Whirlpool Et14Hjxdn01 Users Manual
2015-01-23
: Whirlpool Whirlpool-Et14Hjxdn01-Users-Manual-305305 whirlpool-et14hjxdn01-users-manual-305305 whirlpool pdf
Open the PDF directly: View PDF
.
Page Count: 64
- front cover
- table of contents
- a note to you
- refrigerator safety
- parts and features
- before using your refrigerator
- using your refrigerator
- setting the control
- adjusting the refrigerator shelves
- removing the meat drawer and cover
- removing the crisper and crisper cover
- removing the freezer shelf
- using the ice cube trays
- using the optional automatic ice maker
- attaching the ice maker to a water supply
- changing the light bulb
- understanding the sounds you may hear
- saving energy
- reversing the door swing
- caring for your refrigerator
- food storage guide
- troubleshooting
- requesting assistance or service
- warranties
- (French Version)
- table des matieres
- veuillez noter
- securite du refrigerateur
- pieces et caracteristiques
- avant l'utilisation du refrigerateur
- utilisation du refrigerateur
- reglage de la commande
- reglage des clayettes du refrigerateur
- retrait du bac a viande et du couvercle
- retrait du bac a legumes et du couvercle
- retrait de la clayette du congelateur
- utilisation des plateaux a glacons
- utilisation de la machine a glacons automatique optionnelle
- raccordement de la machine a glacons a la canalisation d'eau
- remplacement des ampoules electriques
- les bruits de l'appareil
- conseils pour economiser l energie
- inversion du sens d'ouverture des portes
- entretien du refrigerateur
- conservation des aliments
- depannage
- appel d'aide ou de service
- garantie
- (Spanish Version)
- indice
- seguridad del refrigerador
- partes y caracteristicas
- antes de usar su refrigerador
- como usar su refrigerador
- como poner en posicion los controles
- como quitar las parrillas del refrigerador
- como quitar el cajon para carne y la tapa
- como quitar el cajon para legumbres y la tapa
- como quitar la parrilla del congelador
- uso de las charolas para hielo
- como usar la fabrica de hielo automatica opcional
- conexion de la fabrica de hielo al suministro de agua
- como cambiar los focos
- sonidos provenientes de su refrigerador
- ahorro de energia
- como cambiar la abertura de la puerta
- cuidado de su refrigerador
- guia para la conservacion de los alimentos
- localizacion y reparacion de averias
- garantia
- back cover

USE AND CARE GUIDE
GUIDE D’UTILISATION ET D’ENTRETIEN
MANUAL DE US0 Y MANEJO
14’ NO-FROST
TOP FREEZER REFRIGERATOR
RcFRIGiRATEUR-CONGiLATEUR
SANS GIVRE DE 14 PI
REFRIGERADORES QUE NO HACEN
ESCARCHA DE 396 DM3 (14 PIES3) ‘/q5

Table of
Contents
Page
A
Note
to You.. .......................................................... 1
Refrigerator Safety ................................................... 2
Parts and Features ................................................... 3
Before Uslng Your Refrigerator ............................. 4
Uslng Your Refrigerator.. ......................................... 5
Setting the control ................................................ 5
Adjusting the refrigerator shefves.. ....................... 6
Removing the meat drawer and cover ................. 6
Removing the crisper(s) and crisper cover .......... 7
Removing the freezer shelf .................................. 7
Using the ice cube trays.. ..................................... 6
A Note to You
Page
Using the optional automatic ice maker ............... 6
Attaching the ice maker to a water supply .......... .9
Changing the light bulb ......................................
11
Understanding the sounds you may hear .......... 12
Saving energy .................................................... 12
Reversing the door swing .................................. 12
Caring for Your Refrigerator.. ................................ 13
Food Storage Guide ............................................... 15
Troubleshootlng ..................................................... 16
Requesting Assistance or Service.. ...................... 17
Warranties ............................................................... 20
Thank you for buying a Whirlpool0 appliance.
Because your life is getting busier and more complicated, Whirlpool Refrigerators are easy to use, save time, and
help you manage your home better. To ensure you enjoy years of trouble-free operation, we developed this Use
and Care Guide. It contains valuable infomration about how to operate and maintain your appliance properly and
safely. Please read it carefully. Also, please complete and mail the Ownership Registration Card provided with
your appliance. This card helps us notify you about any new information on your appliance.
Please record your model’s information.
Whenever you call to request service on your appli- Model
Number
ante, you need to know your complete model number
and serial number. You can find this information on the Serial Number
model and serial number label (see diagram on page 3
for location of label). Purchase Date
Please also record the purchase date of your appli-
ance and your dealer’s name, address, and telephone Dealer
Name
number. Dealer Phone
Keep this book and the sales slip together in a safe place for future reference.
Our Consumer Assistance Center number is toll-
free from anywhere in the U.S.A. 24 hours a day.
1-800-253-1301
1

Refrigerator Safety
Your safety is important to us.
This guide contains statements under warning sym-
bols. Please pay special attention to these symbols
and follow any instructions given. Here is a brief
explanation of the use of the warning symbol. This symbol alerts you to such dangers as
personal injury, burns, fire, and electrical shock.
IMPORTANT SAFEW INSTRUCTIONS
To reduce the risk of fire, electrical shock, or Injury when using your
refrigerator, follow these basic precautions:
l
Read all instructions before using the refrigerator. eNever allow children to operate, play with, or
l
Child entrapment and suffocation are not problems crawl inside the refrigerator.
of the past. Junked or abandoned refrigerators are
l
Never clean refrigerator parts with flammable
still dangerous . . . even if they will “just sit in the fluids. The fumes can create a fire hazard or
garage a few days.” explosion.
If you are getting rid of your old refrigerator, do
it safefy. Please read the enclosed safety booklet
from the Association of Home Appliance Manufac-
turers. Help prevent accidents.
l
FOR YOUR SAFETY
l
DO NOT STORE OR USE GASOLINE OR OTHER
FLAMMABLE VAPORS AND LIQUIDS IN THE
VICINITY OF THIS OR ANY OTHER APPLIANCE.
THE FUMES CAN CREATE A FIRE HAZARD OR
EXPLOSION.
I
- SAVE THESE INSTRUCTIONS -
Help us help you
Please:
l
Install and level the refrigerator on
a
floor that will
hold the weight and in an area suitable for its size
and use.
l
Do not install the refrigerator near an oven, radiator,
or other heat source.
l
Do not use the refrigerator in an area where the
room temperature will fall below 55°F (13°C).
l
Keep the refrigerator out of the weather.
l
Connect the refrigerator only to the proper kind of
outlet, with the correct electrical supply
and
ground-
ing. (Refer to the Electrical Requirements and
Grounding Instructions Sheet.)
l
Do not load the refrigerator with food before it has
time to get property cold.
l
Use the refrigerator only for the uses described in
this manual.
l
Properly maintain the refrigerator.
l
Be sure the refrigerator is not used by anyone
unable to operate it properly.
2

Parts and Features
This section contains captioned illustrations of your appliance. Use them to become familiar with where all parts
and features are located and what they look like. Page references are included for your convenience.
NOTE: Your model may have all or some of the parts and features shown, and they may not match the illustration
exactly. This manual Covers several models. -
Adjustable freezer shelf
(partial shelf on some models)
Temperature
;,;n:;o’\
Model and serial
number label -
(on side wall)
(P. 1)
(P. 6)
Plastk
crisper cover H
(glass on some
models)
(P. 7)
Leveling rollers
(not shown)
(P- 5)
ib. 7) I
Door shelves
Magnetic
door gaskets
Llght awitch
Dairy
compartment
- Meat drawer cover
(solid plastic)
(P. 6)
>
Door shelves
- Crisper drawer0
(full-width drawer on
some models)
(P. 7)
Control Panel
Temperature control Light switch
3

It is important to prepare your refrigerator for use. This section tells you how to clean it, connect it to a power
source, install it, and level it.
Cleaning your refrigerator
Removing packaging materials
Remove tape and any inside labels (except the model
and serial number label) before using the refrigerator.
To remove any remaining tape or label glue:
l
Rub briskly with thumb.
OR
l
Appty liquid hand-dishwashing detergent to area
before removing glue as described above. Do not use
sharp instruments, rubbing alcohol, flammable fluids,
or abrasive cleaners. These can damage the material.
See ‘Important Safety Instructions” on page 2.
NOTE:
Do not remove
any
permanent instruction
labels inside your refrigerator. Do not remove the Tech
Sheet fastened under the refrigerator at the front.
Cleaning it before use
After removing all packaging materials,
clean your refrigerator before using it, if
necessary. See cleaning instructions on
page 13.
Plugging it in
Recommended Grounding Method
A 115 Volt, 60 Hz., AC only 15 or 20 ampere fused and
property grounded electrical supply is required. It is
recommended that a separate circuit serving only this
appliance be provided. Use a receptacle which cannot
be turned off with a switch or pull chain. Do not use an
extension cord. See Electrical Requirements and
Grounding Instructions Sheet in your Literature
Package.
&prong grounding
type wall receptacle
Refrigerator
power cord
Installing it properly
1.
Allow YZ inch (1.25 cm) space on each side and 3
inches (7.6 cm) at the top of the refrigerator for ease
of installation and proper air circulation.
2. If the hinge side of the refrigerator is to be against a
wall, you might want to leave extra space so the
door can be opened wider.
3. Allow at least 1 inch (2.5 cm) between the refrigera-
tor condenser on the back and the wall.
4. Level your refrigerator.
4

Leveling it
Your refrigerator has 2 front, adjustable rollers to
prevent rocking on uneven floors.
To adiust rollers: I I Use a mcrew-
1.
2.
3.
Roll refrigerator into position.
Adjust rollers by turning the leveling screws
located at the front of the base.
l
Turn clockwise to raise.
l
Turn counterclockwise to lower.
NOTE: Rollers are adjusted correctly when the
refrigerator no longer rocks when the doors are
opened or closed.
Repeat this procedure whenever the refrigerator
is moved.
NOTE:
If you want the doors to close easier, use the
rollers to raise the front of the refrigerator slightly.
Using Your Refrigerator
To obtain the best possible results from your refrigerator, it is important that you operate it properly. This section
tells you how to set the control, remove, and adjust the features in your refrigerator,
and how
to save energy.
Setting the control
The control for the refrigerator and freezer is in the
refrigerator. When you plug in the refrigerator for the
first time:
l
Set the Temperature Control to 3 (normal).
Temperature Control adjustments range from
1 (warmest) to 5 (coldest).
NOTE: Turning the Temperature Control to OFF
stops cooling in both the refrigerator and freezer
compartments, but it does not disconnect the refrig-
erator from the power supply.
Give the refrigerator time to cool down completely
before adding food. This could take several hours.
The setting indicated above should be correct for
normal household refrigerator usage. The control is set
correctly when milk or juice is as cold as you like and
when ice cream is firm.
NOTE:
The built-in exteriir moisture control continu-
ously guards against moisture buildup on the outside
of the refrigerator cabinet.
l/‘-,3 normal
\
@
l
on /
5 coldeot
5

Adjusting the refrigerator shelves
Adjust the refrigerator shelves to match the way you
use your refrigerator.
To
remove the shelves:
1. Remove items
from the shelf.
2. Slide shelf straight out to the stop.
3. Lii back of sheff over stop.
4. Slide shelf out the rest of the way.
To replace the shelves:
1.
Slide back of shelf into shelf track in wall of cabinet.
2. Guide front of shelf into shelf track.
3. Slide shelf in all the way.
Removing the meat drawer and cover
(on some models)
To remove the meat drawer: Remove maat
1. Slide meat drawer out to the stop.
2. Lii front of meat drawer.
3. Slide meat drawer out the rest of the way.
4. Replace in reverse order.
To remove the cover:
1.
Remove meat drawer.
2. Push cover back to release rear clips from shelf.
3. Tift cover up at front.
4. Pull cover forward and out.
drawer before
To replace the cover:
1.
Pit notches and clips on underside of cover over
rear and center cross bars on shelf.
2. Lower cover into place.
3. Pull cover fomrard to secure rear clips onto shelf.
4. Replace meat drawer.

Removing the crisper(s) and crisper cover
To
remove the crisper(s):
1.
Slide crisper(s) straight out to the stop.
2. Lii the front.
3. Slide out the rest of the way.
4. Replace in reverse order.
To remove the cover:
1. Lii
cover front and remove the cover support.
2. Lii cover up and slide out.
To replace the cover:
1.
Fit cover tabs into lowest cabinet slots and push in.
Lower the front retainers into place.
2. Insert cover support (with the long tab toward the
front) into the groove on the underside of the cover.
NOTE:
If the support needs adjustment, turn base
clockwise to raise or counterclockwise to lower.
Lift cover front,
then the beck.
Removing the freezer shelf
(on some models)
Remove the freezer shelf for easier
cleaning.
To remove the sheik
1.
Remove items from the sheff.
2. Lii back of shelf over stop.
3. Slide shelf straight out.
To replace the shelf:
1.
Slide back of shelf into shelf tracks
on walls of cabinet.
2. Slide shelf in all the way.
7

Using the ice cube trays
If cubes are not used, they may shrink. The moving
cold air starts a slow evaporation. The longer you store
cubes, the smaller they get.
To remove ice:
1.
Hold tray at both ends.
2. Twist slightly.
Using the optional automatic ice maker
If your refrigerator has an automatic ice maker, or if
you plan to add one later (contact the dealer for ice
maker kit number), here are a few things you should
know.
l
The ON/OFF lever is
a
wire signal arm.
DOWN to make ice automatically
UP to shut off the ice maker
IMPORTANT:
Do not turn ice maker on until you
connect it to the water supply.
l
If you remove the ice bin, raise the signal arm to shut
off the ice maker. When you replace the bin, push it in
all the way and lower the ice maker signal arm to the
ON position.
l
Good water quality is important for good ice quality.
Try to avoid connecting the ice maker to a softened
water supply. Water softener chemicals (such as salt
from a malfunctioning softener) can damage the ice
maker mold and lead to poor ice quality. If you cannot
avoid a softened water supply, make sure the water
softener is operating properly and is well maintained.
ke maker.
Solving common ice maker problems
PROBLEM POSSIBLE CAUSE/SOLUTION
ice crescents attached
. This is normal. They break apart easily. Shake bin occasionally to keep
cubes
at corners
separated.
ice maker will not
l
ON/OFF lever is in the OFF (up) position. Lower lever to the ON (down) position.
operate or ice is not
made fast enough
l
Freezer is not cold enough. Adjust temperature controls and wait 24 hours.
(See
‘Setting the control on page 5.)
Off-taste or odor in ke
l
New plumbing connections can cause discolored or off-flavored ice. Discard the
first few batches of ice.
l
Cubes are stored too long. Throw them away and make a new supply.
l
Food is not wrapped properly. See page 15.
l
Freezer and ice bin need to be cleaned. See page 13.

Attaching the ice maker to a water supply
Read all directions carefully before you begin.
Electrical Shock Hazard
. Disconnect electrical supply to refrigerator
before installing.
l
Electrical drill must be grounded before drilling
holes in water line.
Failure to do so couki result in electriil shock,
serious injury, or death.
IMPORTANT:
l
Use copper tubing only and check for leaks.
l
Install ice maker tubing in areas where temperatures
are above freezing.
Tools required:
l
Standard screwdriver
l
7/is-inch and S-inch open-end wrenches or
2 adjustable wrenches
l
G-rch nut driver
l
Winch drill bit
l
Hand drill or electric drill (properly grounded)
NOTE: Your nearest appliance dealer has a kii
available with a X-inch saddle type shut-off valve, a
union, and copper tubing. Before purchasing, make
sure a saddle type valve complies with your local
plumbing codes. Do not use piercing type or %s-inch
saddle valve which reduces water flow and clogs
more easily.
Cold water supply
Ice maker water valve wntains a flow washer which is
used as a water pressure regulator. The ice maker
needs to be connected to a cold water line with water
pressure limitations of 20-120 psi. If a problem occurs,
call your utility company.
IMPORTANT:
. It may take up to 24 hours for your ice maker to
begin producing ice.
l
If operating the refrigerator before installing the water
connection, turn ice maker to the OFF position to
prevent operation without water.
l
All installations must be in accordance with local
plumbing code requirements.
I
INSTALLATiON IS NOT WARRANTED
BY REFRIGERATOR OR ICE MAKER
MANUFACTURER. I
9

Connecting to water line
1.
2.
3.
4.
5.
5.
Find a %-inch to 1 %-inch vertical COLD water pipe
near the refrigerator.
NOTE: Horizontal pipe will work, but the following
precaution must be taken: Drill on the top side of
the pipe, not the bottom. This will help keep water
away from the drill. Thii also keeps normal sedi-
ment from collecting in the valve.
Measure from connection on rear of refrigerator to
water pipe. Add 7 feet (2.1 m) to allow for moving
refrigerator for cleaning. This is the length of %inch
O.D. copper tubing you will need for the job (length
from connection to water pipe PLUS 7 feet [2.1 ml).
Be sure both ends of copper tubing are cut square.
Turn OFF main water supply. Turn ON nearest
faucet long enough to clear line of water.
Using a grounded drill, drill a %-inch hole on the
wM water pipe you have selected.
Fasten shut-off valve to wld water pipe with pipe
clamp. Be sure outlet end is solidly in the %-inch
drilled hole in the water pipe and that washer is
under the pipe clamp. Tighten packing nut. Tighten
the pipe clamp screws carefully and evenly so
washer makes a watertight seal. Do not overtighten
or you may crush the copper tubing, especially if
soft (wiled) copper tubing is used. Now you are
ready to wnnect the copper tubing.
Slip compression sleeve and compression nut on
copper tubing as shown in diagram. Insert end of
tubing into outlet end squarely as far as it will go.
Screw compression nut onto outlet end with adjust-
able wrench. Do not overtighten. Turn ON main
water supply and flush out tubing until water is
clear. Turn OFF shut-off valve on the water pipe.
Coil the copper tubing.
Connecting to refrigerator
1. (On kit models, assemble water valve to refrigerator
per kit instructions.) Route the copper tubing
through the tube clamp provided as shown at left.
Connect the %nch copper tube from the shut-off
valve to the water valve at the lower, left rear of
cabinet. Use a compression nut and sleeve as
shown at left. Tighten the compression nut. Do not
over-tighten.
2. Turn shut-off valve ON. CHECK FOR LEAKS.
TIGHTEN ANY CONNECTIONS (INCLUDING
CONNECTIONS AT THE VALVE) OR NUTS
THAT LEAK.
3. The ice maker is equipped with a built-in water
strainer. If local water conditions require periiic
cleaning or a well is your source of water supply, a
second water strainer should be installed in the
W-rch water line. Obtain a water strainer from your
nearest appliance dealer. Install at either tube
connection.
4. Reconnect electrical supply to refrigerator.
10
Vertical cold
water pipe
\q , Warher
l/pinch O.D. copper
tubing (length from
inlet on rear of refrig-
erator to water plpe
plus 7 feet (2.1 m])
% Compression
::::y2 Ly@
Compression
sleeve Compresslon nut
sleeve
TO REFRIGERATOR +
Use only l/cinch copper
tubing from cold
water line
Tube clamp
l/pinch compression
nut and sleeve

