WINDOWS XP  57 

STEP 5: CONFIGURE BLUETOOTH SETTINGS 
Skip this step if you installed Connect!Agent, which 
automatically configures the Bluetooth settings. Connect!Agent 
works only with the IVT and Microsoft stacks. 
If you will not be using Connect!Agent, follow the appropriate 
instructions for your Bluetooth stack. Configuration is only 
needed the first time you connect the CHS to your computer. 
SocketScan supports a generic Bluetooth COM port and may be 
able to connect to Bluetooth stacks on host mobile computers 
other than those listed. 
Refer to your Bluetooth software documentation for complete 
instructions. 
IVT BlueSoleil software: 
1. In BlueSoleil, click My Bluetooth | Security. Check the box 
Set Default Passkey and enter the default PIN 1234 in the 
field below. 
2. Double-click on the red ball to search for 
the Cordless Hand Scanner, which will 
appear as Socket CHS [xxxxxx].  
The characters in brackets are the last 6 characters of 
the scanner’s Bluetooth MAC address. 
58 

3. Double-click on the Socket CHS icon to begin the 
service discovery. After the Serial Port Service icon 
is highlighted at the top of the screen, right-click 
on the Serial Port Service icon and click Connect. 
4. BlueSoleil will ask whether you want to connect to 
the CHS automatically when Windows applications 
open the serial port. Click Yes. 
5. When the devices connect, the CHS will beep once, and 
the Bluetooth logo in the task tray will turn green. 
6. Click Tools | Configurations | Quick Connect. Choose a COM 
port assigned to SPP (Serial Port Profile) and click Assign. In 
the next screen, select the CHS and click OK. Remember 
which COM number you assigned to the CHS and click OK. 
CHAPTER 6: SETUP FOR WINDOWS XP  59 

Microsoft Windows XP Service Pack 2: 
1. Use the Add Bluetooth Device Wizard to discover and connect 
to the CHS. Click on the Bluetooth icon in the task tray. In the 
pop-up menu, click Add a Bluetooth Device. 
2. During the device discovery, the Cordless Hand Scanner will 
appear as Socket CHS [xxxxxx]  
The characters in brackets are the last 6 characters 
of the scanner’s Bluetooth MAC address. 
3. In the passkey options screen, select the option Use the 
passkey found in the documentation and enter the 
default PIN 1234.  
4. To indicate the connection, the CHS will beep once.  
5. In the last screen of the Add Bluetooth Device Wizard, note 
the COM number of the Outgoing COM port. 
60 

Toshiba Bluetooth Stack: 
These instructions are based on a Motion Computing tablet. 
1. Double-tap on the Bluetooth icon at the bottom of your 
screen. 
2. In Bluetooth Settings, tap New Connection at the bottom of 
the screen.  
3. The Add New Connection Wizard will launch. Select Custom 
Mode and tap Next. The tablet will begin searching for 
Bluetooth devices in range. 
4. In the list of found devices, select Socket CHS [xxxxxx]. Tap 
Next. 
5. If a passkey is requested, enter the default PIN 1234. Tap OK. 
To indicate the connection, the CHS will beep once. 
CHAPTER 6: SETUP FOR WINDOWS XP  61 

6. In the list of device services, select Serial Port. Tap Next. 
7. Note which COM port is assigned to the CHS. 
62 

Broadcom (Widcomm) Bluetooth Stack: 
1. Perform a Quick Connect to a Bluetooth Serial Port. Click the 
Bluetooth icon in the task tray. Click Quick Connect | 
Bluetooth Serial Port | Find Devices. 
It is essential to connect to the CHS via Quick Connect because 
this sets the CHS as your default Bluetooth serial device. 
2. During the device search, the CHS will appear as Socket CHS 
[xxxxxx]  
The characters in brackets are the last 6 characters of the 
scanner’s Bluetooth MAC address. 
3. If a passkey is requested, enter 1234. To indicate the 
connection, the CHS will beep once.  
By default, the Bluetooth software will ask you for the 
passkey each time you connect.  
To stop the automatic prompts, under Advanced 
Configuration, disable the Secure Connection requirement for 
both the Local Service and Client Application, then unpair the 
devices. Refer to the documentation for your Bluetooth 
hardware/software for complete instructions. 
CHAPTER 6: SETUP FOR WINDOWS XP  63 

STEP 6: CONFIGURE SCANNER SETTINGS 
1. Click the SocketScan icon   at the bottom of the screen. In 
the pop-up menu, click Settings. 
If the icon does not appear, click Start | Control Panel | 
SocketScanXP Settings. 
2. Tap on the CS tab. Enter the following settings: 
• Enable CS support: Check this box. IMPORTANT!!! 
• Enable ActivePairing: This feature is not compatible with 
the CHS. Do not check the box. 
• Bluetooth stack: Select Socket (Connect!Agent) if you 
want to use it. Otherwise, select your computer’s Bluetooth 
stack. The Connect!Agent option will only appear if you 
installed the Connect!Agent software. 
64 
• COM Port: Select the COM port number assigned to the 
CHS. This field will only appear for some Bluetooth stacks. 
• CS trigger operation: Select whether you want the CHS to 
scan only when a Bluetooth connection to the device is 
detected. If you select 
• Scan only when connected to host, scanning will be a 
few milliseconds slower. 
•  Good read indication on CS: Select how you would like 
the CHS to indicate that it has successfully read data. 
• Auto re-connect: Select the maximum number of attempts 
and time limit per attempt for the CHS to try to reconnect 
to your computer in case they are moved out of range from 
each other. 
• Battery Level: No progress bar should appear since you are 
not connected to the CHS. 
• Power management: The CHS automatically shuts off if 
there is no Bluetooth connection for 20 minutes. Check to 
disable. 
• Advanced: When the computer is connected to the CHS, 
you can modify the Bluetooth friendly name and security 
settings of the CHS. 
3. After entering settings, click OK to save the changes. 
4. If SocketScan is open, you will be prompted to exit and restart 
SocketScan. Click OK. Click on the SocketScan icon at the bottom 
of your screen and in the pop-up menu, click Exit. 
CHAPTER 6: SETUP FOR WINDOWS XP  65 

