Adobe Using Flash Professional CS5 Instruction Manual En
User Manual: adobe Flash Professional - CS5 - Instruction Manual Free User Guide for Adobe Flash Software, Manual
Open the PDF directly: View PDF
.
Page Count: 500 [warning: Documents this large are best viewed by clicking the View PDF Link!]
- Legal notices
- Contents
- Chapter 1: What’s new
- Chapter 2: Workspace
- Flash workflow and workspace
- Using the Stage and Tools panel
- The Timeline
- Using Flash authoring panels
- Undo, redo, and the History panel
- Automating tasks with the Commands menu
- Accessibility in the Flash workspace
- Set preferences in Flash
- Keyboard shortcuts
- Working with ConnectNow
- Chapter 3: Managing documents
- Working with Flash documents
- About Flash files
- Working with other Adobe applications
- Opening XFL files
- Working with uncompressed XFL files
- Edit a SWF file from Dreamweaver in Flash
- Create mobile content with Adobe Device Central and Flash
- Create a new document
- Create a new document
- Create a new document from a template
- Open an existing document
- View a document when multiple documents are open
- Open a new window for the current document
- Set properties for a new or existing document
- Change document properties using the Property inspector
- Add XMP metadata to a document
- Save Flash documents
- Printing Flash documents
- Working with Flash projects
- Create projects
- Manage projects
- Add a new file or folder to a project
- Add an external folder to a project
- Remove a file or folder from a project
- Open a file from the Project panel in Flash
- Rename a project
- Display only a single project subdirectory in the Project panel
- Create ActionScript classes
- Create class templates
- Compiling FLA files
- Create Flash projects for use with Flex class files
- Videos and tutorials
- Find and Replace in Flash
- Templates
- Working with Flash documents
- Chapter 4: Using imported artwork
- Placing artwork into Flash
- Imported bitmaps and Flash
- Working with Fireworks files in Flash
- Working with Illustrator AI files in Flash
- Working with InDesign files in Flash
- Working with Photoshop PSD files in Flash
- Working with Photoshop and Flash
- Photoshop Import options
- Importing text objects
- Importing shape objects
- Importing image or fill layers
- Importing merged bitmap objects and objects in a merged bitmap
- Importing multiple objects of different types
- Importing multiple objects of the same type
- Importing a Group folder
- Importing and merging layers
- Setting publish options
- Photoshop file importer preferences
- Chapter 5: Creating and Editing Artwork
- Drawing in Flash
- Drawing preferences
- Draw simple lines and shapes
- Drawing with the Pen tool
- Apply patterns with the Spray Brush tool
- Drawing patterns with the Decorative drawing tool
- Apply the Symmetry Brush effect
- Apply the Grid Fill effect
- Apply the Vine Fill effect
- Apply the Particle System effect
- Apply the 3D Brush effect
- Apply the Building Brush effect
- Apply the Decorated Brush effect
- Apply the Fire Animation effect
- Apply the Flame Brush effect
- Apply the Flower Brush effect
- Apply the Lightning Brush effect
- Apply the Smoke Animation effect
- Apply the Tree Brush effect
- Reshape lines and shapes
- Transforming and combining graphic objects
- Selecting objects
- Arranging objects
- Snapping art into position
- Moving and copying objects
- Color
- Strokes, fills, and gradients
- 3D graphics
- Chapter 6: Symbols, instances, and library assets
- Working with symbols
- Working with symbol instances
- Working with the library
- Work with libraries
- Work with library items
- Use a library item in the current document
- Convert an object on the Stage to a symbol in the library
- Use a library item from the current document in another document
- Copy library items from a different document
- Edit a library item
- Rename a library item
- Delete a library item
- Find unused library items
- Update imported files in the library
- Copy library assets between documents
- Sharing library assets across files
- Creating buttons
- Scaling and caching symbols
- Converting art between vector and bitmap formats (CS5.5 only)
- Symbols and ActionScript
- Chapter 7: Timelines and Animation
- Frames and keyframes
- Insert frames in the Timeline
- Select frames in the Timeline
- Label frames in the Timeline
- Enable span-based frame selection
- Copy or paste a frame or frame sequence
- Delete a frame or frame sequence
- Move a keyframe or frame sequence
- Change the length of a static frame sequence
- Convert a keyframe to a frame
- View a preview of frame content in the Timeline
- Timeline layers
- Working with multiple timelines
- Working with scenes
- Timelines and ActionScript
- Animation basics
- Motion tween animation
- About tween animation
- Applying motion presets
- Create tween animation
- Edit the motion path of a tween animation
- Edit the shape of a motion path with the Selection and Subselection tools
- Change the position of the tweened object
- Change the location of a motion path on the Stage
- Edit a motion path with the Free Transform tool
- (CS5.5 only) Scale multiple tweened objects and motion paths
- Delete a motion path from a tween
- Copy a motion path as a stroke
- Apply a custom stroke as a motion path
- Use roving property keyframes
- Edit animation tween spans in the Timeline
- Move, duplicate, or delete tween spans
- Edit adjacent tween spans
- Edit the length of a tween span
- Add or remove frames within a tween span
- Replace or remove the target instance of a tween
- View and edit property keyframes of a tween span
- Add or remove 3D property keyframes in a tween
- Move or duplicate a tween span
- Copy and paste a motion tween
- Copy and paste motion tween properties
- Convert a tween span to frame-by-frame animation
- Copy motion as ActionScript 3.0
- Editing animation property curves with the Motion Editor
- Easing tween animations
- Working with classic tween animation
- About classic tween animation
- Create and edit keyframes for classic tween animation
- Add classic tween animation to an instance, a group, or text
- Create a motion guide layer
- Create classic tween animation along a path
- Paste classic tween animation properties
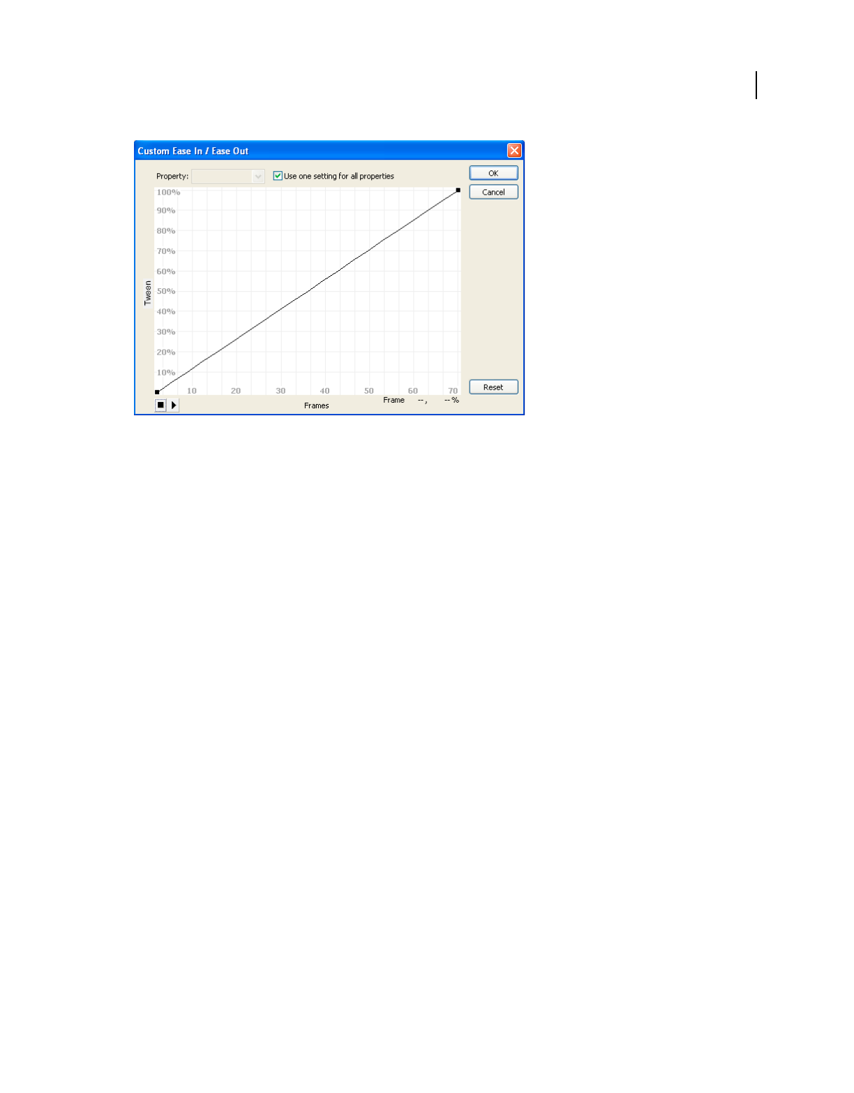
- Apply custom ease in/ease out to classic tween animation
- Shape tweening
- Frame-by-frame animation
- Using mask layers
- Inverse kinematics
- Frames and keyframes
- Chapter 8: Filters and Blends
- Chapter 9: Text
- Working with Text Layout Framework (TLF) text
- Working with classic text
- Check spelling
- Embed fonts for consistent text appearance
- Multilanguage text
- About multilanguage text
- Creating multilanguage text
- Workflow for authoring multilanguage text with the Strings panel
- Select and remove languages for translation
- Add strings to the Strings panel
- Editing strings in the Strings panel
- Change the language displayed on the Stage
- Enter Asian characters on a Western keyboard
- Publishing multilanguage FLA files
- Manually replace strings at publish time
- Use automatic language detection with the default language
- Use custom language detection
- Additional resources
- XML file format for multilanguage text
- Multilanguage text and ActionScript
- Chapter 10: Sound
- Chapter 11: Video
- Create video files for use in Flash
- Add video to Flash
- Working with video cue points
- Working with Adobe Premiere Pro and After Effects
- Controlling external video playback with ActionScript
- Export QuickTime video files
- Chapter 12: Creating accessible content
- Creating accessible content
- About accessible content
- Accessibility overview
- Worldwide accessibility standards
- Understanding screen reader technology
- Flash and Microsoft Active Accessibility (Windows only)
- Basic accessibility support in Flash Player
- Accessibility for hearing-impaired users
- Provide animation accessibility for the visually impaired
- Testing accessible content
- Using Flash to enter accessibility information for screen readers
- Flash for screen readers and accessibility
- The Flash Accessibility panel
- Selecting names for buttons, text fields, and entire SWF applications
- Provide a name for an object
- Make an entire SWF application accessible
- Viewing and creating tab order and reading order
- Create a tab-order index for keyboard navigation in the Accessibility panel
- Specifying advanced accessibility options for screen readers
- Creating accessibility with ActionScript
- About accessible content
- Creating accessible content
- Chapter 13: ActionScript
- Working with ActionScript
- Add interactivity with code snippets
- Script Assist mode and behaviors
- Writing and managing scripts
- Format code
- Comment sections of code
- Use syntax coloring
- Use line numbers and word wrap
- Collapse sections of code
- Adding ActionScript with shortcut keys
- Display hidden characters
- Find text in a script
- Check syntax and punctuation
- Import and export scripts
- Encoding for imported and exported scripts
- Pin scripts in the Actions panel
- Insert target paths
- Use code hints
- Debugging ActionScript 3.0
- Debugging ActionScript 1.0 and 2.0
- Debugging your ActionScript 1.0 and 2.0 scripts
- Debug a local SWF file
- Debug a remote ActionScript 2.0 SWF file
- Display and modify the values of variables in the Debugger
- Use the Watch list
- Display movie clip properties and change editable properties
- List a SWF file’s objects and variables
- Set and remove breakpoints
- Stepping through lines of code
- Control compiler warnings
- Output panel overview
- Use the trace statement
- Navigate to errors in code
- Debugging text field objects
- Working with Flash Pro and Flash Builder
- Printing at runtime
- Printing at runtime using ActionScript 3.0
- Printing at runtime using ActionScript 2.0
- Controlling runtime printing
- Using the ActionScript 2.0 PrintJob class
- Build a print job
- Starting a print job
- Adding pages to a print job
- Specifying a target
- Print or delete a print job
- Printing frames independent of the PrintJob class
- Specifying a print area when not using the PrintJob object
- Using the print() function when not using the PrintJob object
- ActionScript publish settings (CS5)
- Modify ActionScript publish settings (CS5)
- Class files and configuration files (CS5)
- Declare an ActionScript 3.0 document class (CS5)
- Set the location of ActionScript files (CS5)
- Compiling ActionScript conditionally (CS5)
- Customizing context menus in Flash documents (CS5)
- Configuration folders installed with Flash (CS5)
- ActionScript publish settings (CS5.5)
- Modify ActionScript publish settings (CS5.5)
- Class files and configuration files (CS5.5)
- Declare an ActionScript 3.0 document class (CS5.5)
- Set the location of ActionScript files (CS5.5)
- Compiling ActionScript conditionally (CS5.5)
- Customizing context menus in Flash documents (CS5.5)
- Configuration folders installed with Flash (CS5.5)
- Chapter 14: Publishing and Exporting
- Publishing Flash documents
- Publish settings (CS5)
- Specify publish settings for SWF files (CS5)
- Specify publish settings for HTML wrapper files (CS5)
- Specify publish settings for Flash Player detection (CS5)
- Specify publish settings for GIF files (CS5)
- Specify publish settings for JPEG files (CS5)
- Specify publish settings for PNG files (CS5)
- Preview the publishing format and settings (CS5)
- Using publish profiles (CS5)
- Publish settings (CS5.5)
- Specify publish settings for Flash (.swf) files (CS5.5)
- Specify publish settings for SWC files and projectors (CS5.5)
- Specify publish settings for HTML wrapper files (CS5.5)
- Specify publish settings for Flash Player detection (CS5.5)
- Specify publish settings for GIF files (CS5.5)
- Specify publish settings for JPEG files (CS5.5)
- Specify publish settings for PNG files (CS5.5)
- Preview the publishing format and settings (CS5.5)
- Using publish profiles (CS5.5)
- Publishing for Adobe AIR for desktop
- Publishing AIR for Android applications
- Packaging applications for AIR for iOS
- HTML publishing templates
- About exporting from Flash
- Exporting
- Chapter 15: Best practices
- Best practices - Structuring FLA files
- Best practices - Organizing ActionScript in an application
- Best practices - Behaviors conventions
- Best practices - Video conventions
- Best practices - SWF application authoring guidelines
- Best practices - Accessibility guidelines
- Best practices - Advertising with Flash
- Best practices - Optimizing FLA files for SWF output
- Optimize Flash documents
- Speed up document display
- Optimizing graphics and animation
- Animation frame rate and performance
- Filters and SWF file performance
- Bitmap caching and SWF file performance
- Working with components in Flash Player
- Optimizing component styles and performance
- Using runtime shared libraries
- Displaying special characters
- Test document download performance
- Best practices - Tips for creating content for mobile devices
- Creating Flash content for use on mobile devices
- Flash Lite guidelines for animation in mobile devices
- Flash Lite bitmap and vector graphics in mobile devices
- Set compression of Flash Lite bitmaps for mobile devices
- Optimizing Flash Lite frames for mobile devices
- Optimizing ActionScript for Flash Lite content on mobile devices
- Managing Flash Lite file memory for mobile devices
- Loading data for mobile devices in Flash Lite
- Exclude classes from compilation for Flash Lite

Using
ADOBE® FLASH® PROFESSIONAL CS5 & CS5.5

iii
Last updated 1/16/2012
Contents
Chapter 1: What’s new
What’s New (CS5.5) . . . . . . . . . . . . . . . . . . . . . . . . . . . . . . . . . . . . . . . . . . . . . . . . . . . . . . . . . . . . . . . . . . . . . . . . . . . . . . . . . . . . . . . . . . . . . . . . . . . . 1
What’s new (CS5) . . . . . . . . . . . . . . . . . . . . . . . . . . . . . . . . . . . . . . . . . . . . . . . . . . . . . . . . . . . . . . . . . . . . . . . . . . . . . . . . . . . . . . . . . . . . . . . . . . . . . . 3
Chapter 2: Workspace
Flash workflow and workspace . . . . . . . . . . . . . . . . . . . . . . . . . . . . . . . . . . . . . . . . . . . . . . . . . . . . . . . . . . . . . . . . . . . . . . . . . . . . . . . . . . . . . . . . 6
Using the Stage and Tools panel . . . . . . . . . . . . . . . . . . . . . . . . . . . . . . . . . . . . . . . . . . . . . . . . . . . . . . . . . . . . . . . . . . . . . . . . . . . . . . . . . . . . . . 15
The Timeline . . . . . . . . . . . . . . . . . . . . . . . . . . . . . . . . . . . . . . . . . . . . . . . . . . . . . . . . . . . . . . . . . . . . . . . . . . . . . . . . . . . . . . . . . . . . . . . . . . . . . . . . . 19
Using Flash authoring panels . . . . . . . . . . . . . . . . . . . . . . . . . . . . . . . . . . . . . . . . . . . . . . . . . . . . . . . . . . . . . . . . . . . . . . . . . . . . . . . . . . . . . . . . . 22
Undo, redo, and the History panel . . . . . . . . . . . . . . . . . . . . . . . . . . . . . . . . . . . . . . . . . . . . . . . . . . . . . . . . . . . . . . . . . . . . . . . . . . . . . . . . . . . . 26
Automating tasks with the Commands menu . . . . . . . . . . . . . . . . . . . . . . . . . . . . . . . . . . . . . . . . . . . . . . . . . . . . . . . . . . . . . . . . . . . . . . . . . 28
Accessibility in the Flash workspace . . . . . . . . . . . . . . . . . . . . . . . . . . . . . . . . . . . . . . . . . . . . . . . . . . . . . . . . . . . . . . . . . . . . . . . . . . . . . . . . . . . 29
Set preferences in Flash . . . . . . . . . . . . . . . . . . . . . . . . . . . . . . . . . . . . . . . . . . . . . . . . . . . . . . . . . . . . . . . . . . . . . . . . . . . . . . . . . . . . . . . . . . . . . . . 32
Keyboard shortcuts . . . . . . . . . . . . . . . . . . . . . . . . . . . . . . . . . . . . . . . . . . . . . . . . . . . . . . . . . . . . . . . . . . . . . . . . . . . . . . . . . . . . . . . . . . . . . . . . . . . 35
Working with ConnectNow . . . . . . . . . . . . . . . . . . . . . . . . . . . . . . . . . . . . . . . . . . . . . . . . . . . . . . . . . . . . . . . . . . . . . . . . . . . . . . . . . . . . . . . . . . . 38
Chapter 3: Managing documents
Working with Flash documents . . . . . . . . . . . . . . . . . . . . . . . . . . . . . . . . . . . . . . . . . . . . . . . . . . . . . . . . . . . . . . . . . . . . . . . . . . . . . . . . . . . . . . . 39
Working with Flash projects . . . . . . . . . . . . . . . . . . . . . . . . . . . . . . . . . . . . . . . . . . . . . . . . . . . . . . . . . . . . . . . . . . . . . . . . . . . . . . . . . . . . . . . . . . 49
Find and Replace in Flash . . . . . . . . . . . . . . . . . . . . . . . . . . . . . . . . . . . . . . . . . . . . . . . . . . . . . . . . . . . . . . . . . . . . . . . . . . . . . . . . . . . . . . . . . . . . . 56
Templates . . . . . . . . . . . . . . . . . . . . . . . . . . . . . . . . . . . . . . . . . . . . . . . . . . . . . . . . . . . . . . . . . . . . . . . . . . . . . . . . . . . . . . . . . . . . . . . . . . . . . . . . . . . . 59
Chapter 4: Using imported artwork
Placing artwork into Flash . . . . . . . . . . . . . . . . . . . . . . . . . . . . . . . . . . . . . . . . . . . . . . . . . . . . . . . . . . . . . . . . . . . . . . . . . . . . . . . . . . . . . . . . . . . . 61
Imported bitmaps and Flash . . . . . . . . . . . . . . . . . . . . . . . . . . . . . . . . . . . . . . . . . . . . . . . . . . . . . . . . . . . . . . . . . . . . . . . . . . . . . . . . . . . . . . . . . . 65
Working with Fireworks files in Flash . . . . . . . . . . . . . . . . . . . . . . . . . . . . . . . . . . . . . . . . . . . . . . . . . . . . . . . . . . . . . . . . . . . . . . . . . . . . . . . . . . 69
Working with Illustrator AI files in Flash . . . . . . . . . . . . . . . . . . . . . . . . . . . . . . . . . . . . . . . . . . . . . . . . . . . . . . . . . . . . . . . . . . . . . . . . . . . . . . . 71
Working with InDesign files in Flash . . . . . . . . . . . . . . . . . . . . . . . . . . . . . . . . . . . . . . . . . . . . . . . . . . . . . . . . . . . . . . . . . . . . . . . . . . . . . . . . . . . 80
Working with Photoshop PSD files in Flash . . . . . . . . . . . . . . . . . . . . . . . . . . . . . . . . . . . . . . . . . . . . . . . . . . . . . . . . . . . . . . . . . . . . . . . . . . . . 81
Chapter 5: Creating and Editing Artwork
Drawing in Flash . . . . . . . . . . . . . . . . . . . . . . . . . . . . . . . . . . . . . . . . . . . . . . . . . . . . . . . . . . . . . . . . . . . . . . . . . . . . . . . . . . . . . . . . . . . . . . . . . . . . . 89
Drawing preferences . . . . . . . . . . . . . . . . . . . . . . . . . . . . . . . . . . . . . . . . . . . . . . . . . . . . . . . . . . . . . . . . . . . . . . . . . . . . . . . . . . . . . . . . . . . . . . . . . 95
Draw simple lines and shapes . . . . . . . . . . . . . . . . . . . . . . . . . . . . . . . . . . . . . . . . . . . . . . . . . . . . . . . . . . . . . . . . . . . . . . . . . . . . . . . . . . . . . . . . . 96
Drawing with the Pen tool . . . . . . . . . . . . . . . . . . . . . . . . . . . . . . . . . . . . . . . . . . . . . . . . . . . . . . . . . . . . . . . . . . . . . . . . . . . . . . . . . . . . . . . . . . . 102
Apply patterns with the Spray Brush tool . . . . . . . . . . . . . . . . . . . . . . . . . . . . . . . . . . . . . . . . . . . . . . . . . . . . . . . . . . . . . . . . . . . . . . . . . . . . . 107
Drawing patterns with the Decorative drawing tool . . . . . . . . . . . . . . . . . . . . . . . . . . . . . . . . . . . . . . . . . . . . . . . . . . . . . . . . . . . . . . . . . . 108
Reshape lines and shapes . . . . . . . . . . . . . . . . . . . . . . . . . . . . . . . . . . . . . . . . . . . . . . . . . . . . . . . . . . . . . . . . . . . . . . . . . . . . . . . . . . . . . . . . . . . . 115
Transforming and combining graphic objects . . . . . . . . . . . . . . . . . . . . . . . . . . . . . . . . . . . . . . . . . . . . . . . . . . . . . . . . . . . . . . . . . . . . . . . . 118
Selecting objects . . . . . . . . . . . . . . . . . . . . . . . . . . . . . . . . . . . . . . . . . . . . . . . . . . . . . . . . . . . . . . . . . . . . . . . . . . . . . . . . . . . . . . . . . . . . . . . . . . . . 123
Arranging objects . . . . . . . . . . . . . . . . . . . . . . . . . . . . . . . . . . . . . . . . . . . . . . . . . . . . . . . . . . . . . . . . . . . . . . . . . . . . . . . . . . . . . . . . . . . . . . . . . . . 126
Snapping art into position . . . . . . . . . . . . . . . . . . . . . . . . . . . . . . . . . . . . . . . . . . . . . . . . . . . . . . . . . . . . . . . . . . . . . . . . . . . . . . . . . . . . . . . . . . . 127
Moving and copying objects . . . . . . . . . . . . . . . . . . . . . . . . . . . . . . . . . . . . . . . . . . . . . . . . . . . . . . . . . . . . . . . . . . . . . . . . . . . . . . . . . . . . . . . . . 129
Color . . . . . . . . . . . . . . . . . . . . . . . . . . . . . . . . . . . . . . . . . . . . . . . . . . . . . . . . . . . . . . . . . . . . . . . . . . . . . . . . . . . . . . . . . . . . . . . . . . . . . . . . . . . . . . . . 131

iv
USING FLASH PROFESSIONAL
Contents
Last updated 1/16/2012
Strokes, fills, and gradients . . . . . . . . . . . . . . . . . . . . . . . . . . . . . . . . . . . . . . . . . . . . . . . . . . . . . . . . . . . . . . . . . . . . . . . . . . . . . . . . . . . . . . . . . . . 135
3D graphics . . . . . . . . . . . . . . . . . . . . . . . . . . . . . . . . . . . . . . . . . . . . . . . . . . . . . . . . . . . . . . . . . . . . . . . . . . . . . . . . . . . . . . . . . . . . . . . . . . . . . . . . . 142
Chapter 6: Symbols, instances, and library assets
Working with symbols . . . . . . . . . . . . . . . . . . . . . . . . . . . . . . . . . . . . . . . . . . . . . . . . . . . . . . . . . . . . . . . . . . . . . . . . . . . . . . . . . . . . . . . . . . . . . . . 150
Working with symbol instances . . . . . . . . . . . . . . . . . . . . . . . . . . . . . . . . . . . . . . . . . . . . . . . . . . . . . . . . . . . . . . . . . . . . . . . . . . . . . . . . . . . . . . 155
Working with the library . . . . . . . . . . . . . . . . . . . . . . . . . . . . . . . . . . . . . . . . . . . . . . . . . . . . . . . . . . . . . . . . . . . . . . . . . . . . . . . . . . . . . . . . . . . . . 159
Sharing library assets across files . . . . . . . . . . . . . . . . . . . . . . . . . . . . . . . . . . . . . . . . . . . . . . . . . . . . . . . . . . . . . . . . . . . . . . . . . . . . . . . . . . . . . 164
Creating buttons . . . . . . . . . . . . . . . . . . . . . . . . . . . . . . . . . . . . . . . . . . . . . . . . . . . . . . . . . . . . . . . . . . . . . . . . . . . . . . . . . . . . . . . . . . . . . . . . . . . . 168
Scaling and caching symbols . . . . . . . . . . . . . . . . . . . . . . . . . . . . . . . . . . . . . . . . . . . . . . . . . . . . . . . . . . . . . . . . . . . . . . . . . . . . . . . . . . . . . . . . 171
Converting art between vector and bitmap formats (CS5.5 only) . . . . . . . . . . . . . . . . . . . . . . . . . . . . . . . . . . . . . . . . . . . . . . . . . . . . . . 174
Symbols and ActionScript . . . . . . . . . . . . . . . . . . . . . . . . . . . . . . . . . . . . . . . . . . . . . . . . . . . . . . . . . . . . . . . . . . . . . . . . . . . . . . . . . . . . . . . . . . . 175
Chapter 7: Timelines and Animation
Frames and keyframes . . . . . . . . . . . . . . . . . . . . . . . . . . . . . . . . . . . . . . . . . . . . . . . . . . . . . . . . . . . . . . . . . . . . . . . . . . . . . . . . . . . . . . . . . . . . . . . 179
Timeline layers . . . . . . . . . . . . . . . . . . . . . . . . . . . . . . . . . . . . . . . . . . . . . . . . . . . . . . . . . . . . . . . . . . . . . . . . . . . . . . . . . . . . . . . . . . . . . . . . . . . . . . 181
Working with multiple timelines . . . . . . . . . . . . . . . . . . . . . . . . . . . . . . . . . . . . . . . . . . . . . . . . . . . . . . . . . . . . . . . . . . . . . . . . . . . . . . . . . . . . . 186
Working with scenes . . . . . . . . . . . . . . . . . . . . . . . . . . . . . . . . . . . . . . . . . . . . . . . . . . . . . . . . . . . . . . . . . . . . . . . . . . . . . . . . . . . . . . . . . . . . . . . . 187
Timelines and ActionScript . . . . . . . . . . . . . . . . . . . . . . . . . . . . . . . . . . . . . . . . . . . . . . . . . . . . . . . . . . . . . . . . . . . . . . . . . . . . . . . . . . . . . . . . . . 188
Animation basics . . . . . . . . . . . . . . . . . . . . . . . . . . . . . . . . . . . . . . . . . . . . . . . . . . . . . . . . . . . . . . . . . . . . . . . . . . . . . . . . . . . . . . . . . . . . . . . . . . . . 191
Motion tween animation . . . . . . . . . . . . . . . . . . . . . . . . . . . . . . . . . . . . . . . . . . . . . . . . . . . . . . . . . . . . . . . . . . . . . . . . . . . . . . . . . . . . . . . . . . . . 195
Working with classic tween animation . . . . . . . . . . . . . . . . . . . . . . . . . . . . . . . . . . . . . . . . . . . . . . . . . . . . . . . . . . . . . . . . . . . . . . . . . . . . . . . 223
Shape tweening . . . . . . . . . . . . . . . . . . . . . . . . . . . . . . . . . . . . . . . . . . . . . . . . . . . . . . . . . . . . . . . . . . . . . . . . . . . . . . . . . . . . . . . . . . . . . . . . . . . . . 232
Frame-by-frame animation . . . . . . . . . . . . . . . . . . . . . . . . . . . . . . . . . . . . . . . . . . . . . . . . . . . . . . . . . . . . . . . . . . . . . . . . . . . . . . . . . . . . . . . . . . 234
Using mask layers . . . . . . . . . . . . . . . . . . . . . . . . . . . . . . . . . . . . . . . . . . . . . . . . . . . . . . . . . . . . . . . . . . . . . . . . . . . . . . . . . . . . . . . . . . . . . . . . . . . 235
Inverse kinematics . . . . . . . . . . . . . . . . . . . . . . . . . . . . . . . . . . . . . . . . . . . . . . . . . . . . . . . . . . . . . . . . . . . . . . . . . . . . . . . . . . . . . . . . . . . . . . . . . . . 237
Chapter 8: Filters and Blends
Graphic filters . . . . . . . . . . . . . . . . . . . . . . . . . . . . . . . . . . . . . . . . . . . . . . . . . . . . . . . . . . . . . . . . . . . . . . . . . . . . . . . . . . . . . . . . . . . . . . . . . . . . . . . 248
Applying blend modes . . . . . . . . . . . . . . . . . . . . . . . . . . . . . . . . . . . . . . . . . . . . . . . . . . . . . . . . . . . . . . . . . . . . . . . . . . . . . . . . . . . . . . . . . . . . . . 256
Chapter 9: Text
Working with Text Layout Framework (TLF) text . . . . . . . . . . . . . . . . . . . . . . . . . . . . . . . . . . . . . . . . . . . . . . . . . . . . . . . . . . . . . . . . . . . . . . 258
Working with classic text . . . . . . . . . . . . . . . . . . . . . . . . . . . . . . . . . . . . . . . . . . . . . . . . . . . . . . . . . . . . . . . . . . . . . . . . . . . . . . . . . . . . . . . . . . . . 271
Check spelling . . . . . . . . . . . . . . . . . . . . . . . . . . . . . . . . . . . . . . . . . . . . . . . . . . . . . . . . . . . . . . . . . . . . . . . . . . . . . . . . . . . . . . . . . . . . . . . . . . . . . . . 281
Embed fonts for consistent text appearance . . . . . . . . . . . . . . . . . . . . . . . . . . . . . . . . . . . . . . . . . . . . . . . . . . . . . . . . . . . . . . . . . . . . . . . . . . 282
Multilanguage text . . . . . . . . . . . . . . . . . . . . . . . . . . . . . . . . . . . . . . . . . . . . . . . . . . . . . . . . . . . . . . . . . . . . . . . . . . . . . . . . . . . . . . . . . . . . . . . . . . 284
Chapter 10: Sound
Using sounds in Flash . . . . . . . . . . . . . . . . . . . . . . . . . . . . . . . . . . . . . . . . . . . . . . . . . . . . . . . . . . . . . . . . . . . . . . . . . . . . . . . . . . . . . . . . . . . . . . . . 299
Exporting Sounds . . . . . . . . . . . . . . . . . . . . . . . . . . . . . . . . . . . . . . . . . . . . . . . . . . . . . . . . . . . . . . . . . . . . . . . . . . . . . . . . . . . . . . . . . . . . . . . . . . . 304
Sound and ActionScript . . . . . . . . . . . . . . . . . . . . . . . . . . . . . . . . . . . . . . . . . . . . . . . . . . . . . . . . . . . . . . . . . . . . . . . . . . . . . . . . . . . . . . . . . . . . . 307
Chapter 11: Video
Create video files for use in Flash . . . . . . . . . . . . . . . . . . . . . . . . . . . . . . . . . . . . . . . . . . . . . . . . . . . . . . . . . . . . . . . . . . . . . . . . . . . . . . . . . . . . . 309
Add video to Flash . . . . . . . . . . . . . . . . . . . . . . . . . . . . . . . . . . . . . . . . . . . . . . . . . . . . . . . . . . . . . . . . . . . . . . . . . . . . . . . . . . . . . . . . . . . . . . . . . . 314
Working with video cue points . . . . . . . . . . . . . . . . . . . . . . . . . . . . . . . . . . . . . . . . . . . . . . . . . . . . . . . . . . . . . . . . . . . . . . . . . . . . . . . . . . . . . . . 321
Working with Adobe Premiere Pro and After Effects . . . . . . . . . . . . . . . . . . . . . . . . . . . . . . . . . . . . . . . . . . . . . . . . . . . . . . . . . . . . . . . . . . 322

v
USING FLASH PROFESSIONAL
Contents
Last updated 1/16/2012
Controlling external video playback with ActionScript . . . . . . . . . . . . . . . . . . . . . . . . . . . . . . . . . . . . . . . . . . . . . . . . . . . . . . . . . . . . . . . . 325
Export QuickTime video files . . . . . . . . . . . . . . . . . . . . . . . . . . . . . . . . . . . . . . . . . . . . . . . . . . . . . . . . . . . . . . . . . . . . . . . . . . . . . . . . . . . . . . . . . 329
Chapter 12: Creating accessible content
Creating accessible content . . . . . . . . . . . . . . . . . . . . . . . . . . . . . . . . . . . . . . . . . . . . . . . . . . . . . . . . . . . . . . . . . . . . . . . . . . . . . . . . . . . . . . . . . . 331
Chapter 13: ActionScript
Working with ActionScript . . . . . . . . . . . . . . . . . . . . . . . . . . . . . . . . . . . . . . . . . . . . . . . . . . . . . . . . . . . . . . . . . . . . . . . . . . . . . . . . . . . . . . . . . . . 345
Add interactivity with code snippets . . . . . . . . . . . . . . . . . . . . . . . . . . . . . . . . . . . . . . . . . . . . . . . . . . . . . . . . . . . . . . . . . . . . . . . . . . . . . . . . . 353
Script Assist mode and behaviors . . . . . . . . . . . . . . . . . . . . . . . . . . . . . . . . . . . . . . . . . . . . . . . . . . . . . . . . . . . . . . . . . . . . . . . . . . . . . . . . . . . . 355
Writing and managing scripts . . . . . . . . . . . . . . . . . . . . . . . . . . . . . . . . . . . . . . . . . . . . . . . . . . . . . . . . . . . . . . . . . . . . . . . . . . . . . . . . . . . . . . . . 358
Debugging ActionScript 3.0 . . . . . . . . . . . . . . . . . . . . . . . . . . . . . . . . . . . . . . . . . . . . . . . . . . . . . . . . . . . . . . . . . . . . . . . . . . . . . . . . . . . . . . . . . 369
Debugging ActionScript 1.0 and 2.0 . . . . . . . . . . . . . . . . . . . . . . . . . . . . . . . . . . . . . . . . . . . . . . . . . . . . . . . . . . . . . . . . . . . . . . . . . . . . . . . . . . 373
Working with Flash Pro and Flash Builder . . . . . . . . . . . . . . . . . . . . . . . . . . . . . . . . . . . . . . . . . . . . . . . . . . . . . . . . . . . . . . . . . . . . . . . . . . . . . 383
Printing at runtime . . . . . . . . . . . . . . . . . . . . . . . . . . . . . . . . . . . . . . . . . . . . . . . . . . . . . . . . . . . . . . . . . . . . . . . . . . . . . . . . . . . . . . . . . . . . . . . . . . 387
ActionScript publish settings (CS5) . . . . . . . . . . . . . . . . . . . . . . . . . . . . . . . . . . . . . . . . . . . . . . . . . . . . . . . . . . . . . . . . . . . . . . . . . . . . . . . . . . . 392
ActionScript publish settings (CS5.5) . . . . . . . . . . . . . . . . . . . . . . . . . . . . . . . . . . . . . . . . . . . . . . . . . . . . . . . . . . . . . . . . . . . . . . . . . . . . . . . . . 399
Chapter 14: Publishing and Exporting
Publishing Flash documents . . . . . . . . . . . . . . . . . . . . . . . . . . . . . . . . . . . . . . . . . . . . . . . . . . . . . . . . . . . . . . . . . . . . . . . . . . . . . . . . . . . . . . . . . 405
Publish settings (CS5) . . . . . . . . . . . . . . . . . . . . . . . . . . . . . . . . . . . . . . . . . . . . . . . . . . . . . . . . . . . . . . . . . . . . . . . . . . . . . . . . . . . . . . . . . . . . . . . . 410
Publish settings (CS5.5) . . . . . . . . . . . . . . . . . . . . . . . . . . . . . . . . . . . . . . . . . . . . . . . . . . . . . . . . . . . . . . . . . . . . . . . . . . . . . . . . . . . . . . . . . . . . . . 425
Publishing for Adobe AIR for desktop . . . . . . . . . . . . . . . . . . . . . . . . . . . . . . . . . . . . . . . . . . . . . . . . . . . . . . . . . . . . . . . . . . . . . . . . . . . . . . . . 441
Publishing AIR for Android applications . . . . . . . . . . . . . . . . . . . . . . . . . . . . . . . . . . . . . . . . . . . . . . . . . . . . . . . . . . . . . . . . . . . . . . . . . . . . . . 447
Packaging applications for AIR for iOS . . . . . . . . . . . . . . . . . . . . . . . . . . . . . . . . . . . . . . . . . . . . . . . . . . . . . . . . . . . . . . . . . . . . . . . . . . . . . . . . 450
HTML publishing templates . . . . . . . . . . . . . . . . . . . . . . . . . . . . . . . . . . . . . . . . . . . . . . . . . . . . . . . . . . . . . . . . . . . . . . . . . . . . . . . . . . . . . . . . . . 451
About exporting from Flash . . . . . . . . . . . . . . . . . . . . . . . . . . . . . . . . . . . . . . . . . . . . . . . . . . . . . . . . . . . . . . . . . . . . . . . . . . . . . . . . . . . . . . . . . . 455
Exporting . . . . . . . . . . . . . . . . . . . . . . . . . . . . . . . . . . . . . . . . . . . . . . . . . . . . . . . . . . . . . . . . . . . . . . . . . . . . . . . . . . . . . . . . . . . . . . . . . . . . . . . . . . . 457
Chapter 15: Best practices
Best practices - Structuring FLA files . . . . . . . . . . . . . . . . . . . . . . . . . . . . . . . . . . . . . . . . . . . . . . . . . . . . . . . . . . . . . . . . . . . . . . . . . . . . . . . . . . 462
Best practices - Organizing ActionScript in an application . . . . . . . . . . . . . . . . . . . . . . . . . . . . . . . . . . . . . . . . . . . . . . . . . . . . . . . . . . . . . 464
Best practices - Behaviors conventions . . . . . . . . . . . . . . . . . . . . . . . . . . . . . . . . . . . . . . . . . . . . . . . . . . . . . . . . . . . . . . . . . . . . . . . . . . . . . . . 465
Best practices - Video conventions . . . . . . . . . . . . . . . . . . . . . . . . . . . . . . . . . . . . . . . . . . . . . . . . . . . . . . . . . . . . . . . . . . . . . . . . . . . . . . . . . . . 467
Best practices - SWF application authoring guidelines . . . . . . . . . . . . . . . . . . . . . . . . . . . . . . . . . . . . . . . . . . . . . . . . . . . . . . . . . . . . . . . . 468
Best practices - Accessibility guidelines . . . . . . . . . . . . . . . . . . . . . . . . . . . . . . . . . . . . . . . . . . . . . . . . . . . . . . . . . . . . . . . . . . . . . . . . . . . . . . . 472
Best practices - Advertising with Flash . . . . . . . . . . . . . . . . . . . . . . . . . . . . . . . . . . . . . . . . . . . . . . . . . . . . . . . . . . . . . . . . . . . . . . . . . . . . . . . . 477
Best practices - Optimizing FLA files for SWF output . . . . . . . . . . . . . . . . . . . . . . . . . . . . . . . . . . . . . . . . . . . . . . . . . . . . . . . . . . . . . . . . . . 479
Best practices - Tips for creating content for mobile devices . . . . . . . . . . . . . . . . . . . . . . . . . . . . . . . . . . . . . . . . . . . . . . . . . . . . . . . . . . 488

1
Last updated 1/16/2012
Chapter 1: What’s new
Download a trial version of Flash CS5.5.
New to Flash Professional? Use the 5 Step Learning Guide.
For a history of new features in Flash Professional, see the Adobe.com Flash Pro Features page.
What’s New (CS5.5)
For a video overview of new mobile workflows in Adobe Flash Professional CS5.5 features, see the video tutorial Flash Pro
CS5.5 - Mobile Workflows.
The following features are new to Flash Professional CS5.5:
Authoring across devices and desktops
Share assets during authoring You can now share assets between FLA files during authoring. The FLA files must be
part of a Flash project managed with the Project panel. For more information, see “Sharing library assets at author-
time” on page 166.
Copy and paste layers You can now cut, copy, and paste an entire layer or set of layers within one Timeline or to
separate Timelines. For more information, see “Copy and paste layers (CS5.5 only)” on page 184.
Scale content when changing Stage size When changing the size of the Stage via the Document Properties dialog box,
you can automatically scale the content to fit the new Stage size. For more information, see “Scaling content on the
Stage” on page 171.
Export as bitmap Vector-based symbols can be exported as bitmaps when publishing a SWF file as a way of reducing
CPU demands during playback. This feature is helpful for publishing on mobile devices with less-powerful CPUs. For
more information, see Converting between bitmap and vector formats.
Convert to bitmap This feature allows you to create a bitmap in the Library from a symbol instance. The new bitmap
can be useful in separate versions of the project for mobile or other lower-performance devices. For more information,
see Converting between bitmap and vector formats.
Code snippets for mobile and AIR The Code Snippets panel now includes snippets specifically for mobile devices and
AIR applications. For more information about using the Code Snippets panel, see “Add interactivity with code
snippets” on page 353.
AIR for Android support You can now publish a FLA file as an AIR for Android application. For more information,
see “Publishing AIR for Android applications” on page 447.
AIR 2.6 SDK The AIR 2.6 SDK is integrated and includes the latest APIs for iOS. These include access to the
Microphone, reading from Camera Roll, and CameraUI. Retina display support is also included in the Resolution
menu of the AIR for iOS settings dialog box.
Debug on-device via USB You can debug an AIR for iOS or AIR for Android application on a mobile device via a USB
port. For information about debugging ActionScript 3.0 code, see “Debugging ActionScript 3.0” on page 369.

2
USING FLASH PROFESSIONAL
What’s new
Last updated 1/16/2012
TLF Text enhancements
TLF tab rulers TLF text blocks now have tab ruler attached. The ruler allows you to create and edit tab stops in TLF
text. You can also now type tab characters in TLF text fields. For more information, see “Using tab rulers (CS5.5 only)”
on page 270.
TCM text for static TLF Flash Pro CS5.5 uses the Text Container Manager to handle TLF text that is not intended to
change at runtime. The TCM avoids the need to include the full TLF ActionScript library in the published SWF file,
significantly reducing file size.
TLF text file size optimization The size of SWF files that use TLF text is smaller and performance is better in Flash
Player.
TLF text support for style sheets You can now use style sheets with TLF text the same way you can with Classic text.
Both types of text require ActionScript to use style sheets.
User interface improvements
Code Snippets panel HUD The new Code Snippets panel heads-up display (HUD) allows you to view the ActionScript
code and description of each snippet before inserting it. You can also drag-and-drop instance references in the HUD
code display onto instances on the Stage. For more information, see “Add interactivity with code snippets” on
page 353.
New Publish Settings dialog box The Publish Settings dialog box has been reorganized and streamlined. For more
information, see “Publish settings (CS5.5)” on page 425.
Integrated playback controller with loop range A Timeline playback controller now appears at the bottom of the
Timeline and the Motion Editor. The controller includes a Loop button which allows you to specify a range of frames
to play repeatedly during authoring. For more information, see “The Timeline” on page 19.
Project panel update The Project panel has been improved to make it easier to work with multi-document Flash
projects. For more information, see “Working with Flash projects” on page 49.
Document Properties panel changes You can now directly edit the Flash Player publish setting and Stage size in the
Document Properties panel. You can also open the Publish Settings dialog box from the Properties panel.
Visible property of symbols editable in Property inspector You can now toggle the visibility of movie clip instances in
the Properties panel. This setting requires a Player Publish setting of Flash Player 10.2 or higher.
New Library conflict resolution dialog box The Library panel has been enhanced with a new conflict resolution dialog
when symbols of the same name are imported to the Library. The dialog now provides the option to place the duplicate
items into a new folder.
Other improvements
Pinning for IK bones You can now pin a bone joint to the stage when posing an armature. Pinning prevents the joint
from moving relative to the Stage. For more information, see “Constrain motion of IK bones” on page 243.
Cache as bitmap - opaque background When using the Cache as Bitmap feature, you can now specify an opaque
background color for the bitmap. For more information about the Cache as Bitmap feature, see “Scaling and caching
symbols” on page 171.
Auto Recover and Auto Save Auto Recover enables Flash to periodically snapshot all open documents so that the user
can recover from any sudden data loss event. Auto Save helps the user by periodically saving each document. For more
information, see “Set General preferences” on page 33 and “Set properties for a new or existing document” on page 43.
Shared project format with Flash Builder Flash Pro projects can now be shared natively with Flash Builder. For
information about working with projects, see “Working with Flash projects” on page 49.

3
USING FLASH PROFESSIONAL
What’s new
Last updated 1/16/2012
Incremental compilation When using the Publish command, Flash Pro now caches compiled versions of the assets in
your FLA file to improve performance. Each time you create a SWF file, only changed items are recompiled.
Fixes for RSL preloading and scripting problems A new ProLoader class has been added to ActionScript 3.0. This
class makes it easier to script between a loaded child SWF file and its parent SWF file. For more information, see
Loading display content dynamically in the ActionScript 3.0 Developer’s Guide.
What’s new (CS5)
The following features are new to Flash Professional CS5:
Text and Fonts
Text Layout Framework text engine The new TLF text engine provides significantly improved control over text
properties and flow. For more information, see “Working with Text Layout Framework (TLF) text” on page 258, and
this TLF video tutorial.
Font Embedding Dialog Font embedding is now FLA file based instead of text object based. The new Font Embedding
dialog box provides quick access to all font embedding functions. For more information, see “Embed fonts for
consistent text appearance” on page 282.
Video
FLVPlayback live preview on Stage The ActionScript 3.0 versions of the FLVPlayback components now allow you to
preview the entire linked video file on the Stage.
Video cue points usability Video cue points are now much easier to add to videos in Flash. For more information, see
“Working with video cue points” on page 321, and this Cue Points video tutorial.
New skins for FLVPlayback component New skins have been provided for the FLVPlayback components to enable a
wider variety of design styles in your Flash projects.
Art and animation
Edit with Photoshop CS5 You can now perform round-trip editing of bitmap graphics in Photoshop CS5. For more
information, see “Edit a bitmap in an external editor” on page 66.
New Decorative Drawing tool effects Several new effects have been added to the Decorative Drawing tool. For more
information, see “Drawing patterns with the Decorative drawing tool” on page 108.
Spring properties for IK bones New properties have been added to IK bones that enable realistic physics effects in bone
animation. For more information, see “Add Springiness to bones” on page 244.
ActionScript and JavaScript
Code Snippets panel The Code Snippets panel allows non-programmers to apply ActionScript 3.0 code for common
interactions without learning ActionScript. For more information, see “Add interactivity with code snippets” on
page 353.
Code hinting for custom classes Code completion, or code hinting, is now enabled for custom ActionScript 3.0 classes
in addition to the built-in classes. For more information, see “Code hinting for custom classes” on page 369.

4
USING FLASH PROFESSIONAL
What’s new
Last updated 1/16/2012
Auto close-bracket insertion Now when you type an open bracket { in the Actions panel or Script window, Flash
automatically adds the corresponding close bracket }. This saves time writing code and debugging.
Enhanced Flash Pro - Flash Builder workflows New workflows between Flash Professionsal CS5 and Flash Builder 4
have been enabled to allow the 2 products to be used together more easily. For more information, see “Editing and
debugging ActionScript with Flash Professional and Flash Builder” on page 384, and this video tutorial.
Motion Object JSAPIs Several new JavaScript APIs have been added for manipulating motion tweens in the Flash
Professional CS5 authoring environment. For more information, see Extending Flash Professional CS5.
Working with files
XFL file format Flash FLA files now contain a new internal format called XFL. This new format is based on XML. For
most users this change is invisible. However, the new format enables better exchange of data with other Adobe
applications, and allows you to optionally work in uncompressed XFL format, described below.
Uncompressed XFL file format The uncompressed XFL file format allows you to see each of the separate parts, or sub-
files, that make up a Flash file. This enables working in team environments with source control systems. For more
information, see “Working with uncompressed XFL files” on page 41.
FXG file format The FXG file format allows Flash to exchange graphics with other Adobe applications with full fidelity.
For more information, see “Importing FXG files” on page 64 and “FXG graphic interchange format” on page 457.
SWF Size History The Document Property inspector now displays the size of all SWF files generated during Test
Movie, Publish, and Debug Movie operations.
New templates Flash Professional CS5 includes a range of new templates that make it easier to create common types
of projects in Flash. The templates appear in the Welcome screen and the New Document dialog box.
Other improvements
AIR for iOS support Flash Professional CS5 includes support for AIR for iOS. This allows Flash files to be deployed as
iOS applications that run on the Apple iPhone or iPad. For more information, see “Packaging applications for AIR for
iOS” on page 450.
Reorganized AIR Publish Settings UI The AIR Application & Installer Settings dialog box has been reorganized for
simpler, easier access to the many settings required when publishing for Adobe AIR. For more information, see
“Publishing for Adobe AIR for desktop” on page 441.
Community Help Community Help is an integrated environment on adobe.com that gives you access to community-
generated content moderated by Adobe and industry experts. Comments and ratings from users help guide you to an
answer. Search Community Help to find the best content on the web about Adobe products and technologies. For
more information, see Using Community Help or Help and Support.
CS Live services In Flash Professional CS5, you can connect to CS Live services from within the Flash authoring
environment. CS Live includes web services such as Acrobat.com, BrowserLab, Live Review, and more. For detailed
information about CS Live services, see About CS Live.
Deprecated features
The following features have been removed:
Screens Screen-based Flash documents can no longer be opened or created in Flash Professional CS5. All JavaScript
API’s related to screens have been removed. To work with Screen-based documents, use a previous version of Flash.

5
USING FLASH PROFESSIONAL
What’s new
Last updated 1/16/2012
Version Cue To work with a common set of files in a collaborative environment, please use a 3rd party source control
solution.
Data Binding components The ActionScript 2.0 Data components have been removed from the Components panel.
Outdated file formats Flash Professional CS5 can no longer import FreeHand, PICT, PNTG, SGI, and TGA files. Flash
no longer exports EMF files, WMF files, WFM image sequences, BMP sequences, or TGA sequences.
Save and Compact Because the new default FLA file format contains XFL formatted data, the Save and Compact
command is unnecessary.

6
Last updated 1/16/2012
Chapter 2: Workspace
Flash workflow and workspace
The following additional video tutorials describe the Flash Pro work area and workflow.
•Introducing Flash Professional (4:00)
•Understanding Flash (1:17)
•Understanding Flash file types (1:55)
•Exploring the Flash interface (1:49)
•Setting up workspaces (2:14)
•Managing Design Suite Workspaces (7:44) (This demo is in Photoshop, but also applies to Flash Professional)
Note: Most things in Flash can be done either with or without ActionScript. The things that actually require ActionScript
are non-linear playback, and any situation where the author prefers to avoid using the Timeline.
General Flash workflow
To build a Flash Pro application, you typically perform the following basic steps:
Plan the application.
Decide which basic tasks the application will perform.
Add media elements.
Create and import media elements, such as images, video, sound, and text.
Arrange the elements.
Arrange the media elements on the Stage and in the Timeline to define when and how they appear in your application.
Apply special effects.
Apply graphic filters (such as blurs, glows, and bevels), blends, and other special effects as you see fit.
Use ActionScript to control behavior.
Write ActionScript® code to control how the media elements behave, including how the elements respond to user
interactions.
Test and publish your application.
Test your FLA file (Control > Test Movie) to verify that your application is working as you intended and find and fix
any bugs you encounter. You should test the application throughout the creation process. You can test your file in
Flash Pro, Device Central, the AIR Debug Launchers, and on-device via USB (Flash CS5.5 only).
Publish your FLA file (File > Publish) as a SWF file that can be displayed in a web page and played back with Flash®
Player.
Depending on your project and your working style, you might use these steps in a different order.

7
USING FLASH PROFESSIONAL
Workspace
Last updated 1/16/2012
For more help getting started with the Flash Pro workflow, see the following:
•Article: Introducing Adobe Flash Professional: http://www.adobe.com/devnet/logged_in/dwinnie_flcs4.html
•Article: Creating a simple document in Flash Professional:
http://www.adobe.com/devnet/flash/articles/flash_cs4_createfla.html
•Video: Flash Workflow Basics: http://www.adobe.com/go/lrvid4053_fl
•Flash overview: www.adobe.com/go/lrvid4053_fl
•Flash workflow: www.adobe.com/go/vid0132
•Creating your first interactive Flash file: www.adobe.com/go/vid0118
Workspace overview
You create and manipulate your documents and files using various elements, such as panels, bars, and windows. Any
arrangement of these elements is called a workspace. The workspaces of the different applications in Adobe® Creative
Suite® 5 share the same appearance so that you can move between the applications easily. You can also adapt each
application to the way you work by selecting from several preset workspaces or by creating one of your own.
Although the default workspace layout varies in different products, you manipulate the elements much the same way
in all of them.

8
USING FLASH PROFESSIONAL
Workspace
Last updated 1/16/2012
Default Illustrator workspace
A. Tabbed Document windows B. Application bar C. Workspace switcher D. Panel title bar E. Control panel F. Tools panel G. Collapse To
Icons button H. Four panel groups in vertical dock
•The Application bar across the top contains a workspace switcher, menus (Windows only), and other application
controls. On the Mac for certain products, you can show or hide it using the Window menu.
•The Tools panel contains tools for creating and editing images, artwork, page elements, and so on. Related tools are
grouped.
•The Control panel displays options for the currently selected tool. In Illustrator, the Control panel displays options
for the currently selected object. (In Adobe Photoshop® this is known as the Options bar. In Adobe Flash®, Adobe
Dreamweaver®, and Adobe Fireworks® this is known as the Property Inspector and includes properties of the
currently selected element.)
•The Document window displays the file you’re working on. Document windows can be tabbed and, in certain cases,
grouped and docked.
•Panels help you monitor and modify your work. Examples include the Timeline in Flash, the Brush panel in
Illustrator, the Layers panel in Adobe Photoshop®, and the CSS Styles panel in Dreamweaver. Panels can be
grouped, stacked, or docked.
•The Application frame groups all the workspace elements in a single, integrated window that lets you treat the
application as a single unit. When you move or resize the Application frame or any of its elements, all the elements
within it respond to each other so none overlap. Panels don’t disappear when you switch applications or when you
accidentally click out of the application. If you work with two or more applications, you can position each
application side by side on the screen or on multiple monitors.
G
F
H
AB DC
E

9
USING FLASH PROFESSIONAL
Workspace
Last updated 1/16/2012
If you are using a Mac and prefer the traditional, free-form user interface, you can turn off the Application frame.
In Adobe Illustrator®, for example, select Window > Application Frame to toggle it on or off. (In Flash, the
Application frame is on permanently for Mac, and Dreamweaver for Mac does not use an Application frame.)
Hide or show all panels
•(Illustrator, Adobe InCopy®, Adobe InDesign®, Photoshop, Fireworks)To hide or show all panels, including the
Tools panel and Control panel, press
Tab.
•(Illustrator, InCopy, InDesign, Photoshop) To hide or show all panels except the Tools panel and Control panel,
press Shift+Tab.
You can temporarily display hidden panels if Auto-Show Hidden Panels is selected in Interface preferences. It’s
always on in Illustrator. Move the pointer to the edge of the application window (Windows®) or to the edge of the
monitor (Mac
OS®) and hover over the strip that appears.
•(Flash, Dreamweaver, Fireworks) To hide or show all panels, press F4.
Display panel options
❖Click the panel menu icon in the upper-right corner of the panel.
You can open a panel menu even when the panel is minimized.
In Photoshop, you can change the font size of the text in panels and tool tips. In the Interface preferences, choose a
size from the UI Font Size menu.
(Illustrator) Adjust panel brightness
❖ In User Interface preferences, move the Brightness slider. This control affects all panels, including the Control
panel.
Reconfigure the Tools panel
You can display the tools in the Tools panel in a single column, or side by side in two columns. (This feature is not
available in the Tools panel in Fireworks and Flash.)
In InDesign and InCopy, you also can switch from single-column to double-column (or single-row) display by setting
an option in Interface preferences.
❖ Click the double arrow at the top of the Tools panel.
Manage windows and panels
You can create a custom workspace by moving and manipulating Document windows and panels. You can also save
workspaces and switch among them. For Fireworks, renaming custom workspaces can lead to unexpected behavior.
Note: The following examples use Photoshop for demonstration purposes. The workspace behaves the same in all the
products.
Rearrange, dock, or float document windows
When you open more than one file, the Document windows are tabbed.
•To rearrange the order of tabbed Document windows, drag a window’s tab to a new location in the group.
•To undock (float or untab) a Document window from a group of windows, drag the window’s tab out of the group.

10
USING FLASH PROFESSIONAL
Workspace
Last updated 1/16/2012
Note: In Photoshop you can also choose Window > Arrange > Float in Window to float a single Document window,
or Window > Arrange > Float All In Windows to float all of the Document windows at once. See tech note kb405298
for more information.
Note: Dreamweaver does not support docking and undocking Document windows. Use the Document window’s
Minimize button to create floating windows (Windows), or choose Window > Tile Vertically to create side-by-side
Document windows. Search “Tile Vertically” in Dreamweaver Help for more information on this topic. The workflow
is slightly different for Macintosh users.
•To dock a Document window to a separate group of Document windows, drag the window into the group.
•To create groups of stacked or tiled documents, drag the window to one of the drop zones along the top, bottom, or
sides of another window. You can also select a layout for the group by using the Layout button on the Application bar.
Note: Some products do not support this functionality. However, your product may have Cascade and Tile commands
in the Window menu to help you lay out your documents.
•To switch to another document in a tabbed group when dragging a selection, drag the selection over the document’s
tab for a moment.
Note: Some products do not support this functionality.
Dock and undock panels
A dock is a collection of panels or panel groups displayed together, generally in a vertical orientation. You dock and
undock panels by moving them into and out of a dock.
•To dock a panel, drag it by its tab into the dock, at the top, bottom, or in between other panels.
•To dock a panel group, drag it by its title bar (the solid empty bar above the tabs) into the dock.
•To remove a panel or panel group, drag it out of the dock by its tab or title bar. You can drag it into another dock
or make it free-floating.
Navigator panel being dragged out to new dock, indicated by blue vertical highlight

11
USING FLASH PROFESSIONAL
Workspace
Last updated 1/16/2012
Navigator panel now in its own dock
You can prevent panels from filling all the space in a dock. Drag the bottom edge of the dock up so it no longer meets
the edge of the workspace.
Move panels
As you move panels, you see blue highlighted drop zones, areas where you can move the panel. For example, you can
move a panel up or down in a dock by dragging it to the narrow blue drop zone above or below another panel. If you
drag to an area that is not a drop zone, the panel floats freely in the workspace.
Note: The position of the mouse (rather than the position of the panel), activates the drop zone, so if you can’t see the drop
zone, try dragging the mouse to the place where the drop zone should be.
•To move a panel, drag it by its tab.
•To move a panel group, drag the title bar.
Narrow blue drop zone indicates Color panel will be docked on its own above the Layers panel group.
A. Title bar B. Tab C. Drop zone
Press Ctrl (Windows) or Command (Mac OS) while moving a panel to prevent it from docking. Press Esc while
moving the panel to cancel the operation.
Add and remove panels
If you remove all panels from a dock, the dock disappears. You can create a dock by moving panels to the right edge
of the workspace until a drop zone appears.
•To remove a panel, right-click (Windows) or Control-click (Mac) its tab and then select Close, or deselect it from
the Window menu.
•To add a panel, select it from the Window menu and dock it wherever you want.
A
B
C

12
USING FLASH PROFESSIONAL
Workspace
Last updated 1/16/2012
Manipulate panel groups
•To move a panel into a group, drag the panel’s tab to the highlighted drop zone in the group.
Adding a panel to a panel group
•To rearrange panels in a group, drag a panel’s tab to a new location in the group.
•To remove a panel from a group so that it floats freely, drag the panel by its tab outside the group.
•To move a group, drag the title bar (the area above the tabs).
Stack floating panels
When you drag a panel out of its dock but not into a drop zone, the panel floats freely. The floating panel allows you
to position it anywhere in the workspace. You can stack floating panels or panel groups so that they move as a unit
when you drag the topmost title bar.
Free-floating stacked panels
•To stack floating panels, drag a panel by its tab to the drop zone at the bottom of another panel.
•To change the stacking order, drag a panel up or down by its tab.
Note: Be sure to release the tab over the narrow drop zone between panels, rather than the broad drop zone in a title bar.
•To remove a panel or panel group from the stack, so that it floats by itself, drag it out by its tab or title bar.
Resize panels
•To minimize or maximize a panel, panel group, or stack of panels, double-click a tab. You can also double-click the
tab area (the empty space next to the tabs).
•To resize a panel, drag any side of the panel. Some panels, such as the Color panel in Photoshop, cannot be resized
by dragging.
Collapse and expand panel icons
You can collapse panels to icons to reduce clutter on the workspace. In some cases, panels are collapsed to icons in the
default workspace.

13
USING FLASH PROFESSIONAL
Workspace
Last updated 1/16/2012
Panels collapsed to icons
Panels expanded from icons
•To collapse or expand all panel icons in a column, click the double arrow at the top of the dock.
•To expand a single panel icon, click it.
•To resize panel icons so that you see only the icons (and not the labels), adjust the width of the dock until the text
disappears. To display the icon text again, make the dock wider.
•To collapse an expanded panel back to its icon, click its tab, its icon, or the double arrow in the panel’s title bar.
In some products, if you select Auto-Collapse Icon Panels from the Interface or User Interface Options preferences,
an expanded panel icon collapses automatically when you click away from it.
•To add a floating panel or panel group to an icon dock, drag it in by its tab or title bar. (Panels are automatically
collapsed to icons when added to an icon dock.)
•To move a panel icon (or panel icon group), drag the icon. You can drag panel icons up and down in the dock, into
other docks (where they appear in the panel style of that dock), or outside the dock (where they appear as floating
icons).
Save and switch workspaces
By saving the current size and position of panels as a named workspace, you can restore that workspace even if you
move or close a panel. The names of saved workspaces appear in the workspace switcher in the Application bar.
Save a custom workspace
1With the workspace in the configuration you want to save, do one of the following:
•(Illustrator) Choose Window > Workspace > Save Workspace.
•(Photoshop, InDesign, InCopy) Choose Window > Workspace > New Workspace.
•(Dreamweaver) Choose Window > Workspace Layout > New Workspace.

14
USING FLASH PROFESSIONAL
Workspace
Last updated 1/16/2012
•(Flash) Choose New Workspace from the workspace switcher in the Application bar.
•(Fireworks) Choose Save Current from the workspace switcher in the Application bar.
2Type a name for the workspace.
3(Photoshop, InDesign) Under Capture, select one or more options:
Panel Locations Saves the current panel locations (InDesign only).
Keyboard shortcuts Saves the current set of keyboard shortcuts (Photoshop only).
Menus or Menu Customization Saves the current set of menus.
Display or switch workspaces
❖Select a workspace from the workspace switcher in the Application bar.
In Photoshop, you can assign keyboard shortcuts to each workspace to navigate among them quickly.
Delete a custom workspace
•Select Manage Workspaces from the workspace switcher in the Application bar, select the workspace, and then
click Delete. (The option is not available in Fireworks.)
•(Photoshop, InDesign, InCopy) Select Delete Workspace from the workspace switcher.
•(Illustrator) Choose Window > Workspace > Manage Workspaces, select the workspace, and then click the Delete icon.
•(Photoshop, InDesign) Choose Window > Workspace >Delete Workspace, select the workspace, and then click
Delete.
Restore the default workspace
1Select the Default or Essentials workspace from the workspace switcher in the application bar. For Fireworks, see
the article http://www.adobe.com/devnet/fireworks/articles/workspace_manager_panel.html.
Note: In Dreamweaver, Designer is the default workspace.
2For Fireworks (Windows), delete these folders:
Windows Vista \\Users\<username>\AppData\Roaming\Adobe\Fireworks CS4\
Windows XP \\Documents and Settings\<username>\Application Data\Adobe\Fireworks CS4
3(Photoshop, InDesign, InCopy) Select Window > Workspace > Reset [Workspace Name].
(Photoshop) Restore a saved workspace arrangement
In Photoshop, workspaces automatically appear as you last arranged them, but you can restore the original, saved
arrangement of panels.
•To restore an individual workspace, choose Window > Workspace > Reset Workspace Name.
•To restore all the workspaces installed with Photoshop, click Restore Default Workspaces in the Interface
preferences.
To rearrange the order of workspaces in the application bar, drag them.

15
USING FLASH PROFESSIONAL
Workspace
Last updated 1/16/2012
Using the Stage and Tools panel
Using the Stage
The Stage is the rectangular area where you place graphic content when creating Flash Pro documents. The Stage in
the authoring environment represents the rectangular space in Flash Player or in a web browser window where your
document appears during playback. To change the view of the Stage as you work, zoom in and out. To help you
position items on the Stage, you can use the grid, guides, and rulers.
The Timeline and Stage with content.
Zoom the Stage
To view the entire Stage on the screen, or to view a particular area of your drawing at high magnification, change the
magnification level. The maximum magnification depends on the resolution of your monitor and the document size.
The minimum value for zooming out on the Stage is 8%. The maximum value for zooming in on the Stage is 2000%.
•To zoom in on an element, select the Zoom tool in the Tools panel, and click the element. To switch the Zoom
tool between zooming in or out, use the Enlarge or Reduce modifiers (in the options area of the Tools panel
when the Zoom tool is selected) or Alt-click (Windows) or Option-click (Macintosh).
•To zoom in so that a specific area of your drawing fills the window, drag a rectangular selection on the Stage with
the Zoom tool.
•To zoom in on or out of the entire Stage, select View > Zoom In or View > Zoom Out.
•To zoom in or out by a specified percentage, select View > Magnification, and select a percentage from the submenu
or select a percentage from the Zoom control at the upper-right corner of the document window.
•To scale the Stage so that it fits completely in the application window, select View > Magnification > Fit in Window.
•To show the contents of the current frame, select View > Magnification > Show All, or select Show All from the
Zoom control at the upper-right side of the application window. If the scene is empty, the entire Stage appears.

16
USING FLASH PROFESSIONAL
Workspace
Last updated 1/16/2012
•To show the entire Stage, select View > Magnification > Show Frame or select Show Frame from the Zoom control
at the upper-right corner of the document window.
•To show the workspace surrounding the Stage, or to view elements in a scene that are partly or completely outside
of the Stage area, select View
> Pasteboard. The pasteboard appears in light gray. For example, to have a bird fly
into a frame, initially position the bird outside of the Stage in the pasteboard and animate it into the Stage area.
Move the view of the Stage
When the Stage is magnified, you may not be able to see all of it. To change the view without having to change the
magnification, use the Hand tool to move the Stage.
•In the Tools panel, select the Hand tool and drag the Stage. To temporarily switch between another tool and the
Hand tool, hold down the Spacebar and click the tool in the Tools panel.
Use rulers
When rulers show, they appear along the top and left sides of the document. You can change the unit of measure used
in the rulers from the default of pixels to another unit. When you move an element on the Stage with the rulers
displayed, lines indicating the element’s dimensions appear on the rulers.
•To show or hide rulers, select View > Rulers.
•To specify the rulers’ unit of measure for a document, select Modify > Document, and select a unit from the Ruler
Units menu.
More Help topics
“Snapping art into position” on page 127
Use guides
When rulers show (View > Rulers), you can drag horizontal and vertical guides from the rulers onto the Stage.
When you create nested timelines, draggable guides appear on the Stage only when the Timeline in which they were
created is active.
To create custom guides or irregular guides, use guide layers.
•To display or hide the drawing guides, select View > Guides > Show Guides.
Note: If the grid is visible and Snap to Grid is turned on when you create guides, guides snap to the grid.
•To turn snapping to guides on or off, select View > Snapping > Snap to Guides.
Note: Snapping to guides takes precedence over snapping to the grid in places where guides fall between grid lines.
•To move a guide, click anywhere on the ruler with the Selection tool and drag the guide to the desired place on the
Stage.
•To remove a guide, use the Selection tool with guides unlocked to drag the guide to the horizontal or vertical ruler.
•To lock guides, select View > Guides > Lock Guides or use the Lock Guides option in the Edit Guides (View >
Guides
> Edit Guides) dialog box.
•To clear guides, select View > Guides > Clear Guides. If you are in document-editing mode, all guides in the
document are cleared. If you are in symbol-editing mode, only guides used in symbols are cleared.

17
USING FLASH PROFESSIONAL
Workspace
Last updated 1/16/2012
Set guide preferences
1Select View > Guides > Edit Guides and do any of the following:
•To set Color, click the triangle in the color box and select a guide line color from the palette. The default guide
color is green.
•To display or hide guides, select or deselect Show Guides.
•To turn snapping to guides on or off, select or deselect Snap To Guides.
•Select or deselect Lock Guides.
•To set Snap Accuracy, select an option from the pop-up menu.
•To remove all guides, click Clear All. Clear All removes all guides from the current scene.
•To save the current settings as the default, click Save Default.
2Click OK.
Use the grid
The grid appears in a document as a set of lines behind the artwork in all scenes.
Display or hide the drawing grid
❖Do one of the following:
•Select View > Grid > Show Grid.
•Press Control+'' (quote) (Windows) or Command+'' (quote) (Macintosh).
Turn snapping to grid lines on or off
❖Select View > Snapping > Snap to Grid.
Set grid preferences
1Select View > Grid > Edit Grid and select from the options.
2To save the current settings as the default, click Save Default.
About the main toolbar and edit bar
The menu bar at the top of the application window contains menus with commands for controlling functionality.
The edit bar, at the top of the Stage, contains controls and information for editing scenes and symbols, and for
changing the magnification level of the Stage.
More Help topics
“Symbols, instances, and library assets” on page 150
“Working with scenes” on page 187
Use the Tools panel
The tools in the Tools panel let you draw, paint, select, and modify artwork, as well as change the view of the Stage.
The Tools panel is divided into four sections:
•The tools area contains drawing, painting, and selection tools.

18
USING FLASH PROFESSIONAL
Workspace
Last updated 1/16/2012
•The view area contains tools for zooming and panning in the application window.
•The colors area contains modifiers for stroke and fill colors.
•The options area contains modifiers for the currently selected tool. Modifiers affect the tool’s painting or editing
operations.
To specify which tools to display in the authoring environment, use the Customize Tools Panel dialog box.
To show or hide the Tools panel, select Window > Tools.
Select tools
❖Do one of the following:
•Click the tool in the Tools panel. Depending on the tool you select, a set of modifiers might appear in the options
area at the bottom of the Tools panel.
•Press the tool’s keyboard shortcut. To view the keyboard shortcuts, select Edit > Keyboard Shortcuts (Windows)
or Flash
> Keyboard Shortcuts (Macintosh). On the Macintosh, you might need to move the mouse to see the
new pointer appear.
•To select a tool located in the pop-up menu for a visible tool such as the Rectangle tool, press the icon of the
visible tool and select another tool from the pop-up menu.
Customize the Tools panel
To specify which tools appear in the authoring environment, use the Customize Tools Panel dialog box to add or
remove tools from the Tools panel.
When more than one tool appears in a location, the top tool in the group (the most recently used) appears with an
arrow in the lower-right corner of its icon. This arrow indicates that additional tools are present in a pop-up menu.
The same keyboard shortcut functions for all tools in the pop-up menu. When you press and hold the mouse button
on the icon, the other tools in the group appear in a pop-up menu.
1To show the Customize Tools Panel dialog box, do one of the following:
•(Windows) Select Edit > Customize Tools panel.
•(Macintosh) Select Flash > Customize Tools panel.
The Available Tools menu indicates the tools that are currently available. The Current Selection menu indicates
the tools currently assigned to the selected location in the Tools panel.
2To browse through the tools to specify the location to assign to another tool, click a tool in the image of the Tools
panel or use the arrows.
3To add a tool to the selected location, select the tool in the Available Tools list and click Add. You can assign a tool
to more than one location.
4To remove a tool from the selected location, select the tool in the Current Selection scroll list and click Remove.
5To restore the default Tools Panel layout, click Restore Default in the Customize Tools Panel dialog box.
6Click OK to apply your changes and close the Customize Tools Panel dialog box.
More Help topics
“Creating and Editing Artwork” on page 89
“Selecting objects” on page 123

19
USING FLASH PROFESSIONAL
Workspace
Last updated 1/16/2012
Use context menus
Context menus contain commands relevant to the current selection. For example, when you select a frame in the
Timeline window, the context menu contains commands for creating, deleting, and modifying frames and keyframes.
Context menus exist for many items and controls in many locations, including on the Stage, in the Timeline, in the
Library panel, and in the Actions panel.
❖Right-click (Windows) or Control-click (Macintosh) an item.
The Timeline
About the Timeline
The Timeline organizes and controls a document’s content over time in layers and frames. Like films, Flash Pro
documents divide lengths of time into frames. Layers are like multiple film strips stacked on top of one another, each
containing a different image that appears on the Stage. The major components of the Timeline are layers, frames, and
the playhead.
Layers in a document are listed in a column on the left side of the Timeline. Frames contained in each layer appear in
a row to the right of the layer name. The Timeline header at the top of the Timeline indicates frame numbers. The
playhead indicates the current frame displayed on the Stage. As a document plays, the playhead moves from left to
right through the Timeline.
The Timeline status displayed at the bottom of the Timeline indicates the selected frame number, the current frame
rate, and the elapsed time to the current frame.
Note: When an animation is played, the actual frame rate is displayed; this may differ from the document’s frame rate
setting if the computer can’t calculate and display the animation quickly enough.
Parts of the Timeline
A. Playhead B. Empty keyframe C. Timeline header D. Guide layer icon E. Frame View pop-up menu F. Frame-by-frame animation
G. Tweened animation H. Center Frame button I. Onion-skinning buttons J. Current Frame indicator K. Frame Rate indicator L. Elapsed
Time indicator
The Timeline shows where animation occurs in a document, including frame-by-frame animation, tweened
animation, and motion paths.
Controls in the layers section of the Timeline let you hide, show, lock, or unlock layers, as well as display layer contents
as outlines. You can drag Timeline frames to a new location on the same layer or to a different layer.
More Help topics
“Motion tween animation” on page 195
AB
HI J K L
D
C
E
F
G

20
USING FLASH PROFESSIONAL
Workspace
Last updated 1/16/2012
Change the appearance of the Timeline
By default, the Timeline appears below the main document window. To change its position, detach the Timeline from
the document window and float it in its own window or dock it to any other panel you choose. You can also hide the
Timeline.
To change the number of layers and frames that are visible, resize the Timeline. To view additional layers when the
Timeline contains more layers than can be displayed, use the scroll bars on the right side of the Timeline.
Dragging the Timeline
•To move the Timeline when it is docked to the document window, drag the title bar tab at the upper-left corner of
the Timeline.
•To dock an undocked Timeline to the application window, drag the title bar tab to the top or bottom of the
document window.
•To dock an undocked Timeline to other panels, drag the Timeline title bar tab to the location you choose. To
prevent the Timeline from docking to other panels, press Control while you drag. A blue bar appears to indicate
where the Timeline will dock.
•To lengthen or shorten layer name fields in the Timeline panel, drag the bar separating the layer names and the
frames portions of the Timeline.
Change the display of frames in the Timeline
1To display the Frame View pop-up menu, click Frame View in the upper-right corner of the Timeline.
Frame View pop-up menu.
2Select from the following options:
•To change the width of frame cells, select Tiny, Small, Normal, Medium, or Large. (The Large frame-width
setting is useful for viewing the details of sound waveforms.)

21
USING FLASH PROFESSIONAL
Workspace
Last updated 1/16/2012
•To decrease the height of frame cell rows, select Short.
Short and Normal frame view options.
•To turn the tinting of frame sequences on or off, select Tinted Frames.
•To display thumbnails of the content of each frame scaled to fit the Timeline frames, select Preview. This can
cause the apparent content size to vary and requires extra screen space.
•To display thumbnails of each full frame (including empty space), select Preview In Context. This is useful for
viewing the way elements move in their frames over the course of the animation, but previews are generally
smaller than with the Preview option.
Change layer height in the Timeline
1Do one of the following:
•Double-click the layer’s icon (the icon to the left of the layer name) in the Timeline.
•Right-click (Windows) or Control-click (Macintosh) the layer name and select Properties from the context menu.
•Select the layer in the Timeline and select Modify > Timeline > Layer Properties.
2In the Layer Properties dialog box, select an option for Layer Height and click OK.
Resize the Timeline
•If the Timeline is docked to the main application window, drag the bar separating the Timeline from the Stage area.
•If the Timeline is not docked to the main application window, drag the lower-right corner (Windows) or the size
box in the lower-right corner (Macintosh).
Move the playhead
The red playhead at the top of the Timeline moves as a document plays to indicate the current frame displayed on the
Stage. The Timeline header shows the frame numbers of the animation. To display a frame on the Stage, move the
playhead to the frame in the Timeline.
To display a specific frame when you’re working with a large number of frames that can’t all be displayed in the
Timeline at once, move the playhead along the Timeline.
•To go to a frame, click the frame’s location in the Timeline header, or drag the playhead to the desired position.
•To center the Timeline on the current frame, click the Center Frame button at the bottom of the Timeline.
•(CS5.5 only) To play, rewind, skip back, and skip forward in the Timeline, use the Playback buttons at the bottom
of the Timeline panel.
•(CS5.5 only) To loop through a specific range of frames, click the Loop button at the bottom of the Timeline panel.
Then move the frame range markers to the first and last frames you want to loop.

22
USING FLASH PROFESSIONAL
Workspace
Last updated 1/16/2012
Moving the playhead
Using Flash authoring panels
Videos and tutorials
•Video: The Panels (Length = 11:15, Peachpit.com)
About the Property inspector
The Property inspector provides easy access to the most commonly used attributes of the current selection, either on
the Stage or in the Timeline. You can make changes to the object or document attributes in the Property inspector
without accessing the menus or panels that also control these attributes.
Depending on what is currently selected, the Property inspector displays information and settings for the current
document, text, symbol, shape, bitmap, video, group, frame, or tool. When two or more different types of objects are
selected, the Property inspector displays the total number of objects selected.
To display the Property inspector, Select Window > Properties, or press Control+F3 (Windows) or Command+F3
(Macintosh).
About the Library panel
The Library panel (Window > Library) is where you store and organize symbols created in Flash Pro, as well as
imported files, including bitmap graphics, sound files, and video clips. The Library panel lets you organize library
items in folders, see how often an item is used in a document, and sort items by name, type, date, use count, or
ActionScript® linkage identifier. You can also search the Library panel with the search field and set properties on most
multiple-object selections.
The Library panel showing a movie clip symbol.

23
USING FLASH PROFESSIONAL
Workspace
Last updated 1/16/2012
More Help topics
“Work with libraries” on page 159
About the Actions panel
The Actions panel lets you create and edit ActionScript code for an object or frame. Selecting a frame, button, or movie
clip instance makes the Actions panel active. The Actions panel title changes to Button Actions, Movie Clip Actions,
or Frame Actions, depending on what is selected.
The Actions panel showing a stop() action in a frame.
To display the Actions panel, select Window > Actions or press F9.
More Help topics
“The Actions panel” on page 348
“Script window overview” on page 349
Use the Movie Explorer
The Movie Explorer lets you view and organize the contents of a document and select elements in the document for
modification. It contains a display list of currently used elements, arranged in a navigable hierarchical tree.
Use the Movie Explorer to perform the following actions:
•Filter which categories of items in the document appear in the Movie Explorer.
•Display the selected categories as scenes, symbol definitions, or both.
•Expand and collapse the navigation tree.
•Search for an element in a document by name.
•Familiarize yourself with the structure of a Flash Pro document that another developer created.
•Find all the instances of a particular symbol or action.
•Print the navigable display list that appears in the Movie Explorer.

24
USING FLASH PROFESSIONAL
Workspace
Last updated 1/16/2012
The Movie Explorer has a Panel menu and a context menu with options for performing operations on selected items
or modifying the Movie Explorer display. A check mark with a triangle below it in the Movie Explorer panel indicates
the Panel menu.
Note: The Movie Explorer has slightly different functionality when you are working with screens.
View the Movie Explorer
❖Select Window > Movie Explorer.
Filter the categories of items that appear in the Movie Explorer
•To show text, symbols, ActionScript, imported files, or frames and layers, click one or more of the filtering buttons
to the right of the Show option. To customize which items to show, click the Customize button. Select options in
the Show area of the Movie Explorer Settings dialog box to view those elements.
•To show items in scenes, select Show Movie Elements from the Movie Explorer Panel menu.
•To show information about symbols, select Show Symbol Definitions from the Movie Explorer Panel menu.
Note: The Movie Elements option and the Symbol Definitions option can be active at the same time.
Search for an item using the Find box
❖In the Find box, enter the item name, font name, ActionScript string, or frame number. The Find feature searches
all items that appear in the Movie Explorer.
Select an item in the Movie Explorer
❖Click the item in the navigation tree. Shift-click to select more than one item.
The full path for the selected item appears at the bottom of the Movie Explorer. Selecting a scene in the Movie Explorer
shows the first frame of that scene on the Stage. Selecting an element in the Movie Explorer selects that element on the
Stage if the layer containing the element is not locked.
Use the Movie Explorer Panel menu or context menu commands
1Do one of the following:
•To view the Panel menu, click the Panel menu control in the Movie Explorer panel.
•To view the context menu, right-click (Windows) or Control-click (Macintosh) an item in the Movie Explorer
navigation tree.
2Select an option from the menu:
Go To Location Jumps to the selected layer, scene, or frame in the document.
Go To Symbol Definition Jumps to the symbol definition for a symbol that is selected in the Movie Elements area of
the Movie Explorer. The symbol definition lists all the files associated with the symbol. (The Show Symbol Definitions
option must be selected. See its definition in this list.)
Select Symbol Instances Jumps to the scene containing instances of a symbol that is selected in the Symbol Definitions
area of the Movie Explorer. (The Show Movie Elements option must be selected.)
Show In Library Highlights the selected symbol in the document’s library. (Flash Pro opens the Library panel if it is
not already visible.)
Rename Lets you enter a new name for a selected element.
Edit In Place Lets you edit a selected symbol on the Stage.

25
USING FLASH PROFESSIONAL
Workspace
Last updated 1/16/2012
Edit In New Window Lets you edit a selected symbol in a new window.
Show Movie Elements Shows the elements in your document organized into scenes.
Show Symbol Definitions Shows all the elements associated with a symbol.
Copy All Text To Clipboard Copies selected text to the clipboard. For spell checking or other editing, paste the text into
an external text editor.
Cut, Copy, Paste, And Clear Performs these common functions on a selected element. Modifying an item in the display
list modifies the corresponding item in the document.
Expand Branch Expands the navigation tree at the selected element.
Collapse Branch Collapses the navigation tree at the selected element.
Collapse Others Collapses the branches in the navigation tree that do not contain the selected element.
Print Prints the hierarchical display list that appears in the Movie Explorer.
About Flash components and the Components panel
A component in Flash is a reusable, packaged module that adds a particular capability to a Flash document.
Components can include graphics as well as code, so they're pre-built functionality that you can easily include in your
Flash projects. For example, a component can be a radio button, a dialog box, a preload bar, or even something that
has no graphics at all, such as a timer, a server connection utility, or a custom XML parser.
If you are less experienced with writing ActionScript, you can add components to a document, set their parameters in
the Property inspector or Component inspector, and use the Behaviors panel to handle their events. For example, you
could attach a Go To Web Page behavior to a Button component that opens a URL in a web browser when the button
is clicked without writing any ActionScript code.
If you are a programmer who wants to create more robust applications, you can create components dynamically, use
ActionScript to set properties and call methods at run time, and use the event listener model to handle events.
Insert a component using the Component panel
When you first add a component to a document, Flash imports it as a movie clip into the Library panel. You can also
drag a component from the Components panel directly to the Library panel and then add an instance of it to the Stage.
In any case, you must add a component to the library before you can access its class elements.
1Select Window > Component panel.
2Select an instance of a component in the Component panel, and drag it to the Stage or Library panel. After a
component is added to the library, you can drag multiple instances to the Stage.
3Configure the component as needed using either the Property inspector or the Components inspector. For
information on the parameters the component uses, refer to the appropriate component documentation for the
version of ActionScript you are using in the Flash document.
Enter parameters for a component using the Component inspector
1Select Window > Component Inspector.
2Select an instance of a component on the Stage.
3Click the Parameters tab and enter values for any of the listed parameters.

26
USING FLASH PROFESSIONAL
Workspace
Last updated 1/16/2012
About the Web Services panel
You can view a list of web services, refresh web services, and add or remove web services in the Web Services panel
(Window
> Other Panels > Web Services). When you add a web service to the Web Services panel, the web service is
then available to any application you create.
You can use the Web Services panel to refresh all your web services at once by clicking the Refresh Web Services
button. If you are not using the Stage but instead are writing ActionScript code for the connectivity layer of your
application, you can use the Web Services panel to manage your web services.
For detailed information about using the web services panel, see www.adobe.com/go/learn_fl_web_services.
Undo, redo, and the History panel
Undo, Redo, and Repeat commands
To undo or redo actions on individual objects, or all objects within the current document, specify either object-level
or document-level Undo and Redo commands (Edit
> Undo or Edit Redo). The default behavior is document-level
Undo and Redo.
You cannot undo some actions when using object-level Undo. Among these are entering and exiting Edit mode;
selecting, editing, and moving library items; and creating, deleting, and moving scenes.
To reapply a step to the same object or to a different object, use the Repeat command. For example, if you move a shape
named shape_A, select Edit
> Repeat to move the shape again, or select another shape, shape_B, and select Edit >
Repeat to move the second shape by the same amount.
By default, Flash Pro supports 100 levels of undo for the Undo menu command. Select the number of undo and redo
levels, from 2 to 300, in Flash Preferences.
By default, when you undo a step by using Edit > Undo or the History panel, the file size of the document does not
change, even if you delete an item in the document. For example, if you import a video file into a document, and undo
the import, the file size of the document still includes the size of the video file. Any items that you delete from a
document when performing an Undo command are preserved to in order to be able to restore the items with a Redo
command.
More Help topics
“Set preferences in Flash” on page 32
“Automating tasks with the Commands menu” on page 28
Using the History panel
The History panel (Window > Other Panels > History) shows a list of the steps you’ve performed in the active
document since you created or opened that document, up to a specified maximum number of steps. (The History panel
doesn’t show steps you’ve performed in other documents.) The slider in the History panel initially points to the last
step that you performed.
•To undo or redo individual steps or multiple steps at once, use the History panel. Apply steps from the History
panel to the same object or to a different object in the document. However, you cannot rearrange the order of steps
in the History panel. The History panel is a record of steps in the order in which they are performed.

27
USING FLASH PROFESSIONAL
Workspace
Last updated 1/16/2012
Note: If you undo a step or a series of steps and then do something new in the document, you can no longer redo the
steps in the History panel; they disappear from the panel.
•By default, Flash Pro supports 100 levels of undo for the History panel. Select the number of undo and redo levels,
from 2 to 300, in Flash Preferences.
•To erase the history list for the current document, clear the History panel. After clearing the history list, you cannot
undo the steps that are cleared. Clearing the history list does not undo steps; it removes the record of those steps
from the current document’s memory.
Closing a document clears its history. To use steps from a document after that document is closed, copy the steps with
the Copy Steps command or save the steps as a command.
More Help topics
“Set preferences in Flash” on page 32
“Automating tasks with the Commands menu” on page 28
Undo steps with the History panel
When you undo a step, the step is dimmed in the History panel.
•To undo the last step performed, drag the History panel slider up one step in the list.
•To undo multiple steps at once, drag the slider to point to any step, or click to the left of a step along the path of the
slider. The slider scrolls automatically to that step, undoing all subsequent steps as it scrolls.
Note: Scrolling to a step (and selecting the subsequent steps) is different from selecting an individual step. To scroll to a
step, click to the left of the step.
Replay steps with the History panel
When you replay steps with the History panel, the steps that play are the steps that are selected (highlighted) in the
History panel, not necessarily the step currently indicated by the slider.
Apply steps in the History panel to any selected object in the document.
Replay one step
❖In the History panel, select a step and click the Replay button.
Replay a series of adjacent steps
1Select steps in the History panel by doing one of the following:
•Drag from one step to another. (Don’t drag the slider; drag from the text label of one step to the text label of another
step.)
•Select the first step, then Shift-click the last step; or select the last step and Shift-click the first step.
2Click Replay. The steps replay in order, and a new step, labeled Replay Steps, appears in the History panel.
Replay nonadjacent steps
1Select a step in the History panel, and Control-click (Windows) or Command-click (Macintosh) other steps. To
deselect a selected step, Control-click or Command-click.
2Click Replay.