Changing the light bulb
Electrical Shock Hazard
Before removing a light bulb or removing a light
shield for cleaning, either unplug the refrigerator
or disconnect the electricity leading to it at the
main power supply.
Failure to do so could result in electrical shock.
To change refrigerator light:
1.
Disconnect refrigerator from power supply.
2. Reach behind Control Panel to remove bulb.
3. Replace with a 40-watt appliance bulb.
4. Reconnect refrigerator to power supply.
NOTE:
Not all appliance bulbs will fii your refrigerator.
Be sure to replace a bulb with one of the same size
and
shape.
I
11

Understanding the sounds you may hear
Your new refrigerator may make sounds that your okl
Water sounds
one didn’t. Because the sounds are new to you, you
might be wncemed about them. Don’t be. Most of the When the refrigerator stops running, you may hear
new sounds are normal. Hard surfaces like the floor, gurgling in the tubing for a few minutes after it stops.
walls, and cabinets can make the sounds seem louder. You may also hear defrost water running into the
The following describes the kinds of sounds that might defrost water pan.
be new to you, and what may be making them.
Ice maker sounds
Slight hum, soft hiss
l trickling water
You may hear the refrigerator’s fan motor and moving l thud (clatter of ice)
air. You may hear buzzing (from the water valve), trickling
Clicking or snapping sounds
water, and the clatter of ice dumped into the bin.
The thermostat makes a definite click when the
Running sounds
refrigerator stops running. It also makes a sound when Your refrigerator has a high-efficiency compressor
the refrigerator starts. The defrost timer will click when and motor. It will run longer than okfer designs. It may
the defrost cycle starts. even seem to run most of the time.
Saving energy
You can help your refrigerator use less electricity.
l Check door gaskets for a tight seal. Level the cabinet
to be sure of a good seal.
l Clean the condenser coils regularly.
l Cpen the door as few times as possible. Think about
what you need before you open the door. Get
everything out at one time. Keep food organized so
you won’t have to search for what you want. Close
door as soon as food is removed.
l Go ahead and fill up the refrigerator, but don’t
overcrowd it so air movement is blocked.
l It is a waste of electricity to set the refrigerator and
freezer to temperatures colder than they need to be.
If ice cream is firm in the freezer and drinks are as
cold as your family likes them, that’s cokl enough.
l Make sure your refrigerator is not next to a heat
source such as a range, water heater, furnace,
radiator, or in direct sunlight.
Reversing the door swing
The doors on your refrigerator are reversible. If you
need to reverse the door swing, refer to the instruction
sheet included with your refrigerator.
12

Caring for Your Refrigerator
Your refrigerator is built to give you many years of dependable setvice. However, there are a few things you can
do to help extend its product Me. This section tells you how to clean your refrigerator
and what
to do when going
on vacation, moving, or during a power outage.
Cleaning your refrigerator
Both the refrigerator and freezer sections
defrost automatically. However, clean
both about once a month to help prevent
odors from building up. Wipe up spills
right away.
To clean your refrigerator, unplug it,
take out all removable parts, and clean the refrigerator
according to the following directions.
Personal injury Hazard
Refrigeration system tubes are near the defrost
pan and can become hot. Remove
and install
defrost pan carefully.
Failure to do so could resutl in personal injury.
PART WHAT TO USE HOW TO CLEAN
Removable parts
Sponge or cloth with mild
(shelves, crisper, etc.) detergent and warm water
Outside Sponge,
cloth, or paper
towel with mild detergent,
warm water, and a good
appliance wax (or good
auto paste wax)
l
Hand wash, rinse, and dry thoroughly.
l
Wash outside of cabinet. Do not use abrasive or
harsh cleaners.
l
Wipe and dry thoroughly.
l
Wax painted metal surfaces at least twice a year.
Appiy wax
with
a
clean,
soft
cloth.
Waxing painted
metal surfaces provides rust protection.
Do not wax plastic parts.
inside wails
(allow freezer to
warm up so cloth
won’t stick)
Door liners
and gaskets
Sponge, soft cloth, or paper
l
Wash with mixture of warm water and:
towel with baking soda or - mild detergent, or
mikf detergent and warm
water - baking soda (2 tbs to 1 qt [26 g to .95 L] of water).
l
Wipe and dry thoroughly.
Sponge, soft cloth, or paper
l
Wash, wipe, and dry thoroughly.
towel with mild detergent
and warm water
DO NOT USE cleaning waxes, concentrated
detergents, bleaches, or cleaners containing
petroleum on plastic patis.
Plastic parts
(covers and panels)
Defrost pan
(on back of cabinet,
above motor)
Soft, clean sponge or soft,
clean cloth with mild deter-
gent and warm water
Sponge or cloth with mild
detergent and warm water
l
Wash, rinse or wipe, and dry thoroughly.
DO NOT USE paper towels, window sprays,
scouring cleansers, or flammable fluids. These
can scratch or damage material. See “important
Safety instructions” on page 2.
Roll refrigerator out away from the wall.
l
Wash, rinse, and dry thoroughly. Do
not remove
defrost pan to clean it.
Condenser
coils Vacuum cleaner with
extended narrow
attachment
l
Roll refrigerator back into place. Make sure to leave
1 inch (2.5 cm) between cabinet back and the wall.
l
Check to see if the refrigerator is level.
l
Roll refrigerator oul away from the wall.
. Vacuum coils when dusty or dirty. Coils may need to
be cleaned as often as every other month.
l
Roll refrigerator back into place. Make sure to leave
1 inch (2.5 cm) between cabinet back and the wall.
. Check to see if the refrigerator is level.
13

Vacation and moving care
Short vacations
No need to shut off the refrigerator if you will be away
for less than four weeks.
1.
Use up any perishables.
2. Freeze other items.
3. If your refrigerator has an automatic ice maker:
l
Raise signal arm to OFF (up) position.
l
Shut off water supply to the ice maker.
Long vacations
If you will be gone a month or more:
1. Remove all food from the refrigerator.
2. If your refrigerator has an automatic ice maker:
l
Turn off the water supply to the ice maker at least
one day ahead of time.
l
When the last toad of ice drops, turn off the ice
maker. Make sure all ice is dispensed out of the
ice maker mechanism.
3. Unplug the refrigerator.
4. Clean it, rinse well, and dry.
5. Tape rubber or wood blocks to the tops of both
doors to prop them open far enough for air to get in.
This stops odor and mold from building up.
Personal Injury Hazard
Do not allow children to climb on, play near, or
climb inside the refrigerator when the doors are
blocked open.
They may become injured or trapped.
To restart refrigerator, see page 5.
Moving
When you are moving the refrigerator to a new home:
1.
If your refrigerator has an automatic ice maker:
l
Turn off the water supply to the ice maker at least
one day ahead of time.
l
Disconnect the water line.
l
After the fast load of ice drops, lift the signal arm
to the OFF (up) position.
2. Remove all food from the refrigerator.
3. Pack all frozen food in dry ice.
4. Unplug the refrigerator.
5. Clean it thoroughly. Wipe well and dry.
6. Take out all removable parts, wrap them well, and
tape them together so they don’t shift and rattle.
7. Screw in the leveling rollers.
8.
Tape the doors shut and tape the power supply
cord to the cabinet.
When you get to your new home, put everything back
and refer to page 4. Also, if your refrigerator has an
automatic ice maker, remember to reconnect the water
supply line.
Power interruptions
If electricity goes off, call the power company. Ask how
long power will be off.
1. If service will be interrupted 24 hours or less,
keep
both doors
closed. Thii helps food stay frozen.
2. If service will be interrupted longer than 24 hours:
(a) Remove all frozen focd and store in a frozen
food locker.
OR
(b) Place 2 Ibs. (900 g) of dry ice in freezer for
every cubic foot (liter) of freezer space. This will
keep food frozen for 2 to 4 days. Wear gloves to
protect your hands from dry ice burns.
OR
(c) If neither a food locker or dry ice is available,
use or can perishable food at once.
3. A full freezer stays cold longer than a partfy filled
one. A freezer full of meat stays cold longer than a
freezer full of baked goods. If food contains ice
crystals, it may be safely refrozen, although the
quality and flavor may be affected. If the condition
of the food is poor, or if you feel it is unsafe, dispose
of It.
Questions?
Call our Consumer Assistance Center telephone
number, 1-690-253-1391, from anywhere in the U.S.A.
14

Food Storage Guide
There is a correct way to package and store refrigerated or frozen food. To keep food fresher, longer, take the
time to study these recommended steps.
Storing fresh food
Wrap or store food in the refrigerator in airtight and
moisture-proof materiil. This prevents food odor and
taste transfer throughout the refrigerator. For dated
products, check code date to ensure freshness.
Leafy vegetables
Remove store wrapping and trim or tear off bruised
and discolored areas. Wash in cold water and drain.
Place in plastic bag or plastic container and store
in crisper.
Vegetables with skins
karrots, peppers)
Store in crisper, plastic bags, or plastic container.
Fruit
Wash, let dry, and store in refrigerator in plastic bags
or crisper. Do not wash or hull berries until they are
ready to use. Sort and keep berries in original con-
tainer in a crisper, or store in a loosely closed paper
bag on a refrigerator shelf.
Eggs
Store without washing in original carton on interiir
shelf. On some models, an egg storage container is
provided for your convenience.
Milk
Wipe milk cartons. For best storage, place milk on
interior shelf.
Butter or margarine
Keep opened butter in covered dish or closed
compartment. When storing
an
extra supply, wrap in
freezer packaging
and
freeze.
Cheese
Store in the original wrapping until you are ready to
use it. Once opened, rewrap tightly in plastic wrap or
aluminum foil.
Leftovers
Cover leftovers with plastic wrap or aluminum foil.
Plastic containers with tight lids can
also be used.
Meat
Store most meat in original wrapping as long as it is
airtight and moistureproof. Rewrap if necessary. See
the following for storage times. When storing meat
longer than the times given, freeze the meat.
Chicken
. . . . . . . . . . . . l-2 days Bacon . . . . . . . . . . . . . . . . . . 5-7 days
Ground beef . . . . . l-2 days cold cuts . . . . . . . . . . . . . 3-5 days
Steaks/roasts. . . .3-5 days Variety meats . . . . . . l-2 days
Cured meats...7-10 days
NOTE:
Use fresh fish
and
sheltfish the same day as
purchased.
Storing frozen food
The freezer section is designed for storage of commer-
cially frozen food and for freezing food at home.
NOTE:
For further information about preparing food for
freezing or food storage times, check a freezer guide
or reliable cookbook.
Packaging
The secret of successful freezing is in the packaging.
The way you close and seal the package must not
allow air or moisture in or out. Packaging done in any
other way could cause food odor and taste transfer
throughout the refrigerator and drying of frozen food.
Packaging recommended for use:
l
Rigid plastic containers with tight-fitting lids
l
Straight-sided canning/freezing jars
l
Heavy-duty aluminum foil
l
Plastic-coated paper
l
Non-permeable plastic wraps (made from Saran film)
Follow package or container instructions for proper
freezing methods.
Do not use:
l
Bread wrappers
. Non-polyethylene plastic containers
l
Containers without tight lids
l
Wax paper
l
Wax-coated freezer wrap
l
Thin, semi-permeable wrap
The use of these wrappings could cause food odor,
taste transfer, and drying of frozen food.
Freezing
Do not expect your freezer to quick-freeze any large
quantity of food. Put no more unfrozen food into the
freezer than will freeze within
24
hours (no more than
2-3 Ibs. of food per cubic foot [900-l ,380 g per liter] of
freezer space).
Leave
enough space for air to circulate
around packages. Be careful to leave enough room at
the front so the door can close tightly.
Storage times will vary according to the quality of the
food, the type of packaging or wrap used (airtight and
moisture-proof), and the storage temperature, which
should be 0°F (-17.8%). 15

Troubleshooting
Performance problems often result from little things you can fix without tools. Please read through “Before calling
for assistance . . .” below before calling for service on your appliance.
Before calling for assistance . . .
Listed in this chart are the most common problems consumers run into with their appliances. Please read through
this and see if it can solve your problem.
PROBLEM
Your refrigerator
will not operate
CHECK THE FOLLOWING
Is the power supply cord firmly plugged into a live circuit with proper voltage?
Has a household fuse or circuit breaker blown/tripped?
Is the Refrigerator Control set to the OFF position?
The lights do
not work
Is the power supply cord firmly plugged into a live circuit with proper voltage?
Has a household fuse or circuit breaker blown/tripped?
Is a bulb burned out?
The optional
ice maker
does not work
Is the freezer cold enough to make ice? It could take overnight for the freezer to reach
the proper temperature.
Is the ON/OFF lever in the ON (down) position? (See page 8.)
Is the water valve turned on?
Does the water line have a clog or leak?
Unfamiliar sounds
or a rattling/
Is something on top of or behind the refrigerator?
jingling noise
Some new sounds are normal. See “Understanding the sounds you may hear” on
page 12.
There is water in
the defrost pan
This is normal on hot, muggy days. Make sure the refrigerator is level so the pan does
not overflow.
The motor seems
to run too much
Are the condenser coils ditty?
Has the door been opened often? Has a large amount of food been added at one
time? The motor naturally runs longer if these things happen.
Is the room hot? If the room is too warm, the motor runs longer to keep the unit cool.
16

Requesting Assistance or Service
Before calling for assistance or service, please check “Troubleshooting” on page 16. It may save you the cost of
a
service call. If you still need help, follow the instructions below.
For assistance or service in the U.S.A.:
1. If you need assistance* . . .
Call Whirlpool Consumer Assistance
Center telephone number. Dial toll-free
from anywhere in the U.S.A.:
Ea
w
l-800-253-1 301
and talk with one of our trained consultants.
The consuttant can instruci you in how to obtain satisfac-
tory operation from your appliance or, if service is neces-
sary, recommend a qualified service company in your
area.
If you prefer, write to:
Mr. William Clark
Consumer Assistance Representative
Whirlpool Corporation
2000 North M-63
Benton Harbor, MI 49022-2692
Please include a daytime phone number in your
correspondence.
2. If you need service* . . .
Whirlpool has a nationwide network
of authorized Whirlpool service
companies. Whirlpool service technicians
El
%RlKE
are trained to fulfill the product warranty
and provide after-warranty service, any-
where in the United States. To locate the authorized
Whirlpool service company in your area, call our Con-
sumer Assistance Centertelephone number (see Step 1)
or look in your telephone directory Yellow Pages under:
‘APHMNCE4DUSEHDlD- *wAsHIN YAcwNEs L
MAJOR, SERVlCE & REPAIR DRYER% SERVICE L REPNIR
-SW whlrlpcd ARpnm.ca 01 -sMWhlllpoolAppbnmor
Autlmdmd whlrlpod serbb Arnhorlzd whlllpd SoMm
(Enmp*:xM Smke co.) (~x-vz smka co.)
3. If you need FSP.
replacement parts . . .
FSP is
a
registered trademark of Whirlpool Corpora-
tion for quality parts. Look for this symbol of quality
whenever you need a replacement part for your
Whir-appliance. FSP replacement parts will fit
right
and work right,
because they are made to the
same exacting specifiitions used to build every new
Whirlpool appliance.
To locate FSP replacement parts in your area, refer
to Step 2 or call the Whirlpool Consumer Assistance
Center number in Step 1.
4. If you are not satisfied
with how the problem
was solved . . .
l
Contact the Major Appliance Consumer Action Panel
(MACAP). MACAP is a group of independent con-
sumer experts that voices consumer views at the
highest levels of the major appliance industry.
l
Contact MACAP only when the dealer, authorized
servicer, and Whirlpool have failed to resolve your
problem.
Major Appliance Consumer Action Panel
20 North Wacker Drive
Chiigo, IL 60606
l
MACAP will in turn inform us of your action.
‘When asklng for help or service:
Please provide a detailed description of the problem, your appliance’s complete model and serial numbers,
and the purchase date. (See page 1.) This information will help us respond properly to your request.

