TAIYO YUDEN WYSAAVDX7 Wireless LAN Module User Manual Ver 2

Taiyo Yuden Co., Ltd. Wireless LAN Module Ver 2

Contents

user manual (S)Ver 2

TABLE OF CONTENTS                 REF 9515-TBD-50-ENG Rev E   S4 12 LEAD TELEMETRY TRANSMITTER USER MANUAL                          Manufactured by Mortara Instrument, Inc., Milwaukee, Wisconsin  U.S.A.  CAUTION:  Federal law restricts this device to sale by or on the order of a physician.
                  Copyright © 2013 by Mortara Instrument, Inc. 7865 N. 86th Street Milwaukee, Wisconsin  53224    This document contains confidential information that belongs to Mortara Instrument, Inc.  No part of this document may be transmitted, reproduced, used, or disclosed outside of the receiving organization without the express written consent of Mortara Instrument, Inc.    Mortara is a registered trademark of Mortara Instrument, Inc.  S4™ and VERITAS™ are trademarks of Mortara Instrument, Inc.    All other trademarks and registered trademarks are the property of their respective owners.
 i TABLE OF CONTENTS  1. GENERAL STATEMENTS ....................................................................................................................... 1TECHNICALSUPPORTANDSERVICE.....................................................................................................................................12. NOTICES .................................................................................................................................................. 2MANUFACTURER’SRESPONSIBILITY....................................................................................................................................2RESPONSIBILITYOFTHECUSTOMER....................................................................................................................................2EQUIPMENTIDENTIFICATION.............................................................................................................................................2COPYRIGHTANDTRADEMARKNOTICES...............................................................................................................................2OTHERIMPORTANTINFORMATION.....................................................................................................................................23. WARRANTY INFORMATION ................................................................................................................... 34. USER SAFETY INFORMATION .............................................................................................................. 4SAFETYREGULATIONS......................................................................................................................................................4WARNINGS....................................................................................................................................................................4Power Warnings............................................................................................................................................5Accessories, Cables, and External Connections Warnings...................................................6Use with Electro Surgery Devices Warnings.................................................................................6ECG Warnings................................................................................................................................................6CAUTIONS.....................................................................................................................................................................85. EQUIPMENT SYMBOLS AND MARKINGS ............................................................................................ 9SYMBOLDELINEATION.....................................................................................................................................................9PRECAUTIONS..............................................................................................................................................................10INSPECTIONPRIORTOCLINICALUSE.................................................................................................................................10CLEANING...................................................................................................................................................................11MAINTENANCE.............................................................................................................................................................12BATTERYLIFEANDCHARGETIME.....................................................................................................................................13DECOMMISSIONINGANDDISPOSAL..................................................................................................................................137. ELECTROMAGNETIC COMPATABILITY (EMC) ................................................................................. 14USAANDCANADARADIOREGULATIONS..........................................................................................................................188. INTRODUCTION ..................................................................................................................................... 19GENERALINFORMATION................................................................................................................................................19INDICATIONSFORUSE...................................................................................................................................................19CONTRAINDICATIONS.....................................................................................................................................................19SYSTEMDESCRIPTION....................................................................................................................................................20FrontView............................................................................................................................................................20CARRYING POUCH ................................................................................................................................... 21TIE-ON POUCH .......................................................................................................................................... 21STICK-ON POUCH 9. UNPACKING AND SET UP ................................................................................... 219. UNPACKING AND SET UP ................................................................................................................... 22CHECKINGCONTENTS....................................................................................................................................................22
 TABLE OF CONTENTS  ii 10. OPERATION ......................................................................................................................................... 23TURNINGTHES4ON.....................................................................................................................................................23CONNECTINGS4TOTHESURVEYORCENTRALSTATION........................................................................................................2410. STARTING A MONITORING SESSION .............................................................................................. 3311. PATIENT PREPARATION FOR QUALITY ECG ................................................................................. 35OVERVIEW..................................................................................................................................................................35QUALITYECGDATAACQUISITION...................................................................................................................................35SKINPREPARATION.......................................................................................................................................................36ELECTRODEPLACEMENT.................................................................................................................................................3613. PATIENT ELECTRODE HOOK UP...................................................................................................... 37Pacemaker Patients.................................................................................................................................37ELECTRODELOCATIONSFOR12LEADECG........................................................................................................................37Using the LeadForm 12-lead Cable..................................................................................................39CHECKINGECGELECTRODEANDLEADWIRESIGNALQUALITY..............................................................................................4014. PRODUCT SPECIFICATIONS ............................................................................................................. 41GENERALSPECIFICATIONS..............................................................................................................................................41ENVIRONMENTALCONDITIONS........................................................................................................................................41POWERREQUIREMENTS&BATTERY.................................................................................................................................41DISPLAYSPECIFICATIONS................................................................................................................................................42ECG..........................................................................................................................................................................4215. TROUBLESHOOTING ......................................................................................................................... 44POWERANDBATTERY....................................................................................................................................................44DISPLAYANDTOUCHSCREEN..........................................................................................................................................44ECGTRACE.................................................................................................................................................................4416. ACCESSORIES .................................................................................................................................... 45* TECHNICAL SERVICE INSTALLATION REQUIRED....................................................................................................45** THIS ITEM IS INTENDED FOR SINGLE PATIENT USE. IT IS WARRANTED TO BE FREE OF DEFECTS IN WORKMANSHIP AND MATERIALS FOR A PERIOD OF 90 DAYS OR FIRST USE, WHICHEVER COMES FIRST...............................................4517. APPLICABLE STANDARDS ............................................................................................................... 46
 1 1. GENERAL STATEMENTS  Technical Support and Service  Headquarters  Mortara Instrument, Inc. 7865 North 86th Street Milwaukee, WI  53224 U.S.A. Tel: 414.354.1600 Tel:   800.231.7437 Fax: 414.354.4760 Internet: http://www.mortara.com   European Union Representative  Mortara Rangoni Europe, Srl (European Headquarters) Via Cimarosa 103/105 40033 Casalecchio di Reno (BO) Italy Tel:   +39.051.298.7811 Fax:   +39.051.613.3582   Service/Technical Support Group  Mortara Instrument, Inc. 7865 North 86th Street Milwaukee, WI  53224 U.S.A. Tel:   414.354.1600 Service: 888.MORTARA    (888.667.8272) Fax: 414.354.4760 E-mail: techsupport@mortara.com  24-hour Technical Support Same-day Shipment of Replacement Parts Biomedical Training Classes Extended Warranties/Service Contracts   Sales Support/ Supplies & Accessories  Mortara Instrument, Inc. 7865 North 86th Street Milwaukee, WI  53224 U.S.A. Tel:   414.354.1600 Fax:   414.354.4760 E-mail:   sales@mortara.com  Mortara Instrument Germany Bonifaciusring 15 45309 Essen Germany Tel:   +49.201.18 55 69 70 Fax:   +49.201.18 55 69 77  Mortara Instrument Netherlands Postbus 324 5680 AH Best Industrieweg 160b 5683 CG Best Netherlands Tel:   +31.499.377310 Fax:   +31.499.377908  Mortara Instrument Australia PO Box 7568 Baulkham Hills NSW 2153 Unit 28, 9 Hoyle Avenue Castle Hill NSW 2154 Australia Tel:  +61 2 8070 9303 Fax:  +61 2 9899 9478  Mortara Dolby UK Ltd. Units 11 & 12, Scion House Stirling University Innovation Park Stirling FK9 4NF Scotland Tel: +44.1786.444980 Fax: +44.1786.446630
 2 2. NOTICES  Manufacturer’s Responsibility  Mortara Instrument, Inc. is responsible for the effects on safety and performance of the telemetry transmitter, as indicated by the   label, only if article 2 of 93/42/EEC directive is applied, in particular: •  WARNING:  System installation and assembly operations, extensions, readjustments, modifications or repairs are carried out by personnel authorized by Mortara Instrument, Inc. only. • The telemetry transmitter is used in accordance with the instructions for use. • The telemetry transmitter is correctly maintained according to the standards authorized by Mortara Instrument, Inc. using original spare parts. • The telemetry transmitter is used with original accessories and supplies that are in compliance with the standard specifications described in this manual. • The electrical installation of the relevant room complies with the requirements of appropriate regulations.  Responsibility of the Customer  The user of this telemetry transmitter is responsible for ensuring the implementation of a satisfactory maintenance schedule.  Failure to do so may cause undue failure and possible health hazards.  This manual must be kept in a safe place to prevent its deterioration and/or alteration.  The user and Mortara Instrument, Inc. authorized personnel must have access to this manual at any time. The user of this telemetry transmitter must periodically check the accessories, their functionality and integrity.  Equipment Identification  Mortara Instrument, Inc. equipment is identified by a serial and reference number on the back of the telemetry transmitter.  Care should be taken so that these numbers are not defaced.  Copyright and Trademark Notices  This document contains information that is protected by copyright.  All rights are reserved.  No part of this  document may be photocopied, reproduced, or translated into another language without prior written consent of Mortara Instrument, Inc.  Other Important Information  The information in this document is subject to change without notice.  Mortara Instrument, Inc. makes no warranty of any kind with regard to this material including, but not limited to, implied warranties of merchantability and fitness for a particular purpose.  Mortara Instrument, Inc. assumes no responsibility for any errors or omissions that may appear in this document.  Mortara Instrument, Inc. makes no commitment to update or to keep current the information contained in this document.