28
USING FLASH PROFESSIONAL
Workspace
Last updated 1/16/2012
Copy and paste steps between documents
Each open document has its own history of steps. To copy steps from one document and paste them into another, use
the Copy Steps command in the History panel options menu. If you copy steps into a text editor, the steps are pasted
as JavaScript™ code.
1In the document containing the steps to reuse, select the steps in the History panel.
2In the History panel options menu, select Copy Steps.
3Open the document to paste the steps into.
4Select an object to apply the steps to.
5Select Edit > Paste to paste the steps. The steps play back as they’re pasted into the document’s History panel. The
History panel shows them as only one step, called Paste Steps.
Automating tasks with the Commands menu
Create and manage commands
To repeat the same task, create a command in the Commands menu from steps in the History panel and reuse the
command. Steps replay exactly as they were originally performed. You can’t modify the steps as you replay them.
To use steps the next time you start Flash Pro, create and save a command. Saved commands are retained permanently,
unless you delete them. Steps that you copy using the History panel Copy Steps command are discarded when you copy
something else.
Create a command from selected steps in the History panel. Rename or delete commands in the Manage Saved
Commands dialog box.
More Help topics
“Copy and paste steps between documents” on page 28
Create a command
1Select a step or set of steps in the History panel.
2Select Save As Command from the History panel options menu.
3Enter a name for the command and click OK. The command appears in the Commands menu.
Note: The command is saved as a JavaScript file (with the extension .jsfl) in your Commands folder. This folder is in the
following locations: Windows XP: boot drive\Documents and Settings\<user>\Local Settings\Application
Data\Adobe\Flash CS5\<language>\Configuration\Commands; Mac
OS® X: Macintosh
HD/Users/<username>/Library/Application Support/Adobe/Flash CS5/<language>/Configuration/Commands.
Edit the names of commands in the Commands menu
1Select Commands > Manage Saved Commands.
2Select a command to rename.
3Click the Rename button.
4Enter the new name and click OK.

29
USING FLASH PROFESSIONAL
Workspace
Last updated 1/16/2012
Delete a name from the Commands menu
1Select Commands > Manage Saved Commands, and select a command.
2Click Delete, click Yes in the warning dialog box, and click OK.
Run commands
•To use a saved command, select the command from the Commands menu.
•To run a JavaScript or Flash JavaScript command, select Commands > Run Command, navigate to the script to run,
and click Open.
Get more commands
Use the Get More Commands option in the Commands menu to link to the Flash Exchange website at
www.adobe.com/go/flash_exchange and download commands that other Flash Pro users have posted. For more
information on the commands posted there, see the Flash Exchange website.
1Make sure you are connected to the Internet.
2Select Commands > Get More Commands.
Steps that can’t be used in commands
Some tasks can’t be saved as commands or repeated using the Edit > Repeat menu item. These commands can be
undone and redone, but they cannot be repeated.
Examples of actions that can’t be saved as commands or repeated include selecting a frame or modifying a document
size. If you attempt to save an unrepeatable action as a command, the command is not saved.
Accessibility in the Flash workspace
The Adobe® Flash® Professional CS5 workspace is keyboard-accessible for users who may have difficulty using a
mouse.
About accessibility support
Accessibility support in the authoring environment provides keyboard shortcuts for navigating and using interface
controls, including panels, the Property inspector, dialog boxes, the Stage, and objects on the Stage, so that you can
work with these interface elements without using the mouse.
Note: Certain keyboard controls and authoring environment accessibility features are available only in Windows.
To customize the keyboard shortcuts for accessibility in the authoring environment, use the Workspace Accessibility
Commands section of the Keyboard Shortcuts dialog box.
•To hide all panels and the Property inspector, press F4. To display all panels and the Property inspector, press F4
again.
More Help topics
“Customize keyboard shortcut sets” on page 37

30
USING FLASH PROFESSIONAL
Workspace
Last updated 1/16/2012
Select controls in a panel using keyboard shortcuts
To move the focus through the panel controls when a panel or the Property inspector has the current focus, use the
Tab key. To activate a menu that has the current focus, use the Spacebar (that is, pressing Spacebar is equivalent to
clicking the menu in the panel). Flash Pro does not support moving from panel to panel with the Tab key.
When you use the keyboard shortcut for panel controls, focus is applied to a control and the control is activated using
the following criteria:
•To select a control in the panel with the Tab key, the panel with the current focus must be expanded. If the panel is
collapsed, pressing Tab has no effect.
•To display the Panel menu items when the Panel menu has the focus, press the Space bar.
•You can move the focus to a panel control only if the control is active. If a control is dimmed (inactive), you cannot
apply focus to the control.
Move the focus through the items in the Panel menu of a panel
1To display the Panel menu items when the focus currently applied to the Panel menu, press the Spacebar.
2To move through the items in the Panel menu, press Down Arrow.
3To activate the currently selected Panel menu item, press Enter (Windows) or Return (Macintosh).
Move the focus through the controls in a panel
1Press Tab when the focus is currently applied to the Panel menu. To move the focus through the controls in the
panel, press Tab repeatedly.
2To activate the currently selected menu in a panel , press Enter or Return.
3To edit a numerical Hot Text value, type the number and press Enter or Return.
Navigate dialog box controls using keyboard shortcuts
•To move through the controls in the dialog box, press Tab.
•To move through the controls within one section of a dialog box, press Up Arrow and Down Arrow.
•To activate the button (equivalent to clicking the button), when the focus is applied to a dialog box control button,
press Enter.
•To apply the current settings and close the dialog box (equivalent to clicking OK), when the focus is not applied to
any dialog box control button, press Enter.
•To close the dialog box without applying the changes (equivalent to clicking Cancel), press Escape.
•To view the Help content for the dialog box (equivalent to clicking Help), when the focus is applied to the Help
button, press Enter or Spacebar.
Select the Stage or objects on the Stage using keyboard shortcuts
Selecting the Stage with a keyboard shortcut is equivalent to clicking on the Stage.
After the Stage is selected, use the Tab key to navigate through all objects on all layers, one at a time. You can select
instances (including graphic symbols, buttons, movie clips, bitmaps, videos, or sounds), groups, or boxes. You cannot
select shapes (such as rectangles) unless those shapes are instances of symbols. You cannot select more than one object
at a time using keyboard shortcuts.

31
USING FLASH PROFESSIONAL
Workspace
Last updated 1/16/2012
To select objects on the Stage, use the following techniques:
•To select an object on the Stage, with the Stage selected, press Tab.
•To select the previous object when an object is currently selected, press Shift+Tab.
•To select the first object that was created on the active frame in the active layer, press Tab. When the last object on
the top layer is selected, press Tab to move to the next layer beneath it and select the first object there, and so on.
•When the last object on the last layer is selected, press Tab to move to the next frame and select the first object on
the top layer there.
•Objects on layers that are hidden or locked cannot be selected with the Tab key.
Note: If you are currently typing text in a box, you cannot select an object using the keyboard focus. You must first press
the Escape key and then select an object.
Navigate tree structures using keyboard shortcuts
To navigate tree structures, the hierarchical displays of file structures in certain Flash Pro panels, use keyboard
shortcuts.
•To expand a collapsed folder, select the folder and press Right Arrow.
•To collapse an expanded folder, select the folder and press Left Arrow.
•To move to the parent folder of an expanded folder, press Left Arrow.
•To move to the child folder of an expanded folder, press Right Arrow.
Work with library items using keyboard shortcuts
1To copy or paste a selected library item, press Control+X (Windows) or Command+X (Macintosh) to cut the item,
or press Control+C (Windows) or Command+C (Macintosh) to copy the item.
2To paste a cut or copied item, click the Stage or in another library to set the insertion point, and press Control+V
(Windows) or Command+V (Macintosh) to paste in the center of the Stage; or press Control+Shift+V (Windows)
or Command+Shift+V (Macintosh) to paste in place (in the same location as the original).
To cut, copy, and paste items, use the following techniques:
•Cut or copy one item or multiple items.
• Cut or copy an item from the Library panel and paste it onto the Stage or into another library, or paste a folder into
another library.
•You cannot paste a shape from the Stage into the library.
•You cannot paste a library item into a common library, because common libraries cannot be modified. However,
you can create a common library.
•When you paste a library item onto the Stage, the item is centered.
•If you paste a folder, each item in the folder is included.
•To paste a library item into a folder in the destination library, click the folder before pasting.
•You can paste a library item into a different location in the same library where it originated.
•If you attempt to paste a library item into a location containing another item by the same name, select whether to
replace the existing item.

32
USING FLASH PROFESSIONAL
Workspace
Last updated 1/16/2012
More Help topics
“Work with common libraries” on page 161
Set preferences in Flash
You can set preferences for general application operations, editing operations, and clipboard operations.
The General category in the Preferences dialog box.
More Help topics
“Drawing preferences” on page 95
“Change the appearance of the Timeline” on page 20
“About the Timeline” on page 19
“Managing documents” on page 39
“Embed fonts for consistent text appearance” on page 282
“Pen tool preferences” on page 107
“Illustrator object import options” on page 78
“Photoshop file importer preferences” on page 87

33
USING FLASH PROFESSIONAL
Workspace
Last updated 1/16/2012
Set preferences
1Select Edit > Preferences (Windows) or Flash > Preferences (Macintosh).
2Make a selection in the Category list and select from the respective options.
Set General preferences
On Launch Specify which document opens when you start the application.
Document- or Object-level undo Document-level undo maintains a single list of all your actions for the entire Flash
Pro document. Object-level undo maintains separate lists of your actions for each object in your document. Object-
level lets you undo an action on one object without having to also undo actions on other objects that might have been
modified more recently than the target object.
Undo levels To set the number of undo or redo levels, enter a value from 2 to 300. Undo levels require memory; the
more undo levels you use, the more system memory is consumed. The default is 100.
Workspace To open a new document tab in the application window when you select Control > Test Movie > Test,
select Open Test Movie In Tabs. The default is to open the test movie in its own window. To have panels in icon mode
auto collapse when you click outside them, select Auto-Collapse Icon Panels.
Selection To control how multiple elements are selected, select or deselect Shift Select. When Shift Select is off,
clicking additional elements adds them to the current selection. When Shift Select is on, clicking additional elements
deselects other elements unless you hold down the Shift key.
Show Tooltips Shows tooltips when the pointer pauses over a control. To hide the tooltips, deselect this option.
Contact Sensitive Selects objects when any part of them is included in the marquee rectangle when dragging with the
Selection or Lasso tools. The default is that objects are only selected when the tool’s marquee rectangle completely
surrounds the object.
Show axes for 3D Displays an overlay of the X, Y, and Z axes on all 3D movie clips. This makes them easier to identify
on the Stage.
Timeline To use span-based selection in the Timeline, rather than the default frame-based selection, select Span Based
Selection.
Named Anchor On Scene Make the first frame of each scene in a document a named anchor. Named anchors let you
use the Forward and Back buttons in a browser to jump from scene to scene.
Highlight Color To use the current layer’s outline color, select a color from the panel, or select Use Layer Color.
Printing (Windows only) To disable PostScript® output when printing to a PostScript printer, select Disable PostScript.
By default, this option is deselected. Select this option if you have problems printing to a PostScript printer; however,
this option slows down printing.
Auto-Recovery (CS5.5 only) When enabled (the default setting), this setting saves a copy of each open file at the
specified time interval, in the same folder as the originals. If you have not saved the file yet, Flash saves the copies in
its Temp folder. The file names are the same as the originals, with “RECOVER_” added to the beginning of the file
name. If Flash Pro quits unexpectedly, a dialog box appears when you restart to allow you to open the auto-recover
file. When you exit Flash Pro normally, the auto-recover files are deleted.
Scale Content (CS5.5 only) Options for scaling content when resizing the Stage with the Document Properties dialog
box (Modify
> Document). To keep objects aligned to the top left corner of the Stage, select Align Top Left. To resize
items in locked and hidden layers of the Timeline, select Include Locked and Hidden Layers.

34
USING FLASH PROFESSIONAL
Workspace
Last updated 1/16/2012
Set AutoFormat preferences for ActionScript
❖Select any of the options. To see the effect of each selection, look in the Preview pane.
Clipboard preferences
The Clipboard preferences control how Flash handles bitmap images that are copied to the clipboard.
Color Depth (Windows only) Specifies the maximum color depth of image data copied to the clipboard. Higher depth
images are copied at the lower resolution. It is best to set this to the highest depth of the images you plan to work with
Type (Macintosh only) Specifies the maximum color depth of image data copied to the clipboard. Higher depth
images are copied at the lower resolution. It is best to set this to the highest depth of the images you plan to work with
Resolution Indicates the resolution to use for image data copied to the clipboard. It is best to set this to the highest
resolution of the images you plan to work with.
Size Limit (Windows only) To specify the amount of RAM that is used when placing a bitmap image on the Clipboard,
enter a kilobyte value in the Size
Limit text field. Increase this value when working with large or high-resolution bitmap
images.
Set text preferences
•For Font Mapping Default, select a font to use when substituting missing fonts in documents you open in Flash Pro.
•For Vertical Text options, select Default Text Orientation (deselected by default).
•To reverse the default text display direction, select Right To Left Text Flow (deselected by default).
•To turn off kerning for vertical text, select No Kerning (deselected by default). Turning off kerning is useful to
improve spacing for some fonts that use kerning tables.
•For Input Method, select the appropriate language.
Set warning preferences
•To receive a warning when you try to save documents with content that is specific to the
Adobe®
Flash® Professional CS5 authoring tool as a Flash CS5/5.5 file, select Warn On Save For Adobe Flash CS4
Compatibility (default).
•To receive a warning if the URL for a document changed since the last time you opened and edited it, select Warn
On URL Changes In Launch And Edit.
•To receive an alert when Flash Pro inserts frames in your document to accommodate audio or video files that you
import, select Warn On Inserting Frames When Importing Content.
•To receive an alert when selecting Default Encoding that could potentially lead to data loss or character corruption,
select Warn On Encoding Conflicts When Exporting ActionScript Files. (For example, if you create a file with
English, Japanese, and Korean characters and select Default Encoding on an English system, the Japanese and
Korean characters are corrupted.)
•To receive a warning when you attempt to edit a symbol with timeline effects applied to it, select Warn On
Conversion Of Effect Graphic Objects.
•To receive a warning when you create a site in which the local root folder overlaps with another site, select Warn
On Sites With Overlapped Root Folder.
•To receive a warning when you convert a symbol with a behavior attached to a symbol of a different type—for
example, when you convert a movie clip to a button—select Warn On Behavior Symbol Conversion.

35
USING FLASH PROFESSIONAL
Workspace
Last updated 1/16/2012
•To receive a warning when you convert a symbol to a symbol of a different type, select Warn On Symbol
Conversion.
•To receive a warning when Flash Pro converts a graphic object drawn in Object Drawing mode to a group, select
Warn On Automatically Converting From Drawing Object To Group.
•To display warnings on controls for features not supported by the Flash Player version that the current FLA file is
targeting in its publish settings, select Show Incompatibility Warnings On Feature Controls.
•Warn on Document Auto-Save and Auto-Recovery (Flash Pro CS5.5 only). If checked, Flash will remind you to
enable Auto-Save for any document that you have saved and then modified if it does not already have Auto-Save
enabled. This reminder occurs only once for each document.
Set Publish Cache preferences (CS5.5 only)
The Publish Cache stores fonts and MP3 sounds in order to speed up SWF file creation when you use the Publish or
Test Movie commands.
During a Flash session, the first time you create a SWF file from a FLA file, Flash Pro puts compressed copies of any
fonts and MP3 sounds you are using into the Publish Cache. During subsequent Test Movie or Publish operations, if
the fonts and sounds are unchanged in the FLA, the versions from the cache are used to create the SWF file.
Note: Only MP3 event sounds to which Flash is adding additional compression are added to the Publish Cache. Streaming
sounds are not added to the cache.
The Publish Cache preferences include these settings:
Enable Publish Cache Select this option to enable or disable the Publish Cache.
Disk cache size limit The maximum amount of disk space to use for the Publish Cache.
Memory cache size limit The maximum amount of RAM to use for the Publish Cache. When the cache exceeds this
amount, entries that have not been recently used are moved to disk.
Maximum size for memory cache entry The maximum size of an individual compressed font or MP3 sound that can
be added to the Publish Cache in RAM. Larger items are written to disk.
To clear the Publish Cache, choose Control > Clear Publish Cache or Control > Clear Publish Cache and Test Movie.
Restore all preferences to default settings
❖Press and hold Control+Alt+Shift (Windows) or Command+Option+Shift (Mac OS) as you start Flash.
Keyboard shortcuts
View or print the current shortcut set
1Select Edit > Keyboard Shortcuts (Windows) or Flash > Keyboard Shortcuts (Macintosh).
2Click the Export Set As HTML button , which is the third button in the set of four at the top of the dialog box.
3In the Save dialog box that appears, enter the name for the reference sheet, and select a location for saving the file.
4Open the saved HTML file in your web browser.
5(Optional) Print the HTML file from your browser for future reference.

36
USING FLASH PROFESSIONAL
Workspace
Last updated 1/16/2012
Create and modify custom keyboard shortcuts
You can create and modify keyboard shortcuts in Flash Pro.
Customize keyboard shortcuts
1Select Edit > Keyboard Shortcuts (Windows) or Flash > Keyboard Shortcuts (Macintosh).
The Keyboard Shortcuts dialog box appears.
2 Use the following options to add, delete, or edit keyboard shortcuts:
Current Set Lets you choose a set of predetermined shortcuts (listed at the top of the menu), or any custom set you’ve
defined.
Commands Lets you select a category of commands to edit (for example, menu commands). The command list
displays the commands associated with the category you selected from the Commands pop-up menu, along with the
assigned shortcuts. The Menu Commands category displays this list as a tree view that replicates the structure of the
menus. The other categories list the commands by name (such as Quit Application), in a flat list.
Shortcuts Displays all shortcuts assigned to the selected command.
Add Shortcut Adds a new shortcut to the current command. To add a new blank line to the Shortcuts box, click this
button. To add a new keyboard shortcut for this command, enter a new key combination and click Change. Each
command can have two different keyboard shortcuts; if two shortcuts are already assigned to a command, the Add
Item button does nothing.
Remove Shortcut Removes the selected shortcut from the list of shortcuts.
Press Key Displays the key combination you enter when you’re adding or changing a shortcut.
Change Adds the key combination shown in the Press Key box to the list of shortcuts, or changes the selected shortcut
to the specified key combination.
Duplicate Set Duplicates the current set. Give the new set a name; the default name is the current set’s name with
the word copy appended to it.
Rename Set Renames the current set.
Export Set As HTML Saves the current set in an HTML table format for easy viewing and printing. Open the HTML
file in your browser and print the shortcuts for easy reference.
Delete Set Deletes a set. You cannot delete the active set.
3Click OK.
Remove a shortcut from a command
1From the Commands pop-up menu, select a command category, select a command from the Commands list, and
select a shortcut.
2Click Remove Shortcut .
Add a shortcut to a command
1From the Commands pop-up menu, select a command category and select a command.
2Prepare to add a shortcut by doing one of the following:
•If fewer than two shortcuts are already assigned to the command, click Add Shortcut . A new blank line appears
in the Shortcuts box, and the insertion point moves to the Press Key box.

37
USING FLASH PROFESSIONAL
Workspace
Last updated 1/16/2012
•If two shortcuts are already assigned to the command, select one of them to be replaced by the new shortcut, and
click in the Press Key box.
3Press a key combination.
Note: If a problem occurs with the key combination (for example, if the key combination is already assigned to another
command), an explanatory message appears just below the Shortcuts box and you may be unable to add or edit the
shortcut.
4Click Change.
Edit an existing shortcut
1From the Commands pop-up menu, select a command category, select a command from the Commands list, and
select a shortcut to change.
2Click in the Press Key box, enter a new key combination, and click Change.
Note: If a problem occurs with the key combination (for example, if the key combination is already assigned to another
command), an explanatory message appears just below the Shortcuts box and you may be unable to add or edit the
shortcut.
Customize keyboard shortcut sets
To match the shortcuts you use in other applications, or to streamline your workflow, select keyboard shortcuts. By
default, Flash Pro uses built-in keyboard shortcuts designed for the application. You can also select a built-in keyboard
shortcut set from one of several graphics applications.
Select a keyboard shortcut set
1Select Edit > Keyboard Shortcuts (Windows) or Flash > Keyboard Shortcuts (Macintosh).
2In the Keyboard Shortcuts dialog box, select a shortcut set from the Current Set pop-up menu.
Create a keyboard shortcut set
1Select a keyboard shortcut set and click the Duplicate Set button .
2Enter a name for the new shortcut set and click OK.
Rename a custom keyboard shortcut set
1In the Keyboard Shortcuts dialog box, select a shortcut set from the Current Set pop-up menu.
2Click the Rename Set button , enter a new name, and click OK.
Add or remove a keyboard shortcut
1Select Edit > Keyboard Shortcuts (Windows) or Flash > Keyboard Shortcuts (Macintosh) and select the set to
modify.
2From the Commands pop-up menu, select a category to view shortcuts for the selected category.
3In the Commands list, select the command for which you want to add or remove a shortcut. An explanation of the
selected command appears in the description area in the dialog box.
4Do one of the following:
•To add a shortcut, click the Add Shortcut (+) button.
•To remove a shortcut, click the Remove Shortcut (-) button and proceed to step 6.

38
USING FLASH PROFESSIONAL
Workspace
Last updated 1/16/2012
5If you are adding a shortcut, enter the new shortcut key combination in the Press Key box.
Note: To enter the key combination, press the keys on the keyboard. You do not need to spell out key names, such as
Control, Option, and so on.
6Click Change.
7Repeat this procedure to add or remove additional shortcuts, and click OK.
Delete a keyboard shortcut set
1Select Edit > Keyboard Shortcuts (Windows) or Flash > Keyboard Shortcuts (Macintosh). In the Keyboard
Shortcuts dialog box, click Delete Set
.
2In the Delete Set dialog box, select a shortcut set and click Delete.
Note: You cannot delete the keyboard shortcut sets built into Flash Pro.
Working with ConnectNow
Adobe® ConnectNow provides you with a secure, personal online meeting room where you can meet and collaborate
with others via the web in real time. With ConnectNow, you can share and annotate your computer screen, send chat
messages, and communicate using integrated audio. You can also broadcast live video, share files, capture meeting
notes, and control an attendee's computer.
You can access ConnectNow directly from the application interface.
1Choose File > Share My Screen.
2In the Sign In to Adobe CS Live dialog box, enter your email address and password, and click Sign In. If you don’t
have an Adobe ID, click the Create Adobe ID button.
3To share your screen, click the Share My Computer Screen button at the center of the ConnectNow application
window.
For complete instructions on using ConnectNow, see Adobe ConnectNow Help.
For a video tutorial about using ConnectNow, see Using ConnectNow to share your screen (7:12). (This
demonstration is in Dreamweaver.)

39
Last updated 1/16/2012
Chapter 3: Managing documents
Working with Flash documents
About Flash files
In Flash Pro, you can work with a variety of file types, each of which has a separate purpose:
•FLA files, the primary files you work with in Flash Pro, contain the basic media, timeline, and script information
for a Flash Pro document. Media objects are the graphic, text, sound, and video objects that comprise the content
of your Flash Pro document. The Timeline is where you tell Flash Pro when specific media objects should appear
on the Stage. You can add ActionScript® code to Flash Pro documents to more finely control their behavior and to
make them respond to user interactions.
•Uncompressed XFL files are similar to FLA files. An XFL file, and the other associated files inside the same folder,
are simply the uncompressed equivalent of a FLA file. This format makes it easier for groups of users to work on
different elements of a flash project at the same time. For more information, see “Working with uncompressed XFL
files” on page 41.
•SWF files, the compiled versions of FLA files, are the files you display in a web page. When you publish your FLA
file, Flash Pro creates a SWF file.
The Flash Pro SWF file format is an open standard that other applications support. For more information about
Flash Pro file formats, see www.adobe.com/go/flashplayer.
•AS files are ActionScript files—you can use these to keep some or all of your ActionScript code outside of your FLA
files, which is helpful for code organization and for projects that have multiple people working on different parts
of the Flash Pro content.
•SWC files contain the reusable Flash Pro components. Each SWC file contains a compiled movie clip, ActionScript
code, and any other assets that the component requires.
•ASC files are files used to store ActionScript that will be executed on a computer running Flash Media Server. These
files provide the ability to implement server-side logic that works in conjunction with ActionScript in a SWF file.
•JSFL files are JavaScript files that you can use to add new functionality to the Flash Pro authoring tool.
The following additional videos and tutorials demonstrate working with Flash Pro. Some videos may show Flash Pro
CS3 or CS4, but are still applicable to Flash Pro CS5.
•Video: Understanding Flash file types (1:55)
•Video: Working with FLA files (CS3) (6:00)
•Tutorial: Creating your first Flash Professional CS5 document
•Video: Creating your first working, interactive FLA file (CS3) (7:51)
More Help topics
“About the Timeline” on page 19

40
USING FLASH PROFESSIONAL
Managing documents
Last updated 1/16/2012
Working with other Adobe applications
Flash is designed to work with other Adobe® applications to enable a broad range of creative workflows. You can
import Illustrator® and Photoshop® files directly into Flash. You can also create video from Flash and edit it in Adobe®
Premiere® Pro or After Effects®, or import video from either of those applications into Flash. When publishing your
SWF files, you can use Dreamweaver® to embed the content in your web pages and launch Flash directly from within
Dreamweaver to edit the content.
More Help topics
“Working with Illustrator and Flash” on page 72
“Working with Photoshop and Flash” on page 81
“Working with Adobe Premiere Pro and After Effects” on page 322
“Edit a SWF file from Dreamweaver in Flash” on page 41
Opening XFL files
Beginning with Flash Professional CS5, XFL is the internal format of the FLA files you create. When you save a file in
Flash, the default format is FLA, but the internal format of the file is XFL.
Other Adobe® applications such as After Effects® can export files in XFL format. These files have the XFL file extension
instead of the FLA extension. InDesign® can export directly in FLA format, which internally is XFL. This allows you to
work on a project in After Effects or InDesign first and then continue working with it in Flash.
You can open and work with XFL files in Flash in the same way you would open an FLA file. When you open an XFL
file in Flash Pro, you can then save the file as a FLA file, or as an uncompressed XFL file.
The following video tutorials demonstrate exporting from InDesign and AfterEffects to Flash via XFL and FLA:
•Understanding Flash Integration (InDesign import) (5:10)
•Using InDesign Export to Flash (XFL) (6:22)
•Design and develop workflows (InDesign to Flash via XFL) (4:49)
•Flash Downunder – InDesign to Flash (28:38)
•Design workflows with Creative Suite 4 (InDesign, Illustrator, Flash) (3:34)
•Exporting from After Effects to Flash via XFL (2:43)
•Exporting XFL Format from After Effects to Flash (Tom Green, Layers Magazine)
To open an XFL file in Flash:
1In another Adobe® application, such as InDesign or After Effects, export your work as an XFL file.
The application preserves all of the layers and objects of the original file in the XFL file.
2In Flash Pro, choose File > Open and navigate to the XFL file. Click Open.
The XFL file opens in Flash in the same way as an FLA file. All of the layers of the original file appear in the Timeline
and the original objects appear in the Library panel.
You can now work with the file normally.
3To save the file, choose File > Save.
Flash Pro prompts you to name the new FLA file in the Save As dialog box.
4Type a name and save the FLA file.

41
USING FLASH PROFESSIONAL
Managing documents
Last updated 1/16/2012
Working with uncompressed XFL files
Beginning with Flash Professional CS5, you can choose to work with your Flash files in uncompressed XFL format.
This format allows you to see each of the separate parts, or subfiles, that make up the Flash file. These parts include:
•An XML file that describes the Flash file as a whole.
•Separate XML files to describe each Library symbol.
•Additional XML files containing publish settings, mobile settings, and others.
•Folders containing external assets, such as bitmap files, used by the Flash file.
By working with uncompressed XFL format, you can allow each part of the Flash file to be worked on separately by
different people. You can also use a source control system to manage the changes made to each subfile within your
uncompressed XFL file. Together, these capabilities allow for much easier collaboration on larger projects with
multiple designers and developers.
Using live update with XFL files
With live update of editable assets for Uncompressed XFL Documents, you can edit any Library asset from an
uncompressed XFL document while the document is open in Flash. Your changes to the asset are reflected in Flash
when you finish editing the asset in another application.
To edit an asset from an uncompressed XFL document in another application:
1Save a Flash document in Uncompressed XFL format.
2In an appropriate editor, such as Photoshop, open the asset you want to edit from the LIBRARY folder of the
Uncompressed XFL Document.
3Edit the asset and save your changes.
4Return to Flash Pro.
The update to the asset is reflected in Flash immediately.
Edit a SWF file from Dreamweaver in Flash
If you have both Flash and Dreamweaver installed, you can select a SWF file in a Dreamweaver document and use
Flash to edit it. Flash does not edit the SWF file directly; it edits the source document (FLA file) and re-exports the
SWF file.
1In Dreamweaver, open the Property inspector (Window > Properties).
2In the Dreamweaver document, do one of the following:
•Click the SWF file placeholder to select it; then in the Property inspector click Edit.
•Right-click (Windows) or Control-click (Macintosh) the placeholder for the SWF file, and select Edit With Flash
from the context menu.
Dreamweaver switches the focus to Flash, and Flash attempts to locate the Flash authoring file (FLA) for the selected
SWF file. If Flash cannot locate the Flash authoring file, you are prompted to locate it.
Note: If the FLA file or SWF file is locked, check out the file in Dreamweaver.
3In Flash, edit the FLA file. The Flash Document window indicates that you are modifying the file from within
Dreamweaver.
4When you finish making edits, click Done.
Flash updates the FLA file, re-exports it as a SWF file, closes, and then returns the focus to the Dreamweaver document.

42
USING FLASH PROFESSIONAL
Managing documents
Last updated 1/16/2012
Note: To update the SWF file and keep Flash open, in Flash select File > Update for Dreamweaver.
5To view the updated file in the document, click Play in the Dreamweaver Property inspector or press F12 to preview
your page in a browser window.
Create mobile content with Adobe Device Central and Flash
1Start Flash.
2On the main Flash screen, select Create New > Flash File (Mobile).
Flash opens Adobe® Device Central and displays the New Document tab.
3In Device Central, select a Player version and ActionScript version.
The Available Devices list on the left is updated. Devices that do not support the selected Player version and
ActionScript version are dimmed.
4Select a content type.
The Available Devices list on the left is updated and shows the devices that support the content type (as well as the
Player version and ActionScript version) selected.
5In the Available Devices list, select a single target device or multiple devices (or select a set or individual device in
the Device Sets list).
Device Central lists proposed document sizes based on the device or devices you selected (if the devices have different
display sizes). Depending on the design or content you are developing, you can create a separate mobile document for
each display size or try to find one size appropriate for all devices. When choosing the second approach, you may want
to use the smallest or largest suggested document size as a common denominator. You can even specify a custom size
at the bottom of the tab.
6Click Create.
Flash starts up and creates a document with preset publish settings from Device Central, including the correct size for
the device (or group of devices) specified.
7Add content to the new Flash document.
8To test the document, select Control > Test Movie > Test.
The new document is displayed in the Device Central Emulator tab. If one or more devices were selected in the
Available Devices list in step
5, a new device set is created (named according to the FLA file) and listed in the Device
Sets panel. The device shown in the Emulator tab is listed in the Device Sets panel with a special icon
. To test the
new Flash document on another device, double-click the name of a different device in the Device Sets or Available
Devices lists.
More Help topics
Using Device Central with Flash
Creating mobile content in Flash
Create a new document
You can create a new document or open a previously saved document in Flash Pro, and you can open a new window
as you work. You can set properties for new or existing documents.

43
USING FLASH PROFESSIONAL
Managing documents
Last updated 1/16/2012
More Help topics
“Set preferences in Flash” on page 32
“Publishing and Exporting” on page 405
Create a new document
1Select File > New.
2On the General tab, select the type of Flash document you want to create.
3Do one of the following:
•(CS5.5 only) Choose Height, Width, Frame Rate, and other settings on the right side of the dialog box.
•Choose settings for the document. See “Set properties for a new or existing document” on page 43.
Create a new document from a template
1Select File > New.
2Click the Templates tab.
3Select a category from the Category list, select a document from the Category Items list, and click OK. You can
select standard templates that come with Flash Pro or a template you have already saved.
Open an existing document
1Select File > Open.
2In the Open dialog box, navigate to the file or enter the path to the file in the Go To box.
3Click Open.
View a document when multiple documents are open
When you open multiple documents, tabs at the top of the Document window identify the open documents and let
you easily navigate among them. Tabs appear only when documents are maximized in the Document window.
❖Click the tab of the document you want to view.
By default, tabs appear in the order in which the documents were created. You can drag the document tabs to change
their order.
Open a new window for the current document
❖Select Window > Duplicate Window.
Set properties for a new or existing document
1With the document open, select Modify > Document.
The Document Settings dialog box appears.
2To set the Dimensions of the Stage do one of the following:
•To specify the Stage size in pixels, enter values in the Width and Height boxes. The minimum size is 1 x 1 pixels;
the maximum is 2880
x 2880 pixels.
•To match the Stage size to the exact amount of space used by the contents of the Stage, select the Match Contents
option.

44
USING FLASH PROFESSIONAL
Managing documents
Last updated 1/16/2012
•To set the Stage size to the maximum available print area, select Match Printer. This area is determined by the paper
size minus the current margin selected in the Margins area of the Page Setup dialog box (Windows) or the Print
Margins dialog box (Macintosh).
•To set the Stage size to the default size, 550 x 400 pixels, select Match Default.
3To adjust the position and orientation of 3D objects on the Stage to maintain their appearance relative to the edges
of the Stage, select Adjust 3D Perspective Angle to Preserve Current Stage Projection.
This option is only available if you change the Stage size.
4(CS5.5 only) To automatically scale the contents of the stage relative to the change in Stage size, select Scale Content
With Stage.
This option is only available if you change the Stage size. You can choose whether to scale content in locked and hidden
layers in the Preferences. For more information, see “Set General preferences” on page 33.
5To specify the unit of measure for rulers displayed in the work area, select an option from the Ruler Units menu.
(This setting also determines the units used in the Info
panel.)
6To set the background color of your document, click the Background Color swatch and select a color from the
palette.
7For Frame Rate, enter the number of animation frames to appear every second.
For most computer-displayed animations, especially those playing from a website, 8 frames per second (fps) to 15 fps
is sufficient. When you change the frame rate, the new frame rate becomes the default for new documents.
8(CS5.5 only) To automatically save the document at a specified time interval, select the Auto-Save option and
specify a number of minutes between saves.
9Do one of the following:
•To apply the new settings to the current document only, click OK.
•To make the new settings the default properties for all new documents, click Make Default.
Change document properties using the Property inspector
1Click in the work area outside the Stage to deselect all objects on the Stage. The document properties appear in the
Property inspector. To open the Property inspector, choose (Window
> Properties).
2(CS5.5 only) In the Publish section, choose a Flash Player version and an ActionScript version for your document.
To access additional Publish settings, click the Publish Settings button. For more information, see “Publish settings
(CS5)” on page 410.
3In the Properties section, for FPS (frames per second), enter the number of animation frames to play each second.
4To change the Stage size, enter values for the width and height of the Stage.
5To select a background color for the Stage , click the color swatch next to the Stage property and select a color from
the palette.
6To edit additional document properties, click the Edit button next to the Size properties. For more information on
all document properties, see “Set properties for a new or existing document” on page 43.
Add XMP metadata to a document
You can include Extensible Metadata Platform (XMP) data such as title, author, description, copyright, and more in
your FLA files. XMP is a metadata format that certain other Adobe® applications can understand. The metadata is
viewable in Flash Pro and in Adobe® Bridge. For more information about XMP metadata, see Metadata and Keywords
in Bridge Help.

45
USING FLASH PROFESSIONAL
Managing documents
Last updated 1/16/2012
Embedding metadata improves the ability of web-based search engines to return meaningful search results for Flash
Pro content. The search metadata is based on the XMP (Extensible Metadata Platform) specifications and is stored in
the FLA file in a W3C-compliant format.
A file’s metadata contains information about the contents, copyright status, origin, and history of the file. In the File
Info dialog box, you can view and edit the metadata for the current file.
Depending on the selected file, the following types of metadata may appear:
Description Contains author, title, copyright, and other information.
IPTC Displays editable metadata. You can add captions to your files, as well as copyright information. IPTC Core is a
specification that was approved by the IPTC (International Press Telecommunications Council) in October
2004. It
differs from the older IPTC (IIM, legacy) in that new properties were added, some property names were changed, and
some properties were deleted.
Camera Data (Exif) Displays information assigned by digital cameras, including the camera settings used when the
image was taken.
Video Data Displays metadata for video files, including pixel aspect ratio, scene, and shot.
Audio Data Displays metadata for audio files, including artist, album, track number, and genre.
Mobile SWF Lists information about SWF files, including title, author, description, and copyright.
History Keeps a log of changes made to images with Photoshop.
Note: The History Log preference must be turned on in Photoshop for the log to be saved with the file’s metadata.
Version Cue Lists any Version Cue file-version information.
DICOM Displays information about images saved in the Digital Imaging and Communications in Medicine (DICOM)
format.
To add metadata:
1Choose File > File Info.
2In the File Info dialog box that appears, enter the metadata that you want to include. You can add or remove
metadata in the FLA file at any time.
Save Flash documents
You can save a Flash Pro FLA document using its current name and location or using a different name or location.
When a document contains unsaved changes, an asterisk (*) appears after the document name in the document title
bar, the application title bar, and the document tab. When you save the document, the asterisk is removed.
Save a Flash document in the default FLA format
1Do one of the following:
•To overwrite the current version on the disk, select File > Save.
•To save the document in a different location and/or with a different name, or to compress the document, select
File
> Save As.
2If you selected Save As, or if the document has never been saved before, enter the filename and location.
3Click Save.

46
USING FLASH PROFESSIONAL
Managing documents
Last updated 1/16/2012
Save a document in uncompressed XFL format
1Choose File > Save As.
2From the Save as Type menu, choose Flash CS5 or CS5.5 Uncompressed Document (*xfl).
3Choose a name and location for the file and click Save.
Revert to the last saved version of a document
❖Select File > Revert.
Save a document as a template
1Select File > Save As Template.
2In the Save As Template dialog box, enter a name for the template in the Name box.
3Select a category from the Category pop-up menu, or enter a name to create a new category.
4Enter a description of the template in the Description box (up to 255 characters), and click OK.
The description appears when the template is selected in the New Document dialog box.
To delete a saved template, navigate to one of the following folders and delete the template FLA file from the category
folder that contains it.
•Windows XP - C:\Documents and Settings\<userName>\Local Settings\Application Data\Adobe\Flash
CS5\en_US\Configuration\Templates\
•Windows Vista and 7 - C:\Users\<userName>\AppData\Local\Adobe\Flash
CS5\<language>\Configuration\Templates\
•Mac OS - <HardDisk>/Users/<userName>/Library/Application Support/Adobe/Flash
CS5/<language>/Configuration/Templates/
Save a document as a Flash CS4 document
1Select File > Save As.
2Enter the filename and location.
3Select Flash CS4 Document from the Format pop-up menu, and click Save.
Important: If an alert message indicates that content will be deleted if you save in Flash CS4 format, click Save As Flash
CS4 to continue.
This might happen if your document contains features that are available only in Flash CS5. Flash Pro
does not preserve these features when you save the document in Flash CS4 format.
Save documents when quitting Flash
1Select File > Exit (Windows) or Flash > Quit Flash (Macintosh).
2If you have documents open with unsaved changes, Flash Pro prompts you to save or discard the changes for each
document.
•Click Yes to save the changes and close the document.
•Click No to close the document without saving the changes.

47
USING FLASH PROFESSIONAL
Managing documents
Last updated 1/16/2012
Printing Flash documents
Print from Flash documents
To preview and edit your documents, print frames from Adobe® Flash® Professional CS5 documents, or specify frames
to be printable from Flash Player by a viewer.
When printing frames from a Flash Pro document, use the Print dialog box to specify the range of scenes or frames to
print and the number of copies. In Windows, the Page Setup dialog box specifies paper size, orientation, and various
print options—including margin settings and whether all frames are to be printed for each page. On the Macintosh,
these options are divided between the Page Setup and the Print Margins dialog boxes.
The Print and Page Setup dialog boxes are standard in either operating system, and their appearance depends on the
selected printer driver.
1Select File > Page Setup (Windows) or File > Print Margins (Macintosh).
2Set page margins. Select both Center options to print the frame in the center of the page.
3In the Frames menu, select whether to print all frames in the document or only the first frame of each scene.
4In the Layout menu, select from the following options:
Actual Size Prints the frame at full size. Enter a value for Scale to reduce or enlarge the printed frame.
Fit On One Page Reduces or enlarges each frame so it fills the print area of the page.
Storyboard Prints several thumbnails on one page. Select from Boxes, Grid, or Blank. Enter the number of thumbnails
per page in the Frames box. Set the space between the thumbnails in the Frame Margin box, and select Label Frames
to print the frame label as a thumbnail.
5To print frames, select File > Print.
More Help topics
“Printing at runtime” on page 387
Use frame labels to disable printing
To choose not to print any of the frames in the main Timeline, label a frame as !#p to make the entire SWF file
nonprintable. Labeling a frame as !#p dims the Print command in the Flash Player context menu. You can also remove
the Flash Player context menu.
If you disable printing from Flash Player, the user can still use the browser Print command to print frames. Because
this command is a browser feature, you cannot use Flash Pro to control or disable it.
More Help topics
“Publishing overview” on page 405
Disable printing in the Flash Player context menu
1Open or make active the Flash Pro document (FLA file) to publish.
2Select the first keyframe in the main Timeline.
3Select Window > Properties to view the Property inspector.
4In the Property inspector, for Frame Label enter !#p to specify the frame as non-printing.
Specify only one !#p label to dim the Print command in the context menu.

48
USING FLASH PROFESSIONAL
Managing documents
Last updated 1/16/2012
Note: You can also select a blank frame (rather than a keyframe) and label it #p.
Disable printing by removing the Flash Player context menu
1Open or make active the Flash Pro document (FLA file) to publish.
2Select File > Publish Settings.
3Select the HTML tab and deselect Display Menu and click OK.
Specify a print area when printing frames
1Open the Flash Pro document (FLA file) containing the frames you will set to print.
2Select a frame that you have not specified to print with a #p frame label that is on the same layer as a frame that is
labeled with a #p.
To organize your work, select the next frame after a frame labeled #p.
3Create a shape on the Stage the size of the desired print area. To use a frame’s bounding box, select a frame with
any object of the appropriate print area size.
4Select the frame in the Timeline that contains the shape to use for the bounding box.
5In the Property inspector (Window > Properties), enter #b for Frame Label to specify the selected shape as the
bounding box for the print area.
Only one #b frame label per Timeline is allowed. This option is the same as selecting the Movie bounding box option
with the Print action.
Change the printed background color
You can print the background color set in the Document Properties dialog box. Change the background color for only
the frames to be printed by placing a colored object on the lowest layer of the Timeline being printed.
1Place a filled shape that covers the Stage on the lowest layer of the Timeline that will print.
2Select the shape and select Modify > Document. Select a color for the printing background.
This action changes the entire document’s background color, including that of movie clips and loaded SWF files.
3Do one of the following:
•To print that color as the document’s background, designate to print the frame in which you placed the shape.
•To maintain a different background color for non-printing frames, repeat steps 2 and 3. Then place the shape on
the lowest layer of the Timeline, in all the frames that are not designated to print.
Print from the Flash Player context menu
Use the Print command in the Flash Player context menu to print frames from any Flash Pro SWF file.
The context menu’s Print command cannot print transparency or color effects and cannot print frames from other
movie clips; for more advanced printing capabilities, use the PrintJob object or the print() function.
1Open the document.
The command prints the frames labeled #p by using the Stage for the print area or the specified bounding box.
If you haven’t designated specific frames to print, all frames in the document main Timeline print.
2Select File > Publish Preview > Default or press F12 to view your Flash Pro content in a browser.

49
USING FLASH PROFESSIONAL
Managing documents
Last updated 1/16/2012
3Right-click (Windows) or Control-click (Macintosh) in the Flash Pro content in the browser window to display the
Flash Player context menu.
4Select Print from the Flash Player context menu to display the Print dialog box.
5In Windows, select the print range to select which frames to print.
6On the Macintosh, in the Print dialog box, select the pages to print.
7Select other print options, according to your printer’s properties.
8Click OK (Windows) or Print (Macintosh).
Note: Printing from the context menu does not interact with calls to the PrintJob object.
Working with Flash projects
Create projects
You can use the Flash Pro Project panel to manage multiple document files in a single project. Flash Pro projects allow
you to group multiple related files together when creating complex applications.
A Flash Pro project can contain any Flash Pro file or other file type, including FLA and SWF files from previous
versions of Flash.
You use the Project panel to create and manage projects. The panel displays the contents of a Flash Pro project in a
collapsible tree structure. The panel title bar displays the project name.
If certain types of project files are missing (not in the specified location), a dialog specifying which items are missing
will alert you to the missing files, and give you an opportunity to browse for their locations. Missing files are most
commonly external folders not inside the root project folder. All other files are automatically updated based on the
root project folder location.
When you publish a project, each FLA file in the Publish List (denoted by a check mark next to the FLA name) is
published with the publish profile specified for that file.
Only one project can be open at one time. If a project is open and you open or create another project, Flash Pro
automatically saves and closes the first project.
(Flash CS5.5 only) Upon creation of a project, Flash creates an AuthortimeSharedAssets.fla file within the project
folder. Library items you choose to share with other FLA files in the project are stored in this file. For information
about sharing library items, see “Sharing library assets at author-time” on page 166.

50
USING FLASH PROFESSIONAL
Managing documents
Last updated 1/16/2012
The Project panel
A. Project menu B. Options menu C. Pin D. New folder E. New file F. Create class
More Help topics
“Using publish profiles (CS5)” on page 424
Create a project
1From the Project menu select New Project.
2Browse for a Root folder location.
3Choose a name for your project. The default project name is the name of the root folder.
4Do one of the following:
•CS5: From the ActionScript Version menu, choose the type of project you would like to create: ActionScript 3.0 or
ActionScript 2.0. Then click Create Project.
•CS5.5: If you want to create a new Flash document as part of the project, select the Create Default Document
checkbox. Then choose a Player and ActionScript version for the default document. If you plan to create classes
from templates, select the template version to use.
Flash Pro adds the project to the Project menu, and the Project Panel displays the contents of the root folder you
specified.
Flash reads the directory of the initial folder you chose. To change directories, create another project.
Create a Quick Project
The Project panel allows you to quickly create a project based on the currently open FLA file. When you create a Quick
Project, the project settings are determined automatically base on the folder location and ActionScript version of the
current FLA file.
❖Select Quick Project from the Project menu.
Flash creates a project using the currently active FLA file as the default document. The Quick Project will be named
after the FLA file.
A B
CD E F

51
USING FLASH PROFESSIONAL
Managing documents
Last updated 1/16/2012
To remove the Quick Project, delete it from the Project menu.
Multiple Quick Projects are allowed.
Note: Creating a Quick Project from a FLA file that resides in the root of another project changes the name of the other
project to the name of the FLA file, and sets the default document to the FLA file.
Open an existing project
1Select Window > Other Panels > Project (CS5) or Window > Project (CS5.5) to open the Project panel.
2Select Open Project from the Project pop-up menu in the Project panel.
3Using the Browse For Folder dialog box, navigate into the folder containing the project and click OK.
Note: In Flash Pro CS5.5, you can open Flash Builder projects in the Flash Pro Project panel. The project must have been
assigned the Flash Professional nature within Flash Builder. Flash Builder can also import Flash Pro projects. If a project
is open in both aplications, changes made in one application automatically update in the other. You cannot open
Dreamweaver projects in the Flash Pro Project panel.
Close a project
❖Select Close Project from the Panel Options menu.
Delete a project
1Open the Project you want to delete.
2From the Panel Options menu select Delete Project.
3Select how to delete the project:
•Delete the currently active project from the Project panel.
•Delete the currently active project from the Project panel and all of the files stored in the project directory. This
deletes the entire directory of files.
Flash Pro removes the selected project from the Project panel.
Note: CS5.5 only - Deleting the project files from disk will prevent the project from being able to be opened in Flash
Builder.
Convert previous projects to the new project format
In versions of Flash Pro prior to CS4, projects used an XML file with the filename extension .flp—for example,
myProject.flp. To use projects created in previous versions of Flash, you must convert the old project to the new
format.
1Select Window > Other Panels > Project (CS5) or Window > Project (CS5.5) to open the Project panel.
2Select Open Project from the Project pop-up menu in the Project panel.
3Using the Browse For Folder dialog box, navigate to the folder containing the FLP file, and click OK. This also
specifies that folder as the converted project’s root folder.
The contents of the specified folder will be displayed in the Project panel.
Videos and tutorials
The following resources provide additional detailed information about working with projects.
•Video: Flash Professional CS5.5 - Improved Project Workflows (11:42, Adobe TV)

52
USING FLASH PROFESSIONAL
Managing documents
Last updated 1/16/2012
•Article: Working with the Project panel in Flash (Adobe.com)
Manage projects
Add a new file or folder to a project
The Project panel allows you to open, create, and remove project files and folders.
The Project panel filters files by filename extension. However, you can manually hide files by preceding the filename
with a special character, such as an underscore. To enable this feature, enter the special characters to filter in the “Hide
files or folders beginning with” section of the Panel Preferences (Options
> Panel Preferences).
By default, the Project panel only shows Flash document types (FLA, SWF, SWC, AS, JSFL, ASC, MXML, TXT, XML),
but you can add custom types in the Settings tab of the Panel Preferences (Options
> Panel Preferences).
The Project panel shows all files opened recently in the panel in the Recent Files folder at the top of the project tree.
Recent Files are sorted in the order they were opened. Only files opened with the Project panel appear in this list. To
disable/enable the recent files folder, toggle the Show Recent Files checkbox in the Settings Tab of the Panel
Preferences. You can also specify how many files are shown in the list.
To clear the Recent Files list, select Clear Recent Files from the Options menu, or right-click the Recent Files folder,
and select Clear Recent Files from the context menu. Clearing the recent files list does not remove the files from your
computer.
To add a new file or folder to a project:
1In the Project panel, select the folder in which you want to create the new file or folder. If there is no selection, Flash
Pro creates the file or folder in the project root folder.
2Click the New File or New Folder button at the bottom of the panel.
3If you are adding a file, choose a name and a file type. Select the Open File After Creation checkbox to open the new
file in Flash. Then click Create File.
Note: If a file or folder with the name you’ve specified already exists, a dialog alerts you about the existing file or folder.
The new file appears in the Project panel file list.
Add an external folder to a project
The Project panel allows for the addition of folders external to the project root folder, referred to as locations. Folder
paths can be added (and shown or hidden) on a global basis, accessible to all projects, or per project. Locations act like
any other folder, and have all the same functionality as folders in the project root folder.
1Open the Panel Preferences to set global locations, or the Project Properties to set locations for the current project.
2Select the Locations tab.
3To make locations visible in the project file list, select the “Specify additional source folders outside of the root
project folder” checkbox.
4Click the “+” button.
5Browse to the external folder you want to add.
6Give the location a name.
Location names can be changed at any time in the Project Properties or Panel Preferences by selecting the desired
location and clicking on the Rename Location button.

53
USING FLASH PROFESSIONAL
Managing documents
Last updated 1/16/2012
7When you are finished adding locations, click OK to close the dialog. Location folders appear above all other folders
in the file list.
You cannot delete or remove a location in the operating system file browser. Remove them using the Locations tab in
the Project Properties or Panel Preferences.
Remove a file or folder from a project
1Select the file or folder you want to remove from the file list.
2Click the Delete icon in the far right of the panel icon tray, or press the Delete key.
You can also right-click on the file or folder and choose Delete from the context menu.
3In the dialog box that appears, confirm your selection.
Flash Pro deletes the file from your hard drive completely. Deleting a file or directory cannot be undone. Deleting a
folder also removes its files and subdirectories.
Open a file from the Project panel in Flash
❖Double-click the filename in the Project panel.
If the file is of a native file type (a type supported by the Flash Pro authoring tool), the file opens in Flash Pro. If the file
is a non-native file type, the file opens in the application used to create it.
Rename a project
1Select the project name in the Project panel.
2Select Rename Project from the Options pop-up menu.
3Enter a new name and click OK.
Display only a single project subdirectory in the Project panel
When dealing with large projects, you can reduce clutter in the Project panel by only showing files in a specific
directory. This is called pinning the directory.
1Select the directory you would like to pin.
2Click the Pin Directory button.
The Pin Directory button changes to the Unpin Directory button, and the selected directory appears at the root of the
project listing.
To pin a different directory, un-pin the current pinned directory first.
Locations and the classes folder (and their subdirectories) can also be pinned. When a location or the classes folder (or
subfolder) is pinned, the classes folder is not visible.
Create ActionScript classes
The Project panel supports creating template-based ActionScript classes within an ActionScript package structure.
Use the Create Class button to add class files to specified packages. ActionScript 3.0 and ActionScript 2.0 templates are
supported. You specify the class templates to use in the Panel Preferences.
Use the Panel Preferences to specify options for classes. If you specify a folder in the Save Classes In text box in the
Classes tab of the Panel preferences, the Project panel shows that folder in the project directory with a <> symbol to
indicate that it is the default location for new classes. Flash Pro adds this folder to the class path when publishing via
the Project panel.

54
USING FLASH PROFESSIONAL
Managing documents
Last updated 1/16/2012
This class path folder can reside in a subdirectory of your project folder, in a directory relative to your project folder,
or anywhere on your computer. You can set the class path globally in the Panel Preferences, or per project in the
Project Properties. By default, all class packages are stored in the root folder of your project.
The classes folder visibility can be toggled in the Project Panel Preferences > Settings tab.
To create an ActionScript class:
1Click the Create Class button at the bottom of the Project panel.
2Enter the package (directory) path of your class.
3Select Bind Class to Library Symbol to create a movie clip in your library (in the same folder structure as your
package path). To bind to an existing movie clip, select a movie clip in the library, and select Use Selected Library
Symbol in the Create Class dialog box. Flash moves the movie clip to the appropriate location in the library, and
updates its symbol linkage to reflect the new class.
4Select Declare Stage Instances to add variable declarations and import statements to the new class file to account
for all of the named instances on the timeline of the selected movie clip.
5Select Open File After Creation to open your class file for editing after it is created.
6Click Create Class.
The Project panel creates the class file based on the class template, and places it in the appropriate package directory,
creating directories if necessary.
Clicking the Create Class button does not overwrite class files. If the file exists, it does not create a new file. This can
be useful if you would like to bind an existing class to a movie clip, move the movie clip into the appropriate library
folder, and set the appropriate linkages.
Create class templates
The Project panel supports a simple template structure, used when creating class files. This system is composed of four
files. All the base files are located in the Flash Configuration folder, in the /Project/templates/ subdirectory.
The four files are:
1boundClass_as2.as
2boundClass_as3.as
3standardClass_as2.as
4standardClass_as3.as
Each of these template files has custom template tags that are replaced with dynamic data when a new class is created.
You can place these tags anywhere in your class template file.
The following are the tags included in each file:
•All classes:
%PACKAGE_NAME%
%CLASS_NAME%
%BASE_CLASS_NAME% (AS3 only)
•Bound class only:
%LINKAGE_ID%
%AUTO_IMPORTS%

55
USING FLASH PROFESSIONAL
Managing documents
Last updated 1/16/2012
%AUTO_ELEMENTS%
To create a template file, you can either modify the template files, or create your own class template. To change the
default class templates, open the Panel Preferences and browse to the correct template file. Flash Pro then uses this
template file for all your projects.
The Project Properties dialog contains a similar tab that allows you to set template files on a per-project basis.
The templates specified in the Panel Preferences are only used when creating new projects. To change a template path
for a project, set it in the Project Properties. Template paths in the Project Properties and Panel Preferences must be
absolute paths. Relative paths are not supported.
Compiling FLA files
•To test, publish or export a project FLA file, right-click (Windows) or command-click (Macintosh) on any FLA file
in the project tree and select the appropriate action from the context menu.
•To test a project, click the Test Project button.
Flash compiles the FLA file specified as the project default document and opens the resulting SWF file. You can
change the default document at any time by right-clicking (Windows) or Command-clicking (Macintosh) on any
FLA file and choosing Make Default Document from the context menu.
The Project panel allows you to create a publish list. This is a list of FLA files that can be batch-compiled at any time.
•To add or remove files from the publish list, select the checkbox to the right of each FLA file in the project list.
•To publish the files in the publish list, click Publish Project in the Project panel Options menu.
If one of the FLA files has errors when compiling, the Project panel stops compiling the list and displays the error
in the Output panel.
Create Flash projects for use with Flex class files
In Flash Pro you can create skins and other visual elements for use in Flex/Flash Builder. You can also create
ActionScript code in Flex/Flash Builder but publish the resulting SWF file using Flash Pro. To support the use of Flex
class files in Flash Pro, the Project panel allows you to indicate the location of the Flex SDK.
To use Flex classes in Flash Pro, you must specify the location of the Flex SDK.
1Create a project.
2Select Project Properties from the Options pop-up menu.
3Select the Paths tab, and enter the directory path or browse to the Flex SDK. For example: C:\Program Files\Adobe
FlexBuilder 3\sdks\3.0.0
4Within the Paths tab, select the Source tab and add the path(s) to any folders containing ActionScript class files.
Click the Plus (+) button to enter a path, or the Browse button to select a folder containing class files. To delete a path,
select it and click the Minus (-) button.
5Select the Library tab, and enter the path to SWC (Flash component) files or folders containing SWC files you want
to use
Click the Plus (+) button to enter a path, or the Browse button to select a folder containing SWC files. To delete an
SWC file or folder, select it and click the Minus (-) button.
6Select the External Library tab, and enter the path to SWC (Flash component) files or folders containing SWC files
you want to load as runtime shared libraries.

56
USING FLASH PROFESSIONAL
Managing documents
Last updated 1/16/2012
Click the Plus (+) button to enter a path or the Browse button to select a folder containing SWC files. To delete an SWC
file or folder, select it and click the Minus (-) button.
7Click OK.
Videos and tutorials
The following resources provide additional detailed information about working with projects.
•Video: Flash Professional CS5.5 - Improved Project Workflows (11:42, Adobe TV)
•Article: Working with the Project panel in Flash (Adobe.com)
Find and Replace in Flash
About Find and Replace
The Find and Replace feature lets you do the following:
•Search for a text string, a font, a color, a symbol, a sound file, a video file, or an imported bitmap file.
•Replace the specified element with another element of the same type. Different options are available in the Find and
Replace dialog box depending on the type of specified element.
•Find and replace elements in the current document or the current scene.
•Search for the next occurrence or all occurrences of an element, and replace the current occurrence or all
occurrences.
Note: In a screen-based document, you can find and replace elements in the current document or the current screen, but
you can’t use scenes.
The Live Edit option lets you edit the specified element directly on the Stage. If you use Live Edit when searching for
a symbol, Flash Pro opens the symbol in edit-in-place mode.
The Find and Replace Log at the bottom of the Find and Replace dialog box shows the location, name, and type of the
elements for which you are searching.
Find and replace text
1Select Edit > Find and Replace.
2Select Text from the For pop-up menu.
3In the Text box, enter the text to find.
4In the Replace With Text box, enter the text to replace the existing text.
5Select options for searching text:
Whole Word Searches for the specified text string as a whole word only, bounded on both sides by spaces, quotes, or
similar markers. When Whole Word is deselected, the specified text can be searched as part of a larger word. For
example, when Whole Word is deselected, a search for place will yield the words replace, placement, and so on.
Match Case Searches for text that exactly matches the case (uppercase or lowercase character formatting) of the
specified text when finding and replacing.
Regular Expressions Searches for text in regular expressions in ActionScript. An expression is any statement that Flash
Pro can evaluate that returns a value.

57
USING FLASH PROFESSIONAL
Managing documents
Last updated 1/16/2012
Text Field Contents Searches the contents of a text field.
Frames/Layers/Parameters Searches frame labels, layer names, scene names, and component parameters.
Strings in ActionScript Searches strings (text between quotation marks) in ActionScript in the document or scene
(external ActionScript files are not searched).
ActionScript Searches all ActionScript, including code and strings.
6To select the next occurrence of the specified text on the Stage and edit it in place, select Live Edit.
Note: Only the next occurrence is selected for live editing, even if you select Find All in step 7.
7To find text, do one of the following:
•To find the next occurrence of the specified text, click Find Next.
•To find all occurrences of the specified text, click Find All.
8To replace text, do one of the following:
•To replace the currently selected occurrence of the specified text, click Replace.
•To replace all occurrences of the specified text, click Replace All.
Find and replace fonts
1Select Edit > Find and Replace.
2Select Font from the For pop-up menu, then select from the following options:
•To search by font name, select Font Name and select a font from the pop-up menu or enter a font name in the box.
When Font Name is deselected, all fonts in the scene or document are searched.
•To search by font style, select Font Style and select a font style from the pop-up menu. When Font Style is
deselected, all font styles in the scene or document are searched.
•To search by font size, select Font Size and enter values for minimum and maximum font size to specify the range
of font sizes to be searched. When Font Size is deselected, all font sizes in the scene or document are searched.
•To replace the specified font with a different font name, select Font Name under Replace With and select a font
name from the pop-up menu or enter a name in the box. When Font Name is deselected under Replace with, the
current font name remains unchanged.
•To replace the specified font with a different font style, select Font Style under Replace With and select a font style
from the pop-up menu. When Font Style is deselected under Replace with, the current style of the specified font
remains unchanged.
•To replace the specified font with a different font size, select Font Size under Replace With and enter values for
minimum and maximum font size. When Font Size is deselected under Replace With, the current size of the
specified font remains unchanged.
3To select the next occurrence of the specified font on the Stage and edit it in place, select Live Edit.
Note: Only the next occurrence is selected for live editing, even if you select Find All in step 4.
4To find a font, do one of the following:
•To find the next occurrence of the specified font, click Find Next.
•To find all occurrences of the specified font, click Find All.
5To replace a font, do one of the following:
•To replace the currently selected occurrence of the specified font, click Replace.

58
USING FLASH PROFESSIONAL
Managing documents
Last updated 1/16/2012
•To replace all occurrences of the specified font, click Replace All.
Find and replace colors
You cannot find and replace colors in grouped objects.
Note: To find and replace colors in a GIF or JPEG file in a Flash Pro document, edit the file in an image-editing
application.
1Select Edit > Find and Replace.
2Select Color from the For pop-up menu.
3To search for a color, click the Color control and do one of the following:
•Select a color swatch from the color pop-up window.
•Enter a hexadecimal color value in the Hex Edit box in the color pop-up window.
•Click the System Color Picker button and select a color from the system color picker.
•To make the eyedropper tool appear, drag from the Color control. Select any color on your screen.
4To select a color to replace the specified color, click the Color control under Replace With and do one of the
following:
•Select a color swatch from the color pop-up window.
•Enter a hexadecimal color value in the Hex Edit box in the color pop-up window.
•Click the System Color Picker button and select a color from the system color picker.
•To make the eyedropper tool appear, drag from the Color control. Select any color on your screen.
5To specify which occurrence of the color to find and replace, select the Fills, Strokes, or Text option or any
combination of those options.
6To select the next occurrence of the specified color on the Stage and edit it in place, select Live Edit.
Note: Only the next occurrence is selected for live editing, even if you select Find All in the next step.
7Find a color.
•To find the next occurrence of the specified color, click Find Next.
•To find all occurrences of the specified color, Click Find All.
8Replace a color.
•To replace the currently selected occurrence of the specified color, click Replace.
•To replace all occurrences of the specified color, click Replace All.
Find and replace symbols
To find and replace symbols, search for a symbol by name. Replace a symbol with another symbol of any type—movie
clip, button, or graphic.
1Select Edit > Find and Replace.
2Select Symbol from the For pop-up menu.
3For Name, select a name from the pop-up menu.
4Under Replace With, for Name select a name from the pop-up menu.
5To select the next occurrence of the specified symbol on the Stage and edit it in place, select Live Edit.

59
USING FLASH PROFESSIONAL
Managing documents
Last updated 1/16/2012
Note: Only the next occurrence is selected for editing, even if you select Find All in the next step.
6To find a symbol, do one of the following:
•To find the next occurrence of the specified symbol, click Find Next.
•To find all occurrences of the specified symbol, click Find All.
7To replace a symbol, do one of the following:
•To replace the currently selected occurrence of the specified symbol, click Replace.
•To replace all occurrences of the specified symbol, click Replace All.
Find and replace sound, video, or bitmap files
1Select Edit > Find and Replace.
2Select Sound, Video, or Bitmap from the For pop-up menu.
3For Name, enter a sound, video, or bitmap filename or select a name from the pop-up menu.
4Under Replace With, for Name enter a sound, video, or bitmap filename or select a name from the pop-up menu.
5To select the next occurrence of the specified sound, video, or bitmap on the Stage and edit it in place, select Live
Edit.
Note: Only the next occurrence is selected for editing, even if you select Find All in the next step.
6Find a sound, video, or bitmap.
•To find the next occurrence of the specified sound, video, or bitmap, click Find Next.
•To find all occurrences of the specified sound, video, or bitmap, click Find All.
7Replace a sound, video, or bitmap.
•To replace the currently selected occurrence of the specified sound, video, or bitmap, click Replace.
•To replace all occurrences of the specified sound, video, or bitmap, click Replace All.
Templates
About templates
Flash Pro templates provide you with easy-to-use starting points for common projects. The New File dialog box
provides a preview and description of each template. Templates are available in six categories:
•Advertising - these include common Stage sizes used in online ads.
•Animation - these include many common types of animations, including motion, highlighting, glow, and easing.
•Banners - includes common sizes and functionality used in website interfaces.
•Media Playback - includes photo albums and playback of several video dimensions and aspect ratios.
•Presentations - includes simple and more complex presentation styles.
•Sample Files - these provide examples of commonly used features in Flash Pro.

60
USING FLASH PROFESSIONAL
Managing documents
Last updated 1/16/2012
A note about advertising templates
Advertising templates facilitate the creation of standard rich media types and sizes defined by the Interactive
Advertising Bureau (IAB) and accepted by the online advertising industry. For more information on IAB-endorsed ad
types, see the IAB site at IAB.net.
Test your ads for stability in various browser and platform combinations. Your ad application is considered stable if it
doesn’t cause error messages, browser crashes, or system crashes.
Work with webmasters and network administrators to create detailed test plans that include the tasks you expect your
audience to do within the ad. Example test plans are available at the IAB Rich Media testing section of IAB.net. Size
and file format requirements of ads can vary by vendor and website. Check with your vendor, ISP, or the IAB to learn
about these requirements that affect the ad’s design.
Use a template
1Select File > New.
2In the New File dialog box, click the Templates tab.
3Select a template from one of the categories and click OK.
4Add content to the FLA file that opens.
5Save and publish the file.
Additional resources
For more information on authoring Flash Pro files for mobile devices, see the Adobe® Mobile Devices site at
www.adobe.com/go/devnet_devices.

61
Last updated 1/16/2012
Chapter 4: Using imported artwork
Placing artwork into Flash
About importing artwork into Flash
Adobe® Flash® Professional CS5 can use artwork created in other applications. You can import vector graphics and
bitmaps in a variety of file formats. If you have QuickTime® 4 or later installed on your system, you can import
additional vector or bitmap file formats. You can import Adobe® FreeHand® files (version MX and earlier) and Adobe®
Fireworks® PNG files directly into Flash Pro, preserving attributes from those formats.
Graphic files that you import into Flash Pro must be at least 2 pixels x 2 pixels in size.
To load JPEG files into a Flash Pro SWF file during runtime, use the loadMovie action or method. For detailed
information, see loadMovie (MovieClip.loadMovie method) in ActionScript 2.0 Language Reference or Working with
movie clips in the ActionScript 3.0 Developer’s Guide.
Flash Pro imports vector graphics, bitmaps, and sequences of images as follows:
•When you import Adobe® Illustrator® and Adobe® Photoshop® files into Flash Pro, you can specify import options
that let you preserve most of your artwork's visual data, and the ability to maintain the editability of certain visual
attributes with the Flash Pro authoring environment.
•When you import vector images into Flash Pro from FreeHand, select options for preserving FreeHand layers,
pages, and text blocks.
•When you import PNG images from Fireworks, import files as editable objects to modify in Flash Pro, or as
flattened files to edit and update in Fireworks.
• Select options for preserving images, text, and guides.
Note: If you import a PNG file from Fireworks by cutting and pasting, the file is converted to a bitmap.
•Vector images from SWF and Windows® Metafile Format (WMF) files that you import directly into a Flash Pro
document (instead of into a library) are imported as a group in the current layer.
•Bitmaps (scanned photographs, BMP files) that you import directly into a Flash Pro document are imported as
single objects in the current layer. Flash Pro preserves the transparency settings of imported bitmaps. Because
importing a bitmap can increase the file size of a SWF file, consider compressing imported bitmaps.
Note: Bitmap transparency might not be preserved when bitmaps are imported by dragging and dropping from an
application or desktop to Flash Pro. To preserve transparency, use the File
> Import To Stage or Import To Library
command for importing.
•Any sequence of images (for example, a PICT or BMP sequence) that you import directly into a Flash Pro document
is imported as successive keyframes of the current layer.
More Help topics
“Imported bitmaps and Flash” on page 65
“Video” on page 309
“Sound” on page 299
“Set bitmap properties” on page 65

62
USING FLASH PROFESSIONAL
Using imported artwork
Last updated 1/16/2012
Supported file formats for import
Note: For a complete list of every file format supported by Flash for import, export, or edit, see the Supported File Formats
TechNote.
Graphics formats
Flash Pro can import different vector or bitmap file formats depending on whether QuickTime 4 or later is installed
on your system. Using Flash Pro with QuickTime 4 installed is especially useful for collaborative projects in which
authors work on both Windows and Macintosh platforms. QuickTime 4 extends support for certain file formats
(including PICT, QuickTime Movie, and others) to both platforms.
You can import the following vector or bitmap file formats into Flash Pro 8 or later, regardless of whether QuickTime
4 is installed:
You can import the following bitmap file formats into Flash Pro only if QuickTime 4 or later is installed:
Sound formats
Flash can import the following audio formats:
File type Extension Windows Macintosh
Adobe Illustrator (version 10 or earlier) .ai • •
Adobe Photoshop .psd • •
AutoCAD® DXF .dxf • •
Bitmap .bmp • •
Enhanced Windows Metafile .emf •
FutureSplash Player .spl • •
GIF and animated GIF .gif • •
JPEG .jpg • •
PNG .png • •
Flash Player 6/7 .swf • •
Windows Metafile .wmf • •
Adobe XML Graphic file .fxg • •
File type Extension Windows Macintosh
QuickTime Image .qtif • •
TIFF .tif • •
File type Extension Windows Macintosh
Adobe Soundbooth .asnd • •
Wave .wav •
Audio Interchange File Format .aiff •
MP3 .mp3 • •

63
USING FLASH PROFESSIONAL
Using imported artwork
Last updated 1/16/2012
Flash can import the following audio formats only if QuickTime 4 or later is installed:
Video formats
Flash can import the following video formats:
Import artwork in Flash
Flash Pro lets you import artwork in various file formats either directly to the Stage, or to the library.
More Help topics
“Symbols, instances, and library assets” on page 150
Import a file into Flash
1Do one of the following:
•To import a file directly into the current Flash Pro document, select File > Import > Import To Stage.
•To import a file into the library for the current Flash Pro document, select File > Import > Import To Library. (To
use a library item in a document, drag it onto the Stage. )
2Select a file format from the Files Of Type (Windows) or Show (Macintosh) pop-up menu.
3Navigate to the desired file and select it. If an imported file has multiple layers, Flash Pro might create new layers
(depending on the import file type). Any new layers appear in the Timeline.
4Click Open.
File type Extension Windows Macintosh
Audio Interchange File Format .aiff • •
Sound Designer II .sd2 •
Sound-only QuickTime movies .mov, .qt • •
Sun AU .au • •
System 7 sounds .snd •
Wave .wav • •
File type Extension Windows Macintosh
Video for Adobe Flash .flv, .f4v • •
QuickTime Movie .mov, .qt • •
Video for Windows .avi • •
MPEG .mpg, .m1v, .m2p, .m2t,
.m2ts, .mts, .tod, .mpe, .mpeg
• •
MPEG-4 .mp4, .m4v, .avc • •
Digital Video .dv, .dvi • •
3GPP/3GPP2 for Mobile Devices .3gp, .3gpp, .3gp2, .3gpp2,
.3p2
• •

64
USING FLASH PROFESSIONAL
Using imported artwork
Last updated 1/16/2012
5If the name of the file you are importing ends with a number and additional sequentially numbered files are in the
same folder, do one of the following:
•To import all the sequential files, click Yes.
•To import only the specified file, click No.
The following are examples of filenames that can be used as a sequence:
Frame001.gif, Frame002.gif, Frame003.gif
Bird 1, Bird 2, Bird 3
Walk-001.ai, Walk-002.ai, Walk-003.ai
Paste a bitmap from another application directly into the current Flash document
1Copy the image in the other application.
2In Flash Pro, select Edit > Paste In Center.
Importing FXG files
The FXG format allows Flash to exchange graphics with other Adobe applications such as Adobe Illustrator,
Fireworks, and Photoshop with all of the complex graphic information preserved. Flash allows you to import FXG files
(2.0 version only) as well as save selections of objects on the Stage or the entire Stage in FXG format. For more
information about FXG files, see “About FXG files” on page 457.
•To import an FXG file, choose File > Import > Import to Stage or Import to Library and select the FXG file you
want to open.
About AutoCAD DXF files
Flash Pro supports the AutoCAD® DXF format in AutoCAD 10.
DXF files do not support the standard system fonts. Flash Pro tries to map fonts appropriately, but the results can be
unpredictable, particularly for text alignment.
Because the DXF format does not support solid fills, filled areas are exported as outlines only. For this reason, the DXF
format is most appropriate for line drawings, such as floor plans and maps.
You can import two-dimensional DXF files into Flash Pro. Flash Pro does not support three-dimensional DXF files.
Although Flash Pro doesn’t support scaling in a DXF file, all imported DXF files produce 12-inch x 12-inch files that
you can scale using Modify
> Transform > Scale. Also, Flash Pro supports only ASCII DXF files. If your DXF files are
binary, convert them to ASCII before importing them into Flash Pro.
Loading artwork with ActionScript
With ActionScript, you can load external image files or assets from the Library at runtime.
For information about working with images and assets in ActionScript, see the following article:
•Loading images and Library assets in Flash with ActionScript 3 (Adobe.com)

65
USING FLASH PROFESSIONAL
Using imported artwork
Last updated 1/16/2012
Imported bitmaps and Flash
Work with imported bitmaps
When you import a bitmap into Flash Pro, you can modify that bitmap and use it in your Flash Pro document in a
variety of ways.
If a Flash Pro document displays an imported bitmap at a size larger than the original, the image may be distorted. To
be sure that images are displayed properly, preview imported bitmaps.
When you select a bitmap on the Stage, the Property inspector displays the bitmap’s symbol name and its pixel
dimensions and position on the Stage. Using the Property inspector, you can swap an instance of a bitmap—that is,
replace the instance with an instance of another bitmap in the current document.
The following video tutorial describes the use of bitmaps in Flash Pro:
•Working with bitmap graphics (0:56)
Display the Property inspector with bitmap properties
1Select an instance of a bitmap on the Stage.
2Select Window > Properties.
Replace an instance of a bitmap with an instance of another bitmap
1Select a bitmap instance on the Stage.
2Select Window > Properties, and click Swap.
3Select a bitmap to replace the one currently assigned to the instance.
Set bitmap properties
You can apply anti-aliasing to an imported bitmap to smooth the edges in the image. You can also select a compression
option to reduce the bitmap file size and format the file for display on the web.
1Select a bitmap in the Library panel and click the Properties button at the bottom of the Library panel.
2Select Allow Smoothing. Smoothing improves the quality of bitmap images when they are scaled.
3For Compression, select one of the following options:
Photo (JPEG) Compresses the image in JPEG format. To use the default compression quality specified for the imported
image, select Use Document Default Quality. To specify a new quality compression setting, deselect Use Document
Default Quality and enter a value between 1 and 100 in the Quality text field. (A higher setting preserves greater image
integrity but yields a larger file size.)
Lossless (PNG/GIF) Compresses the image with lossless compression, in which no data is discarded from the image.
Note: Use Photo compression for images with complex color or tonal variations, such as photographs or images with
gradient fills. Use lossless compression for images with simple shapes and relatively few colors.
4To determine the results of the file compression, click Test. To determine if the selected compression setting is
acceptable, compare the original file size to the compressed file size.
5Click OK.
Note: JPEG Quality settings that you select in the Publish Settings dialog box do not specify a quality setting for imported
JPEG files. Specify a quality setting for each imported JPEG file in the Bitmap Properties dialog box.

66
USING FLASH PROFESSIONAL
Using imported artwork
Last updated 1/16/2012
Import a bitmap at runtime
To add bitmaps to a document at runtime, use the ActionScript® 2.0 or the ActionScript 3.0 BitmapData command.
To do so, specify a linkage identifier for the bitmap. For more information, see Assigning linkage to assets in the library
in Learning ActionScript 2.0 in Adobe Flash or Exporting library symbols for ActionScript in the ActionScript 3.0
Developer’s Guide.
1Select the bitmap in the Library panel.
2Do one of the following:
•Select Linkage from the Panel menu in the upper-right corner of the panel.
•Right-click (Windows) or Control-click (Macintosh) the bitmap name in the Library panel, and select Properties
from the context menu.
If the Linkage properties aren’t visible in the Properties dialog box, click Advanced.
3For Linkage, select Export For ActionScript.
4Enter an identifier string in the text field, and click OK.
Apply a bitmap as a fill
To apply a bitmap as a fill to a graphic object, use the Color panel. Applying a bitmap as a fill tiles the bitmap to fill the
object. The Gradient Transform tool allows you to scale, rotate, or skew an image and its bitmap fill.
1To apply the fill to existing artwork, select a graphic object or objects on the Stage.
2Select Window > Color.
3Select Bitmap from the pop-up menu in the upper right of the panel.
4To use a larger preview window to display more bitmaps in the current document, click the arrow in the lower-right
corner to expand the Color panel.
5Click a bitmap to select it.
The bitmap becomes the current fill color. If you selected artwork in step 1, the bitmap is applied as a fill to the artwork.
More Help topics
“Transform gradient and bitmap fills” on page 138
Edit a bitmap in an external editor
If you are editing a Fireworks PNG file imported as a flattened image, edit the PNG source file for the bitmap, when
available.
Note: You cannot edit bitmaps from Fireworks PNG files imported as editable objects in an external image editor.
If you have Fireworks 3 or later or another image-editing application installed on your system, you can start the
application from Flash Pro to edit an imported bitmap.
Edit a bitmap with Photoshop CS5 or later
Note: If you are using Flash Pro CS5.5, you need to use Photoshop CS5.1 to access this feature.
1In the Library panel, right-click (Windows) or Control-click (Macintosh) the bitmap’s icon and select Edit With
Photoshop CS5.
2Perform the desired modifications to the file in Photoshop.

67
USING FLASH PROFESSIONAL
Using imported artwork
Last updated 1/16/2012
3In Photoshop, select File > Save. (Do not change the file name or format.)
4Return to Flash Pro.
The file is automatically updated in Flash Pro.
Edit a bitmap with Fireworks 3 or later
1In the Library panel, right-click (Windows) or Control-click (Macintosh) the bitmap’s icon and select Edit With
Fireworks 3.
2Specify whether to open the PNG source file or the bitmap file.
3Perform the desired modifications to the file in Fireworks.
4In Fireworks, select File > Update.
5Return to Flash Pro.
The file is automatically updated in Flash Pro.
Edit a bitmap with another image-editing application
1In the Library panel, right-click (Windows) or Control-click (Macintosh) the bitmap’s icon, and select Edit With.
2Select an image-editing application to open the bitmap file, and click OK.
3Perform the desired modifications to the file in the image-editing application.
4Save the file in the image-editing application.
The file is automatically updated in Flash Pro.
5Return to Flash Pro to continue editing the document.
Break apart a bitmap and create a bitmap fill
Breaking apart a bitmap on the Stage separates the on-Stage image from its library item and converts it from a bitmap
instance to a shape. When you break apart a bitmap, you can modify the bitmap with the Flash Pro drawing and
painting tools. Using the Lasso tool with the Magic Wand modifier, you can select areas of the bitmap that contain the
same or similar colors.
To paint with a broken-apart bitmap, select the bitmap with the Eyedropper tool and apply the bitmap as a fill with the
Paint Bucket tool or another drawing tool.
Break a bitmap apart
1Select a bitmap in the current scene.
2Select Modify > Break Apart.
Change the fill of areas of a broken-apart bitmap
1Select the Lasso tool, click the Magic Wand modifier, and set the following options:
•For Threshold, enter a value between 1 and 200 to define how closely the color of adjacent pixels must match to
be included in the selection. A higher number includes a broader range of colors. If you enter 0, only pixels of
the exact same color as the first pixel you click are selected.
•For Smoothing, select an option to define how much the edges of the selection are smoothed.
2To select an area, click the bitmap. To add to the selection, continue clicking.
3To fill the selected areas in the bitmap, select the fill to use from the Fill Color control.

68
USING FLASH PROFESSIONAL
Using imported artwork
Last updated 1/16/2012
4To apply the new fill, select the Paint Bucket tool and click anywhere in the selected area.
Convert a bitmap to a vector graphic
The Trace Bitmap command converts a bitmap into a vector graphic with editable, discrete areas of color. You
manipulate the image as a vector graphic, and you can reduce the file size.
When you convert a bitmap to a vector graphic, the vector graphic is no longer linked to the bitmap symbol in the
Library panel.
Note: If the imported bitmap contains complex shapes and many colors, the converted vector graphic might have a larger
file size than the original bitmap. To find a balance between file size and image quality, try a variety of settings in the
Trace Bitmap dialog box.
You can also break apart a bitmap to modify the image with Flash Pro drawing and painting tools.
1Select a bitmap in the current scene.
2Select Modify > Bitmap > Trace Bitmap.
3Enter a Color Threshold value.
When two pixels are compared, if the difference in the RGB color values is less than the color threshold, the two
pixels are considered the same color. As you increase the threshold value, you decrease the number of colors.
4For Minimum Area, enter a value to set the number of surrounding pixels to consider when assigning a color to a
pixel.
5For Curve Fit, select an option to determine how smoothly outlines are drawn.
6For Corner Threshold, select an option to determine whether sharp edges are retained or smoothed out.
To create a vector graphic that looks most like the original bitmap, enter the following values:
•Color Threshold: 10
•Minimum Area: 1 pixel
•Curve Fit: Pixels
•Corner Threshold: Many Corners
Use the Eyedropper tool to apply a bitmap fill
1Select the Eyedropper tool and click the broken-apart bitmap on the Stage. The Eyedropper tool sets the bitmap to
be the current fill and changes the active tool to the Paint Bucket.
2Do one of the following:
•To apply the bitmap as a fill, click an existing graphic object with the Paint Bucket tool.
•Select the Oval, Rectangle, or Pen tool, and draw a new object. The object is filled with the broken-apart bitmap.
To scale, rotate, or skew the bitmap fill, use the Free Transform tool.
More Help topics
“Adjust Stroke and Fill color” on page 136

69
USING FLASH PROFESSIONAL
Using imported artwork
Last updated 1/16/2012
Working with Fireworks files in Flash
About imported Fireworks PNG files
You can import Adobe® Fireworks PNG files into Flash Pro as flattened images or as editable objects. When you import
a PNG file as a flattened image, the entire file (including any vector artwork) is rasterized, or converted to a bitmap
image. When you import a PNG file as editable objects, vector artwork in the file is preserved in vector format. Choose
to preserve placed bitmaps, text, filters (called effects in Fireworks), and guides in the PNG file when you import it as
editable objects.
About imported filters and blends from Fireworks PNG files
When you import Fireworks® PNG files, you can retain many of the filters and blending modes applied to objects in
Fireworks and continue to modify those filters and blends using Flash Pro.
Flash Pro only supports modifiable filters and blends for objects imported as text and movie clips. If an effect or blend
mode is not supported, Flash Pro rasterizes or ignores it when it is imported. To import a Fireworks PNG file that
contains filters or blends that Flash Pro does not support, rasterize the file during the import process. After this
operation, you cannot edit the file.
Fireworks effects supported in Flash
Flash Pro imports the following Fireworks effects as modifiable filters:
Fireworks blend modes supported in Flash
Flash Pro imports the following Fireworks blend modes as modifiable blends:
Fireworks effect Flash Pro filter
Drop shadow Drop shadow
Solid shadow Drop shadow
Inner shadow Drop shadow (with Inner shadow automatically selected)
Blur Blur (where blurX = blurY=1)
Blur more Blur (where blurX = blurY=1)
Gaussian blur Blur
Adjust color brightness Adjust color
Adjust color contrast Adjust color
Fireworks blending mode Flash Pro blending mode
Normal Normal
Darken Darken
Multiply Multiply
Lighten Lighten
Screen Screen
Overlay Overlay

70
USING FLASH PROFESSIONAL
Using imported artwork
Last updated 1/16/2012
Flash Pro ignores all other blending modes imported from Fireworks. The blending modes that Flash Pro does not
support are Average, Negation, Exclusion, Soft Light, Subtractive, Fuzzy Light, Color Dodge, and Color Burn.
Importing text from Fireworks into Flash
When you import text from Fireworks into Flash Pro 8 or later, the text is imported with the default anti-alias setting
of the current document.
If you import the PNG file as a flattened image, you can start Fireworks from Flash Pro and edit the original PNG file
(with vector data).
When you import multiple PNG files in a batch, you select import settings one time. Flash Pro uses the same settings
for all files in the batch.
Note: To edit bitmap images in Flash Pro, convert the bitmap images to vector artwork or break apart the bitmap images.
1Select File > Import > Import To Stage or Import To Library.
2Select PNG Image from the Files Of Type (Windows) or Show (Macintosh) pop-up menu.
3Navigate to a Fireworks PNG image and select it.
4Click Open.
5Select one of the following for Location:
Import All Page(s) into New Scene(s) Imports all pages in the PNG file as scenes within a movie clip, with all of their
frames and layers intact inside the movie clip symbol. A new layer is created that uses the name of the Fireworks PNG
file name. The first frame (page) of the PNG document is placed on a keyframe that starts at the last keyframe; all other
frames (pages) follow.
Import One Page into Current Layer Imports the selected page (identified in the Page Name pop-up menu) of the PNG
file into the current Flash Pro document in a single new layer as a movie clip. The contents of the selected page are
imported as a movie clip, with all of their original layer and frame structure intact. If the page movie clip has frames
inside it, each frame is a movie clip in itself.
Page Name Specifies the Fireworks page you want to import into the current scene.
6Select one of the following for File Structure:
Import As Movie Clip And Retain Layers Imports the PNG file as a movie clip, with all of its frames and layers intact
inside the movie clip symbol.
Import Page(s) as New Layer(s) Imports the PNG file into the current Flash Pro document in a single new layer at the
top of the stacking order. The Fireworks layers are flattened into the single layer. The Fireworks frames are contained
in the new layer.
Hard light Hard light
Additive Add
Difference Difference
Invert Invert
Alpha Alpha
Erase Erase
Fireworks blending mode Flash Pro blending mode

71
USING FLASH PROFESSIONAL
Using imported artwork
Last updated 1/16/2012
7For Objects, select one of the following:
Rasterize If Necessary To Maintain Appearance Preserves Fireworks fills, strokes, and effects in Flash Pro.
Keep All Paths Editable Keeps all objects as editable vector paths. Some Fireworks fills, strokes, and effects are lost on
import.
8For Text, select one of the following:
Rasterize If Necessary To Maintain Appearance Preserves Fireworks fills, strokes, and effects in text imported into
Flash Pro.
Keep All Paths Editable Keeps all text editable. Some Fireworks fills, strokes, and effects are lost on import.
9To flatten the PNG file into a single bitmap image, select Import As A Single Flattened Bitmap. When this option
is selected, all other options are dimmed.
10 Click OK.
More Help topics
“Edit a bitmap in an external editor” on page 66
“Break apart a bitmap and create a bitmap fill” on page 67
Working with Illustrator AI files in Flash
About Adobe Illustrator AI files
Flash Pro lets you import Adobe® Illustrator® AI files and preserves the majority of the editability and visual fidelity of
your artwork. The AI Importer also provides you with a great degree of control in determining how your Illustrator
artwork is imported into Flash Pro, letting you specify how to import specific objects into an AI file.
The Flash Pro AI Importer provides the following key features:
•Preserves editability of the most commonly used Illustrator effects as Flash Pro filters.
•Preserves editability of blend modes that Flash Pro and Illustrator have in common.
•Preserves the fidelity and editability of gradient fills.
•Maintains the appearance of RGB (red, green, blue) colors.
•Imports Illustrator Symbols as Flash Pro Symbols.
•Preserves the number and position of Bezier control points.
•Preserves the fidelity of clip masks.
•Preserves the fidelity of pattern strokes and fills.
•Preserves object transparency.
•Converts the AI file layers to individual Flash Pro layers, keyframes, or a single Flash Pro layer. You can also import
the AI file as a single bitmap image, in which case Flash Pro flattens (rasterizes) the file.
•Provides an improved copy-and-paste workflow between Illustrator and Flash Pro. A copy-and-paste dialog box
provides settings to apply to AI files being pasted onto the Flash Pro stage.