STEP 7: RESTART SOCKETSCAN 
Double-click on the SocketScanXP icon on your desktop. 
STEP 8: CONNECT COMPUTER TO CHS 
1. Right-click the SocketScan icon at the bottom of the screen and 
click Connect CS. 
If you installed Connect!Agent, it will automatically open the 
Bluetooth software and turn on the Bluetooth radio.  
After you configure the correct Bluetooth hardware settings 
in SocketScan, the Connect CS menu option allows you to 
connect to the CHS directly from SocketScan, instead of 
manually connecting via your Bluetooth software.  
The Connect CS option will not appear unless you checked 
the box Enable CS Support in the SocketScanXP settings. 
SocketScan cannot connect to the CHS if another device is 
assigned as your favorite/default Bluetooth serial device. 
66 

2. If you are using Connect!Agent, and this is your first time 
connecting, Connect!Agent will automatically begin searching 
for the CHS. After it finds the CHS, it will automatically 
configure the connection. 
3. SocketScan will connect the computer to the CHS, indicated by 
a beep and a status balloon. 
4. The task tray icon at the bottom of your screen will 
change to an image of a scanner to indicate that 
SocketScan is connected to the CHS. 
STEP 9: OPEN YOUR APPLICATION 
1. Start the application that you want SocketScan to feed 
scanned data into (e.g., Excel, Notepad, etc.). Make sure a 
document or spreadsheet is open.  
2. Place the cursor where you want data from the next scan to be 
entered. 
CHAPTER 6: SETUP FOR WINDOWS XP  67 

STEP 10: SCAN DATA INTO YOUR APPLICATION 
1. Start the Windows application that you want to enter scanned 
data into (e.g., Excel, Notepad, etc.). Make sure a document or 
spreadsheet is open.  
2. Place the cursor where you want data from the next scan to be 
entered. 
3. Press the trigger button and aim your finger at the bar code. 
The red scanner beam should cover the entire width of the 
bar code. See Chapter 1 for scanning tips. 
When data is read and sent to the mobile computing device, 
the scanner beam will turn off. Depending on your scanner 
settings, the scanner may beep and/or the CHS LED may flash 
green to indicate a good read. If no data is read in a few 
seconds, the laser will turn off, and you must try again. 
68 

4. After a successful scan, data should appear in your document. 
By default, the cursor automatically advances to the next cell 
or line, ready for the next scan. 
Wait for the “Good Scan” indication before you scan another 
bar code. If you try to scan too fast, the device can lock up 
until you stop scanning. 
SocketScan Auto-Reconnect 
If your computer suspends or the CHS is moved out of range, 
the connection will be lost. After the computer turns on again 
or returns in range, SocketScan will try to re-connect 
according to the “auto re-connect” settings you chose in 
SocketScan.  
After the time limit for re-connection attempts has 
passed, you can click on the Socket CS Connect icon 
on the desktop to manually initiate re-connection.  
DISCONNECTING 
To disconnect, click on the SocketScan icon. In the menu,  click 
Disconnect CS. 
Turning off the CHS 
To turn off the CHS, press the power button for at least 2 seconds, 
until the LED stops blinking. 
CHAPTER 6: SETUP FOR WINDOWS XP  69 

SCANNER SETTINGS  
You can configure these settings whether or not the CHS is 
connected to your computer.   
1. In SocketScanXP Settings, click on the General tab. 
2. Adjust any settings as desired: 
Good read notification sound:  
Select which sound you want your computer to use to indicate 
good readings of data. By default, your computer will beep. If 
you would like your computer to play a .WAV file, select Play 
a .WAV file and click Browse to indicate the file location. 
Prefix/Suffix: 
Enter any prefixes and/or suffixes you would like SocketScan to 
automatically add to scanned data (128 character max., printable 
ASCII characters only). By default, SocketScan will enter a carriage 
return after every data scan. 
3. After adjusting any settings, click OK. As prompted, exit and 
restart SocketScanXP to have your changes take effect. 
70 

ADVANCED BLUETOOTH SETTINGS 
The SocketScanXP utility enables you configure advanced Bluetooth 
settings of the CHS, including the Bluetooth friendly name and 
security settings. 
1. In SocketScanXP Settings, click on the CS tab. 
The Trigger and Barcodes tabs will only appear if 
you are connected to the CHS. 
2. At the bottom of the CS screen, the CHS battery level will be 
indicated by a status bar. Click Advanced. 
3. The CHS Advanced Settings screen will appear, reporting the 
current Bluetooth friendly name assigned to the CHS.  
4. If desired, select Friendly Name or Security and click Change. 
5. In the screen that appears, enter any changes and click OK. 
CHS Friendly Name: Enter a new friendly name and click OK. 
CHAPTER 6: SETUP FOR WINDOWS XP  71 

CHS Security Settings: Enter a PIN code and/or any 
authentication or encryption settings. If desired, click Delete 
Bonding to delete any bonding/pairing information in the CHS. 
After making any changes, click OK. 
6. If you modified any security settings, you will be prompted to turn 
your CHS off and back on to make the changes take effect. Read 
the message and click OK. Turn the CHS off and back on again. 
7. When you return to the CHS Advanced Settings screen, click 
Close. 
8. In the SocketScanXP Settings screen, click OK. 
9. Exit and restart SocketScanXP to have your changes take effect. 
72 

REMOTE TRIGGER BUTTON 
The SocketScanXP utility enables you to assign one of your 
computer’s function keys to trigger the CHS. 
1. In SocketScanXP Settings, click on the Trigger tab. 
The Trigger and Barcodes tabs will only appear if 
you are connected to the CHS. 
2. Select the function key you would like to use as a trigger key. 
Click OK. 
3. As prompted, exit and restart SocketScanXP to have your changes 
take effect. 
CHAPTER 6: SETUP FOR WINDOWS XP  73 