 3 3. WARRANTY INFORMATION  MORTARA INSTRUMENT, INC. (hereafter referred to as “Mortara”) warrants that components within Mortara products (hereafter referred to as “Product/s”) will be free from defects in workmanship and materials for the number of years specified on documentation accompanying the product, or previously agreed to by the purchaser and Mortara, or if not otherwise noted, for a period of twelve (12) months from the date of shipment.  Consumable, disposable or single use products such are warranted to be free from defects in workmanship and materials for a period of 90 days from the date of shipment or the date of first use, whichever is sooner.   Reusable product such as, but not limited to, BATTERIES, PATIENT CABLES, LEAD WIRES, MAGNETIC STORAGE MEDIUMS, CARRY CASES or MOUNTS, are warranted to be free from defects in workmanship and materials for a period of 90 days. This warranty does not apply to damage to the Product/s caused by any or all of the following circumstances or conditions:  a) Freight damage;  b) Supplies, accessories and internal parts NOT approved by Mortara;  c) Misapplication, misuse, abuse, and/or failure to follow the Product/s instruction sheets and/or information guides;  d) Accident;   e) A disaster affecting the Product/s;  f) Alterations and/or modifications to the Product/s not authorized by Mortara;  g) Other events outside of Mortara’s reasonable control or not arising under normal operating conditions.  THE REMEDY UNDER THIS WARRANTY IS LIMITED TO THE REPAIR OR REPLACEMENT WITHOUT CHARGE FOR LABOR OR MATERIALS, OR ANY PRODUCT/S FOUND UPON EXAMINATION BY MORTARA TO HAVE BEEN DEFECTIVE.  This remedy shall be conditioned upon receipt of notice by Mortara of any alleged defects promptly after discovery thereof within the warranty period.  Mortara’s obligations under the foregoing warranty will further be conditioned upon the assumption by the purchaser of the Product/s (i) of all carrier charges with respect to any Product/s returned to Mortara’s principal place or any other place as specifically designated by Mortara or an authorized distributor or representative of Mortara, and (ii) all risk of loss in transit.  It is expressly agreed that the liability of Mortara is limited and that Mortara does not function as an insurer.  A purchaser of a Product/s, by its acceptance and purchase thereof, acknowledges and agrees that Mortara is not liable for loss, harm, or damage due directly or indirectly to an occurrence or consequence there from relating to the Product/s.  If Mortara should be found liable to anyone under any theory (except the expressed warranty set forth herein) for loss, harm, or damage, the liability of Mortara shall be limited to the lesser of the actual loss, harm, or damage, or the original purchase price of the Product/s when sold.  EXCEPT AS SET FORTH HEREIN WITH RESPECT TO REIMBURSEMENT OF LABOR CHARGES, A PURCHASER’S SOLE EXCLUSIVE REMEDY AGAINST MORTARA FOR CLAIMS RELATING TO THE PRODUCT/S FOR ANY AND ALL LOSSES AND DAMAGES RESULTING FROM ANY CAUSE SHALL BE THE REPAIR OR REPLACEMENT OF DEFECTIVE PRODUCT/S TO THE EXTENT THAT THE DEFECT IS NOTICED AND MORTARA IS NOTIFIED WITHIN THE WARRANTY PERIOD.  IN NO EVENT, INCLUDING THE CLAIM FOR NEGLIGENCE, SHALL MORTARA BE LIABLE FOR INCIDENTAL, SPECIAL, OR CONSEQUENTIAL DAMAGES, OR FOR ANY OTHER LOSS, DAMAGE, OR EXPENSE OF  ANY KIND, INCLUDING LOSS OF PROFITS, WHETHER UNDER TORT, NEGLIGENCE OR STRICT LIABILITY THEORIES OF LAW, OR OTHERWISE.  THIS WARRANTY IS EXPRESSLY IN LIEU OF ANY OTHER WARRANTIES, EXPRESS OR IMPLIED, INCLUDING, BUT NOT LIMITED TO THE IMPLIED WARRANTY OF MERCHANTABILITY AND THE WARRANTY OF FITNESS FOR A PARTICULAR PURPOSE.
 4 4. USER SAFETY INFORMATION   Warning: Means there is the possibility of personal injury to you or others.  Caution: Means there is the possibility of damage to the telemetry transmitter. Note: Provides information to further assist in the use of the telemetry transmitter.  NOTE:  This manual may contain screen shots and pictures.  Any screen shots and pictures are provided for reference only and are not intended to convey actual operating techniques.  Consult the actual screen in the host language for specific wording.  Safety Regulations  • S4 is a medical telemetry transmitter. • S4 and its accessories are   labeled, according to applicable standards.  • S4 with all accessories that have a physical or logical connection with it, forms part of a Medical Electrical System.   • S4 complies with various safety and performance regulations as mentioned in this manual (Applied Standards).   Warnings  • This manual gives important information about the use and safety of this telemetry transmitter.  Deviating from operating procedures, misuse or misapplication of the telemetry transmitter, or ignoring specifications and recommendations could result in increased risk of harm to users, patients and bystanders, or damage to the telemetry transmitter.  •  Users are expected to be licensed clinical professionals knowledgeable about medical procedures and patient care, and adequately trained in the use of this telemetry transmitter.  Telemetry transmitter captures and presents data reflecting a patient’s physiological condition that when reviewed by a trained physician or clinician can be useful in determining a diagnosis; however, the data should not be used as a sole means for determining a patient’s diagnosis.  • Before attempting to use this device for clinical applications, the operator must read and understand the contents of the user manual and other accompanying documents.  Inadequate knowledge or training could result in increased risk of harm to users, patients and bystanders, or damage to the telemetry transmitter.  Contact Mortara Technical Service for additional training options.  • Operation of the equipment beyond its specified ranges, or beyond normal physiological conditions of human subjects, may cause inaccurate results.  • To ensure the safety of both the patient and the device, 1.5 meters (5’) of open area should surround the patient.  •  A possible explosion hazard exists.  Do not use the device in the presence of a flammable anesthetic mixture.  Do not mount any part of the device closer than 25 cm from outlets of flammable gases, including oxygen.    • For proper operation and the safety of users or patients and bystanders, equipment and accessories must be connected only as described in this manual.
  5  • Repairs and modification must be made by authorized and trained technical personnel.  Unauthorized modifications and repairs will void the S4 warranty and may pose a danger to patients and users.  • If additional devices beyond S4 are connected to the patient, leakage currents through the patient might add up and should be accounted for.  • The S4, as all medical equipment or systems, needs special precautions regarding EMC and needs to be installed and put into service according to the EMC information provided in the installation procedure in order to obtain a sufficient degree of immunity as well as not to create disturbance to other equipment.  Refer to the specific EMC instructions in this manual.  • The quality of the signal produced by the device may be adversely affected by the use of other medical equipment, including but not limited to electrosurgery and ultrasound machines.  Do not use the system in the presence of imaging equipment such as magnetic resonance imaging (MRI) and tomography systems.    Simultaneous operation may damage the device or lead to erroneous results.  • Portable and mobile RF communications equipment may affect medical electrical equipment or systems as  well as the S4 and its accessories.  Do not operate the S4 near high frequency emissions (e.g. microwaves).  • Various alarm conditions arising at the Central Station require operator to adjust alarm configurations individualized according to patient condition and demographics.    • A telemetry transmitter is not intended to replace clinical assessments.  It is important that a qualified individual regularly supervise the patient.   Power Warnings  • Only use the Mortara-provided external battery charger and adapter with the S4.  Ensure that the power adapter is connected to a properly grounded power terminal and the electrical installation complies with local safety requirements for the environment where it is used.  •  To ensure that electrical safety is maintained during operation from AC power, the S4 external power adapter must be plugged into a hospital-grade outlet. • Regularly check all cables for damage and proper connection.  Do not use equipment with a damaged cable.  • The S4 contains an internal battery. The following precautions should be taken regarding the battery:  o Do not immerse the device in water. o Do not heat or throw the device in fire. o Do not leave the in conditions over 60 ºC or in a heated car. o Do not attempt to crush or drop the device.  o Only use the approved batteries with the S4 monitor. o Follow the instructions in the disposal section of this manual when the S4 is taken out of service.  • The S4 battery must be initially fully charged prior to use.    • The S4 screen initially turns on when batteries are installed, remove the S4 from service and contact Mortara Technical Support if the screen does not activate when new or fully charged batteries are initially installed.  • Always remove the batteries after completing operating the telemetry transmitter. Always place rechargeable batteries in the battery charger when not in use. This ensures that the batteries are recharged for the next time the telemetry transmitter is operated.
  6  Accessories, Cables, and External Connections Warnings  • The S4 telemetry transmitter is designed to meet applicable specifications when using Mortara-approved patient cables and accessories.  Use of non-approved cables and accessories may result in reduced performance and may pose possible patient and user safety concerns.  •  It is the user’s responsibility to use only approved supplies, accessories and internal parts available through Mortara Instrument, Inc.  Product performance and patient safety require the use of supplies, accessories and internal parts that comply with applicable standards.  To maintain designed operator and patient safety, peripheral equipment and accessories used that can come in direct patient contact must be in compliance with applicable standards as appropriate to the telemetry transmitter.  Additionally, cables and accessories must comply with all EMC regulations.  In Europe, cables and accessories should bear the CE Mark. Only use parts and accessories supplied with the telemetry transmitter and available through Mortara Instrument, Inc.  • Do not use excessive force on any of the connection cables and handle all accessories with care.    • Proper clinical procedure must be employed to prep the electrode and sensor sites and to monitor the patient for excessive skin irritation, inflammation, or other adverse reactions. Electrodes and other sensors are intended for short-term use and should be removed from the patient promptly following use.  • Conductive parts of the ECG patient cables, electrodes, and associated connections of type CF applied parts, including the neutral conductor of the patient cable and electrode should not come into contact with other conductive parts including earth ground.    •  To avoid the possibility of serious injury or death during patient defibrillation, do not come into contact with telemetry transmitter or patient cables.  Additionally, proper placement of defibrillator paddles in relation to the ECG electrodes is required to minimize harm to the patient.    • Mortara-approved manufacturers of accessories provide separate user manuals (e.g., patient cables, electrodes, etc.).  Read these manuals thoroughly and refer to them for specific functions.  It is recommended to keep all manuals together.  • To maintain safety and effectiveness, ECG electrodes and reusable sensors and must not be used beyond their expiration date or useful life.  • All accessories including cables, connectors and other patient-applied parts supplied with the S4 do NOT contain any Latex.  If the patient develops an allergic reaction or rashes, immediately remove the accessory and inform Mortara Technical Support.   Use with Electro Surgery Devices Warnings  Do not use the S4 while ESU is actively used on a patient. The S4 may not render an ECG while an ESU is being actively used on the connected patient.  ECG Warnings  • Excessive patient movement could interfere with the operation of the system.  • Proper patient preparation is important to proper application of ECG electrodes and operation of the telemetry transmitter.
