Trane Sys Apm001 En Users Manual 05/05/2009 Chiller System Design And Control
SYS-APM001-EN to the manual ba0ea354-b08a-4128-92d7-582cecabb3b4
2015-01-29
: Trane Trane-Sys-Apm001-En-Users-Manual-236295 trane-sys-apm001-en-users-manual-236295 trane pdf
Open the PDF directly: View PDF .
Page Count: 114 [warning: Documents this large are best viewed by clicking the View PDF Link!]
- Chiller System Design and Control
- Chiller System Design and Control
- Preface
- Contents
- Primary System Components
- Application Considerations
- System Design Options
- System Configurations
- Chilled-Water System Variations
- System Issues and Challenges
- System Controls
- Conclusion
- Glossary
- References
- Index
- Back Cover

Applications
Engineering Manual
Chiller System Design and
Control
May 2009 SYS-APM001-EN

Chiller System Design
and Control
Susanna Hanson, applications engineer
Mick Schwedler, applications manager
Beth Bakkum, information designer

© 2009 Trane All rights reserved Chiller System Design and Control SYS-APM001-EN
Trane, in proposing these system design and application concepts, assumes no
responsibility for the performance or desirability of any resulting system design. Design of
the HVAC system is the prerogative and responsibility of the engineering professional.
“Trane” and the Trane logo are registered trademarks, and TRACE, System Analyzer and
TAP are trademarks of Trane, a business of Ingersoll-Rand.
Preface
This manual examines chilled-water-system components, configurations,
options, and control strategies. The goal is to provide system designers with
options they can use to satisfy the building owners’ desires, but this manual
is not intended to be a complete chiller-system design manual.
System designers may get the most use from this manual by familiarizing
themselves with chilled-water-system basics and understanding the benefits
of various options. Thereafter, when a specific job will benefit from these
advantages, consult appropriate sections of the manual in detail.
The Engineers Newsletters that are referenced in this manual are available at:
www.trane.com/commercial/library/newsletters.asp

SYS-APM001-EN Chiller System Design and Control iii
Contents
Preface .................................................................................................. i
Primary System Components ................................................... 1
Chiller ............................................................................................... 1
Loads ................................................................................................ 7
Chilled-Water Distribution System .................................................. 10
Condenser-Water System ................................................................ 13
Unit-Level Controls .......................................................................... 15
Application Considerations ...................................................... 18
Small Chilled-Water Systems (1-2 chillers) ...................................... 18
Mid-Sized Chilled-Water Systems (3-5 Chillers) ............................. 21
Large Chilled-Water Systems (6+ Chillers, District Cooling) .......... 22
Chiller Plant System Performance ................................................. 24
System Design Options ............................................................ 27
Condenser-Water Temperatures ..................................................... 29
Chilled- and Condenser-Water Flow Rates ..................................... 29
Cost Implications ............................................................................ 38
Misconceptions about Low-Flow Rates ......................................... 39
System Configurations .............................................................. 42
Parallel Chillers ............................................................................... 42
Series Chillers ................................................................................ 44
Primary–Secondary (Decoupled) Systems ..................................... 45
Variable-Primary-Flow Systems ...................................................... 55
Chilled-Water System Variations ........................................... 70
Heat Recovery ................................................................................ 70
Condenser “Free Cooling” or Water Economizer .......................... 70
Preferential Loading ........................................................................ 73
Series–Counterflow Application ..................................................... 77
Unequal Chiller Sizing ..................................................................... 78
System Issues and Challenges ............................................... 79
Low T Syndrome .......................................................................... 79
Amount of Fluid in the Loop ........................................................... 79
Contingency ................................................................................... 81
Alternative Energy Sources ............................................................ 82
Plant Expansion .............................................................................. 83
Retrofit Opportunities ..................................................................... 84
Applications Outside the Chiller’s Range ....................................... 84

iv Chiller System Design and Control SYS-APM001-EN
System Controls ........................................................................... 87
Chilled-Water System Control ........................................................ 87
Condenser-Water System Control .................................................. 89
Failure Recovery ............................................................................. 95
Conclusion ...................................................................................... 96
Glossary ........................................................................................... 97
References ..................................................................................... 100
Index ................................................................................................ 103

SYS-APM001-EN Chiller System Design and Control 1
Primary System Components
Chilled-water systems consist of these functional parts:
• Chillers that cool the water or fluid
• Loads, often satisfied by coils, that transfer heat from air to water
• Chilled-water distribution pumps and pipes that send chilled water to the
loads
• Condenser-water pumps, pipes, and cooling towers or condenser fans that
reject heat from the chiller to ambient air
• Controls that coordinate the operation of the mechanical components
together as a system
In most cases, the chiller’s purpose is to make water colder. Some chillers cool a
mixture of water and other chemicals, most commonly added to prevent
freezing in low-temperature applications. Other additives may be used to
modify the properties of the fluid, thereby making it more suitable for its
intended application. For the purposes of this manual, the term water can be
understood to be any such acceptable fluid, with recognition of the diverse
applications in which chillers are used.
The chiller rejects the heat extracted from the chilled water, plus the heat of
compression (in the vapor-compression cycle), or the heat of absorption (in the
case of an absorption chiller) to either the ambient air (air-cooled) or to another
circuit of water (water-cooled). If the compressor-motor is refrigerant cooled,
the chiller also rejects heat generated by motor inefficiency. Air-cooled
condensers use fans to facilitate cooling by the ambient air. Water-cooled
condensers typically use an evaporative cooling tower.
After the water has been chilled, it is distributed via pumps, pipes, and valves
(the distribution system) to the loads, where a heat exchanger—for example, a
cooling coil in an air-handler—transfers heat from the air to the chilled water,
which is returned to the chiller.
Each component of the chilled-water system is explained in more detail in the
following sections.
Chiller
There are a variety of water chiller types. Most commonly, they are absorption,
centrifugal, helical rotary, and scroll. Some reciprocating chillers are also
available. Chillers can be either air- or water-cooled. Major vapor-compression
chiller components include an evaporator, compressor(s), condenser, and
expansion device(s) (Figure 1). This manual discusses the chiller’s evaporator
and condenser and their relationship to the chilled-water system.
For more details on the basic operation
and components of a chilled-water
system, consult another Trane
publication, Chilled-Water Systems, part
of the Air Conditioning Clinic Systems
Series (TRG-TRC016-EN).
Specific application considerations for
absorption chillers are addressed in
another Trane publication, Absorption
Chiller System Design (SYS-AM-13).

2Chiller System Design and Control SYS-APM001-EN
Primary System Components
Figure 1. Typical vapor-compression chiller
Water-cooled chillers are typically installed indoors; air-cooled chillers are
typically installed outdoors—either on the roof or next to the building. In cold
climates, air-cooled chillers may have a remote evaporator inside the building
for freeze protection.
Chiller evaporator
The evaporator section of a water chiller is a shell-and-tube, refrigerant-to-
water heat exchanger. Depending on the chiller’s design, either the
refrigerant or the water is contained within the tubes.
• In a flooded shell-and-tube evaporator (Figure 2), cool, liquid refrigerant
at low pressure enters the distribution system inside the shell and moves
uniformly over the tubes, absorbing heat from warmer water that flows
through the tubes.
Figure 2. Flooded evaporator cut-away
Compressor
Condenser
Evaporator
Tube Bundle
Liquid Level
Sensor
Chilled
Water
Return
Liquid
Refrigerant
Refrigerant
Vapor
Chilled
Water
Supply

Primary System Components
SYS-APM001-EN Chiller System Design and Control 3
• In a direct-expansion (DX) shell-and-tube evaporator (Figure 3), warmer
water fills the shell while the cool, lower-pressure liquid refrigerant flows
through the tubes.
Figure 3. Direct-expansion evaporator cut-away
In either design, there is an approach temperature, which is the temperature
difference between the refrigerant and exit water stream temperatures. The
approach temperature is a measure of the heat transfer efficiency of the
evaporator.
Effect of chilled-water temperature
For a given chiller, as the leaving chilled-water temperature drops, the
refrigerant temperature and pressure must also drop. Conversely, as the
leaving chilled-water temperature rises, so do the refrigerant temperature
and pressure. When the leaving chilled-water temperature changes, the work
a compressor must do also changes. The effect of leaving chilled-water
temperature change on power consumption can be 1.0 to 2.2 percent per
degree Fahrenheit [1.8 to 4.0 percent per degree Celsius]. Always consider
the energy consumption of the entire system—not only the chiller. It is
important to remember that although reducing leaving chilled-water
temperature penalizes the chiller, it may reduce the overall system energy
because less water is pumped through the system. System interactions are
covered in more detail in “System Design Options” on page 27.
Effect of chilled-water flow rate and variation
The evaporator is sensitive to the water flow rate. Excessive flow may result
in high water velocity, erosion, vibration, or noise. Insufficient flow reduces
heat-transfer efficiency and causes poor chiller performance, which might
cause the chiller controls to invoke safeties. Some designers have concerns
over low flow rates causing fouling. Generally, as Webb and Li1 noted, these
concerns are unwarranted since the chilled-water loop is a closed system,
thus reducing the chances of materials entering the system and causing
fouling. Chilled-water flow through the evaporator must be kept within
specific minimum and maximum limits. Contact the manufacturer for these
limits.
Chilled Water
Supply
Baffles
Tube Bundle
Chilled
Water
Return
Refrigerant
Vapor
Liquid
Refrigerant

4Chiller System Design and Control SYS-APM001-EN
Primary System Components
Some chiller controls can accommodate very little flow variation during
machine operation.2 Other, more sophisticated, chiller controls allow some
flow variation. Some chillers can tolerate flow-rate variations—as much as 50
percent per minute or greater—while others can only tolerate up to 2 percent
per minute. It is important that chiller capabilities are matched to system
requirements. Contact the chiller manufacturer to determine the allowable
rate of flow variation before varying the flow through the evaporator in a
chiller. Flow variation is discussed in detail in the section “Variable-Primary-
Flow Systems” on page 55.
Water-cooled condenser
To cool a building or process, the transferred heat must ultimately be rejected
outdoors or to another system (heat recovery). The total amount of heat
rejected includes the sum of the evaporator load, the compressor work, and
the motor inefficiency. In a hermetic chiller, where the motor and compressor
are in the same housing, these loads are all rejected through the condenser.
In an open chiller, where the motor is separate from the compressor and
connected by a shaft, the motor heat is rejected directly to the surrounding
air. The evaporator load and the compressor work are rejected through the
condenser, and the motor heat must be taken care of by the equipment
room’s air-conditioning system.
Effect of condenser-water temperature
For a given chiller, as the leaving condenser-water temperature rises,
refrigerant temperature and pressure also rise. Conversely, as the leaving
condenser-water temperature drops, so do refrigerant temperature and
pressure. As the refrigerant pressure and temperature changes, the work a
compressor must do also changes. The effect of leaving-condenser-water
temperature change on power consumption can be 1.0 to 2.2 percent per
degree Fahrenheit [1.8 to 4.0 percent per degree Celsius]. Always consider
the energy consumption of the entire system—not just the chiller. It is
important to remember that although raising the leaving condenser-water
temperature penalizes the chiller energy, it may reduce the energy used by
the condenser pumps and cooling tower through the use of reduced flow
rates and higher thermal driving-forces on the tower. System interactions are
covered in more detail in “System Design Options” beginning on page 27.
Effect of condenser-water flow rate
The condenser is sensitive to the water flow rate. Excessive flow may result
in high water velocity, erosion, vibration, or noise, while insufficient flow
reduces heat transfer efficiency and causes poor chiller performance.
Therefore, condenser-water flow through the chiller should be kept within a
specific range of limits, except during transient startup conditions. Contact
the manufacturer for these limits. Some chillers may allow extended
operation below the selected flow rates.
If water velocity through the condenser tubes is too low for significant
periods of time and the water is extremely hard, long-term fouling of the
tubes may also occur. Webb and Li1 tested a number of internally-enhanced
condenser tubes at low velocity (3.51 ft/s [1.07 m/s]) and high water hardness.

Primary System Components
SYS-APM001-EN Chiller System Design and Control 5
While they found that some of the internally-enhanced tubes fouled in the
long term, they concluded:
Because of the high hardness and low water velocity used in these
tests, we do not believe that the fouling experienced is typical of that
expected in commercial installations. With use of good maintenance
practices and water quality control, all of the tubes tested are
probably suitable for long-term-fouling applications.
It is important to remember that a chiller selected for low flow does not
necessarily have low velocity through its tubes, as discussed in the chapter
“System Design Options” on page 27. If tube fouling is a major concern,
consider the use of smooth, rather than internally-enhanced, tubes in the
condenser for ease of cleaning.
Air-cooled condenser
Air-cooled chillers do not use condenser-water, since they reject their heat by
passing ambient air across refrigerant-to-air heat exchangers. In packaged
air-cooled chillers, the manufacturers improve performance by staging fans
in response to chiller load and ambient, dry-bulb temperature. Air-cooled
chillers can also be split apart. One technique is to use an indoor remote
evaporator with a packaged air-cooled condensing unit outdoors. Another
technique is to locate the compressor(s) and the evaporator indoors (also
known as a condenserless chiller) with an air-cooled condenser outdoors. It is
also possible to have an indoor air-cooled condenser.
Air-cooled versus water-cooled condensers
One of the most distinctive differences in chiller heat exchangers continues to
be the type of condenser selected—air-cooled versus water-cooled. When
comparing air-cooled and water-cooled chillers, available capacity is the first
distinguishing characteristic. Air-cooled condensers are typically available in
packaged chillers ranging from 7.5 to 500 tons [25 to 1,580 kW]. Packaged
water-cooled chillers are typically available from 10 to nearly 4,000 tons [35 to
14,000 kW].
Maintenance
A major advantage of using an air-cooled chiller is the elimination of the
cooling tower. This eliminates the concerns and maintenance requirements
associated with water treatment, chiller condenser-tube cleaning, tower
mechanical maintenance, freeze protection, and the availability and quality of
makeup water. This reduced maintenance requirement is particularly
attractive to building owners because it can substantially reduce operating
costs. However, see “Energy efficiency” below.
Systems that use an open cooling tower must have a water treatment
program. Lack of tower-water treatment results in contaminants such as
bacteria and algae. Fouled or corroded tubes can reduce chiller efficiency and
lead to premature equipment failure.
Packaged or Split System?
A number of different options are
available for packaging and splitting the
components of an air-cooled chiller. There
is an excellent discussion in Chilled-Water
Systems, part of the Air Conditioning
Clinic Systems Series (TRG-TRC016-EN).

6Chiller System Design and Control SYS-APM001-EN
Primary System Components
Low-ambient operation
Air-cooled chillers are often selected for use in systems with year-round
cooling requirements that cannot be met with an airside economizer. Air-
cooled condensers have the ability to operate in below-freezing weather, and
can do so without the problems associated with operating the cooling tower
in these conditions. Cooling towers may require special control sequences,
basin heaters, or an indoor sump for safe operation in freezing weather.
For process applications, such as computer centers that require cooling year-
round, this ability alone often dictates the use of air-cooled chillers.
Energy efficiency
Water-cooled chillers are typically more energy efficient than air-cooled
chillers. The refrigerant condensing temperature in an air-cooled chiller is
dependent on the ambient dry-bulb temperature. The condensing
temperature in a water-cooled chiller is dependent on the condenser-water
temperature, which is dependent on the ambient wet-bulb temperature.
Since the design wet-bulb temperature is often significantly lower than the
dry-bulb temperature, the refrigerant condensing temperature (and pressure)
in a water-cooled chiller can be lower than in an air-cooled chiller. For
example, at an outdoor design condition of 95°F [35°C] dry-bulb temperature,
78°F [25.6°C] wet-bulb temperature, a cooling tower delivers 85°F [29.4°C]
water to the water-cooled condenser. This results in a refrigerant condensing
temperature of approximately 100°F [37.8°C]. At these same outdoor
conditions, the refrigerant condensing temperature in an air-cooled
condenser is approximately 125°F [51.7°C]. A lower condensing temperature,
and therefore a lower condensing pressure, means that the compressor
needs to do less work and consumes less energy.
This efficiency advantage may lessen at part-load conditions because the dry-
bulb temperature tends to drop faster than the wet-bulb temperature (see
Figure 4). As a result, the air-cooled chiller may benefit from greater
condenser relief. Additionally, the efficiency advantage of a water-cooled
chiller is much less when the additional cooling tower and condenser pump
energy costs are considered. Performing a comprehensive energy analysis is
the best method of estimating the operating-cost difference between air-
cooled and water-cooled systems.

Primary System Components
SYS-APM001-EN Chiller System Design and Control 7
Figure 4. Air-cooled or water-cooled efficiency
Another advantage of an air-cooled chiller is its delivery as a “packaged
system.” Reduced design time, simplified installation, higher reliability, and
single-source responsibility are all factors that make the factory packaging of
the condenser, compressor, and evaporator a major benefit. A water-cooled
chiller has the additional requirements of condenser-water piping, pump,
cooling tower, and associated controls.
Water-cooled chillers typically last longer than air-cooled chillers. This
difference is due to the fact that the air-cooled chiller is installed outdoors,
whereas the water-cooled chiller is installed indoors. Also, using water as the
condensing fluid allows the water-cooled chiller to operate at lower pressures
than the air-cooled chiller. In general, air-cooled chillers last 15 to 20 years,
while water-cooled chillers last 20 to 30 years.
To summarize the comparison of air-cooled and water-cooled chillers, air-
cooled chiller advantages include lower maintenance costs, a pre-packaged
system for easier design and installation, and better low-ambient operation.
Water-cooled chiller advantages include greater energy efficiency (at least at
design conditions) and longer equipment life.
Loads
In comfort-cooling applications, cooling loads are often satisfied by air
handlers equipped with coils to transfer heat from the conditioned space air
to circulating chilled-water. Air is cooled and dehumidified as it passes across
the finned surface of the cooling coils. Since the psychrometric process of
conditioning air takes place at the coils, selection of the optimum coil size
and type from the wide variety available is important for proper system
performance.
Some specialized process loads do not involve cooling air. Instead, they may
involve heat transfer directly within a piece of process equipment, such as the
cooling jacket of an injection-molding machine.
12
midnight
12 12
midnight
dry bulb
wet bulb
Dry Bulb
Wet Bulb
Outdoor Temperature
12 12 12
Midnight MidnightNoon

8Chiller System Design and Control SYS-APM001-EN
Primary System Components
Heat transferred from the loads can be controlled in a number of ways:
• Three-way valve
•Two-way valve
• Variable-speed pump
• Face-and-bypass dampers
Three-way valve load control
A three-way control valve (Figure 5) regulates the amount of water passing
through a coil in response to loads. The valve bypasses unused water around
the coil and requires a constant flow of water in the system, regardless of
load. A drawback of this bypass is that the temperature of the water leaving
the three-way valve is reduced at part-load conditions. This can be a major
contributor to so-called “low T syndrome” discussed on page 79. Three-way
valves are used in many existing systems, especially in those with constant-
volume pumping.
Figure 5. Three-way valve
Two-way valve load control
A two-way, water modulating valve (Figure 6) at the coil performs the same
water throttling function as the three-way valve. The coil sees no difference
between these two methods. The chilled-water system, however, sees a great
difference. In the case of the two-way valve, all flow in the coil circuit is
throttled. No water is bypassed. Consequently, a system using two-way
valves is a variable-flow chilled-water system. The temperature of the water
leaving the coil is not diluted by bypass water so at part-load conditions, the
system return-water temperature is higher than with three-way valve control.
Airflow
Bypass
Pipe
Three-Way
Modulating
Valve

Primary System Components
SYS-APM001-EN Chiller System Design and Control 9
Figure 6. Two-way valve
Variable-speed pump load control
By using a pump for each coil (Figure 7), the flow may be controlled by
varying the pump speed. In such systems, there may be no control valves at
the coil. This can reduce both the valve and the valve installation costs, but
increases coil pump and maintenance costs.
Figure 7. Variable-speed pump load control
Face-and-bypass dampers
Figure 8 shows a control variation using an uncontrolled or “wild” coil. In
this system, control of the conditioned air supply is executed by face-and-
bypass dampers that permit a portion of the air to bypass the coil surface.
Advantages of this strategy are the elimination of control valves and
improved part-load dehumidification. A disadvantage is that all the water is
Two-Way
Modulating
Valve
Airflow
Airflow
Variable
Speed Pump

10 Chiller System Design and Control SYS-APM001-EN
Primary System Components
pumped all the time; however, in systems with very small water pressure
drops, this system arrangement may work economically.
Figure 8. Uncontrolled water flow with bypass damper
Chilled-Water Distribution System
Chilled water is circulated through fixed piping—most commonly steel,
copper, or plastic—that connects the chiller with various load terminals.
Piping is sized to meet pressure loss, water velocity, and construction cost
parameters.
Chilled-water pump
The chilled-water pump creates pressure to circulate chilled water within the
loop. Generally, the pump must overcome the frictional pressure losses
caused by the piping, coils, and chiller and the pressure differential across
open control valves in the system. The pump, while working at the system
static pressure, does not need to overcome this static pressure. For example,
in a forty-story building, the pump need not overcome the static pressure due
to those forty stories.
The chilled-water pump is typically located upstream of the chiller; however,
it may be anywhere in the system, provided that the pump:
• meets the minimum pump net positive suction-head requirements. That
is, the system pressure at the pump inlet must be both positive and high
enough to allow the pump to operate properly;
• maintains the minimum dynamic pressure head at critical system
components (usually the chiller). If the dynamic pressure head is not high
enough at these components, proper flow will not be established through
them;
Bypass
Damper
Face
Damper
Airflow
Additional reference information on the
components of a chilled-water
distribution system is available in the
2008 ASHRAE HVAC Systems and
Equipment Handbook, chapter 12,
“Hydronic Heating and Cooling System
Design.” 3

Primary System Components
SYS-APM001-EN Chiller System Design and Control 11
• accommodates the total pressure (static head plus dynamic head) on
system components such as the chiller’s evaporator, valves, etc.
Note that the pump heat is added to the water and must be absorbed by the
chiller. Generally, this represents a very small temperature increase.
Multiple pumps are often used for redundancy. Depending on the terminal
control devices and system configurations, the chilled-water pumps may be
either constant- or variable-flow.
As previously stated, pumps may be either on the inlet or the outlet of the
chiller, as long as the inlet of the pump experiences an adequate, positive
suction pressure. In applications where there is a significant liquid column
head (for example, a high-rise building), the pump is often located at the
chiller’s outlet so that the evaporator bundle is subject only to the static head
(rather than the static head plus the dynamic head added by the pump). The
need for high-pressure water boxes on the chiller can be eliminated.
Conversely, an advantage of locating the pump at the chiller’s inlet is that if
the pump motor rejects its heat to the water, the heat can be removed directly
by the chiller. The chiller does not need to compensate for the pump heat by
making colder water.
Pump per chiller
In either a primary–secondary or variable-primary-flow system, using one
pump per chiller simplifies system hydraulics (Figure 9). The pump can be
selected to produce the flow and pressure drop necessary for the specific
chiller. Bringing on additional pumps changes system hydraulics, but only
minimally. One drawback of such a system is a lack of redundancy, since the
pump and chiller are dedicated to one another. This may be overcome by
using a spare pump, pipes, and valves so that the spare pump could work
with any chiller during emergency conditions.
Manifolded pumps
In an effort to resolve the redundancy consideration, some designers prefer
to manifold pumps and provide n+1 pumps, where n is the number of chillers
(Figure 10). Such an arrangement allows any pump to be used with any
chiller. However, system hydraulics become more complicated. Unless all
piping runs and evaporator pressure drops are equal, the amount of water
flowing to each chiller will differ. As discussed in “Moderate ’low T
syndrome’" on page 68, manifolded pumps present a control opportunity
when low T is experienced.
Either pump configuration can be successful; one pump per chiller simplifies
the hydraulics, while manifolded pumps allow redundancy.
Distribution piping
By itself, the distribution system is easy to understand. Figure 11 shows a
simplified distribution system consisting of multiple cooling coils, each
controlled by a thermostat that regulates the flow in its respective coil. The
Figure 9. Pump per chiller
Load
Pump
Pump
Figure 10. Manifolded pumps
Manifolded
Pumps
Load

12 Chiller System Design and Control SYS-APM001-EN
Primary System Components
valves may be either three-way or two-way. As previously discussed, three-
way valves require constant water flow, while two-way valves allow the water
flow in the system to vary. As flow varies, the pump may simply ride its curve
or use a method of flow control such as a variable-speed drive. Refer to the
chapter “System Configurations” on page 42 for a detailed discussion of
distribution-system options.
Figure 11. Simplified distribution system
The distribution system may contain other components, such as an
expansion tank, control valves, balancing valves, check valves, and an air
separator, to name a few. The density, and therefore the volume, of the water
in a “closed” chilled-water distribution system varies as it undergoes
changes in temperature. The expansion tank allows for this expansion and
contraction of water volume.
Pumping arrangements
Variations on three basic pumping arrangements are common. They are
referred to as constant flow, primary-secondary (decoupled) flow, and
variable-primary flow (VPF). The implications and nuances of each of these is
discussed in greater detail in “System Configurations” on page 42.
Constant flow system
When a chiller is on, a constant speed pump dedicated to it is on, and there
need not be any other pumps operated in the system (Figure 12). This is a
simple system and makes the most sense when there will only be one chiller
operated at a time in the system. Challenges with this system arise at part
load when chillers are in the parallel arrangement (refer to “Parallel Chillers”
on page 42). To solve some of these problems, the chillers can be placed in
Expansion
Tank
Pump
Chiller
Distribution
Piping
Loads
Figure 12. Constant flow system
Load
Chillers
CV
Pump
Three-Way
Control
Valve