For assistance or service in Canada:
1. If the problem is not due to
one of the items listed in
“Troubleshooting”...
Contact the dealer from whom you
purchased your appliance, or your
nearest lnglis Limited Appliance SERVICE
El
Service Branch. Please include a
daytime phone number in your
correspondence.
2. If you need service...
Contact your nearest lnglis Limited
Appliance Service Branch or an
authorized servicing outlet. w
Inglis Limited Appliance Service-Consumer Services
Dear Customer:
Good performance. That’s what our warranty is all about. Here’s how the good
performance that you expect from your Refrigerator is protected.
During the first year after purchase, aU parts of the appliance which prove to be defective
in materials or workmanship will be repaired or replaced free of charge (parts and labour).
During the first five years after purchase, all parts of the sealed refrigeration system, which
consists of the compressor, condenser, evaporator, and connecting tubing, which prove to be
defective in materials or workmanship, will be repaired or replaced at no cost to you.
During the stih through tenth years after purchase, should the compressor fail due to
defective materials or workmanship, the compressor will be repaired or replaced and you pay
for any labour charge.
There may be a charge for travel or transportation expenses in those instances where a
customer resides in a remote area.
Parts repaired or replaced under this warranty are warranted throughout the remainder of
the original warranty period only.
This protection covers your home use of the appliance. This same protection applies to
any subsequent owner during the applicable warranty period based on the original owner’s
purchase date.
This warranty does not cover damage by accident, misuse, improper installation, fire,
flood, or acts of God.
This is the only warranty covering this appliance given by the manufacturer.
The provisions of this warranty are in addition to and not a modification of or subtraction
from the statutory warranties and the other rights and remedies contained in any applicable
legislation.
-------------------“-“-“--““““““-””””””””””””””“““““~““““””-””””“-“-“--“-
Now about servicing. If your appliance does not operate properly, check
“Troubleshooting” (page 16) to see if the problem can be resolved without the
assistance of a serviceman. If it cannot, please immediately contact the retailer
from whom it was purchased or one of our Company-owned Service Branches or
Company-owned Service Depots located across Canada.
Please keep your sales slip with your Use and Care Guide. It’s nice to know
you’ll have protection, even though you may never need it.
Sincerely,
INGLIS LIMITED
ADMINISTRATION CENTRE
1901 MINNESOTA COURT
MISSISSAUGA, ONTARIO L5N 3A7
18

For assistance or service in Mexico:
When you need service or assistance for your Whirlpool refrigerator, contact an authorized service center. Do not
use unauthorized servicers.
MONTERREY
Av. Affonso Reyes No. 3210
Col. Regina
Monterrey, N.L. C.P. 64290
Tels.: 351-27-37 y 351-27-03
Con 4 lineas.
Servicio Acres-Whirlpool S.A. de C.V.
Use the National Customer Service free of charge to you.
Telephone: 91-800-83-004
MEXICO
Canela No. 47-L
Col. Granjas Mexico
Mexico D.F. C.P. 08400
Tels.: 650-65-33 Con 12 lineas
y 657-29-56
GUADALAJARA
Calz. Gonzalez Galb No. 1269
Guadalajara, Jal. C.P. 44870
Tels.: 61 g-23-03,61 g-16-50,
619-15-55,619-l 5-15.
Poniente 134 No. 559
Col. Industrial Vallejo
Mexico, D.F. C.P. 02300
Tels.: 368-25-25, 368-25-06,
368-25-66,368-25-76
IMPORTED BY:
Vitromatic Comercial S.A. de C.V.
Ave. San Nicolas 2121 Nte.
Col. 10. de Mayo
Monterrey, N.L. Mexico
Tels.: 375-39-86 y 372-40-l 5
MANUFACTURED BY:
Whirlpool Corporation
Benton Harbor, Michigan
USA
IMPORTANT NOTES
This document must be presented for any matter related to the warranty.
THE BUYER MUST KEEP THIS DOCUMENT IN HIS/HER POSSESSION AND IN A SAFE PLACE.
The consumer may request that the warranty covered under this certificate be honored by the commercial
establishment that sold him/her the product. In the event the policy is lost, the issuer will issue
a
new warranty
policy upon presentation of the sales receipt or invoice.
19

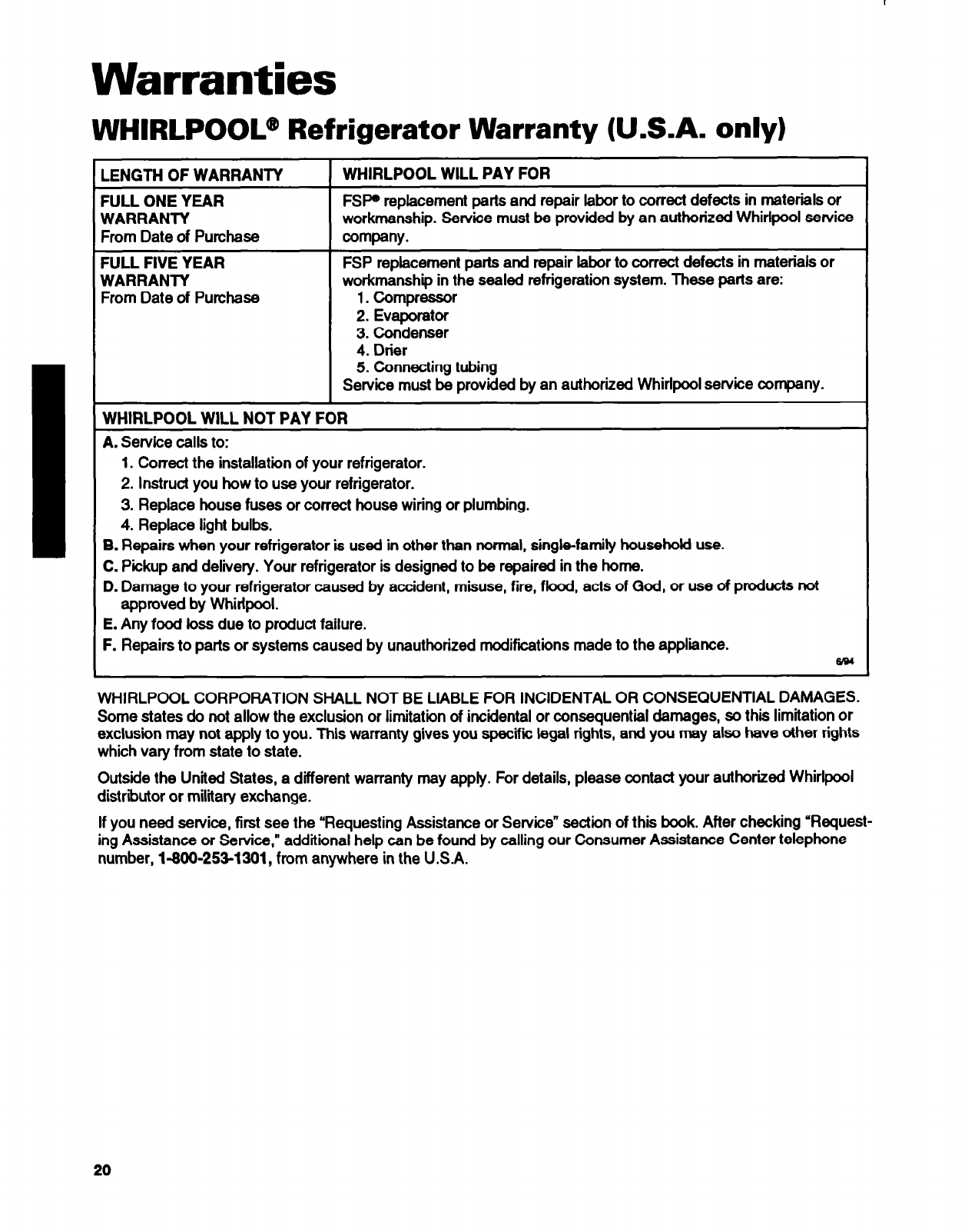
Warranties
WHIRLPOOL@ Refrigerator Warranty (U.S.A. only)
LENGTH OF WARRANTY
FULL ONE YEAR
WARRANTY
From Date of Purchase
FULL FIVE YEAR
WARRANTY
From Date of Purchase
WHIRLPOOL WILL PAY FOR
FSP replacement parts and repair labor to correct defects in materials or
workmanship. Service must be provided by an authorized Whirlpool service
company.
FSP replacement parts and repair labor to correct defects in materials or
workmanship in the sealed refrigeration system. These parts are:
1. Compressor
2. Evaporator
3. Condenser
4. Drier
5. Connecting tubing
Service must be provided by an authorized Whirlpool service company.
WHIRLPOOL WILL NOT PAY FOR
A. Service calls to:
1. Correct the installation of your refrigerator.
2. Instruct you how to use your refrigerator.
3. Replace house fuses or correct house wiring or plumbing.
4. Replace light bulbs.
B.
Repairs when your refrigerator is used in other than normal, single-family household use.
C. Pickup and delivery. Your refrigerator is designed to be repaired in the home.
D. Damage to your refrigerator caused by accident, misuse, fire, flood, acts of God, or use of products not
approved by Whirlpool.
E. Any food fess due to product failure.
F.
Repairs to parts or systems caused by unauthorized modifications made to the appliance.
WHIRLPOOL CORPORATION SHALL NOT BE LlABLE FOR INCIDENTAL OR CONSEQUENTIAL DAMAGES.
Some states do not allow the exclusion or limitation of incidental or consequential damages, so this limitation or
exclusion may not apply to you. This warranty gives you specific legal rights, and you may also have other rights
which vary from state to state.
Outside the United States, a different warranty may apply. For details, please contact your authorized Whirlpool
distributor or military exchange.
If you need service, first see the “Requesting Assistance or Service” section of this book. After checking ‘Request-
ing Assistance or Service,” additional help can be found by calling our Consumer Assistance Center telephone
number, i-800-253-1301, from anywhere in the U.S.A.
20

Warranty (Mexico only)
WARRANTY POLICY
VITROMATIC COMERCIAL, S.A. DE C.V. Ave. San Nicolas
2121 Nte. Monterrey, N.L., Tel.: 75-39-96. Pursuant to the terms of this
policy, exclusivefy guarantees the buyer and user of the Acres accessory
identified in it, the following:
WHAT IS COVERED UNDER THE WARRANTY
Factory defects that appear within the term of the warranty that totally or partially prevent the correct
operation of the appliance. In this case, the appliance will be repaired free of charge to the buyer. If the
replacement of any component of the appliance is required, the cost will be covered under this warranty.
Likewise, the transport charges derived from the compliance of the terms of the warranty will be covered
by the guarantor.
WHAT IS NOT COVERED UNDER THE WARRANTY
Faulty installation due to:
Use of lnferlor quality materials. (See Use and Care Guide). Not followlng the instructions in the
Use and Care Guide and the Warning notices.
Faults, damages, or flaws caused by:
Deflclent or Irregular power supply. (See Warnings and suggestions in the Use and Care Guide,
normal range 127 Volts t lo%.)
Use of the appliance under conditions different to those specified in the operation Instructions
and the Warning notices.
PROCEDURE TO PRESENT A CLAIM
UNDER THE WARRANTY
When the buyer considers that occurrences covered by this policy have taken place, said buyer should
contact one of the establishments indicated in the list of
authorized
service centers included herein.
The repairs will be attended to within a 3O-day period as from the date In which the appliance Is
received, unless a longer period is absolutely necessary.
This warranty will not be valid if non-authorized persons or establishments intervene in the repair
or replacement of factory components.
TERM:
This warranty is valid in all its parts for ONE YEAR beginning on the date that the buyer receives the
appliance to his/her satisfaction.
In addltlon to the bask ONE YEAR warranty, thls warranty covers the following components for
the followlng additional periods:
REFRIGERATORS: 4 years for the sealed refrigeration system, which includes the compressor,
evaporator, dryer, condenser, filter, connection, and suction tube.
22

Table des mati&res
Page
Veuillez noter ............................................................ 1
SBcurit4 du rdfrighteur ......................................... 2
Pihas et caracthistiques ....................................... 3
Avant I’utllisation du
rhfrighateur
.......................... 4
Utilisation du r4frighteur ...................................... 5
Reglage de la commande .................................... 5
Reglage des clayettes du refrigerateur ................ 6
Retrait du bat a viande et du couvercle ............... 6
Retrait des bats B legumes et du couvercle ....... .7
Retrait de la clayette du congelateur.. .................. 7
Utilisation des plateaux Ir glagons ........................ 8
Utilisation de la machine a glagons
automatique optionnelle ....................................... 8
Page
Raccordement de la machine B glagons a
la canalisation d’eau ............................................ 9
Remplacement des ampoules &ctriques ......... 12
Les bruits de l’appareil ....................................... 13
Conseils pour konomiser I’energie ................... 13
Inversion du sens d’ouverture des portes .......... 13
Entretien du tifrighateur ...................................... 14
Conservation des aliment8 .................................... 16
DBpannage .............................................................. 18
Appel d’aide ou de service .................................... 19
Garantle du r4frighteur WHIRLPOOL”. .............. 20
Veuillez noter
Merci d’avoir achet6 un appareil 6lectrom6nager WhirlpooP.
Comme votre vie devient plus affairee et plus compliqu8e, les refrigerateurs Whirlpool sent faciles A utiliser, font
konomiser du temps et aident A mieux administrer votre foyer. Pour garantir que cet appareil vous donnera de
nombreuses annees de service sans p&l&me, nous avons prepare ce Guide d’utiliition et d’entretien. II est
plein de renseignements utiles qui vous aideront A utiliser et A entretenir votre appareil convenablement et en
s&curite. Veuillez egalement completer et retoumer la carte d’enregistrement du proprietaire fournie avec
I’appareil.
Veuillez inscrire les renseignements concernant votre rdfrigdrateur.
Si jamais vous avez besoin de service pour votre Nutiro de cockle
appareil menager, vous devrez connaitre le numero de
rnodele et le numero de serie. Ces renseignements Nurnko de aerie
sont indiques sur la plaque signaletique des numeros Date d’achat
de rnodele et de serie (voir schema, page 3).
Veuillez egalement noter la date d’achat du produit
ainsi que les nom, adresse et nurn&o de telephone du
marchand.
Nom du marchand
TklCphone
Conserve2 cette brochure et la facture de vente en lieu sQr pour reference
ulthrieure.
1

S6curit6 du refrighrateur
Votre skurit6 nous tient 5 coeur.
Ce guide contient des instructions de securite sous
des symboles d’avertissement. Veuillez accorder une
attention particuliere B ces symboles et observer
toutes les instructions qui les accompagnent. Voici une
breve explication du sens de ce symbole.
Ce symbole vous avertit de dangers tels que
blessures, brirlures, incendie et choc Blectrique.
IMPORTANTES INSTRUCTIONS DE SkURITt
9 Lire toutes les instructions avant d’utiliser le
refrigerateur.
l Les enfants qui s’enferment ou qui suffoquent
dans un refrigerateur ne sont pas chases du
passe. Les refrigerateurs abandonnes ou mis au
rebut presentent des risques . . . meme “s’ils ne
sont dans le garage que pour quelques jours”.
Ne prendre aucun risque au moment de se
defaire d’un refrigerateur usage. Lire le livret ci-
joint concernant la securite de I’Association des
fabricants d’appareils Blectromenagers. Contribuer
a la prevention des accidents.
l
Ne jamais permettre a un enfant de faire fonctionner
un refrigerateur, de jouer avec I’appareil ou de se
glisser a I’interieur.
l Ne jamais nettoyer les pieces du refrigerateur au
moyen de liquides inflammables. Les vapeurs
risquent de provoquer un incendie ou une explosion.
l POUR VOTRE SECURITE l
NE PAS FUMER Nl N’UTILISER D’ESSENCE OU
AUTRES VAPEURS ET LIQUIDES INFLAMMABLES
A PROXIMITE DU REFRIGERATEUR OU DE TOUT
AUTRE APPAREIL. LES VAPEURS RISQUENT DE
PROVOQUER UN INCENDIE OU UNE EXPLOSION.
I
- CONSERVER CES INSTRUCTIONS -
Aidez-nous 5 vous aider
Veuillez :
l Installer le refrigerateur et le mettre de niveau sur un
plancher qui en supportera le poids, et dans un
endroit convenant a sa taille et 6 son utilisation.
l Ne pas installer le refrigerateur pres d’un four, d’un
radiateur ou autre source de chaleur.
l Ne pas utiliser le refrigerateur dans un endroit 012 la
temperature ambiante sera inferieure a 13 “C (55 “F).
l Garder le refrigerateur a I’abri des intemperies.
l Brancher le refrigerateur seulement a la prise de
courant du type correct, avec I’alimentation
electrique et la mise a la terre appropriees. (Se
referer a la fiche ‘Specifications de I’alimentation
electrique et methode de liaison a la terre”.)
l Ne pas remplir le refrigerateur d’aliments avant qu’il
n’ait le temps d’etre bien froid.
l Utiliser le refrigerateur uniquement pour I’usage
decrit dans ce manuel.
l Bien entretenir le refrigerateur.
l Verifier que le refrigerateur nest pas utilise par une
personne qui en ignore le fonctionnement.

Pi&es et caracteristiques
Cette section presente des illustrations descriptives de I’appareil menager. L’utilisateur pourra ainsi se familiariser
avec toutes les pieces et caracteristiques de I’appareil, et leur apparence. Cette brochure contient Bgalement des
pages de reference.
REMARQUE : Le refrigerateur achete peut comporter toutes les pieces et caracteristiques representees ici ou
seulement certaines d’entre elles, et elles peuvent parfois ne pas correspondre exactement a I’illustration. Ce
manuel couvre plusieurs modeles.
Clayette du congelateur reglable
(clayette partielle sur,certains modhles) (p. 7)
Machine a glacons
;‘dfZeZZusaa
sur certains mod&s)
(P. 8)
Bat L glacons -
(P. 8)
Plaque signaletique des
numeros de modele
et
de serie -
(paroi lat&ale)
(P. 1)
Couvercle du bat
a viande
(en plastique solide)
(P. 6)
Bat B viande -
(sur certains modkles)
(P. 6)
Clayettes metalliques
reglables
(P. 6)
Couvercle en plas
du bat a legumes
(en verre sur cettains
modbles) (p. 7)
Roulettes
de nivellement
(non-illustrkes) (p. 5)
Tableau de commande
Commande de Commutateur
la temperature d’iclairage
I
Balconnettes
v
dans la Porte
Joints aimantes
L de la Porte
I Commande de la
temperature
(P. 5)
Commutateur
yd’eclairage
Xompatiiment laitier
>
Balconnettes
dans la Porte
- Bats a legumes
(pleine largeur sur
certains modbles)
(P. 7)

Avant I’utilisation du r6friMrateur
II est important de preparer votre refrigerateur pour pouvoir I’utiliser. Cette section vous decrira comment le
nettoyer, le brancher a une source d’alimentation, I’installer et le mettre de niveau.
Nettoyage du refrigerateur
Enlhement des Qtiquettes
commerciales
Avant d’utiliser le refrigerateur, enlever le ruban
adhesif et toutes les etiquettes a I’interieur du
refrigerateur (sauf I’etiquette des numeros de modele
et de serie).
Pour Bliminer I’adhdsif tenace :
l Fretter vivement B I’aide du pouce de facon a former
une boule, puis enlever.
ou
l Verser du detergent a vaisselle liquide sur la zone
concernee et laisser tremper avant d’enlever I’adhesif
comme decrit ci-dessus. Ne pas utiliser d’instruments
a&r&, d’alcool a friction, de solvants inflammables
ou de produits d’entretien abrasifs; cela peut
endommager le materiau du refrigerateur. Voir
“Importantes instructions de securitk” a la page 2.
REMARQUE : Ne pas enlever les etiquettes
d’instructions permanentes apposees a l’interieur du
refrigerateur. Ne pas retirer la fiche technique fixee
sous le refrigerateur, a I’avant.
Nettoyage
Si necessaire, apres avoir enleve les
etiquettes commerciales, nettoyer le
refrigerateur avant de I’utiliser. Consulter
les instructions de nettoyage a la page 18.
Branchement
MBthode recommandee de mise ?I la terre
Une source d’alimentation de 115 volts, 60 Hz, 15 ou
20 amperes CA seulement, protegee par fusible et
adequatement mise a la terre, est necessaire. II est
recommande d’utiliser un circuit distinct pour alimenter
uniquement cet appareil. Utiliser une prise murale qui
ne puisse etre mise hors circuit a I’aide d’un
commutateur ou dune chaine. Ne pas employer
de rallonge.
Consulter la fiche ‘Specifications de I’alimentation
electrique et methode de liaison a la terre” se trouvant
dans la documentation.
Installation correcte
1. Laisser un espace de 1,25 cm (1/2 po) de chaque
c6te et 7,6 cm (3 po) au-dessus du refrigerateur
pour en faciliter I’installation et la circulation de I’air.
2. Si un c6te des charnieres du refrigerateur est contre
un mur, il serait bon de prevoir de I’espace
supplementaire de ce cdte pour permettre une
ouverture plus grande de la Porte.
3. Laisser un espace d’au moins 25 cm (1 po) entre le
condenseur au dos du refrigerateur et le mur.
4. Niveller le refrigerateur.