  7 • ECG electrodes could cause skin irritation; patients should be examined for signs of irritation or inflammation.  • 12-lead ECGs acquired through S4 will normally use a modified lead system with the limb electrodes positioned on the torso.  Although this is a generally accepted practice (e.g., in stress testing), the different electrode positions can cause morphology changes on the ECG, thus influencing their interpretation.  Most frequently seen differences are a vertical and rightward axis shift, minor changes of evidence of old inferior infarction and changes in the T-wave in the limb leads.  It is recommended that you place the electrodes as close as possible to the normal limb positions avoiding the possibility of causing artifact.  The right arm and left arm electrodes should be placed on the clavicles as close as possible to the arms.  The left leg electrode should be placed as close as possible to the left leg without subjecting it to the possibility of motion artifact.  • During periods of lead fail and when a reduced lead set is used for the S4 telemetry transmitter, 12-lead ECG interpretation cannot be reliably used in determining a diagnosis.   
  8   Cautions  • Cleaning must be performed with the system turned off.  Let all parts dry well before turning the power  back on.    • Prevent liquids from penetrating the system, components, and transmitters.  Do not spray the system with liquid cleaning agents.  If liquids have penetrated the system, open by authorized personnel for inspection and let dry completely.  •  Do not attempt to clean the telemetry transmitter or patient cables by submersing into a liquid, autoclaving, or steam cleaning as this may damage equipment or reduce its usable life.  Wipe the exterior surfaces with a warm water and mild detergent solution and then dry with a clean cloth.  Use of unspecified cleaning/disinfecting agents, failure to follow recommended procedures, or contact with unspecified materials could result in increased risk of harm to users, patients and bystanders, or damage to the telemetry transmitter.  • No user-serviceable parts inside.  Screw removal by authorized service personnel only.  Damaged or suspected inoperative equipment must be immediately removed from use and must be checked/repaired by authorized service personnel prior to continued use.  •  The S4 accommodates (3) consumable or (1) rechargeable internal battery. If the battery appears to become defective, refer to Mortara Technical Support.  •  Do not pull or stretch patient cables as this could result in mechanical and/or electrical failures.  When not in use, patient cables can be stored.  Keep patient cables should be stored off of the floor away from bedrails and wheels to avoid cable damage.  Roll the patient cables into a loose loop prior to hanging for storage.  • When necessary, dispose of the telemetry transmitter, its components and accessories (e.g., batteries, cables, electrodes), and/or packing materials in accordance with local regulations.  • Do not connect the telemetry transmitter to any unauthorized third-party accessories.  This may cause inaccurate measurements or harm the patient.  Installation and connection to data networks must be performed by properly trained personnel, authorized by Mortara.  • Check that all operating and environment conditions such as ambient temperature meet the specifications of the S4.  • Do not exert excessive pressure on the touch panel LCD.  Excessive pressure may permanently damage the display.  • During MRI scanning, the module must be placed outside the MRI suite.   • The device is ETL listed:   ETL-Listed device in the USA and Canada.  • Upon request, Mortara can supply a Service Manual that includes additional calibration and test instructions as well as list of spare parts and accessories that must be used with the S4 telemetry transmitter.
  9 5. EQUIPMENT SYMBOLS AND MARKINGS  Symbol Delineation   Indicates compliance to applicable European Union directives   Do not dispose as unsorted municipal waste.  Per European Union Directive 2002/96, requires separate handling for waste disposal according to national requirements IPX4 Indicates device has been tested for safety from vertically dripping water; specifically, it indicates DRIP PROOF, a higher than ordinary level of protection from drips, leaks, and spills  Defibrillator-proof type CF applied part  Caution  Consult accompanying documents  Catalog number for relevant Mortara part  Serial number  This end up  Keep away from sunlight  Fragile, handle with care  Keep dry  Storage temperature range  Nurse Call  (waiting for final black and white artwork)   SN
  10 6. GENERAL CARE  Precautions  • Power off the telemetry transmitter before inspecting or cleaning. • Protect the telemetry transmitter from liquids.   • Never immerse the telemetry transmitter in water. • Do not drop the telemetry transmitter or subject to shock and/or vibration. • Do not use organic solvents, ammonia-based solutions, or abrasive cleaning agents that may damage equipment surfaces.  Inspection Prior to Clinical Use  Inspect your equipment prior to clinical operation.  Do not use the equipment and contact an authorized service representative for servicing if there are concerns about integrity of the system.  • Verify that all cables and connectors are securely seated.  • Check the case and chassis for any visible damage.  • Inspect keys and controls for proper function and appearance.  • Check for visually well balanced screen images.  • Inspect patient accessories for any visual damage.  • Patient input connector - Verify the pins on the patient input connector are all present and are not bent or damaged in any way. The recessed area for the patient connector should be free from debris and clean. Use compressed air to remove any debris that has entered into the connector area.  • Display – Verify there are no deep scratches or physical damage to the device display. Inspect the display bezel to ensure it is firmly adhered to the device housing. Contact Mortara technical support if the display or display bezel require replacement.  • Battery Door – Verify the battery door can be easily removed and that the spring contacts compress and decompress with minimal force applied. Inspect the plastic door assembly for signs of excessive wear or cracking, including the door seal to prevent fluid ingress. Replace the battery door assembly if necessary.  • Battery Compartment – Inspect the battery spring contacts and the battery door latching mechanism for signs of excessive wear. If the battery compartment has been damaged, contact Mortara technical support for assistance.  • Device Labeling – Inspect the device labeling for signs of wear and legibility. If the labeling is no longer clear and legible, contact Mortara technical support for assistance.    Warning:   Servicing of this device should only be performed by Mortara authorized service personnel.
  11  Preventive Maintenance Schedule:  Maintenance to be Performed  Period  Notes Clean, disinfect and visually inspect unit  6 months  Perform every 3 months if unit is in heavy use.  Equipment needed:   • Clean lint free cloth • Mild detergent • Luke warm water  Cleaning  The following section provides information on proper cleaning directions for the S4 telemetry transmitter and patient accessories. Accessories should be cleaned before they are applied to a new patient. The telemetry transmitter should be cleaned as per facility standard of care.  Before cleaning, please refer to the cautions listed below.   Warning:   • Remove the batteries from the device before inspecting or cleaning. • Do not immerse the device in water or other fluids. • Do not drop the device or subject it to shock and/or vibration. • Do not use organic solvents, ammonia-based solutions, or abrasive cleaning agents which may damage equipment surfaces.  Clean the exterior surface of the device with a damp, soft, lint-free cloth using a solution of mild detergent diluted in water.  After cleaning thoroughly dry off the device with a clean, soft cloth or paper towel.   Disinfecting   Warning:   • Be careful not to use an excessive amount of disinfecting solution that could lead to fluid entering the device. Fluid ingress may cause irreparable damage to the internal circuitry.  • To disinfect the device, wipe the exterior surface with a damp, soft, lint-free cloth using a solution of 10% Household bleach and water (Sodium Hypochlorite solution consisting of a minimum 1:500 dilution and maximum of 1:10 dilution). Dry off the device with a clean, soft cloth or a paper towel.   CAUTION:  Always disconnect the S4 telemetry transmitter from power source before cleaning.
  12  CAUTION:  Do not use harsh chemicals for cleaning.  Do not use disinfectants that contain phenol as they can spot plastics.  Do not steam autoclave, gas sterilize, irradiate, subject to intense vacuum, or immerse in water or cleaning solution.  Be careful to avoid getting cleaning liquids into connectors or the telemetry transmitter.  If this occurs, allow the telemetry transmitter to dry in warm air for 2 hours, then check to make sure all monitoring functions are working properly.   CAUTION:  Keep the patient accessories off of the floor.  Accessories that fall on the floor should be inspected for defects, contamination, proper functionality, and cleaned or discarded according to the approved recommendations.   CAUTION:  The user has the responsibility to validate any deviations from the recommended method of cleaning and disinfection.    Maintenance  The following table shows the recommended maintenance procedures for the S4 telemetry transmitter and its accessories. The S4 telemetry transmitters should be serviced once a year by a Mortara authorized service technician.  However, it is good practice to periodically ensure the telemetry transmitter is in proper working order.  Perform these checks at least every 12 months by a qualified biomedical engineer or other trained service personnel.  To accomplish these steps in their entirety and verify the correct operation of the system, appropriate patient simulators or other equipment may be required.   Refer to the service manual for further details.  Functionality  Procedure Mechanical Integrity  Check for cracks, abrasive edges and other signs of damage. ECG / Respiration  • Connect ECG leads to Patient Simulator. • Verify proper heart rate at 30 and 300 bpm (+/- 2 bpm or +/- 1%). • Verify 1 mV test pulse (Lead II). • Verify proper respiration rate at 15 and 120 bpm (+/- 3 bpm).    Functionality  Procedure Touch screen Display   Approved Cleaning Agents • Clean the touch screen with a soft cloth moistened with either a solution of 70% isopropyl alcohol in distilled water or soapy water.  Do not spray cleaner directly onto the touch screen.  Spray the cleaner onto a lint-free cloth and then wipe the monitor.  To clean the touch screen display,  1. Select the Settings sidebar button.  2. Select the Administrative menu. 3. Select the Screen Cleaning mode.  This action disables the monitor’s touch screen for 15 seconds for cleaning purposes.  After the 15 seconds expires, the touch screen controls are reactivated.
