Toshiba 62373831 Density Meter User Manual 6F8A0521 LQ500 030910

Toshiba Corporation Density Meter 6F8A0521 LQ500 030910

User Manual

 6 F 8 A 0 5 2 1    OPERATION MANUAL   DENSITY METER TYPE LQ500
  1  6 F 8 A 0 5 2 1  INTRODUCTION   Thank you very much for your purchase of the LQ500  Density Meter (Hereafter, LQ500).  This manual is prepared for people in charge of installation, operation or maintenance. The manual describes the precautions in using the meter, and explains about installing, adjusting, calibrating and maintaining the LQ500 meter.  Carefully read this manual before using the meter for efficient and safe operation. Always keep the manual in a place where you can easily access.  ◆ About Safety Precautions  Carefully read the Safety Precautions that appear in the following pages before using the Meter.  The safety signs used in the Safety Precautions will appear again in the following sections for your safety.               ■ Notice 1. Do not copy or transcribe this manual in part or entirety without written permission from Toshiba. 2. The manual is subject to change without notice. 3. Although we tried hard to make this manual error free, if you find any errors or unclear passages, kindly let us know.
  2  6 F 8 A 0 5 2 1 Important information is shown on the product itself and in the operation manual to protect users from bodily injuries and property damages, and to enable them to use the product safely and correctly. Please be sure to thoroughly understand the meanings of the following signs and symbols before reading the sections that follow, and observe the instructions given herein. Keep the manual in a place you can easily access to whenever you need it.  [Explanation of Signs] Sign Description  WARNING Indicates a potentially hazardous situation which could result in death or serious injury, if you do not follow the instructions in this manual. CAUTION Indicates a potentially hazardous situation which may result in minor or moderate injury*1, and/or equipment-only-damage*2, if you do not follow the instruction in this manual. Note 1: Serious injury refers to cases of loss of eyesight, wounds, burns (high or low temperature), electric shock, broken bones, poisoning, etc., which leave after-effects or which require hospitalization or a long period of outpatient treatment of cure. Note 2: Minor or moderate injury refers to cases of burns, electric shock, etc., which do not require hospitalization or a long period of outpatient treatment for cure; equipment damage refers to cases of extensive damage involving damage to property or equipment.  [Explanation of the Symbols] Symbol  Description  This sign indicates PROHIBITION (Do not).  The content of prohibition is shown by a picture or words beside the symbol.  This sign indicates MANDATORY ACTION (You are required to do).  The content of action is shown by a picture or words beside the symbol.  This shape or symbol indicates WARNING.  The content of  WARNING is shown by a picture or words beside the symbol. ◆Color   back : red,  flame, picture and words : black  This shape or symbol indicates CAUTION.   The content of  CAUTION is shown by a picture or words beside the symbol. ◆Color   back : yellow,  flame, picture and words : black  SAFETY PRECAUTIONS Yellow Red
  3  6 F 8 A 0 5 2 1Contents  For a safe use of the LQ500 Density Meter, take precautions described in this manual and observe ordinances in making the installation and operation. Toshiba is not responsible for any accident arising from the use that does not conform to above.   INSTALLATION PRECAUTIONS WARNING   DO ■Electrical work, installation work are needed for the meter. Please consult with the sales agent you purchased the meter, some of the companies specialized in this field or your Toshiba representative.  If any of these work items is performed incorrectly, this can cause fire or explosion.   DO ■The meter is heavy. To move the meter for relocation or installation, a qualified operator must handle it by using equipment such as a truck, a crane or a sling. In addition, when you lift the meter with its lifting bolts, make sure the bolts have been securely tightened to the end.  Overturning or dropping can cause injuries or equipment failure.    DON’T ■Do not operate where there is a possibility of leakage of flammable or explosive gas.  A fire or explosion can occur.  CAUTION   DO ■Avoid installing the meter in any of the following places:  Otherwise, a fire or equipment breakdown or failure can occur.  l Dusty place l Place where corrosive gases (SO2, H2S) or flammable gases may be generated. l Place exposed to strong vibration or shock. l Place exposed to condensation due to abrupt change in temperature. l Place too cold or hot for installation l Near an apparatus that generates strong radio waves or strong magnetic field.   DO ■Install the meter in a place easier for operation, maintenance and inspection. In addition, when you place the meter temporarily in a stocking area, make sure to execute fall prevention measures.  Stumbling over the meter or a fall of the meter can cause injury.  Red Yellow RF section Detector Applicator Cure sheet Roll-over prevention stopper SAFETY PRECAUTIONS (Continued)
  4  6 F 8 A 0 5 2 1    WIRING PRECAUTIONS WARNING   DO ■Be sure to install a fuse and a switch to disconnect the equipment from the power source.    Failure to observe this can cause electric shock or equipment failure.   DO ■Be sure to ground the equipment using a grounding wire separate from those used for power tools.  (Grounding resistance: 100 Ω or less)  Without grounding, electric shock, malfunction, or equipment failure can be caused by electric leakage.   DO ■Make sure that the main power line is off before wiring or cabling.  Wiring or cabling without switching off the main power line can cause electric shock.   DO ■Use crimp terminals with insulation sleeves for power line and grounding wire terminals.  A disconnected cable or wire from the terminal or a loose terminal can cause electric shock or generate heat and cause a fire or equipment failure.   DO ■Wiring and cabling should be done as shown in the wiring and connection diagrams.  Wrong wiring or cabling can cause malfunctions, overheating, sparking, or electric shock.   DON’T ■Do not wire or cable with wet hands.  A wet hand can cause electric shock.      The label shown left appears near a terminal block on the equipment to which power is supplied. Take precautions to avoid electric shock.   Yellow Yellow SAFETY PRECAUTIONS (Continued) Yellow
  5  6 F 8 A 0 5 2 1Contents     PRECAUTIONS REGARDING MAINTENANCE, INSPECTION,  AND PARTS REPLACEMENT WARNING   DO ■Be sure to set the power switch on the equipment to the OFF position before doing maintenance or inspection inside the equipment or replacing its parts.  Failure to observe this can cause electric shock or equipment failure.   DO ■Be sure to set the power switch on the equipment to the OFF position before replacing the fuse.  Failure to observe this can cause electric shock.   DON’T ■Do not touch the terminal block during maintenance or inspection. If it is necessary to touch the terminal block, set the power switch on the equipment to the OFF position in advance.  Failure to observe this can cause electric shock.   DON’T ■Do not attempt disassemble or modify the equipment.  Failure to observe this can cause electric shock or equipment failure.   DON’T  ■Do not touch the detector pipe when high temperature liquid is flowing in the detector pipe. The detector pipe also gets hot from the flowing liquid.  Otherwise, a burn can result.             Yellow Yellow The label shown at left is placed near each terminal block on the equipment to which power is supplied. Be careful of electric shock. SAFETY PRECAUTIONS (Continued) Yellow
  6  6 F 8 A 0 5 2 1   Limited Applications of the product • This product is designed and manufactured for use in systems such as general industrial equipment (food manufacturing line control, various process control, manufacturing line control water treatment facility and so on). This product is not designed or manufactured for the purpose of applying to the systems, such as shown below, which require the level of safety that directly concerns with human life. When your use includes potential applications in those systems, contact Toshiba for consultation.  (Example) • Main control system for atomic power generating plant/Safety protection system for nuclear facilities/Other critical safety systems • Medical control system for sustaining life  • This product is manufactured under strict quality control but components might fail and if this product is likely to be applied to a system that concerns with human life or it is likely to be applied to a facility that may cause serious effects, please give special consideration to make the system safe regarding the operation, maintenance and management of the system.  • This product is not approved as an explosion-proof device. Do not use this product in an area of explosive atmosphere (explosion protected area).     Liability Exemptions • Toshiba assumes liability exemptions from the following examples.  • Damages caused by fire, earthquake, actions by third party, other accidents, abuse or faulty use whether accidental or intentional by the user, or by other uses of abnormal conditions. • Damages or losses that are incidental to the use of or disuse of the product (loss of business profit, interruption of business operation, etc.)    SAFETY PRECAUTIONS (Continued)
  7  6 F 8 A 0 5 2 1Contents   When an explanation is made in the text regarding the Safety Precautions, the [NOTE] sign shown below appears in the left margin of a page. The [NOTE] gives you directions to follow in the following instances.  • To use product correctly and effectively. • To prevent abnormal or degrading performance of the product. • To prevent faulty actions. • To store the product when you do not use the product for a long time.   [NOTE] Sign
  8  6 F 8 A 0 5 2 1  Be sure to observe following instructions in order to maintain the original performance of the LQ500  Density Meter and safely use it over a long period of time.  • Toshiba is not held responsible for any fault or result caused by not observing the precautions described in this manual or by not observing the laws or regulations in installing or using the product.  [NOTE] Do not install or store the product in the following places. Otherwise, meter performance can deteriorate and malfunction, fault, or breakage can occur. Place exposed to direct sunlight Hot, humid place Place exposed to severe vibration and shock Place that can be under water Place of corrosive atmosphere  [NOTE] Use a separate wire for grounding the meter. Do not share the same grounding wire with other devices. Otherwise, malfunction, fault, or breakage can occur.  [NOTE] Lay the output signal cable through their own conduit away from the AC power cable and other sources of noise. Noise can interrupt correct measurement.  [NOTE] Perform periodic maintenance and inspection. A long period of reliable measurement requires periodic span calibration  [NOTE] Be careful not to let water or moisture into the applicator mount of the detector, converter, or cable ends. Water or moisture can adversely affect performance and shorten parts service life. Close the covers and doors securely, and make the cable outlets airtight.  [NOTE] Turn on power when the meter is installed on metal pipe. When you install or remove the meter, make sure to turn off power beforehand. This can affect other equipment due to leakage of radio waves.  [NOTE] Do not remove the cover of the applicator mount of the detector as well as the cover of the detector RF section while the meter is in operation after power is applied. This can affect other equipment due to leakage of radio waves.  Important Notes of Use of LQ500 Density Meter [NOTE] Do not step on any part of the density meter (applicator mount, converter for example) when you do piping work. Do not place any heavy object on it.  Otherwise, deformation or fault can occur. Important Notes of Use of LQ500 Density Meter
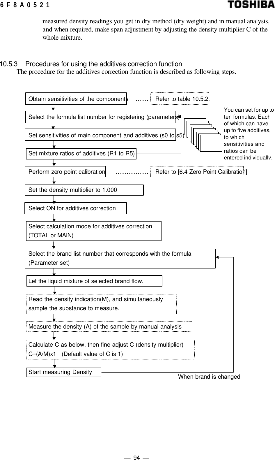
  9  6 F 8 A 0 5 2 1Contents [NOTE] Do not use a transceiver, handy telephone, or other wireless device nearby. Such a device can adversely affect correct measurement. In the event one must be used, observe the following precautions. (1) When using a transceiver, make sure that its output power is 5W or less. (2) When using a transceiver or a handy telephone, keep the converter and signal cable at least 30cm away from the antenna. (3) Do not use a transceiver or a portable telephone nearby while the density meter is in online operation.  This is important to protect if from being affected by a sudden output power change. (4) Do not install the fixed antenna of a wireless device in the area around the converter and signal cable.  [NOTE] Use a fuse of the specified rating. A fuse other than that specified can cause density meter malfunction or breakage.  [NOTE] Do not modify or disassemble the density meter unnecessarily. Do not use parts other than specified. Failure can cause malfunction and density meter fault.  [NOTE] When moving the meter elsewhere for installation, be careful not to drop, hit, or subject to strong shock. Otherwise, the density meter may be broken, resulting in malfunction or fault.  [NOTE] Before returning your meter to Toshiba for repair, etc., make sure to inform us about the measured matter remaining in the density meter pipe, including whether it is dangerous or not to touch the material and then clean the meter so that no measured matter remains in its pipe.  About disposal [NOTE] When you dispose of this density meter, follow the ordinance or regulations of your state.  [FCC notice] This equipment has been tested and found to comply with the limits for a field disturbance sensor, pursuant to Part 15 of the FCC rules. These limits are designed to provide reasonable protection against harmful interference in a residential installation. This equipment generates, uses and can radiate radio frequency energy and, if not installed and used in accordance with the instructions, it may cause harmful interference to radio communications. However, there is no guarantee that interference will not occur in a particular installation. If this equipment does cause harmful interference to radio or television reception, which can be determined by turning the equipment off and on, the user is encouraged to try to correct the interference by one or more of the following measures. • Reorient the receiving antenna. • Increase the separation between the equipment and receiver. • Connect the equipment into an outlet on a circuit different fr6m' that to which the receiver is connected. • Consult the dealer or an experienced radio,'1'V technician for help. WARNING: This equipment has been certified to comply with the limits for a field disturbance sensor, pursuant to Subpart C of part 15 FCC rules. Except AC power cable, shielded cables must be used between the external devices and the terminals of the converter of the equipment. Changes or modifications made to this equipment, not expressly approved by Toshiba or parties authorized by Toshiba could void the user's authority to operate the equipment.
  10  6 F 8 A 0 5 2 1 Contents  SAFETY PRECAUTIONS..........................................................................................................2 [NOTE] SIGN.............................................................................................................................7 IMPORTANT NOTES OF USE OF LQ500 DENSITY METER ..............................................8 1 OVERVIEW........................................................................................................................13 1.1 Principle of Measurement.................................................................................................13 1.2 Features.........................................................................................................................14 2. UNPACKING .....................................................................................................................15 2.1 Standard Components.....................................................................................................15 2.2 Standard Accessories .....................................................................................................15 3. INSTALLATION.................................................................................................................16 3.1 Precautions for Installation...............................................................................................16 3.2 Installation Location.........................................................................................................17 3.3 Installation and Piping......................................................................................................18 3.4 Precautions for wiring ......................................................................................................21 3.5 Wiring............................................................................................................................22 4. PART NAMES AND FUNCTIONS....................................................................................25 4.1 Detector.........................................................................................................................25 4.2 Converter........................................................................................................................27 5. OPERATION PROCEDURE ............................................................................................29 5.1 Parameter and Set Values ...............................................................................................29 5.2 Menus and operations .....................................................................................................31 5.2.1. Main menu................................................................................................................31 5.2.2 Setting keys .............................................................................................................32 5.2.3 Menu display.............................................................................................................33 5.2.4 Monitoring menu display and operating procedures .......................................................36 5.2.5. Setting menu display and operating procedures............................................................37 5.2.6 Measuring mode display and operating procedures .......................................................38 5.2.7 Reading of parameters display and operating procedures ..............................................38 5.2.8 Measured values display and operating procedures.......................................................41 5.2.9 Self-diagnosis data display operating procedures..........................................................41 5.2.10 Parameter setting display and operating procedures .....................................................43 5.2.11 Zero calibration display and operating procedures.........................................................46 5.2.12 Span calibration display and operating procedures........................................................46 5.2.13 Phase angle rotation correction display and operating procedures ..................................47 5.2.14 Linearize/conductity correction display and operating procedures ...................................48
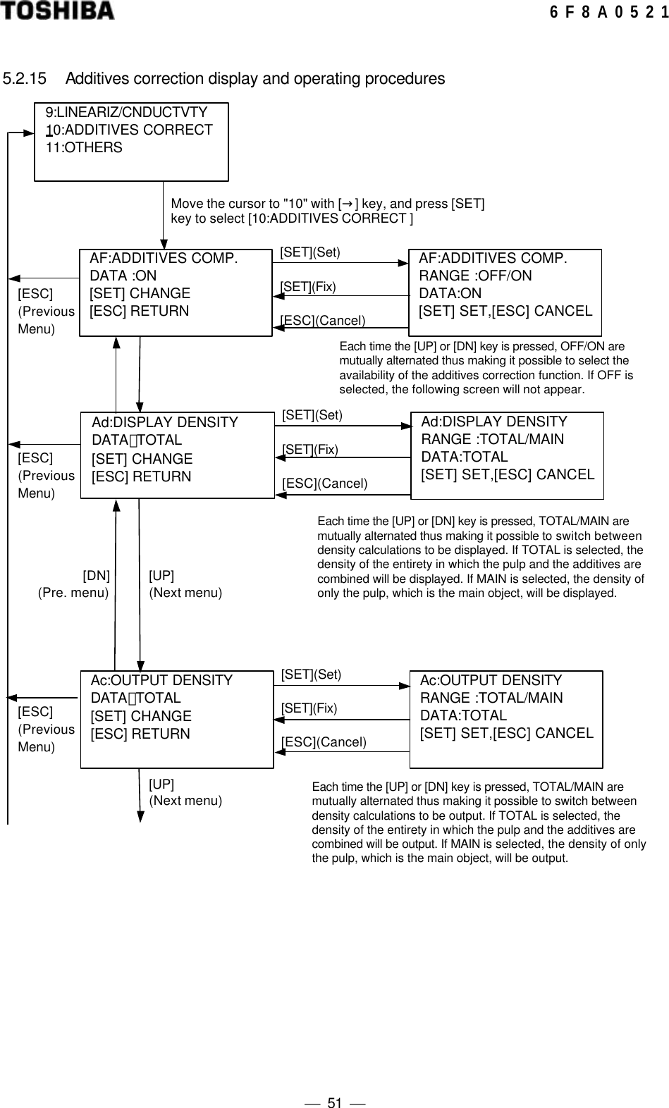
  11  6 F 8 A 0 5 2 1Contents 5.2.15 Additives correction display and operating procedures .................................................. 51 5.2.16 Other menus display and operating procedures ............................................................ 54 6. OPERATIONS...................................................................................................................56 6.1 Procedures for Preparing and Running .............................................................................. 56 6.2 Preparations before Turning on Power............................................................................... 57 6.3 Power on and Preparations for Measuring.......................................................................... 57 6.3.1 Turning power on....................................................................................................... 57 6.3.2 Verifying and setting measurement conditions ............................................................. 58 6.4 Zero Calibration............................................................................................................... 60 6.5 Span Calibration ............................................................................................................. 62 6.6 Operation....................................................................................................................... 64 6.7 External Synchronized Operation ..................................................................................... 65 6.7.1 Movement of the external synchronized operation......................................................... 65 6.7.2 Setting the external synchronized operation................................................................. 66 6.8 Functions Related to Operation........................................................................................ 67 7. MAINTENANCE ................................................................................................................68 7.1 Precautions for Maintenance, Inspection and Parts Replacement ........................................ 68 7.2 Maintenance and Inspection Items.................................................................................... 69 8. TROUBLESHOOTING.....................................................................................................71 8.1 Troubleshooting .............................................................................................................. 71 8.2 Error Indications and Recovery Operations ........................................................................ 73 9. CORRECTIONS IN  DENSITY CALCULATION.............................................................75 9.1 Density Calculation......................................................................................................... 75 9.2 Various Kinds of Corrections............................................................................................ 76 9.2.1 Phase angle rotation correction .................................................................................. 76 9.2.2 Fluid temperature correction....................................................................................... 76 9.2.3 RF correction............................................................................................................ 77 9.2.4 Ambient temperature correction.................................................................................. 77 9.3 Phase Angle Rotation Correction (Details)......................................................................... 78 9.3.1 Care point concerning phase angle rotation.................................................................. 78 9.3.2 Phase angle rotation in external synchronized operation................................................ 78 9.3.3 Outline of automatic adjustment function of phase angle rotations................................. 78 9.3.4 Judgment conditions and adjustments for automatic adjustment of phase angle rotations 78 9.3.5 Restrictions and invalidation in applying the automatic adjustment of phase angle rotations............................................................................................................................... 79 9.3.6 Invalidation by setting the automatic adjustment of phase angle rotations ...................... 79 9.3.7 Actions after invalidating the automatic adjustment of phase angle rotations .................. 80 9.3.8 Return to the normal through manual input of the phase angle rotations ......................... 81
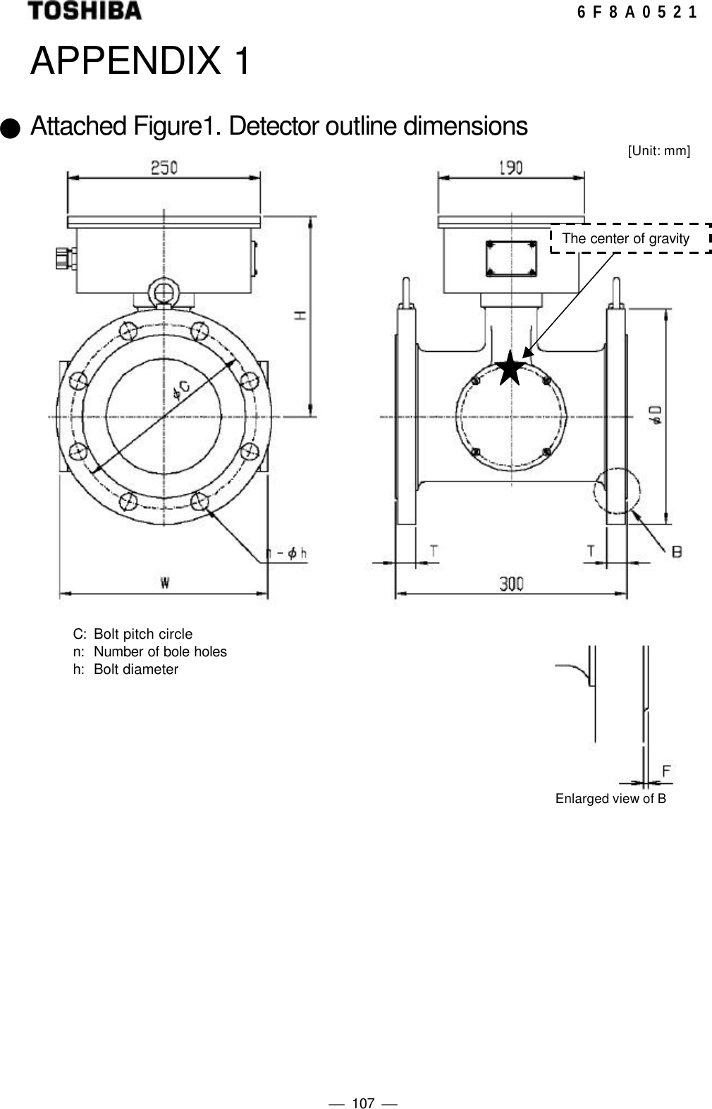
  12  6 F 8 A 0 5 2 1 Contents 10. VARIOUS FUNCTIONS....................................................................................................82 10.1 Various Functions and their Outlines.................................................................................82 10.2 Moving Average...............................................................................................................83 10.2.1 Function of moving average........................................................................................83 10.2.2 Setting of the moving average times............................................................................83 10.2.3 Cautions in using the moving average function.............................................................83 10.3 Change-rate limit.............................................................................................................84 10.3.1 Outline of change-rate limit function............................................................................84 10.3.2 Examples of operating the change-rate limit function ....................................................84 10.3.3 Cautions in using the change-rate limit factor...............................................................85 10.3.4 Setting the change-rate limit.......................................................................................86 10.4 Electric Conductivity Correction........................................................................................87 10.4.1 Standard conductivity correction factors ......................................................................87 10.4.2 How to obtain and set a correction factor.....................................................................88 10.5 Additives Correction Factor ..............................................................................................92 10.5.1 Additive Correction Function.......................................................................................92 10.5.2 Density calculation ....................................................................................................93 10.5.3 Procedures for using the additives correction function...................................................94 10.5.4 How to set the additives correction function .................................................................95 10.5.5 Simplified Correction on Additives...............................................................................96 10.6 LINEARIZER SETTING ....................................................................................................97 10.6.1 Linearizer function.....................................................................................................97 10.6.2 Linearizer setting.......................................................................................................98 10.7 Density Multiplier Switching by External Signals.............................................................. 100 10.7.1 Density multiplier switching function by external signals.............................................. 100 10.7.2 Setting the density multiplier switching by external signals .......................................... 100 11. SPECIFICATIONS...........................................................................................................102 11.1 General Specifications................................................................................................... 102 11.2 Detector Specifications.................................................................................................. 103 11.3 Conveter Specifications.................................................................................................. 104 11.4 Model Number Table...................................................................................................... 106 APPENDIX..............................................................................................................................107 Attached Figure1. Detector outline dimensions .......................................................................... 107 Attached Figure2. Converter dimensions.................................................................................... 109
  13  6 F 8 A 0 5 2 11 OVERVIEW   The LQ500 Density Meter measures the density of a substance that flows through a pipe by means of a phase difference method using microwaves. This method is little affected by the presence of contamination. It uses no moving mechanical parts or mechanism that is often used in other measuring methods for cleaning, sampling, or defoaming. It permits continuous measurement. The density meter, which outputs measured density in electric current, is suitable for an application in a process for monitoring and controlling.   1.1 Principle of Measurement  This density meter has adopted a new measuring method called “Phase difference method by microwaves.”  When microwaves go through a substance and comes out of it, by measuring the phase lag of the waves, we get a certain physical property of the substance that is proportional to the density. The theory of density measurement based on the phase difference method is shown in Figure 1.1 The difference between the phase lagθ1 of the microwave received through water (density 0%) and the phase lagθ2 of the microwave received through the object substance, that is,    Δθ = θ2  − θ1  is determined, and since the differenceΔθis in direct proportion to the density, the density of the object substance is measured.   Microwave transmission Density Phase differenceΔθ Phase difference  Δθ=θW−θS  Density =K・Δθ (K: Coefficient) t t t t Phase lagθW Drinking water Phase lagθs Reception Substance to be measured  Fig. 1.1 Principle of phase angle difference
    14  6 F 8 A 0 5 2 1 1.2 Features Compared with the conventional method, this phase difference measurement method using micro waves, in principle, has the following features.  (1) Not easily affected by contamination. This method is measuring the variation of the transmission time but not for measuring the attenuation of the wave motion strength that has been transmitted into the measured matter. Therefore, it is unnecessary for the window part for sending/receiving microwaves to be transparent as the optical type. (2) This meter is not affected as much as an ultrasonic type is by air bubbles In an ultrasonic system, measurement is affected by attenuation of wave motion by foreign matters such as air bubbles but the feature of the microwave method is that measurement is not easily affected by foreign matters such as air bubbles because the method is not using the attenuation of wave motion strength. (3) High liability and simple maintenance. Having no movable part of the rotating pulp density meter nor the protruding portion into the pipe as with the blade-type pulp density meter, the new method is free from fiber tangling, thus realizing a high level of reliability. Requiring no consumable parts such as bearings and pulleys, the maintenance is also easy and simple. (4) Not easily affected by the speed of flow. Taking density measurements captivating the dielectric change following the density change in the measured matter, this method is not affected by the speed of flow. (5) Not easily affected by the pulp material type or freeness. Taking density measurements captivating the dielectric change following the density change in the measured matter, the new method has the feature of not easily affected by the pulp material type or freeness, etc. (6) Being of the flow-through type, the new method is capable of continuous measurement.   As others, the new density meter model LQ500 boasts of the following features.   (7) Can easily change the measurement range. (8) The operation is simple because complex processings such as density calculation and correction, etc. are performed automatically by micro computers. (9) Remote control is made possible by using the hand-held terminal AF100LQ3 type (optional), which is a specialized terminal for communication.  <Supplementary Explanation> Density meter LQ500 is equipped with the display/operation consoles as standard. Therefore, if the meter is installed on a location easy for maintenance, the hand-held terminal is not always needed. (10) Measurable up to 50% TS density (11) Conforming to low-level radio wave equipment The microwave output of this meter is low with about 10mW and this meter conforms to “Low-level radio wave equipment” specified by Radio Law. Therefore, the customer is free to use this meter without applying for permission, notification or licensing of this meter.