SYMBOLOGY SELECTOR 
The SocketScanXP utility makes it easy to modify which 
symbologies you want the scanner to recognize and decode. 
1. In SocketScanXP Settings, click on the Barcodes tab. 
The Trigger and Barcodes tabs will only appear if 
you are connected to the CHS. 
2. Check the symbologies you wish to enable. Uncheck those you 
wish to disable. Click OK. 
Enabling all possible symbologies will make the 
decode process slightly longer. 
3. As prompted, exit and restart SocketScanXP to have your changes 
take effect. 
74 

VERSION INFORMATION 
1. In SocketScanXP Settings, click on the About tab. 
2. View the SocketScan software version information. If the 
computer is connected to a CHS, the control panel applet (CPL) 
and CHS firmware version information will also be displayed. Click 
OK. 
To view the SocketScan software version, click on the 
SocketScan icon and in the menu, click About. 
CHAPTER 6: SETUP FOR WINDOWS XP  75 

APPENDIX A  
SPECIFICATIONS 
Physical Characteristics 
Size: 125l x 31h x 35w (mm)   4.9l x 1.2h x 1.4w (in.) 
Total Mass: approx. 90 g (0.2 lb) 
Power Source: Two AAA NiMH rechargeable batteries 
Expected Battery Life with Normal Operation (connected via 
Bluetooth and minimum 2,000 bar code scans): 8 hours  
Operating Temp: 32 to 120°F (0 to 50°C) 
Operating System Support:  
• Windows Mobile 2003, 2003SE, 5.0 
• Windows CE.NET for the Intermec CK30 
• Windows XP, XP Tablet Edition 
• Palm OS 5.2 and later 
For information about using the CHS with Symbian OS, please 
visit: www.socketmobile.com/products/bar-code-scanning-data-
collection/series7/ 
2005 Sunrise Date Compliant 
Scanning Characteristics 
Bar Code Symbologies Decoded:  
CHS 7E: Code 39, UPC/EAN/JAN, MSI, Code 128, Code 93, 
Codabar, I 2 of 5, D 2 of 5 
CHS 7M/7P: Code 39, UPC/EAN/JAN, MSI, Code 128, Code 93, 
Codabar, I 2 of 5, D 2 of 5, RSS-14, RSS Limited/Expanded 
Stacked, Chinese 2 of 5 
Scanner Type: 
  CHS 7E: CMOS linear imager 
  CHS 7M: Class 1 laser 
  CHS 7P: Class 2 laser 
Laser Scan Angle: 46.5° 
76  | APPENDIX A: SPECIFICATIONS 
Laser Scanner Performance:  
Scan Repetition Rate: 100 scans/sec (bi-directional) 
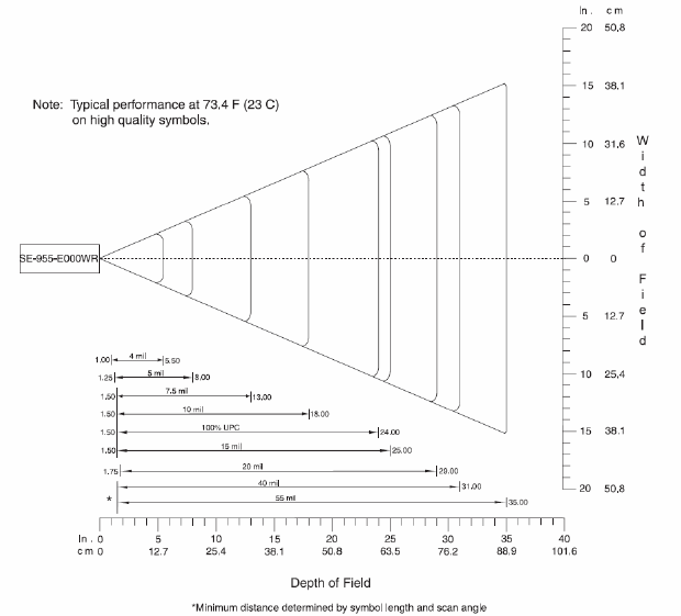
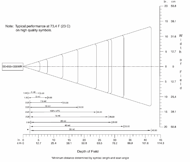
Decode Distance (depends on symbol size, symbology, label 
media, W-N Ratio, scan angle) 
  CHS 7E: 2.2 to 24 inches typical 
CHS 7M: 1.00 to 35.00 inches typical 
CHS 7P: 1.00 to 45.00 inches typical 
Bluetooth Characteristics 
Protocol: Bluetooth 2.45 GHz ISM band frequency hopping 
Antenna: Integrated  
Radio Range: Up to 330 ft (100 m), depending on environment 
Connection: Point-to-point    Security: Encrypted link 
RF Power: Class 1 radio; Typical Output: 12 dbm 
Bluetooth Stack Support 
• Socket Mobile Drakar 1.4 
• Broadcom (Widcomm) 1.5 or greater for Windows Mobile 
2003/2003SE 
• Broadcom (Widcomm) 1.7 or greater for Windows Mobile 5.0 
• Broadcom (Widcomm) Bluetooth stack for Windows XP 
• IVT BlueSoleil 1.6.1.4 or greater 
• Microsoft Bluetooth stack for Windows Mobile 
• Microsoft Windows XP SP 2 
• Palm Bluetooth Stack 
• Toshiba Bluetooth stack 3.0 or greater 
Certification/Compliance 
FCC: Part 15, Class B  CE: EN55024:1998  
C-TICK: s.182  Bluetooth 1.1 
TELEC  Bluetooth QD ID B0164000 
ETS 300 328  ETS 300 826 
About Bluetooth Range 
The Cordless Hand Scanner features a powerful Class 1 Bluetooth 
radio to provide the maximum possible range. As with all 
wireless technologies, the connection range can vary widely 
depending on many factors such as the brand and placement of 
the host device, the type and size of physical obstacles and the 
presence and activity level of competing radio transmissions. 
In range testing of the CHS while connected to a variety of 
typical host devices with Class 2 radios, functional connection 
APPENDIX A: SPECIFICATIONS  77 
distances from 18 to over 100 feet have been experienced 
depending on the environment.  The following conditions 
appear to reduce the Bluetooth connection range: 
• The presence of soft, absorbent materials such as paper, 
fiberglass insulation, foam material in office cubical walls, 
carpeting and, to a lesser extent, even sheetrock and wood 
construction materials.  Hard materials such as concrete 
increase the range. 
• Human bodies or containers of liquid positioned between the 
host and the CHS. 
• The presence and activity level of competing Bluetooth or 
802.11 (Wi-Fi) systems using the same 2.4 GHz frequency. 
• Metal in a grid pattern, such as chain link fencing or chicken 
wire. This type of material may block the Bluetooth (or Wi-Fi) 
signal completely. 
78  | APPENDIX A: SPECIFICATIONS 