  13 ECG Cables  Approved Cleaning Agents • Enzymatic detergent such as ENZOL (US) or CIDEZYME  (outside the US) • Distilled water • Disinfectant solution (such as CIDEX OPA, or a 10% solution of household bleach  (5.25% sodium hypochlorite) in distilled water) • Soft, lint-free cloths and/or soft-bristled brushes • Protective gloves and eyewear  Procedure 1. Disconnect the telemetry transmitter from its power source. 2. Put on gloves and protective eyewear. 3. Prepare the enzymatic detergent according to the manufacturer's instructions, and also the disinfectant solution, in separate containers. 4. Apply detergent to product using a soft, lint-free cloth.  If material is dried on, allow to sit for 1 minute.  Do not immerse cable ends or lead wires in liquid as it can cause corrosion.   5. Wipe smooth surfaces with the cloth. 6. Use a soft-bristle brush on visibly soiled areas and irregular surfaces.  7. Remove detergent from product using cloth dampened in distilled water. 8. Repeat as necessary. 9. Apply disinfectant solution on affected area using a soft cloth.  Allow product to sit for 5 minutes. 10. Wipe excess solution and clean product again with cloth dampened in distilled water.   11. Allow 2 hours for drying.   Battery Life and Charge Time  Battery Life  1. With a new, fully charged rechargeable battery pack installed, the device shall operate for a minimum of 32 hours.   2. When a fresh set of single-use alkaline (3) batteries are installed, the device shall operate for a minimum of 12 hours.   CAUTION:  The battery should be removed from the telemetry transmitter completing each clinical use. The battery may need to be replaced if it is no longer holding a charge.     WARNING:  Use only APPROVED BATTERIES as listed in the Accessories section.  Use of unapproved batteries may cause a hazard and will void the warranty.   CAUTION:  Batteries should only be replaced by a trained user.    Decommissioning and Disposal  Dispose of the telemetry transmitter, its components and accessories (e.g., batteries, cables, electrodes), and/or packing materials in accordance with local regulations.  Do NOT incinerate or throw the battery in garbage.
  14  7. ELECTROMAGNETIC COMPATABILITY (EMC)  When using the telemetry transmitter, assess the electromagnetic environment affected by surrounding devices.  An electronic device may either generate or receive electromagnetic interference.  Testing for electromagnetic compatibility (EMC) has been performed on the telemetry transmitter according to the applicable international standards.   The telemetry transmitter should not be used adjacent to or stacked with other equipment.  If the telemetry transmitter is used in this manner, verify the telemetry transmitter operates in an acceptable manner in the configuration in which it will be used.  Fixed, portable, and mobile radio frequency communications equipment may affect the performance of medical equipment.  See Table X-4 for recommended separation distances between the radio equipment and the telemetry transmitter.  The use of accessories, transducers, and cables other than those specified by Mortara Instrument may result in increased emissions or decreased immunity of the equipment.
  15 Table X-1 Guidance and Manufacturer’s Declaration:  Electromagnetic Emissions  The equipment is intended for use in the electromagnetic environment specified in the table below.  The customer or the user of the equipment should ensure that it is used in such an environment.  Emissions Test Compliance Electromagnetic Environment:  Guidance RF Emissions  CISPR 11  Group 1  The S4 telemetry transmitter uses RF energy only for its internal function.  Therefore, its RF emissions are very low and not likely to cause any interference in nearby electronic equipment. RF Emissions  CISPR 11  Class A  The S4 telemetry transmitter is suitable for use in all establishments other than domestic and those directly connected to the public low-voltage power supply network that supplies buildings used for domestic purposes. Harmonic Emissions IEC 61000-3-2  Not Applicable Voltage Fluctuations/ Flicker Emissions IEC 61000-3-3 Not Applicable  Table X-2 Guidance and Manufacturer’s Declaration:  Electromagnetic Immunity  The equipment is intended for use in the electromagnetic environment specified in the table below.  The customer or the user of the equipment should ensure that it is used in such an environment.  Immunity Test IEC 60601 Test Level Compliance Level Electromagnetic Environment:  Guidance Electrostatic discharge (ESD) EN 61000-4-2 +/- 6 kV contact +/- 8 kV air  +/- 6 kV contact +/- 8 kV air  Floors should be wood, concrete, or ceramic tile.  If floors are covered with synthetic material, the relative humidity should be at least 30%. Electrical fast transient/burst EN 61000-4-4 +/- 2 kV for power supply lines +/- 1 kV for input/output lines +/- 2 kV for power supply lines +/- 1 kV for input/output lines Mains power quality should be that of a typical commercial or hospital environment. Surge IEC 61000-4-5  +/- 1 kV differential mode +/- 2 kV common mode  +/- 1 kV differential mode +/- 2 kV common mode Mains power quality should be that of a typical commercial or hospital environment. Voltage fluctuations and  Interruptions <5% UT for 0.5 cycles 40% UT for 5 cycles 70% UT for 25 cycles <5% UT for 5s <5% UT for 0.5 cycles 40% UT for 5 cycles 70% UT for 25 cycles <5% UT for 5s Note that monitoring is interrupted at the level “< 5% UT for 5s”, but equipment remains safe (as specified in  EN 60601-1-2). Power frequency (50/60 Hz) magnetic field IEC 61000-4-8 3 A/m  3 A/m  Power frequency magnetic fields should be at levels characteristic of a typical location in a typical commercial or hospital environment.  NOTE:  UT is the AC Mains voltage prior to application of the test level.
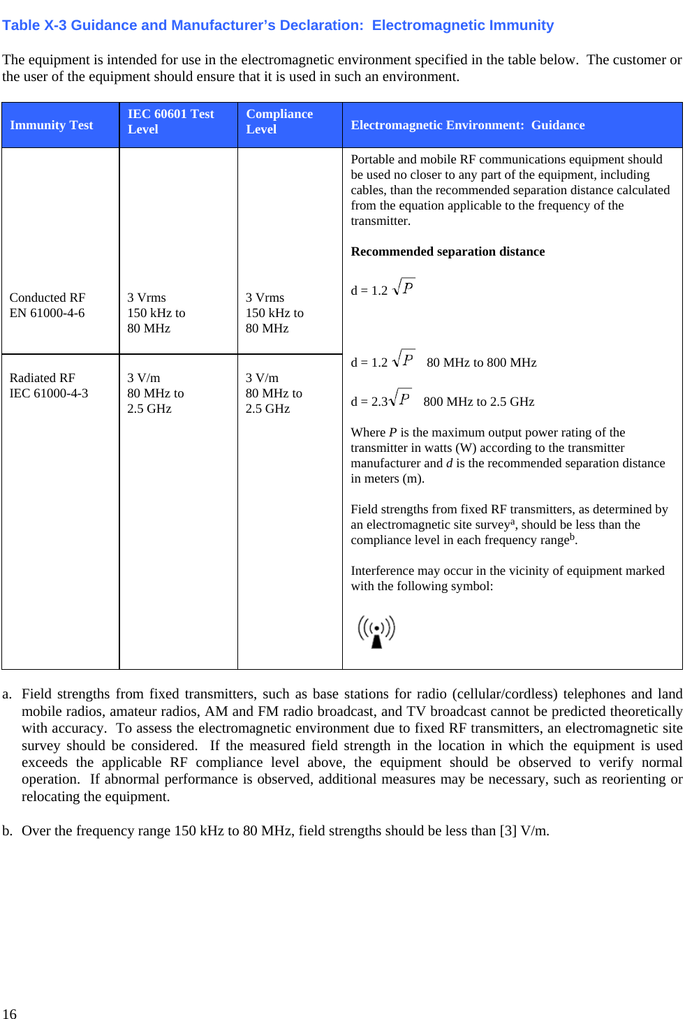
  16 Table X-3 Guidance and Manufacturer’s Declaration:  Electromagnetic Immunity  The equipment is intended for use in the electromagnetic environment specified in the table below.  The customer or the user of the equipment should ensure that it is used in such an environment.  Immunity Test IEC 60601 Test Level Compliance Level Electromagnetic Environment:  Guidance          Conducted RF EN 61000-4-6          3 Vrms 150 kHz to 80 MHz          3 Vrms 150 kHz to 80 MHz Portable and mobile RF communications equipment should be used no closer to any part of the equipment, including cables, than the recommended separation distance calculated from the equation applicable to the frequency of the transmitter.  Recommended separation distance  d = 1.2      d = 1.2     80 MHz to 800 MHz  d = 2.3    800 MHz to 2.5 GHz  Where P is the maximum output power rating of the transmitter in watts (W) according to the transmitter manufacturer and d is the recommended separation distance in meters (m).  Field strengths from fixed RF transmitters, as determined by an electromagnetic site surveya, should be less than the compliance level in each frequency rangeb.  Interference may occur in the vicinity of equipment marked with the following symbol:    Radiated RF IEC 61000-4-3  3 V/m 80 MHz to 2.5 GHz  3 V/m 80 MHz to 2.5 GHz  a.  Field strengths from fixed transmitters, such as base stations for radio (cellular/cordless) telephones and land mobile radios, amateur radios, AM and FM radio broadcast, and TV broadcast cannot be predicted theoretically with accuracy.  To assess the electromagnetic environment due to fixed RF transmitters, an electromagnetic site survey should be considered.  If the measured field strength in the location in which the equipment is used exceeds the applicable RF compliance level above, the equipment should be observed to verify normal operation.  If abnormal performance is observed, additional measures may be necessary, such as reorienting or relocating the equipment.  b.  Over the frequency range 150 kHz to 80 MHz, field strengths should be less than [3] V/m.