  15  6 F 8 A 0 5 2 1 2. UNPACKING   Check items by the following list and table at unpacking.  2.1 Standard Components  (1) Density Meter : 1 unit (One unit each of Detector and Converter,) (2) Standard accessories : 1 unit (One set of cables,Fuse,Operation manual)  <Supplementary Explanation> In the event of performing remote control through communications, you are required to have the hand-held terminal AF100 type (type code: AF100LQ4BAA3, Instruction Manual: 6F8A0763), which is a specialized terminal for communications. Therefore, please purchase one separately.   2.2 Standard Accessories  Table.2.1 Standard accessories Accessory Specifications Qty Power supply cable Used to supply DC power from the converter to the RF section (detector) Overall diameter: 11.0 to 13.0 mm JCS 258 C 2-core CVV-S 10m (32.8ft) Communication cable Used between the converter and the RF section (detector) to communicate with each other. Overall diameter: 11.0 to 13.0 mm JCS 258 C 4-core CVV-S 10m (32.8ft) Fuse 2A(T),250V cartridge, glass tubular fuse,  5.2mm outer dia. x 20mm long Shape/characteristics: 5NM or equivalent (based on JIS C 6575) 2 Operation manual (The document you are reading.) 1
    16  6 F 8 A 0 5 2 1  3. INSTALLATION 3.1 Precautions for Installation WARNING   DO ■The meter is heavy. To move the meter for relocation or installation, a qualified operator must handle it by using equipment such as a truck, a crane or a sling. In addition, when you lift the meter with its lifting bolts, make sure the bolts have been securely tightened to the end.  Overturning or dropping can cause injuries or equipment failure.   DON’T ■Do not operate where there is a possibility of leakage of flammable or explosive gas.  A fire or explosion can occur.  CAUTION   DON’T ■Avoid installing the meter in any of the following places:  Otherwise, a fire or equipment breakdown or failure can occur.  l Dusty place l Place where corrosive gases (SO2, H2S) or flammable gases may be generated. l Place exposed to vibration or shock that exceeds permissible level. l Place exposed to condensation due to abrupt change in temperature. l Place too cold or hot for installation l Place too humid for installation l Near an apparatus that generates strong radio waves or strong magnetic field.   DO Install the meter in a place easier for operation, maintenance and inspection. In addition, when you place the meter temporarily in a stocking area, make sure to execute fall prevention measures.  Stumbling over the meter or a fall of the meter can cause injury.  RF section Detector Applicator Cure sheet Roll-over prevention stopper
  17  6 F 8 A 0 5 2 1 3.2 Installation Location [NOTE] ◆ Determine an indoor installation place in accordance with the following instructions. (1) Choose a place that is free of vibrations and corrosive gasses, and has ample space for maintenance. (2) Secure maintenance space in front, rear and above the density meter. (Refer to fig. 3.2.11) (3) In the case of outdoor installation, provide covering against sun . (4) Do not install the meter in a place where there is a possibility of leakage of flammable or explosive gas. (5) Do not install the meter in any of the following places: • A place where condensation due to a sudden temperature change occurs. • A place where extreme low or high temperatures occur outside the specification range. • A place near the equipment generating strong radio waves or electric fields. (6) Make sure the upstream and downstream pipes have enough strength to hold the density meter. If it is not possible, provide a supporting base to hold the density meter. (7) Install the meter in a place where density distribution is uniform. If the distribution inside the pipe is uneven, manual analysis data and the indicated value of the density meter may not show the same value. (8) Install the meter in a place where air bubbles are not generated, inside the pipe is always filled, and sedimentation and accumulation of solid matters do not occur. (9) The liquid contacting materials of this meter are stainless steel SCS14A(equivalent to 316SS) and polysulfone. Install the meter in a place where measuring liquid or environment does not corrode these materials. (10) If the cover of the density meter is removed or the density meter is disassembled while the meter is powered, radio waves will leak out. (However, the amount is about equal toPHS and one tenth of mobile phones.)  In addition, provide maintenancespace of 500mm in height abovethe RF section and the Converter.BackFrontMaintenancespace600500600500Convertor500600Maintenancespace Fig. 3.2.1 Space for Maintenance Detector RF section Converter
    18  6 F 8 A 0 5 2 1  3.3 Installation and Piping Figures 3.3.1 through 3.3.4 are examples of density meter installation.  [NOTE] (1) Install the meter in a place where density distribution is uniform. (2) Avoid such a location where the measured matter will settle and build up on the bottom of the density meter. (3) Avoid such a location which will allow bubbles to move into the pipe line. (4) We recommend that this density meter should be installed to a vertical piping system.  Horizontal installation can also be used with the same performance but under the following conditions, vertical installation must be chosen: (5) Especially in the following situations, make sure that the piping is vertical. a) Bubbles may stay in the pipe. b) Slow flow speed or other factors may cause the measured matter to sink or float substantially making the distribution of the measured-matter density uneven in the pipe. c) The main pipe has been enlarged thus using the density meter of a diameter greater than that of the main pipe.  (6) When installing on the horizontal piping, make sure that the meter is installed directly on top of the converter section for purposes of maintenance and performance assurance (in other words, so that the paired applicator sections are placed directly side by side). (7) This density meter does not distinguish between the upstream side and the downstream side. Neither does it require a straight tube length. Install it in a direction that will make maintenance easy. (8) The front side of the density meter's converter section is equipped with an LCD density display section. When installing the meter, choose a location and direction in which this density display section will be easily visible. (See Fig. 3.3.3) (9) When you anticipate a marginal error between the side-to-side dimensions of this density meter and the installation space of the piping line, prepare a loose mechanism in advance. (10) To minimize the impact of the bubbles mingled, it is recommended that the meter be installed on a location as far as possible from the pipe outlet for air release but still within the distance where a reasonable degree of hydraulic pressure is applied. (11) In the event that the density meter may no longer be full of the fluid while the pump is shut down or the density distribution in the density meter may become uneven, make sure to take measurements only while the pump is operating by using the external interlock function. (12) Take necessary measures to prevent vibration from a pump or other equipment applied to the density meter transmitted through the piping. (13) On both the upstream and downstream sides of the density meter, install shutoff valves. Furthermore, between these valves and the density meter, install the sampling port, the zero water supply port, the air release port, the drain port with a shutoff valve attached respectively. In the event that the flow of the pipe line cannot be stopped, provide a bypass pipe halfway with a shutoff valve attached. When performing zero point calibration, these are needed to discharge the measured matter out of the density meter through its drain port and fill up the meter with fresh water of zero density. (See Fig.3.3.1 and Fig.3.3.2) (14) As for gaskets to be used in piping, select the one with the dimension conforming to the flange standard and of the material appropriate for the substance to be measured. (15) If the cover of the density meter is removed or the density meter is disassembled while the meter is powered, radio waves will leak out. (However, the amount is about equal to PHS and one tenth of mobile phones.)
  19  6 F 8 A 0 5 2 1[NOTE] ◆Sampling valve:  Used to extract fluids for manual analysis. Install this valve to the side of the pipe in the case of horizontal installation. It is recommended that a 1-inch ball valve be installed to the side of the pipe. ◆Zero point water valve: Used to supply drinking water (density or consistency 0%) to the detector pipe for zero point adjustment. Install this valve at the top of the pipe in the case of horizontal installation. It is recommended that a 1-inch ball valve be installed in the top of the pipe and zero point water is supplied through this inlet using a vinyl hose etc. If valve water pipe is connected to this valve, air cannot be extracted. Therefore, another valve (vent valve) is needed to extract air. ◆Vent valve:  Used to vent process fluids to open air when performing zero adjustment. This helps the drinking water (density or consistency 0%) enter the detector pipe easily. Install this valve in the top of the pipe in the case of horizontal installation.  ◆Drain valve:  Used to drain the fluids before supplying drinking water (density or consistency 0%) to the detector pipe for zero adjustment. Install this valve at the lowest point of the pipe. It is recommended that a 1-inch ball valve be installed at the lowest point of the pipe.   Fig.3.3.1  Meter mounted horizontally   Vent valve Zero point water valve Stop valve  Stop valve Drain valve Bypass piping Density meter Stop valve  Sampling valve Fig 3.3.2 Setting example (Horizontally) RF section (RF section must stay at the top.) Detector Applicator (one pair) This section must be level. Wall Floor Detector Base frame U-bolts Wall mounting or pipe mounting Converter Fig 3.3.2 Setting example (from converter side)
    20  6 F 8 A 0 5 2 1  Fig.3.3.4 Meter mounted vertically   [NOTE] When you lift the meter using a lifting wire for relocation, installation or for other purposes, use the wire so that the wire does not touch the RF section of the density meter. We recommend you use a lifting wire of 2m or more in length (A/2 + A/2 shown below). In case the lifting wire rubs against the RF section, the RF section may be damaged. Care should be taken not to damage the RF section by applying cure such as cushioning materials between the lifting wire and the RF section.      A/2 A/2 Lifting wire RF section The center of gravity Stop valve  Bypass piping Density meter Zero point water valve Zero water piping Stop valve Drain Direction of flow Upward Drain valve Stop valve  Air release valve Figure 3.3.5 Lifting the Density Meter with a Lifting Wire
  21  6 F 8 A 0 5 2 1 3.4 Precautions for wiring  WARNING   DO ■Be sure to install a fuse and a switch to disconnect the equipment from the power source.    Failure to observe this can cause electric shock or equipment failure.   DO ■Be sure to ground the equipment using a grounding wire separate from those used for power tools.  (Grounding resistance: 100 Ω or less)  Without grounding, electric shock, malfunction, or equipment failure can be caused by electric leakage.   DO ■Make sure that the main power line is off before wiring or cabling.  Wiring or cabling without switching off the main power line can cause electric shock.   DO ■Use crimp terminals with insulation sleeves for power line and grounding wire terminals.  A disconnected cable or wire from the terminal or a loose terminal can cause electric shock or generate heat and cause a fire or equipment failure.   DO ■Wiring and cabling should be done as shown in the wiring and connection diagrams.  Wrong wiring or cabling can cause malfunctions, overheating, sparking, or electric shock.   DON’T ■Do not wire or cable with wet hands.  A wet hand can cause electric shock.      The label shown left appears near a terminal block on the equipment to which power is supplied. Take precautions to avoid electric shock.  Yellow Yellow Yellow
    22  6 F 8 A 0 5 2 1  3.5 Wiring  Figure 3.5.1 on the next page shows connections to the density meter and the external units. Figure 3.5.2 shows wiring assignment to a converter terminal. Refer to these figures for correct wiring.    [IMPORTANT] (1) A density meter has to be separated from the power supply line when performing the maintenance and inspection operation. A fuse must be installed on the power supply side to protect a switch and the power. A power requirement for this unit is approximately 50 VA. Power consumption of this meter is 24VA (at 100VAC). (2) Grounding resistance should be 100 Ω or less and the grounding should be made independently from the one used for power equipment. (3) To connect between the detector and the converter, use the attached power cable (to supply DC power supply) and communication cable. Connect these cables by matching the terminal symbols of the detector RF section’s terminal block (can be seen when the RF section cover is removed) and the converter’s terminal block with those shown on each cable. (4) Use power cables of 2 mm2 or more in sectional area and its voltage drop should be 2V maximum.  In addition, use an M4 size crimped terminal for each terminal connections. (5) Consider wiring when installed so that vibration or sway will not be applied to cables. (6) Output signal wires should be installed in thick walled steel conduit and separated from AC power supply, control signal, alarm signal and other wires that may become a source of noise. (7) Signal wires of the density meter measured value (4-20 mA output) should be a 2-conductor shielded cable (CVVS 2 mm2) and the grounding of the shield should be made on the receiving instrument side. When conductivity correction is employed, use the same type of 2-conductor shielded cable (CVVS 2 mm2) for conductivity signal wires and the grounding of the shield should be made on the receiving instrument side. (8) Cable wiring port is airtight with gland and packing; therefore, tighten the cable gland securely when wiring is completed. Applicable cable sizes are 11 to 13 mm in diameter. If the cable diameter is smaller than the inside diameter of the gasket, wind tape or something around the cable until the cable diameter becomes about the size of the inside diameter of the gasket. (9) Tighten terminal screws securely. Appropriate tightening torque for terminal block screws is 1.2 N•m (1.4 N•m MAX). (10)Do not apply power when the density meter is not installed properly in the piping system. Leakage of radio waves may cause interference with other equipment.
  23  6 F 8 A 0 5 2 1                                   Fig. 3.5.1 External connection                  Fig. 3.6 Terminals inside the converter Ground (PE) (Ground resistance: 100Ω or less)  Density meter error or maintenance-in-progress contact output Grounding terminal  Note: The ground should be connected to either the PE terminal of the terminal bock inside converter or to the grounding terminal of the case. Density correction multiplier switching voltage input signal (H: 20-30VDC, L: 2VDC or less, input resistance about 3kΩ) External sync contact input (Contact capacity: 24VDC, 1A or more)  Measured density output (4-20mADC, 750Ω or less, isolated  CVV CVVS Converter Power 100 to 240VAC, 50/60HzCVV DI COM COM1 DO1 FG AO+ AO- COM2 DI2 L1 L2  DI3 Tx+ Tx- Rx+ Rx- SG FG +24V 0V FG Tx+ Tx- Rx+ Rx- SG FG +24V 0V Power cable Communication cable RF section FG Ec- Ec+ Conductivity signal input (4 ~ 20mADC) Note: The FG wires of the dedicated cables A and B should not be connected to the FG terminal on the detector (measuring section) side. FG CVVS CVVS Ground  (Ground resistance: 100Ω or less)  Power supply  Terminal block +24V 0V Tx+ Rx+ NC (FG) DI D01 DI2 DI3 AO+  L1 L2 FG Tx− Rx− SG (FG) COM COM1 (FG) COM2 AO−     Communication External sync input DI, COM Density meter error or maintenance-in-progress signal: DO1, COM1 Multiplier switching: DI2, DI3, COM2 AO (+, −) 4-20mA  Density output (HART) AC Power
    24  6 F 8 A 0 5 2 1               Figure3.5.3  Terminals arrangement inside the RF section   [NOTE] For connection between the converter and the RF section, connect cables according to the band marks attached to the power cable (1) and the communication cable (2). Erroneous connection can cause a failure or an erroneous operation.  [NOTE] For connection between the converter and the RF section, make sure to use the attached power cable (1) and communication cable (2). Using other cables can cause an erroneous operation.     Power supply  Terminal block +24V 0V Tx+ Rx+ FG EC+ NC FG Tx− Rx− SG EC− FG  Communication  Conductivity signal input (4 ~ 20 mADC)
  25  6 F 8 A 0 5 2 1 4. PART NAMES AND FUNCTIONS     The detector is integrated with the converter in LQ500 Density meter.  4.1 Detector           Fig.4.1.1 Detector  (3) Temperature detector RF section (2) Applicator section (1) Main pipe Detector
    26  6 F 8 A 0 5 2 1  (1) Main pipe Refers to the part connected to the pipe line of a measured object. FLANGE is JIS 10K or equivalent. Contact Toshiba for connections other than this method (shown left).  (2) Applicator mount The applicators (antenna) for transmitting and receiving microwaves are built inside. The applicator on the front in Fig.4.1 is for transmitting and the rear is for receiving. Always keep the lids closed and the screws of the lids secured.  (3) Temperature detector The temperature detector (RTD) is for temperature correction. It measures temperature of the fluid flowing through the main pipe.  (4) RF section This is the section that generates and detects microwaves and also performs signal processing. Do not open the case cover or loosen the bolts of the cover.
  27  6 F 8 A 0 5 2 1 4.2 Converter Figure 4.2 shows the converter with its door open.        (3) [POWER] indicator FUSE 2A(T) 250V (4) [MEASURE] indicator (5) [ALARM] indicator (6) LCD indicator (7) Setting keys (1) Power switch (2) Fuse (8) Terminal block (9) Cable gland FUSE 2A(T) 250V
    28  6 F 8 A 0 5 2 1  [NOTE] Install the converter cover when operating the density meter. In addition, tighten securely the screws of the converter cover. If screws are not tightened enough, moisture, dust or other particles enters the converter and can cause a converter failure.  (1) [POWER] switch The power switch for the density meter.   (2) [Fuse] 2A(T), 250V glass tube fuse is inside.  (3) [POWER] Indicator (Green LED) Green LED lights when AC power turns on by the power switch.  (4) [MEASURE] Indicator (Green LED) The indicator lights when measuring, and turns off when setting and when measuring stops at externally synchronized operation.  (5) [ALARM] Indicator (Red LED) Lights on error signal from the meter.  (6)  LCD indicator Displays measured values, set values and self-diagnosis data, etc. Being an indicator of 20 characters by 4 lines, it displays numerical values, alphanumeric characters and symbols in accordance with needs.  (7) Setting keys These keys are used for switching between display contents of the LCD indicator or setting various set values. They include the [ESC] key, the [→] key, the [UP] key, [DN] key and the [SET] key.  (8) Terminal block Refers to the terminal block connecting cables for external connection.  (9) Cable glands Six cable glands are available for introducing cables for external connection, such as power supplies and output signals.
  29  6 F 8 A 0 5 2 1 5. OPERATION PROCEDURE  5.1 Parameter and Set Values  The set values and setting ranges by parameter at the time of factory shipment are listed in Table 5.1.1 below. Table 5.1.1  Parameters and Set Values (No.1) Measurement Condition Parameter Unit Ex-factory Set Value Setting Range Density multiplier  (C) ― 1.000 (Standard value) 0.00 ∼ 9.99 Upper density measurement range (UR) %TS Value specified in your order 1.0 ∼ 99.9 Lower density measurement range (LR) %TS Value specified in your order 0.0 ∼ 99.5 Density line slope (a) %TS per degree Value in Table 5.1.2 for each aperture - 0.2000 ∼ 0.2000 Density intercept (b) %TS 0.00 (Standard value) - 99.99 ∼ 99.99 Density test output during setting mode (ot) %TS 50% density of FS (Provisional value) 0.0 ∼ 99.9 Delayed time in external synchronized operation (dt) Minute 0.5 (Provisional value) 0.1 ∼ 99.9 Zero-point phase θ1 (zp) Degree Value at the time of factory adjustment 0.00 ∼ 359.99 Zero-point fluid temperature T0 (zT) ℃ Value at the time of factory adjustment 0.00 ∼ 100.00 RF correction factor (cG) − Value at the time of factory adjustment -9.99 ∼ 9.99 Zero-point RF data (zG) − Value at the time of factory adjustment 0.00 ∼ 100.00 Moving average times (ma) Time 1 (Without moving averaging) 1 ∼ 99 Permissible width of change-rate limit (dx) %TS 0.00 (NONE)  0.00∼9.99 Limit times of change-rate limit (HL) − 0 (Without change-rate limit ) 0∼99 Upper angle of angle rotation correction (UH) Degree 260 240∼360 Upper angle of angle rotation correction (SH) Degree 100 0∼120 Linearizer density A (LA) %TS 0.60 (Provisional value) 0.00∼99.99 Linearizer density B (LB) %TS 1.00 (Provisional value) 0.00∼99.99 Linearizer inclination (K1) − 1.00 (Without linearization) 0.00∼9.99 Linearizer inclination (K2) − 1.00 (Without linearization) 0.00∼9.99 Linearizer inclination (K3) − 1.00 (Without linearization) 0.00∼9.99 Electric conductivity correction factor γ(r) Degree (per mS/cm) 00 (Without electric conductivity correction) 0.00 ∼ 99.99 Zero-point electric conductivity Eo (zE) mS / cm 0.00 0.00 ∼10.00 Measured object electric conductivity (EC) mS / cm 0.00 0.00 ∼10.00
    30  6 F 8 A 0 5 2 1  Table 5.1.1  Parameters and Set Values (No.2) Measurement Condition Parameter Unit Ex -factory Set Values Setting Range Availability of additives correction (AF) − No (Without loading material correction) OFF / ON Display density type of  additives correction (Ad) − Total TOTAL / MAIN Output density type of  additives correction (Ac) − Total TOTAL / MAIN Parameter set No. of  additives correction (Ap) − 1 1∼10 Main-object sensitivity (sO) − 1.00 −9.99∼9.99 Additives sensitivity (s1) − 0.00 −9.99∼9.99 Additives sensitivity (s2) − 0.00 −9.99∼9.99 Additives sensitivity (s3) − 0.00 −9.99∼9.99 Additives sensitivity (s4) − 0.00 −9.99∼9.99 Additives sensitivity (s5) − 0.00 −9.99∼9.99 Loading additive ratio (R1) − 0.000 0.000∼1.999 Loading additive ratio (R2) − 0.000 0.000∼1.999 Loading additive ratio (R3) − 0.000 0.000∼1.999 Loading additive ratio (R4) − 0.000 0.000∼1.999 Loading additive ratio (R5) − 0.000 0.000∼1.999 Output at contact OFF in external synchronized operation (ho) − 4mA  Value immediately before 4mA ; simulated output in setting mode Availability of density multiplier switching (D1) − OFF(NONE) ON / OFF Density multiplier at DI (C2) − 1.000 0.000∼9.999 Density multiplier at DI (C3) − 1.000 0.000∼9.999 Density multiplier at DI (C4) − 1.000 0.000∼9.999 Availability of automatic adjustment of angle rotation (NA) − ON ON / OFF Switching between continuous operation and external synchronized operation (OP)  − CONT CONT (Continuous) / EXT(External) Note : The expression "without ..." has been used in several places in Table 5.1.1 to mean that the respective numeric values in the table above are set to invalidate their functions.  Table 5.1.2  Density line slope (a) meter size (mm) a 50 0.168 80 0.105 100 0.084 150 0.056 200 0.042 250 0.034 300 0.028
  31  6 F 8 A 0 5 2 1 5.2 Menus and operations  Operations should be done with five keys for setting, in combination with the LCD display. This section shows menus and operations.  5.2.1. Main menu Main menu is composed of three basic menus shown below.  Table 5.2.1 shows the functions of each menu and performances when selected.            <main menu>       Table 5.2.1  Functions and performances of main menu  1 : MONITORING MENU 2 : SETTING MENU 3 : MEASURING MODE Functions Reading of each measuring conditions (parameters), measured values, and self-diagnosis data Changing of each measuring conditions (parameters), zero calibration and span calibration Mode selection from among two measuring modes (operation modes) of the normal continuous operation and the  externally synchronized operation Measured density  Output (4 ~ 20mA) Measured density continuous output Density Test output Measured density continuous output LCD Density display Measured density value Density Test output Measured density valve [Measure] indicator On Off On Note: “Measured density value”is output instead of “Density Test output” as the LCD density display on the panel when “Zero calibration” or “Span calibration” is selected in the setting menu. This arrangement is intended to compare the measured density values before and after the calibration for both Zero and Span calibrations. As to the measured density output (4−20 mA), “Density Test output” is used for all menu items including Zero calibration and Span calibration. 1 : MONITORING MENU 2 : SETTING MENU 3 : MEASURING MODE
    32  6 F 8 A 0 5 2 1  5.2.2 Setting keys  Five setting keys are available. The basic methods for using them are described in Table 5.2.2. For specification information, please refer to their respective operating procedures.  Table 5.2.2  Basic Methods for Using Operation Keys Setting Key Notation in Operation Manual Basic Use Returns to the menu screen that is one level higher. ESC [ESC] On the set value change screen, use this key to clear the setup change before returning to the previous screen. On the menu list screen, use this key to move the cursor under the menu number to the location of the next number. In the state of setting numerical values, press this key each time the cursor has to be shifted rightwards by a digit's worth. If the cursor is located rightmost, the cursor is shifted to the leftmost digit.  [→] In the event of entering the setting menu, press the [SET] key to display the message saying that the output will be switched to the simulated value. After making sure that no problem is present, press the [→] key to enter the setting menu. This procedure is taken for the purpose of preventing the output from being switched to the simulated value as a result of mistakenly pressing the [SET] key twice in a row. On the menu screen, use this key to switch to the next menu screen. In the state of setting numerical values, use this key to move up the numeric value of the digit where the cursor is located. Each time the key is pressed, the numeric value changes incrementally, as following; "0", "1", "2", ・・・・, "9", "-"(minus symbol), "."(decimal point), "0", "1", "2", ・・・・. Note: If the numerical value does not belong to the leftmost digit, "-" (minus symbol) will not appear after 9.   UP    [UP] In the event of selecting an item from multiple items (such as ON/OFF), the cursor (of the selected item) is switched each time this key is pressed. On the menu screen, use this key to switch to the previous menu screen. In the state of setting numerical values, use this key to move down the numerical value of the digit where the cursor is located. Each time the key is pressed, the numerical value changes detrimentally , as following; "0", "."(decimal point), "-"(minus symbol), "9", "8", ・・・・ "1", "0". Note: If the numerical value does not belong to the leftmost digit, "-" (minus symbol) will not appear after "."(decimal point).  DN   [DN] In the event of selecting an item from multiple items (such as ON/OFF), the cursor (of the selected item) is switched each time this key is pressed.  SET  [SET] Use this key to select the menu number where the cursor is located or confirm the set value.