Nivellement
Ce refrigerateur est equip6 de 2 roulettes avant
reglables pour eviter qu’il ne bouge sur un sol i&gal.
Pour ajuster les roulettes :
1. Mettre le refrigerateur en place.
2. Ajuster les roulettes en tournant les vis de
nivellement situees a I’avant de la base.
l Tourner dans le sens horaire pour Clever.
l
Tourner dans le sens antihoraire pour
abaisser.
REMARQUE : Les roulettes sont correctement
ajustees lorsque le refrigerateur ne bouge plus
quand les portes sont ouvertes ou fermees.
3. Repeter cette methode chaque fois que le
refrigerateur est deplace.
REMARQUE : Pour que les portes se ferment plus
facilement, utiliser les roulettes pour legerement
soulever I’avant du refrigerateur.
I I
Utiliser un tournevis
pour le rkglage
Abaissement
Vis de nivellement
Utilisation du refrighrateur
Pour pouvoir obtenir la meilleure performance du refrigerateur, il convient de I’utiliser convenablement.
Cette section decrit les operations de reglage, les modes d’economie d’energie, et I’utilisation des diverses
caracteristiques et fonctions du refrigerateur.
Rhglage de la commande
La commande du refrigerateur et du congelateur se
trouve a I’interieur du refrigerateur. Au moment du
branchement initial de I’appareil :
l RBgler la commande de la temperature 213
(normal). Les reglages de la commande de la
temperature vont de
1
(plus chaud) a 5 (plus froid).
REMARQUE : Lorsque la commande de la
temperature est a la position ARRl?T (off), I’action
refroidissante cesse dans les compartiments du
refrigerateur et du congelateur mais le refrigerateur
nest pas debranche de la source d’alimentation.
Avant d’y placer des aliments, laisser le refrigerateur
refroidir completement. Ceci peut prendre plusieurs
heures.
Ces reglages devraient convenir pour I’utilisation
domestique normale de I’appareil. Les commandes
sont reglees a la temperature appropriee lorsque le lait
ou le jus est froid au gout et que la creme glacee est
ferme.
REMARQUE : La commande de I’humidite exterieure
encastree empeche I’accumulation d’humidite sur la
caisse exterieure.
5

Reglage des clayettes du refrigkateur
Les clayettes peuvent i?tre r6glbes en fonction des
besoins personnels.
Pour retirer les clayettes :
1. Enlever les articles qui y sont places.
2. Glisser la clayette jusqu’h la buthe.
3. Soulever I’arrihre de la clayette par-dessus la butbe.
4. La glisser complktement 5 I’extfkieur.
Pour remettre les clayettes :
1. Glisser I’arrihre de la clayette dans la glissike sur la
paroi de la caisse.
2. Guider l’avant de la clayette dans la glisskre.
3. La glisser complktement 5 I’intkieur.
(sur certains mod&les)
Pour retirer le bat B viande :
En tirant, glisser le bat h viande jusqu’g la butke.
1.
2.
3.
4.
Soulever I’avant du bat CI viande.
Le glisser complktement h I’extkieur.
Pour le remettre, refaire les etapes dans I’ordre
inverse.
Retirer le bat a viande
avant le
couvercle.
I.
Retrait du bat 6 viande et du couvercle
Pour retirer le couvercle :
1. Retirer le bat 5 viande.
2. Pousser I’arrikre du couvercle pour dr5gager les
agrafes arrikre de la tablette.
3. Soulever I’avant du couvercle.
4. Tirer droit vers l’extkrieur.
Pour remettre le couvercle :
1. Aligner les crans et agrafes sous le couvercle par-
dessus les barres 5 I’arrikre et au centre de la
tablette.
2. Abaisser le couvercle en place.
3. Le tirer vers I’avant pour fixer les agrafes dans la
tablette.
4. Remettre le bat & viande.
6

Retrait du (des) bat(s) ZI legumes et du couvercle
Pour retirer le(s) bat(s) h legumes :
1, En tirant, glisser le(s) bat(s) a legumes jusqu’a la
butee.
2. Soulever I’avant.
3. Le glisser completement Q I’exterieur.
4. Pour le remettre, refaire les etapes dans I’ordre
inverse.
Pour retirer le couvercle :
1. Soulever I’avant du couvercle et retirer le support du
couvercle.
2. Soulever le couvercle en le glissant a I’exterieur.
Pour remettre le couvercle :
1. lnserer les languettes du couvercle dans les fentes
les plus basses de la caisse et les y enfoncer.
Abaisser les supports avant en place.
2. lnserer le support du couvercle (avec la longue
languette dirigee vers I’avant) dans la rainure sous
le couvercle.
REMARQUE : S’il est necessaire de regler le
support, tourner la base dans le sens horaire pour
soulever ou dans le sens antihoraire pour abaisser.
Soulever I’avant
du couvercle,
puis I’arrikre. II
Ab
Retrait de la clayette du conghlateur
(sur cetiains mod&les)
La clayette du congelateur peut etre enlevee pour en
faciliter le nettoyage.
Pour retirer la clayette :
1. Enlever les articles qui y sont places.
2. Soulever l’arriere de la clayette par-dessus la butee.
3. La glisser completement a I’exterieur.
Pour remettre la clayette :
1. Glisser I’arriere de la clayette dans les glissieres
sur les parois de la caisse.
2. La glisser completement a I’interieur.
7

Utilisation des plateaux 6 glaqons
Si les glaqons ne sont pas utilisks, ils peuvent
rapetisser. L’air froid qui circule dans le bat provoque
leur Bvaporation lente. Plus les glaqons y restent
longtemps, plus ils deviennent petits.
Pour retirer les glaGons :
1. Tenir le plateau aux deux extr6mitks.
2. Le tordre lkgkrement.
Utilisation de la machine 21 glaqons automatique
optionnelle
Si votre rkfrigkrateur est 6quipB d’une machine B glaGons
automatique ou si vous projetez d’en acqukir une
(contactez le concessionnaire pour le numko de pike),
voici quelques points qu’il est bon de connaitre :
l Le levier MARCHVARR~T est un bras de commande
6lectrique.
ABAISSE la machine marche automatiquement.
SOULEVE la machine est hors circuit.
IMPORTANT : Ne pas mettre la machine 5 glaqons en
marche tant qu’elle n’est pas raccordee 5 la
canalisation d’eau.
l Avant d’enlever le bat & glaqons, soulever le bras de
commande pour mettre hors circuit la machine 5
glaCons. Au moment de remettre le bat, le pousser
jusqu’au fond et abaisser le bras de commande en
position MARCHE.
l Pour obtenir des glaGons de qualitk, il faut de la bonne
eau. II n’est pas recommande de raccorder la machine
ti glaGons B une source d’eau adoucie. Les produits
chimiques, comme le sel provenant d’un adoucisseur
d’eau en mauvais 6tat de marche, risquent
d’endommager le moule de la machine ZI glaqons et de
produire des glaGons de pi&tre qualit& Si la machine
doit 6tre raccordee 5 une source d’eau adoucie, il est
important que I’adoucisseur soit entretenu avec soin et
maintenu en bon Btat de marche.
SOULEVER
pour mettre
fin B la
formation de
glaCons.
ABAISSER
pour mettre
la machine
en
marche.

Solutions aux problbmes de fonctionnement de la machine & glasons
PROBLEME CAUSE/SOLUTION POSSIBLE
Les giaqons en demi-
l
C’est normal. iis se &parent facilement. Agiter ie bat occasionneiiement pour
iune sont coil& s@rer ies giapns.
La machine ne
l
Le levier MARCHE/AR&T est a la position AFtRET (soulev6). Abaiir le levier ir
fonctionne pas ou
la position MARCHE (abaiss6).
ies giaqons ne se
font pas as882 vite
l
Le congeiateur n’est pas assez froid. Regler d’abord les commandes et attendre
au moins 24 heures. (Voir ‘Reglage de la commande” 6r la page 5.)
l
On peut observer une coloration de la glace ou noter la pkence dun mauvais
Arri&e-goOt ou
mauvaise odeur
de la giace
gout, aprk l’exkution de nouveaux raccordements de plomberie. Jeter la glace et
en faire d’autre.
l
Les glapns sont trop view Les jeter et en faire d’autres.
l
Emballage incorrect des aliments dans le congelateur. Voir page 17.
l
Nettoyage rkcessaire du bat & glag-ons et du congdlateur. Voir page 14.
Raccordement de la machine B glaqons B la
canalisation d’eau
Lire attentivement toutes les instructions avant de commencer le travail.
Risque de choc Oiectrique
savant l’instailation. d&rancher le kfrigdrateur
de la source d’alimentation 6lectrique.
l
Avant de perter des trous dans la canalisation
d’eau, v&ifier que la perceuse kctrique est
bien reli6e & la terre.
Le non-respect de ces instructions peut ktre la
cause dun choc Blectrique, de graves blessures
ou dun accident mortel.
L
IMPORTANT :
l
Utiliser uniquement des tubes en cuivre et verifier
s’ils fuient.
l
Installer le tube en cuivre alimentant la machine B
glacons B un endroit ou la tempgrature se maintient
audessus du point de congelation de l’eau.
Outillage nkessaire :
l
Tournevis
l
Cl& plates de %S po et l/2 po, ou 2 cl& a molette
l
Tourne-krou, XI po
l
Foret, 1/4po
l
Perceuse manuelle ou perceuse &ctrique
(convenablement reliee B la terre)
REMARQUE :
On peut trouver chez le concession-
naire ie plus proche un ensemble comprenant un
robinet d’arret de l/4 po avec bride de prise en charge,
un raccord de connexion et un tube en cuivre. Avant
d’acheter cet ensemble, v&iier que le robinet d’arr6t
avec bride de prise en charge satisfait aux exigences
des codes de plomberii beaux. Ne pas utiliser un
robinet da&t B aiguille perforante ou un robinet mont6
sur une bride de prii en charge de %s po, qui Muit le
debit d’eau et s’obstrue plus facilement.
Arriv6e d’eau froide
La valve d’entr6e d’eau de la machine &I glacons
comprend une rondelle de contrdie du d&ii, qui est
utilis6e comme Mment de kgulation de la pression
d’eau. La canalisation qui aiimente la machine B
glagons en eau froide doit distribuer l’eau sous une
pression de 20 6 120 lbf&. Si un probkne survient,
contacter la compagnie de distribution d’eau.
IMPORTANT :
l
Une p&iode d’attente pouvant atteindre 24 heures est
rkcessaire avant que I’appareil commence B produire
des glacons.
l
Si on doit utiliser le refrighrateur avant qu’il soit
raccorde B la canalisation d’eau, placer la commande
de la machine B glacons B la position d’arr6t (OFF)
pour emp6cher que la machine g glacons fonctionne
sans produire de glace.
l
Tous les aspects de l’installation doivent 6tre
conformes aux exigences des codes de plomberie
iocaux.
LE FABRICANT DU REFRIGERATEUR
OU DE
LA MACHINE
A
GiACONS
N’ACCORDE AUCUNE GARANTIE
A
L’EGARD DE L’iNSTALiATiON.

Raccordement 5 une
canalisation d’eau
1. Trouver une canalisation d’eau FROIDE verticale de
% po a 1 l/4 po au voisinage du refrigerateur.
REMARQUE
: On peut alimenter le refrigerateur a
partir dune canalisation horizontale, mais on doit
alors observer la precaution suivante : perter par le
dessus de la canalisation, et pas par le dessous.
Ainsi, I’eau ne risquera pas d’arroser la perceuse.
Ceci empkhe egalement les sediments qu’on
trouve normalement dans l’eau de s’accumuler dans
le robinet d’arret.
2. Mesurer la distance entre le point de connexion a
l’arriere du refrigerateur et la tuyauterie d’arrivee
d’eau. Ajouter une longueur de 2,l m (7 pi) pour
permettre le d&placement du refrigerateur pour les
operations de nettoyage. C’est la longueur du tube
en cuivre de l/4 po de dia. ext. qu’on doit utiliser
pour le raccordement (distance entre le point de
connexion et la tuyauterie d’arrivee PLUS 2,l m
[7 pi]). Veiller a ce que le tube soit coupe d’equerre
aux deux extremites.
3. FERMER le robinet de distribution d’eau principal.
OUVRIR le robinet de puisage le plus proche
pendant une periode suff isante pour que la
canalisation d’eau se vide.
4. A I’aide dune perceuse electrique reliee a la terre,
perter un trou de Xt po dans la canalisation d’eau
froide choisie.
5. Fixer le robinet d’art-et sur la canalisation d’eau
froide avec la bride de prise en charge. Verifier que
le raccord du robinet est bien engage dans le trou
de X po per& dans la canalisation, et que la
rondelle d’etancheite est placee sous la bride de
prise en charge. Serrer I’ecrou de serrage sur la tige
du robinet. Serrer soigneusement et uniformement
les vis fixant la bride de prise en charge sur la
tuyauterie, afin que la rondelle forme une jonction
etanche. Ne pas serrer excessivement, car ceci
pourrait provoquer I’ecrasement du tube en cuivre,
particulierement s’il s’agit d’un tube en cuivre
malleable. On est alors pret a connecter le tube de
raccordsment en cuivre.
6. Enfiler I’ecrou et la bague de compression du
raccord sur le tube en cuivre, comme on le voit sur
I’illustration. lnserer I’extremite du tube aussi loin
que possible dans I’ouverture de sortie du robinet.
Visser I’ecrou du raccord a compression sur le
raccord de sortie avec une cle a molette. Ne pas
serrer excessivement. Ouvrir le robinet d’arrivee
d’eau principal, et laisser I’eau s’ecouler par le tube
de raccordement jusqu’a ce qu’elle soit limpide.
Fermer le robinet d’arrivee d’eau principal. Enrouler
le tube de raccordsment en spirale.
Canalisation
Tube en cuivre flexible
d’btanchkitk de %po de dia.
ext.
(longueur Bgale B la
distance entre I’entrke
d’eau h I’arrkre du
ti compression VERS R6FRIGh3ATEUR +
10

Raccordement au r6f rigkateur
1. (Dans le cas d’un ensemble d’installation, installer
Utiliser uniquement du
la valve d’entree d’eau sur le refrigerateur
tube en cuivre de % po
conformement aux instructions fournies avec
pour le raccordement 5
I’ensemble.) Faire passer le tube en cuivre dans la
la canalisation d’eau
bride d’immobilisation tel qu’illustre a gauche.
froide
Connecter le tube en cuivre de 1/4 po provenant du
robinet d’arret d’eau a la valve d’entree d’eau dans
I’angle inferieur arriere gauche de la caisse. Utiliser = =
Bride d’immobilisation
un raccord a compression (bague de compression 00
00
plus ecrou) tel qu’illustre a gauche. Serrer l’ecrou 00
Bague de compression
de compression. Ne pas serrer excessivement. 00
et Bcrou du raccord 1
2. OUVRIR le robinet d’arr6t. INSPECTER POUR 00
00
.
compression - % po
RECHERCHER LES FUITES. SERRER TOUT
00
RACCORD OU fkCROU COMPORTANT UNE -0
FUITE (CECI INCLUANT LES RACCORDEMENTS
DE LA VALVE D’ENTRtE D’EAU).
3. La machine a glacons est equip6 d’un filtre a eau
incorpore. Si la qualite de I’eau distribuee
localement necessite un nettoyage periodique, ou si
I’eau qui alimente I’appareil provient d’un puits, il
serait utile d’installer un second filtre avec le tube
de raccordement de 1/4 po. On peut obtenir un tel
filtre a eau chez le concessionnaire d’appareils
menagers le plus proche. Installer le filtre au niveau
de n’importe laquelle des connexions du tube de
raccordement.
4. Rebrancher le rkfrigkrateur sur la source
d’alimentation electrique.
11

Remplacement des ampoules Glectriques
Risque de choc Blectrique
Avant d’enlever une ampoule electrique ou de
retirer un &ran protecteur pour le nettoyage,
debrancher le refrigerateur de la prise ou fermer
la source d’alimentation Blectrique principale.
Le non-respect de cette instruction peut Qtre la
cause d’un choc electrique.
Pour remplacer I’ampoule du rkfrigtkateur :
1. Debrancher le refrigerateur de la prise.
2. Saisir I’ampoule sit&e derriere le tableau de
commande.
3. La remplacer par une ampoule de 40 watts pour
appareil electromenager.
4. Rebrancher le refrigerateur.
REMARQUE : Votre refrigerateur ne pourra pas
accommoder toutes les ampoules commerciales pour
appareils electromenagers. S’assurer de faire le
remplacement par une ampoule de taille et de forme
similaires.
12