  17 Table X-4 Recommended Separation Distances Between Portable and Mobile RF Communications Equipment and the Equipment  The equipment is intended for use in the electromagnetic environment in which radiated RF disturbances are controlled. The customer or the user of the equipment can help to prevent electromagnetic interference by maintaining a minimum distance between portable and mobile RF communications equipment (transmitters) and the equipment as recommended in the table below, according to the maximum output power of the communications equipment. Rated Maximum Output Power of Transmitter (W) Separation Distance According to Frequency of Transmitter (m)   150 KHz to 80 MHz  80 MHz to 800 MHz  800 MHz to 2.5 GHz  d = 1.2    d = 1.2    d = 2.3   0.01  0.12 m  0.12 m  0.23 m 0.1  0.38 m  0.38 m  0.73 m 1  1.2 m  1.2 m  2.3 m 10  3.8 m  3.8 m  7.3 m 100  12.0 m  12.0 m  23.0 m For transmitters rated at a maximum output power not listed above, the recommended separation distance d in meters (m) can be estimated using the equation applicable to the frequency of the transmitter, where P is the maximum output power rating of the transmitter in watts (W) according to the transmitter manufacturer.  NOTE:  At 80 MHz and 800 MHz, the separation distance for the higher frequency range applies.  NOTE:  These guidelines may not apply in all situations.  Electromagnetic propagation is affected by absorption and reflection from structures, objects, and people.
  18  USA and Canada Radio Regulations  USA (FCC) This device is equipped with Transmitter Module with FCC ID:RYYWYSAAVDX7    This device complies with part 15 of the FCC Rules.  Operation is subject to the following two conditions:  (1) This device may not cause harmful interference, and (2) this device must accept any interference received, including interference that may cause undesired operation.   [Caution]  Changes or modifications not expressly approved by the party responsible for compliance could void the user’s authority to operate the equipment.  This device with transmitter module has been tested to SAR and complies to FCC exposure requirements for portable devices.  SAR testing has been done at a distance of 10mm from the face and 0mm from the body.  Canada (IC)  This device is equipped with Transmitter Module with IC:4389B-WYSAAVDX7.  This device complies with Industry Canada license-exempt RSS standard(s).  Operation is subject to the following two conditions:   (1) this device may not cause interference, and   (2) this device must accept any interference, including interference that may cause undesired operation of the device."  This device with transmitter module has been tested to SAR and complies to IC exposure requirements for portable devices.  SAR testing has been done at a distance of 10mm from the face and 0mm from the body.  (French) Cet appareil est équipé d'un module émetteur avec marque IC:4389B-WYSAAVDX7  L’appareil conforme aux CNR d'Industrie Canada applicables aux  appareils radio exempts de licence. L'exploitation est autorisée aux deux conditions suivantes: (1) l'appareil ne doit pas produire de brouillage, et (2) l'appareil doit accepter tout brouillage radioélectrique subi, même si le brouillage est susceptible d'en compromettre le fonctionnement.  Cet appareil avec module émetteur a été testé pour les taux d'absorption spécifique (DAS) et est conforme aux normes d'exposition d'IC pour les appareils portables. Tests de DAS ont été réalisés à une distance de 10mm du visage et du corps 0mm.  This device is defibrillator protected in compliance with AAMI standards and IEC 60601-2-25.
  19  8. INTRODUCTION  General Information  This User's Guide provides information for users of the Mortara S4 telemetry transmitter.  It is written for clinical professionals who are expected to have a working knowledge of medical procedures and terminology as required for monitoring cardiac patients.   The S4 telemetry transmitter is a small, lightweight telemetry transmitters designed to acquire an ECG and to transmit this data to the Surveyor Central Monitoring station.     The S4 digital ambulatory transmitter user manual explains how to: • Acquire and transmit ECG and Impedance respiration signals to the Surveyor Central Station • Setup device configurations  NOTE:  This manual may contain renderings of various display screens.  Any screen images are provided for reference only and are not intended to convey actual operating techniques.     Indications For Use  • The S4 telemetry transmitter is indicated for use in adult & pediatric patient populations.  The Mortara S4 telemetry transmitter facilitate the monitoring of ECG monitoring and Impedance respiration.  • The S4 telemetry transmitter is a prescription device intended to be used by knowledgeable healthcare professionals within a healthcare facility.  • The S4 telemetry transmitter is indicated for use in a clinical setting by a physician, or by trained personnel who are acting on the orders of a licensed physician.  It is not intended as a sole means of diagnosis.  • The S4 telemetry transmitter is indicated for use to acquire and output electrocardiographic data.  • Indicated for use as a radiofrequency physiological signal transmitter, receiving and delivering real-time acquisition and RF transmission of simultaneous 12-lead ECG data, while allowing the patient to be ambulatory within the range of the antenna network.   Contraindications  • The S4 telemetry transmitter is not intended to be used as a vital signs physiological monitor.   • The S4 may not render and ECG while an ESU is being actively used on the connected patient.
  20 System Description  The S4 telemetry transmitter represents wireless electrocardiographic technology.  It provides a means to acquire and transmit simultaneous 12-lead ECG data, with diagnostic quality to a Surveyor Central Station monitoring system while allowing the patient to be ambulatory within the range of the antenna network.  The S4 uses a three (3) AA alkaline batteries or (1) rechargeable battery pack. The rechargeable battery may only be charged by the Surveyor Battery Charger.  The following equipment is necessary to use the S4 telemetry transmitter: • One (1) Rechargeable Li-Ion Battery Pack or three (3) AA batteries  • Surveyor Central Station Monitoring System • Applicable Patient Cable, lead wires and electrodes • Antenna network   Front View  S4 Telemetry transmitter: Front View Example   1. Speaker 2. Main Screen Display Area 3. Control Button   Side View showing battery door
  21 Carrying Pouch  The S4 may be worn by the patient in the disposable pouch that is tied to the patient. The pouch is designed to fit the contours of the telemetry pack.   The transparent film allows viewing of the screen and operation of the nurse call button.  Tie-on Pouch   The S4 may be worn by the patient in the disposable pouch that is adhered to the patient’s clothing. This single patient use device is fully biocompatible, with adhesive designed for attachment to a variety of surfaces and clothing.   The pouch is designed to fit the contours of the telemetry pack. The transparent film allows viewing of the screen and operation of the nurse call button.    Stick-On Pouch
  22  9. UNPACKING AND SET UP   Checking Contents  Depending on the exact configuration ordered, your system may include the following components:  • S4 Transmitter complete with configured Surveyor ECG Acquisition Module (SAM) and a detachable battery door.     • ECG cables available with the SAM module  o 12 lead cable  • ECG electrodes available use with the S4 Transmitter  o Box of 10 electrodes  o Case of 100 electrodes  • Power Pack and Charging Options   o One (1) Li-Ion Rechargeable Battery Pack  o Three (3) Alkaline AA batteries (not included) o Five Bay Multiple Battery Charger Kit, with Li-Ion Rechargeable Battery Pack   • Pouch Options  o Disposable Tie-On Pouch (Qty 5 included) o Disposable Stick-On Pouch (Qty 5 included)  • Alkaline Battery Convenience Tray  o Reusable Battery Tray. Qty 1 included. This plastic mount conveniently loads three alkaline AA batteries into the battery compartment. Battery Tray not essential for alkaline battery installation.     Battery Installation  The battery compartment is accessible via the removable battery door.  1. Remove the Battery Door by pinching the grips located on each side of the door and remove.  2. Load the battery into the battery compartment:  a. Insert the rechargeable Li-Ion battery into the battery compartment. Align the battery above the contacts in the compartment. Then slide the battery down to lock it mechanically in place as it makes electrical contact. This pack fits in one way. A new Li-Ion Battery will last approximately 32 hours on a full charge. Only recharge using Mortara model CML5 Multiple battery charger.  OR…
  23  b. Insert three (3) AA alkaline batteries into the battery compartment using the convenience tray.  Align the tray for easy insertion. The batteries can also be loaded without the tray by aligning them with the positive (+) and negative (-) indicators on the battery matching the same designators in the battery compartment.  4. Replace the battery door. Position the hinged corners first, then rock the lid down until it battery door locks snap the grips into place.  10. OPERATION   Turning the S4 On  • The S4 will power up after either the rechargeable battery pack, or the last alkaline battery, is inserted into the battery compartment.     Setting the Passcode  • When powered ON, the S4 will display the SETTINGS screen.   o Press the Reset Passcode touch-key.  o Enter a three digit Passcode using the keypad, and SAVE.  o Exit the SETTINGS screen.  Turning the S4 Off  • Power OFF the S4 by removing the internal battery.    • Use the Shut Down touch-key located in the Utility Screen.