Primary System Components
SYS-APM001-EN Chiller System Design and Control 13
the series, or another pumping arrangement can be considered. Reducing the
flow rate affects this system type’s energy use all the time, so careful
attention to flow rates and temperature is critical (refer to “System Design
Options” on page 27).
Primary-secondary system
In this configuration (Figure 13), the distribution piping is decoupled from the
chiller piping and is known as the primary-secondary or decoupled system.
There is constant primary flow through the operating chiller(s) and variable
secondary flow through the loads. A bypass pipe between the two balances
the primary flow with the secondary flow. Because there are more pumps
and a bypass, this system costs more than a constant flow system to install.
Details on this system type are in “Primary–Secondary (Decoupled) Systems”
on page 45.
Variable-primary system
This pumping arrangement (Figure 14) was made possible in recent years by
advanced chiller controls that permit varying the flow through the chillers.
Like a constant flow system, the distribution piping is directly connected to
the chiller piping. Flow is varied through at least most of the loads and the
chillers. A smaller bypass (compared to the primary-secondary system)
ensures chiller minimum flow rates are avoided. Fewer pumps and smaller
bypass lead to lower first costs compared to the primary-secondary system.
Operation costs can also be lower, but the plant is controlled differently than
in other pumping arrangements and operator training is essential. This
system type is covered in detail in “Variable-Primary-Flow Systems” on
page 55.
Condenser-Water System
As in chilled-water distribution systems, condenser-water system piping—
most commonly steel, copper, or plastic—is sized to meet a project’s
operating pressure, pressure loss, water velocity, and construction cost
parameters. Pressure drop through piping and the chiller’s condenser, plus
the cooling tower static lift, is overcome by use of a condenser-water pump.
To ensure optimum heat transfer performance, the condenser-heat transfer
surfaces must be kept free of scale and sludge. Even a thin deposit of scale
can substantially reduce heat transfer capacity and chiller efficiency. Specifics
of cooling-tower-water treatment are not discussed in this manual. Engage
the services of a qualified water treatment specialist to determine the level of
water treatment required to remove contaminants from the cooling tower
water.
Cooling tower
To reject heat, water is passed through a cooling tower where a portion of it
evaporates, thus cooling the remaining water. A particular cooling tower’s
effectiveness at transferring heat depends on water flow rate, water
temperature, and ambient wet bulb. The temperature difference between the
~
Figure 13. Primary-secondary system
CV
Pump
CV
Pump
Bypass (Decoupler)
VV
Pump
Load
Chillers
Two-Way
Control
Valve
~
~
Figure 14. Variable-primary system
VV
Pump
VV
Pump
Chillers
Minimum Flow Bypass Valve
Load
Two-Way
Control
Valve

14 Chiller System Design and Control SYS-APM001-EN
Primary System Components
water entering and leaving the cooling tower is the range. The temperature
difference between the leaving water temperature and the entering wet-bulb
temperature is the approach.
Effect of load on cooling tower performance
As the building load—or heat rejection—decreases, range and approach also
decrease. This means that when the building is at part load, the cooling tower
can provide colder water at the same ambient wet-bulb temperature.
Effect of ambient conditions on cooling tower performance
As ambient wet-bulb temperature drops, the approach—at a constant load—
increases. This is counter-intuitive to many, and it must be considered when
cooling-tower-control strategies are developed. Detailed descriptions of these
conditions appear in “Chiller–tower energy balance” on page 91. For
additional information, refer to 2008 ASHRAE HVAC Systems and Equipment
Handbook, chapter 39, “Cooling Towers.” 3
Condenser-water pumping arrangements
Water-cooled chillers require condenser-water-system variations to be
considered. For a discussion of condenser-water temperatures and flow
rates, refer to “System Design Options” on page 27. Since air-cooled-chiller
condenser controls are part of the chiller design, they are not discussed in
this manual.
Most important, the inlet to the pump must have sufficient net positive head.
This often means locating the pump below the cooling-tower sump.
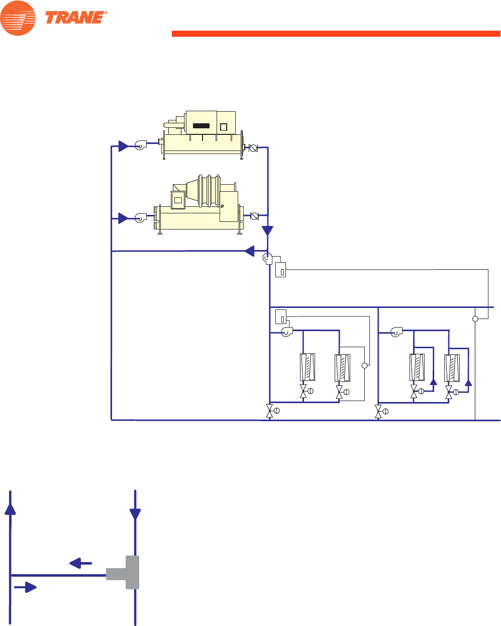
Single tower per chiller
In some applications each chiller has a dedicated cooling tower. This is most
likely to occur when chillers, and their accompanying towers, are purchased
at different times during the facility’s life—such as when additions are made.
Manifolded pumps
A much-used pumping arrangement has a single cooling-tower sump with
manifolded pumps, one condenser water line, and separate, smaller, pipes
for each chiller as shown in Figure 15. This provides a number of advantages:
• Pumping redundancy
• If cooling towers cells can be isolated, any cooling-tower cell can run with
any chiller.
• Hydraulics are generally less problematic than on the chilled-water side.
• Cooling towers can be located remotely from chillers, with only a single
supply and return pipe to connect them.
Cooling
Towers
Manifolded
Pumps
Chillers
Figure 15. Manifolded condenser-
water pumps

Primary System Components
SYS-APM001-EN Chiller System Design and Control 15
Unit-Level Controls
The chilled-water supply temperature is usually controlled by the chiller.
Most commonly, supply water temperature is used as the sensed variable to
permit control of chiller capacity to meet system load demand. Supply-
temperature control strategies may be used on either constant- or variable-
flow systems. As previously discussed, flow control is executed at the load
terminals using three-way or two-way valves, or separate pumps for each
coil. Control capabilities run the gamut from slow-acting pneumatic controls,
to electromechanical controls, to sophisticated digital controls that use "feed-
forward" algorithms tuned to give superior performance.
Chiller control
Today’s chiller controls are capable of doing more than simply turning the
chiller on and off. At a minimum, these controls should monitor:
• Safety points, such as bearing temperatures and electrical points, that
may cause motor failure when out of range.
• Data points that may cause operational problems if corrective action is
not taken. An example is low chilled-water or refrigerant temperature,
which may result in freezing in or around the evaporator tubes.
• General points to ensure proper chiller performance and refrigerant
containment.
Table 1. Recommended chiller-monitoring points per ASHRAE Standard 1474
Chilled Water (or other
secondary coolant)
Flow
Condenser
Water
Flow
Inlet Pressure Inlet Pressure
Inlet Temperature Inlet Temperature
Outlet Pressure Outlet Pressure
Outlet Temperature Outlet Temperature
Evaporator Refrigerant Pressure Condenser Refrigerant Pressure
Refrigerant Temp. Refrigerant Temp.
Oil
Level
Refrigerant
Level
Pressure Compressor Discharge Temp.
Temperature Compressor Suction Temp.
Addition of Addition of (in Refrigerant Log)
Vibration Levels PPM Refrigerant Monitor Level
Purge Exhaust Time Logs Date and Time Data
Discharge Count Signature of Reviewer
Ambient Temperatures Dry Bulb Motor Amperes Per Phase
Wet Bulb Volts Per Phase

16 Chiller System Design and Control SYS-APM001-EN
Primary System Components
In addition to monitoring data, it is vital that the chiller controls alert
operators to possible problems. Diagnostic messages are necessary for the
operator to respond to safety issues and data points that are outside normal
operating ranges. While communicating these diagnostic messages is a
requirement, some chiller controls include factory-installed programming
that responds to the issue causing the diagnostic messages. For example,
when the chilled-water temperature nears freezing, the chiller sends a
diagnostic message and adapts its operation by reducing the compressor
capacity, raising the chilled-water temperature to a safer condition.
Finally, the chiller controls should communicate with a system-level
controller. There are many system aspects that are outside the chiller’s direct
control, such as condenser-water temperature and the amount of fluid
flowing through the evaporator and condenser. To minimize the system
energy costs, the system controls must coordinate chiller, pump, cooling-
tower, and terminal-unit controls. This can only be done if adequate
information is communicated from each system component to the system-
level controls. System-level control is discussed in detail in “System
Controls” beginning on page 87.
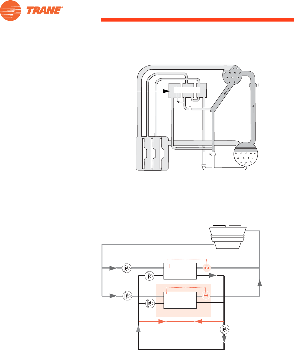
Centrifugal chiller capacity control
The capacity of a centrifugal chiller can be modulated using inlet guide vanes
(IGV) or a combination of IGV and a variable-speed drive (adjustable-
frequency drive, AFD)(Figure 16). Variable-speed drives are widely used with
fans and pumps, and as a result of the advancement of microprocessor-based
controls for chillers, they are being applied to centrifugal water chillers.
Figure 16. Centrifugal chiller with AFD
ASHRAE 90.1 requires a chiller to meet both full and part-load efficiency
requirements. Using an AFD with a centrifugal chiller degrades the chiller’s
full-load efficiency. This causes an increase in electricity demand or real-time
pricing charges. At the time of peak cooling, such charges can be ten (or
more) times the non-peak charges. In return, an AFD can offer energy savings
For more information about chillers,
Trane Air Conditioning Clinics are
available for centrifugal (TRG-TRC010-
EN), absorption (TRG-TRC011-EN) and
helical-rotary (TRG-TRC012-EN) chiller
types.
Adjustable
Frequency
Drive
Inlet Guide Vanes
Compressor
Evaporator
Condenser

Primary System Components
SYS-APM001-EN Chiller System Design and Control 17
by reducing motor speed at “low-lift” conditions, when cooler condenser
water is available.
Certain system characteristics favor the application of an AFD, including:
• A substantial number of part-load operating hours (for example, when an
air- or water-economizer is not installed in the system)
• The availability of cooler condenser water (condenser-water reset)
• Chilled-water reset control
Chiller savings using condenser- and chilled-water-temperature reset,
however, should be balanced against the increase in pumping and cooling-
tower energy. Performing a comprehensive energy analysis is the best
method of determining whether an AFD is desirable. It is important to use
actual utility costs, not a “combined” cost, for demand and consumption
charges. It is also important to include drive maintenance and replacement
costs, since the drive life is shorter than the chiller life. See “Energy and
economic analysis of alternatives” on page 26.
Depending on the application, it may make sense to use the additional
money that would be needed to purchase an AFD to purchase a more
efficient chiller instead. This is especially true if demand charges are
significant, or if the condenser water is close to its design temperature most
of the time (e.g., in a hot and humid climate such as Miami).
Consider the following analysis of an 800-ton office building with two
chillers. The analysis compares equally priced high efficiency or AFD-
equipped chillers, as one or both of the chillers. Utility costs for the combined
or “blended” rate are $0.10 per kWh and for the actual rate are $12 per kW
and $0.06 per kWh.
Simple paybacks using the combined rate analysis show almost no difference
between the two options (Table 2). However, when utility costs with an actual
consumption and demand component are used, the difference between the
alternatives is much more pronounced. The conclusion is that using actual
energy rates matters a great deal.
Table 2. Analysis of high-efficiency chiller options with combined vs actual rates
Simple paybacks, humid climate Combined rate Actual rate
AFD on both chillers 7.2 12.7
High efficiency on both chillers 7.1 8.3
AFD on one chiller 6.1 10.8
High efficiency on one chiller 6.3 7.7

18 Chiller System Design and Control SYS-APM001-EN
Application Considerations
Chiller system size affects design and control considerations. Each size comes
with its own set of advantages and challenges.
Small Chilled-Water Systems (1-2 chillers)
Figure 17. Small chilled-water system schematic
A common design goal for the small chilled-water system with one or two
chillers (Figure 17) is to minimize complexity while balancing energy
consumption goals. Smaller chilled-water systems may have smaller budgets
allotted for operation and maintenance and may run unattended more often
than larger systems. Keeping it simple, while capitalizing on chilled water
advantages, is the hallmark of a successful project.
The first cost of a small system is a common hurdle faced by a building owner.
There are ways to minimize first costs without sacrificing operating costs. For
example, a wider design T reduces flow rates, which in turn reduces pipe and
pump sizes. In addition to reducing pump and pricing costs, this may also allow
the designer to avoid installing a storage tank to meet the required chiller “loop
times.” (See “Amount of Fluid in the Loop” on page 79.) On a system with
multiple chillers, using a variable-primary-flow design (“Variable-Primary-Flow
Systems” on page 55) can reduce the number of pumps, starters, electrical
equipment, and space required.
Air-Cooled Chiller
Pump
Control
Valve Load

Application Considerations
SYS-APM001-EN Chiller System Design and Control 19
Constant flow
Constant flow is simple and often applied to small systems up to 200 tons—
as long as the system pressure drop is fairly low and a wider T is applied to
reduce the system flow rate. In constant flow systems, appropriate chilled-
water reset reduces chiller energy. These two strategies for saving energy
(reducing flow rates and/or chilled-water temperature reset) can be used
successfully in the constant flow designs more common in small chilled-
water systems. These two strategies are covered in “Selecting Chilled- and
Condenser-Water Temperatures and Flow Rates” on page 27 and “Chilled
water reset—raising and lowering” on page 87.
Constant flow systems use either a balancing or pressure-reducing valve or,
in a few cases, trim the pump impeller to set the system design flow.
Pressure-reducing valves waste pump energy. Another option designers use
to reduce pumping energy and increase system flexibility is to install a
variable frequency drive on the pump motor and set it at a constant speed
during system commissioning.
If, instead, system flow is balanced by trimming the pump impeller, flow
adjustment is much more difficult. Using a variable frequency drive at a set
speed allows the flow to be decreased or increased in the future if necessary.
This approach is more cost effective because the cost of variable frequency
drives has dropped. Any incremental cost will be offset by the elimination of
the balancing valves and pump starter.
Variable flow
Although a variable-primary-flow system may cost more than a constant flow
system, it is growing in popularity because it is less expensive than installing
a decoupled system. Another reason for its increased popularity is that pump
energy is reduced.
Some owners are concerned that the controls are more complex, but variable
flow systems can work very simply in the small chilled-water system when
there is only one chiller or when two chillers are piped in series. Key control
issues for variable flow systems are discussed in “Variable-Primary-Flow
Systems” on page 55, and variable flow with series chillers in “Series
Chillers” on page 44.
Condensing method
Many small chilled-water systems use air-cooled chillers because of the lower
maintenance requirements of the condensing circuit. Water-cooled systems
are generally more energy efficient and have more options for features such
as heat recovery, though some air-cooled chillers have partial heat recovery
options.
To help the owner decide on the system selection, a comprehensive energy
analysis is the best method of estimating the life cycle cost difference
between air-cooled and water-cooled systems. Energy analysis is likely
required for many facilities seeking LEED certification, so it may already be

20 Chiller System Design and Control SYS-APM001-EN
Application Considerations
part of those jobs. See “Energy and economic analysis of alternatives” on
page 26.
Number of chillers
The number of chillers to install is a function of redundancy requirements
and first cost. In general, the more chillers installed, the higher the initial cost.
Therefore, many small systems only use one chiller. Most chillers in the 20
through 200 ton range use multiple compressors with multiple refrigeration
circuits and provide a reasonable level of cooling redundancy. The only
system controls installed on a single chiller installation may be a clock and
ambient lockout switch to enable and disable the chilled-water system. If only
one chiller is used, a system that varies the flow rate through the chiller can
be quite simple to operate. Minimum and maximum flows and maximum
rate of change for the flow would still need to be addressed (see “Variable-
Primary-Flow Systems” on page 55).
As systems get larger, the owner may require more redundancy, leading
them to install multiple chillers. Some designers use 200 tons as the
maximum job size for a single chiller.
When there is more than one chiller, there are many more system control
decisions to be made including:
• enabling the second chiller,
• turning the second chiller off, and
• failure recovery.
Two-chiller plants require higher system control intelligence than single
chiller plants. Sequencing logic, discussed in “System Configurations” on
page 42, varies based on system configuration, and failure recovery is
discussed on page 95.
Parallel or series
Parallel configurations are more common than series configurations. (See
“Parallel Chillers” on page 42.) In chiller systems with an even number of
chillers, there are advantages to putting them into a series configuration,
especially if low or variable water flow is desired. This offers the benefits of
better system efficiency and higher capacity because the upstream chiller
produces water at a warmer temperature. Series chillers should not be
applied with low system Ts, because the maximum flow through the chillers
may be reached. Efforts to eliminate the so-called “Low T syndrome” (page
79) must be addressed for both configurations. The energy and control
requirements of series chillers are covered in “Series Chillers” on page 44.
Part load system operation
For small chilled-water systems, especially those with only one chiller, part
load system energy use may be dominated by ancillary equipment,
especially in a constant flow system. At low loads, constant speed pumps
and tower fans constitute a much larger portion of the chiller plant energy

Application Considerations
SYS-APM001-EN Chiller System Design and Control 21
than at full load. Variable frequency drives for unloading tower fans and
chilled-water pumps may provide benefits, depending on the costs, system
operating hours, system type, and outdoor air conditions. (See “System
Controls” on page 87.)
Mid-Sized Chilled-Water Systems
(3-5 Chillers)
Figure 18. Mid-sized chilled-water system schematic
In addition to the design decisions faced by the small chilled-water system
designer, the following objectives may be encountered by the mid-sized
system designer.
Managing control complexity
As chilled-water systems get larger (Figure 18), control system design and
execution become more critical and more complex. There are simply more
combinations of equipment and operating scenarios. On the other hand,
systems this size generally have more highly-skilled operators who can
understand proper operation and maintenance. To help operators
understand expected system operation, chiller plant controls are usually
more customized and sophisticated.
Preferential vs. equalized loading and run-time
With more chillers, sequencing options might include preferentially loading
the most efficient chiller or equalizing the run time of chillers. The decision
hinges on how different these chillers are and the preferred maintenance
routine. For example, a chiller plant with one quite old—though still reliable—
chiller may periodically enable that chiller to ensure it continues to function,
Loads
Distribution Pumps

22 Chiller System Design and Control SYS-APM001-EN
Application Considerations
but use it sparingly due to its lower efficiency. Or, a chiller may have a
different fuel source, used as a hedge against either high demand or high
energy consumption charges for other energy sources. (See “Alternative
Energy Sources” on page 82.) Some chilled-water systems have unequally
sized chillers, allowing fewer chillers to operate. (See “Unequal Chiller
Sizing” on page 78.)
Large Chilled-Water Systems
(6+ Chillers, District Cooling)
Figure 19. Large chilled-water system schematic
Large chilled-water systems with six or more chillers (Figure 19) have
different challenges than smaller systems. Examples of these types of
systems are commonly found on campuses with multiple buildings,
downtown districts, and mixed-use residential and commercial
developments.
~
~
~
~
~

Application Considerations
SYS-APM001-EN Chiller System Design and Control 23
Creating one centralized chilled-water system takes significant foresight,
initial investment, and building development with a multi-year master plan. If
the initial plant is built to accommodate many future buildings or loads, the
early challenge is operating the system efficiently with much lower loads
than it will experience when the project is complete. The system may need to
blend parallel and series configurations (“Series–Counterflow Application”
on page 77) to accommodate the wide range of loads the plant experiences
during phased construction.
Another type of large chilled-water system could actually start out as more
than one chilled water-system. An existing set of buildings can be gradually
added to the central system, or two geographically distant chilled-water
systems can be connected. “Plant Expansion” on page 83 discusses the
unique control and hydraulic challenges of “double-ended” chilled-water
systems.
Operating large chilled-water systems can be different as well. As system
load drops, chillers are turned off. Individual chiller unloading characteristics
are not as important, because operating chillers are more heavily loaded.
Pipe size
Practical pipe size limitations start to affect the maximum size of a chilled-
water system. As the systems get larger, it becomes more difficult to
accommodate the increasing pipe sizes, both in cost and in space. Large Ts
can help reduce flow and required pipe size. (See “Selecting Chilled- and
Condenser-Water Temperatures and Flow Rates” on page 27.) In general, the
larger the system, the higher the T should be.
Water
Large systems are almost always water-cooled. Both chilled water (a closed
loop) and condenser water (usually an open loop) pipes will have to be filled
with water. In some locations, it is difficult to find enough fresh water to fill a
very large system with water, especially if the chilled-water system is quite
distant from the loads. Cooling towers consume water, which can be
significant and difficult to obtain in some locations. The search for both
locally available make-up water and energy savings can lead to the
exploration of alternative condensing sources like lake, river, or well water.
(See “Well, river, or lake water” on page 72.) In rare instances, salt water or
brackish water can be applied if the system uses an intermediate heat
exchanger, or if the chiller is constructed with special tubes.
Power
Large chilled-water systems can be challenged by site power availability.
Transformer size may be dictated by local regulations. On-site power
generation may be part of the project, leading to using higher voltages inside
the chilled-water system to avoid transformer losses and costs. Alternative
fuels for some or all of the chillers may be attractive (“Alternative Energy
Sources” on page 82).

24 Chiller System Design and Control SYS-APM001-EN
Application Considerations
To minimize power, large systems must be very efficient. The upside of a
large system is the amplification of energy savings. A relatively small
percentage of energy saved becomes more valuable. For this reason, the
highly efficient series-counterflow arrangement is popular for large systems.
(See “Series–Counterflow Application” on page 77.)
Controls
The designers of medium and large chilled-water systems are more likely to
consider the pros and cons of direct-digital controls (DDC) versus
programmable-logic controls (PLC). These platforms deliver similar results,
depending on proper design, programming, commissioning, and operation.
One way to think of PLC is “fast, centralized control with redundancy.” PLC
has a faster processing speed, with some hot-redundancy features—such as
an entirely redundant system processor that is ready to take over if the main
system processor fails.
Conversely, DDC can be considered “steady, distributed control with
reliability.” DDC controls feature easy programming and user-friendly
operation. In the DDC environment, a failure of the system processor results
in the lower-level processors defaulting to a pre-determined operating mode.
The speed of the PLC system can be one of its challenges. Controls that are
steady and do not overreact to minor changes work very well, even in large
chilled-water systems.
Chiller Plant System Performance
Chiller performance testing
All major chiller manufacturers have chiller performance test facilities in the
factory, in a laboratory, or both. A chiller performance test in accordance with
the test procedures in ARI Standard 550/5905 can be performed at the factory
under controlled conditions, with industrial grade instrumentation and
computerized data collection devices. This test ensures that the chiller meets
its promised performance criteria. If it does not, corrections are made before
it leaves the factory.
Limitations of field performance testing
After the chiller is installed at the job site, the system conditions will be less
controllable than in a test facility, and therefore unsuitable for chiller
acceptance testing. While measuring the performance of the entire chiller
plant is more difficult, it can help identify operating problems or evaluate the
effectiveness of system control methods and setpoints.
The goal is to operate as efficiently as possible and to sustain a high level of
individual equipment and coordinated operation. A proper energy
management system can help trend and diagnose problems or changes over
time.
For more information about chiller plant
controls, consult the Trane applications
guide, Tracer Summit™ Chiller Plant
Control Program (BAS-APG004-EN).

Application Considerations
SYS-APM001-EN Chiller System Design and Control 25
Guidelines for system efficiency monitoring
ASHRAE Guideline 22 Instrumentation for Monitoring Central Chilled-Water
Plant Efficiency6 was first published in June 2008. It states:
Guideline 22 was developed by ASHRAE to provide a source of
information on the instrumentation and collection of data needed for
monitoring the efficiency of an electric-motor-driven central chilled-
water plant. A minimum level of instrumentation quality is
established to ensure that the calculated results of chilled-water
plant efficiency are reasonable. Several levels of instrumentation are
developed so that the user of this guideline can select that level that
suits the needs of each installation.
The basic purpose served by this guideline is to enable the user to
continuously monitor chilled-water plant efficiency in order to aid in
the operation and improvement of that particular chilled-water plant,
not to establish a level of efficiency for all chilled-water plants.
Therefore, the effort here is to improve individual plant efficiencies
and not to establish an absolute efficiency that would serve as a
minimum standard for all chilled-water plants.
Guideline 22 includes a discussion of:
• types of sensors and data measurement devices
•calibration
• measurement resolution, accuracy, and uncertainty
• calculation methods
• example specification
• examples of measured long-term performance
Guideline 22 recommends tracking and archiving the following over the life
of the plant, in addition to normal equipment operating trends. The ability to
obtain this information is dependent on the instrumentation and data
measurement capabilities of the system.
1Average day’s outdoor air temperature (obtain the outside air
temperature every 30 minutes and find the average of these samples each
day)
2Day’s high temperature
3Day’s low temperature
4Day’s high wet-bulb temperature (calculate from temperature and
enthalpy)
5Chilled-water supply temperature (average, max and min if chilled-water
temperature is not fixed)
6Total ton-hours (kWh) production of chilled water for the day
7Total kWh power input for each component for the day
8Average kW/ton (COP) for the plant for the day
For a copy of ASHRAE Guideline 22 and
other ASHRAE publications, visit the
ASHRAE bookstore at www.ashrae.org/
bookstore.