Les bruits de I’appareil
II est possible que le refrigerateur emette des bruits
que le precedent ne produisait pas. Comme ces bruits
sont nouveaux, ils peuvent vous inquieter. Ne vous
faites pas de souci. La plupart des bruits nouveaux
sont normaux. Les surfaces dures, comme le
plancher, les murs, les armoires, peuvent faire paraitre
les bruits plus forts.
Les paragraphes suivants decrivent les bruits qui
sont susceptibles de vous sembler nouveaux et leur
origine.
Bourdonnement Mger, sifflement
doux
Ils peuvent etre dus au moteur du ventilateur du
refrigerateur et a la circulation de I’air.
Bruits sets ou claquements
Le thermostat emet un bruit set distinctif lorsque le
moteur du refrigerateur s’arrete. II en emet aussi un
lorsqu’il se remet en marche. La minuterie du
degivreur produit un bruit set au debut et a la fin du
cycle de degivrage.
Gargouillement
Lorsque le refrigerateur cesse de fonctionner, un
gargouillement peut se produire dans la tuyauterie
durant les quelques minutes suivantes. II est aussi
possible que I’eau du degivrage Qmette un bruit en
tombant dans le plateau de degivrage.
Bruits de la machine B glaqons
l koulement de I’eau
l Bruit sourd (entrechoquement des glacons)
Comme le refrigerateur est muni dune machine a
glacons, vous entendrez peut-etre des
bourdonnements (du robinet d’eau), des
gargouillements et le bruit des glacons qui
s’entrechoquent.
Bruits mkaniques
Le refrigerateur est equipe d’un moteur et d’un
compresseur a haute efficacite. II fonctionne plus
longtemps que les anciens modeles. II peut meme
sembler fonctionner sans arret.
Conseils pour hconomiser I’hnergie
Vous etes en mesure de reduire la consommation
d’energie du refrigerateur en prenant quelques
precautions.
l Verifier si les joints des portes sont etanches.
Installer la caisse de niveau pour assurer
l’etancheite.
. Nettoyer regulierement les serpentins du
condenseur.
l Ouvrir la Porte le moins souvent possible. Decider
des articles requis avant d’ouvrir la Porte. Retirer tout
le necessaire en une seule fois. Organiser
adequatement le contenu afin d’eviter de chercher.
Fermer la Porte des que les aliments ont ete retires.
l Remplir le refrigerateur au besoin, mais Qviter de le
surcharger et d’empecher ainsi la circulation de I’air.
l Le reglage du refrigerateur et du congelateur a des
temperatures plus elevees que necessaires con-
somme inutilement de I’electricite. Si la creme glacee
est ferme dans le congelateur et que les boissons
sont aussi froides que voulues, la temperature est
correcte.
l S’assurer que le refrigerateur nest pas installe a
proximite dune source de chaleur, telle que
cuisiniere, chauffe-eau, fournaise, appareil de
chauffage, ou directement expose au soleil.
Inversion du sens d’ouverture des portes
On peut changer les charnieres du refrigerateur pour
que les portes s’ouvrent dans I’autre sens. Consulter
les instructions se trouvant dans la documentation.
13

Entretien du r6frighateur
Ce refrigerateur a et6 conga et construit pour offrir de nombreuses an&es de service file. L’utilisateur peut
cependant faire certaines chases pour en augmenter la long&it& Cette section dewit comment nettoyer le
refrigerateur, et ce qu’il faut faire avant une p&ode de vacances, avant un demenagement, ou a l’occasion dune
interruption de l’alimentation kctrique.
Nettoyage du rhfrigkateur
Les compartiments refrigerateur et
congelateur se degivrent automati-
liiiiil
Rlsique de blessums
quement. Tous deux doivent cependant Les tubes du systeme de r&ig&ation sent situb
&re nettoyks environ une fois par mois, J - prks du plateau de d&&age et peuvent devenir
afin de prevenir l’accumulation d’odeurs. chauds. Retirer et replacer le plateau de
Essuyer immediatement les produits renversk degivrage avec soin.
Pour nettoyer le refrigerateur, debrancher l’appareil, Le non-respect de cette instruction peut &tre la
retirer toutes les pieces amovibles et les nettoyer cause de blessures.
conformement aux instructions suivantes. I
PIkE MAT&IEL
PIBces amovlbles i?ponge ou chiffon avec
(clayettes, bat &I detergent doux et eau
legumes, etc.) tilde
Ext&leur tponge, chiffon ou
MhHODE DE NElTOYAGE
l
Laver a la main, rincer et s&her B fond.
l
Laver I’exterieur du rdfrigdrateur. Ne pas utiliser de
essuie-tout en papier nettoyants durs ou abrasifs.
avec detergent doux, eau
l
Essuyer et s&her B fond.
tilde et tire pour appareil
Olectromenager (ou tire
l
Cirer les surfaces metalliques peintes au moins deux fois
en p&e de qualite pour par an. Appliquer la tire avec un chiffon doux et propre.
automobile) La &age des surfaces mhalllques pelntes les
prot&ge contre la roullle. No pas utlllser de clre sur lee
p&es en plastlque.
Parols lnt6rleures tponge, chiffon doux ou
l
Laver avec de I’eau tilde et
(le congelateur doit Otre essuie-tout en papier
assez tilde pour que le - du detergent doux ou
avec bicarbonate de
chiffon n’adhere pas) soude ou detergent doux - du bicarbonate de soude (26 g [2 cuilleres
A
soupe]
et eau tilde ajoutes
A
0,95 L [l pinte] d’eau).
l
Essuyer et s&her
A
fond.
Gamltures et Jolnts tponge, chiffon doux ou
l
Laver, rincer et secher
A
fond.
des porter essuie-tout en papier NE PAS UTILISER de clres nettoyantes, de detergents
avec detergent doux et concentrh, d’eau de Javel nl de nettoyants contenant
eau tiAde du p&role, sur des pkces en plastlque.
Plhces en plastlque fkponge deuce et propre
l
Laver, rfncer et s&her
A
fond.
(couvercles et ou chiffon doux et propre NE PAS UTILISER d’essule-tout en papler, de
panneaux) avec detergent doux et nettoyants pour vltres, de prodults P &curer nl de
eau tilde solvants Inflammables, car lb rlsquent d’hgratlgner ou
d’endommager le mat6rlel. Volr ‘Importantes lnstruc-
tlons de s6curitO”
A
la page 2.
Plateau de d6glvrage cponge ou chiffon avec
l
lkarter le refrigerateur du mur.
(en arriere de la caisse detergent doux et eau
audessus du moteur) tilde
l
Laver, rincer ou essuyer et s&her B fond. Ne pas retirer
lo plateau de ddglvrage pour nettoyage.
l
Repousser le r6frigkateur en place. Laker un espace
de 23 cm (1 po) entre le mur et le condenseur a l’arriere
du refrigerateur.
l
Vkifiir si kppareil est au niveau.
Serpentlns du Accessoire Otroit et long
condenseur de I’aspirateur
l
lkarter le refrigerateur du mur.
l
Enlever la poussikre et la charpie des serpentins au
moins tous les deux mois.
l
Repousser le refrigemteur en place. Laker un espace
de 2,5 cm (1 po) entre le mur et le condenseur A l’arriere
du refrigerateur.
l
Wrifiir si lkwareil est au niveau.

Preparatifs avant le depart en vacances ou un
Longuesvacances
Si les vacances durent un mois ou plus :
1. Retirer tous les aliments du refrigerateur.
2. Si votre refrigerateur est equi@ dune machine ir
gletpns :
l
Fermer l’approvkiinnement d’eau de la machine
B glacons au moins une journee a I’avance.
l
Lorsque tous les gla9ons sot-it @rises, mettre
hors circuit la machine a glagons.
3. Debrancher le refrigerateur.
4. Le nettoyer, le rincer a fond et I’essyer.
5.
A
I’aide de ruban adhesif, fwer des blocs de caout-
chouc ou de bois a la partie superieure de chaque
porte de fagon B ce qu’elles soient suff isamment
ouvertes pour permettre la circulation de l’air a
I’interieur, afin d’eviter I’accumulation d’odeurs ou
de moisissure.
Risque de blessures
Ne pas laker les enfants monter sur le
refrigerateur, jouer pr&s ou a I’interieur du
refrigerateur lorsque les portes sont ouvertes et
n’ont pas ette enlevees.
Ils peuvent se blesser ou s’enfermer.
Pour remettre le refrigerateur en marche, consulter la
page 5.
Courtes vacances
II n’est pas nkxssaire de debrancher le refrigerateur
pour une absence de moine de quatre semaines.
1. Consommer les aliments p&issables.
2. Faire congeler les autres.
3. Si votre refrigerateur est @ripe dune machine a
gla9ons :
l
Soulever le bras de commande et mettre hors circuit
la machine B glagons.
l
Fen-w l’approvisiinnement d’eau de la machine &I
g@ons.
Ddmhagement
1. Si votre refrigerateur est kquipe dune machine a
glapns :
l
Fermer l’approvisiinnement d’eau de la machine a
gla9ons au moins une joumee a I’avance.
l
Debrancher La canalisation d’eau.
l
Une fois la glace epuisk, soulever le bras de com-
rnande et mettre hors circuit la machine a glagons.
2. Retirer tous les aliments.
3. Emballer les aliments congeks dans de la neige
carbonique.
4. Debrancher le refrigerateur.
5. Le nettoyer a fond. Essuyer et s&cher a fond.
6. Retirer toutes les pieces amovibles, bien les envelop
per et les attacher ensemble a l’aide de ruban adhksif
pour qu’elles ne bougent ni ne s’entrechoquent.
7. Visser les roulettes de nivellement.
8. Fermer les portes a l’aide de ruban adhesif et fixer le
cordon d’alimentation a la caisse.
Lorsque vous arriverez dans votre nouveau domicile,
remettre tout en place et se referer B la page 4. Aussi,
&rancher l’approvisiinnement d’eau a la machine a
g&ons si votre refrigerateur est kquipe dune machine
a gla9ons.
Pannes de courant
En cas de panne de courant, telephoner a la regie
d’electricite pour s’enquerir de la duke de la panne.
1.
2.
proteger les mains contre les morsures de la
neige.
Si le service doii &tre interrompu durant 24 heures
ou moins, garder ferm6es les deux portes. Ceci
permettra d’eviter que les aliments degelent.
Si le service doit ktre interrompu durant plus de 24
heures :
ou -
(c) S’il n’y a pas dentrep& frigorifique ni de neige
carbonique, consommer ou mettre imrnkliate-
ment en conserve les aliments p&issables.
3. Un congelateur plein restera froid plus bngtemps
qu’un congelateur a rnoitie rempli. Un congelateur
plein de viande restera froid plus longtemps qu’un
congelateur rempli de pains et p5tisseries. Si les
aliments contiennent des cristaux de glace, ils
peuvent ktre remis a congeler sans danger mirme si
leur qualite et saveur risquent d’Gtre inferieures. Si
les aliments semblent de pietre qualite ou douteux,
les jeter. 15
(a) Retirer tous les aliments congeks et les
deposer dans un entrewt frigorifique.
ou
(b) Placer 900 g de neige carbonique par litre (2 lb
par pied cube) d’espace de congelation. Cela
permettra de garder les aliments congelb
durant 2 14 jours. Porter des gants pour se

Conservation des aliments
II existe une facon correcte d’emballer et de conserver des aliments au refrigerateur et au congelateur. Si vous
voulez que vos aliments restent plus frais plus longtemps, prenez le temps d’etudier les suggestions suivantes.
Conservation des aliments frais
Les aliments places au refrigerateur doivent etre
enveloppes ou gardes dans un emballage hermetique
et a I’epreuve de I’humidite. Cela empeche I’odeur et
le gout des aliments de se repandre dans tout le
refrigerateur. Pour des produits dates, verifier les dates
indiquees pour &assurer de la fraicheur des aliments.
Legumes B feuilles
Retirer I’emballage original et eliminer les taches ou
zones decolorees. Laver a I’eau froide et egoutter.
Placer dans un sac ou un contenant en plastique et
ranger dans le bat a legumes.
Legumes & pelure
(carottes, poivrons)
Ranger dans le bat a legumes, un sac ou un
contenant en plastique.
Fruits
Laver, laisser s&her et mettre au refrigerateur dans
un sac en plastique ou le bat a legumes. Ne pas laver
ni equeuter les petits fruits avant le moment de leur
utilisation. Les trier et les conserver dans I’emballage
du magasin, dans le bat a legumes, ou les conserver
sur une clayette du refrigerateur dans un sac en papier
ferme sans etre serre.
Oeuf s
Ranger sans laver dans le carton original, sur la
clayette interieure. Sur certains modeles, un contenant
pour les oeufs est aussi fourni.
Lait
Essuyer le contenant. Pour qu’il se conserve mieux,
placer le lait sur la clayette interieure.
Beurre ou margarine
Garder le beurre entame dans un beurrier muni d’un
couvercle ou dans le compartiment universel.
Envelopper les quantites supplementaires dans un
emballage pour congelateur et les faire congeler.
Fromage
Le conserver dans son emballage original jusqu’a
I’emploi. Une fois le paquet ouvert, reemballer
hermetiquement le fromage dans une pellicule
plastique ou du papier d’aluminium.
Restes
Couvrir les restes avec de la pellicule plastique ou du
papier d’aluminium. II est aussi convenable d’utiliser
des contenants en plastique a couvercle hermetique.
Viande
La plupart des viandes peuvent etre conservbes dans
leur emballage original tant que cet emballage est
hermetique et a I’epreuve de I’humidite. Emballer de
nouveau si necessaire. Voir le tableau suivant pour les
periodes de conservation. Si la viande doit etre
conservee durant une periode plus longue, suivre les
instructions relatives a la congelation.
Poulet . . . . . . . . . . . . . . . l-2 jours Bacon . . . . . . . . . . . . . . . . . . 5-7 jours
Boeuf hache . . . . l-2 jours Charcuteries . . . . . . . . 3-5 jours
Biftecks/rotis . . . . 3-5 jours Abats . . . . . . . . . . . . . . . . . . . l-2 jours
Viandes
salees . . . . . . . . . . . . . 7-10 jours
REMARQUE : Les poissons et fruits de mer frais
devraient etre consommes le jour meme de I’achat.
16

Conservation des aliments congel&
Le compartiment congelateur est concu pour conserver
les aliments surgeles en usine ou pour faire congeler
de la nourriture.
REMARQUE : Pour d’autres renseignements au sujet
de la preparation des aliments pour la congelation,
consulter un guide de congelation ou un livre de
cuisine.
Emballage
Le secret de la congelation efficace reside dans
I’emballage. II doit etre ferme et scelle de facon a
prevenir la penetration et I’bvacuation d’air ou
d’humidite. Toute autre methode d’emballage risque
d’entrainer la propagation de saveurs et d’odeurs dans
tout le refrigerateur et I’assechement des aliments
congeles.
Emballage recommandd :
l Contenants en polyethylene (plastique) rigide munis
de couvercles hermetiques
l Bocaux de conserve/congelation a bord droit
l Papier d’aluminium resistant
. Papier recouvert de plastique
l Emballages en plastique etanches (faits a pat-tir dune
pellicule Saran)
Suivre les instructions de I’emballage ou du contenant
pour les methodes de congelation correctes.
Ne pas utiliser :
. Emballages pour pain
9 Contenants en plastique autres qu’en polyethylene
l Contenants non munis d’un couvercle hermetique
l Papier paraffin5
l Emballages pour congelateur enduits de tire
l Emballages minces semi-permeables
Leur emploi risque de donner lieu a des transfer%
d’odeurs et de saveurs et a I’assechement des ali-
ments congeles.
Congelation
Le congelateur ne congele pas rapidement de grandes
quantites d’aliments. Veiller a ce que la quantite
d’aliments ne prenne pas plus de 24 heures a
congeler (au plus 32 a 48 g d’aliments par litre [2 a 3
livres par pied cube] d’espace). Laisser suff isamment
d’espace pour permettre la circulation d’air entre les
aliments. S’assurer aussi de laisser assez d’espace a
I’avant pour que la Porte ferme hermetiquement.
La periode de conservation varie selon la qualite des
aliments, le type d’emballage ou de pellicule utilise
(hermetique) et la temperature de conservation, qui
devrait etre de -17,8 “C (0 “F).
17

D6pannage
Les probl&nes de performance sont souvent dus &I des petits details que vous &es en mesure da detecter et de
r6gler vous-m&me sans outils d’aucune sorte. Avant de oontacter le service de depannage, veuillez Ike ci-
dessous la section “Avant de faire un appel de service.. .”
Avant de faire un appel de service...
Le tableau cidessous pr6sente une liste des probknes auxquels les utilisateurs des appareils menagers sont le
plus souvent confront&. Les solutions sugger6es vous pemwttmnt peut4tre de r6soudre votre probleme actuel.
PROBLkME Vl%IFIER LES POINTS SW/ANTS
Le Mrlgkateur ne
Le cordon d’alimentation est-il branch6 dans un circuit sous tension
fonctionne pas
de voltage approprie’?
Un fusible a-t-i1 saute ou le disjoncteur s’est-il dkclenche?
La commande du refrigerateur est-elle a la position ARRR (OFF)?
Les ampoules
n%clalrent pas
Le cordon d’alimentation est-il branch6 dans un circuit sous tension
de voltage approprie?
Un fusible a-t4 saute ou le disjoncteur s’est-il declenche?
Une ampoule est-elle grillee?
La machine B
glaqons ne
fonctionne pas
Le congelateur est-il suffisamment froid? Permettre au congelateur
d’atteindre la temperature correcte. Ceci peut prendre une nuit.
Le levier de la machine B glagons est-il en position MARCHE (ON) (en has)‘? (Voir
paw 8.1
La vafve d’arriv6e d’eau est-elle ouverte?
La canalisation d’eau est-elle bouch6e ou fuit-elle’?
Le tifrlg&ateur
fait des bruits
lnhabituels
Y a-t4 quelque chose sur ou derriere le refrigerateur?
Certains nouveaux bruits sont normaux. Consulter la section “Les bruits de I’appareil”
Bfapage13.
Le plateau de
Ceci est normal par temps chaud et humide. S’assurer que le plateau est de niveau
ddgivrage contlent
de fapn a ce qu’il ne deborde pas.
de I’eau
Le moteur semble
fonctionner
trop souvent
Les serpentins du condenseur sont-ils sales?
La porte est-elle ouverte fr6quemment7 Une grande quantite d’aliments a-t-elle et6
ajoutee dun coup? Le moteur fonctionne evidemrnent plus longtemps dans ces cas.
La piece est-elle chaude? Si la piece est trop chaude, le moteur tourne plus
longternps pour conserver I’appareil froid.
18