APPENDIX B  
SAFETY AND USAGE TIPS 
About Bluetooth and Health 
Bluetooth wireless technology allows you to use short-range 
radio signals to connect a variety of devices, such as bar code 
scanners, mobile phones, Pocket PCs, notebook computers, 
printers, LAN access points, and many other devices at home or 
work. These radio signals replace the cables that have 
traditionally connected these devices. 
Bluetooth products have small radio transmitters and receivers. 
Output power is normally very low, only 15.75 mW. This gives a 
working range of approximately 10 meters. 
The maximum exposure levels from Bluetooth products are far 
below recommended safety guidelines. At most, typical 
Bluetooth devices (15.75 mW) reach only one percent of the 
prescribed safety levels. 
Product Care 
• Do not expose your product to liquid, moisture or extreme 
humidity.  
• Do not expose your product to extreme high or low 
temperatures. 
• Do not expose your product to lit candles, cigarettes, or cigars, 
or to open flames, etc. 
• Do not drop, throw or try to bend the product, as rough 
treatment could damage it. 
• Do not paint your product, as the paint could obstruct parts 
and prevent normal use. 
• Do not attempt to disassemble your product: a broken 
warranty seal will void the warranty. The product does not 
contain consumer serviceable components. Should your CHS 
need service, please contact Socket Mobile technical support 
at: www.socketmobile.com/support/support/new 
• Treat your product with care. Keep in a clean and dust-free 
place. 
APPENDIX B: SAFETY AND USAGE TIPS  79 

• Changes or modifications of this product, not expressly 
approved by Socket Mobile, may void the user’s authority to 
operate the equipment. 
Antenna Care 
Do not place a metallic shield around the Cordless Hand Scanner 
since it will reduce the radio transmission efficiency. 
Efficient Use 
For optimum performance, please make sure that there is no 
metal surrounding your Cordless Hand Scanner. 
Driving 
RF energy may affect some electronic systems in motor vehicles, 
such as car stereo, safety equipment, etc. Check with your vehicle 
manufacturer to be sure that the Cordless Hand Scanner will not 
affect the vehicle’s electronics. 
Aircraft 
• Turn off your Cordless Hand Scanner before boarding any 
aircraft. 
• To prevent interference with communications systems, you 
must not use your Cordless Hand Scanner while the plane is in 
the air. 
• Do not use it on the ground without permission from the 
crew. 
Radio Frequency Exposure 
Your Cordless Hand Scanner contains a radio transmitter and 
receiver. When in operation, it communicates with a Bluetooth 
enabled mobile computer by receiving and transmitting radio 
frequency (RF) magnetic fields in the frequency range 2400 to 
2483.5 MHz. The output power of the radio transmitter is 15.75 
mW. The Cordless Hand Scanner is designed to be in compliance 
with the RF exposure limits set by national authorities and 
international health agencies1 when installed or used separately 
from other antennas or radio transmitters. 
1 Examples of RF exposure standards and guidelines: 
ICNIRP, “Guidelines for limiting exposure to time-varying electric, magnetic, and 
electromagnetic fields (up to 300 GHz)”, International Commission on Non-
Ionizing Radiation Protection (ICNIRP), Health Physics, vol. 74, pp 494-533, April 
1998. 
80 

99/519/EC, EU Council Recommendation on the limitation of exposure to the 
general public to electromagnetic fields 0 Hz – 300 GHz, Official Journal of the 
European Communities, July 12, 1999. 
ANSI/IEEE C95.1-1992, “Safety levels with respect to human exposure to radio 
frequency electromagnetic fields, 3 kHz to 300 GHz”, The Institute of Electrical and 
Electronics Engineers, Inc., New York, 1991. 
FCC Report and Order, ET Docket 93-62, FCC 96-326, Federal Communications 
Commission (FCC), August 1996. 
Radiocommunications (Electromagnetic Radiation Human Exposure) Standard 
1999, Australian Communications Authority (ACA), May 1999. 
APPENDIX B: SAFETY AND USAGE TIPS  81 
APPENDIX C  
BAR CODE LABEL SPECIFICATIONS 
All bar code symbols/labels should satisfy the appropriate AIM 
Uniform Symbology Specification. 
Background Substrate: 
The bar code symbol should be printed on material (media) that 
is reflective and has a matte (not glossy) finish.  A background 
diffuse reflectance of at least 70% to 80% is desirable for 
optimum contrast.  Retro-reflective media should be used to 
obtain decode distances greater than 36 inches. 
Ink Color and Type: 
The inked bars should not exceed 25% reflectance at the 
wavelength that is being used for reading, whether printed with 
black ink or colored ink.  The reflectance value should not vary 
more than 5% within the same character. 
Voids and Specks: 
The code should be printed clearly, free of voids, specks, 
blemishes and lines that could “fool” the scanner.  Specks or 
blemishes in the white spaces, or false or missing bar sections 
could be interpreted by the reading equipment as part of the 
code.  Generally, the width of such flaws is more serious than the 
height.  Code symbols/ labels should be rejected if these defects 
are present. 
Definition: 
The bars in the bar code symbol should be well defined.  Their 
edges should not be rough or fuzzy, so that the bars and spaces 
have the proper widths intended for the bar code symbology 
used. 
Contrast: 
Background reflectance (that of the substrate on which the codes 
are printed) should always provide a good contrast relative to 
the ink reflectance (that of the code bars).  The difference 
between the two should be at least 37.5% at the wavelength 
used for reading. 
82 | APPENDIX C: BAR CODE LABEL SPECIFICATIONS 
Tolerance: 
The ratio of the widths of bars and spaces in a bar code symbol 
must conform to the appropriate AIM bar code specifications and 
can cause problems if not correct throughout the bar code.  
Problems can occur when bar edges are smeared or rough, or 
when they exhibit voids. 
APPENDIX C: BAR CODE LABEL SPECIFICATIONS  83 