  33  6 F 8 A 0 5 2 1 5.2.3 Menu display The menu display of the converter LCD display section has a hierarchical structure as shown in Table 5.2.3. Note: Occasionally using some abbreviated terms as well, actual LCD displays differ from Table 5.2.3. For details, refer to Section 5.2.4. The symbols in parentheses in Table 5.2.3 correspond to those displayed on the upper left corner of their respective LCD screens.  Table  5.2.3 Menu Display (1) Menu 1 Menu 2 Menu 3 Menu 4 Density multiplier (C)   Upper density measurement range (UR)   Lower density measurement range (LR)   Density line slope (a)   Density intercept (b)   Density test output(ot)   Delayed time in external synchronized operation (dt)  Zero-point phase θ1 (zp)  Zero-point fluid temperature T0 (zT)   RF correction factor (cG)   Zero-point RF data (zG)   Moving average times (ma)   Permissible width of change-rate limit (dx)   Read parameters Limit times of change-rate limit (HL)   Measured value Phase θ2(p), fluid temperature (T),  ambient temperature (A), density (X)  Operation status (ST)   Microwave signal level (SL)   Micro wave factor (F)   RF data(G)   +5V power supply voltage(J)   Reference phase error (pd)   Monitoring  menu Self-diagnosis  data Memory check (Mc)
    34  6 F 8 A 0 5 2 1  Table  5.2.3 Menu Display (2) Menu 1 Menu 2 Menu 3 Menu 4 Upper density measurement range  (UR) Setting the upper density measurement range  (UR) Lower density measurement range (LR) Setting the lower d ensity measurement range (LR) Density line slope (a) Setting the density line slope (a) Density intercept (b) Setting the density intercept (b) Density test output (ot) Setting the density test output (ot) Delayed time in external synchronized operation (dt) Setting the delayed time in external synchronized operation (dt) Zero-point phase θ1 (zp) Setting the zero-point phase θ1 (zp) Zero-point fluid temperature T0 (zT) Setting the zero-point fluid temperature T0 (zT) RF correction factor (cG) Setting the RF correction factor (cG) Zero-point RF data (zG) Setting the zero-point RF data(zG) Moving average times (ma) Setting the Moving average times (ma) Permissible width of change-rate limit (dX) Setting the permissible width of change-rate limit (dX) Parameter  setting Limit times of change-rate limit (HL) Setting the permissible times of change-rate limit (HL) Zero calib. Zero calibration Zero calibration implementation verification Span calib. Density multiplier (C1) Setting the density multiplier (C1) Upper angle (UH) Setting the upper angle (UH) Lower angle (SH) Setting the lower angle (SH) Angle rotation correction Angle rotation (N) Setting the angle rotation (N) Linearizer density A (LA) Setting the linearizer density A (LA) Linearizer density B (LB) Setting the linearizer density B (LB) Linearizer line slope (K1) Setting the linearizer line slope (K1) Linearizer line slope (K2) Setting the linearizer line slope (K2) Linearizer line slope (K3) Setting the linearizer line slope (K3) Electric conductivity correction factor γ(r) Setting the electric conductivity correction factor γ(r) Zero-point electric conductivity E0 (zE) Setting the zero-point electric conductivity E0 (zE) Setting menu Linearizer / electric conductivity correction Measured object electric conductivity (EC) Setting the measured object electric conductivity (EC)
  35  6 F 8 A 0 5 2 1 Table  5.2.3 Menu Display (3) Menu 1 Menu 2 Menu 3 Menu 4 Availability of additives correction (AF) Selecting the availability of additives correction (AF) Display density type (Ad) Selecting the display density type (Ad) Output density type (Ac) Displaying the output density type (Ac) Parameter set No. (Ap) Setting parameter set No. (Ap) Main-object sensitivity (s0) Setting the main-object sensitivity (s0) Additives sensitivity (s1) Setting the additives sensitivity (s1) Additives sensitivity (s2) Setting the additives sensitivity (s2) Additives sensitivity (s3) Setting the additives sensitivity (s3) Additives sensitivity (s4) Setting the additives sensitivity (s4) Additives sensitivity (s5) Setting the additives sensitivity (s5) Loading additive ratio (R1) Setting the loading additive ratio (R1) Loading additive ratio (R2) Setting the loading additive ratio (R2) Loading additive ratio (R3) Setting the loading additive ratio (R3) Loading additive ratio (R4) Setting the loading additive ratio (R4) Additives correction Loading additive ratio (R5) Setting the loading additive ratio (R5) Output at contact OFF in external synchronized operation(ho) Selecting the output at contact OFF in external synchronized operation (ho) Availability of density multiplier switching (D1) Selecting the availability of density multiplier switching (D1) Density multiplier at DI (C2) Setting the density multiplier at DI (C2) Density multiplier at DI (C3) Setting the density multiplier at DI (C3) Density multiplier at DI (C4) Setting the density multiplier at DI (C4) Setting menu Others Availability of automatic adjustment of angle rotation (NA) Selecting the availability of automatic adjustment of angle rotation (NA) Measuring mode Continuous operation and external synchronized operation (OP) Switching between continuous operation and external synchronized operation (OP)
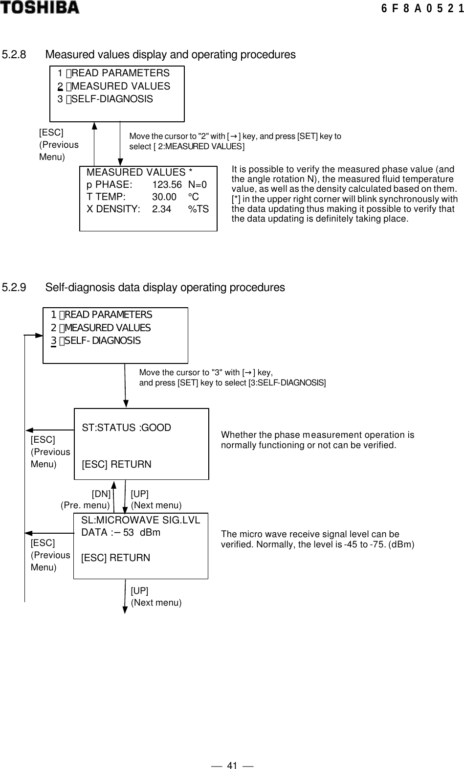
    36  6 F 8 A 0 5 2 1  5.2.4 Monitoring menu display and operating procedures                        1 :READ PARAMETERS 2 :MEASURED VALUES 3 :SELF-DIAGNOSIS   1 :MONITORING MENU 2 :SETTING MENU 3 :MEASURING MODE  Menus of 「1 :READ PARAMETERS」 Data display of 「2:MEASURED VALUES」 Data display of 「3:SELF-DIAGNOSIS」 Move the cursor to the menu number with [→] key, and press [SET] key. Move the cursor to "1" with [→] key, and press [SET] key. [ESC] (Previous Menu) [ESC] (Previous Menu) Note: In actual display, the cursor is blinking.
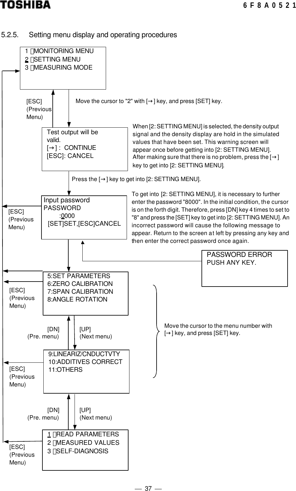
  37  6 F 8 A 0 5 2 1 5.2.5. Setting menu display and operating procedures                                   When [2: SETTING MENU] is selected, the density output signal and the density display are hold in the simulated values that have been set. This warning screen will appear once before getting into [2: SETTING MENU]. After making sure that there is no problem, press the [→] key to get into [2: SETTING MENU]. 1 :MONITORING MENU 2 :SETTING MENU 3 :MEASURING MODE  9:LINEARIZ/CNDUCTVTY 10:ADDITIVES CORRECT 11:OTHERS  Move the cursor to the menu number with [→] key, and press [SET] key. Press the [→] key to get into [2: SETTING MENU].  1 :READ PARAMETERS 2 :MEASURED VALUES 3 :SELF-DIAGNOSIS  Move the cursor to "2" with [→] key, and press [SET] key. Test output will be valid. [→] :  CONTINUE [ESC]: CANCEL 5:SET PARAMETERS 6:ZERO CALIBRATION 7:SPAN CALIBRATION 8:ANGLE ROTATION  [ESC] (Previous Menu) [ESC] (Previous Menu) [ESC] (Previous Menu) [ESC] (Previous Menu) [DN](Pre. menu)[UP] (Next menu) [DN](Pre. menu)[UP] (Next menu) To get into [2: SETTING MENU], it is necessary to further enter the password "8000". In the initial condition, the cursor is on the forth digit. Therefore, press [DN] key 4 times to set to "8" and press the [SET] key to get into [2: SETTING MENU]. An incorrect password will cause the following message to appear. Return to the screen at left by pressing any key and then enter the correct password once again. Input password PASSWORD         :0000 [SET]SET,[ESC]CANCEL PASSWORD ERROR PUSH ANY KEY. [ESC] (Previous Menu)
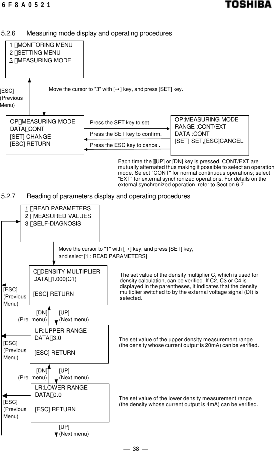
    38  6 F 8 A 0 5 2 1  5.2.6 Measuring mode display and operating procedures                  5.2.7 Reading of parameters display and operating procedures                               OP:MEASURING MODE DATA:CONT [SET] CHANGE  [ESC] RETURN   OP:MEASURING MODE RANGE :CONT/EXT DATA :CONT [SET] SET,[ESC]CANCEL 1 :MONITORING MENU 2 :SETTING MENU 3 :MEASURING MODE Move the cursor to "3" with [→] key, and press [SET] key. Press the SET key to set. Press the SET key to confirm. Press the ESC key to cancel. Each time the ゚[UP] or [DN] key is pressed, CONT/EXT are mutually alternated thus making it possible to select an operation mode. Select "CONT" for normal continuous operations; select "EXT" for external synchronized operations. For details on the external synchronized operation, refer to Section 6.7. [ESC] (Previous Menu) Move the cursor to "1" with [→] key, and press [SET] key, and select [1 : READ PARAMETERS] UR:UPPER RANGE DATA:3.0  [ESC] RETURN LR:LOWER RANGE DATA:0.0  [ESC] RETURN 1 :READ PARAMETERS 2 :MEASURED VALUES 3 :SELF-DIAGNOSIS  C:DENSITY MULTIPLIER DATA:1.000(C1)  [ESC] RETURN The set value of the density multiplier C, which is used for density calculation, can be verified. If C2, C3 or C4 is displayed in the parentheses, it indicates that the density multiplier switched to by the external voltage signal (DI) is selected. The set value of the upper density measurement range  (the density whose current output is 20mA) can be verified. The set value of the lower density measurement range  (the density whose current output is 4mA) can be verified. [ESC] (Previous Menu) [ESC] (Previous Menu) [ESC] (Previous Menu) [DN] (Pre. menu) [UP] (Next menu) [DN] (Pre. menu) [UP] (Next menu) [UP] (Next menu)
  39  6 F 8 A 0 5 2 1                                          The set value of "density line slope" of the arithmetic expression for calculating the density from the phase measurement data, etc. can be verified.  The set value of "density intercept" of the arithmetic expression for calculating the density from the phase measurement data, etc. can be verified. Normally, this is set to zero. Upon getting into [2: SETTING MENU], the current output and the LED density display are switched to simulated values. In this screen, the set value of the simulated value (unit: %TS) can be verified. In external synchronized operations, the set value of the delayed time (unit: minute) from when the external contact input is turned ON until the measurement starts can be verified. For details, refer to Section 6.7. The phase at the time of zero calibration can be verified. [ESC] (Previous Menu) [ESC] (Previous Menu) [ESC] (Previous Menu) [ESC] (Previous Menu) [ESC] (Previous Menu) a:DENSITY LINE SLOPE DATA:0.0840  [ESC] RETURN b:DENSITY INTERCEPT DATA:0.0  [ESC] RETURN ot:DENSTY TEST OUT DATA:1.5    [ESC] RETURN  dt:DELAYED SYNC.TIME DATA:0.5  [ESC] RETURN  zp:ZERO POINT PHASE DATA:80.00  [ESC] RETURN  [DN](Pre. menu)[UP] (Next menu) [DN] (Pre. menu) [DN](Pre. menu)[UP] (Next menu) [DN](Pre. menu)[UP] (Next menu) [DN](Pre. menu)[UP] (Next menu) [UP] (Next menu) The fluid temperature at the time of zero calibration can be verified. [ESC] (Previous Menu) [DN](Pre. menu)[UP] (Next menu) zT:ZERO WATER TEMP. DATA:25.00  [ESC] RETURN
    40  6 F 8 A 0 5 2 1                                           The set value of the RF correction factor used for density calculation can be verified. Before shipment, this value is already set in accordance with the product's characteristics in the shipping test. If you change this value, it will affect the performance; therefore, normally, do not change it. The RF data at the time of zero calibration can be verified. The set value of the moving average times can be verified. The variation width (%TS) permitted in the change-rate limit function can be verified. [ESC] (Previous Menu) [ESC] (Previous Menu) [ESC] (Previous Menu) [ESC] (Previous Menu) [ESC] (Previous Menu) [ESC] (Previous Menu) The times permitted in the change-rate limit function can be verified. cG:RF COEF. DATA:0.00  [ESC] RETURN  zG:ZERO RF DATA DATA:50.00  [ESC] RETURN ma:AVERAGING TIMES DATA:1  [ESC] RETURN  dx: CHANGE-RATE LIMIT DATA:0.00  [ESC] RETURN   HL:LIMIT TIMES DATA:0  [ESC] RETURN  C:DENSITY MULTIPLIER DATA:1.000  [ESC] RETURN  [DN] (Pre. menu) [UP] (Next menu) [DN] (Pre. menu) [DN] (Pre. menu) [UP] (Next menu) [DN] (Pre. menu) [UP] (Next menu) [DN] (Pre. menu) [UP] (Next menu) [DN] (Pre. menu) [UP] (Next menu) [ESC] (Previous Menu) OI:OUTPUT INTERVAL DATA:HART 0s  [ESC] RETURN  [DN] (Pre. menu) [UP] (Next menu) Which type of communication method is selected, HART communication*1 or RS232C communication*2, can be checked and also the output interval can be checked. Note *1: HART protocol is set when the density meter is shipped from the factory. In addition, 0 second appears as its output interval. This is because the output for HART communication is requested by the nature of this protocol from a super-ordinate device such as the hand-held terminal AF100 and the output interval has no meaning. Note *2: RS232C can be used by adding the data save function. For how to switch the communication method and how to set the output interval, refer to the LQ600 Data Save Function
  41  6 F 8 A 0 5 2 1 5.2.8 Measured values display and operating procedures               5.2.9 Self-diagnosis data display operating procedures                         MEASURED VALUES * p PHASE:   123.56 N=0 T TEMP:    30.00 °C X DENSITY:  2.34   %TS Move the cursor to "2" with [→] key, and press [SET] key to select [ 2:MEASURED VALUES] 1 :READ PARAMETERS 2 :MEASURED VALUES 3 :SELF-DIAGNOSIS It is possible to verify the measured phase value (and the angle rotation N), the measured fluid temperature value, as well as the density calculated based on them. [*] in the upper right corner will blink synchronously with the data updating thus making it possible to verify that the data updating is definitely taking place.  [ESC] (Previous Menu) [ESC] (Previous Menu) [ESC] (Previous Menu) SL:MICROWAVE SIG.LVL DATA :−53  dBm    [ESC] RETURN  Move the cursor to "3" with [→] key,  and press [SET] key to select [3:SELF-DIAGNOSIS]  ST:STATUS :GOOD   [ESC] RETURN Whether the phase measurement operation is normally functioning or not can be verified. The micro wave receive signal level can be verified. Normally, the level is -45 to -75. (dBm) 1 :READ PARAMETERS 2 :MEASURED VALUES 3 :SELF-DIAGNOSIS [DN] (Pre. menu) [UP] (Next menu) [UP] (Next menu)
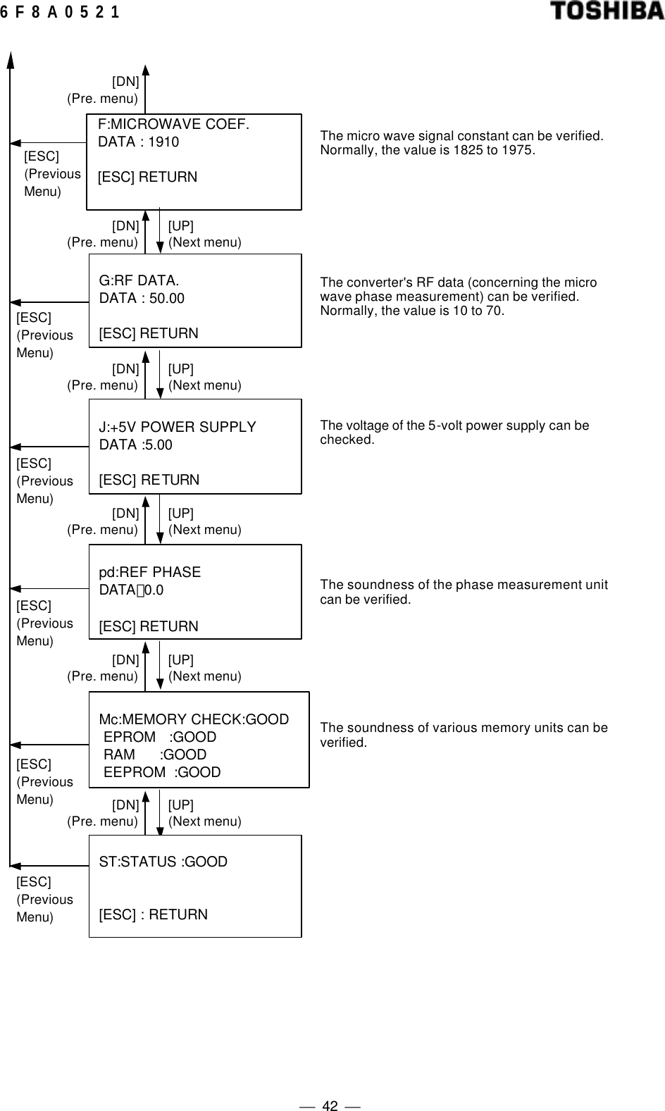
    42  6 F 8 A 0 5 2 1                                           [ESC] (Previous Menu) The micro wave signal constant can be verified. Normally, the value is 1825 to 1975. [ESC] (Previous Menu) [ESC] (Previous Menu) [ESC] (Previous Menu) [ESC] (Previous Menu) [ESC] (Previous Menu) The soundness of the phase measurement unit can be verified. The soundness of various memory units can be verified. The converter's RF data (concerning the micro wave phase measurement) can be verified. Normally, the value is 10 to 70. The voltage of the 5-volt power supply can be checked.  G:RF DATA. DATA : 50.00  [ESC] RETURN   J:+5V POWER SUPPLY DATA :5.00  [ESC] RETURN  Mc:MEMORY CHECK:GOOD  EPROM   :GOOD  RAM      :GOOD    EEPROM  :GOOD  ST:STATUS :GOOD       [ESC] : RETURN    pd:REF PHASE  DATA:0.0    [ESC] RETURN  F:MICROWAVE COEF. DATA : 1910    [ESC] RETURN  [DN] (Pre. menu) [UP] (Next menu) [DN] (Pre. menu) [UP] (Next menu) [DN] (Pre. menu) [UP] (Next menu) [DN] (Pre. menu) [UP] (Next menu) [DN] (Pre. menu) [UP] (Next menu) [DN] (Pre. menu)
  43  6 F 8 A 0 5 2 15.2.10 Parameter setting display and operating procedures                                           Move the cursor to "5" with [→] key, and press [SET] key to select[ 5:SET PARAMETERS]  5:SET PARAMETERS 6:ZERO CALIBRATION 7:SPAN CALIBRATION 8:ANGLE ROTATION UR:UPPER RANGE DATA:3.0 [SET] CHANGE  [ESC] RETURN.  LR:LOWER RANGE DATA:0.0 [SET] CHANGE  [ESC] RETURN  UR:UPPER RANGE RANGE  :1.0-99.9 %TS DATA : 0.30 [SET] SET,[ESC] CANCEL [SET](Set) [SET](Fix) [ESC](Cancel) LR:LOWER RANGE RANGE :0.0-99.5 %TS DATA :00.0 [SET] SET,[ESC] CANCEL [SET](Set) [SET](Fix) [ESC](Cancel) a:DENSITY LINE SLOPE DATA:0.0840 [SET] CHANGE  [ESC] RETURN  a:DENSITY LINE SLOPE RANGE :−0.2000−0.2000 DATA : 0.0840 [SET] SET,[ESC] CANCEL [SET](Set) [SET](Fix) [ESC](Cancel) b:DENSITY INTERCEPT DATA:0.00 [SET] CHANGE  [ESC] RETURN  b:DENSITY INTERCEPT RANGE :−99.99−99.99 DATA : 00.00 [SET] SET,[ESC] CANCEL [SET](Set) [SET](Fix) [ESC](Cancel) ot:DENSTY TEST OUT.  DATA:1.5 [SET] CHANGE  [ESC] RETURN  ot:DENSTY TEST OUT. RANGE :0.0-99.9 %TS DATA : 01.5 [SET] SET,[ESC] CANCEL [SET](Set) [ESC] (Previous Menu) [ESC] (Previous Menu) [ESC] (Previous Menu) [SET](Fix) [ESC](Cancel) The upper density measurement range  (whose current output is 20mA) is set. The lower density measurement range  (whose current output is 4mA) is set. The "density line slope" of the arithmetic expression for calculating the density from the phase measurement data, etc. is set. Before shipping, this is set in accordance with the aperture, based on Table 5.1.2. Normally, do not change the setting. The "density intercept" of the arithmetic expression for calculating the density from the phase measurement data, etc. is set. In the event that the zero point is out of position, it is corrected through zero calibration; it is also possible to shift the zero point by changing this coefficient. Normally, set the value to zero. When [2: SETTING MENU] is selected, the density output signal and the density display are hold in the simulated values that have been set. In this screen, the simulated values are set in terms of "%TS". [ESC] (Previous Menu) [ESC] (Previous Menu) [DN] (Pre. menu) [UP] (Next menu) [DN] (Pre. menu) [UP] (Next menu) [DN] (Pre. menu) [UP] (Next menu) [DN] (Pre. menu) [UP] (Next menu) [UP] (Next menu)