72
USING FLASH PROFESSIONAL
Using imported artwork
Last updated 1/16/2012
The following video tutorials demonstrate working with Illustrator and Flash Pro. Some videos show the Flash Pro CS3
or CS4 workspace, but are still applicable to Flash Pro CS5.
•Exporting artboards to Flash (Illustrator import) (5:53)
•Design workflows with Creative Suite 4 (InDesign, Illustrator, Flash) (3:34)
•Using symbols effectively between Illustrator and Flash (CS3) (7:29)
•Using text effectively between Illustrator and Flash (CS3) (2:53)
Compatibility between Flash and Illustrator
Certain visual attributes can either not be accurately imported, or, after they are imported, lose their ability to be
further edited in the Flash Pro authoring environment. The AI Importer provides you with several options to import
and place artwork to best maintain its visual appearance and editability. However, certain visual attributes cannot be
preserved. Use the following guidelines to improve the appearance of AI files imported into Flash Pro:
•Flash Pro supports only the RGB color space, and not the CMYK color space, which is common in printing. Flash
Pro can convert CMYK images to RGB, however, colors are better preserved if you convert the colors to RGB in
Illustrator.
•To preserve the drop shadow, inner glow, outer glow, and Gaussian blur AI effects as editable Flash Pro filters, Flash
Pro imports the objects to which they are applied as a Flash Pro movie clip. If you attempt to import an object with
these attributes as something other than a movie clip, Flash Pro displays an incompatibility alert, and recommends
importing the object as a movie clip.
Working with Illustrator and Flash
You can move Illustrator artwork into the Flash editing environment or directly into Flash Player. You can copy and
paste artwork, save files in SWF format, or export artwork directly to Flash. In addition, Illustrator provides support
for Flash dynamic text and movie clip symbols. For a video on using Flash and Illustrator together, see
www.adobe.com/go/lrvid4099_xp.
You can also use Device Central to see how Illustrator artwork will appear in Flash Player on different handheld
devices.
Pasting Illustrator artwork
You can create graphically rich artwork in Illustrator and copy and paste it into Flash simply, quickly, and seamlessly.
When you paste Illustrator artwork into Flash, the following attributes are preserved:
•Paths and shapes
•Scalability
•Stroke weights
•Gradient definitions
•Text (including OpenType fonts)
•Linked images
•Symbols
•Blending modes

73
USING FLASH PROFESSIONAL
Using imported artwork
Last updated 1/16/2012
In addition, Illustrator and Flash support pasted artwork in the following ways:
•When you select entire top-level layers in Illustrator artwork and paste them into Flash, the layers are preserved
along with their properties (visibility and locking).
•Non-RGB Illustrator colors (CMYK, grayscale, and custom) convert to RGB in Flash. RGB colors paste as expected.
•When you import or paste Illustrator artwork, you can use various options to preserve effects (such as drop shadow
on text) as Flash filters.
•Flash preserves Illustrator masks.
Exporting SWF files from Illustrator
From Illustrator, you can export SWF files that match the quality and compression of SWF files exported from Flash.
When you export, you can choose from a variety of presets to ensure optimal output, and you can specify how to
handle multiple artboards, symbols, layers, text, and masks. For example, you can specify whether Illustrator symbols
are exported as movie clips or graphics, or you can choose to create SWF symbols from Illustrator layers.
Importing Illustrator files into Flash
When you want to create complete layouts in Illustrator and then import them into Flash in one step, you can save
your artwork in the native Illustrator format (AI) and import it, with high fidelity, into Flash using the File
> Import
To Stage or File
> Import To Library commands in Flash.
If your Illustrator file contains multiple artboards, you select the artboard you want to import from the Import dialog
box in Flash, and specify settings for each layer in that artboard. All objects on the selected artboard import as a single
layer in Flash. If you import another artboard from that same AI file, the objects from that artboard import as a new
layer in Flash.
When you import Illustrator artwork as an AI, EPS, or PDF file, Flash preserves the same attributes as for pasted
Illustrator artwork. In addition, when an imported Illustrator file contains layers, you can import them in any of the
following ways:
•Convert Illustrator layers to Flash layers
•Convert Illustrator layers to Flash frames
•Convert all Illustrator layers to a single Flash layer
Symbol workflow
Symbol workflow in Illustrator is similar to symbol workflow in Flash.
Symbol creation When you create a symbol in Illustrator, the Symbol Options dialog box lets you name the symbol
and set options specific to Flash: movie clip symbol type (which is the default for Flash symbols), Flash registration
grid location, and 9-slice scaling guides. In addition, you can use many of the same symbol keyboard shortcuts in
Illustrator and Flash (such as F8 to create a symbol).
Isolation mode for symbol editing In Illustrator, double-click a symbol to open it in isolation mode for easier editing.
In isolation mode, only the symbol instance is editable—all other objects on the artboard are dimmed and unavailable.
After you exit isolation mode, the symbol in the Symbols panel, and all instances of that symbol are updated
accordingly. In Flash, symbol-editing mode and the Library panel work in a similar fashion.
Symbol properties and links Using the Symbols panel or the Control panel, you can easily assign names to symbol
instances, break links between instances and symbols, swap a symbol instance with another symbol, or create a copy
of the symbol. In Flash, the editing features in the Library panel work in a similar way.

74
USING FLASH PROFESSIONAL
Using imported artwork
Last updated 1/16/2012
Static, dynamic, and input text objects
When you bring static text from Illustrator into Flash, Flash converts the text to outlines. In addition, you can set up
your text in Illustrator as dynamic text. Dynamic text enables you to edit text content programmatically in Flash, and
easily manage projects that require localization in multiple languages.
In Illustrator, you can specify individual text objects as static, dynamic, or input text. Dynamic text objects in
Illustrator and Flash have similar properties. For example, both use kerning that affects all characters in a text block
rather than individual characters, both anti-alias text the same way, and both can be linked to an external XML file
containing text.
About importing AI files to the Flash library
Importing an AI file into the library is similar to importing to the Stage, the difference being that the entire AI file is
encapsulated as a Flash Pro symbol. The content is imported into the library and organized by the layering and
grouping structure of the AI file.
When you import an AI file into the library, the root folder uses the name of the AI file. After the AI file is imported
into the library, you can change the name of the root folder, or move the layers out of the folder.
Note: The Library panel orders the contents of the imported AI file alphabetically. The hierarchical grouping and folder
structure remains the same, but the library reorders them alphabetically.
When converting AI layers to keyframes, the AI file is imported as a movie clip; converting the AI layers to Flash layers,
or as a single Flash layer, imports the AI file as a graphic symbol. The resulting movie clip or graphic symbol contains
all of the content of the AI file imported to its timeline, as if the content were imported to the Stage. Almost all movie
clips have a bitmap or other asset associated with them. To minimize confusion and naming conflicts, these assets are
stored in an Assets folder in the same folder as the movie clip.
Note: When you import to the library, the AI file's contents are imported to the movie clip's timeline, not the main Flash
Pro timeline.
The Library panel after importing an AI file
AI File Importer preferences
The Flash Preferences dialog box lets you set import preferences for AI files and the AI File Import dialog box. The
preferences you specifiy for importing AI files affect the options the AI Import dialog box is initially populated with
for the Illustrator object types.

75
USING FLASH PROFESSIONAL
Using imported artwork
Last updated 1/16/2012
Note: To override the preferences specified for different layer types on an object by object basis, use the AI Import dialog
box. Select the layer, object, or group to change its import options, and specify the necessary options.
General Preferences that affect how the AI Importer will respond when importing AI files:
•Show Import Dialog Box Specifies that the AI File Import Dialog dialog box appears.
•Exclude Objects Outside Crop Area Excludes objects on the Illustrator canvas which fall outside the artboard or
crop area.
•Import Hidden Layers Specifies that hidden layers be imported by default.
Import Text As Lets you specify the following import preferences for text objects:
•Editable Text Specifies that imported Illustrator text is editable Flash Pro text. The appearance of the text may be
compromised to maintain the editability of the text.
•Vector Outlines Converts text to vector paths. Use this option to preserve the visual appearance of the text. Some
visual effects might be sacrificed—such as unsupported blend modes and filters—but visual attributes such as text on
a path are maintained if the text is imported as a movie clip. The text itself is no longer editable, but opacity and
compatible blend modes maintain their editability.
Note: To preserve the drop shadow, inner glow, outer glow, and Gaussian blur that AI effects applied to text as editable
Flash Pro filters, select Create Movie Clip Import to import the text as a movie clip.
•Bitmaps Rasterizes the text into a bitmap to preserve the exact appearance of the text as it was in Illustrator. If filters
or other effects are applied that are not compatible with Flash Pro, importing the text as a bitmap preserves the visual
appearance. Rasterized text is no longer editable.
•Create Movie Clips Specifies that text objects be imported inside a movie clip. To maintain supported blend modes,
AI effects, and transparency of less than 100% between Illustrator and Flash Pro, specify that the text object be
imported as a movie clip.
Import Paths As Lets you specify the following path import preferences:
•Editable Paths Creates an editable vector path. Supported blend modes, effects, and object transparency are
preserved, but attributes not supported in Flash Pro are discarded.
•Bitmaps Rasterizes the path into a bitmap to preserve the exact appearance of the path in Illustrator. A rasterized
image is no longer editable.
•Create Movie Clips Specifies that path objects be imported inside a movie clip.
Images Lets you specify the import preference for images:
•Flatten Bitmaps To Maintain Appearance Rasterizes the image into a bitmap to preserve the appearance of
blending modes and effects that are not supported in Flash Pro. A rasterized image is no longer editable.
•Create Movie Clips Specifies that images be imported inside a movie clip.
Groups Lets you specify the import preferences for groups:
•Import As Bitmaps Rasterizes the group into a bitmap to preserve the appearance of the objects as they appeared in
Illustrator. After a group is converted to a bitmap, the objects in it cannot be selected or renamed.
•Create Movie Clips Specifies that all objects in the group be encapsulated into a single movie clip.
Layers Lets you specify the import preferences for layers:
•Import As Bitmaps Rasterizes the layer into a bitmap to preserve the appearance of the objects as they appeared in
Illustrator.
•Create Movie Clips Specifies that the layer is encapsulated into a movie clip.

76
USING FLASH PROFESSIONAL
Using imported artwork
Last updated 1/16/2012
Movie Clip Registration Specifies a global registration point for movies that are created. This setting applies to the
registration point for all object types. This option can be changed on an object by object basis in the AI File Import
dialog box; this is the initial setting for all object types. For more information on movie clip registration, see “Edit
symbols” on page 153.
More Help topics
“Set preferences in Flash” on page 32
Import Adobe Illustrator files
Flash Pro can import Illustrator AI files in version 10 or earlier. If the raster file in Illustrator is linked, only JPEG, GIF,
and PNG are imported with native format preserved. All other files are converted to PNG format in Flash Pro.
Additionally, conversion to PNG depends on the version of QuickTime installed.
Note: The AI Importer was developed to import AI files created with Illustrator CS3 and later. While there are no known
issues importing AI files created in earlier versions of Illustrator, we recommend importing AI files created using
Illustrator CS3 and later. If you encounter issues importing AI files created in an earlier version of Illustrator, open the
file in Illustrator CS3 or later, save the AI file as a CS3 or later compatible file, and re-import it into Flash Pro. To import
an Illustrator EPS or Adobe® Acrobat® PDF file, open the file in Illustrator CS3 or later, save it as a CS3 or later compatible
AI file, and import the resulting AI file into Flash Pro.
For video tutorials about working with Illustrator and Flash Pro, see:
•Importing Illustrator files: www.adobe.com/go/vid0197
•Using symbols between Illustrator and Flash Pro: www.adobe.com/go/vid0198
•Using text between Illustrator and Flash Pro: www.adobe.com/go/vid0199
In certain instances, you may need to ungroup all the Illustrator objects on all layers when Flash Pro cannot group
items on import. After all the objects are ungrouped, they can be manipulated like any other Flash Pro object.
Illustrator AI Import dialog box
A. Layers panel B. Import options available for the selected object
B
A

77
USING FLASH PROFESSIONAL
Using imported artwork
Last updated 1/16/2012
Choose from the following options when importing Adobe Illustrator files:
•Convert layers to Flash Pro layers or keyframes, or single Flash Pro layers.
•Import text as editable text, vector outlines, or bitmaps.
•Import as a single bitmap image. Choosing this option imports the AI file as a single bitmap image and disables the
layers list and import options within the AI Import dialog box.
1Select File > Import To Stage or Import To Library.
2Navigate to the AI file to import, select it, and click OK. The Import Illustrator Document To Stage or The Import
Illustrator Document To Library dialog box appears.
This dialog box provides options to import the Illustrator file. Depending on the types of objects in the Illustrator file
you’re importing, the options available to you vary.
3(Optional) To generate a list of items in the AI file that are incompatible with Flash Pro, click Incompatibility
Report. The Incompatibility Report button appears only if incompatibilities exist with Flash Pro in the AI file.
The incompatibilty report analyzes possible incompatibilities between Illustrator and Flash Pro. The Import Options
area (next to the Alert button) of the AI Import dialog box displays recommendations to obtain the maximum
compatibility for any incompatible item.
The incompatibilty report includes an Apply Recommended Import Settings checkbox. If checked, Flash Pro
automatically applies the recommended import options to any incompatible objects within the AI file. The exceptions
to this are when the AI document is larger in size than that supported by Flash Pro, and when the AI document uses
the CMYK color mode. To correct either of these incompatibilities, reopen the document in Illustrator CS3, and adjust
the size of the document, or change the color mode to RGB.
4(Optional) In the AI Import dialog box, select layers, groups, and individual objects, and choose how to import each
item. For information on the import options available for the different types of Illustrator layers and objects, see
“Illustrator object import options” on page 78.
5For Convert Layers To, select one of the following:
Flash Layers Converts each layer in the imported document to a layer in the Flash document.
Keyframes Converts each layer in the imported document to a keyframe in the Flash document.
Single Flash Layer Converts all layers in the imported document to a single flattened layer in the Flash Pro document.
6For the remaining options, select from the following:
Place Objects At Original Position The contents of the AI file retain the exact position that they had in Illustrator. For
example, if an object was positioned at X
= 100 Y = 50 in Illustrator, it assumes the same coordinates on the Flash Pro
Stage.
If this option is not selected, the imported Illustrator layers are centered within the current view. The items in the AI
file remain relative to each other when imported; however, all objects are centered as one block in the current view.
This feature can be useful if you are zoomed in to an area of the Stage and are importing a specific object for that area
of the Stage. If you imported the object using the original coordinates, you might not see it imported, because it might
be placed outside of the current stage view.
Note: When importing the AI file into the Flash Pro library, this option is not available.
Set Stage Size To Same Size As Illustrator Artboard The Flash Pro stage size resizes to the same size as the Illustrator
artboard (or active crop area) used to create the AI file. This option is not selected by default.
Note: When importing the AI file into the Flash Pro library, this option is not available.

78
USING FLASH PROFESSIONAL
Using imported artwork
Last updated 1/16/2012
Import Unused Symbols Any symbols in the AI file’s library that have no instances on the artboard are imported into
the Flash Pro library. If this option is not selected, the unused symbols are not imported into Flash Pro.
Import As A Single Bitmap Image Imports the AI file as a single bitmap image and disables the layers list and import
options within the AI Import dialog box.
7Click OK.
More Help topics
“Import Photoshop PSD files” on page 83
“Exporting images and graphics” on page 457
Illustrator object import options
Layers manage all the items that make up Illustrator artwork. By default, all items are organized in a single, parent
layer. You can import all items in a given parent layer as a single, flattened bitmap, or, individually select each object
and specify import options specific to the type of object it is (text, path, group, and so on). The AI Importer provides
options to select layers in the artwork you are importing and specify individual import options based on preserving
the visual appearance of an object, or its editability in Flash Pro.
Correcting incompatible graphic effects
1To generate an incompatibilty report, click Incompatibility Report. The incompatibility report lists items in the AI
file that are incompatible with Flash Pro.
2Select Change Import Settings To Resolve Object Incompatibilities. Many incompatibilities between Illustrator and
Flash Pro can be automatically corrected using the incompatibility report and the import recommendations
suggested in the Import options area of the AI Import dialog box.
Select individual objects
1Select the object to specify import options for. Illustrator objects that you can select include layers, groups,
individual paths, text, and images.
2Review the import options available for the type of object you’ve selected in the object options section of the dialog
box. Note whether any incompatibilities are listed and what the recommended correction is to import the object.
3Select the desired import options, and select another object to specify import options for, or click OK.
Selecting layers
The Layers panel lists the objects in a document. By default, every Illustrator document contains at least one layer, and
each object in a given file is listed under that layer.
When an item in the Layers panel contains other items, a triangle appears to the left of the item’s name. To show or
hide the content, click the triangle. If no triangle appears, the layer contains no additional items.
Note: You can expand or collapse all groups and layers using the AI Importer context menu. Right-click to display the
context menu and select Expand All or Collapse All.
Selection column Controls whether items are selected for import or not. If an item is checked, you can select that layer
and specify import options; if Edit is not checked, the layer is dimmed and you cannot specify any import setting for
the item in that layer.

79
USING FLASH PROFESSIONAL
Using imported artwork
Last updated 1/16/2012
Object Type column An icon indicates what the Flash Pro object type located on that layer will be when imported and,
if visible, that the item is selected. The object types are:
•Text
•Path
•Group
•Movie clip
•Graphic symbol
•Image
Text import options
Flash Pro lets you import text as editable text, vector outlines, or a flattened bitmap. To maintain supported blend
modes, AI effects, and transparency of less than 100% between Illustrator and Flash Pro, import text as a movie clip.
Importing text as a movie clip preserves the editability of compatible visual effects.
Editable Text By default, Illustrator text imports as editable Flash Pro text. The appearance of the text can be
compromised to maintain the editability of the text.
Vector Outlines Converts text to vector paths. Use this option to preserve the visual appearance of the text. Some visual
effects might be sacrificed—such as unsupported blend modes and filters—but visual attributes such as text on a path
are maintained if the text is imported as a movie clip. The text itself is no longer editable, but opacity and compatible
blend modes maintain their editability.
Note: To preserve the drop shadow, inner glow, outer glow, and Gaussian blur that AI effects applied to text as editable
Flash Pro filters, select Create Movie Clip Import to import the text as a movie clip.
Bitmap Rasterizes the text into a bitmap to preserve the exact appearance of the text as it was in Illustrator. If filters or
other effects are applied that are not compatible with Flash Pro, importing the text as a bitmap preserves the visual
appearance. Rasterized text is no longer editable.
Path import options
A path is the line that results from drawing in Illustrator. A path is either open, like an arc, or closed, like a circle. For
an open path, the starting and ending anchor points for the path are called endpoints. Editable paths can be imported
into Flash Pro, however, if certain blend modes, filters, or other effects are applied to the path, those effects might not
be compatible with Flash Pro.
Bitmap Rasterizes the path into a bitmap to preserve the exact appearance of the path in Illustrator. A rasterized image
is no longer editable.
Editable Path Creates an editable vector path. Supported blend modes, effects, and object transparency are preserved,
but attributes not supported in Flash Pro are discarded.
Image import options
Bitmap images are the most common electronic medium for continuous-tone images, such as photographs or digital
paintings. Illustrator creates bitmap effects by using filters, effects, and graphic styles. While many of these effects are
compatible with Flash Pro, some might need to be flattened—or rasterized—to preserve their visual appearance.

80
USING FLASH PROFESSIONAL
Using imported artwork
Last updated 1/16/2012
Note: If a raster file in Illustrator is linked, only JPEG, GIF, and PNG are imported with their native format preserved.
All other file types are converted to the PNG format in Flash Pro. Additionally, the conversion (to PNG) depends on the
version of QuickTime® installed on your computer.
Flatten Bitmap To Maintain Appearance Rasterizes the image into a bitmap to preserve the appearance of blending
modes and effects that are not supported in Flash Pro. A rasterized image is no longer editable.
Create Movie Clip Imports Illustrator images as movie clips.
Group import options
Groups are collections of graphic objects that are treated as a single unit. Grouping lets you move or transform a
number of objects without affecting their attributes or relative positions. For example, you might group the objects in
a logo design so that you can move and scale the logo as one unit. Groups can also be nested. That is, they can be
grouped in other objects or groups to form larger groups.
Groups appear as <Group> items in the Import panel. When an item such as a group contains other items, a triangle
appears to the left of the item’s name. Click the triangle to show or hide the contents of the group. If no triangle
appears, the item contains no additional items.
Import As Bitmap Rasterizes the group into a bitmap to preserve the appearance of the objects as they appeared in
Illustrator. After a group is converted to a bitmap, the objects in it cannot be selected or renamed.
Create Movie Clip Encapsulates all objects in the group into a single movie clip.
Copy and pasting between Illustrator and Flash
If you copy and paste (or drag-and-drop) artwork between Illustrator and Flash Pro, the Paste dialog box appears,
which provides import settings for the AI file being copied (or pasted).
Paste As Bitmap Flattens the file being copied into a single bitmap object.
Paste Using AI File Importer Preferences Imports the file using the AI file import setting specified in Flash Pro
Preferences (Edit
> Preferences).
Apply Recommended Import Settings To Resolve Incompatibilities Enabled by default when Paste Using AI File
Importer Preferences is selected. Automatically fixes any incompatibilities detected in the AI file.
Maintain Layers Enabled by default when Paste Using AI File Importer Preferences is selected. Specifies that layers in
the AI file be converted to Flash Pro layers (the same as if you selected Convert To Flash Layers from the AI Import
dialog box). If deselected, all layers are flattened into a single layer.
Working with InDesign files in Flash
You can import InDesign artwork using the XFL file format exported from InDesign CS4, or the FLA file format
exported from InDesign CS5. For more information about the XFL file format, see “Opening XFL files” on page 40.
The following video tutorials demonstrate using the XFL and FLA formats to move content from InDesign to Flash Pro:
•How to import content from Adobe InDesign CS5 into Adobe Flash Professional CS5 (4:49, WonderHowTo.com,
exporting FLA format from InDesign for import to Flash Professional.)
•Understanding Flash Integration (5:10, Adobe TV, InDesign import.)
•Using InDesign Export to Flash (6:22, Adobe TV, Using XFL.)
•Design and develop workflows (4:49, Adobe TV, InDesign to Flash via XFL.)

81
USING FLASH PROFESSIONAL
Using imported artwork
Last updated 1/16/2012
•Flash Downunder - InDesign to Flash (28:38, Adobe TV, Comprehensive overview in CS4.)
•Design workflows with Creative Suite 4 (3:34, Adobe TV, InDesign, Illustrator, Flash)
Working with Photoshop PSD files in Flash
Working with Photoshop and Flash
You can use Adobe® Photoshop® and Adobe® Flash® together to create visually compelling web-based applications,
animations, or interactive messaging elements. Photoshop lets you create still images and artwork, providing a high
degree of creative control. Flash lets you bring those still images together and incorporate them into interactive
Internet content.
The Photoshop drawing and selection tools provide you with a greater degree of creative control than the tools found
in Flash. If you have to create complex visual images, or retouch photographs for use in interactive presentations, use
Photoshop to create your artwork, and then import the finished images into Flash.
Importing still images into Flash
Flash can import still images in many formats, but you usually use the native Photoshop PSD format when importing
still images from Photoshop into Flash.
When importing a PSD file, Flash can preserve many of the attributes that were applied in Photoshop, and provides
options for maintaining the visual fidelity of the image and further modifying the image. When you import a PSD file
into Flash, you can choose whether to represent each Photoshop layer as a Flash layer, individual keyframes, or a single,
flattened image. You can also encapsulate the PSD file as a movie clip.
Exchanging QuickTime movies
You can exchange QuickTime video files between Photoshop and Flash. For example, you can render a QuickTime
movie directly from Photoshop, and then import it into Flash, converting it into an FLV (Flash Video) file, which can
be played in Flash® Player.
When you use Photoshop to modify video footage, you can paint nondestructively on its frames. When you save a
Photoshop file with a video layer, you are saving the edits that you made to the video layer, not edits to the footage itself.
Note: When you import a QuickTime video file from Photoshop to Flash, use the Import Video dialog box (File > Import
Video). Using the Photoshop PSD import feature to import video only imports the first frame of a video file.
You can also export Flash documents as QuickTime video, and import them into Photoshop where you can paint non-
destructively on the video frames. For example, you can create an animated sequence in Flash, export the Flash
document as a QuickTime video, and then import the video into Photoshop.
Color
Flash works internally with colors in the RGB (red, green, blue) or HSB (hue, saturation, brightness) color space.
Although Flash can convert CMYK images to RGB, you should create Photoshop artwork in RGB. Before you import
CMYK artwork from Photoshop into Flash, convert the image to RGB in Photoshop.
More Help topics
“Import Photoshop PSD files” on page 83
“Export QuickTime” on page 460

82
USING FLASH PROFESSIONAL
Using imported artwork
Last updated 1/16/2012
About importing Photoshop PSD files
Flash Pro lets you import Photoshop PSD files and preserves most of your artwork's data. The PSD Importer also lets
you control how your Photoshop artwork is imported into Flash Pro, letting you specify how to import specific objects
in a PSD file, as well as specifying that the PSD file be converted to a Flash Pro movie clip.
The Flash Pro PSD Importer provides the following key features:
•PSD files imported into Flash Pro maintain their color fidelity from Photoshop.
•Preserves editability of blend modes that both Flash Pro and Photoshop have in common.
•Smart Objects in the PSD file are rasterized, and imported into Flash Pro as bitmaps which preserves object
transparency.
•Converts the PSD file layers to individual Flash Pro layers or keyframes or imports the PSD file as a single bitmap
image, in which case Flash Pro flattens (rasterizes) the file.
•Drag-and-drop from Photoshop to Flash Pro invokes the PSD file importer, letting you choose how to import your
Photoshop artwork.
Videos and tutorials
The following videos and tutorials demonstrate working with Photoshop and Flash Pro. Some videos show the Flash
Pro CS3 or CS4 workspace, but are still applicable to Flash Pro CS5.
•Video: Import Photoshop files to Flash (CS3) (7:01)
•Video: Designing websites with Photoshop and Flash (CS3) (6:01)
•Blog: Want to create Photoshop apps with AIR, Flash, and AS3? (Daniel Koestler, Adobe)
Compatibility between Flash and Photoshop
Certain visual attributes can either not be accurately imported, or, after they are imported, lose their ability to be
further edited in the Flash Pro authoring environment. The PSD Importer provides you with several options to import
and place artwork to best maintain its visual appearance and editability. However, certain visual attributes cannot be
preserved. Use the following guidelines to improve the appearance of PSD files imported into Flash Pro:
•Flash Pro supports only the RGB color space, and not the CMYK color space, which is common in printing. Flash
Pro can convert CMYK images to RGB; however, colors are better preserved if you convert CMYK colors to RGB
in Photoshop.
•Flash Pro can import the following Photoshop blend modes, and maintain their editability: Normal, Darken,
Multiply, Lighten, Screen, Hard Light, Difference, and Overlay.
If you use a blend mode that Flash Pro does not support, you can rasterize the layer to maintain its visual
appearance, or remove the blend mode from the layer.
•Flash Pro cannot import Photoshop Smart Objects as editable objects. To preserve the visual attributes of Smart
Objects, they are rasterized and imported into Flash Pro as bitmaps.
•Flash Pro can only import the first frame of Photoshop Video layers.
•Image and Fill layers are always rasterized when imported into Flash Pro.
•PNG objects in Photoshop are converted to JPG files when imported into Flash Pro. Transparency in the original
PNG is preserved in the resulting JPG file.
•Photoshop does a better job of scaling bitmap images than Flash Pro. If you know that you plan to scale a bitmap
that is coming from Photoshop into Flash Pro, scale the bitmap in Photoshop before importing it into Flash Pro.

83
USING FLASH PROFESSIONAL
Using imported artwork
Last updated 1/16/2012
•When importing objects containing transparent areas as flattened bitmaps, any objects on the layers behind the
transparent portion of the object will be visible through the transparent area—assuming the objects behind the
object containing transparency are also being imported. To prevent this, import only the transparent object as a
flattened bitmap.
To import multiple layers and maintain transparency without having any visible remnants of the layers behind the
transparency, import the PSD file using the Bitmap Image With Editable Layer Styles option. This will encapsulate
the imported objects as a movie clip, and use the movie clip's transparency. This is particularly useful if you need
to animate the different layers in Flash Pro.
Import Photoshop PSD files
Photoshop format (PSD) is the default Photoshop file format. Flash Pro can directly import PSD files and preserve
many Photoshop features, retaining the image quality and editability of the PSD file in Flash Pro. You can also flatten
PSD files when importing them, creating a single bitmap image file that retains the image’s visual effects but removes
the hierarchical layer information native to the PSD file format.
For a video tutorial about designing websites with Photoshop and Flash Pro, see www.adobe.com/go/vid0201.
The PSD Import dialog box
A. Layers in the PSD file being imported B. Import options available for the selected layer or object
1Select File > Import To Stage or Import To Library.
2Navigate to the Adobe Photoshop PSD file to import, select it, and click OK.
3(Optional) In the PSD Import dialog box, select layers, groups, and individual objects and choose how to import
each item.
4For Convert Layers To, select one of the following:
Flash Layers All selected layers in the Select Photoshop layers list are placed on their own layer. Each layer is labeled
with the name of the layer in the Photoshop file. The layers in Photoshop are objects on the individual layers. The
objects also have the name of the layer in Photoshop when put into the Library panel.
Keyframes All selected layers in the Select Photoshop layers list are placed in individual keyframes on a new layer. The
new layer is named for the Photoshop file (for example, myfile.psd). The layers in Photoshop become objects on the
individual keyframes. The objects also have the name of the layer in Photoshop when put into the Library panel.
B
A

84
USING FLASH PROFESSIONAL
Using imported artwork
Last updated 1/16/2012
5For the remaining options, select from the following:
Place Layers At Original Position The contents of the PSD file retain the exact position that they had in Photoshop. For
example, if an object was positioned at X
= 100 Y = 50 in Photoshop, it assumes the same coordinates on the Flash Pro
Stage.
If this option is not selected, the imported Photoshop layers are centered on the Stage. The items in the PSD file remain
relative to each other when imported; however, all objects are centered as one block in the current view. This feature
can be useful if you are zoomed in to an area of the Stage and are importing a specific object for that area of the Stage.
If you imported the object using the original coordinates, you might not see it imported, because it might be placed
outside of the current stage view.
Note: When you import the PSD file to the Flash Pro library, this option is not available.
Set Stage Size To Same Size As Photoshop Canvas The Flash Pro Stage size resizes to the same size as the Photoshop
document size (or active crop area) used to create the PSD file. This option is not selected by default.
Note: When you import the PSD file to the Flash Pro library, this option is not available.
6Click OK.
Importing PSD files to the Flash library
Importing a PSD file into the library is similar to importing to the Stage. When you import a PSD file into the library,
the root folder uses the name of the PSD file. After the PSD file is imported into the library, you can change the name
of the root folder, or move the layers out of the folder.
Note: The library orders the contents of the imported PSD file alphabetically. The hierarchical grouping and folder
structure remains the same, but the library reorders them alphabetically.
A movie clip is created that contains all of the content of the PSD file imported to its timeline, as if the content were
imported to the Stage. Almost all movie clips have a bitmap or other asset associated with them. To minimize
confusion and naming conflicts, these assets are stored in an Assets folder in the same folder as the movie clip.
Note: When you import to the library, the PSD file's contents are imported to the movie clip's timeline, not the main Flash
timeline.
Photoshop Import options
When you import a Photoshop PSD file that contains multiple layers, you can set the following options:
Layer Comp If the Photoshop file contains layer comps, you can specify which version of the image to import. A layer
comp is a snapshot of a state of the Photoshop Layers palette. Layer comps record three types of layer options, all of
which are imported into Flash Pro:
•Layer visibility: whether a layer is displayed or hidden.
•Layer position in the document.
•Layer appearance: whether a layer style is applied to the layer and the layer’s blending mode.
If no layer comps are present, this pop-up menu is hidden. Flash Pro supports all aspects of the layer comp’s fidelity,
including visibility, position, and layer style.
Select Photoshop Layers Lists all layers, groups, and layer effects in an image. To select which layers to import, use the
options to the left of the layer’s thumbnail. By default, all layers visible in Photoshop are checked and invisible layers
are not checked.

85
USING FLASH PROFESSIONAL
Using imported artwork
Last updated 1/16/2012
Note: Adjustment layers do not have a compatible layer type in Flash Pro. For this reason, when importing as a flattened
bitmap, the visual effect of the adjustment layer is applied to maintain the appearance of the Photoshop layer being
imported. If you’ve selected other import options, the adjustment layers will not be applied.
Merge Layers Merge (or collapse) two or more layers into a single bitmap, and then import the resulting single bitmap
object rather than individual objects. You can only merge layers that are on the same level and the selection must be
contiguous. For example, you cannot select an item inside a folder and an item outside a folder and merge them.
Instead, select the folder and the item outside the folder to merge them. You cannot Control-click individual items that
are out of sequence and merge them.
Note: If you select a merged bitmap object, the Merge Layers button changes to the Separate button. To separate any
merged bitmap objects you create, select the resulting single bitmap, and click the Separate button.
Importing text objects
Text objects are text layers in Photoshop. Choose how to import text into Flash Pro.
Editable Text Creates an editable text object from the text on the selected Photoshop layer. The appearance of the text
might be compromised to maintain the editability of the text. If you import the text as a movie clip, the movie clip
contains an editable text object.
Note: When importing editable text into the library, it must be inside a movie clip. Only movie clips, bitmaps, and graphic
symbols can be stored in the library. When Editable Text is selected as an option for a text layer being imported into the
library, it is automatically imported as a graphic symbol.
Vector Outlines Converts text to vector paths to preserve the visual appearance of the text. The text itself is no longer
editable, but opacity and compatible blend mode maintain their editability. If this option is selected, the object must
be converted to a movie clip.
Flattened Bitmap Image Rasterizes the text into a bitmap to preserve the exact appearance of the text layer in
Photoshop. Rasterized text is no longer editable.
Note: When importing text on a path you must import it as a flattened bitmap image to preserve the visual fidelity of the
object.
Importing shape objects
A Shape Layer object is an object that was originally a shape layer in Photoshop or an image layer with a vector clipping
mask on it.
Editable Paths And Layer Styles Creates an editable vector shape with a bitmap clipped inside the vector. Supported
blend modes, filters, and opacity are maintained. Unsupported blend modes that cannot be reproduced in Flash Pro
are removed. The object must be converted to a movie clip.
Flattened Bitmap Image Rasterizes the shape into a bitmap to preserve the exact appearance of the shape layer in
Photoshop. A rasterized image is no longer editable.
Importing image or fill layers
If the image or fill layer is associated with a vector mask, it is treated as a shape layer object.
Bitmap Image With Editable Layer Styles Creates a movie clip with a bitmap inside. Supported blend modes, filters,
and opacity are maintained. Unsupported blend modes that cannot be reproduced in Flash Pro are removed. The
object must be converted to a movie clip.
Flattened Bitmap Image Rasterizes the image into a bitmap to preserve the exact appearance of the image or fill layer
in Photoshop.

86
USING FLASH PROFESSIONAL
Using imported artwork
Last updated 1/16/2012
Importing merged bitmap objects and objects in a merged bitmap
A merged bitmap is an object that contains more than one Photoshop layer that is flattened (or merged) into a single
bitmap when imported into Flash Pro. Objects in a merged bitmap represent layers in Photoshop. To create a merged
bitmap, select two or more layers, and select the Merge Layers button.
Importing multiple objects of different types
If you import multiple objects of different types, Flash Pro only lets you import the selected objects with the import
options they share in common, such as Create Movie Clip and Registration.
Importing multiple objects of the same type
If you import multiple objects of the same type, the import options displayed are the same as if a single object of that
type was selected. If the objects do not share the same attributes, the import options displayed are in an indeterminate
state, and your results may not be as expected.
Importing a Group folder
When you import a group folder, you can import it as a movie clip, or place each layer in the group on its own layer
or keyframe on the timeline.
If you select Import As Movie Clip, each layer in the group folder is placed on a layer in a movie clip, which is then
placed on its own layer or keyframe on the timeline. The movie clip uses the same name as that group folder had in
Photoshop, and if you import the movie clip to a Flash Pro layer, the layer uses the same name.
If you do not place the group in a movie clip, each layer is converted to the type that is currently set for it, and each
layer in the group is imported to its own Flash Pro layer. The Flash Pro layers are named for the individual layers in
the PSD file.
Importing and merging layers
The PSD Importer lets you merge two or more layers into a merged bitmap that is imported as a single bitmap file
rather than individual objects.
The layers you select to create a merged bitmap must be a continuous range of two or more layers at the same level.
For example, you cannot select one layer inside a group and a layer outside that group, and merge them. Instead, you
must select the entire group and the separate layer.
Setting publish options
The publish settings in the PSD Importer let you specify the degree of compression and document quality to apply to
the image when publishing the Flash Pro document as a SWF file. These settings take effect only when you publish the
document as a SWF file and have no effect on the image when you import it to the Flash Pro Stage or library.
Compression Lets you choose either lossy or lossless compression formats:
•Lossy Lossy (JPEG) compresses the image in JPEG format. To use the default compression quality specified for the
imported image, select Use Publish Setting. To specify a new quality compression setting, select the Custom option
and enter a value between 1 and 100 in the Quality text field. (A higher setting preserves greater image integrity but
yields a larger file size.)
•Lossless Lossless (PNG/GIF) compresses the image with lossless compression, in which no data is discarded from
the image.
Note: Use lossy compression for images with complex color or tonal variations, such as photographs or images with
gradient fills. Use lossless compression for images with simple shapes and relatively few colors.

87
USING FLASH PROFESSIONAL
Using imported artwork
Last updated 1/16/2012
Calculate Bitmap Size Determines the number of bitmaps that are created for a given layer based on your import
selections and the compressed size in kilobytes of the resulting bitmaps on the layer. For example, if you select a layer
with a drop shadow and a blur and maintain layer styles, the Calculate Bitmap Size information states that three
bitmaps will result from the import—one for each filter effect and another for the image itself. To calculate the size of
all the bitmaps to be imported, select all of the layers and click Calculate Bitmap Size.
Photoshop file importer preferences
The Flash Preferences dialog box lets you set import preferences for Photoshop PSD files. The preferences you specify
for importing PSD files affect the options the PSD Import dialog box is initially populated with for the Photoshop layer
types.
Note: To override the preferences specified for different layer types on an object by object basis, use the PSD Import dialog
box. Select the layer to change import options for, and specify the necessary options.
More Help topics
“Set preferences in Flash” on page 32
Import Image Layers Preferences
These options specify how the import options for image layers will initially be set. You can import image layers as any
of the following:
Bitmap Images With Editable Layer Styles Creates a movie clip with a bitmap nested inside. Specifying this option
maintains supported blend modes and opacity, but other visual attributes that cannot be reproduced in Flash will be
removed. If this option is selected, the object must be converted into a movie clip.
Flattened Bitmap Images Rasterizes any text into a flattened bitmap image to maintain the exact appearance the text
layer had in Photoshop.
Create Movie Clips Specifies that the image layers be converted to movie clips when imported into Flash. This option
can be changed in the PSD Import dialog box on a layer by layer basis if you do not want all of the image layers to be
converted to movie clips.
Text layer import preferences
These options specify how the import options for text layers will initially be set.
Editable Text
Creates an editable text object from the text on the Photoshop text layer. The appearance of the text will be
sacrificed to maintain the editability of the text. If this option is selected, the object must be converted into a movie clip.
Vector Outlines Vectorizes the text into paths. The appearance of the text may be altered, but visual attributes will be
maintained. If this option is selected, the object must be converted into a movie clip.
Flattened Bitmap Images Rasterize the text to maintain the exact appearance the text layer had in Photoshop.
Create Movie Clips Automatically converts the text layer to a movie clip when imported into Flash. This option can be
changed in the PSD Import dialog box on an object by object basis if you do not want all of the text layers to be
converted to movie clips. This option is required when either Editable Text or Vector Outlines is selected.
Shape layer import preferences
These options specify how the import options for shape layers will initially be set.
Editable Paths And Layer Styles This option will create an editable vector shape with a bitmap clipped inside the
vector shape. Supported blend modes and opacity will also be maintained with this option, but other visual attributes

88
USING FLASH PROFESSIONAL
Using imported artwork
Last updated 1/16/2012
that cannot be reproduced in Flash will be sacrificed. If this option is selected, then the object must be converted into
a movie clip.
Flattened Bitmap Images This option will rasterize the shape and maintain the exact appearance the shape layer had
in Photoshop.
Create Movie Clips This option will set the shape layers to be converted to a movie clip when imported into Flash. This
option can be changed on an object by object basis if you do not want some shape layers to be converted to movie clips.
This option is disabled if the Maintain Editable Paths and Layers Styles checkbox is checked.
Layer group import preferences
This option specifies how the options for layer groups will initially be set.
Create Movie Clips Specifies that all groups be converted to a movie clip when imported into Flash. This can be
changed on an object by object basis if you do not want some layer groups to be movie clips.
Merged bitmap import preferences
This option specifies how the import options for merged bitmaps will initially be set.
Create Movie Clips This option will set the merged bitmaps to be converted to a movie clip when imported into Flash.
This option can be changed on an object by object basis if you do not want some merged bitmaps to be converted to
movie clips. This option is disabled if the Maintain Editable Paths And Layers Styles checkbox is checked.
Movie clip registration import preferences
Specifies a global registration point for movies that are created. This setting applies to the registration point for all
object types. This option can be changed on an object by object basis in the PSD Import dialog box; this is the initial
setting for all object types. For more information on movie clip registration, see “Edit symbols” on page 153.
Publish settings for imported images
The publish settings preferences for a FLA file let you specify the degree of compression and document quality to apply
to images when publishing the Flash Pro document as a SWF file. These settings take effect only when you publish the
document as a SWF file, and have no effect on the image when you import it to the Flash Pro stage or library.
Compression Lets you choose either lossy or lossless compression formats:
•Lossy Lossy (JPEG) compresses the image in JPEG format. To use the default compression quality specified for the
imported image, select Use Publish Setting. To specify a new quality compression setting, select the Custom option
and enter a value between 1 and 100 in the Quality text field. (A higher setting preserves greater image integrity but
yields a larger file size.)
•Lossless Lossless (PNG/GIF) compresses the image with lossless compression, in which no data is discarded from
the image.
Note: Use lossy compression for images with complex color or tonal variations, such as photographs or images with
gradient fills. Use lossless compression for images with simple shapes and relatively few colors.
Quality Lets you set a quality level for the comression.
•Use Publish Setting Applies the current JPEG Quality setting from the Publish Settings.
•Custom Lets you specify a separate specific quality setting.

89
Last updated 1/16/2012
Chapter 5: Creating and Editing Artwork
Drawing in Flash
About drawing
The drawing tools in Adobe® Flash® Professional CS5 let you create and modify lines and shapes for the artwork in
your documents. The lines and shapes you create in Flash Pro are all lightweight vector graphics, which help keep your
FLA file size small.
Before you draw and paint in Flash Pro, it is important to understand how Flash Pro creates artwork, and how drawing,
painting, and modifying shapes can affect other shapes on the same layer.
The following video tutorials demonstrate how to use the drawing tools in Flash Pro. Some videos may show the Flash
Pro CS3 or CS4 workspace, but are still applicable to Flash Pro CS5.
•Using the drawing tools (1:55)
•Using the drawing tools (CS3) (5:03)
•Object and merge drawing (2:09)
Vector and bitmap graphics
Computers display graphics in either vector or bitmap format. Understanding the difference between the two formats
helps you work more efficiently. Using Flash Pro, you can create and animate compact vector graphics. Flash Pro also
imports and manipulates vector and bitmap graphics that were created in other applications.
Vector graphics
Vector graphics describe images by using lines and curves, called vectors, that also include color and position
properties. For example, the image of a leaf is described by points through which lines pass, creating the leaf’s outline.
The color of the leaf is determined by the color of the outline and the color of the area enclosed by the outline.
Lines in vector art.
When you edit a vector graphic, you modify the properties of the lines and curves that describe its shape. Move, resize,
reshape, and change the color of a vector graphic without changing the quality of its appearance. Vector graphics are
resolution independent; that is, they can be displayed on output devices of varying resolutions without losing any
quality.

90
USING FLASH PROFESSIONAL
Creating and Editing Artwork
Last updated 1/16/2012
Bitmap graphics
Bitmap graphics describe images using colored dots, called pixels, arranged in a grid. For example, the image of a leaf
is described by the specific location and color value of each pixel in the grid, creating an image in much the same
manner as a mosaic.
Pixels in bitmap art.
When you edit a bitmap graphic, you modify pixels rather than lines and curves. Bitmap graphics are resolution
dependent, because the data describing the image is fixed to a grid of a particular size. Editing a bitmap graphic can
change the quality of its appearance. In particular, resizing a bitmap graphic can make the edges of the image ragged
as pixels are redistributed within the grid. Displaying a bitmap graphic on an output device that has a lower resolution
than the image itself also degrades its quality.
Paths
Whenever you draw a line or shape in Flash, you create a line called a path. A path is made up of one or more straight
or curved segments. The beginning and end of each segment is denoted by anchor points, which work like pins holding
a wire in place. A path can be closed (for example, a circle), or open, with distinct endpoints (for example, a wavy line).
You change the shape of a path by dragging its anchor points, the direction points at the end of direction lines that
appear at anchor points, or the path segment itself.
Components of a path
A. Selected (solid) endpoint B. Selected anchor point C. Unselected anchor point D. Curved path segment E. Direction point F. Direction line.
Paths can have two kinds of anchor points: corner points and smooth points. At a corner point, a path abruptly changes
direction. At a smooth point, path segments are connected as a continuous curve. You can draw a path using any
combination of corner and smooth points. If you draw the wrong type of point, you can always change it.
A
B
D
C
F
E

91
USING FLASH PROFESSIONAL
Creating and Editing Artwork
Last updated 1/16/2012
Points on a path
A. Four corner points B. Four smooth points C. Combination of corner and smooth points.
A corner point can connect any two straight or curved segments, while a smooth point always connects two curved
segments.
A corner point can connect both straight segments and curved segments.
Note: Don’t confuse corner and smooth points with straight and curved segments.
A path outline is called a stroke. A color or gradient applied to an open or closed path interior area is called a fill. A
stroke can have weight (thickness), color, and a dash pattern. After you create a path or shape, you can change the
characteristics of its stroke and fill.
Direction lines and direction points
When you select an anchor point that connects curved segments (or select the segment itself), the anchor points of the
connecting segments display direction handles, which consist of direction lines that end in direction points. The angle
and length of the direction lines determine the shape and size of the curved segments. Moving the direction points
reshapes the curves. Direction lines don’t appear in the final output.
After selecting an anchor point (left), direction lines appear on any curved segments connected by the anchor point (right).
A smooth point always has two direction lines, which move together as a single, straight unit. When you move a
direction line on a smooth point, the curved segments on both sides of the point are adjusted simultaneously,
maintaining a continuous curve at that anchor point.
In comparison, a corner point can have two, one, or no direction lines, depending on whether it joins two, one, or no
curved segments, respectively. Corner point direction lines maintain the corner by using different angles. When you
move a direction line on a corner point, only the curve on the same side of the point as that direction line is adjusted.
A B C

92
USING FLASH PROFESSIONAL
Creating and Editing Artwork
Last updated 1/16/2012
Adjusting direction lines on a smooth point (left) and a corner point (right).
Direction lines are always tangent to (perpendicular to the radius of) the curve at the anchor points. The angle of each
direction line determines the slope of the curve, and the length of each direction line determines the height, or depth,
of
the curve.
Moving and resizing direction lines changes the slope of curves.
Drawing modes and graphic objects
In Flash Pro, you can create several different kinds of graphic objects by using different drawing modes and drawing
tools. Each kind has its own advantages and disadvantages. By understanding the capabilities of the different graphic
object types, you can make good decisions about which types of objects to use in your work.
Note: In Flash Pro, graphic objects are items on the Stage. Flash lets you move, copy, delete, transform, stack, align, and
group graphic objects. “Graphic objects” in Flash are different from “ActionScript objects,” which are part of the
ActionScript® programming language. Do not confuse the two uses of the term “objects.” For more information on objects
in the programming language, see About Data Types in Learning ActionScript 2.0 in Adobe Flash, or Data types in the
ActionScript 3.0 Developer’s Guide.
The following video tutorials demonstrate the drawing modes in Flash Pro. Some videos show the Flash Pro CS3 or
CS4 workspace, but are still applicable to Flash Pro CS5.
•Object and merge drawing (2:09)
•Using the drawing tools (CS3) (5:03)
Merge Drawing mode
The default drawing mode automatically merges shapes that you draw when you overlap them. When you draw shapes
that overlap each other in the same layer, the top-most shape cuts away the part of the shape underneath it that it
overlaps. In this way, drawing shapes is a destructive drawing mode. For example, if you draw a circle and overlay a
smaller circle on top of it, and then select the smaller circle and move it, the portion of the second circle that overlaid
the first circle is removed.
When a shape has both a stroke and a fill, they are considered separate graphic elements that can be selected and moved
independently.

93
USING FLASH PROFESSIONAL
Creating and Editing Artwork
Last updated 1/16/2012
Shapes created with the Merge Drawing mode merge together when they overlap. Selecting a shape and moving it results in the overlaid shape
being altered.
Enter Merge Drawing mode
1Select the Merge Drawing option in the Tools panel.
2Select a drawing tool from the Tools panel and draw on the Stage
Note: By default, Flash Pro uses the Merge Drawing mode.
Object Drawing mode
Creates shapes referred to as drawing objects. Drawing objects are separate graphic objects that do not automatically
merge together when overlaid. This lets you overlap shapes without altering their appearance if you move them apart,
or rearrange their appearance. Flash Pro creates each shape as a separate object that you can individually manipulate.
When a drawing tool is in Object Drawing mode, the shapes you create with it are self-contained. The stroke and fill
of a shape are not separate elements, and shapes that overlap do not alter one another. When you select a shape created
using Object Drawing mode, Flash Pro surrounds the shape with a rectangular bounding box to identify it.
Note: Set preferences for contact sensitivity when selecting shapes created using the Object Drawing mode.
Shapes created with the Object Drawing mode remain separate objects that you can manipulate individually.

94
USING FLASH PROFESSIONAL
Creating and Editing Artwork
Last updated 1/16/2012
Enter Object Drawing mode
To draw shapes using Object Drawing mode, you must explicitly enable it.
1Select a drawing tool that supports Object Drawing mode (the Pencil, Line, Pen, Brush, Oval, Rectangle, and
Polygon tools).
2Select the Object Drawing button from the Options category of the Tools panel, or press the J key to toggle
between the Merge and Object Drawing modes. The Object Drawing button toggles between the Merge and Object
Drawing modes. You can set preferences for contact sensitivity when you select shapes created with Object
Drawing mode.
3Draw on the Stage.
Convert a Merge Drawing mode created shape to an Object Drawing mode shape
1Select the shape on the Stage.
2To convert the shape into an Object Drawing mode shape, select Modify > Combine Objects > Union. After
conversion, the shape is treated like a vector-based drawing object that does not alter its appearance by interacting
with other shapes.
Note: To join two or more shapes into a single, object-based shape, use the Union command.
Primitive objects
Primitive objects are shapes that let you adjust their characteristics in the Property inspector. You can precisely control
the size, corner radius, and other properties of the shape at any time after you have created it without having to draw
it from scratch.
Two types of primitives are available, rectangles and ovals.
1Select the Rectangle Primitive Tool or Oval Primitive Tool from the Tools panel.
2Draw on the Stage.
Overlapping shapes
When you draw a line across another line or painted shape in Merge Drawing mode, the overlapping lines are divided
into segments at the intersection points. To select, move, and reshape each segment individually, use the Selection tool.
A fill; the fill with a line drawn through it; and the three line segments created by segmentation.
When you paint on top of shapes and lines, the portion underneath is replaced by whatever is on top. Paint of the same
color merges together. Paint of different colors remains distinct. To create masks, cutouts, and other negative images,
use these features. For example, the following cutout is made by moving the ungrouped kite image onto the green
shape, deselecting the kite, and then moving the filled portions of the kite away from the green shape.

95
USING FLASH PROFESSIONAL
Creating and Editing Artwork
Last updated 1/16/2012
Making a cutout with the kite image.
To avoid inadvertently altering shapes and lines by overlapping them, group the shapes or use layers to separate them.
More Help topics
“Group objects” on page 126
“Create and organize layers” on page 181
Drawing preferences
Set drawing settings to specify snapping, smoothing, and straightening behaviors. Change the tolerance setting for
each option, and turn each option off or on. Tolerance settings are relative, depending on the resolution of your
computer screen and the current magnification of the scene. By default, each option is on and set to Normal tolerance.
Drawing settings
1Select Edit > Preferences (Windows) or Flash > Preferences (Macintosh) and select Drawing.
2Under the Drawing category, select from the following options:
Pen tool Lets you set options for the Pen tool. Select Show Pen Preview to display a preview line from the last clicked
point to the current location of the pointer. Select Show Solid Points to display control points as small filled squares
instead of unfilled squares. Select Show Precise Cursors to display a crosshair cursor instead of the Pen tool icon when
using the Pen tool. This option lets you see the exact target of clicks more easily.
Connect Lines Determines how close the end of a line being drawn must be to an existing line segment before the end
point snaps to the nearest point on the other line. This setting also controls horizontal and vertical line recognition—
that is, how nearly horizontal or vertical a line must be drawn before Flash Pro makes it exactly horizontal or vertical.
When Snap To Objects is turned on, this setting controls how close objects must be to snap to one another.
Smooth Curves Specifies the amount of smoothing applied to curved lines drawn with the Pencil tool when the
drawing mode is set to Straighten or Smooth. (Smoother curves are easier to reshape, whereas rougher curves match
the original line strokes more closely.)
Note: To further smooth existing curved segments, use Modify > Shape > Smooth and Modify > Shape > Optimize.
Recognize Lines Defines how nearly straight a line segment drawn with the Pencil tool must be before Flash Pro
recognizes it as a straight line and makes it perfectly straight. If Recognize Lines is off while you draw, straighten lines
later by selecting one or more line segments and selecting Modify
> Shape > Straighten.

96
USING FLASH PROFESSIONAL
Creating and Editing Artwork
Last updated 1/16/2012
Recognize Shapes Controls how precisely to draw circles, ovals, squares, rectangles, and 90° and 180° arcs for them to
be recognized as geometric shapes and redrawn accurately. The options are Off, Strict, Normal, and Tolerant. Strict
requires that the shape be drawn very close to straight; Tolerant specifies that the shape can be somewhat rough, and
Flash redraws the shape. If Recognize Shapes is off while you draw, straighten lines later by selecting one or more
shapes (for example, connected line segments) and selecting Modify
> Shape > Straighten.
Click Accuracy Specifies how close to an item the pointer must be before Flash Pro recognizes the item.
Selection, Subselection, and Lasso tool contact options
Specify the Selection, Subselection, and Lasso tool contact-sensitivity options when you create shapes using Object
Drawing mode. By default, objects are only selected when the tool’s marquee rectangle completely surrounds the
object. Deselecting this option selects entire objects when they are only partially enclosed by the selection marquee of
the Selection, Subselection, or Lasso tools.
1Select Edit > Preferences (Windows) or Flash > Preferences (Macintosh).
2In the General category, do one of the following:
•To select only objects and points that are completely enclosed by the selection marquee, deselect Contact-Sensitive
Selection and Lasso tools. Points that lie within the selection area are still selected.
•To select objects or groups that are only partially enclosed by the selection marquee, select Contact-Sensitive
Selection and Lasso tools.
Note: The Subselection tools use the same contact-sensitive setting.
Draw simple lines and shapes
The following video tutorials demonstrate how to use the drawing tools in Flash Pro. Some videos may show the Flash
Pro CS3 or CS4 workspace, but are still applicable to Flash Pro CS5.
•Using the drawing tools (1:55)
•Using the drawing tools (CS3) (5:03)
•Object and merge drawing (2:09)
Draw straight lines with the Line Segment tool
To draw one straight line segment at a time, use the Line tool.
1Select the Line tool .
2Select Window > Properties and select stroke attributes.
Note: You cannot set fill attributes for the Line tool.
3Click the Object Drawing button in the Options section of the Tools panel to select either Merge or Object
Drawing mode. When the Object Drawing button is depressed, the Line tool is in Object Drawing mode.
4Position the pointer where the line is to begin, and drag to where the line is to end. To constrain the angle of the
line to multiples of 45°, Shift-drag.

97
USING FLASH PROFESSIONAL
Creating and Editing Artwork
Last updated 1/16/2012
More Help topics
“Adjust Stroke and Fill color” on page 136
“Drawing modes and graphic objects” on page 92
Draw rectangles and ovals
The Oval and Rectangle tools let you create these basic geometric shapes, and apply strokes, fills, and specify rounded
corners. In addition to the Merge and Object drawing modes, the Oval and Rectangle tools also provide the Primitive
Object drawing mode.
When you create rectangles or ovals using the Rectangle Primitive or Oval Primitive tools, Flash draws the shapes as
separate objects not unlike the shapes you create using Object Drawing mode. The primitive shape tools let you specify
the corner radius of rectangles, and the start and end angle and the inner radius of ovals using controls in the Property
inspector. After you create a primitive shape, alter the radius and dimensions by selecting the shape on the Stage and
adjusting the controls in the Property inspector.
Note: When either of the Primitive Object drawing tools is selected, the Property inspector retains the values of the last
primitive object that you edited. For example, if you modify a rectangle and then draw a second rectangle.
More Help topics
“Adjust Stroke and Fill color” on page 136
Draw rectangle primitives
1To select the Rectangle Primitive tool, click and hold the mouse button on the Rectangle tool , and select the
Rectangle Primitive tool from the pop-up menu.
2To create a rectangle primitive, drag with the Rectangle Primitive tool on the Stage.
Note: To change the corner radius while dragging with the Rectangle primitive tool, press the Up Arrow key or Down
Arrow key. When the corners achieve the desired roundness, release the key.
3With the rectangle primitive selected, you can use the controls in the Property inspector to further modify the shape
or specify fill and stroke colors.

98
USING FLASH PROFESSIONAL
Creating and Editing Artwork
Last updated 1/16/2012
Properties for a rectangle primitive.
Theses Property inspector controls are specific to the Rectangle Primitive tool:
Rectangle Corner Radius Controls Let you specify the corner radiuses for the rectangle. You can enter a numeric
value for the inner radius in each text box. Entering a negative value creates an inverse radius. You can also deselect
the constrain corner radius icon, and adjust each corner radius individually.
Reset Resets all of the Rectangle Primitive tool controls, and restores the rectangle primitive shape drawn on the Stage
to its initial size and shape.
4To specify a different corner radius for each corner, deselect the Lock icon in the Rectangle Options area of the
Property inspector. When locked, the radius controls are restrained so that each corner uses the same radius.
5To reset the corner radii, click the Reset button in the Property inspector.
Draw oval primitives
1Click and hold the mouse button on the Rectangle tool , and select the Oval Primitive tool .
2To create an oval primitive, drag the Primitive Oval tool on the Stage. To constrain the shape to a circle, Shift-drag.
3With the oval primitive selected on the Stage, you can use the controls found in the Property inspector to further
modify the shape or specify fill and stroke colors.

99
USING FLASH PROFESSIONAL
Creating and Editing Artwork
Last updated 1/16/2012
Properties for an oval primitive.
These Property inspector controls are specific to the Oval Primitive tool:
Start Angle/End Angle The angle of the start point and end point of the oval. Using these controls, you can easily
modify the shape of ovals and circles into pie slices, half circles, and other creative shapes.
Inner Radius An inner radius (or oval) within the oval. You can either enter a numeric value for the inner radius in
the box or click the slider and interactively adjust the size of the inner radius. You can enter values from 0 to 99
representing the percentage of fill that is removed.
Close Path Determines whether the path (or paths, if you are specifying an inner radius) of the oval is closed. If you
specify an open path, no fill is applied to the resulting shape, only the stroke is drawn. Close Path is selected by default.
Reset Resets all of the Oval Primitive tool controls and restores the oval primitive shape drawn on the Stage to its initial
size and shape.
Draw ovals and rectangles
The Oval and Rectangle tools create these basic geometric shapes.
1To select the Rectangle tool or Oval tool , click and hold the mouse button on the Rectangle tool and drag.
2To create a rectangle or oval, drag the Rectangle or Oval tool on the Stage.
3For the Rectangle tool, specify rounded corners by clicking the Round Rectangle modifier and entering a corner
radius value. A value of zero (0) creates square corners.
4Drag on the Stage. If you are using the Rectangle tool, press the Up Arrow and Down Arrow keys while dragging
to adjust the radius of rounded corners.
For the Oval and Rectangle tools, Shift-drag to constrain the shapes to circles and squares.
5To specify a specific size of oval or rectangle, select the Oval or Rectangle tool and press the Alt key (Windows) or
Option key (Macintosh). Then click the Stage to display the Oval And Rectangle Settings dialog box.
•For ovals, specify the width and height in pixels and whether to draw the oval from the center.

100
USING FLASH PROFESSIONAL
Creating and Editing Artwork
Last updated 1/16/2012
•For rectangles, specify the width and height in pixels, the radius of the rounded corners, and whether to draw the
rectangle from the center.
Draw polygons and stars
1Select the PolyStar tool by clicking and holding the mouse button on the Rectangle tool and selecting from the
pop-up menu that appears.
2Select Window > Properties and select fill and stroke attributes.
3Click Options and do the following:
•For Style, select Polygon or Star.
•For Number Of Sides, enter a number from 3 through 32.
•For Star Point Size, enter a number from 0 through 1 to specify the depth of the star points. A number closer to 0
creates deeper points (like needles). If you are drawing a polygon, leave this setting unchanged. (It does not affect
the polygon shape.)
4Click OK.
5Drag on the Stage.
Draw with the Pencil tool
To draw lines and shapes, use the Pencil tool, in much the same way that you use a real pencil to draw. To apply
smoothing or straightening to the lines and shapes as you draw, select a drawing mode for the Pencil tool.
1Select the Pencil tool .
2Select Window > Properties and select a stroke color, line weight, and style.
3Select a drawing mode under Options in the Tools panel:
•To draw straight lines and convert approximations of triangles, ovals, circles, rectangles, and squares into these
common geometric shapes, select Straighten
.
•To draw smooth curved lines, select Smooth .
•To draw freehand lines with no modification applied, select Ink .
Lines drawn with Straighten, Smooth, and Ink mode, respectively.
4
To draw with the Pencil tool, Shift-drag to constrain lines to vertical or horizontal directions, click the Stage, and drag.
Paint with the Brush tool
The Brush tool draws brush-like strokes. It creates special effects, including calligraphic effects. Select a brush size
and shape using the Brush tool modifiers.

101
USING FLASH PROFESSIONAL
Creating and Editing Artwork
Last updated 1/16/2012
Brush size for new strokes remains constant even when you change the magnification level for the Stage, so the same
brush size appears larger when the Stage magnification is lower. For example, suppose you set the Stage magnification
to 100% and paint with the Brush tool using the smallest brush size. Then, you change the magnification to 50% and
paint again using the smallest brush size. The new stroke that you paint appears 50% thicker than the earlier stroke.
(Changing the magnification of the Stage does not change the size of existing brush strokes.)
Use an imported bitmap as a fill when painting with the Brush tool. See “Break apart groups and objects” on page 127.
If you have a Wacom pressure-sensitive tablet connected to your computer, vary the width and angle of the brush
stroke by using the Brush tool Pressure and Tilt modifiers, and varying pressure on the stylus.
The Pressure modifier varies the width of brush strokes when you vary the pressure on the stylus. The Tilt modifier
varies the angle of brush strokes when you vary the angle of the stylus on the tablet. The Tilt modifier measures the
angle between the top (eraser) end of the stylus and the top (north) edge of the tablet. For example, if you hold the pen
vertically against the tablet, the Tilt is 90. The Pressure and Tilt modifiers are both fully supported for the eraser
function of the stylus.
A variable-width brush stroke drawn with a stylus.
1Select the Brush tool .
2Select Window > Properties and select a fill color.
3Click the Brush Mode modifier and select a painting mode:
Paint Normal Paints over lines and fills on the same layer.
Paint Fills Paints fills and empty areas, leaving lines unaffected.
Paint Behind Paints in blank areas of the Stage on the same layer, leaving lines and fills unaffected.
Paint Selection Applies a new fill to the selection when you select a fill in the Fill Color control or the Fill box of the
Property inspector, the same as selecting a filled area and applying a new fill.
Paint Inside Paints the fill in which you start a brush stroke and never paints lines. If you start painting in an empty
area, the fill doesn’t affect any existing filled areas.
4Select a brush size and brush shape from the Brush tool modifiers.
5If a Wacom pressure-sensitive tablet is attached to your computer, select the Pressure modifier, the Tilt modifier,
or both, to modify brush strokes.
•Select the Pressure modifier to vary the width of your brush strokes by varying the pressure on your stylus.
•To vary the angle of your brush strokes by varying the angle of the stylus on the Wacom pressure-sensitive tablet,
select the Tilt modifier.
6Drag on the Stage. To constrain brush strokes to horizontal and vertical directions, Shift-drag.
More Help topics
“Adjust Stroke and Fill color” on page 136

102
USING FLASH PROFESSIONAL
Creating and Editing Artwork
Last updated 1/16/2012
Drawing with the Pen tool
To draw precise paths as straight lines or smooth, flowing curves, use the Pen tool. When you draw with the Pen tool,
click to create points on straight line segments and drag to create points on curved line segments. Adjust straight and
curved line segments by adjusting points on the line.
The following video tutorial demonstrates how to use Pen tool in Flash Pro:
•Adobe Flash CS4 basics : 0102 Pen Tool (10:55) (YouTube.com)
Pen tool drawing states
The Pen tool provides feedback about its current drawing state by displaying different pointers. The various drawing
states are indicated by the following pointers:
Initial Anchor Point pointer The first pointer you see when you select the Pen tool. Indicates that the next mouse
click on the Stage will create an initial anchor point, which is the beginning of a new path (all new paths begin with an
initial anchor point). Any existing drawing paths are terminated.
Sequential Anchor Point pointer Indicates that the next mouse click will create an anchor point with a line
connecting it to the previous anchor point. This pointer is displayed during the creation of all user-defined anchor
points except the initial anchor point of a path.
Add Anchor Point pointer Indicates that the next mouse click will add an anchor point to an existing path. To add
an anchor point, the path must be selected, and the Pen tool must not be over an existing anchor point. The existing
path is redrawn based on the additional anchor point. Only one anchor point can be added at a time.
Delete Anchor Point pointer Indicates that the next mouse click on an existing path will remove an anchor point.
To remove an anchor point, the path must be selected with the Selection tool, and the pointer must be over an existing
anchor point. The existing path is redrawn based on the removal of the anchor point. Only one anchor point can be
removed at a time.
Continue Path pointer Extends a new path from an existing anchor point. For this pointer to be activated, the
mouse must be over an existing anchor point on a path. This pointer is only available when you are not currently
drawing a path. The anchor point does not have to be one of the terminal anchor points of a path; any anchor point
can be the location of a continued path.
Close Path pointer Closes the path you’re drawing on the starting point of the path. You can only close a path that
you are currently drawing, and the existing anchor point must be the starting anchor point of the same path. The
resulting path does not have any specified fill color settings applied to the enclosed shape; apply fill color separately.
Join Paths pointer Similar to the Close Path Tool except that the mouse must not be over the initial anchor point
of the same path. The pointer must be over either of the terminal points of a unique path. The segment may or may
not be selected.
Note: Joining paths may or may not result in a closed shape.
Retract Bezier Handle pointer Appears when the mouse is over an anchor point whose Bezier handles are
displayed. Clicking the mouse retracts the Bezier handles and causes the curved path across the anchor point to revert
to straight segments.
Convert Anchor Point pointer Converts a corner point without direction lines to a corner point with independent
direction lines. To enable the Convert Anchor Point pointer, use the Shift + C modifier keys to toggle the Pen tool.
For a video tutorial about the Pen tool, see www.adobe.com/go/vid0120.

103
USING FLASH PROFESSIONAL
Creating and Editing Artwork
Last updated 1/16/2012
More Help topics
“Reshape lines and shapes” on page 115
Draw straight lines with the Pen tool
The simplest path you can draw with the Pen tool is a straight line, made by clicking the Pen tool to create two anchor
points. Continue to click to create a path made of straight line segments connected by corner points.
1Select the Pen tool .
2Position the Pen tool where the straight segment is to begin, and click to define the first anchor point. If direction
lines appear, you accidentally dragged the Pen tool; choose Edit
> Undo and click again.
Note: The first segment you draw is not visible until you click a second anchor point (unless you’ve specified Show Pen
Preview in the Drawing category of the Preferences dialog box).
3Click again where you want the segment to end (Shift-click to constrain the angle of the segment to a multiple of
45°).
4Continue clicking to set anchor points for additional straight segments.
Clicking Pen tool creates straight segments.
5To complete the path as an open or closed shape, do one of the following:
•To complete an open path, double-click the last point, click the Pen tool in the Tools panel, or Control-click
(Windows) or Command-click (Macintosh) anywhere away from the path.
•To close the path, position the Pen tool over the first (hollow) anchor point. A small circle appears next to the Pen
tool pointer when it is positioned correctly. Click or drag to close the path.
•To complete the shape as is, select Edit > Deselect All, or select a different tool in the Tools panel.
More Help topics
“Adjust Stroke and Fill color” on page 136
Draw curves with the Pen tool
To create a curve, add an anchor point where a curve changes direction and drag the direction lines that shape the
curve. The length and slope of the direction lines determine the shape of the curve.
Curves are easier to edit and your system can display and print them faster if you draw them using as few anchor points
as possible. Using too many points can also introduce unwanted bumps in a curve. Instead, draw widely spaced anchor
points, and practice shaping curves by adjusting the length and angles of the direction lines.
1Select the Pen tool .
2Position the Pen tool where the curve is to begin, and hold down the mouse button.

104
USING FLASH PROFESSIONAL
Creating and Editing Artwork
Last updated 1/16/2012
The first anchor point appears, and the Pen tool pointer changes to an arrowhead. (In Photoshop, the pointer changes
only after you’ve started dragging.)
3Drag to set the slope of the curve segment you’re creating, and then release the mouse button.
In general, extend the direction line about one third of the distance to the next anchor point you plan to draw. (You
can adjust one or both sides of the direction line later.)
Hold down the Shift key to constrain the tool to multiples of 45°.
Drawing the first point in a curve
A. Positioning Pen tool B. Starting to drag (mouse button pressed) C. Dragging to extend direction lines.
4Position the Pen tool where the curve segment is to end, and do one of the following:
•To create a C-shaped curve, drag in a direction opposite to the previous direction line and release the mouse button.
Drawing the second point in a curve
A. Starting to drag second smooth point B. Dragging away from previous direction line, creating a C curve C. Result after releasing mouse
button.
•To create an S-shaped curve, drag in the same direction as the previous direction line and release the mouse button.
Drawing an S curve
A. Starting to drag new smooth point B. Dragging in the same direction as previous direction line, creating an S curve C. Result after releasing
mouse button.
5To create a series of smooth curves, continue dragging the Pen tool from different locations. Place anchor points at
the beginning and end of each curve, not at the tip of the curve.
To break out the direction lines of an anchor point, Alt-drag (Windows) or Option-drag (Macintosh) direction lines.
A B C
A B C
A B C

105
USING FLASH PROFESSIONAL
Creating and Editing Artwork
Last updated 1/16/2012
6To complete the path, do one of the following:
•To close the path, position the Pen tool over the first (hollow) anchor point. A small circle appears next to the Pen
tool pointer
when it is positioned correctly. Click or drag to close the path.
•To leave the path open, Ctrl-click (Windows) or Command-click (Macintosh) anywhere away from all objects,
select a different tool, or choose Edit
> Deselect All.
Add or delete anchor points
Adding anchor points can give you more control over a path or it can extend an open path. However, it’s a good idea
not to add more points than necessary. A path with fewer points is easier to edit, display, and print. To reduce the
complexity of a path, delete unnecessary points.
The toolbox contains three tools for adding or deleting points: the Pen tool , the Add Anchor Point tool , and the
Delete Anchor Point tool .
By default, the Pen tool changes to the Add Anchor Point tool as you position it over a selected path, or to the Delete
Anchor Point tool as you position it over an anchor point.
Note: Don’t use the Delete, Backspace, and Clear keys or the Edit > Cut or Edit > Clear commands to delete anchor
points; these keys and commands delete the point and the line segments that connect to that point.
1Select the path to modify.
2Click and hold the mouse button on the Pen tool , then select the Pen tool , Add Anchor Point tool , or the
Delete Anchor Point tool .
3To add an anchor point, position the pointer over a path segment, and click. To delete an anchor point, position
the pointer over an anchor point, and click.
Adjust anchor points on paths
When you draw a curve with the Pen tool, you create smooth points—anchor points on a continuous, curved path.
When you draw a straight line segment or a straight line connected to a curved segment, you create corner points—
anchor points on a straight path or at the juncture of a straight and a curved path.
By default, selected smooth points appear as hollow circles, and selected corner points appear as hollow squares.
Dragging a direction point out of a corner point to create a smooth point.
Move or add anchor points
•To move an anchor point, drag the point with the Subselection tool .
•To nudge an anchor point or points, select the point or points with the Subselection tool and use the arrow keys to
move the point or points. Shift-click to select multiple points.

106
USING FLASH PROFESSIONAL
Creating and Editing Artwork
Last updated 1/16/2012
•To add an anchor point, click a line segment with the Pen tool. A plus (+) sign appears next to the Pen tool if an
anchor point can be added to the selected line segment. If the line segment is not yet selected, click it with the Pen
tool to select it, and then add an anchor point.
Delete anchor points
Deleting unneeded anchor points on a curved path optimizes the curve and reduces the resulting SWF file size.
•To delete a corner point, click the point once with the Pen tool. A minus (-) sign appears next to the Pen tool if an
anchor point can be deleted from the selected line segment. If the line segment is not yet selected, click it with the
Pen tool to select it, and then delete the anchor point.
•To delete a smooth point, click the point once with the Pen tool. A minus (-) sign appears next to the Pen tool if an
anchor point can be deleted from the selected line segment. If the line segment is not yet selected, click it with the
Pen tool to select it, and then delete the corner point. (Click once to convert the point to a corner point, and once
more to delete the point.)
Convert segments between straight and curved
To convert segments in a line from straight segments to curve segments, convert corner points to smooth points. You
can also do the reverse.
•To convert a corner point to a smooth point, use the Subselection tool to select the point, then Alt-drag (Windows)
or Option-drag (Macintosh) the point to place the tangent handles.
•To convert a smooth point to a corner point, click the point with the Pen tool. The carat ^ marker next to the
pointer
indicates when it is over the smooth point.
Adjust segments
To change the angle or length of the segment or adjust curved segments to change the slope or direction of the curve,
adjust straight segments.
When you move a tangent handle on a smooth point, the curves on both sides of the point adjust. When you move a
tangent handle on a corner point, only the curve on the same side of the point as the tangent handle adjusts.
•To adjust a straight segment, select the Subselection tool , and select a straight segment. Use the Subselection tool
to drag an anchor point on the segment to a new position.
•To adjust a curve segment, select the Subselection tool and drag the segment.
Note: When you click the path, Flash Pro shows the anchor points. Adjusting a segment with the Subselection tool can
add points to the path.
•To adjust points or tangent handles on a curve, select the Subselection tool, and select an anchor point on a curved
segment.
•To adjust the shape of the curve on either side of the anchor point, drag the anchor point, or drag the tangent
handle. To constrain the curve to multiples of 45º, Shift-drag. To drag tangent handles individually, Alt-drag
(Windows) or Option-drag (Macintosh).

107
USING FLASH PROFESSIONAL
Creating and Editing Artwork
Last updated 1/16/2012
Drag the anchor point, or drag the direction point.
Pen tool preferences
Specify preferences for the appearance of the Pen tool pointer, for previewing line segments as you draw, and for the
appearance of selected anchor points. Selected line segments and anchor points use the outline color of the layer on
which the lines and points appear.
1Select the Pen tool , then select Edit > Preferences (Windows) or Flash > Preferences (Macintosh).
2In the Category list, select Drawing.
3Set the following options for the Pen tool:
Show Pen Preview Previews line segments as you draw. A preview of the line segment appears as you move the pointer
around the Stage, before you click to create the end point of the segment. If this option is not selected, a line segment
does not appear until you create the end point.
Show Solid Points Displays selected anchor points as hollow and deselected anchor points as solid. If this option is not
chosen, selected anchor points are solid, and deselected anchor points are hollow.
Show Precise Cursors Specifies that the Pen tool pointer appears as a cross-hair pointer rather than the default Pen tool
icon, for more precise placement of lines. To display the default Pen tool icon with the Pen tool, deselect the option.
Note: To switch between the cross-hair pointer and the default Pen tool icon, press Caps Lock.
4Click OK.
Apply patterns with the Spray Brush tool
The Spray Brush acts like a particle sprayer, letting you “brush” a pattern of shapes onto the Stage at one time. By
default, the Spray Brush emits a spray of dot particles using the currently selected fill color. However, you can use the
Spray Brush tool to apply a movie clip or graphic symbol as a pattern.
1Select the Spray Brush tool.
2 In the Spray Brush tool Property inspector, select a fill color for the default spray of dots. Or, click Edit to select a
custom symbol from the library.
You can use any movie clip or graphic symbol in the library as a “particle.” These symbol-based particles give you a
great deal of creative control over artwork you create in Flash.
3Click or drag on the Stage where you want the pattern to appear.
More Help topics
“Create symbols” on page 151
“Working with the library” on page 159

108
USING FLASH PROFESSIONAL
Creating and Editing Artwork
Last updated 1/16/2012
Spray Brush tool options
The Spray Brush tool options appear in the Property inspector when you select the Spray Brush from the Tools panel.
Edit Opens the Select Symbol dialog box, from which you select a movie clip or graphic symbol to use as a spray brush
particle. When a symbol in the library is selected, its name appears next to the edit button.
Color selector Select a fill color for the default particle spray. The color selector is disabled when you use a symbol in
the library as a spray particle.
Scale This property only appears when not using a symbol from the Library as the particle. Scale the symbol used as
a spray particle. For example, a value of 10% makes the symbol 10% smaller. A value of 200% makes the symbol 200%
larger.
Scale width This property only appears when using a symbol as the particle. Scale the width of a symbol used as a spray
particle. For example, a value of 10% makes the symbol 10% narrower. A value of 200% makes the symbol 200% wider.
Scale height This property only appears when using a symbol as the particle. Scales the height of a symbol used as a
spray particle. For example, a value of 10% makes the symbol 10% shorter. A value of 200% makes the symbol 200%
taller.
Random scaling Specifies that each symbol-based spray particle is placed on Stage at a random scale, altering the size
of each particle. This option is disabled when using the default spray of dots.
Rotate symbol This property only appears when using a symbol as the particle. Rotates the symbol-based spray
particle around a center point.
Random rotation This property only appears when using a symbol as the particle. Specifies that each symbol-based
spray particle is placed on Stage at a random degree of rotation. This option is disabled when you use the default spray
of dots.
Width The width of the spray particle when not using a symbol from the Library.
Height The height of the spray particle when not using a symbol from the Library.
Brush Angle The amount of clock-wise rotation to apply to the spray particle when not using a symbol from the
Library.
Drawing patterns with the Decorative drawing tool
The Decorative drawing tool lets you create complex, geometric shapes and patterns. The Decorative drawing tools
use algorithmic calculations—known as procedural drawing.
Videos and tutorials
•Video: Using the decorative drawing tools (5:36)
•Video: Flash Downunder – The Bone tool and the Deco tool (22:00)
•Video: Using the Deco tool (Length = 4:28, Peachpit.com)
•Jonathan Duran has provided an in-depth article entitled Using the Deco tool and Spray Brush for creating
complex, geometric patterns in Flash at www.adobe.com/devnet/flash/articles/deco_intro.html.

109
USING FLASH PROFESSIONAL
Creating and Editing Artwork
Last updated 1/16/2012
Apply the Symmetry Brush effect
Use the Symmetry Brush effect to arrange symbols symmetrically around a central point. When you draw the symbols
on the Stage, a set of handles appears. Use the handles to control the symmetry by increasing the number of symbols,
adding symmetries, or editing and modifying the effect.
Use the Symmetry Brush effect to create circular user interface elements (such as an analog clock face or dial gauge)
and swirl patterns. The default symbol for the Symmetry Brush effect is a black rectangle shape with no stroke that is
25 x 25 pixels.
1Select the Deco Drawing tool, and select Symmetry Brush from the Drawing Effect menu in the Property inspector.
2In the Deco Drawing tool Property inspector, select a fill color to use for the default rectangle shape. Or, click Edit
to select a custom symbol from the library.
You can use any movie clip or graphic symbol in the library with the Symmetry Brush effect. These symbol-based
particles give you a great deal of creative control over artwork you create.
3The Symmetry Brush advanced options appear in the Property inspector when you select Symmetry Brush from
the Drawing Effect pop-up menu in the Property inspector.
Rotate Around Rotates the shapes in the symmetry around a fixed point that you designate. The default reference
point is the center point of the symmetry. To rotate the object around its center point, drag in a circular motion.
Reflect Across Line Flips the shapes an equal distance apart across an invisible line that you specify.
Reflect Around Point Places two shapes an equal distance apart around a fixed point that you specify.
Grid Translation Creates a grid using the shapes in the Symmetry effect you are drawing. Each click of the Deco
Drawing tool on the Stage creates a grid of shapes. Adjust the height and width of the shapes using the x and y
coordinates defined by the Symmetry Brush handles.
Test Collisions Prevents shapes in the Symmetry effect you are drawing from colliding with one another, regardless of
how you increase the number of instances within the Symmetry effect. Deselect this option to overlap the shapes in the
Symmetry effect.
4Click the Stage where you want the Symmetry Brush artwork to appear.
5Use the Symmetry Brush handles to adjust the size of the symmetry and the number of symbol instances.
Apply the Grid Fill effect
The Grid Fill effect lets you fill the Stage, a symbol, or closed region with a symbol from the library. After the Grid Fill
is drawn to the Stage, if the filled symbol is moved or resized, the Grid Fill will move or resize accordingly.
Use the Grid Fill effect to create a checkerboard, a tiled background, or area or shape with a custom pattern. The default
symbol for the Symmetry effect is a black rectangle shape with no stroke that is 25 x 25 pixels.
1Select the Deco Drawing tool, and select Grid Fill from the Drawing Effect menu in the Property inspector.
2In the Property inspector, select a fill color for the default rectangle shape. Or click Edit to select a custom symbol
from the library.
You can use up to 4 movie clip or graphic symbols in the library with the Grid Fill effect. The symbols alternate as Flash
fills the grid.
3Choose a Layout for the grid fill. There are 3 options for Layout.
Tile Pattern The symbols are arranged in a simple grid pattern.
Brick Pattern The symbols are arranged in a horizontally offset grid pattern.

110
USING FLASH PROFESSIONAL
Creating and Editing Artwork
Last updated 1/16/2012
Floor Pattern The symbols are arranged in a horizontally and vertically offset grid pattern.
4To allow the fill to overlap the edge of the containing symbol, shape, or the Stage, select the Paint Over Edge option.
5To allow the symbols to be distributed randomly within the grid, select the Random Order option.
6You can specify the horizontal and vertical spacing and the scale of the fill shape. Once the Grid Fill effect is applied,
you cannot change the advanced options in the Property inspector afterwards to alter the fill pattern.
Horizontal spacing Specifies the horizontal distance in pixels between symbols used in the Grid Fill.
Vertical spacing Specifies the vertical distance in pixels between symbols used in the Grid Fill.
Pattern scale Enlarges or shrinks the symbols horizontally (along the x axis), and vertically (along the y axis).
7Click the Stage or within the shape or symbol where you want the Grid Fill pattern to appear.
Apply the Vine Fill effect
The Vine Fill effect lets you fill the Stage, a symbol, or closed region with a vine pattern. You can substitute your own
artwork for the leaves and flowers by selecting symbols from the library. The resulting pattern is contained in a movie
clip that itself contains the symbols that make up the pattern.
1Select the Deco Drawing tool, and select Vine Fill from the Drawing Effect menu in the Property inspector.
2In the Deco Drawing tool Property inspector, select a fill color for the default flower and leaf shapes. Or, click Edit
to select a custom symbol from the library to replace one or both of the default flower and leaf symbols.
You can use any movie clip or graphic symbol in the library to replace the default flower and leaf symbols with the
Vine Fill effect.
3You can specify the horizontal and vertical spacing and the scale of the fill shape. After you apply the Vine Fill effect,
you cannot change the advanced options in the Property inspector afterward to alter the fill pattern.
Branch angle Specifies the angle of the branch pattern.
Branch color Specifies the color to use for the branch.
Pattern scale Scaling an object enlarges or reduces it both horizontally (along the x axis), and vertically (along the y
axis).
Segment length Specifies the length of the segments between leaf and flower nodes.
Animate pattern Specifies that each iteration of the effect is drawn to a new frame in the timeline. This option creates
a frame-by-frame animated sequence of the flower pattern as it's drawn.
Frame step Specifies how many frames to span per second of the effect being drawn.
4Click the Stage or within the shape or symbol where you want the Grid Fill pattern to appear.
Apply the Particle System effect
Using the Particle System effect, you can create particle animations such as fire, smoke, water, bubbles, and other
effects.
To use the particle system effect:
1Select the Deco tool in the Tools panel.
2Set the properties for the effect in the Properties panel.
3Click the Stage in the location where you want to the effect to appear.

111
USING FLASH PROFESSIONAL
Creating and Editing Artwork
Last updated 1/16/2012
Flash creates a frame-by-frame animation of the particle effect according to the properties you set. The particles
generated on Stage are contained in a group in each frame of the animation.
The Particle System effect has the following properties:
Particle 1 This is the first of 2 symbols you can assign to be used as particles. If you do not specify a symbol, a small
black square is used. By choosing graphics wisely, you can generate very interesting and realistic effects.
Particle 2 This is the second symbol that you can assign as a particle.
Total Length The duration of the animation in frames, starting from the current frame.
Particle Generation The number of frames in which particles are generated. If the number of frames is less than the
Total Length property, the tool stops making new particles in the remaining frames, but the particles already generated
continue to animate.
Rate per Frame The number of particles generated per frame.
Life Span The number of frames that an individual particle is visible on the Stage.
Initial Speed The speed of movement of each particle at the beginning of its life span. The unit of speed is pixels per
frame.
Initial Size The scaling of each particle at the beginning of its life span.
Min Initial Direction The minimum of the range of possible directions of movement of each particle at the beginning
of its life span. The measurement is in degrees. Zero is upward; 90 is to thr right; 180 is downward, 270 is to the left,
and 360 is also upward. Negative numbers are allowed.
Max Initial Direction The maximum of the range of possible directions of movement of each particle at the beginning
of its life span. The measurement is in degrees. Zero is upward; 90 is to thr right; 180 is downward, 270 is to the left,
and 360 is also upward. Negative numbers are allowed.
Gravity When this number is positive, the particles change direction to downward and their speed increases, as if they
are falling. If Gravity is negative, the particles change direction to upward.
Rotation Rate The degrees of rotation to apply to each particle per frame.
Apply the 3D Brush effect
The 3D Brush effect allows you to paint multiple instances of a symbol on the Stage, with 3D perspective. Flash creates
3D perspective by scaling the symbols down near the top of the Stage (the background), and up near the bottom of the
Stage (the forground). Symbols drawn closer to the bottom of the Stage are drawn on top of symbols nearer the top of
the Stage, regardless the order in which they are drawn.
You can include from 1 to 4 symbols in the painting pattern. Each symbol instance that appears on the Stage is in its
own group. You can paint directly on the Stage, or inside a shape or symbol. If the first click of the 3D brush occurs
inside a shape, the 3D brush is active only within the shape.
To use the 3D Brush effect:
1Click the Deco tool in the Tools panel.
2Select the 3D Brush effect from the Drawing effect menu in the Property inspector.
3Select from 1 to 4 symbols that you want to include in the painting pattern.
4Set the other properties for the effect in the Property inspector. Be sure the Perspective property is selected to create
a 3D effect.

112
USING FLASH PROFESSIONAL
Creating and Editing Artwork
Last updated 1/16/2012
5Drag on the Stage to begin painting. Move the cursor toward the top of the Stage to paint smaller instances. Move
the cursor toward the bottom of the Stage to paint larger instances.
The 3D Brush effect has the following properties:
Max objects The maximum number of objects to paint.
Spray area The maximum distance from the cursor that instances are painted.
Perspective This toggles the 3D effect. To paint instances of a consistent size, deselect this option.
Distance scale This property determines the amount of the 3D perspective effect. Increase the value to increase the
scaling caused by moving the cursor up or down.
Random scale range This property allows the scaling to be randomly determined for each instance. Increase the value
to increase the range of scale values that can be applied to each instance.
Random rotation range This property allows the rotation to be randomly determined for each instance. Increase the
value to increase the maximum possible rotation for each instance.
Apply the Building Brush effect
The Building Brush effect allows you to draw buildings on the Stage. The appearance of the buildings depends on
values you choose for the building properties.
To draw a building on the Stage:
1Click the Deco tool in the Tools panel.
2In the Property inspector, choose Building Brush from the Drawing Effect menu.
3Set the properties of the Building Brush effect.
4Starting where you want the bottom of the building, drag the cursor upwards vertically to the height you want for
your finished building.
The Building Brush effect has the following properties:
Building type The style of building to create.
Building size The width of the building. Larger values create wider buildings.
Apply the Decorated Brush effect
The Decorated brush effect allows you to draw decorative lines, such as dotted lines, wavy lines, and others.
Experiment with the effect to discover which setting work for your intended designs.
To use the Decorated Brush effect:
1Click the Deco tool in the Tools panel.
2Set the properties for the effect in the Property inspector.
3Drag the cursor on the Stage.
The Decorated Brush effect creates a styled line that follows the path of the cursor.
The Decorated Brush effect has the following properties:
Line style The style of line to draw. Experiment with all 20 choices to see the various effects.
Pattern color The color of the line.
Pattern size The size of the selected pattern.

113
USING FLASH PROFESSIONAL
Creating and Editing Artwork
Last updated 1/16/2012
Pattern width The width of the selected pattern.
Apply the Fire Animation effect
The Fire Animation effect creates stylized frame-by-frame fire animation.
To use the Fire Animation effect:
1Click the Deco tool in the Tools panel.
2Choose Fire Animation from the Drawing Effect menu in the Property inspector.
3Set the properties for the Fire Animation effect.
4Drag on the Stage to create the animation.
Flash adds frames to the timeline while you hold the mouse button.
In most situations, it is best to place your fire animation inside its own symbol, such as a movie clip symbol.
The Fire Animation effect has the following properties:
Fire size The width and height of the flames. Higher values create larger flames.
Fire speed The speed of the animation. Larger values create faster flames.
Fire duration The number of frames created in the timeline during the animation.
End animation Select this option to create an animation of the fire burning out instead of burning continuously. Flash
adds additional frames after the specified Fire duration to accommodate the burning-out effect. If you want to loop
the finished animation to create a continuous burning effect, do not select this option.
Flame color The color of the tips of the flames.
Flame core color The color of the base of the flames.
Fire spark The number of individual flames at the base of the fire.
Apply the Flame Brush effect
The Flame Brush effect allows you to draw flames on the Stage in the current frame of the timeline
To use the Flame Brush effect:
1Click the Deco tool in the Tools panel.
2Choose Flame Brush from the Drawing Effect menu in the Property inspector.
3Set the properties for the Flame Brush effect.
4Drag on the Stage to draw flames.
The Flame Brush effect has the following properties:
Flame size The width and height of the flames. Higher values create larger flames.
Flame color The color of the center of the flames. As you draw, the flames change from the selected color to black.
Apply the Flower Brush effect
The Flower Brush effect allows you to draw stylized flowers in the current frame of the timeline.
To use the Flower Brush effect:
1Click the Deco tool in the Tools panel.