26 Chiller System Design and Control SYS-APM001-EN
Application Considerations
Energy and economic analysis of alternatives
The process of making decisions between multiple, competing alternatives is
simplified with the assistance of simulation software. Many packages are
available for this purpose (see sidebar). While not every analysis will require
the same level of detail for decision-making purposes, computer-assisted
analysis computations are now easy and fast, and it is no longer necessary to
make many simplifying assumptions. When performing a simulation of
alternatives, use software that allows for:
1Full year analysis
aSchedules, including holidays, affect the loads and the equipment.
bWeather, including coincident temperature, solar, and wind effects will
have an effect, not just on the loads but on the energy performance of
equipment.
2Actual energy rate definition
aTime-of-day and time-of-year rate capabilities are important. Some
utilities stipulate that some hours and/or months are “on peak,” while
others are “mid peak” or “off peak,” and charge differently.
bDemand or other fixed costs are almost always present in some
fashion, so that utilities are compensated for the amount of
instantaneous capacity they provided. Some rates will include
"ratchet" clauses, which charge a minimum percentage of the previous
12 months’ peak demand.
cStepped-rates, also known as floating cut-offs, are used to reward
energy consumers with flatter load profiles. The amount of energy
used almost all the time will have the least expensive rate.
dBlended or combined electricity rates are not acceptable (see sidebar).
3Life-cycle analysis
aFirst costs are rarely overlooked in an economic analysis.
bMaintenance costs also are likely to be different in each alternative.
cReplacement costs will be important when evaluating alternatives
with equipment not expected to have the same useful life, or if one
alternative is to delay some amount of action by one or more years.
dEscalation factors on recurring costs such as maintenance and energy.
eMore advanced economic parameters may be desirable as well to
include financing and tax implications.
For the purposes of achieving ASHRAE Standard 90.1 compliance using the
Energy Cost Budget method, or for certifications under the United States
Green Building Council’s LEED® program, software tools must be tested in
accordance with ASHRAE Standard 140. This test is also required for tax
incentives offered by the United States federal government.
Prominent software for energy analysis
includes TRACE™, System Analyzer™,
eQuest, and EnergyPlus.
Blended electricity rates computed from
a full year’s energy cost divided by the
full year’s kWh are not acceptable. Not
every alternative will use energy the
same way, and not every unit of energy
will have the same effective cost. See
Table 2, “Analysis of high-efficiency
chiller options with combined vs actual
rates,” on page 17.
ASHRAE Standard 1407 was developed
to create a basis for defining and testing
capabilities of energy analysis software
packages. Test results are submitted to
ASHRAE and publicly available before
software is considered compliant with
the Standard.

SYS-APM001-EN Chiller System Design and Control 27
System Design Options
There are many chilled-water-system design options; however, in a basic
sense, each option is a function of flow, temperature, system configuration,
and control. This section discusses the effect of flow rate and temperature
decisions.
It is important to remember that temperatures and flow rates are variables.
By judicious selection of these variables, chilled-water systems can be
designed to both satisfy chilled-water requirements and operate cost
effectively.
Chilled-water systems are often designed using flow rates and temperatures
applied in testing standards developed by the Air-Conditioning, Heating, and
Refrigeration Institute (AHRI), ARI 550/590–2003 for vapor compression
chillers and ARI 560–2000 for absorption chillers (see sidebar). These
benchmarks provide requirements for testing and rating chillers under
multiple rating conditions. They are not intended to prescribe the proper or
optimal flow rates or temperature differentials for any particular system. In
fact, as component efficiency and customer requirements change, these
standard rating conditions are seldom the optimal conditions for a real
system, and industry guidance recommends lower flow rates with resultant
higher temperature differences. There is great latitude in selecting flow rates,
temperatures, and temperature differences.
Selecting Chilled- and Condenser-Water
Temperatures and Flow Rates
Leaving chilled-water and entering condenser-water temperature selection
can be considered independently of their respective flow rates. However,
temperatures and flow rates should be selected together to design an
efficient and flexible chilled-water system.
Guidance for Chilled- and Condenser-Water Flow Rates
The ASHRAE GreenGuide 8 (pp 146-147) states:
In recent years, the 60% increase in required minimum chiller
efficiency from 3.80 COP (ASHRAE Standard 90-75) to 6.1 COP
(ASHRAE Standard 90.1-2004) has led to reexamination of the
assumptions used in designing hydronic media flow paths and in
selecting movers (pumps) with an eye to reducing energy
consumption… Simply stated, increase the temperature difference
in the chilled water system to reduce the chilled-water pump flow
rate…
The CoolTools™ Chilled Water Plant Design Guide recommends starting with
a chilled-water temperature difference of 12°F to 20°F [7°C to 11°C], and it
For more information, refer to ARI
Standard 550/590-2003, Performance
Rating of Water Chilling Packages Using
the Vapor Compression Cycle and the
ARI Standard 560-2000, Absorption
Water Chiller and Water Heating
Packages. Both are published by the Air-
Conditioning, Heating, and Refrigeration
Institute. www.ahrinet.org

28 Chiller System Design and Control SYS-APM001-EN
System Design Options
recommends a design method that starts with condenser-water temperature
difference of 12°F to 18°F [7°C to 10°C].
Standard rating temperatures
Currently, the standard rating condition temperatures in ARI 550/5905 and
ARI 5609 are:
• Evaporator leaving water temperature: 44°F [6.7°C]
• Water-cooled condenser, entering water temperature: 85°F [29.4°C]
• Air-cooled condenser, entering air dry bulb: 95°F [35.0°C]
For years, these temperature definitions were the benchmarks in system
designs. Today, designers apply a variety of different temperatures.
ARI 550/590 reflects this trend by allowing the chilled-water and condenser-
water temperatures to be selected at non-standard points and the chiller to be
tested as specified by the standard.
Chilled-Water Temperatures
Currently, comfort cooling systems are designed with chilled-water supply
temperatures that range from 44°F [6.7°C] to 38°F [3.3°C], and, in some cases,
as low as 34°F [1.1°C]. Reasons to decrease the chilled-water temperature
include the following:
• The system design more readily accommodates wider temperature
differences (lower flow rates) than the standard rating conditions (see
“Selecting flow rates” on page 30).
• Lower water temperature allows lower air temperatures (and flows) to be
selected, resulting in reduced airside installed and operating costs.
• Colder water in the same chilled-water coil may provide better
dehumidification.
• Colder water can be used to increase the capacity of an existing chilled-
water distribution system. In some instances, this can save significant
capital expenditures to add capacity to large central plants that have
reached their flow limits.
Some system designers hesitate to use lower chilled-water temperatures,
concerned that the chiller will become less efficient. As discussed in “Effect of
chilled-water temperature” on page 3:
• Lower chilled-water temperature makes the chiller work harder. However,
while the lower water temperature increases chiller energy consumption,
it significantly reduces the chilled-water flow rate and pump energy. This
combination often lowers system energy consumption.
• Lower chilled-water temperatures may require more insulation on piping
to prevent unwanted condensation (“sweating”). Ensure that pipes are
properly insulated at all water temperatures. Lower temperature water
often does not require more insulation.
Chilled water (without antifreeze) at
34°F (1.1°C) is possible with some
chillers that use sophisticated
evaporator-design and chiller-control
methods.

System Design Options
SYS-APM001-EN Chiller System Design and Control 29
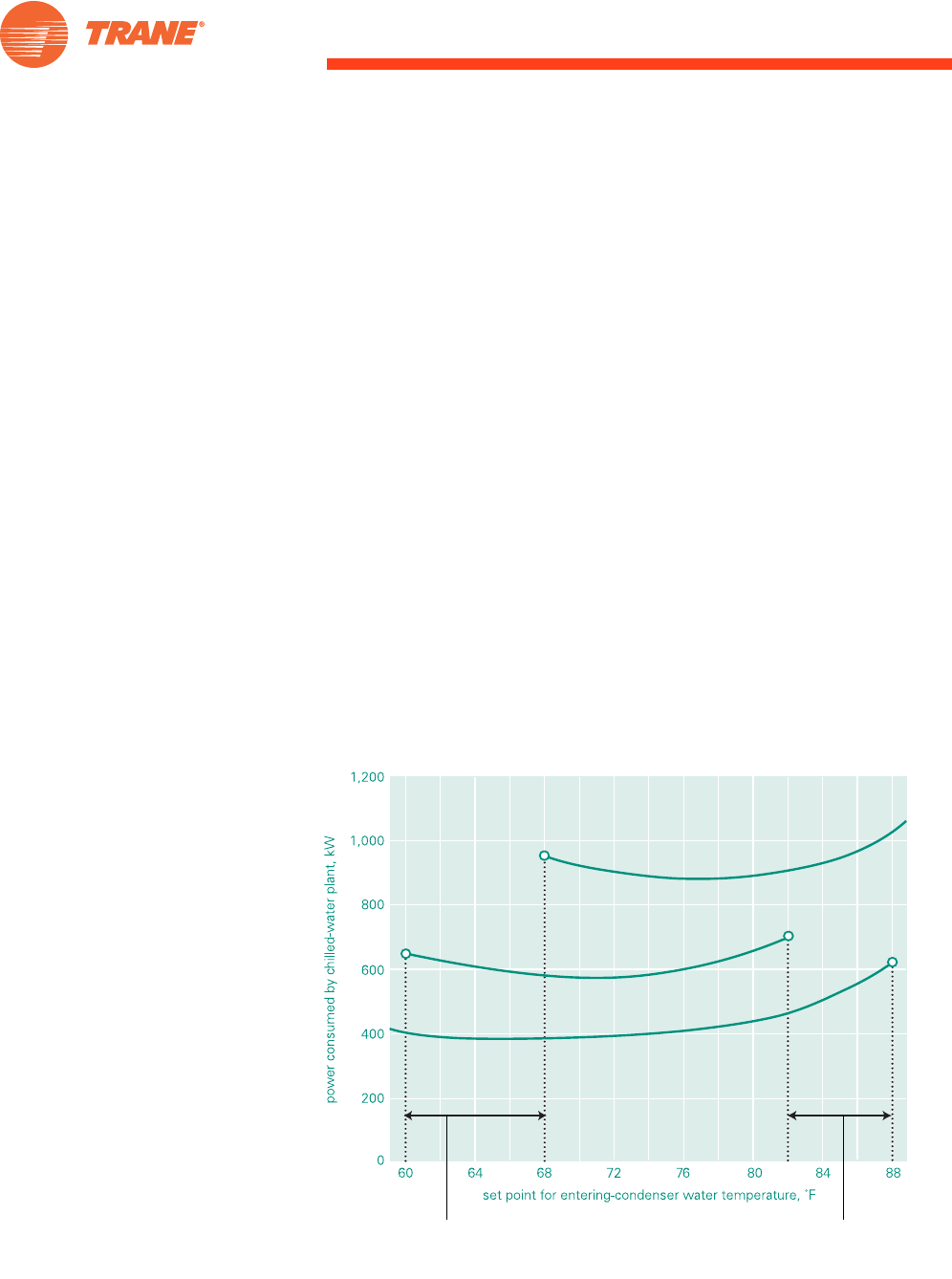
Condenser-Water Temperatures
Today’s chillers can run at various entering condenser-water temperatures,
from design temperature to the lowest-allowable temperature for that
particular chiller design. However, many existing older chillers are limited in
their allowable condenser-water temperatures. Contact the chiller
manufacturer for these limits. Optimal condenser-water temperature control
is discussed in the section, “System Controls” on page 87.
Chilled- and Condenser-Water Flow Rates
The selection of chilled-water and condenser-water flow rates is a powerful
tool that designers have at their disposal. Kelly and Chan10, and Schwedler
and Nordeen11 , found that reducing flow rates can reduce the costs of
chilled-water system installation and/or operation. The ASHRAE
GreenGuide8 states, “Reducing chilled- and condenser-water flow rates
(conversely, increasing the Ts) can not only reduce operating cost, but,
more important, can free funds from being applied to the less efficient
infrastructure and allow them to be applied toward increasing overall
efficiency elsewhere.”
Standard rating flow conditions
Presently, the standard-rating-condition flow rates for electric chillers in ARI
550/590 are:
• 2.4 gpm/ton [0.043 L/s/kW] for evaporator
• 3.0 gpm/ton [0.054 L/s/kW] for condenser
This evaporator flow rate corresponds to a 10°F [5.6°C] temperature
difference. Depending on the compressor efficiency, the corresponding
condenser temperature difference is 9.1°F to 10°F [5.1°C to 5.6°C].
Absorption chillers are rated using ARI Standard 560–2000, Absorption Water
Chiller and Water Heating Packages 9. The evaporator flow rates are the same
as those used in ARI 550/590; however, condenser (often called cooling
water) flow rates differ depending on the absorption chiller design. Table 3
shows the standard rating conditions for various absorption chillers.
Table 3. Standard rating conditions for absorption chillers
Absorption Chiller Type Condenser Flow Rate
gpm/tonkkkkk L/s/kW
Single Effect 3.60 0.065
Double Effect Steam or hot water 4.00 0.072
Direct fired 4.00 0.081

30 Chiller System Design and Control SYS-APM001-EN
System Design Options
Selecting flow rates
Designers may use the standard rating conditions to compare
manufacturers’ performances at exactly the same conditions. However, these
standards allow any flow rates to be used and certified comparisons to be
made at a wider range of conditions.
For a given load, as flow rate decreases, the temperature differential
increases. Table 4 reflects a 450-ton [1,580-kW refrigeration] chilled-water
system, both as a base case and with low flow.
In this example, notice that the leaving chilled-water temperature decreases
and the leaving condenser-water temperature increases. This means that the
chiller’s compressor must provide more lift and use more power. At first
glance, the design team may decide the chiller power difference is too large
to be overcome by ancillary equipment savings. The key question is, How
does this impact system energy consumption? Using the following
assumptions, we can calculate system energy usage:
• 80 feet of water [239 kPa] pressure drop through chilled-water piping
• 30 feet of water [89.7 kPa] pressure drop through condenser-water piping
• 78°F [25.6°C] design wet bulb
• 93 percent motor efficiency for pumps and tower
• 75 percent pump efficiency
• Identical pipe size in chilled- and condenser-water loops (either a design
decision, or indicating changing flows in an existing system)
The pressure drop through the chiller will decrease due to the lower flow
rates. When using the same size pipe, the pressure drop falls by nearly the
square of the decreased flow rate. While this is true for straight piping, the
pressure drop does not follow this exact relationship for control valves or
branches serving loads of varying diversity.
Be sure to calculate the actual pressure drop throughout the system.
Hazen–Williams and Darcy–Weisbach calculate the change is to the 1.85 and
Table 4. Standard rating conditions for chilled-water systems
Chilled Water System Base Case Low Flow
Evaporator flow rate, gpm [L/s] 1,080 [68.1] 675 [42.6]
Chilled water
temperature F [C]
Entering 54.0 [12.2] 57.0 [13.9]
Leaving 44.0 [6.7] 41.0 [5.0]
Condenser flow rate, gpm [L/s] 1,350 [85.2] 900 [56.8]
Condenser water
temperature F [C]
Entering 85.0 [29.4] 85.0 [29.4]
Leaving 94.3 [34.6] 99.1 [37.3]
Chiller power, kW 256.0 292.0

System Design Options
SYS-APM001-EN Chiller System Design and Control 31
1.90 power, respectively. The examples here use the more conservative 1.85
power:
DP2/DP1 = (Flow2)/(Flow1)1.8 5
Given different flow rates and entering water temperatures, a different
cooling tower can be selected for the low-flow condition (Table 6):
* Low-flow conditions represented in Table 5 through Table 8 are 1.5 gpm/ton [0.027 L/s/kW] chilled water
and 2.0 gpm/ton [ 0.036 L/s/kW] condenser water.
Table 5. Low-flow conditions for chilled-water pump
Base Case Low Flow*
Flow rate, gpm [L/s] 1,080 [68.1] 675 [42.6]
System pressure drop, ft water [kPa] 80.0 [239] 33.5 [100]
Evaporator-bundle pressure drop, ft water [kPa] 29.7 [88.8] 12.6 [37.7]
Pump power output, hp [kW] 39.9 [29.8] 10.5 [7.80]
Pump electrical power input, kW 32.0 8.4
Table 6. Low-flow conditions for cooling tower
Base Case Low Flow*
Flow rate, gpm [L/s] 1,350 [85.2] 900 [56.8]
Static head, ft water [kPa] 19.1 [57.1] 12.6 [37.7]
Tower fan power output, hp [kW] 30.0 [22.4] 20.0 [14.9]
Tower fan electrical power input, kW 24.1 16.0
Table 7. Low-flow conditions for condenser-water pump
Base Case Low Flow*
Flow rate, gpm [L/s] 1,350 [85.2] 900 [56.8]
System pressure drop, ft water [kPa] 30 [89.7] 14.2 [42.5]
Condenser-bundle pressure drop, ft water [kPa] 19.9 [59.5] 9.6 [28.7]
Tower static lift, ft water [kPa] 19.1 [57.1] 12.6 [37.7]
Pump power output, hp [kW] 31.4 [23.4] 11.0 [8.2]
Pump electrical input, kW 25.2 8.8

32 Chiller System Design and Control SYS-APM001-EN
System Design Options
The total system power is now as follows:
* Low-flow conditions represented in Table 5 through Table 8 are 1.5 gpm/ton [0.027 L/s/kW] chilled water
and 2.0 gpm/ton [0.036 L/s/kW] condenser water.
Figure 20. System summary at full load
It becomes clear that flow rates can affect full-load system power (Figure 20).
Even though the chiller requires more power in the low-flow system, the
power reductions experienced by the pumps and cooling tower result in an
overall savings for the system.
What happens at part-load conditions? Figure 21 shows the part-load
performance based on the following assumptions:
• The chilled-water pump includes a variable-frequency drive.
• The condenser-water pump remains at constant power.
• The cooling tower is controlled to produce water temperatures lower than
design.
Table 8. Total system power
Component Power (kW) Base Case Low Flow*
Chiller 256.0 292.0
Chilled-water pump 32.0 8.4
Condenser-water pump 25.2 8.8
Cooling tower 24.1 16.0
Total power for chilled-water system 337.3 325.2
Energy Consumption, kW
300
250
200
150
100
50
02.4/3.0 1.5/3.0 2.4/2.0 1.5/2.0
Chilled/Condenser Water Flows, gpm/ton
Tower
Condenser Water
Pumps
Chilled Water
Pump
Chiller (100%
Load)

System Design Options
SYS-APM001-EN Chiller System Design and Control 33
Figure 21. Chilled water system performance at part load
While the magnitude of the benefit of low-flow changes depends on the
chiller type used (centrifugal, absorption, helical-rotary, scroll), all chilled-
water systems can benefit from judicious use of reduced flow rates as
recommended by the ASHRAE GreenGuide8.
Coil response to decreased entering water temperature
A coil is a simple heat exchanger. To deliver the same sensible and latent
capacity when supplied with colder water, the coil’s controls respond by
reducing the flow rate of the water passing through it. Because the amount of
water decreases while the amount of heat exchanged remains constant, the
leaving water temperature increases. Thus, by supplying colder water to the
coils, a low-flow system can be applied to an existing building. In a retrofit
application, it is wise to reselect the coil, using the manufacturer’s selection
program, at a new chilled-water temperature to ensure its performance will
meet the requirements.
One possible concern of low supply-water temperatures is the ability of the
valve to control flow properly at low-load conditions. A properly-sized valve
with good range can work well in low-flow systems. In existing systems,
valves may need to be replaced if they cannot operate with the new range of
flows, but the coils do not need to be replaced.
Example of coil reselection at colder temperature/reduced flow rate
Water temperatures and flow rates are variables. They should be selected to
achieve an efficient and flexible water distribution system. Consider the
following example of a six-row coil in an existing air handling unit.
Table 9 shows an example of selecting a chilled-water cooling coil in a
13,000-cfm (6.1-m3/s) VAV air-handling unit. The left-hand column shows the
300
50
100
150
200
250
350
50
0
kW
50% Load Full Load75% Load25% Load
Base
Low Flow*
* Low-flow conditions in Figure 21 are 1.5 gpm/ton [0.027 L/s/kW] chilled water and 2.0 gpm/ton
[0.036 L/s/kW] condenser water.
If coil performance data is not available
from the original manufacturer, its
performance could be approximated
using current selection programs and
known details about the coil, such as fins
per foot, number of rows, tube diameter,
etc. Some designers use the following
approximation instead. For each 1.5 to
2.5°F [0.8°C to 1.4°C] the water
temperature entering the coil is reduced,
the coil returns the water 1°F [0.6°C]
warmer and gives approximately the
same sensible and total capacities. This
is a rough approximation and a coil’s
actual performance depends on its
design.

34 Chiller System Design and Control SYS-APM001-EN
System Design Options
performance of this coil when it is selected with a 44°F [6.7°C] entering fluid
temperature and a 10°F [5.6°C] fluid temperature rise (T). To provide the
required 525 MBh [154 kW] of cooling capacity, the coil requires 105 gpm [6.6
L/s] of water.
The right-hand column shows the performance of same coil, but in this case
it is selected with 40°F [4.4°C] entering fluid and a 15.6°F [8.7°C] T. To
provide the equivalent capacity, the coil requires only 67.2 gpm [4.2 L/s] of
water.
By lowering the entering fluid temperature, this coil can deliver the same
cooling capacity with 36% less flow, at less than half of the fluid pressure
drop, with no impact on the airside system.
Cooling-tower options with low flow
Smaller tower
Like coils, cooling towers are heat exchangers—although often
misunderstood heat exchangers. The tower exchanges heat between the
entering (warmest) water temperature and the ambient wet-bulb
temperature. Therefore, in a new system or when a cooling tower is replaced,
a low-flow system design allows a smaller, more efficient cooling tower to be
selected. How is this possible?
Keep in mind that a cooling tower is not limited to a specific tonnage. A
cooling tower is a heat exchanger that exchanges heat between the entering
water temperature and the ambient wet bulb. By varying the flow or the
temperature, the tower capacity can be changed—often increased.
Since the amount of heat to be rejected, Q, is approximately the same in
standard-rating-condition and low-flow systems, we can estimate the heat
exchange area necessary to reject the heat:
Table 9. Impact of supply temperature and flow rate on cooling coil selection
“Conventional”
system design “Low flow”
system design
Coil face area, ft2 [m2] 29.01 [2.69] 29.01 [2.69]
Face velocity, fpm [m/s] 448 [2.3] 448 [2.3]
Coil rows 6 rows 6 rows
Fin spacing, fins/ft [fins/m] 85 [279] 85 [279]
Total cooling capacity, MBh [kW] 525 [154] 525 [154]
Entering fluid temperature, °F [°C] 44 [6.7] 40 [4.4]
Leaving fluid temperature, °F [°C] 54 [12.2] 55.6 [13.1]
Fluid T, °F [ ° C ] 10 [5.6] 15.6 [8.7]
Fluid flow rate, gpm [L/s] 105 [6.6] 67.2 [4.2]
Fluid pressure drop, ft H2O [kPa] 14.0 [41.8] 6.3 [18.8]

System Design Options
SYS-APM001-EN Chiller System Design and Control 35
Q = U x A1 x T1, where
A = area,
U = coefficient of heat transfer, and
T = temperature difference
so, for a roughly equivalent heat rejection,
U x A1 x T1= U x A2x T2
and for a constant coefficient of heat transfer,
A1 x T1 = A2 x T2
Using standard rating conditions, the temperature difference between tower
entering temperature and ambient wet bulb, T1 is
T1 = 94.2 – 78 = 16.2°F or [34.6 – 25.6 = 9.0°C]
while at typical low-flow conditions, T2 is
T2 = 99.1 – 78 = 21.1°F or [37.3 – 25.6 = 11.7°C]
Therefore:
A1 × 16.2 = A2 × 21.1 or A2 = 0.77 A1
So, the tower would theoretically need only 77% of the heat exchange area to
achieve the same heat rejection capacity, simply by reducing the flow rate
from 3.0 gpm/ton [0.054 L/s/kW] to 2.0 gpm/ton [0.036 L/s/kW].
The heat exchange capacity can be altered by changing the surface area or
airflow, or some combination of the two. A cooling-tower manufacturer’s
selection program can give the exact size and power requirements. In the
example previously summarized on pages 30-32, both the cooling-tower size
and airflow (hence, required fan power) were reduced.
Same tower, smaller approach
Another option is to use the same cooling tower at a lower flow rate. In a new
system, this is a design decision, but in an existing system, it is often a
constraint that the tower cannot be changed. Given the same heat-rejection
load, the low-flow system allows the cooling tower to return colder water;
that is, the tower's approach to the ambient wet-bulb temperature decreases.
In the previous example of 450 tons [1580 kW], the same cooling tower would
have resulted in a leaving tower-water temperature of 83.5°F [28.6°C] instead
of the 85°F [29.4°C] with the smaller cooling tower. It is important to realize
that the entering temperature for the tower would be approximately 97.6°F
[36.4°C]. Therefore, the effect of reduced flow rate on chiller energy
consumption is partially offset by the lower leaving tower-water temperature.
The system would use less pump energy at the lower flow conditions.