    44  6 F 8 A 0 5 2 1                                    zp:ZERO POINT PHASE DATA:80.00 [SET] CHANGE  [ESC] RETURN  zp:ZERO POINT PHASE RANGE :0.00-359.99 DATA : 080.00 [SET] SET,[ESC] CANCEL [SET](Set) [SET](Fix) [ESC](Cancel) zT:ZERO WATER TEMP DATA:25.00 [SET] CHANGE  [ESC] RETURN zT:WATER TEMP./ZERO RANGE :0.00-100.00 (C DATA : 025.00 [SET] SET,[ESC] CANCEL [SET](Set) [SET](Fix) [ESC](Cancel) The zero-point phase can be set in this menu through manual input. Normally, the zero-point phase is automatically set when implementing the zero calibration. The zero-point fluid temperature can be set in this menu through manual input. Normally, the zero-point fluid temperature is automatically set when implementing the zero calibration. The RF correction factor used for density calculation is set. Before shipment, this value is already set in accordance with the product's characteristics in the shipping test. If you change this value, it will affect the performance; therefore, normally, do not change it. cG:RF COEF. DATA: 0.00 [SET] CHANGE  [ESC] RETURN  cG:RF COEF. RANGE : -9.99-9.99 DATA: 0.00 [SET] SET,[ESC] CANCEL [SET](Set) [SET](Fix) [ESC](Cancel) [ESC] (Previous Menu) [ESC] (Previous Menu) [ESC] (Previous Menu) dt:DELAYED SYNC.TIME DATA:0.5  [SET] CHANGE  [ESC] RETURN  dt:DELAYED SYNC.TIME RANGE :0.1-99.9 min DATA : 00.5 [SET] SET,[ESC] CANCEL [SET](Set) [SET](Fix) [ESC](Cancel) In external synchronized operations, the delayed time from when the external contact input is turned ON until the measurement starts is set. For details, refer to Section 6.7. [ESC] (Previous Menu) [DN](Pre. menu)[UP] (Next menu) [DN](Pre. menu) [UP] (Next menu) [DN](Pre. menu)[UP] (Next menu) [UP] (Next menu) [DN](Pre. menu)
  45  6 F 8 A 0 5 2 1                                      VALUE OUT OF RANGE UR:UPPER RANGE PRESS ANY KEY TO RETURN For all menus, when data outside the allowed range is input, the error message is displayed, and the wrong data is refused. Press any key to return, and input adequate data. [NOTE]: [DN] The limit times in the change-rate limit function are set. If the variation width exceeds dx(%TS) that was set in the previous menu, the signal is excluded for up to the HL times that are set in this menu. At HL=0, the change-rate limit function does not work. [ESC] (Previous Menu) ma:AVERAGING TIMES RANGE : 1-99 DATA : 01 [SET] SET,[ESC] CANCEL [SET](Set) [SET](Fix) [ESC](Cancel) dx:CHANGE RATE LIMIT RANGE :0.00-9.99 ° DATA: 0.00 [SET] SET,[ESC] CANCEL [SET](Set) [SET](Fix) [ESC](Cancel) zG:ZERO RF DATA RANGE :0.00-100.00 (C DATA: 050.00 [SET] SET,[ESC] CANCEL [SET](Set) [SET](Fix) [ESC](Cancel) HL:LIMIT TIMES RANGE :0-99  DATA: 00 [SET] SET,[ESC] CANCEL [SET](Set) [SET](Fix) [ESC](Cancel) [ESC] (Previous Menu) The zero-point RF data can be set in this menu through manual input. Normally, the zero-point RF constant is automatically set when implementing the zero calibration. The moving average times are set. If the output averaged for density control, etc. is needed, the value from 5 to about 10 is set. If there is a signal of sharp variation, the change-rate limit function excludes this signal to restrict a sudden output variation. In this menu, the permissible variation width is set in terms of "%TS". [ESC] (Previous Menu) [ESC] (Previous Menu) [ESC] (Previous Menu) UR:UPPER RANGE DATA:3.0 [SET] CHANGE  [ESC] RETURN ma:AVERAGING TIMES  DATA:1 [SET] CHANGE  [ESC] RETURN  dx:CHANGE RATE LIMIT DATA:0.00 [SET] CHANGE  [ESC] RETURN  zG:ZERO RF DATA DATA: 50.00 [SET] CHANGE  [ESC] RETURN  HL:LIMIT TIMES DATA: 0 [SET] CHANGE  [ESC] RETURN [SET](Set) [DN] (Pre. menu) [UP] (Next menu) [DN] (Pre. menu) [UP] (Next menu) [DN] (Pre. menu) [UP] (Next menu) [DN] (Pre. menu) [UP] (Next menu) [DN] (Pre. menu)
    46  6 F 8 A 0 5 2 1  5.2.11 Zero calibration display and operating procedures                5.2.12 Span calibration display and operating procedures               Move the cursor to "7" with [→] key, and press [SET] key  to select [7:SPAN CALIBRATION] 5:SET PARAMETERS 6:ZERO CALIBRATION 7:SPAN CALIBRATION 8:ANGLE ROTATION C1:DensityMultiplier DATA:1.000 [SET] CHANGE  [ESC] RETURN  [ESC] (Previous Menu) C1:DensityMultiplier RANGE :0.000-9.999 DATA  : 1.000 [SET] SET,[ESC]CANCEL [SET](Set) [SET](Fix) [ESC](Cancel) The density multiplier C1 should be set to the suitable value so that the measured density value is corresponding to the manual analysis value. For details, refer to Section 6.5. Move the cursor to "6" with [→] key, and press [SET] key to select [6:ZERO CALIBRATION] 5:SET PARAMETERS 6:ZERO CALIBRATION 7:SPAN CALIBRATION 8:ANGLE ROTATION ZERO CAL           * p PHASE: 87.93 ° N=0 T TEMP.: 26.55 °C X DENSITY: 0.02 %TS  ZERO POINT  CALIBRATION HAS BEEN COMPLETED  [SET](Set) New data displayed [ESC] (Previous Menu) Press the [SET] key for zero calibration. In zero calibration, the phase and the fluid temperature of zero point will be replaced with the present measured values. And also, angle rotation "N" will be set to zero. Note: The display will return to the left display automatically after approximately one second.
  47  6 F 8 A 0 5 2 1 5.2.13 Phase angle rotation correction display and operating procedures                                         Move the cursor to "8" with [→] key, and press [SET] key to select [8:ANGLE ROTATION] 5:SET PARAMETERS 6:ZERO CALIBRATION 7:SPAN CALIBRATION 8:ANGLE ROTATION UH:UPPER ANGLE DATA : 260 [SET] CHANGE  [ESC] RETURN  SH:LOWER ANGLE DATA :100 [SET] CHANGE  [ESC] RETURN  UH:UPPER ANGLE RANGE :240-360 ° DATA : 260 [SET] SET,[ESC] CANCEL [SET](Set) [SET](Fix) [ESC](Cancel) SH:LOWER ANGLE RANGE :0-120   DATA : 100 [SET] SET,[ESC] CANCEL [SET](Set) [SET](Fix) [ESC](Cancel) N:ROTATION  DATA:0 [SET] CHANGE  [ESC] RETURN  N:ROTATION RANGE :−10 - 10 DATA : 00 [SET] SET,[ESC] CANCEL [SET](Set) [SET](Fix) [ESC](Cancel) UH:UPPER ANGLE DATA :260 [SET] CHANGE  [ESC] RETURN   Before shipping, this value is set to 260 degrees. Changing the setting may result in damaging the otherwise normal operation. Therefore, normally, do not change the setting. Before shipping, this value is set to 100 degrees. Changing the setting may result in damaging the otherwise normal operation. Therefore, normally, do not change the setting. Normally, the angle rotation N is automatically computed; therefore, it is unnecessary to change the setting through manual input. However, there are some cases of high density measurements which require settings through manual input. [ESC] (Previous Menu) [ESC] (Previous Menu) [ESC] (Previous Menu) [ESC] (Previous Menu) [DN](Pre. menu)[UP] (Next menu) [DN](Pre. menu)[UP] (Next menu) [DN](Pre. menu)[UP] (Next menu)
    48  6 F 8 A 0 5 2 1  5.2.14 Linearize/conductity correction display and operating procedures                                              Move the cursor to "9" with [→] key, and press [SET] key to select [ 9:LINEARIZ/CNDUCTVTY] LA:DENSITY A RANGE :0.00-99.99 DATA :00.60 [SET] SET,[ESC] CANCEL [SET](Set) [SET](Fix) [ESC](Cancel) LB:DENSITY B RANGE  :0.00-99.99 DATA : 01.00 [SET] SET,[ESC] CANCEL [SET](Set) [SET](Fix) [ESC](Cancel) K1:COEF. RANGE:0.00-9.99 DATA : 1.00 [SET] SET,[ESC] CANCEL [SET](Set) [SET](Fix) [ESC](Cancel) K2:COEF. RANGE:0.00-9.99 DATA : 1.00 [SET] SET,[ESC] CANCEL [SET](Set) [SET](Fix) [ESC](Cancel) K3:COEF. RANGE :0.00-9.99 DATA : 1.00 [SET] SET,[ESC] CANCEL [SET](Set) [SET](Fix) [ESC](Cancel)  9:LINEARIZ/CNDUCTVTY 10:ADDITIVES CORRECT 11:OTHERS  [ESC] (Previous Menu) [ESC] (Previous Menu) [ESC] (Previous Menu) [ESC] (Previous Menu) [ESC] (Previous Menu) In the event of three straight lines which closely analogous each other, the density of the crossover point A of the 2nd and 3rd lines is set. In the event of three straight lines which closely analogous each other, the density of the crossover point B of the 2nd and 3rd lines is set. In the event of three straight lines which closely analogous each other, the inclination K1 of the 1st line is set. In the event of three straight lines which closely analogous each other, the inclination K2 of the 2nd line is set. In the event of three straight lines which closely analogous each other, the inclination K2 of the 3rd line is set. LA:DENSITY A DATA :0.60 [SET] CHANGE  [ESC] RETURN  LB:DENSITY B DATA:1.00 [SET] CHANGE  [ESC] RETURN K1:COEF. DATA:1.00 [SET] CHANGE  [ESC] RETURN  K2:COEF.  DATA:1.00 [SET] CHANGE  [ESC] RETURN  K3:COEF.  DATA:1.00 [SET] CHANGE  [ESC] RETURN  [DN] (Pre. menu) [UP] (Next menu) [UP] (Next menu) [DN] (Pre. menu) [UP] (Next menu) [DN] (Pre. menu) [UP] (Next menu) [DN] (Pre. menu) [UP] (Next menu) r:CNDUCTVTY. COEF. RANGE : 0.00 r:CNDUCTVTY. COEF. RANGE :0.00-99.99 [SET](Set) [SET](Fix) [DN](Pre. menu)
  49  6 F 8 A 0 5 2 1
    50  6 F 8 A 0 5 2 1                                     EC:CONDUCTIVITY DATA:1.23(LINE) [SET] CHANGE  [ESC] RETURN EC:CONDUCTIVITY RANGE :0.00-10.00 DATA: 00.00 [SET] SET,[ESC] CANCEL LA:DENSITY A DATA :0.60 [SET] CHANGE  [ESC] RETURN  MANU/LINE SELECTION RANGE :MANU/LINE DATA:(LINE) [SET] SET,[ESC] CANCEL MANU/LINE SELECTION RANGE :MANU/LINE DATA:(MANU) [SET] SET,[ESC] CANCEL [SET](Set) [SET](Fix in  "LINE mode") [ESC](Cancel)  [ESC] (Previous Menu) [ESC] (Previous Menu) By selecting "MANU" (see the screen above) and then pressing [SET], the electric conductivity of the measured object is made settable as the fixed value through manual input. After the electric conductivity is entered, [SET] is used to confirm the setting in MANU mode. [ESC] (Cancel) [UP] (First menu) [DN](Pre. menu)[UP] and [DN] is used to switch between MANU/LINE to select the method for setting the electric conductivity.  By selecting "LINE" and pressing [SET] (see the screen above), the electric conductivity is continually corrected with the electric conductivity of the measured object. [DN](Pre. menu)
  51  6 F 8 A 0 5 2 1 5.2.15 Additives correction display and operating procedures                                        Move the cursor to "10" with [→] key, and press [SET] key to select [10:ADDITIVES CORRECT ] AF:ADDITIVES COMP. DATA :ON [SET] CHANGE  [ESC] RETURN  Ad:DISPLAY DENSITY DATA:TOTAL [SET] CHANGE  [ESC] RETURN  AF:ADDITIVES COMP. RANGE :OFF/ON DATA:ON [SET] SET,[ESC] CANCEL [SET](Set) [SET](Fix) [ESC](Cancel) Ad:DISPLAY DENSITY RANGE :TOTAL/MAIN DATA:TOTAL [SET] SET,[ESC] CANCEL [SET](Set) [SET](Fix) [ESC](Cancel) Ac:OUTPUT DENSITY DATA:TOTAL [SET] CHANGE  [ESC] RETURN  Ac:OUTPUT DENSITY RANGE :TOTAL/MAIN DATA:TOTAL [SET] SET,[ESC] CANCEL [SET](Set) [SET](Fix) [ESC](Cancel) 9:LINEARIZ/CNDUCTVTY 10:ADDITIVES CORRECT 11:OTHERS  Each time the [UP] or [DN] key is pressed, OFF/ON are mutually alternated thus making it possible to select the availability of the additives correction function. If OFF is selected, the following screen will not appear. Each time the [UP] or [DN] key is pressed, TOTAL/MAIN are mutually alternated thus making it possible to switch between density calculations to be displayed. If TOTAL is selected, the density of the entirety in which the pulp and the additives are combined will be displayed. If MAIN is selected, the density of only the pulp, which is the main object, will be displayed. Each time the [UP] or [DN] key is pressed, TOTAL/MAIN are mutually alternated thus making it possible to switch between density calculations to be output. If TOTAL is selected, the density of the entirety in which the pulp and the additives are combined will be output. If MAIN is selected, the density of only the pulp, which is the main object, will be output. [ESC] (Previous Menu) [ESC] (Previous Menu) [ESC] (Previous Menu) [DN] (Pre. menu) [UP] (Next menu) [UP] (Next menu)
    52  6 F 8 A 0 5 2 1                                            Ap:PARAMETER SET NO. RANGE:1 - 10 DATA:01 [SET] SET,[ESC] CANCEL [SET](Set) [SET](Fix) [ESC](Cancel) s0:MAIN OBJ. SENS. RANGE :−9.99 - 9.99 DATA: 1.00 [SET] SET,[ESC] CANCEL [SET](Set) [SET](Fix) [ESC](Cancel) s1:ADDITIVE SENS. RANGE :−9.99 - 9.99 DATA: 0.00 [SET] SET,[ESC] CANCEL [SET](Set) [SET](Fix) [ESC](Cancel) s2:ADDITIVE SENS. RANGE :−9.99 - 9.99 DATA: 0.00 [SET] SET,[ESC] CANCEL [SET](Set) [SET](Fix) [ESC](Cancel) s3:ADDITIVE SENS. RANGE :−9.99 - 9.99 DATA: 0.00 [SET] SET,[ESC] CANCEL [SET](Set) [SET](Fix) [ESC](Cancel) s4:ADDITIVE SENS. RANGE :−9.99 - 9.99 DATA: 0.00 [SET] SET,[ESC] CANCEL [SET](Set) [SET](Fix) [ESC](Cancel) [ESC] (Previous Menu) [ESC] (Previous Menu) [ESC] (Previous Menu) [ESC] (Previous Menu) [ESC] (Previous Menu) [ESC] (Previous Menu) Ten parameter sets ( tables for each brands) can be registered for additives correction. This is used for selecting the parameter set number appropriate to the brand in the event of making measurements with additives correction, or for selecting the parameter set number in the event of newly registering or changing an individual parameter. The sensitivity of component 0 (pulp) is set. The sensitivity of additive 1 is set. In the same manner, the sensitivities of the following additives 2 to 5 are set. Ap:PARAMETER SET NO. DATA:01 [SET] CHANGE  [ESC] RETURN  s0:MAIN OBJ. SENS. DATA:1.00 [SET] CHANGE  [ESC] RETURN  s1:ADDITIVE SENS. DATA:0.00 [SET] CHANGE  [ESC] RETURN s2:ADDITIVE SENS. DATA:0.00 [SET] CHANGE  [ESC] RETURN  s3:ADDITIVE SENS. DATA:0.00 [SET] CHANGE  [ESC] RETURN  s4:ADDITIVE SENS. DATA:0.00 [SET] CHANGE  [ESC] RETURN [DN](Pre. menu)[UP] (Next menu) [DN](Pre. menu)[UP] (Next menu) [DN](Pre. menu)[UP] (Next menu) [DN](Pre. menu)[UP] (Next menu) [DN](Pre. menu)[UP] (Next menu) [UP] (Next menu) [DN] (Pre. menu)
  53  6 F 8 A 0 5 2 1                                          [ESC] (Previous Menu) [ESC] (Previous Menu) [ESC] (Previous Menu) [ESC] (Previous Menu) [ESC] (Previous Menu) [ESC] (Previous Menu) [ESC] (Previous Menu) s5:ADDITIVE SENS. RANGE :−9.99 - 9.99 DATA: 0.00 [SET] SET,[ESC] CANCEL [SET](Set) [SET](Fix) [ESC](Cancel) R1:ADDITIVE RATIO RANGE :0.000 - 1.999 DATA: 0.000 [SET] SET,[ESC] CANCEL [SET](Set) [SET]Fix) [ESC](Cancel) R2:ADDITIVE RATIO RANGE :0.000 - 1.999 DATA: 0.000 [SET] SET,[ESC] CANCEL [SET](Set) [SET](Fix) [ESC](Cancel) R3:ADDITIVE RATIO RANGE :0.000 - 1.999 DATA: 0.000 [SET] SET,[ESC] CANCEL [SET](Set) [SET](Fix) [ESC](Cancel) R4:ADDITIVE RATIO RANGE :0.000 - 1.999 DATA: 0.000 [SET] SET,[ESC] CANCEL [SET](Set) [SET](Fix) [ESC](Cancel) R5:ADDITIVE RATIO RANGE :0.000 - 1.999 DATA: 0.000 [SET] SET,[ESC] CANCEL [SET](Set) [SET](Fix) [ESC](Cancel) The additive ratio of additive 1 (the mass ratio with regard to component 0) is set. In the same manner, the sensitivities of the following additives 2 to 5 are set. s5:ADDITIVE SENS. DATA: 0.00 [SET] CHANGE  [ESC] RETURN  R1:ADDITIVE RATIO DATA:0.000 [SET] CHANGE  [ESC] RETURN  R2:ADDITIVE RATIO DATA:0.000 [SET] CHANGE  [ESC] RETURN  R3:ADDITIVE RATIO DATA:0.000 [SET] CHANGE  [ESC] RETURN  R4:ADDITIVE RATIO DATA:0.000 [SET] CHANGE  [ESC] RETURN  R5:ADDITIVE RATIO DATA:0.000 [SET] CHANGE  [ESC] RETURN  AF:ADDITIVES COMP. DATA :ON [SET] CHANGE  [ESC] RETURN  [DN] (Pre. menu) [UP] (Next menu) [DN] (Pre. menu) [DN] (Pre. menu) [UP] (Next menu) [DN] (Pre. menu) [UP] (Next menu) [DN] (Pre. menu) [UP] (Next menu) [DN] (Pre. menu) [UP] (Next menu) [DN] (Pre. menu) [UP] (Next menu)
    54  6 F 8 A 0 5 2 1  5.2.16 Other menus display and operating procedures                                      [ESC] (Previous Menu) [ESC] (Previous Menu) [ESC] (Previous Menu) Move the cursor to "11" with [→] key, and press [SET] key to select [ 11:OTHERS] ho:4-20mA IN [EXT] DATA :4mA [SET] CHANGE  [ESC] RETURN  ho:4-20mA IN [EXT] RANGE  :LAST/4mA/TEST DATA: 4mA [SET] SET,[ESC] CANCEL [SET](Set) [SET](Fix) [ESC](Cancel) DI:C CHANGE. ON/OFF RANGE  :ON/OFF DATA: OFF [SET] SET,[ESC] CANCEL [SET](Set) [SET](Fix) [ESC](Cancel) 9:LINEARIZ/CNDUCTVTY 10:ADDITIVES CORRECT 11:OTHERS  C2:DensityMultiplier RANGE :0.000-9.999 DATA: 1.000 [SET] SET,[ESC] CANCEL [SET](Set) [SET](Fix) [ESC](Cancel) C3:DensityMultiplier RANGE :0.000-9.999 DATA: 1.000 [SET] SET,[ESC] CANCEL [SET](Set) [SET](Fix) [ESC](Cancel) The simulated output at contact OFF in the event of external synchronized operation can be selected. Each time the[UP] or [DN] key is pressed, the mode display is switched around among LAST VALUE (immediately preceding value), 4mA and TEST OUTPUT (simulated output 0.0 to 99.9%TS when in setting mode). [SET] is pressed with the mode display to select. Up to four density multipliers can be switched around by the external voltage signal (DI) of two points. This is used for switching the brand, etc. On this menu, whether to perform the density multipliers switching (ON) or not (OFF) is selected. Each time the [UP] or [DN] key is pressed, ON/OFF are mutually alternated. In the event of performing the density multiplier switching by means of the external voltage signal (DI) of two points, the second density multiplier is set. In the same manner, the following 3rd and 4th density multipliers are set. The first density multiplier is performed with the menu for span calibration. DI:C CHANGE. ON/OFF DATA  :OFF [SET] CHANGE  [ESC] RETURN  C2:DensityMultiplier DATA:1.000 [SET] CHANGE  [ESC] RETURN  C3:DensityMultiplier DATA:1.000 [SET] CHANGE  [ESC] RETURN  [ESC] (Previous Menu) [DN](Pre. menu)[UP] (Next menu) [DN](Pre. menu)[UP] (Next menu) [DN](Pre. menu)[UP] (Next menu) [UP] (Next menu)
  55  6 F 8 A 0 5 2 1                         [ESC] (Previous Menu) [ESC] (Previous Menu) [ESC] (Previous Menu) C4:DensityMultiplier RANGE :0.000-9.999 DATA: 1.000 [SET] SET,[ESC] CANCEL [SET](Set) [SET](Fix) [ESC](Cancel) Although, in the event of high density measurement, the software is installed in such a manner that the automatic adjustment function of the phase angle rotation is automatically canceled (OFF) by the setting full-scale (the upper density measurement range), the function can also be canceled by force through manual input. However, normally, set it to "ON". Each time the [UP] or [DN] key is pressed, ON/OFF are mutually alternated. NA:N AUTO ADJUSTMENT RANGE   :ON/OFF DATA: ON [SET] SET,[ESC]CANCEL [SET](Set) [SET](Fix) [ESC](Cancel) ho:4-20mA IN [EXT] DATA :4mA [SET] CHANGE  [ESC] RETURN  C4:DensityMultiplier DATA:1.000 [SET] CHANGE  [ESC] RETURN NA:N AUTO ADJUSTMENT DATA:ON [SET] : CHANGE [ESC] : RETURN [ESC] RETURN [DN](Pre. menu)[UP] (Next menu) [DN](Pre. menu)[UP] (Next menu) [DN](Pre. menu)
    56  6 F 8 A 0 5 2 1  6. OPERATIONS   6.1 Procedures for Preparing and Running  Make preparations and perform operations, that is, density measurements, in accordance with the following procedure.                              Verifying the piping  Verifying the valve closure Verifying the cable connection  Verifying the converter power-ON & display  Warm-up Verifying and setting measurement conditions Filling up the density meter pipe with drinking water (density 0%) Zero calibration Pour the fluid to be measured Span calibration Startup See 6.2(1)  See 6.2(2)  See 6.2(3)  See 6.3.1(1)  See 6.3.1(2)  See 6.3.2(1) and (2)  See 6.4(2) to (10)  See 6.4(11) to (15)  See 6.5  Refer to 6.6, 6.7  See 6.6 Normally omitted.