114
USING FLASH PROFESSIONAL
Creating and Editing Artwork
Last updated 1/16/2012
2Choose Flower Brush from the Drawing Effect menu in the Property inspector.
3Select a flower from the Flower Type menu.
4Set the properties for the Flower Brush effect.
5Drag on the Stage to draw flowers.
The Flower Brush effect has the following properties:
Flower color The color of the flowers.
Flower size The width and height of the flowers. Higher values create larger flowers.
Leaf color The color of the leaves.
Leaf size The width and height of the leaves. Higher values create larger leaves.
Fruit color The color of the fruit.
Branch Select this option to draw branches in addition to the flowers and leaves.
Branch color The color of the branches.
Apply the Lightning Brush effect
The Lightning Brush effect lets you create lightning bolts. You can also create animated lighting.
To use the Lightning Brush effect:
1Click the Deco tool in the Tools panel.
2Select the Lightning Brush effect from the Drawing Effect menu in the Property inspector.
3Set the Properties for the Lightning Brush effect.
4Drag on the Stage. Flash draws lightning toward the direction you move the mouse.
The Lightning Brush effect has the following properties:
Lightning color The color of the lightning.
Lightning scale The length of the lightning.
Animation This option allows you to create frame-by-frame animation of the lightning. Flash adds frames to the
current layer in the Timeline while the lightning is being drawn.
Beam width the thickness of the lightning at its root.
Complexity The number of times each branch divides. Higher values create longer lightning with more branches.
Apply the Smoke Animation effect
The Smoke Animation effect creates stylized frame-by-frame smoke animation.
To use the Smoke Animation effect:
1Click the Deco tool in the Tools panel.
2Choose Smoke Animation from the Drawing Effect menu in the Property inspector.
3Set the properties for the Smoke Animation effect.
4Drag on the Stage to create the animation.
Flash adds frames to the timeline while you hold the mouse button.

115
USING FLASH PROFESSIONAL
Creating and Editing Artwork
Last updated 1/16/2012
In most situations, it is best to place your smoke animation inside its own symbol, such as a movie clip symbol.
The Smoke Animation effect has the following properties:
Smoke size The width and height of the smoke. Higher values create larger flames.
Smoke speed The speed of the animation. Larger values create faster smoke.
Smoke duration The number of frames created in the timeline during the animation.
End animation Select this option to create an animation of the smoke burning out instead of smoking continuously.
Flash adds additional frames after the specified Smoke duration to accommodate the burning-out effect. If you want
to loop the finished animation to create a continuous smoking effect, do not select this option.
Smoke color The color of the smoke.
Background color The background color of the smoke. The smoke changes to this color as it dissipates.
Apply the Tree Brush effect
The Tree Brush effect allows you to quickly create tree artwork.
To use the Tree Brush effect:
1Click the Deco tool in the Tools panel.
2In the Property inspector, select the Tree Brush effect from the Drawing Effect menu.
3Set the properties for the Tree Brush effect.
4Drag on the Stage to create a tree.
Create large branches by dragging. Create smaller branches by keeping the cursor in one place.
Flash creates branches that are contained in groups on the Stage.
The Tree Brush effect has the following properties:
Tree style The kind of tree to create. Each tree style is based on an actual tree species.
Tree Scale The size of the tree. Values must be between 75-100. Higher values create larger trees.
Branch color The color of the tree stems.
Leaf Color The color of the leaves.
Flower/Fruit color The color of the flowers and fruit.
Reshape lines and shapes
Display and adjust points with the Subselection tool
1Select the Subselection tool .
2Click the line or shape outline.
More Help topics
“Adjust anchor points on paths” on page 105

116
USING FLASH PROFESSIONAL
Creating and Editing Artwork
Last updated 1/16/2012
Reshape a line or shape
To reshape a line or shape outline, drag any point on a line using the Selection tool. The pointer changes to indicate
what type of reshaping it can perform on the line or fill.
Flash Pro adjusts the curve of the line segment to accommodate the new position of the moved point. If the
repositioned point is an end point the line will lengthen or shorten. If the repositioned point is a corner, the line
segments forming the corner remain straight as they become longer or shorter.
When a corner appears next to the pointer, you can change an end point. When a curve appears next to the pointer, you can adjust a curve.
Some brush stroke areas are easier to reshape if you view them as outlines.
If you are having trouble reshaping a complex line, smooth it to remove some of its details, making reshaping easier.
Increasing the magnification can also make reshaping easier and more accurate.
1Select the Selection tool .
2Do one of the following:
•To reshape the segment, drag from any point.
•To drag a line to create a new corner point, control-click (Windows) or Option-click (Macintosh).
Straighten and smooth lines
Straightening makes small straightening adjustments to lines and curves you already drew. It has no effect on segments
that are already straight.
Note: To adjust the degree of automatic smoothing and straightening, specify preferences for drawing settings.
To make Flash Pro recognize shapes, use the straightening technique. If you draw any oval, rectangular, or triangular
shapes with the Recognize Shapes option turned off, use the Straightening option to make the shapes geometrically
perfect. Shapes that are touching, and thus connected to other elements, are not recognized.
Shape recognition turns the top shapes into the bottom shapes.
Smoothing softens curves and reduces bumps or other variations in a curve’s overall direction. It also reduces the
number of segments in a curve. Smoothing is relative, however, and has no effect on straight segments. It is particularly
useful when you are having trouble reshaping a number of very short curved line segments. Selecting all the segments
and smoothing them reduces the number of segments, producing a gentler curve that is easier to reshape.

117
USING FLASH PROFESSIONAL
Creating and Editing Artwork
Last updated 1/16/2012
Repeated application of smoothing or straightening makes each segment smoother or straighter, depending on how
curved or straight each segment was originally.
•To smooth the curve of each selected stroke, select the Selection tool and click the Smooth modifier in the
Options section of the Tools panel. Each click of the Smooth modifier button makes the selected stroke
progressively smoother.
•To enter specific parameters for a smoothing operation, choose Modify > Shape > Smooth. In the Smooth dialog
box, enter values for the Smooth Angles Above, Smooth Angles Below, and Smoothing Strength parameters.
•To make small straightening adjustments on each selected fill outline or curved line, select the Selection tool and
click the Straighten modifier in the Options section of the Tools panel.
•To enter specific parameters for a straightening operation, choose Modify > Shape > Straighten. In the Straighten
dialog box, enter a value for the Straighten Strength parameter.
•To use shape recognition, select the Selection tool and click the Straighten modifier , or select Modify >
Shape > Straighten.
More Help topics
“Drawing preferences” on page 95
Optimize curves
Optimizing smooths curves by refining curved lines and filling outlines, reducing the number of curves used to define
these elements. Optimizing curves also reduces the size of the Flash Pro document (FLA file) and the exported Flash
Pro application (SWF file). Apply optimization to the same elements multiple times.
1Select the drawn elements to optimize and select Modify > Shape > Optimize.
2To specify the degree of smoothing, drag the Optimization Strength slider. The results depend on the curves
selected. Generally, optimizing produces fewer curves, with less resemblance to the original outline.
3To display a message indicating the number of segments in the selection before and after the optimization, select
the Show Totals Message option. Flash Pro displays the message after the operation completes.
4Click OK.
Modify shapes
1To convert lines to fills, select a line or multiple lines and select Modify > Shape > Convert Lines To Fills. Selected
lines are converted to filled shapes, which allows you to fill lines with gradients or to erase a portion of a line.
Converting lines to fills can make file sizes larger, but it can also speed up drawing for some animations.
2To expand the shape of a filled object, select a filled shape, and select Modify > Shape > Expand Fill. Enter a value
in pixels for Distance and select Expand or Inset For Direction. Expand enlarges the shape, and Inset reduces it.
This feature works best on a single, small, filled color shape with no stroke, that does not contain many small details.
3To soften the edges of an object, select a filled shape, and select Modify > Shape > Soften Fill Edges. Set the following
options:
Distance The width, in pixels, of the soft edge.
Number Of Steps Controls how many curves are used for the soft edge effect. The more steps you use, the smoother
the effect. Increasing steps also creates larger files and slows drawing.
Expand Or Inset Controls whether the shape is enlarged or reduced to soften the edges.

118
USING FLASH PROFESSIONAL
Creating and Editing Artwork
Last updated 1/16/2012
This feature works best on a single filled shape that has no stroke, and can increase the file size of a Flash Pro document
and the resulting SWF file.
Delete everything on the Stage
❖Double-click the Eraser tool in the toolbar. This erases all types of content on the Stage and pasteboard.
Remove stroke segments or filled areas
1Select the Eraser tool, and then click the Faucet modifier .
2Click the stroke segment or filled area to delete.
Erase by dragging
1Select the Eraser tool.
2Click the Eraser Mode modifier and select an erasing mode:
Erase Normal Erases strokes and fills on the same layer.
Erase Fills Erases only fills; strokes are not affected.
Erase Lines Erases only strokes; fills are not affected.
Erase Selected Fills Erases only the currently selected fills and does not affect strokes, selected or not. (Select the fills
to erase before using the Eraser tool in this mode.)
Erase Inside Erases only the fill on which you begin the Eraser stroke. If you begin erasing from an empty point,
nothing is erased. Strokes are unaffected by the eraser in this mode.
3Click the Eraser Shape modifier and select an eraser shape and size. Make sure that the Faucet modifier is not
selected.
4Drag on the Stage.
Transforming and combining graphic objects
Transforming objects
You can transform graphic objects, as well as groups, text blocks, and instances, by using the Free Transform tool or
the options in the Modify
> Transform menu. Depending on the type of element you select, you can transform, rotate,
skew, scale, or distort the element. You can change or add to a selection during a transformation operation.
When you transform an object, group, text box, or instance, the Property inspector for that item displays any changes
made to the item’s dimensions or position.
A bounding box appears during transform operations that involve dragging. The bounding box is rectangular (unless
it was modified with the Distort command or the Envelope modifier), with its edges initially aligned parallel to the
edges of the Stage. Transformation handles are located on each corner and in the middle of each side. As you drag, the
bounding box previews the transformations.

119
USING FLASH PROFESSIONAL
Creating and Editing Artwork
Last updated 1/16/2012
Move, realign, change, and track the transformation point
During a transformation, a transformation point appears at the center of a selected element. The transformation point
is initially aligned with the object’s center point. You can move the transformation point, return it to its default
location, and move the default point of origin.
For scaling, skewing, or rotating graphic objects, groups, and text blocks, the point opposite the point you drag is the
point of origin by default. For instances, the transformation point is the point of origin by default. You can move the
default point of origin for a transformation.
1Select the Free Transform tool , or select one of the Modify > Transform commands.
Once you have begun a transformation, you can track the location of the transformation point in the Info panel and
in the Property inspector.
2Do one of the following:
•To move the transformation point, drag it from within the selected graphic object.
•To realign the transformation point with the element’s center point, double-click the transformation point.
•To switch the point of origin for a scale or skew transformation, hold down the Alt key (Windows) or Option key
(Macintosh) while dragging your chosen object control point during the transformation.
•To display the transformation point coordinates in the Info panel, click the Registration/Transformation Point
button in the Info panel. The lower-right square in the button becomes a circle to indicate the registration point
coordinates are being displayed.
When you select the center square, the X and Y values to the right of the coordinate grid in the Info panel display the
x and y coordinates of the transformation point. In addition, the X and Y values for the transformation point appear
in the Property inspector for the symbol.
Coordinate grid; Info panel with Registration/Transformation Point button in transformation mode, and with x and y coordinates of the
selection transformation point visible.
By default, the Registration/Transformation Point button is in registration mode, and the X and Y values display the
location of the upper-left corner of the current selection, relative to the upper-left corner of the Stage.
Note: For symbol instances, the X and Y values display the location of the symbol registration point, or the location of the
upper-left corner of the symbol instance.
Use the Free Transform tool
You can perform individual transformations or combine several transformations, such as moving, rotating, scaling,
skewing, and distortion.
Note: The Free Transform tool cannot transform symbols, bitmaps, video objects, sounds, gradients, or text. If a multiple
selection contains any of these items, only the shape objects are distorted. To transform a text block, first convert the
characters to shape objects.
1Select a graphic object, group, instance, or text block on the Stage.
2Click the Free Transform tool .

120
USING FLASH PROFESSIONAL
Creating and Editing Artwork
Last updated 1/16/2012
Moving the pointer over and around the selection changes the pointer to indicate which transformation function is
available.
3To transform the selection, drag the handles:
•To move the selection, position the pointer over the object within the bounding box, and drag the object to a new
position. Do not drag the transformation point.
•To set the center of rotation or scaling, drag the transformation point to a new location.
•To rotate the selection, position the pointer just outside a corner handle and drag. The selection rotates around the
transformation point. Shift-drag to rotate in 45° increments.
•To rotate around the opposite corner, Alt-drag (Windows) or Option-drag (Macintosh).
•To scale the selection, drag a corner handle diagonally to scale in two dimensions. Shift-drag to resize
proportionally.
•To scale in the respective direction only, drag a corner handle or a side handle horizontally or vertically.
•To skew the selection, position the pointer on the outline between the transformation handles and drag.
•To distort shapes, press Control (Windows) or Command (Macintosh) and drag a corner handle or a side handle.
•To taper the object—to move the selected corner and the adjoining corner equal distances from their origins, Shift-
Control-click to drag (Windows) or Shift-Command-click to drag (Macintosh) a corner handle.
4To end the transformation, click outside the selected item.
Distort objects
When you apply a Distort transformation to a selected object, dragging a corner handle or an edge handle on the
bounding box moves the corner or edge and realigns the adjoining edges. Shift-drag a corner point to constrain the
distortion to a taper—that is, move that corner and the adjoining corner an equal distance and in the opposite direction
from each other. The adjoining corner is the corner on the same axis as the direction you drag. Control-click
(Windows) or Command-click (Macintosh) to drag a middle point on an edge to move the entire edge freely.
You can distort graphic objects by using the Distort command. You can also distort objects when performing a free
transform on them.
Note: The Distort command cannot modify symbols, shape primitives, bitmaps, video objects, sounds, gradients, object
groups, or text. If a multiple selection contains any of these items, only the shape objects are distorted. To modify text, first
convert the characters to shape objects.
1Select a graphic object or objects on the Stage.
2Select Modify > Transform > Distort.
3Place the pointer on one of the transformation handles and drag.
4To end the transformation, click outside the selected object or objects.
Modify shapes with the Envelope modifier
The Envelope modifier lets you warp and distort objects. An envelope is a bounding box that contains one or more
objects. Changes made to an envelope’s shape affect the shape of the objects in the envelope. You edit the shape of an
envelope by adjusting its points and tangent handles.

121
USING FLASH PROFESSIONAL
Creating and Editing Artwork
Last updated 1/16/2012
Note: The Envelope modifier cannot modify symbols, bitmaps, video objects, sounds, gradients, object groups, or text. If
a multiple selection contains any of these items, only the shape objects are distorted. To modify text, first convert the
characters to shape objects.
1Select a shape on the Stage.
2Select Modify > Transform > Envelope.
3Drag the points and tangent handles to modify the envelope.
Scale objects
Scaling an object enlarges or reduces the object horizontally, vertically, or both.
1Select a graphic object or objects on the Stage.
2Select Modify > Transform > Scale.
3Do one of the following:
•To scale the object both horizontally and vertically, drag one of the corner handles. Proportions are maintained as
you scale. Shift-drag to scale nonuniformly.
•To scale the object either horizontally or vertically, drag a center handle.
4To end the transformation, click outside the selected object or objects.
Note: When you increase the size of a number of items, items near the edges of the bounding box might be moved off the
Stage. If this occurs, select View
> Pasteboard to see the elements that are beyond the edges of the Stage.
More Help topics
“About 9-slice scaling and movie clip symbols” on page 171
“Edit movie clip symbols with 9-slice scaling” on page 172
Rotate and skew objects
Rotating an object turns it around its transformation point. The transformation point is aligned with the registration
point, which defaults to the center of the object, but you can move the point by dragging it.
You can rotate an object by the following methods:
•Dragging with the Free Transform tool (you can skew and scale the object in the same operation).
•By specifying an angle in the Transform panel (you can scale the object in the same operation).

122
USING FLASH PROFESSIONAL
Creating and Editing Artwork
Last updated 1/16/2012
Rotate and skew objects by dragging
1Select the object or objects on the Stage.
2Select Modify > Transform > Rotate And Skew.
3Do one of the following:
•Drag a corner handle to rotate the object.
•Drag a center handle to skew the object.
4To end the transformation, click outside the selected object or objects.
Rotate objects by 90°
1Select the object or objects.
2Select Modify > Transform > Rotate 90° CW to rotate clockwise, or Rotate 90° CCW to rotate counterclockwise.
Skew objects
Skewing an object transforms it by slanting it along one or both axes. You can skew an object by dragging or by
entering a value in the Transform panel.
1Select the object or objects.
2Select Window > Transform.
3Click Skew.
4Enter angles for the horizontal and vertical values.
Flip objects
You can flip objects across their vertical or horizontal axis without moving their relative position on the Stage.
1Select the object.
2Select Modify > Transform > Flip Vertical or Flip Horizontal.
Restore transformed objects
When you use the Free Transform tool or the Transform panel to scale, rotate, and skew instances, groups, and text,
Flash saves the original size and rotation values with the object. This lets you remove the transformations you applied
and restore the original values.
You can undo only the most recent transformation when you select Edit > Undo. You can remove all transformations
by clicking the Remove Transform button in the panel before you deselect the object. After you deselect the object the
original values are lost and the transformation cannot be removed.
Restore a transformed object to its original state
1Ensure the transformed object is still selected.
2Do one of the following:
•Click the Remove Transform button in the Transform panel
•Select Modify > Transform > Remove Transform

123
USING FLASH PROFESSIONAL
Creating and Editing Artwork
Last updated 1/16/2012
Combining objects
To create new shapes by combining or altering existing objects, use the Combine Objects commands in the Modify
menu (Modify
> Combine Objects). In some cases, the stacking order of selected objects determines how the operation
works.
Each command applies to specific types of graphic objects, which are noted below. A merge shape is a shape drawn
with a tool set to Merge Drawing mode. A drawing Object is a shape drawn with a tool set to Object Drawing mode.
The Combine Objects commands are:
Union Joins two or more merge shapes or drawing objects. The result is a single Object Drawing mode shape
consisting of all the portions visible on the shapes before they were unified. The unseen, overlapping portions of the
shapes are deleted.
Note: Unlike when you use the Group command (Modify > Group), you cannot break apart shapes joined by using the
Union command.
Intersect Creates an object from the intersection of two or more drawing objects. The resulting Object Drawing shape
consists of the overlapping portions of the combined shapes. Any part of the shape that doesn’t overlap is deleted. The
resulting shape uses the fill and stroke of the top-most shape in the stack.
Punch Removes portions of a selected drawing object as defined by the overlapping portions of another selected
drawing object positioned in front of it. Any part of a drawing object that is overlapped by the top-most object is
deleted, and the top-most object is deleted entirely. The resulting objects remain separate and are not combined into
a single object (unlike the Union or Intersect commands, which join the objects together).
Crop Uses the outline of one drawing object to crop another drawing object. The front or top-most object defines the
shape of the cropped area. Any part of an underlying drawing object that overlaps with the top-most object remains,
while all other portions of the underlying objects are deleted, and the top-most object is deleted entirely. The resulting
objects remain separate, and are not combined into a single object (unlike the Union or Intersect commands, which
join the objects).
Selecting objects
To modify an object, select it first. Select objects with the Pointer, Subselection, and Lasso tools. You can group
individual objects to manipulate them as a single object. Modifying lines and shapes can alter other lines and shapes
on the same layer. When you select objects or strokes, Flash highlights them with a marquee.
You can choose to select only an object’s strokes or only its fills. You can hide selection highlighting to edit objects
without viewing highlighting.
When you select an object, the Property inspector displays the following:
•The object’s stroke and fill, its pixel dimensions, and the x and y coordinates of the object’s transformation point
•A mixed selection, if you select multiple items. The pixel dimensions and x and y coordinates of the selected set of
items.
You can use a shape’s Property inspector to change that object’s stroke and fill.
To prevent a group or symbol from being selected and accidentally changed, lock the group or symbol.

124
USING FLASH PROFESSIONAL
Creating and Editing Artwork
Last updated 1/16/2012
More Help topics
“Creating and Editing Artwork” on page 89
“Color” on page 131
“Group objects” on page 126
“About symbols” on page 150
Select objects with the Selection tool
The Selection tool lets you select entire objects by clicking an object or dragging to enclose the object within a
rectangular selection marquee.
Note: To select the Selection tool, you can also press the V key. To temporarily switch to the Selection tool when another
tool is active, hold down the Control key (Windows) or Command key (Macintosh).
To disable the Shift-selecting option, deselect the option in Flash General Preferences. See “Set preferences in Flash”
on page 32. Instances, groups, and type blocks must be completely enclosed to be selected.
•To select a stroke, fill, group, instance, or text block, click the object.
•To select connected lines, double-click one of the lines.
•To select a filled shape and its stroked outline, double-click the fill.
•To select objects within a rectangular area, drag a marquee around the object or objects to select.
•To add to a selection, hold down the Shift key while making additional selections.
•To select everything on every layer of a scene, select Edit > Select All, or press Control+A (Windows) or
Command+A (Macintosh). Select All doesn’t select objects on locked or hidden layers, or layers not on the current
Timeline.
•To deselect everything on every layer, select Edit > Deselect All, or press Control+Shift+A (Windows) or
Command+Shift+A (Macintosh).
•To select everything on one layer between keyframes, click a frame in the Timeline.
•To lock or unlock a group or symbol, select the group or symbol, and then select Modify > Arrange > Lock. Select
Modify
> Arrange > Unlock All to unlock all locked groups and symbols.
Draw a freehand selection area
1Drag the Lasso tool around the area.
2End the loop approximately where you started, or let Flash automatically close the loop with a straight line.
Draw a straight-edged selection area
1Select the Lasso tool’s Polygon Mode modifier in the options area of the Tools panel.
2Click to set the starting point.
3Position the pointer where you want the first line to end, and click. Continue setting end points for additional line
segments.
4To close the selection area, double-click.

125
USING FLASH PROFESSIONAL
Creating and Editing Artwork
Last updated 1/16/2012
Draw a selection area with both freehand and straight-line edges
When you use the Lasso tool and its Polygon Mode modifier, you can switch between the freehand and straight-edged
selection modes.
1Deselect the Polygon Mode modifier of the Lasso tool.
2To draw a freehand segment, drag the Lasso tool on the Stage.
3To draw straight-edged segments, hold down the Alt key (Windows) or Option key (Macintosh) and click to set
start and end points for each new line segment.
4To close the selection area, do one of the following:
•Release the mouse button; Flash Pro will close the selection area for you.
•Double-click on the starting end of the selection area line.
Hide selection highlighting
Hiding highlighting while you are selecting and editing objects lets you see how artwork appears in its final state.
❖Select View > Hide Edges.
Select the command again to show selection highlighting.
Set custom bounding box colors for selected objects
You can set different colors to be used for the bounding box rectangles that appear around different kinds of selected
objects on the Stage.
1Select Edit > Preferences (Windows) or Flash > Preferences (Macintosh).
2Click the General category.
3In the Highlight Color section, select a color for each type of object and click OK.
Set preferences for selecting
The Pointer, Subselection, and Lasso tools select objects by clicking on them. The Pointer and Subselection tools select
objects by dragging a rectangular selection marquee around the object. The Lasso tool selects objects by dragging a
free-form selection marquee around the object. When an object is selected, a rectangular box appears around the
object.
1Select Edit > Preferences (Windows) or Flash > Preferences (Macintosh).
2In the General category of the Preferences dialog box, do one of the following:
•To select only objects and points that are completely enclosed by the selection marquee, deselect Contact-Sensitive
Selection and Lasso tools. Points that lie within the selection area will still be selected.
•To select objects or groups that are only partially enclosed by the selection marquee, select Contact-Sensitive
Selection and Lasso tools.

126
USING FLASH PROFESSIONAL
Creating and Editing Artwork
Last updated 1/16/2012
Arranging objects
Stack objects
In a layer, Flash stacks objects in the order in which they are created, placing the most recently created object at the
top of the stack. The stacking order of objects determines how they appear when they overlap. You can change the
stacking order of objects at any time.
Drawn lines and shapes always appear below groups and symbols on the stack. To move them up the stack, you must
group them or make them into symbols.
Layers also affect the stacking order. Everything on Layer 2 appears in front of everything on Layer 1, and so on. To
change the order of layers, drag the layer name in the Timeline to a new position.
1Select the object.
2Do one of the following:
•Select Modify > Arrange > Bring To Front Or Send To Back to move the object or group to the top or bottom of
the stacking order.
•Select Modify > Arrange > Bring Forward Or Send Backward to move the object or group forward or backward one
position in the stacking order.
If more than one group is selected, the groups move in front of or behind all unselected groups, while maintaining their
order relative to each other.
More Help topics
“Create and organize layers” on page 181
Align objects
The Align panel lets you align selected objects along the horizontal or vertical axis. You can align objects vertically
along the right edge, center, or left edge of the selected objects, or horizontally along the top edge, center, or bottom
edge of the selected objects.
For a tutorial about the layout tools in Flash, see Use Layout Tools on the Flash Tutorials page at
www.adobe.com/go/learn_fl_tutorials.
1Select the objects to align.
2Select Window > Align.
3To apply alignment modifications relative to Stage dimensions, in the Align panel, select To Stage.
4To modify the selected object(s), select the alignment buttons.
Group objects
To manipulate elements as a single object, group them. For example, after creating a drawing, you might group the
elements of the drawing so that you can easily select and move the drawing as a whole.
When you select a group, the Property inspector displays the x and y coordinates of the group and its pixel dimensions.

127
USING FLASH PROFESSIONAL
Creating and Editing Artwork
Last updated 1/16/2012
You can edit groups without ungrouping them. You can also select an individual object in a group for editing without
ungrouping the objects.
❖Select the objects to group. You can select shapes, other groups, symbols, text, and so on.
•To group objects, select Modify > Group, or press Control+G (Windows) or Command+G (Macintosh).
•To ungroup objects, select Modify > Ungroup, or press Control+Shift+G (Windows) or Command+Shift+G
(Macintosh).
Edit a group or an object within a group
1Select the group, and then select Edit > Edit Selected, or double-click the group with the Selection tool.
Everything on the page that is not part of the group is dimmed, indicating that elements outside the group are
inaccessible.
2Edit any element within the group.
3Select Edit > Edit All, or double-click a blank spot on the Stage with the Selection tool.
Flash restores the group to its status as a single entity, and you can work with other elements on the Stage.
Break apart groups and objects
To separate groups, instances, and bitmaps into ungrouped, editable elements, you break them apart, which
significantly reduces the file size of imported graphics.
Although you can select Edit > Undo immediately after breaking apart a group or object, breaking apart is not entirely
reversible. It affects objects as follows:
•Severs a symbol instance’s link to its master symbol
•Discards all but the current frame in an animated symbol
•Converts a bitmap to a fill
•Places each character into a separate text block when applied to text blocks
•Converts characters to outlines when applied to a single text character.
Do not confuse the Break Apart command with the Ungroup command. The Ungroup command separates
grouped objects, returning grouped elements to the state they were in before grouping. It does not break apart
bitmaps, instances, or type, or convert type to outlines.
1Select the group, bitmap, or symbol to break apart.
2Select Modify > Break Apart.
Note: Breaking apart animated symbols, or groups in an interpolated animation is not recommended and might have
unpredictable results. Breaking apart complex symbols and large blocks of text can take a long time. You might need to
increase the application’s memory allocation to properly break apart complex objects.
Snapping art into position
To automatically align graphic elements with one another, use snapping. Flash Pro provides three ways for you to align
objects on the Stage:
•Object snapping snaps objects directly to other objects along their edges.

128
USING FLASH PROFESSIONAL
Creating and Editing Artwork
Last updated 1/16/2012
•Pixel snapping snaps objects directly to individual pixels or lines of pixels on the Stage.
•Snap alignment snaps objects to a specified snap tolerance, a preset boundary between objects and other objects or
between objects and the edge of the Stage.
Note: You can also snap to the grid or to guides.
More Help topics
“About the main toolbar and edit bar” on page 17
“Drawing preferences” on page 95
Turn object snapping on or off
To turn on object snapping, use the Snap To Objects modifier for the Selection tool, or the Snap To Objects command
in the View menu.
If the Snap To Objects modifier for the Selection tool is on, a small black ring appears under the pointer when you drag
an element. The small ring changes to a larger ring when the object is within snapping distance of another object.
❖Select View > Snapping > Snap To Objects. A check mark appears next to the command when it is on.
When you move or reshape an object, the position of the Selection tool on the object provides the reference point for
the snap ring. For example, if you move a filled shape by dragging near its center, the center point snaps to other
objects. This is particularly useful for snapping shapes to motion paths for animating.
Note: For better control of object placement when snapping, begin dragging from a corner or center point.
Adjust object snapping tolerances
1Select Edit > Preferences (Windows) or Flash > Preferences (Macintosh), and click Drawing.
2Under Drawing Settings, adjust the Connect Lines setting.
Use pixel snapping
To turn on pixel snapping, use the Snap To Pixels command in the View menu. If Snap To Pixels is on, a pixel grid
appears when the view magnification is set to 400% or higher. The pixel grid represents the individual pixels that
appear in your Flash Pro application. When you create or move an object, it is constrained to the pixel grid.
If you create a shape whose edges fall between pixel boundaries—for example, if you use a stroke with a fractional
width, such as 3.5 pixels—Snap To Pixels snaps to pixel boundaries, not to the edge of the shape.
•To turn pixel snapping on or off, select View > Snapping > Snap To Pixels. If the magnification is set to 400% or
higher, a pixel grid is displayed. A check mark appears next to the command when it is on.
•To turn pixel snapping on or off temporarily, press the C key. When you release the C key, pixel snapping returns
to the state you selected with View
> Snapping > Snap To Pixels.
•To temporarily hide the pixel grid, press the X key. When you release the X key, the pixel grid reappears.

129
USING FLASH PROFESSIONAL
Creating and Editing Artwork
Last updated 1/16/2012
Select settings for Snap Alignment
When you select Snap Alignment settings, set the snap tolerance between horizontal or vertical edges of objects, and
between objects’ edges and the Stage border. You can also turn on snap alignment between the horizontal and the
vertical centers of objects. All Snap Alignment settings are measured in pixels.
1Select View > Snapping > Edit Snapping.
2In the Edit Snapping dialog box, select the types of objects to want to snap to.
3 Click the Advanced button and select any of the following:
•To set the snap tolerance between objects and the Stage border, enter a value for Movie Border.
•To set the snap tolerance between the horizontal or vertical edges of objects, enter a value for Horizontal, Vertical,
or both.
•To turn on Horizontal or Vertical Center Alignment, select Horizontal or Vertical Center Alignment or both.
Turn on Snap Alignment
When Snap Alignment is turned on, dotted lines appear on the Stage when you drag an object to the specified snap
tolerance. For example, if you set Horizontal snap tolerance to 18 pixels (the default setting), a dotted line appears
along the edge of the object you are dragging when the object is exactly 18 pixels from another object. If you turn on
Horizontal Center Alignment, a dotted line appears along the horizontal center vertices of two objects when you
precisely align the vertices.
❖Select View > Snapping > Snap Align. A check mark appears next to the command when it is on.
Create a guide layer
For help in aligning objects when drawing, create guide layers and align objects on other layers to the objects you create
on the guide layers. Guide layers are not exported and do not appear in a published SWF file. Any layer can be a guide
layer. Guide layers are indicated by a guide icon to the left of the layer name.
❖Select the layer and Right-click (Windows) or Control-click (Macintosh) and select Guide from the context menu.
To change the layer back to a normal layer, select Guide again.
Moving and copying objects
Move objects by dragging
1Select an object or multiple objects.
2Select the Selection tool , position the pointer over the object, and do one of the following:
•To move the object, drag it to the new position.
•To copy the object and move the copy, Alt-drag (Windows) or Option-drag (Macintosh).
•To constrain the object’s movement to multiples of 45°, Shift-drag.
Move objects by using the arrow keys
1Select an object or multiple objects.

130
USING FLASH PROFESSIONAL
Creating and Editing Artwork
Last updated 1/16/2012
2Do one of the following:
•To move the selection 1 pixel at a time, press the arrow key for the direction in which you want the object to move.
•To move the selection 10 pixels at a time, press Shift+arrow key.
Note: When Snap To Pixels is selected, the arrow keys move objects by pixel increments on the document’s pixel grid, not
by pixels on the screen.
Move objects by using the Property inspector
1Select an object or multiple objects.
2If the Property inspector is not visible, select Window > Properties.
3Enter x and y values for the location of the upper-left corner of the selection.
The units are relative to the upper-left corner of the Stage.
Note: The Property inspector uses the units specified for the Ruler Units option in the Document Properties dialog box.
Move objects by using the Info panel
1Select an object or multiple objects.
2If the Info Panel is not visible, select Window > Info.
3Enter x and y values for the location of the upper-left corner of the selection.
The units are relative to the upper-left corner of the Stage.
Move and copy objects by pasting
To move or copy objects between layers, scenes, or other Flash files, use the pasting technique. You can paste an object
in a position relative to its original position.
1Select an object or multiple objects.
2Select Edit > Cut or Edit > Copy.
3Select another layer, scene, or file, and then select Edit > Paste In Place to paste the selection in the same position
relative to the Stage. Select Edit
> Paste In Center to paste the selection in the center of the work area.
Copying objects with the clipboard
Elements copied to the clipboard are anti-aliased, so they look as good in other applications as they do in Flash. This
feature is useful for frames that include a bitmap image, gradients, transparency, or a mask layer.
Graphics pasted from other Flash documents or programs are placed in the current frame of the current layer. How a
graphic element is pasted into a Flash scene depends on the type of element it is, its source, and the preferences you
have set:
•Text from a text editor becomes a single text object.
•Vector-based graphics from any drawing program become a group that can be ungrouped and edited.
•Bitmaps become a single grouped object just like imported bitmaps. You can break apart pasted bitmaps or convert
pasted bitmaps to vector graphics.
Note: Before pasting graphics from Illustrator into Flash, convert colors to RGB in Illustrator.

131
USING FLASH PROFESSIONAL
Creating and Editing Artwork
Last updated 1/16/2012
Copy transformed objects
You can create a scaled, rotated, or skewed copy of an object.
1Select an object.
2Select Window > Transform.
3Enter scale, rotation, or skew values.
4Click the Duplicate Selection and Transform button in the Transform panel.
Color
Color models describe the colors we see and work with in digital graphics. Each color model, such as RGB, HSB, or
CMYK, represents a different method for describing and classifying color. Color models use numeric values to
represent the visible spectrum of color. A color space is a variant of a color model and has a specific gamut (range) of
colors. For example, within the RGB color model are a number of color spaces: Adobe® RGB, sRGB, and Apple® RGB.
While each of these color spaces defines color using the same three axes (R, G, and B), their gamuts are different.
When you work with the colors in a graphic, you are actually adjusting numerical values in the file. It’s easy to think
of a number as a color, but these numerical values are not absolute colors in themselves—they only have a color
meaning within the color space of the device that is producing the color.
Because each device has its own color space, it can reproduce colors only in its gamut. When an image moves from one
device to another, image colors may change because each device interprets the RGB or HSB values according to its own
color space. For example, it is impossible for all the colors viewed on a monitor to be identically matched in a print
from a desktop printer. A printer operates in a CMYK color space and a monitor operates in an RGB color space. Their
gamuts are different. Some colors produced by inks cannot be displayed on a monitor, and some colors that can be
displayed on a monitor cannot be reproduced using inks on paper.
When creating colors for use in Flash documents, keep in mind that even though it is impossible to perfectly match all
colors on different devices, you can achieve good results by considering the graphic display capabilities of the devices
in use by your target audience.
Adobe® Flash® Professional CS5 lets you apply, create, and modify colors using the RGB or HSB color models. Using
the default palette or a palette you create, you can choose colors to apply to the stroke or fill of an object you are about
to create, or an object already on the Stage.
When applying a stroke color to a shape, you can do any of the following:
•Apply a solid color, gradient, or bitmap to a shape’s fill. To apply a bitmap fill to a shape, you must import a bitmap
into the current file. Select any solid color, gradient, and the style and weight of the stroke.
•Create an outlined shape with no fill by using No Color as a fill.
•Create a filled shape with no outline by using No Color as an outline.
•Apply a solid color fill to text.
With the Color panel, you can create and edit solid colors and gradient fills in RGB and HSB modes.
To access the system color picker, select the Color Picker icon from the Stroke Color or Fill Color control in the
Color panel, the Tools panel or Shape Property inspector.

132
USING FLASH PROFESSIONAL
Creating and Editing Artwork
Last updated 1/16/2012
The Color panel
The Color panel lets you modify the color palette of a FLA and change the color of strokes and fills, including the
following:
•Import, export, delete, and otherwise modify the color palette for a FLA file by using the Swatches panel.
•Select colors in hexadecimal mode.
•Create multicolor gradients.
•Use gradients to produce a wide range of effects, such as giving an illusion of depth to a two-dimensional object.
The Color panel contains the following controls:
Stroke Color Changes the color of the stroke, or the border, of a graphic object.
Fill Color Changes the color of the fill. The fill is the area of color that fills up the shape.
Color Type menu Changes the fill style:
•None Removes the fill.
•Solid Color Provides a solid, single fill color.
•Linear Gradient Produces a gradient that blends on a linear path.
•Radial Gradient Produces a gradient that blends outward in a circular path from a central focal point.
•Bitmap Fill Tiles the selected fill area with a bitmap image that you can select. When you choose Bitmap, a dialog
box lets you select a bitmap image on your local computer, and add it to the library. You can apply this bitmap as a fill;
the appearance is similar to a mosaic tile pattern with the image repeated within the shape.
HSB Lets you change the Hue, Saturation, and Brightness of the colors in a fill.
RGB Lets you change the density of the red, green, and blue (RGB) colors in a fill.
Alpha Sets the opacity for a solid fill, or the currently selected slider for a gradient fill. An alpha value of 0% creates an
invisible (or transparent) fill; an alpha value of 100% creates an opaque fill.
Current Color Swatch Displays the currently selected color. If you select a gradient fill type (Linear or Radial) from the
fill Type menu, the Current Color Swatch displays the color transitions within the gradient you create.
System Color Picker Lets you select a color visually. Click System Color Picker and drag the cross-hair pointer until
you find the color you want.
Hexadecimal value Displays the current color’s hexadecimal value. To change the color using the hexadecimal value,
type in a new value. Hexadecimal color values (also called hex values) are 6-digit alphanumeric combinations that
represent a color.
Flow Lets you control colors applied past the limits of a linear or radial gradient.
•Extend Color (Default) Applies the colors you specify past the end of the gradient.
•Reflect Color Causes the gradient colors to fill the shape using a reflective mirroring effect. The gradients you
specify are repeated in a pattern from the beginning of the gradient to the end, and then repeated in the opposite
sequence from the end of the gradient to the beginning, and then back to the beginning of the gradient to the end until
the selected shape is filled.
•Repeat Color Repeats the gradient from the beginning of the gradient to the end until the selected shape is filled.
Note: Overflow modes are supported only in Adobe Flash Player 8 and later.
Linear RGB Creates a SVG-compliant (Scalable Vector Graphics) linear or radial gradient.

133
USING FLASH PROFESSIONAL
Creating and Editing Artwork
Last updated 1/16/2012
Color palettes
Each Flash Pro file contains its own color palette, stored in the Flash Pro document. Flash Pro displays a file’s palette
as swatches in the Fill Color and Stroke Color controls and in the Swatches panel. The default color palette is the web-
safe palette of 216 colors. To add colors to the current color palette, use the Color panel.
You can import and export both solid and gradient color palettes between Flash Pro files, as well as between Flash Pro
and other applications.
More Help topics
“Create or edit a solid color” on page 134
The default palette and the web-safe palette
Save the current palette as the default palette, replace the current palette with the default palette defined for the file, or
load the web-safe palette to replace the current palette.
•To load or save the default palette, in the Swatches panel, select one of the following commands from the menu in
the upper-right corner:
Load Default Colors Replaces the current palette with the default palette.
Save As Default Saves the current color palette as the default palette. The new default palette is used when you create
new files.
•To load the web-safe 216-color palette, in the Swatches panel, select Web 216 from the menu in the upper-right
corner
Sort color by hue in the palette
To make it easier to locate a color, sort colors in the palette by hue.
❖In the Swatches panel, select Sort by Color from the menu in the upper-right corner.
Import and export color palettes
To import and export both RGB colors and gradients between Flash Pro files, use Flash Pro Color Set files (CLR files).
Import and export RGB color palettes by using Color Table files (ACT files). You can also import color palettes, but
not gradients, from GIF files. You cannot import or export gradients from ACT files.
Import a color palette
1In the Swatches panel, select one of the following commands from the menu in the upper-right corner:
•To append the imported colors to the current palette, select Add Colors.
•To replace the current palette with the imported colors, select Replace Colors.
2Navigate to the desired file, select it, and click OK.
Export a color palette
1In the Swatches panel, select Save Colors from the menu in the upper-right corner and enter a name for the color
palette.
2For Save As Type (Windows) or Format (Macintosh), select Flash Color Set or Color Table. Click Save.

134
USING FLASH PROFESSIONAL
Creating and Editing Artwork
Last updated 1/16/2012
Create or edit a solid color
You can create any color using the Color panel. If an object is selected on the Stage, the color modifications you make
in the Color panel are applied to the selection. You can select colors in RGB or HSB, or you can expand the panel to
use hexadecimal mode. You can also specify an alpha value to define the degree of transparency for a color. In addition,
you can select a color from the existing color palette.
You can expand the Color panel to display a larger color space in place of the color bar, a split color swatch showing
the current and previous colors, and a Brightness slider to modify color brightness in all color modes.
1To apply the color to existing artwork, select an object or objects on the Stage, and select Window > Color.
2Click the Stroke or Fill icon to specify which attribute to modify.
Note: Click the icon, not the Color control, or the Color Picker opens.
3If you selected the Fill icon in step 3, verify that Solid is selected in the Type menu.
4If an object is selected on the Stage, the color modifications you make in the Color panel are applied to the selection.
Do one of the following:
•To select a color, click in the color space in the Color panel. To adjust the brightness of the color, drag the
Brightness slider.
Note: To create colors other than black or white, make sure the Brightness slider is not set to either extreme.
•Enter values in the color value boxes: Red, Green, and Blue values for RGB display; Hue, Saturation, and
Brightness values for HSB display; or hexadecimal values for hexadecimal display. Enter an Alpha value to
specify the degree of transparency, from 0 for complete transparency to 100 for complete opacity.
•To return to the default color settings, black and white (black stroke and white fill), click the Black and White
button
.
•To swap colors between the fill and the stroke, click the Swap Colors button .
•To apply no color to the fill or stroke, click the No Color button .
Note: You cannot apply a stroke or fill of No Color to an existing object. Instead, select the existing stroke or fill,
and delete it.
•Click the Stroke or Fill Color control, and select a color.
5To add the new color to the color swatch list for the current document, select Add Swatch from the menu in the
upper-right corner.
Duplicate, delete, and clear colors
Duplicate colors in the palette, delete individual colors, or clear all colors from the palette.
•To duplicate or delete a color, select Window > Swatches, click the color to duplicate or delete, and select Duplicate
Swatch or Delete Swatch from the panel menu. When duplicating a swatch, the paint bucket appears. Click in the
empty area of the Swatches panel with the paint bucket to make a duplicate of the selected color.
•To clear all colors from the color palette, in the Swatches panel, select Clear Colors from the panel menu. All colors
except black and white are removed from the palette.

135
USING FLASH PROFESSIONAL
Creating and Editing Artwork
Last updated 1/16/2012
Strokes, fills, and gradients
Create or edit a gradient fill
A gradient is a multicolor fill in which one color gradually changes into another color. Flash Pro lets you apply up to
15 color transitions to a gradient. Creating a gradient is a good way to create a smooth color gradation across one or
more objects. You can save a gradient as a swatch to make it easy to apply the gradient to multiple objects. Flash Pro
can create two types of gradients:
Linear gradients change color along a single axis (horizontal or vertical).
Radial gradients change color in an outward direction starting from a central focal point. You can adjust the direction
of a gradient, its colors, the location of the focal point, and many other properties of the gradient.
Adobe® Flash® Professional CS5 provides additional control over linear and radial gradients for use with Flash Player.
These controls, called overflow modes, let you specify how colors are applied beyond the gradient.
For a sample of gradients, see the Flash Samples page at www.adobe.com/go/learn_fl_samples. Download and
decompress the Samples zip file and navigate to the Graphics\AnimationAndGradients folder to access the sample.
1To apply a gradient fill to existing artwork, select an object or objects on the Stage.
2If the Color panel is not visible, select Window > Color.
3To select a color display mode, select RGB (the default setting) or HSB from the panel menu.
4Select a gradient type from the Type menu:
Linear Creates a gradient that shades from the starting point to the end point in a straight line.
Radial Produces a gradient that blends outward in a circular path from a central focal point.
Note: When you select a linear or radial gradient, the Color panel also includes two other options if you are publishing
for Flash Player 8 or later. First, the Overflow menu is enabled below the Type menu. Use the Overflow menu to control
the colors applied past the limits of the gradient. Second, the gradient definition bar appears, with pointers below the
bar indicating the colors in the gradient.
5(Optional) From the Overflow menu, select an overflow mode to apply to the gradient: Extend (the default mode),
Reflect, or Repeat.
6(Optional) To create an SVG-compliant (Scalable Vector Graphics) linear or radial gradient, select the Linear RGB
check box. This will allow the gradient to look smooth when scaled to different sizes after it is first applied.
7To change a color in the gradient, select one of the color pointers below the gradient definition bar (the triangle at
the top of the selected color pointer will turn black). Then click in the color space pane that appears above the
gradient bar. Drag the Brightness slider to adjust the lightness of the color.
8To add a pointer to the gradient, click on or below the gradient definition bar. Select a color for the new pointer, as
described in the previous step.
You can add up to 15 color pointers, letting you create a gradient with up to 15 color transitions.
9To reposition a pointer on the gradient, drag the pointer along the gradient definition bar. Drag a pointer down
and off of the gradient definition bar to remove it.
10 To save the gradient, click the triangle in the upper-right corner of the Color panel, and select Add Swatch from the
menu.
The gradient is added to the Swatches panel for the current document.

136
USING FLASH PROFESSIONAL
Creating and Editing Artwork
Last updated 1/16/2012
11 To transform the gradient, such as to make a vertical gradient instead of a horizontal one, use the Gradient
Transform tool. See “Transform gradient and bitmap fills” on page 138 for more information.
Adjust Stroke and Fill color
You can specify the stroke and fill color of graphic objects and shapes using either the Stroke Color and Fill Color
controls in the Tools panel, or the Stroke Color and Fill Color controls in the Property inspector.
The Stroke Color and Fill Color section of the Tools panel contains controls for activating the Stroke Color and Fill
Color boxes, which in turn determine whether the strokes or fills of selected objects are affected by color choices. Also,
the Colors section has controls for quickly resetting colors to the default, setting the stroke and fill color settings to
None, and swapping fill and stroke colors.
In addition to letting you select a stroke and fill color for a graphic object or shape, the Property inspector provides
controls for specifying the stroke width and style.
To use these controls to change the painting attributes of existing objects, first select the objects on the Stage.
Adjust stroke and fill color using the Tools panel
The Tools panel Stroke Color and Fill Color controls set the painting attributes of new objects you create with the
drawing and painting tools. To use these controls to change the painting attributes of existing objects, first select the
objects on the Stage.
•Click the Stroke or Fill Color control, and select a color swatch.
•Click the System Color Picker button in the pop-up window, and select a color.
•Type a color’s hexadecimal value in the box.
•To return to the default color settings (white fill and black stroke), click the Black And White button in the Tools
panel.
•To remove any stroke or fill, click the No Color button.
Note: The No Color button appears only when you are creating an oval or rectangle. You can create an object without
a stroke or fill, but you cannot use the No Color button with an existing object. Instead, select the existing stroke or fill
and delete it.
•To Swap colors between the fill and the stroke, click the Swap Colors button in the Tools panel.
Apply a solid color fill using the Property inspector
1Select a closed object or objects on the Stage.
2Select Window > Properties.
3To select a color, click the Fill Color control and do one of the following:
•Select a color swatch from the palette.
•Type a color’s hexadecimal value in the box.
Select a stroke color, style, and weight using the Property inspector
To change the stroke color, style, and weight for a selected object, use the Stroke Color control in the Property
inspector. For stroke style, choose from styles that are preloaded with Flash Pro, or create a custom style. To select a
solid color fill, use the Fill Color control in the Property inspector.
1Select an object or objects on the Stage (for symbols, first double-click to enter symbol-editing mode).

137
USING FLASH PROFESSIONAL
Creating and Editing Artwork
Last updated 1/16/2012
2Select Window > Properties.
3To select a stroke style, click the Style menu and select an option. To create a custom style, click Custom in the
Property inspector, select options in the Stroke Style dialog box, and click OK.
Note: Selecting a stroke style other than Solid can increase file size.
4To select a stroke weight, set the Stroke slider or enter a value in the text box.
5To enable stroke hinting, select the Stroke Hinting check box. Stroke hinting adjusts line and curve anchors on full
pixels, preventing blurry vertical or horizontal lines.
6To set the style for a path end, select a Cap option:
None Is flush with the path’s end.
Round Adds a round cap that extends beyond the path end by half the stroke width.
Square Adds a square cap that extends beyond the path by half the stroke width.
7(Optional) If you are drawing lines using the Pencil or Brush tools with the drawing mode set to Smooth, use the
Smoothing slider to specify the degree to which Flash Pro smooths the lines you draw.
By default, the Smoothing value is set to 50, but you can specify a value from 0 to 100. The greater the smoothing value,
the smoother the resulting line.
Note: When the drawing mode is set to Straighten or Ink, the Smoothing slider is disabled.
8To define how two path segments meet, select a Join option. To change the corners in an open or closed path, select
a path and select another join option.
Miter, round, and bevel joins.
9To avoid beveling a Miter join, enter a Miter limit.
Line lengths exceeding this value are squared instead of pointed. For example, a Miter limit of 2 for a 3-point stroke
means that when the length of the point is twice the stroke weight, Flash Pro removes the limit point.
Applying a Miter limit.
Adjust the strokes of multiple lines or shapes
To change the stroke color, width, and style of one or more lines or shape outlines, use the Ink Bottle tool. You can
apply only solid colors, not gradients or bitmaps, to lines or shape outlines.
Using the Ink Bottle tool, rather than selecting individual lines, makes it easier to change the stroke attributes of
multiple objects at one time.
1Select the Ink Bottle tool from the Tools panel.
2Select a stroke color.
3Select a stroke style and stroke width from the Property inspector.

138
USING FLASH PROFESSIONAL
Creating and Editing Artwork
Last updated 1/16/2012
4To apply the stroke modifications, click an object on the Stage.
Copy strokes and fills
Use the Eyedropper tool to copy fill and stroke attributes from one object and immediately apply them to another
object. The Eyedropper tool also lets you sample the image in a bitmap to use as a fill.
1To apply the attributes of a stroke or filled area to another stroke or filled area, select the Eyedropper tool and click
the stroke or filled area whose attributes you want to apply.
When you click a stroke, the tool automatically changes to the Ink Bottle tool. When you click a filled area, the tool
automatically changes to the Paint Bucket tool with the Lock Fill modifier turned on.
2Click another stroke or filled area to apply the new attributes.
More Help topics
“Break apart groups and objects” on page 127
Modifying painted areas
The Paint Bucket tool fills enclosed areas with color. This tool lets you do the following:
•Fill empty areas, and change the color of already painted areas.
•Paint with solid colors, gradients, and bitmap fills.
•Use the Paint Bucket tool to fill areas that are not entirely enclosed.
•Have Flash Pro close gaps in shape outlines as you use the Paint Bucket tool.
1Select the Paint Bucket tool from the Tools panel.
2Select a fill color and style.
3Click the Gap Size modifier that appears at the bottom of the Tools panel and select a gap size option:
•Don’t Close Gaps to close gaps manually before filling the shape. Closing gaps manually can be faster for complex
drawings.
•A Close option to have Flash Pro fill a shape that has gaps.
Note: If gaps are too large, you might have to close them manually.
4Click the shape or enclosed area to fill.
More Help topics
“Adjust Stroke and Fill color” on page 136
“Work with imported bitmaps” on page 65
Transform gradient and bitmap fills
You can transform a gradient or bitmap fill by adjusting the size, direction, or center of the fill.
1Select the Gradient Transform tool from the Tools panel. If you do not see the Gradient Transform tool in the
Tools panel, click and hold on the Free Transform tool and then select the Gradient Transform tool from the menu
that appears.

139
USING FLASH PROFESSIONAL
Creating and Editing Artwork
Last updated 1/16/2012
2Click an area filled with a gradient or bitmap fill. A bounding box with editing handles appears. When the pointer
is over any one of these handles, it changes to indicate the function of the handle.
Center point The rollover icon for the center point handle is a four-way arrow.
Focal point The focal point handle appears only when you select a radial gradient. The rollover icon for the focal point
handle is an inverted triangle.
Size The rollover icon for the size handle (middle handle icon on the edge of the bounding box) is a circle with an
arrow inside of it.
Rotation Adjusts the rotation of the gradient. The rollover icon for the rotation handle (the bottom handle icon on the
edge of the bounding box) is four arrows in the shape of a circle.
Width Adjusts the width of the gradient. The rollover icon for the width handle (the square handle) is a double-ended
arrow.
Radial gradient controls
A. Center point B. Width C. Rotation D. Size E. Focal point.
Press Shift to constrain the direction of a linear gradient fill to multiples of 45°.
3Reshape the gradient or fill in any of the following ways:
•To reposition the center point of the gradient or bitmap fill, drag the center point.
•To change the width of the gradient or bitmap fill, drag the square handle on the side of the bounding box. (This
option resizes only the fill, not the object containing the fill.)
D
C
E
BA

140
USING FLASH PROFESSIONAL
Creating and Editing Artwork
Last updated 1/16/2012
•To change the height of the gradient or bitmap fill, drag the square handle at the bottom of the bounding box.
•To rotate the gradient or bitmap fill, drag the circular rotation handle at the corner. You can also drag the lowest
handle on the bounding circle of a circular gradient or fill.
•To scale a linear gradient or a fill, drag the square handle at the center of the bounding box.
•To change the focal point of a circular gradient, drag the middle circular handle on the bounding circle.

141
USING FLASH PROFESSIONAL
Creating and Editing Artwork
Last updated 1/16/2012
•To skew or slant a fill within a shape, drag one of the circular handles on the top or right side of the bounding box.
•To tile a bitmap inside a shape, scale the fill.
Note: To see all the handles when working with large fills or fills close to the edge of the Stage, select View > Pasteboard.
Lock a gradient or bitmap to fill the Stage
You can lock a gradient or bitmap fill to make it appear that the fill extends over the entire Stage and that the objects
painted with the fill are masks revealing the underlying gradient or bitmap.
When you select the Lock Fill modifier with the Brush or Paint Bucket tool and paint with the tool, the bitmap or
gradient fill extends across the objects you paint on the Stage.
Using the Lock Fill modifier creates the appearance of a single gradient or bitmap fill being applied to separate objects on the Stage.
More Help topics
“Modifying painted areas” on page 138
Use a locked gradient fill
1Select the Brush or Paint Bucket tool and select a gradient or bitmap as a fill.
2Select Linear or Radial from the Type menu in the Color panel.
3Click the Lock Fill modifier .
4First paint the areas where you want to place the center of the fill, and then move to other areas.
Use a locked bitmap fill
1Select the bitmap to use.
2Select Bitmap from the Type menu in the Color panel.
3Select the Brush or Paint Bucket tool.
4Click the Lock Fill modifier .

142
USING FLASH PROFESSIONAL
Creating and Editing Artwork
Last updated 1/16/2012
5First paint the areas where you want to place the center of the fill, and then move to other areas.
3D graphics
About 3D graphics in Flash
Flash Pro allows you to create 3D effects by moving and rotating movie clips in 3D space on the Stage. Flash Pro
represents 3D space by including a z axis in the properties of each movie clip instance. You add 3D perspective effects
to movie clip instances by moving them along their x axis or rotating them around their x or y axis using the 3D
Translation and 3D Rotation tools. In 3D terminology, moving an object in 3D space is called a translation and rotating
an object in 3D space is called a transformation. Once you have applied either of these effects to a movie clip, Flash Pro
considers it a 3D movie clip and a colored axes indicator appears overlaid onto the movie clip whenever it is selected.
To make an object appear nearer or further away from the viewer, move it along its z axis with the 3D Translation tool
or the Property inspector. To give the impression of an object that is at an angle to the viewer, rotate the movie clip
around its z axis with the 3D Rotation tool. By using these tools in combination, you can create realistic perspective
effects.
Both the 3D Translation and the 3D Rotation tools allow you to manipulate objects in global or local 3D space. Global
3D space is the Stage space. Global transforms and translations are relative to the Stage. Local 3D space is the movie
clip space. Local transforms and translations are relative to the movie clip space. For example, if you have a movie clip
containing several nested movie clips, local 3D transforms of the nested movie clips are relative to the drawing area
inside the container movie clip. The default mode of the 3D Translation and Rotation tools is global. To use them in
local mode, click the Global toggle button in the Options section of the Tools panel.
The Stage with a movie clip rotated in global 3D space.

143
USING FLASH PROFESSIONAL
Creating and Editing Artwork
Last updated 1/16/2012
The Stage with a movie clip containing a nested movie clip rotated in local 3D space.
By using the 3D properties of movie clip instances in your FLA file, you can create a variety of graphic effects without
duplicating movie clips in the library. However, when you edit a movie clip from the library, 3D transforms and
translations that have been applied are not visible. When editing the contents of a movie clip, only 3D transforms of
nested movie clips are visible.
Note: Once a 3D transform is added to a movie clip instance, its parent movie clip symbol cannot be edited in Edit in
Place mode.
If you have 3D objects on the Stage, you can add certain 3D effects to all of those objects as a group by adjusting the
Perspective Angle and Vanishing Point properties of your FLA file. The Perspective Angle property has the effect of
zooming the view of the Stage. The Vanishing Point property has the effect of panning the 3D objects on the Stage.
These settings only affect the appearance of movie clips that have a 3D transform or translation applied to them.
In the Flash Pro authoring tool, you can control only one viewpoint, or camera. The camera view of your FLA file is
the same as the Stage view. Each FLA file has only one perspective Angle and Vanishing Point setting.
To use the 3D capabilities of Flash Pro, the publish settings of your FLA file must be set to Flash Player 10 and
ActionScript 3.0. Only movie clip instances can be rotated or translated along the z axis. Some 3D capabilities are
available through ActionScript that are not available directly in the Flash Pro user interface, such as multiple Vanishing
Points and separate cameras for each movie clip. Using ActionScript 3.0, you can apply 3D properties to objects such
as text, FLV Playback components, and buttons, in addition to movie clips.
Note: The 3D tools cannot be used on objects on mask layers and layers containing 3D objects cannot be used as mask
layers. For more information about mask layers, see “Using mask layers” on page 235.
Additional resources
The following resources provide additional detailed information about working with 3D graphics in Flash Pro:
Video tutorials:
•Working with 3D art (5:02) (Adobe.com)
•Flash Downunder – 3D rotation and 3D translation (25:50) (Adobe.com)
•Layers TV – Episode 74: 3D tools and sound (23:09) (Adobe.com)

144
USING FLASH PROFESSIONAL
Creating and Editing Artwork
Last updated 1/16/2012
Articles:
•Mariko Ogawa has written a detailed article titled Exploring the new 3D features in Flash Professional in the Adobe
Flash Developer Center. The article describes using the 3D tools, animating 3D properties, and working with 3D in
ActionScript 3.0.
Move objects in 3D space
You move movie clip instances in 3D space with the 3D Translation tool . When you select a movie clip with the
tool, its three axes, X, Y, and Z, appear on the Stage on top of the object. The x axis is red, the y axis is green, and the z
axis is blue.
The default mode of the 3D Translation tool is global. Moving an object in global 3D space is the same as moving it
relative to the Stage. Moving an object in local 3D space is the same as moving it relative to its parent movie clip if it
has one. To toggle the 3D Translation tool between global and local modes, click the Global toggle button in the
Options section of the Tools panel while the 3D Translation tool is selected. You can temporarily toggle the mode from
global to local by pressing the D key while dragging with the 3D Translation tool.
The 3D Translation and Rotation tools occupy the same space in the Tools panel. Click and hold the active 3D tool
icon in the Tools panel to select the currently inactive 3D tool.
By default, selected objects that have 3D translation applied appear with a 3D axis overlay on the Stage. You can turn
off this overlay in the General section of Flash Preferences.
The 3D Translation tool overlay.
Note: Changing the z axis position of a 3D movie clip will cause the movie clip to appear to change its x and y position as
well. This is because movement along the z axis follows the invisible perspective lines which radiate from the 3D vanishing
point (set in the 3D symbol instance Property inspector) to the edges of the Stage.
Move a single object in 3D space
1Select the 3D Translation tool in the Tools panel (or press the G key to select it).
2Set the tool to Local or Global mode.
Be sure that the tool is in the mode you want mode by checking the Global toggle button in the Options section of the
Tools panel. Click the button or press the D key to toggle the mode.
3Select a movie clip with the 3D Translation tool .
4To move the object by dragging with the tool, move the pointer over the x-, y-, or z-axis controls. The pointer
changes when over any of the controls.

145
USING FLASH PROFESSIONAL
Creating and Editing Artwork
Last updated 1/16/2012
The x- and y-axis controls are the arrow tips on each axis. Drag one of these controls in the direction of its arrow to
move the object along the selected axis. The z-axis control is the black dot at the center of the movie clip. Drag the z-
axis control up or down to move the object on the z axis.
5To move the object using the Property inspector, enter a value for X, Y, or Z in the 3D Position and View section
of the Property inspector.
When you move an object on the z axis, its apparent size changes. The apparent size appears in the Property inspector as
the Width and Height values in the 3D Position and View section of the Property inspector. These values are read-only.
Move a multiple-object selection in 3D space
When you select multiple movie clips, you can move one of the selected objects with the 3D Translation tool and
the others move in the same way.
•To move each object in the group in the same way in global 3D space, set the 3D Translation tool to global mode
and then drag one of the objects with the axis controls. Shift-double-click one of the selected objects to move the
axis controls to that object.
•To move each object in the group in the same way in local 3D space, set the 3D Translation tool to local mode and
then drag one of the objects with the axis controls. Shift-double-click one of the selected objects to move the axis
controls to that object.
You can also move the axis controls to the center of the multiple selection by double-clicking the z-axis control. Shift-
double-click one of the selected objects to move the axis controls to that object.
Rotate objects in 3D space
You rotate movie clip instances in 3D space with the 3D Rotation tool . A 3D rotation control appears on top of
selected objects on the Stage. The X control is red, the Y control is green, and the Z control is blue. Use the orange free
rotate control to rotate around the X and Y axes at the same time.
The default mode of the 3D Rotation tool is global. Rotating an object in global 3D space is the same as moving it
relative to the Stage. Rotating an object in local 3D space is the same as moving it relative to its parent movie clip if it
has one. To toggle the 3D Rotation tool between global and local modes, click the Global toggle button in the Options
section of the Tools panel while the 3D Rotation tool is selected. You can temporarily toggle the mode from global to
local by pressing the D key while dragging with the 3D Rotation tool.
The 3D Rotation and Translation tools occupy the same space in the Tools panel. Click and hold the active 3D tool
icon in the Tools panel to select the currently inactive 3D tool.
By default, selected objects that have 3D rotation applied appear with a 3D axis overlay on the Stage. You can turn off
this overlay in the General section of Flash Preferences.

146
USING FLASH PROFESSIONAL
Creating and Editing Artwork
Last updated 1/16/2012
The Global 3D Rotation tool overlay.
The Local 3D Rotation tool overlay.
Rotate a single object in 3D space
1Select the 3D Rotation tool in the Tools panel (or press the W key).
Verify that the tool is in the mode that you want by checking the Global toggle button in the Options section of the
Tools panel. Click the button or press the D key to toggle the mode between global and local.
2Select a movie clip on the Stage.
The 3D Rotation controls appear overlaid on selected object. If the controls appear in a different location, double-click
the control center point to move it to the selected object.
3Place the pointer over one of the four rotation axis controls.
The pointer changes when over one of the four controls.
4Drag one of the axis controls to rotate around that axis, or the free rotate control (outer orange circle) to rotate x
and y simultaneously.
Drag the X axis control left or right to rotate around the x axis. Drag the y-axis control up or down to rotate around
the y axis. Drag the z-axis control in a circular motion to rotate around the z axis.
5To relocate the rotation control center point relative to the movie clip, drag the center point. To constrain the
movement of the center point to 45° increments, press the Shift key while dragging.
Moving the rotation control center point lets you control the effect of the rotation on the object and its appearance.
Double-click the center point to move it back to the center of the selected movie clip.

147
USING FLASH PROFESSIONAL
Creating and Editing Artwork
Last updated 1/16/2012
The location of the rotation control center point for the selected object appears in the Transform panel as the 3D
Center Point property. You can modify the location of the center point in the Transform panel.
Rotate a multiple-object selection in 3D space
1Select the 3D Rotation tool in the Tools panel (or press the W key).
Verify that the tool is in the mode that you want by checking the Global toggle button in the Options section of the
Tools panel. Click the button or press the D key to toggle the mode between global and local.
2Select multiple movie clips on the Stage.
The 3D Rotation controls appear overlaid on the most recently selected object.
3Place the pointer over one of the four rotation axis controls.
The pointer changes when over one of the four controls.
4Drag one of the axis controls to rotate around that axis, or the free rotate control (outer orange circle) to rotate X
and Y simultaneously.
Drag the x-axis control left or right to rotate around the x axis. Drag the y-axis control up or down to rotate around
the y axis. Drag the z-axis control in a circular motion to rotate around the z axis.
All of the selected movie clips rotate around the 3D center point which appears at the center of the rotation controls.
5To relocate the 3D rotation control center point, do one of the following:
•To move the center point to an arbitrary location, drag the center point.
•To move the center point to the center of one of the selected movie clips, Shift-double-click the movie clip.
•To move the center point to the center of the group of selected movie clips, double-click the center point.
Changing the location of the 3D rotation center point lets you control the effect of the rotation on the objects.
The location of the rotation control center point for the selected object appears in the Transform panel as the 3D
Center Point. You can modify the location of the center point in the Transform panel.
Rotate a selection with the Transform panel
1Open the Transform panel (Window > Transform).
2Select one or more movie clips on the Stage.
3In the Transform panel, enter the desired values in the 3D Rotation X, Y, and Z fields to rotate the selection. These
fields contain hot text, so you can drag the values to change them.
Note: The 3D rotation takes place in global or local 3D space, depending on the current mode of the 3D Rotation tool in
the Tools panel.
4To move the 3D rotation point, enter the desired values in the 3D Center Point X, Y, and Z fields.
Adjusting the Perspective Angle
The Perspective Angle property of a FLA file controls the apparent angle of view of 3D movie clips on the Stage.
Increasing or decreasing the Perspective Angle affects the apparent size of 3D movie clips and their location relative
to the edges of the Stage. By increasing the Perspective Angle, you make 3D objects appear closer to the viewer. By
decreasing the Perspective Angle property, you make 3D objects appear further away. The effect is like zooming in or
out with a camera lens which changes the angle of view through the lens.

148
USING FLASH PROFESSIONAL
Creating and Editing Artwork
Last updated 1/16/2012
The Stage with a Perspective Angle of 55.
The Stage with a Perspective Angle of 110.
The Perspective Angle property affects all movie clips with 3D translation or rotation applied to them. The Perspective
Angle does not affect other movie clips. The default Perspective Angle is 55° of view, like a normal camera lens. The
range of values is from 1° to 180°.
To view or set the Perspective Angle in the Property inspector, a 3D movie clip must be selected on Stage. Changes to
the Perspective Angle are visible on the Stage immediately.
The Perspective Angle changes automatically when you change the Stage size so that the appearance of 3D objects does
not change. You can turn off this behavior in the Document Properties dialog box.
To set the Perspective Angle:
1On the Stage, select a movie clip instance that has 3D rotation or translation applied to it.
2In the Property inspector, enter a new value in the Perspective Angle field, or drag the hot text to change the value.

149
USING FLASH PROFESSIONAL
Creating and Editing Artwork
Last updated 1/16/2012
Adjust the Vanishing Point
The Vanishing Point property of a FLA file controls the orientation of the z axis of 3D movie clips on the Stage. The z
axes of all 3D movie clips in a FLA file recede toward the Vanishing Point. By relocating the Vanishing Point, you
change the direction that an object moves when translated along its z axis. By adjusting the position of the Vanishing
Point, you can precisely control the appearance of 3D objects and animation on the Stage.
For example, if you locate the Vanishing Point at the upper-left corner of the Stage (0, 0), then increasing the value of
the Z property of a movie clip moves the movie clip away from the viewer and toward the upper-left corner of the Stage.
Because the Vanishing Point affects all 3D movie clips, changing it also changes the position of all movie clips that have
a z-axis translation applied.
The Vanishing Point is a document property that affects all movie clips that have z-axis translation or rotation applied
to them. The Vanishing Point does not affect other movie clips. The default location of the Vanishing Point is the
center of the Stage.
To view or set the Vanishing Point in the Property inspector, a 3D movie clip must be selected on Stage. Changes to
the Vanishing Point are visible on the Stage immediately.
To set the Vanishing Point:
1On the Stage, select a movie clip that has 3D rotation or translation applied to it.
2In the Property inspector, enter a new value in the Vanishing Point field, or drag the hot text to change the value.
Guides indicating the location of the Vanishing Point appear on the Stage while dragging the hot text.
3To move the Vanishing Point back to the center of the Stage, click the Reset button in the Property inspector.
Note: If you resize the Stage, the Vanishing Point does not update automatically. To maintain the 3D look created by a
specific placement of the Vanishing Point, you will need to reposition the Vanishing Point relative to the new Stage size.

150
Last updated 1/16/2012
Chapter 6: Symbols, instances, and library
assets
Working with symbols
About symbols
A symbol is a graphic, button, or movie clip that you create once in the Flash Pro authoring environment or by using
the Button (AS 2.0), SimpleButton (AS 3.0), and MovieClip classes. You can then reuse the symbol throughout your
document or in other documents.
A symbol can include artwork that you import from another application. Any symbol that you create automatically
becomes part of the library for the current document.
An instance is a copy of a symbol located on the Stage or nested inside another symbol. An instance can be different
from its parent symbol in color, size, and function. Editing the symbol updates all of its instances, but applying effects
to an instance of a symbol updates only that instance.
Using symbols in your documents dramatically reduces file size; saving several instances of a symbol requires less
storage space than saving multiple copies of the contents of the symbol. For example, you can reduce the file size of
your documents by converting static graphics, such as background images, into symbols and then reusing them. Using
symbols can also speed SWF file playback, because a symbol needs to be downloaded to Flash® Player only once.
Share symbols among documents as shared library assets during authoring or at runtime. For runtime shared assets,
you can link assets in a source document to any number of destination documents, without importing the assets into
the destination document. For assets shared during authoring, you can update or replace a symbol with any other
symbol available on your local network.
If you import library assets with the same name as assets already in the library, you can resolve naming conflicts
without accidentally overwriting existing assets.
Additional introductory instruction about symbols is available from these resources:
•Adobe TV: Understanding symbols (2:28)
•Adobe Video Workshop: Creating and using symbols and instances (CS3) (7:12) (This video focuses on Flash
Professional CS3, but the information is still relevant.)
•Flash Professional Design Center article: Using Flash for the first time – Part 1: Building a banner
Types of symbols
Each symbol has a unique Timeline and Stage, complete with layers. You can add frames, keyframes, and layers to a
symbol Timeline, just as you can to the main Timeline. When you create a symbol you choose the symbol type.
•Use graphic symbols for static images and to create reusable pieces of animation that are tied to the main
Timeline. Graphic symbols operate in sync with the main Timeline. Interactive controls and sounds won’t work in
a graphic symbol’s animation sequence. Graphic symbols add less to the FLA file size than buttons or movie clips
because they have no timeline.

151
USING FLASH PROFESSIONAL
Symbols, instances, and library assets
Last updated 1/16/2012
•Use button symbols to create interactive buttons that respond to mouse clicks, rollovers, or other actions. You
define the graphics associated with various button states, and then assign actions to a button instance. For more
information, see Handling events in Learning ActionScript 2.0 in Adobe Flash or Handling events in the
ActionScript 3.0 Developer’s Guide.
•Use movie clip symbols to create reusable pieces of animation. Movie clips have their own multiframe Timeline
that is independent from the main Timeline—think of them as nested inside a main Timeline that can contain
interactive controls, sounds, and even other movie clip instances. You can also place movie clip instances inside the
Timeline of a button symbol to create animated buttons. In addition, movie clips are scriptable with ActionScript®.
•Use font symbols to export a font and use it in other Flash Pro documents.
Flash Pro provides built-in components, movie clips with defined parameters, that you can use to add user interface
elements, such as buttons, checkboxes, or scroll bars, to your documents. For more information, see About
Components in Using ActionScript 2.0 Components, or About ActionScript 3.0 Components in Using ActionScript
3.0 Components.
Note: To preview animation in component instances and scaling of 9-slice-scaled movie clips in the Flash Pro
authoring environment, select Control
> Enable Live Preview.
More Help topics
“Creating buttons” on page 168
“Sharing library assets at runtime” on page 164
“Work with libraries” on page 159
“Embed fonts for consistent text appearance” on page 282
Create symbols
You can create a symbol from selected objects on the Stage, create an empty symbol and make or import the content
in symbol-editing mode, and create font symbols in Flash Pro. Symbols can contain all the functionality that Flash Pro
can create, including animation.
Using symbols that contain animation lets you create Flash Pro applications with a lot of movement while minimizing
file size. Consider creating animation in a symbol that has a repetitive or cyclic action—the up-and-down motion of a
bird’s wings, for example.
To add symbols to your document, use shared library assets during authoring or at runtime.
More Help topics
“Editing instance properties” on page 155
“Sharing library assets at runtime” on page 164
“Embed fonts for consistent text appearance” on page 282
Convert selected elements to a symbol
1Select an element or several elements on the Stage. Do one of the following:
•Select Modify > Convert To Symbol.
•Drag the selection to the Library panel.
•Right-click (Windows) or Control-click (Macintosh) and select Convert To Symbol from the context menu.

152
USING FLASH PROFESSIONAL
Symbols, instances, and library assets
Last updated 1/16/2012
2In the Convert To Symbol dialog box, type the name of the symbol and select the behavior.
3Click in the registration grid to position the registration point for the symbol.
4Click OK.
Flash Pro adds the symbol to the library. The selection on the Stage becomes an instance of the symbol. Once you have
created a symbol, you can edit it in symbol edit mode by choosing Edit
> Edit Symbols, or you can edit it in the context
of the Stage by choosing Edit
> Edit In Place. You can also change the registration point of a symbol.
Create an empty symbol
1Do one of the following:
•Select Insert > New Symbol.
•Click the New Symbol button at the lower left of the Library panel.
•Select New Symbol from the Library Panel menu in the upper-right corner of the Library panel.
2In the Create New Symbol dialog box, type the name of the symbol and select the behavior.
3Click OK.
Flash Pro adds the symbol to the library and switches to symbol-editing mode. In symbol-editing mode, the name of
the symbol appears above the upper-left corner of the Stage, and a cross hair indicates the symbol’s registration point.
4To create the symbol content, use the Timeline, draw with the drawing tools, import media, or create instances of
other symbols.
5To return to document-editing mode, do one of the following:
•Click the Back button.
•Select Edit > Edit Document.
•Click the scene name in the Edit bar.
When you create a symbol, the registration point is placed at the center of the window in symbol-editing mode. You
can place the symbol contents in the window in relation to the registration point. To change the registration point,
when you edit a symbol, move the symbol contents in relation to the registration point.
Convert animation on the Stage into a movie clip symbol
To reuse an animated sequence on the Stage, or to manipulate it as an instance, select it and save it as a movie clip
symbol.
1On the main Timeline, select every frame in every layer of the animation on the Stage that you want to use. For
information on selecting frames, see “Insert frames in the Timeline” on page 179.
2Do one of the following to copy the frames:
•Right-click (Windows) or Control-click (Macintosh) any selected frame, and select Copy Frames from the context
menu. To delete the sequence after converting it to a movie clip, select Cut.
•Select Edit > Timeline > Copy Frames. To delete the sequence after converting it to a movie clip, select Cut Frames.
3Deselect your selection and make sure nothing on the Stage is selected. Select Insert > New Symbol.
4Name the symbol. For Type, select Movie Clip, then click OK.
5On the Timeline, click Frame 1 on Layer 1, and select Edit > Timeline > Paste Frames.

153
USING FLASH PROFESSIONAL
Symbols, instances, and library assets
Last updated 1/16/2012
This action pastes the frames (and any layers and layer names) you copied from the main Timeline to the Timeline of
this movie clip symbol. Any animation, buttons, or interactivity from the frames you copied now becomes an
independent animation (a movie clip symbol) that you can reuse.
6To return to document-editing mode, do one of the following:
•Click the Back button.
•Select Edit > Edit Document.
•Click the scene name in the Edit bar above the Stage.
Duplicate symbols
Duplicating a symbol lets you use an existing symbol as a starting point for creating a symbol.
To create versions of the symbol with different appearances, also use instances.
Duplicate a symbol using the Library panel
❖Select a symbol in the Library panel and do one of the following:
•Right-click (Windows) or Control-click (Macintosh), and select Duplicate from the context menu.
•Select Duplicate from the Library Panel menu.
Duplicate a symbol by selecting an instance
1Select an instance of the symbol on the Stage.
2Select Modify > Symbol > Duplicate Symbol.
The symbol is duplicated, and the instance is replaced with an instance of the duplicate symbol.
Edit symbols
When you edit a symbol, Flash Pro updates all the instances of that symbol in your document. Edit the symbol in the
following ways:
•In context with the other objects on the Stage by using the Edit In Place command. Other objects are dimmed to
distinguish them from the symbol you are editing. The name of the symbol you are editing appears in an Edit bar
at the top of the Stage, to the right of the current scene name.
•In a separate window, using the Edit In New Window command. Editing a symbol in a separate window lets you
see the symbol and the main Timeline at the same time. The name of the symbol you are editing appears in the Edit
bar at the top of the Stage.
You edit the symbol by changing the window from the Stage view to a view of only the symbol, using symbol-
editing mode. The name of the symbol you are editing appears in the Edit bar at the top of the Stage, to the right of
the current scene name.
When you edit a symbol, Flash Pro updates all instances of the symbol throughout the document to reflect your
edits. While editing a symbol, use any of the drawing tools, import media, or create instances of other symbols.
•Change the registration point of a symbol (the point identified by the coordinates 0, 0) by using any symbol-editing
method.

154
USING FLASH PROFESSIONAL
Symbols, instances, and library assets
Last updated 1/16/2012
Edit a symbol in place
1Do one of the following:
•Double-click an instance of the symbol on the Stage.
•Select an instance of the symbol on the Stage and right-click (Windows) or Control-click (Macintosh), and select
Edit in Place.
•Select an instance of the symbol on the Stage, and select Edit > Edit In Place.
2Edit the symbol.
3To change the registration point, drag the symbol on the Stage. A cross hair indicates the location of the registration
point.
4To exit edit-in-place mode and return to document-editing mode, do one of the following:
•Click the Back button.
•Select the current scene name from the Scene menu in the Edit bar.
•Select Edit > Edit Document.
•Double-click outside the symbol content.
Edit a symbol in a new window
1Select an instance of the symbol on the Stage and right-click (Windows) or Control-click (Macintosh), and select
Edit In New Window.
2Edit the symbol.
3To change the registration point, drag the symbol on the Stage. A cross hair indicates the location of the registration
point.
4Click the Close box in the upper-right corner (Windows) or upper-left corner (Macintosh) to close the new
window, and click in the main document window to return to editing the main document.
Edit a symbol in symbol-editing mode
1Do one of the following to select the symbol:
•Double-click the symbol’s icon in the Library panel.
•Select an instance of the symbol on the Stage, and right-click (Windows) or Control-click (Macintosh), and select
Edit from the context menu.
•Select an instance of the symbol on the Stage and select Edit > Edit Symbols.
•Select the symbol in the Library panel and select Edit from the Library Panel menu, or right-click (Windows) or
Control-click (Macintosh) the symbol in the Library panel and select Edit.
2Edit the symbol.
3To exit symbol-editing mode and return to editing the document, do one of the following:
•Click the Back button at the left of the Edit bar at the top of the Stage.
•Select Edit > Edit Document.
•Click the scene name in the Edit bar at the top of the Stage.
•Double-click outside the symbol content.

155
USING FLASH PROFESSIONAL
Symbols, instances, and library assets
Last updated 1/16/2012
Working with symbol instances
Create instances
After you create a symbol, you can create instances of that symbol throughout your document, including inside other
symbols. When you modify the symbol, Flash Pro updates all instances of the symbol.
You can give names to instances from the Property inspector. Use the instance name to refer to an instance in
ActionScript. To control instances with ActionScript®, give each instance within a single timeline a unique name. For
more information, see Handling events in Learning ActionScript 2.0 in Adobe Flash or Handling events in the
ActionScript 3.0 Developer’s Guide.
To specify color effects, assign actions, set the graphic display mode, or change the behavior of new instances, use the
Property inspector. The behavior of the instance is the same as the symbol behavior, unless you specify otherwise. Any
changes you make affect only the instance and not the symbol.
Create an instance of a symbol
1Select a layer in the Timeline. Flash Pro can place instances only in keyframes, always on the current layer. If you
don’t select a keyframe, Flash Pro adds the instance to the first keyframe to the left of the current frame.
Note: A keyframe is a frame in which you define a change in the animation. For more information, see “Insert frames
in the Timeline” on page 179.
2Select Window > Library.
3Drag the symbol from the library to the Stage.
4If you created an instance of a graphic symbol, to add the number of frames that will contain the graphic symbol,
select Insert
> Timeline > Frame.
Apply a custom name to an instance
1Select the instance on the Stage.
2Select Window > Properties, and enter a name in the Instance Name box.
Editing instance properties
Each symbol instance has its own properties that are separate from the symbol. You can change the tint, transparency,
and brightness of an instance; redefine how the instance behaves (for example, change a graphic to a movie clip); and
specify how an animation plays inside a graphic instance. You can also skew, rotate, or scale an instance without
affecting the symbol.
In addition, you can name a movie clip or button instance so that you can use ActionScript to change its properties.
For more information, see Classes in Learning ActionScript 2.0 in Adobe Flash or Objects and classes in Learning
ActionScript 3.0. To edit instance properties, you use the Property inspector (Windows > Properties).
The properties of an instance are saved with it. If you edit a symbol or relink an instance to a different symbol, any
instance properties you’ve changed still apply to the instance.
Set the visibilty of an instance (CS5.5 only)
You can make a symbol instance on the Stage invisible by turning off the Visible property. Using the Visible property
provides faster rendering performance than setting the symbol’s Alpha property to 0.

156
USING FLASH PROFESSIONAL
Symbols, instances, and library assets
Last updated 1/16/2012
The Visible property requires a Player setting of Flash Player 10.2 or later and is only compatible with movie clip,
button, and component instances.
1Select the instance on the Stage.
2In the Display section of the Properties panel, deselect the Visible property.
Change the color and transparency of an instance
Each instance of a symbol can have its own color effect. To set color and transparency options for instances, use the
Property inspector. Settings in the Property inspector also affect bitmaps placed in symbols.
When you change the color and transparency for an instance in a specific frame, Flash Pro makes the change as soon
as it displays that frame. To make gradual color changes, apply a motion tween. When tweening color, you enter
different effect settings in starting and ending keyframes of an instance, and then tween the settings to make the
instance’s colors shift over time.
Tweening gradually changes an instance’s color or transparency.
Note: If you apply a color effect to a movie clip symbol that has multiple frames, Flash Pro applies the effect to every frame
in the movie clip symbol.
1Select the instance on the Stage, and select Window > Properties.
2In the Property inspector, select one of the following options from the Style menu in the Color Effect section:
Brightness Adjusts the relative lightness or darkness of the image, measured on a scale from black (–100%) to white
(100%). To adjust brightness, click the triangle and drag the slider or enter a value in the box.
Tint Colors the instance with the same hue. To set the tint percentage from transparent (0%) to completely saturated
(100%), use the Tint slider in the Property inspector. To adjust tint, click the triangle and drag the slider or enter a
value in the box. To select a color, enter red, green, and blue values in the respective boxes, or click the Color control
and select a color from the Color Picker.

157
USING FLASH PROFESSIONAL
Symbols, instances, and library assets
Last updated 1/16/2012
Alpha Adjusts the transparency of the instance, from transparent (0%) to completely saturated (100%). To adjust the
alpha value, click the triangle and drag the slider or enter a value in the box.
Advanced Separately adjusts the red, green, blue, and transparency values of an instance. This is most useful to create
and animate subtle color effects on objects such as bitmaps. The controls on the left let you reduce the color or
transparency values by a specified percentage. The controls on the right let you reduce or increase the color or
transparency values by a constant value.
The current red, green, blue, and alpha values are multiplied by the percentage values, and then added to the constant
values in the right column, producing the new color values. For example, if the current red value is 100, setting the left
slider to 50% and the right slider to 100% produces a new red value of 150 ([100 x .5] + 100 = 150).
Note: The Advanced settings in the Effect panel implement the function (a * y+ b)= x where a is the percentage specified
in the left set of boxes, y is the color of the original bitmap, b is the value specified in the right set of boxes, and x is the
resulting effect (between 0 and 255 for RGB, and 0 and 100 for alpha transparency).
You can also change the color of an instance using the ActionScript ColorTransform object. For detailed information
on the Color object, see ColorTransform in ActionScript 2.0 Language Reference or ActionScript 3.0 Language and
Components Reference.
More Help topics
“Add classic tween animation to an instance, a group, or text” on page 225
Swap one instance for another
To display a different instance on the Stage and preserve all the original instance properties, such as color effects or
button actions, assign a different symbol to an instance.
For example, suppose you’re creating a cartoon with a rat symbol for your character, but decide to change the character
to a cat. You could replace the rat symbol with the cat symbol and have the updated character appear in roughly the
same location in all your frames.
Assign a different symbol to an instance
1Select the instance on the Stage, and select Window > Properties.
2Click the Swap button in the Property inspector.
3Select a symbol to replace the symbol currently assigned to the instance. To duplicate a selected symbol, click
Duplicate Symbol and click OK.
Duplicating lets you base a new symbol on an existing one in the library and minimizes copying if you’re making
several symbols that differ slightly.
Replace all instances of a symbol
❖Drag a symbol with the same name as the symbol you are replacing from one Library panel into the Library panel
of the FLA file you are editing and click Replace. If you have folders in the library, the new symbol must be dragged
into the same folder as the symbol you are replacing.
More Help topics
“Creating buttons” on page 168

158
USING FLASH PROFESSIONAL
Symbols, instances, and library assets
Last updated 1/16/2012
Change an instance’s type
To redefine an instance’s behavior in a Flash Pro application, change its type. For example, if a graphic instance
contains animation that you want to play independently of the main Timeline, redefine the graphic instance as a movie
clip instance.
1Select the instance on the Stage, and select Window > Properties.
2Select Graphic, Button, or Movie Clip from the menu in the Property inspector.
Set looping for a graphic instance
To determine how animation sequences inside a graphic instance play in your Flash Pro application, set options in the
Property inspector.
An animated graphic symbol is tied to the Timeline of the document in which the symbol is placed. In contrast, a
movie clip symbol has its own independent Timeline. Animated graphic symbols, because they use the same Timeline
as the main document, display their animation in document-editing mode. Movie clip symbols appear as static objects
on the Stage and do not appear as animations in the Flash Pro editing environment.
1Select a graphic instance on the Stage, and select Window > Properties.
2Select an animation option from the Options menu in the Looping section of the Property inspector:
Loop Loops all the animation sequences contained in the current instance for as many frames as the instance occupies.
Play Once Plays the animation sequence beginning from the frame you specify to the end of the animation and then
stops.
Single Frame Displays one frame of the animation sequence. Specify which frame to display.
3To specify the first frame of the graphic symbol to display when looping, enter a frame number in the First text box.
The Single Frame option also uses the frame number you specify here.
Break apart a symbol instance
To break the link between an instance and a symbol and make the instance into a collection of ungrouped shapes and
lines, you break apart the instance. This feature is useful for changing the instance substantially without affecting any
other instance. For example, you must break apart an instance before applying a shape tween to it.
Changes to the source symbol for an instance do not affect an instance after it has been broken apart.
1Select the instance on the Stage.
2Select Modify > Break Apart. This action breaks the instance into its component graphic elements.
3To modify these elements, use the painting and drawing tools.
Get information about instances on the Stage
The Property inspector and Info panel display the following information about instances selected on the Stage:
•In the Property inspector, view the instance’s behavior and settings—for all instance types, color effect settings,
location, and size; for graphics, the loop mode and first frame that contains the graphic; for buttons, the instance
name (if assigned) and tracking option; for movie clips, the instance name (if assigned). For location, the Property
inspector displays the x and y coordinates of either the symbol’s registration point or the symbol’s upper-left corner,
depending on which option is selected in the Info panel.

159
USING FLASH PROFESSIONAL
Symbols, instances, and library assets
Last updated 1/16/2012
•In the Info panel, view the instance’s size and location; the location of its registration point; its red (R), green (G),
blue (B), and alpha (A) values (if the instance has a solid fill); and the location of the pointer. The Info panel also
displays the x and y coordinates of either the symbol’s registration point or the symbol’s upper-left corner,
depending on which option is selected. To display the coordinates of the registration point, click the center square
in the Coordinate grid in the Info panel. To display the coordinates of the upper-left corner, click the upper-left
square in the Coordinate grid.
•In the Movie Explorer, view the contents of the current document, including instances and symbols.
View any actions assigned to a button or movie clip in the Actions panel.
Get information about an instance
1Select the instance on the Stage.
2Display the Property inspector (Window > Properties) or panel to use:
•To display the Info panel, select Window > Info.
•To display the Movie Explorer, select Window > Movie Explorer.
•To display the Actions panel, select Window > Actions.
View the symbol definition for the selected symbol in the Movie Explorer
1Click the Show Buttons, Movie Clips, and Graphics button at the top of the Movie Explorer.
2Right-click (Windows) or Control-click (Macintosh), and select Show Symbol Instances and Go To Symbol
Definition; or select these options from the menu in the upper-right corner of the Movie Explorer.
Jump to the scene containing instances of a selected symbol
1Display the symbol definitions.
2Right-click (Windows) or Control-click (Macintosh), and select Show Movie Elements and Go To Symbol
Definition; or select these options from the menu in the upper-right corner of the Movie Explorer.
Working with the library
Work with libraries
The library in a Flash Pro document stores media assets that you create in the Flash Pro authoring environment or
import to use in the document. You can create vector artwork or text directly in Flash Pro; import vector artwork,
bitmaps, video, and sound; and create symbols. A symbol is a graphic, a button, a movie clip, or text that you create
once and can reuse multiple times. You can also use ActionScript to add media content to a document dynamically.
The library also contains any components that you have added to your document. Components appear in the library
as compiled clips.
You can open the library of any Flash Pro document while you are working in Flash Pro, to make the library items
from that file available for the current document.
You can create permanent libraries in your Flash Pro application that are available whenever you start Flash Pro. Flash
Pro also includes several sample libraries containing buttons, graphics, movie clips, and sounds.
You can export library assets as a SWF file to a URL to create a runtime-shared library. This lets you link to the library
assets from Flash Pro documents that import symbols using runtime sharing.