36 Chiller System Design and Control SYS-APM001-EN
System Design Options
Same tower, larger chiller
One retrofit option that benefits many building owners is installing a new,
larger chiller selected for a lower flow rating and re-using the existing cooling
tower, condenser-water pump, and condenser-water pipes. In many cases,
this allows the building owner to increase the chilled-water-system capacity
for an expansion, with a limited budget. An example can easily demonstrate
this.
A hospital presently has a 450-ton [1,580-kW refrigeration] chiller that needs
to be replaced. The condenser water flow is 1,350 gpm [85.2 L/s]. The present
cooling-tower selection conditions are summarized in Table 11. Recently, the
cooling-tower fill was replaced. The tower, condenser water piping, and
pump are in good condition. The hospital is planning an addition with 50
percent more load for a total of 675 tons [2,370 kW]. Must the hospital replace
the condenser water system? The answer is “no,” as long as the chiller is
selected properly.
How is this possible? As long as the new chiller’s condenser-water pressure
drop is at or below that of the present chiller, the same amount of water can
still be pumped. With the same flow rate, a 675-ton [2,370-kW] chiller may be
selected with a condenser-water-temperature rise of approximately 15°F
[8.3°C]. Using the cooling-tower manufacturer’s selection software, the same
cooling tower can be selected at the elevated temperature difference. As
shown in Figure 22, the new selection point will be:
• entering water temperature: 103°F [39.4°C]
• leaving water temperature: 88°F [31.1°C]
• ambient wet bulb: 78°F [25.6°C]
Table 10. Same tower, smaller approach
Present Same tower,
smaller
approach
Capacity, tons
[kW refrigeration] 450 [1,580] 450 [1,580]
Cooling tower
Approach, °F [°C] 7 [3.8] 5.5 [3]
Flow rate, gpm [L/s] 1350 [85.2] 900 [56.8]
Entering temperature, F [C] 94.3 [34.6] 97.6 [36.4]
Leaving temperature, F [C] 85 [29.4] 83.5 [28.6]
Ambient wet-bulb
temperature, F [C] 78 [25.6] 78 [25.6]

System Design Options
SYS-APM001-EN Chiller System Design and Control 37
It quickly becomes evident that the same cooling tower and flow rate are
adequate to reject more heat—in this case, approximately 50 percent more
heat.
Figure 22. Cooling tower re-selection with different chiller capacities
Retrofit opportunities
The low-flow concepts for chilled- and condenser-water just described in
pages 33 through 37 present tremendous retrofit opportunities. Building
owners may need to increase the capacity of an existing system, for example,
in response to a building addition. In many of these buildings, the condenser
water system (piping, pump, and tower) is in good condition, but is
considered to be too small. Or, the system has expanded but the chilled water
pipes and/or coils cannot be changed. By changing from traditional design
conditions, the existing infrastructure can often be used while providing
additional capacity.
Table 11. Retrofit capacity changes
Present Larger
chiller,
same tower
Capacity, tons
[kW refrigeration] 450 [1,580] 675 [2,370]
Cooling tower Flow rate, gpm [L/s] 1350 [85.2] 1,350 [85.2]
Entering temperature, F [C] 94.3 [34.6] 103 [39.4]
Leaving temperature, F [C] 85 [29.4] 88 [31.1]
Ambient wet-bulb
temperature, F [C] 78 [25.6] 78 [25.6]
Y
Y
90
85
80
75
70
65
60 70 8055 65 75
Design Point (original)
Cooling Tower Water Temperature (°F)
Design Point (new)
Reselected tower for 50% more
heat rejection with 15°F [8.3°C]
range
Original design point
for tower with 10°F
[5.6°C] range
Wet-Bulb Temperature (°F)

38 Chiller System Design and Control SYS-APM001-EN
System Design Options
In both cases, either reusing an existing tower, or reusing existing chilled
water piping, the design engineer can often help reduce total project costs
using the existing infrastructure by selecting a chiller with a higher
temperature differential.
Cost Implications
By reducing either chilled- or condenser-water flow rates, the following
installed-cost reductions are possible:
• Reduced size of pumps, valves, strainers, fittings, and electrical
connections
• In new systems, reduced pipe sizes
• In existing systems, more capacity from existing chilled-water piping
• Reduced cooling-tower size, footprint, and fan power
If a physically-smaller cooling tower is selected using low flow, its reduced
footprint can benefit building owners in a number of ways:
• Reduced real estate requirements (often more important than realized)
• Reduced structural requirement, since the amount of tower water is
reduced
• Reduced excavation and material costs in the case of a large, built-up
tower with a concrete sump
• Improved aesthetics because of the reduced tower height
In addition to reducing installation costs, operating cost reductions for the
whole system are also available. Due to a smaller pump and/or tower, the
pump and tower operating costs can be reduced substantially with less
adverse impact on the chiller operating cost. Analysis programs such as
EnergyPlus, eQuest, TRACE™, or System Analyzer™ software can be used to
determine annual operating costs. Nordeen and Schwedler11 showed that
operating costs for chilled-water systems using absorption chillers can
benefit greatly from reduced condenser-water flow. Figure 23 shows
operating costs as generated with System Analyzer analysis software.
Several considerations should be kept in
mind when determining sizes for new
systems. As pipe size is decreased, so
are valve and specialty sizes and costs.
Remember that reducing pipe size
increases pressure drop. Keep a balance
between first cost and operating costs.
This can significantly reduce the system
retrofit costs because existing pipes may
be used.

System Design Options
SYS-APM001-EN Chiller System Design and Control 39
Figure 23. Annual system operating costs (absorption chillers)
Kelly and Chan10 compare the operational costs of chilled-water system
designs in site locations. Their summary states:
In conclusion, there are times you can ’have your cake and eat it too.’
In most cases, larger Ts and the associated lower flow rates will not
only save installation cost but will usually save energy over the
course of the year. This is especially true if a portion of the first cost
savings is reinvested in more efficient chillers. With the same cost
chillers, at worst, the annual operating cost with the lower flows will
be about equal to “standard” flows but still at a lower first cost.
Misconceptions about Low-Flow Rates
Some common misconceptions about low-flow systems include:
1Low flow is only good for long piping runs
2Low flow only works well for specific manufacturers’ chillers
3Low flow can only be applied to new chilled-water systems
Let’s discuss each of these three misconceptions.
Misconception 1—Low flow is only good for long piping
runs.
One way to examine this claim is to use our previous example, but to
concentrate on the condenser-water side. We’ll start with the example
covered on pages 30-32. Using the same chiller, but a smaller cooling tower
$-
$5,000
$10,000
$15,000
$20,000
$25,000
$30,000
$35,000
$40,000
4.45 gpm/ton 3.60 gpm/ton 3.09 gpm/ton
Condenser Water Flow

40 Chiller System Design and Control SYS-APM001-EN
System Design Options
and a more conservative zero condenser-water-pipe pressure drop, we can
examine the effect of reducing flow rates.
Figure 24. System energy consumption (no pipes)
Energy consumption for the chiller, condenser-water pump, and cooling-
tower fans is shown in Figure 24. Note that only at full load does the total
power of the chilled-water plant increase. Recall that this is with absolutely
no pressure drop through the condenser-water piping, valves, or fittings. It is
interesting to note that the break-even point at full load is approximately
8 feet of head (water) [23.9 kPa]. Also note that at all part-load conditions, the
total power of the low-flow system is less than that of the base system. It is
easy to see that even for short piping runs, reducing flow rates can improve
plant energy consumption.
Table 12. Reduced flow-rate effect
Condenser Water Pump Base Case Low Flow
Flow rate, gpm [L/s] 1350 [85.2] 900 [56.8]
System pressure drop, ft water [kPa] 0 0
Condenser bundle pressure drop, ft water [kPa] 19.9 [59.5] 9.6 [28.7]
Tower static lift, ft water [kPa] 19.1 [57.1] 12.6 [37.7]
Pump power output, hp [kW] 17.7 [13.2] 6.7 [5.0]
Pump fan electrical input, kW 14.2 5.4
0.0
50.0
10 0 . 0
15 0 . 0
200.0
250.0
300.0
350.0
25% 50% 75% 100%
System Load
System Energy Consumption (kWh)
3.0 gpm/ton 2.0 gpm/ton

System Design Options
SYS-APM001-EN Chiller System Design and Control 41
Misconception 2—Low flow only works for specific
manufacturers’ chillers.
Demirchian and Maragareci12, Eley13, and Schwedler and Nordeen11
independently showed that system energy consumption can be reduced by
reducing flow rates. It is interesting to note that in the systems studied, three
different chiller manufacturer’s chillers were examined, yet the energy
savings only varied from 2.0 to 6.5 percent. In all cases, regardless of which
manufacturer’s chillers were used, the system energy consumption was
reduced. In addition, Demirchian and Maragareci12, and Schwedler and
Nordeen11 also noted reduced first costs.
Misconception 3—Low flow can only be applied to new
chilled-water systems.
As previously discussed in “Coil response to decreased entering water
temperature” on page 33 and “Cooling-tower options with low flow” on
page 34, there are distinct opportunities to use existing infrastructure
(pumps, pipes, coils, and cooling towers) to either expand available cooling
capacity and/or reduce system energy costs by using lower flow rates.
Upon examination, it is clear that low-flow systems allow savings even on
short piping runs, work with all manufacturers’ chillers, and can be used in
retrofit applications. As a designer, remember to review the benefits to the
building owner. Often, reducing flow rates can provide significant value.
Consulting engineers, utilities, and ASHRAE have all concluded that reducing
chilled- and condenser-water flow rates (conversely, increasing the Ts)
reduces both installed and operating costs. It is important to reduce chilled-
and condenser-water system flow rates to provide optimal designs to
building owners and operators.

42 Chiller System Design and Control SYS-APM001-EN
System Configurations
Multiple chilled-water systems are more common than single chilled-water
systems for the same reason that most commercial airplanes have more than
one engine—the balance of reliability and cost. The most typical system
configuration, by far, has two chillers. Since system loads can vary throughout
a wide spectrum, multiple chilled-water systems can often operate with one
chiller. During these periods, if the system is designed properly, the energy
required to operate a second chiller and its auxiliaries can be conserved.
This section examines:
• Constant flow systems
• Systems in which flow is constant through chillers, but variable through the
rest of the system
• Systems in which flow varies throughout the entire system—including the
chillers
Parallel Chillers
Figure 25 shows a system with two chillers piped in parallel, using a single
chilled-water pump.
Figure 25. Parallel chillers with a single, common chiller pump
With constant flow loads, water flows in both chillers continually, whether the
chiller is operating or not. Clearly, this can disrupt the supply chilled-water
temperature when only one chiller is operating. The temperatures indicated in
Figure 25 show how the supply water temperature rises when one chiller is
cycled off in response to a part-load condition. This may result in inadequate
dehumidification capabilities or the inability to satisfy specific loads.
Chiller 2 (Off)
54°F [12.2°C]
54°F [12.2°C]
Chiller 1 (On)
49°F [9.4°C]
44°F [6.6°C]
Constant
Flow
Pump

System Configurations
SYS-APM001-EN Chiller System Design and Control 43
Alternatively, the operating chiller can be reset to produce a lower supply
temperature at this condition. In this way, the mixed system supply-water
temperature may be maintained at a more acceptable temperature. This
complicates the control system and presents the possibility of increasing
chiller energy consumption due to the requirement for lower-temperature
water. There will also be a low limit to this water temperature, dependent on
the chiller’s low pressure cut-out control, low evaporator-refrigerant-
temperature limits, or low leaving chilled-water limits. The more chillers in
the system, the worse the problem becomes. For this reason, this
configuration is seldom used in systems with more than two chillers.
Additionally, ASHRAE/IESNA Standard 90.1–2007 (Section 6.5.4.2) prohibits
this type of system when the pump is larger than 10 hp [7.5 kW]. The standard
requires that, in systems that contain more than one chiller piped in parallel,
system water flow must be reduced when a chiller is not operating.
Figure 26. Parallel chillers with separate, dedicated chiller pumps
If separate, dedicated chiller pumps are used (Figure 26), a chiller–pump pair
can be cycled together. This solves the flow mixing problem described
above, but presents a new problem. Below 50-percent load, only one chiller
and one pump are operating. The total water flow in the system decreases
significantly, typically 60 to 70 percent of full system flow, according to the
pump–system curve relationship.
Ideally, at this part-load flow rate, all of the coils will receive less water,
regardless of their actual need. Typically, however, some coils receive full
water flow and others receive little or no water. In either case, heavily-loaded
coils or the loads farthest from the pump will usually be “starved” for flow.
Examples of spaces with constant heavy loads that may suffer include
computer rooms, conference rooms, photocopy rooms, and rooms with high
solar loads.
Off
On
42°F
[5.6°C]
54°F
[12.2°C]
Coil starved for flow
60% to 70% of
system flow

44 Chiller System Design and Control SYS-APM001-EN
System Configurations
Series Chillers
If chillers are piped in series, as in Figure 27, the mixing problem disappears
and the starving coils problem (when one of the pumps in a parallel
arrangement is not running) is resolved. Series flow presents a new set of
temperature and flow control challenges.
Figure 27. Series chillers
The flow rate through each chiller is the entire system flow, that is, double the
individual flow rate of two parallel chillers. This means that the chiller
evaporator must accommodate the doubled water quantity. This may be
accommodated by using fewer water passes in the evaporator, which may
result in decreased chiller efficiency.
However, this efficiency loss due to fewer passes is more than offset by the
increased efficiency of the upstream chiller, now operating at a warmer
temperature.
Pressure losses are additive when the chillers are piped in series. This
increases total system pressure drop, thereby using more pump energy. On
the other hand, series chillers work particularly well in low-flow systems,
where the system temperature difference is greater than 14°F [7.8°C],
resulting in less pressure drop.
Low-flow systems were discussed in detail in “Selecting flow rates” on
page 30. Series chillers are also suited to variable flow systems, where the
operating pressure drop is reduced. Variable flow is discussed beginning on
page 55.
Temperature control can be executed in several ways. Figure 27 shows a
strategy where the controller on each chiller is set at the system design
setpoint. Either chiller can be used to meet the system demand for up to 50
System T greater than 14°F
One reason series chilled-water systems
should be designed using at least a 14
degree T is because a lower T ignores
the opportunity for lower flow rates and
reduced pump energy. For small, packaged
chillers, a reason to have at least a 14
degree T is to avoid exceeding the chiller’s
maximum flow rate. The system will more
likely experience evaporator flow limit
maximums if the T is too low.
Chiller 2
setpoint = 42°F [5.5°C] Chiller 1
setpoint = 42°F [5.5°C]
56°F [13.3°C]
Loads
49°F [9.4°C] 42°F [5.5°C]

System Configurations
SYS-APM001-EN Chiller System Design and Control 45
percent of the system load. At system loads greater than 50 percent, the
upstream chiller is preferentially loaded because it will attempt to produce
the design leaving chilled-water temperature. Any portion of the load that
remains is directed to the downstream chiller.
If chiller setpoints are staggered (upstream at 49°F [9.4°C] and downstream at
42°F [5.5°C]), the downstream chiller is loaded first. The upstream machine
then meets any portion of the system load that the downstream chiller cannot
meet. This control strategy offers several benefits. The first is that the
upstream chiller is always operating at an elevated temperature. This allows
it to operate at a higher efficiency. Also, placing an absorption chiller in the
upstream position increases its capacity. As an example, an absorption chiller
that can produce 500 tons [1,760 kW] at a leaving chilled-water temperature
of 44°F [6.6°C] may produce 600 tons [2,110 kW] at 50°F [10°C]. Centrifugal,
helical-rotary, reciprocating, and scroll chillers experience capacity and
efficiency changes to a lesser degree. By judicious use of the series
configuration, these benefits can provide reduced installed cost and fuel
flexibility to the building owner. While not shown, a single manual bypass
with proper valving can provide for servicing of chillers.
Equal loading of the two chillers may be accomplished by using a chiller
plant management system to dynamically reset the upstream chiller’s
setpoint in response to changes in system load.
Primary–Secondary (Decoupled) Systems
The root cause of the difficulties with parallel chiller control in a constant
volume system is the fixed relationship between chiller- and system-flow
rates. If, instead, we can hydraulically decouple the production (chiller) piping
from the distribution (load) piping, it is possible to control them separately.
The fixed relationships are then broken apart. The production pumps are
typically constant volume, while the distribution pumps are variable volume.
Hydraulic decoupling
Figure 28 shows the basic decoupled system. This strategy is also referred to
as a primary–secondary pumping arrangement. Separate pumps are
dedicated to production and distribution. While the same water is pumped
twice (by different pumps), there is no duplication of pumping energy. This is
because the production pumps overcome only the chiller and production-
side pressure drop while the distribution pumps overcome only the
distribution system pressure drop.

46 Chiller System Design and Control SYS-APM001-EN
System Configurations
Figure 28. Decoupled arrangement
The unrestricted bypass line hydraulically decouples, or separates, the
production and distribution pumps so that they cannot operate in a series
coupled pumping arrangement.
Although the two pumping systems are independent, they have three things
in common:
• bypass piping,
• no-flow static head (from the building water column), and
• water.
Changes in flows or pressures, due to variations in dynamic head or the
number of chillers operating, cannot cross the bypass line.
The extent of decoupling depends solely on the restriction (or lack of
restriction) in the bypass pipe. Total decoupling is accomplished only if the
bypass piping has zero pressure loss at any flow. Since this is not possible,
some insignificant pump coupling will exist. The important issue is to keep
the bypass piping free of unnecessary restrictions such as check valves (see
sidebar).
Check valves
Some designers recommend the
installation of a check valve in the
bypass line of a primary–secondary
system to eliminate the possibility of
deficit flow in the bypass line. The
premise is that if there is a system
problem (low temperature differential),
the check valve will put the primary and
secondary pumps in series and pump
more water through the chiller, thus
balancing the primary and secondary
flow requirements. This is not universally
accepted.
Coad14 states:
One constraint is that if the system is
designed as variable flow and is
experiencing operating problems
related to low return water
temperatures, the solution is not in the
plant but rather in the load.
and
One solution that has been suggested
is to install a check valve in the plant
common pipe or decoupling line circuit
… However, to be realistic, all that the
check valve can do is assure that no
water bypasses the chillers, which in
turn has the effect of increasing flow in
the chiller. Thus with the installation of
the check valve must be an algorithm
to either slow down system pump(s)
when flow increases beyond the design
maximum for the on chiller or turn on
additional chillers. Thus the check valve
solution offers its own problems and
many designers feel very
uncomfortable with forcing pumps into
series operation without the benefit of
understanding the full impact thereof.
This manual does not recommend the
use of check valves in the bypass line.
~
Chiller 3
Chiller 2
Chiller 1
Bypass Line
Production
Distribution
VV Pump
CV Pump
CV Pump
CV Pump

System Configurations
SYS-APM001-EN Chiller System Design and Control 47
Production
An individual production (chiller) pump need only pump water from the
return bypass tee (point A in Figure 29), through its chiller, and into the tee at
the supply-end of the bypass line (point B in Figure 29). This represents a
relatively small pressure differential and a low pumping-power requirement.
In addition, each individual pump operates only when its corresponding
chiller runs. Production loops are independent of one another, as well as from
the distribution loop. They may consist of pump–chiller pairs that act as
independent chillers. Or, manifolded and stepped pumps can be teamed with
automatic, two-position chiller valves to operate in the same way as pump–
chiller pairs. Figure 29 shows the latter arrangement. Temperature control is
also independent. The conventional chilled-water temperature controller
furnished with the chiller serves this function.
Figure 29. Production loop
Chillers may be of any type, age, size, or manufacturer. System operation is
simplest, however, if all of the chillers are designed to operate with the same
leaving chilled-water temperature and through the same system temperature
rise (temperature difference) across the chiller.
Note: If the chillers in a decoupled system make the same chilled-water
temperature, then all the operating chillers are loaded to equal percentages.
There may be times when preferentially loading a chiller is desired. This is
discussed in “Preferential Loading” on page 73.
Production
Pumps
Chiller 3
Chiller 2
Chiller 1
Bypass Line
Return
Production
Distribution
Supply
A B
Automated Isolation
Valves

48 Chiller System Design and Control SYS-APM001-EN
System Configurations
Distribution
Distribution pumps take water from the supply water tee (point B in
Figure 29), push it through all the distribution piping and load terminals, and
then on to the return water tee (point A in Figure 29). This pump can (and
should) allow variable flow.
By itself, the distribution system is easy to understand. Figure 30 shows a
simplified distribution system consisting of multiple cooling coils, each
controlled by a valve that regulates the flow in its respective coil. In this case,
the flow control valves should not be three-way because a constant flow is
not desired. Instead, two-way modulating valves are used. As the aggregate
loads change system flow, a constant speed pump would “ride” its flow-rate
versus head-pressure relationship. This means that in response to the change
of flow required, the pump will find a new equilibrium point along its
operating curve (move from point A to point B in Figure 31).
Alternatively, multiple pumps or variable-speed pumps can be used to limit
the dynamic pumping head, similar to VAV fan control. Properly designed,
part-load pumping power can approach the theoretical cubic relationship to
flow, thus reducing energy consumption significantly. Today, most decoupled
systems use a variable-speed drive on the distribution pump, and it may be
required by the applicable energy code.
A common strategy for operating the variable speed pump is to adjust the
speed of the pump’s motor to create a sufficient differential pressure, P, a t
one or more critical points in the system, as shown in Figure 33. This
pressure difference tends to decrease when the air-handler control valves
open in response to increasing loads. To restore the P across the system,
the pump controller increases the speed of the pump. Conversely, when the
air-handler control valves close in response to decreased coil loads, the
pump controller slows the pump speed to maintain the target P.
Distribution-loop benefits of decoupled system arrangement
The distribution system benefits from the ability to accommodate load
diversity, the fact that system flow is variable, and (in a properly operating
system) the fact that return water is maintained at temperatures near design.
The last assumption is discussed further in “Low T syndrome” on page 79.
Load diversity. Not all chilled-water loads peak simultaneously. Therefore,
the quantity of water that flows at any one time is reduced from the “sum of
the peaks” load that would be required in a constant-flow distribution loop.
This presents the possibility of reducing chiller, pump, and pipe sizes
significantly.
Variable flow. Because two-way control valves are used on the cooling coils,
only the water that the loads actually use is pumped. Most of the time, this
means a significantly reduced flow rate, accompanied by an even more
significant reduction in pumping energy.
SupplyReturn
Bypass Line
Loads
Distribution
Figure 30. Distribution loop
Pump Curve
Head
Flow
Figure 31. Example pump curve
B
A

System Configurations
SYS-APM001-EN Chiller System Design and Control 49
Elevated return-water temperatures. Because unused chilled water does not
bypass the cooling coils (two-way, rather than three-way, control valves), all
water that is returned accomplishes some cooling. Theoretically, the return-
water temperature will always be at least as high as it is at full load. From a
practical standpoint, this is not always possible, but it is closely approached
in a properly operating system. In fact, at most part-load conditions, water
returns from properly functioning air-conditioning coils at higher-than-design
temperatures. In systems that use counterflow cooling coils, this occurs
because the water leaving the coil tries to approach the temperature of the
entering airstream.
Warm return water provides advantages in system design. It permits
“preferential” loading of chillers, for example. Warmer return water is useful
with all systems, but particularly so with heat recovery and free cooling
applications. For more information, refer to “Chilled-Water System
Variations” on page 70.
Pumping arrangements
Common
Various distribution system arrangements are possible. A single, large
pumping station, as shown in Figure 29, can be used. The station may consist
of single or multiplexed pumps sequenced on or off.
Campus
Alternatively, each of several secondary distribution systems can be piped in
parallel. For example, Figure 32 shows separate distribution systems for each
of three loads. Clearly, this arrangement lends itself to the possibility of plant
expansion by simply adding secondary distribution pumps to the existing
plant.
Tertiary or distributed
Tertiary pumping is an extension of primary–secondary pumping when the
distribution or secondary pump must overcome diverse and severe pumping
requirements.
System loads can also be decoupled from the secondary distribution system.
This is frequently done with very large systems. Figure 33 shows one method
of providing “tertiary pumping” at the loads. A “load” may be something as
large as an entire building, or as small as an individual cooling coil. When
one or more loads have extreme head requirements, the degree of range
ability of the distribution pump is severely curtailed. Tertiary pumping allows
the excess pumping requirements to be placed on a third pumping system
thus shielding the distribution pump from divergent pressure requirements.
Most importantly, the loads must be controlled so that only the water needed
to perform cooling is taken from the distribution loop. Water must not be
allowed to flow into the return piping until it has sustained a specific
temperature rise. Tertiary pumps can be either constant flow or variable flow,
to best meet the terminal load requirements.
Secondary Distribution
Pumps
Figure 32. Campus pumping
arrangement

50 Chiller System Design and Control SYS-APM001-EN
System Configurations
Figure 33. Tertiary pumping arrangement
Decoupled system–principle of operation
At the tee connecting the supply and bypass lines, a supply–demand
relationship exists, as shown in Figure 34. Think of the total flow rate from all
operating pump–chiller pairs as supply. Demand is the distribution system
flow required to meet loads. Whenever supply and demand flows are
unequal, water will flow into, or out of, the bypass line. Flow can be sensed
directly or inferred from the bypass-water temperature.
An inadequate supply to meet demand causes return water to flow out of the
bypass leg of the tee and into the distribution system. The mixture of chiller-
supply water and warm system-return water, then, flows into the distribution
loop. Supply-water temperature control is compromised when this happens.
If the bypass-line flow into the supply tee (Figure 34) can be sensed, its
presence can be used to energize another pump-chiller pair. The increase in
supply water flow from the additional pump changes the supply–demand
relationship at the tee, eliminating return-water mixing. As long as return-
water mixing does not occur at the supply tee, no additional chiller capacity is
required. When mixing does occur, an additional chiller may be needed,
depending on the amount of mixing that can be tolerated.
Much of the time, supply exceeds demand and the surplus flows to the return
tee. If a chiller pump is stopped prematurely, the bypass-line flow will again
Differential
Pressure
Transmitter
Variable-Speed
Drive
Check Valve
Chiller 2
Chiller 1
Loads Loads
Control
Valve
Excess
Inadequate
Supply
(Production)
Demand
Supply
Supply
Return
Bypass
Figure 34. Decoupled system supply
tee
(Distribution)

System Configurations
SYS-APM001-EN Chiller System Design and Control 51
show a deficit and the pump will be cycled on again. The amount of surplus
flow necessary depends on the size of the chiller to be shut off. The surplus
flow must exceed a certain quantity before shutting off a chiller–pump pair. If
all chillers are equal in size, the surplus-flow signal can be a constant value.
Control of the number of chillers is accomplished by simply noting the
direction of flow in the bypass line. Thus, the system operates as a flow-
based demand system, not a temperature-based demand system.
Flow-based control
To properly operate a primary–secondary system, an indication of direction
of flow and the flow rate through the bypass line is necessary. This may be
done either directly or indirectly. When bypass flow is from supply to return,
it is called surplus. Bypass flow moving from return to supply is termed
deficit.
Flow-sensing
Direct flow-sensing in the bypass line can be accomplished in several ways. A
number of flow-metering technologies have been used successfully. These
include Pitot tube, venturi, orifice plate, differential pressure, turbine,
impeller, vortex, magnetic, and ultrasonic transit-time. The accuracy, ease of
installation, maintainability, and cost of meter technologies vary widely. To
give accurate results, a flow meter must be calibrated periodically, with some
flow meters requiring more-frequent calibration than others. When using
flow-sensing devices, it is important to understand the range of flows a
device can properly measure and its calibration requirements. The readings
will only be as good as the instrumentation. Also note that many flow-
measurement devices require several diameters of straight pipe for accurate
readings.
Temperature-sensing
Mixed water streams at the outlets of the supply- and return-water tees
(Figure 35) can be used to indirectly determine the supply–demand
relationship. Standard temperature-mixing equations can be used to
determine the exact amount of surplus or deficit flow in the bypass line.
The five temperatures sensed—at points A, B, C, D, and E—are received by a
programmable controller. (Some control systems use only two sensors, at
points B and D, in conjunction with “pre-programmed” algebraic mixing
equations.) Processing software applies the classic mixing equations and
determines the resulting action to properly control the chilled-water system.
Note that sensor D needs to be very accurate, especially if there are many
chillers, since small temperature changes may warrant chiller sequencing.
Either temperature-sensing strategy has a cost and flexibility advantage if a
building or chiller-plant management system already exists or is planned.
D
C
A
D
BE
Figure 35. Temperature-sensing
(Required) (Optional)
(Optional)
(Optional) (Required)
Return Main Supply Main

52 Chiller System Design and Control SYS-APM001-EN
System Configurations
Chiller sequencing in decoupled systems
Given the amount and direction of flow in the bypass line, chillers can be
added or subtracted.
Adding a chiller
When there is deficit flow in the bypass line, the system is receiving water at
a temperature above the desired supply water temperature. At this point in
time, a chiller and pump may be added. Many operators sense deficit flow for
a particular amount of time (for example, 15 minutes) to ensure that the
deficit flow is not a result of some transient condition. This reduces the
chances of cycling a chiller; that is, turning on a chiller and then turning it off
after a short time.
Subtracting a chiller
A chiller may be turned off when enough surplus water is flowing through the
bypass line. How much is enough? Enough so that the chiller does not need
to cycle on again in a short time period. Many system operators compare the
amount of surplus flow with the flow rate of the chiller they are considering
turning off. If this ratio is 110 to 115 percent, they turn the chiller off. Let’s look
at an example:
Chiller 1 can make 960 gpm [60.6 L/s] of 40°F [4.4°C] chilled-water, while
Chiller 2 can make 1,440 gpm [90.8 L/s]. At present, there is 1,100 gpm
[69.4 L/s] of surplus flow in the bypass line.
• The surplus bypass flow is presently 115 percent of Chiller 1’s flow. If we
turn Chiller 1 off, we will have 140 gpm [8.8 L/s] of surplus flow left.
• Note that the surplus bypass flow is presently only 76 percent of Chiller
2’s flow. If we turn Chiller 2 off, we will have 340 gpm [21.5 L/s] of deficit
flow. It is clear that we would have to cycle that chiller back on soon.
In this case, we could turn Chiller 1 off and leave Chiller 2 on for the most
efficient use of the chillers.
Multiple chilled-water plants on a distribution loop
When decoupled systems are used on large campus-type systems, added
loads are often located some distance away from the original loads. Yet,
planners like the idea of somehow hooking the new loads to the existing
system. The double-ended system shown in Figure 36 is one way of handling
this requirement. A second production facility is placed at a convenient
location in the new part of the campus. Its distribution plant is laid out as a
mirror image of the original piping, and connects to it at the ends of each
system. Each production facility has its own bypass.
Both production loops feed into the now common distribution loop.
Depending on the flows from the production facility distribution pumps,
loads could be served by either plant.