  57  6 F 8 A 0 5 2 1 6.2 Preparations before Turning on Power (1)  Check piping Check piping and ensure that there are no loose nuts and bolts, or missing gaskets. Make sure that the density meter is properly connected in the pipeline.  See the section 3.3, Installation and Piping.  (2)  Close the valves Make sure that the drain valve, sampling valve, and zero water valve, which are installed in the pipeline, are all closed.  (3)  Verifying the cable connection It is verified that cables are correctly connected to their respective terminal blocks. It is verified that the ground (grounding resister: less than 100 Ω) is reliably connected to this density meter. In the event of performing an external synchronized operation, the external contact input signal connected with ON/OFF of the pump is required; therefore, make sure that the external contact input signal cable is reliably connected.  6.3 Power on and Preparations for Measuring  6.3.1 Turning power on  (1)  Turn the power switch on Turn on the power switch of the converter and see that the power indicator([POWER]), the density indicator, and the LCD indicator are lit.  (2)  Warming-up Please warm up for 30 minutes or more to achieve a steady measurement after turning power on.
    58  6 F 8 A 0 5 2 1  6.3.2 Verifying and setting measurement conditions  (1)  Verifications and settings for initial powering-ON In the event of starting the operation after turning on the power for the first time since installing this density meter, it is necessary to first set the measurement conditions of the converter. Various measurement conditions (parameters) are verified and set by means of the setting key while viewing each menu screen of the LCD indicator. Major measurement conditions are as follows.  ① Verifying and setting the measurement range. Unless otherwise specified in your order, the value here is set to 0 to 3%TS, which is the provisional set value at the time of factory shipment. Reset the value in accordance with the operation condition of your plant. If the measurement range is specified in your order, verify that the value is set as specified. If the value is different, reset it. ② Verifying and setting the operation mode At the time of factory shipment, this is set to "CONT" (the normal continuous operation mode). In the event of the density meter being made empty due to pump shutdown or valve closure, etc. or of using such a method that stops the flow for some time, it is recommended that "EXT" (the external synchronized operation of switching between ON/OFF of measurement by means of ON/OFF of the external contact input signal connected with the pump ON/OFF) be selected. In the event that the external synchronized operation is selected, the values of“delayed time (dt)” and “output at contact OFF(ho)”are the provisional set values at the factory shipment. If the those values are meet to the operation conditions of the plant rest it to an appropriate value in accordance with the operation conditions of the plant. ③ Verifying and setting the simulated output in setting mode.  Normal measurements are suspended while this density meter is in the setting mode (see "2  SETTING MENU"); thus, both the density display and the density output are given the simulated values ( density test output (ot)) that are set beforehand. Although, at the time of factory shipment, the value is provisionally set to "1.5%TS" (50% of the specified full-scale density if the measurement range is specified), reset it to an appropriate value in accordance with the operation conditions of the plant. ④ Verifying and setting the moving average  times    At the time of factory shipment, the "moving average times" is set to 1 (without the moving average). If the averaged output is required to be used for density control, etc., set it to about 10. The more the moving average times, the worse the responsiveness becomes with regard to density variation. Therefore, set it to an appropriate value in accordance with the plant conditions, including the right balance with the responsiveness. ⑤ For other measurement conditions, the standard values are set. Therefore, it is normally unnecessary to change these settings.   [NOTE] “10  VARIOUS FUNCTION” describes various functions of the Density Meter LQ500. If necessary, make additional settings for using these functions appropriately.   (2)  Verifications at the time of normal power-ON In the event that measurement conditions of the converter are already set with the operation not being the first one since installation, verify the set value while referring to (1).
  59  6 F 8 A 0 5 2 1
    60  6 F 8 A 0 5 2 1  6.4 Zero Calibration  All the density meters are calibrated for zero point [zero point phase ( θ1 ) and zero point water temperature (T0) ] at the time of shipment and parameters are set correctly. You do not need to calibrate the meter for zero point before using it at site. In the case of the density readings are found to be way off from the result by manual analysis, or when you need to read just the zero point for a particular reason, follow the procedures below in calibrating the zero. For information on the converter operation and the LCD display regarding zero-point calibration, please refer to Subsection 5.2.11.  (1)  Switching to the setting mode (see Subsection 5.2.5)  First of all, press the [ESC] key of the converter several times (normally once although this varies with the operation status) to return to the initial menu display. Next, use the [→] key to move the LCD indicator cursor to the menu number "2" of "2  SETTING MENU" and then press the [SET] key to display the warning message saying "Test output will be valid." Make sure that there is no problem and then press [→] to get into the setting mode. And return to [2: SETTING MENU]. Then, the output will be switched to the simulated output that is set beforehand.  (2)  Stopping the flow in the pipeline If it is allowed to stop the flow in the pipeline where the detector is installed, do so by, for example, turning off the pump. ● If it is not allowed to stop the fluid flow through the pipeline: When it is not permitted to stop the flow of the line, bypass the flow by opening the valve on the bypass pipe. ◆ It is recommended that the bypass piping be installed for adjustment/maintenance purposes such as zero calibration in the event that the flow in the pipe line cannot be stopped.  (3)  Close the upstream valve and downstream valve Close the shutoff valves on both sides of the detector tightly. Note: Be sure to close the upstream valve first. ◆ In the event that the density meter is installed on the discharge side of the pump, make sure to shut the valves starting from the upstream one to prevent the fluid pressure in the density meter from rising.  (4)  Drain the detector pipe Open the drain valve of the pipeline where the detector is installed to discharge the fluid.  (5)  Open the zero water feed port Open the valve or remove the cap to feed zero water.  ◆ When you open the zero water feed port, make sure that the pressure of the fluid in the pipeline where density meter is installed becomes zero before opening the port. Any remaining pressure will cause the measured matter to be spurted out. Be careful about this.   (6)  Close the drain valve  (7)  Supplying zero water Put zero water (such as tap water) in the pipeline where the density meter is installed through the zero water supply port by using a vinyl hose.
  61  6 F 8 A 0 5 2 1(8)  Clean inside of the detector main pipe   When the pipeline where the detector is installed is filled with zero water, open the drain valve to let out the water from the pipeline. Clean inside of the pipeline where the density meter is installed by repeating Steps (7) and (8) until the water density can be said to be zero against the density of the object fluid. (It is not necessary to make the water clean and transparent.)  (9)  Fill up the detector pipe with zero water After cleaning the pipeline where the density meter is installed, close the drain valve, and fill it with zero water. Keep adding water while releasing air until water overflows the feed port.  (10)  Wait Leave the detector and water in this state for about 15 minutes. ◆ In the event that the flow of the measured matter can be switched to that of the zero water by switching over to another valve, etc., it is all right to replace the work activities (2) to (10) with the relevant method and implement the following zero calibration while allowing the zero water to keep flowing. Even when switching the flow to that of zero water, wait for about 15 minutes before implementing the zero calibration.  (11)  Selecting the zero calibration menu (see Subsection 5.2.5) After verifying that the converter is in the setting mode ("2  SETTING MENU") through the operation of (1), use the [→] key to move the cursor of the LCD indicator to the menu number "6" of [6  ZERO CALIBRATION] and then press the [SET] key.  (12)  Check zero water density reading (see Subsection 5.2.11) The measured density of zero water is displayed on the density indicator. If the indicator shows [−0.00], it means that the zero point is off toward the negative.  (13)  Zero calibration (see Subsection 5.2.11) If the zero point is found to be off, press the [SET] key. The data (θ1, T0, zG) of the zero point is replaced by the current data, thus rendering the angle rotation to N=0 and automatically the density display to zero. The data (θ1, T0, zG) of the zero point is stored in the memory of the density meter until the zero calibration is implemented once again, thus making it possible to verify it on the constant monitoring menu. However, for the purpose of history management, keep a note of the data. ◆ Unless the zero point is out of place, the zero calibration is suspended by pressing the [ESC] key.  (14)  End zero calibration  This completes the zero calibration. Close the zero water valve, ensure that the sampling valve and drain valve are closed, then open the shutoff valves on both ends of the detector pipe, downstream first and upstream next. Lastly, close the shutoff valve on the bypass pipe to restore the flow of the fluid as before the calibration.  (15)  Restoring to the measuring mode Press the [ESC] key of the converter twice to return the menu of the LCD indicator to the initial menu display to return to the usual measuring mode from the setting mode. Thus, the measurement starts. ◆ In the event that the external synchronized operation is selected, the external contact input signal is changed to ON, thus starting the density measurement after the specified delayed time has elapsed.
    62  6 F 8 A 0 5 2 1  6.5 Span Calibration  Span calibration is for adjusting the readings of the density meter to the values determined by manual (off-line) analysis. For information on the converter operation and the LCD display regarding span calibration, please refer to Subsection 5.2.12.  (1)  Preparations for manual analysis Prepare following items for manual analysis; a moisture meter (for example, an infrared moisture meter, with the accuracy or percentage reading down to 0. 1 %), plastic bottles of about l liter with a wide opening, and plastic beakers of about l00 ml for manual analysis.  (2)  Sample fluid for manual analysis  Slightly open the sampling valve on the pipeline and let out the fluid a while before filling a 1-liter bottle to half. Read and record the density value of the current fluid.   [NOTE] ◆ Make sure to carry out the sampling when the density of the measured matter is in a stable state with the measured matter flowing.  (3)  Manual analysis Put a part of the sample fluid into a 100-ml plastic beaker, and measure the density of it using drying and weighing method of analysis.  (4)  Calculation of density multiplier  Use the result of analysis to calculate a density multiplier using the following equation after the manual analysis conducted:   Density multiplier C = A/(M/C’)     where M is the density by the density meter (as read and recorded);     A is the result of the manual analysis      C’ is the density multiplier before span calibration  (Initially, C’ is equal to 1.000 which is the value set in the factory before shipping)  For example, if M = 4.0 %TS, A = 4.8 %TS and C’=1.000       C = 4.8 / (4.0/1) = 4.8/4.0 = 1.2  ◆ In the case that span calibration has been done already, and density multiplier C is not 1.000, the new density multiplier C can be calculated in the following way. For example, if M = 4.8 %TS, A = 4.2 %TS and C0=1.2     C = 4.2 / (4.8/1.2) = 4.2/4 = 1.050
  63  6 F 8 A 0 5 2 1 (5)  Setting the density multiplier (5-1) Switching to the setting mode (see Subsection 5.2.5) First of all, press the [ESC] key of the converter several times (normally once although this varies with the operation status). Next, use the [→] key to move the LCD indicator cursor to the menu number "2" of "2  SETTING MENU" and then press the [SET] key to display the warning message saying "Tset output will be vaild." Make sure that there is no problem and then press [→] to get into the setting mode. And return to [2: SETTING MENU]. Then, the output will be switched to the simulated output that is set beforehand.  (5-2) Selecting the converter constant setting menu (see Subsection 5.25) The menu list of menu numbers 5 to 8 is displayed. Use the [→] key to move the LCD indicator cursor to the menu number "7" of "7: SPAN CALIBRATION" and then press the [SET] key to select the menu of "7: SPAN CALIBRATION."  (5-3) Verifying and recording the density multiplier before span calibration For example, the set value of the current density multiplier as is displayed as in "DATA: 1.000" is displayed. Record this value.  (5-4) Setting the density multiplier Press the [SET] key to switch over to the setting menu of the density multiplier and enter the density multiplier found in (4). Use the [→] key to move from one digit to another. Use the [UP] and [DN] keys to switch around the number of the relevant digit. When the input is completed, press the [SET] key to confirm it. Then, the display will be returned to the immediately preceding menu screen. Verify that the resetting has been done correctly.  (5-5) Restoring to the measuring mode Press the [ESC] key twice to return to the initial menu screen and return to the measuring mode from the setting mode, thus restarting the usual measurement. Verify that the density display has been changed appropriately in accordance with the setting of the density multiplier. ◆ In the event that the external synchronized operation is selected, the external contact input signal is changed to ON, thus starting the density measurement after the specified delayed time has elapsed.  (6)  Completing the span calibration Thus, the span calibration is completed.  [NOTE] The above describes the method for finding the density multiplier as an example in the comparison with one-time manual analysis. However, to exclude errors caused by sampling, it is recommended that as many comparative data as possible be collected to find the density multiplier from their mean value.
    64  6 F 8 A 0 5 2 1  6.6 Operation  (1)  Startup (see Subsection 5.2.5) When the power is turned ON, the menu setup is automatically changed to the measuring mode (the state of "1: MONITORING MENU"), thus starting the density measurement. If the meter is in setting mode (the state of "2:SETTING MENU"), the density measurement operation is started by pressing the [ESC] key several times (varying between one to three times depending on the operation status) and thus pulling the menu setup out of the setting mode. ◆ In the event that the external synchronized operation is selected, the menu setup is changed to the measuring mode and the external contact input signal is turned ON, thus starting the density measurement after the specified delayed time has elapsed.  (2)  Executing the measurement Executes the density measurement while updating the output values (density current output value; LED density display; LCD density display on the monitor menu) approximately every second.  (3)  Suspending the measurement (see Subsection 5.2.5) When stopping the measurement, select "2: SETTING MENU" from the initial menu list to get into the setting mode. Once in the setting mode, the density measurement will be suspended and the output will be switched to the simulated value that was set beforehand.  ◆ In the event that the external synchronized operation is selected, the density measurement is suspended if the external contact input signal is turned OFF even in the measuring mode. For details including the output when the density measurement is suspended, refer to Section 6.7.  [NOTE] ◆ In the event the fluid does not flow continuously in  the pipeline where the density meter is installed or  the pipeline is temporarily left empty due to the intermittent operation of the shifting pump, perform the external synchronized operation described in Section 6.7. ◆ When the flow in  the pipeline is stopped, solid matters may settle down or float causing the density in the pipe to lose its uniformity, which in turn may cause the density measured value to gradually rise or fall. In addition, if the fluid drains out from  the pipeline,  the pipeline where the density meter is installed is not completely filled with the fluid, the density measured value turns out to be erroneous (such as exceeding the full-scale range; shifting to the minus side; major marginal error). However, this does not mean that the density meter has failed. Even to avoid such a phenomenon, it is necessary to perform the external synchronized operation.
  65  6 F 8 A 0 5 2 16.7 External Synchronized Operation This operation mode is used in the event that the measured matter does not flow continuously or the interior of the detector is temporarily left empty due to the intermittent operation of the shifting pump to the pipe line on which the density meter is installed. This mode is used to take measurements only when operating the shifting pump. To use this operation mode, it is necessary to connect the shifting pump operation and the contact signal (no-voltage) to the external synchronized input signal pins beforehand.  6.7.1 Movement of the external synchronized operation              Fig.6.7.1 External synchronized Operation  The external synchronized operation, as shown in Fig. 6.7.1, is so designed that the density measurement is executed only while the pump is being operated; and the density measurement is suspended while the pump is shut down and the simulated output is issued during this time. The external synchronized operation is effective in preventing the following inadequate phenomena.  ① The pump shutdown causes solid matters to subside or float thus making it impossible to take density measurements correctly.  ② The pump shutdown may cause the fluid to escape from the density meter thus either leaving it completely empty or insufficiently filled with fluid. In such a situation, the measured value of the density meter falls into error such as full-scale excess, shift to the minus side, or occurrence of fluctuation within major marginal error.  It takes time for  the pipeline where the density meter is installed to be filled sufficiently with the fluid after the pump is operated. Here, it is so arranged that the measurement start after the "delayed time" that is set beforehand has elapsed since receiving the contact signal linked with the pump operation. Make sure that the delayed time that is set is sufficient for the whole process of the pipe length and flow, etc. from the pump to the density meter.  As the simulated value when the density measurement is suspended, it is possible to select from among three options: "4mA", "density measured value immediately preceding the pump shutdown" and "simulated output in setting mode". The default value is 4mA. However, make sure to select a simulated output suitable to your system. Pump operating status (External contact) Density measuring status(Output) Time Time delayed time Pump operation (ON) Pump shutdown (OFF) Pump shutdown (OFF) Suspension of density measurement (Simulated output) Suspension of density measurement  (Simulated output) Execution of density measurement (Measured value output)
    66  6 F 8 A 0 5 2 1 6.7.2 Setting the external synchronized operation  (1)  Setting the delayed time (see Subsection 5.2.10) (1-1) Switching to the setting mode (see Subsection 5.2.5) First of all, press the [ESC] key of the converter several times (normally once although this varies with the operation status) to return to the initial menu display. Next, use the [→] key to move the LCD indicator cursor to the menu number "2" of "2  SETTING MENU" and then press the [SET] key to display the warning message saying "Test output will be valid." Make sure that there is no problem and then press [→] to get into the setting mode. And return to [2: SETTING MENU]. Then, the output will be switched to the simulated output that is set beforehand.  (1-2) Selecting the parameter setting menu (see Subsection 5.25) The menu list of menu numbers 5 to 8 is displayed. Use the [→] key to move the LCD indicator cursor to the menu number "5" of "5: SET PARAMETERS" and then press the [SET] key to select the menu of "5: SET PARAMETERS."  (1-3) Setting the delayed time at the time of external synchronized(see Subsection 5.2.10) Press the [UP] key five times to select the setting menu of the delayed time at the time of external synchronized(dt: DELAYED SYNC. TIME). Press the [SET] key to get into the set value input screen and then enter an appropriate value (the time sufficient for the measured matter to flow up to the density meter and fill up the pipe after the shifting pump operation is started). Use the [→] key to move from one digit to another. Use the [UP] and [DN] keys to switch around the number of the relevant digit. When the input is completed, press the [SET] key to confirm it. Then, the display will be returned to the immediately preceding menu screen. Verify that the resetting has been done correctly.  (2)  Setting the simulated output at measurement suspension (at external contact OFF) (see Subsection 5.2.16) As the simulated output when the measurement is suspended (at external contact OFF), it is possible to select from among three options as shown in Table 6.7.1. Make sure to select a simulated output suitable to your system.  Table 6.7.1 Density Display and Output at Measurement Suspension  in External Synchronized Operation Mode Density Indicator Display Output (4 - 20mA) "4mA" (Standard) Held in 0%TS Output held in 4mA "TEST" same as the simulated output value in setting mode Same as the simulated output value correspondence output in setting mode "LAST" Holds the density measured value immediately before OFF Holds the density measured value correspondence output immediately before OFF  (2-1) Selecting the "OTHERS" setting menu (see Subsection 5.2.5) Continuing on from (1), press the [ESC] key to return to the display of menus 5 to 8 in setting mode. Press the [UP] key to switch to the display of the next menus 9 to 11. Use the [→] key to move the cursor of the LCD indicator to the menu number "11" of "11: OTHERS" and press the [SET] key to select the "11: OTHERS" menu.
  67  6 F 8 A 0 5 2 1 (2-2) Setting the output mode at contact OFF in external synchronized operation (see 5.2.16) The current output mode at contact OFF in external synchronized operation is displayed in the initial menu "ho: 4-20mA IN [EXT]" of "11: OTHERS". To make changes, it is necessary to press the [SET] key and place the software in the setup state. Each time the [UP] or [DN] key is pressed, the mode display is switched around from "LAST" (immediately preceding value), through "4mA" to "TEST" (the simulated output value in setting mode). Press the [SET] key on the display in the selected mode to confirm. The screen is returned to that of the immediately preceding menu screen. Make sure that the resetting is done correctly.  (2-3) Returning to the measuring mode Press the [ESC] key twice to return to the initial menu and return from the setting mode to the measuring mode to resume the normal measurement.  (3)  Setting the operation mode  (3-1) Selecting the operation mode change menu (see Subsection 5.2.6) In the initial menu, use the [→] key to move the cursor of the LCD indicator to the menu number "3" of "3: MEASURING MODE" and then press the [SET] key to get into the operation mode menu.  (3-2) Verifying and setting the operation mode The current operation mode is displayed at "DATA" of the LCD indicator . "CONT" refers to the mode of taking measures continuously without relying on the status of the external contact signal, whereas "EXT" refers to the external synchronized operation mode. If the current setting is "CONT," press the [SET] key to get into the setup screen of operation mode; press the [UP] or [DN] key to switch the set value of the operation mode to "EXT"; and press the [SET] key to confirm. The screen is returned to the immediately preceding menu screen. Make sure that the resetting has been done correctly.  (4)  Starting the external synchronized operation With the settings above, measurement ON/OFF are proceeded with as shown in Fig.6.7.1 in accordance with external synchronized contact signal ON/OFF.  6.8 Functions Related to Operation  To enable you to use the Density Meter Type LQ500 more appropriately in various processes and situations, the device is equipped with various functions including the moving average, the change-rate limit, the electric conductivity correction, the additive correction, the linearizer and the density multiplier switching by external signals. Make settings necessary for using these functions appropriately where necessary. For details, please refer to Chapter 10.
    68  6 F 8 A 0 5 2 1  7. MAINTENANCE  7.1 Precautions for Maintenance, Inspection and Parts Replacement WARNING   DO ■Be sure to set the power switch on the equipment to the OFF position before doing maintenance or inspection inside the equipment or replacing its parts.  Failure to observe this can cause electric shock or equipment failure.   DO ■Be sure to set the power switch on the equipment to the OFF position before replacing the fuse.  Failure to observe this can cause electric shock.   DO ■Do not touch the terminal block during maintenance or inspection. If it is necessary to touch the terminal block, set the power switch on the equipment to the OFF position in advance.  Failure to observe this can cause electric shock.   DON’T ■Do not attempt disassemble or modify the equipment.  Failure to observe this can cause electric shock or equipment failure.         The label shown at left is placed near each terminal block on the equipment to which power is supplied. Be careful of electric shock. Yellow Yellow Yellow
  69  6 F 8 A 0 5 2 1 7.2 Maintenance and Inspection Items Periodic maintenance and inspection is necessary for reliable measurement over a long period of time. Since the density meter has no mechanically moving parts, however, it does not require replacement of mechanism elements in a normal operating environment. Compare the density measured value and the manually analyzed value in the cycle shown in Table 7.1. If necessary, implement the span calibration after implementing the zero calibration. Clean up the detector when it is necessary. The spare parts that must be kept on hand are the fuses in Table 7.2. Table 7.1  Maintenance and Inspection Items Item Cycle Remarks Comparison of density meter measured value with manually analyzed value Any time At least three samples are desirable. Check the appearance of detector (accumulation of dirts, scratches, etc) Any time    [NOTE] ◆ If the density meter measured value deviates from the manually analyzed value to the extent of causing obstacles, implement the span calibration (changing the density multiplier C) while referring to Section 6.5. ◆ If the density meter measured value greatly deviates from the manually analyzed value by less than half or more than twice, implement the span calibration after implementing the zero calibration while referring to Section 6.4 and 6.5. ◆ If the density meter is used to measure process flow which contains plenty of wool or fabric substances, these substances may accumulate on the detector, thus perform maintenance and inspection, and cleaning periodically (every 3 months). Table 7.2  Spare Parts Name Specifications Qty Fuse 2A(T),250V cartridge, glass tubular fuse, 5.2mm outer dia. x 20mm long Shape/characteristics: 5NM or equivalent (based on JIS C 6575) 2
    70  6 F 8 A 0 5 2 1 [NOTE] ◆ Fuses are parts with expected life span. Therefore, replace them periodically. (Recommended replacement cycle: about 3 years) ◆ In general, the service life of an electronic part becomes shorter at higher ambient temperature. There is a DC switching power supply in the converter that contains electrolytic capacitors. The service life is about 10 years at the ambient temperature of 20°C or about 3 years at 50°C. For stable use of the meter for many years, it is desirable to replace these parts in time. When replacing the capacitors, please contact Toshiba's Service Dept. ◆ In the event that the characters on the LCD display becomes weak in contrast or edge, it is considered that the LCD display unit has reached the end of its life. Although such unsatisfactory visibility may not affect the performance of the density measurement, the display unit should be replaced if it interferes with the operation. When replacing the display unit, contact Toshiba's Service Dept. ◆  Regarding the arrester (converter), part replacement differs depending on how often lightning occurs. Suppose lightning (induction lightning) occurs twice a year, service life expires in 5 years and replacement is necessary. For arrester replacement, an entire arrester unit (board: converter) should be replaced. To replace the unit, please contact our service personnel.