Appel d’aide ou de service
Avant de contacter le service de dkpannage, veuillez voir “D6pannage” a la page 18. Cela pourrait vous
rkonomiser le cotit d’un appel de service.
1. Si la cause du probkme n’est
pas indiquee dans la rubrique
“D6pannage”, contacter le marchand
qui vous a vendu I’appareil ou votre
succursale de service lnglis Limitbe la
2.
Si vous avez besoin de service,
contacter votre succursale de service
lnglis Limitbe ou un centre de service
autorisk
plus proche. Veuillez inclure un numkro de
t&phone air I’on peut vous atteindre pendant
la journke.
REMARQUE : Lorsque vous appelez la service de
depannage, veuillez inclure une description detaillee
du problkme, les numkos de modkle et de skie, et la
date d’achat. Ces renseignements sont nkcessaires
pour rbpondre rapidement & votre demande.
lnglis Limithe service d’appareils mhagers -
Succursales de service direct :
Service aux consommateurs
COLOMBIE-BRITANNIQUE
ALBERTA
Vancouver
Victoria
Calgary
Edmonton
lnglis Limitke Service d’appareils menagers (604) 291-6426
3627 E. 4th Avenue 1-600-665-6766
lnglis Limitbe Service d’appareils mbnagers (604) 383-2298
3117 Steele Street 1-600-665-6768
lnglis Limitke Service d’appareils mbnagers (403) 453-9267
#15, 6025 12th Street S.E. l-600-661 -1022
lnglis Limitde Service d’appareils mknagers (403) 453-3900
16236 116th Avenue l-000-661 -6291
ONTARIO Toronto
(Mississauga)
Toronto
(Markham)
Ottawa
lnglis Limitbe Service d’appareils mbnagers
5945 Ambler Drive
lnglis Limitde Service d’appareils mdnagers
Unit #l, 110 Torbay Road
lnglis Limitke Service d’appareils mknagers
28 Capital Drive
(905) 621-3900
1-000-007-6777
(905) 475-9511
1-000-007-6777
(613) 225-0510
l-000-267-3456
MANITOBA
QUEBEC
Winnipeg
MontrOal
(Laval)
Brossard
Quibec
Sherbrooke
(Rock Forest)
lnglis LimitOe Service d’appareils mknagers
1663 Church Avenue
lnglis LimitOe Service d’appareils mOnagers
2750, ave Francis-Hughes
lnglis Limitde Service d’appareils mbnagers
9605 F, rue lgnace
lnglis Limithe Service d’appareils mknagers
5275, boul. Wilfrid-Hamel, Bureau 140
lnglis Limitke Service d’appareils mOnagers
3475, boul. lndustriel
(204) 694-5300
l-600-665-1 663
(514) 362-8110
l-800-361 -3032
(514) 397-1640
l-600-361 -0950
(416) 671-5251
l-600-463-1 523
(0 19) 564-6565
l-600-567-6966
NOUVELLE-CCOSSE Dartmouth lnglis Limitbe Service d’appareils mknagers
900 Windmill Road (902) 466-6634
l-000-565-1 590
SASKATCHEWAN Regina
Saskatoon
lnglis LimitOe Service d’appareils mhnager
lnglis Limithe Service d’appareils mbnagers
1-600-665-l 663
1-600-665-l 663
Pour obtenir des services techniques en dehors des centres mentionnks,
contactez votre marchand d’appareils mkagers.
19

Garantie
Cher client,
Une bonne performance. Voila I’objet de notre garantie. Et voici comment est
protegee la performance que vous attendez de votre refrigerateur.
GARANTIE DE VOTRE ReFRlGERATEUR
Au tours de la premiere an&e suivant I’achat, toutes les pieces de I’appareil presentant un
vice de materiau ou de fabrication seront reparees ou remplacees gratuitement (pieces et main-
d’oeuvre).
Au tours des cinq premieres an&es suivant I’achat, toutes les pieces du systeme etanche de
refrigeration comprenant compresseur, condenseur, dvaporateur et tubulure, qui presenteront un
vice de materiau ou de fabrication, seront reparees ou remplacees gratuitement.
Au tours de la sixieme jusqu’a la dixieme annee inclusivement suivant I’achat, si le
compresseur fait defaut par suite de materiaux ou de main-d’oeuvre defectueux, le compresseur
sera repark ou remplace et vous ne paierez que les frais de main-d’oeuvre.
Des frais de voyage ou de transport peuvent etre factures dans le cas air le client habite dans
un endroit eloigne.
Les pieces reparees ou remplacees conformement a la presente garantie ne seront garanties
que pour le reste de la periode de garantie initiale.
Cette protection couvre I’utilisation domestique de I’appareil. La meme protection s’applique a
tout proprietaire ulterieur au tours de la garantie applicable, d’apres la date d’achat par le
proprietaire initial.
Cette garantie ne couvre pas les dommages encourus a la suite d’accident. mauvaise utilisation,
installation inadequate, incendie, inondation ou desastres naturels.
La presente constitue la seule garantie du fabricant couvrant cet appareil.
Les dispositions de cette garantie constituent une addition et non une modification ou une
deduction des garanties legales et autres droits et recours faisant partie de toute loi applicable.
Parlons maintenant de I’entretien. Si votre appareil ne fonctionne pas bien, consulter
“Depannage” (page 18) pour determiner s’il est possible de resoudre le probleme sans
I’assistance d’un technicien. Si tel n’est pas le cas, veuillez prendre contact immediate-
ment avec le detaillant chez qui I’appareil a et6 achete ou avec I’un de nos Centres de
service appartenant a la compagnie ou avec des centres de depots de la compagnie
situ& dans tout le Canada.
Veuillez conserver votre recu d’achat avec le Guide d’utilisation et d’entretien. II est
bon de pouvoir compter sur cette protection, meme si vous n’avez jamais besoin de
vous en servir.
Sincerement,
INGLIS LlMlTiE
CENTRE D’ADMINISTRATION
1901 MINNESOTA COURT
MISSISSAUGA, ONTARIO L5N 3A7
20

Lo invitamos a leer este manual de uso y manejo antes de utilizar su refrigerador Whirlpool. Es muy importante
seguir esta informacbn con el ohjeto de hater un uso seguro y apropiado de su aparato.
lndice
PBgina
Seguridad del Refrigerador ..................................... 3
Partes y Caracterfsticas ........................................... 4
Antes de Usar su Refrigerador.. .............................. 5
Como Usar su Refrigerador.. ................................... 7
Como poner en posiciin bs controles ................. 7
Como quitar las parrillas del refrigerador ............. 7
Como quitar el caj6n para came y la tapa ........... 8
Como quitar el cajon para legumbres y la tapa.. . .8
Como quitar la parrilla del congelador ................. 9
Uso de charolas para hieb .................................. 9
Como usar la fabrii de hielo
autorrktica opcbnal ............................................. 9
PAgina
Conexbn de la fabrica hieb al
suministro de agua ............................................ 10
Conexfon de la tuherfa de agua .........................
11
Conexfon al refrigerador .................................... 12
Como camhiar bs focos .................................... 12
Soniidos provenientes de su refrigerador ........... 13
Ahorro de energia .............................................. 13
Como carnhiar la abertura de la puerta .............. 13
Cuidado de su Refrigerador .................................. 14
Guh para la Conservacidn de 10s Alimentos ....... 18
Localization y ReparacMn de Averfas .................. 18
Pdliza de Garanth .................................................. 19

IMPORTADO POR:
Vitromatic Comer&l, S.A. de C.V.
Ave. San Nicoks 2121 Nte.
Cal. lo. de Mayo
Monterrey, N.L. Mexico
Tel. 329-22-66
FABRICADO POR:
Whirlpool Corporation
Benton Harbor, Michigan
USA
AVIS0 IMPORTANTE
I
Estimado Cliente: Para que la conexion de su aparato se efectue a la mayor brevedad y
sin contratiempos, le recomendamos tener liitos los siguientes requisites. I
REQUERIMIENTOS REFRIGERADORES REFRIGERADORES
con fdbrica de hielo
I. DE ENERGIA ELECTRICA
Voltaje 127 Volts con fusible de 15 amperes
l .
Contact0 de 3 polos 0 .
Circuit0 individual para el aparato . 0
Regulador de voltaje 0 .
II. DE AGUA
Torna de agua frfa
Ill. MATERIALES PARA INSTALACION DE AGUA
Union “r” de 1,27 cm a 0,635 cm (%’ a 1/4”) a
Tubo de cobre de 0,635 cm (1/4*) en espiral (segun distancia)
l
FILTRO DE AGUA WHIRLPOOL 0
3 tuercas campana de 0,635 cm (Yi”) a
Nota: La conexi6n de su aparato por el Centro de Servicio no in&ye instalactin de
fontanerfa, albaiiilerfa, cableado ektrico.
ESPECIFICACIONES TECNICAS
Potencia nominal: 8,5
Watts
Frecuencia de operaci6n: 60
Hz
Tension de alimentacibn: 127
Volts
ESTE MANUAL DE US0 Y MANEJO APLICA PARA
LOS SIGUIENTES MODELOS:
ET1 4NK, ET14JK,
ET1 4JM, ET1 4HJ

Seguridad del Refrigerador
Su seguridad es importante para
nosotros.
Esta guia wntiene declaraciones bajo shnbobs de
advertencia. Por favor ponga atencih especial a Este shhlo lo
ahtar y da& expliii6n pam
640s y siga cualquier instrucctin proporcionada. Aqul evitar un posible daho personal, coma quemadura o
corto circuito.
estd una
explicacih rApida de el uso de este simbob.
INSTRUCCIONES IMPORTANTES DE SEGURlDAD
Para reducir el riesgo de incendio, choque elhctrko o lesidn
cuando use su refrigerador, siga estas precauclones Mskas:
l
Lea todas las instrucciones antes de usar el
refrigerador.
l
Los nibs que se asfotian 0 quedan atrapados
dentro de un refrigerador no son problemas del
pasado. Los refrigeradores que son abandonados
o deschados ah constituyen un peligro . . . ah si
se “dejan en el garaje por &lo unos dias.”
Si usted va a descartar su refrigerador
antiguo, Mgab de manera segura. Lea el folleto
sobre seguridad que se adjunta publicado por la
Asociactin de Fabricantes de Aparatos
Dom6sticos. Ayude a evitar accidentes.
l
Nunca permita que los nihos hagan funcionar,
jueguen o se escondan en el interior del
refrigerador.
l
Nunca limpie las piezas del refrigerador con
liquidos inflamables. Los vapores pueden causar
incendios o explosiones.
. PARA SU SEGURIDAD
l
NO ALMACENE 0 USE GASOLINA NI LIQUIDOS
INFlAMABLES EN LA PROXIMIDAD DE ESTE 0
DE CUALQUIER OTRO ARTEFACTO. EXISTE EL
PELIGRO DE QUE LOS VAPORES PROVOQUEN
UN INCENDIO 0 UNA EXPLOSION.
- CONSERVE ESTAS INSTRUCCIONES -
Aytidenos a ayudarle
Le rogamos seguir las siguientes recornendaciones:
l
lnstale y nivele el refrigerador en una superfiiie que
pueda soportar su peso y en un ha que sea
adecuada para su tamaiio y uso.
l
No instale el refrigerador cerca de un horno, radiador
u otra fuente de cabr.
l
No use el refrigerador en un drea donde la
temperatura ambiente puede ser inferior a 13°C
(55°F).
l
Mantenga el refrigerador protegido contra cambiis
de clima.
l
Conecte el refrigerador solamente al tipo de
tomacorriente adecuado, con la fuente de energia y
debidamente aterrizado. (Consulte la hoja de
instrucciones sobre los Requerimientos Ektricos y
Aterrizado.)
l
No guarde alirnentos en el refrigerador hasta que no
est6 completamente frlo.
l
Use el refrigerador de acuerdo a las instrucciones de
este manual.
l
Preocljpese del mantenimiento adecuado del
refrigerador.
l
Asegtirese de que el refrigerador no sea usado por
alguna persona que no est6 capacitada para hacerlo
en forma debida.
3

Partes y Caracteristicas
Este secctin contiene hs ilustrecbnes y bs nombres de las parks de su refrigerador. Uselas pare famiiiirizarse
con la ubiicih, caracterkticas y apariencia de las per&. Pare su conveniencia, se hen indbedo tambi6n bs
nlimeros de bs pSginas correspondientes.
NOTA: El modeb que usted ha comprado puede tener todas o algunas de las partes y caracteristicas que se
muestran y puede que no coincida exactamente con la ilustraci6n. Este manual abarca varbs modebs.
Fhbrica de hieloa
;::%:;a*
en algunos
modelos)
(P. 9)
Parilla ajustable en al congelador
(media parilla en algunos modeloa)
(p. 9)
/
Dep6sito para
hielos
Panel de control de
temperatura -,
(P. 7)
Etiqueta con el
nQmero da modelo
ydeseriey
(en la pared lateral)
Tapa del cajdn para
carnes
(pktico
reaistente)
b 6)
Caj6n pars car-/
Parillas ajustablw /
(P. 7)
Tapa del cajdn para
(de vidrio en algunos
modelos) (p. 8)
nhreladorea A
Ftodadillos
(no se ilustran) (p.
6)
Anaqudes en la
P contrapuerta
I Empeque
magnQic0 en Ias
I puertas
Compartimiento
para kteos
ctzr;;;
>
Anequelem fijos
on la contrapuerta
Cajones para
_- legumbres
(caj6n
a todo lo ancho en
algunos modelos)
(P- 6)
Panel de control de temperatura
Control de
temperatura Interruptor de luz
4

Antes de Usar su Refrigerador
Es importante que prepare su refrigerador para usarlo. Esta se&k le explica coma limpiarlo, conectarfo a la
fuente de energla, instalarb y nivelarb.
Limpieza de su refrigerador
Retire las etiquetas comerciales
Retire cualquier etiqueta interior (except0 la etiqueta
Estos pueden dahar el material. Ver “Instrucciones
Importantes de Seguridad” en la pagina 3.
Como q&tar 10s restos
de goma:
l
Frote fuertemente con el pulgar para formar una
con el numero de modeb y de serie) antes de war el
NOTA:
No quite las etiquetas con instrucciones
refrigerador. permanentes colocadas dentro del refrigerador. No
quite la FKha Trknica cobcada bajo el refrigerador,
en la pane delantera.
- - -
bolita y luego quitela.
Limpieza antes del uso
0 Despues de quitar todos los materiales de
l
Humedezca el area con detergente liquid0 para lavar empaque, limpie su refrigemdor antes de
platos y luego quite la goma coma se describi6 usarb, si es necesario. Vea las instruc-
anteriormente. No use instrumentos afitados, ako- ciones de limpieza en la pagina 14.
hol, liquidos inflamables o limpiadores abrasivos.
Como Enchufar su Refrislerador
M&do Recomendado para el Aterrizado
Se requiere una fuente de energia electrica de 127
Vofts, 60 Hz, CA - solamente con fusibles de 15 o 20
amperes y debidamente ate&ado. Se recomienda
que use un circuit0 separado exctusivo para este
aparato. Use un tomacorrfente que no pueda ser
puesto fuera de circuit0 con un interruptor o con una
cadena. No use un cordon de extension.
Ver bs Requerimientos Ektriis y las
lnstrucciones para el Aterrizado incluidos en le
documentation.
Tomecorriente eterrizado de
pared con tres entradas
Cab
elk
r&l
Clavija trip&r eterrtzeda
lnstalacidn correcta
1. Deje un espacio de 1,25 cm (W) a cada lado y en
la parte superior del refrigerador para facilitar la
instalacion.
2. Si el lado de las bisagras del refrigerador
va a
estar
contra una pared, usted debe dejar espacio
adicional para abrir mejor la puerta.
3. La parte trasera del refrigerador puede quedar
directamente contra la pared.
5

Nivelacih
Su refrigerador tiene 2 rodadilbs delanteros
reguiabies para evitar la desnivelacih en pisos no
parejos.
Para regular km rodadillos:
1.
Ruede el refrigerador
a
su lugar.
2. Regule bs rodadilbs girando los tomilbs
niveiadores, situados en la parte delantera de la
base.
l
Gire a la derecha para levantar.
. Gire a la izquierda para bajar.
NOTA:
Los rodadillos esth regulados
correctamente cuando el refrigerador no se mueve
cuando se abren y cierran las puertas.
3. Repita este procedimiento cada vez que mueva el
refrigerador.
NOTA:
Si desea que las puertas cierren m&s
f&Ylmente. use bs rodadilbs para levantar
ligeramente la parte delantera del refrigerador.
I I
Use un dssarmador
para regular
A ia derecha para
ievantnr; a la
izqulerdn para
bajar
Tornlllo niveiador

Como Usar su Refrigerador
Para obtener ios mejores resuftados posibies de su refrigerador, es importante que usted b haga funcionar en
forma debida. Esta secci6n le explica coma ajustar los controles, coma sacar y ajustar Ios componentes de su
refrigerador y coma ahorrar energia.
Corn0 poner en position 10s Controles
Los controles del refrigerador y congelador es&r en el
interior del refrigerador. Al enchufar el refrigerador por la
primera vez:
l
Coioque ei Control de ia Temperatura en 3
(normal).
Los limites del contol de la temperatura
son desde 1 (menos frio) hasta 5 (m&s frio).
NOTA:
Al girar el Control de la Temperatura a la
position OFF (apagado), se detiene el enfriimiento
en el refrigerador y en el congelador, pero no
desconecta al refrigerador de la corriente ektrica.
Espere hasta que el refrigerador se enfrie completa-
mente antes de colocar alimentos. Esto puede llevar
varias horas.
Los ajustes que se indican anteriormente son
correctos para el uso dome&o normal del
refrigerador. Los controies estaran ajustados a la
temperatura correcta cuando la leche o el jugo estl
tan frio coma a usted le agrada y cuando el helado
esta firme.
NOTA:
El control incorporado de la humedad exterior
protege continuamente contra la humedad que se
acumula en el exterior del gabinete del refrigerador.
Como quitar las parrillas del I
Ajuste las parrillas del refrigerador de acuerdo a la
manera que usted prefiem.
Para quitar ias parriiias:
1.
Saque todos bs artlculos de la parrilla.
2. Deslice la parrilla derecho hacia afuera hasta
el tope.
3. Levante la parte trasara pare que quede sobre
el tope.
4. Deslice la parrilia hacia afuera completamente.
Para coiocar ias parrilias:
1.
Cobque la parte posterior de la parrilla sobre la
guia situada en la pared del gabinete.
2. Guie la parte delantera de la parrilla hacia dentro de
la gula.
3. Desiice la parrilla hasta el fondo.
!f riger; dor
7

Corn0 quitar el caj6n para came y la tapa
(en algunos modelos)
Para quitar ei cajbn para came:
1.
De-slice ei caj6n para came hacia afuera hasta el
tope.
2. Levante la pane delantera del cajon para came.
3. Desliie el caj6n para came completamente
ha& afuera.
4. Vueka a cobcar en el orden inverso.
Para quitar la tapa:
1.
Saque el caj6n para came.
2. Empuje la tapa hacia at& para desenganchar bs
sujetadores traseros.
3. Incline hacia arriba la parte delantera de la tapa.
4. Tire la tapa hacia afuera en linea recta.
Para coiocar la tapa:
1.
Alinee Las ranuras y bs sujetadores de la parte
inferior de la tapa sobre las barras traseras
centrales de la par&.
2. Haga descender la tapa a su lugar.
3. Tire la tapa hacia adeiante para que bs sujetadores
traseros aseguren la tapa.
4. Vuelva a cobcar el caj6n para came.
Saque ei caj6n pam came
ante8 de sacar ia tapa.
Como quitar el caj6n para legumbres y la tapa
Para quitar ei (10s) cajbn(es) para iegumbres:
1. Desliie el (bs) cajon(es) derecho hacia afuera
hasta el tope.
2. Levante la parte delantera.
3. De&e el cabn ha& afuere completamente.
4. Vuelva a cobcar en orden inverso.
Para quitar la tapa:
1.
Levante hacia arriba la tapa y saque el soporte de
la tapa.
2. Levante la tapa hacia arriba y deslicela hacia afuera.
Para coiocar is tapa:
1.
Enganche las orillas de la tapa en las ranuras m&s
bajas del gabinete y empuje ha& adentro.
2. inserte el soporte de la tapa (con la pestaha larga
ha& la parte delantera) en la muesca situada en la
cara inferior de la tapa.
NOTA:
Si el soporte necesita ajuste, gire la base a
la derecha para ievantar o a la izquierda para bajar.
Levante ha&
arriba Ia tapa y
iuego ievante ia
parte tmsem.