System Configurations
SYS-APM001-EN Chiller System Design and Control 53
Figure 36. Double-ended decoupled system
One of the benefits of decoupled water systems is that they are simple to
control. The distribution pump flow is determined by a pressure transducer
located at the furthest load. Flow in the decoupler indicates when to start and
stop chillers and the chiller pumps are turned on and off with the chillers.
Much of this simplicity is lost when multiple chiller plants are connected to
the same system. The system shown in the figure above is a fairly simple
example, but even so it can be used to show the difficulty of controlling these
systems. The following sections point out some of the complications.
Pump control in a double-ended decoupled system
Chiller pump control in a double-ended decoupled system remains
unchanged; the chiller pump is started when the chiller is enabled. On a
single-plant decoupled system, the distribution pump's speed is modulated
based on a pressure sensor located at the end of the loop (point of lowest
pressure) to maintain sufficient pressure drop across all the loads.
Chiller 2
Chiller 1
Chiller 3
Check Valves
New Plant
Loads
Existing Bypass Line
New Bypass Line
Production
Distribution
Existing Plant
Production
Distribution
Chiller 4
Other chiller plant/distribution loop
arrangements are possible, but if used,
they should be reviewed to make certain
they will be free from hydronic
problems.

54 Chiller System Design and Control SYS-APM001-EN
System Configurations
When more than one chiller plant is operating, finding the right location
for the differential pressure sensor can be difficult. The point of lowest
pressure in the system shifts depending on which loads are using the most
water. It will probably be necessary to have a number of differential pressure
sensors in the distribution loop. In that instance, the control system
determines the lowest differential pressure signal and uses it to determine
what speed signals to send to the distribution pumps. Sending the same
speed signal to both distribution pumps is simple and will prevent the pumps
from “fighting” each other for the load. However, it will likely result in more
chillers operating than would be required to meet the load (more on this
below). There is one exception: If only one chilled-water plant has an
operating chiller, the distribution pump associated with that plant should be
the only one operating.
Chiller sequencing in a double-ended decoupled system
In addition to pump control, the sequencing of chillers must be integrated
between the two plants. With a double-ended plant, it is possible to have one
plant operating in deficit flow and the other with sufficient surplus flow to
meet the needs of the loads (load/flow imbalance). In other words, a
sufficient number of chillers are operating to meet the load, but the
distribution pumps are not delivering the flow to where it is needed. There
are two solutions to this problem:
1Adjust the speeds of the distribution pumps to move the water to where it
is needed. This solution is simple in concept but difficult in application
and will not be covered here. It increases complexity and should be
considered carefully prior to implementation. If this is attempted, both
distribution pump speeds should be changed slowly, and in opposite
directions (increase one, decrease the other).
2Allow each of the plants to make start/stop decisions based on the flow in
its decoupler. In this case, the needs of the loads will be met; however,
more chillers may be running than would otherwise be required.
Starting chillers. When deficit flow is detected at a chilled-water plant, a
chiller associated with that plant should be started. This should start chillers
in the plant closest to the loads using the most water and help avoid the load/
flow imbalance described above. Deficit flow can be detected by either of the
common flow detection methods. (See “Flow-based control” on page 51.)
Note that this limits the operator's flexibility to preferentially start chillers in
the plant further from the load (preferential start may be desirable to load the
plant with the most efficient chillers first, for example).
Stopping chillers. On a single-plant decoupled system, surplus flow through
the decoupler pipe is the normal operating mode. When the surplus flow
exceeds the flow of one of the chillers in the plant by a fixed percentage, that
chiller and its pump can be stopped and the plant will still be creating surplus
flow. On double-ended plants this same logic can be used; however, a chiller
should only be shut off when both plants have sufficient surplus to shut off a
chiller. Only one chiller should be stopped at this time, and it should be the
one in the plant with the most surplus flow. Thus, the normal operating mode
for a double-ended plant is with one plant in surplus and the other operating

System Configurations
SYS-APM001-EN Chiller System Design and Control 55
with a surplus that may, or may not, be large enough to indicate stopping a
chiller in that plant.
Other plant designs
There are many other ways to connect chillers to distributed loops and each
provides its own challenges and opportunities. The advent of variable-
primary-flow chilled-water systems offers some new opportunities as does
distributed pumping. In any case, getting system design advice specific to
your system early in the process can prevent or identify many operational
challenges.
Variable-Primary-Flow Systems
Two main physical differences distinguish this type of system from the more
familiar primary–secondary design, which hydraulically “decouples” the
constant-flow production side of the chilled-water loop from the variable-flow
distribution side. The variable-primary-flow (VPF) design eliminates the
constant-flow chiller pumps and uses the variable-flow pumps to circulate
water throughout the entire chilled water loop (Figure 37). Both systems
include a bypass line, but the VPF bypass will be smaller.
Figure 37. Variable-primary-flow system
In a VPF system, water flow varies throughout the entire system—
through the evaporator of each operating chiller as well as through the
cooling coils. Two-way control valves on coils, check (or isolation) valves on
chillers, and a bypass pipe with a control valve are required to implement a
VPF system.
• Variable-flow chiller pumps eliminate the need for a separate distribution
pump.
Typ
Chiller 1
Chiller 2
Isolation Valves
Flow Meter
(Alternative to Chiller P)
Modulating
Control Valve Airside Coils with Two-Way
Control Valves
Bypass Line
Alternate
Location
Bypass Line

56 Chiller System Design and Control SYS-APM001-EN
System Configurations
• The bypass can be positioned either upstream or downstream of the
cooling coils.
• A control valve in the bypass ensures that the amount of flow through the
operating chiller(s) never falls below the minimum limit, but remains
closed most of the time.
Notice that the VPF design adds a modulating control valve in the bypass
line. At low loads, the bypass valve delivers the water necessary to maintain
the minimum evaporator-flow limit of each operating chiller. By contrast, the
bypass line in a primary-secondary system ensures constant chiller flow at all
times.
A less obvious difference between variable and constant primary flow lies in
system operation. In a primary-secondary system, a chiller and its primary
pump typically operate in tandem. The VPF design can separate pump
control (delivering enough water) from chiller sequencing (making the water
cold enough).
Like the secondary pump in a primary-secondary system, the pumps in a
typical VPF system operate to maintain a target differential pressure, P, a t a
specific point in the system (Figure 37). This pressure difference tends to
decrease when the air-handler control valves open in response to increasing
loads. To restore the P across the system, the pump controller increases the
speed of the pump. Conversely, when the air-handler control valves close in
response to decreased coil loads, the pump controller slows the pump speed
to maintain the target P.
Meanwhile, the plant controller stages the chillers on and off to match
cooling capacity with system load. If the air handlers operate properly, the
difference between the return- and supply-water temperatures, T, remains
nearly constant. Therefore, increasing the water flow through the chiller
evaporators increases the load on the operating chillers.
Advantages of variable primary flow
The desire to make or save money lies at the heart of many of our decisions.
In the context of HVAC design, decisions made to save money often involve a
trade-off between acquisition expense and operating cost. If you can realize
savings on both fronts, so much the better.
Perhaps this explains the increased interest in chilled water systems with VPF.
VPF designs use fewer pumps and fewer piping connections than primary–
secondary systems, which means fewer electrical lines and a smaller
footprint for the plant. These factors reduce the initial cost of the chilled-
water system, although the savings may be partially offset by additional
costs for flow-monitoring and bypass flow (bypass line and control valve).
VPF designs may also require more programming for system control than
other designs.
As for operating costs, how much a VPF design saves depends on the
pressure drops and efficiency of the pumps (see sidebar). A VPF design
displaces the small, inefficient, low-head primary pumps used in primary–
Operational savings of VPF
designs
Bahnfleth and Peyer15 discuss the
operational savings of VPF designs. For
many common systems, however, the
primary pump power on which they base
their assessment may be too high.

System Configurations
SYS-APM001-EN Chiller System Design and Control 57
secondary systems. The pressure drops previously satisfied by the
distribution pumps are instead satisfied by the now larger primary-only
pumps, permitting selection of larger, more efficient pumps (with efficiencies
similar to those of the secondary pumps in a primary–secondary system).
VPF systems present building owners with several cost-saving benefits that
are directly related to the pumps. The most obvious cost savings result from
eliminating the constant flow primary pumps, which, in turn, avoids the
material and labor expenses incurred with the associated piping connections,
mechanical room space, and electrical service. Although the number of
pumps is reduced, the sizes of both the pumps and the variable-frequency
drives increase since the pumps must be sized to overcome the entire
system’s pressure drop. This offsets some of the installed cost savings of
having fewer pumps.
Building owners often cite pump-related energy savings as the reason they
installed a VPF system. With the help of a software analysis tool such as
System Analyzer™, TRACE™ 700, Chiller Plant Analyzer, or EnergyPlus, you
can determine whether the anticipated energy savings justify the use of
variable-primary flow in a particular application.
It may be easier to apply a variable-primary-flow system rather than a
primary–secondary system to an existing constant-flow chilled-water plant.
Unlike the primary–secondary design, the bypass can be positioned almost
anywhere in the chilled-water loop and an additional pump is unnecessary.
Chiller selection requirements
Variable-flow systems require chillers that can operate properly when
evaporator flow varies. Varying the water-flow rate through the chiller
evaporator poses two control challenges for those who design and operate
VPF systems:
1Maintaining the chiller flow rate between the minimum and maximum
limits of the evaporator
2Managing transient flows without compromising stable operation,
especially in multi-chiller plants
Evaporator flow limits
Select for a minimum evaporator-flow limit that is ≤60 percent of the chiller’s
design flow rate. One benefit of VPF systems is reduced pumping energy. To
realize this benefit, chilled water flow must not remain constant. As the flow
decreases, it approaches the minimum flow rate of the chillers—so, how do
we select for a minimum chiller flow rate that will result in the pump-energy
savings?
The answer depends on the type of chiller, but generally speaking, lower is
better because it extends the ability of a single chiller to operate at low loads
without bypass flow. Most of the potential savings are realized by the time
that the system flow rate decreases to 50 percent of design.
Dispelling a common
misconception
True or false: “Chillers operate more
efficiently in a system with variable
rather than constant primary flow
because of the greater log mean
temperature difference (LMTD).”
It is true that the return water
temperature in a properly operating VPF
system remains constant as the amount
of flow changes. It is also true that the
LMTD can be increased by changing the
production (primary) side of the chilled-
water loop from constant to variable
flow. But there are other facts to
consider.
In a system with constant primary flow:
• Entering-evaporator temperature and
LMTD fall as the cooling load
diminishes.
• The convective heat transfer
coefficient, like the primary flow,
remains constant despite reductions
in load.
In a system with variable primary flow:
• The convective heat transfer
coefficient in the chiller evaporator
decreases with a reduction in flow.
• Reduced flow decreases the overall
heat-transfer effectiveness of the
chiller evaporator.
The net effect is that the power
consumption for a given chiller is
virtually the same whether the chiller’s
evaporator flow is variable or constant.

58 Chiller System Design and Control SYS-APM001-EN
System Configurations
Experience with actual VPF plants indicates that a minimum evaporator-flow
limit of 60 percent for packaged chillers and 40 percent or less for configured
chillers work well.
Chiller manufacturers specify minimum and maximum limits for evaporator
water flow. Their objective?
• To promote good heat transfer and stable control (minimum flow limit)
• To deter vibration and tube erosion (maximum flow limit)
In the past, the typical range for water velocity in a chiller was 3 to 11 feet per
second. Today, manufacturer-conducted testing shows that specific chillers
may accommodate evaporator flow rates as low as 1.5 feet per second,
depending on tube type. This is good news for VPF systems because it
extends the chiller’s ability to operate effectively without the addition of
bypass flow.
The minimum flow limit for a chiller can be lowered by selecting an
evaporator with more passes (a common option for machines with cooling
capacities of 150 tons or more). Granted, more passes may require a higher
evaporator pressure drop and more pumping power (Table 13). However, as
the system flow rate decreases, the evaporator pressure drop also decreases
by approximately the square of the flow rate reduction. Therefore, the pump
requires less extra power to work against the pressure drop as the system
flow rate drops below the design value.
The other benefit of the added pass is better turndown with a wider
evaporator T, which starts at a lower design flow rate for the same cooling
capacity. In the case of the two-pass chiller, when using a 15° T, the chiller
invoked minimum flow prior to reaching the 50 percent system flow rate. This
could cause a more complicated transition from one to two chillers, as
discussed in the sections on “Managing transient water flows” on page 59
and “Chiller sequencing in VPF systems” on page 63. The other issue is that
more pumping energy will be used in the system that requires bypassed flow
more of the time.
Table 13. Effect of number of passes on minimum evaporator flow and pressure drop at reduced flow with packaged chillers1
Design
flow rate
gpm [L/s]
Evap. pressure
drop at design
flow, ft.water
[kPa]
Evap. pressure
drop at 80%
flow rate,
ft.water [kPa]
Evaporator pressure
drop at 50% flow rate,
ft. water [kPa]
Minimum flow
rate, gpm [L/s] Evaporator pressure
drop at minimum
flow rate, ft. water
[kPa]
2 pass 180 [11.4] 13.7 [40.9] 9.0 [26.9] 3.5 [10.5] 77 [4.9] 2.6 [7.8]
3 pass 180 [11.4] 42.6 [127.3] 28.7 [85.8] 11.9 [35.6] 52 [3.3] 4.0 [12.0]
2 pass
(15° T) 113 [7.4] 5.6 [16.7] 3.5 [10.5] flow too low, use min.
2.5 [7.5] 77 [4.9] 2.5 [7.5]
3 pass
(15° T) 116 [7.3] 19.6 [58.6] 12.8 [38.3] 5.0 [14.9] 52 [3.3] 4.0 [12.0]
1 Chillers may have slight differences in capacity, depending on which variable (flow, capacity, or T) is allowed to adjust.

System Configurations
SYS-APM001-EN Chiller System Design and Control 59
Small packaged chillers typically offer less design flexibility than larger
machines. It may not be possible to select a small packaged chiller with a
minimum flow rate of less than 60 percent of the design system flow… but
don’t let this deter you from designing a VPF plant that includes small
packaged chillers. Remember, pump power drops with the cube of the
reduction in flow, so even a modest 20 percent decrease in flow results in a
50 percent pump energy reduction. A 40 percent flow reduction yields an 80
percent pump energy reduction. The key to making variable flow with limited
flow turndown work properly is devising a plant layout and sequencing
strategy that accommodates the chiller’s minimum evaporator-flow limit.
Managing transient water flows
The second requirement of the selected chillers is proper control during
“transient flows.” This situation refers to the hydraulic effects caused by an
isolation valve when it opens (before the associated chiller starts) or closes
(after the chiller stops). To illustrate what happens, let’s look at an example.
Assume that the two-chiller VPF system in Figure 37 is designed for a 16°F
[8.9°C] T and that it delivers 40°F [4.4°C] chilled water. The temperature of
the return water remains relatively constant at 56°F [13.3°C], provided that
the coils and two-way valves function properly. Only Chiller 1 operates when
the cooling load is low; the isolation valve for Chiller 2 remains closed.
As the cooling load increases, the pump controller increases the rate of
chilled water flow through the system. Chiller 2 starts when Chiller 1 can no
longer produce 40°F [4.4°C] water. Opening the isolation valve for Chiller 2
almost instantly reduces the flow rate through Chiller 1 by half (Table 14),
which effectively doubles the T. Chiller 1’s controller will unload the machine
as quickly as possible, but in the interim, it will attempt to produce a 32°F T
[0°C] and cool the water to 24°F [-4.4°C]. If the chiller cannot unload quickly
enough, built-in fail-safes should stop and lock out the chiller before damage
occurs… but at the expense of satisfying the cooling load. The system can be
designed and operated to keep this scenario from occurring. This information
is provided in the following sections.
Select for the greatest tolerance to large changes in flow rate. The objective
is to simplify system control by minimizing the need for “supplemental”
demand limiting or valve control as chillers come online. Chillers that are
well-suited for variable primary flow can tolerate and respond to rapid flow-
Table 14. Flow-rate changes that result from isolation-valve operation
Number of operating chillers
12345
Flow-rate reduction when an isolation valve
opens* 50% 33% 25% 20% 17%
*Flow-rate reduction is expressed as a percentage of the actual chilled water flow rate
prior to transition:
% flow-rate reduction = 1–
number of chillers operating
number of chillers operating +1

60 Chiller System Design and Control SYS-APM001-EN
System Configurations
rate changes (Table 14). Selecting chillers with these characteristics improves
the likelihood of stable, uninterrupted operation.
Estimate the expected flow-rate changes and make sure that the chillers you
select can adapt to them. For example, one of the newest unit controllers on
the market can reliably maintain the desired chilled water temperature with a
flow-rate reduction of 50 percent per minute. Figure 38 shows the response
of a chiller equipped with this controller in a more extreme situation. The
flow dropped 67 percent in 30 seconds, with limited effect on the leaving
chilled water temperature. Another, less robust chiller controller permits
flow-rate changes of less than 2 percent per minute and would need 25
minutes to adapt to a flow-rate reduction of 50 percent. Fluctuations of 2
percent or more are typical, even during normal system operation.
Attempting to limit flow-rate changes to this extent while starting or stopping
a chiller is impractical, if not impossible.
When comparing prospective chillers, consider the transient-flow tolerance
of the unit controllers. Then work closely with the chiller manufacturer to
devise a flow-transition sequence that accounts for the unique operating
characteristics of both the chiller and the application. Transient flow rate
control is discussed in more detail on page 65.
Figure 38. Example of chiller control responsiveness to flow-rate reduction*
*Data represents a Trane AdaptiView™ and CH530 chiller controller with flow compensation.
Select for nearly equal pressure drops across all chiller evaporators. A VPF
design loads and unloads the chiller(s) based primarily on the rate of water
flow through the evaporator. If a difference in size or type of evaporator gives
one chiller a lower pressure drop than the others in the plant, that chiller will
receive a higher rate of water flow and a correspondingly greater load.
Dissimilar pressure drops can make it difficult to provide stable plant
operation. Table 15 demonstrates this effect in a two-chiller system (similar to
the one shown in Figure 37). In this case, more water flows through Chiller 1’s

System Configurations
SYS-APM001-EN Chiller System Design and Control 61
evaporator because its selection pressure drop is lower than that of Chiller 2.
Load is proportional to flow rate and temperature difference, tons = (gpm ×
T) / 24. Because Chiller 1 is asked to satisfy a load that exceeds its capacity,
it cannot satisfy the chilled water setpoint when the return water temperature
equals the design condition. Meanwhile, Chiller 2 is less than fully loaded.
Balancing the system at the design condition, for example, by installing a
balancing valve in series with Chiller 1, reduces this problem and works well
at design and part load conditions. Alternatively, you could increase the load
on Chiller 2 by lowering its chilled water setpoint; however, this complicates
system control. The simplest solution is to select chillers that have (nearly)
equal pressure drops at their design flow rates, whether the capacities are
the same or not.
System design and control requirements
If experience has taught us anything about implementing variable primary
flow, it’s this: The single, most important contribution of the engineer is to
provide written, detailed descriptions of the plant’s sequence of
operation.
These descriptions should include control sequences for:
• Full- and part-load operation
• Minimum and maximum flow-rate management
• Transient flow-rate changes
• Starting and stopping chillers
Furthermore, this information must be shared early in the design process.
Without specific, documented sequences of operation, it is unlikely that the
controls provider will devise programs that operate the plant as intended.
Bottom line: VPF plants that work result from close, early-on collaboration
between the engineer, the chiller manufacturer, and the controls provider.
Variable primary flow is a value-added option that can help your clients curb
operating costs at a lower initial cost than traditional primary–secondary
designs … but only if you select the right components, install them properly,
and operate them in accordance with a well-thought-out control scheme.
Table 15. Effect of dissimilar evaporator pressure drops
Capacity,
tons Flow rate, gal/min Pressure drop, ft H20*
Selection Actual Selection Actual Change, %
Chiller 1 500 750 819 12 14.3 +9.2
Chiller 2 300 450 381 20 14.3 -15.3
*Values shown here are based on the assumption that pressure drop changes with the square of the flow
rate.

62 Chiller System Design and Control SYS-APM001-EN
System Configurations
Accurate flow measurement
The success of a variable-primary-flow installation depends on the quality of
the flow-measuring device that controls the system bypass valve (and
perhaps also indicates the plant load). Some practitioners use a flow meter16
to directly detect the flow rate (C in Figure 37); others use a differential
pressure sensor (D) that monitors the change in water pressure across the
chiller evaporator and then correlates the pressure differential to a water flow
rate.
Select a flow measurement device with accurate and repeatable
measurements. Regardless of which type of device you use, the flow meter
or differential pressure sensor must be of high quality; that is, the device
must provide accurate and repeatable measurements. For the plant to
operate well, the device also must remain calibrated and perform reliably
over time. Purchase prices vary widely, but the adage “you get what you pay
for” typically holds true. In our experience, the cost of a suitable flow-
measuring device is closer to $1,000 USD than to $100 USD. Put simply, don’t
compromise on accurate sensing devices when negotiating potential cost
reductions during the “value engineering” phase of a project.
One further caveat about measurement accuracy: Proper installation is
critical to ensure accurate readings. If the manufacturer states that at least 10
pipe diameters of uninterrupted flow are required both upstream and
downstream of the sensing device, then make sure that the piping layout
complies.
Select an accurate proof-of-flow device for each chiller. Flow reductions
through chillers in VPF systems often cause paddle-type flow switches to
flutter or open altogether, which shuts down the chiller. To provide accurate,
reliable confirmation of flow, select a sensitive pressure-differential switch
(or other high-quality device) and install it properly, piping it across the
evaporator.
Bypass locations
A bypass is required whether the primary flow is constant or variable. In a
primary–secondary system, the decoupler allows excess primary water to be
bypassed. In the VPF system, the bypass allows excess flow only when
needed to maintain the chillers' minimum flow requirements.
There are three common locations for the VPF bypass line:
• Place the smaller bypass required for a VPF system in the same position
as the bypass in a “decoupled” system. A variable-speed drive on the
pump located near the chillers reduces flow and allows substantial
energy and operating cost savings. One drawback is that the valve must
work against higher pressures—possibly causing wear and lack of
controllability.
• Use three-way valves at some of the system coils. While this approach
ensures minimum chiller flow, it reduces the pump operating cost-
savings, due to the increased system flow and decreased return-water
temperature.