  71  6 F 8 A 0 5 2 1 8. TROUBLESHOOTING     8.1 Troubleshooting If any trouble has developed, make a careful check and take appropriate steps. Table 8.1 shows possible troubles, their causes, and remedies. If anything wrong occurs, refer to the table below and take the necessary steps. If that does not remedy the trouble, send information on the trouble, in as much detail as possible, and self-diagnosis data to our Service Department.  Table 8.1 Troubleshooting (1) No. Trouble Cause Remedy AC power is not supplied. Check terminals [L1] and [L2] on terminal block with voltage tester. If AC voltage is not supplied, supply AC power in accordance with specifications. 1 Converter power cannot be switched on. Fuse (2A) is blown. Replace fuse. 2 ALARM indicator lights; density meter error contact output.. Fault in the density meter In accordance with Section 8.2, perform self-diagnosis data check and restoration operations. If ALARM indicator lights again, send self-diagnosis data to our Service Department. 3 While the flow is stagnant, the indicator is in error. The fluid in the pipeline where the detector is installed drained out. 4 While the flow is stagnant, the measured density value slowly increases or decreases. Density becomes uneven because the measurement object fluid in the fluid in the pipe starts to sinks or floats, thus causing the density in the center portion of measured fluid to increase or decrease. Use the externally synchronized operation.  See Section 6.7.  (Density meter is not faulty.)
    72  6 F 8 A 0 5 2 1  Table 8.1 Troubleshooting (2) No. Trouble Cause Remedy Inappropriate density correction factor setting. Calibrate span as described in section 6.5. Air accumulates and keep staying inside the detector. Or substance being measured is sediment. Very slow flow can be the cause. Make the flow faster by using smaller bore detector to prevent air or substance from remaining in the detector. If this does not solve the problem, resort to vertical piping. Large quantity of bubbles are contained in the fluid. Find out where the air is brought in, and make necessary adjustments. Keep mixer vanes under water. Position the pump inlet low enough. Keep fluid pressure high (0.1MPa or more is recommended). Large quantity of bubbles are contained in the fluid. Remedy the locations containing air bubbles. An example is to position the blade of the agitator in the tank below the fluid level. Another example is to position the inlet port of the pump sufficiently below the fluid level.  Take necessary steps to make the fluid pressure high (0.1MPa or more is recommended). It is desirable to install the meter on the discharge port of the pump. At the same time, make sure that the meter is placed as far as possible (closer to the pump) from the pipe outlet for air release. 5 Too much difference between measured density and manual analysis value  6 Measured density varies widely and does not agree with manual analysis value. The pipeline where the detector is installed is not filled with the substance to be measured that flows.  Or air remains in  the pipeline where the detector is installed. Keep the tube always filled up with fluid by closing the downstream valve slightly or add a relief valve. Installing the density meter on the outlet side of the pump can help eliminate the cause of those troubles. Vertical piping is recommended for filling the pipe. 7 Suitable location varies depending on density. Zero point is off. Calibrate zero point as described in Section 6. 4, then calibrate span described in Section 6.5 The electric conductivity of the measured matter is too high. Check if the electric conductivity is within the specified range. If the electric conductivity is beyond the range, send its measurement results and self-diagnosis data to our Service Department. 8 Output is either unstable or unsuitable. Converter failure Send self-diagnosis data to our Service Department.
  73  6 F 8 A 0 5 2 1  8.2 Error Indications and Recovery Operations  If an error occurs to the density meter, the error indicator [ALARM] will light up and a contact signal (OFF) will be output. Check the self-diagnosis data for any faulty values in accordance with the following steps.  (1) Monitor menu display (see Subsection 5.2.4) First of all, press the [ESC] key of the converter several times (normally once although this varies with the operation status) to return to the initial menu display. Next, use the [→] key to move the LCD indicator cursor to the menu number "1" of "1: MONITORING MENU" and then press the [SET] key. (The cursor of the initial state is located on "1".)  (2) Switching to the self-diagnosis menu (see Subsection 5.2.7) In the monitoring menu, use the [→] key to move the cursor of the LCD indicator to the menu number "3" of "3: SELF-DIAGNOSIS" and then press the [SET] key.  (3) Checking the self-diagnosis data (see Subsection 5.2.9) Press the [UP] key to move from one self-diagnosis data to another to check for any error. ◆ To detect which numerical range is an error value, please refer to Table 8.2.  (4) Terminating the self-diagnosis After checking, press the [ESC] key twice to return to the initial menu display.   If an error value is found, turn off all the power switches of the converter and then turn them back on. The self-diagnosis is executed all over again by the powering-ON. If an error is displayed again as a result of the self-diagnosis, send the relevant item to our Service Department.
    74  6 F 8 A 0 5 2 1  Table. 8.2 Self-diagnosis data Data Item Symbol Item name  Data Status  Data (Numeric value range; normal data range, status) ST Status [STATUS] • Normal [GOOD] • Warning [WARNING.] Whether the phase measurement operation is normally functioning or not can be verified.  SL Microwave recieved signal level [MICROWAVE SIG. LVL] Without error judgment based on data numeric • Usual range: -90 to -40 (dBm) F Microwave coef.  [MICROWAVE COEF.] Without error judgment based on data numeric • Normal range: 1825 ∼ 1975  G Data concerning microwave phase measurement  [RF DATA] Without error judgment based on data numeric • Normal range + 10.0 ∼ + 80.0 (°C) J +5 V voltage  [+5V POWER SUPPLY] Without error judgment based on data numeric •  Normal range  4.5 ∼ 5.5(V) pd Reference phase error [REF PHASE] Without error judgment based on data numeric •  Normal range  - 9.9 ∼ + 9.9 (°C) P Memory check [MEMORY CHECK]  Normal   [GOOD] Abnormal [N.G.] EPROM, RAM, EEPROM are checked
  75  6 F 8 A 0 5 2 1 9. CORRECTIONS IN  DENSITY CALCULATION    This density meter, which operates on the basis of phase difference measurement by microwaves makes automatic corrections to the measured phase angel for the fluid temperature and phase angel rotation before making the density calculations for the measured substance. This chapter describes the methods for corrections and the density calculations. 9.1 Density Calculation This density meter measures the phase lag θ1 in the density zero water (zero water), which is the basis, and the phase lag θ2 in the measured matter, the difference △θ(= θ2 - θ1) of which being proportional to the density is used to obtain the density. The density (X) of the measured matter is calculated in accordance with the following equation.  X= C ×( a × △θ )+  b   where     X : Measured density value (%TS)     △θ : Phase difference. △θ = θ2−θ1 (degrees)     a : Density line slope;     b : Density intercept;     c : Density multiplier (Density correction factor.)
    76  6 F 8 A 0 5 2 1 9.2 Various Kinds of Corrections 9.2.1 Phase angle rotation correction The phase is available only from 0 degree to 360 degrees. If the phase incrementally reaches 360 degrees, it returns to 0 degree, from which it keeps incrementing again. If the phase decreasingly reaches 0 degrees, it returns to 360 degrees, from which it keeps decreasing again. Accordingly, the concept of phase angle rotation is incorporated into this density meter and some corrections have been made so to allow the phase to change to an unlimited extent. In such a manner, this density meter has overcome the limit that the phase is available only from 0 to 360 degrees, thus realizing high density measurement. Phase angle rotation correction refers to obtaining the real phase angle θ2 by judging the number of rotations the dummy angle θ2' belongs to based on the measured values coming before and after.  θ2 = θ2' + N x 360 (degrees) N: Number of rotations  Set N=0 at the time of zero calibration, making the number of rotations to zero for the phase angle  θ1 at zero point. If the θ2' exceeds 360 degrees to enter into the next rotation, set N=1. If it again exceeds 360 degrees to enter into the rotation after the next rotation, set N=2.  (N will move up to 2 only if the meter is of large diameter and the density is high.) On the other hand, if θ2' goes below zero (0) degree to enter into the previous rotation, decrease N by one (1). In other words, when it goes into the -1st rotation from the 0th one, set N=−1; and when into the 0th rotation from the 1st one, set N=0.  Note: The description above is the basics regarding the phase angle rotation correction. Normally, it is all right to use the density meter without being aware of this correction. However, in the event of measuring high density, etc., special setups and actions may be needed. For details, refer to Section 9.3.  9.2.2 Fluid temperature correction  The phase tends to change in a straight line with regard to the fluid temperature. In this connection, fluid temperature correction is performed on θ2 as follows to obtain the phase difference △θ   △θ={θ2−α(Τ−Τ0)}− θ1 △θ : △θ: Phase difference [degrees] θ2   : Actual phase angle of measurement object fluid [degrees] θ1 : Phase during zero water measurement (degrees)  (Measured during zero calibration, and set in advance as a constant) α : Fluid temperature correction factor (degrees/℃) T  : Temperature of measurement object fluid (℃) T 0 : Water temperature during zero calibration (℃)  (Measured during zero calibration, and set in advance as a constant)
  77  6 F 8 A 0 5 2 1 9.2.3 RF correction  In addition to the fluid temperature correction, the density meter is equipped with the RF correction function in accordance with the features of the converter. The correction is performed on θ2 as follows to obtain the phase difference △θ.   △θ={θ2−α(Τ−Τ0)−δ(G−G0)}−θ1 △θ : Phase difference [degrees] θ2 : Actual phase angle of measurement object fluid [degrees] θ1 : Phase during zero water measurement (degrees) (Measured during zero point calibration, and set in advance as a constant) α : Fluid correction factor (degrees/℃) Τ : Temperature of measurement object fluid (℃) Τ0 : Water temperature during zero adjustment (℃)  (Measured during zero point calibration, and set in advance as a constant) δ : RF correction factor G : RF data during measurement G0 : Zero point RF data  (Measured during zero point calibration, and set in advance as a constant)  9.2.4 Ambient temperature correction  In addition to the fluid temperature correction and RF correction, the density meter is equipped with the ambient temperature correction function. The correction is performed on θ2 as follows to obtain the phase difference △θ.  <Note> Since ambient temperature correction function is an option, ambient temperature correction factor ß must be set “0.00”.  △θ={θ2−α(Τ−Τ0)−δ(G−G0)ß(A‐A 0)}−θ1  △θ : Phase difference (degrees) θ2 : Actual phase angle of measurement object fluid (degrees) θ1 : Phase during zero water measurement (degrees) (Measured during zero point calibration, and set in advance as a constant) α : Fluid correction factor (degrees/℃) Τ : Temperature of measurement object fluid (℃) Τ0 : Water temperature during zero adjustment (℃)  (Measured during zero point calibration, and set in advance as a constant) δ : RF correction factor G : RF data during measurement G0 : Zero point RF data (Measured during zero point calibration, and set in advance as a constant) ß : Ambient temperature correction factor (degrees/℃) A : Ambient temperature (℃) A0 : Ambient temperature during zero adjustment (Measured during zero point calibration, and set in advance as a constant)
    78  6 F 8 A 0 5 2 1 9.3 Phase Angle Rotation Correction (Details) This section describes the special setups and actions required for cases of measuring high density. In normal measurement, it is unnecessary to be aware of the phase angle rotation correction, which is performed automatically.   9.3.1 Care point concerning phase angle rotation As described in 9.2.1, the number of phase angle rotations N is incremented or decreased judging from the values before and after the measured value. Such a processing requires the condition that the measured phase value varies continuously in accordance with the density of the measured matter. If the density meter detector is empty, however, the continuity of measured phase values is damaged thus making a normal phase angle rotation correction impossible, which in turn may cause the number of phase angle rotations to jump to a faulty value. If the number of phase angle rotations N is inappropriate, the density calculation result will also turn out to be erroneous. Once such a trouble occurs, it is necessary to reset the number of phase angle rotations N to an appropriate value through manual input.  9.3.2 Phase angle rotation in external synchronized operation The trouble previously described will be solved by performing the "external synchronized operation" incorporated into this density meter. In the external synchronized operation, if the contact signal is switched OFF synchronized with the pump shutdown, not only the output is switched to the simulated one but also the immediately preceding value is kept as the number of phase angle rotations N.   9.3.3 Outline of automatic adjustment function of phase angle rotations Furthermore, this density meter is equipped with the function of "automatic adjustment of phase angle rotations." This function judges whether the measured density calculated with the number of phase angle rotations N is proper or not in terms of the set density measurement range, etc. and then adjusts the number of phase angle rotations either incrementally or decreasingly if necessary. Even when the density meter detector is temporarily made empty thus causing the number of phase angle rotations N to jump to an inappropriate value, this function is also used to fill up the density meter detector once again with the matter to be measured and automatically adjust the number of phase angle rotations N to an appropriate value, which in turn will render an appropriate value for the measured density. While the density meter detector is left empty, the measured phase value itself comes to have an indefinite value, which in turn will render the measured density indefinite. Therefore, if the density meter detector could be made empty, it is desirable to perform the external synchronized operation.  9.3.4 Judgment conditions and adjustments for automatic adjustment of phase angle rotations   The judgment conditions and adjustments regarding the automatic adjustment of phase angle rotations and the measured density are listed in Table 9.3.1.  Table 9.3.1  Judgment Conditions and Adjustments  for Automatic Adjustment of Phase Angle Rotations Measured Density Automatic Adjustment of Phase Angle Rotations N Xmin = Less than −4(%TS) Incremented (N = N+1) −4∼C×a×360(%TS) Unadjusted Xmax = More than C x a x 360 (%TS) Decreased (N = N-1)
  79  6 F 8 A 0 5 2 1In Table 9.3.1 above,  C: Density multiplier (Varies with the character of the measured matter.) a: Density slope  (A constant determined by the meter size)  The values of the respective meter size in C = 1, 0.7 and 1.8 as examples of the value Xmax in which N is judged to be too large are listed in Table 9.3.2. Each of the values is the result of the value when C=1 in Table 9.3.2 multiplied by C.  Table 9.3.2 Value of XMAX  (%TS) Aperture C 50mm 80mm 100mm 150mm 200mm 250mm 300mm  0.7 42.34 26.46 21.17 14.11 10.57  8.57  7.06 1.0 60.48 37.80 30.24 20.16 15.12 12.24 10.08  1.8 108.86 68.04 54.43 32.29 27.22 22.03 18.14  9.3.5 Restrictions and invalidation in applying the automatic adjustment of phase angle rotations  This function of automatic adjustment of phase angle rotations involves some application restrictions. For example, it cannot be applied to the case of measuring high density as follows.  <Example>  In the case of meter size: 150 mm; upper density measurement range: 20%TS; and density multiplier: 0.7 As shown in Table 9.3.2, Xmax=14.11(%TS). Therefore, when the measured density exceeds 14.11(%TS), the adjustment of decreasing the number of phase angle rotations applies as shown in Table 9.3.1, thus making it impossible to measure the density in excess of 14.1(%TS).  To solve the problems as shown in the example above, measurement is taken so that the function of automatic adjustment of phase angle rotations is automatically invalidated if the upper measured density range exceeds Xmax. Check the operating conditions to see if the function of automatic adjustment of phase angle rotations is applicable or not.  [NOTE] In the cases where the automatic adjustment of phase angle rotations is not applicable, after the density meter detector is temporarily made empty, it is necessary to reset the phase angle rotation to an appropriate value through manual input. In the cases, it is more desirable to perform the external synchronized operation.  9.3.6 Invalidation by setting the automatic adjustment of phase angle rotations As mentioned in the previous subsection, the density meter is equipped with the function of automatically invalidating the function of automatic adjustment of phase angle rotations, based on the conditions for setting the upper density measurement range and the density multiplier. However, in the state of starting the operation, the upper density measurement range is determined but the density multiplier is not determined yet (determined in the span calibration described in Section 6.5), thus the operation is started with a provisional value (initial value: 1). Therefore, the function of automatic adjustment of phase angle rotations, which is supposed to be invalidated, may not be invalidated, making it impossible to take an appropriate measurement (including the span calibration). This applies to the case in which the original density multiplier is smaller than the current set value (the initial value 1 in the initial operation).
    80  6 F 8 A 0 5 2 1 There are two ways of dealing with such a case. One is to automatically invalidate the function of automatic adjustment of phase angle rotations by provisionally setting a sufficiently small value such as about 0.5 for the density multiplier C so that Xmax is smaller than the upper density measurement range. Another is to forcibly invalidate the function of automatic adjustment of phase angle rotations. The latter's setting method is described below.  (1) Switching to the setting mode (see Subsection 5.2.5) First of all, press the [ESC] key of the converter several times (normally once although this varies with the operation status) to return to the initial menu display. Next, use the [→] key to move the LCD indicator cursor to the menu number "2" of "2  SETTING MENU" and then press the [SET] key to display the warning message saying "Test output will be valid." Make sure that there is no problem and then press [→] to get into the setting mode. And return to [2: SETTING MENU]. Then, the output will be switched to the simulated output that is set beforehand.  (2) Selecting the "OTHERS" setting menu (see Subsection 5.2.5) Initially, the menu list of menu numbers 5 to 8 is displayed. However, by pressing the [UP] key once, this display can be switched to the menu list of the next menu numbers 9 to 11. Use the [→] key to move the LCD indicator cursor to the menu number "11" of "11: OTHERS" and then press the [SET] key to select the menu of "11: OTHERS."  (3) Verifying or changing ON/OFF of automatic adjustment of phase angle rotations  (see Subsection 5.2.16) Press the [DN] key once (or the [UP] key five times) to display "NA: N AUTO ADJUSTMENT". On this screen, it is possible to verify whether the automatic adjustment of phase angle rotations is valid (ON) or invalid (OFF). Here, if it is necessary to alter the setting, press the [SET] key to switch to the setup display of the automatic adjustment of phase angle rotations. Each time the [UP] or [DN] key is pressed, the set value is alternated between ON and OFF. Set the value to OFF and then press the [SET] key to confirm it. The screen will be returned to the immediately preceding one; make sure that the value is correctly reset.  (4) Returning to the measuring mode Press the [ESC] key twice to return to the initial menu screen and return to the measuring mode from the setting mode to resume the normal measurement.  9.3.7 Actions after invalidating the automatic adjustment of phase angle rotations After invalidating the automatic adjustment of phase angle rotations to make it possible to take measurements appropriately even at high density in excess of Xmax, implement the span calibration in accordance with Section 6.5 and set the density multiplier to an appropriate value. While referring to Table 9.3.2, use this reset density multiplier to calculate the maximum density Xmax, which can be applied to the function of automatic adjustment of phase angle rotations and judge whether this Xmax is greater than the value of the upper density measurement range that is set. If Xmax is greater than the upper density measurement range, the function of automatic adjustment of phase angle rotations is applicable. Therefore, return the function of automatic adjustment of phase angle rotations which is set to "OFF" in Subsection 9.3.6 to“ON”.  If Xmax is smaller than the upper density measurement range, the function of automatic adjustment of phase angle rotations is invalid. Therefore, it is unnecessary to return the function of automatic adjustment of phase angle rotations which is set to "OFF" in Subsection 9.3.6 to “ON”.
  81  6 F 8 A 0 5 2 1 9.3.8 Return to the normal through manual input of the phase angle rotations If the function of automatic adjustment of phase angle rotations is not applicable whereas the density meter detector is temporarily made empty thus causing the number of phase angle rotations to jump to a faulty number, the number of phase angle rotations fails to return to an appropriate value even when the density meter detector is refilled with the matter to be measured, thus allowing the measured density to remain in error. In this connection, it is necessary to reset the phase angle rotation to an appropriate value through manual input. The setting method is described below.  (1) Switching to the setting mode (see Subsection 5.2.5) First of all, press the [ESC] key of the converter several times (normally once although this varies with the operation status) to return to the initial menu display. Next, use the [→] key to move the LCD indicator cursor to the menu number "2" of "2  SETTING MENU" and then press the [SET] key to display the warning message saying "Test output will be valid." Make sure that there is no problem and then press [→] to get into the setting mode. And return to [2: SETTING MENU]. Then, the output will be switched to the simulated output that is set beforehand.  (2) Selecting the "ANGLE ROTATION" setting menu (see Subsection 5.2.5) In the state that the menu list of menu numbers 5 to 8 is displayed, use the [→] key to move the LCD indicator cursor to the menu number "8" of "8: ANGLE ROTATION" and then press the [SET] key to select the menu of "8: ANGLE ROTATION".  (3) Verifying or changing the number of phase angle rotations (see Subsection 5.2.13) Press the [DN] key once (or the [UP] key twice) to display "N: ROTATION". On this screen, it is possible to verify the number of phase angle rotations. Here, press the [SET] key to switch to the setup display of the number of phase angle rotations and enter an appropriate value (note). At the initial digit, use the [UP] or [DN] key to select whether to attach the "-" symbol or not. Use the [→] key to move to the digit, and use the [UP] or [DN] key to alter the numeric value of the relevant digit. When entering input is completed, press the [SET] key to confirm it. The screen will be returned to the immediately preceding one; make sure that the value is correctly reset. Note: In many cases, an appropriate value for the number of phase angle rotations N is 0. In the event that the density or the fluid temperature is high, this value may be 1. In the event that the density or the fluid temperature is low, it may be -1. Set either of 0, 1 and -1 and then verify that the measured density at this time has returned to an appropriate value.  (4) Returning to the measuring mode Press the [ESC] key twice to return to the initial menu screen and return to the measuring mode from the setting mode to resume the normal measurement.
    82  6 F 8 A 0 5 2 1  10. VARIOUS FUNCTIONS         10.1 Various Functions and their Outlines  The density meter LQ500 is equipped with various functions to be used more appropriately in various processes and in various situations. Depending on the process being applied or the method of using the meter, some functions may not be necessary. Based on the descriptions below, choose the functions you need. Table 10.1.1 describes the functions equipped in this meter and outlines.  Table 10.1.1  Various Functions Function Name Application and Outline Remarks 1) External synchronized operation Perform this external synchronized operation in the event that the pump to the pipe line on which the density meter is installed is operated intermittently and the object of measurement does not flow continuously or in the event that the detector is temporarily made empty. See Section 6.7. 2) Moving average Use this function in the event of requiring the averaged output to be used for density control, etc. The function is useful for suppressing the deflection width of the output. See Section 10.2. 3) Change-rate limit In the event of a sudden change in the density or a sudden variation in the output due to intrusion by bubbles, etc., this function is used to exclude these signals to restrain the sudden output change. See Section 10.3 4) Electric conductivity correction This function is used in the event that the electric conductivity of the matter to be measured has changed substantially. Since this does not usually become a real problem, it does not need this function usually. When using this function, however, it is necessary to separately prepare a electric conductivity meter, install it on a proper location and input the electric conductivity signal into the density meter. See Section 10.4. 5) Additives correction In the event that the brand (with varying components and compound ratio) of the matter to be measured is switched from one to another, this function is used to omit the span calibration in terms of each brand by registering beforehand the list in which the sensitivity and compound ratio of the respective components are input (up to ten lists can be registered) and then selecting the list number. See Section 10.5. 6) Linearizer Since the density meter has a satisfactory linear relationship between its actual density and instrument output, a linearization correction is normally unnecessary. Therefore, this function is provided as a measure to deal with special cases. See Section 10.6. 7) Density multiplier switching This function is to switch around up to four density multipliers by means of ON/OFF of two external voltage signals(DI). The See Section 10.7.