APPENDIX D  
ENABLING OR DISABLING SYMBOLOGIES 
The CHS is pre-set to automatically detect and decode (auto-
discriminate) the most common bar code symbologies. To enable 
or disable symbologies, use the SocketScan Symbology Selector. 
Notes: 
• The length of some symbologies will change after Symbology 
Selector is used. See Table 1. 
• Enabling more symbologies will make the scanner work harder 
to search through more possible combinations, making the 
decoding process slightly longer. 
• The advanced symbology parameters listed in Table 2 can only be 
modified with the SocketScan Advanced Programming Guide or 
SocketScan SDK. Check the Socket Mobile website for updates. 
Table 1. Default Symbologies 
Symbology Scanner 
Default 
Default 
Length 
Length after 
Symbology 
Selector
UPC/EAN/JAN 
UPC-A Enabled N/A N/A 
UPC-E Enabled N/A N/A 
UPC-E1 Disabled N/A N/A 
EAN-8 Enabled N/A N/A 
EAN-13 Enabled N/A N/A 
Code 128 (USS-128 & UCC/EAN 128) Enabled Any  Any 
Code 39* 
Code 39  Enabled  2 to 23  2 to 55 
Trioptic Code 39  Enabled  2 to 23  2 to 55 
Code 39 Full ASCII  Disabled  2 to 23  2 to 55 
Code 93  Disabled  2 to 38  2 to 55 
Interleaved 2 of 5*  Enabled  14 Only  2 to 55 
Discrete 2 of 5*  Disabled  12 Only  2 to 55 
Codabar  Disabled  5 to 55  2 to 55 
MSI Plessey*  Disabled  1 to 30  2 to 55 
RSS-14 (Standard, Limited, Expanded)  Disabled N/A  N/A 
*Warning: Setting the length to “Any” may lead to inaccurate decodes of these symbologies. 
84 

Table 2. Other Symbology Parameters 
Symbology Parameters Scanner Default 
UPC/EAN/JAN   
Supplementals Disabled 
Transmit Check Digit  Enabled 
Bookland EAN  Disabled 
Decode UPC/EAN Supplementals  Ignore 
UPC/EAN Supplemental Redundancy  Seven 
Transmit UPC-A Check Digit  Enabled 
Transmit UPC-E Check Digit  Enabled 
Transmit UPC-E1 Check Digit  Enabled 
Convert UPC-E to A  Disabled 
Convert UPC-E1 to A  Disabled 
EAN-8 Zero Extend  Disabled 
UPC/EAN Security Level  0 
UPC/EAN Coupon Code  Disabled 
Code 39   
Convert Code 39 to Code 32  Disabled 
Code 32 Prefix  Disabled 
Check Digit Verification  Disabled 
Transmit Check Digit  Disabled 
Code 39 Full ASCII  Disabled 
Interleaved 2 of 5   
Check Digit Verification  Disabled 
Transmit Check Digit  Disabled 
Convert I 2 of 5 to EAN-13  Disabled 
RSS-14  Disabled 
RSS-14 Limited  Disabled 
RSS-14 Expanded  Disabled 
APPENDIX D: ENABLING/DISABLING SYMBOLOGIES  85 

APPENDIX E  
DECODE ZONE 
The decode zones for the Cordless Hand Scanner are shown 
below.  The minimum element width (“X Dimension” or bar code 
“size”) is the width in thousandths of an inch (mils) of the 
narrowest element (bar or space) in the symbol.  The figures 
shown are the typical scanning distances (depths of field) for 
selected bar code sizes.  The maximum usable length of a bar 
code symbol (Width of Field) at any given range is also shown. 
CHS 7E 
86 | APPENDIX E: DECODE ZONE 

CHS 7M 
APPENDIX E: DECODE ZONE  87 

CHS 7P 
88 | APPENDIX E: DECODE ZONE 

APPENDIX F  
TROUBLESHOOTING 
For help on SocketScan, tap Start | Help on a Pocket PC, or tap on 
the   icon on a Palm device. 
SYMPTOM: I get the “No Scanner Detected”   icon in the task 
tray of my Windows-based mobile computer and can’t trigger 
the laser or scan any bar codes. 
POSSIBLE REASON  SOLUTION 
Your mobile computer is not 
connected to the Cordless Hand 
Scanner. 
Make sure the Cordless Hand 
Scanner is on and in range and 
has enough battery power. Try 
to reconnect. 
SYMPTOM: When I try to scan, the laser activates, but no data 
appears on my screen, and the laser eventually turns off. 
POSSIBLE REASON  SOLUTION 
The scanner is too close or too 
far from the bar code. 
Practice so you get accustomed 
the most effective distance and 
scanning angle. 
The bar code is incorrectly 
formatted or poorly printed. 
Try scanning a bar code that is 
correctly formatted or printed 
well, such as on a retail package. 
The bar code symbology may 
be disabled or not supported by 
the Cordless Hand Scanner. 
Use Scan Demo for Windows 
Mobile or the Test screen for 
Palm OS to identify the 
symbology. If needed, enable 
the symbology by using 
Symbology Selector for Windows 
Mobile or the Symbology screen 
for Palm OS.  
You don’t have an application 
open to scan data into. 
Open an application, such as 
Excel, and place the cursor 
where you want scanned data to 
go. Try scanning again. 
APPENDIX F: TROUBLESHOOTING  89 