System Configurations
SYS-APM001-EN Chiller System Design and Control 63
• Locate a bypass line and valve near the end of the piping run. The bypass
control valve sees a lower operating pressure and may provide more
stable control. Some operating cost savings may be sacrificed to maintain
the pump-operating pressure at a higher level with the bypass located
away from the chillers. The line sizes must be large enough to allow the
minimum flow rate.
One final method to ensure minimum evaporator flow is to have a constant
load and flow somewhere in the system. However, if in the future the system
changes and this constant flow no longer occurs, the system is likely to have
operating issues when its flow approaches the chiller’s minimum.
Delivering the appropriate bypass flow requires attention to line sizing,
control-valve selection, and the response time of the system.
Bypass flow control
In a VPF system, the sole purpose of the bypass line with modulating control
valve is to assure that the rate of chilled water flow through each operating
chiller never falls below the minimum limit required by the manufacturer.
Select a suitable control valve of high quality. When the bypass line is
positioned near the chiller plant (A in Figure 37), as it is in many VPF
installations, the control valve is exposed to comparatively high operating
pressures. Selecting an appropriate valve actuator is critical because the
valve must close against this pressure. As for the valve itself, choose one that
maintains a linear relationship between valve position and flow rate;
otherwise, the valve may permit too much water flow when it begins to open.
Note: A common butterfly valve won’t provide the necessary flow
characteristics. Some have found that pressure-independent valves work well
as a bypass valve. Verify the suitability of a particular valve by requesting
flow-versus-position data from the supplier.
Locating the bypass line far from the chiller plant (B in Figure 37) lowers the
operating pressure for the control valve.
Minimize control lag. Regardless of where the bypass line is situated (at A or
B in Figure 37), the control valve must react quickly to changes in system
flow. You can improve control response either by hard-wiring the flow-
sensing device, valve controller, and valve actuator; or by selecting devices
that communicate directly with each other. Avoid relaying input/output
signals through multiple system controllers.
Chiller sequencing in VPF systems
The success of a VPF application depends on more than the chilled-water
system. It requires careful orchestration of the entire HVAC system, which
means air handlers and coil-control valves as well as chillers and pumps.
Proper sequencing helps to maintain the flow rate through each evaporator
within the range recommended by the chiller manufacturer. As the system

64 Chiller System Design and Control SYS-APM001-EN
System Configurations
flow nears the maximum limit for the operating chiller(s), another machine
must be brought online. Similarly, as the system load and flow decrease,
chillers must be shut down to reduce the need for bypass water flow.
Adding a chiller in a VPF system
The simplest way to control a VPF system is to monitor the leaving-
evaporator water temperature and allow the operating chiller(s) to load
almost fully before bringing the next chiller online. As long as the system can
maintain the target temperature, there is no need to activate another chiller.
When the operating chiller(s) no longer provide enough cooling, the plant
controller should start the next chiller. For example, when the temperature
exceeds the design setpoint by a certain amount (for example, 1.5°F [0.8°C])
for a set time (for example, 15 minutes) an additional chiller starts.
One caveat: The next chiller should start before the chilled water flow reaches
the maximum limit of the operating chiller(s), even if the operating chillers
are not yet fully loaded. (This would rarely happen; most pipe velocity limits
are below that of the chillers.)
As chillers are brought online, flow rates may fluctuate substantially, and this
occurs quite often in a system with two chillers. All systems, with any
number of chillers, will find the most difficult transition when adding or
subtracting the second chiller. An example will help explain the challenges.
.
At a point in time, Chiller 1 is active and has 1,100 gpm [69.4 L/s] flowing
through its evaporator. It can no longer satisfy the required system supply
temperature. What happens if Chiller 2’s valve is opened with no other action
taken? If we assume that pressure drops are equal, 550 gpm [34.7 L/s] will
flow through each chiller. This means Chiller 1’s flow rate drops by 50 percent
as fast as Chiller 2’s isolation valve opens (probably beyond what its controls
can respond to) and we are below each chiller’s minimum flow rate. Be aware
that this could become an issue since chiller controls may protect the chiller
by shutting it off. The result is that some combination of pump speed, bypass
valve control, and slow-acting valves at the chillers must do two things:
• Keep change in flow rate within the equipment limitations
• Keep each chiller’s flow rate above its minimum
Table 16. Flow-rate-fluctuation examples
Design
flow rate
gpm [L/s]
Minimum
flow rate
gpm [L/s]
Maximum
flow rate
gpm [L/s]
Chiller 1 960 [60.6] 576 [36.3] 2,110 [133.1]
Chiller 2 1,440 [90.8] 675 [42.6] 2,474 [156.1]

System Configurations
SYS-APM001-EN Chiller System Design and Control 65
Controlling transient flows is mandatory, regardless of plant size. The
number of chillers in the plant will not alter the degree of care needed to
properly manage transient flow-rate changes because the transition from one
operating chiller to two is inevitable in almost all plants.
Temporarily unload the operating chillers before starting the next one.
Reduce shock resulting from transient flows by unloading the operating
chillers before opening an isolation valve to bring another chiller online.
You can accomplish this by imposing a demand limit of 50 to 60 percent on
the operating chillers, or by raising the chilled water setpoint one to three
minutes before the isolation valve actuates. (See sidebar.)
Open the chiller isolation valves slowly to encourage stable operation. How
slowly? That depends. If the chiller controller can only handle a flow-rate
change of 2 percent per minute, then the isolation valve must take 25 minutes
to open… far too long for most applications. Besides helping with chiller
stability, slow valve operation reduces the likelihood of valve-induced water
hammer in the piping system.
With sophisticated chiller controls, a 30-percent-per-minute change in the rate
of flow should work well in most applications. At this rate, the isolation valve
will transition from fully closed to fully open in about two minutes.18
Like the bypass valve, be sure to select isolation valves that maintain a linear
relationship between valve position and flow rate.
The bottom line is that control of VPF systems must be considered during
system design.
Subtracting a chiller in a VPF system
Subtracting a chiller in a VPF system is not simple, either. It is important to
devise a “stop” strategy that protects the chillers from short-cycling.
Knowing when to stop a chiller (to provide sufficient downtime between
chiller starts) often is more challenging than knowing when to start it. The
most reliable way to do so—assuming that the VPF system is properly
installed, calibrated, and maintained—is to monitor the power draw of the
operating chillers. (See sidebar.) Most unit controllers measure running load
amps (RLA) at regular intervals. The %RLA (actual RLA divided by design
RLA) provides a good indication of the present chiller load.
Base the “stop” strategy for a multi-chiller plant with equally sized machines
on the sum of the present %RLA for all chillers divided by the number of
operating chillers minus one. If the result is less than the desired capacity for
the operating chiller(s), then stop one of the machines.
For example, suppose that a plant consists of three equally sized chillers,
each of which is presently running at 60 percent of full-load capacity. If one
chiller is shut off, the two chillers still online would operate at approximately
90 percent of full-load capacity; (60% + 60% + 60%) / (3-1) = 90%. Having the
remaining two chillers operating almost fully loaded risks the need to restart
a chiller if the load increases.
In his article, “Primary-Only vs. Primary-
Secondary Variable Flow Systems,”
Steven T. Taylor, principal of Taylor
Engineering LLC, notes that unloading
the active chillers before starting
another produces warmer chilled water.
Although the temperature increase
seldom causes problems for comfort
cooling, it may be unacceptable in
industrial/process applications.17
Sequencing based on load
Some plant operators prefer to sequence
chillers by comparing the actual system
load with the total plant capacity that
would result if a chiller is turned off.
However, this method can be less
reliable than one based on power draw
because flow- and temperature-sensing
devices require periodic recalibration to
correct for drift.

66 Chiller System Design and Control SYS-APM001-EN
System Configurations
A more conservative approach might be to wait to turn off the chiller until it
would result in no higher than 80 percent capacity for the remaining
operating chillers. Going back to the example, if the desired (n-1) chiller
capacity were 80 percent, it would not be appropriate to shut down a chiller.
In this case, the plant controller should not turn off any of the chillers until
each of them unloaded to 53 percent; (53% + 53% + 53%) / (3-1) = 80%.
Note: For plants with unequally sized chillers, weight the %RLA value of each
chiller by its design capacity and compare the weighted value with that of the
chiller to be sequenced off.
The other thing that must be checked before subtracting a chiller is how the
system flow can be handled by one less chiller. As an example, suppose that
two chillers are running near their minimum flow. Chiller 1 is at 650 gpm [41.0
L/s] and Chiller 2 is at 760 gpm [47.9 L/s], so the system total is 1,410 gpm
[88.9 L/s].
Choice 1: Turn off Chiller 1. It is obvious that we should be able to turn
Chiller 1 off and satisfy system load as long as the flow rate doesn’t increase
too rapidly. However, the current system flow rate is close to Chiller 2’s
design flow rate of 1440 gpm [90.8 L/s], and if the system flow increases, we
may need to restart Chiller 1.
Choice 2: Turn off Chiller 2. If Chiller 1 has a condenser water temperature
lower than design, its capacity has increased. Could we turn off Chiller 2?
Chiller 1’s flow is certainly within the allowable limits, but it may or may not
be able to supply the required capacity. In this case, the dilemma is to ensure
that there is enough chilled water capacity after a chiller is turned off.
Obviously, control is an extremely important aspect of a VPF system.
Other VPF control considerations
Select slow-acting valves to control the airside coils.
Valves that open and close slowly moderate the normal fluctuations of chilled
water flow through the loop.
Use multiple air handlers, and stagger their start/stop times.
Unless it is programmed to do otherwise, the building automation system
will simultaneously shut down all of the air handlers when the occupied
period ends. If two chillers are operating when this happens—and if all of the
coil-control valves close at the same time—then chilled water flow through
the evaporators will drop to zero almost instantaneously. Such a dramatic
change not only causes problems for the chillers, but also may deadhead the
pumps.
To help ensure that flow-rate changes remain within acceptable limits,
“divide” the air handlers into several groups. Then implement control
schedules that shut down each group individually at 10-minute intervals.

System Configurations
SYS-APM001-EN Chiller System Design and Control 67
Plant configuration
Consider a series arrangement for small VPF applications.
When the plant consists of only two chillers and expansion is unlikely, you
can simplify control by piping the evaporators in series. Doing so avoids flow
transitions because the water always flows through both chillers. The series
arrangement requires careful selection because the pump must be sized for
the pressure drop through both chillers. However, the extra pressure quickly
decreases (by roughly the square of the flow rate) as the flow rate slows. For
example, at 80 percent of design flow, the evaporator pressure drop is only
64 percent of design. Given this operating characteristic, a VPF design may
permit a slightly higher system pressure drop than a comparable primary–
secondary system without a noticeable penalty in operating cost. “Series
Chillers” on page 44 discussed these arrangements in greater detail.19
Note: To further reduce the system
P, lower the required rate of chilled-water
flow through the system by increasing the temperature difference between the
supply and return. Plants that supply 40°F [4.4°C] chilled water based on a
T of
16°F [8.9°C] or more are increasingly common.
Assess the economic feasibility of VPF for single-chiller plants.
Although most VPF applications consist of two or more chillers, variable
primary flow also offers potential operating-cost savings in a new or existing
single-chiller plant. Instead of a bypass line and flow-sensing devices,
minimum flow through the chiller can be maintained by three-way valves.
(Use enough three-way valves to assure that the minimum evaporator-flow
rate of the chiller is always satisfied.) This simple approach will reduce
pumping costs while providing the chiller with enough chilled water.
To quantify the savings potential of variable versus constant primary flow in
a single-chiller plant, we examined a two-story office building in St. Louis,
Missouri. The HVAC system includes a 50-ton scroll chiller and a 5-hp chilled
water pump. Figure 39 illustrates the results of our analysis. Although the
absolute savings are not large, variable primary flow did reduce the cost of
operating the chilled water system by more than 6 percent … enough to
warrant further investigation. The difference in installed costs is a variable-
speed drive, a differential pressure sensor, and a pump controller.
For more information, refer to the Trane
Engineers Newsletter, “Don’t Overlook
Optimization Opportunities in ’Small’
Chilled Water Systems” (ADM-APN009-
EN).

68 Chiller System Design and Control SYS-APM001-EN
System Configurations
Figure 39. Example of operating-cost savings for a VPF, single-chiller plant
Analysis results are based on a 50-ton scroll chiller and a 5-hp chilled water pump for two-story office building
in St. Louis, Missouri.
Moderate “low T syndrome” by manifolding the chilled water pumps
Manifolding two or more chilled water pumps (or slightly oversizing a single
pump) can provide an individual chiller with more than its design chilled
water flow… which means that you can fully load the chiller even if the return
water temperature is colder than design.
Sometimes described as “overpumping,” this strategy does not cure “low T
syndrome”; it merely reduces the adverse effect of low T on system
operation.29 (Refer to “Low T syndrome” on page 79). An example of low
T syndrome is receiving a depressed (for example, 49°F [9.4°C]) return-
water temperature rather than the design (for example, 56°F [13.3°C]) return-
water temperature.
Again, the only methods to load the chiller are to decrease the chilled-water
leaving temperature or to increase the flow. If the pumping power and speed
allows, the operator may be able to increase the chiller’s flow rate and
capacity. Do not exceed the pump’s operating envelope.
Guidelines for a successful VPF system
Chiller selection
• Select for the lowest possible minimum evaporator-flow limit (no more
than 40–60 percent of system flow)
• Select for the greatest tolerance to large flow-rate changes, while
maintaining required temperature setpoint
• Select chillers with approximately equal pressure drops across the
evaporator at the design flow rate

System Configurations
SYS-APM001-EN Chiller System Design and Control 69
• Understand the specific loading/unloading characteristics of the chiller
controller
Bypass flow
• Select a high-quality control valve with linear-flow characteristics
• Select flow-sensing devices that deliver precise, repeatable
measurements
• Minimize control lag by hard-wiring the controls or by selecting devices
that communicate directly
Chiller sequencing
• Temporarily unload the operating chillers before starting the next
• Open chiller isolation valves slowly to encourage stable operation
• Let the operating chiller(s) load almost fully before starting another
• Prevent short-cycling by devising a “stop” strategy based on the power
draw of the operating chillers
Plant configuration
• Consider a series arrangement for small VPF applications to avoid
transient flows
• Assess the economic feasibility of variable primary flow for single-chiller
plants
• Moderate “low T syndrome” by manifolding multiple chilled-water
pumps or slightly oversizing a single chilled-water pump
• Take care to properly manage transient flows regardless of the number of
chillers in the plant
Airside control
• Select slow-acting valves to control the chilled-water coils
• Use more than one air handler and stagger their start/stop times

70 Chiller System Design and Control SYS-APM001-EN
Chilled-Water System Variations
A number of chilled-water system variations can and should be used when
appropriate. Each configuration offers specific advantages to solve problems
and add value to the system.
Heat Recovery
ASHRAE/IESNA Standard 90.1–200720 requires heat recovery in specific
applications. Indoor air quality concerns have spurred the use of systems that
subcool supply air to dehumidify, then temper, the air to satisfy space
conditions. ASHRAE/IESNA Standard 90.1–2007 limits the amount of new
reheat energy used in these applications. With these drivers, and energy costs,
there has been a resurgence of heat recovery chillers. The example on page 75
describes a cost-effective recovered-heat strategy. This scheme is commonly
used for service-water heating in resort hotels and for certain process loads.
A separate application manual21 discusses heat recovery, as does an Engineers
Newsletter 22, so it is not discussed in depth in this manual. However,
considerations for heat recovery on chilled-water system design are discussed.
Condenser “Free Cooling” or Water
Economizer
There are several ways to accomplish free cooling through the use of a water
economizer circuit. Three common techniques for chilled water systems are
using a plate-and-frame heat exchanger, refrigerant migration, or well, river, or
lake water. Each technique is discussed in more detail below and in an
Engineers Newsletter 23.
Plate-and-frame heat exchanger
A plate-and-frame heat exchanger may be used in conjunction with a cooling
tower to provide cooling during very low wet-bulb temperature conditions.
When it is to be used for these purposes, designers often specify a cooling
tower larger than necessary for design conditions so that it can be used for
many hours with the plate-and-frame heat exchanger.
In this type of water economizer, the water from the cooling tower is kept
separate from the chilled-water loop by a plate-and-frame heat exchanger. This
is a popular configuration because it can achieve high heat-transfer efficiency
without cross-contamination. With the addition of a second condenser-water
pump and proper piping modifications, this heat exchanger can operate
simultaneously with the chiller, provided the chiller is placed downstream of the
heat exchanger (as shown in Figure 40). As much heat as possible is rejected
through the heat exchanger while the chiller handles the rest of the cooling
Chiller 2
Chiller 1
Plate-and-Frame
Bypass Line
Heat Exchanger
Distribution
Production
Figure 40. Sidestream plate-and-frame
heat exchanger

Chilled-Water System Variations
SYS-APM001-EN Chiller System Design and Control 71
load. The details of operation are discussed in “Sidestream plate-and-frame
heat exchanger” on page 74.
Plate-and-frame heat exchangers isolate the building loop from the water in
the open cooling tower loop, but they must be cleaned, typically annually.
The labor and parts for cleaning and reassembly (e.g., gasketing) is an
expense that should be factored into the life-cycle cost of this option.
Refrigerant migration
Another method of “free” cooling is to transfer heat between the cooling
tower water and the chilled water inside a centrifugal chiller through the use
of refrigerant migration, also known as a thermosiphon. Figure 41 shows a
centrifugal chiller equipped for refrigerant migration free cooling. When the
temperature of the water from the cooling tower is colder than the desired
chilled-water temperature, the compressor is turned off and automatic shut-
off valves inside the chiller refrigerant circuit are opened, as shown in
Figure 42. Because refrigerant vapor migrates to the area with the lowest
temperature (and pressure), refrigerant boils in the evaporator and the vapor
migrates to the cooler condenser. After the refrigerant condenses, it flows by
gravity back through a shutoff valve to the evaporator. This allows refrigerant
to circulate between the evaporator and condenser without the need to
operate the compressor.
Depending on the application, it is possible for refrigerant migration in a
centrifugal chiller to satisfy many hours of cooling load without operating the
compressor. Free cooling chillers serving systems that can tolerate warmer
chilled-water temperatures at part-load conditions can produce more than 60
percent of the rated capacity without compressor operation. There are no
cooling coil fouling concerns because the cooling-tower water flows through
the chiller condenser and is separate from the chilled-water loop. There is no
additional expense for cleaning, as the condenser tubes are the same as
those used for normal cooling mode and should already be on a
maintenance schedule. In addition, fewer pipes, pumps, and fittings are
required, and no additional heat exchanger is required.
Figure 41. Refrigerant migration chiller in compression cooling mode
Compressor Evaporator
Conditioner
Economizers
Refrigerant
Storage Tank

72 Chiller System Design and Control SYS-APM001-EN
Chilled-Water System Variations
One option is to equip one or more parallel chillers with the refrigerant
migration cycle (Figure 43). This essentially turns the chiller into a shell-and-
tube heat exchanger run-around loop.
Figure 43. Water economizer piped in parallel with chillers
Well, river, or lake water
There are times when well, river, or lake water will be pumped through the
condenser. In these cases, examine the cost of pumping the water versus the
benefit of more water passing through the condenser. The environmental
limitations imposed by local codes are another consideration. Some locales
will not allow well water to be dumped after being used. Other local
authorities limit the maximum water temperature that may be returned to a
Figure 42. Refrigerant migration chiller in free-cooling mode
Compressor Evaporator
Conditioner
Economizers
Refrigerant
Storage Tank
Cooling Tower
Chiller 1
Chiller 2
Refrigerant Migration Chiller
Bypass Line Distribution
Pump
Chilled-Water
Loop

Chilled-Water System Variations
SYS-APM001-EN Chiller System Design and Control 73
body of water. Flow rates need to be carefully selected to balance the
economic and environmental requirements.
Preferential Loading
Preferential loading is desirable for systems that use heat recovery or free
cooling to allow the equipment used in these schemes to remain more fully
loaded. In a heat recovery system, a more heavily loaded heat recovery
chiller produces more heat that can be recovered for the desired process.
Similarly, if the condenser free cooling method is preferentially loaded in the
sidestream arrangement discussed below, it receives the warmest return
water temperature and thus continues to operate as load and/or condenser
water temperature increases.
Preferential loading may also be beneficial for use with either a high-
efficiency chiller that should be fully loaded whenever possible, or a chiller
using a fuel other than electricity, such as an absorption chiller using waste
steam from a cogeneration plant, or a chiller coupled with an engine that
generates electricity. When used with the latter, the system is able to
preferentially load the alternate fuel chiller when the cost of electricity is high.
Preferential loading - parallel arrangement
If a chiller in a decoupled system is moved to the distribution side of the
bypass line in a primary-secondary system, due to system hydraulics and
temperatures, the chiller is preferentially loaded when it is turned on. As
shown in Figure 44, Chiller 1 always receives the warmest system water and
is preferentially loaded. As previously discussed, chillers on the production
side of the bypass line (Chillers 2 and 3) are loaded to equal percentages. The
parallel preferential arrangement works best if Chiller 1 is capable of creating
the desired system supply water temperature, as it will be sending chilled
water directly to the distribution system.
Figure 44. Parallel preferential loading arrangement
Equal
Percentage
Loading
Preferential
Loading
Chiller 3
Chiller 2
Chiller 1
Bypass Line
Production
Distribution

74 Chiller System Design and Control SYS-APM001-EN
Chilled-Water System Variations
One caveat when applying this arrangement is that chillers on the production
side of the bypass line will run more often at low part-load conditions. Older
chillers or newer chillers with a high cycle point may not have this capability.
Preferential loading - sidestream arrangement
Figure 45 shows a simple modification to the traditional decoupled
arrangement. The sidestream arrangement ensures that the chiller piped in
the sidestream position still receives the warmest entering-water
temperature and can fully load it whenever the chiller plant operates.
This arrangement is unique because it not only allows preferential loading,
but it also permits the cooling device (chiller, heat exchanger, etc.) in the
sidestream position to operate at any leaving-water temperature. This
configuration precools the system-return water for the chillers downstream,
reduces their loads and energy consumption, and decreases the overall
operating cost of the chilled-water system.
When cooling devices are located in the return piping of the distribution loop,
they do not contribute to system demands for flow. They simply reduce the
temperature of return water to the production loop. While this is
counterproductive to the principle of striving for the highest possible return
water temperature, it is often the best way to obtain free cooling, specialized
heat recovery, or reduce the capital cost of ice storage equipment.
Sidestream, decoupled applications are usually most economical when the
sidestream chiller is smaller than those on the production side of the bypass
line. Since pumping requirements and energy consumption change with
modifications to the system arrangement, it is best to use a computerized
analysis tool to model the economic effects.
The following are different system configurations that can benefit from the
sidestream application.
Sidestream plate-and-frame heat exchanger
A free-cooling heat exchanger may be capable of chilling water to only 48°F
[8.9°C] during some periods. Rather than overlook this portion of cooling
capacity assistance, the heat exchanger does whatever it can to its portion of
the total return stream. Figure 40 on page 70 shows a possible chilled- and
condenser-water piping arrangement that allows for simultaneous waterside
economizer and chiller operation. Chillers operating downstream can reduce
chilled-water temperature further, allowing simultaneous free cooling and
mechanical cooling. This configuration increases the hours that the heat
exchanger may be used. Since this capacity is brought to bear on the
warmest water in the system, it allows the highest heat exchanger
effectiveness and has the greatest impact.
Chiller 3
Production
Distribution
Chiller 2
Bypass Line
Chiller 1
Figure 45. Sidestream preferential
loading arrangement
Sidestream position receives the
warmest return water.