  24 Resume Operation After Shutdown  • Pressing the Nurse Call button to enter the Resume Operation screen.   • Pressing the [CANCEL] touch-key will cancel the Nurse Call signal destined for the central station, and instead enter the HOOK-UP screen.   • Not pressing the [CANCEL] touch-key within 20 seconds will transmit the Nurse Call signal to the central station and the display will dim to black.   Entering a Passcode  • Power the S4 ON by loading the battery or by resuming operation (see above). The LED indicators will flash.  • Within a few seconds the HOOK-UP screen will appear.   • Pressing the TOOLBOX touch-key will enter the Unlock Screen. This screen is displayed whenever the operator tries to perform a protected action such as entering in the Utility screen before unlocking S4 with the correct Passcode.  • Enter the correct (preset) passcode using the keypad. Then press OK or one of the following touch-keys:  o OK (will verify the entered code against the preset valid passcode) o CL  (will clear the entered code)  o CANCEL (will cancel the requested action)    Connecting S4 to the Surveyor Central Station   • Connection of the S4 transmitter to the Surveyor Central Station is automatic on power ON of the S4. The LED located below the WIFI icon indicates that the S4 is connected to the central station when the LED is illuminated, and flashes when the S4 is searching for WiFi connection.  NOTE: Refer to the service manual for further details on central station networking.
  25 Icon Touch-keys and Screens  The S4 contains a touch screen user interface for operator interaction.  The operator can recognize when definitively pressing the on-screen touch-keys, screens and Nurse Call button, by an audible sound from the S4 speaker. A list of touch-keys, buttons, icons and indicators and their functionality follows.    • PATIENT HOOK-UP    Press this touch-key icon to enter the hookup screen.     The HOOK-UP screen allows the operator to visualize the ensure quality electrode connection and proper location placement. Note the effectiveness of the patient electrode and lead wire interface connection by the color of the dot indicators on the screen torso.    The Hook-Up Screen   Pressing the Torso image will display the Patient Information Screen (if a patient record is associated to the configured monitoring slot on the central station). The HOOK-UP screen displays patient demographics information if available from the central station. The operator may configure the page header to display either the patient ID or the Patient Name.  The accessible touch-keys available from the HOOK-UP screen are:   o ECG (displays streaming ECG waves)  o TOOLBOX (tools for adjusting ECG waveform, other utilities)  o START (starts an active session)  NOTE: The START touch-key begins the monitoring session if the S4 finds connection to the central station, otherwise the START touch-key will be grey (disabled).
  26    • ECG WAVEFORM  Press this touch-key icon to enter the ECG Waveforms Screen.   ECG touch-key icon  Pressing the ECG touch-key displays the patient’s real time streaming ECG waveforms and information.   • ECG WAVEFORM SCREEN   The ECG Waveforms Screen  Touching the ECG WAVEFORM screen toggles through the displayed lead set choices:  o LA-RA, LL-RA/LL-LA, V1-RA/LA,.., V6-RA/LA (8 leads);  o LA-RA, LL-RA/LL-LA, V1-RA/LA, V2-RA/LA  o V3-RA/LA, V4-RA/LA, V5-RA/LA, V6-RA/LA  NOTE: Precordial lead labels will depend on the current reference lead.  The touch-keys available to the operator in the ECG WAVEFORM screen include:  o HOOK-UP (visualize quality electrode connection)  o PRINT (Print to the central station printer; disabled if not actively monitoring)  o START (begin a monitoring session; disabled if not connected to central station)  o NUMBERS (display parameters if a monitoring session is currently in progress)
  27 • UNLOCK THE S4 WITH PASSCODE    This icon appears when the S4 is LOCKED.  The S4 is locked so the patient can’t enter the operator screen. The operator needs to UNLOCK the S4 prior to making any changes to the S4. To unlock the S4:  o Press the TOOLBOX touch-key (with the S4 locked) to open the UNLOCK Screen.   o Enter the valid Passcode into the numeric touchpad and press OK.     This icon appears after the S4 is UNLOCKED with the valid Passcode.    • TOOLBOX    Pressing the TOOLBOX icon (with the S4 unlocked) enters the Utility Screen.  The Utility Screen provides access to various functions. This screen is displayed whenever the operator tries to perform a protected user function. Once the correct Passcode is entered, functions can be completed by the operator from the UTILITY screen.   The UTILITY Screen provides submenus for navigation and to select the desired ECG waveform setting.   o GAIN (allows adjustment of the ECG gain)    o SPEED (allows adjustment of the ECG waveform speed)    o SETTINGS (allows Configuration of the S4)    o HOOK-UP (returns to the Hookup screen)    o SHUTDOWN (powers OFF the S4 transmitter)
  28  • SAME PATIENT    SAME PATIENT  Pressing the SAME PATIENT touch-key identifies the demographics for the previous patient and returns to the HOOK-UP screen, for confirmation of quality electrode connection and proper lead placement.    • NEW PATIENT    NEW PATIENT  Pressing the NEW PATIENT touch-key starts a blind session, and returns to the HOOK-UP screen, for confirmation of quality electrode connection and proper lead placement.    • START    START touch-key icon  Pressing this touch-key begins the newly prepared patient’s session.   • NUMBERS    NUMBERS touch-key icon  Pressing the NUMBERS key during an active session displays the Heart Rate value returned by the central station.
  29 • PRINT    PRINT touch-key icon  Pressing the PRINT touch-key sends a print request to the central station during an active session. This key is disabled if the monitoring session is suspended.    • BATERY INDICATOR   BATTERY indicator   This icon changes to indicate the current approximate energy charge remaining on the S4 battery.    • RESPIRATION   RESPIRATION icon touch-key  Pressing the RESPIRATION touch-key displays the respiration reported to the central station.    • SETTINGS Screen (authorized personnel only)   SETTINGS icon touch-key The SETTINGS screen provides a means to: o Configure S4’s transmission functionality for use with the central station (qualified IT specialist)  o Set the user language (authorized key operator) o Reset the password (authorized key operator) o Reset screen calibration (authorized key operator) o Display version information (authorized key operator)
  30 SETTINGS should be addressed by technically qualified and authorized personnel. Reconfiguration cannot be updated while in monitoring session. The various subpages are accessible from the SETTINGS screen:  o HOST (qualified IT specialist configures Central Station connectivity settings)  o NETWORK (qualified IT specialist enters the network and WLAN settings)  o LANGUAGE (key operator selects the user interface language)  o WW-FI DIAGNOSTICS (qualified IT specialist access to current wi-fi settings and information)  o RESET PASSCODE (key operator enters new Passcode)  o RESET CALIBRATION (key operator chooses power up in Screen Calibration mode)  o VERSION (displays the hardware and software versions for the transmitter)  o SAM VERSION (displays the hardware and software versions for the SAM)   Nurse Call Button, Speaker, and LED Indicators   • NURSE CALL for the patient    NURSE CALL push-button  During an active session this button acts as a conventional NURSE CALL button, sending a signal to the attendant at the central station. When a session is not in progress, the NURSE CALL button turns OFF the Surveyor S4.     • POWER ON/OFF LED   Power ON/OFF Indicator Label  The LED below this icon indicates that the S4 is powered ON when the LED is illuminated, powered OFF when the LED is not illuminated, and flashes while waiting for passcode entry.
  31  • WIFI LED    WIFI Bezel Icon  The LED located below this icon indicates that the S4 is connected to the central station when the LED is illuminated, and flashes when not connected and searching for WiFi connection.   • SPEAKER ICON   Speaker Icon  The S4 speaker located beneath this icon provides the audible sound associated with the recognition of a screen touch-key or the Nurse Call button.
  32 Patient Information, Status and Messages   The S4 displays information and status messages in the top area of the display. These messages provide timely S4 information to the operator. Changing color message banners provide for easy recognition by the operator.   The operator may choose to display either the Patient ID or the Patient Name (“Last, First”) on the display header. This selection is made when the Hookup Screen is active and the operator selects the patient or indicates the start of a BLIND session, with no patient demographics associated with a central station slot.   o A conflict notification message will appear if the central station monitoring slot allocated to this S4, is currently monitored by another S4.  o If a conflict between two S4s should occur the operator would either:   a)   Update his particular S4 device configuration   b)   Shutdown his S4   c)   Shut down the other S4.  o To change the configuration, a key operator press the SETTINGS touch-key to access the Configuration screen.   Several icons indicate the status of the S4 systems, transmission and session, as follows:  o PADLOCK (locked or unlocked, indicates if the correct passcode has been entered)  o WIFI (indicates the transmitter’s radio signal transmission quality)  o BATTERY (indicates the current battery charge)  o TIME (format in Hours: Minutes: Seconds)  o SLOT NAME (monitoring slot name reported to the Central Station, if connected)  o STATUS (current session status: DISCHARGED, SUSPENDED, MONITORING)  Patient Information is displayed when the transmitter is connected to the central station. The color banner will appear in RED when the S4 is not connected to the central station, with a message “Trying to connect to Central”.  The S4 will continuously try to connect to the central station as it continues to display the current time.
  33 10. STARTING A MONITORING SESSION   Starting a Monitoring Session  1. Insert the battery into the S4 to turn ON the device.  2. Press the   touch-key to enter the UNLOCK Screen.   3. Enter the Passcode to unlock the S4 device.   4. Press the   touch-key. Attach the electrodes and lead wires to the patient.  NOTE: Using the   screen’s Torso image, visualize the proper electrode placement locations and attach electrodes and lead wires to the patient to achieve all green indications, to assure a high quality signal.  5. Press the   touch-key to enter the Start Session screen.   NOTE: The Start Session screen allows the operator to start a monitoring session. The top of the screen will display the Information Header. A dropdown menu will be populated with the list of profiles currently available on the central station.   6. Select the patient   o Press the SAME   touch-key to restart the previous monitoring session preserving the patient record last associated with the monitoring slot. The touch-key is grey (disabled) if there is no patient record associated with that central station slot.  Or…  o Press the NEW   touch-key to start a new monitoring session where no patient demographics yet entered (blind session). The session will use the profile currently selected in the dropdown menu.   7. To end a session, first activate the S4 operation capability:   a) Press the   button to activate the screen.   b) Press the [ABORT] touch-key within 20 seconds, to cancel the Nurse Call signal and resume operation of the S4 device.