SYMPTOM: When I scan a lot of bar codes very fast, the scanner 
locks up and won’t work for a few seconds. 
POSSIBLE REASONS  SOLUTION 
You are scanning too fast for 
the Error Proof Protocol to 
confirm that the mobile 
computer has successfully 
received each scan of data. 
Wait for the confirmation beep 
after each scan before you scan 
a new bar code. You may need 
to re-scan data that was not 
correctly received by the mobile 
computer. 
SYMPTOM:  My mobile computer cannot find the Cordless Hand 
Scanner, and/or I get an error message saying that there are 
connection problems. 
POSSIBLE REASONS  SOLUTION 
You are too far from the 
Cordless Hand Scanner.  
Move the devices closer 
together, within a range of 10-
15 meters. 
The Cordless Hand Scanner is 
not turned on. 
Turn on the Cordless Hand 
Scanner. 
You have assigned another 
device as your favorite or 
default Bluetooth serial device. 
Remove any settings that assign 
another device as your favorite 
Bluetooth serial device. 
You are using an XP system 
without Connect!Agent, and 
you did not start the Bluetooth 
software. 
Start the Bluetooth software. 
The Bluetooth radio of your 
mobile computer is not turned 
on. 
Turn on the Bluetooth radio of 
your mobile computer. 
90 | APPENDIX F TROUBLESHOOTING 

SYMPTOM: While scanning with the CHS, I turned off the 
Pocket PC, or my Pocket PC entered suspend mode. Now my 
Pocket PC won’t turn on again. 
POSSIBLE REASONS  SOLUTION 
This is a known problem with 
the Widcomm stack (built into 
HP h221X iPAQ Pocket PCs with 
ROM version 1.00). 
Soft reset the Pocket PC by 
pressing the reset button. 
SYMPTOM: My Pocket PC shows an error message saying that 
there are insufficient device resources. 
POSSIBLE REASONS  SOLUTION 
Some HP iPAQ Pocket PCs are 
not compatible with the 
Cordless Hand Scanner. 
The CHS will not work with your 
Pocket PC at this time. 
SYMPTOM: Connect!Agent has found multiple CHS devices, and 
I don’t know which one to choose. 
POSSIBLE REASONS  SOLUTION 
This is your first time using 
Connect!Agent to connect to a 
CHS, and Connect!Agent has 
found multiple CHS devices 
using the default name. 
Turn off the CHS device(s) you 
do not want to connect to. Tap 
Refresh. Connect!Agent will 
connect to and save information 
about your CHS to exclusively 
connect to it in the future. If you 
are using SocketScan XP, you can 
use the SocketScan settings 
utility to change the Bluetooth 
friendly name of your CHS. 
APPENDIX F: TROUBLESHOOTING  91 

SYMPTOM: While scanning with the CHS, I turned off the 
Pocket PC, or my Pocket PC entered suspend mode. Now the CHS 
won’t reconnect to my Pocket PC. 
POSSIBLE REASONS  SOLUTION 
There is a problem with the 
Widcomm stack on some Pocket 
PCs where the CHS can be 
discovered but fails to 
communicate. Affected units 
include the HP iPAQ models 
h221X with ROM version 1.10 
and h1945. 
Soft reset the Pocket PC by 
pressing the reset button. 
92 | APPENDIX F TROUBLESHOOTING 

APPENDIX G  
TECHNICAL SUPPORT 
Socket Mobile Online Support (SOS) 
SOS is a virtual technical support assistant that can help you with 
your product support questions or FAQs. SOS responds 
immediately to your inquiry, and no product registration is 
required to use the system. 
To access SOS, please visit: www.socketmobile.com/support/faq/
Technical Support 
If you have trouble installing or using the CHS, contact the 
Socket Mobile technical support department for assistance. 
IMPORTANT! To obtain technical support, you must first 
register your product online at 
www.socketmobile.com/support/support/new
After you register your product, log in and click on the Technical 
Support tab. Click Create New Ticket to submit an online 
request for technical support. Afterwards, you can log in anytime 
to monitor the status of your request. If we are unable to resolve 
your support inquiry online, we can arrange for a technical 
support representative to call you at a specific time. 
.
APPENDIX G: TECHNICAL SUPPORT | 93 

LIMITED WARRANTY 
Socket Communications Incorporated dba Socket Mobile Incorporated 
(Socket Mobile) warrants this product against defects in material and 
workmanship, under normal use and service, for one (1) year from the 
date of purchase. 
EXCLUDES: Consumables such as batteries, removable cables, cases, 
straps, chargers, and CF-to-PC Card adapters (90 day coverage only)   
An extended warranty is available separately for the Cordless Hand 
Scanner. For more information, please visit: 
www.socketmobile.com/support
Incompatibility is not a defect covered by the Socket Mobile warranty. 
During the warranty period, Socket Mobile will, at its option, repair or 
replace the defective product at no charge when furnished with proof 
of retail purchase, provided that you deliver the product to Socket 
Mobile or to an authorized Socket Mobile Service Center. 
The returned product must be accompanied by a return material 
authorization (RMA) number issued by Socket Mobile or by a Socket 
Mobile Service Center. If you ship the product, you must use the original 
container or equivalent and you must pay the shipping charges to 
Socket Mobile. Socket Mobile will pay surface shipping charges back to 
any location in the contiguous United States. This warranty applies only 
to the original retail purchaser and is not transferable. 
Socket Mobile may, at its option, replace or repair the product with new 
or reconditioned parts and the returned product becomes property of 
Socket Mobile. Socket Mobile warrants the repaired or replaced 
products to be free from defects in material or workmanship for ninety 
(90) days after the return shipping date, or for the remainder of the 
original warranty period, whichever is greater. 
This warranty does not cover the replacement of products damaged by 
abuse, accident, misuse or misapplication, nor as a result of service or 
modification other than by Socket Mobile. This warranty is void if you 
install batteries into the product that were not supplied by Socket 
Mobile. 
SOCKET MOBILE IS NOT RESPONSIBLE FOR INCIDENTAL OR 
CONSEQUENTIAL DAMAGES RESULTING FROM BREACH OF ANY EXPRESS 
OR IMPLIED WARRANTY, INCLUDING DAMAGE TO PROPERTY AND, TO 
THE EXTENT PERMITTED BY LAW, DAMAGES FOR PERSONAL INJURY. 
THIS WARRANTY IS IN LIEU OF ALL OTHER WARRANTIES INCLUDING 
IMPLIED WARRANTIES OF MERCHANTABILITY AND FITNESS FOR A 
PARTICULAR PURPOSE. 
94 