160
USING FLASH PROFESSIONAL
Symbols, instances, and library assets
Last updated 1/16/2012
The Library panel (Window > Library) displays a scroll list with the names of all items in the library, which lets you
view and organize these elements as you work. An icon next to an item’s name in the Library panel indicates the item’s
file type.
More Help topics
“Working with Text Layout Framework (TLF) text” on page 258
“Using imported artwork” on page 61
“Sound” on page 299
“Video” on page 309
“Symbols, instances, and library assets” on page 150
Open a library in another Flash file
1From the current document, select File > Import > Open External Library.
2Navigate to the Flash Pro file whose library you want to open and click Open.
The selected file’s library opens in the current document, with the filename at the top of the Library panel. To use items
from the selected file’s library in the current document, drag the items to the current document’s Library panel or to
the Stage.
Resize the Library panel
❖Do one of the following:
•Drag the lower-right corner of the panel.
•Click the Wide State button to enlarge the Library panel so it shows all the columns.
•Click the Narrow State button to reduce the width of the Library panel.
Change the width of columns
❖Position the pointer between column headers and drag to resize.
You cannot change the order of columns.
Work with folders in the Library panel
You can organize items in the Library panel using folders. When you create a new symbol, it is stored in the selected
folder. If no folder is selected, the symbol is stored at the root of the library.
Create a new folder
❖Click the New Folder button at the bottom of the Library panel.
Open or close a folder
❖Double-click the folder, or Select the folder and select Expand Folder or Collapse Folder from the Panel menu for
the Library panel.
Open or close all folders
❖Select Expand All Folders or Collapse All Folders from the Panel menu for the Library panel.

161
USING FLASH PROFESSIONAL
Symbols, instances, and library assets
Last updated 1/16/2012
Move an item between folders
❖Drag the item from one folder to another.
If an item with the same name exists in the new location, Flash Pro prompts you to replace it with the item you are
moving.
Sort items in the Library panel
Columns in the Library panel list the name of an item, its type, the number of times it’s used in the file, its linkage status
and identifier (if the item is associated with a shared library or is exported for ActionScript), and the date on which it
was last modified.
You can sort items in the Library panel alphanumerically by any column. Items are sorted within folders.
❖Click the column header to sort by that column. Click the triangle button to the right of the column headers to
reverse the sort order.
Work with common libraries
You can use the sample common libraries included with Flash Pro to add buttons or sounds to your documents. You
can also create custom common libraries, which you can then use with any documents that you create.
Use an item from a common library in a document
1Select Window > Common Libraries, and select a library from the submenu.
2Drag an item from the common library into the library for the current document.
Create a common library for your SWF application
1Create a Flash Pro file with a library containing the symbols that you want to include in the common library.
2Place the Flash Pro file in the user-level Libraries folder on your hard disk.
•On Windows® XP, the path is C:\Documents and Settings\username\Local Settings\Application
Data\Adobe\Flash CS5\language\Configuration\Libraries\.
•On Windows® Vista®, the path is C:\Users\username\Local Settings\Application Data\Adobe\Flash
CS5\language\Configuration\Libraries\.
•On Mac OS, the path is Hard Disk/Users/username/Library/Application Support/Adobe/Flash
CS5/language/Configuration/Libraries/.
More Help topics
“Configuration folders installed with Flash (CS5)” on page 398
Conflicts between library assets
If you import or copy a library asset into a document that already contains a different asset of the same name, choose
whether to replace the existing item with the new item. This option is available with all the methods for importing or
copying library assets.
The Resolve Library Items dialog box appears when you attempt to place items that conflict with existing items in a
document. A conflict exists when you copy an item from a source document that already exists in the destination
document and the items have different modification dates. Avoid naming conflicts by organizing your assets inside
folders in your document’s library. The dialog box also appears when you paste a symbol or component into your
document’s Stage and you already have a copy of the symbol or component that has a different modification date from
the one you’re pasting.

162
USING FLASH PROFESSIONAL
Symbols, instances, and library assets
Last updated 1/16/2012
If you choose not to replace the existing items, Flash Pro attempts to use the existing item instead of the conflicting
item that you are pasting. For example, if you copy a symbol named Symbol 1 and paste the copy into the Stage of a
document that already contains a symbol named Symbol 1, Flash Pro creates an instance of the existing Symbol 1.
If you choose to replace the existing items, Flash Pro replaces the existing items (and all their instances) with the new
items of the same name. If you cancel the Import or Copy operation, the operation is canceled for all items (not just
those items that conflict in the destination document).
Only identical library item types may be replaced with each other. That is, you cannot replace a sound named Test with
a bitmap named Test. In such cases, the new items are added to the library with the word Copy appended to the name.
Note: Replacing library items using this method is not reversible. Save a backup of your FLA file before you perform
complex paste operations that are resolved by replacing conflicting library items.
If the Resolve Library Conflict dialog box appears when you are importing or copying library assets into a document,
resolve the naming conflict.
Resolve naming conflicts between library assets
❖Do one of the following in the Resolve Library Conflict dialog box:
•To preserve the existing assets in the destination document, click Don’t Replace Existing Items.
•To replace the existing assets and their instances with the new items of the same name, click Replace Existing
Items.
Work with library items
When you select an item in the Library panel, a thumbnail preview of the item appears at the top of the Library panel.
If the selected item is animated or is a sound file, you can use the Play button in the library preview window or the
Controller to preview the item.
Use a library item in the current document
❖Drag the item from the Library panel onto the Stage.
The item is added to the current layer.
Convert an object on the Stage to a symbol in the library
❖Drag the item from the Stage onto the current Library panel.
Use a library item from the current document in another document
❖Drag the item from the Library panel or Stage into the Library panel or Stage of another document.
Copy library items from a different document
1Select the document that contains the library items.
2Select the library items in the Library panel.
3Select Edit > Copy.
4Select the document that you want to copy the library items to.
5Select that document’s Library panel.
6Select Edit > Paste.

163
USING FLASH PROFESSIONAL
Symbols, instances, and library assets
Last updated 1/16/2012
Edit a library item
1Select the item in the Library panel.
2Select one of the following from the Panel menu for the Library panel:
•To edit an item in Flash Pro, select Edit.
•To edit an item in another application, select Edit With and then select an external application.
Note: When starting a supported external editor, Flash Pro opens the original imported document.
Rename a library item
Changing the library item name of an imported file does not change the filename.
1Do one of the following:
•Double-click the item’s name.
•Select the item and select Rename from the Panel menu for the Library panel.
•Right-click (Windows) or Control-click (Macintosh) the item and select Rename from the context menu.
2Enter the new name in the box.
Delete a library item
When you delete an item from the library, all instances or occurrences of that item in the document are also deleted.
❖Select the item and click the Trash Can icon at the bottom of the Library panel.
Find unused library items
To organize your document, you can find unused library items and delete them.
Note: It is not necessary to delete unused library items to reduce a Flash Pro document’s file size, because unused library
items are not included in the SWF file. However, items linked for export are included in the SWF file.
❖Do one of the following:
•Select Unused Items from the Panel menu for the Library panel.
•Sort library items by the Use Count column, which indicates whether an item is in use.
More Help topics
“Sharing library assets at runtime” on page 164
Update imported files in the library
If you use an external editor to modify files that you have imported into Flash Pro, such as bitmaps or sound files, you
can update the files in Flash Pro without reimporting them. You can also update symbols that you have imported from
external Flash Pro documents. Updating an imported file replaces its contents with the contents of the external file.
1Select the imported file in the Library panel.
2Select Update from the Panel menu for the Library panel.
Copy library assets between documents
You can copy library assets from a source document into a destination document in a variety of ways. You can also
share symbols between documents as shared library assets during authoring or at runtime.

164
USING FLASH PROFESSIONAL
Symbols, instances, and library assets
Last updated 1/16/2012
If you attempt to copy assets that have the same name as existing assets in the destination document, the Resolve
Library Conflicts dialog box lets you choose whether to overwrite the existing assets or to preserve the existing assets
and add the new assets with modified names. Organize library assets in folders to minimize name conflicts when
copying assets between documents.
Copy a library asset by copying and pasting
1Select the asset on the Stage in the source document.
2Select Edit > Copy.
3Make the destination document the active document.
4To paste the asset in the center of the visible pasteboard, place the pointer on the Stage and select Edit > Paste In
Center. To place the asset in the same location as in the source document, select Edit
> Paste In Place.
Copy a library asset by dragging
❖With the destination document open, select the asset in the Library panel in the source document and drag the asset
into the Library panel in the destination document.
Copy a library asset by opening the source document library in the destination document
1With the destination document active, select File > Import > Open External Library.
2Select the source document, and click Open.
3Drag an asset from the source document library onto the Stage or into the library of the destination document.
More Help topics
“Work with folders in the Library panel” on page 160
“Creating buttons” on page 168
“Sharing library assets at runtime” on page 164
Sharing library assets across files
Sharing library assets at runtime
About runtime shared library assets
Shared library assets let you use assets from one FLA file in another FLA file. This can be useful in these situations:
•When more than one FLA file needs to use the same artwork or other assets.
•When a designer and a developer want to be able to edit artwork and ActionScript code in separate FLA files for a
joint project.
Sharing library assets works like this:
•For runtime shared assets, assets from a source document are linked as external files in a destination document.
Runtime assets are loaded into the destination document during document playback—that is, at runtime. The
source document containing the shared asset does not need to be available on your local network when you author
the destination document. The source document must be posted to a URL for the shared asset to be available to the
destination document at runtime.

165
USING FLASH PROFESSIONAL
Symbols, instances, and library assets
Last updated 1/16/2012
Tutorials and videos
•Tutorial: Runtime Shared Library Tutorial (Flash CS4, includes some ActionScript 3.0, source: slekx.com)
Working with runtime shared assets
Using runtime shared library assets involves two procedures. First, the author of the source document defines a shared
asset in the source document and enters an identifier string for the asset and a URL (HTTP or HTTPS only) where the
source document will be posted.
Second, the author of the destination document defines a shared asset in the destination document and enters an
identifier string and URL identical to those used for the shared asset in the source document. Alternatively, the
destination document author can drag the shared assets from the posted source document into the destination
document library. The ActionScript version set in the Publish settings must match that of the source document.
In either scenario, the source document must be posted to the specified URL for the shared assets to be available for
the destination document.
Define runtime shared assets in a source document
To define sharing properties for an asset in a source document and make the asset accessible for linking to destination
documents, use the Symbol Properties dialog box or the Linkage Properties dialog box.
1With the source document open, select Window > Library:
2Do one of the following:
•Select a movie clip, button, or graphic symbol in the Library panel, and select Properties from the Library Panel
menu. Click Advanced.
•Select a font symbol, sound, or bitmap, and select Linkage from the Library Panel menu.
3For Linkage, select Export For Runtime Sharing to make the asset available for linking to the destination document.
4Enter an identifier for the symbol. Do not include spaces. This is the name Flash Pro uses to identify the asset when
linking to the destination document.
Note: Flash Pro also uses the linkage identifier to identify a movie clip or button that is used as an object in ActionScript.
See Working with movie clips in Learning ActionScript 2.0 in Adobe Flash or Working with movie clips in the
ActionScript 3.0 Developer’s Guide.
5Enter the URL where the SWF file containing the shared asset will be posted, and click OK.
When you publish the SWF file, you must post the SWF file to the URL you specified so that the shared assets are
available to destination documents.
Link to runtime shared assets from a destination document
You can link to a shared asset by entering its URL or by dragging the asset into the destination document.
Link a shared asset to a destination document by entering the identifier and URL
1In the destination document, select Window > Library.
2Do one of the following:
•Select a movie clip, button, graphic symbol, bitmap, or sound in the Library panel, and select Properties from the
Library Panel menu. Click Advanced.
•Select a font symbol, and select Linkage from the Library Panel menu.
3For Linkage, select Import For Runtime Sharing to link to the asset in the source document.

166
USING FLASH PROFESSIONAL
Symbols, instances, and library assets
Last updated 1/16/2012
4Enter an identifier for the symbol, bitmap, or sound that is identical to the identifier used for the symbol in the
source document. Do not include spaces.
5Enter the URL where the SWF source file containing the shared asset is posted, and click OK.
Link a shared asset to a destination document by dragging
1In the destination document, do one of the following:
•Select File > Open.
•Select File > Import > Open External Library.
2Select the source document and click Open.
3Drag the shared asset from the source document Library panel into the Library panel or onto the Stage in the
destination document.
Turn off sharing for a symbol in a destination document
1In the destination document, select the linked symbol in the Library panel and do one of the following:
•If the asset is a movie clip, button, or graphic symbol, select Properties from the Library Panel menu.
•If the asset is a font symbol, select Linkage from the Library Panel menu.
2Deselect Import For Runtime Sharing, and click OK.
Sharing library assets at author-time
Sharing assets at author-time has these advantages:
•Allows you to avoid the need for redundant copies of assets used in more than one FLA file. For example, if you are
developing a FLA for web browsers, another for iOS and another for Android, you can share assets among the 3
files.
•When you edit a shared asset in one FLA file, the changes are reflected in other FLA files that use the asset when
they are opened or brought into focus.
There are 2 ways of sharing library assets during authoring:
•Using symbols from external FLA files by linking to them from symbols in another FLA file.
•(CS5.5 only) Sharing symbols among FLA files that are part of the same Flash project in the Project panel. For
information about using the Project panel, see “Working with Flash projects” on page 49.
Sharing by linking to symbols in separate FLA files works like this:
•For shared assets during authoring, update or replace any symbol in a FLA file you are authoring with any symbol
in any other FLA file available on your local network.
•Update the symbol in the destination document as you author the document.
•The symbol in the destination document retains its original name and properties, but its contents are updated or
replaced with those of the symbol you select.
Sharing symbols using the Project panel works like this (CS5.5 only):
•You create a project in the Project panel and create a FLA file in the project.
•In that FLA file, you specify which symbols you want to share with other files by checking the sharing checkbox for
each item in the Library panel.
•Create a second FLA file in the project.

167
USING FLASH PROFESSIONAL
Symbols, instances, and library assets
Last updated 1/16/2012
•Copy and paste layers, frames, or items on the Stage from the first FLA file to the second.
•Flash moves the shared library items in the pasted elements to a separate file called AuthortimeSharedAssets.FLA
within the project folder.
The following assets types are sharable within a project:
Update or replace shared symbols
You can update or replace a movie clip, button, or graphic symbol in a document with any other symbol in a FLA file
accessible on your local network. The original name and properties of the symbol in the destination document are
preserved, but the contents of the symbol are replaced with the contents of the symbol you select. Any assets that the
selected symbol uses are also copied into the destination document.
1With the document open, select a movie clip, button, or graphic symbol in the Library panel and select Properties
from the panel Options menu.
2If the Linkage and Source areas of the Symbol Properties dialog box are not showing, click Advanced.
3To select a new FLA file, click Browse.
4Navigate to a FLA file that contains the symbol to use to update or replace the selected symbol in the Library panel,
and click Open.
5Navigate to a symbol, and click OK.
6Do one of the following:
•CS5: In the Symbol Properties dialog box, under Source, select Always Update Before Publishing and click OK.
•CS5.5: In the Symbol Properties dialog box, under Authortime Sharing, select Update Automatically and click OK
Define assets for sharing in a project (CS5.5 only)
Sharing assets among FLA files in a project allows you to edit the asset in one file and see the changes reflected in the
other FLA files that use the asset.
1Create a Flash project. See “Create projects” on page 49.
Asset type Sharable on its own? Sharable if inside a movie clip?
Movie clip
symbol
Yes Yes
Graphic symbol Yes Yes
Button symbol Yes Yes
Font symbol No Yes
FLV video No Yes
Embeded video No Yes
Sound (any
format)
No Yes
Bitmap (any
format)
No Yes
Compiled clip
(SWC)
No Yes
Component
(symbol-based)
Yes Yes

168
USING FLASH PROFESSIONAL
Symbols, instances, and library assets
Last updated 1/16/2012
2In a FLA file in the project, for each library asset you want to share with other FLA files in the project, do one of the
following:
•Open the Library panel and select the Link checkbox next to the asset name.
•With the asset selected in the Library panel, choose Properties from the panel Options menu and then click the
Share with Project button.
3In the Timeline or on the Stage, copy layers, frames, or Stage items containing shared assets.
4In a separate FLA file in the same project, paste the layers, frames, or stage items into a separate FLA filer in the
same project.
Videos and tutorials
•Video: Flash Professional CS5.5 - Sharing assets across projects (3:51, Paul Trani, Adobe TV)
•Tutorial: Creating mobile projects with shared assets and the Project panel (Yuki Shimizu, Adobe.com)
Creating buttons
Basic steps for creating buttons
1Decide what button type best suits your needs.
Button symbol Most people choose button symbols for their flexibility. Button symbols contain a specialized
internal timeline for button states. You can easily create visually different Up, Down, and Over states. Button
symbols also change their state automatically as they react to user actions.
Movie clip button You can use a movie clip symbol to create sophisticated button effects. Movie clip symbols can
contain almost any type of content, including animation. However, movie clip symbols do not have built-in Up,
Down, and Over states. You create those states yourself, using ActionScript. A disadvantage is that movie clip files
are larger than button files. Use these resources to learn how to create a button with a movie clip symbol:
•Tutorial: Movie Clip Buttons (ActionScript 3.0, Schoolofflash.com)
•Video: Creating a Movie Clip Button (ActionScript 2.0, Kirupa.com)
ActionScript button component Use a button component if you require only a standard button or a toggle, and you
don’t want to customize it extensively. Both ActionScript 2.0 and 3.0 button components come with built-in code
that enables state changes. So, you don’t have to define the look and behavior of button states. Simply drag the
component onto the Stage.
•ActionScript 3.0 button components allow for some customization. You can bind the button to other
components, and share and display application data. They have built-in features, such as accessibility support.
Button, RadioButton, and CheckBox components are available. For details, see Use the Button component in
Using Adobe ActionScript 3.0 Components. For examples of how to use Button components, see AS3 Button
Component Quick Start.
•ActionScript 2.0 button components are not customizable. The component enables state changes. For details,
see Button component.
2Define your button states.
Up frame The appearance of the button when the user is not interacting with it.
Over frame fThe appearance of the button as the user is about to select it.
Down frame The appearance of the button as the user selects it.

169
USING FLASH PROFESSIONAL
Symbols, instances, and library assets
Last updated 1/16/2012
Hit frame The area that is responsive to clicks by the user. Defining this Hit frame is optional. If your button is
small, or if its graphic area is not contiguous, defining this frame can be useful.
•The contents of the Hit frame are not visible on the Stage during playback.
•The graphic for the Hit frame is a solid area large enough to encompass all graphic elements of the Up, Down,
and Over frames.
•If you don’t specify a Hit frame, the image for the Up state is used.
You can make a button that responds when a different area of the stage is clicked or rolled over (also called a
disjoint rollover). Place the Hit frame graphic in a different location than the other button frame graphics.
3Associate an action with the button.
To make something happen when the user selects a button, you add ActionScript code to the Timeline. Place the
ActionScript code in the same frames as the buttons. The Code Snippets panel has pre-written ActionScript 3.0
code for many common button uses. See “Add interactivity with code snippets” on page 353.
Important: ActionScript 2.0 is not compatible with ActionScript 3.0. If your version of Flash uses ActionScript 3.0,
you can’t paste ActionScript 2.0 code into your button (and vice versa). Before you paste ActionScript from another
source into your buttons, verify that the version is compatible.
Create a button with a button symbol
To make a button interactive, you place an instance of the button symbol on the Stage and assign actions to the
instance. You assign the actions to the root timeline of the FLA file. Do not add actions to the timeline of the button
symbol. To add actions to the button timeline, use a movie clip button instead.
1Choose Edit > Deselect All, or click an empty area of the Stage to ensure that nothing is selected on the Stage.
2Choose Insert > New Symbol.
3In the Create New Symbol dialog box, enter a name. For the symbol Type, select Button.
Flash Pro switches to symbol-editing mode. The Timeline changes to display four consecutive frames labeled Up,
Over, Down, and Hit. The first frame, Up, is a blank keyframe.
4To create the Up state button image, select the Up frame in the Timeline. Then use the drawing tools, import a
graphic, or place an instance of another symbol on the Stage.
You can use graphic symbols or movie clip symbols inside a button, but you cannot use another button symbol.
5In the Timeline, click the Over frame, and then choose Insert > Timeline > Keyframe.
Flash Pro inserts a keyframe that duplicates the contents of the preceding Up frame.
6With the Over frame still selected, change or edit the button image on the Stage to create the appearance you want
for the Over state.
7Repeat steps 5 and 6 for the Down frame and the optional Hit frame.
8To assign a sound to a state of the button, select that state’s frame in the Timeline and choose Window > Properties.
Then select a sound from the Sound menu in the Property inspector. Only sounds you have already imported
appear in the Sound menu.
9When you finish, choose Edit > Edit Document. Flash returns you to the main timeline of your FLA file. To create
an instance of the button you created on the Stage, drag the button symbol from the Library panel to the Stage.
10 To test a button’s functionality, use the Control > Test Movie > Test command. You can also preview the states of
a button symbol on the Stage by choosing Control
> Enable Simple Buttons. This command allows you to see the
up, over, and down states of a button symbol without using Control
> Test Movie > Test.

170
USING FLASH PROFESSIONAL
Symbols, instances, and library assets
Last updated 1/16/2012
Button symbol tutorials and examples
Some of these items show Flash CS3 or CS4, but still apply to Flash CS5.
•Video: Creating Buttons (Length: 9:16, tv.adobe.com)
•Video: Button symbols and interactivity in Flash CS4 (Includes some ActionScript 3.0, tv.adobe.com)
•Tutorial: Button symbols in Flash (Includes some ActionScript 3.0, Kirupa.com)
•Example: Animation portfolio piece (Flash Professional) (Adobe.com)
•Example: ActionScript 3.0 for a button to open a web page (Flashthusiast.com)
•Example: ActionScript 2.0 for a button to open an web page (Adobe.com)
•Example: ActionScript 3.0 for buttons to jump to different scenes in the Timeline (Flashthusiast.com)
•Example: ActionScript 3.0 for multiple buttons on the Stage at the same time (Flashthusiast.com)
•TechNote: How to create a simple button (Adobe.com)
More Help topics
“Using sounds in Flash” on page 299
Enable, edit, and test button symbols
By default, Flash Pro keeps button symbols disabled as you create them. Select and then enable a button to see it
respond to mouse events. Best practice is to disable buttons as you work and enable them to quickly test their behavior.
•To select a button, use the Selection tool to drag a selection rectangle around the button.
•To enable or disable buttons on the Stage, choose Control > Enable Simple buttons. This command acts as a toggle
between the two states.
•To move a button, use the arrow keys.
•To edit a button, use the Property inspector. If it isn’t visible, choose Windows > Properties.
•To test the button in the authoring environment, choose Control > Enable Simple Buttons.
•To test the button in Flash Player, choose Control > Test Movie [or Test Scene] > Test. This method is the only way
to test movie clip buttons.
•To test the button in the Library Preview panel, select the button in the Library and click Play.
Troubleshooting buttons
Use these resources to troubleshoot common problems with buttons:
•TechNote: Button actions are not working (Adobe.com)
•TechNote: Button hotspots are active even though the buttons are covered with other objects (Adobe.com)
•TechNote: Adding actions to shared buttons (Adobe.com)
•Video: Troubleshooting ActionScript 2.0 button symbols (Kirupa.com)
Additional button resources
The following TechNotes contain instructions for some specific button scenarios:
•TechNote: How to create a new button (Adobe.com)

171
USING FLASH PROFESSIONAL
Symbols, instances, and library assets
Last updated 1/16/2012
•TechNote: Creating advanced buttons (Adobe.com)
•TechNote: How to create a roll-out animation for a button (Adobe.com)
•TechNote: How to create a reset button (Adobe.com)
•TechNote: How can one button do different things at different times? (Adobe.com)
•TechNote: How to make a 'Back' button in a SWF file (Adobe.com)
Scaling and caching symbols
Scaling content on the Stage
You can scale items on the stage in these ways:
•Scale individual symbol instances with the Free Transform tool, Properties panel, or Transform panel.
•Scale individual symbol instances with 9-slice scaling and the tools and panels listed above.
•Scaling the entire contents of the Stage when resizing the stage (CS5.5 only).
Scale an individual symbol instance
1Select the symbol instance on the Stage.
2Do one of the following:
•Select the Free Transform tool in the Tools panel and then drag the corners or edges of the instance to resize it.
•Open the Properties panel (Window > Properties) and edit the Height and Width properties of the instance.
•Open the Transform panel (Window > Transform) and edit the Scale Width and Scale Height properties of the
instance.
Scale all content when resizing the Stage (CS5.5 only)
1Choose Modify > Document.
2In the Document Settings dialog box, enter new values for the Height and Width dimensions of the document. This
is the Stage size.
3Select the Scale Content with Stage option. Click OK.
Scaling is applied to all content in all frames.
Tutorials and videos
•Video: Flash Professional CS5.5 - Scaling Assets (4:20, Adobe TV)
•ActionScript 3.0 Example: Scaling and resizing assets for use on multiple screens (Paul Trani,
cookbooks.adobe.com)
About 9-slice scaling and movie clip symbols
9-slice scaling allows you to specify how scaling is applied to specific areas of a movie clip. With 9-slice scaling, you
can ensure that the movie clip looks correct when scaled. With normal scaling, Flash Pro scales all parts of a movie clip
equally, and in both the horizontal and vertical dimensions. For many movie clips, this equal scaling can make the
clip’s graphics look strange, especially at the corners and edges of rectangular movie clips. This is often true of movie
clips used as user interface elements, such as buttons.

172
USING FLASH PROFESSIONAL
Symbols, instances, and library assets
Last updated 1/16/2012
The movie clip is visually divided into nine sections with a grid-like overlay, and each of the nine areas is scaled
independently. To maintain the visual integrity of the movie clip, corners are not scaled, while the remaining areas of
the image are scaled (as opposed to being stretched) larger or smaller, as needed.
When a movie clip symbol has 9-slice scaling applied, it appears in the Library panel preview with the guides displayed.
If Enable Live Preview is turned on (Control
> Enable Live Preview) when you scale instances of the movie clip on the
Stage, you see the 9-slice scaling applied on the Stage.
Note: 9-slice scaling cannot be applied to Graphic or Button symbols. Bitmaps inside 9-slice enabled movie clips are scaled
normally, without 9-slice distortion, while the other movie clip contents are scaled according to the 9-slice guides.
Note: 9-slice scaling is sometimes also referred to as “scale 9.”
A 9-slice-enabled movie clip can contain nested objects within it, but only certain types of objects inside the movie clip
properly scale in the 9-slice manner. To make a movie clip with internal objects that also adhere to 9-slice scaling when
the movie clip is scaled, those nested objects must be shapes, drawing objects, groups, or graphic symbols.
A 9-slice-enabled symbol in the Library panel and scaled on the Stage
For video tutorials about 9-slice scaling, see:
•www.adobe.com/go/vid0204
•www.adobe.com/go/vid0205
Edit movie clip symbols with 9-slice scaling
By default, slice guides are placed at 25% (or one-fourth) of the symbol’s width and height from the edge of the symbol.
In symbol-editing mode, the slice guides appear as dotted lines superimposed on the symbol. The slice guides don’t
snap when you drag them on the pasteboard. The guides do not appear when the symbol is on the Stage.
You cannot edit 9-slice-enabled symbols in place on the Stage. You must edit them in symbol-editing mode.
Note: Instances made from a 9-slice-enabled movie clip symbol can be transformed, but should not be edited. Editing
these instances can have unpredictable results.
For video tutorials about 9-slice scaling, see:
•www.adobe.com/go/vid0204
•www.adobe.com/go/vid0205
Enable 9-slice scaling for an existing movie clip symbol
1With the source document open, select Window > Library.

173
USING FLASH PROFESSIONAL
Symbols, instances, and library assets
Last updated 1/16/2012
2Select a movie clip, button, or graphic symbol in the Library panel.
3Select Properties from the Library Panel menu.
4Select Enable Guides for 9-slice Scaling.
Edit a 9-slice-enabled movie clip symbol
1Enter symbol-editing mode by doing one of the following:
•Select an instance of the symbol on the Stage and right-click (Windows) or Control-click (Macintosh), and select Edit.
•Select the symbol in the Library panel and right-click (Windows) or Control-click (Macintosh), and select Edit.
•Double-click the symbol in the Library panel.
2To move the horizontal or vertical guides, drag and release a guide. The new position of the guide is updated in the
Library preview for the symbol.
Improving rendering performance with bitmap caching
Runtime bitmap caching lets you optimize playback performance by specifying that a static movie clip (for example, a
background image) or button symbol be cached as a bitmap at runtime. By default, Flash Player redraws each vector
item on the Stage in every frame. Caching a movie clip or button symbol as a bitmap prevents Flash Player from having
to continually redraw the item, because the image is a bitmap and its position on the Stage does not change. This
provides a significant improvement in playback performance.
For example, when you create an animation with a complex background, create a movie clip containing all the items
included in the background. Then select Cache as Bitmap for the background movie clip in the Property inspector.
During playback, the background is rendered as a bitmap stored at the current screen depth. Flash Player draws the
bitmap on the Stage quickly and only once, letting the animation play faster and more smoothly.
Without bitmap caching, the animation might play back too slowly.
Bitmap caching lets you use a movie clip and freeze it in place automatically. If a region changes, vector data updates
the bitmap cache. This process minimizes the number of redraws that Flash Player must perform, and provides
smoother, faster playback performance.
Only use runtime bitmap caching on static, complex movie clips in which the position, but not the content, of the
movie clip changes on each frame in an animation. The playback or runtime performance improvement from using
runtime bitmap caching is only noticeable on complex-content movie clips. Runtime bitmap caching with simple
movie clips does not enhance performance.
For more information, see When to enable caching in Learning ActionScript 2.0 in Adobe Flash.
Guy Watson has written a detailed article about using bitmap caching in the Flash Pro Developer Center titled Using
Bitmap Caching in Flash.
The Optimizing animations and FLA files (7:24) (CS3) video tutorial also provides tips on using runtime bitmap
caching.
Note: You can only use the Use Runtime Bitmap Caching option for movie clip and button symbols.
Under the following circumstances, a movie clip does not use a bitmap (even if Use Runtime Bitmap Caching is
selected) but instead renders the movie clip or button symbol by using vector data:
•The bitmap is too large (greater than 2880 pixels in either direction).
•Flash Player fails to allocate memory for the bitmap (producing an out-of-memory error).

174
USING FLASH PROFESSIONAL
Symbols, instances, and library assets
Last updated 1/16/2012
Specify bitmap caching for a symbol instance
1Select the movie clip or button symbol on the Stage.
2In the Property inspector, select the Cache as Bitmap option (CS5) or choose Cache as Bitmap from the Render
menu (CS5.5).
Specify a backround color for a cached symbol instance (CS5.5 only)
When Bitmap Caching is turned on for a symbol instance, you can choose an opaque background color for the
instance. By default the background is transparent.
1Select the instance on the Stage.
2In the Display section of the Properties panel, select opaque from the Bitmap Background menu.
3Select a background color from the color picker.
Videos and tutorials
•Video: Flash Professional CS5.5 - Export as bitmap and cache as bitmap (2:06, Adobe TV)
Converting art between vector and bitmap formats
(CS5.5 only)
Advantages of vectors and bitmap formats
For definitions of vector and bitmap art, see “Vector and bitmap graphics” on page 89.
Vector artwork has these advantages:
•Smaller file sizes
•Scalable with no loss of fidelity
Bitmap artwork has these advantages:
•Faster rendering performance
•Requires less CPU speed
•More appropriate for mobile devices with slower processors
Render an instance as a bitmap on the Stage
The Export as Bitmap option allows you to render instances of movie clip and button symbols as bitmaps on the Stage
during authoring. Flash also uses these bitmaps when publishing a SWF file. Playback performance is faster than the
Cache as Bitmap option because it prevents Flash Player from having to do the conversion at runtime. This results in
better rendering on lower-performance devices.
Once you select the Export as Bitmap option, you can still double-click the instance to edit its symbol. The edits are
then reflected in the bitmaps on the Stage.
You can use the Export as Bitmap option on movie clips containing shapes, text, and 3D objects.
1Select the movie clip or button instance on the Stage.
2In the Display section of the Property inspector, choose Export as Bitmap from the Render menu.

175
USING FLASH PROFESSIONAL
Symbols, instances, and library assets
Last updated 1/16/2012
3Choose an option from the Background menu (below the Render menu).
•Transparent
•Opaque - allows you to specify a background color for the bitmap.
Note: When instances of movie clips are rendered as bitmaps on the Stage, only the first frame of the movie clip is
rasterized. Flash preserves all the properties of the movie clip instance on its first frame, including any ActionScript in
frame 1. Also, Export as Bitmap is disabled for tweened symbols.
Create a bitmap from a stage selection
You can create a bitmap and add it to the library by using the Convert to Bitmap command.
1Select one or more objects on the Stage.
2Choose Modify > Convert to Bitmap.
Flash converts the selection to a bitmap, adds the bitmap to the library, and replaces the selection on the stage with an
instance of the bitmap.
The bitmap resolution is 24 bit with an alpha channel. The default format is PNG. You can change the format to JPEG
in the properties of the bitmap in the Library panel.
You cannot edit the bitmap in Flash Pro, but you can edit it in Photoshop or another image editor and then reimport
it into Flash Pro.
Videos and tutorials
•Video: Flash Professional CS5.5 - Export as bitmap and cache as bitmap (2:06, Adobe TV)
•Video: Flash Professional CS5.5 - Symbol Rasterization (1:46, Adobe TV)
Symbols and ActionScript
With ActionScript®, you can control symbols at runtime. Using ActionScript allows you to create interaction and other
capabilities in your FLA files that are not possible with the Timeline alone.
Controlling instances and symbols with ActionScript
To control movie clip and button instances, use ActionScript®. The movie clip or button instance must have a unique
instance name to be used with ActionScript. You can write the ActionScript yourself or use the pre-defined behaviors
included with Flash Pro.
For more information, see Handling events in Learning ActionScript 2.0 in Adobe Flash or Handling events in the
ActionScript 3.0 Developer’s Guide.
More Help topics
“Edit symbols” on page 153

176
USING FLASH PROFESSIONAL
Symbols, instances, and library assets
Last updated 1/16/2012
Controlling instances with behaviors
In FLA files where the ActionScript Publish setting is set to ActionScript 2.0, you can use behaviors to control movie
clip and graphic instances in a document without writing ActionScript. Behaviors are prewritten ActionScript scripts
that let you add ActionScript coding to your document without having to create the ActionScript code yourself.
Behaviors are not available for ActionScript 3.0.
You can use behaviors with an instance to arrange it in the stacking order on a frame, as well as to load or unload, play,
stop, duplicate, or drag a movie clip, or to link to a URL.
In addition, you can use behaviors to load an external graphic or an animated mask into a movie clip.
Flash Pro includes the behaviors in the following table.
More Help topics
“Control sounds using behaviors” on page 307
“Control video playback using behaviors” on page 326
Behavior Purpose Select or input
Load Graphic Loads an external JPEG file into a movie clip or
screen.
Path and filename of JPEG file.
Instance name of movie clip or screen receiving
the graphic.
Load External Movieclip Loads an external SWF file into a target movie
clip or screen.
URL of external SWF file.
Instance name of movie clip or screen receiving
the SWF file.
Duplicate Movieclip Duplicates a movie clip or screen. Instance name of movie clip to duplicate.
X-offset and Y-offset of pixels from original to
copy.
Goto And Play at frame or label Plays a movie clip from a particular frame. Instance name of target clip to play.
Frame number or label to play.
Goto And Stop at frame or label Stops a movie clip, optionally moving the
playhead to a particular frame.
Instance name of target clip to stop.
Frame number or label to stop.
Bring To Front Brings target movie clip or screen to the top of
the stacking order.
Instance name of movie clip or screen.
Bring Forward Brings target movie clip or screen one position
higher in the stacking order.
Instance name of movie clip or screen.
Send To Back Sends the target movie clip to the bottom of the
stacking order.
Instance name of movie clip or screen.
Send Backward Sends the target movie clip or screen one
position lower in the stacking order.
Instance name of movie clip or screen.
Start Dragging Movieclip Starts dragging a movie clip. Instance name of movie clip or screen.
Stop Dragging Movieclip Stops the current drag.
Unload Movieclip Removes a movie clip that was loaded by means
of loadMovie() from Flash Player.
Instance name of movie clip.

177
USING FLASH PROFESSIONAL
Symbols, instances, and library assets
Last updated 1/16/2012
Add and configure a behavior
Be sure you are working in a FLA file whose ActionScript Publish setting is ActionScript 2.0 or earlier.
1Select the object, such as a button, to trigger the behavior.
2In the Behaviors panel (Window > Behaviors), click the Add (+) button and select the desired behavior from the
Movieclip submenu.
3Select the movie clip to control with the behavior.
4Select a relative or absolute path.
5If required, select or input settings for the behavior parameters and click OK. Default settings for the behavior
appear in the Behaviors panel.
6Under Event, click On Release (the default event) and select a mouse event from the menu. To use the On Release
event, leave the option unchanged.
More Help topics
“Relative paths” on page 189
“Absolute paths” on page 188
Create custom behaviors
To write custom behaviors, create an XML file that contains the ActionScript 2.0 code to perform the desired behavior,
and save the file in the Behaviors folder of your local computer. Behaviors are stored in the following location:
•Windows XP: C:\Documents and Settings\user name\Local Settings\Application Data\Adobe\Flash
CS3\language\Configuration\Behaviors
•Windows Vista: C:\Users\user name\Local Settings\Application Data\Adobe\Flash
CS3\language\Configuration\Behaviors
•Macintosh: Macintosh HD/Users/user name/Library/Application Support/Adobe/Flash
CS3/language/Configuration/Behaviors/
Before you create your own behaviors, examine the Behavior XML files to develop an understanding of the syntax
of the XML files, as well as the ActionScript code used to create behaviors. If you are new to writing behaviors,
familiarize yourself with the XML tags used to create user interface elements (such as dialog boxes), and with
ActionScript, the coding language used to create behaviors. To learn about the XML used to create interface
elements, see Extending Flash. To learn about ActionScript, see Learning ActionScript 3.0 or Learning ActionScript
2.0 in Adobe Flash.
You can also download behaviors that other Flash Pro users have created from the Adobe Flash Exchange website.
You can visit the Adobe Exchange at: www.adobe.com/go/flash_exchange.
1Using an XML editor, open an existing behavior’s XML file, and rename the file appropriately for the behavior you
intend to create.
2Enter a new value for the category attribute of the behavior_devinition tag in the XML file.
The following XML code creates a category named myCategory in the Flash Behaviors panel under which the behavior
will be listed.
<behavior_definition dialogID="Trigger-dialog" category="myCategory"
authoringEdition="pro" name="behaviorName">

178
USING FLASH PROFESSIONAL
Symbols, instances, and library assets
Last updated 1/16/2012
3Enter a new value for the name attribute of the behavior_definition tag. This will be the name of the behavior as it
will appear in the Flash authoring environment.
4(Optional) If your custom behavior requires a dialog box, enter parameters using the <properties> and <dialog>
tags.
To learn about the tags and parameters used to create your own custom dialog boxes, see Extending Flash.
5In the <actionscript> tag, insert the ActionScript code to create the behavior.
If you are new to ActionScript, see Learning ActionScript 3.0 or Learning ActionScript 2.0 in Adobe Flash.
For example (from the Movieclip_loadMovie.xml behavior file) (ActionScript 2.0):
<actionscript>
<![CDATA[ //load Movie Behavior
if($target$ == Number($target$)){
loadMovieNum($clip$,$target$);
} else {
$target$.loadMovie($clip$);
}
//End Behavior
]]>
</actionscript>
6Save the file and test the behavior.
More Help topics
“Break apart a symbol instance” on page 158

179
Last updated 1/16/2012
Chapter 7: Timelines and Animation
Frames and keyframes
Like films, Adobe® Flash® Professional CS5 documents divide lengths of time into frames. In the Timeline, you work
with these frames to organize and control the content of your document. You place frames in the Timeline in the order
you want the objects in the frames to appear in your finished content.
A keyframe is a frame where a new symbol instance appears in the Timeline. A keyframe can also be a frame that
includes ActionScript® code to control some aspect of your document. You can also add a blank keyframe to the
Timeline as a placeholder for symbols you plan to add later or to explicitly leave the frame blank.
A property keyframe is a frame in which you define a change to an object’s properties for an animation. Flash Pro can
tween, or automatically fill in, the property values between the property keyframes in order to produce fluid
animations. Because property keyframes let you produce animation without drawing each individual frame, they make
creating animation easier. A series of frames containing tweened animation is called a motion tween.
A tweened frame is any frame that is part of a motion tween.
A static frame is any frame that is not part of a motion tween.
You arrange keyframes and property keyframes in the Timeline to control the sequence of events in your document
and its animation.
Videos and tutorials
•Video: Editing frames on the Timeline (Length = 9:27, Peachpit.com)
More Help topics
“The Timeline” on page 19
“Animation basics” on page 191
“Motion tween animation” on page 195
Insert frames in the Timeline
•To insert a new frame, select Insert > Timeline > Frame (F5).
•To create a new keyframe, select Insert > Timeline > Keyframe (F6), or right-click (Windows) or Control-click
(Macintosh) the frame where you want to place a keyframe, and select Insert Keyframe from the context menu.
•To create a new blank keyframe, select Insert > Timeline > Blank Keyframe, or right-click (Windows) or
Control-click (Macintosh) the frame where you want to place the keyframe, and select Insert Blank Keyframe from
the context menu.

180
USING FLASH PROFESSIONAL
Timelines and Animation
Last updated 1/16/2012
Select frames in the Timeline
Flash Pro offers two different methods for selecting frames in the Timeline. In frame-based selection (the default), you
select individual frames in the Timeline. In span-based selection, the entire frame sequence, from one keyframe to the
next, is selected when you click any frame in the sequence. You can specify span-based selection in Flash Pro
Preferences.
•To select one frame, click the frame. If you have Span Based Selection enabled, Control-click (Windows) or
Command-click (Macintosh) the frame.
•To select multiple contiguous frames, drag the cursor over the frames, or Shift-click additional frames.
•To select multiple non-contiguous frames, Control-click (Windows) or Command-click (Macintosh) additional
frames.
•To select all frames in the Timeline, select Edit > Timeline > Select All Frames.
•To select an entire span of static frames, double-click a frame between two keyframes. If you have Span Based
Selection enabled, click any frame in the sequence.
•To select a whole span of frames (motion tween or inverse kinematics) click on it once if you have Span-based
Selection enabled in the Preferences. If Span-based Selection is disabled, double-click on the span. To select
multiple spans, click on each of them while holding the Shift key.
Label frames in the Timeline
You can label frames in the Timeline as a way of helping organize its contents. You can also label a frame in order to
be able to refer to that frame in ActionScript by it’s label. That way, if you rearrange the Timeline and move the label
to a different frame number, the ActionScript will still refer to the frame label and will not have to be updated.
Frame labels can only be applied to keyframes. A best practice is to create a separate layer in the Timeline to contain
your frame labels.
To add a frame label:
1Select the frame you wish to label in the Timeline.
2With the frame selected, enter the label name in the Label section of the Property inspector. Press Enter or Return.
Videos and tutorials
•Video: Using frame labels (Length = 8:29, Peachpit.com)
Enable span-based frame selection
Span-based frame selection allows you to select a range of frames between 2 keyframes with a single click.
1Select Edit > Preferences.
2Select the General category.
3In the Timeline section, select Span Based Selection.
4Click OK.

181
USING FLASH PROFESSIONAL
Timelines and Animation
Last updated 1/16/2012
Copy or paste a frame or frame sequence
❖Do one of the following:
•Select the frame or sequence and select Edit > Timeline > Copy Frames. Select the frame or sequence that you want
to replace, and select Edit
> Timeline > Paste Frames.
•Alt-drag (Windows) or Option-drag (Macintosh) a keyframe to the location where you want to copy it.
Delete a frame or frame sequence
❖Select the frame or sequence and select Edit > Timeline > Remove Frame, or right-click (Windows) or
Control-click (Macintosh) the frame or sequence and select Remove Frame from the context menu.
Surrounding frames remain unchanged.
Move a keyframe or frame sequence
❖Select a keyframe or frame sequence and then drag the keyframe or sequence to the desired location.
Change the length of a static frame sequence
❖Control-drag (Windows) or Command-drag (Macintosh) the beginning or ending frame of the span to the left or
right.
To change the length of a frame-by-frame animation sequence, see “Create frame-by-frame animations” on page 234.
Convert a keyframe to a frame
❖Select the keyframe and select Edit > Timeline > Clear Keyframe, or right-click (Windows) or Control-click
(Macintosh) the keyframe and select Clear Keyframe from the context menu.
The Stage contents of the cleared keyframe and all frames up to the subsequent keyframe are replaced with the Stage
contents of the frame preceding the cleared keyframe.
View a preview of frame content in the Timeline
In each keyframe of the Timeline, you can view a thumbnail preview of the items in the keyframe.
❖Choose Preview from the Timeline panel Options menu at the upper-right corner of the Timeline panel.
Timeline layers
Create and organize layers
Layers help you organize the artwork in your document. You can draw and edit objects on one layer without affecting
objects on another layer. In areas of the Stage with nothing on a layer, you can see through it to the layers below.
To draw, paint, or otherwise modify a layer or folder, select the layer in the Timeline to make it active. A pencil icon
next to a layer or folder name in the Timeline indicates that the layer or folder is active. Only one layer can be active
at a time (although more than one layer can be selected at a time).

182
USING FLASH PROFESSIONAL
Timelines and Animation
Last updated 1/16/2012
When you create a Flash Pro document, it contains only one layer. To organize the artwork, animation, and other
elements in your document, add more layers. You can also hide, lock, or rearrange layers. The number of layers you
can create is limited only by your computer’s memory, and layers do not increase the file size of your published SWF
file. Only the objects you place into layers add to the file size.
To organize and manage layers, create layer folders and place layers in them. You can expand or collapse layer folders
in the Timeline without affecting what you see on the Stage. Use separate layers or folders for sound files, ActionScript,
frame labels, and frame comments. This helps you find these items quickly to edit them.
To help create sophisticated effects, use special guide layers to make drawing and editing easier, and to make mask
layers.
There are five types of layers you can use in Flash:
•Normal layers contain most of the artwork in a FLA file.
•Mask layers contain objects used as masks to hide selected portions of layers below them. For more information,
see “Using mask layers” on page 235.
•Masked layers are layers beneath a mask layer that you associate with the mask layer. Only the portion of the
masked layer revealed by the mask is visible. For more information, see “Using mask layers” on page 235.
•Guide layers contain strokes that can be used to guide the arrangement of objects on other layers or the motion of
classic tween animations on other layers. For more information, see Guide layers and “Create classic tween
animation along a path” on page 227.
•Guided layers are layers associated with a guide layer. The objects on the guided layer can be arranged or animated
along the strokes on the guide layer. Guided layers can contain static artwork and classic tweens, but not motion
tweens.
•Motion Tween layers contain objects animated with motion tweens. For more information, see “About tween
animation” on page 195.
•Armature layers contain objects with inverse kinematics bones attached. For more information, see “About inverse
kinematics” on page 237.
Normal, Mask, Masked, and Guide layers can contain motion tweens or inverse kinematic bones. When these items
are present in one of these layers, there are limitations to the types of content that can be added to the layer. For more
information, see “Motion tween animation” on page 195 and “Inverse kinematics” on page 237.
More Help topics
“Change the appearance of the Timeline” on page 20
Create a layer
When you create a layer, it appears above the selected layer. The newly added layer becomes the active layer.
❖Do one of the following:
•Click the New Layer button at the bottom of the Timeline.
•Select Insert > Timeline > Layer.
•Right-click (Windows) or Control-click (Macintosh) a layer name in the Timeline and select Insert Layer from the
context menu.

183
USING FLASH PROFESSIONAL
Timelines and Animation
Last updated 1/16/2012
Create a layer folder
❖Do one of the following:
•Select a layer or folder in the Timeline and select Insert > Timeline > Layer Folder.
•Right-click (Windows) or Control-click (Macintosh) a layer name in the Timeline and select Insert Folder from the
context menu. The new folder appears above the layer or folder you selected.
•Click the New Folder icon at the bottom of the Timeline. The new folder appears above the layer or folder you
selected.
Organize layers and layer folders
To organize your document, rearrange layers and folders in the Timeline.
Layer folders help organize your workflow by letting you place layers in a tree structure. To see the layers a folder
contains without affecting which layers are visible on the Stage, expand or collapse the folder. Folders can contain both
layers and other folders, allowing you to organize layers in much the same way you organize files on your computer.
The layer controls in the Timeline affect all layers within a folder. For example, locking a layer folder locks all layers
within that folder.
•To move a layer or layer folder into a layer folder, drag the layer or layer folder name to the destination layer folder name.
•To change the order of layers or folders, drag one or more layers or folders in the Timeline to the desired position.
•To expand or collapse a folder, click the triangle to the left of the folder name.
•To expand or collapse all folders, Right-click (Windows) or Control-click (Macintosh) and select Expand All
Folders or Collapse All Folders.
Rename a layer or folder
By default, new layers are named by the order in which they are created: Layer 1, Layer 2, and so on. To better reflect
their contents, rename layers.
❖Do one of the following:
•Double-click the name of the layer or folder in the Timeline and enter a new name.
•Right-click (Windows) or Control-click (Macintosh) the name of the layer or folder and select Properties from the
context menu. Enter the new name in the Name box and click OK.
•Select the layer or folder in the Timeline and select Modify > Timeline > Layer Properties. Enter the new name in
the Name box and click OK.
Select a layer or folder
❖Do one of the following:
•Click the name of a layer or folder in the Timeline.
•Click any frame in the Timeline of the layer to select.
•Select an object on the Stage that is located in the layer to select.
•To select contiguous layers or folders, Shift-click their names in the Timeline.
•To select non-contiguous layers or folders, Control-click (Windows) or Command-click (Macintosh) their names
in the Timeline.

184
USING FLASH PROFESSIONAL
Timelines and Animation
Last updated 1/16/2012
Copy frames from a single layer
1Select a range of frames in a layer. To select the entire layer, click the layer name in the Timeline.
2Select Edit > Timeline > Copy Frames.
3Click the frame where you want to begin pasting and select Edit > Timeline > Paste Frames.
Copy frames from a layer folder
1Collapse the folder (click the triangle to the left of the folder name in the Timeline) and click the folder name to
select the entire folder.
2Select Edit > Timeline > Copy Frames.
3To create a folder, select Insert > Timeline > Layer Folder.
4Click the new folder and select Edit > Timeline > Paste Frames.
Delete a layer or folder
1To select the layer or folder, click its name in the Timeline or any frame in the layer.
2Do one of the following:
•Click the Delete Layer button in the Timeline.
•Drag the layer or folder to the Delete Layer button.
•Right-click (Windows) or Control-click (Macintosh) the layer or folder name and select Delete Layer from the
context menu.
Note: When you delete a layer folder, all the enclosed layers and all their contents are also deleted.
Lock or unlock one or more layers or folders
•To lock a layer or folder, click in the Lock column to the right of the name. To unlock the layer or folder, click in
the Lock column again.
•To lock all layers and folders, click the padlock icon. To unlock all layers and folders, click it again.
•To lock or unlock multiple layers or folders, drag through the Lock column.
•To lock all other layers or folders, Alt-click (Windows) or Option-click (Macintosh) in the Lock column to the right
of a layer or folder name. To unlock all layers or folders, Alt-click or Option-click in the Lock column again.
Copy and paste layers (CS5.5 only)
You can copy entire layers and layer folders in the timeline and paste them into the same timeline or separate timelines.
Any type of layer can be copied.
When you copy and paste layers, the layer folder structure of copied layers is preserved.
1Select one or more layers in the Timeline by clicking the layer name. Shift-click to select contiguous layers. Control-
click (Windows) or Command-click (Macintosh) to select non-contiguous layers.
2Choose Edit > Timeline >Copy Layers or Cut Layers. You can also right-click the layers and choose Copy Layers or
Cut Layers from the context menu.
3In the timeline you want to paste into, select the layer immediately below where you want the pasted layers to be
inserted.
4Choose Edit > Timeline > Paste Layers.

185
USING FLASH PROFESSIONAL
Timelines and Animation
Last updated 1/16/2012
The layers appear in the Timeline above the layer you selected. If you have a layer folder selected, the pasted layers
appear inside the folder.
To paste a layer into a mask or guide layer you must first select a layer under that mask or guide and then paste. You
cannot paste either a mask, guide, or folder layer underneath a mask or guide layer.
You can also duplicate layers by selecting layers and choosing Edit > Timeline >Duplicate Layers. The new layers will
have the word “copy” appended to the layer name.
View layers and layer folders
Show or hide a layer or folder
A red X next to the name of a layer or folder in the Timeline indicates that a layer or folder is hidden. In the publish
settings, you can choose whether hidden layers are included when you publish a SWF file.
•To hide a layer or folder, click in the Eye column to the right of the layer or folder name in the Timeline. To show
the layer or folder, click in it again.
•To hide all the layers and folders in the Timeline, click the Eye icon. To show all layers and folders, click it again.
•To show or hide multiple layers or folders, drag through the Eye column.
•To hide all layers and folders other than the current layer or folder, Alt-click (Windows) or Option-click
(Macintosh) in the Eye column to the right of a layer or folder name. To show all layers and folders, Alt-click or
Option-click it again.
View the contents of a layer as outlines
To distinguish which layer an object belongs to, display all objects on a layer as colored outlines.
•To display all objects on that layer as outlines, click in the Outline column to the right of the layer’s name. To turn
off outline display, click in it again.
•To display objects on all layers as outlines, click the outline icon. To turn off outline display on all layers, click it
again.
•To display objects on all layers other than the current layer as outlines, Alt-click (Windows) or Option-click
(Macintosh) in the Outline column to the right of a layer’s name. To turn off the outline display for all layers,
Alt-click or Option-click in it again.
Change a layer’s outline color
1Do one of the following:
•Double-click the layer’s icon (the icon to the left of the layer name) in the Timeline.
•Right-click (Windows) or Control-click (Macintosh) the layer name and select Properties from the context menu.
•Select the layer in the Timeline and select Modify > Timeline > Layer Properties.
2In the Layer Properties dialog box, click the Outline Color box, select a new color, and click OK.
Note: Motion paths on the layer also use the layer outline color.

186
USING FLASH PROFESSIONAL
Timelines and Animation
Last updated 1/16/2012
Working with multiple timelines
About multiple timelines and levels
Flash® Player has a stacking order of levels. Every Flash Pro document has a main Timeline located at level 0 in Flash
Player. You can use the loadMovie command to load other Flash Pro documents (SWF files) into Flash Player at
different levels.
If you load documents into levels above level 0, the documents stack on top of one another like drawings on
transparent paper; when there is no content on the Stage, you can see through to the content on lower levels. If you
load a document into level 0, it replaces the main timeline. Each document loaded into a level of Flash Player has its
own timeline.
Timelines can send messages to each other with ActionScript. For example, an action on the last frame of one movie
clip can tell another movie clip to play. To use ActionScript to control a timeline, you must use a target path to specify
the location of the timeline.
For more information, see the MovieClip.loadMovie method in the ActionScript 2.0 Language Reference.
About nested movie clips and parent-child hierarchy
When you create a movie clip instance in a Flash Pro document, the movie clip has its own timeline. Every movie clip
symbol has its own timeline. The movie clip’s timeline is nested inside the main timeline of the document. You can
also nest a movie clip instance inside another movie clip symbol.
When a movie clip is created inside a Flash Pro document, or nested inside another movie clip, it becomes a child of
that document or movie clip, which becomes the parent. Relationships between nested movie clips are hierarchical:
modifications made to the parent affect the child. The root Timeline for each level is the parent of all the movie clips
on its level, and because it is the top-most Timeline, it has no parent. In the Movie Explorer panel, you can view the
hierarchy of nested movie clips in a document by choosing Show Symbol Definitions from the panel menu.
To understand movie clip hierarchy, consider the hierarchy on a computer: the hard disk has a root directory (or
folder) and subdirectories. The root directory is analogous to the main (or root) Timeline of a Flash Pro document: it
is the parent of everything else. The subdirectories are analogous to movie clips.
You can use the movie clip hierarchy in Flash Pro to organize related objects. For example, you could create a Flash
Pro document containing a car that moves across the Stage. You can use a movie clip symbol to represent the car and
set up a motion tween to move it across the Stage.
To add wheels that rotate, you can create a movie clip for a car wheel, and create two instances of this movie clip,
named frontWheel and backWheel. Then you can place the wheels on the car movie clip’s Timeline—not on the main
Timeline. As children of car, frontWheel and backWheel are affected by any changes made to car; they move with
the car as it tweens across the Stage.
To make both wheel instances spin, you can set up a motion tween that rotates the wheel symbol. Even after you change
frontWheel and backWheel, they continue to be affected by the tween on their parent movie clip, car; the wheels
spin, but they also move with the parent movie clip car across the Stage.
More Help topics
“Symbols, instances, and library assets” on page 150

187
USING FLASH PROFESSIONAL
Timelines and Animation
Last updated 1/16/2012
Working with scenes
To organize a document thematically, you can use scenes. For example, you might use separate scenes for an
introduction, a loading message, and credits. Though using scenes has some disadvantages, there are some situations
in which few of these disadvantages apply, such as when you create lengthy animations. When you use scenes, you
avoid having to manage a large number of FLA files because each scene is contained within a single FLA file.
Using scenes is similar to using several FLA files together to create a larger presentation. Each scene has a Timeline.
Frames in the document are numbered consecutively through the scenes. For example, if a document contains two
scenes with ten frames each, the frames in Scene 2 are numbered 11–20. The scenes in the document play back in the
order they are listed in the Scene panel. When the playhead reaches the final frame of a scene, the playhead progresses
to the next scene.
Disadvantages of scenes
When you publish a SWF file, the Timeline of each scene combines into a single Timeline in the SWF file. After the
SWF file compiles, it behaves as if you created the FLA file using one scene. Because of this behavior, scenes have some
disadvantages:
•Scenes can make documents confusing to edit, particularly in multi-author environments. Anyone using the FLA
document might have to search several scenes within a FLA file to locate code and assets. Consider loading external
SWF content or using movie clips instead.
•Scenes often result in large SWF files. Using scenes encourages you to place more content in a single FLA file, which
results in larger FLA files and SWF files.
•Scenes force users to progressively download the entire SWF file, even if they do not plan or want to watch all of it.
If you avoid scenes, users can control what content they download as they progress through your SWF file.
•Scenes combined with ActionScript might produce unexpected results. Because each scene Timeline is compressed
onto a single Timeline, you might encounter errors involving your ActionScript and scenes, which typically require
extra, complicated debugging.
Controlling scene playback
To stop or pause a document after each scene, or to let users navigate the document in a nonlinear fashion, you use
ActionScript. For more information see, “ActionScript” on page 345.
This video tutorial demonstrates how to create and use scenes:
•Video: Understanding Flash Scenes
Display the Scene panel
❖Select Window > Other Panels > Scene.
Add a scene
❖Select Insert > Scene, or click the Add Scene button in the Scene panel.
Delete a scene
❖Click the Delete Scene button in the Scene panel.

188
USING FLASH PROFESSIONAL
Timelines and Animation
Last updated 1/16/2012
Change the name of a scene
❖Double-click the scene name in the Scene panel and enter the new name.
Duplicate a scene
❖Click the Duplicate Scene button in the Scene panel.
Change the order of a scene in the document
❖Drag the scene name to a different location in the Scene panel.
View a particular scene
❖Do one of the following:
•Select View > Go To, and then select the name of the scene from the submenu.
•Click on the Edit Scene button at the upper right corner of the document window and choose the scene name from
the pop-up menu.
Timelines and ActionScript
With ActionScript®, you can control the Timeline at runtime. Using ActionScript allows you to create interaction and
other capabilities in your FLA files that is not possible with the Timeline alone.
Absolute paths
An absolute path starts with the name of the level into which the document is loaded and continues through the display
list until it reaches the target instance. You can also use the alias _root to refer to the topmost Timeline of the current
level. For example, an action in the movie clip california that refers to the movie clip oregon could use the absolute
path _root.westCoast.oregon.
The first document to open in Flash Player is loaded at level 0. You must assign each additional loaded document a
level number. When you use an absolute reference in ActionScript to reference a loaded document, use the form
_levelX, where X is the level number into which the document is loaded. For example, the first document that opens
in Flash Player is called _level0; a document loaded into level 3 is called _level3.
To communicate between documents on different levels, you must use the level name in the target path. The following
example shows how the portland instance would address the atlanta instance located in a movie clip called georgia
(georgia is at the same level as oregon):
_level5.georgia.atlanta
You can use the _root alias to refer to the main Timeline of the current level. For the main Timeline, the _root alias
stands for _level0 when targeted by a movie clip also on _level0. For a document loaded into _level5, _root is
equal to _level5 when targeted by a movie clip also on level 5. For example, if the movie clips southcarolina and
florida are both loaded into the same level, an action called from the instance southcarolina could use the
following absolute path to target the instance florida:
_root.eastCoast.florida

189
USING FLASH PROFESSIONAL
Timelines and Animation
Last updated 1/16/2012
Relative paths
A relative path depends on the relationship between the controlling Timeline and the target Timeline. Relative paths
can address targets only within their own level of Flash Player. For example, you can’t use a relative path in an action
on _level0 that targets a Timeline on _level5.
In a relative path, use the keyword this to refer to the current Timeline in the current level; use the _parent alias to
indicate the parent Timeline of the current Timeline. You can use the _parent alias repeatedly to go up one level in
the movie clip hierarchy within the same level of Flash Player. For example, _parent._parent controls a movie clip
up two levels in the hierarchy. The topmost Timeline at any level in Flash Player is the only Timeline with a _parent
value that is undefined.
An action in the Timeline of the instance charleston, located one level below southcarolina, could use the
following target path to target the instance southcarolina:
_parent
To target the instance eastCoast (one level up) from an action in charleston, you could use the following relative path:
_parent._parent
To target the instance
atlanta
from an action in the Timeline of
charleston
, you could use the following relative path:
_parent._parent.georgia.atlanta
Relative paths are useful for reusing scripts. For example, you could attach the following script to a movie clip that
magnifies its parent by 150%:
onClipEvent (load) {_parent._xscale
= 150;_parent._yscale = 150;
}
You can reuse this script by attaching it to any movie clip instance.
Note: Flash Lite 1.0 and 1.1 support attaching scripts only to buttons. Attaching scripts to movie clips is not supported.
Whether you use an absolute or a relative path, you identify a variable in a Timeline or a property of an object with a
dot (.) followed by the name of the variable or property. For example, the following statement sets the variable name
in the instance form to the value "Gilbert":
_root.form.name = "Gilbert";
Using absolute and relative target paths
You can use ActionScript to send messages from one timeline to another. The timeline that contains the action is called
the controlling timeline, and the timeline that receives the action is called the target timeline. For example, there could
be an action on the last frame of one timeline that tells another timeline to play. To refer to a target timeline, you must
use a target path, which indicates the location of a movie clip in the display list.
The following example shows the hierarchy of a document named westCoast on level 0, which contains three movie
clips: california, oregon, and washington. Each of these movie clips in turn contains two movie clips.

190
USING FLASH PROFESSIONAL
Timelines and Animation
Last updated 1/16/2012
_level0
westCoast
california
sanfrancisco
bakersfield
oregon
portland
ashland
washington
olympia
ellensburg
As on a web server, each timeline in Flash Pro can be addressed in two ways: with an absolute path or with a relative
path. The absolute path of an instance is always a full path from a level name, regardless of which timeline calls the
action; for example, the absolute path to the instance california is _level0.westCoast.california. A relative
path is different when called from different locations; for example, the relative path to california from
sanfrancisco is _parent, but from portland, it’s _parent._parent.california.
More Help topics
“Best practices - Structuring FLA files” on page 462
“Best practices - Organizing ActionScript in an application” on page 464
Specify target paths
To control a movie clip, loaded SWF file, or button, you must specify a target path. You can specify it manually, or by
using the Insert Target Path dialog box, or by creating an expression that evaluates to a target path. To specify a target
path for a movie clip or button, you must assign an instance name to the movie clip or button. A loaded document
doesn’t require an instance name, because you use its level number as an instance name (for example, _level5).
Assign an instance name to a movie clip or button
1Select a movie clip or button on the Stage.
2Enter an instance name in the Property inspector.
Specify a target path using the Insert Target Path dialog box
1Select the movie clip, frame, or button instance to which you want to assign the action.
This becomes the controlling Timeline.
2In the Actions panel (Window > Actions), go to the Actions toolbox on the left, and select an action or method that
requires a target path.
3Click the parameter box or location in the script where you want to insert the target path.
4Click the Insert Target Path button above the Script pane.
5Select Absolute or Relative for the target path mode.
6Select a movie clip in the Insert Target Path display list, and click OK.
Specify a target path manually
1Select the movie clip, frame, or button instance to which you want to assign the action.
This becomes the controlling Timeline.

191
USING FLASH PROFESSIONAL
Timelines and Animation
Last updated 1/16/2012
2In the Actions panel (Window > Actions), go to the Actions toolbox on the left, and select an action or method that
requires a target path.
3Click the parameter box or location in the script where you want to insert the target path.
4Enter an absolute or relative target path in the Actions panel.
Use an expression as a target path
1Select the movie clip, frame, or button instance to which you want to assign the action.
This becomes the controlling Timeline.
2In the Actions panel (Window > Actions), go to the Actions toolbox on the left, and select an action or method that
requires a target path.
3Do one of the following:
•Enter an expression that evaluates to a target path in a parameter box.
•Click to place the insertion point in the script. Then, in the Functions category of the Actions toolbox, double-click
the targetPath function. The targetPath function converts a reference to a movie clip into a string.
•Click to place the insertion point in the script. Then, in the Functions category of the Actions toolbox, select the
eval function. The eval function converts a string to a movie clip reference that can be used to call methods such
as play.
The following script assigns the value 1 to the variable i. It then uses the eval function to create a reference to a movie
clip instance and assigns it to the variable x. The variable x is now a reference to a movie clip instance and can call the
MovieClip object methods.
i = 1;
x = eval("mc"+i);
x.play();
// this is equivalent to mc1.play();
You can also use the eval function to call methods directly, as shown in the following example:
eval("mc" + i).play();
Animation basics
Note: Like most things in Flash, animation does not require any ActionScript. However, you can create animation with
ActionScript if you choose.
Types of animation
Adobe® Flash® Professional CS5 provides several ways to create animation and special effects. Each method provides
you with different possibilities for creating engaging animated content.
Flash supports the following types of animation:
Motion tweens Use motion tweens to set properties for an object, such as position and alpha transparency in one
frame and again in another frame. Flash then interpolates the property values of the frames in between. Motion tweens
are useful for animation that consists of continuous motion or transformation of an object. Motion tweens appear in
the Timeline as a contiguous span of frames that can be selected as a single object by default. Motion tweens are
powerful and simple to create.

192
USING FLASH PROFESSIONAL
Timelines and Animation
Last updated 1/16/2012
Classic tweens Classic tweens are like motion tweens, but are more complex to create. Classic tweens allow for some
specific animated effects not possible with span-based tweens.
Inverse Kinematics poses Inverse kinematic poses allow you to stretch and bend shape objects and link groups of
symbol instances to make them move together in naturalistic ways. Once you have added bones to a shape or a group
of symbols, you can change the position of the bones or symbols in different keyframes. Flash interpolates the positions
in the in-between frames.
Shape tweens In shape tweening, you draw a shape at one specific frame in the Timeline, and change that shape or
draw another shape at another specific frame. Flash Pro then interpolates the intermediate shapes for the frames in
between, creating the animation of one shape morphing into another.
Frame-by-frame animation This animation technique lets you specify different art for each frame in the Timeline. Use
this technique to create an effect that is like the frames of a film being played in rapid succession. This technique is
useful for complex animation where the graphic elements of each frame must be different.
The following video tutorial provides further explanation of the different types of animation: Understanding tweens
(2:36).
More Help topics
“Motion tween animation” on page 195
“Working with classic tween animation” on page 223
“Inverse kinematics” on page 237
“Shape tweening” on page 232
“Frame-by-frame animation” on page 234
About frame rates
The frame rate, the speed the animation is played at, is measured in number of frames per second (fps). A frame rate
that’s too slow makes the animation appear to stop and start; a frame rate that’s too fast blurs the details of the
animation. A frame rate of 24 fps is the default for new Flash documents and usually gives the best results on the web.
The standard motion-picture rate is also 24 fps.
The complexity of the animation and the speed of the computer playing the animation affect the smoothness of the
playback. To determine optimum frame rates, test your animations on a variety of computers.
Because you specify only one frame rate for the entire Flash Pro document, set this rate before you begin creating
animation.
More Help topics
“Create a new document” on page 42
Identifying animations in the Timeline
Flash Pro distinguishes tweened animation from frame-by-frame animation in the Timeline by displaying different
indicators in each frame that contains content.

193
USING FLASH PROFESSIONAL
Timelines and Animation
Last updated 1/16/2012
The following frame content indicators appear in the Timeline:
•A span of frames with a blue background indicates a motion tween. A black dot in the first frame of the span
indicates that the tween span has a target object assigned to it. Black diamonds indicate the last frame and any other
property keyframes. Property keyframes are frames that contain property changes explicitly defined by you. You
can choose which types of property keyframes to display by right-clicking (Windows) or Command-clicking
(Macintosh) the motion tween span and choosing View Keyframes
> type from the context menu. Flash displays
all types of property keyframes by default. All other frames in the span contain interpolated values for the tweened
properties of the target object.
•A hollow dot in the first frame indicates that the target object of the motion tween has been removed. The tween
span still contains its property keyframes and can have a new target object applied to it.
•A span of frames with a green background indicates an inverse kinematics (IK) pose layer. Pose layers contain IK
armatures and poses. Each pose appears in the Timeline as a black diamond. Flash interpolates the positions of the
armature in the frames in between poses.
•A black dot at the beginning keyframe with a black arrow and blue background indicates a classic tween.
•A dashed line indicates that the classic tween is broken or incomplete, such as when the final keyframe is missing.
•A black dot at the beginning keyframe with a black arrow and a light green background indicates a shape tween.
•A black dot indicates a single keyframe. Light gray frames after a single keyframe contain the same content with no
changes. These frames have a vertical black line and a hollow rectangle at the last frame of the span.
•A small a indicates that the frame is assigned a frame action with the Actions panel.
•A red flag indicates that the frame contains a label.
•A green double slash indicates that the frame contains a comment.

194
USING FLASH PROFESSIONAL
Timelines and Animation
Last updated 1/16/2012
•A gold anchor indicates that the frame is a named anchor.
About layers in tweened animation
Each scene in a Flash Pro document can consist of any number of Timeline layers. Use layers and layer folders to
organize the contents of an animation sequence and separate animated objects. Organizing them in layers and folders
prevents them from erasing, connecting to, or segmenting each other when they overlap. To create animation that
includes tweened movement of more than one symbol or text field at once, place each object on a separate layer. You
can use one layer as a background layer to contain static artwork and use additional layers to contain one separate
animated object.
When you create a motion tween, Flash Pro converts the layer containing the object you selected to tween into a tween
layer. The tween layer has a tween icon next to the layer name in the Timeline.
If other objects are present on the same layer as the tweened object, Flash Pro adds new layers above or below the
original layer as needed. Any objects that existed below the tweened object on its original layer move to a new layer
below the original layer. Any objects that were above the tweened object on its original layer move to a new layer above
the original layer. Flash Pro inserts these new layers between any pre-existing layers in the Timeline. In this way Flash
Pro preserves the original stacking order of all the graphic objects on the Stage.
A tween layer can contain only tween spans (contiguous groups of frames containing a tween), static frames, blank
keyframes, or empty frames. Each tween span can contain only a single target object and an optional motion path for
the target object. Because you cannot draw in a tween layer, create additional tweens or static frames on other layers
and then drag them to the tween layer. To place frame scripts on a tween layer, create them on another layer and drag
them to the tween layer. A frame script can only reside in a frame outside the motion tween span itself. In general, it
is best to keep all frame scripts on a separate layer that contains only ActionScript.
When a document has several layers, tracking and editing the objects on one or more of them can be difficult. This
task is easier if you work with the contents of one layer at a time. To hide or lock layers you are not currently working
on, click the Eye or Lock icon next to the layer name in the Timeline. Using layer folders can help you organize layers
into manageable groups.
Distributing objects to layers for tweened animation
Flash Pro automatically moves an object to its own tween layer when you apply a motion tween to the object. However,
you can also distribute objects to their own separate layers yourself. For example, you can choose to distribute objects
yourself when you are organizing content. Manual distribution is also useful for applying animation to objects while
maintaining precise control over how they move from one layer to another.
When you use the Distribute To Layers command (Modify > Timeline > Distribute To Layers), Flash Pro distributes
each selected object to a new, separate layer. Any objects that you don’t select (including objects in other frames) are
preserved in their original layers.
You can apply the Distribute To Layers command to any element on the Stage, including graphic objects, instances,
bitmaps, video clips, and broken-apart text blocks.
More Help topics
“About layers in tweened animation” on page 194
“Motion tween animation” on page 195

195
USING FLASH PROFESSIONAL
Timelines and Animation
Last updated 1/16/2012
About new layers created with Distribute to Layers
New layers created during the Distribute To Layers operation are named according to the name of the element that
each contains:
•A new layer containing a library asset (such as a symbol, bitmap, or video clip) receives the same name as the asset.
•A new layer containing a named instance receives the name of the instance.
•A new layer containing a character from a broken-apart text block is named with the character.
•A new layer containing a graphic object (which has no name) is named Layer1 (or Layer2, and so on), because
graphic objects do not have names.
Flash Pro inserts the new layers below any selected layers. The new layers are arranged top to bottom, in the order
that the selected elements were originally created. The layers in broken-apart text are arranged in the order of the
characters, whether left-to-right, right-to-left, or top-to-bottom. For example, suppose you break apart the text
FLASH and distribute it to layers. The new layers, named F, L, A, S, and H, are arranged top to bottom, with F at
the top. These layers appear immediately below the layer that initially contained the text.
Distribute objects to layers
1Select the objects you want to distribute to separate layers. The objects can be in a single layer, or in several layers,
including non-contiguous layers.
2Do one of the following:
•Select Modify > Timeline > Distribute To Layers.
•Right-click (Windows) or Control-click (Macintosh) one of the selected objects, and select Distribute To Layers.
Additional resources
The following articles are available about working with animation in Flash Pro:
•Creating a simple animation in Flash (Adobe.com)
•Animation Learning Guide for Flash Professional (Adobe.com)
•Motion migration guide for Flash Professional (Adobe.com)
•Creating animation in ActionScript 3.0 (Adobe.com)
•How to Lip Sync a Character in Flash (Length = 2:30, YouTube.com)
Motion tween animation
About tween animation
More Help topics
“Drawing in Flash” on page 89
“Create and organize layers” on page 181
“Transforming objects” on page 118
“Working with symbols” on page 150
“Reshape lines and shapes” on page 115

196
USING FLASH PROFESSIONAL
Timelines and Animation
Last updated 1/16/2012
“Easing tween animations” on page 219
“Shape tweening” on page 232
“Break apart groups and objects” on page 127
Before you begin
Note: Like most things in Flash, animation does not require any ActionScript. However, you can create animation with
ActionScript if you choose.
Before creating tweens, it is helpful to understand the following Flash Pro concepts:
•Drawing on the Stage
•Timeline layers and the stacking order of objects within a single layer as well as across layers
•Moving and transforming objects on the Stage and in the Property inspector
•Using the Timeline, including object lifetime and selecting objects at specific points in time. See “Frames and
keyframes” on page 179 to learn the basics.
• Symbols and symbol properties. Tweenable symbol types include movie clips, buttons, and graphics. Text is also
tweenable.
•Nested symbols. Symbol instances can be nested inside other symbols.
•Optional: Bezier curve editing using the Select and Subselect tools. These tools can be used for editing tween motion
paths.
For more information about these concepts, see the list of links at the bottom of this page.
Understanding motion tweens
A motion tween is an animation that is created by specifying different values for an object property in different frames.
Flash Pro calculates the values for that property in between those two frames. The term tween comes from the words
“in between”.
For example, you can place a symbol left of the Stage in frame 1, and move it to the right of the Stage in frame 20. When
you create a tween, Flash Pro calculates all the positions of the movie clip in between. The result is an animation of the
symbol moving from left to right, from frame 1 to frame 20. In each frame in between, Flash Pro moves the movie clip
one 20th of the distance across the Stage.
A tween span is a group of frames in the Timeline in which an object has one or more properties changed over time. A
tween span appears in the Timeline as a group of frames in a single layer with a blue background. These tween spans
can be selected as a single object and dragged from one location in the Timeline to another, including to another layer.
Only one object on the Stage can be animated in each tween span. This object is called the target object of the tween span.
A property keyframe is a frame within a tween span where you explicitly define one or more property values for the
tween target object. These properties could include position, alpha (transparency), color tint, etc. Each property you
define has its own property keyframes. If you set more than one property in a single frame, then the property keyframes
for each of those properties reside in that frame. You can view each property of a tween span and its property
keyframes in the Motion Editor. You can also choose which types of property keyframes to display in the Timeline
from the tween span context menu.
In the preceding example of tweening a movie clip from frame 1 to frame 20, frames 1 and 20 are property keyframes.
You can use the Property inspector, the Motion Editor, and many other tools in Flash to define values for properties
you want to animate. You specify these property values in the frames of your choosing, and Flash Pro adds the required
property keyframes to the tween span. Flash Pro interpolates the values for each of these properties in the frames in
between the property keyframes you have created.

197
USING FLASH PROFESSIONAL
Timelines and Animation
Last updated 1/16/2012
Note: Beginning in Flash Professional CS4, the concepts of a “keyframe” and a “property keyframe” have changed. The
term “keyframe” refers to a frame in the Timeline in which a symbol instance appears on the Stage for the first time. The
separate term “property keyframe” refers to a value defined for a property of an object at a specific time or frame in a
motion tween.
If a tweened object changes its location on the Stage during the tween, the tween span has a motion path associated
with it. This motion path shows the path the tweened object takes during its movement around the Stage. You can edit
the motion path on the Stage using the Selection, Subselection, Convert Anchor, Remove Anchor, and Free Transform
tools, and commands in the Modify menu. If you are not tweening position, no motion path appears on the Stage. You
can also apply an existing path as a motion path by pasting the path onto a tween span in the Timeline.
Tweened animation is an effective and efficient way to create movement and changes over time while minimizing file
size. In tweened animation, only the values for the property keyframes you specify are stored in the FLA file and
published SWF file.
Tweenable objects and properties
The types of objects that can be tweened include movie clip, graphic and button symbols, and text fields. The properties
of these objects that can be tweened include the following:
•2D X and Y position
•3D Z position (movie clips only)
•2D rotation (around the z-axis)
•3D X, Y, and Z rotation (movie clips only)
3D motion requires that the FLA file target ActionScript 3.0 and Flash Player 10 or higher in the publish settings.
Adobe AIR also supports 3D motion.
•Skew X and Y
•Scale X and Y
•Color effects
Color effects include: alpha (transparency), brightness, tint, and advanced color settings. Color effects can be
tweened only on symbols and TLF text. By tweening these properties, you can make objects appear to fade in or
fade from one color to another.
To tween a color effect on classic text, convert the text to a symbol.
•Filter properties (filters cannot be applied to graphic symbols)
Differences between motion tweens and classic tweens
Flash Pro supports two different types of tweens for creating motion. Motion tweens, introduced in Flash CS4
Professional, are powerful and simple to create. Motion tweens allow the greatest control over tweened animation.
Classic tweens, which include all tweens created in earlier versions of Flash Pro, are more complex to create. While
motion tweens offer much more control of a tween, classic tweens provide certain specific capabilities that some users
need.
The differences between motion tweens and classic tweens include the following:
•Classic tweens use keyframes. Keyframes are frames in which a new instance of an object appears. Motion tweens
can only have one object instance associated with them and use property keyframes instead of keyframes.
•A motion tween consists of one target object over the entire tween span. Classic tween allows tweening between two
keyframes, containing instances of the same or different symbols.

198
USING FLASH PROFESSIONAL
Timelines and Animation
Last updated 1/16/2012
•Both motion tweens and classic tweens allow only specific types of objects to be tweened. When you apply a motion
tween to non-allowed object types, Flash offers to convert them to a movie clip when the tween is created. Applying
a classic tween converts them to graphic symbols.
•Motion tweens consider text a tweenable type and do not convert text objects to movie clips. Classic tweens convert
text objects to graphic symbols.
•No frame scripts are allowed on a motion tween span. Classic tweens allow frame scripts.
•Any object scripts on a tween target cannot change over the course of the motion tween span.
•Motion tween spans can be stretched and resized in the Timeline and are treated as a single object. Classic tweens
consist of groups of individually selectable frames in the Timeline.
•To select individual frames in a motion tween span, Ctrl-click (Windows) or Command-click (Macintosh) the
frames.
•With classic tweens, eases can be applied to the groups of frames between the keyframes within the tween. With
motion tweens, eases apply across the entire length of a motion tween span. Easing only specific frames of a motion
tween requires the creation of a custom ease curve.
•You can use classic tweens to animate between two different color effects, such as tint and alpha transparency.
Motion tweens can apply one color effect per tween.
•Only motion tweens can be used to animate 3D objects. You cannot animate a 3D object using a classic tween.
•Only motion tweens can be saved as Motion Presets.
•With motion tweens, you cannot swap symbols or set the frame number of a graphic symbol to display in a property
keyframe. Animations that include these techniques require classic tweens.
•There can be more than one classic or motion tween on the same layer, but there can't be both types of tween on
the same layer.
Additional resources
The following articles and resources are available about the differences between motion tweens and classic tweens:
•Creating a simple animation in Flash (Adobe.com)
•Motion migration guide for Flash Professional (Adobe.com)
•Jen DeHaan provides a useful blog post about the motion model in Flash Pro and the differences between motion
tweens and classic tweens on her Flashthusiast.com site.
Applying motion presets
Motion presets are pre-configured motion tweens that you can apply to an object on the Stage. You simply select the
object and click the Apply button in the Motion Presets panel.
Using motion presets is a quick way to learn the basics of adding animation in Flash Pro. Once you see how presets
work, making your own animations is even easier.
You can create and save your own custom presets. These can be from existing motion presets that you have modified,
or from custom tweens that you have created on your own.
The Motion Presets panel also allows you to import and export presets. You can share presets with people you are
collaborating with or take advantage of presets shared by members of the Flash Pro design community.
Using presets can save significant production time during design and development of your projects, especially if you
use similar kinds of tweens often.

199
USING FLASH PROFESSIONAL
Timelines and Animation
Last updated 1/16/2012
Note: Motion presets can only contain motion tweens. Classic tweens cannot be saved as motion presets.
The following video tutorials demonstrate how to use motion presets. Some videos may show the Flash Pro CS3 or CS4
workspace, but are still applicable to Flash Pro CS5.
•Working with motion presets (3:29)
•Using Motion Presets (3:25)
•Everyday Timesavers: Web – Motion Presets (3:32)
More Help topics
“Animate position with a tween” on page 204
“Edit the motion path of a tween animation” on page 206
Preview a motion preset
Each motion preset included with Flash Pro has a preview that you can watch in the Motion Presets panel. The preview
gives you a sense of what the animation looks like when applied to an object in your FLA file. For custom presets that
you create or import, you can add your own preview.
1Open the Motion Presets panel.
2Select a motion preset from the list.
The preview plays in the Preview pane at the top of the panel.
3To stop the preview from playing, click outside the Motion Presets panel.
Apply a motion preset
While a tweenable object (symbol instance or text field) is selected on the Stage, you can click the Apply button to apply
a preset. You can apply only one preset per object. If you apply the second preset to the same object, the second preset
replaces with the first one.
Once a preset is applied to an object on the Stage, the tween created in the Timeline no longer has any relationship to
the Motion Presets panel. Deleting or renaming a preset in the Motion Presets panel has no effect on any tweens
previously created with that preset. If you save a new preset over an existing one in the panel, it has no effect on any
tweens already created with the original preset.
Each motion preset contains a specific number of frames. When you apply a preset, the tween span created in the
Timeline contains this number of frames. If the target object already had a tween of a different length applied to it, the
tween span adjusts to match the length of the motion preset. You can adjust the length of the tween span in the
Timeline after the preset is applied.
Motion presets that contain 3D motion can only be applied to movie clip instances. The tweened 3D properties do not
apply to graphic or button symbols, or to classic text fields. You can apply 2D or 3D motion presets to any 2D or 3D
movie clip.
Note: Motion presets that animate the z axis position of a 3D movie clip will cause the movie clip to appear to change its
x and y position as well. This is because movement along the z axis follows the invisible perspective lines which radiate
from the 3D vanishing point (set in the 3D symbol instance Property inspector) to the edges of the Stage.
To apply the motion preset:
1Select a tweenable object on the Stage. If you apply a motion preset to an object that is not tweenable, a dialog box
appears to allow you to convert the object to a symbol.
2Select a preset in the Motion Presets panel.

200
USING FLASH PROFESSIONAL
Timelines and Animation
Last updated 1/16/2012
3Click the Apply button in the panel or choose Apply at Current Location from the panel menu.
The motion is applied so that the motion starts at the current position of the movie clip on the Stage. If the preset has
a motion path associated with it, the motion path appears on the Stage.
To apply the preset so that its motion ends at the current position of the object on the Stage, Shift-click the Apply
button or select End at Current Location from the panel menu.
You can also apply a motion preset to multiple selected frames on separate layers, as long as each selected frame
contains only a single tweenable object.
Save a tween as a custom motion preset
If you create your own tween or change a tween that you applied from the Motion Presets panel, you can save it as a
new motion preset. The new preset appears in the Custom Presets folder in the Motion Presets panel.
To save a custom tween as a preset:
1Select one of the following items:
•The tween span in the Timeline
•The object on Stage to which the custom tween was applied
•The motion path on the Stage
2Click the Save Selection As Preset button in Motion Presets panel or choose Save as Motion Preset from the context
menu of the selection.
The new preset appears in the Motion Presets panel. Flash Pro saves the preset as an XML file. The files are stored in
the following directories:
•Windows: <hard disk>\Documents and Settings\<user>\Local Settings\Application Data\Adobe\Flash
CS5\<language>\Configuration\Motion Presets\
•Macintosh: <hard disk>/Users/<user>/Library/Application Support/Adobe/Flash
CS5/<language>/Configuration/Motion Presets/
Note: You cannot undo saving, deleting, or renaming custom presets.
More Help topics
“Create tween animation” on page 202
Import a motion preset
Motion presets are stored as XML files. Import an XML tween file to add it to the Motion Presets panel.
1Choose Import from the Motion Presets panel menu.
2In the Open dialog box, navigate to the XML file you want to import and click Open.
Flash Pro opens the XML file and adds the motion preset to the panel.
Export a motion preset
You can export motion presets as XML files that can be shared with other Flash Pro users.
1Select the preset in the Motion Presets panel.
2Choose Export from the panel menu.
3In the Save As dialog box, choose a name and location for the XML file and click Save.

201
USING FLASH PROFESSIONAL
Timelines and Animation
Last updated 1/16/2012
Delete a motion preset
You can remove presets from the Motion Presets panel. When you remove a preset, Flash Pro deletes its XML file from
disk. Consider making a backup of any presets you might want to use again later by exporting copies of them first.
1Select the preset to delete in the Motion Presets panel.
2Do one of the following:
•Choose Remove from the panel menu.
•Click the Remove item button in the panel.
Create a preview for a custom preset
You can create a preview for any custom motion presets that you create. Do this by storing a SWF file that
demonstrates the tweened animation in the same directory with the motion preset XML file.
1Create the tweened animation and save it as a custom preset.
2Create a FLA file that contains only a demonstration of the tween. Save the FLA with the exact same name as the
custom preset.
3Create a SWF file from the FLA file with the Publish command.
4Place the SWF file in the same directory as the saved custom motion preset XML file. These files are stored in the
following directories:
•Windows: <hard disk>\Documents and Settings\<user>\Local Settings\Application Data\Adobe\Flash
CS5\<language>\Configuration\Motion Presets\
•Macintosh: <hard disk>/Users/<user>/Library/Application Support/Adobe/Flash
CS5/<language>/Configuration/Motion Presets/
The preview now displays when the custom tween is selected in the Motion Presets panel.

202
USING FLASH PROFESSIONAL
Timelines and Animation
Last updated 1/16/2012
Create tween animation
The steps in creating tweened animation.
More Help topics
“Editing animation property curves with the Motion Editor” on page 214
“Animate an armature” on page 245
“3D graphics” on page 142
Before you begin
Before you begin animating properties, keep in mind the following:
ActionScript is not necessary. Like many things in Flash, animation does not require any ActionScript. However, you
can create animation with ActionScript if you choose.
Basics of timeline and editing properties. Before working with motion tweens, become familiar with the basic use of
the Timeline and editing properties. See “Frames and keyframes” on page 179 and “Editing instance properties” on
page 155 to learn the basics.
You can edit individual property keyframes on Stage, in the Property inspector, or in the Motion Editor. Note that
using the Motion Editor is optional when creating many types of simple motion tweens.
Symbol Instances and text fields only. Flash tweens only symbol instances and text fields. All other object types are
wrapped in a symbol when you apply a tween to them. The symbol instance can contain nested symbols, which can
themselves be tweened on their own timelines.