Chilled-Water System Variations
SYS-APM001-EN Chiller System Design and Control 75
Sidestream heat recovery
A similar situation occurs if a heat-recovery chiller is placed in this
sidestream position24 (see Figure 46). This chiller may be equipped with a
heat recovery condenser or it could be a standard, single-condenser chiller
operating as a heat pump in a heating control mode. The chiller may not be
capable of cooling water to the system supply temperature. That is
unimportant with this configuration. Think of the machine as a heater instead
of a chiller. Its primary function is heating, and cooling is a beneficial by-
product. The passing return-chilled-water stream appears as an infinite heat
source to the heat recovery chiller. The chiller only cools its evaporator water
enough to satisfy the heating demand. This avoids the control predicament
of deciding how to reject surplus condenser heat when the cooling and
heating loads of a chiller do not strike a perfect heat balance.
Figure 46. Heat recovery chiller in sidestream position
Sidestream with alternative fuels or absorption
An absorption chiller may be applied in a sidestream location. This allows the
chiller to be loaded whenever utility rates make it beneficial. It also ensures
that the absorption water chiller receives the warmest entering-water
temperature, allowing it to operate more efficiently and produce more
cooling.
Referred to as “distribution sidestream,”
an alternative location is to apply the
chiller at the air handler that requires
reheat. The heat recovery chiller can
cool either the supply or return chilled
water. If only a small amount of heating
is needed, this may be accomplished
with a water-to-water heat pump.
Off
50.2°F
[10.1°C] 40°F
[4.4°C] Chilled
Water
Production
Chilled
Water
Distribution
900 gpm [56.8 L/s]
40°F [4.4°C] 75 gpm
Bypass Line
42.7°F [5.9°C]
51.2°F
[10.7°C]
56°F
[13.3°C] 300 gpm [18.9 L/s]
Heat
Recovery
Chiller
825 gpm
[52 L/s]

76 Chiller System Design and Control SYS-APM001-EN
Chilled-Water System Variations
Sidestream system control
The flexibility of sidestream applications is increased by the fact that the
devices are used to pre-cool return water, not to produce the system chilled-
water temperature. This means that they may be loaded by a different signal.
In the case of a plate-and-frame heat exchanger, as long as return water is
being cooled, there is an advantage to using it. A heat-recovery chiller can be
loaded to produce just the amount of hot water necessary using the
condenser-water leaving temperature as a signal. If preferential loading is
used with an absorption chiller, it may be loaded simply by decreasing its
leaving-water temperature.
Sidestream configurations may also be used to preferentially load chillers or
a heat exchanger used in a variable-primary-flow system, or to isolate chillers
that are incapable of the same flow variations as the rest of the system.
Preferential loading – series arrangement
As previously discussed in “Series Chillers” on page 44, preferential loading
is very simple when chillers are placed in series. If both the upstream and
downstream chillers are given the system leaving water temperature
setpoint, the upstream chiller is preferentially loaded and the downstream
chiller operates whenever the upstream chiller can no longer achieve
setpoint. If the downstream chiller is given the system setpoint, and the
upstream chiller is given a warmer setpoint, then the downstream chiller
loads first. Another method for preferential loading uses compressor RLA to
determine when to bring on the next chiller.
Figure 47. Preferential loading - series arrangement
Chiller 2
setpoint = 42°F [5.5°C] Chiller 1
setpoint = 42°F [5.5°C]
56°F [13.3°C]
Loads
49°F [9.4°C] 42°F [5.5°C]

Chilled-Water System Variations
SYS-APM001-EN Chiller System Design and Control 77
Series–Counterflow Application
Another system configuration that can be very energy efficient incorporates
the previously described series application, but does so for both the chilled
water and condenser water. Figure 48 shows such a configuration. The
chilled- and condenser-water flow directions are opposite, or counter, to one
another (thus the name, series-counterflow).
Note that the downstream machine, in this case, produces 40°F [4.4°C] chilled
water, while the upstream machine produces 50°F [10°C] chilled water. The
downstream machine receives 85°F [29.4°C] condenser water, while the
upstream machine receives 95°F [35°C] condenser water. Therefore, the
pumping requirements are only 1.2 gpm/ton on the chilled water side and 1.5
gpm/ton on the condenser water side—greatly reducing pumping, piping,
and cooling tower costs. The configuration has the effect of equalizing each
chiller’s required lift, as shown in Figure 49.
Figure 48. Series-counterflow arrangement
Figure 49. Equal lift concept
Series-series counterflow
Figure 48 shows two Duplex™ chillers in series. Chiller module (combination
of two Duplex chillers) power savings can be as high as 19% compared with a
single chiller operating at the same conditions. Because the Duplex chiller is
actually two refrigerant circuits in series on a common water circuit,
Figure 48 operates with the efficiency of four chiller circuits in a series-
counterflow arrangement. But system control is simply for two chillers in
The series–counterflow configuration can
work with all types of chillers. Duplex™
chillers are shown in Figure 48. A single
large chiller may be built as a Duplex
machine, and would itself constitute a
series-counterflow arrangement. The
evaporator and condenser water circuits
are common to both halves of the
Duplex. Increased efficiency comes from
the separation of the compressors and
refrigerant circuits.
Upstream Chiller Downstream Chiller
95 °F [35°C]
105 °F [40.6 °C]
60 °F [15.5 °C]
85 °F [29.4 °C]
40 °F [4.4 °C]
50 °F [10°C]
40°F
40°F
Series-
Single
Compressor
Chiller
95°F
105°F
Upstream Chiller
Downstream Chiller
105°F
65°F [36.1°C]
55°F [30.6°C]
55°F [30.6°C]
50°F
[40.6°C]
[40.6°C]
[10°C]
[4.4°C]
[35°C]
[4.4°C]
Arrangement
Counterflow
For more information, refer to the
ASHRAE Journal article, “Series-Series
Counterflow for Central Chilled Water
Plants.” 19

78 Chiller System Design and Control SYS-APM001-EN
Chilled-Water System Variations
series. The left half of Figure 50 shows a modularized configuration where
series chiller modules are placed in parallel with each other, so that any
upstream chiller’s valves could be “paired” with virtually any downstream
chiller by opening the appropriate valves. The condenser side in a
counterflow arrangement is shown in the right half of Figure 50. The
advantages of this system for large chilled water systems include highest
efficiency, scalability as the project grows, and high redundancy without a
significant investment in extra equipment.
Figure 50. Series arrangement of evaporators and condensers
Unequal Chiller Sizing
Many designers seem to default to using the same capacity chillers within a
chilled-water plant.25, 26 There are benefits to using unequally-sized chillers
to meet the system loads. One is that when a chiller is brought online, so is
its ancillary equipment, thus increasing system energy consumption. In
general, the smaller the chiller, the smaller the ancillary equipment. Another
is being able to ensure that chillers are efficiently loaded. Many times this can
be accomplished by using chillers that do not have the same capacity.
Examine the use of 60/40 splits (one chiller at 60 percent of system capacity,
the other at 40 percent) or 1/3–2/3 splits (one chiller at 1/3 of system capacity
the other at 2/3). The benefit is that the system load can be more closely
matched with the total chiller capacity, increasing total system efficiency by
eliminating the operation of chillers and ancillary equipment for more hours
of the year. One caveat for variable-primary-flow systems is that if the
pressure drops are different across the unequally sized chillers, they will load
even more unequally without the use of pressure-reducing valves that
require extra pump energy, as shown in Table 15 on page 61.
Circuit 1
Circuit 2 Circuit 1
Circuit 2
37.0°F
[2.8°C]
55.0°F
[12.8°C] 98.9°F
[37.2°C]
3 Chiller Modules
85.0°F
[29.4°C]
Evaporators Condensers
Circuit 1 Circuit 2
Circuit 1 Circuit 2
45.1°F
[7.3°C]
3 Chiller Modules 91.3°F
[32.9°C]
Circuit 2 Circuit 1
Circuit 2 Circuit 1
Circuit 1 Circuit 2
Circuit 1 Circuit 2
Circuit 1 Circuit 2
Circuit 2 Circuit 1
Circuit 2 Circuit 1
Circuit 2 Circuit 1

SYS-APM001-EN Chiller System Design and Control 79
System Issues and Challenges
Low T Syndrome
For many years the “low T syndrome” debate has raged.27, 28 The symptom
of the problem is that, in large systems, return-water temperature is too low,
thus not allowing the chillers to fully load. Many system operators simply turn
on more pumps and chillers to satisfy flow requirements, which wastes energy.
For primary-secondary systems, some system designers advocate putting a
check valve in the bypass line—thus putting chilled-water primary and
secondary pumps in series and varying the flow through chiller evaporators.
Other designers install primary pumps that are larger than necessary and “over
pump” chillers at part-load conditions. These solutions are all “band-aids” and
do not treat the source of the problem. Coad14 points to the fact that a properly
operating hydraulic system will work as designed and explains the fallacies in
the check valve and over pumping approaches. (Refer to the “Check valves”
sidebar on page 46.) Taylor29 recommends that a number of mitigating
procedures be implemented to eliminate the problem. They include:
• Eliminating three-way valves
• Ensuring that airside control is not causing the problem
• Properly maintaining the system, including regular air filter changes, coil
cleaning, control calibration, and proper setpoints
Before applying band-aid approaches in an attempt to “fix” symptoms such as
low T syndrome, ensure that the system is operating properly using some or
all of the procedures Taylor29 discusses. In addition to these procedures, simply
reducing the chilled-water supply temperature will have the effect of raising the
system return-water temperature in systems using two-way valves.
Amount of Fluid in the Loop
Two questions must be answered when determining how much fluid is
necessary to maintain proper chilled-water-system control:
• How fast can the specific chiller respond to changing conditions?
• How fast can the system respond to changing conditions?
The amount of fluid the loop requires to operate properly is related to the larger
of these two answers. Note that both answers describe an amount of time.
Required Volume = Flow Rate × Loop Time
Where:
• Required Volume = the amount of fluid in the coil, pipes, evaporator barrel,
storage tank, etc., in gallons [liters]

80 Chiller System Design and Control SYS-APM001-EN
System Issues and Challenges
• Flow Rate = the system flow rate, in gpm [L/s]
• Loop Time = the time it takes for fluid to leave the chiller, move through
the system, and return to the chiller, allowing for stable system operation,
in minutes [seconds]
Chiller response to changing conditions
Follow the manufacturer’s advice for the specific chiller being considered.
This determines the absolute minimum amount of water the loop requires.
However, this is the chiller minimum, not the system minimum, as discussed
in the next section. Many of today’s chillers have controls that respond
quickly to changing conditions. Some chillers can react to a change in return
water temperature in one minute; other chillers may require five or more
minutes to react. The response varies, depending on chiller type and design.
System response to changing conditions
It is important to understand that even if a chiller can respond to rapidly
changing conditions, the interaction between the chiller, system pumps, and
control valves may define the minimum loop time. These components may
“hunt” if the system conditions change too rapidly. Review these interactions
to ensure that system control will be stable.
Example
A specific chiller requires at least two minutes of water in the loop to operate
properly. However, after considering the system interaction, it’s decided that
a five-minute loop time will work best. The system design flow rate is 960
gpm [60.6 L/s].
Required Volume = 960 gpm × 5 minutes = 4,800 gallons
= 60 L/s × 5 minutes × (60 seconds/1 minute)= 18,180 liters
If the volume of fluid in the evaporator bundle, piping, and coils is less than
the required volume, a tank should be added to increase loop volume. For
optimal stability, the tank should be placed in the return water position and
be designed to mix the returning-water stream with the water currently in the
tank. In systems with no bypass, the tank may be placed in the supply chilled-
water position.
Alternatively, the designer could:
• increase pipe sizes (increases system volume and reduces pump energy)
• design system for a lower flow rate (lowers required volume and reduces
pumping energy, especially when same-sized pipes are used)

System Issues and Challenges
SYS-APM001-EN Chiller System Design and Control 81
Contingency
Today, many organizations have contingency plans for critical areas of their
business. Some deal with natural disasters and others with the loss of power
in critical areas. However, few have actually taken the time to think about
what a loss of cooling would mean to their facility. If the cooling system
failed or was suddenly grossly undersized due to weather, etc., how would
that affect business? What financial risk would be involved with a loss of
cooling?
Cooling contingency planning is intended to minimize the losses a facility
may incur as a result of a total or partial loss of cooling. It allows a building
owner to act more quickly by having a plan in place and by proactively
preparing his or her facility to accept temporary equipment. Although a
number of facilities are prepared after the construction phase, the
construction phase provides an easy and cost-effective opportunity to
prepare a facility and is a logical time to provide water stub outs and
electrical connections. This helps to keep costs down and reduces the need to
shut down existing equipment to make necessary building preparations.
Cooling contingency planning is the process of preparing for a loss of cooling
while in a non-emergency situation. This allows common sense, rather than
panic, to prevail during a critical event. The following topics are general and
broad in scope. They provide a sense of what is involved in the planning
process. Contingency planning itself is very detailed and situation-specific.
Minimum capacity required
It is important to first identify the minimum capacity required. With multiple
chillers in a facility, it may be acceptable to have less tonnage in an
emergency situation. For example, a facility’s chiller plant may consist of
1,800 tons [6,330 kW], but the minimum tonnage required may only be 1,200
tons [4,220 kW]. Therefore, it is also important to identify the plan of action if
Chiller 1 fails, if Chiller 2 fails, if Chillers 2 and 3 fail, and so on.
Type and size of chiller
The type and size of contingency cooling required by a facility are determined
by several factors. In turn, the choice of chiller determines how the facility is
prepared. Examples of parameters that determine the chiller are:
• Electrical requirements
• Ease of installation (air-cooled chillers are easier to set up)
• Location or available space
• Comfort or process cooling

82 Chiller System Design and Control SYS-APM001-EN
System Issues and Challenges
Location of equipment
Location can be a major factor in contingency planning. When selecting the
location of the temporary equipment, it is important to consider:
• Water and electrical connections location
• Sound sensitive areas in the facility
• Location easily accessible to service staff
• Equipment separated from the public
Water and electrical connections
• Water connection size requirements
• External stub out locations
• Sufficient power to run the temporary unit
• Possible generator requirement
Ancillary equipment
• Pumping system requirements
• Temporary hose requirements
• Electrical cable requirements
This section briefly described some of the items to consider when
establishing a cooling contingency plan. There may be other considerations,
depending on the application. For information about failure recovery, see
page 95.
Alternative Energy Sources
Energy source redundancy is receiving increased attention due to rate
variations and reliability issues brought about by the deregulation of
electrical utilities across the country. There are two basic approaches to meet
these issues:
• Provide an alternate source of internally-generated electricity to serve a
system in the event of general failure or an unacceptably high temporary
cost of electricity (time-of-day or real-time rates).
• Provide an alternate source of chilled-water producing capability, possibly
fueled by natural gas, another fossil fuel, or even using low cost electricity
as an alternative energy source.
Electricity generation
The design, construction, and operation of full-capacity, electrical-generation
systems is well understood. The electrical-generation capacity can be sized to
allow an entire facility to operate or it can be sized for an emergency

System Issues and Challenges
SYS-APM001-EN Chiller System Design and Control 83
situation. Electrical generation can be outsourced to avoid internal
capitalization.
A variation of electrical generation uses an engine indirectly- or directly-
coupled to a chiller. Either variation produces chilled water using an
alternative fuel such as natural gas or fuel oil. The indirect-coupling method
allows the chiller to operate using an alternative fuel or electricity from the
grid. An engine directly-coupled to a chiller can only run using the alternative
fuel.
Alternative fuel
Some designers prefer to employ chillers that use fossil fuels or perhaps
renewable fuels. Examples are absorption chillers using natural gas, steam,
hot water, landfill gas, biodiesel, or waste-to-energy boilers. Plants with these
chillers, discussed in detail elsewhere30, allow the owner to take advantage
of expected fuel rate separations.
Thermal storage
Another successfully applied alternative-energy source is thermal storage.
Chillers make either ice or chilled water during times of lower electricity
costs. The energy is stored in tanks and then discharged to satisfy cooling
loads during times of high electrical costs. Other manuals and an Engineers
Newsletter describe the use of thermal storage in detail. 31, 32, 33, 34, 35
Use any of these technologies to provide value to the building owner through
judicious use of alternative fuels.
Plant Expansion
Plant expansion can be performed easily in either a primary–secondary or
variable-primary-flow system by adding another chiller and pump to the
system. The two major considerations will be whether the chilled-water
distribution pipes will be able to handle the flow and how to install the new
chiller while other chillers are still providing cooling. When the new system
flow rate complies with good piping practice and the pumps can deliver the
water, the process works well.
To maintain chilled-water flow during installation of a new chiller, some
plants are constructed with piping stubs in place for the new chiller. In this
way, the new chiller can be installed while the system is still operating, then
the valves in the stubs can be opened.
When decoupled systems are used on large campus-type systems, added
loads are often located some distance away from the original loads. Yet,
planners like the idea of somehow hooking the new loads to the existing
system. The “double-ended” system discussed in “Chiller sequencing in a
double-ended decoupled system” on page 54 is one way of handling this
requirement.

84 Chiller System Design and Control SYS-APM001-EN
System Issues and Challenges
Retrofit Opportunities
A tremendous retrofit opportunity can be realized if the low-flow concepts
discussed in the chapter “System Design Options” on page 27 are utilized.
Building owners may need to increase the capacity of an existing system, for
example, in response to a building addition. In many of these buildings, the
condenser water system (piping, pump, and tower) is in good condition, but
is considered to be too small. By changing from traditional design conditions,
the existing infrastructure can often be used while still providing additional
capacity. A detailed discussion of this starts on page 37.
Applications Outside the Chiller’s Range
Designers may wish to use chillers to provide cooling for which the flow rate
or temperature requirements are not within the allowable ranges of a
particular chiller, even though the chiller has adequate capacity. This often
occurs with manufacturing processes. Let’s look at two examples showing
system designs that can satisfy the desired conditions.
Flow rate out of range
A plastic injection molding process requires 80 gpm [5.1 L/s] of 50°F [10°C]
water and returns that water at 60°F [15.6°C]. The selected chiller can operate
at these temperatures, but has a minimum flow rate of 120 gpm [7.6 L/s]. The
following system in Figure 51 can satisfy the process. Decoupling the chiller
from the process load allows the water flow to be different, ensuring that the
flow through the chiller is within acceptable limits. With a single chiller
system, one pump and a three-way valve gives the same results.
Figure 51. Flow rate out of range for equipment
Process
Load
50°F [10°C]
80 gpm [5.1 L/s]
Constant Volume Pump
50°F [10°C]
40 gpm [2.3 L/s]
60°F [15.6°C]
80 gpm [5.1 L/s]
Constant Volume Pump
120 gpm [7.6 L/s]
56.7°F [13.7°C]
120 gpm [7.6 L/s]
50°F [10°C]
120 gpm [7.6 L/s]
Bypass
Pipe
Chiller

System Issues and Challenges
SYS-APM001-EN Chiller System Design and Control 85
Temperatures out of range
A laboratory load requires 120 gpm [7.6 L/s] of water entering the process at
85°F [29.4°C] and returning at 95°F [35°C]. The accuracy required is more
precise than the cooling tower can provide. The selected chiller has adequate
capacity, but a maximum leaving-chilled-water temperature of 60°F [15.6°C].
Using a pair of bypass pipes allows the mixing valve to supply the proper
temperature to the process load and maintains acceptable water flow rates
and temperatures through the chiller. In the example shown in Figure 52, the
chiller and process flow rates are equal, although this is not a requirement.
For example, if the chiller had a higher flow rate, more water would bypass
and mix with the warm return water.
Figure 52. Temperatures out of range for equipment
Precise temperature control
An example of a process application layout where the required temperature
control tolerance is more precise than the chiller controls allow is shown in
Figure 53.
For example, when Chiller 2 is turned on, it takes a certain amount of time to
reach its supply-temperature setpoint. The dedicated control valve remains
closed and water is bypassed until Chiller 2 reaches its setpoint, which keeps
the water temperature supplied to the process within tolerance. When Chiller
2 reaches its setpoint, the control valve opens.
This design requires a different chiller-sequencing strategy than the standard
decoupled system. Water must not be allowed to bypass from the return side
to the supply side, since this will cause the temperature of the water supplied
to the process to vary outside the tolerance. Set the system controls to turn
on Chiller 2 before deficit flow occurs.
60°F [15.6°C]
120 gpm
[7.6 L/s]
60°F [15.6°C]
35 gpm [2.2 L/s]
85°F [29.4°C]
120 gpm [7.6 L/s]
Constant Volume
Pump
Process
Load
60°F [15.6°C]
85 gpm
[5.4 L/s]
Chiller
Constant Volume
Pump
120gpm [7.6 L/s]
Mixing
Valve
Bypass
Pipes
95°F [35°C]
85 gpm [5.4 L/s]
95°F [35°C]
120 gpm [7.6 L/s]
95°F [35°C]
35 gpm [2 .2 L/s]
70°F [21.1°C]
120 gpm
[7.6 L/s]

86 Chiller System Design and Control SYS-APM001-EN
System Issues and Challenges
Figure 53. Precise temperature control, multiple chillers
Process
Load
Variable-Speed
Pump
Chiller
2Chiller
1
Control
Valves
Bypass

SYS-APM001-EN Chiller System Design and Control 87
System Controls
Chilled-Water System Control
Chilled water reset—raising and lowering
Many chilled-water plants use chilled water reset, that is, the chiller’s leaving-
water temperature setpoint, in an effort to reduce chiller energy consumption.
This can either be accomplished by the chiller controller or by the system
controller.
Raising the chilled-water temperature reduces chiller energy consumption. In a
constant-volume pumping system, this may reduce overall system energy
consumption as long as humidity control is not lost. Humidity control may be
lost if, as chilled-water temperature is increased, the air temperature leaving the
coil increases to a point where it no longer performs adequate
dehumidification.
In a variable-volume pumping system, however, raising the chilled-water
temperature increases pump energy, often substantially, and typically increases
total system energy. Before considering increased chilled-water temperature,
the system operator should calculate the increased pumping energy and
compare it with the chiller energy savings. It should be noted that ASHRAE/
IESNA Standard 90.1–200720 requires chilled-water reset for constant-volume
systems—with some exceptions—but exempts variable-volume systems from
this requirement for the reasons discussed.
An often overlooked method of decreasing system energy consumption is to
reduce the chilled-water temperature, thereby decreasing pumping energy but
increasing chiller energy. This strategy is possible with adequate chiller capacity
and lift capability. Reducing chilled-water temperature may also improve
dehumidification in the building. Another result of reducing the chilled-water
temperature is increased chiller capacity during times when the condenser
water temperature is cooler than design. This allows more time before another
chiller and its ancillary equipment are started.
Be aware that any change in chilled-water setpoint requires changes to be made
to the system chiller-sequencing algorithms to ensure that system capacity is
met. This added complication may not be warranted.
Chilled-water pump control
In constant flow systems, the pumps are either on or off, providing relatively
constant flow when turned on. In practice, some flow variation will occur as
system pressure drop changes. In a variable-flow system, pump control is most
often performed by maintaining a pressure differential at a selected point in the
system. For example, a variable-speed drive will increase its speed if the sensed
pressure differential is too low, or slow down if the pressure differential is too

88 Chiller System Design and Control SYS-APM001-EN
System Controls
high. The control point is selected to minimize over-pressurizing the system
and to assure adequate flow at all critical loads.
Critical valve reset (pump pressure optimization)
Often, pumps are controlled to maintain a constant-pressure differential at a
remote coil. Unless this coil serves the zone requiring the most pressure (the
critical zone), the pump provides more pressure than necessary and
consumes more power than necessary. Systems that have integrated airside
and chiller plant control systems and contain valves with direct digital
controls present an opportunity for further pump operating-cost reduction. If
a system is monitored to determine the critical valve at each point in time, the
pump’s operating pressure can be reset so that the critical zone’s control
valve is nearly wide open.
Integrated control allows a system-level controller to determine the critical
zone and reset the pump’s setpoint dynamically, therefore reducing pump
operating costs.
Air-handler controllers know the position of their individual valves, which
modulate to maintain the required water flow through the coil. The building
automation system continually monitors the valve controllers, looking for the
most open valve. The controller resets the pump setpoint so that at least one
valve, the one requiring the highest inlet pressure, is nearly wide open. The
result is that the pump generates only enough pressure to get the required
water flow through this “critical” valve, thus saving pumping energy.
Addendum ak to ASHRAE 90.1-2007 now requires pump pressure for many
chilled water systems. It will become part of 90.1-2010.
Number of chillers to operate
Some practitioners believe that operating more chillers at the same time
permits each chiller to operate more efficiently. From a system perspective,
this is rarely true. The chillers are not the sole energy consumers in the
plant—activating a chiller also activates the condenser water pump, perhaps
a chilled water pump, and tower fans. One analysis showed that if all
operating chillers are equipped with variable frequency drives (VFDs), the
only time it makes sense to run more chillers than necessary is if the
condenser water drops below 65°F. Without VFDs on the chillers, the system
never used less energy with the extra chiller operating.

System Controls
SYS-APM001-EN Chiller System Design and Control 89
If the chiller and tower capabilities are conducive to this strategy, the location
and load profile determine if, when, and for how long the right conditions
might occur. Determine the optimum control sequence for the entire plant by
performing a detailed energy analysis of each component. Base the analysis
on realistic load profiles and ambient conditions, and account for the energy
used by all ancillary equipment.
For VPF systems, there will likely not be enough system flow to allow more
chillers than necessary to operate without requiring bypass to stay above the
chillers’ minimum flows.
Condenser-Water System Control
Minimum refrigerant pressure differential
Every chiller requires a certain refrigerant pressure differential between the
evaporator and condenser in order to operate. The chiller must develop its
pressure differential within a manufacturer-specified time or its controls will
shut it off. During some start-up conditions, this pressure differential may be
hard to produce within the time limitation.
An example of such a condition is an office building that has been
unoccupied during a cool, clear, fall weekend. The tower sump water is at
40°F [4.4°C]. Monday is sunny and warm, which requires a chiller to be turned
on. Since the chiller is lightly loaded and the tower sump is large, the
pressure differential cannot be reached before the chiller turns off. If the
condenser flow rate for a given chiller can be reduced, this scenario is less
likely to occur. The lower flow rate increases the leaving condenser-water
temperature, which increases the condenser-refrigerant temperature and
refrigerant pressure.
Table 17. VFDs and centrifugal chillers performance at 90% load
ECWT 2 Chillers* 1 Chiller Difference
85°F 306.4 268.0 -38.4
80°F 268.0 238.0 -30.0
75°F 230.8 210.6 -20.2
70°F 195.2 185.7 -9.5
65°F 160.3 164.3 +4.3
Note: Data shows only chiller power.
* Load equally divided.