Some states do not allow limitation of implied warranties, or the 
exclusion or limitation of incidental or consequential damages, so that 
the above limitations or exclusions may not apply to you. This warranty 
gives you specific legal rights and you may also have other rights which 
vary from state to state. 
This product may contain fully tested, recycled parts, warranted as if 
new. 
For warranty information, please visit: www.socketmobile.com/support
DISCLAIMER 
EXCEPT TO THE EXTENT EXPRESSLY WARRANTED BY SOCKET 
COMMUNICATIONS, INC, DBA SOCKET MOBILE, INC, THIS PRODUCT IS 
PROVIDED "AS IS" WITHOUT WARRANTY OF ANY KIND, EXPRESS OR 
IMPLIED, INCLUDING WITHOUT LIMITATION, THE IMPLIED WARRANTIES 
OF MERCHANTABILITY OR FITNESS FOR A PARTICULAR PURPOSE.  
EXCEPT TO THE EXTENT REQUIRED BY LAW, SOCKET MOBILE DOES NOT 
ASSUME ANY PRODUCT LIABILITY ARISING OUT OF, OR IN CONNECTION 
WITH, THE APPLICATION OR USE OF ANY PRODUCT OR APPLICATION 
DESCRIBED HEREIN. 
95 
LIMITED SOFTWARE WARRANTY 
LIMITED WARRANTY. SOCKET MOBILE warrants that the original disk or 
CD ROM is free from defects for 90 days from the date of delivery of the 
SOFTWARE. 
CUSTOMER REMEDIES. SOCKET MOBILE’S entire liability and your 
exclusive remedy shall be, at SOCKET MOBILE’S option, either (a) return 
of the price paid or (b) replacement of the SOFTWARE which does not 
meet SOCKET MOBILE’S Limited Warranty and which is returned to 
SOCKET MOBILE with a copy of your receipt. Any replacement 
SOFTWARE will be warranted for the remainder of the original warranty 
period or 30 days, whichever is longer. THESE REMEDIES ARE NOT 
AVAILABLE OUTSIDE OF THE UNITED STATES OF AMERICA. 
NO OTHER WARRANTIES. SOCKET MOBILE disclaims all other warranties, 
either express or implied, including but not limited to implied 
warranties of merchantability and fitness for a particular purpose, with 
respect to the SOFTWARE and the accompanying written materials. This 
limited warranty gives you specific legal rights. You may have others 
which vary from state to state. 
NO LIABILITY FOR CONSEQUENTIAL DAMAGES. In no event shall SOCKET 
MOBILE or its suppliers be liable for any damages whatsoever (including, 
without limitation, damages for loss of business profits, business 
interruption, loss of business information, or other pecuniary loss) 
arising out of the use of or inability to use the SOFTWARE, even if 
SOCKET MOBILE has been advised of the possibility of such damages. 
Because some states do not allow the exclusion or limitation of liability 
for consequential or incidental damages, the above limitation may not 
apply to you. 
EXPORT LAW ASSURANCES. You may not use or otherwise export or 
reexport the SOFTWARE except as authorized by United States law and 
laws of the jurisdiction in which the SOFTWARE was obtained. In 
particular, but without limitation, none of the SOFTWARE may be used 
or otherwise exported or reexported (a) into (or to a national or 
resident of) a United States embargoed country or (b) to anyone on the 
U.S. Treasury Department’s list of Specially Designated Nationals or the 
U.S. Department of Commerce’s Table of Denial Orders. By using the 
SOFTWARE, you represent and warrant that you are not located in, 
under control of, or a national or resident of any such country or on any 
such list. 
GOVERNMENT END USERS. If the SOFTWARE is supplied to the U. S. 
Government, the SOFTWARE is classified as “restricted computer 
software” as defined in clause 52.227-19 of the FAR. The U. S. 
96 
Government ‘s rights to the SOFTWARE are as provided in clause 52.227-
19 of the FAR. 
CONTROLLING LAW AND SEVERABILITY. This License shall be 
governed by the laws of the United States and the State of 
California. If for any reason a court of competent jurisdiction 
finds any provision, or portion thereof, to be unenforceable, the 
remainder of this License shall continue in full force and effect. 
97 

 REGULATORY COMPLIANCE 
The Socket Mobile Cordless Hand Scanner is designed to be 
compliant with the rules and regulations in locations where they 
are sold and will be labeled as required. This product is type 
approved — users are not required to obtain license or 
authorization before using. 
This product has been certified as conforming to technological 
standards. Therefore, the following actions are punishable by law: 
• Disassembly or modification of this product 
• Removal of identification labels on the back of the product 
The frequency used by this product is also used by industrial, 
scientific and medical devices, such as microwave ovens, as well 
as wireless detectors for motion detectors, such as those 
requiring licenses used on manufacturing lines or similar radio 
transmitters (all of these wireless devices will be called “other 
wireless transmitters” below). Most modern electronic 
equipment (e.g., in hospitals and cars), is shielded from RF 
energy. However, certain electronic equipment is not. 
1. Please ensure that all medical devices used in proximity to this 
device meet appropriate susceptibility specifications for this 
type of RF energy. 
2. In the unlikely event that there is electronic interference 
between this system and other wireless transmitters, quickly 
change the location of operation or stop operating the unit 
(cease signal transmission). 
3. If other electrical interference or related problems occur, 
contact Socket Mobile technical support at 
www.socketmobile.com/support/support 
Radio Frequency Interference Requirements 
This device complies with part 15 of the FCC rules and Industry 
Canada. Operation is subject to the following conditions: (1) This 
device may not cause harmful interference, and (2) this device 
must accept any interference received, including interference 
that may cause undesired operation. 
This equipment is also ETS EN300 328-2, ETS EN301 489-1 and ETS 
EN301 489-17 compliant. These limits are designed to provide 
reasonable protection against harmful interference when the 
equipment is operated in a commercial environment. 
98 