203
USING FLASH PROFESSIONAL
Timelines and Animation
Last updated 1/16/2012
Single object per tween. The minimal building block in a tween layer is a tween span. A tween span in a tween layer
can contain only one symbol instance or text field. The symbol instance is called the target of the tween span. However,
a single symbol can contain many objects.
Changing the target. Adding a second symbol or text field to the tween span replaces the original symbol in the tween.
You can change the target object of a tween by dragging a different symbol from the library onto the tween span in the
Timeline or by using the Modify
> Symbol > Swap Symbol command. You can delete the symbol from a tween layer
without removing or breaking the tween. You can then add a different symbol instance to the tween at a later time.
You can also change the type of the target symbol or edit the symbol at any time.
Editing motion paths. When a tween contains motion, a motion path appears on the Stage. The motion path shows
the position of the tweened object in each frame. You can edit the motion path on the Stage by dragging its control
points. You cannot add a motion guide to a tween/inverse kinematics layer.
For information about tweening with Inverse Kinematics, see “Animate an armature” on page 245.
How tweens are added to the Timeline
When you add a tween to an object on a layer, Flash Pro does one of the following:
•It converts the layer to a tween layer.
•It creates a new layer to preserve the original stacking order of the objects on the layer.
Layers are added according to these rules:
•If there are no objects on the layer other than the selection, the layer changes to a tween layer.
•If the selection is at the bottom of the stacking order of the layer (under all other objects), Flash creates a layer above
the original layer. This new layer holds the non-selected items. The original layer becomes a tween layer.
• If the selection is at the top of the stacking order of the layer (above all other objects), Flash creates a new layer. The
selection is moved to the new layer and that layer becomes a tween layer.
•If the selection is in the middle of the stacking order of the layer (there are objects above and below the selection),
Flash creates two layers. One layer holds the new tween and another one above it holds the non-selected items at
the top of the stacking order. The non-selected items at the bottom of the stacking order remain on the original
layer, below the newly inserted layers.
A tween layer can contain tween spans as well as static frames and ActionScript. However, frames of a tween layer that
contain a tween span cannot contain objects other than the tweened object. To add additional objects in the same
frame, place them on separate layers.
Videos and tutorials
The following tutorials demonstrate techniques for creating motion tweens:
•Video: Tween the position of an object. Creating motion tweens (length: 2:04, Adobe TV)
•Video: Creating motion tweens: Part 1 (length: 10:53, Adobe TV)
•Video: Creating motion tweens: Part 2 (length: 5:55, Adobe TV)
•Video: Tween position and alpha (transparency), edit the motion path, save a tween as a motion preset. Create
Animation in Flash CS4 (length: 5:34, Adobe TV)
•Video: Tween position, alpha, 3D rotation, filters, Motion Editor overview, adding eases, copy/paste tween
properties, edit motion path, manipulate tween spans in the Timeline, save and apply motion presets. Flash
Downunder: Motion Tweening (length: 29:57, Adobe TV)
•Video: Layers TV: Episode 71: Animated text (length: 20:19, Adobe TV)

204
USING FLASH PROFESSIONAL
Timelines and Animation
Last updated 1/16/2012
•Video: When to use motion tweens and classic tweens. Flash Motion Tweening (length: 10:13, Layers Magazine)
•Tutorial: Tween alpha (transparency). How to Create a Motion Tween in Adobe Flash (eHow.com)
•Tutorial: Creating a tween, editing the motion path. Timeline animation in Flash (Layersmagazine.com)
•Video: Understanding Timeline icons in an object-based tween (Length = 5:08, Peachpit.com)
Animate position with a tween
To make an object move or slide across the Stage:
1Select a symbol instance or a text field to tween on the Stage. The object can reside in any of the following layer
types: Normal, Guide, Mask, or Masked.
If the selection contains other objects, or it contains multiple objects from a layer, Flash offers to convert your
selection to a movie clip symbol.
2Do one of the following:
•Choose Insert > Motion Tween.
•Right-click (Windows) or Ctrl-click (Macintosh) the selection or current frame and choose Create Motion
Tween from the context menu.
If the “Convert selection to symbol for tween” dialog box appears, click OK to convert the selection into a movie
clip symbol.
If the tweened object was the only item on the layer, Flash Pro converts the layer containing the object to a tween
layer. If there are other objects on the layer, Flash Pro inserts layers to preserve the stacking order. Flash places the
tweened object on its own layer.
If the original object resided in only the first frame of the Timeline, the length of the tween span is equal to one
second in duration. If the original object was present in more than one contiguous frame, the tween span contains
the number of frames occupied by the original object.
3Drag either end of the tween span in the Timeline to shorten or extend the span to the desired number of frames.
Any existing property keyframes in the tween move proportionally with the end of the span.
To move the end of the span without moving any existing keyframes, Shift-drag the end of the tween span.
4To add motion to the tween, place the playhead on a frame within the tween span and then drag the object to a new
position.
A motion path appears on the Stage showing the path from the position in the first frame of the tween span to the
new position. Because you explicitly defined the X and Y properties of the object, property keyframes are added for
X and Y in the frame containing the playhead. Property keyframes appear as small diamonds in the tween span.
By default, the Timeline displays the property keyframes of all property types. You can choose which types of
property keyframes to display by right-clicking (Windows) or Command-clicking (Macintosh) the tween span and
choosing View Keyframes
> property type.
5To specify another position for the object, place the playhead in another frame within the tween span and drag the
object on Stage to another position.
The motion path adjusts to include all the positions you specify.
6To tween 3D rotation or position, use the 3D Rotation or 3D Translation tool. Be sure to place the playhead in the
frame where you want to add the 3D property keyframe first.
Note: To create multiple tweens at once, place tweenable objects on multiple layers, select them all, and choose Insert >
Motion Tween. You can also apply motion presets to multiple objects in the same way.

205
USING FLASH PROFESSIONAL
Timelines and Animation
Last updated 1/16/2012
Tween other properties with the Property inspector
The Create Motion Tween command lets you animate most properties of a symbol instance or text field, such as
rotation, scale, transparency, or tint (symbols and TLF text only). For example, you can edit the alpha (transparency)
property of a symbol instance to make it fade onto the screen. For a list of the properties you can animate with motion
tweens, see “Tweenable objects and properties” on page 197.
1Select a symbol instance or text field on the Stage.
If the selection contains other objects, or it contains multiple objects from the layer, Flash offers to convert it to a movie
clip symbol.
2Choose Insert > Motion Tween.
If the “Convert selection to symbol for tween” dialog box appears, click OK to convert the selection into a movie clip
symbol.
When you apply a tween to an object that exists only in a single keyframe, the playhead moves to the last frame of the
new tween. Otherwise the playhead does not move.
3Place the playhead in the frame of the tween span where you want to specify a property value.
You can place the playhead in any other frame of the tween span. The tween starts with the property values in the first
frame of the tween span, which is always a property keyframe.
4With the object selected on the Stage, set a value for a non-position property, such as alpha (transparency), rotation,
or skew. Set the value with the Property inspector or with one of the tools in the Tools panel.
The current frame of the span becomes a property keyframe.
You can display different types of property keyframes in tween spans. Right-click (Windows) or Ctrl-click (Macintosh)
a tween span and choose View Keyframes > property type from the context menu.
5Scrub the playhead in the Timeline to preview the tween on the Stage.
6To add additional property keyframes, move the playhead to the desired frame in the span and set a value for the
property in the Property inspector.
Note: You can also tween properties along an entire tween with the Motion Editor. See “Editing animation property
curves with the Motion Editor” on page 214 for more information.
Add an additional tween to an existing tween layer
You can add additional tweens to an existing tween layer. This allows you to use fewer layers when creating Flash
content with animation.
❖Do one of the following:
•Add a blank keyframe to the layer (Insert > Timeline > Blank Keyframe), add items to the keyframe, and then tween
the items.
•Create a tween on a separate layer and then drag the span to the desired layer.
•Drag a static frame from another layer to the tween layer and then add a tween to an object in the static frame.
•Alt-drag (Windows) or Option-drag (Macintosh) to dulicate an existing span from the same layer or a different
layer.
•Copy and paste a tween span from the same or different layer.
Note: You can copy the target object of a motion tween to the clipboard at any frame in the tween span.

206
USING FLASH PROFESSIONAL
Timelines and Animation
Last updated 1/16/2012
Edit the motion path of a tween animation
You can edit or change the motion path of a motion tween in the following ways:
•Change the position of the object in any frame of the tween span.
•Move the entire motion path to a different location on the Stage.
•Change the shape or size of the path with the Selection, Subselection, or Free Transform tools.
•Change the shape or size of the path with the Transform panel or Property inspector.
•Use the commands in the Modify > Transform menu.
•Apply a custom stroke as a motion path.
•Use the Motion Editor.
You can use the Always Show Motion Paths option to show all motion paths on all layers on the Stage simultaneously.
This display is helpful when designing multiple animations on different motion paths that intersect each other. When
a motion path or tween span is selected, you can choose this option from the Property inspector options menu.
More Help topics
“Editing animation property curves with the Motion Editor” on page 214
Edit the shape of a motion path with the Selection and Subselection tools
With the Selection and Subselection tools, you can reshape a motion path. With the Selection tool, you can reshape a
segment by dragging. Property keyframes in the tween appear on the path as control points. With the Subselection
tool, you can expose the control points and Bezier handles on the path that correspond to each position property
keyframe. You can use these handles to reshape the path around the property keyframe points.
When you create a non-linear motion path such as a circle, you can have the tweened object rotate as it moves along
the path. To maintain a constant orientation relative to the path, select the Orient to Path option in the Property
inspector.
A tweened object not oriented to the motion path (left) and oriented to the motion path (right).
1Click the Selection tool in the Tools panel.
2Click the tween target instance so that the motion path becomes visible on the Stage.
3With the Selection tool, drag any segment of the motion path to reshape it. Do not click to select the segment first.
4To expose the Bezier control points of a property keyframe point on the path, click the Subselection tool and then
click the path.

207
USING FLASH PROFESSIONAL
Timelines and Animation
Last updated 1/16/2012
The property keyframe points appear as control points (small diamonds) on the motion path.
5To move a control point, drag it with the Subselection tool.
6To adjust the curve of the path around a control point, drag the Bezier handles of the control point with the
Subselection tool.
If the handles are not extended, you can extend them by Alt-dragging (Windows) or Option-dragging (Macintosh) the
control point.
7To delete an Anchor point click on it with Delete Anchor Point tool.Most anchor points generated with Selection
tool are smooth points. To convert an anchor point click onti with Convert Anchor Point tool. The anchor changes
to an angle point.
8You can also pull out new bezier handles from a point and position them, just as you would for a regular anchor
point.
Note: You can't add anchor points to the path with Add Anchor point tool.
Adobe recommended community content:
•Video: Custom motion paths in Flash (3:51, SchoolofFlash.com. Motion tweens, editing a motion path, creating a
custom motion path and applying it to a tween.)
•Video: Flash Downunder: Motion Tweening (29:57, Adobe TV. Shows how to edit a motion path. Jump to time
code 05:00 in the video.)
•Tutorial: Timeline animation in Flash (Layersmagazine.com. Creating a tween, editing the motion path.)
•Video: Altering the curve of a motion path (Length = 3:45, Peachpit.com)
Change the position of the tweened object
The simplest way to edit a motion path is to move the target instance of the tween on the Stage in any frame of the
tween span. If the current frame does not already contain a property keyframe, Flash Pro adds one to it.
1Place the playhead in the frame where you want to move the target instance.
2With the Selection tool, drag the target instance to a new location on the Stage.
The motion path updates to include the new location. All other property keyframes in the motion path remain in their
original locations.
Change the location of a motion path on the Stage
You can drag the entire motion path on the Stage or set its location in the Property inspector.
1Click the Selection tool in the Tools panel.
2Select the motion path by doing one of the following:
•Click the tween span in the Timeline and then click the motion path on the Stage.
•Click the tweened object on the Stage and then click the motion path.
•Drag a marquee around the motion path and the target instance to select them both.
•(CS5.5 only) Select multiple motion paths by Shift-clicking the motion path of each tween you want to edit. You
can also drag a marquee around all of the motion paths.
3Move the motion path by doing one of the following:
•Drag the path to desired location on the Stage.

208
USING FLASH PROFESSIONAL
Timelines and Animation
Last updated 1/16/2012
•Set the X and Y values for the path in the Property inspector. The X and Y values are for the upper-left corner of
the bounding box of the motion path.
•Use the Arrow keys to move the motion path.
Note: To move the tween target instance and the motion path by specifying a location for the motion path, select both and
enter the X and Y locations in the Property inspector. To move a tweened object that has no motion path, select it and
enter X and Y values in the Property inspector.
Edit a motion path with the Free Transform tool
1Click the Free Transform tool in the Tools panel.
2With the Free Transform tool, click the motion path. Do not click the tween target instance.
3Scale, skew, or rotate the path with the Free Transform tool.
Note: You can also perform free transforms on the motion path by selecting it with the Subselection tool and then pressing
the Control (Windows) or Command (Macintosh) key. Pressing the key displays the same controls as the Free Transform
tool. You can then drag to perform transforms while pressing the key.
(CS5.5 only) Scale multiple tweened objects and motion paths
1Place the playback head in the first frame of the tweens you want to edit.
2Select the Free Transform tool from the Tools panel.
3Select multiple tweened object and their motion paths by doing one of the following:
•Shift-click the tweened objects and their motion paths.
•Drag a marquee around the tweened objects and their motion paths.
4Scale the selection by dragging the corners of the bounding box containing the selected objects and motion paths.
Because the playback head is in the first frame of the tweens, the scaling applies to all tweened frames. No new property
keyframes are created.
Delete a motion path from a tween
1Select the motion path on the Stage by clicking it with the Selection tool.
2Press the Delete key.
Copy a motion path as a stroke
1Click the motion path on the Stage to select it.
2Choose Edit > Copy.
You can then paste the path into another layer as a stroke or as a motion path for another motion tween.
Apply a custom stroke as a motion path
You can apply a stroke from a separate layer or a separate timeline as the motion path for a tween.
1Select a stroke on a layer separate from the tween layer and copy it to the clipboard.
The stroke must not be closed. Only uninterrupted strokes can be used.
2Select a tween span in Timeline.
3With the tween span still selected, paste the stroke.

209
USING FLASH PROFESSIONAL
Timelines and Animation
Last updated 1/16/2012
Flash Pro applies the stroke as the new motion path for the selected tween span. The target instance of the tween now
moves along the new stroke.
4To reverse the start and end points of the tween, right-click (Windows) or Ctrl-click (Macintosh) the tween span
and select Motion Path
> Reverse Path in the tween span context menu.
Use roving property keyframes
A roving property keyframe is a keyframe that is not linked to a specific frame in the Timeline. Flash adjusts the
position of roving keyframes so that the speed of motion is consistent throughout a tween.
Roving keyframes are available only for the spatial properties X, Y, and Z. They are useful when you have edited a
motion path on the Stage by dragging the tweened object to different locations in different frames. Editing motion
paths this way often creates path segments in which the motion is faster or slower than the other segments. This is
because the number of frames in the path segment is greater or smaller than other segments.
Using roving property keyframes is helpful for making the speed of an animation consistent throughout a tween.
When property keyframes are set to roving, Flash adjusts the position of the property keyframes in the tween span so
that the tweened object moves the same distance in each frame of the tween. You can then use easing to adjust the
movement so that the acceleration at the beginning and end of the tween has a realistic appearance.
When you paste a custom path onto a tween, Flash sets the property keyframes to roving by default.
To enable roving keyframes for an entire tween:
•Right-click (Windows) or Command-click (Macintosh) the tween span in the Timeline and choose Motion Path >
Switch keyframes to roving in the context menu.
To enable roving for an individual property keyframe in a tween:
•Right-click (Windows) or Command-click (Macintosh) the property keyframe in the Motion Editor panel and
choose roving in the context menu. For more information about the Motion Editor, see “Editing animation
property curves with the Motion Editor” on page 214.
When property keyframes are set to roving, they appear as round dots instead of squares in the Motion Editor.
Note: If you enable roving keyframes for a tween span and then disable them, the keyframes retain their locations in the
span that resulted from enabling roving.
A motion path with roving keyframes turned off. Note the uneven distribution of frames, resulting in uneven speed of motion.

210
USING FLASH PROFESSIONAL
Timelines and Animation
Last updated 1/16/2012
The same motion path with roving keyframes turned on, resulting in even distribution of frames along the path and even speed of motion.
Edit animation tween spans in the Timeline
When creating animation in Flash Pro, it is often appropriate to set up tween spans in the Timeline first. By
establishing the initial arrangement of objects in layers and frames, you can then finish the tweens by changing the
tweened property values in either the Property inspector or the Motion Editor.
To select tween spans and frames in the Timeline, do any of the following. Be sure Span-based Selection is turned on
in the General Preferences (Edit
> Preferences).
•To select an entire tween span, click the span.
•To select multiple tween spans, including non-contiguous spans, Shift-click each span.
•To select a single frame within a tween span, Ctrl+Alt-click (Windows) or Command+Option-click (Macintosh)
the frame inside the span.
•To select multiple contiguous frames within a span, Ctrl+Alt-drag (Windows) or Command+Option-drag
(Macintosh) inside the span.
•To select frames within multiple tween spans on different layers, Ctrl+Alt-drag (Windows) or Command+Option-
drag (Macintosh) across multiple layers.
•To select an individual property keyframe in a tween span, Ctrl+Alt-click (Windows) or Command+Option-click
(Macintosh) the property keyframe. You can then drag it to a new location.
A complete list of keyboard modifiers for working with tween spans in the Timeline is available at Flashthusiast.com.
More Help topics
“Editing animation property curves with the Motion Editor” on page 214
Move, duplicate, or delete tween spans
•To move a span to a new location in the same layer, drag the span.
Note: Locking a layer prevents editing on the Stage but not the Timeline. Moving a span on top of another span
consumes the overlapped frames of the second span.
•To move a tween span to a different layer, drag the span to the layer or copy and paste the span into the new layer.
You can drag a tween span onto an existing normal layer, tween layer, guide layer, mask layer, or masked layer. If
the new layer is a normal empty layer, it becomes a tween layer.
•To duplicate a span, Alt-drag (Windows) or Command-drag (Macintosh) the span to a new location in the
Timeline, or copy and paste the span.

211
USING FLASH PROFESSIONAL
Timelines and Animation
Last updated 1/16/2012
•To delete a span, select the span and choose Remove Frames or Clear Frames from the span context menu.
Edit adjacent tween spans
•To move the breakline between two contiguous tween spans, drag the breakline.
Each tween is recalculated.
•To separate the adjacent start and end frames of two contiguous tween spans, Alt-drag (Windows) or Command-
drag (Macintosh) the start frame of the second span.
This allows you to make room for frames between the two spans.
•To split a tween span into two separate spans, Ctrl-click (Windows) or Command-click (Macintosh) a single frame
in the span and then choose Split Motion from the span context menu.
Both tween spans have same target instance.
Note: You cannot split motion if more than one frame is selected. If the tween that was split had easing applied, the
two smaller tweens may not have exactly the same motion as the original.
•To join two contiguous tween spans, select both spans and choose Join Motions from the span context menu.
Edit the length of a tween span
•To change the length of an animation, drag the right or left edge of the tween span.
Dragging the edge of one span into the frames of another span replaces the frames of the second span.
•To extend the presence of a tweened object on Stage beyond either end of its tween, Shift-drag either end frame of
its tween span. Flash Pro adds frames to the end of the span without tweening those frames.
You can also select a frame after the tween span in the same layer and press F6. Flash Pro extends the tween span
and adds a property keyframe for all properties to the selected frame. If you press F5, Flash Pro adds frames but will
not add a property keyframe to the selected frame.
Note: To add static frames to the end of a span that is immediately adjacent to another span, first move the adjacent
span to make room for the new frames.
Add or remove frames within a tween span
•To remove frames from within a span, Ctrl-drag (Windows) or Command-drag (Macintosh) to select frames and
choose Remove Frames from the span context menu.
•To cut frames from within a span, Ctrl-drag (Windows) or Command-drag (Macintosh) to select the frames and
then choose Cut Frames from the span context menu.
•To paste frames into an existing tween span, Ctrl-drag (Windows) or Command-drag (Macintosh) to select the
frames to replace and choose Paste Frames from the span context menu.
Simply pasting an entire span onto another span replaces the entire second span.
Replace or remove the target instance of a tween
To replace the target instance of a tween span, do one of the following:
•Select the span and then drag the new symbol from the Library panel onto the Stage.
•Select the new symbol in the Library panel and the target instance of the tween on the Stage and choose Modify >
Symbol
> Swap Symbol.
•Select the span and paste a symbol instance or text from the clipboard.

212
USING FLASH PROFESSIONAL
Timelines and Animation
Last updated 1/16/2012
To remove the target instance of a tween span without removing the tween, select the span and press the Delete key.
View and edit property keyframes of a tween span
•To view frames containing property keyframes in a span for different properties, select the span and choose View
Keyframes from the span context menu and then choose the property type from the submenu.
•To remove a property keyframe from a span, Ctrl-click (Windows) or Command-click (Macintosh) the property
keyframe to select it and then right-click (Windows) or Ctrl-click (Macintosh) the property keyframe and choose
Clear Keyframe for the property type you want to delete the keyframe for.
•To add property keyframes for a specific property type to a span, Ctrl-click (Windows) or Command-click
(Macintosh) to select one or more frames in the span. Then right-click (Windows) or Ctrl-click (Macintosh) and
choose Insert Keyframe
> property type from the span context menu. Flash Pro adds property keyframes to the
selected frames. You can also set a property of the target instance in a selected frame to add a property keyframe.
•To add a property keyframe for all property types to a span, place the playhead in the frame where you want to add
the keyframe and choose Insert
> Timeline > Keyframe, or press F6.
•To reverse the direction of motion of a tween, choose Motion Path > Reverse Path from the span context menu.
•To change a tween span to static frames, select the span and choose Remove Tween from the span context menu.
•To convert a tween span to a frame-by-frame animation, select the span and choose Convert to Frame by Frame
Animation from the span context menu.
•To move a property keyframe to a different frame in the same tween span or a different tween span, Ctrl-click
(Windows) or Command-click (Macintosh) the property keyframe to select it and then drag the property keyframe
to the new location.
•To copy a property keyframe to another location in the tween span, Ctrl-click (Windows) or Command-click
(Macintosh) the property keyframe to select it and then Alt-drag (Windows) or Option-drag (Macintosh) the
property keyframe to the new location.
Add or remove 3D property keyframes in a tween
❖Do one of the following:
•Add 3D properties using the 3D tools in the Tools panel.
•Right-click (Windows) or Ctrl-click (Macintosh) the tween span in the Timeline and choose 3D tween from the
context menu.
If the tween span contained no 3D property keyframes, Flash Pro adds them to each existing X and Y position and
rotation property keyframe. If the tween span already contained 3D property keyframes, Flash Pro removes them.
Move or duplicate a tween span
You can duplicate or move tween spans and parts of tween spans by dragging them in the Timeline panel.
•Drag a tween span to move it to different location in the Timeline.
•Alt-drag a tween span to duplicate it in a new location in the Timeline.
Copy and paste a motion tween
You can copy the tweened properties from one tween span to another. The tweened properties are applied to the new
target object, but the location of the target object is not changed. This allows you to apply a tween from one area of the
Stage to an object in another area without repositioning the new target object.
1Select the tween span that contains the tweened properties you want to copy.

213
USING FLASH PROFESSIONAL
Timelines and Animation
Last updated 1/16/2012
2Select Edit > Timeline > Copy Motion.
3Select the tween span to receive the copied tween.
4Select Edit > Timeline > Paste Motion.
Flash applies the tweened properties to the target tween span and adjusts the length of the tween span to match the
copied tween span.
To copy a motion tween to the Actions panel or use it in another project as ActionScript®, use the Copy Motion as
ActionScript 3.0 command.
Copy and paste motion tween properties
You can copy the properties from a selected frame to another frame on the same tween span or a different tween span.
The property values are added only to the selected frame when the properties are pasted. The copied property values
of color effects, filters, and 3D properties are only pasted if the tweened object at that frame has the color effect, filter,
or 3D properties already applied. 2D position properties cannot be pasted onto a 3D tween.
These instructions assume that Span-Based Selection is turned on in the preferences (Edit > Preferences).
1To select a single frame in a tween span, Ctrl+Alt-click (Windows) or Command+Option-click (Macintosh) the
frame.
2Right-click (Windows) or Command-click (Macintosh) the selected frame and choose Copy Properties from the
context menu.
3Select a single frame to receive the copied properties by Ctrl+Alt-clicking (Windows) or Command+Option-
clicking (Macintosh) the frame.
The destination frame must be in a tween span.
4To paste the copied properties into the selected frame, do one of the following:
•To paste all of the copied properties, right-click (Windows) or Command-click (Macintosh) the selected frame of
the target tween span and choose Paste Properties from the context menu.
•To paste only some of the copied properties, right-click (Windows) or Command-click (Macintosh) the selected
frame of the target tween span and choose Paste Properties Special from the context menu. In the dialog box that
appears, select the properties to paste and click OK.
Flash Pro creates a property keyframe for each of the pasted properties in the selected frame and reinterpolates the
motion tween.
Convert a tween span to frame-by-frame animation
You can convert a motion tween span to frame-by-frame animation. In frame-by-frame animation, each frame
contains separate keyframes (not property keyframes) which each contains separate instances of the animated symbol.
Frame-by-frame animation does not contain interpolated property values. For more information, see “Frame-by-
frame animation” on page 234.
❖Right-click (Windows) or Ctrl-click (Macintosh) the tween span you want to convert and choose Convert to Frame
by Frame Animation from the context menu.
Copy motion as ActionScript 3.0
Copy the properties that define a motion tween in the Timeline as ActionScript 3.0 and apply that motion to another
symbol, either in the Actions panel or in the source files (such as class files) for a Flash Pro document that uses
ActionScript 3.0.

214
USING FLASH PROFESSIONAL
Timelines and Animation
Last updated 1/16/2012
Use the fl.motion classes to customize the Flash Pro-generated ActionScript for your specific project. For more
information, see the fl.motion classes in the ActionScript 3.0 Language and Components Reference.
Copy Motion As ActionScript 3.0 can capture the following properties of a motion tween:
•Position
•Scale
•Skew
•Rotation
•Transformation Point
•Color
•Blend Mode
•Orientation To Path
•Cache As Bitmap Setting
•Easing
•Filters
•3D rotation and position.
1Select the tween span in the Timeline or the object on the Stage that contains the motion tween to copy.
Only one tween span or tweened object can be selected to copy as ActionScript 3.0.
2 Do one of the following:
•Select Edit > Timeline > Copy Motion As ActionScript 3.0.
•Right-click (Windows) or Control-click (Macintosh) the tween span or the tweened instance on the Stage and
choose Copy Motion As ActionScript 3.0.
Flash Pro copies to your system’s clipboard the ActionScript 3.0 code that describes the selected motion tween. The
code describes the tween as a frame-by-frame animation.
To use the copied code, paste it into the Actions panel of a Flash Pro document that contains a symbol instance that
you want to receive the copied tween. Uncomment the line that calls the addTarget() function and replace the
<instance name goes here> text in that line with the name of the symbol instance you want to animate.
To name the symbol instance you want to animate with the pasted ActionScript, select the instance on the Stage and
enter the name in the Property inspector.
You can also name a motion tween instance by selecting the tween span in the Timeline and entering a name for the
motion tween in the Property inspector. You can then reference the tween span in ActionScript 3.0 code.
For more information about animating with ActionScript 3.0, see the fl.motion classes in the ActionScript 3.0
Language and Components Reference.
Editing animation property curves with the Motion Editor
The following video and articles demonstrate how to use the Motion Editor:
•Video: Control the properties of an animation. Adjust the x and y values and property keyframes. Add effects using
filters. Getting Started: Using the Motion Editor (3:40)
•Video: Finely control the tweening of individual properties. Apply ease curves to individual property tweens. Using
the Motion Editor (6:08)

215
USING FLASH PROFESSIONAL
Timelines and Animation
Last updated 1/16/2012
•Video: Using the Motion Editor (Length = 7:42, Peachpit.com)
•Article: List of keyboard modifiers for working with motion tweens (Flashthusiast.com)
The Motion Editor panel lets you view and change all tween properties and their property keyframes. It also provides
tools for adding precision and detail to tweens. The Motion Editor displays the properties of the currently selected
tween. Once you have created a tween in the Timeline, the Motion Editor allows you to control the tween in several
different ways.
Note: Using the Motion Editor is optional for many types of common simple motion tweens. The Motion Editor is
designed to make it easy to create more complex motion tweens. It is not used with classic tweens.
The Motion Editor panel allows you to:
•Set the value of individual property keyframes.
•Add or remove property keyframes for individual properties.
•Move property keyframes to different frames within the tween.
•Copy and paste a property curve from one property to another.
•Reverse the keyframes for individual properties.
•Reset individual properties or property categories.
•Exert fine control over the shape of the tween curves of most individual properties using Bezier controls. (The X,
Y, and Z properties do not have Bezier controls.)
•Add or remove filters or color effects and adjust their settings.
•Edit the motion path of a tween.
•Add different preset eases to individual properties and property categories.
•Create custom ease curves.
•Add custom easing to individual tweened properties and groups of properties.
•Enable roving for individual property keyframes for X, Y, and Z properties. Roving allows the property keyframe
to move to different frames or between individual frames to create smooth motion.
•(CS5.5 only) Play, rewind, skip forward and backward, and loop animations using the Playback buttons at the
bottom of the panel.

216
USING FLASH PROFESSIONAL
Timelines and Animation
Last updated 1/16/2012
The Motion Editor.
A. Property values B. Reset Values button C. Playhead D. Property curve area E. Previous Keyframe button F. Add or Remove Keyframe
button G. Next Keyframe button
When you select a tween span in the Timeline or a tweened object or motion path on the Stage, the Motion Editor
displays the property curves of the tween. The Motion Editor displays the property curves on a grid representing the
frames of the Timeline in which the selected tween occurs. The playhead appears in both the Timeline and the Motion
Editor, always in the same frame number.
The Motion Editor represents tweened property values using a two-dimensional graph for each property. Each
property has its own graph. Each graph represents time horizontally (from left to right), and the change to a property
value vertically. Each property keyframe for a specific property appears as a control point on the property curve for
that property. If an ease curve is applied to a property curve, a second curve appears as a dashed line in the property
curve area. The dashed line curve shows the affect of the ease on the property values.
Some properties cannot be tweened because they can have only one value for the life of an object in the Timeline. An
example is the Quality property of the Gradient Bevel filter. These properties can be set in the Motion Editor, but do
not have graphs.
You can precisely control the shape of most property curves in the Motion Editor by adding property keyframes and
manipulating the curve with standard Bezier controls. For the X, Y, and Z properties, you can add and remove control
points on the property curves, but you cannot use Bezier controls. When you change the control points of a property
curve, the changes appear on Stage immediately.
The Motion Editor also allows you to apply easing to any property curve. Applying easing in the Motion Editor lets
you create certain types of complex animation effects without creating complex motion paths. Ease curves are graphs
that show how the values of a tweened property are interpolated over time. By applying an ease curve to a property
curve, you can create complex motion with little effort.
Some properties have minimum or maximum values that cannot be exceeded, such as Alpha transparency (0-100%).
The graphs for these properties cannot apply values outside the acceptable range.
DCA B
EF G

217
USING FLASH PROFESSIONAL
Timelines and Animation
Last updated 1/16/2012
More Help topics
“Drawing with the Pen tool” on page 102
“Easing tween animations” on page 219
Control the Motion Editor display
In the Motion Editor, you can control which property curves appear, and the size of the display of each property curve.
Property curves that are displayed at a large size are easier to edit.
•To adjust which properties appear in the Motion Editor, click the triangle next to a property category to expand or
collapse the category.
•To control the number of frames of a tween shown in the Motion Editor, enter the number of frames you want to
display in the Viewable Frames field at the bottom of the Motion Editor. The maximum number of frames is the
total number of frames in the selected tween span.
•To toggle a property curve between expanded and collapsed views, click the property name. The expanded view
provides a lot more room to edit the property curve. You can adjust the size of the collapsed and expanded views
with the Graph Size and Expanded Graph Size fields at the bottom of the Motion Editor.
•To enable or disable tooltips in the graph area, select Show Tooltips from the panel options menu.
•To add a new color effect or filter to a tween, click the Add button in a property category row and choose the item
you want to add. The new item appears in the Motion Editor immediately.
Edit the shape of property curves
The Motion Editor allows you to precisely control the shape of each property curve of a tween, except for X, Y, and Z.
For all other properties, you can edit the curve of each graph with standard Bezier controls. Using these controls is
similar to how you edit strokes with the Selection tool or the Pen tool. Move a curve segment or control point upward
to increase the property value, move it downward to decrease the value.
By working with property curves directly, you can:
•Create complex curves for complex tweened effects.
•Adjust property values at property keyframes.
•Increase or decrease property values along the entire property curve.
•Add additional property keyframes to a tween.
•Set individual property keyframes to roving or non-roving.
In the Motion Editor, the basic motion properties X, Y, and Z are different from other properties. These three
properties are linked together. A frame in a tween span that is a property keyframe for one of these properties must be
a property keyframe for all three of them. In addition, control points on the X, Y, and Z property curves cannot be
edited with Bezier controls.
Control points of property curves can be either smooth points or corner points. When a property curve passes through
a corner point, it forms an angle. When a property curve passes through a smooth point, it forms a smooth curve. For
X, Y, and Z, the type of a control point in the property curve depends on the type of the corresponding control point
in the motion path on the Stage.

218
USING FLASH PROFESSIONAL
Timelines and Animation
Last updated 1/16/2012
In general it is best to edit the X, Y, and Z properties of a tween by editing the motion path on the Stage. Use the Motion
Editor for minor adjustments to the property values or to move their property keyframes to different frames of the
tween span.
•To change the shape of a curve segment between two control points, drag the segment. When you drag a curve
segment, the control points at each end of the segment become selected. If the selected control points are smooth
points, their Bezier handles appear.
•To reset a property curve to a static, non-tweened property value, right-click (Windows) or Command-click
(Macintosh) the property graph area and choose Reset Property.
•To reset an entire category of properties to static, non-tweened values, click the Reset Values button for the
category.
•To reverse the direction of a property tween, right-click (Windows) or Command-click (Macintosh) the property
graph area and choose Reverse Keyframes.
•To copy a property curve from one property to another, right-click (Windows) or Command-click (Macintosh) the
graph area of the curve and choose Copy Curve. To paste the curve to another property, the graph area of the
property and choose Paste Curve. You can also copy curves between custom eases and between custom eases and
properties.
Work with property keyframes
You can edit the shape of a property curve by adding, removing, and editing property keyframes along each graph.
•To add a property keyframe to a property curve, place the playhead in the desired frame and click the Add or
Remove Keyframe button for the property in the Motion Editor.
You can also Ctrl-click (Windows) or Option-click (Macintosh) the graph in the frame where you want to add the
property keyframe.
You can also right-click (Windows) or Command-click (Macintosh) the property curve and choose Add Keyframe.
•To remove a property keyframe from a property curve, Ctrl-click (Windows) or Option-click (Macintosh) the
control point for the property keyframe in the property curve.
You can also right-click (Windows) or Command-click (Macintosh) the control point and choose Remove
Keyframe.
•To toggle a control point between corner point and smooth point modes, Alt-click (Windows) or Command-click
(Macintosh) the control point.
When a control point is in smooth point mode, its Bezier handles are exposed and the property curve passes
through the point as a smooth curve. When a control point is a corner point, the property curve forms an angle
when it passes through the control point. Bezier handles are not exposed for corner points.
To set the point to smooth point mode you can also right-click (Windows) or Command-click (Macintosh) the
control point and choose Smooth Point, Smooth Right, or Smooth Left. To set the point to corner point mode,
choose Corner Point.

219
USING FLASH PROFESSIONAL
Timelines and Animation
Last updated 1/16/2012
A property curve showing a smooth point (frame 8) and a corner point (frame 17).
•To move a property keyframe to a different frame, drag its control point.
You cannot drag a property keyframe past the keyframes that follow or precede it.
•To toggle a property keyframe for the spatial properties X, Y, and Z between roving and non-roving, right-click
(Windows) or Command-click (Macintosh) the property keyframe in the Motion Editor. For more information
about roving keyframes, see “Edit the motion path of a tween animation” on page 206.
You can also turn off roving for an individual property keyframe in the Motion Editor by dragging the roving
keyframe to a vertical frame divider.
•To link associated pairs of X and Y properties, click the Link X and Y Property Values button for either one of the
properties you want to link. When the properties are linked, their values are constrained so the ratio between them
is preserved when you enter a value for either of the linked properties. Examples of associated X and Y properties
include the Scale X and Scale Y properties and the Blur X and Blur Y properties of the Drop Shadow filter.
Tutorials and examples
The following videos and articles provide additional detailed information about working with the Motion Editor.
•Video: The Motion Editor in Flash CS4 (5:08, Adobe TV)
•Video: Getting Started: 14 Using the Motion Editor (3:40, Adobe TV)
•Video: Using the Motion Editor (6:08, Adobe TV)
•Video: Quickly Access Your Animation Properties (4:17, Adobe TV)
Easing tween animations
Easing allows you to speed up or slow down the beginning or end of an animation for more realistic motion or more
pleasing effects. It is a technique for modifying the way that Flash calculates the property values in between property
keyframes in a tween. Without easing, Flash calculates these values so that the change to the value is the same in each
frame. With easing, you can adjust the rate of change to the values for more natural or more complex animation.
An ease is a mathematical curve that is applied to the property values of a tween. The final effect of the tween is the
result of the combination of the range of property values in the tween and the ease curve.

220
USING FLASH PROFESSIONAL
Timelines and Animation
Last updated 1/16/2012
For example, if you animate a picture of a car across the Stage, the motion is more realistic if the car starts from a stop
and slowly gains speed and then slowly comes to a stop at the other side of the Stage. Without easing, the car would go
from a stop to full speed instantly and then stop instantly at the other side of the Stage. With easing, you can apply a
motion tween to the car and then make that tween start and end slowly.
A motion path with no ease applied. Note the even distribution of frames along the path.
The same motion path with the Stop and Start (Medium) ease applied. Note the concentration of frames near the ends of the path, resulting in
more realistic acceleration and deceleration of the car.

221
USING FLASH PROFESSIONAL
Timelines and Animation
Last updated 1/16/2012
You can apply easing in the Property inspector or the Motion Editor. Eases applied in the Property inspector affect all
of the properties that are included in a tween. Eases applied in the Motion Editor can affect a single property, a group
of properties, or all properties of a tween.
An ease can be simple or complex. Flash includes a range of preset eases that you can apply for simple or complex
effects. In the Motion Editor, you can also create your own custom ease curves.
One of the many common uses of easing is when you have edited a motion path on the Stage and enabled roving
keyframes to make the speed of motion consistent in each segment of the path. You can then use easing to add more
realistic acceleration and deceleration at the ends of the path.
When you apply an ease curve to a property curve, a visual overlay of the ease curve appears in the property curve
graph area. By showing the property curve and the ease curve in the same graph area, the overlay makes it easier to
understand the final tween effect that you see on the Stage when testing the animation.
Because ease curves in the Motion Editor can be complex, you can use them to create complex motion on the Stage
without creating complex motion paths on the Stage. You can also use ease curves to create complex tweens of any
other properties in addition to the spatial properties X, Y, and Z.
Tutorials and Articles:
•Tutorial: Modifying and applying custom eases (Flashthusiast.com)
•Tutorial: Easing between keyframes (Flashthusiast.com)
•Tutorial: Creating and Applying a Custom Ease (Kirupa.com)
•Video: Flash Motion Easing (Length = 7:40, LayersMagazine.com)
•Video: Setting the ease property of an animation (Length = 5:10, Peachpit.com)
Ease all properties of a tween in the Property inspector
When you apply an ease to a tween with the Property inspector, the ease affects all of the properties that are included
in the tween. The Property inspector applies the Simple (Slow) ease curve, which is also available in the Motion Editor.
1Select the tween in the Timeline or the motion path on the Stage.
2In the Property inspector, select the ease to apply from the Ease menu.
3Enter a value for the strength of the ease in the Ease Value field.
Ease individual properties in the Motion Editor
You can apply a preset ease to an individual property or a category of properties in the Motion Editor.

222
USING FLASH PROFESSIONAL
Timelines and Animation
Last updated 1/16/2012
The shapes of the ease curves included with Flash.
To use eases in the Motion Editor, add an ease curve to the list of eases available to the selected tween and then apply
the ease to the properties you choose. When you apply an ease to a property, a dashed-line curve appears overlayed
onto the graph area of the property. The dashed-line curve shows the affect of the ease curve on the actual values of
that property of the tween.
•To add an ease to the list of eases available to the selected tween, click the Add button in the Ease section of the
Motion Editor and then select the ease to add.
•To add an ease to a single property, select the ease from the Selected Ease menu for the property.
•To add an ease to a whole category of properties, such as motion, transformation, color effect, or filters, select an
ease type from the Selected Ease menu for the property category.
•To enable or disable the effect of the ease for a property or category of properties, click the Enable/Disable Ease
checkbox for the property or category of properties. This allows you to quickly see the effect of an ease on property
curves.
•To remove an ease from the list of available tweens, click the Remove Ease button in the Eases section of the Motion
Editor and then select the ease from the pop-up menu.

223
USING FLASH PROFESSIONAL
Timelines and Animation
Last updated 1/16/2012
Edit ease curves in the Motion Editor
In the Motion Editor, you can edit the properties of the preset ease curves and make your own custom ease curves.
•To edit a preset ease curve, set the value for the ease in the field next to the ease name.
For simple ease curves, the value is a percentage representing the strength of the application of the ease curve to the
property curve. Positive values increase the ease at the end of the curve. Negative values increase the ease at the
beginning of the curve.
For ease curves that are waves, such as the sine wave or sawtooth wave, the value represents the number of half-
cycles in the wave.
To edit a preset ease, first add it to the list of available eases with the Add button in the Ease section of the Motion
Editor.
•To edit a custom ease curve, add an instance of the Custom ease curve to the list of eases and then edit the curve
using the same techniques as for editing any other Bezier curve in Flash. The initial value of the ease curve must
always be 0%.
You can also copy and paste the curve from one custom ease to another, including to custom eases in separate
motion tweens.
Working with classic tween animation
About classic tween animation
Note: Like most things in Flash, animation does not require any ActionScript. However, you can create animation with
ActionScript if you choose.
Classic tweens are an older way of creating animation in Flash Pro. These tweens are similar to the newer motion
tweens, but are somewhat more complicated to create and less flexible. However, classic tweens do provide some types
of control over animation that motion tweens do not. Most users will choose to work with the newer motion tweens,
but some users will still want to use classic tweens. For more information about the differences, see “Differences
between motion tweens and classic tweens” on page 197.
For information about migrating classic tween animations to motion tweens, see the Motion migration guide for Flash
Professional in the Adobe Flash Developer Center.
Before you begin:
Before working with classic tweens, keep in mind the following points:
•Classic tweens are the older way of creating tweened animation in Flash. The newer, easier way is to use motion
tweens. See “Motion tween animation” on page 195.
•In some situations, such as lip-synching, classic tweens are still the best choice. For a list of these situations, see
When to use classic tweens and this Flash Motion Tweening video tutorial.
•You cannot tween 3D properties with classic tweens.
•For a complete guide to transitioning from the classic tween workflow to the motion tween workflow, see the
Motion migration guide for Flash.

224
USING FLASH PROFESSIONAL
Timelines and Animation
Last updated 1/16/2012
For samples of classic tween animation, see the Flash Pro Samples page at www.adobe.com/go/learn_fl_samples. The
following samples are available:
•Animated Drop Shadow: Download and decompress the Samples ZIP file and navigate to the
Graphics\AnimatedDropShadow folder to access the sample.
•Animation and Gradients: Download and decompress the Samples ZIP file and navigate to the
Graphics\AnimationAndGradients folder to access the sample.
The following tutorial demonstrates when to use classic tweens instead of motion tweens:
•Video: Flash Motion Tweening (10:13, Layers Magazine. When to use motion tweens and classic tweens.)
More Help topics
“About tween animation” on page 195
Create and edit keyframes for classic tween animation
Note: This topic is about creating keyframes for the older classic tweens. For help with property keyframes for the newer
motion tweens, see “Create tween animation” on page 202.
Changes in a classic tween animation are defined in a keyframe. In tweened animation, you define keyframes at
significant points in the animation and Flash Pro creates the contents of frames between. The interpolated frames of a
tweened animation appear as light blue or light green with an arrow drawn between keyframes. Because Flash Pro
documents save the shapes in each keyframe, create keyframes only at those points in the artwork where something
changes.
Keyframes are indicated in the Timeline: a solid circle represents a keyframe with content on it, and an empty circle
before the frame represents an empty keyframe. Subsequent frames added to the same layer have the same content as
the keyframe.
Only keyframes are editable in a classic tween. You can view tweened frames, but you can’t edit them directly. To edit
tweened frames, change one of the defining keyframes or insert a new keyframe between the beginning and ending
keyframes. Drag items from the Library panel onto the Stage to add the items to the current keyframe.
To display and edit more than one frame at a time, see “Use onion skinning” on page 235.
Videos and tutorials
•Video: Understanding the Timeline Icons in a Classic Tween (7:49, Peachpit.com)
•Video: Modifying Classic Tween Properties (3:03, Peachpit.com)
Create keyframes
❖Do one of the following:
•Select a frame in the Timeline, and select Insert > Timeline > Keyframe.
•Right-click (Windows) or Control-click (Macintosh) a frame in the Timeline and select Insert Keyframe.
Insert frames in the Timeline
•To insert a new frame, select Insert > Timeline > Frame.
•To create a new keyframe, select Insert > Timeline > Keyframe, or right-click (Windows) or Control-click
(Macintosh) the frame where you want to place a keyframe, and select Insert Keyframe.

225
USING FLASH PROFESSIONAL
Timelines and Animation
Last updated 1/16/2012
•To create a new blank keyframe, select Insert > Timeline > Blank Keyframe, or right-click (Windows) or
Control-click (Macintosh) the frame where you want to place the keyframe, and select Insert Blank Keyframe.
Delete or modify a frame or keyframe
•To delete a frame, keyframe, or frame sequence, select it and right-click (Windows) or Control-click (Macintosh)
and select Remove Frames. Surrounding frames remain unchanged.
•To move a keyframe or frame sequence and its contents, select it and drag to the desired location.
•To extend the duration of a keyframe, Alt-drag (Windows) or Option-drag (Macintosh) it to the final frame of the
new sequence.
•To copy and paste a frame or frame sequence, select it and select Edit > Timeline > Copy Frames. Select a frame or
sequence to replace, and select Edit
> Timeline > Paste Frames.
•To convert a keyframe to a frame, select the keyframe and select Modify > Timeline > Clear Keyframe, or right-click
(Windows) or Control-click (Macintosh) it and select Clear Keyframe. The cleared keyframe and all frames up to
the subsequent keyframe are replaced with the contents of the frame preceding the cleared keyframe.
•To copy a keyframe or frame sequence by dragging, select it and Alt-drag (Windows) or Option-drag (Macintosh)
to the new location.
•To change the length of a tweened sequence, drag the beginning or ending keyframe left or right.
•To add a library item to the current keyframe, drag the item from the Library panel onto the Stage.
•To reverse an animation sequence, select the appropriate frames in one or more layers and select Modify >
Timeline
> Reverse Frames. Keyframes must be at the beginning and end of the sequence.
Add classic tween animation to an instance, a group, or text
Note: This topic is about creating older classic tweens. For help with creating the newer motion tweens, see “Create tween
animation” on page 202.
To tween the changes in properties of instances, groups, and type, you can use a classic tween. Flash Pro can tween
position, size, rotation, and skew of instances, groups, and type. Additionally, Flash Pro can tween the color of
instances and type, creating gradual color shifts or making an instance fade in or out.
Before tweening the color of groups or type, make them into symbols. Before animating individual characters in a
block of text separately, place each character in a separate text block.
If you apply a classic tween and then change the number of frames between the two keyframes, or move the group or
symbol in either keyframe, Flash Pro automatically tweens the frames again.
Videos and tutorials
•Video: Creating a simple classic tween (Length = 4:28, Peachpit.com)
•Video: Modifying classic tween properties (Length = 3:03, Peachpit.com)
•Video: Creating animations using tweens. Note that this video is older and refers to classic tweens as “motion
tweens”. This is because in older versions of Flash, classic tweens were the only way of creating tweened motion.
•Video: Understanding the Timeline Icons in a Classic Tween (Length = 7:49, Peachpit.com)
More Help topics
“Create symbols” on page 151
“About tween animation” on page 195

226
USING FLASH PROFESSIONAL
Timelines and Animation
Last updated 1/16/2012
Create a classic tween animation
1Click a layer name to make it the active layer, and select an empty keyframe in the layer where you want the
animation to start. This will be the first frame of the classic tween.
2To add content to the first frame of the classic tween, do one of the following:
•Create a graphic object with the Pen, Oval, Rectangle, Pencil, or Brush tool, and then convert it to a symbol.
•Create an instance, group, or text block on the Stage.
•Drag an instance of a symbol from the Library panel.
Note: To create a tween, you must have only one item on the layer.
3Create a second keyframe where you want the animation to end, and leave the new keyframe selected.
4To modify the item in the ending frame, do any of the following:
•Move the item to a new position.
•Modify the item’s size, rotation, or skew.
•Modify the item’s color (instance or text block only). To tween the color of elements other than instances or text
blocks, use shape tweening.
5To create the classic tween, do one of the following:
•Click any frame in the tween’s frame span and select Insert > Classic Tween.
•Right-click (Windows) or Control-click (Macintosh) any frame in the tween’s frame span and select Create Classic
Tween from the context menu.
If you created a graphic object in step 2, Flash Pro automatically converts the object to a symbol and names it tween1.
6If you modified the size of the item in step 4, select Scale in the Tweening section of the Property inspector to tween
the size of the selected item.
7To produce a more realistic sense of motion, apply easing to the classic tween. To apply easing to a classic tween,
use the Ease field in the Tweening section of the Property inspector to specify an easing value for each classic tween
you create. Use the Custom Ease In/Ease Out dialog box to more precisely control the speed of the classic tween.
Drag the value in the Easing field or enter a value to adjust the rate of change between tweened frames:
•To begin the classic tween slowly and accelerate the tween toward the end of the animation, enter a negative value
between -1 and -100.
•To begin the classic tween rapidly and decelerate the tween toward the end of the animation, enter a positive value
between 1 and 100.
•To produce a more complex change in speed within the tween’s frame span, click the Edit button next to the Ease
field to open the Custom Ease In/Ease Out dialog box.
By default, the rate of change between tweened frames is constant. Easing creates a more natural appearance of
acceleration or deceleration by gradually adjusting the rate of change.
8To rotate the selected item during the tween, select an option from the Rotate menu in the Property inspector:
•To prevent rotation, select None (the default setting).
•To rotate the object once in the direction requiring the least motion, select Auto.
•To rotate the object as indicated, and then enter a number to specify the number of rotations, select Clockwise
(CW) or Counterclockwise (CCW).
Note: The rotation in step 8 is in addition to any rotation you applied to the ending frame in step 4.

227
USING FLASH PROFESSIONAL
Timelines and Animation
Last updated 1/16/2012
9If you’re using a motion path, select Orient To Path in the Property inspector to orient the baseline of the tweened
element to the motion path.
10 To synchronize the animation of graphic symbol instances with the main Timeline, select the Sync option in the
Property inspector.
Note: Modify > Timeline > Synchronize Symbols and the Sync option both recalculate the number of frames in a tween
to match the number of frames allotted to it in the Timeline. Use the Sync option if the number of frames in the animation
sequence inside the symbol is not an even multiple of the number of frames the graphic instance occupies in the document.
11 If you’re using a motion path, select Snap to attach the tweened element to the motion path by its registration point.
Create a motion guide layer
To control the movement of objects in a classic tween animation, create a motion guide layer.
You cannot drag a motion tween layer or inverse kinematics pose layer onto a guide layer.
❖Drag a normal layer onto a guide layer. This converts the guide layer to a motion guide layer and links the normal
layer to the new motion guide layer.
Note: To prevent accidentally converting a guide layer, place all guide layers at the bottom of the layer order.
Create classic tween animation along a path
Note: This topic is about working with older classic tweens. For help with using the newer motion tweens with motion
paths, see “Edit the motion path of a tween animation” on page 206.
Motion guide layers let you draw paths along which tweened instances, groups, or text blocks can be animated. You
can link multiple layers to a motion guide layer to have multiple objects follow the same path. A normal layer that is
linked to a motion guide layer becomes a guided layer.
In this example, two objects on separate layers are attached to the same motion path.
Videos and tutorials
•Video: Using a motion guide with a classic tween (Length = 5:19, Peachpit.com)
•www.adobe.com/go/vid0125. Note that this video is older and refers to classic tweens as “motion tweens”. This is
because in older versions of Flash, classic tweens were the only way of creating tweened motion.
Create a motion path for classic tweened animation
1Create a classic-tweened animation sequence.
If you select Orient To Path in the Property inspector, the baseline of the tweened element orients to the motion path.
If you select Snap, the registration point of the tweened element snaps to the motion path.
2Right-click (Windows) or Control-click (Macintosh) the layer name of the layer containing the classic tween and
choose Add Classic Motion Guide.
Flash Pro adds a motion guide layer above the classic tween layer and indents the name of the classic tween layer to
show that it is bound to the motion guide layer.
Note: If you already have a guide layer in the Timeline, you can drag a layer containing the classic tween below the guide
layer to convert the guide layer to a motion guide and bind the classic tween to it.

228
USING FLASH PROFESSIONAL
Timelines and Animation
Last updated 1/16/2012
A motion guide layer above the layer containing the classic tween.
3To add a path to the motion guide layer to guide the classic tween, select the motion guide layer and use the Pen,
Pencil, Line, Circle, Rectangle, or Brush tool to draw the desired path.
You can also paste a stroke onto the motion guide layer.
4Drag the object you are tweening to snap it to the beginning of the line in the first frame, and to the end of the line
in the last frame.
A graphic of a car snapped to the beginning of a guide stroke.
Note: For best snapping results, drag the symbol by its transformation point.
5To hide the motion guide layer and the path so that only the object’s movement is visible while you work, click in
the Eye column on the motion guide layer.
The group or symbol follows the motion path when you play the animation.
Link layers to a motion guide layer
❖Do one of the following:
•Drag an existing layer below the motion guide layer. The layer is indented under the motion guide layer. All objects
on this layer automatically snap to the motion path.
•Create a new layer under the motion guide layer. Objects you tween on this layer are automatically tweened along
the motion path.
•Select a layer below a motion guide layer. Select Modify > Timeline > Layer Properties, and select Guide.
Unlink layers from a motion guide layer
❖Select the layer to unlink and do one of the following:
•Drag the layer above the motion guide layer.
•Select Modify > Timeline > Layer Properties, and select Normal as the layer type.
Paste classic tween animation properties
Note: This topic is about pasting properties of older classic tweens. For help with pasting properties of the newer motion
tweens, see “Copy and paste motion tween properties” on page 213.
The Paste Motion command lets you copy a classic tween, and paste only specific properties to apply to another object.
1Select the frames in the Timeline that contain the classic tween to copy. The frames you select must be on the same
layer, however, they do not have to span a single classic tween. The selection can span a tween, empty frames, or
two or more tweens.
2Select Edit > Timeline > Copy Motion.

229
USING FLASH PROFESSIONAL
Timelines and Animation
Last updated 1/16/2012
3Select the symbol instance to receive the copied classic tween.
4Select Edit > Timeline > Paste Motion Special. Select the specific classic tween properties to paste to the symbol
instance. The classic tween properties are:
X Position How far an object moves in the x direction.
Y Position How far an object moves in the y direction.
Horizontal Scale The ratio between the current size of the object and its natural size in the horizontal direction (X).
Vertical Scale Specifies the ratio between the current size of the object and its natural size in the vertical direction (Y).
Rotation And Skew The rotation and skew of the object. These properties must be jointly applied to an object. Skew is
a measurement of rotation in degrees, and when you rotate and skew, each property affects the other.
Color All color values such as Tint, Brightness, and Alpha are applied to the object.
Filters All filter values and changes for the selected span. If filters are applied to an object, the filter is pasted with all
values intact, and its state (enabled or disabled) applies to the new object as well.
Blend Mode Applies the blend mode of the object.
Override Target Scale Properties When unchecked, specifies that all properties be pasted relative to the target object.
When checked, this option overrides the scale properties of the target.
Override Target Rotation And Skew Properties When unchecked, specifies that all properties be pasted relative to the
target object. When checked, the pasted properties override the existing rotation and scale properties of the object.
The necessary frames, tween, and symbol information are inserted to match the original, copied tween.
To copy a symbol’s classic tween to the Actions panel or use it in another project as ActionScript, use the Copy Motion
as ActionScript 3.0 command.
Apply custom ease in/ease out to classic tween animation
Note: This topic is about adding easing to older classic tweens. For help with adding easing to the newer motion tweens,
see “Easing tween animations” on page 219.
The Custom Ease In/Ease Out dialog box displays a graph representing the degree of motion over time. The horizontal
axis represents frames, and the vertical axis represents percentage of change. The first keyframe is represented as 0%,
and the last keyframe is represented as 100%.
The slope of the graph’s curve represents the rate of change of the object. When the curve is horizontal (no slope), the
velocity is zero; when the curve is vertical, an instantaneous rate of change occurs.

230
USING FLASH PROFESSIONAL
Timelines and Animation
Last updated 1/16/2012
Custom Ease In/Ease Out graph showing constant velocity. Open this dialog by selecting a frame in a classic tween and clicking the Edit button
in the Ease section of the Property inspector.
Additional controls for the Custom Ease In/Ease Out dialog box
Use One Setting For All Properties check box The default is selected; the displayed curve is used for all properties, and
the Properties pop-up menu is disabled. When the check box is not selected, the Properties pop-up menu is enabled,
and each property has a separate curve defining the velocity of that property.
Property pop-up menu Enabled only when the Use One Setting for All Properties check box is not selected. When
enabled, a separate curve is maintained for each of the five properties appearing in the menu. Selecting a property in
the menu displays the curve for that property. The properties are:
•Position Specifies custom ease settings for the position of an animated object on the Stage.
•Rotation Specifies custom ease settings for the rotation of an animated object. For example, you can fine-tune how
quickly or slowly an animated character turns around to face the user on the Stage.
•Scale Specifies custom ease settings for the scale of an animated object. For example, you can more easily customize
the scale of an object so it appears to be moving away from the viewer, then coming closer, and then moving away
again.
•Color Specifies custom ease settings for color transitions applied to an animated object.
•Filters Specifies custom ease settings for filters applied to an animated object. For example, you can control the ease
setting of a drop shadow that simulates a change in the direction of a light source.
Play and Stop buttons Let you preview an animation on the Stage using all the current velocity curves defined in the
Custom Ease In/Ease Out dialog box.
Reset button Lets you reset the velocity curve to the default, linear state.
Position of the selected control point In the lower-right corner of the dialog box, a numeric value displays the
keyframe and position of the selected control point. If no control point is selected, no value appears.
To add a control point to the line, click the diagonal line once. To achieve a precise degree of control over the motion
of an object, drag the positions of the control points.
Using frame indicators (represented by square handles), click where you want an object to slow down or speed up.
Clicking the square handle of a control point selects that control point, and displays the tangent points on either side

231
USING FLASH PROFESSIONAL
Timelines and Animation
Last updated 1/16/2012
of it. Hollow circles represent tangent points. Drag the control point or its tangent points with the mouse or use the
keyboard’s arrow keys to position them.
By default, the control points snap to a grid. You can turn off snapping by pressing the X key while dragging the control
point.
Clicking an area of the curve away from any control points adds a new control point to the curve at that point, without
changing the shape of the curve. Clicking away from the curve and control points deselects the currently selected
control point.
Add a custom ease
1Select a layer in the Timeline that has a classic tween applied to it.
2Click the Edit button next to the Ease slider in the frame Property inspector.
3(Optional) To display the curve for a single tweened property, deselect Use One Setting For All Properties, and
select a property in the menu.
4To add a control point, Control-click (Windows) or Command-click (Macintosh) the diagonal line.
5To increase the speed of the object, drag the control point up; to slow down the speed of the object, drag it
downwards.
6To further adjust the ease curve, and fine tune the ease value of the tween, drag the vertex handles.
7To view the animation on the Stage, click the play button in the lower-left corner.
8Adjust the controls until you achieve the desired effect.
Note: If you use the Custom Ease In/Ease Out dialog box to apply a custom ease to a frame, the edit box that shows the
ease value shows '--'. If you use the Edit box or the pop-up slider to apply an ease value to a frame, the Custom Ease graph
is set to the equivalent curve, and the Use One Setting For All Properties check box is selected.
Copy and paste an ease curve
•To copy the current ease curve, press Control+C (Windows) or Command+C (Macintosh).
•To paste the copied curve into another ease curve, press Control+V (Windows) or Command+V (Macintosh).
You can copy and paste the ease curve. The copied curve remains available until you exit the Flash Pro application.
Unsupported easing curves
Certain types of easing curves are not supported. No part of the graph can represent a nonlinear curve (such as a circle).
The Custom Ease dialog box automatically prevents moving a control point or a tangent handle to a position that
would render an invalid curve:
•All points must exist on the graph. Control points cannot be moved beyond the bounds of the graph.
•All segments of the curve must exist within the graph. The shape of the curve is flattened to prevent it from
extending beyond the bounds of the graph.
Videos and tutorials
•Video: Modifying Classic Tween Properties (3:03, Peachpit.com)

232
USING FLASH PROFESSIONAL
Timelines and Animation
Last updated 1/16/2012
Shape tweening
About shape tweens
In shape tweening, you draw a vector shape at one specific frame in the Timeline, and change that shape or draw
another shape at another specific frame. Flash Pro then interpolates the intermediate shapes for the frames in between,
creating the animation of one shape morphing into another.
Shape tweens work best with simple shapes. Avoid shapes with cutouts or negative spaces in them. Experiment with
the shapes you want to use to determine the results. You can use shape hints to tell Flash Pro which points on the
beginning shape should correspond to specific points on the end shape.
You can also tween the position and color of shapes within a shape tween.
To apply shape tweening to groups, instances, or bitmap images, break these elements apart. See “Break apart a symbol
instance” on page 158.
To apply shape tweening to text, break the text apart twice to convert the text to objects. See “Break apart a symbol
instance” on page 158.
The following video tutorials demonstrate how to create shape tweens. Some videos may show the Flash Pro CS3 or
CS4 workspace, but are still applicable to Flash Pro CS5.
•Video: Creating animations using shape tweens (5:36)
•Video: Creating shape tweens (3:47)
Create a shape tween
The following steps show how to create a shape tween from frame 1 to frame 30 of the Timeline. However, you can
create tweens in any part of the Timeline that you choose.
1In frame 1, draw a square with the Rectangle tool.
2Select frame 30 of the same layer and add a blank keyframe by choosing Insert > Timeline > Blank Keyframe or
pressing F7.
3On the Stage, draw a circle with the Oval tool in frame 30.
You should now have a keyframe in frame 1 with a square and a keyframe in frame 30 with a circle.
4In the Timeline, select one of the frames in between the two keyframes in the layer containing the two shapes.
5Choose Insert > Shape Tween.
Flash interpolates the shapes in all the frames between the two keyframes.
6To preview the tween, scrub the playhead across the frames in the Timeline, or press the Enter key.
7To tween motion in addition to shape, move the shape in frame 30 to a location on the Stage that is different from
the location of the shape in frame 1.
Preview the animation by pressing the Enter key.
8To tween the color of the shape, make the shape in frame 1 a different color from the shape in frame 30.
9To add easing to the tween, select one of the frames between the two keyframes and enter a value in the Ease field
in the Property inspector.
Enter a negative value to ease the beginning of the tween. Enter a positive value to ease the end of the tween.

233
USING FLASH PROFESSIONAL
Timelines and Animation
Last updated 1/16/2012
Control shape changes with shape hints
To control more complex or improbable shape changes, you can use shape hints. Shape hints identify points that
should correspond in starting and ending shapes. For example, if you are tweening a drawing of a face as it changes
expression, you can use a shape hint to mark each eye. Then, instead of the face becoming an amorphous tangle while
the shape change takes place, each eye remains recognizable and changes separately during the shift.
Shape hints contain letters (a through z) for identifying which points correspond in the starting and ending shapes.
You can use up to 26 shape hints.
Shape hints are yellow in a starting keyframe, green in an ending keyframe, and red when not on a curve.
For best results when tweening shapes, follow these guidelines:
•In complex shape tweening, create intermediate shapes and tween them instead of just defining a starting and
ending shape.
•Make sure that shape hints are logical. For example, if you’re using three shape hints for a triangle, they must be in
the same order on the original triangle and on the triangle to be tweened. The order cannot be abc in the first
keyframe and acb in the second.
•Shape hints work best if you place them in counterclockwise order beginning at the top-left corner of the shape.
Use shape hints
1Select the first keyframe in a shape-tweened sequence.
2Select Modify > Shape > Add Shape Hint. The beginning shape hint appears as a red circle with the letter a
somewhere on
the shape.
3Move the shape hint to a point to mark.
4Select the last keyframe in the tweening sequence. The ending shape hint appears somewhere on the shape as a
green circle with the letter a.
5Move the shape hint to the point in the ending shape that should correspond to the first point you marked.
6To view how the shape hints change the shape tweening, play the animation again. To fine-tune the tweening, move
the shape hints.
7Repeat this process to add additional shape hints. New hints appear with the letters that follow (b, c, and so on).
View all shape hints
❖Select View > Show Shape Hints. The layer and keyframe that contain shape hints must be active for Show Shape
Hints to be available.

234
USING FLASH PROFESSIONAL
Timelines and Animation
Last updated 1/16/2012
Remove a shape hint
❖Drag it off the Stage.
Remove all shape hints
❖Select Modify > Shape > Remove All Hints.
Frame-by-frame animation
Create frame-by-frame animations
Frame-by-frame animation changes the contents of the Stage in every frame and is best suited to complex animation
in which an image changes in every frame instead of simply moving across the Stage. Frame-by-frame animation
increases file size more rapidly than tweened animation. In frame-by-frame animation, Flash Pro stores the values for
each complete frame.
To create a frame-by-frame animation, define each frame as a keyframe and create a different image for each frame.
Each new keyframe initially contains the same contents as the keyframe preceding it, so you can modify the frames in
the animation incrementally.
1Click a layer name to make it the active layer, and select a frame in the layer where the animation is to start.
2If the frame isn’t already a keyframe, select Insert > Timeline > Keyframe.
3Create the artwork for the first frame of the sequence. Use the drawing tools, paste graphics from the Clipboard, or
import a file.
4To add a new keyframe whose contents are the same as those of the first keyframe, click the next frame to the right
in the same row and select Insert
> Timeline > Keyframe, or right-click (Windows) or Control-click (Macintosh)
and select Insert Keyframe.
5To develop the next increment of the animation, alter the contents of this frame on the Stage.
6To complete your frame-by-frame animation sequence, repeat steps 4 and 5 until you’ve built the desired motion.
7To test the animation sequence, select Control > Play or click the Play button on the Controller (Window >
Toolbars
> Controller).

235
USING FLASH PROFESSIONAL
Timelines and Animation
Last updated 1/16/2012
Use onion skinning
Usually, one frame of the animation sequence at a time appears on the Stage. To help position and edit a frame-by-
frame animation, view two or more frames on the Stage at once. The frame under the playhead appears in full color,
while surrounding frames are dimmed, making it appear as if each frame were drawn on a sheet of translucent onion-
skin paper and the sheets were stacked on top of each other. Dimmed frames cannot be edited.
Videos and tutorials
•Video: Aligning Objects with Onion Skinning and the Grid (Length = 8:34, Adobe Press)
Simultaneously view several frames of an animation on the Stage
❖Click the Onion Skin button . All frames between the Start Onion Skin and End Onion Skin markers (in the
Timeline header) are superimposed as one frame in the Document window.
Control onion skinning display
•To display onion skinned frames as outlines, click the Onion Skin Outlines button .
•To change the position of either onion skin marker, drag its pointer to a new location. (Normally, the onion skin
markers move in conjunction with the current frame pointer.)
•To enable editing of all frames between onion skin markers, click the Edit Multiple Frames button . Usually,
onion skinning lets you edit only the current frame. However, you can display the contents of each frame between
the onion skin markers, and make each available for editing, regardless of which is the current frame.
Note: Locked layers (those with a padlock icon) aren’t displayed when onion skinning is turned on. To avoid a multitude
of confusing images, lock or hide the layers you don’t want to be onion skinned.
Change the display of onion skin markers
❖Click the Modify Onion Markers button and select an item:
Always Show Markers Displays the onion skin markers in the Timeline header whether or not onion skinning is on.
Anchor Onion Locks the onion skin markers to their current position in the Timeline header. Usually, the onion skin
range is relative to the current frame pointer and the onion skin markers. Anchoring the onion skin markers prevents
them from moving with the current frame pointer.
Onion 2 Displays two frames on either side of the current frame.
Onion 5 Displays five frames on either side of the current frame.
Onion All Displays all frames on either side of the current frame.
Using mask layers
About mask layers
For spotlight effects and transitions, use a mask layer to create a hole through which underlying layers are visible. A
mask item can be a filled shape, a type object, an instance of a graphic symbol, or a movie clip. Group multiple layers
under a single mask layer to create sophisticated effects.
To create dynamic effects, animate a mask layer. For a filled shape used as a mask, use shape tweening; for a type object,
graphic instance, or movie clip, use motion tweening. When using a movie clip instance as a mask, animate the mask
along a motion path.

236
USING FLASH PROFESSIONAL
Timelines and Animation
Last updated 1/16/2012
To create a mask layer, place a mask item on the layer to use as a mask. Instead of having a fill or stroke, the mask item
acts as a window that reveals the area of linked layers beneath it. The rest of the mask layer conceals everything except
what shows through the mask item. A mask layer can contain only one mask item. A mask layer cannot be inside a
button, and you cannot apply a mask to another mask.
To create a mask layer from a movie clip, use ActionScript. A mask layer created with ActionScript can be applied only
to another movie clip. See Using Movie Clips as Masks in Learning ActionScript 2.0 in Adobe Flash.
Note: The 3D tools cannot be used on objects on mask layers and layers containing 3D objects cannot be used as mask
layers. For more information about the 3D tools, see “3D graphics” on page 142.
The following video tutorials demonstrate creating and animating mask layers. Some videos may show the Flash Pro
CS3 or CS4 workspace, but are still applicable to Flash Pro CS5.
•Layers TV – Episode 21: Masks in Flash (9:25)
•Creating and Animating Masks (CS3) (2:12)
Work with mask layers
You can use mask layers to reveal portions of a picture or graphic in the layer below. To create a mask, you specify that
a layer is a mask layer, and either draw or place a filled shape on that layer. You can use any filled shape, including
groups, text, and symbols, as a mask. The mask layer reveals the area of linked layers beneath the filled shape.
More Help topics
“Motion tween animation” on page 195
Create a mask layer
1Select or create a layer containing the objects to appear inside the mask.
2Select Insert > Timeline > Layer to create a new layer above it. A mask layer always masks the layer immediately
below it; create the mask layer in the proper place.
3Place a filled shape, text, or an instance of a symbol on the mask layer. Flash Pro ignores bitmaps, gradients,
transparency, colors, and line styles in a mask layer. Any filled area is completely transparent in the mask; any non-
filled area is opaque.
4Right-click (Windows) or Control-click (Macintosh) the mask layer’s name in the Timeline, and select Mask. A
mask layer icon indicates the mask layer. The layer immediately below it is linked to the mask layer, and its contents
show through the filled area on the mask. The masked layer name is indented, and its icon changes to a masked
layer icon.
5To display the mask effect in Flash Pro, lock the mask layer and the masked layer.
Mask additional layers after creating a mask layer
❖Do one of the following:
•Drag an existing layer directly below the mask layer.
•Create a new layer anywhere below the mask layer.
•Select Modify > Timeline > Layer Properties, and select Masked.

237
USING FLASH PROFESSIONAL
Timelines and Animation
Last updated 1/16/2012
Unlink layers from a mask layer
❖Select the layer to unlink and do one of the following:
•Drag the layer above the mask layer.
•Select Modify > Timeline > Layer Properties, and select Normal.
Animate a filled shape, type object, or graphic symbol instance on a mask layer
1Select the mask layer in the Timeline.
2To unlock the mask layer, click in the Lock column.
3Do one of the following:
•If the mask object is a filled shape, apply shape tweening to the object.
•If the mask object is a type object or graphic symbol instance, apply motion tweening to the object.
4When the animation operation is complete, click in the Lock column for the mask layer to re-lock the layer.
Animate a movie clip on a mask layer
1Select the mask layer in the Timeline.
2To edit the movie clip in place and to display the movie clip’s Timeline, double-click the movie clip on the Stage.
3Apply motion tweening to the movie clip.
4When the animation procedure is complete, click the Back button to return to document-editing mode.
5To lock the layer again, click in the Lock column for the mask layer.
Inverse kinematics
About inverse kinematics
Inverse kinematics (IK) is a way of animating objects using bones chained into linear or branched armatures in parent-
child relationships. When one bone moves, connected bones move in relation to it.
Inverse kinematics lets you easily create natural motion. To animate using inverse kinematics, you simply specify the
start and end positions of bones on the Timeline. Flash automatically interpolates the positions of the bones in the
armature between the starting and ending frames.
You can use IK in 2 ways:
•By using a shape as a container for multiple bones. For example, you can add bones to a drawing of a snake so that
it slithers realistically. You can draw these shapes in Object Drawing mode.
•By chaining symbol instances. For example, you can link movie clips showing a torso, arm, lower arm, and hand so
that they move realistically in relation to each other. Each instance has only one bone.
Note: You can animate armatures not only in the Timeline but also with ActionScript 3.0. For more information, see the
fl.ik classes in the ActionScript 3.0 Language and Components Reference.

238
USING FLASH PROFESSIONAL
Timelines and Animation
Last updated 1/16/2012
A shape with an IK bone armature added. Note that the head of each bone is round and the tail is pointed. The first bone added, the root bone,
has a circle at the head.
A group of several symbols with an IK bone armature attached. The shoulders and hips of the figure are branch points in the armature. The
default transformation points are the head of the root bone, interior joints, and the tail of last bone in a branch.
Note: To use inverse kinematics, your FLA file must specify ActionScript 3.0 as the Script setting in the Flash tab of the
Publish Settings dialog box.
Bone styles
There are 4 ways that Flash can draw bones on the Stage:
•Solid. This is the default style.
•Wired. Useful when the solid style obscures too much of the artwork beneath the bone.
•Line. Useful for smaller armatures.

239
USING FLASH PROFESSIONAL
Timelines and Animation
Last updated 1/16/2012
•None. Hides the bones to show only the artwork beneath them.
To set the Bone Style, select the IK span in the Timeline and then select the style from the Style menu in the Options
section of the Properties panel.
Note: If you save a document with the Bone Style set to None, Flash automatically changes bone style to Line the next
time you open the document.
Pose Layers
When you add bones to symbol instances or shapes, Flash creates a new layer for them in the Timeline. This new layer
is called the pose layer. Flash adds the pose layer to the Timeline between existing layers to maintain the previous
stacking order of objects on the Stage.
In Flash Pro CS5, each pose layer can contain only one armature and its associated instances or shape. In Flash CS5.5,
the pose layer can contain other objects in addition to one or more bone armatures.
Tutorials and videos
The following video tutorials demonstrate how to use inverse kinematics. Some videos may show the Flash Pro CS3 or
CS4 workspace, but are still applicable to Flash Pro CS5.
•Video: Flash Professional CS5.5 - IK Support (5:45) (Adobe TV)
•Video: Using inverse kinematics (7:30) (Adobe.com)
•Video: Flash Downunder – The Bone tool and the Deco Tool (22:00) (Adobe.com)
•Video: Animating bones (inverse kinematics) (2:41) (Adobe.com)
•Video: How to use the Bone tool (5:12) (YouTube.com)
•Video: How to animate symbols with the Bone tool (3:26) (YouTube.com)
More Help topics
“Drawing modes and graphic objects” on page 92
Add bones to symbols
You can add IK bones to movie clip, graphic, and button instances. To use text, convert it to a symbol first. The symbol
instances can be on different layers before you add bones. Flash adds them to the pose layer.
Note: You can also break text apart (Modify > Break Apart) into separate shapes and use bones with the individual
shapes.
As you chain objects, consider the parent-child relationships you want to create, for example, from shoulder to elbow
to wrist.
1Create symbol instances on the Stage. To save time later, arrange the instances so that they approximate spatial
configuration you want.
2Select the Bone tool from the Tools panel.
3Click the symbol instance that you want to set as the root bone of the armature. Click at the point where you want
to attach the bone to the symbol.
By default, Flash creates the bone at the location of mouse click. For a more precise way of adding a bone, turn off Auto
Set Transformation Point in the Drawing Preferences (Edit
> Preferences). With Auto Set Transformation Point
turned off, the bone will snap to the symbol transformation point when you click from one symbol to the next.

240
USING FLASH PROFESSIONAL
Timelines and Animation
Last updated 1/16/2012
4Drag to another symbol instance and release the mouse button at the point where you want to attach it.
5To add another bone to the armature, drag from the tail of the first bone to the next symbol instance.
It’s easier to place the tail precisely if you turn off Snap To Objects (View > Snapping > Snap To Objects).
6To create a branched armature, click the head of an existing bone where you want the branch to begin. Then drag
to create the first bone of the new branch.
An armature can have as many branches as necessary.
Note: A branch cannot connect to another branch except at its root.
7To reposition the elements of the completed armature, drag either the bones or the instances themselves.
•Dragging a bone moves its associated instance without allowing it to rotate relative to its bone.
•Dragging an instance allows it to move as well as rotate relative to its bone.
•Dragging an instance in the middle of a branch causes the parent bones to articulate with joint rotation. The child
bones move with no joint rotation.
After you create an armature, you can still add new instances from different layers to the armature. Drag a new bone
to the new instance and Flash moves the instance to the pose layer of the armature.
Videos and tutorials:
•Video: Flash Professional CS5.5 - IK Support (5:45) (Adobe TV)
•Video: Spring for Bones (Length: 4:29, Includes: Add bones, contrain joint motion, add poses, animate with spring
properties. Adobe TV)
Add bones to shapes
You add bones to a single shape or to a group of shapes that are on the same layer. In either case, you must select all
the shapes before adding the first bone. After you add bones, Flash converts all the shapes and bones into an IK shape
object and moves the object to a new pose layer.
After you have added bones to a shape, the shape has the following limitations:
•You cannot merge an IK shape with other shapes outside it.
•You cannot rotate, scale, or skew the shape with the Free Transform tool.
•Editing the control points of the shape is not recommended.
1Create a filled shape or shapes on the Stage.
The shape can contain multiple colors and strokes. Edit the shapes so they are as close to their final form as possible.
Once you add bones to a shape, the options for editing the shape become more limited.
If the shape is too complex, Flash will prompt you to convert it to a movie clip before adding bones.
2Select the entire shape on the Stage.
If the shape contains multiple color areas or strokes, drag a selection rectangle around the shape to ensure that the
entire shape is selected.
3Select the Bone tool in the Tools panel.
4With the Bone tool, click inside the shape and drag to another location within the shape.
5To add another bone, drag from the tail of the first bone to another location in within the shape.

241
USING FLASH PROFESSIONAL
Timelines and Animation
Last updated 1/16/2012
The second bone becomes a child of the root bone. Link areas of the shape with bones in the order of the parent-child
relationships you want to create. For example, link from shoulder to elbow to wrist.
6To create a branched armature, click the head of an existing bone where you want the branch to begin. Then drag
to create the first bone of the new branch.
An armature can have as many branches as necessary.
Note: A branch cannot connect to another branch except at its root.
7
To move the armature, select the IK shape object with the Selection tool and then drag any of the bones to move them.
Once the shape becomes an IK shape, it has the following limitations:
•You can no longer transform (scale or skew) the shape.
•You cannot add new strokes to the shape. You can still add or remove control points from the existing strokes of
the shape.
•You cannot edit the shape in place (by double-clicking it on the Stage.)
•The shape has its own registration point, transform point, and bounding box.
Videos and Tutorials
•Video: Flash Professional CS5.5 - IK Support (5:45) (Adobe TV)
Edit IK armatures and objects
You can’t edit IK armatures if the pose layer includes poses after the first frame of the Timeline. Before editing, delete
any additional poses after the first frame of the armature in the Timeline.
If you are simply repositioning an armature for animation purposes, you can change positions in any frame of the pose
layer. Flash converts the frame to a pose frame.
Select bones and associated objects
•To select an individual bone, click the bone with the Selection tool. Shift-click to select multiple bones.
•To move the selection to adjacent bones, click the Parent, Child, or Next/Previous sibling buttons in the Property
inspector.
• To select all the bones in the armature, double-click a bone.
•To select an entire armature and display the properties of the armature and its pose layer, click a frame in the pose
layer containing the armature.
•To select an IK shape, click the shape.
•To select a symbol instance connected to a bone, click the instance.
Reposition bones and associated objects
•To reposition a linear armature, drag any bone in the armature.
If the armature contains connected symbol instances, you can also drag an instance. In this way you can rotate the
instance relative to its bone.
•To reposition a branch of an armature, drag any bone in the branch.
All the bones in the branch move. Bones in other branches of the armature do not move.
•To rotate a bone with its child bones without moving the parent bone, Shift-drag the bone.

242
USING FLASH PROFESSIONAL
Timelines and Animation
Last updated 1/16/2012
•To move an IK shape to a new location on the Stage, select the shape and change its X and Y properties in the
Property inspector. You can also Alt-drag (Windows) or Option-drag (Macintosh) the shape.
Delete bones
Do one of the following:
•To delete an individual bone and all of its children, click the bone and press the Delete key.
You can select multiple bones to delete by Shift-clicking each bone.
•To delete all bones from an IK shape or symbol armature from the Timeline, right-click the IK armature span in
the Timeline and choose Remove Armature from the context menu.
•To delete all bones from an IK shape or a symbol armature on the Stage, double click a bone in the armature to
select all bones. Then press Delete.
IK shapes revert to normal shapes.
Move bones relative to the associated shape or symbol
•To move the location of either end of a bone within an IK shape, drag the end of the bone with the Subselection tool.
Note: The Subselection tool does not work if there are multiple poses in the IK span. Before editing, delete any
additional poses after the first frame of the armature in the Timeline.
•To move the location of a bone joint, head, or tail within a symbol instance, move the transformation point of the
instance. Use the Free Transform tool.
The bone moves with the transformation point.
•To move an individual symbol instance without moving any other linked instances, Alt-drag (Windows) or
Command-drag (Macintosh) the instance, or drag with the Free Transform tool.
The bones connected to the instance lengthen or shorten to accommodate the new location of the instance.
Edit an IK shape
You can add, delete, and edit control points of the contours in an IK shape using the Subselection tool.
•To move the position of a bone without changing the IK shape, drag the endpoint of a bone.
•To display the control points of the IK shape boundary, click the stroke of the shape.
•To move a control point, drag the control point.
•To add a new control point, click a part of the stroke without any control points.
•To delete an existing control point, click to select it, and then press the Delete key.
Note: An IK shape cannot be transformed (scaled or skewed).
Bind bones to shape points
By default, the control points of a shape are connected to the bone that is nearest to them. You can use the Bind tool
to edit the connections between individual bones and the shape control points. In this way you can control how the
stroke distorts when each bone moves for better results. This technique is useful when the stroke of a shape does not
distort as you want when the armature moves.

243
USING FLASH PROFESSIONAL
Timelines and Animation
Last updated 1/16/2012
You can bind multiple control points to a bone and multiple bones to a control point.
•To highlight the control points connected to a bone, click the bone with the Bind tool .
The connected points are highlighted in yellow while the selected bone is highlighted in red. Control points
connected to only one bone appear as squares. Control points connected to more than one bone appear as triangles.
•To add control points to a selected bone, Shift-click a control point that is not highlighted.
You can also Shift-drag to select multiple control points to add to the selected bone.
•To remove control points from the bone, Ctrl-click (Windows) or Option-click (Macintosh) a control point that is
highlighted in yellow.
You can also Ctrl-drag (Windows) or Option-drag (Macintosh) to remove multiple control points from the
selected bone.
•To highlight the bones connected to a control point, click the control point with the Bind tool .
The connected bones are highlighted in yellow while the selected control point is highlighted in red.
•To add other bones to the selected control point, Shift-click a bone.
•To remove a bone from a selected control point, Ctrl-click (Windows) or Option-click (Macintosh) a bone that is
highlighted in yellow.
Constrain motion of IK bones
To create more realistic motion of IK armatures, you can control the freedom of motion of specific bones. For example,
you can constrain two bones of an arm so that the elbow cannot bend in the wrong direction.
By default, each IK bone is assigned a fixed length when the bone is created. Bones can rotate around their parent joint
and along the x- and y-axis. However, they cannot move in ways that require the length of their parent bone to change
unless you enable x- or y-axis motion. By default, bone rotation is enabled and x- and y-axis motion is disabled.
You can also limit the speed of motion of a bone to create the effect of weight in a bone.
In armatures with strings of connected bones, you cannot contrain the motion of the last joint in any branch of the
armature. To give the appearance of contraint of the last joint, use bones with movie clips and connect the last bone to
a movie clip that has its alpha property set to zero. Then constrain the next-to-last bone instead of the last one.
Examples:
•For an arm, you could constrain the degrees of rotation of the elbow so that it cannot rotate beyond the normal
range of motion of a forearm.
•To enable a character to move across the Stage, turn on X or Y translation on the root bone. Turn off rotation when
using X and Y translation for more accurate movement.
You set these properties in the Property inspector when one or more bones are selected.
•To enable a selected bone to move along the x- or y- axis and change the length of its parent bone, select Enable in
the Joint: X Translation or Joint: Y Translation section of the Property inspector.
A two-headed arrow appears perpendicular to the bone on the joint to indicate that x-axis motion is enabled. A
two-headed arrow appears parallel to the bone on the joint to indicate that y-axis motion is enabled. Enabling both
x and y translation for a bone simplifyies the task of positioning the bone when rotation is disabled for the bone.
•To limit the amount of motion enabled along the x- or y-axis, select Constrain in the Joint: X Translation or Joint:
Y Translation section of the Property inspector and enter a value for the minimum and maximum distance the bone
can move.

244
USING FLASH PROFESSIONAL
Timelines and Animation
Last updated 1/16/2012
•To disable rotation of the selected bone around the joint, deselect the Enable checkbox in the Joint: Rotation section
of the Property inspector.
This checkbox is selected by default.
•To constrain rotation of a bone, enter minimum and maximum degrees of rotation in the Joint: Rotation section
of the Property inspector.
The degrees of rotation are relative to the parent bone. An arc appears on top of the bone joint indicating the
degrees of freedom of rotation.
•To make a selected bone stationary relative to its parent bone, disable rotation and x- and y-axis translation.
The bone becomes rigid and follows the motion of its parent.
•To limit the speed of motion of a selected bone, enter a value in the Joint Speed field in the Property inspector.
Joint speed gives the bone the effect of weight. The maximum value of 100% is equivalent to unlimited speed.
Constraining bone movement with pinning (CS5.5 only)
You can prevent specific bones from moving by pinning them to the Stage. The pinned bones are fixed in place while
the other bones attached to them continue to move freely. An example of this in use would be a human figure with the
bones of the feet pinned so that they cannot move above of below the floor the figure is standing on.
To pin one or more bones to the Stage:
1Select the bone(s) on the Stage by clicking them.
2Do one of the following:
•Place the mouse cursor over a bone joint until the Pin cursor appears. Then click the joint.
•In the Location section of the Property inspector, select the Pin checkbox.
The selected bone can no longer move in any direction.
Videos and tutorials
•Video: Flash Professional CS5.5 - Pinning Support for IK (2:35, Adobe TV)
•Video: Spring for Bones (Length: 4:29, Includes: Add bones, contrain joint motion, add poses, animate with spring
properties. AdobeTV.com)
•TechNote: Unable to set an IK motion constraint on the last bone in a joint
Add Springiness to bones
Two bone properties can be used to add springiness to IK bones. The Strength and Damping properties of bones give
real physical movement to IK Bones by integrating dynamic physics into the Bones IK system. These properties allow
easier creation of physics-enhanced animation. The Strength and Damping properties give bone animation life-like
movement that is highly configurable. It is best to set these properties before adding poses to a pose layer.
Strength The stiffness of the spring. Higher values create a stiffer spring effect.
Damping The rate of decay of the spring effect. Higher values cause the springiness to diminish more quickly. A value
of 0 causes the springiness to remain at its full strength throughout the frames of the pose layer.
To enable springiness, select one or more bones and set the Strength and Damping values in the Spring section of the
Property inspector. The higher the Strength, the more rigid the spring becomes. Damping determines the rate of decay
of the spring effect, so the higher the value, the faster the animation ends.