90 Chiller System Design and Control SYS-APM001-EN
System Controls
The flow reduction options include:
• Cooling tower bypass
• Chiller bypass
• One or two throttling valves in the condenser-water pipe with the pump
riding its curve
• A variable-speed condenser water pump
After the minimum-pressure differential is reached, the flow may be
increased as long as that minimum-pressure difference is maintained. Some
designers and operators become concerned with possible fouling of
condenser-water tubes during these start-up conditions. There is little to fear
due to the short duration of reduced flow operation and the limited
occurrences. The advantages and disadvantages of these options are
discussed in a variety of publications.36,37
Condenser-water temperature control
Cooling-tower-fan control
Cooling towers operate to produce a desired sump water temperature. As the
heat rejection load and ambient wet-bulb temperature change, the cooling
tower fans must move more or less air to produce the desired water
temperature.
Cycling a single fan. Cycling a single fan on and off is one method to
maintain rough water temperature control. Since airflow changes greatly
between fan speeds, so does heat rejection. Temperature swings of 7°F to
10°F [3.9°C to 5.6°C] are not uncommon. Some chillers, especially older
chillers with pneumatic controls, may operate poorly in response to these
changing temperatures. Make sure that the fan does not cycle too often and
damage the motor, drive, or fan assembly.
Two-speed fans. The installation of two-speed cooling tower fans is an
option that reduces temperature swings. Typically, the low fan speed is
between 50 and 70 percent of full speed. Since the heat rejection changes
roughly in proportion with the fan speed, the temperature swing will be only
50 to 75 percent of cycling a single fan. Again, take care not to cycle too often
between speeds—or the gear box may incur excessive wear and fail. A
distinct advantage of two-speed fans is that at low speed, the fan power is
greatly reduced. Since the fan power varies with the cube of the speed
(approximately) the power at half speed is about 15 percent of full speed.
“Pony” motors. Another option offered by cooling-tower manufacturers is to
have two separate motors available to drive the fan. The smaller motor is
referred to as a “pony” motor. It operates at two-thirds of the full speed and
uses about 30 percent of the full speed power. While controlling the tower, it
is important to minimize cycling between speeds.
Variable-speed drives. Because the cost of variable-speed drives for cooling-
tower fans has decreased, variable-speed drives have become more

System Controls
SYS-APM001-EN Chiller System Design and Control 91
prevalent than either two-speed fans or pony motors. Using variable-speed
drives on cooling-tower fans offers two distinct benefits. First, the tower-
water-temperature control is extremely good. Second, the fan power varies
with the cube of the speed, so there is great potential for energy savings.
Variable-speed drives also allow the fan speed to be changed without fear of
gear box or motor wear. They may also offer acoustical advantages by
significantly lowering sound power at reduced speeds. Variable-speed drives
are also applicable to existing chilled-water systems.
Chiller–tower energy balance
The subject of condenser-water temperature control has been studied by a
number of people. In recent years, Braun and Didderich38; Hydeman,
Gillespie, and Kammerud39; and Schwedler40 have all independently noted
that balancing chiller and cooling-tower energy is important. Hydeman, et al.,
showed that at various loads and ambient conditions, the optimal condenser-
water temperature for a specific chilled-water system depends on both chiller
load and ambient conditions (see Figure 54). All the studies showed that
during many points of operation, the optimal condition is not the lowest
water temperature the cooling tower can produce. It is important for the
system designer and operator to examine the use of system-level controls to
set the tower-sump temperature setpoint to reduce the sum of chiller-plus-
tower energy. This optimal chiller-tower control can be automated by a
chiller-plant management system.
Figure 54. Chiller-tower energy consumption
Figure 54 from Hydeman, et al., used with permission.
Coldest condenser water that the
tower can produce at this load and
wet-bulb temperature
Highest cooling capacity
available at this condenser-
water temperature
1,650 tons [5,803 kw]
65°F [18.3°C] wet bulb
1,160 tons [4,080 kw]
59°F [15°C] wet bulb
730 tons [2,567 kw]
54°F [12.2°C] wet bulb

92 Chiller System Design and Control SYS-APM001-EN
System Controls
Variable condenser water flow
Chiller-tower-pump balance
There are times when a system designer may choose to vary the condenser
water flow in addition to, or instead of, the cooling-tower fan speed. This may
be beneficial in systems with high pumping power. If a variable-speed drive
is installed, the flow may be reduced and the pump power can be reduced
substantially—approximately with the cube of the speed. Attempting to vary
both the pump and the tower fan speeds is complex and requires adequate
time for design and implementation.
Keep the flow through the condenser above the minimum allowable flow rate
for the chiller’s condenser. The operator should regularly log the condenser
approach temperature (the temperature difference between the condenser’s
refrigerant temperature and the condenser-water leaving temperature) to
ensure that the tubes are not becoming fouled. The approach temperature
may be monitored using a chiller plant management system.
Tower and/or tower nozzle design can affect the allowable condenser-water
flow. If the flow drops below the manufacturer’s specified limit, the water is
no longer evenly distributed over the tower fill. This results in a decrease in
cooling-tower heat-transfer effectiveness. In extreme cases, it can also result
in water freezing in the cooling tower. If variable tower flow is a
consideration, contact the cooling-tower manufacturer to determine the flow
limit and possibly choose nozzles or cooling-tower configurations that can
handle variable-water flow.
Most water-cooled, chilled-water systems use a constant condenser water
flow rate. However, the condenser water flow rate can be varied between the
minimum and maximum flows allowed for the specific chiller (refer to
product catalog or selection program).
But reducing the condenser water flow rate affects the power consumption of
the pumps, chiller, and cooling tower, as described below:
•Condenser water pump: Pump power is reduced because both the flow
rate and the pressure drop through the piping and condenser are
reduced.
•Chiller: Compressor power is increased because, as the flow rate
decreases, the temperature of the water leaving the condenser increases.
At a given load, this increases the compressor lift and, therefore, its
energy use.
•Cooling tower: As explained above, the temperature of the water
returning to the cooling tower is warmer. This increases the effectiveness
of the heat exchanger. But the water flow rate is decreased, which can
either improve or reduce the effectiveness of the cooling tower. So, for a
given load, reducing the flow rate through the cooling tower sometimes
decreases and sometimes increases energy use.

System Controls
SYS-APM001-EN Chiller System Design and Control 93
These three energy consumers must be balanced to minimize overall energy
use. This makes varying condenser water flow complex, but the strategy
below has been implemented on projects.
Control of the condenser water pumps and cooling tower fans is based on
chiller load, which is calculated using the chilled-water flow rate and
temperature differential. When the chiller load is less than 80 percent, the
control system varies the speeds of both the cooling tower fan and
condenser-water pump in proportion to chiller load, until the minimum
allowable condenser-water flow rate is reached. As chiller load decreases
further, the condenser-water pump remains at the minimum speed, while the
cooling tower fan speed continues to decrease.
Figure 55. Effect of chiller load on water pumps and cooling tower fans
The minimum allowable condenser water flow rate is the highest of the
following:
• Minimum water flow rate required through the chiller condenser (consult
chiller manufacturer)
• Minimum water flow rate required through the cooling tower fill (consult
cooling tower manufacturer)
• Minimum water flow rate required to properly cool the pump motor
(consult pump manufacturer)
• Minimum water flow rate that produces enough pressure to overcome
the static lift from the base of the cooling tower to the top of the tower
Decoupled condenser-water system
To overcome possible problems with variable-water flow across a cooling
tower, some designers decouple the condenser-water system as shown in
Figure 56. This arrangement allows energy optimization through a reduction
of pumping power without excessively complicating the system. Because
cooling towers work best with full water flow over the transfer media, a
pump speed
chiller load
fan speed
0
20
40
60
80
100
10 20 30 40 50 60 70 80 90 100
speed, %
chiller load, %
20
40
60
80
100
chiller load, %
The June 2006 ASHRAE Journal article,
“Prescription for Chiller Plants,” (Baker,
Roe, and Schwedler) details a chilled-
water plant with variable-speed
condenser water pumps.

94 Chiller System Design and Control SYS-APM001-EN
System Controls
separate wetting (recirculation) pump provides a constant flow of water
through the tower. This is a low-energy pump, as very little lift is required.
Dedicated, variable-flow condenser pumps (CDWP-1 and CDWP-2) permit a
reduction in the pumping energy whenever the temperature of condenser
water results in an unproductive reduction of condenser refrigerant pressure.
While the number of dedicated pumps may seem complicated at first,
remember the number of valves and controls that are eliminated.
Figure 56. Decoupled condenser-water system
Cooling Tower Fan (Inverter)
Cooling
Tow e r
Water Sump
Tow e r Wa t e r
Recirculation
Pump
Chiller 2
Chiller 1
(Inverter)
(Inverter)
CDWP-1
CDWP-2

System Controls
SYS-APM001-EN Chiller System Design and Control 95
Failure Recovery
With all the varied approaches available to potential customers, it sometimes
seems that the main idea gets lost. People purchase chilled-water plants to
reliably produce chilled water to satisfy another need, such as comfort or
process cooling. Therefore, when the plant operates there must be a process
in place to recover from the failure of a chilled- or condenser-water pump,
cooling tower, or chiller. Failure recovery should be integral to the chilled-
water plant control system. Refer to Figure 57. If the control sequence tries to
start Chiller 2 and its pump, but the pump has an electrical malfunction, the
sequence should immediately lock out Chiller 2 and its pump. The control
system should then automatically attempt to start Chiller 3 and its pump. At
the same time, the control system should send a pump malfunction alarm to
the system operator.
Figure 57. Failure recovery
Chiller 3 Start
Chiller 2 Unavailable
Chiller 1 Running
Bypass Line
Return Supply

96 Chiller System Design and Control SYS-APM001-EN
Conclusion
It is vital to have a clear understanding of chilled-water system concepts and
their application. There is nothing particularly complex about the principles
involved. Instead, system design is simply a matter of exercising a few key rules
of applied physics.
A myriad of choices are available for the design and operation of chilled-water
systems. These choices include flow rates, temperatures, system
configurations, and control options. After determining the needs and wants of
the building owner and chiller plant operator, judicious use of these choices
allows designers to provide solutions that add real value. When applying the
principles in this manual, it is important to remember the following rules:
Rule 1. Strive for simplicity. Simple does not always mean using the fewest
components. Simplicity is usually elegant in its ability to be universally
understood.
Rule 2. If the system designer can explain how a design works, there is a good
chance that the system will function well. If the designer can’t explain how the
design works, there is no chance that the system will operate efficiently.
Rule 3. If the system operator understands the designer’s explanation of how
the system works, there is a good chance that the system will work. If the
system operator doesn’t understand the explanation, there is no chance that
the system will operate efficiently.

SYS-APM001-EN Chiller System Design and Control 97
Glossary
ASHRAE. American Society of Heating, Refrigerating, and Air-Conditioning
Engineers (www.ashrae.org).
building automation system (BAS). A centralized control and monitoring
system for a building.
chilled water. Also known as leaving-chilled-water or leaving-evaporator-water;
chilled water is the cold water produced by the chiller (flowing through the tube
bundle in the evaporator) and pumped to the air handler coils throughout the
building. Within the evaporator, refrigerant surrounds the tube bundle and
accepts heat from the return chilled water.
chiller. An air-conditioning system that circulates chilled water to various
cooling coils in an installation.
coil. An evaporator or condenser made up of tubing either with or without
extended surfaces (fins).
condenser. The region of the chiller where refrigerant vapor is converted to
liquid so that the temperature and pressure can be decreased as the refrigerant
goes into the evaporator.
condenser relief. The heat sink temperature difference from design outdoor air
temperature for air-cooled equipment and design cooling water temperature for
water-cooled equipment. This term is used to quantify the effect of condensing
temperature on the power consumed by cooling equipment.
condenser water, leaving. See cooling water.
cooling tower water. See cooling water.
cooling water. Also known as tower water, leaving-cooling water, leaving-
condenser water, entering-absorber water, condenser-absorber water, entering-
cooling water, or cooling tower water; obtained from the source (tower, river,
pond, etc.) to which heat is rejected, flows through the tubes that run through
the absorber and the condenser, and is returned to the source.
In electrically driven chillers, the cooling water picks up heat only from the
condenser. In an absorption chiller, the cooling water also has to pick up heat
from the absorber. The water typically flows from the source at 85°F [29.4C],
first to the absorber and then to the condenser (series flow). Associated water
temperatures are referred to as entering-absorber-water temperature (or
leaving-tower-water temperature) and leaving-condenser-water temperature (or
entering-tower-water temperature).

98 Chiller System Design and Control SYS-APM001-EN
Glossary
COP. Coefficient of Performance; cooling effect divided by heat input
(dimensionless); the reciprocal of efficiency.
direct digital control. Programming used by building control systems to
control variable outputs, such as valves or actuators. In the HVAC industry,
DDC means direct digital control by a microprocessor controller with no
intermediate device.
evaporator. The region in the chiller where the system chilled water is
continuously cooled down by flashing the refrigerant to vapor in a deep
vacuum as it picks up heat from the returning system water.
fouling. Deposits of foreign material in the water side of tubing in
refrigeration condensers or chillers that affect the transfer of heat.
heat exchanger. A device used to transfer heat between two physically
separated fluids.
heat transfer. The movement of heat from one body or substance to another.
The three methods of heat transfer are conduction, convection, and radiation.
load. Any one of several output devices that are to be controlled by a
building management panel.
mechanical-compression refrigeration cycle. The electrically driven chiller
makes use of an electric motor, driving a compressor to produce chilled
water for cooling. It does this via a mechanical process that uses a refrigerant
for a working fluid. Inside the vessel are pressure and temperature
differentials, where heat is absorbed at a low temperature and then rejected
at a higher temperature.
psychrometric chart. A chart that shows the relationship between the
temperature, pressure, and moisture content of the air.
psychrometric measurement. The measurement of temperature, pressure,
and humidity of air using a psychrometric chart.
pumps (system)
chilled water. Circulates the chilled water through the evaporator
section of the chiller and then through the building coils.
cooling water. Circulates the cooling water from the source through
the chiller, condenser, and back to the source.
shell-and-tube. A designation for a type of heat exchangers consisting of a
tube bundle within a shell or casing. Often used in chiller condensers and
evaporators.
shell-and-tube flooded evaporators. Evaporators that use water flow through
tubes built into a cylindrical evaporator with refrigerant on the outside of the
tubes.

Glossary
SYS-APM001-EN Chiller System Design and Control 99
temperature, ambient. The temperature of the air surrounding the object
under consideration.
temperature, wet-bulb. A measure of the degree of moisture in the air. It is
the temperature of evaporation for an air sample, measured with a
thermometer that has its bulb covered by a moistened wick.
tower water. See cooling water.
three-way valve. A flow-control valve with three fluid-flow openings. It
controls constant flow through or around the load.
two-way valve. A flow-control valve with two fluid-flow openings.
valve, throttling. A small valve used primarily in gauge lines to shut off the
line between readings, and to throttle the line to prevent fluctuations during
readings.

100 Chiller System Design and Control SYS-APM001-EN
References
1Webb, R.L. and W. Li. “Fouling in Enhanced Tubes Using Cooling Tower
Water, Part I: Long-Term Fouling Data.” International Journal of Heat and
Mass Transfer 43, no. 19 (October 2000): 3567-3578.
2Schwedler, M. and B. Bradley. “An Idea for Chilled-Water Plants Whose
Time Has Come...Variable-Primary-Flow Systems,” Engineers Newsletter
28, no. 3 (1999), Trane.
3American Society of Heating, Refrigerating, and Air-Conditioning
Engineers. ASHRAE HVAC Systems and Equipment Handbook, Chapter
12, “Hydronic Heating and Cooling System Design” and Chapter 39,
“Cooling Towers.” ASHRAE, 2008.
4American Society of Heating, Refrigerating, and Air-Conditioning
Engineers. ASHRAE Standard 147-2002: Reducing the Release of
Halogenated Refrigerants from Refrigeration and Air-Conditioning
Equipment and Systems. ASHRAE, 2002.
5Air-Conditioning, Heating, and Refrigeration Institute. ARI Standard 550/
590–2003: Performance Rating of Water Chilling Packages Using the
Vapor Compression Cycle. AHRI, 2003.
6American Society of Heating, Refrigerating, and Air-Conditioning
Engineers. ASHRAE Guideline 22: Instrumentation for Monitoring Central
Chilled-Water Plant Efficiency. ASHRAE, 2008.
7American Society of Heating, Refrigerating, and Air-Conditioning
Engineers. ASHRAE Standard 140-2007: Standard Method of Test for the
Evaluation of Building Energy Analysis Computer Programs. ASHRAE,
2007.
8American Society of Heating, Refrigerating, and Air-Conditioning
Engineers. ASHRAE GreenGuide: The Design, Construction, and
Operation of Sustainable Buildings. 2nd ed. ASHRAE, 2006.
9Air-Conditioning, Heating, and Refrigeration Institute. ARI Standard 560–
1992: Absorption Water Chiller and Water Heating Package. AHRI, 1992.
10 Kelly, D.W. and T. Chan. “Optimizing Chilled-Water Plants.” Heating/
Piping/Air Conditioning (January 1999): 145-7.
11 Schwedler, M. and A. Nordeen. “Low Flow Works for Absorbers Too!”
Contracting Business (November 1998): 108-112.
12 Demirchian, G.H. and M.A. Maragareci. “The Benefits of Higher
Condenser-Water T at Logan International Airport Central Chilled-Water
Plant.” IDEA 88th Annual Conference Proceedings (1997): 291–300.
13 Eley, C. “Energy Analysis–Replacement of Chillers for Buildings 43, 47,
and 48.” Eley Associates, CA, April 1997.
14 Coad, W.J. “A Fundamental Perspective on Chilled-Water Systems,”
Heating/Piping/Air Conditioning (August 1998): 59-66.

References
SYS-APM001-EN Chiller System Design and Control 101
15 Bahnfleth, W. and E. Peyer. “Comparative Analysis of Variable and
Constant Primary-Flow Chilled-Water-Plant Performance.” HPAC
Engineering (April 2001).
16 Houghton, D. “Know Your Flow—A Market Survey of Liquid Flow Meters.”
E SOURCE Te ch U p da t e TU-96-3 (March 1996).
17 Taylor, S.T. “Primary-Only vs. Primary-Secondary Variable Flow Systems.”
ASHRAE Journal (February 2002).
18 Kreutzmann, J. “Campus Cooling: Retrofitting Systems.” HPAC
Engineering (July 2002).
19 Groenke, S. and M. Schwedler. "Series-Series Counterflow for Central
Chilled Water Plants." ASHRAE Journal 44, no. 6 (June 2002): 23-29.
20 American Society of Heating, Refrigerating, and Air-Conditioning
Engineers and the Illuminating Engineering Society of North America.
ASHRAE/IESNA Standard 90.1–2007 : Energy Standard for Buildings
Except Low-Rise Residential Buildings. ASHRAE and IESNA, 2007.
21 Trane Applications Engineering Group. Waterside Heat Recovery in HVAC
Systems. Applications Engineering Manual. Trane, 2003 (SYS-APM005-
EN).
22 Schwedler, M. “Waterside Heat Recovery.” Engineers Newsletter 36, no. 1
(February 2007), Trane. (ADM-APN023-EN)
23 Hanson, S. “Free Cooling Using Water Economizers.” Engineers
Newsletter 37, no. 3 (September 2008), Trane. (ADM-APM029-EN)
24 Landman, W. “Two Good Old Ideas Combine to Form One New Great
Idea.” Engineers Newsletter 20, no. 1 (1991), Trane.
25 Eppelheimer, D. and B. Bradley. “Chilled-Water Plants and…Asymmetry
as a Basis of Design.”Engineers Newsletter 28, no. 4, (October 1999),
Trane.
26 Landman, W. and B. Bradley. “Off-Design Chiller Performance.” Engineers
Newsletter 25, no. 5 (December 1996), Trane.
27 Avery, G. “Controlling Chillers in Variable-Flow System.” ASHRAE Journal
(February 1998): 42-45.
28 Kirsner, W. “The Demise of the Primary-Secondary Pumping Paradigm for
Chilled-Water Plant Design.” Heating/Piping/Air Conditioning (November
1996).
29 Taylor, S.T. “Degrading Delta-T in New and Existing Chilled Water
Plants.”Cool $ense National Forum on Integrated Chiller Retrofits,
Lawrence Berkeley National Laboratory and Pacific Gas & Electric
(September 1997).
30 Schwedler, M. and D. Brunsvold. Absorption Chiller System Design.
Applications Engineering Manual. Trane, 1999. (SYS-AM-13)
31 Trane Applications Engineering Group. “Thermal Storage –
Understanding Its Economics.” Ice Storage Systems, Engineered Systems
Clinics. Trane, 1991. (ISS-CLC- 1)

102 Chiller System Design and Control SYS-APM001-EN
References
32 Trane Applications Engineering Group. “Thermal Storage –
Understanding the Choices.” Ice Storage Systems, Engineered Systems
Clinics. Trane, 1991. ( ISS-CLC-2)
33 Trane Applications Engineering Group. “Thermal Storage –
Understanding System Design.” Ice Storage Systems, Engineered
Systems Clinics. Trane, 1991. (ISS-CLC- 3)
34 Trane Applications Engineering Group. “Thermal Storage–Understanding
Control Strategies.” Ice Storage Systems, Engineered Systems Clinics.
Trane, 1991. (ISS-CLC-4)
35 Solberg, P. “Ice Storage as Part of a LEED® Building Design.” Engineers
Newsletter 36, no. 3. (September 2007), Trane. (ADM-APN025-EN)
36 Trane CenTraVac Group. “Condenser-Water Temperature Control for
CenTraVac™ Centrifugal Chiller Systems.” Engineering Bulletin. Trane,
May 1997. (CTV-PRB006-EN)
37 Trane Engineers. “Water-Cooled Series R Chiller - Models RTHB & RTHC
Condenser Water Control.” Engineering Bulletin. Trane, August 1999.
(RLC-EB-4)
38 Braun, J.E. and G.T. Diderrich. “Near Optimal Control of Cooling Towers
for Chilled-Water Systems.” ASHRAE Transactions 96, no. 2 (1990): 806-13.
39 Hydeman, M., K. Gillespie, and R. Kammerud. “CoolTools Project: A
Toolkit to Improve Evaluation and Operation of Chilled Water Plants.” Cool
$ense National Forum on Integrated Chiller Retrofits. Lawrence Berkeley
National Laboratory and Pacific Gas & Electric (September 1997).
40 Schwedler, M., and B. Bradley. “Tower Water Temperature–Control It
How???” Engineers Newsletter 24, no. 1 (1995), Trane.

SYS-APM001-EN Chiller System Design and Control 103
Index
A
absorption refrigeration 98
ASHRAE
GreenGuide 27, 29, 33
Guideline 22 25
B
bypass flow control 63
bypass locations 62
bypass valve 8
C
campus pumping arrangements 49
centrifugal chiller capacity control 16
check valves 46
chilled water
flow rate 3, 27, 29
temperature 3, 27
chilled-water distribution system 10
chilled-water pump 10
chilled-water pump control 87
chilled-water reset 87
chilled-water systems
configurations 42
control 87
large 22
mid-sized 21
overview 1
parallel arrangement 42
performance testing 24
plant expansion 83
series arrangement 44
series-counterflow 77
series-series counterflow 77
small 18
variations 70
water temperatures 28
chiller range
applications outside 84
chillers
centrifugal 16
number of 20
overview of 1
unequal sizing 78
condenser 97
air-cooled 5
air-cooled vs water-cooled 5
flow rate 4, 29
free cooling or water economizer 70
water temperature 4, 29
water-cooled 4
condenser-water pumping arrangements 14
condenser-water system 13
condenser-water system control 89
condenser-water temperature control 90
condenser-water temperatures 29
condensing method 19
configurations
parallel or series 20
constant flow 19
constant-flow system 12
contingency plan 81
control 15
flow-based 51

104 Chiller System Design and Control SYS-APM001-EN
Index
controls
chilled-water system control 87
condenser-water system control 89
direct-digital 24
managing control complexity 21
programmable-logic 24
cooling tower 13, 97
cooling water 97
cost implications 38
D
dampers 9
decoupled systems 45
condenser water system 93
double-ended 52
distribution
piping 11
pumps 48
district cooling 22
double-ended decoupled systems 52
E
energy
alternative sources 82
equalized loading 21
evaporator 98
effect of chilled-water flow rate 3
effect of chilled-water temperature 3
overview 2
F
face-and-bypass dampers 9
failure recovery 95
fanssingle 90
two-speed 90
flowconstant 19
standard rating flow conditions 29
variable 19
flow measurement 62
flow rates 27, 29
chilled water 3
guidance 27
low flow 34
misconceptions 39
selecting 30
flow-based control 51
fluid in the loop 79
free cooling 70, 71
H
heat exchanger 98
heat recovery 70
hydraulic decoupling 45
L
lake water 72
large chilled-water systems 22
loadpart-load operation 20
loading
equalized 21
preferential 21, 73

Index
SYS-APM001-EN Chiller System Design and Control 105
loads
overview 7
low T syndrome 79
low flow
cooling-tower options 34
misconceptions 39
M
manifolded pumps 11, 14
mechanical-compression refrigeration 98
mid-sized chilled-water systems 21
minimum pressure differential 89
monitoring
system efficiency 25
motors
pony 90
P
parallel arrangement 73
parallel chillers 42
parallel configuration 20
part-load system operation 20
performance testing 24
pipe size 23
piping
distribution 11
plant expansion 83
plate-and-frame heat exchanger 70
pony motors 90
preferential loading 21, 73
series arrangement 76
pressure differential 89
primary-secondary systems 13, 45
production pumps 47
pumping arrangements 12, 14, 49
campus 49
common 49
tertiary 49
pumps 98
arrangements 12, 14, 49
chilled water 10
control 87
distribution 48
manifolded 11, 14
production 47
variable-speed 9
R
refrigerant migration 71
retrofit opportunities 37, 84
river water 72
S
sequencing options 21
series arrangement 76
series chillers 44
series configuration 20
series-counterflow application 77
series-series counterflow 77
sidestream arrangement 74
sidestream heat recovery 75
sidestream plate-and-frame heat exchanger 74
sizing
unequal chiller sizing 78
small chilled-water systems 18

106 Chiller System Design and Control SYS-APM001-EN
Index
standard rating flow conditions 29
standard rating temperatures 28
system configurations 42
system control 87
system controls 87, 89
system design options 27
system issues and challenges 79
T
temperature
chilled water 3, 27, 28
condenser water 27, 29
control 85
out of range 85
standard rating 28
tertiary pumping arrangements 49
thermal storage 83
three-way valve 8
two-speed fans 90
two-way valve 8
U
unequal chiller sizing 78
unit-level control 15
V
valves
check valves 46
three-way valve 8
two-way valve 8
variable condenser water flow 92
variable flow 19
variable primary flow
advantages of 56
chiller sequencing 63
guidelines 68
plant configuration 67
systems 13
variable-speed drives 90
variable-speed pump 9
W
water economizer 70
water temperatures 27, 28
coil response to 33
well, river, or lake water 72
wild coil 9

Tr a n e
www.trane.com
For more information, contact your local Trane
office or e-mail us at comfort@trane.com
Literature Order Number SYS-APM001-EN
Date May 2009
Supersedes SYS-APM001-EN
Trane has a policy of continuous product and product data improvement and reserves the right to
change design and specifications without notice.