Como quitar la parrilla del congelador
(en algunos modelos)
Saque la parrilla del wngelador para faciiitar
la limpieza.
Para quitar la parriiia:
1.
Saque bs artfcub que estan en parrilla.
2. Levante la parte trasera de la parrilla para que
quede sobre ei tope.
3. Deslice la parrilla derecho hacia afuera.
Para coiocar ia parrlila:
1.
Deslice la parte trasera de la parrilla en las guias de
h parrilla situadas en las paredes dei gabinete.
2. Deslice la parrilla hacia adentro hasta el fondo.
Uso de las charolas para hielo
Si no se usan los cubes de hielo, su tamaho se
reduce. El aire frio que circula produce una
evaporation lenta. Mientras m6s tiempo pass sin usar
bs cubes, r&s pequeibs se quedaran.
Para sacar ei hieio:
1.
Sujete la charola por ambos extremos.
2. Tuerza levemente.
Como usar la fgbrica de hielo automgtica optional
Si su refrigerador tiene una fibrica de hieb autondtica
o si usted intenta agregar una m& tarde (p6ngase en
wntacto con el distribuidor para obtener el numero de
la pieza), a continua&n se incluye cierta informactin
que usted debe saber.
l
La palanca ON/OFF es un brazo de control ektrico.
Cuando esta en la posiciin HACIA ABAJO (onl
encendido) se fabrica hielo autondticamente
Cuando est4 en la posiciin HACIA ARRIBA (off/
apagado) se fabrica de hielo queda desconectada.
IMPORTANTE: No
ponga en marcha la fabrica de
hielo hasta que no haya sido conectado al suministro
de agua.
ARRIBA
pam no
fabrka
hleio.
ABAJO
pam fabrica
hieio.
l
Si usted saca el dep6sito del hielo, levante la
palanca para deswnectar la fabrii. Cuando vuelva
a colocar el deprkito, empujeb hasta adentro y baje
la palanca a la posicidn ON (encendido).
l
Para obtener hieb de buena calidad es necesarb
que el agua sea tambien de buena calidad. Se
recomienda no wnectar la fabrica de hieb a un
suministro de agua suave. Los productos quimicos
del purifmdor del agua (tal wmo la sal proveniente
de un purificador que este funcionando mal) pueden
dahar el molde de la fabrii de hieb y producir hielo
de mala calidad. Si usted no puede evitar usar un
suministro de agua suave, asegirrese de que el
puriiicador del agua este funcionando debidamente y
sea bien mantenido. 9

Solucidn a problemas comunes de la fabrica de hielo
PROBLEMA POSIBLE CAUSAKOLUCION
Los cubes de hieio se
l
Esto es normal. Elbs se separan faciimente. Agite el depkiio ocasionaimente
unen en ias esquinas
para mantener bs cubes separados.
La fabrica de hieio no
l
La palanca de ON/OFF (encendido/apaqado) esti en la posiciin OFF (HACIA
funciona 0 la
ARRIBA). Baje la palanca
a
la posicbn ON (HACIA ABAJO).
fabrkacldn es ienta
l
El wngeiador no esta bastante frio. Ajuste bs wntroles de la temperatura y
espere 24 horas. (Ver Como poner en position de bs wntroles” en la
pagina 7.)
Oior y sabor
l
Las wnexbnes de la pbmeria nueva pueden hater que el hieb tenga obr o
desagradebie dei
sabor desgradable. no use bs primeros lotes de hielo.
hieio
l
Los cubes no estan frescos. Descktebs y haga nuevos cubes de hieb.
l
Los alimentos en el wngelador no estan debiiamente envueftos. Ver
pagina 16.
l
El wngelador y el deposit0 del hieb necesitan limpieza. Ver figina 14.
Conexidn de la fabrica de hielo al suministro de agua
Lea cuidadosamente todas las instrucciones antes de comenzar.
Riesgo de Choque EMctrico
l
Desconecte la energia electrica hacia el
refrigerador antes de la instalacitk.
l
El taladro electric0 dehe estar debidamente
puesto a tierra antes de hater bs orifiibs en
la tuheria del agua.
NOTA:
Su distribuidor de aparatos ebctricos tiene
disponihle un paquete con una valvuia de cierre de
silia de 0,666 cm (W), una union y tuberla de cobre.
Antes de adquirirla aseglirese de que la vafvula de
siila cumple bs c&figos de pbmeria locales. No utiliie
una valvula de tipo perforante o una valvule de silh de
0,45 cm
(%6”)
pues reduce el flujo de agua y se
obstruye m&s facilmente.
El incumplimiento de estas instruccbnes puede
ocasbnar choque ebctriw, lesion grave 0 la
muerte.
IMPORTANTE:
l
Use tuberia de cobre solamente y verifiiue si hay
fugas.
l
instale la tuberia de la fabrica de hieb en lugares
donde las temperaturas seran superiores a la
temperature de wngelactin.
HERRAMIENTAS NECESARIAS:
Suministro de agua fria
La valvula del agua de la fabrica de hieb estd provista
de una arandeh de flujo que se usa wmo un
regulador de la presbn del agua. La fabrica de hieb
debe ser correctada a una tuberia de agua frla con
limites de presi& del agua de 26-l 20 lbsIpulg.*. Si se
produce algun probJema llame
a su compaAia
de agua
potable.
IMPORTANTE:
l
Su fabrica de hieb puede demorar hasta 24 horas
en comenzar a producir hieb.
l
Si se usa el refrigerador antes de instalar le wnexion
l
Desarmador estindar
l
Ives de boca de 1,09 cm
(36’)
y 1,27 cm (W) o
2 llaves ajustables
l
Lfave de tuerca de 0,635 cm (W)
l
Broca de taladro de 0,635 cm (W)
del agua, wbque la fabrica de hieb en la posicbn
OFF para evitar que funcbne sin agua.
l
Todas las instalaciones deben ser he&as de
acuerdo con bs c&Jigos de pbmerla bcal.
l
Taladro manual o taladro ebctrico (debimente
puesto a tierra)
LA INSTALACION NO ES GARANTiZADA
POR EL FABRICANTE DEL REFRIGERADOR
10

Conexidn de la tuberia del agua
1. Busque una tuberfa vertical de agua FRIA de
1,27 cm (W) a 3,17 cm (1 W) cerca del refrigerador.
NOTA: Una tuberfa horizontal puede servir, pero se
debe tomar la siguientes precauci6nes: Taladre en
el lado superior de la tuberfa, no en la parte inferior.
Esto ayudara a mantener el agua alejada del
taladro. Esto adends evita que se acumule
sediment0 normal en la valvula.
2. Mida desde la conexi&r en la parte trasera del
refrigerador hasta la tuberfa del agua. Agregue
2,l m (7 pies) m&s para permitir que el refrigerador
pueda moverse cuando se hate la limpieza. Este
es el largo de la tuberfa de cobre de 0,635 cm (W)
de di&metro exterior que necesitara para el trabajo
(medido desde la conexion a la tuberfa del agua
MAS 7 pies (2,l ml). Asegtirese de que ambos
extremes de la tuberfa de cobre e&n cortados
derechos.
3. CORTE el suministro de agua principal. ABBA la
llave de agua mas cercana durante un tiempo
suficiente para que la tuberfa quede totalmente sin
agua.
4. Usando un taladro puesto a tierra, taladre un orificio
de 0,635 cm (W) en la tuberia del agua fria que
usted haya seleccionado.
5. lnstale la valvula de cierre en la tuberfa de agua frfa
con la abrazadera. keglirese de que el extreme de
la salida este firmemente insertado en el orificio de
0,635 cm (W) taladrado en la tuberfa del agua y
que la arandela este debajo de la abrazadera de la
tuberfa. Apriete la tuerca de presion. Apriete bs
tomillos de la abrazadera de la tuberfa cuidadosa e
uniformemente de modo que la arandela provea un
cierre herrrktico. No apriete demasiado pues puede
doblar la tuberfa de cobre, especialmente si se usa
tuberia de cobre recocido. Ahora usted puede
conectar la tuberia de cobre.
6. Deslice el tuba de compresion y la tuerca de
compreskk en la tuberfa de cobre coma se
muestra en la ilustracikt. lnserte el extreme de la
tuberfa en el extreme de la salida firmemente hasta
donde sea posible. Atomille la tuerca de
compresikr en el extreme de la salida con una llave
ajustable. No apriete demasiado. ABRA el
suministro de agua principal y deje correr el agua
hasta que salga clam CIERRE la valvula de cierre
en la tuberia del agua. Haga un espiral con la
tuberia de cobre.
Tuberia vertical
del egua frie
Tuba de
compreeidn Tuerca de
HACIA EL REFRIGERADOR +
Tuberia de cobre
de 0,535 cm (%‘)
dlPm. ext. (medide
deede la admlai6n
en la perte treeere
del refrigeredor
ha& Is tuberia del
agua m6r 2,l m
17PW
11

Conexi6n al refrigerador
1.
(En el paquete de parks para la conexbn
encontrara la valvula de cierre y podr6 ser instalada
de acuerdo a las instruccbnes incluidas en el
paquete.) Haga pasar la tuberfa de cobre a trav6s
de la ahrazadera de la tuherfa provista, corn0 se
muestra en la figura del lado izquierdo. Conecte el
tubo de cobre de 0,635 cm (IT) desde la valvula de
cierre a la pane trasera inferior de la caja del
refrigerador. Use una tuerca y manguito de
compresbn coma se muestra a la izquierda. Apriete
la tuerca de compresbn. No la apriete demasiado.
2. ABRA la valvula de cierre.
VERIFIQUE SI HAY
ESCAPES. APRIETE TODAS LAS CONEXIONES
(INCLUYENDO LAS CONEXIONES EN LA VAL-
VUlA) 0 TUERCAS QUE TENGAN ESCAPES.
3. La fahrica de hieb esta equipada con un filtro de
agua incotporado. Si las condiciones de agua
locales requieren limpieza perbdica o su fuente de
suministro de agua es un pozo, se dehe instalar un
Segundo filtro del agua en la tuberia de agua de
0,635 cm (Yi’). Adquiera un filtro de agua de su
distribuidor de artefactos ektricos mas cercano.
InsMeb en cualquiera de las conexiones de la
tuberia.
4. Vuelva a conectar la corriente ekctrica al
refrigerador.
Use solamente tuberia
de cobre de 0,635 cm
(W) dasde la tuberie del
agua frfa
Abrdm de la tuberia
on
00 Tuerca y tubo de
compreaih de
00
00 Q 0,635 cm (W)
00
00
Como cambiar 10s focos
Rlesgo de Choque Ektrlco
Antes de quitar el foco o quitar el protector de la
luz para su limpieza, desenchufe el refrigerador
o desconecte la electricidad hacia el refrigerador
en el suministro de energfa principal.
De b contrario se puede producir un choque
ektrico.
Para camblar el foco del refrigerador:
1.
Desconecte la energfa ektrica hacia el
refrigerador.
2. Quite el foco que esti detras del panel de control.
3. Reempkeb con un foco igual de 40 Watts.
4. Vuelva a conectar el refrigerador al suministro de
energfa.
NOTA:
No todos bs focos de bs aparatos ektricos
son adecuados para su refrigerador. Asegtirese de
cobcar un foco que sea del mismo
tamah y
forma
que el original.
12

Sonidos provenientes de su refrigerador
Su nuevo refrigerador puede emitir sonidos que el
antiguo no emitfa. Debiio a que estos sonidos son
nuevos para usted, usted podrfa preocuparse. No hay
motivo para elb. La mayorfa de bs nuevos sonidos
son normales. Las superficies duras coma el piso, las
paredes y bs estantes pueden hater que los sonidos
sean m&s fuertes.
A continuaci6n se describen las clases de sonidos
que usted puede escuchar y que bs producen.
Leve murmullo, silbido suave
Puede provenir del motor del ventilador del
refrigerador y del movimiento del aire.
Chasquidos o golpes secos
El termostato emite un chasquido definido cuando el
refrigerador deja de funcionar. Tambien produce un
sonido cuando el refrigerador comienza a funcionar.
El medidor de descongelaci6n tambien produce un
chasquido cuando comienza el ciclo de
descongelacion.
Sonidos del agua
Cuando el refrigerador deja de funcionar puede oir
gorgoteo en la tuberfa por algunos minutos despues
de que se detiene. Tambien puede oir el agua
descongelada que corre hacia la bandeja colectora
del agua.
Sonidos de la fabrica de hielo
l
goteo de agua
l
cafda del hielo
Usted puede oir un zumbido (la valvula del agua),
ague que gotea y el ruido de los cubes del hieb al
caer al depkito.
Los sonidos de funcionamiento
El refrigerador tiene un compresor y un motor de alta
eficiencia. Funcionara por perfodos m&s prolongados
que el modelo antiguo. Le puede parecer que el
refrigerador ests funcionando la mayor pane del
tiempo.
Ahorro de energia
Usted puede ayudar a que su refrigerador utilice
menos energfa.
l
Verifique si los empaques de las puertas estan
hermeticos. Nivele el refrigerador para asegurarse
de que el cierre es herm&ico.
l
Limpie 10s serpentines del condensador
regularmente.
l
Abra la puerta tan pocas veces coma sea posible.
Piense en b que necesita sacar antes de abrir la
puerta. Saque todo de una sola vez. Mantenga el
alirnento organizado de modo de que usted no tiene
que comenzar a buscar b que necesita. Cierre la
puetta tan pronto coma haya sacado el alimento.
l
Usted puede llenar el refrigerador. Sin embargo
debe dejar espacio para que el aire pueda circular
librernente.
l
Es un desperdicio de electricidad cobcar el
refrigerador y el descongelador a temperaturas nGs
frfas de b que sea necesario. Si el helado esta firme
en el congelador y las bebidas estan tan frfas coma
a su familia les gustan, el refrigerador estd b
suficientemente frfo.
l
Asegurese de que su refrigerador no este cerca de
una fuente de calor tal coma la estufa, un calentador
del agua, una caldera, un radiador o a la luz directa
del sol.
Como cambiar la abertura de la puetta
Las puertas de su refrigerador son reversibles. Si
usted necesita cambiir la abertura al otro lade,
consufte la hoja de instrucciones que se incluye con
su refrigerador.
13

Cuidado de su Refrigerador
Su refrigerador ha sido construido para proporcionarle muchos afios de servicii seguro. Sin embargo, hay algunas
sugerencias que pueden ayudarle a probngar su vida ail. Esta secci6n describe coma limpiar su refrigerador y
como proceder cuando se va de vacaciones, durante las mudanzas o cuando hay fallas de energia ekctrica.
Limpieza de su refrigerador mqs- ! ID - .
Tanto el refrigerador coma el congelador
se descongelan autom&camente. Sin
embargo, limpie ambos por b menos una
vez al rnes para ayudar a evitar bs olores
liiiil
Riesgo de Lesidn Personal
Los tubas del sistema de refrigera&n e&n cerca
. de la bandeja colectora del agua y puede estar
que se acumulan. Limpie los derrames caliente. Saque 8 instale la bandeja colectora del
inmediatamente. agua cuidadosamente.
Para limpiar su refrigerador, desenchtifelo, saque De lo contrario puede ocasionar una leskn personal.
Was las piezas removibles y limpie el refrigerador de
acuerdo a las siguientes in&ucciones.
PIEZA WE USAR COMO HACER LA LIMPIEZA
Piezas removibles
Esponja o paM con
l
Lavar a mano, enjuagar y secar bien.
(partillas, cajones. detergente suave y agua
etc.) caliente
Exterior
Esponja, paho o toalla
l
Lave la parte exterior de la caja del refrigerador. No use
de papel con detergente limpiadores fuertes o abrasivos.
suave, agua calinete y
l
Enjuague y seque bien.
una buena cera para
l
Coloque cera a las superfiiies de metal pintadas por b
apartos el&Aricos (0 una menos dos veces al ah. Aplique cera con un pafio
buena cera para limpiar limpio y suave.
La cera proteje las superfkles de
autotiviles)
metal plntadas contra la oxidactin. No coloque cera
en las piexas de plhtico.
Paredes lnteriores
Esponja, paib o toalla
l
Lavar con una mezcla de agua caliente y detergente
(We we et cowlsdor
se caliente para que el de papel con bicarbonate suave o bicarbonate de scdio (26 g [cucharadas] por
paiio no se pegue) de sodio o un detergente 0.95 L [cuarto de gabn] de agua).
suave y agua caliente
l
Enjuagar y secar bien.
Revestlmlentos y
Esponja, pai3o o toalla
l
Lave, enjuague y seque bien.
empaques
de papel con detergente
NO USE ceras de limpieza, detergentes concentrados,
de las puertas
suave y agua tibia
blanqueadores o limpiadores a base de petrdleo en las
piezas de pUstic0.
Piezas plhtico
(tapss y paneles)
BandeJa
colectora
del
agua
(en la parte de
atrh del gabinete,
arriba del motor)
Esponja limpia o un paho
l
Lave, enjuague y seque bien.
suave y limpio con
NO USE toallas de papel, rociadores para limpiar
detergente suave y agua
ventanas, limpiadores para fregar o llquidos
caliente
lnflamables. Estos pueden rayar o daiiar el material.
Ver “Instrucclones Importantes de Segurldad” en la
pagina 3.
Esponja o paiio con
l
Ruede el refrigerador para alejarlo de la pared.
detergente y agua
caliente
l
Lave, enjuague y seque bien. No
saque la bandela del
descongelador para Ilmplarla.
l
Ruede el refrigerador de vuelta a su lugar. Asegdrese de
dejar 23 cm (1’) entre la parle trasera del gabinete y la
pared.
Serpentlnes del
Aspiradora con el
condensador
accesorio angosto largo
l
Revise para verificar que el refrigerador est6 nivelado.
l
Ruede el refrigerador para alejarlo de la pared.
l
Aspire 10s serpentines cuando tengan polvo o esth sucios.
Los serpentines puede que necesiten ser limpiados tan a
menudo coma una vez al mes.
l
Ruede el refrigerador de vuelta a su lugar. Asegljrese de
dejar 2,5 cm (1’) entre la parte trasera del gabinete y la
pared.
l
Revise para verificar que el refrigerador est6 nivelado.
14