  34 8. Press the   touch-key to access the Utility Screen.  9. Press the   touch-key and confirm (OK) shutdown.   NOTE: The SHUTDOWN command will turn OFF the S4 device and suspend the active monitoring session. Choose Cancel to re-open the HOOK-UP screen, or OK to power down and suspension (end) the monitoring session.   NOTE: Shutting down the S4 during an active session with an identified patient will end (suspend) the session and will save the monitored data.  CAUTION: Shutting down the S4 during an active blind session will end the session and will not save the monitored data.     
  35 11. PATIENT PREPARATION FOR QUALITY ECG  Overview  Quality ECG Data Acquisition  The ECG electrodes sense the electrical signals generated by the electrical activity of the heart as it beats.  The S4 transmitter amplifies the signals so they can be displayed on the screen.    The S4 transmitter is configured to a specific Surveyor Acquisition Module (SAM) and appropriate ECG cable. The 12-Lead SAM uses the LeadForm 12 lead ECG cable.  Obtaining quality ECG data is important in continuous ECG monitoring.  A quality ECG signal depends largely on the patient prep and electrode placement.  Direct contact between the electrodes and the patient's skin and correct placement of the electrode can help ensure obtaining quality ECG data.   A good quality ECG contains: • Discernible P waves, QRS complexes, and T waves. • Good R wave detection. • Steady, even, crisp baseline. • Absent of respiratory variability, artifact, noise, and other interference.  A good quality ECG may enhance the performance of the arrhythmia algorithm and may lessen false erroneous alarm notifications.  A poor quality ECG may be caused by many factors: • Poor site preparation may lead to poor quality ECG data. • Poor electrode application may lead to poor quality ECG data. • Patient movement may lead to poor quality ECG data. • Interference by other equipment in the room may lead to poor quality ECG data. • Poor quality ECG becomes synonymous with artifact and interference in the ECG waveforms.  A poor quality ECG may manifest in several ways: • Superfluous baseline artifact. • Erratic baseline. • Sharp “spikes.” • Rolling, wandering waveforms as seen with patient breathing patterns. • Difficult to discern P waves from atrial fib waves from noise. • Poor R wave detection. • Inability to discern P waves, QRS complexes, T waves.  Artifact and interference in the ECG waveforms may be caused by using accessories, lead wires, and ECG cables other than those specified to work with the S4 telemetry transmitters.  Always use accessories, lead wires, ECG cables, and other accessories specified to work with the S4 telemetry transmitters.
  36  Skin Preparation  In continuous ECG monitoring, the goal of skin preparation is to maximize the surface area of direct contact between the patient’s skin and the ECG electrode.  Follow the facility’s standard of care when preparing the patient’s skin for ECG electrode placement and ECG monitoring.  To prepare the patient’s skin for electrode placement: 1. Explain the procedure to the patient. 2. Maintain patient privacy during skin prep and electrode placement. 3. Locate the correct anatomical landmarks for electrode placement. 4. Clip or shave excess hair in the areas marked for electrode placement. 5. Remove residual skin oils, creams, and lotions by gently abrading the skin with a small gauze pad.  NOTE:  With elderly or frail patients take care to not abrade the skin causing discomfort or bruising.  Clinical discretion should always be used in patient preparation.  Electrode Placement  To apply electrodes: 1. Use pre-gelled, Ag/AgCl disposable electrodes.   a. Do not use electrodes after their expiration date, or if the gel has dried out.  Store electrodes in an air tight container.  Electrodes dry out if not stored properly leading to loss of adhesion and conductivity. b. Always use the same electrodes.  Do not mix electrode brands or types.  Using different types of electrodes may cause a fluctuation in the impedance and this can lead to baseline artifact and noise in the ECG tracing. 2. Apply the electrodes in the following manner: a. Attach the electrode to the ECG lead wires prior to attaching the electrode to the patient’s chest. b. Place the electrode in the properly prepared, correct location by using a circular motion on the electrode adhesive area. c. Gently press the electrode adhesive to the patient’s skin until the entire outer surface of the electrode is adhered to the patient’s chest. d. Once the electrode adhesive is attached, gently press on the gel area to ensure proper gel to chest contact.  Avoid dislodging the gel as the displaced gel can increase baseline artifact and noise in the ECG tracing. e. Test for firm electrode contact by slightly tugging on the electrode to check for adhesion among the entire electrode surface. If the electrode moves freely, change the electrode.  If the electrode does not move easily, a good adhesive contact has been obtained.    Refer to the Electrode Location section in this manual for further details on correct anatomical landmarks for electrode placement.  Best Practice Recommendation:  Change electrodes as per hospital standard of care, or at least every 24 hours to enhance patient skin care and the acquisition of quality ECG data.  Clinical discretion should always be used in patient preparation.
  37 13. PATIENT ELECTRODE HOOK UP Pacemaker Patients  Pacemaker patients may require a modified electrode placement based on the physical location of the patient’s pacemaker generator device.  Do not place an ECG electrode directly over the pacemaker generator as this may lead to artifact and noise on the ECG tracings.   The S4 will reject pacemaker spikes shorter than 300 µs. The S4’s integrated acquisition module will detect and report pacemaker spikes up to 2 ms width and amplitudes specified to meet the appropriate IEC standard. Spikes markers will be placed on the sample where the spike is detected.  Electrode Locations for 12 Lead ECG   • The S4 telemetry transmitter must be configured with the 12 Lead Surveyor Acquisition Module (SAM) and the 12-lead LeadForm ECG cable set.   • The LeadForm patient cable consists of lead wires and connector block that connects to the 12-Lead SAM module attached to the S4 telemetry pack. Each lead wire terminates in a snap connector.   • Before attaching electrodes, review the next section “Quality ECG Data Acquisition” regarding skin preparation and electrode placement. Attach electrodes per these recommendations.   • The lead wires are positioned on the main cable to follow the contour of the torso.   • Insert the ECG connector into the input connector on the 12 Lead SAM of the S4 telemetry pack.
  38
  39 Using the LeadForm 12-lead Cable  The 12 Lead SAM may be used for continuous simultaneous monitoring of 12 vectors of ECG.  Arrhythmia and ST analysis on all 12 ECG leads may be performed by the telemetry transmitter when the AM12 is in use.  Refer to the Arrhythmia and ST sections in this manual for further details.  The following diagram describes the recommended electrode placement for using the AM12 in a continuous monitoring mode.    Figure X:  Electrode Locations: Continuous 12-Lead Monitoring  IEC  AHA  Lead Placement R (red)  RA (white)  Just below the right clavicle. L (yellow)  LA (black)  Just below the left clavicle. N (black)  RL (green)  Lower right edge of the rib cage. F (green)  LL (red)  Lower left edge of the rib cage. C1 (white)  V1 (brown)  4th intercostal space, right sternal border. C2 (yellow)  V2 (yellow)  4th intercostal space, left sternal border. C3 (green)  V3 (green)  Midway between C2/V2 and C4/V4. C4 (brown)  V4 (blue)  5th intercostal space, mid-clavicular line. C5 (black)  V5 (orange)  Left anterior axillary line at C4/V4 level. C6 (purple)  V6 (purple)  Mid-axillary line at C4/V4 and C5/V5 levels.  For accurate V-lead placement and monitoring, it is important to locate the 4th intercostal space.  The 4th intercostal space is determined by first locating the 1st intercostal space.    Because patients vary with respect to body shape, it may be difficult to palpate the 1st intercostal space with accuracy.  Thus, locate the 2nd intercostal space by first palpating the little bony prominence called the Angle of Lewis, where the body of the sternum joins the manubrium.    This rise in the sternum identifies where the second rib is attached, and the space just below it is the 2nd intercostal space.  Palpate and count down the chest until the 4th intercostal space is located.
  40 Checking ECG Electrode and Lead Wire Signal Quality  Once the patient has been properly prepared, the electrodes attached and in the correct anatomical location, the patient ECG cable is connected to the S4 the ECG Display screen display should display the ECG tracing.  Check to ensure the ECG tracing is free of artifact and noise with a clean ECG baseline as per patient condition permits.  If the ECG contains artifact or noise, return to the Hook Up Screen to view lead interface quality and review the steps for proper electrode site preparation and placement.