  83  6 F 8 A 0 5 2 1by external signal function can be used to facilitate the density measurement of up to four different types of matters (brand)  which differ in measurement sensitivity. 10.2 Moving Average  10.2.1 Function of moving average Assuming that the moving average times is "n", this function is to calculate and output the mean value of n preceding measured values each time. The function is used when an averaged output is required such as for density control. This function is also useful for suppressing the deflection width of output. The value that can be set as the moving average times "n" is 1 to 99. Setting 1 for "n" means that no moving average takes place.  10.2.2 Setting of the moving average times  (1) Switching to the setting mode (see Subsection 5.2.5) First of all, press the [ESC] key of the converter several times (normally once although this varies with the operation status) to return to the initial menu display. Next, use the [→] key to move the LCD indicator cursor to the menu number "2" of "2  SETTING MENU" and then press the [SET] key to display the warning message saying "Test output will be valid." Make sure that there is no problem and then press [→] to get into the setting mode. And return to [2: SETTING MENU]. Then, the output will be switched to the simulated output that is set beforehand.  (2) Selecting the parameter setting menu (see Subsection 5.2.10) In the state that the menu list of menu numbers 5 to 8 is displayed, use the [→] key to move the LCD indicator cursor to the menu number "5" of "5: SET PARAMETERS" and then press the [SET] key to select the menu of "5: SET PARAMETERS."  (3) Verifying or setting the moving average times (see Subsection 5.2.10) Press the [DN] key three times (or the [UP] key eleven times) to display "ma: AVERAGING TIMES". On this screen, it is possible to verify the set value of the moving average times. If it is necessary to change the setting, press the [SET] key here to switch to the setup display of the moving average times and enter an appropriate value. Use the [→] key to move to the digit, and use the [UP] or [DN] key to alter the numeric value of the relevant digit. When entering input is completed, press the [SET] key to confirm it. The screen will be returned to the immediately preceding one; make sure that the value is correctly reset.  (4) Returning to the measuring mode Press the [ESC] key twice to return to the initial menu screen and return to the measuring mode from the setting mode to resume the normal measurement.   10.2.3 Cautions in using the moving average function  Setting an excessively large value for the moving average times will result in deteriorated responsiveness. Therefore, make sure to set a value appropriate to the process situation and the required responsiveness.
    84  6 F 8 A 0 5 2 1 10.3 Change-rate limit 10.3.1 Outline of change-rate limit function In the event of a sudden change in the density or a sudden variation in the output due to intrusion by bubbles, etc., this function is used to exclude these signals to restrain the sudden output change. By setting two measurement conditions of permissible variation width and limit times, the conditions for change-rate limit are set. It is possible to set 0.00 to 9.99(%TS) as the permissible variation width and 0 to 99 times as the limit times. Setting the limit times to zero means that no change-rate limit is imposed.  10.3.2 Examples of operating the change-rate limit function The change-rate limit function is described with examples below.  <Setting conditions> The setting conditions shall be as follows. * Width of change-rate limit function: 0.5%TS * Times of change-rate limit function: Twice The conditions that are set as above mean the following. ① All the variations within 0.5%TS are permitted and output without modification.  ② Variations exceeding 0.5%TS are limited up to twice, outputting the immediately preceding signal in place of the relevant signals. ③ Variations in excess of 0.5%TS which continue three times are judged to be signal variations resulting from actual density variations, thus outputting the 3rd signal without modification.   Example 1:  Operation for temporary and sudden signal variation Fig.10.3.1  Original Signal0.00.51.01.52.02.53.01 2 3 4 5 6 7 8 9 10Signal No..Density signal (%TS)  Fig.10.3.2  Output Signal After Variation FactorRestriction0.00.51.01.52.02.53.012345678910Signal No..Density signal(%TS)  Fig.10.3.1 shows the original signal before the change-rate limit is processed. No.1 to No.4 are varying within a small width; however, only signals No.5 and No.6 are varying in excess of 0.5%TS deviation from the immediately preceding signal No.4. No.7 to No.10 are back to a small width of variation. In the event that the above-set change-rate limit is applied to such signals, the output signals are as shown in Fig.10.3.2. Since signals No.5 and No.6 are varying in excess of 0.5%TS with regard to signal No.4, signal No.4 is output instead with regard to No.5 and No.6. Signal No.7 is output without modification. Signals No.8 to No.10, which are also within the variation width of 0.5%TS with regard to the respective immediately preceding signals, are output without modification.
  85  6 F 8 A 0 5 2 1 Example 2: Signal change in the shape of steps Fig.10.3.3  Original Signal0.00.51.01.52.02.53.012345678910Signal No.Density signal (%TS) Fig.10.3.4  Output Signal After change-rate limit0.00.51.01.52.02.53.012345678910Signal No.Density signal (%TS)  Fig.10.3.3 shows the original signal before the change-rate limit is processed. The numeric values along the horizontal axis refer to the signal numbers. No.1 to No.4 are varying within a small width; however, signal No.5 is varying in excess of 0.5%TS with No.6 to No.10 remaining in a state not very different from No.5. In the event that the above-set change-rate limit is applied to such signals, the output signals are as shown in Fig.10.3.4. Since signals No.5 and No.6 are varying in excess of 0.5%TS with regard to signal No.4, signal No.4 is output instead with regard to No.5 and No.6.  Signals No.7 to No.10, which are within the variation width of 0.5%TS with regard to the respective immediately preceding signals, are output without modification.   10.3.3 Cautions in using the change-rate limit factor  (1) Setting the change-rate limit width The value can be set within the range of 0.00%TS to 9.99%TS. If the width is set to as little a value as the normally indicated deflection width, restricted signals will increase and indications will vary in the shape of steps. Therefore, set a sufficiently large value so that the variation width is reliably judged to be in error.  (2) Setting the times of change-rate limit Signals that are made faulty due to intrusion of large bubbles, etc. may affect two neighboring signals in relation to measurement timing. Therefore, although the change-rate limit has an effect even when it is applied only once, it is desirable to set the times of change-rate limit at least to two times in order to reliably exclude error signals. In the event of density variations in the shape of steps as shown in Example 2, a delay increases in accordance with the set times. Set an appropriate value for the times in accordance with the responsiveness required of the plant.
    86  6 F 8 A 0 5 2 1  10.3.4 Setting the change-rate limit   (1) Switching to the setting mode (see Subsection 5.2.5) First of all, press the [ESC] key of the converter several times (normally once although this varies with the operation status) to return to the initial menu display. Next, use the [→] key to move the LCD indicator cursor to the menu number "2" of "2  SETTING MENU" and then press the [SET] key to display the warning message saying "Test output will be valid". Make sure that there is no problem and then press [→] to get into the setting mode. And return to [2: SETTING MENU]. Then, the output will be switched to the simulated output that is set beforehand.  (2) Selecting the parameter setting menu (see Subsection 5.2.5) In the state that the menu list of menu numbers 5 to 8 is displayed, use the [→] key to move the LCD indicator cursor to the menu number "5" of "5: SET PARAMETERS" and then press the [SET] key to select the menu of "5: SET PARAMETERS".  (3) Verifying or changing the change-rate limit width (see Subsection 5.2.16) Press the [DN] key two times (or the [UP] key twelve times) to display "dx: CHANGE RATE LIMIT". On this screen, it is possible to verify the set value of the change-rate limit width. If it is necessary to change the setting, press the [SET] key here to switch to the setup display of the change-rate limit width and enter an appropriate value for the width. Use the [→] key to move to the digit, and use the [UP] or [DN] key to alter the numeric value of the relevant digit. When entering input is completed, press the [SET] key to confirm it. The screen will be returned to the immediately preceding one; make sure that the value is correctly reset.  (4) Verifying or changing the times of change-rate limit (see Subsection 5.2.16) Continuing on from the operation in (3) above, press the [UP] key once to display "HL: LIMIT TIMES". On this screen, it is possible to verify the set value of the change-rate limit times. If it is necessary to change the setting, press the [SET] key here to switch to the setup display of the change-rate limit times and enter an appropriate value for the times. Use the [→] key to move to the digit, and use the [UP] or [DN] key to alter the numeric value of the relevant digit. When entering input is completed, press the [SET] key to confirm it. The screen will be returned to the immediately preceding one; make sure that the value is correctly reset. Note: If the times of change-rate limit is set to zero, the change-rate limit function is made inactive.  (5) Returning to the measuring mode Press the [ESC] key twice to return to the initial menu screen and return to the measuring mode from the setting mode to resume the normal measurement.
  87  6 F 8 A 0 5 2 110.4 Electric Conductivity Correction  10.4.1 Standard conductivity correction factors The indication of the density meter varies with the conductivity of the measured object fluid; however, the variance is as small as approx. 0.15%TS to 1mS/cm change in conductivity and usually practically negligible, thus making it unnecessary to input the conductivity meter signal to perform electric conductivity correction. In the event that the conductivity change is large and thus its impact is not ignoble, make sure to use the electric conductivity correction function. The formula for this correction including the other corrections described in Chapter 9 is as follows.   △θ={θ2 -α(Τ-Τ0)-δ(G-G0)-ß (A-A0) -γ(E-E0)} -θ1 △θ : Phase difference (degrees) θ2 : Actual phase angle of measured object fluid (degrees) θ1 : Phase during zero water measurement (degrees)  (Measured during zero calibration, and set in advance as a constant) α : Fluid temperature correction factor (degrees/℃) Τ : Fluid temperature of measured object fluid (℃) Τ0 : Water temperature during zero calibration  (Measured during zero calibration, and set in advance as a constant) δ : RF correction factor G : RF data during measurement G0 : Zero point RF data  (Measured during zero calibration, and set in advance as a constant) γ : Electric conductivity correction factor (degrees/(mS/cm)) E    : Electric conductivity of measured object fluid (mS/cm) E0 : Zero water conductivity (mS/cm) ß : Ambient temperature correction factor (degrees/℃) A : Ambient temperature (℃) A0 : Ambient temperature during zero adjustment (Measured during zero point calibration, and set in advance as a constant)   At the time of factory shipment, the [electric conductivity correction factor γ] is set to zero for all the products. If the conductivity change of the measured object fluid is large, input the electric conductivity signal in accordance with "Fig.3.5 External Connection Diagram" and then reset the [electric conductivity correction factor γ]. Table 10.4.1 shows the "standard values" of electric conductivity correction factors as well as the "density line slope (a)" required in the event of obtaining electric conductivity correction factors through calculation from measured values. The "standard values" shall be applicable when the range of the electric conductivity meter used for conductivity correction is   0 to 10 mS/cm.
    88  6 F 8 A 0 5 2 1  Table 10.4.1  Standard Values of Electric Conductivity Correction Factor (γ)  (Based on Electric Conductivity Meter with a Range of 0 to 10 mS/cm)  and Slope of the Line (a) Meter size (mm) a γ (Standard value) 50 0.168 0.9 80 0.105 1.4 100 0.084 1.8 150 0.056 2.7 200 0.042 3.6 250 0.034 4.5 300 0.028 5.4  In the event of performing a electric conductivity correction on this density meter, it is a basic principle to externally connect and use a conductivity meter with a range of 0 to 10 mS/cm. In the event of using a conductivity meter of another range (0 - R mS/cm), obtain the conductivity correction factor in accordance with the following formula.  γ=(R/10)×γ0 γ0 :  Standard value of electric conductivity correction factor (see Table 9.1) R:  Upper range of conductivity meter used For example, if the meter size is 150 mm, the standard value of the electric conductivity correction factor of the density meter is 2.7 and a conductivity meter with a range of 0 to 5 mS/cm is connected to this, γ = (R/10)×γ0    = (5×10)×2.7    = 1.35 is used as the correction factor.  [NOTE] ◆ In the event of implementing a electric conductivity correction, separately prepare a electric conductivity meter and install it on a location where the conductivity can be measured correctly (where the measurement object process is appropriate). ◆ The "standard values" of electric conductivity correction factors shown in Table 10.4.1 are criteria. It is necessary to use the linear relationship that exists between the conductivity and the output to survey and determine the electric conductivity correction factor in terms of each actual measured object fluid. See Subsection 10.4.2. ◆ In the event of not executing any electric conductivity correction, set the "electric conductivity correction factor (γ)" to zero.   10.4.2 How to obtain and set a correction factor Obtain and set a electric conductivity correction factor as appropriate to the applicable process in accordance with the following procedure.  (1) To set the density multiplier to 1.000 (1-1) Switching to the setting mode (see Subsection 5.2.5) First of all, press the [ESC] key of the converter several times (normally once although this varies with the operation status) to return to the initial menu display. Next, use the [→] key to move the LCD indicator cursor to the menu number "2" of "2: SETTING MENU" and then press the [SET] key to display the warning message
  89  6 F 8 A 0 5 2 1saying "Test output will be valid." Make sure that there is no problem and then press [→] to get into the setting mode. And return to [2: SETTING MENU]. Then, the output will be switched to the simulated output that is set beforehand. (1-2) Selecting the span calibration menu (see Subsection 5.2.5)  The menu list of menu numbers 5 to 8 is displayed. Use the [→] key to move the LCD indicator cursor to the menu number "7" of "7: SPAN CALIBRATION" and then press the [SET] key to select the menu of "7: SPAN CALIBRATION." (1-3) Verifying or recording the density multiplier (see Subsection 5.2.12) For example, the set value of the current density multiplier C' is displayed as in "DATA: 1.265". Record this value. (1-4) Setting the density multiplier to "1.000" (see Subsection 5.2.12) Press the [SET] key to switch to the setup display of the density multiplier and reset the density multiplier to 1.000. Use the [→] key to move to the digit, and use the [DN] key to alter the numeric value of the relevant digit. When entering input is completed, press the [SET] key to confirm it. The screen will be returned to the immediately preceding one; make sure that the value is correctly reset.  (2) To suspend the electric conductivity correction function  (with the conductivity correction factor set to 0.00) (2-1) Returning to the initial screen of the setting mode Continuing on from (1-4) above, press the [ESC] key once to return to the menu list display of the menu numbers 5 to 8 of the setting mode. (2-2) Selecting the linearizer /conductivity menu (see Subsection 5.2.5) Press the [UP] key once to switch to the menu list display of the next menu numbers 9 to 11. Use the [→] key to move the cursor of the LCD indicator to the menu number "9" of "9: LINEARIZ/CNDUCTVTY" and then press the [SET] key to select the menu of "9: LINEARIZ/CNDUCTVTY". (2-3) Setting the electric conductivity correction factor to 0.00 (see Subsection 5.2.14) Press the [UP] key five times (or the [DN] key three times) to display "r: CNDUCTVTY COEF". Press the [SET] key here to switch to the setup display of the electric conductivity correction factor and then input 0.00 for the electric conductivity correction factor. Use the [→] key to move to the digit, and use the [DN] key to alter the numeric value of the relevant digit. When entering input is completed, press the [SET] key to confirm it. The screen will be returned to the immediately preceding one; make sure that the value is correctly reset.  (3) To measure the electric conductivity of the measured object fluid (3-1)  Selecting the monitoring menu (see Subsection 5.2.4) Press the [ESC] key twice to return to the initial menu screen and return to the measuring mode from the setting mode to resume the normal measurement. Use the [→] key to move the cursor to the menu number "1" of the LCD indicator's "1: MONITORING MENU" and then press the [SET] key to select "1: MONITORING MENU". (3-2) Selecting the measured value data display menu (see Subsection 5.2.4) In the monitoring menu list of the menu numbers 1 to 3, use the [→] key to move the cursor to the menu number "2" of the LCD indicator's "2: MEASURED VALUES" and then press the [SET] key to select "2: MEASURED VALUES".
    90  6 F 8 A 0 5 2 1 (3-3) Reading and recording measured conductivity and density values The externally installed conductivity meter is used to measure the conductivity (E1) of the measured object fluid while, at the same time, reading the measured density (M1) from the LCD indicator or from the LED display outside the converter. Take notes of each measured value.  Next, while varying the conductivity of the measured object fluid, measure as well as take notes of the conductivity (E2) and the measured density (M2). At this time, take care to prevent the actual density of the measured object fluid from changing. E1, E2 :  Conductivity (mS/cm) M1, M2: Measured density value (%TS)  (4) To calculate the electric conductivity correction factor Obtain the electric conductivity correction factor (γ) in accordance with the following arithmetic expression.  γ= ΔM/(a×ΔE) a : Density line slope (see Table 9.1: varies with the aperture) ΔM : Measured density value difference (M2 – M1) ΔE : Measured conductivity value difference (E2 – E1)   For example, if the meter size is 150 mm, it follows that a = 0.056. At this time, let's assume that the conductivity and the measured density (specified value) are as follows respectively. 1st measurement:  E1=1 mS/cm  M1=4.0%TS 2nd measurement: E2=2 mS/cm  M2=4.2%TS  From here, it follows that DE =1 mS/cm  DM=0.2 %TS  and the conductivity correction factor is γ = 0.2/(0.056×1)       = 3.57  (5) To correct the electric conductivity correction factor by means of the conductivity meter's range. In the event that the range of the conductivity meter being used is other than "0 to 10 mS/cm", correct the conductivity correction factor in accordance with the conductivity meter range while referring to the method of calculating the correction factor in the event that the conductivity meter range is other than the standard described in Subsection 10.4.1.  (6) To set the electric conductivity correction factor In the same manner as the operation described in (2), set the electric conductivity correction factor to the value calculated in (4) and (5).  (7) To return the density multiplier to its original value In the same manner as the operation described in (1), return the density multiplier to its original value which has been previously recorded.  (8) To return to the measuring mode Press the [ESC] key twice to return to the initial menu screen and return to the measuring
  91  6 F 8 A 0 5 2 1mode from the setting mode to resume the normal measurement
    92  6 F 8 A 0 5 2 1  10.5 Additives Correction Factor 10.5.1 Additive Correction Function This function refers to handling the different brands made from main material with various additives. If the physical property of the measured object fluid varies, it is necessary to set the density multiplier for a value appropriate to this difference. Even with multiple types of measured objects mixed together (mixed fluid), if their compound ratio is regarded to be consistent, it is possible to measure the density of the entirety or the density of a particular type among them. In measuring the density of such mixed fluid, each time the physical property and compound ratio of the objects included in the fluid differ (that is, the brand is different), it is necessary to set the density multiplier in accordance with the brand of the relevant mixed fluid. By selecting an applicable brand number from about ten brands registered in advance, this additive correction function calculates the density in accordance with the brand, thus making it possible to omit the span calibration in terms of each brand. Using this function in a simplified manner, by selecting the span calibration factor(density multiplier) in terms of each brand from the brand list registered in advance, it is possible to simplify the span calibration. For information on the simplified way of this function, refer to "10.5.5  Simplified way of using the additive correction function". The contents to be registered into the brand list are as follows.  Table 10.5.1  Brand List Sensitivity (Note 2) Ratio of mixture (Note 3) Component Note 1 Sign Setting range Set at shipping Sign Setting range Set at shipping Comp. 0 s0 -9.99 to +9.99 1.00 -- -- --- Comp.1 s1 -9.99 to +9.99 0.00 R1 0.000 to 1.999 0.000 Comp.2 s2 -9.99 to +9.99 0.00 R2 0.000 to 1.999 0.000 Comp.3 s3 -9.99 to +9.99 0.00 R3 0.000 to 1.999 0.000 Comp.4 s4 -9.99 to +9.99 0.00 R4 0.000 to 1.999 0.000 Comp.5 s5 -9.99 to +9.99 0.00 R5 0.000 to 1.999 0.000  (Note 1) Component 0 is the main component. Components 1 to 5 are the additives #1 to #5. (Note 2) Sensitivity values for components #0 to #5 are to be registered for each of 10 brands. Usually, the sensitivity value for main component s, 0 is set to “1.000.” The sensitivity values of typical additives are shown in Table 10.5.2. Register s1 to s5 referring to this table. For the sensitivity values of additives other than the ones shown in Table 10.5.2, please contact Toshiba. Whenever you send us a sample of additives, we can measure their sensitivity values. Sensitivity values are measured in the same way as used for span calibration for each of additives (measured density reading / density by manual analysis). Table 10.5.2 Additives name Sensitivity Calcium carbonate 0.45 Titanium oxide 0.13 Zinc oxide 0.12 Talc 0.61  (Note 3) For each formula in the list of 10 brand, the ratio of mixture for the components #1 to 5 is to be entered. A ratio of mixture is a ratio of a component against the component 0 (main component) in weight.
  93  6 F 8 A 0 5 2 1  10.5.2 Density calculation  Following calculation modes can be selected. (1) Additives correction  ON (To be made) / OFF (Not to be made) (a) Set value at shipping the density meter: OFF (2) When additives correction is "ON"(to be made), you can select two calculation modes. (b) Total density of mixture including the additives  (TOTAL) (c) Density of the main component only (MAIN)  In the mode (2) above, each of the density outputs (LED display of the converter, and the current output in 4 to 20mA dc) can be either (b) or (c) separately. * Set value at shipping: Both the density display and the density current output are in "TOTAL" of (b) above.  (a) Density without additives correction Following calculation is made (same density calculation as in section 9.1.3) Xa = C × (a × Δθ) +b  where, Xa : Measured density value  Δθ : Phase difference that varies in proportion to the actual density  a : Density line slope  b : Density intercept (normally zero).  C : Density multiplier  (b) Additives correction to be made for getting Total Density of whole mixture including the additives (TOTAL)  b)(aCR5s5R4s4R3s3R2s2R1s1s0R5R4R3R2R11Xb +×××⋅+⋅+⋅+⋅+⋅++++++=Δθ  where, Xb : Density of the whole mixture  s0 : Sensitivity of the main component only  s1 : Sensitivity of additive #1, R1 : Mixture ratio of additive #1  s2 : Sensitivity of additive #2, R2 : Mixture ratio of additive #2  s3 : Sensitivity of additive #3, R3 : Mixture ratio of additive #3  s4 : Sensitivity of additive #4, R4 : Mixture ratio of additive #4  s5 : Sensitivity of additive #5, R5 : Mixture ratio of additive #5  Δθ : Phase difference that varies in proportion to the diameter  a : Density line slope determined by diameter  b : Intercept of the line (normally zero).  C : Density multiplier  (c) Additives correction to be made for getting density of main component only (MAIN)  Xc s s RsRsRsRsRCab=+⋅+⋅+⋅+⋅+⋅× × × +10 1 1 2 2 3 3 4 4 5 5 ( )∆θ where,  Xc  : Density of main component  Others are same as in (b)  (Note) When using the additives correction functions of (b) or (c), set the density multiplier C to 1.000. Following procedure is recommended for making span adjustment. At the beginning of the use of correction, for a whole mixture of a formula, compare the
    94  6 F 8 A 0 5 2 1 measured density readings you get in dry method (dry weight) and in manual analysis, and when required, make span adjustment by adjusting the density multiplier C of the whole mixture.   10.5.3 Procedures for using the additives correction function  The procedure for the additives correction function is described as following steps.   Obtain sensitivities of the components    .......    Refer to table 10.5.2.  Select the formula list number for registering (parameters)  Set sensitivities of main component and additives (s0 to s5)  Set mixture ratios of additives (R1 to R5)  Perform zero point calibration      ..................    Refer to [6.4 Zero Point Calibration]  Set the density multiplier to 1.000  Select ON for additives correction   Select calculation mode for additives correction (TOTAL or MAIN)  Select the brand list number that corresponds with the formula  (Parameter set)  Let the liquid mixture of selected brand flow.  Read the density indication(M), and simultaneously sample the substance to measure.  Measure the density (A) of the sample by manual analysis  Calculate C as below, then fine adjust C (density multiplier) C=(A/M)x1   (Default value of C is 1)  Start measuring Density When brand is changed  You can set for up to ten formulas. Each of which can have up to five additives, to which sensitivities and ratios can be entered individually.
  95  6 F 8 A 0 5 2 110.5.4 How to set the additives correction function (1) Switching to the setting mode (see Subsection 5.2.5) First of all, press the [ESC] key of the converter several times (normally once although this varies with the operation status) to return to the initial menu display. Next, use the [→] key to move the LCD indicator cursor to the menu number "2" of "2  SETTING MENU" and then press the [SET] key to display the warning message saying "Test output will be valid.". Make sure that there is no problem and then press [→] to get into the setting mode. And return to [2: SETTING MENU]. Then, the output will be switched to the simulated output that is set beforehand.  (2) Selecting the additives correction menu (see Subsection 5.2.5) Initially, the menu list of the menu numbers 5 to 8 is displayed. Press the [UP] key once to switch to the menu list display of the next menu numbers 9 to 11. Use the [→] key to move the cursor of the LCD indicator to the menu number "10" of "10: ADDITIVES CORRECT" and then press the [SET] key to select the menu of "10: ADDITIVES CORRECT".  (3) Verifying and changing the various settings for additives correction (see Subsection 5.2.15) (3-1) Selecting the OFF/ON of the additives correction function Verify the set value of the initial menu "AF: ADDITIVES COMP." of the additives correction. "OFF" means that the additives correction function is unavailable, thus not displaying the detailed menu concerning the additives correction. When using the additives correction function, press the [SET] key to switch to the OFF/ON selection display of the additives correction. Each time the [UP] or [DN] key is pressed, the set value alternates between "OFF" and "ON". With the value set to "ON", press the [SET] key to verify it. The screen will be returned to the immediately preceding one; make sure that the value is correctly reset. (3-2) Selecting a density display (see subsection 10.5.2) Continuing on from (3-1), press the [UP] key to switch to the display of "Ad: DISPLAY DENSITY". In this menu, decide whether the density display should be the density of the entire mixed fluid including the additives "TOTAL" or the density of the pulp only "MAIN". When changing the setting, press the [SET] key to switch to the selected display, use the [UP] or [DN] key to switch between "TOTAL" and "MAIN" and then press the [SET] key at the status to be set. (3-3) Selecting a density display (see Subsection 10.5.2) Continuing on from (3-2), press the [UP] key to switch to the display of "Ac: OUTPUT DENSITY". In this menu, decide whether the density current output of 4 to 20mA should be the density of the entire mixed fluid including the additives (TOTAL) or the density of the pulp only (MAIN). When changing the setting, press the [SET] key to switch to the selected display, use the [UP] or [DN] key to switch between "TOTAL" and "MAIN" and then press the [SET] key at the status to be set. (3-4) Selecting a parameter set number (a brand list number) Continuing on from (3-3), press the [UP] key to switch to the display of "Ap: PARAMETER SET NO.". In this menu, select a parameter set number. Press the [SET] key to switch to the setup display and then input the parameter set number. Use the [→] key to move to the digit, and use the [UP] or [DN] key to alter the numeric value of the relevant digit. When entering input is completed, press the [SET] key to confirm it. The screen will be returned to the immediately preceding one; make sure that the value is correctly reset.