245
USING FLASH PROFESSIONAL
Timelines and Animation
Last updated 1/16/2012
To turn off the Strength and Damping properties, select the pose layer in the Timeline and deselect the Enable
checkbox in the Spring section of the Property inspector. This allows you to see on Stage the poses you have defined
in the pose layer without the effect of the Spring properties.
The following factors affect the final look of your bones animation when working with the Spring properties.
Experiment with adjusting each of these to acheive the final look you want.
•The Strength property value.
•The Damping property value.
•The number of frames between poses in the pose layer.
•The total number of frames in the pose layer.
•The number of frames between the final pose and the last frame of the pose later.
Additional resources
•Video: Working with IK Spring properties (7:50, Adobe TV)
•Video: (Length: 4:29, Includes: Add bones, contrain joint motion, add poses, animate with spring properties.
AdobeTV.com) Spring for Bones
•Article: Exploring the Spring tool in Flash Professional CS5 (Adobe.com)
Animate an armature
You animate IK armatures differently from other objects in Flash. With armatures, you simply add frames to the pose
layer and reposition the armature on the Stage to create a keyframe. Keyframes in pose layers are called poses. Because
IK armatures are typically used for animation purposes, each pose layer acts as a tween layer automatically.
However, IK pose layers are different from tween layers because you cannot tween properties other than bone position
in the pose layer. To tween other properties of an IK object such as location, transform, color effects, or filters, enclose
the armature and its associated objects in a movie clip or graphic symbol. You can then animate the properties of the
symbol using the Insert
> Motion Tween command and the Motion Editor panel.
You can also animate IK armatures with ActionScript 3.0 at runtime. If you plan to animate an armature with
ActionScript, you cannot animate it in the Timeline. The armature can have only one pose in the pose layer. That pose
must be in the first frame in which the armature appears in the pose layer.
The following additional resources demonstrate how to animate an armature:
•Video: Animating bones (inverse kinematics) (2:41) (Adobe TV)
•Video: (Length: 4:29, Includes: Add bones, contrain joint motion, add poses, animate with spring properties.
AdobeTV.com) Spring for Bones
•Article: Character animation with the Bone Tool in Flash (Adobe.com)
•How to use the Bone tool (5:12) (YouTube.com)
•How to animate symbols with the Bone tool (3:26) (YouTube.com)
More Help topics
“Motion tween animation” on page 195
“Add Springiness to bones” on page 244

246
USING FLASH PROFESSIONAL
Timelines and Animation
Last updated 1/16/2012
Animate an armature in the Timeline
IK armatures exist on pose layers in the Timeline. To animate armatures in the Timeline, insert poses by right-clicking
a frame in a pose layer and selecting Insert Pose. Use the Selection tool to change the configuration of the armature.
Flash Pro automatically interpolates the positions of the bones in the frames between poses.
1In the Timeline, if needed, add frames to the pose layer of the armature to make room for the animation you want
to create.
You add frames by right-clicking (Windows) or Option-clicking (Macintosh) a frame in the pose layer to the right of
any existing frames and choosing Insert Frame. You can add or delete frames later at any time.
2To add a pose to a frame in the pose layer, do one of the following:
•Place the playhead in the frame where you want to add the pose and then reposition the armature on the Stage.
•Right-click (Windows) or Option-click (Macintosh) the frame in the pose layer and choose Insert Pose.
•Place the playhead in the frame where you want to add the pose and then press the F6 key.
Flash inserts a pose into the pose layer in the current frame. A diamond-shaped pose marker in the frame indicates the
new pose.
3Add additional poses in separate frames to complete the animation to your satisfaction.
4To change the length of the animation in the Timeline, hover the mouse cursor over the last frame of the armature
until the Resize cursor appears. Then drag the last frame of the pose layer to the right or left to add or remove
frames.
Flash repositions the pose frames in proportion to the change in duration of the layer and reinterpolates the frames in
between. To resize the armature span in the Timeline without affecting the location of the pose frames, Shift-drag the
last frame of the armature span.
When you finish, scrub the playhead in the Timeline to preview the animation. You can see the armature positions
interpolated in between the pose frames.
You can reposition the armature in the pose frames or add new pose frames at any time.
Edit the location of poses in an armature
You can edit the location of poses in the following ways:
•To move a pose to a new location, Ctrl-click (Windows) or Command-click (Macintosh) a pose and then drag the
pose to a new location in the armature.
•To copy a pose to a new location, Ctrl-click (Windows) or Command-click (Macintosh) a pose and then Alt-drag
(Windows) or Option-drag (Macintosh) the pose to a new location in the armature.
•Cut, copy and paste. Ctrl-click (Windows) or Command-click (Macintosh) the pose you want to cut or copy and
choose Cut Pose or Copy Pose from the context menu.
Then Ctrl-Click (Windows) or Command-click (Macintosh) the frame in the armature span where you want to
paste and choose Paste Pose from the context menu.
Apply additional tweened effects to IK object properties
To apply tweened effects to IK object properties other than bone position, enclose the object in a movie clip or graphic
symbol.
1Select the IK armature and all of its associated objects.
For an IK shape you can simply click the shape. For linked sets of symbol instances, you can click the pose layer in the
Timeline or drag a selection marquee around all of the linked symbols on the Stage.

247
USING FLASH PROFESSIONAL
Timelines and Animation
Last updated 1/16/2012
2
Right-click (Windows) or Ctrl-click (Macintosh) the selection and choose Convert To Symbol from the context menu.
3In the Convert To Symbol dialog box, enter a name for the symbol and choose either Movie Clip or Graphic from
the Type menu. Click OK.
Flash creates a symbol with its own timeline containing the pose layer for the armature.
4To use the new symbol on the main timeline of your FLA file, drag the symbol from the Library to the Stage.
You can now add motion tween effects to the new symbol instance on the Stage.
You can nest symbols containing IK armatures within as many layers of other nested symbols as necessary to create
your desired effect.
Prepare an armature for runtime animation with ActionScript 3.0
You can use ActionScript 3.0 to control IK armatures connected to shapes or movie clip instances. However, you can’t
control armatures connected to graphic or button symbol instances with ActionScript.
Only armatures with a single pose can be controlled with ActionScript. Armatures with more than one pose can only
be controlled in the Timeline.
1With the Selection tool, select a frame in a pose layer containing an armature.
2In the Property inspector, choose Runtime from the Type menu.
The hierarchy can now be manipulated with ActionScript 3.0 at runtime.
By default, the armature name in the Property inspector is the same as the pose layer name. Use this name to refer to
the armature in ActionScript. You can change the name in the Property inspector.
Add easing to IK animation
Easing is adjusting the animation speed in the frames around each pose to create more realistic motion.
1Select either a frame between two pose frames in the pose layer or a pose frame.
Intervening frame Ease affects the frames between the pose frames to the left and right of the selected frame.
Pose frame Ease affects the frames between the selected pose and the next pose in the layer.
2In the Property inspector, select a type of ease from the Ease menu.
Simple eases Four eases that slow the motion in the frames either immediately after or before the selected frame.
Start and Stop eases Slow the motion in the frames immediately after the prior pose frame and the frames
immediately before the next pose frame.
Note: These same ease types are available in the Motion Editor when you use motion tweens. You can view the curve of
each type of ease in the Motion Editor when you select a motion tween in the Timeline.
3In the Property inspector, enter a value for the Strength of the ease.
The default Strength is 0, which is equivalent to no easing. The maximum value is 100, which applies the most
significant easing effect to the frames preceding the pose frame. The minimum value is -100, which applies the most
significant easing effect to the frames immediately after the preceding pose frame.
When you finish, preview the eased motion on the Stage. Scrub the playhead in the Timeline between the two pose
frames where you applied the ease.
More Help topics
“Easing tween animations” on page 219

248
Last updated 1/16/2012
Chapter 8: Filters and Blends
Graphic filters
About filters
Filter overview
Adobe® Flash® Professional CS5 filters (graphic effects) let you add interesting visual effects to text, buttons, and movie
clips. A feature unique to Flash Pro is that you can animate the filters you apply using motion tweens.
Flash Pro blend modes let you create composite images. Compositing is the process of varying the transparency or color
interaction of two or more overlapping objects. Blending modes also add a dimension of control to the opacity of
objects and images. You can use Flash Pro blending modes to create highlights or shadows that let details from an
underlying image show through, or to colorize a desaturated image.
Additional resources
Video tutorials:
•Pixel Bender: Custom Filters (9:20) (Adobe.com)
•Flash Downunder – Pixel Bender filters (15:07) (Adobe.com)
Articles:
•Graphic Effects Learning Guide for Flash CS4 Professional (Adobe.com)
About animated filters
You animate filters in the Timeline. Objects on separate keyframes joined by a tween have the parameters for
corresponding filters tweened on intermediate frames. If a filter does not have a matching filter (a filter of the same
type) at the opposite end of the tween, a matching filter is added automatically to ensure that the effect occurs at the
end of the animation sequence.
To prevent motion tweens from functioning incorrectly if a filter is missing at one end of the tween, or if filters are
applied in a different order at each end, Flash Pro does the following:
•If you apply a motion tween to a movie clip with filters applied to it, when you insert a keyframe at the opposite end
of the tween, the movie clip automatically has the same filters, with the same stacking order, on the last frame of
the tween as it did at the beginning of the tween.
•If you place movie clips on two different frames with different filters applied to each, and you apply a motion tween
between the frames, Flash Pro first processes the movie clip with the most filters. Flash Pro then compares the filters
applied to the first movie clip against the filters that the second movie clip uses. If no matching filters are found in
the second movie clip, Flash Pro generates a dummy filter with no parameters and the color of the existing filters.
•If a motion tween exists between two keyframes and you add a filter to the object in one keyframe, Flash Pro
automatically adds a dummy filter to the movie clip when it reaches the keyframe at the other end of the tween.
•If a motion tween exists between two keyframes and you remove a filter from an object in one keyframe, Flash Pro
automatically removes the matching filter from the movie clip when it reaches the keyframe at the other end of the
tween.

249
USING FLASH PROFESSIONAL
Filters and Blends
Last updated 1/16/2012
•If you set filter parameters inconsistently between the beginning and end of a motion tween, Flash Pro applies the
filter settings of the starting frame to the interpolated frames. Inconsistent settings occur when the following
parameters are set differently between the beginning and end of the tween: knockout, inner shadow, inner glow,
and type of gradient glow and gradient bevel.
For example, if you create a motion tween using the drop shadow filter, and apply a drop shadow with a knockout
on the first frame of the tween, and an inner shadow on the last frame of the tween, Flash Pro corrects the
inconsistent use of the filter in the motion tween. In this case, Flash Pro applies the filter settings used on the first
frame of the tween—a drop shadow with a knockout.
About filters and Flash Player performance
The type, number, and quality of the filters you apply to objects can affect the performance of SWF files as you play
them. The more filters you apply to an object, the greater the number of calculations Adobe® Flash® Player must process
to correctly display the visual effects you’ve created. Adobe® recommends that you apply a limited number of filters to
a given object.
Each filter includes controls that let you adjust the strength and quality of the applied filter. Using lower settings
improves performance on slower computers. If you are creating content for playback on a wide range of computers,
or are unsure of the computing power available to your audience, set the quality level to Low to maximize playback
performance.
About Pixel Bender filters
Adobe Pixel Bender™ is a programming language developed by Adobe that allows users to create custom filters, effects,
and blend modes for use in Flash and After Effects. Pixel Bender is hardware independent and designed to run
efficiently on a variety of GPU and CPU architectures automatically.
Pixel Bender developers create filters by writing Pixel Bender code and saving the code in a text file with the file
extension pbj. Once written, a Pixel Bender filter can be used by any Flash document. Use ActionScript® 3.0 to load the
filter and use its controls.
For more information about working with Pixel Bender in ActionScript, see ActionScript 3.0 Developer's Guide.
Lee Brimelow has posted several helpful Pixel Bender examples on his blog at http://theflashblog.com/?cat=44.
The following video tutorials demonstrate the use of Pixel Bender filters in Flash Pro:
•Pixel Bender: Custom Filters (9:20)
•Flash Downunder – Pixel Bender filters (15:07)
Working with filters
Each time you add a new filter to an object, it is added to the list of applied filters for that object in the Property
inspector. You can apply multiple filters to an object, as well as remove filters that were previously applied. You can
apply filters only to text, button, and movie clip objects.
You can create a filter settings library that lets you easily apply the same filter or sets of filters to an object. Flash Pro
stores the filter presets you create in the Filters section of the Property inspector in the Filters
> Presets menu.

250
USING FLASH PROFESSIONAL
Filters and Blends
Last updated 1/16/2012
The Add Filter menu in the Property inspector
Apply or remove a filter
1Select a text, button, or movie clip object to apply a filter to or remove a filter from.
2In the Filters section of the Property inspector, do one of the following:
•To add a filter, click the Add Filter button , and select a filter. Experiment with the settings until you get the
desired look.
•To remove a filter, select the filter to remove in the list of applied filters, and click the Remove Filter button . You
can delete or rename any presets.
Copy and paste a filter
1Select the object to copy a filter from, and select the Filters panel.
2Select the filter to copy, and click the Clipboard button and choose Copy Selected from the pop-up menu. To
copy all filters, choose Copy All.
3Select the object to apply the filter to, and click the Clipboard button and choose Paste from the pop-up menu.
Apply a preset filter to an object
1Select the object to apply a filter preset to, and select the Filter tab.
2Click the Add Filter button , and select Presets.
3Select the filter preset to apply from the list of available presets at the bottom of the preset menu.
Note: When you apply a filter preset to an object, Flash Pro replaces any filters currently applied to the selected objects
with the filters used in the preset.
Enable or disable a filter applied to an object
❖Click the enable or disable icon next to the filter name in the Filter list.

251
USING FLASH PROFESSIONAL
Filters and Blends
Last updated 1/16/2012
Note: To toggle the enable state of the other filters in the list, Alt-click (Windows) or Option-click (Macintosh) the enable
icon in the Filter list. If you Alt-click the disable icon, the selected filter is enabled, and all others filters in the list are
disabled.
Enable or disable all filters applied to an object
❖Click the Add Filter button , and select Enable All or Disable All.
Note: To enable or disable all of the filters in the list, Control-click the enable or disable icon in the Filter list.
Create preset filter libraries
Save filter settings as preset libraries that you can easily apply to movie clip and text objects. Share your filter presets
with other users by providing them with the filter configuration file. The filter configuration file is an XML file that is
saved in the Flash Pro Configuration folder in the following location:
•Windows XP: C:\Documents and Settings\username\Local Settings\Application Data\Adobe\Flash
CS5\language\Configuration\Filters\filtername.xml
•Windows Vista: C:\Users\username\Local Settings\Application Data\Adobe\Flash
CS5\language\Configuration\Filters\filtername.xml
•Macintosh: Macintosh HD/Users/username/Library/Application Support/Adobe/Flash
CS5/language/Configuration/Filters/filtername.xml
Create a library of filters with preset settings
1Apply the filter or filters to the object.
2Click the Add Filter button , and add a new filter.
3Select the filter and click the Presets menu , and choose Save As.
4Enter a name for the filter settings in the Save Preset As dialog box, and click OK.
Rename a filter preset
1Click the Add Filter button , and add a new filter.
2Select the filter and click the Presets menu , and choose Rename.
3Double-click the preset name to modify.
4Enter a new preset name, and click Rename.
Delete a filter preset
1Click the Add Filter button , and add a new filter.
2Select the filter and click the Presets menu , and choose Delete.
3Select the preset to remove, and click Delete.
Applying filters
Apply a drop shadow
The Drop Shadow filter simulates the look of an object casting a shadow onto a surface.

252
USING FLASH PROFESSIONAL
Filters and Blends
Last updated 1/16/2012
Text with the Drop Shadow filter applied
For a sample of a drop shadow with a classic tween, see the Flash Samples page at
www.adobe.com/go/learn_fl_samples. Download and decompress the Samples zip file and navigate to the
Graphics\AnimatedDropShadow directory.
1Select the object to apply a drop shadow to.
2In the Filters section of the Property inspector, click the Add Filter button , and select Drop Shadow.
3Edit the filter settings:
•To set the width and height of the drop shadow, set the Blur X and Y values.
•To set the darkness of the shadow, set the Strength value. The higher the numerical value, the darker the shadow.
•Select the quality level for the drop shadow. High is approximate to that of a Gaussian blur. Low maximizes
playback performance.
•To set the angle of the shadow, enter a value.
•To set the distance of the shadow from the object, set the Distance value.
•Select Knockout to knock out (or visually hide) the source object and display only the drop shadow on the knockout
image.
•To apply the shadow within the boundaries of the object, select Inner shadow.
•To hide the object and display only its shadow, select Hide Object. Hide Object lets you more easily create a realistic
shadow.
•To open the Color Picker and set the shadow color, click the Color control.
Create a skewed drop shadow
Skewing the Drop Shadow filter to create a more realistic looking shadow
1Select the object with the shadow you want to skew.
2Duplicate (select Edit > Duplicate) the source object.
3Select the duplicated object, and skew it using the Free Transform tool (Modify > Transform > Rotate And Skew).
4Apply the Drop Shadow filter to the duplicated movie clip or text object. (It will already be applied if the object you
duplicated already had a drop shadow.)
5In the Filters panel, select Hide Object to hide the duplicated object while leaving its shadow visible.
6Select Modify > Arrange > Send Backward to place the duplicated object and its shadow behind the original object
that you duplicated.
7
Adjust both the Drop Shadow filter settings and the angle of the skewed drop shadow until you achieve the desired look.
Apply a blur
The Blur filter softens the edges and details of objects. Applying a blur to an object can make it appear as if it is behind
other objects, or make an object appear to be in motion.

253
USING FLASH PROFESSIONAL
Filters and Blends
Last updated 1/16/2012
Text with the Blur filter applied
1Select an object to apply a blur to, and select Filters.
2Click the Add Filter button , and select Blur.
3Edit the filter settings on the Filter tab:
•To set the width and height of the blur, set the Blur X and Y values.
•Select the quality level for the blur. High is approximate to that of a Gaussian blur. Low maximizes playback
performance.
Apply a glow
The Glow filter lets you apply a color around the edges of an object.
Text with the Glow filter applied
1Select an object to apply a glow to, and select Filters.
2Click the Add Filter button , and select Glow.
3Edit the filter settings in the Filter tab:
•To set the width and height of the glow, set the Blur X and Y values.
•To open the Color Picker and set the glow color, click the Color control.
•To set the sharpness of the glow, set the Strength value.
•To knock out (or visually hide) the source object and display only the glow on the knockout image, select Knockout.
Using the Glow filter with the Knockout option
•To apply the glow within the boundaries of the object, select Inner Glow.
•Select the quality level for the glow. High is approximate to that of a Gaussian blur. Low maximizes playback
performance.
Apply a bevel
Applying a bevel applies a highlight to the object that makes it appear to be curved up above the background surface.
Text with a bevel applied
1Select an object to apply a bevel to, and select Filters.

254
USING FLASH PROFESSIONAL
Filters and Blends
Last updated 1/16/2012
2Click the Add Filter button , and select Bevel.
3Edit the filter settings in the Filter tab:
•To set the type of bevel, select a bevel from the Type menu.
•To set the width and height of the bevel, set the Blur X and Y values.
•Select a shadow and highlight color for the bevel from the pop-up color palette.
•To set the opacity of the bevel without affecting its width, set the Strength value.
•To change the angle of the shadow that the beveled edge casts, set the Angle value.
•To define the width of the bevel, enter a value for Distance.
•To knock out (or visually hide) the source object and display only the bevel on the knockout image, select
Knockout.
Apply a gradient glow
Applying a gradient glow produces a glow look with a gradient color across the surface of the glow. The gradient glow
requires one color at the beginning of the gradient with an Alpha value of 0. You cannot move the position of this color,
but you can change the color.
Text with a gradient glow applied
1Select an object to apply a gradient glow to.
2In the Filters section of the Property inspector, click the Add Filter button , and select Gradient Glow.
3Edit the filter settings on the Filter tab:
•Select the type of glow to apply to the object from the Type pop-up menu.
•To set the width and height of the glow, set the Blur X and Y values.
•To set the opacity of the glow without affecting its width, set the Strength value.
•To change the angle of the shadow that the glow casts, set the Angle value.
•To set the distance of the shadow from the object, set the Distance value.
•To knock out (or visually hide) the source object and display only the gradient glow on the knockout image, select
Knockout.
•Specify a gradient color for the glow. A gradient contains two or more colors that fade or blend into one another.
The color you select for the beginning of the gradient is referred to as the alpha color.
To change a color in the gradient, select one of the color pointers below the gradient definition bar and click the color
space that appears directly below the gradient bar to display the Color Picker. Sliding these pointers adjusts the level
and position of that color in the gradient.
To add a pointer to the gradient, click on or below the gradient definition bar. To create a gradient with up to 15 color
transitions, add up to 15 color pointers. To reposition a pointer on the gradient, drag the pointer along the gradient
definition bar. To remove a pointer, drag it down and off the gradient definition bar.
•Select the quality level for the gradient glow. High is approximate to that of a Gaussian blur. Low maximizes
playback performance.

255
USING FLASH PROFESSIONAL
Filters and Blends
Last updated 1/16/2012
Apply a gradient bevel
Applying a gradient bevel produces a raised look that makes an object appear to be raised above the background, with
a gradient color across the surface of the bevel. The gradient bevel requires one color in the middle of the gradient with
an alpha value of 0.
1Select an object to apply a gradient bevel to.
2In the Filters section of the Property inspector, click the Add Filter button , and select Gradient Bevel.
3Edit the filter settings on the Filter tab:
•Select the type of bevel to apply to the object from the Type pop-up menu.
•To set the width and height of the bevel, set the Blur X and Y values.
•To affect the smoothness of the bevel without affecting its width, enter a value for Strength.
•To set the angle of the light source, enter a value for Angle.
•To knock out (or visually hide) the source object and display only the gradient bevel on the knockout image,
select Knockout.
•Specify a gradient color for the bevel. A gradient contains two or more colors that fade or blend into one another.
The middle pointer controls the alpha color of the gradient. You can change the color of the alpha pointer, but
you cannot reposition this color in the gradient.
To change a color in the gradient, select one of the color pointers below the gradient definition bar, and click the
color space that appears directly below the gradient bar to display the Color Picker. To adjust the level and
position of that color in the gradient, slide these pointers.
To add a pointer to the gradient, click on or below the gradient definition bar. To create a gradient with up to
15 color transitions, add up to 15 color pointers. To reposition a pointer on the gradient, drag the pointer along
the gradient definition bar. To remove a pointer, drag it down and off the gradient definition bar.
Apply the Adjust Color filter
The Adjust Color filter allows you to finely control the color attributes of the selected object, including contrast,
brightness, saturation, and hue.
1Select an object to adjust the color for.
2In the Filters section of the Property inspector, click the Add Filter button , and select Adjust Color.
3Enter values for the color attributes. The attributes and their corresponding values are as follows:
Contrast Adjusts the highlights, shadows, and midtones of an image.
Brightness Adjusts the brightness of an image.
Saturation Adjusts the intensity of a color.
Hue Adjusts the shade of a color.
4To reset all of the color adjustments to 0 and return the object to its original state, click Reset Filter.
More Help topics
“Change the color and transparency of an instance” on page 156

256
USING FLASH PROFESSIONAL
Filters and Blends
Last updated 1/16/2012
Applying blend modes
About blend modes
Blend modes let you create composite images. Compositing is the process of varying the transparency or color
interaction of two or more overlapping objects. Blending lets you create unique effects by blending the colors in
overlapping movie clips.
A blending mode contains the following elements:
Blend color The color applied to the blend mode.
Opacity The degree of transparency applied to the blend mode.
Base color The color of pixels underneath the blend color.
Result color The result of the blend’s effect on the base color.
Blend modes depend on both the color of the object you’re applying the blend to and the underlying color. Adobe®
recommends that you experiment with the different blend modes to achieve the desired effect.
Normal Applies color normally, with no interaction with the base colors.
Layer Lets you stack movie clips on top of each other without affecting their color.
Darken Replaces only the areas that are lighter than the blend color. Areas darker than the blend color don’t change.
Multiply Multiplies the base color by the blend color, resulting in darker colors.
Lighten Replaces only pixels that are darker than the blend color. Areas lighter than the blend color don’t change.
Screen Multiplies the inverse of the blend color by the base color, resulting in a bleaching effect.
Overlay Multiplies or screens the colors, depending on the base colors.
Hard Light Multiplies or screens the colors, depending on the blend mode color. The effect is similar to shining a
spotlight on the object.
Difference Subtracts either the blend color from the base color or the base color from the blend color, depending on
which has the greater brightness value. The effect is similar to a color negative.
Add Commonly used to create an animated lightening dissolve effect between two images.
Subtract Commonly used to create an animated darkening dissolve effect between two images.
Invert Inverts the base color.
Alpha Applies an alpha mask.
Erase Removes all base color pixels, including those in the background image.
Note: Erase and Alpha blend modes require that a Layer blend mode be applied to the parent movie clip. You cannot
change the background clip to Erase and apply it because the object would appear invisible.
Blend mode examples
The following examples illustrate how different blend modes affect the appearance of an image. The resulting effect of
a blend mode might be considerably different, depending on the color of the underlying image and the type of blend
mode you apply.

257
USING FLASH PROFESSIONAL
Filters and Blends
Last updated 1/16/2012
Apply a blend mode
To apply blends to selected movie clips, use the Property inspector.
Note: You cannot apply different blend modes to different graphic symbols because multiple graphic symbols are merged
as a single shape when you publish the SWF file.
1Select the movie clip instance (on the Stage) to apply a blend mode to.
2To adjust the color and transparency of the movie clip instance, use the Color pop-up menu in the Properties panel.
3Select a blend mode for movie clips from the Blend pop-up menu in the Properties panel. The blend mode is applied
to the selected movie clip instance.
4Verify that the blend mode you selected is appropriate to the effect you’re trying to achieve.
Experiment with both the color and transparency settings of the movie clip and the different blend modes to achieve
the desired effect.
More Help topics
“Change the color and transparency of an instance” on page 156
Additional resources
The following resources provide additional detailed information about working with blends in Flash Pro:
•Graphic Effects Learning Guide for Flash CS4 Professional (Adobe.com)
Original image Layer Darken
Multiply Lighten Screen
Overlay Hard Light Add
Subtract Difference Invert

258
Last updated 1/16/2012
Chapter 9: Text
Working with Text Layout Framework (TLF) text
Beginning in Flash Professional CS5, you can add text to a FLA file using a new text engine called the Text Layout
Framework (TLF). TLF supports a wider array of rich text layout features and fine control of text attributes. TLF text
allows greater control of text than the previous text engine, now called Classic text.
TLF text provides the following enhancements over Classic text:
•Print-quality typography.
•Additional character styles, including leading, ligatures, highlight color, underline, strikethrough, case, digit case,
and more.
•Additional paragraph styles, including multi-column support with gutter width, last line justification options,
margins, indents, paragraph spacing, and container padding values.
•Control of additional Asian text attributes, including Tate Chu Yoko, Mojikumi, Kinsoku Shori Type, and Leading
model.
•You can apply attributes such as 3D Rotation, Color Effects, and Blend Modes to TLF text without placing it in a
movie clip symbol.
•Text can flow across multiple text containers. These containers are called threaded or linked text containers.
•The ability to create right-to-left text for Arabic and Hebrew scripts.
•Support for bi-directional text, where right-to-left text can contain elements of left-to-right text. This is important
for embedding English words or Arabic numerals within Arabic/Hebrew text, for example.
About TLF text
Before you begin
When creating text, it is important to understand the following fundamentals of working with text in Flash:
•TLF text is the default text type in Flash Professional CS5. In Flash Pro CS5.5, the default is Classic text.
•There are 2 types of TLF text containers, point text and area text. A point text container’s size depends solely on the
text it contains. An area text container’s size is independent of the amount of text it contains. Point text is the
default. To change a point text container to area text, resize it with the selection tool or double-click the small circle
at the bottom-right corner of the container bounding box.
•TLF text requires that ActionScript 3.0 and Flash Player 10 or higher are specified in the publish settings of your
FLA file. For more information see “Publish settings (CS5)” on page 410.
•When using TLF text, the Property inspector has three display modes, depending on the current type of text
selection:
•Text tool mode; when the Text tool has been selected in the Tools panel and no text is selected in the Flash
document.
•Text object mode; when an entire text block is selected on the Stage.
•Text edit mode; when a text block is being edited.

259
USING FLASH PROFESSIONAL
Text
Last updated 1/16/2012
•You can create three types of text block with TLF text, depending on how you want the text to behave at runtime:
•Read Only: when published as SWF file, the text cannot be selected or edited.
•Selectable: when published as SWF file, the text is selectable and can be copied to the clipboard, but is not
editable. This setting is the default for TLF text.
•Editable: when published as SWF file, text is selectable and can be edited.
•Unlike Classic text, TLF text does not support PostScript Type 1 fonts. TLF supports only OpenType and TrueType
fonts. When working with TLF text, PostScript fonts are not available in the Text > Font menu. Note that if you
apply a PostScript Type 1 font to a TLF text object using one of the other font menus, Flash substitutes the _sans
device font instead. When working with Classic text, all installed PostScript fonts are available in the Font menus.
•TLF text requires a specific ActionScript library to be available to Flash Player at runtime. If this library is not
already present on the playback computer, Flash Player automatically downloads it. For more information about
the library, see “Publishing SWF files with TLF text” on page 260.
•TLF text cannot be used as a layer mask at author-time. To create a mask with text, create the mask with
ActionScript 3.0 or use Classic text for the mask. See Masking display objects in the ActionScript 3.0 Developer’s
Guide.
•Anti-aliasing settings for TLF text are not reflected on the Stage until the Flash file is exported as a SWF file. To see
the effect of anti-aliasing settings, use the Control
> Test Movie > Test command or the File > Publish command.
•To use Cascading Style Sheets (CSS), use ActionScript to apply a stylesheet. For more information, see Applying
cascading style sheets in the ActionScript 3.0 Developer’s Guide.
•TLF has extensive ActionScript APIs for creating and manipulating text flows at runtime. These APIs enable
additional features like text decoration, in-line images, the ability to read HTML and TLFMarkup languages, and
others useful for creating dynamic content.
Tutorials and videos
•Video: TLF in Flash Professional CS5.5 (4:33, Adobe TV)
•Video: CSS stylsheets with TLF text (8:12, Adobe TV)
Converting between Classic and TLF text
When you convert a text object from one text engine to the other, Flash preserves most of the formatting. However,
because the text engines are different in their capabilities, some formatting may be slightly different, including letter
spacing and line spacing. Inspect the text carefully and reapply any settings that have been changed or lost.
If you need to convert text from Classic to TLF, try to do so only once rather than converting back and forth more than
once. The same is true for converting TLF text to Classic text.
When converting between TLF and Classic text, Flash converts text types as follows:
•TLF Read Only> Classic Static
•TLF Selectable > Classic Static
•TLF Editable > Classic Input

260
USING FLASH PROFESSIONAL
Text
Last updated 1/16/2012
Publishing SWF files with TLF text
To function properly, all TLF text objects rely on a specific TLF ActionScript library, also called a Runtime Shared
Library or RSL. Because the library is separate from your published SWF file, the SWF file size is minimized. During
authoring, Flash Pro provides the library. At runtime, after you have uploaded your published SWF file to a web server,
the library is provided in the following ways:
1The local computer. Flash Player looks for a copy of the library on the local machine it is playing on. If the SWF file
is not the first to use TLF text on that computer, the computer already has a local copy of the library in its Flash
Player cache. Once TLF text has been in use on the Internet for some time, most end-user computers will have a
local copy of the library file. However, it is possible for Flash Player end-users to disable this feature on their
computer.
2On Adobe.com. If no local copy is available, Flash Player will query Adobe’s servers for a copy of the library. The
library only has to download one time per computer. After that, all subsequent SWF files that play on the same
computer will use the previously downloaded copy of the library.
3On your web server. If Adobe’s servers are not available for some reason, Flash Player looks for the library in the
web server directory where the SWF file resides. To provide this extra level of back-up, manually upload the library
file to the web server along with your SWF file. You can also specify an alternate path for the library on your server
to allow multiple SWF files in different locations to point to a single instance of the library. More information about
the assets file is provided below.
When you publish a SWF file that uses TLF text, Flash Pro creates an additional file named textLayout_X.X.X.XXX.swz
(where the X’s are replaced by the version number) next to your SWF file. You can optionally choose to upload this
file to your web server along with your SWF file. This allows for the rare case where Adobe’s servers are not available
for some reason.
You can also avoid the need for Flash Player to do a separate download of the TLF assets by compiling the assets within
your SWF file. You can do this in the ActionScript settings of your FLA file. However, remember that these assets add
significantly to the size of your published SWF file and should only be included when download performance is not a
conern. This feature can also be useful when Adobe servers are not available, such as when deploying SWF files on
closed or private networks which may restirct access to outside URLs.
To compile the TLF ActionScript assets in published SWF files:
1Choose File > Publish Settings.
2Click the Flash Tab.
3Click the Settings button next to the Script menu.
4Click the Library Path tab.
5Select Merged Into Code from the Default Linkage menu.
The following are recommendations for handling the TLF library for different deployment scenarios
•Web-based SWF file: use the default behavior of allowing Flash Player to download the RSL if necessary.
•AIR-based SWF file: Compile the RSL into the SWF file. This way text functionality of the AIR application will not
be compromised while offline.
•iPhone-based SWF: It is not recommended that you use TLF on the iPhone for performance reasons. If you do,
compile the TLF code into the SWF because the iPhone cannot load RSLs.
Note: For more information about how the Flash Player cache works, see Improving Flex application performance using
the Flash Player cache.The article focuses on Flash Builder, but all of the information about the Flash Player cache applies
to Flash Professional as well.

261
USING FLASH PROFESSIONAL
Text
Last updated 1/16/2012
When the TLF ActionScript assets are not embedded or available on the local playback computer, there can be a slight
delay in SWF playback while Flash Player downloads the assets. You can choose the type of preloader SWF that Flash
Player displays while the assets are downloaded. You choose the preloader by setting the Preloader Method in the
ActionScript 3.0 settings.
To set the Preloader Method:
1Choose File > Publish Settings.
2In the Flash tab, click the ActionScript 3.0 Settings button.
3In the Advanced ActionScript 3.0 Settings dialog box, select a method from the Preloader Method menu. The
available methods are:
•Preloader SWF: this is the default. Flash embeds a small preloader SWF file inside your published SWF file. This
preloader displays a progress bar while the assets load.
•Custom Preloader Loop: use this setting is you want to use a preloader SWF of your own.
The Preloader Method setting is only available if the Default Linkage is set to Runtime Shared Library (RSL).
Tutorials and Videos
•Tutorial: Using a Custom Preloader Loop With TLF Text - Jeff Kamerer, Adobe
•TechNote: Loading child SWFs with TLF content generates reference errors
•Cookbook: How Do I Correct This Runtime Library Error?
Reducing SWF file size with TLF text (CS5.5 only)
Most TLF text requires that a specific ActionScript library be compiled into your SWF file. This library adds about 20k
to the file size.
If you need to keep the file size as small as possible, you can prevent the ActionScript library from being included by
limiting your use of TLF text in the following ways:
•Use only Selectable or Read Only TLF text types.
•Do not give any TLF text instances an instance name in the Properties panel. This means that the text cannot be
manipluated with ActionScript.
Even with these limitations, you can still take advantage of the text layout capabilities of TLF text.
Working with character styles
Character styles are attributes that apply to a single character or a set of characters, rather than to whole paragraphs or
text containers. To set character styles, you work with the Character and Advanced Character sections of the Text
Property inspector.
The Character section of the Property inspector includes the following text properties:
Family The name of the font. (Note TLF text only supports OpenType and TrueType fonts.)
Style Regular, Bold, or Italic. Faux italic and faux bold styles are not available to TLF text objects. Some fonts may also
include additional styles, such as Black, BoldItalic, etc.
Size The size of the characters in pixels.
Leading The vertical space between lines of text. By default, Leading is expressed as a percentage but can also be
expressed in points.

262
USING FLASH PROFESSIONAL
Text
Last updated 1/16/2012
Color The color of the text.
Tracking The amount of space between the selected characters.
Highlight The highlight color.
Kerning Kerning: Adds or subtracts space between specific pairs of characters. TLF text automatically kerns characters
using the kerning information built in to most fonts.
When Asian text options are disabled, the Auto-kerning check box appears. When Auto-kerning is on, kerning
information in the font is used. When Auto-kerning is off, kerning information in the font is ignored and no kerning
is applied.
When Asian text options are enabled, Kerning can have these values:
•Auto: Uses the kerning information built in to the font for Latin characters. For Asian characters, applies kerning
only to those characters that have kerning information built in to them. Asian characters which do not have kerning
information are Kanji, Hiragana, and Katakana.
•On: Always turns on kerning.
•Off: Always turns off kerning.
Anti-alias There are three anti-aliasing modes to choose from
•Use Device Fonts: Specifies that the SWF file use the fonts installed on the local computer to display the fonts.
Typically, device fonts are legible at most font sizes. This option doesn’t increase the size of the SWF file. However,
it forces you to rely on the fonts installed on the user’s computer for font display. When using device fonts, choose
only commonly installed font families.
•Readability: Allows for improved legibility of fonts, particularly at small sizes. To use this option for a given text
block, embed the font used by the text object. For instructions, see “Embed fonts for consistent text appearance” on
page 282. (Do not use this option if you intend to animate text; instead, use the Animation mode.)
•Animation: Creates a smoother animation by ignoring alignment and kerning information. To use this option for
a given text block, embed the font used by the text block. For instructions, see “Embed fonts for consistent text
appearance” on page 282. For legibility, use 10-point or larger type when specifying this option.
Rotation Allows you to rotate individual characters. Specifying rotation for fonts that do not contain vertical layout
information can give undesirable results.
Rotation can have the following values:
•0° - Forces all characters to have no rotation.
•270° - The primary use for 270-° rotation is Roman text with Vertical orientation. If used on other types of text,
such as Vietnamese and Thai, this setting can give undesirable results
•Auto - Specifies a 90 degree counter-clockwise rotation for full width and wide characters only, as determined by
the Unicode properties of the character. This value is typically used with Asian text to rotate only those characters
that require rotation. This rotation is applied only in vertical text to return full width and wide characters to a
vertical orientation without affecting other characters.
Underline Places a horizontal line beneath the characters.
Strikethrough Places a horizontal line through the center of the characters.
Superscript Moves the characters slightly above the normal line of type and reduces the character size. Superscript can
also be applied using the Baseline Shift menu in the Advanced Character section of the TLF Text Property inspector.
Subscript Moves the characters slightly below the normal line of type and reduces the character size. Subscript can
also be applied using the Baseline Shift menu in the Advanced Character section of the TLF Text Property inspector.

263
USING FLASH PROFESSIONAL
Text
Last updated 1/16/2012
The Advanced Character section contains the following properties:
Link Use this field to create a text hyperlink. Enter the URL to load when the characters are clicked in the published
SWF file at runtime.
Target Used with the link property to specify the window the URL loads into. Target can have these values:
•_self - specifies the current frame in the current window.
•_blank - specifies a new window.
•_parent - specifies the parent of the current frame.
•_top - specifies the top-level frame in the current window.
•Custom - You can enter any custom string value you want into the Target field. You would do this in cases where
you know the custom name of a browser window or frame that will already be open when your SWf file is playing.
Case Allows you to specify how capital and lower-case characters are used. Case can have these values:
•Default: Uses each character’s default typographic case.
•Uppercase: Specifies that all characters use uppercase glyphs.
•Lowercase: Specifies that all characters use lowercase glyphs.
•Caps to Small Caps: Specifies that all capitalized characters use small uppercase glyphs. This option requires that
the selected font contains small caps glyphs. Adobe Pro fonts typically have these glyphs defined.
•Lowercase to Small Caps: Specifies that all lowercase characters use small uppercase glyphs. This option requires
that the selected font contains small caps glyphs. Adobe Pro fonts typically have these glyphs defined.
Hebrew and Perso-Arabic scripts such as Arabic do not distinguish between upper and lower case and are not affected
by this setting.
Digit Case Lets you specify which numeral style to apply when working with OpenType fonts that offer both lining
and old style numerical figures. Digit Case can have these values:
•Default: Specifies default digit case. The results are font-dependent; characters use the settings specified by the font
designer without any features applied.
•Lining: Lining (or “aligning”) figures are all-cap height and typically monospaced in text faces so that they line up
vertically on charts.
•Old Style: old style figures have what is considered to be a traditional, classic look. They are only available for certain
typefaces, sometimes as the regular numerals in a font, but more often within a supplementary or expert font. The
figures are proportionately spaced, eliminating the white spaces that result from monospaced lining figures,
especially around the numeral one. Old style figures are most often used within text. Unlike lining figures, they
blend in without disturbing the visual line of the body copy. They also work well in headlines since they're not as
intrusive as lining figures. Many typographic designers prefer them for most uses except charts and tables.
Digit Width Lets you specify whether to use proportional or tabular numerals when working with OpenType fonts that
offer both lining and old style numerical figures. Digit Width can have these values:
•Default: Specifies default digit width. Results are font-dependent; characters use the settings specified by the font
designer without any features applied.
•Proportional: Specifies proportional figures. Display typefaces usually contain proportional figures. The total
character widths of these figures are based on the width of the numeral itself plus a small amount of white space
around it. For example, an 8 takes up more width than a 1. Proportional figures can be either lining or old style.
Proportional figures don't align vertically and are unsuitable for use in tables, charts, or other vertical columns.

264
USING FLASH PROFESSIONAL
Text
Last updated 1/16/2012
•Tabular: Specifies tabular figures. Tabular numerals are numeric characters that each have the same total character
width. The character width is the width of the numeral itself plus the white space on both sides. Tabular spacing
(also called monospacing) allows numerals to align vertically in tables, financial statements, and other columns of
figures. Tabular figures are usually lining figures, meaning that they sit on the baseline and have the same height as
the capital letters.
Dominant Baseline Available only when Asian options are turned on in the panel options menu of the Text Property
inspector. Specifies the dominant (or primary) baseline for text that you explicitly select (as opposed to Leading Basis,
which determines the baseline alignment of an entire paragraph). Dominant Baseline can have these values:
•Auto: Resolved based on the selected Locale. This setting is the default.
•Roman: For text, the font and point size of the text determine this value. For graphic elements, the bottom of the
image is used.
•Ascent: Specifies an ascent baseline. For text, the font and point size of the text determine this value. For graphic
elements, the top of the image is used.
•Descent: Specifies a descent baseline. For text, the font and point size of the text determine this value. For graphic
elements, the bottom of the image is used.
•Ideographic Top: Aligns the small characters in a line to the specified position of the large character's em-box.
•Ideographic Center: Aligns the small characters in a line to the specified position of the large character's em-box.
•Ideographic Bottom: Aligns the small characters in a line to the specified position of the large character's em-box.
Alignment Baseline Available only when Asian options are turned on in the panel options menu of the Text Property
inspector. Lets you specify a different baseline for text or a graphic image within a paragraph. For example, if you insert
an icon into a line of text, you can specify an alignment using the top or bottom of the image relative to the text
baseline.
•Use Dominant: Specifies that the Alignment Baseline use the Dominant Baseline setting.
•Roman: For text, the font and point size of the text determine this value. For graphic elements, the bottom of the
image is used.
•Ascent: Specifies an ascent baseline. For text, the font and point size of the text determine this value. For graphic
elements, the top of the image is used.
•Descent: Specifies a descent baseline. For text, the font and point size of the text determine this value. For graphic
elements, the bottom of the image is used.
•Ideographic Top: Aligns the small characters in a line to the specified position of the large character's embox.
•Ideographic Center: Aligns the small characters in a line to the specified position of the large character's embox.
•Ideographic Bottom: Aligns the small characters in a line to the specified position of the large character's embox.
This setting is the default.
Ligatures Ligatures are typographic replacement characters for certain letter pairs, such as "fi" and "fl" that are
available in some fonts. Ligatures usually replace consecutive characters sharing common components. They are part
of a more general class of glyphs called contextual forms. With contextual forms, the specific shape of a letter depends
on context, such as surrounding letters or proximity to the end of a line. Note the Ligatures setting has no effect on
scripts where ligatures or connections between letters are the norm and are not font-dependent. These scripts include
Perso-Arabic, Devanagari, and some others.
The Ligatures property can have these values:

265
USING FLASH PROFESSIONAL
Text
Last updated 1/16/2012
A. No ligatures applied B. Minimum ligatures C. Common ligatures D. Uncommon ligatures E. Exotic ligatures
A script-based font with minimum ligatures (top) and common ligatures (bottom).
•Minimum: Minimum ligatures.
•Common: Common or “standard” ligatures. This setting is the default.
•Uncommon: Uncommon or “discretionary” ligatures.
•Exotic: Exotic or “historical” ligatures. Included in only a few font families.
Break Used to prevent selected words from breaking at the end of lines, such as proper names or words that could be
misread when hyphenated. The Break setting is also used to keep multiple characters or groups of words together, such
as clusters of initials, or a first and last name. Break can have these values:
•Auto: Line break opportunities are based on the Unicode character properties in the font. This setting is the default.
•All: Treats all characters in the selection as mandatory line break opportunities.
•Any: Treats any character in the selection as a line break opportunity.
•No Break: Treats no characters in the selection as line break opportunities.
Baseline Shift This control sets the Baseline Shift in percent or pixels. Positive values move the character's baseline
below the baseline of the rest of the line; negative values move it above the baseline. The Superscript or Subscript
attribute can also be applied from this menu. The default is 0. The range is +/- 720 points or percent.
Locale As a character property, the selected locale affects the shaping of glyphs via OpenType features in a font. For
example, languages like Turkish do not have ligatures such as fi and ff. Another example is the capital version of 'i' in
Turkish, which is an uppercase i with a dot and not 'I'.

266
USING FLASH PROFESSIONAL
Text
Last updated 1/16/2012
A separate flow-level Locale property is available in the Container and Flow section of the TLF Text Property inspector.
All characters inherit the Container and Flow Locale property unless it is set differently at the character level.
Working with paragraph styles
To set paragraph styles, you work with the Paragraph and Advanced Paragraph sections of the Text Property inspector.
The Paragraph section includes the following text properties:
Align This property can be used with horizontal or vertical text. Align to Start aligns the text along the starting edge
of the container (the left side for left-to-right text). Align to End aligns the text along the ending edge of the container
(the right side for left-to-right text).
When the Paragraph Direction of the current selection is right to left, the appearance of the alignment icons reverses
to indicate the correct direction.
Margins: Start and End These settings specify the width of the left and right margins in pixels. The default is 0.
Indent Specifies the indentation of the first word of the selected paragraph, in pixels.
Spacing: Before and After Specifies pixel values for space before and after a paragraph.
Note: Note: Unlike traditional page layout applications, the vertical space specified between paragraphs collapses when
values overlap. For example, you have two paragraphs, Para1 followed by Para2. Para1 has 12 pixels of space after it
(Space After), and Para2 has 24 pixels of space before it (Space Before). TLF produces 24 points between the paragraphs,
not 36. If a paragraph begins at the top of a column, no extra space is added before the paragraph. In this case, you can
use the first baseline offset options of the paragraph.
Text Justify Text Justify: Indicates how justification is applied to text. Text Justify can have these values:
•Letter Spacing: Distributes justification between letters.
•Word Spacing: Distributes justification between words. This setting is the default.
Direction Specifies paragraph direction. Direction settings are only available if Right-to-Left options are turned on in
Preferences. This setting applies only to the currently selected paragraph within the text container. A separate
Direction property can be set for the container in the Container and Flow section of the TLF Text Property inspector.
Direction can have these values:
•Left to Right: Left to Right text direction. Used for most languages. This setting is the default.
•Right to Left: Right-to-Left text direction. Used for Middle Eastern languages like Arabic and Hebrew, and
languages based on Arabic script such as Farsi or Urdu.
The Advanced Paragraph options are only available when Asian Options are turned on in Preferences or via the
Options menu of the TLF Text Property inspector.
The Advanced Paragraph section includes the following properties:
Mojikumi Sometimes called the justification rule, this property determines how paragraph justification is applied. The
justifiers that are applied based on this setting affect the spacing of punctuation and the leading. In the Roman version,
the comma and Japanese periods take a full character's width but only half in East Asian. Additionally, the spacing
between sequential punctuation marks becomes tighter, obeying traditional East Asian typographic conventions.
Another item to note in the example below is the leading, applied to the second line of the paragraphs. In the East Asian
version, the last two lines push left. In the Roman version, the second and following lines push left.

267
USING FLASH PROFESSIONAL
Text
Last updated 1/16/2012
Paragraphs with Roman (left) and East Asian (right) justification rules.
Mojikumi can have these values:
•Auto: Justification is applied based on the Locale selected in Character and Flow section of the Text Property
inspector. This setting is the default.
•Space: Use Roman justification rules.
•East Asian: Use East Asian justification rules.
Kinsoku Shori Type Sometimes called the justification style. this property specifies options for handling Japanese
kinsoku characters, which cannot appear at either the beginning or end of a line. Kinsoku Shori Type can have these
values:
•Auto: Resolved based on the Locale selected in the container and Flow section of the Text Property inspector. This
setting is the default.
•Prioritize Least Adjustment: Bases justification on either expanding or compressing the line, whichever gives a
result closest to the desired width.
•Push In Kinsoku: Bases justification on compressing kinsoku at the end of the line. Kinsoku expands if no kinsoku
occurs or if that end-of-line space is insufficient.
•Push Out Only: Bases justification on expanding the line.
Leading Model Leading Model is a paragraph format composed of allowed combinations of leading basis and leading
direction.
Leading Basis determines the baselines of two consecutive lines that are intended to be at the distance specified by line
height from each other. For example, for two consecutive lines in a paragraph with Roman leading basis, the line height
is the distance between their respective Roman baselines.
Leading Direction determines the direction in which line height is measured. If leading direction is Up, line height is
the distance of a line's baseline from the previous line's baseline. If leading direction is Down, line height is the distance
of a line's baseline from the next line's baseline.

268
USING FLASH PROFESSIONAL
Text
Last updated 1/16/2012
Leading Model can have these values:
•Roman; Up: Leading basis is Roman and leading direction is Up. In this case, the line height is the distance of a line's
Roman baseline from the previous line's Roman baseline.
•Ideographic Top; Up: Leading basis is Ideographic Top and leading direction is Up. In this case, the line height is
the distance of a line's Ideographic Top baseline from the previous line's Ideographic Top baseline.
•Ideographic Center; Up: Leading basis is Ideographic Center and leading direction is Up. In this case, the line height
is the distance of a line's Ideographic Center baseline from the previous line's Ideographic Center baseline.
•Ideographic Top; Down: Leading basis is Ideographic Top and leading direction is Down. In this case, the line
height is the distance of a line's Ideographic Top baseline from the next line's Ideographic Top baseline.
•Ideographic Center; Down: Leading basis is Ideographic Center and leading direction is Down. In this case, the line
height is the distance of a line's Ideographic Center baseline from the next line's Ideographic Center baseline.
•Auto: The Leading Model is resolved based on the Locale selected in the Container and Flow section of the Text
Property inspector. (Ideographic Top; Down for Japanese and Chinese and Roman; Up for all others. This setting
is the default value.
Container and flow properties
Working with Container and Flow properties
The container and Flow section of the TLF Text Property inspector controls options that affect the entire text
container. These proeprties include:
Behavior This option controls how the container expands as the amount of text increases. Behavior has these options:
•Single Line
•Multiline: This option is only available when the selected text is area text. It is not available if the selected text is
point text.
•Multiline No Wrap
•Password: Makes characters appear as dots instead of letters for password security. This option is only available in
the menu when the text type is Editable (for either point or area text). It is not available for the Read Only or
Selectable text types.
Max Chars The maximun number of characters to allow in the text container. Enabled only for text containers whose
type is set to Editable. The maximum value is 65535.
Alignment Specifies the alignment of text within the container. Settings include:
•Top: Vertically aligns text down from the top of the container.
•Center: Centers lines of text in the container
•Bottom: Vertically align lines of text up from the bottom of the container.
•Justify: Evenly distributes lines of text vertically between the top and bottom of the container.
Note: The Alignment options change appropriately when the text direction is set to Vertical.
Column Count Specifies the number of columns of text within the container. This property is only enabled for area
text containers. The default value is 1. The maximum value is 50.
Column Gutters Specifies the spacing (or gutter) between each column in the selected container. The default value is
20. The maximum value is 1000. The unit of measurment is set according to the Ruler Units set in Document Settings.

269
USING FLASH PROFESSIONAL
Text
Last updated 1/16/2012
Padding Specifies the width of the margins between the text and the selected container. Padding can be set for all 4
margins.
Border Color The color of the stroke around the outside of the container. The default is no border.
Border width The width of the stroke around the outside of the container. Enabled only when a border color is chosen.
The maximum value is 200.
Background Color The color of the background behind the text. The default is no color.
First Line Offset specifies the alignment of the first line of text with the top of the text container. For example, you can
make text fall a specific distance below the top of the container. First line offset is often referred to as first baseline offset
when working with Roman characters. In this case, the baseline is an imaginary line on which the majority of the
characters in a typeface rest. When working with TLF, baseline can refer to any of the following, depending on the
language being used: Roman, Ascent, Descent, Ideographic Top, Ideographic Center, and Ideographic Bottom.
First Line Offset can have these values:
•pt: Specify the distance in points between the baseline of the first line of text and the top inset of the frame. This
setting enables a field for specifying the point distance.
•Auto: Aligns the top of the line, based on the tallest glyph, with the top of the container.
•Ascent: The distance between the top inset of the text container and the baseline of the first line of text is the height
of the tallest glyph in the font (typically the "d" character in Roman fonts).
•Line Height: The distance between the top inset of the text container and the baseline of the first line of text is the
Line Height (leading) of the line.
Direction Used to specify either a left-to-right or right-to-left text direction for the selected container. Left-to-right is
used for most languages. Right-to-left is used for Middle Eastern languages such as Arabic and Hebrew, and languages
based on Arabic script such as Farsi or Urdu.
When applied at the paragraph level, direction controls the left-to-right or right-to-left text direction and the indents
and punctuation used by the paragraph. When applied at the container level, direction controls the column direction.
Paragraphs in the container inherit the direction attribute from the container.
Locale Sets the Locale property at the flow level. See “Working with character styles” on page 261.
Flowing text across multiple containers
Threading, or linking, between text containers is only available for TLF (Text Layout Framework) text and does not
apply to Classic text blocks. Text containers can be threaded from frame to frame, and inside symbols, as long as the
threaded containers are all within the same timeline.
To link 2 or more text containers:
1Use the Selection tool or Text tool to select a text container.
2Click the In port or the Out port of the selected text container. (The In-port and Out-port positions on the text
container are based on the container's flow direction and vertical or horizontal setting. For example, if the text flow
is Left-to-Right and horizontal , the In port is on the upper left and the Out port is on the lower right. If the text
flow is Right-to-Left, the In port is on the upper-right and the Out port is on the lower left.)
The pointer changes to the loaded text icon.
3Then do one of the following:
•To link to an existing text container, position the pointer over the target text container. Click the text container
to link the two containers.

270
USING FLASH PROFESSIONAL
Text
Last updated 1/16/2012
•To link to a new text container, click or drag on an empty part of the Stage. Clicking creates an object of the same
size and shape as the original; dragging lets you create a rectangular text container of any size. You can also add
a new container between 2 linked containers.
The containers are now linked and text can flow between them.
To unlink two text containers, do one of the following:
•Place the container in edit mode and then double-click the In-port or Out-port that you want to unlink. The text
reflows in the first of the two containers.
•Delete one of the linked text containers.
Note: After creating a linkage, the second text container acquires the flow direction and locale of the first container.
After unlinking, these settings persist in the second container instead of reverting to their pre-linkage settings. In Flash
Pro CS5.5, scrolling performance is faster than CS5, except for linked text containers.
Making text scrollable
You can make a TLF text container scrollable by adding a UIScrollBar component to the text container. The text
container must have the following settings:
•The Text Type must be set to Editable or Selectable.
•The Container and Flow Behavior must be set to Multiline or Multiline No Wrap.
Make a TLF text container scrollable:
•Drag an instance of the UIScrollBar component from the Components Panel onto the text container, closest to the
side of the container where you want to attach it.
The UIScrollBar component snaps to the side of the text container.
Make a text container scroll horizontally:
1Select the UIScrollBar component instance on the Stage.
2Set the Direction of the UIScrollBar component to Horizontal in the Component Parameters section of the
Property Inspector.
3Drag the UIScollBar component instance to the top or bottom of the text container.
The UIScrollBar component snaps to the top or bottom of the text container.
Using tab rulers (CS5.5 only)
You use the tab ruler to add tab stops to TLF text containers. The tab ruler appears when a TLF text container is in edit
mode. The tab ruler displays tab stops defined for the currently selected paragraphs. It also shows markers for
paragraph margins and first-line indent.
Hide or show tab ruler Choose Text > TLF Tab Ruler.
Set type of tab Double-click a marker or Shift-click several markers and select a type from the menu.
•Start, Center, or End tab Aligns the start, end, or center of the text to the tab stop.
•Decimal tab Aligns a character in the text to the tab stop. This character is usually a decimal point, shown by default
in the menu. To align to a dash or other character, enter it in the menu.
Add tab Click in the tab ruler. The tab marker appears at that location in the tab ruler.
Move tab Drag the tab marker to a new location. (To move it precisely, double-click its tab marker and enter a pixel
location for the marker.)

271
USING FLASH PROFESSIONAL
Text
Last updated 1/16/2012
Delete tab Drag its marker downward off the tab ruler until it disappears. (If the text is vertically aligned, drag the
marker to the left, toward the text, until it disappears.)
Change unit of measure Choose Modify > Document. Then select a unit from the Ruler Units menu in the dialog box.
Asian and right-to-left text
Creating Asian text
To work with properties that apply to Asian text, enable the Asian Text options by doing one of the following:
•Choose Show Asian Options from the panel options menu in the Property inspector while TLF text is selected on
the Stage.
•Select Show Asian Text Options in the Text section of Preferences (Edit > Preferences).
The Asian text properties include:
•Tate Chu Yoko: used in combination with Asian text where Roman characters must be rotated to a horizontal
orientation to display properly in a vertical layout.
Roman characters in vertical text without Tate Chu Yoko rotation (left) and with Tate Chu Yoko (right).
•Dominant Baseline
•Alignment Baseline
•Mojikumi
•Kinsoku Shori Type
•Leading Model
Working with classic text
About classic text
Classic text is the name for the older text engine in Flash Professional. The classic text engine is still available in Flash
Professional CS5 and later. Classic text may be preferable for certain types of content, such as for mobile devices, where
SWF file size must be kept to a minimum. However, in some cases, such as those requiring fine control over text layout,
you will want to use the new TLF text. For information about TLF text, see “Working with Text Layout Framework
(TLF) text” on page 258.
You specify whether an individual text object on the Stage uses the Classic or TLF text engine by selecting the text
object and then choosing the desired text engine in the Text Property inspector.

272
USING FLASH PROFESSIONAL
Text
Last updated 1/16/2012
Note: You can change the text engine used by a text object at any time. For infomration about converting Classic text to
TLF text, see “Converting between Classic and TLF text” on page 259.
You can include classic text in your Flash Pro applications in a variety of ways. You can create text fields containing
static text, which you create when you author the document. You can also create dynamic text fields, which display
updating text, such as stock quotes or news headlines, and input text fields, which allow users to enter text for forms
or surveys.
Flash Pro provides many ways to work with text. For example, you can orient text horizontally or vertically; set
attributes such as font, size, style, color, and line spacing; check spelling; transform text by rotating, skewing, or
flipping; link text; make text selectable; animate text; control font substitution; and use a font as part of a shared library.
Flash Pro documents can use Type 1 PostScript® fonts, TrueType®, and bitmap fonts (Macintosh only).
You can preserve rich text formatting in text fields, using HTML tags and attributes. When you use HTML text for the
content of a dynamic or input text field, the text can flow around an image, such as a SWF or JPEG file or a movie clip.
See Using HTML-formatted text in Learning ActionScript 2.0 in Adobe Flash.
Like movie clip instances, text field instances are ActionScript® objects that have properties and methods. By giving a
text field an instance name, you can manipulate it with ActionScript. However, you cannot write ActionScript code
inside a text instance, because text instances don’t have Timelines.
You can use ActionScript to format input and dynamic text, and to create scrolling text fields. ActionScript has events
for dynamic and input text fields that you can capture and use to trigger scripts. For information on using ActionScript
to control text, see Working with Text and Strings in Learning ActionScript 2.0 in Adobe Flash.
More Help topics
“About classic text fields” on page 272
About classic text fields
You can create three types of classic text fields: static, dynamic, and input.
•Static text fields display text that doesn’t change characters dynamically.
•Dynamic text fields display dynamically updating text, such as stock quotes or weather reports.
•Input text fields allow users to enter text in forms or surveys.
You can create horizontal text (with a left-to-right flow) or static vertical text (with either a right-to-left or left-to-
right flow). Note that the use of horizontal bidirectional languages (Hebrew, Arabic etc.) in classic text fields is not
supported. TLF fields should be used instead.
When creating static text, you can place text on a single line that expands as you type, or in a fixed-width field (for
horizontal text) or fixed-height field (for vertical text) that expands and wraps words automatically. When creating
dynamic or input text, you can place text on a single line, or create a text field with a fixed width and height.
All classic text fields support Unicode.
Flash Pro displays a handle on the corner of each text field to identify the type of text field:
•For static horizontal text that extends, a round handle appears at the upper-right corner of the text field.

273
USING FLASH PROFESSIONAL
Text
Last updated 1/16/2012
•For static horizontal text that has a fixed width, a square handle appears at the upper-right corner of the text field.
•For static vertical text that has right-to-left flow and extends, a round handle appears at the lower-left corner of the
text field.
•For static vertical text that has right-to-left flow and a fixed height, a square handle appears at the lower-left corner
of the text field.
•For static vertical text that has left-to-right flow and extends, a round handle appears at the lower-right corner of
the text field.
•For static vertical text that has left-to-right flow and a fixed height, a square handle appears at the lower-right corner
of the text field.
•For dynamic or input text fields that extend, a round handle appears at the lower-right corner of the text field.
•For dynamic or input text that has a defined height and width, a square handle appears at the lower-right corner of
the text field.
•For dynamic scrollable classic text fields, the round or square handle becomes solid black instead of hollow.
Shift-double-click the handle of dynamic and input text fields to create text fields that don’t expand when you enter
text on the Stage. This allows you to create a text field of a fixed size and fill it with more text than it can display to
create scrolling text.
After you use the Text tool to create a text field, use the Property inspector to specify the type of text field, and to
set values that control how the text field and its contents appear in the SWF file.

274
USING FLASH PROFESSIONAL
Text
Last updated 1/16/2012
Create and edit text fields
Text is horizontal by default. However, static text can also be aligned vertically.
You can use most common word-processing techniques to edit text in Flash Pro. Use the Cut, Copy, and Paste
commands to move text in a Flash Pro file as well as between Flash Pro and other applications.
More Help topics
“Setting classic text attributes” on page 276
Add text to the Stage
1Select the Text tool .
2Select Classic Text from the Text Engine menu at the top of the Text Property inspector.
3In the Property inspector (Window > Properties), select a text type from the pop-up menu to specify the type of
text field:
Dynamic Text Creates a field that displays dynamically updating text.
Input Text Creates a field in which users can enter text.
Static Text Creates a field that cannot update dynamically.
4For static text only: In the Text Property inspector, select a direction for text orientation and flow from the
Orientation Of Text menu. (Horizontal is the default setting.)
5On the Stage, do one of the following:
•To create a text field that displays text in a single line, click where you want the text to start.
•To create a text field with a fixed width (for horizontal text) or fixed height (for vertical text), position the pointer
where you want the text to start and drag to the desired width or height.
Note: If you create a text field that extends past the edge of the Stage as you type, the text isn’t lost. To make the handle
accessible again, add line breaks, move the text field, or select View
> Pasteboard.
6Select text attributes in the Property inspector.
Change the size of a text field
❖Drag the text field’s resize handle.
When text is selected, a blue bounding box lets you resize the text field by dragging one of its handles. Static text fields
have four handles that let you resize the text field horizontally. Dynamic text fields have eight handles that let you resize
the text field vertically, horizontally, or diagonally.
Switch a text field between fixed-width (or fixed-height) and extending
❖Double-click a resize handle.
Select characters in a text field
1Select the Text tool .
2Do one of the following:
•Drag to select characters.
•Double-click to select a word.
•Click to specify the beginning of the selection, and Shift-click to specify the end of the selection.

275
USING FLASH PROFESSIONAL
Text
Last updated 1/16/2012
•Press Control+A (Windows) or Command+A (Macintosh) to select all the text in the field.
Select text fields
❖Using the Selection tool , click a text field. Shift-click to select multiple text fields.
Set dynamic and input text options
1Click in an existing dynamic text field.
2In the Property inspector, make sure Dynamic or Input is displayed in the pop-up menu.
3Enter an instance name for the text field.
4Specify the height, width, and location of text.
5Select the font and style.
6In the Paragraph section of the Property inspector, specify one of the following options from the Behavior menu:
Single line Displays the text as one line.
Multiline Displays the text in multiple lines.
Multiline No Wrap Displays text in multiple lines that break only if the last character is a breaking character, such as
Enter (Windows) or Return (Macintosh).
7To enable users to select dynamic text, click Selectable . Deselect this option to prevent users from selecting
dynamic text.
8To preserve rich text formatting (such as fonts and hyperlinks) with the appropriate HTML tags, click Render Text
As HTML
.
9To display a black border and white background for the text field, click Show Border Around Text .
10 (Optional) In the Var box, enter the variable name for the text field. (Use this option only when authoring for
Macromedia Flash Player 5 from Adobe or earlier.)
Beginning with Macromedia Flash MX (version 6), you assign the text field an instance name using the Property
inspector. Although you can use the variable name method with dynamic text fields for backwards compatibility to
Macromedia Flash 5 and earlier versions, Adobe doesn't recommend this, because you can't control other text field
properties, or apply style sheet settings.
11 (Optional) Click Embed to open the Font Embedding dialog box. for more information, see “Embed fonts for
consistent text appearance” on page 282.
Set preferences for vertical text
1Select Edit > Preferences (Windows) or Flash > Preferences (Macintosh) and click the Text category in the
Preferences dialog box.
2Under Vertical Text, set any of these options:
Default Text Orientation Automatically gives new text fields vertical orientation.
Right to Left Text Flow Makes lines of vertical text fill the page from right to left.
No Kerning Prevents kerning from being applied to vertical text. (Kerning remains enabled for horizontal text.)

276
USING FLASH PROFESSIONAL
Text
Last updated 1/16/2012
Setting classic text attributes
About classic text attributes
Note: To use Cascading Style Sheets (CSS), use ActionScript to apply a stylesheet. For more information, see Applying
cascading style sheets in the ActionScript 3.0 Developer’s Guide.
You can set the font and paragraph attributes of text. Font attributes include font family, point size, style, color, letter
spacing, autokerning, and character position. Paragraph attributes include alignment, margins, indents, and line
spacing.
For static text, font outlines are exported in a published SWF file. For horizontal static text, you can use device fonts
instead of exporting font outlines.
For dynamic or input text, Flash Pro stores the names of the fonts, and Flash Player locates identical or similar fonts
on the user’s system. You can also embed font outlines in dynamic or input text fields. Embedding font outlines can
increase file size, but it ensures that users have the correct font information.
When creating new text, Flash Pro uses the text attributes that are currently set in the Property inspector. When you
select existing text, use the Property inspector to change font or paragraph attributes, and to direct Flash Pro to use
device fonts rather than embedding font outline information.
More Help topics
“Create and edit text fields” on page 274
Set a font, point size, style, and color
1Using the Selection tool , select one or more text fields on the Stage.
2In the Property inspector (Window > Properties), select a font from the Family pop-up menu, or enter a font name.
Note: The _sans, _serif, _typewriter, and device fonts can be used only with static horizontal text.
3Enter a value for the font size.
Font size is set in points, regardless of the current ruler units.
4To apply bold or italic style, select the style from the Style menu.
If the selected font does not include a bold or italic style, the style does not appear in the menu. You can select the Faux
Bold or Faux Italic styles from the Text menu (Text
> Style > Faux Bold or Faux Italic). Faux Bold and Faux Italic styles
are added to the Regular style by the operating system. The faux styles may not look as good as fonts that include a true
bold or italic style.
5
Select a font rendering method from the Anti-Aliasing pop-up menu (directly below the Color control) to optimize text.
6To select a fill color for text, click the Color control and do one of the following:
•Select a color from the Color menu.
•Type a color’s hexadecimal value in the box in the upper-left corner.
•Click Color Picker and select a color from the system color picker. (When setting the text color, use only solid
colors, not gradients. To apply a gradient to text, break the text apart and convert the text to its component lines
and fills.)
Set letter spacing, kerning, and character position
Letter spacing inserts a uniform amount of space between characters. Use letter spacing to adjust the spacing of
selected characters or entire blocks of text.

277
USING FLASH PROFESSIONAL
Text
Last updated 1/16/2012
Kerning controls the spacing between pairs of characters. Many fonts have built-in kerning information. For example,
A and V are often closer together than A and D. Flash Pro provides horizontal tracking and kerning (for horizontal
text) and vertical tracking and kerning (for vertical text).
For vertical text, you can disable kerning by default in Flash Preferences. If you do this and leave the kerning option
selected in the Property inspector, kerning is applied to horizontal text only.
1Using the Text tool , select one or more sentences, phrases, or text fields on the Stage.
2In the Property inspector (Window > Properties), set the following options:
•To specify letter spacing (tracking and kerning), enter a value in the Letter Spacing field.
•To use a font’s built-in kerning information, select Auto-Kern.
•To specify superscript or subscript character position, click the Toggle Superscript or Toggle Subscript button. The
default position is Normal. Normal places text on the baseline, Superscript places text above the baseline
(horizontal text) or to the right of the baseline (vertical text), and Subscript places text below the baseline
(horizontal text) or to the left of the baseline (vertical text).
Set alignment, margins, indents, and line spacing
Alignment determines the position of each line of text in a paragraph relative to edges of the text field. Horizontal text
is aligned relative to the left and right edges of the text field, and vertical text is aligned relative to the top and bottom
edges of the text field. Text can be aligned to one edge of the text field, centered in the text field, or aligned to both
edges of the text field (full justification).
Margins determine the amount of space between the border of a text field and its text. Indents determine the distance
between the margin of a paragraph and the beginning of the first line.
Line spacing determines the distance between adjacent lines in a paragraph. For vertical text, line spacing adjusts the
space between vertical columns.
Work with horizontal text
1Using the Text tool , select one or more text fields on the Stage.
2In the Property inspector (Window > Properties), set the following options:
•To set alignment, click Left, Center, Right, or Full Justification.
•To set the left or right margin, enter values in the Margins text fields in the Paragraph section of the Property
inspector.
•To specify indents, enter a value in the Indentation text field in the Paragraph section of the Property inspector.
•To specify line spacing, enter a value in the Line Spacing text field in the Paragraph section of the Property
inspector.
Work with vertical text
1Using the Text tool , select one or more text fields on the Stage.
2In the Property inspector (Window > Properties), set the following options:
•To set alignment, click Top, Center, Bottom, or Full Justification.
•To set the top or bottom margin, enter values in the Margins fields in the Paragraph section of the Property
inspector.
•To specify indents, enter a value in the Indentation text field in the Paragraph section of the Property inspector.

278
USING FLASH PROFESSIONAL
Text
Last updated 1/16/2012
•To specify line spacing, enter a value in the Line Spacing text field in the Paragraph section of the Property
inspector.
Classic text anti-aliasing
Anti-aliasing lets you smooth the edges of onscreen text. The anti-aliasing options are particularly effective for
rendering smaller font sizes. When anti-aliasing is enabled, all text in the current selection is affected. Anti-aliasing
operates with text of all point sizes in the same way.
Anti-aliasing is supported for static, dynamic, and input text if the user has Flash® Player 7 or later. It is supported only
for static text if the user has an earlier version of Flash Player.
When using small text in a Flash Pro document, keep in mind the following guidelines:
•Sans serif text, such as Helvetica or Arial, appears clearer at small sizes than serif text.
•Some type styles, such as bold and italic, can make text less legible at small sizes.
•In some cases, text appears somewhat smaller than text of the same point size in other applications.
The Flash Pro text rendering engine provides clear, high-quality text rendering in Flash Pro (FLA) documents and
published SWF files. The Anti-alias for Readability setting makes text more legible, particularly at small font sizes.
Custom anti-aliasing lets you specify the thickness and sharpness of fonts used in individual text fields.
High quality anti-aliasing is automatically enabled whenever you publish to Flash Player 8 or later and Anti-Alias For
Readability or Custom Anti-Alias is selected. Anti-Alias For Readability may cause a slight delay when you load Flash
Pro SWF files, especially if you are using four or five different character sets in the first frame of a Flash Pro document.
High-quality anti-aliasing may also increase Flash Player’s memory usage. Using four or five fonts, for example, can
increase memory usage by approximately 4 MB.
When the publish setting of your file is Adobe® Flash® Player 8 or later, and Anti-Alias For Readability or Custom Anti-
Alias is your chosen anti-aliasing option, high-quality anti-aliasing applies to the following:
•Untransformed text that is scaled or rotated
Note: Although the text can be scaled or rotated, it must remain flat (that is, untransformed). For example, if you skew
the fonts or otherwise manipulate the font shapes, Anti-Alias for Readability is automatically disabled.
•All font families (including bold, italic, and so on)
•Display sizes of up to 255 points
•Exporting to most non-Flash Pro file formats (GIF or JPEG)
High-quality anti-aliasing is disabled under the following conditions:
•Flash Player 7 or earlier is the selected version of Flash Player.
•An anti-aliasing option other than Anti-Alias for Readability or Custom Anti-Alias is selected.
•Text is skewed or flipped.
•The FLA file is exported to a PNG file.
Work with text anti-aliasing
Flash Pro provides improved font rasterization that lets you specify the anti-aliasing properties for fonts. The
improved anti-aliasing capabilities are available only for SWF files published for Flash Player 8 or later. If you are
publishing files for earlier versions of Flash Player, you can only use the Anti-Alias For Animation feature.

279
USING FLASH PROFESSIONAL
Text
Last updated 1/16/2012
Note: Anti-aliasing requires that the fonts used by a text field are embedded. If you do not embed the fonts, then the text
field may appear blank for classic text. If changing the Anti-Alias setting to Use Device Fonts causes the text to appear
incorrectly, then you need to embed the fonts. Flash automatically embeds the fonts for text that already exists in a text
field created on the Stage. However, if you plan to allow the text to change at runtime, you should embed the fonts
manually. For instructions, see “Embed fonts for consistent text appearance” on page 282.
Choose an anti-aliasing option for selected text
❖In the Property inspector, choose one of the following options from the Anti-Aliasing pop-up menu:
Use Device Fonts Specifies that the SWF file use the fonts installed on the local computer to display the fonts.
Typically, device fonts are legible at most font sizes. Although this option doesn’t increase the size of the SWF file, it
forces you to rely on the fonts installed on the user’s computer for font display. When using device fonts, choose only
commonly installed font families.
You cannot use device fonts with rotated or vertical classic text. If you want to use rotated or vertical classic text, select
another anti-alias mode and embed the fonts used by the text field.
Bitmap Text (No Anti-Alias) Turns off anti-aliasing and provides no text smoothing. The text is displayed using sharp
edges, and the resulting SWF file size is increased because the font outlines are embedded in the file. Bitmap text is
sharp at the exported size, but scales poorly.
Anti-Alias For Animation Creates a smoother animation by ignoring alignment and kerning information. This option
creates a larger SWF file because font outlines are embedded. For legibility, use 10-point or larger type when specifying
this option.
Anti-Alias For Readability Uses the Flash text rendering engine to improve the legibility of fonts, particularly at small
sizes. This option creates a larger SWF file because font outlines are embedded. To use this option, you must publish
to Flash Player 8 or later. (Do not use this option if you intend to animate text; instead, use Anti-Alias For Animation.)
Custom Anti-Alias Lets you modify the font’s properties. Use Sharpness to specify the smoothness of the transition
between the text edges and the background. Use Thickness to specify how thick the font anti-aliasing transition
appears. (Larger values cause the characters to look thicker.) Specifying Custom Anti-Alias creates a larger SWF file
because font outlines are embedded. To use this option, you must publish to Flash Player 8 or later.
Upgrade content for Flash 8 or later anti-aliasing
1Open a FLA file created for use with Flash Player 7 or earlier.
2In the Publish Settings dialog box (File > Publish Settings), select Flash Player 8 or Flash Player 9 from the Version
pop-up menu.
3Select the text field to apply the Anti-Alias For Readability or Custom Anti-Alias option to.
4In the Property inspector, select Anti-Alias For Readability or Custom Anti-Alias from the Font Rendering Method
pop-up menu.
Make classic text selectable
Static horizontal text or dynamic text can be selectable by users viewing your Flash Pro application. (Input text is
selectable by default.) After selecting text, the user can copy, cut, and then paste the text into a separate document.
1Using the Text tool , select the horizontal text that you want to make selectable.
2In the Property inspector (Window > Properties), select Static Text or Dynamic Text.
3Click Selectable .

280
USING FLASH PROFESSIONAL
Text
Last updated 1/16/2012
Transforming text
You can create text effects by transforming text fields. For example, you can rotate, skew, flip, and scale text fields.
(When you scale a text field as an object, the Property inspector does not reflect increases or decreases in point size.)
The text in a transformed text field can still be edited, although severe transformations may make it difficult to read.
You can also animate text by using Timeline effects. For example, you can make text bounce, fade in or out, or explode.
More Help topics
“Transforming objects” on page 118
“Transforming and combining graphic objects” on page 118
Break Classic text apart
You can break apart Classic text to place each character in a separate text field. Then you can quickly distribute the text
fields to separate layers and animate each field. However, you cannot break apart text in scrollable classic text fields.
You can also convert the text to its component lines and fills to reshape, erase, and otherwise manipulate it as a graphic.
As with any other shape, you can individually group these converted characters, or change them to symbols and
animate them. After you convert text to graphic lines and fills, you can no longer edit the text.
Note: The Break Apart command for Classic text applies only to outline fonts such as TrueType fonts. Bitmap fonts
disappear from the screen when you break them apart. PostScript fonts can be broken apart only on Macintosh systems.
1Using the Selection tool , click a text field.
2Select Modify > Break Apart.
Each character in the selected text is placed in a separate text field. The text remains in the same position on the Stage.
3Select Modify > Break Apart again to convert the characters to shapes on the Stage.
More Help topics
“Distributing objects to layers for tweened animation” on page 194
“Timelines and Animation” on page 179
Create a text hyperlink
1Select text or a text field:
•Use the Text tool to select text in a text field.
•To link all the text in a text field, use the Selection tool to select a text field.
2In the Link text field in the Options section of the Property inspector (Window > Properties), enter the URL to
which you want to link the text field.
Note: To create a link to an e-mail address, use the mailto: URL. For example, enter mailto:adamsmith@example.com.
Create scrolling classic text
There are several ways to create scrolling text in Flash Pro:
•Make dynamic or input text fields scrollable by using menu commands or the text field handle. This does not add
a scrollbar to the text field, but instead allows the user to scroll the text with the arrow keys (for text fields also set
to Selectable) or the mouse wheel. The user must first click the text field to give it focus.

281
USING FLASH PROFESSIONAL
Text
Last updated 1/16/2012
•Add an ActionScript 3.0 UIScrollbar component to a text field to make it scroll. For more information, see “Use the
UIScrollBar component” in Using ActionScript 3.0 Components.
•In ActionScript 3.0, use the scrollH and scrollV properties of the TextField class.
•Add an ActionScript 2.0 ScrollBar component to a text field to make it scroll. For more information, see
“UIScrollBar Component” in the ActionScript 2.0 Components Language Reference.
•In ActionScript 2.0, use the TextField object’s scroll and maxscroll properties to control vertical scrolling and
the hscroll and maxhscroll properties to control horizontal scrolling in a text field. See Example: Creating
scrolling text in Learning ActionScript 2.0 in Adobe Flash.
Make dynamic text scrollable
❖Do one of the following:
•Shift-double-click the lower-right handle on the dynamic text field. The handle will turn from an unfilled square
(non-scrollable) to a filled square (scrollable).
•Using the Selection tool , select the dynamic text field and then select Text > Scrollable.
•Select the dynamic text field with the Selection tool. Right-click (Windows) or Control-click (Macintosh) the
dynamic text field and select Scrollable from the context menu.
Masking device font text
You can use a movie clip to mask device font text in another movie clip. (You cannot mask device fonts by using a
mask layer on the Stage.) For this movie clip mask to function, the user must have Flash Player 6 (6.0.40.0) or later.
When you use a movie clip to mask device font text, Flash Pro uses the rectangular bounding box of the mask as the
masking shape. That is, if you create a nonrectangular movie clip mask for device font text in the Flash Pro authoring
environment, the mask that appears in the SWF file takes the shape of the rectangular bounding box of the mask, not
the shape of the mask itself.
For more information on using a movie clip as a mask, see Using movie clips as masks in Learning ActionScript 2.0 in
Adobe Flash.
For a sample of device font masking, see the Flash Samples web page at www.adobe.com/go/learn_fl_samples.
Download and decompress the Samples zip file and navigate to the Masking\DeviceFontMasking folder to access the
sample.
Unicode text encoding in SWF applications
Flash Player 7 and later support Unicode text encoding for SWF files in Flash Player format. This support greatly
enhances your ability to use multilanguage text in your SWF files, such as two languages within a single text field. Any
user with Flash Player 7 or later can view multilanguage text in a Flash Player 7 or later application, regardless of the
language used by the operating system running the player.
More Help topics
“Creating multilanguage text” on page 289
Check spelling
You can check spelling in text throughout your Flash Pro document. You can also customize the spell checker.

282
USING FLASH PROFESSIONAL
Text
Last updated 1/16/2012
Use the spell checker
1Select Text > Check Spelling to view the Check Spelling dialog box.
The box in the upper-left corner identifies words not found in the selected dictionaries, and also identifies the type of
element that contains the text (such as a text field or frame label).
2Do one of the following:
•Click Add To Personal to add the word to your personal dictionary.
•Click Ignore to leave the word unchanged. Click Ignore All to leave all occurrences of the word in the document
unchanged.
•Enter a word in the Change To box or select a word from the Suggestions scroll list. Then click Change to change
the word or click Change All to change all occurrences of the word in the document.
•Click Delete to delete the word from the document.
3To end the spelling check, do one of the following:
•Click Close to end spelling before Flash Pro reaches the end of the document.
•Continue checking spelling until you see a notification that Flash Pro has reached the end of the document, then
click No to end spelling checking. (Click Yes to continue the spelling check at the beginning of the document.)
Customize the spelling checker
1Do one of the following:
•Select Text > Spelling Setup. (Use this option if you have not used the Check Spelling feature before.)
•In the Check Spelling dialog box (Text > Check Spelling), click Setup.
2Set any of the following options:
Document Options Use these options to specify which elements are to be checked.
Dictionaries Lists the built-in dictionaries. You must select at least one dictionary to enable spelling checking.
Personal Dictionary Enter a path or click the folder icon and browse to a document to use as a personal dictionary.
(You can modify this dictionary.)
Edit Personal Dictionary Adds words and phrases to your personal dictionary. In the Personal Dictionary dialog box,
enter each new item on a separate line in the text field.
Checking Options Use these options to control how Flash Pro handles specific types of words and characters when
checking spelling.
Embed fonts for consistent text appearance
When your published SWF files play on computers across the Internet, there is no guarantee that the fonts you used
are available on those machines. To ensure that your text maintains the appearance you intended, you can embed
entire fonts or specific subsets of characters from a font. By embedding the characters in your published SWF file, you
make the font available to the SWF file regardless of the computer that plays the file. Once a font is embedded, you can
use it anywhere in your published SWF file.

283
USING FLASH PROFESSIONAL
Text
Last updated 1/16/2012
Beginning with Flash Professional CS5, Flash automatically embeds all characters used by any text objects that contain
text. Creating an embedded font symbol yourself allows your text objects to use additional characters, such as when
accepting user input at runtime or when editing text with ActionScript. Embedded fonts are not necessary for text
objects that have the Anti-alias property set to Use Device Fonts. You specify which fonts you want embedded in your
FLA file, and Flash embeds the fonts when you publish a SWF file.
There are 4 common situations in which to ensure correct text appearance by embedding fonts in a SWF file:
•When creating text objects in your FLA file that are part of a design that requires consistent text appearance.
•When you are using an anti-alias option other than Use Device Fonts, you must embed the fonts or text may
disapppear or appear incorrectly. See “Work with text anti-aliasing” on page 278.
•When generating text dynamically with ActionScript in your FLA file.
When creating dynamic text with ActionScript, you must specify in ActionScript which font to use.
•When your SWF file contains text objects and may be loaded by another SWF file that does not have the required
fonts embedded.
The Font Embedding dialog box allows you to:
•Manage all embedded fonts in one place.
•Create font symbols for each embedded font.
•Select custom ranges of embedded characters for a font as well as pre-defined ranges.
•
Work with both Text Layout Framework (TLF) text and Classic text in the same file and use embedded fonts with each.
•Continue to work with Flash Professional CS4 and earlier FLA files that contain fonts embedded with the older
method that associated the embedded characters with a specific text object. When you open an older FLA file, Flash
Professional CS5 and later allow you to edit these older embedded fonts with the Font Embedding dialog box.
To embed characters from a font in a SWF file:
1With your FLA file open in Flash, open the Font Embedding dialog box by doing one of the following:
•Choose Text > Font Embedding.
•From the Library panel options menu, choose Add Font.
•Right-click in empty space in the Library panel tree view, and choose New Font.
•In the Text Property inspector, click on the Embed button.
2If your font is not already selected in the Font Embedding dialog box, click the Add (+) button to add a new
embedded font to your FLA file.
When you open the Font Embedding dialog box from the Library or the Text Property inspector, a font item
appears automatically in the dialog box.
3In the Options tab, select the Family and Style of the font you want to embed.
If you opened the Font Embedding dialog box from the Text Property inspector or from the Library panel, the font
used by the current selection appears automatically in the dialog box.
4In the Character Ranges section, select the character ranges you want to embed. The more characters you embed,
the larger your published SWF file will be.
5If you want to embed any additional specific characters, enter them in the “Also include these characters” field.
6To enable the embedded font symbol to be accessed with ActionScript code, select Export for ActionScript in the
ActionScript tab.

284
USING FLASH PROFESSIONAL
Text
Last updated 1/16/2012
7If you selected Export for ActionScript, select an outline format also. For TLF text containers, select TLF (DF4) as
the Outline Format. For Classic text containers, select Classic (DF3).
You must create separate embedded font symbols for use in TLF and Classic text containers. The TLF (DF4) outline
format is not available for PostScript Type 1 fonts. TLF (DF4) requires Flash Player version 10 or later.
8If you want to use the font symbol as a shared asset, select options in the Sharing section of the ActionScript tab.
For more information about using shared assets, see “Sharing library assets at runtime” on page 164.
To edit the parameters of an embedded font symbol:
1Do one of the following:
•Right-click the font symbol in the Library and choose Properties.
•Select a text container on the Stage and click the Embed button in the Character section of the Property
inspector.
•Select the font symbol in the Library and choose Edit Properties from the panel options menu.
•Double-click the icon of the font symbol in the Library.
•Choose Text > Font Embedding, and then select the font symbol you want to edit in the tree view on the left of
the dialog.
2Make changes in the Font Embedding dialog box and click OK.
The tree view in the Font Embedding dialog box displays all font symbols in the current FLA file, organized by font
family. You can edit any or all of the fonts while the dialog is open, and the changes will be committed when you press
the OK button.
Note: If you save a Flash Professional CS5 FLA file to CS4 format, font symbols are converted to CS4 Font Symbols which
will embed the entire range of characters in a font, not a selected sub-range. All TLF text blocks are converted to Classic
text fields. Font symbols are saved in DefineFont3 format to ensure compatibility with Classic text. Each CS4 font symbol
will contain an entire copy of the embedded font information for each font it uses. Saving in CS4 format also causes the
embedding information to move into any text objects that referenced font symbols, as this is how embedded font
information was stored in Flash Pro CS4 and earlier versions.
Additional resources
•Article: Formatting text for localized Flash projects: Font embedding for multiple languages (Adobe.com)
Multilanguage text
About multilanguage text
You can configure a FLA file to display text in different languages depending on the language of the operating system
that plays the Flash Pro content.
Multilanguage text in Flash
You can include multilanguage text in your document in the following ways:
•The Strings panel lets localizers edit strings in a central location in Flash Pro or in external XML files with their
preferred software or translation memory. Flash supports multiline strings in both the Strings panel and the XML
files.