 41 14. PRODUCT SPECIFICATIONS  General Specifications  Feature  Specifications Instrument Type  12-lead ECG digital transmitter Input Channels  Continuous 12-lead signal acquisition and transmission ECG Leads Transmitted  I, II, III, aVR, aVL, aVF, V1, V2, V3, V4, V5 and V6 Frequency Range  2400.96 MHz to 2482.56 MHz Special Functions  Lead impedance check, ECG display, lead fail, battery notification, multi-purpose call; 10-wire,  Defibrillator Protection  Complies with AAMI standards and IEC 60601-2-25 Function Keys  Control button; touch screen menu navigation; Internal speaker and microphone  Environmental Conditions  Temperature  Operating temperature:  +0° to +40° C (+32° to +104° F) Storage temperature:  -20° to +60° C (-4° to +140° F) Humidity  Operating humidity:  15% to 90% RH, non-condensing Storage humidity:  15% to 95% RH, non-condensing Altitude  Operating:  0 to 4572 m  (0 to 15,000’) Storage:  0 to 12192 m (0 to 40,000’) Cooling  Convection (no fan) Weight  TBD without battery Dimensions  5.5” x 3.25” x 1.34” (14 x 8.23 x 3.4 mm)  Power Requirements & Battery  Device Classification  Type CF, battery operated Disposable Battery Type  Alkaline (3) Batteries Required Disposable Battery Life  12 Hours minimum Rechargeable Battery Type  Lithium-Ion technology Rechargeable (1) Battery Pack Required Rechargeable Battery Life  32 Hours minimum Battery Charging Time  TBD
  42  Display Specifications  Type  High definition, antiglare Color TFT-LCD with LED backlight and resistive touch panel controls Size & Resolution  4 inches diagonal; active area; TBD pixels  ECG  ECG  12-Lead ECG with specific Surveyor Acquisition Module (SAM) Simultaneous Leads Available  12 Lead SAM:   I, II, III, aVR, aVL, aVF, V1, V2, V3, V4, V5, V6 Acquisition Rate:  500  samples/sec.  Resolution:  1.17µV  Dynamic Range  ± 300mV ECG Gain  (5 mV) 10 mV, 20 mV, 40 mV Trace Speed  (5 mm/sec), 10 mm/sec, 25 mm/sec CMRR:  According to applicable specifications Pacemaker Spikes Reject pacemaker spikes shorter than 300 µs. Detect and report pacemaker spikes up to 2 ms width and amplitudes Spikes markers will be placed on the sample where the spike is detected Max. Auxiliary Patient Current:  < 10 µA Frequency Response Filtering:  S4 Screen:  0.67 to 40 Hz  Diagnostic at the Central Station:  0.05 to 150 Hz Input Impedance:  >2.5 MOhm at 10 Hz Electrodes:  Must be compatible with EN 60601-2-27 Beat Detection:  Sensitivity 99.90%, positive predictivity 99.88% (AHA/MIT database) Beat Recognition:  Normal, Ventricular, Paced, Unknown HR Averaging The algorithm calculates the heart rate from its available source.    If the heart rate from the last four R to R intervals is greater than 48 beats per minute, the average heart rate is determined by averaging the last 16 R to R intervals.    If the heart rate from the last four R to R intervals is less than or equal to 48 beats per minute, then this rate is used.  Paced beats and PVCs are included in the heart rate calculation. HR Range:  15 to 300 bpm, Adult and Pediatric HR Resolution  1 beat per minute HR Availability:  Within TBD seconds after appearance of traces HR Measurement Accuracy  Measurement error (RMS) as measured according to ANSI/AAMI EC57: 2.8% AHA
  43 database, 1.7% MIT database HR Report from the central station  Less than one second. Heart rate is only available when the S4 is connected to the central station.  Minimum QRS Amplitude:  300µV Recovery from Defibrillation Discharge The worst case device reset and ECG recovery scenario will last less than 5 seconds. During device recovery a sequence of calibration samples (marked as such) will be generated and delivered to the central station and S4 display.
 44 15. TROUBLESHOOTING  The following table provides guidance for investigating issues that may occur during operation of the S4 telemetry transmitters.  Contact Mortara Technical Service at 1-866-MORTARA for further assistance.  Power and Battery  Symptom  Possible Causes  Suggested Resolution The S4 telemetry transmitter is not working and display does not light up.  Internal system failure Power cycle the S4 telemetry transmitter with fresh batteries and try again.  If problems persist, stop using the S4 telemetry transmitter and contact Mortara Technical Support. Battery will not hold charge  Replace the battery according to instructions in the General Care & Maintenance section.  Display and Touch Screen  Symptom  Possible Causes  Suggested Resolution The touch screen is not working properly.  Touch screen failure  Power cycle the S4 telemetry transmitter and try again.  If problems persist, stop using the S4 telemetry transmitter and contact Mortara Technical Support. The display is not working properly.  Display failure  Power cycle the S4 telemetry transmitter and try again.  If problems persist, stop using the S4 telemetry transmitter and contact Mortara Technical Support.  ECG Trace  Symptom  Possible Causes  Suggested Resolution ECG signal is noisy. Patient movement  Confirm electrode site preparation; confirm correct ECG placement; instruct the patient to not move. Calm the patient. Electrical noise from auxiliary equipment  Isolate the patient from auxiliary equipment, if possible. Bad electrode contact Check to make sure electrodes are still securely attached to the patient, and reattach if necessary.  Remember the importance of good skin preparation techniques.
  45  16. ACCESSORIES  Use the following Mortara part numbers to obtain spare parts or to reorder accessories:  Part Numbers  Description  Part Numbers S4 SAM 12 LEAD WIRE ACQUISITION MODULE *  76190-002-50   S4 BATTERY DOOR  76190-002-70   LI-ION BATTERY PACK  4800-018 TIE-ON DISPOSABLE POUCH - BOX 100**  8485-029-51 STICK-ON DISPOSABLE POUCH - BOX 100**  8485-030-51 PAT CBL 10WIRE LEADFORM AHA SNAP**  9293-017-50 PAT CBL 10WIRE IEC SNAP CINCH**  9293-017-51 PAT CBL 10WIRE LEADFORM XL AHA SNAP**  9293-026-50 PAT CBL 10WIRE LEADFORM XL AHA SNAP**  9293-026-51 HOOKUP KIT MONITORING 10E SINGLE**  9294-009-50 S4 USER MANUAL  9515-TBD-50-CD KIT, CHARGER, LI-ION-5, US/CAN  41000-035-01 KIT, CHARGER, LI-ION-5, INTN'L  41000-035-02 KIT, CHARGER, LI-ION-5, AUSTRALIA  41000-035-03 KIT, CHARGER, LI-ION-5, UK  41000-035-04 AC POWER SUPPLY, FOR CHARGER KIT  4101-012 CONVENIENCE TRAY, FOR AA ALKALINE BATTERIES  8364-005-50  * Technical Service Installation Required ** This item is intended for single patient use. It is warranted to be free of defects in workmanship and materials for a period of 90 days or first use, whichever comes first.  To order additional supplies, contact a Mortara Instrument customer service representative.
 APPLIED STANDARDS  46 17. APPLICABLE STANDARDS   •  IEC 60601-1:2012-08 Edition 3.1, Medical Electrical Equipment.  Part 1: General Requirements for basic safety and essential performance. •   IEC 60601-1-2:2007-03 Edition 3.0, Medical Electrical Equipment – Part 1-2: General requirements for basic safety and essential performance - Collateral Standard: Electromagnetic Compatibility – Requirements and tests. •   IEC 60601-1-6:2010-01 Edition 3.0,  Medical Electrical Equipment – Part 1-6: General Requirements for Safety and Essential Performance – Collateral Standard: Usability. •   IEC 60601-1-8:2012-1 Edition 2.1,  Medical Electrical Equipment – Part 1-8: General Requirements for Safety and Essential Performance – Collateral Standard: General requirements, tests, and guidance for alarm systems in medical electrical equipment and medical electrical systems . (Note: when used in conjunction with the Surveyor Central Station) •   IEC 60601-2-25:2011-10 Edition 2.0, Medical Electrical Equipment.  Part 2-25: Particular requirements for the basic safety and essential requirements of electrocardiographs. (Notes:  Applies to 10-wire acquisition module only; when used in conjunction with the Surveyor Central Station)) •   IEC 60601-2-27:2011-08 Edition 3.0, Medical Electrical Equipment.  Part 2-27: Particular requirements for the basic safety and essential performance of electrocardiographic monitoring equipment. (Notes:  Applies to 3-wire/5-wire acquisition module only; when used in conjunction with Surveyor Central Station ) •   IEC 60529:2001-02, Degrees of protection provided by enclosures (IP Code), Edition 2.1. •   IEC 62366:2007-10 Edition 1.0, Medical devices – Application of usability engineering to medical devices. •   ETSI EN 301 489 –1:2011-09 v1.9.2,  Electromagnetic compatibility and Radio Spectrum Matters, Part1: Common technical requirements •   ETSI EN 301 489 –17:2012-09 v2.2.1,  Electromagnetic compatibility and Radio Spectrum Matters, Part17: Specific conditions for Broadband Data Transmissions Systems
  47 •   ETSI EN 300 328:2006-10 v1.7.1,  Electromagnetic compatibility and Radio Spectrum Matters, Wideband transmission systems; Data transmission equipment operating in the 2.4 GHz ISM band and using wide band modulation techniques •  ISO10993-1:1997-12-15, 2nd Edition, ISO10993-5: 1995-05-15, 2nd Edition, ISO10993-10: 2002-09-01, 2nd Edition + AM1: Biological evaluation of medical devices, Part 1, Part 5, and Part 10 for in vitro cytotoxicity, irritation, and delayed-type hypersensitivity. •   21 CFR Part 820, FDA Quality System Regulation (QSR) •   Part 15 of the FCC rules. •   93/42/EEC: Council Directive of 14 June 1993 concerning medical devices.  (Medical Device Directive) •   99/5/EC: Council Directive on radio equipment and telecommunications terminal equipment and the mutual recognition of their conformity. (R & TTE Directive) •   2002/96/EC:2003, Waste Electrical and Electronic Equipment •   2002/95/EC:2003, Restriction of the use of Certain Hazardous Substances in Electrical and Electronic Equipment •   EC No 1907/2006, Registration, Evaluation, Authorization and Restriction of Chemicals (REACH) •   Canadian Medical Device Regulation (MDR)

Navigation menu