This equipment generates, uses, and can radiate radio frequency 
energy and, if not installed and used in accordance with the 
instruction manual, may cause harmful interference to radio 
communications. Operation of this equipment in a residential 
area is likely to cause harmful interference, in which case the 
user will be required to correct the interference at his or her own 
expense.  
This equipment generates and radiates radio-frequency energy. 
To comply with FCC RF exposure compliance requirements, the 
following antenna installation and device operating 
configurations must be satisfied: (1) Users are not permitted to 
make changes or modify the system in any way, and (2) 
connecting external antennas to the Cordless Hand Scanner is 
prohibited. This device and its antenna must not be co-located or 
operated with any other antenna or transmitter. 
To comply with Industry Canada RF exposure compliance 
requirements, the following antenna installation and device 
operating configurations must be satisfied: “The installer of this 
radio equipment must ensure that the antenna is located or 
pointed such that it does not emit RF field in excess of Health 
Canada limits for the general population; consult Safety Code 6, 
available at Health Canada’s website www.hc-
sc.gc.ca/ehp/ehd/catalogue/rpb.htm” 
If this equipment does cause harmful interference to radio or 
television reception, which can be determined by turning the 
equipment off and on, the user may try to correct the 
interference by one or more of the following measures: 
•  Reorient or relocate the receiving antenna of the radio or 
television. 
•  Increase the distance separating the equipment and the 
receiver. 
•  Connect the equipment to an outlet on a different branch 
circuit than that of the receiver. 
•  Consult the dealer or an experienced radio/TV technician for 
help. 
The user may find the following booklet helpful: How to Identify 
and Resolve Radio-TV Interference Problems. This booklet is 
available from the U.S. Government Printing Office, Washington, 
D.C. 20402. 
99 

Canada Certification 
The marking of “IC:2394A-CHS1” on the device means: “2394A-
CHS1” is the certification number, and the term “IC’ before the 
equipment certification number only signifies that Industry 
Canada technical specifications were met. 
Radio Frequency Interference Requirements – Canada 
This Class B digital apparatus meets the requirements of the 
Canadian Interference-Causing Equipment Regulations.  Cet 
appareil numérique de la Classe B respecte toutes les exigencies 
du Reglement sur le Matériel Brouilleur du Canada. 
CE Marking & European Union Compliance 
Products intended for sale within the European Union are 
marked with a CE Mark which indicates compliance to applicable 
Directives and European Normes (EN), as follows.  Amendments 
to these Directives or ENs are included: Normes (EN), as follows: 
Applicable Directives: 
• Radio and Telecommunications Terminal Equipment Directive 
1999/5/EC 
• Low Voltage Directive 73/23/EEC 
Applicable Standards: 
• EN 55 022 – Limits and Methods of Measurement of Radio 
Interference Characteristics of Information Technology 
Equipment. 
• EN 50 082-1 – Electromagnetic Compatibility – General 
Immunity Standard, Part 1: Residential, Commercial, Light 
Industry. 
• IEC 801.2 – Electromagnetic Compatibility for Industrial 
Process Measurement and Control Equipment, Part 2: 
Electrostatic Discharge Requirements. 
• IEC 801.3 – Electromagnetic Compatibility for Industrial 
Process Measurement and Control Equipment, Part 3: 
Radiated Electromagnetic Field Requirements. 
• IEC 801.4 - Electromagnetic Compatibility for Industrial Process 
Measurement and Control Equipment, Part 4: Electrical Fast 
Transients Requirements 
LASER DEVICE: 
The Socket Mobile Cordless Hand Scanner 7M and 7P described 
in this User Guide contain a Symbol SE955 laser scan engine. 
100 

For the Class 1 version of this engine (CHS 7M), the 
following applies: 
• “Complies with 21CFR1040.10 and 1040.11 except for deviations 
pursuant to Laser Notice No. 50, dated July 26, 2001.“ 
•  “Class 1 Laser devices are not considered to be hazardous when 
used for their intended purpose. The following statement is 
required to comply with US and international regulations: 
Caution: Use of controls, adjustments or performance of 
procedures other than those specified herein may result in 
hazardous laser light exposure.” 
A label such as the one below should appear on the end product.  
Example of Class 1 Laser Warning Label 
For the Class 2 version of this engine (CHS 7P), the 
following applies: 
• “Complies with 21CFR1040.10 and 1040.11 except for deviations 
pursuant to Laser Notice No. 50, dated July 26, 2001.” 
• “Caution: Use of controls, adjustments or performance of 
procedures other than those specified herein may result in 
hazardous laser light exposure. 
• Class 2 laser scanners use a low power, visible light diode. As 
with any very bright light source, such as the sun, the user 
should avoid staring directly into the light beam. Momentary 
exposure to a Class 2 laser is not known to be harmful.” 
101 

A label such as the one below should appear on the end product.  
Example of Class 2 Laser Warning Label 
Battery Warning: 
• Your device contains a rechargeable NiMH battery. Never 
throw the battery into a fire, as that could cause the battery 
to explode.   
• Never short-circuit the battery by bringing the terminals in 
contact with another metal object.  This could cause personal 
injury or a fire, and could also damage the battery. 
• Never dispose of used battery with other ordinary solid 
wastes.  Batteries contain toxic substances.    
• Dispose of used battery in accordance with the prevailing 
community regulations that apply to the disposal of batteries.  
Cover the metal terminals with insulating tape.  (This is to 
prevent accidental short-circuiting). 
• Never expose the battery to any liquid. 
• Always keep the battery out of reach of infants or small 
children. 
• Never shock the battery by dropping it or throwing it. 
• Dispose of a spent or damaged battery promptly. 
Product Disposal 
Your device should not be placed in municipal waste. 
Please check local regulations for disposal of 
electronic products. 
102 
1/2008  Printed in U.S.A.