    96  6 F 8 A 0 5 2 1 (3-5) Setting the sensitivity and the compound ratio Continuing on from (3-4), press the [UP] key to switch to the menu of "s0: MAIN OBJ SENS." and then, after switching to the setup display by pressing the [SET] key, input the sensitivity of the main object (component 0). Use the [→] key to move to the digit, and use the [UP] or [DN] key to alter the numeric value of the relevant digit. When entering input is completed, press the [SET] key to confirm it. The screen will be returned to the immediately preceding one; make sure that the value is correctly reset. Continue on to switch to the next setup menu display with the [UP] key. And, in accordance with the same procedure, set the sensitivities s0 to s5 of components (additives) 1 to 5 as well as compound ratios R1 to R5 of components (additives) 1 to 5. (4) Returning to the measuring mode Press the [ESC] key twice to return to the initial menu screen and return to the measuring mode from the setting mode to resume the normal measurement.  10.5.5 Simplified Correction on Additives Previous section describes complete correction on additives in which sensitivities and ratios of mixture per additive were taken into account in calculation. By using only a sensitivity for the whole mixture (a mixture of pulp and additives), the additives correction can be simplified as described below. In this simplified correction, a density multiplier (sensitivity) is obtained separately for each formula and entered into the list of formula. When a formula is changed, you need to select a new formula number to change the density mulyiplier to continue measuring density. Up to ten formulas can be entered into the list. Procedures for a simplified correction is as follows. See the section 10.5.1 to 10.5.3 for basic information, and refer to section 10.5.4 Operations for correction.  ● Procedures for simplified correction of additives.  Set the density multiplier C to 1.000  Select Calculation Mode for additives correction...No (correction)    Perform zero calibration       .......................    See “6.4 Zero calibration”  Carry out span calibration for each brand, and obtain sensitivity as below. Sensitivity = (Measured density reading)/(Density obtained by manual analysis)  Enter the sensitivity of a formula into the sensitivity s0  of the component 0 in the formula list.              Select (TOTAL) [total density of a mixture,  with additives correction] for the calculation mode   Select a brand list number  that corresponds with the mixture to be measured.  Run the fluid to measure and measure density  When the brand is changed. See Note 1.
  97  6 F 8 A 0 5 2 1(Note1) Set all sensitivities and ratios to 0.00 and 0.000 respectively for all of the components 1 to 5. (Or to the default values set at shipping.)  10.6 LINEARIZER SETTING 10.6.1 Linearizer function Depending on the kind of substance to be measured, there may not be a linear relationship between the values measured by the meter and those obtained by manual analysis. Particularly, in the measurement of low density substance of about 1%, the meter tends to show readings in higher value at or less than 0.5% or show lower for the density about 1.5% or higher. In such a case, the 1inealization is necessary because it is difficult to match meter-measured values with manual analysis values with a single density multiplier over a wide range of densities from low to high. Suppose there is a curve relationship such as that shown in figure 10.6. 1 between meter-measured values (using a density multiplier of 1.000) and manual analysis values when a certain substance is measured at varying degrees of density. To make linealization, the curve is approximated by three straight lines of A, B, and C.  ••••••••••••••••••ABC0.6 1.0 1.5BAa c計器測定値 X O (濃度補正係数 1.00 )00.81.21.5f手分析値 濃度%deb Figure 1 0.6.1 Linearizer setting Diagram  Let the meter-measured value (XO) at the bend of the lines A and B (crosspoint) as density A, and the value at lines B and C to be density B. Also let the slopes of lines A, B, and C as K1, K2, and K3 respectively.   Instrument reading X0 (density multiplier 1.00) Manual ly analyzed density %
    98  6 F 8 A 0 5 2 1 Meter-measured value XO  (density multiplier 1.000) before linearization and meter-measured value X after linearization have the following relationship.   For X 0 ≤ A X = C ( K 1  X 0 )  For A  < X 0 ≤ B X = C { K 1  A + K 2 ( X 0 − A)}  For B  < X 0 X = C { K 1  A + K 2 ( B − A ) + K 3 ( X 0 − B )} where   C: Density multiplier.  The procedures for making 1inearizer lines and setting them into the meter are as follows:  (1) Create a graph  Plot the relationships between the meter-measured value (X0) at a density multiplier of 1.000 and manual analysis value to make into a graph as shown in figure 10.6.1.  (2) Draw approximate straight lines Draw in three straight lines that approximate the relationships.  (3) Read densities at crosspoints Read the meter-measured values (XO) at the cross-points of these lines and get cross-point densities A and B.  (4) Get the slopes of the lines. Calculate the slopes of the straight lines as follows to determine K1, K2, and K3.  K 1 = d / a  K 2 = e / b  K 3 = f / c ● Defaults are set as : A = 0.60, B = 1.00, K1 = 1.00, K2 = 1.00, K3 = 1.00 Example of set values (Fig. 10.6.l)   A = 0.6 (%), B = 1.0 (%)  K 1 = 0.8 / 0.6 = 1.33、K 2 = 0.4 / 0.4 = 1.00、K 3 = 0.3 / 0.5 = 0.6  10.6.2 Linearizer setting (1) Switching to the setting mode (see Subsection 5.2.5) First of all, press the [ESC] key of the converter several times (normally once although this varies with the operation status) to return to the initial menu display. Next, use the [→] key to move the LCD indicator cursor to the menu number "2" of "2  SETTING MENU" and then press the [SET] key to display the warning message saying "Test output will be valid.". Make sure that there is no problem and then press [→] to get into the setting mode. And return to [2: SETTING MENU]. Then, the output will be switched to the simulated output that is set beforehand.  (2) Selecting the linearizer menu (see Subsection 5.2.5) Initially, the menu list of the menu numbers 5 to 8 is displayed. Press the [UP] key to switch to the menu list display of the menu numbers 9 to 11. Use the [→] key to move the cursor of the LCD indicator to the menu number "9" of "9: LINEARIZ/CNDUCTVTY" and then press the [SET] key to select the menu of "9: LINEARIZ/CNDUCTVTY".
  99  6 F 8 A 0 5 2 1 (3) Setting the density and the factor (see Subsection 5.2.14) The setup menus of density and factor are called one after another from the start of the menu development of "9: LINEARIZ/CNDUCTVTY". First of all, press the [SET] key at "LA: DENSITY A" and then, after the setup display of density A is displayed, input the value for density A. Use the [→] key to move to the digit, and use the [UP] or [DN] key to alter the numeric value of the relevant digit. When entering input is completed, press the [SET] key to confirm it. The screen will be returned to the immediately preceding one; make sure that the value is correctly reset. Continue on to switch to the next setup menu display with the [UP] key. And, in accordance with the same procedure, set density B and factors K1, K2 and K3.  (4) Returning to the measuring mode  Press the [ESC] key twice to return to the initial menu screen and return to the measuring mode from the setting mode to resume the normal measurement.  (5) Determining and setting the density multiplier Perform the density measurement after setting the linearizer and, in accordance with the span calibration in Section 6.5, determine and set the density multiplier C.
    100  6 F 8 A 0 5 2 1 10.7 Density Multiplier Switching by External Signals 10.7.1 Density multiplier switching function by external signals When switching around multiple measurement objects fulid of differing measurement sensitivities to measure their respective sensitivities, it is possible to take appropriate density measurements by resetting the density multiplier to a value in accordance with the relevant measured object fluid each time the measured object fluid is changed. In the event that the measurement objects fluid are limited to no more than four types, this function can be used to save the trouble of resetting the density multiplier each time through manual input. Implement the span calibration in terms of each measured object fluid in advance, obtain and set the respective density multipliers C1 to C4 and then switch around the density multipliers to be used for density calculation by means of the external voltage signals of two points in accordance with the measurement objects fluid being switched around.  Table 10.7.1 shows the relationship between the statuses of external voltage signals and selected density correction factors.  Table 10.7.1 Status of External Voltage Signal DI2 DI3 Selected Density Multiplier L L C1(Same as the normally used density multiplier C) H L C2 L H C3 H H C4 H: Voltage signals of 20 to 30VDC L: Signals of no more than 2VDC  10.7.2 Setting the density multiplier switching by external signals  (1) Switching to the setting mode (see Subsection 5.2.5) First of all, press the [ESC] key of the converter several times (normally once although this varies with the operation status) to return to the initial menu display. Next, use the [→] key to move the LCD indicator cursor to the menu number "2" of "2  SETTING MENU" and then press the [SET] key to display the warning message saying "Test output will be valid.". Make sure that there is no problem and then press [→] to get into the setting mode. And return to [2: SETTING MENU]. Then, the output will be switched to the simulated output that is set beforehand.  (2) Selecting the "OTHERS" setting menus (see Subsection 5.2.5) Initially, the menu list of menu numbers 5 to 8 is displayed. However, by pressing the [UP] key, this display is switched to the menu list of the next menu numbers 9 to 11. Use the [→] key to move the LCD indicator cursor to the menu number "11" of "11: OTHERS" and then press the [SET] key to select the menu of "11: OTHERS."  (3) Selecting of density multiplier switching ON/OFF(see Subsection 5.2.16) Press the [UP] key once to display "DI: C CHANGE ON/OFF". Press the [SET] key here to switch to the setup display. Each time the [UP] or [DN] key is pressed, the set value alternates between "ON" and "OFF". Therefore, when using the function of density multiplier switching by external signals, set the value to "ON" and then press the [SET] key to verify it. The screen will be returned to the immediately preceding one; make sure that the value is
  101  6 F 8 A 0 5 2 1correctly reset.   (4) Setting density multipliers C2, C3 and C4 Continuing on from (3), press the [UP] key once to switch to the display of "C2: DensityMultiplier". Switch to the setup display by pressing the [SET] key here and then input the density multiplier C2. Use the [→] key to move to the digit, and use the [UP] or [DN] key to alter the numeric value of the relevant digit. When entering input is completed, press the [SET] key to confirm it. The screen will be returned to the immediately preceding one; make sure that the value is correctly reset. Continue on to switch to the next setup menu display with the [UP] key and set C3 and C4 in accordance with the same procedure. When setting the density multiplier C1, refer to "6.5  Span Calibration".  (5) Returning to the measuring mode Press the [ESC] key twice to return to the initial menu screen and return to the measuring mode from the setting mode to resume the normal measurement.
    102  6 F 8 A 0 5 2 1  11. SPECIFICATIONS   11.1 General Specifications Measurement method: Microwave phase difference method Measurement range:   Density measurement range can be set by defining the lower point (density corresponding to 4mA) and the upper point (density corresponding to 20mA) within the following setting ranges. The object to be measured should be free from cavities inside and should have sufficient fluidity. For the ranges other than the ones described below, please contact Toshiba. Density measurement range lower side: 0 to 49%TS Density measurement range upper side: 1 to 50%TS Span range: 0 to 50%TS Setting step: 0.1%TS Note 1: TS (Total Solids) = Soluble materials + Non-soluble materials, Span = Density measurement range upper side − Density measurement range lower side Note 2: In the case of 50mm in meter size,  Density measurement range lower side: 0 to 48%TS Density measurement range upper side: 2 to 50%TS Span range: 2 to 50%TS Note 3: The object to be measured is required to be free from cavities and have fluidity. Contact Toshiba for measurement ranges other than those described above. Note 4: For the range larger than 50%TS, please contact Toshiba.  Repeatability: In the case of 2%TS or more in full-scale, ±2%FS In the case of less than 2%TS in full-scale, ±4%TS Note: The values are taken at measuring points above 5% of full-scale using simulated reagent. Note: The full scale value is the maximum value on the upper side of the density measurement range. Note: In the case of 50mm in meter size, the full-scale shall be 2%TS or more  Linearity: In the case of 2%TS or more in full-scale, ±2%FS In the case of less than 2%TS in full-scale, ±4%TS Note: The values are taken at measuring points above 5% of full-scale using simulated reagent. Note: In the case of 50mm in meter size, the full-scale shall be 2%TS or more  Electrical resolution:  0.001%TS Note: Verifiable resolution using the simulated reagent: 0.05%TS The verifiable resolution value refers to the value which is verified through a test of the density difference which can be resolved as a density meter output. Marginal errors in testing such as uneven density distribution, testing errors, environmental variations and so on are also included in this value. Note: In the case of 50mm in meter size, electrical resolution:  0.002%TS Verifiable resolution using the simulated reagent:  0.1%TS
  103  6 F 8 A 0 5 2 1 Ambient environment condition: Temperature: 0 to 50°C (Option: Detector −20 to 50°C) Humidity:  5 to 90%RH (No condensation) Structure:  Detector  Immersion-proof type (IP67: Immersion-proof type or equivalent) Converter  Waterproof type (IP65: Waterproof type or equivalent) Note: Outdoor installation is possible. If there is a possibility of direct sunlight, however, provide a sunshade to the converter to avoid direct sunlight.  Vibration: (1) Applying vibration of a resonant frequency in 5 to 150 Hz range in x, y and z directions for 30 minutes each totaling 90 minutes, and no deterioration of performance nor damage shall be found. However, acceleration is as follows:  • Detector: 25m/s2  • Converter: 4.9m/s2  (2) Applying vibration of 5 to 150 to 5 Hz with the acceleration shown in (1) above for 3 minutes and this is repeated 10 times for each direction of vibration totaling 90 minutes, and no deterioration of performance nor damage shall be found.  Altitude :    Up to 2000m Mass: Refer to the Attached Figure 1, “Dimensions” in “Appendix.”  Microwave transmission power:  Approx. 10W  11.2 Detector Specifications Meter size: 50mm, 80mm, 100mm, 150mm, 200mm, 250mm, 300mm  Flange standard and maximum operating pressure Flange standard Maximum operating pressure JIS 10K(JIS B 2238 10K) or equivalent 1MPa ANSI150 1MPa DIN10 & BS 10 1MPa DIN 16 1.6MPa  Fluid temperature: 0 to 100°C (Not freezing)  Fluid conductivity: Meter size Fluid conductivity 50 mm 20 mS/cm or less 80 mm 16 mS/cm or less 100 mm 15 mS/cm or less 150 mm 10 mS/cm or less 200 mm 8 mS/cm or less 250 mm 8 mS/cm or less 300 mm 6 mS/cm or less  Note: Precautions about measuring fluids When measuring density in liquids containing conductive particles such as the carbon particles of activated carbon or metal powder, density measurement may be affected by
    104  6 F 8 A 0 5 2 1 conductive particles. Avoid using the density meter for the fluids like these. For details, please contact Toshiba.  Material contacting liquid: Main pipe: Stainless steel  SCS14A (equivalent to 316SS)  Temperature detector holder: Stainless steel (SUS 316) Applicator window :  Polysulfone Applicator window sealing material:  Fluororubber (Viton) Note: Do not apply this density meter to fluids that may corrode, deteriorate or degenerate the above liquid contacting materials. Fore details, please contact Toshiba.  Applicators: A pair of applicators provided for microwave reception/transmission Temperature detector: RTD (resistance temperature detector) (Pt100) Mounting style: Vertical piping installation is recommended (Horizontal piping installation is also possible. Refer to the Installation section.)  11.3 Conveter Specifications Output signals: Density measurement output:  4 to 20mADC (load resistance 750 Ω or less; insulated output) Density meter fault or maintenance signal:  Semiconductor contact output capacitance 125VAC, 0.1A (resistive load) The contact opens when in fault and closes otherwise. * When the density meter converter is in error or in maintenance (setting change) mode, the contact will be open.  Communication signals:  Digital signals are sent superimposed on the 4 to 20mADC signal line (based on the HART*1 protocol). *1 HART: Abbreviated from Highway Addressable Remote Transducer as the name of an industrial sensor communications protocol recommended by HCF (HART Communication Foundation). Note: Various operations can be made from remote places by connecting the cable terminals of a communication hand-held terminal (option) to the output terminals of 4-20mADC signal. For the specification regarding the communication hand-held terminal, refer to the AF100 specification.  Input signals Externally synchronized input signal:  No-voltage "a" contact Use a contact with the capacitance of at least 24VDC and 1A. This signal is used to take external synchronized operation with the flow of measured substances including the pump operation. Contact close: measurement implemented Density correction factor switching signal:  Voltage signal 2 points Input voltage H level: 20 to 30VDC  L level: 2VDC or less Input resistance: Approx. 3kΩ Using this signal, the density correction factor can be changed into 4 types of values from remote places and measurements corresponding to 4 different objects to be measured or
  105  6 F 8 A 0 5 2 14 kinds of mixed fluids (brands) of different component substances or compounding ratios can be made. Conductivity correction signal: 4-20mADC (corresponding to conductivity level of 0 to 10mS/cm) To perform conductivity correction, prepare a conductivity meter and install it in a place where conductivity can be measured correctly and steadily and enter the obtained conductivity correction signal here.   Update cycle of density measurement output and display:  Approx. 1 second Moving average: Density measured values are output as moving averages of 1 to 99 measurements made approximately every 1 second. This output is used when the averaged output is required for density control or other purpose. Rate-of-change limit: Rate-of-change width: 0.00 to 9.99%TS, Count: 0 to 99 This is a function to limit a sudden output change by eliminating signals that cause sudden output changes in such cases as when a sudden density change occurs or air bubbles are mixed in the liquid to be measured. You can set the condition of the rate-of-change limit using the rate-of-change width and how many times the change occurs (count). Additives correction function: Capable of handling up to ten brands, this function performs the sensitivity correction appropriate to the additives type and compound ratio in accordance with the parameters that are registered in advance. Arresters: Mounted as standard on the current output and AC power supply lines.  Operation console (inside the converter):  Used for verifying, changing and manipulating various data.  Five control switches Display: LCD of 4 lines by 20 characters (dot matrix) Power supply:  100 to 240 VAC; 50/60 Hz (Allowable power supply voltage: 85 to 264 VAC) Power consumption: Approximately 25 VA(100VAC) ,                                     Approximately 35 VA(240VAC) Case material:  Steel sheet Finish: Plyurethane finish
    106  6 F 8 A 0 5 2 1 11.4 Model Number Table Table 11.1  Model number table Model number Specification code Description  1 2 3 4 5  6 7  8  9 10 11 12      L Q  5  0  0  A           Density meter                           0  5 0  8 1  0 1  5 2  0 2  5 3  0                        Detector meter size 50 mm 80 mm 100 mm 150 mm 200 mm 250 mm 300 mm               B C E F G         Detector flange standard  JIS10K (JIS B 2238 10K) or equivalent  Equipment for ANSI 150  Equipment for DIN 10     Equipment for DIN 16  Equipment for BS 10               A B      Use   Standard   For PED(for EU)(Note 1)            A B  C  D   Liquid contacting specification  SCS14A cast(Equivalent to 316SS)pipe (standard) SCS14A cast(Equivalent to 316SS)pipe with Teflon PFA coating for sticky application SCS14A cast(Equivalent to 316SS)pipe for abrasive application   Piping material: HasteloyC (Note 1)               A B C D E Cable length (dedicated cable between converter and detector) Standard (10m) 20 m 30 m 40 m 50 m Note 1: The specification of PED(Pressure Equipment Directive)is required from 150 to 300 mm              When the installation location is in the Europe.
  107  6 F 8 A 0 5 2 1APPENDIX 1 Attached Figure1. Detector outline dimensions  ● The center of gravity C: Bolt pitch circle n: Number of bole holes h: Bolt diameter [Unit: mm] Enlarged view of B
    108  6 F 8 A 0 5 2 1   External dimensions (Flange) H Meter size (mm) Std. spec. W D T F C Appropriate bolt size (Diameter × length) n-Φh Mass (kg) 50 225 170 155 16 2 120 M16×60 4-19 Approx. 21 80 225 200 185 18 2 150 M16×65 8-19 Approx. 26 100 240 220 210 18 2 175 M16×65 8-19 Approx. 29 150 260 270 280 22 2 240 M20×75 8-23 Approx. 42 200 290 320 330 22 2 290 M20×75 12-23 Approx. 48 250 315 300 400 24 2 355 M22×80 12-25 Approx. 64 JIS10K 300 340 360 445 24 3 400 M22×85 16-25 Approx. 76 50 225 170 152.4 19.1 1.5 120.7 M16×60 4-19.1 Approx. 21 80 225 200 190.5 23.9 1.5 152.4 M16×70 4-19.1 Approx. 31 100 240 220 228.6 23.9 1.5 190.5 M16×70 8-19.1 Approx. 34 150 260 270 279.4 25.4 1.5 241.3 M20×80 8-22.4 Approx. 44 200 290 320 342.9 28.4 1.5 298.5 M20×80 8-22.4 Approx. 54 250 315 300 406.4 30.2 1.5 362.0 M22×90 12-25.5 Approx. 68 ANSI150 300 340 360 482.6 31.8 1.5 431.8 M22×90 12-25.4 Approx. 99 50 225 170 165 18 3 125 M16×60 4-18 Approx. 22 80 225 200 200 20 3 160 M16×70 8-18 Approx. 30 100 240 220 220 20 3 180 M16×70 8-18 Approx. 31 150 260 270 285 22 3 240 M20×80 8-22 Approx. 43 200 290 320 340 24 3 295 M20×80 8-22 Approx. 54 250 315 300 395 26 3 350 M22×90 12-22 Approx. 65 DIN10 & BS10  300 340 360 445 26 4 400 M22×90 12-22 Approx. 78 50 225 170 165 18 3 125 M16×60 4-18 Approx. 22 80 225 200 200 20 3 160 M16×70 8-18 Approx. 30 100 240 220 220 20 3 180 M16×70 8-18 Approx. 31 150 260 270 285 22 3 240 M20×80 8-22 Approx. 43 200 290 320 340 24 3 295 M20×80 12-22 Approx. 52 250 315 300 405 26 3 355 M22×90 12-26 Approx. 68 DIN16 300 340 360 460 28 4 410 M22×90 12-26 Approx. 85
  109  6 F 8 A 0 5 2 1 Attached Figure2. Converter dimensions                         ● [Unit: mm] 4-φ12 mounting holes Converter communication port Converter power supply cable port Contact signal I/O (1) port Density signal output port Contact signal I/O (2) port Rerserved Grounding terminal In the case of wall mounting In the case of 50A mounting Marine-use steel pipe mounting U bolt Steel pipe (50A)
  APPENDIX 3  Microwave Density Meter LQ500 has been confirmed to comply with the requirements of the EMC directive 89/336/EEC and the low voltage directive 93/68/EEC. And Microwave Density Meter of model number LQ500******D** has been confirmed to comply with the requirements of the Pressure Equipment directive 97/23/EC.  EMC directive This device has been tested in a typical configuration in accordance with the following standards in an industrial environment.    ・Generic emission standard  EN50081-2 : 1994            Radiated RF Emission                  EN55011 Class A            Conducted RF Emission                EN55011 Class A            Limits for harmonic current emissions    EN61000-3-2      ・Generic immunity standard EN50082-2 : 1995            Radiated RF Immunity                  ENV50140            Conducted RF Immunity                ENV50141            Radiated RF Immunity                  ENV50204            Electrostatic Discharge Immunity        EN61000-4-2            Electrical Fast Transient Immunity       EN61000-4-4 Low voltage directive     Low voltage standards   EN61010-1, /A2          Safety requirements for electrical equipment for measurement control and laboratory use (amended)           Over voltage category Ⅱ            Altitude  Up to 2000m Pressure equipment directive      Conformity assessment procedure  :  module H

Navigation menu