Cuidado durante las vacaciones y mudanzas
Vacaciones cortas
No necesita desconectar el refrigerador si usted estati
ausente por menos de cuatro semanas.
1. Use todos bs alimentos que puedan echarse a
perder.
2.
Congele todos bs otros articulos.
3. Si su refrigerador Gene una fabrica de hielo
automBtica:
l
Levante la palanca a la posici6n OFF (apagado).
l
Carte el suministro de agua a la ftirica de hieb.
Vacaciones largas
Si usted estar$ ausente por un mes 0 r&s:
1.
Saque todos bs alimentos del refrigerador.
2. Si su refrigerador tiene una fAbrica de hielo
autorn&ica:
l
Corte el suministro de agua a la f&b&a de hieb
por b menos con un dia de anticipactin.
.Cuando caiga la liltirna carga de hieb, desconecte
la fabrii de hieb. Aseglirese de que todo el hieb
es16 fuera del mecanismo que fabrica el hieb.
3. Desenchufe el refrigerador.
4. Limpieb, enjtigueb bien y s@uelo.
5.
Cobque bbques de goma o madera en la parte
superior de ambas puertas para dejadas abiertas y
permitir que el aire circule. Esto evita que el mal
olor y el moho se acumule.
Riesgo de Lesidn
Personal
No permita que 10s nifios suban, jueguen o trepen
dentro del refrigerador cuando las puertas e&n
abiertas.
Se pueden lesionar 0 quedar atrapados.
Para volver a wnectar el refrigerador, vea la @gina 6.
Mudanzas
Cuando est6 cambiindo el refrigerador a su nuevo
hogar:
1.
2.
3.
4.
5.
6.
7.
6.
Si su refrigerador Gene una f&b&a de hielo
autorrkka:
l
Carte el suministro de agua a la fAbrica de hieb
por b rnenos con un dia de anticipactin.
l
Desconecte la tuberia del agua.
l
Deje que caiga la ljltima carga de hieb, levante la
palanca a la posicitjn OFF (apagado).
Saque to&s bs alimentos del refrigerador.
Empaque todos bs alimentos wngelados con hieb
SWO.
Desenchufe el refrigerador.
Limpieb bien. Enjuague bien y seque.
Saque todas las piezas removibles, envtklvalas
bien y Nngalas juntas para que no se muevan y
hagan ruido.
Atomille hacia adentto bs rodadilbs niveladores.
Cobque cinta para mantener la puertas cerradas y
sujete wn cinta el co&n ektriw
a
la caja del
refrigerador.
Cuando llegue a su nuevo hogar, coloque todo de
vuelta en su lugar y cons&e la @gina 5. Adem&, si
su refrigerador tiene una farica de hieb autondtica,
recuerde volver a wnectar la tuberia del agua.
lnterrupciones de energia elktrica
Si la energia ekctrica se interrumpe, llame a la
wmpaiiia de luz. Pregunte cuanto tiempo va estar la
wrriente wrtada.
1.
Si el servicio se& interrumpido durante 24 horas o
menos,
mantenga ambas puertas cerradas.
Esto
ayuda a mantener bs alimentos wngelados.
2. Si el servicio va a ser interrumpido por tis de 24
horas:
(a) Saque todos el aliment0 wngelado y cokjqueb
en un wngelador separado.
0
(b) Cobque 900 g (2 libras) de hielo sew en el
wngelador por cada litro (pie ctibiw) de espacb
del refrigerador. Esto ayudarh a mantener el
aliment0 wngelado durante 2 a 4 dias. Use
guantes para proteger sus manos contra las
quemaduras del hieb seco.
;, S’
I no dispone de un wngelador separado o de
hieb sew, use o cobque en wnserva el
aliment0 que puede descomponerse.
3. Un wngelador lleno se mantiene frio par m&
tiempo que un wngelador parcialmente Ileno. Un
wngelador lleno de came se rnantiene m& frio que
un wngelador lleno de productas de panaderfa. Si
el aliment0 Gene cristales de hieb, puede ser
recongelado con toda seguridad, aunque la calidad
del sabor puede ser inferior. Si el e&ado del
aliment0 es defiiiente o si usted no se siente
seguro, descktelo.
15

Gul’a para la Conservacih de 10s
Alimentos
Existe una manera correcta de guardar y empaquetar el aliment0 refrigerado o congelado. Para mantener el
alimento m&s fresco, durante rn6s tiempo, estudie bs pasos que se recomiendan a continuacbn.
Almacenamiento de alimentos frescos
Envuelva o guarde el alimento en el refrfgerador en
material o envases herm6ticos o a prueba de
humedad. Esto evita que el obr y el s&or del
alimento circule a traves del refrigerador. Para bs
productos que tienen fecha de caducidad, veriiique la
fecha en c&dig0 para asegurar su frescura.
Las verduras con hojas
Saque h envoltura original y elimine bs tallos 0 Breas
descobrfdas o maltratadas. Lave en agua frfa y deje
escurrir. Cobque en una bolsa pbstica 0 en un
envase de pktico y almacene en el cajon para
verduras.
Los vegetales con pie1
(zanahorias, pimientos)
Guardar en el cajon para verduras en holsas plMc.as
o en envases de pktico.
Fruta
Lavar, dejar secar y cobcar en el refrigerador en
holsas de pbstico o en el compartimiento de las
verduras. No lavar o limpiar las frutillas hasta que no
esten listas para ser usadas. Clasifique y mantenga
las fresas en el envase original en el caj6n para
verduras o gukdelas en una bolsa de papel a medio
cerrar en una division del refrigerador.
Huevos
GuPrdebs sin lavar en el carton original en Las
parrillas interiores. Para su conveniencia, en algunos
modebs se ha incluido una recipiente para guardar
huevos.
Leche
Seque las cajas de carton. Para alrnacenarlas mejor,
cobque la leche en la parrilla interior.
Mantequilla o margarina
Mantenga la mantequilla que haya usado en un Plato
tapado 0 en el compartimiento cerrado. Cuando
guarde mantequilla adicional, envuelvala en papel
para congelador y congelela.
Queso
Gu&deb en su envoltura original hasta que este list0
para usarb. Una vez abierto, vuelva a envofverb bien
con pl&tico o papel de aluminio.
Restos de alimentos
Cubra bs restos de alimentos con pktico o con papel
de aluminb. Los envases de pbstico con tapas
hermeticas tambien pueden ser usados.
Carne
La mayorfa de la came puede ser guardada en su
envoltura original siempre que sea herrrktica y a
prueha de humedad. Vuelva a envolver si es
necesarb. Ver bs siguientes perbdos de
conserve&n. Cuando se almacena came por
perbdos de tiempo r&s probngado que bs indicados
a continua&n, se recomienda congebr la came.
Poll0 . . . . . . . . . . . . . . . . . . l-2 dias Tocino . . . . . . . . . . . . . . . . . . 5-7 dias
Carne de
res molida . . . . . . . . . l-2 dias Carnes frfas . . . . . . . . . 3-5 dias
Bisteceskarnes
para asar . . . . . . . . 7-10 dfas Cames variidas . . . 1-2 dfas
Cames
curadas
. . . . . . . . . . . . . 5-7
dfas
NOTA:
Use el pescado y bs mariscos frescos el
mismo dfa que bs compre.
16

Almacenamiento de Alimentas Congelados
En el wngelador se pueden consewar los alimentos
wngelados wmercialmente y aquellos que se desean
wngelar del hogar.
NOTA:
Para mayor informaci6n acerca de la
preparation del aliment0 para wngelarlo o 10s
perfodos de wnservaci6n de los alimentos, p6ngase
en wntacto con su Servicii de Extension
Coopativa
o wnsulte una gufa sobre wngelacion de alimentos o
un libro de co&a.
Corn0 envasar 10s alimentor
El secret0 de la wngelacidn exitosa es el envase. El
envase no debe permitir la entrada o salida del aire o
de la humedad. De b wntrario, el olor y sabor de bs
alimentos circular6 a traves del refrigerador y secara
el aliment0 wngelado.
Envotturas recomendadas:
l
Envases de pktiw con tapas herrrkticas
l
Frascos para wnservas/congelaci6n
l
Envoftura de papel de aluminio grueso
l
Papel con forro de pktico
l
Envolturas plAsticas impermeables (he&as de
pelfcub Saran)
Siga las instrucciones del paquete o del envase para
los metodos de wngelacion adecuados.
No usar:
l
Bolsas del pan
l
Envases pktiws que no son de polietileno
l
Envases sin tapas hermeticas
l
Papel de cera
l
Papel encerado de wngelador
l
Papel delgado semipermeable
El uso de estas envofturas puede causar transferencia
del olor y del sabor de 10s alimentos y secar el
aliment0 congelado.
Congelacih
No espere que su wngelador wngele grandes
cantidades de alimento ripidamente. No ponga rrGs
aliment0 en el congelador del que pueda congelar
dentro de
24
horas (no m& de
32-46
g por litro [2-3
libras de aliment0 por pi6 ctibii] de espacio del
congelador). Deje sufiiiente espacio para que circule
el aire alrededor de bs paquetes. Tenga cuidado de
dejar suficiinte espacio
al
frente de manera que la
puerta pueda cerrarse herrn6ticamente.
Los perk&s de tiempo de wnservacion variatin de
acuerdo con la calidad del alimento, el tipo de paquete
o con la envoltura usada (herm&ico y a prueba de
humedad) y con la temperatura de wnservacion que
debe ser de -17,8”C (0°F).
17

LocalizaciM y Reparacih de
Averias
A menudo los problemas que puedan producirse se pueden solucionar sin necesidad de herramientas. Por favor
lea la seccic5n “Antes de pedir ayuda....” que se incluye a continua&n antes de solicitar servicio para su
apamtos.
Antes de
pedir
ayuda...
En esta tabla se incluye la mayorfa de los problemas rrks wmunes que los wnsumidores enfrentan con sus
aparatos. Le rogamos leer atentamente para que pueda solucionar su problema.
PROBLEMA
El
refrigerador no
funciona
SOLUCION
LEst& el cordon ektriw bien enchufado en un circuito con el voftaje apropiado?
LSe ha quemado o disparado un disyuntor o un fusible del hogar?
LEstA el control del refrigerador en la posici&t OFF (apagado)?
Las lutes no
trabajan
LEstA el cordon electric0 bien enchufado en un circuito con el voltaje apropiado?
,$e ha quemado o disparado un disyuntor o un fusible del hogar?
LSe quemo alguna ampolleta?
La fabrica de
hielo no trabaja
LEstA el wngelador bastante frfo wrno para hater hieb? El wngelador puede
demorar toda la noche en alcanzar la temperatura adecuada.
LEstA la palanca ON/OFF (encendiddapagado) en la position ON (hacia abajo)?
(Ver @gina 9.)
LEsta la llave del agua abierta?
LHay una obs.trucGn o un escape en la tuberfa del agua?
Rufdos extrafios
0 tintlneo
LHay algo arrfba o detrk del refrfgerador?
Algunos de bs sonidos son normales. Ver la seccion “Sonidos provenientes de su
refrigeradof en la @gina 13.
Hay agua en la
bandeja colectora
El motor parece
que
funciona
excesivamente
Esto es normal en dfas de mucho calor. Asegurese de que el refrigerador estG bien
nivelado para que la bandeja no se derrame.
LEsten bs serpentines del wndensador sucios?
LSe ha abierto la puerta muy a menudo? LSe agrego una gran cantidad de
alimentos de una sola vez? El motor naturalmente funcionati por perbdos nGs
prolongados si &to sucede.
LEsta la habitation caliente? Si la habitactin estd demasiado caliente, el motor
funciona por perbdos m&s largos para mantener el refrigerador frfo.
16

WHIRLPOOL”
Phliza de Garantia
APLICA SOLO EN MEXICO
VITROMATIC COMERCIAL, S.A. DE C.V.
Av. San Nicok 2121 Nte.
Col. lo. de Mayo, C.P. 64550
Monterrey, N.L., MEXICO
MODELOS N- ET14NK, ETMJK,
ET14JM, ET14HJ
Tel. (lada 918) 329-22-00 y 329-33-00
En los terminos de esta p&a, Vitromatic Corner&l, S.A. de C.V. garantiza al comprador y usuario del
refrigerador marca Whirlpool identificado en la presente p&a exclusivamente lo siguiente:
1 CONCEPTOS CUBIERTOS POR LA GARANTIA
Defectos de fabrication que impidan total o parcialmente el correct0 funcionamiento del aparato, que se
presenten dentro del termino de vigencia de esta garantfa. En este case, la reparaci6n de l-tan! sin cost0
alguno para el comprador. Si se requiere el reemplazo de algunos de los componentes 6 piezas del
aparato a si mismo, correra por cuenta del otorgante. Igualmente, los gastos de transpone de&ados
del cumplimiento de la garantia seran cubiertos por el otorgante.
CONCEPTOS QUE INVALIDAN LA GARANTlA
l
Cuando el product0 se hubiere utilizado en condiciones distintas a las normales (el refrigerador no es
para uso comercial 0 industrial).
l
Cuando el prcxlucto no hubiere sido operado de acuerdo con el instructive de uso y manejo que lo
acompafia.
l
Cuando el producto hubiere sido alterado o reparado por personas no autorizadas por Senkio
Acres-Whirlpool, S.A. de C.V.
PROCEDIMIENTO PARA HACER EFECTIVA LA GARANTIA
Al considerar el comprador que ha ocurrido algunos de los eventos amparados par &a poliza, debera
ponerse en contact0 con alguno de los establecimientos indicados en la lista de Centros de Servicio
autorizados aqui incluida.
TERMINO
Esta garantfa tiene una vigencia de
UN AfiO
en todas sus partes a partir de que el consumidor reck
de conformidad el refrigerador.
Agregando a la cobertura base de
UN A6JO
esta garantia cubre los siguientes componentes de acuerdo
a los perfodos adicionales:
4 atios para el sistema sellado de refrigeration que se compone del compresor, evaporador, secador,
condensador, filtro, tubo de conexi6n y suction.
19

FORMAT0 DE IDENTIFICACION
NOMBRE DEL COMPRADOR :
rKmllClLl0 :
NOMBRE DEL DISTRIBUIDOR :
DOMlClLlO :
CLASE DE APARATO :
NIh. DE SERIE :
TEL :
MODEL0 :
FECHA DE ENTREGA :
FIRMA DEL DISTRIBUIDOR Y SELL0 REPRESENTANTE AUTORIZADO
(Seiialar con precld6n la calle, nhero exterior 0 lnterlor, colonla, cludad, estado y C.P.)
NOTAS IMPORTANTES
Este document0 debera ser presentado para cualquier ttimite relacionado con la garantfa.
EL COMPRADOR DEBERA MANTENER ESTE DOCUMENT0 EN SU PODER Y EN UN LUGAR SEGURO.
El Consumidor podra solicitar que se haga efectiva la garantia que ampara esta poliza, ante
la casa comercial donde adquiri6 el producto. En case de extravio de la p6liza mencionada,
el proveedor expedik una nueva p&a de garantfa, previa presentacibn de la nota de compra o factura
respectiva.
20

ZONA NORTE
MONTERREY
Centro Industrial Acres
Whirlpool.
Carretera Migu61 Alerrkn
Km 16,695
Interior 6. Apodaca, N.L.
C.P. 66600
Tel. 329-21-00 y 366-21-31.
Fax 329-2 l-03
Ave Affonso byes No. 3210,
Col. Regina
C.P.64290 Monterrey N.L.
Tel. 351-27-37 y 351-27-03
Centro de Servicio y Venta de
Refacciones y Partes
SERVICIO ACROS - WHIRLPOOL
Utilice sin cargo para usted el Centro de Atencith al Cliente
Tel: 91-800-83-004
Calle Sexta No. 3407. Col.
Sta Rosa
Chihuahua, Chih.
C.P. 31050
Tel./Fax 1 o-05-50
TORREON
Bhrd. Aguila National
2495 Ote.
Col. Centro
Tone&t, Coahuila,
C.P. 27000,
Tel. 22-30-76, 16-l 2-20
Fax 16-l 2-21
TAMPICO
ZONA OCCIDENTE
CUUACAN
Cab. H. Colegio Militar No. 165
Col. Benito Juarez,
Culiacan, Sin. C.P. 60120
Tel. 13-92-35 y 15-65-96
Fax 17-l 2-30
HERMOSILLO
Reforrna y Jesus
Siqueiros No. 1
Hermosillo, Son. C.P. 63160
Tel./Fax 1 O-46-60
GUADALAJARA
Calz. Glez. Gallo No. 1269,
Sector Reforma
Guadalajara Jal. C.P. 44870,
Tel. 619-16-50, 619-15-15
y 61 g-23-03,
Fax 650-35-64
LEON
Aw. Autotransporte No. 426
Fracc. El Papalote,
Le6n Guanajuato, C.P. 37130.
Tel. 16-01-60, 16-31-22 y
16-39-57 Ext. 4467
ZONACENTROY
SURESTE
MEXICO
Canela No. 47-L, Col.
Granjas MOxico,
Mdxico D.F., C.P. 06400
Tel. 650-65-33 y 657-29-56
con 12 Ifneas.
Fax 6503849
Poniente 134 No. 559, Col.
Industrial Vaflejo
Mexico D.F.C.P. 02300
Tel. 36&25-25,366-25-06,
368-25-66, y 368-25-76
VERACRUZ
Miguel Aleman No. 652,
Col. Dfaz Mirdn
Veracruz, Ver., C.P. 91909
Tel./Fax 31-28-81
VtLLAHERMOSA
Guaycan No. 124, Co. del
Bosque,
Villahemwsa, Tab. C.P. 86160
Tel./Fax 51-35-l 3
MERIDA
Calle 54 No. 466 por 53 y 55
MBrida Yuc.. C.P. 97000
Tel./Fax 26-1038
Av. Hidalgo No. 1205 Col.
Moctezuma, C.P. 89177
Tampico Tamps.
Tel. 1 g-26-20 y 19-26-21
Fax 19-27-52
21

2180400 12/94