285
USING FLASH PROFESSIONAL
Text
Last updated 1/16/2012
•Select which character sets to embed in your applications, which limits the number of character glyphs in your
published SWF file and reduces its size.
•Use a Western-style keyboard to create text on the Stage in Chinese, Japanese, and Korean.
•If you have Unicode fonts installed on your system, enter text directly into a text field. Because the fonts are not
embedded, your users must also have Unicode fonts.
Other, less common methods of including multilingual text in your Flash Pro documents include the following:
•Include an external text file in a dynamic or input text field by using the #include action.
•Load external text or XML files into a Flash Pro application at runtime by using the loadVariables or getURL
actions, or the LoadVars or XML objects.
•Enter Unicode escape characters in the string value for a dynamic or input text field variable.
•Create an embedded font as a symbol in your Library.
For Unicode-encoded text to appear correctly, users must have access to fonts containing the glyphs (characters)
used in that text.
For a sample of multilingual content, see the Flash Samples page at www.adobe.com/go/learn_fl_samples. Download
and decompress the Samples zip file and navigate to the Text\MultilingualContent folder to access the sample.
More Help topics
“Workflow for authoring multilanguage text with the Strings panel” on page 289
“Creating multilanguage documents by using text variables” on page 297
“Multilanguage text and ActionScript” on page 296
“Create multilanguage documents using the #include action” on page 297
“Use ActionScript to load external files” on page 296
“Non-Unicode external files” on page 287
“Embed fonts for consistent text appearance” on page 282
About fonts for Unicode-encoded text
When you use external files that are Unicode encoded, your users must have access to fonts containing all the glyphs
used in your text files. By default, Flash Pro stores the names of fonts used in dynamic or input text files. During SWF
file playback, Flash Player 7 (and earlier versions) looks for those fonts on the operating system running the player.
If the text in a SWF file contains glyphs that the specified font does not support, both Flash Player 7 and Flash Player
8 attempt to locate a font on the user’s system that supports those glyphs. The player cannot always locate an
appropriate font. This behavior depends on the fonts available on the user’s system, as well as on the operating system
running Flash Player.
XML font embedding table
When you select ranges of fonts to embed in a FLA file, Flash Pro uses the UnicodeTable.xml file to determine which
characters to embed. The UnicodeTable.xml file contains ranges of characters required for various languages and
resides in the user configuration folder of your computer. The file is located in the following directories:
•Windows: <boot drive>\Documents and Settings\<user>\Local Settings\Application
Data\Adobe\Flash<version>\<language>\Configuration\FontEmbedding\

286
USING FLASH PROFESSIONAL
Text
Last updated 1/16/2012
•Macintosh: <user>/Library/Application Support/Adobe/Flash
<version>/<language>/Configuration/FontEmbedding/
The font set groupings are based on the Unicode Blocks as defined by the Unicode Consortium. To provide a simpler
workflow, when you select a particular language, all related glyph ranges are embedded even if they are scattered into
disjointed groupings.
For example, if you select Korean, the following Unicode character ranges are embedded:
3131-318E Hangul symbols
3200-321C Hangul specials
3260-327B Hangul specials
327F-327F Korean symbol
AC00-D7A3 Hangul symbols
If you select Korean + CJK, a larger font set is embedded:
3131-318E Hangul symbols
3200-321C Hangul specials
3260-327B Hangul specials
327F-327F Korean symbol
4E00-9FA5 CJK symbols
AC00-D7A3 Hangul symbols
F900-FA2D CJK symbols
For more information about specific Unicode ranges for different writing systems, see the Unicode 5.2.0 specification.
The following table gives more details about the font selections for embedded fonts:
Range Description
Uppercase [A–Z] Basic Latin uppercase glyphs, plus the space character 0x0020.
Lowercase [a–z] Basic Latin lowercase glyphs, plus the space character 0x0020.
Numerals [0–9] Basic Latin numeral glyphs
Punctuation [!@#%...] Basic Latin punctuation
Basic Latin Basic Latin glyphs within the Unicode range 0x0020 to 0x007E.
Japanese Kana Hiragana and Katakana glyphs (including half-width forms)
Japanese Kanji – Level 1 Japanese Kanji characters
Japanese (All) Japanese Kana and Kanji (including punctuation and special characters)
Basic Hangul Most commonly used Korean characters, Roman characters, punctuations, and special
characters/symbols
Hangul (All) 11,720 Korean characters (sorted by Hangul syllables), Roman characters, punctuations, and
special characters/symbols)
Traditional Chinese – Level 1 5000 most commonly used Traditional Chinese characters used in Taiwan
Traditional Chinese (All) All Traditional Chinese characters used in Taiwan and Hong Kong, and punctuations

287
USING FLASH PROFESSIONAL
Text
Last updated 1/16/2012
Non-Unicode external files
If you load external text or XML files that are not Unicode-encoded into a Flash Player 7 application, the text in the
external files does not appear correctly when Flash Player attempts to show them as Unicode. To tell Flash Player to
use the traditional code page of the operating system that is running the player, add the following code as the first line
of code in the first frame of the Flash Pro application that is loading the data:
system.useCodepage = true;
Set the system.useCodepage property only once in a document; do not use it multiple times in a document to make
the player interpret some external files as Unicode and some as other encoding, because this can yield unexpected
results.
If you set the system.useCodepage property to true, the traditional code page of the operating system running the
player must include the glyphs used in your external text file for the text to appear. For example, if you load an external
text file that contains Chinese characters, those characters do not appear on a system that uses the CP1252 code page,
because that code page does not include Chinese characters. To ensure that users on all platforms can view external
text files used in your Flash Pro applications, encode all external text files as Unicode and leave the
system.useCodepage property set to false by default. This causes Flash Player to interpret the text as Unicode. For
more information, see useCodepage (System.useCodepage property) in the ActionScript 2.0 Language Reference.
Simplified Chinese – Level 1 6000 most commonly used Simplified Chinese characters used in mainland of China and
punctuations
Chinese (All) All Traditional and Simplified Chinese characters and punctuations
Thai All Thai glyphs
Devanagari All Devanagari glyphs
Latin I Latin-1 Supplement range 0x00A1 to 0x00FF (including punctuation, superscripts and
subscripts, currency symbols, and letter-like symbols)
Latin Extended A Latin Extended-A range 0x0100 to 0x01FF (including punctuation, superscripts and
subscripts, currency symbols, and letter-like symbols)
Latin Extended B Latin Extended-B range 0x0180 to 0x024F (including punctuation, superscripts and
subscripts, currency symbols, and letter-like symbols)
Latin Extended Add'l Latin Extended Additional range 0x1E00 to 0x1EFF (including punctuation, superscripts and
subscripts, currency symbols, and letter-like symbols)
Greek Greek and Coptic, plus Greek Extended (including punctuation, superscripts and subscripts,
currency symbols, and letter-like symbols)
Cyrillic Cyrillic (including punctuation, superscripts and subscripts, currency symbols, and letter-like
symbols)
Armenian Armenian plus ligatures
Arabic Arabic plus Presentation Forms-A and Presentation Forms-B
Hebrew Hebrew plus Presentation Forms (including punctuation, superscripts and subscripts,
currency symbols, and letter-like symbols)
Range Description

288
USING FLASH PROFESSIONAL
Text
Last updated 1/16/2012
Text encoding
All text in a computer is encoded as a series of bytes. Many different forms of encoding (and therefore, different bytes)
represent text. Different kinds of operating systems use different kinds of encoding for text. For example, Western
Windows operating systems usually use CP1252 encoding; Western Macintosh operating systems usually use
MacRoman encoding; Japanese Windows and Macintosh systems usually use Unicode encoding.
Unicode can encode most languages and characters used throughout the world. The other forms of text encoding that
computers use are subsets of the Unicode format, tailored to specific regions of the world. Some of these forms are
compatible in some areas and incompatible in other areas, so using the correct encoding is critical.
Unicode has several forms. Flash Player versions 6 and 7 and later support text or external files in the 8-bit Unicode
format UTF-8, and in the 16-bit Unicode formats UTF-16 BE (Big Endian) and UTF-16 LE (Little Endian).
Unicode and Flash Player
Flash Player 6 and later versions support Unicode text encoding. Users with Flash Player 6 or later can view
multilanguage text, regardless of the language that the operating system running the player uses, if they have the
correct fonts installed.
Flash Player assumes that all external text files associated with a Flash Player application are Unicode encoded, unless
you tell the player otherwise.
For Flash Pro applications in Flash Player 5 or earlier that are authored in Flash MX or earlier, Flash Player 6 and earlier
versions display the text by using the traditional code page of the operating system running the player.
For background information on Unicode, see Unicode.org.
Text encoding in Flash Player
By default, Flash Player 7 and later assumes that all text it encounters is Unicode encoded. If your document loads
external text or XML files, the text in these files should be UTF-8 encoded. Create these files by using the Strings panel
or using a text or HTML editor that can save the files in Unicode format.
Unicode encoding formats that Flash Player supports
When reading text data in Flash Pro, Flash Player looks at the first two bytes in the file to detect a byte order mark
(BOM), a standard formatting convention used to identify the Unicode encoding format. If no BOM is detected, the
text encoding is interpreted as UTF-8 (an 8-bit encoding format). It is recommended that you use UTF-8 encoding in
your applications.
If Flash Player detects either of the following BOMs, the text encoding format is interpreted as follows:
•If the first byte of the file is OxFE and the second is OxFF, the encoding is interpreted as UTF-16 BE (Big Endian).
This is used for Macintosh operating systems.
•If the first byte of the file is OxFF and the second is OxFE, the encoding is interpreted as UTF-16 LE (Little Endian).
This is used for Windows operating systems.
Most text editors that can save files in UTF-16BE or LE automatically add the BOMs to the files.
Note: If you set the system.useCodepage property to true, the text is interpreted using the traditional code page of
the operating system that is running the player; it is not interpreted as Unicode.
Encoding in external XML files
You cannot change the encoding of an XML file by changing the encoding tag. Flash Player identifies the encoding of
an external XML file using the same rules as for all external files. If no BOM is encountered at the beginning of the file,
the file is assumed to be in UTF-8 encoding. If a BOM is encountered, the file is interpreted as UTF-16BE or LE.

289
USING FLASH PROFESSIONAL
Text
Last updated 1/16/2012
More Help topics
“Non-Unicode external files” on page 287
Creating multilanguage text
You can configure a FLA file to display text in different languages depending on the language of the operating system
that plays the Flash Pro content.
Workflow for authoring multilanguage text with the Strings panel
The Strings panel lets you create and update multilingual content. You can specify content for text fields that span
multiple languages, and have Flash Pro automatically determine the content that should appear in a certain language
based on the language of the computer running Flash Player.
The following steps describe the general workflow:
1. Author a FLA file in one language.
Any text to enter in another language must be in a dynamic or input text field.
2. In the Strings Panel Settings dialog box, select the languages to include and designate one of them as the
default language.
A column for the language is added to the Strings panel. When you save, test, or publish the application, a folder with
an XML file is created for each language.
3. In the Strings panel, encode each text string with an ID.
4. Publish the application.
A folder is created for each language you select, and within each language folder is an XML file for that language.
5. Send the published FLA file and XML folders and files to your translators.
Author in your native language and let the translators make the translation. They can use translation software directly
in the XML files or in the FLA file.
6. When you receive the translations from your translators, import the translated XML files back into the FLA
file.
Note: Flash Pro CS4 files with anti-aliased classic, dynamic text fields populated from the Strings panel may not display
properly when updated to Flash Pro CS5. This is due to changes in font embedding in Flash Pro CS5. To solve this
problem, manually embed the fonts used by the text fields. For instructions, see “Embed fonts for consistent text
appearance” on page 282.
Select and remove languages for translation
As many as 100 languages can appear on the Stage and in the Strings panel for translation. Each language you select
becomes a column in the Strings panel. To show the text on the Stage in any of the languages you selected, change the
Stage language. The selected language appears when you publish or test the file.
When selecting languages, use any of the languages provided in the menu, as well as any other Unicode-supported
language.
More Help topics
“Publishing overview” on page 405

290
USING FLASH PROFESSIONAL
Text
Last updated 1/16/2012
Select a language
1Select Window > Other Panels > Strings, and click Settings.
2Add a language by doing one of the following:
•In the Languages box, highlight a language to select, and click Add.
•If the language does not appear in the Languages box, in the blank field below the Languages box, type a language
code in the format xx. (The language code is from ISO 639-1.) Click Add.
3Repeat step the previous step until you have added all the necessary languages.
4Select a default language from the Default runtime language menu. This language appears on systems that do not
have one of the active languages you selected.
5
To load an XML file for the languages from a different URL at runtime, type the URL in the URL text field and click OK.
A column for each selected language appears in the Strings panel. The columns appear in alphabetical order.
6Save the FLA file. When you save the FLA file, a folder for each language you selected is created in the same folder
indicated in the SWF publish path. If no SWF publish path has been selected, it is created in the folder the FLA file
resides in. Within each language file an XML file is created that is used to load translated text.
Remove a language
1Select Window > Other Panels > Strings, and click Settings.
2In the Active languages field, highlight a language and click Remove.
3Repeat step 3 until you have removed all the unwanted languages.
4When you finish removing languages, click OK.
The column for each removed language no longer appears in the Strings panel.
Note: When you remove a language from the Strings panel, the language XML file is not deleted from the local file system.
This lets you add the language back into the Strings panel by using the previous XML file, and prevents accidental
deletion. To completely remove the language, you must delete or replace the language XML file.
Add strings to the Strings panel
Assign text strings to the Strings panel in the following ways:
•Assign a string ID to a dynamic or input text field
•Add a string to the Strings panel without assigning it to a text field
•Assign an existing string ID to an existing dynamic or input text field
More Help topics
“Working with Text Layout Framework (TLF) text” on page 258
Assign a string ID to a text field
1Select Window > Other Panels > Strings.
2Select the Text tool. On the Stage, create an input or dynamic text field.
3While the text field is selected, type a unique ID in the ID field in the Strings panel.
4Click the Settings button and select a language or languages from the list in the Settings dialog box. The languages
you select should include the default language you wish to use and any other languages in which you plan to publish
your work.

291
USING FLASH PROFESSIONAL
Text
Last updated 1/16/2012
5Click Apply.
Note: If a static text field is selected on the Stage, the Stage text selection section on the Strings panel displays the message
“Static text cannot have an ID associated with it.” If a nontext item is selected or multiple items are selected, the message
“Current selection cannot have an ID associated with it” appears.
Add a string ID to the Strings panel without assigning it to a text field
1Select Window > Other Panels > Strings.
2Click the Settings button and select a language or languages from the list in the Settings dialog box. The languages
you select should include the default language you wish to use and any other languages in which you plan to publish
your work.
3Type a new string ID and new string in the Strings panel, and click Apply.
Assign an existing ID to a text field
1Select the Text tool. On the Stage, create an input or dynamic text field.
2Type the name of an existing ID in the ID section of the Strings panel, and click Apply.
Note: Press Shift+Enter to apply the ID to the text field, or Enter if the focus is on the ID field.
Editing strings in the Strings panel
After you enter text strings in the Strings panel, use one of the following methods to edit the text strings:
•Directly in the Strings panel cells.
•On the Stage in the language selected as the Stage language, using features such as find and replace and spelling
checking. Text that you change using these features is changed on the Stage and in the Strings panel.
•Edit the XML file directly.
More Help topics
“Translate text in the Strings panel or an XML file” on page 295
“Find and Replace in Flash” on page 56
“Check spelling” on page 281
Change the language displayed on the Stage
1Select Window > Other Panels > Strings.
2In the Stage Language menu, select the language to use for the Stage language. This must be a language you added
as an available language.
After you change the Stage language, any new text you type on the Stage appears in that language. If you previously
entered text strings for the language in the Strings panel, any text on the Stage appears in the selected language. If not,
the text fields already on the Stage are blank.
Enter Asian characters on a Western keyboard
With Flash Pro, you can use Input Method Editors (IMEs) and standard Western keyboards to enter Asian characters
on the Stage. Flash Pro supports more than two dozen IMEs.
For example, to create a website that reaches a broad range of Asian viewers, you can use a standard Western
(QWERTY) keyboard and change the IME to create text in Chinese, Japanese, and Korean.

292
USING FLASH PROFESSIONAL
Text
Last updated 1/16/2012
Note: This feature affects only text input on the Stage, not text entered in the Actions panel. This feature is available for
all supported Windows operating systems and Mac
OS X.
1Select Edit > Preferences (Windows) or Flash > Preferences (Macintosh), and click Text in the Category list.
2Under Input Method, select one of the options to input characters from a Western keyboard. The default is Chinese
and Japanese and it should also be selected for Western languages.
Publishing multilanguage FLA files
When you save, publish, or test the FLA file, a folder with an XML file is created for each available language you
selected in the Strings panel. The default location for the XML folders and files is the same folder indicated as the SWF
publish path. If no SWF publish path was selected, the XML folder and files are saved in the folder in which the FLA
file is located. For example, if you have a file named Test in the mystuff folder, and you selected English (en), German
(de), and Spanish (es) as active languages, and you did not select a SWF publish path, when you save the FLA file, the
following folder structure is created:
\mystuff\Test.fla
\mystuff\de\Test_de.xml
\mystuff\en\Test_en.xml
\mystuff\es\Test_es.xml
When you start a SWF file, you also need to start the associated XML files with the string translations in the web server.
The first frame that contains text cannot appear until the entire XML file is downloaded.
More Help topics
“Publishing Flash documents” on page 405
Manually replace strings at publish time
Manually replace strings by using the Stage language when you publish your Flash Pro SWF file. This method uses the
Stage language to replace all instances of input and dynamic text with an associated string ID. In this case, text strings
are only updated when you publish the SWF file; language detection is not automatic, and you must publish a SWF file
for each language to support.
1Select Window > Other Panels > Strings, and click Settings.
2Select the Replace Strings Automatically At Runtime check box.
Use automatic language detection with the default language
You can change the default runtime language to any language that you selected as an available language. When
automatic language detection is on, and you view the SWF file on the system that uses the language, any system that is
set to a language other than one of the active languages uses the default language. For example, if you set your default
language to English and you select ja, en, and fr as active languages, users who have their system language set to
Japanese, English, or French automatically see text strings in their chosen language. However, users who have their
system language set to Swedish, which is not one of the selected languages, automatically see text strings in the default
language you selected—in this case, English.
1Select Window > Other Panels > Strings, and click Settings.
2In the Default language menu, select the default language. This must be a language you added as an available
language.
3To enable automatic language detection, select Replace Strings Automatically At Runtime, and click OK.
Flash Pro generates the following ActionScript®, which stores the language XML file paths. Use this code as a starting
point for your own language detection script.

293
USING FLASH PROFESSIONAL
Text
Last updated 1/16/2012
import mx.lang.Locale;
Locale.setFlaName("<flaFileName>");
Locale.setDefaultLang("langcode");
Locale.addXMLPath("langcode", "url/langcode/flaname_langcode.xml");
Note: The ActionScript code that the Strings panel generates does not use the Locale.initialize function. Decide how
to call this function based on the language detection customizations your project requires.
Use custom language detection
To access the language XML files to control text replacement at a time that you designate, create your own custom
component or use ActionScript code. For example, you might create a pop-up menu that lets users select a language
for viewing content.
For information on writing ActionScript code to create custom language detection, see About the Strings panel in
Learning ActionScript 2.0 in Adobe Flash.
1Select Window > Other Panels > Strings, and click Settings.
2In the Default Language menu, select the default language.
This must be a language you added as an available language.
3Select the Replace Strings Via ActionScript check box, and click OK.
Flash Pro generates the following ActionScript code, which stores the language XML file paths. Use this code as a
starting point for your own language detection script.
import mx.lang.Locale;
Locale.setFlaName("<flaFileName>");
Locale.setDefaultLang("langcode");
Locale.addXMLPath("langcode", "url/langcode/flaname_langcode.xml");
Note: The ActionScript that the Strings panel generates does not use the Locale.initialize function. Decide how to
call this function based on the language detection customizations your project requires.
Additional resources
•Article: Formatting text for localized Flash projects (Adobe.com)
XML file format for multilanguage text
When you use multilanguage text in Flash Pro, the text is stored in XML files.
About the XML file format
Exported XML is in UTF-8 format and follows the XML Localization Interchange File Format (XLIFF)1.0 standard. It
defines a specification for an extensible localization interchange format that lets any software provider produce a single
interchange format that can be delivered to, and understood by, any localization service provider. For more
information about XLIFF, see www.oasis-open.org/committees/xliff/.
XLIFF examples
If any of the following characters are entered in the Strings panel, they are replaced by the appropriate entity reference
when written to XML files:

294
USING FLASH PROFESSIONAL
Text
Last updated 1/16/2012
Exported XML file sample
The following examples show what an XML file that the Strings panel generates looks like in the source language—in
this example, English—and in another language—in this example, French:
English source version sample:
<?xml version="1.0" encoding="UTF-8"?>
<!DOCTYPE xliff PUBLIC "-//XLIFF//DTD XLIFF//EN"
"http://www.oasis-open.org/committees/xliff/documents/xliff.dtd" >
<xliff version="1.0" xml:lang="en">
<file datatype="plaintext" original="MultiLingualContent.fla" source-language="EN">
<header></header>
<body>
<trans-unit id="001" resname="IDS_GREETINGS">
<source>welcome to our web site!</source>
</trans-unit>
<trans-unit id="002" resname="IDS_MAILING LIST">
<source>Would you like to be on our mailing list?</source>
</trans-unit>
<trans-unit id="003" resname="IDS_SEE YOU">
<source>see you soon!</source>
</trans-unit>
<trans-unit id="004" resname="IDS_TEST">
<source></source>
</trans-unit>
</body>
</file>
</xliff>
French source version sample:
Character Replaced by
& &
' '
" "
< <
> >

295
USING FLASH PROFESSIONAL
Text
Last updated 1/16/2012
<?xml version="1.0" encoding="UTF-8"?>
<!DOCTYPE xliff PUBLIC "-//XLIFF//DTD XLIFF//EN"
"http://www.oasis-open.org/committees/xliff/documents/xliff.dtd" >
<xliff version="1.0" xml:lang="fr">
<file datatype="plaintext" original="MultiLingualContent.fla" source-language="EN">
<header></header>
<body>
<trans-unit id="001" resname="IDS_GREETINGS">
<source>Bienvenue sur notre site web!</source>
</trans-unit>
<trans-unit id="002" resname="IDS_MAILING LIST">
<source>Voudriez-vous être sur notre liste de diffusion?</source>
</trans-unit>
<trans-unit id="003" resname="IDS_SEE YOU">
<source>A bientôt!</source>
</trans-unit>
<trans-unit id="004" resname="IDS_TEST">
<source></source>
</trans-unit>
</body>
</file>
</xliff>
Translate text in the Strings panel or an XML file
When sending files to translators, include not only the FLA file but also the folders for the XML files and the XML file
for each language.
Translators can either work directly in the language columns in the Strings panel or work in the XML files for each
language to translate the FLA file to selected languages. If you translate directly in the XML file, you must either import
the XML file to the Strings panel or save it in the default directory for that language.
Translate text in the Strings panel
1Select Window > Other Panels > Strings.
2For each language to be translated, select the appropriate language column, then type the translated text for that
language to be associated with each string ID.
3To show the text on the Stage in the language you selected, select the language in the Stage Language field.
4When you are finished, save, publish, or test the file.
All XML files for all languages are overwritten with the information in the Strings panel.
Note: To preserve the translation in an XML file, save it in a different folder.
Translate text in an XML file
1Using an XML file editor or translating software, open the folder for the desired language, then the XML file for
that language. The XML file is populated with the IDs for each text string.
2Enter the text string for the language next to the ID.
3If necessary, import the translated XML file into the Strings panel.
Import an XML file into the Strings panel
After you modify an XML file, if you place it in the folder specified in the Strings panel for that language, the XML file
is loaded into the Flash Pro document (FLA file) when it opens.

296
USING FLASH PROFESSIONAL
Text
Last updated 1/16/2012
Regardless of where the XML file you imported was located, when you save, test, or publish the FLA file, a folder for
each language in the Strings panel and an XML file for each language are created in the location indicated for
publishing SWF files. If no publish path is indicated, the folder and file are saved in the same folder in which the FLA
file is located. The XML files that the Strings panel generates are always populated with the information in the Strings
panel.
Alternatively, import an XML file into the Strings panel from another location. After you import it, when you save,
test, or publish the file, the XML file in the folder specified for that language is overwritten. You cannot import an XML
file for a language unless it is already selected as an available language in the Strings panel. You can also add a language
and import an XML file with the translation for that language.
1Select Window > Other Panels > Strings, and click Import XML.
2In the Select a Language menu, select the language of the XML file you are importing, and click OK.
3Navigate to the folder and XML file to import.
The XML information is loaded into the column in the Strings panel for the language you selected in step 3.
Note: Select the same language in steps 2 and 3. Otherwise, you could, for example, import a French XML file into the
column for German.
More Help topics
“Publishing overview” on page 405
Multilanguage text and ActionScript
You can control multilanguage text and import multilanguage XML files with ActionScript®.
Use ActionScript to load external files
To load existing XML data, or use a different format for the XML file, use the loadVariables action, the getURL
action, the LoadVars object, or the XML object to create a document that contains multilanguage text by placing the
text in an external text or XML file and loading the file into the movie clip at runtime.
Save the external file in UTF-8 (recommended), UTF-16BE, or UTF-16LE format, using an application that supports
the format. If you are using UTF-16BE or UTF-16LE format, the file must begin with a BOM to identify the encoding
format to Flash Player. The following table lists the BOM to include to identify the encoding:
Note: Most text editors that can save files in UTF-16BE or LE automatically add the BOMs to the files.
Note: If the external file is an XML file, you cannot use an XML encoding tag to change the file encoding. Save the file in
a supported Unicode format.
1In the Flash Pro authoring application, create a dynamic or input text field to show the text in the document.
2In the Property inspector, with the text field selected, assign an instance name to the text field.
3Outside of Flash, create a text or XML file that defines the value for the text field variable.
4Save the XML file in UTF-8 (recommended), UTF-16BE, or UTF-16LE format.
UTF Format First Byte Second Byte
UTF-16BE OxFE OxFF
UTF-16LE OxFF OxFE

297
USING FLASH PROFESSIONAL
Text
Last updated 1/16/2012
5Use one of the following ActionScript procedures to reference the external file and load it into the dynamic or input
text field:
•Use the loadVariables action to load an external file.
•Use the getURL action to load an external file from a specified URL.
•Use the LoadVars object (a predefined client-server object) to load an external text file from a specified URL.
•Use the XML object (a predefined client-server object) to load an external XML file from a specified URL. For more
information, see XML in the ActionScript 2.0 Language Reference.
More Help topics
“Using the XMLConnector component to connect to external XML files” on page 298
“Text” on page 258
Create multilanguage documents using the #include action
To create a document that contains multiple languages, use the #include action.
Use an application that supports UTF-8 encoding, such as Dreamweaver, to save the text file in UTF-8 format.
To identify the file as Unicode to the Flash Pro authoring tool, include the following header as the first line of the file:
//!-- UTF8
Note: Include a space after the second dash (-).
By default, the Flash Pro authoring application assumes that external files that use the #include action are encoded
in the traditional code page of the operating system running the authoring tool. Using the //!-- UTF8 header in a
file tells the authoring tool that the external file is encoded as UTF-8.
1In the Flash Pro authoring tool, create a dynamic or input text field to display the text in the document.
2In the Property inspector, with the text field selected, assign an instance name to the text field.
3Outside of Flash, create a text file that defines the value for the text field variable. Add the //!-- UTF8 header at
the beginning of the file.
4Save the text file in UTF-8 format.
5To include the external file in the dynamic or input text field, use the #include directive. For more information,
see #include directive in the ActionScript 2.0 Language Reference.
More Help topics
“Text” on page 258
Creating multilanguage documents by using text variables
To include Unicode-encoded contents in text variables, use the syntax \uXXXX, where XXXX is the four-digit
hexadecimal code point, or escape character, for the Unicode character. The Flash Pro authoring tool supports
Unicode escape characters through \uFFFF. To find the code points for Unicode characters, see the Unicode Standard
at Unicode.org.
You can use Unicode escape characters only in text field variables. You cannot include Unicode escape characters in
external text or XML files; Flash Player 6 does not recognize Unicode escape characters in external files.
For example, to set a dynamic text field (with the myTextVar instance name) that contains Japanese, Korean, Chinese,
English, and Greek characters and the Euro sign, enter the following:

298
USING FLASH PROFESSIONAL
Text
Last updated 1/16/2012
myTextVar.text = "\u304B\uD55C\u6C49hello\u03BB\u20AC";
When the SWF file plays, the following characters appear in the text field:
For best results when creating a text field that contains multiple languages, use a font that includes all the glyphs your
text needs.
More Help topics
“Create multilanguage documents using the #include action” on page 297
Using the XMLConnector component to connect to external XML files
Use the version 2 XMLConnector component to connect to an external XML document to bind to properties in the
document. Its purpose is to read or write XML documents by using HTTP GET operations, POST operations, or both.
It acts as a connector between other components and external XML documents. The XMLConnector communicates
with components in your application by using either data-binding features in the Flash authoring environment or
ActionScript code. For more information, see XML Connector component in the ActionScript 2.0 Components
Language Reference.

299
Last updated 1/16/2012
Chapter 10: Sound
Using sounds in Flash
About sounds and Flash
Adobe® Flash® Professional CS5 offers several ways to use sound. Make sounds that play continuously, independent of
the Timeline, or use the Timeline to synchronize animation to a sound track. Add sounds to buttons to make them
more interactive, and make sounds fade in and out for a more polished sound track.
There are two types of sounds in Flash Pro: event sounds and stream sounds. An event sound must download
completely before it begins playing, and it continues playing until explicitly stopped. Stream sounds begin playing as
soon as enough data for the first few frames has been downloaded; stream sounds are synchronized to the Timeline
for playing on a website.
If you’re creating Flash Pro content for mobile devices, Flash Pro also lets you include device sounds in your published
SWF file. Device sounds are encoded in the device’s natively supported audio format, such as MIDI, MFi, or SMAF.
You can use shared libraries to link a sound to multiple documents. You can also use the ActionScript® 2.0
onSoundComplete event or ActionScript® 3.0 soundComplete event to trigger an event based on the completion of a
sound.
You can load sounds and control sound playback using prewritten behaviors or media components; the latter also
provide a controller for stop, pause, rewind, and so on. You can also use ActionScript 2.0 or 3.0 to load sounds
dynamically.
For more information, see attachSound (Sound.attachSound
method) and loadSound (Sound.loadSound method)in ActionScript
2.0 Language Reference or Sound class in ActionScript
3.0 Language and Components Reference.
The following videos and articles provide detailed instruction on using sound in Flash Pro.
•Video: Working with sound (2:57)
•Video: Working with Soundbooth and Flash (4:02)
•Video: Layers TV – Episode 74: 3D tools and sound (23:09)
•Article: Synchronizing text with audio
•Video series: Working with audio
•Video: Audio in Flash: Part 1 (Sound on the Timeline) LayersMagazine.com
•Video: Audio in Flash: Part 2 (Sound and ActionScript) LayersMagazine.com
More Help topics
“Sharing library assets at runtime” on page 164

300
USING FLASH PROFESSIONAL
Sound
Last updated 1/16/2012
Importing sounds
You place sound files into Flash Pro by importing them into the library for the current document.
1Select File > Import > Import To Library.
2In the Import dialog box, locate and open the desired sound file.
Note: You can also drag a sound from a common library into the library for the current document.
Flash Pro stores sounds in the library along with bitmaps and symbols. You need only one copy of a sound file to use
that sound multiple ways in your document.
If you want to share sounds among Flash Pro documents, you can include the sounds in shared libraries.
Flash Pro includes a Sounds library containing many useful sounds that can be used for effects. To open the Sounds
library, choose Window
> Common Libraries > Sounds. To import a sound from the Sounds library to your FLA file,
drag the sound from the Sounds library to the Library panel of your FLA file. You can also drag sounds from the
Sounds library to other shared libraries.
Sounds can use large amounts of disk space and RAM. However, mp3 sound data is compressed and smaller than
WAV or AIFF sound data. Generally, when using WAV or AIFF files, it’s best to use 16-22 kHz mono sounds (stereo
uses twice as much data as mono), but Flash Pro can import either 8- or 16-bit sounds at sample rates of 11, 22, or 44
kHz. Sounds recorded in formats that are not multiples of 11 kHz (such as 8, 32, or 96 kHz) are resampled when
imported into Flash Pro. Flash Pro can convert sounds to lower sample rates on export.
If you want to add effects to sounds in Flash Pro, it’s best to import 16-bit sounds. If you have limited RAM, keep your
sound clips short or work with 8-bit sounds instead of 16-bit sounds.
More Help topics
“Work with common libraries” on page 161
Supported sound file formats
You can import the following sound file formats into Flash Pro:
•ASND (Windows or Macintosh). This is the native sound format of Adobe® Soundbooth™.
•WAV (Windows only)
•AIFF (Macintosh only)
•mp3 (Windows or Macintosh)
If you have QuickTime® 4 or later installed on your system, you can import these additional sound file formats:
•AIFF (Windows or Macintosh)
•Sound Designer® II (Macintosh only)
•Sound Only QuickTime Movies (Windows or Macintosh)
•Sun AU (Windows or Macintosh)
•System 7 Sounds (Macintosh only)
•WAV (Windows or Macintosh)
Note: The ASND format is a non-destructive audio file format, native to Adobe Soundbooth. ASND files can contain
audio data with effects that can be modified later, Soundbooth multitrack sessions, and snapshots that allow you to revert
to a previous state of the ASND file.

301
USING FLASH PROFESSIONAL
Sound
Last updated 1/16/2012
Add a sound to the Timeline
You can add a sound to a document using the library, or you can load a sound into a SWF file during runtime, using
the loadSound method of the Sound object. For more information, see loadSound (Sound.loadSound method) in
the ActionScript 2.0 Language Reference or Sound Class in the ActionScript 3.0 Reference.
1Import the sound into the library if it has not already been imported.
2Select Insert > Timeline > Layer.
3With the new sound layer selected, drag the sound from the Library panel onto the Stage. The sound is added to
the current layer.
You can place multiple sounds on one layer or on layers containing other objects. However, it is recommended that
each sound be placed on a separate layer. Each layer acts as a separate sound channel. The sounds on all layers are
combined when you play the SWF file.
4In the Timeline, select the first frame that contains the sound file.
5Select Window > Properties, and click the arrow in the lower-right corner to expand the Property inspector.
6In the Property inspector, select the sound file from the Sound pop-up menu.
7Select an effect option from the Effects pop-up menu:
None Applies no effects to the sound file. Select this option to remove previously applied effects.
Left Channel/Right Channel Plays sound in the left or right channel only.
Fade Left To Right/Fade Right To Left Shifts the sound from one channel to the other.
Fade In Gradually increases the volume of a sound over its duration.
Fade Out Gradually decreases the volume of a sound over its duration.
Custom Lets you create custom in and out points of sound using the Edit Envelope.
8Select a synchronization option from the Sync pop-up menu:
Note: If you are placing the sound on a frame other than frame 1 in the main Timeline, select the Stop option.
Event Synchronizes the sound to the occurrence of an event. An event sound plays when its starting keyframe first
appears and the plays in its entirety, independently of the playhead in the Timeline, even if the SWF file stops playing.
Event sounds are mixed when you play your published SWF file.
If an event sound is playing and the sound is instantiated again (for example, by the user clicking a button again, or
the playhead passing the starting keyframe of the sound), the first instance of the sound continues to play and another
instance of the same sound begins to play simultaneously. Keep this in mind when using longer sounds, as they can
potentially overlap, causing unintended audio effects.
Start The same as Event, except that if the sound is already playing, no new instance of the sound plays.
Stop Silences the specified sound.
Stream Synchronizes the sound for playing on a website. Flash Pro forces animation to keep pace with stream sounds.
If Flash Pro can’t draw animation frames quickly enough, it skips frames. Unlike event sounds, stream sounds stop if
the SWF file stops playing. Also, a stream sound can never play longer than the length of the frames it occupies. Stream
sounds are mixed when you publish your SWF file.
An example of a stream sound is the voice of a character in an animation that plays in multiple frames.
Note: If you use an mp3 sound as a stream sound, you must recompress the sound for export. You can export the sound
as an mp3 file, with the same compression settings that it had on import.

302
USING FLASH PROFESSIONAL
Sound
Last updated 1/16/2012
These choices are explained and demonstrated in this video tutorial by Andy Anderson at InfiniteSkills.com.
9Enter a value for Repeat to specify the number of times the sound should loop, or select Loop to repeat the sound
continuously.
For continuous play, enter a number large enough to play the sound for an extended duration. For example, to loop a
15-second sound for 15 minutes, enter 60. Looping stream sounds is not recommended. If a stream sound is set to loop,
frames are added to the file and the file size is increased by the number of times the sound is looped.
10 To test the sound, drag the playhead over the frames containing the sound or use commands in the Controller or
the Control menu.
Remove a sound from the Timeline
1In the Timeline layer containing the sound, select a frame that also contains the sound.
2In the Property inspector, go to the Sound section and select None from the Name menu.
Flash deletes the sound from the Timeline layer.
Add a sound to a button
You can associate sounds with the different states of a button symbol. Because the sounds are stored with the symbol,
they work for all instances of the symbol.
1Select the button in the Library panel.
2Select Edit from the Panel menu in the upper-right corner of the panel.
3In the button’s Timeline, add a layer for sound (Insert > Timeline > Layer).
4In the sound layer, create a regular or blank keyframe to correspond with the button state to which you want to add
a sound (Insert
> Timeline > Keyframe or Insert > Timeline > Blank Keyframe).
For example, to add a sound that plays when you click the button, create a keyframe in the frame labeled Down.
5Click the keyframe you created.
6Select Window > Properties.
7In the Property inspector, select a sound file from the Sound pop-up menu.
8Select Event from the Sync pop-up menu.
To associate a different sound with each of the button’s keyframes, create a blank keyframe and add another sound file
for each keyframe. You can also use the same sound file and apply a different sound effect for each button keyframe.
Synchronize a sound with animation
To synchronize a sound with animation, you start and stop the sound at keyframes.
1Add a sound to the Timeline in its own layer (see above for instructions).
2To synchronize this sound with an event in the scene, create a beginning keyframe for the sound that corresponds
to the keyframe of the event in the scene that you want to trigger the sound. You can select any of the
synchronization options described above (see Add a sound to the Timeline).
3Create a keyframe in the sound layer’s Timeline at the frame where you want the sound to end. A representation of
the sound file appears in the Timeline.
4Select Window > Properties, and click the arrow in the lower-right corner to expand the Property inspector.

303
USING FLASH PROFESSIONAL
Sound
Last updated 1/16/2012
5In the Property inspector, select the same sound from the Sound pop-up menu.
6Still in the Property inspector, select Stop from the Sync pop-up menu.
When you play the SWF file, the sound stops playing when it reaches the ending keyframe.
7To play back the sound, drag the playhead in the Timeline.
Edit a sound in Flash
In Flash Pro, you can define the starting point of a sound or control the volume of the sound as it plays. You can also
change the point at which a sound starts and stops playing. This is useful for making sound files smaller by removing
unused sections.
1Add a sound to a frame, or select a frame that already contains a sound.
2Select Window > Properties.
3Click the Edit button on the right side of the Property inspector.
4Do any of the following:
•To change the start and end points of a sound, drag the Time In and Time Out controls in the Edit Envelope.
•To change the sound envelope, drag the envelope handles to change levels at different points in the sound. Envelope
lines show the volume of the sound as it plays. To create additional envelope handles (up to eight total), click the
envelope lines. To remove an envelope handle, drag it out of the window.
•To display more or less of the sound in the window, click the Zoom In or Out buttons.
•To switch the time units between seconds and frames, click the Seconds and Frames buttons.
5To hear the edited sound, click the Play button.
Edit a sound in Soundbooth
If you have Adobe Soundbooth installed, you can use Soundbooth to edit sounds you have imported into your FLA
file. After making changes in Soundbooth, when you save the file and overwrite the original, the changes are
automatically reflected in the FLA file.
If you change the filename or format of the sound after editing it, you will need to re-import it into Flash Pro.
For a video tutorial about using Flash together with Soundbooth, see Working with Soundbooth and Flash at
www.adobe.com/go/lrvid4100_xp.
Note: Soundbooth is available only on Windows computers and Intel®-based Macintoshes.
To edit an imported sound in Soundbooth:
1Right-click (Windows) or Ctrl-click (Macintosh) the sound in the Library panel.
2Choose Edit in Soundbooth from the context menu. The file opens in Soundbooth.
3Edit the file in Soundbooth.
4When you are finished, save the file. To save the changes in a non-destructive format, choose the ASND format.
If you save the file in a different format from the original, you will need to re-import the sound file into Flash Pro.
5Return to Flash Pro to see the edited version of the sound file in the Library panel.
Note: You cannot edit sounds from the Sounds library (Window > Common Libraries > Sounds) with the Edit in
Soundbooth command. To edit these sounds in Soundbooth, open Soundbooth and select the sound from the Resource
Central panel. Edit the sound and then import it into Flash Pro.

304
USING FLASH PROFESSIONAL
Sound
Last updated 1/16/2012
Using sounds in Flash Lite
Adobe® Flash® Lite supports two types of sound: standard Flash Pro sounds, like those used in Flash Pro desktop
applications, and device sounds. Flash Lite 1.0 supports device sounds only; Flash Lite 1.1 and 2.x support both
standard sounds and device sounds.
Device sounds are stored in the published SWF file in their native audio format (such as MIDI or MFi); during
playback, Flash Lite passes the sound data to the device, which decodes and plays the sound. Because you can’t import
most device audio formats into Flash Pro, you instead import a proxy sound in a supported format (such as mp3 or
AIFF) that is replaced with an external device sound that you specify.
You can use device sounds only as event sounds—you can’t synchronize device sounds with the Timeline as you can
with standard sounds.
Flash Lite 1.0 and Flash Lite 1.1 do not support the following features available in the desktop version of Flash® Player:
•The ActionScript Sound object
•Loading of external mp3 files
•The Speech Audio Compression option
For more information, see “Working with Sound, Video, and Images” in Developing Flash Lite 2.x Applications or
“Working with Sound” in Developing Flash Lite 1.x Applications.
Exporting Sounds
About compressing sounds for export
You can select compression options for individual event sounds and export the sounds with those settings. You can
also select compression options for individual stream sounds. However, all stream sounds in a document are exported
as a single stream file, using the highest setting of all those applied to individual stream sounds. This includes stream
sounds in video objects.
If you select global compression settings for event sounds or stream sounds in the Publish Settings dialog box, these
settings are applied to individual event sounds or all stream sounds if you do not select compression settings for the
sounds in the Sound Properties dialog box.
You can also override export settings specified in the Sound Properties dialog box by selecting Override Sound Settings
in the Publish Settings dialog box. This option is useful if you want to create a larger high-fidelity audio file for local
use and a smaller low-fidelity version for the web.
The sampling rate and degree of compression make a significant difference in the quality and size of sounds in
exported SWF files. The more you compress a sound and the lower the sampling rate, the smaller the size and the lower
the quality. You should experiment to find the optimal balance between sound quality and file size.
When working with imported mp3 files, you can export the files in mp3 format using the same settings that the files
had when imported.
Note: In Windows, you can also export all the sounds from a document as a WAV file using File > Export > Export
Movie.

305
USING FLASH PROFESSIONAL
Sound
Last updated 1/16/2012
More Help topics
“Publishing overview” on page 405
“Specify publish settings for SWF files (CS5)” on page 410
“About exporting from Flash” on page 455
Compress a sound for export
1Do one of the following:
•Double-click the sound’s icon in the Library panel.
•Right-click (Windows) or Control-click (Macintosh) a sound file in the Library panel and select Properties from
the context menu.
•Select a sound in the Library panel and select Properties from the Panel menu in the upper-right corner of the panel.
•Select a sound in the Library panel and click the Properties button at the bottom of the Library panel.
2If the sound file has been edited externally, click Update.
3For Compression, select Default, ADPCM, mp3, Raw, or Speech.
The Default compression option uses the global compression settings in the Publish Settings dialog box when you
export your SWF file. If you select Default, no additional export settings are available.
4Set export settings.
5Click Test to play the sound once. Click Stop if you want to stop testing the sound before it finishes playing.
6Adjust export settings if necessary until the desired sound quality is achieved, and then click OK.
ADPCM and Raw compression options
ADPCM compression sets compression for 8- or 16-bit sound data. Use the ADPCM setting when you export short
event sounds such as button clicks.
Raw compression exports sounds with no sound compression.
Preprocessing Converts mixed stereo sounds to monaural (mono) when you select Convert Stereo To Mono (mono
sounds are unaffected by this option).
Sample Rate Controls sound fidelity and file size. Lower rates decrease file size but can also degrade sound quality.
Rate options are as follows:
•5 kHz Barely acceptable for speech.
•11 kHz The lowest recommended quality for a short segment of music and one-quarter the standard CD rate.
•22 kHz A popular choice for web playback and half the standard CD rate.
•44 kHz The standard CD audio rate.
Note: Flash Pro cannot increase the kHz rate of an imported sound above the rate at which it was imported.
ADPCM Bits (ADPCM only) Specifies the bit depth of the sound compression. Higher bit depths produce higher
quality sound.
mp3 compression options
MP3 Compression Lets you export sounds with mp3 compression. Use mp3 when you are exporting longer stream
sounds such as music sound tracks.

306
USING FLASH PROFESSIONAL
Sound
Last updated 1/16/2012
If you are exporting a file that was imported in mp3 format, you can export the file using the same settings the file had
when it was imported.
Use Imported mp3 Quality Default setting. Deselect to select other mp3 compression settings. Select to export an
imported mp3 file with the same settings the file had when it was imported.
Bit Rate Determines the bits per second in the exported sound file. Flash Pro supports 8 through 160 Kbps CBR
(constant bit rate). When you export music, set the bit rate to 16
Kbps or higher for best results.
Preprocessing Converts mixed stereo sounds to monaural (mono sounds are unaffected by this option).
Note: The Preprocessing option is available only if you select a bit rate of 20 Kbps or higher.
Quality Determines the compression speed and sound quality:
•Fast Yields faster compression but lower sound quality.
•Medium Yields somewhat slower compression but higher sound quality.
•Best Yields the slowest compression and the highest sound quality.
Speech compression option
Speech compression exports sounds using a compression that is adapted to speech.
Note: Flash Lite 1.0 and Flash Lite 1.1 do not support the Speech compression option. For content targeting those player
versions, use mp3, ADPCM, or Raw compression.
Sample rate Controls sound fidelity and file size. A lower rate decreases file size but can also degrade sound quality.
Select from the following options:
•5 kHz Acceptable for speech.
•11 kHz Recommended for speech.
•22 kHz Acceptable for most types of music on the web.
•44 kHz The standard CD audio rate. However, because compression is applied, the sound is not CD quality in the
SWF file.
Guidelines for exporting sound in Flash documents
Besides sampling rate and compression, there are several ways to use sound efficiently in a document and keep file size
small:
•Set the in and out points to prevent silent areas from being stored in the Flash Pro file and to reduce the size of the
sound data in the file.
•Get more out of the same sounds by applying different effects for sounds (such as volume envelopes, looping, and
in/out points) at different keyframes. You can get a number of sound effects by using only one sound file.
•Loop short sounds for background music.
•Do not set streaming sound to loop.
•When exporting audio in embedded video clips, remember that the audio is exported using the global streaming
settings selected in the Publish Settings dialog box.
•Use stream synchronization to keep the animation synchronized to your sound track when you preview your
animation in the editor. If your computer is not fast enough to draw the animation frames so that they keep up with
your sound track, Flash Pro skips frames.

307
USING FLASH PROFESSIONAL
Sound
Last updated 1/16/2012
•When exporting QuickTime movies, use as many sounds and channels as you want without worrying about file
size. The sounds are combined into a single sound track when you export as a QuickTime file. The number of
sounds you use has no effect on the final file size.
Sound and ActionScript
With ActionScript®, you can control sounds at runtime. Using ActionScript allows you to create interaction and other
capabilities in your FLA files that is not possible with the Timeline alone.
The additional resources describe how to work with sound in ActionScript 3.0:
•AS3 Developer’s Guide: Working with Sound
•Video tutorial: Audio in Flash: Part 2 (Sound and ActionScript) LayersMagazine.com
Control sounds using behaviors
Using sound behaviors, prewritten ActionScript 2.0, you can add sounds to your document and control sound
playback. Adding a sound using these behaviors creates an instance of the sound, which is then used to control the
sound.
Note: ActionScript 3.0 and Flash Lite 1.x and Flash Lite 2.x do not support behaviors.
Load a sound to a file using a behavior
1Select the object, such as a button, that you want to use to trigger the behavior.
2In the Behaviors panel (Window > Behaviors), click the Add (+) button and select Sound > Load Sound from
Library or Sound
> Load Streaming mp3 File.
3In the Load Sound dialog box, enter the linkage identifier for a sound from the Library, or the sound location for a
streaming mp3 file. Next, enter a name for this instance of the sound, and click OK.
4In the Behaviors panel under event, click On Release (the default event), and select a mouse event from the menu.
If you want to use the OnRelease event, do not change the option.
Play or stop sounds using a behavior
1Select the object, such as a button, that you want to use to trigger the behavior.
2In the Behaviors panel (Window > Behaviors), click the Add (+) button.
3Select Sound > Play Sound, Sound > Stop Sound, or Sound > Stop All Sounds.
4In the dialog box that appears, do one of the following:
•Enter the linkage identifier and the instance name of the sound you want to play or stop, and click OK.
•Click OK to verify that you want to stop all sounds.
5In the Behaviors panel under Event, click On Release (the default event) and select a mouse event from the menu.
If you want to use the OnRelease event, do not change the option.

308
USING FLASH PROFESSIONAL
Sound
Last updated 1/16/2012
Control sounds with the ActionScript 2.0 Sound object
Use the Sound object in ActionScript 2.0 to add sounds to a document and to control sound objects in a document,
including adjusting the volume or the right and left balance while a sound plays. For more information, see Creating
sound controls in Learning ActionScript 2.0 in Flash.
1Select the sound in the Library panel.
2Select Linkage from the Panel menu in the upper-right corner of the panel, or right-click (Windows) or Control-
click (Macintosh) the sound name in the Library panel and select Linkage from the context menu.
3Under Linkage in the Linkage Properties dialog box, select Export for ActionScript.
4Enter an identifier string in the box, and click OK.
About the ActionScript 2.0 onSoundComplete event
The onSoundComplete event of the ActionScript 2.0 Sound object lets you trigger an event in a Flash Pro application
based on completing an attached sound file. The Sound object is a built-in object that lets you control sounds in a Flash
Pro application. For more information, see Sound in the ActionScript 2.0 Language Reference. The onSoundComplete
event of a Sound object is invoked automatically when the attached sound file finishes playing. If the sound is looped
a specified number of times, the event is triggered when the sound finishes looping.
The Sound object has two properties that you can use with the onSoundComplete event. The duration property is a
read-only property representing the duration, in milliseconds, of the sound sample attached to the sound object. The
position property is a read-only property representing the number of milliseconds the sound has been playing in
each loop.
The onSoundComplete event lets you manipulate sounds in a many ways, such as the following:
•Creating a dynamic playlist or sequencer
•Creating a multimedia presentation that checks for narration completion before advancing to the next frame or scene
•Building a game that synchronizes sounds to particular events or scenes and transitions smoothly between different
sounds
•Timing an image change to a sound—for example, changing an image when a sound is halfway through at playback time
Accessing ID3 properties in mp3 files with Flash Player
Macromedia Flash Player 7 from Adobe and later supports ID3 v2.4 and v2.4 tags. With this version, when you load
an mp3 sound using the ActionScript 2.0 attachSound() or loadSound() method, the ID3 tag properties are
available at the beginning of the sound data stream. The onID3 event executes when the ID3 data is initialized.
Flash Player 6 (6.0.40.0) and later supports mp3 files with ID3 v1.0 and v1.1 tags. With ID3 v1.0 and v1.1 tags, the
properties are available at the end of the data stream. If a sound does not contain an ID3v1 tag, the ID3 properties are
undefined. Users must have Flash Player 6 (6.0.40.0) or later for the ID3 properties to function.
For more information on using the ID3 properties, see id3 (Sound.id3 property) in the ActionScript 2.0 Language
Reference.

309
Last updated 1/16/2012
Chapter 11: Video
Create video files for use in Flash
Adobe® Flash® Professional CS5 can incorporate digital video footage into web-based presentations. The FLV and F4V
(H.264) video formats offer technological and creative benefits that let you fuse video together with data, graphics,
sound, and interactive control. FLV and F4V video let you easily put video on a web page in a format that almost
anyone can view.
How you choose to deploy your video determines how you create your video content, and how you integrate it with
Flash Pro. You can incorporate video into Flash Pro in the following ways:
Stream video with Adobe Flash Media Server You can host video content on Adobe® Flash® Media Server, a server
solution optimized to deliver real-time media. Flash Media Server uses the Real-Time Messaging Protocol (RTMP), a
protocol designed for real-time server applications such as streaming video and audio content. You can host your own
Flash Media Server, or use a hosted Flash® Video® Streaming Service (FVSS). Adobe has partnered with several content
delivery network (CDN) providers to offer hosted services for delivering on-demand FLV or F4V file video across
high-performance, reliable networks. Built with Flash Media Server and integrated directly into the delivery, tracking,
and reporting infrastructure of the CDN network, FVSS provides the most effective way to deliver FLV or F4V files to
the largest possible audience without the hassle of setting up and maintaining your own streaming server hardware
and network.
To control video playback and provide intuitive controls for users to interact with the streaming video, use the
FLVPlayback component, Adobe® ActionScript®, or the Open Source Media Framework (OSMF). For more
information about using the OSMF, see the OSMF documentation.
Progressively download video from a web server If you don’t have access to Flash Media Server or FVSS, or your
video needs are for a low-volume website with only limited amounts of video content, you can consider progressive
downloading. Progressively downloading a video clip from a web server doesn’t provide the real-time performance that
Flash Media Server does; however, you can use relatively large video clips, and keep the size of your published SWF
files to a minimum.
To control video playback and provide intuitive controls for users to interact with the video, use the FLVPlayback
component or ActionScript.
Embed video in the Flash document You can embed a small, short-duration video file directly into the Flash Pro
document, and publish it as part of the SWF file. Embedding video content directly into the Flash Pro SWF file
significantly increases the size of published file, and is only suitable for small video files (typically less then 10 seconds
in length). In addition, the audio to video synchronization (also known as audio/video sync) can become mis-
synchronized when using longer video clips embedded in the Flash document. Another disadvantage to embedding
video within the SWF file is that you cannot update the video without republishing the SWF file.
More Help topics
“Add video to Flash” on page 314

310
USING FLASH PROFESSIONAL
Video
Last updated 1/16/2012
Control video playback
You can control the playback of video in Flash Pro using the FLVPlayback component, by writing custom ActionScript
to play an external video stream, or by writing custom ActionScript to control the playback of video in the Timeline
for embedded video.
FLVPlayback component Lets you quickly add a full-featured FLV playback control to your Flash Pro document and
provides support for both progressive downloading and streaming FLV or F4V files. FLVPlayback lets you easily create
intuitive video controls for users to control video playback and apply pre-made skins, or apply your own custom skins
to the video interface. For more information see “The FLVPlayback component” on page 327.
Open Source Media Framework (OSMF) The OSMF enables developers to easily choose and combine pluggable
components to create high-quality, full-featured playback experiences. For more information, see the OSMF web site,
and the OSMF documentation. The Adobe DevNet article RealEyes OSMF Player Sample - Part 1: Setup and
Deployment provides a detailed example of working with the OSMF.
Control external video using ActionScript Play back external FLV or F4V files in a Flash Pro document at runtime
using the NetConnection and NetStream ActionScript objects. For more information see “Controlling external video
playback with ActionScript” on page 325.
You can use video behaviors (pre-written ActionScript scripts) to control video playback.
Control embedded video in the Timeline To control playback of embedded video files, you must write ActionScript to
control the Timeline containing the video. For more information see “Control video playback using the Timeline” on
page 320.
More Help topics
“The FLVPlayback component” on page 327
“Controlling external video playback with ActionScript” on page 325
The Video Import Wizard
The Video Import Wizard simplifies the importing of video into a Flash Pro document by guiding you through the
process of selecting an existing video file, and importing the file for use in one of three different video playback
scenarios. The Video Import Wizard provides a basic level of configuration for the import and playback method you
choose, which you can later modify for your specific requirements.
The Video Import dialog box provides three video import options:
Load external video with playback component Imports the video and creates an instance of the FLVPlayback
component to control video playback. When you are ready to publish the Flash document as a SWF and upload it to
your web server, you must also upload the video file to either a web server or Flash Media Server, and configure the
FLVPlayback component with the location of the uploaded video file.
Embed FLV or F4V in SWF and play in timeline Embeds the FLV or F4V into the Flash document. When you import
video this way, the video is placed in the Timeline where you can see the individual video frames represented in the
Timeline frames. An embedded FLV or F4V video file becomes part of the Flash Pro document.
Note: Embedding video content directly into the Flash Pro SWF file significantly increases the size of published file, and
is only suitable for small video files. In addition, the audio to video synchronization (also known as audio/video sync) can
become mis-synchronized when using longer video clips embedded in the Flash document.
Import as mobile device video bundled in SWF Similar to embedding a video in a Flash Pro document, you bundle a
video into a Flash Lite document for deployment to a mobile device. For information on using video in Flash Lite

311
USING FLASH PROFESSIONAL
Video
Last updated 1/16/2012
documents, see Working with video in Developing Flash Lite 2.x and 3.x Applications or Working with video in
Developing Flash Lite 4 Applications.
Video formats and Flash
To import video into Flash you must use video encoded in the FLV or H.264 format. The Video Import Wizard (File >
Import
> Import Video) checks video files that you select for import, and alerts you if the video might not be in a
format that Flash can play. In the event that the video is not in either the FLV or F4V format, you can use Adobe®
Media® Encoder to encode the video in the appropriate format.
Adobe Media Encoder
Adobe® Media® Encoder is a stand-alone encoding application employed by programs such as Adobe® Premiere® Pro,
Adobe® Soundbooth®, and Flash Pro for output to certain media formats. Depending on the program, the Adobe
Media Encoder provides a specialized Export Settings dialog box that accommodates the numerous settings associated
with certain export formats, such as Adobe Flash Video and H.264. For each format, the Export Settings dialog box
includes a number of presets that are tailored for particular delivery media. You can also save custom presets, which
you can share with others or reload as needed.
For information on encoding video in the FLV or F4V format using Adobe Media Encoder, see Using Adobe Media
Encoder.
The H.264, On2 VP6, and Sorenson Spark video codecs
When encoding video using Adobe Media Encoder, you can choose from three different video codecs with which to
encode your video content for use with Flash:
H.264 Support for the H.264 video codec was incorporated into Flash Player beginning with version 9.0.r115. The F4V
video format which uses this codec provides a significantly better quality-to-bitrate ratio than previous Flash video
codecs, however, it is more computationally demanding than the Sorenson Spark and On2 VP6 video codecs released
with Flash Player 7 and 8.
Note: If you need to use video with alpha channel support for compositing, you must use the On2 VP6 video codec; F4V
does not support alpha video channels.
On2 VP6 The On2 VP6 codec is the preferred video codec to use when creating FLV files you intend to use with Flash
Player 8 and higher. The On2 VP6 codec provides:
•Higher quality video when compared to the Sorenson Spark codec encoded at the same data rate
•Support for the use of an 8-bit alpha channel to composite video
To support better quality video at the same data rate, the On2 VP6 codec is noticeably slower to encode and requires
more processor power on the client computer to decode and play back. For this reason, carefully consider the lowest
common denominator of computer you intend your viewing audience to use when accessing your FLV video
content.
Sorenson Spark Introduced in Flash Player 6, the Sorenson Spark video codec should be used if you intend to publish
Flash documents requiring backwards compatibility to Flash Player 6 and 7. If you anticipate a large user base that uses
older computers, you should consider FLV files encoded with the Sorenson Spark codec, as it is much less
computationally demanding to play back than either the On2 VP6 or H.264 codecs.

312
USING FLASH PROFESSIONAL
Video
Last updated 1/16/2012
If your Flash Pro content dynamically loads Flash Pro video (using either progressive download or Flash Media
Server), you can use On2 VP6 video without having to republish a SWF file originally created for use with Flash Player
6 or 7, as long as users use Flash Player 8 or later to view your content. By streaming or downloading On2 VP6 video
into Flash SWF versions 6 or 7, and playing the content using Flash Player 8 or later, you avoid having to recreate your
SWF files for use with Flash Player 8 and later versions.
Important: Only Flash Player 8 and 9 support both publish and playback of On2 VP6 video.
Tips for creating Adobe FLV and F4V video
Follow these guidelines to deliver the best possible FLV or F4V video:
Work with video in the native format of your project until your final output
If you convert a precompressed digital video format into another format such as FLV or F4V, the previous encoder
can introduce video noise. The first compressor already applied its encoding algorithm to the video, reducing its
quality, frame size, and rate. That compression may have also introduced digital artifacts or noise. This additional
noise affects the final encoding process, and a higher data rate may be required to encode a good-quality file.
Strive for simplicity
Avoid elaborate transitions—they don’t compress well and can make your final compressed video look “chunky”
during the change. Hard cuts (as opposed to dissolves) are usually best. Eye-catching video sequences—for instance
showing an object zooming from behind the first track, doing a “page peel,” or wrapping around a ball and then flying
off the screen—don’t compress well and should be used sparingly.
Know your audience data rate
When you deliver video over the Internet, produce files at lower data rates. Users with fast Internet connections can
view the files with little or no delay for loading, but dial-up users must wait for files to download. Make the clips short
to keep the download times within acceptable limits for dial-up users.
Select the proper frame rate
Frame rate indicates frames per second (fps). If you have a higher data rate clip, a lower frame rate can improve
playback through limited bandwidth. For example, if you are compressing a clip with little motion, cutting the
frame
rate in half probably saves you only 20% of the data rate. However, if you are compressing high-motion video, reducing
the frame rate has a much greater effect on the data
rate.
Because video looks much better at native frame rates, leave the frame rate high if your delivery channels and playback
platforms allow. For web delivery, get this detail from your hosting service. For mobile devices, use the device-specific
encoding presets, and the device emulator available through Adobe Media Encoder in Adobe Premiere Pro. If you
need to reduce the frame rate, the best results come from dividing the frame rate by whole numbers.
Codec SWF version (publish version) Flash Player version (required for
playback)
Sorenson Spark 6 6, 7, 8
7 7, 8, 9, 10
On2 VP6 6, 7, 8 8, 9, 10
H.264 9.2 or later 9.2 or later

313
USING FLASH PROFESSIONAL
Video
Last updated 1/16/2012
Select a frame size that fits your data rate and frame aspect ratio
At a given data rate (connection speed), increasing the frame size decreases video quality. When you select the frame
size for your encoding settings, consider frame rate, source material, and personal preferences. To prevent
pillarboxing, it’s important to choose a frame size of the same aspect ratio as that of your source footage. For example,
you get pillarboxing if you encode NTSC footage to a PAL frame size.
Adobe Media Encoder makes several Adobe FLV or F4V video presets available. These include preset frame sizes and
frame rates for the different television standards at different data rates. Use the following list of common frame sizes
(in pixels) as a guide, or experiment with the various Adobe Media Encoder presets to find the best setting for your
project.
Dial-up Modem NTSC 4 x 3 162 x 120
Dial-up Modem PAL 4 x 3 160 x 120
T1/DSL/cable NTSC 4 x 3 648 x 480
T1/DSL/cable PAL 4 x 3 768 x 576
Stream for best performance
To eliminate download time, provide deep interactivity and navigation capabilities, or monitor quality of service,
stream Adobe FLV or F4V video files with the Flash Media Server or use the hosted service from one of Adobe’s Flash
Video Streaming Service partners available through the Adobe website. For more details on the difference between
Progressive Download and Streaming with Flash Media Server, see “Delivering Flash Video: Understanding the
Difference Between Progressive Download and Streaming Video” on the Flash Developer Center website.
Know progressive download times
Know how long it will take to download enough of your video so that it can play to the end without pausing to finish
downloading. While the first part of your video clip downloads, you may want to display other content that disguises
the download. For short clips, use the following formula: Pause = download time – play time + 10% of play time. For
example, if your clip is 30 seconds long and it takes one minute to download, give your clip a 33-second buffer (60
seconds – 30 seconds + 3 seconds = 33 seconds).
Remove noise and interlacing
For the best encoding, you might need to remove noise and interlacing.
The higher the quality of the original, the better the final result. Although frame rates and sizes of Internet video are
usually smaller than those of television, computer monitors have much better color fidelity, saturation, sharpness, and
resolution than conventional televisions. Even with a small window, image quality can be more important for digital
video than for standard analog television. Artifacts and noise that are barely noticeable on TV can be obvious on a
computer screen.
Adobe Flash is intended for progressive display on computer screens and other devices, rather than on interlaced
displays such as TVs. Interlaced footage viewed on a progressive display can exhibit alternating vertical lines in high-
motion areas. Thus, Adobe Media Encoder removes interlacing from all video footage that it processes.
Follow the same guidelines for audio
The same considerations apply to audio production as to video production. To achieve good audio compression, begin
with clean audio. If you are encoding material from a CD, try to record the file using direct digital transfer instead of
through the analog input of your sound card. The sound card introduces an unnecessary digital-to-analog and analog-
to-digital conversion that can create noise in your source audio. Direct digital transfer tools are available for Windows
and Macintosh platforms. To record from an analog source, use the highest-quality sound card available.

314
USING FLASH PROFESSIONAL
Video
Last updated 1/16/2012
Note: If your source audio file is monaural (mono), it is recommended that you encode in mono for use with Flash. If you
are encoding with Adobe Media Encoder, and using an encoding preset, be sure to check if the preset encodes in stereo or
mono, and select mono if necessary.
More Help topics
“Video formats and Flash” on page 311
“The H.264, On2 VP6, and Sorenson Spark video codecs” on page 311
Tutorials and examples
The following video tutorials and articles provide detailed explanations of creating and preparing video for use in Flash
Pro. Some items show Flash Pro CS3 or CS4, but still apply to Flash Pro CS5.
•Video: Creating FLV and F4V files (4:23) (Adobe.com)
•Video: Flash 411 - Video encoding basics (15:16) (Adobe.com)
•Video: Batch encoding with Adobe Media Encoder (5:45) (Adobe.com)
•Article: Using Adobe Media Encoder (Adobe.com)
•Article: H.264 for the rest of us (Adobe.com)
Add video to Flash
Flash provides several methods by which you can incorporate video into your Flash document and play it back for
users.
Before you begin
Before you start working with video in Flash Pro, it is important to understand the following information:
•Flash Pro can only play specific video formats.
These include FLV, F4V, and MPEG video. For instructions on converting video in other formats, see “Create video
files for use in Flash” on page 309.
•Use the separate Adobe Media Encoder application (included with Flash Pro) to convert other video formats to
FLV and F4V. For instructions, see “Create video files for use in Flash” on page 309.
•There are different ways of adding video to Flash Pro, each with advantages in different situations. See below for a
list of these methods.
•Flash Pro includes a Video Import Wizard that opens when you choose File > Import > Import Video.
•Using the FLVPlayback component is the simplest way to quickly get video playing in a Flash Pro file.
For instructions, see “Progressively download video using a web server” on page 315.

315
USING FLASH PROFESSIONAL
Video
Last updated 1/16/2012
Methods for using video in Flash
You can use video in Flash Pro in different ways:
•Progressive download from a web server
This method keeps the video file external to the Flash Pro file and the resulting SWF file. This keeps the SWF file
size small. This is the most common method of using video in Flash Pro.
•Stream video using Adobe Flash Media Server.
This method also keeps the video file external to your Flash Pro file. Adobe Flash Media Streaming Server gives you
secure protection of your video content in addition to a smooth streaming playback experience.
•Embed video data directly inside a Flash Pro file
This method results in very large Flash Pro files, and is only recommended for short video clips. For instructions,
see “Embed a video file within a Flash file” on page 317.
Progressively download video using a web server
Progressive downloading lets you use either the FLVPlayback component or ActionScript that you write to load and
play back external FLV or F4V files in a SWF file at runtime.
Because the video file is kept external to the other Flash Pro content, it’s relatively easy to update video content without
republishing the SWF file.
Progressive downloading provides the following advantages over embedding video in the Timeline:
•During authoring, you can publish only your SWF file to preview or test part or all of your Flash Pro content. This
results in faster preview times and quicker turnaround on iterative experimentation.
•During playback, video begins playing as soon as the first segment of video is downloaded and cached to the local
computer’s disk drive.
•At runtime, video files are loaded by Flash Player from the computer’s disk drive into the SWF file, with no
limitation on video file size or duration. No audio synchronization issues or memory restrictions exist.
•The frame rate of the video file can be different from the frame rate of the SWF file, allowing for greater flexibility
in authoring Flash Pro content.
Import video for progressive download
You can import a video file that is stored locally on your computer, and then upload the video file to a server after
importing it to your FLA file. In Flash, when you import video for progressive download, you are really adding only a
reference to the video file. Flash uses the reference to find the video file on your local computer or on a web server.
You can also import a video file that is already uploaded to a standard web server, an Adobe Flash Media Server (FMS),
or Flash Video Streaming Service (FVSS).
1Select File > Import > Import Video to import the video clip into the current Flash Pro document.
2Select the video clip to import. You can select either a video clip located on your local computer, or enter the URL
of a video already uploaded to a web server or Flash Media Server.
•To import video located on your local computer, select Load external video with playback component.
•To import video already deployed to a web server, Flash Media Server, or Flash Video Streaming Service, select
Already deployed to a web server, Flash Video Streaming Service, or Stream From Flash Media Server, and enter
the URL of the video clip.

316
USING FLASH PROFESSIONAL
Video
Last updated 1/16/2012
Note: The URL for a video clip located on a web server will use the http communication protocol. The URL for a
video clip located on a Flash Media Server or Flash Streaming Service will use the RTMP communication protocol.
3Select a skin for your video clip. You can choose to:
•Not use a skin with the FLVPlayback component by selecting None.
•Select one of the predefined FLVPlayback component skins. Flash Pro copies the skin into the same folder as the
FLA file.
Note: FLVPlayback component skins are slightly different depending on whether you are creating an AS2- or AS3-
based Flash document.
•Select a custom skin of your own design by entering the URL of the skin on the web server.
4The Video Import Wizard creates an FLVPlayback video component on the Stage that you can use to test video
playback locally. When you finish creating your Flash document and want to deploy the SWF file and video clip,
upload the following assets to the web server or Flash Media Server hosting your video:
•If using a local copy of the video clip, upload the video clip (which is located in the same folder as the source
video clip you selected with a .flv extension)
Note: Flash Pro uses a relative path to point to the FLV or F4V file (relative to the SWF file), letting you use the
same directory structure locally that you use on the server. If the video was previously deployed to your FMS or the
FVSS hosting your video, you can skip this step.
•The video skin (if you chose to use a skin)
To use a predefined skin, Flash Pro copies the skin into the same folder as the FLA file.
•The FLVPlayback component
To edit the FLVPlayback component’s URL field to that of the web server or Flash Media Server that you are
uploading the video to, use the Component inspector (Windows
> Component inspector) to edit the
contentPath parameter.
More Help topics
“Specify the contentPath or source parameter” on page 328
“The FLVPlayback component” on page 327
Stream video using Adobe Flash Media Server
Flash Media Server streams media in real-time to Flash Player and AIR. Flash Media Server uses bandwidth detection
to deliver video or audio content based on the user’s available bandwidth.
Streaming video with Flash Media Server provides the following advantages over embedded and progressively
downloaded video:
•Video playback starts sooner than it does using other methods of incorporating video.
•Streaming uses less of the client's memory and disk space, because the clients don’t need to download the entire file.
•Network resources are used more efficiently, because only the parts of the video that are viewed are sent to the
client.
•Delivery of media is more secure, because media is not saved to the client’s cache when streamed.
•Streaming video provides better tracking, reporting, and logging ability.

317
USING FLASH PROFESSIONAL
Video
Last updated 1/16/2012
•Streaming lets you deliver live video and audio presentations, or capture video from a web cam or digital video
camera.
•Flash Media Server enables multiway and multiuser streaming for video chat, video messaging, and video
conferencing applications.
•By using server-side scripting to control video and audio streams, you can create server-side play lists, synchronized
streams, and more intelligent delivery options based on the client’s connection speed.
To learn more about Flash Media Server, see www.adobe.com/go/flash_media_server.
To learn more about Flash Video Streaming Service, see www.adobe.com/go/learn_fvss_en.
More Help topics
“The FLVPlayback component” on page 327
Embed a video file within a Flash file
When you embed a video file, all of the video file data is added to the Flash Pro file. This results in a much larger Flash
Pro file and subsequent SWF file. The video is placed in the Timeline where you can see the individual video frames
represented in the Timeline frames. Because each video frame is represented by a frame in the Timeline, the frame rate
of the video clip and the SWF file must be set to the same rate. If you use different frame rates for the SWF file and the
embedded video clip, video playback is inconsistent.
Note: To use variable frame rates, stream the video using either progressive downloading or Flash Media Server. When
you import video files using either of these methods, the FLV or F4V files are self-contained and run at a frame rate
separate from that of all other timeline frame rates included in the SWF file.
Embedded video works best for smaller video clips, with a playback time of less than 10 seconds. If you are using video
clips with longer playback times, consider using progressively downloaded video, or streaming video using Flash
Media Server.
The limitations of embedded video include:
•You might encounter problems if the resulting SWF files become excessively large. Flash Player reserves a lot of
memory when downloading and attempting to play large SWF files with embedded video, which can cause Flash
Player to fail.
•Longer video files (over 10 seconds long) often have synchronization issues between the video and audio portions
of a video clip. Over time, the audio track begins playing out of sequence with the video, causing a less than desirable
viewing experience.
•To play a video embedded in a SWF file, the entire video file must be downloaded before the video starts to play. If
you embed an excessively large video file, it might take a long time for the SWF file to download in its entirety and
for playback to start.
•After a video clip is imported, it cannot be edited. Instead, you must re-edit and re-import the video file.
•When publishing your SWF file via the web, the entire video must be downloaded to the viewer’s computer before
video playback can begin.
•At runtime, the entire video must fit into the local memory of the playback computer.
•The length of an imported video file cannot exceed 16000 frames.
•The video frame rate and Flash Pro Timeline frame rate must be the same. Set the frame rate of your Flash Pro file
to match the frame rate of the embedded video.

318
USING FLASH PROFESSIONAL
Video
Last updated 1/16/2012
You can preview frames of an embedded video by dragging the playhead along the Timeline (scrubbing). Note that the
video sound track does not play back during scrubbing. To preview the video with sound, use the Test Movie
command.
More Help topics
“Video formats and Flash” on page 311
“Test document download performance” on page 486
“About symbols” on page 150
Embed video within a Flash file
1Select File > Import > Import Video to import the video clip into the current Flash Pro document.
2Select the video clip on your local computer to import.
3Select Embed FLV In SWF and Play In Timeline.
4Click Next.
5Choose the symbol type with which to embed the video in the SWF file.
Embedded Video If you’re using the video clip for linear playback in the Timeline, importing the video into the
Timeline is the most appropriate method.
Movie Clip A best practice is to place video inside a movie clip instance, because you have the most control over the
content. The video’s Timeline plays independently from the main Timeline. You do not have to extend your main
Timeline by many frames to accommodate the video, which can make working with your FLA file difficult.
Graphic When you embed a video clip as a graphic symbol, you cannot interact with the video using ActionScript
(typically you use graphic symbols for static images and to create reusable pieces of animation that are tied to the main
Timeline).
6Import the video clip directly onto the Stage (and the Timeline) or as a library item.
By default, Flash Pro places the video you import on the Stage. To import into the library only, deselect Place Instance
on Stage.
If you’re creating a simple video presentation with linear narration and little to no interaction, accept the default
setting and import the video to the Stage. To create a more dynamic presentation, work with multiple video clips, or
add dynamic transitions or other elements using ActionScript, import the video into the library. After a video clip is
in the library, customize it by converting it into a MovieClip object that you can more easily control with ActionScript.
By default, Flash Pro expands the Timeline to accommodate the playback length of the video clip you are embedding.
7Click Finish.
The Video Import wizard embeds the video into the SWF file. The video appears either on the Stage or in the library
depending on the embedding options you chose.
8In the Property inspector (Window > Properties), give the video clip an instance name, and make any
modifications to the video clip’s properties.
Import video files into the library
To import files in the FLV or F4V format, use the Import or Import To Library commands or the Import button in the
Video Properties dialog box.

319
USING FLASH PROFESSIONAL
Video
Last updated 1/16/2012
To create your own video player, which dynamically loads FLV or F4V files from an external source, place your video
inside a movie clip symbol. When you load FLV or F4V files dynamically, adjust the dimensions of the movie clip to
match the actual dimension of the video file and scale the video by scaling the movie clip.
Note: A best practice is to place video inside a movie clip instance, which gives you the most control over the content. The
video’s Timeline plays independently from the main Timeline. You do not have to extend your main Timeline by many
frames to accommodate the video, which can make working with your FLA file difficult.
❖To import an FLV or F4V file into the library, do one of the following:
•Select File > Import > Import To Library.
•Select any existing video clip in the Library Panel, and select Properties from the Library Panel menu. Click Import.
Locate the file to import, and click Open.
Change the properties of a video clip
You can change properties for an instance of an embedded video clip on the Stage, assign the instance an instance
name, and change its width, height, and position on the Stage using the Property inspector. You can also swap an
instance of a video clip—assign a different symbol to an instance of a video clip. Assigning a different symbol to an
instance displays a different instance on the Stage but leaves all the other instance properties (such as dimensions and
registration point) intact.
In the Video Properties dialog box, you can do the following:
•View information about an imported video clip, including its name, path, creation date, pixel dimensions, length,
and file size
•Change the video clip name
•Update the video clip if you modify it in an external editor
•Import an FLV or F4V file to replace the selected clip
•Export a video clip as an FLV or F4V file
For lessons on working with video, see the Adobe Flash Support Center at www.adobe.com/go/flash_video.
Change video instance properties in the Property inspector
1Select an instance of an embedded or linked video clip on the Stage.
2Select Window > Properties, and do any of the following:
•Enter an instance name in the Name text field on the left side of the Property inspector.
•Enter values for W and H to change the dimensions of the video instance.
•Enter values for X and Y to change the position of the upper-left corner of the instance on the Stage.
•Click Swap. Select a video clip to replace the clip currently assigned to the instance.
Note: You can swap an embedded video clip only with another embedded video clip, and you can swap a linked video clip
only with another linked video clip.
View video clip properties in the Video Properties dialog box
1Select a video clip in the Library Panel.
2Select Properties from the Library Panel menu, or click the Properties button located at the bottom of the Library
Panel. The Video Properties dialog box is displayed.

320
USING FLASH PROFESSIONAL
Video
Last updated 1/16/2012
Assign a new name to, update, or replace a video with an FLV or F4V file
1Select the video clip in the Library Panel and select Properties from the Library Panel menu.
2Do one of the following:
•To assign a new name, enter the name in the Name text field.
•To update a video, navigate to the updated video file and click Open.
•To replace a video with an FLV or F4V file, click Import, navigate to the FLV or F4V file to replace the current clip,
and click Open.
Control video playback using the Timeline
To control playback of an embedded video file, control the Timeline that contains the video. For example, to pause a
video playing on the main Timeline, you would call a stop() action that targets that Timeline. Similarly, you can
control a video object in a movie clip symbol by controlling the playback of that symbol’s Timeline.
You can apply the following actions to imported video objects in movie clips: goTo, play, stop, toggleHighQuality,
stopAllSounds, getURL,FScommand, loadMovie, unloadMovie, ifFrameLoaded, and onMouseEvent. To apply
actions to a Video object, first convert the Video object to a movie clip.
To show a live video stream from a camera, use ActionScript. First, place a Video object on the Stage, select New Video
from the Library Panel menu. To attach the video stream to the Video object, use Video.attachVideo.
See also Video and attachVideo (Video.attachVideo method) in the ActionScript 2.0 Language Reference, and fl.video
in the ActionScript 3.0 Language Reference.
More Help topics
“Playing external FLV or F4V files dynamically” on page 325
Update an embedded video after editing its source file
1Select the video clip in the Library Panel.
2Select Properties and click Update.
The embedded video clip is updated with the edited file. The compression settings you selected when you first
imported the video are reapplied to the updated clip.
Tutorials and examples
The following videos and articles provide additional detailed information about working with video in Flash Pro. Some
videos show Flash Pro CS3 or CS4, but still apply to Flash Pro CS5.
•Article: Video Learning Guide for Flash (Adobe.com)
•Video: Working with video (3:23) (Adobe.com)
•Video: Importing and using video in Flash (CS3) (1:50) (Adobe.com)
•Video: Flash 411 - Video players for the Flash phobic (10:26) (Adobe.com)
•Video: Flash 411 – Video crash course (10:43) (Adobe.com)
•Video: Exporting from After Effects to Flash (6:02) (Adobe.com)
•Video: Exporting from After Effects to Flash via XFL (2:43) (Adobe.com)
•Video: Converting metadata and markers to cue points (4:07) (Adobe.com)
•Video: Flash 411 - Hookin’ up with Flash Media Server (21:29) (Adobe.com)

321
USING FLASH PROFESSIONAL
Video
Last updated 1/16/2012
•Video: Advanced Video Streaming and Mgmt Techs with Flex and Flash (73:45) (Adobe.com)
•Article: Video Learning Guide for Flash (Adobe.com)
•Article: Getting started with the ActionScript 3 FLVPlayback component (Adobe.com)
•Article: Skinning the ActionScript 3 FLVPlayback component (Adobe.com)
•Article: Controlling web video with ActionScript 3 FLVPlayback programming (Adobe.com)
•Article: Web video template: Spokesperson presentation with synchronized graphics (Adobe.com)
•Article: Web video template: Showcase website for personal video (Adobe.com)
Working with video cue points
Use video cue points to allow events to be triggered at specific times in the video. There are two kinds of cue points
that you can work with in Flash:
•Encoded cue points. These are cue points you add when encoding video with Adobe Media Encoder. For more
information about adding cue points in Adobe Media Encoder, see Using Adobe Media Encoder. Encoded cue
points can be accessed by other applications in addition to Flash.
•ActionScript cue points. These are cue points you add to a video with the Property inspector in Flash. ActionScript
cue points are accessible only to Flash and Flash Player. For more information about ActionScript cue points, see
Understanding Cue Points in the ActionScript 3.0 Developer’s Guide.
When an FLVPlayback component instance is selected on the Stage, the video cue points list appears in the Property
inspector. You can also preview the entire video on the Stage and add ActionScript cue points using the Property
inspector while previewing the video, including videos served by Flash Media Server.
A video tutorial about working with video cue points is available at www.adobe.com/go/lrvid5302_fl_en.
To work with cue points in the Property inspector:
1 Import video as progressive download, or place the FLVPlayback component on the stage and specify the source
video. You can specify the source video in the Property inspector.
2In the Property inspector, click Cue Points to expand the section, if it's not already open.
3Click the Add button (+) to add an ActionScript cue point, and the Delete button (-) to delete an existing cue point.
You can specify the time by dragging the mouse right or left to increase or decrease the timecode value, or by typing
in a value.
4To add a parameter to a cue point, select the ActionScript cue point and click the Add button (+) at the bottom of
Parameters section.
5You can rename the ActionScript cue points and any parameters by clicking in the name field and editing the name.
You can import and export lists of cue point from within the Property inspector. Only ActionScript cue points can be
imported to avoid conflicts with cue points that have already been embedded inside the video during encoding.
The Import and Export cue point buttons at the top of Cue Points section allow you to import or export cue point lists
in XML format. When exporting, the list includes all Navigation and Event cue points which are embedded in the
video, along with all ActionScript cue points you have added. When importing, a dialog showing the number of
ActionScript cue points imported is displayed.

322
USING FLASH PROFESSIONAL
Video
Last updated 1/16/2012
Working with Adobe Premiere Pro and After Effects
Working with Adobe Premiere Pro and Adobe Flash
Adobe Premiere Pro is a professional tool for editing video. If you use Adobe Flash Professional to design interactive
content for websites or mobile devices, you can use Adobe
Premiere Pro to edit the movies for those projects.
Adobe
Premiere Pro gives you professional tools for frame-accurate video editing, including tools for optimizing
video files for playback on computer screens and mobile devices.
Adobe Flash Professional is a tool for incorporating video footage into presentations for the web and mobile devices.
Adobe Flash offers technological and creative benefits that let you fuse video with data, graphics, sound, and
interactive control. The FLV and F4V formats let you put video on a web page in a format that almost anyone can view.
You can export FLV and F4V files from Adobe Premiere Pro. You can embed those files into interactive websites or
applications for mobile devices with Adobe Flash. Adobe Flash can import sequence markers you add in an
Adobe
Premiere Pro sequence as cue points. You can use these cue points to trigger events in SWF files on playback.
If you export video files in other standard formats, Adobe Flash can encode your videos within rich media applications.
Adobe Flash uses the latest compression technologies to deliver the greatest quality possible at small file sizes.
Moving assets between Adobe Premiere Pro and Adobe Flash
In Adobe Premiere Pro, you can add Flash cue point markers to a timeline. Flash cue point markers serve as cue points
in a rich media application. There are two types of cue point markers: event and navigational cue point markers. You
can use navigational cue point markers to navigate to different sections of FLV and F4V files, and to trigger the display
of onscreen texts. You can use event cue point markers for triggering action scripts at specified times in FLV and F4V
files.
You can export a movie from Adobe Premiere Pro directly into the FLV and F4V formats. You can choose from
severalExport Settings presets. These presets balance file size against audio and video quality to achieve the bit rate
needed for any target audience or device. If you export the movie with an alpha channel, you can use the movie easily
used as a layer in a rich media project.
You can import the FLV or F4V file into Adobe Flash. Flash reads sequence markers as navigational or event cue
points. In Flash, you can also customize the interface that surrounds your video.
Alternatively, you can use Flash to create animations for use in movies. You can create an animation in Flash. You can
export the animation as an FLV or F4V file. Then, you can import the FLV or F4V file into Adobe
Premiere Pro for
editing. In Adobe
Premiere Pro, for example, you could add titles or mix the animation with other video sources.
Working with Flash and After Effects
If you use Adobe® Flash® to create video or animation, you can use After Effects to edit and refine the video. For
example, from Flash you can export animations and applications as QuickTime movies or Flash Video (FLV) files. You
can then use After Effects to edit and refine the video.
If you use After Effects to edit and composite video, you can then use Flash to publish that video. You can also export
an After Effects composition as XFL content for further editing in Flash.
Flash and After Effects use separate terms for some concepts that they share in common, including the following:
•A composition in After Effects is like a movie clip in Flash Professional.
•The composition frame in the Composition panel is like the Stage in Flash Professional.

323
USING FLASH PROFESSIONAL
Video
Last updated 1/16/2012
•The Project panel in After Effects is like the Library panel in Flash Professional.
•Project files in After Effects are like FLA files in Flash Professional.
•You render and export a movie from After Effects; you publish a SWF file from Flash Professional.
Additional resources
The following video tutorials provide additional detailed information about using Flash together with After Effects:
•“Importing and exporting XFL files between Flash and After Effects” at www.adobe.com/go/lrvid4098_xp.
•“Exporting an After Effects composition to Flash Professional using SWF, F4V/FLV, and XFL” at
www.adobe.com/go/lrvid4105_xp.
•“Converting metadata and markers to cue points for use in Flash” at www.adobe.com/go/lrvid4111_xp.
•Michael Coleman, product manager for After Effects, provides a video of a presentation from Adobe MAX on
Adobe TV in which he demonstrates the use of mocha for After Effects and Flash together to dynamically replace
a video at run time in Flash Player: http://www.adobe.com/go/learn_aefl_vid15383v1008_en
•Tom Green provides a brief video tutorial on the Layers Magazine website that shows how to use the XFL format
to export an After Effects composition for use in Flash Professional: http://www.layersmagazine.com/exporting-
xfl-fomrat-from-after-effects-to-flash.html
The following articles provide additional information about using Flash and After Effects together:
•Richard Harrington and Marcus Geduld provide an excerpt, "Flash Essentials for After EffectsUsers", of their book
After Effects for Flash | Flash for After Effects on the Peachpit website. In this chapter, Richard and Marcus explain
Flash in terms that an After
Effects user can understand. http://www.peachpit.com/articles/article.aspx?p=1350895
•Richard Harrington and Marcus Geduld also provide "After Effects Essentials for Flash Users", another excerpt
from their book After Effects for Flash | Flash for After Effects. In this chapter, Richard and Marcus explain
After
Effects in terms that a Flash user can understand. http://www.peachpit.com/articles/article.aspx?p=1350894
•Tom Green provides a detailed article titled IntegratingFlash Professional CS4 with After Effects CS4 in the Flash
Developer Center: http://www.adobe.com/go/learn_aefl_integrating_fl_ae_en
•Robert Powers provides a video tutorial on the Slippery Rock NYC website that shows the basics of usingAfter
Effects from the perspective of someone who is familiar withFlash Professional.
Exporting QuickTime video from Flash
If you create animations or applications with Flash, you can export them as QuickTime movies using the File > Export
> Export Movie command in Flash. For a Flash animation, you can optimize the video output for animation. For a
Flash application, Flash renders video of the application as it runs, allowing the user to manipulate it. This lets you
capture the branches or states of your application that you want to include in the video file.
Rendering and exporting FLV and F4V files from After Effects
When you render finished video from After Effects, select FLV or F4V as the output format to render and export video
that can play in Flash Player. You can then import the FLV or F4V file into Flash and publish it in a SWF file, which
can be played by Flash Player.
Importing and publishing video in Flash
When you import an FLV or F4V file into Flash, you can use various techniques, such as scripting or Flash
components, to control the visual interface that surrounds your video. For example, you might include playback
controls or other graphics. You can also add graphic layers on top of the FLV or F4V file for composite results.

324
USING FLASH PROFESSIONAL
Video
Last updated 1/16/2012
Composite graphics, animation, and video
Flash and After Effects each include many capabilities that allow you to perform complex compositing of video and
graphics. Which application you choose to use will depend on your personal preferences and the type of final output
you want to create.
Flash is the more web-oriented of the two applications, with its small final file size. Flash also allows for run-time
control of animation. After
Effects is oriented toward video and film production, provides a wide range of visual
effects, and is generally used to create video files as final output.
Both applications can be used to create original graphics and animation. Both use a timeline and offer scripting
capabilities for controlling animation programmatically. After
Effects includes a larger set of effects, while the Flash
ActionScript® language is the more robust of the two scripting environments.
Both applications allow you to place graphics on separate layers for compositing. These layers can be turned on and
off as needed. Both also allow you to apply effects to the contents of individual layers.
In Flash, composites do not affect the video content directly; they affect only the appearance of the video during
playback in Flash Player. In contrast, when you composite with imported video in After
Effects, the video file you
export actually incorporates the composited graphics and effects.
Because all drawing and painting in After Effects is done on layers separate from any imported video, it is always non-
destructive. Flash has both destructive and nondestructive drawing modes.
Exporting After Effects content for use in Flash
You can export After Effects content for use in Flash. You can export a SWF file that can be played immediately in
Flash Player or used as part of another rich media project. When you export content from After
Effects in SWF format,
some of the content may be flattened and rasterized in the SWF file.
To edit your After Effects content further in Flash, export a composition as an XFL file. An XFL file is a type of Flash
file that stores the same information as a FLA file, but in XML format. When you export a composition from
After
Effects as XFL for use in Flash, some of the layers and keyframes that you created in After Effects are preserved
in the Flash version. When you import the XFL file in Flash, it unpacks the XFL file and adds the assets from the file
to your FLA file according to the instructions in the XFL file.
The following video tutorials provide detailed information about exporting XFL files from After Effects:
•Importing and exporting XFL files between Flash and After Effects (Adobe.com)
•Exporting XFL Format from After Effects to Flash (Tom Green, Layers Magazine)
Importing Flash SWF files into After Effects
Flash has a unique set of vector art tools that make it useful for a variety of drawing tasks not possible in After Effects
or Adobe® Illustrator®. You can import SWF files into After
Effects to composite them with other video or render them
as video with additional creative effects. Interactive content and scripted animation are not retained. Animation
defined by keyframes is retained.
Each SWF file imported into After Effects is flattened into a single continuously rasterized layer, with its alpha channel
preserved. Continuous rasterization means that graphics stay sharp as they are scaled up. This import method allows
you to use the root layer or object of your SWF files as a smoothly rendered element in After
Effects, allowing the best
capabilities of each tool to work together.
More Help topics
“Opening XFL files” on page 40

325
USING FLASH PROFESSIONAL
Video
Last updated 1/16/2012
Controlling external video playback with ActionScript
Playing external FLV or F4V files dynamically
An alternative to importing video into the Flash Pro authoring environment is to use either the FLVPlayback
component or ActionScript to dynamically play external FLV or F4V files in Flash Player. You can also use the
FLVPlayback component and ActionScript together.
You can play FLV or F4V files posted as HTTP downloads or as local media files. To play back an external FLV or F4V
file, post an FLV or F4V file to a URL (either an HTTP site or a local folder) and add either the FLVPlayback
component or ActionScript code to the Flash Pro document to access the file and control playback during runtime.
Using external FLV or F4V files provides the following capabilities that are not available when using imported video:
•You can use longer video clips without slowing down playback. External FLV or F4V files are played using cached
memory, which means that large files are stored in small pieces and accessed dynamically; they do not require as
much memory as embedded video
files.
•An external FLV or F4V file can have a different frame rate from the Flash Pro document in which it plays. For
example, you can set the Flash Pro document frame rate to 30 fps and the video frame rate to 21 fps, which gives
you greater control in ensuring smooth video playback.
•With external FLV or F4V files, Flash Pro document playback does not have to be interrupted while the video file
is loading. Imported video files can sometimes interrupt document playback to perform certain functions (for
example, to access a CD-ROM drive). FLV or F4V files can perform functions independently of the Flash Pro
document, and so do not interrupt playback.
•Captioning video content is easier with external FLV or F4V files because you can use callback functions to access
metadata for the video.
For more information on playing back FLV or F4V files, see “Playing back external FLV files dynamically” in Learning
ActionScript 2.0 in Adobe Flash or Basics of video in the ActionScript 3.0 Developer’s Guide.
More Help topics
“Stream video using Adobe Flash Media Server” on page 316
“Progressively download video using a web server” on page 315
Additional resources
The following resources are available with additional information about video and ActionScript:
Video tutorials:
•Creating a video player with ActionScript 3.0 (Creativecow.com)
•Creating a video player with ActionScript 2.0 (Creativecow.com)
Articles:
•Deconstructing the ActionScript 3 Flash video gallery application (Adobe.com)

326
USING FLASH PROFESSIONAL
Video
Last updated 1/16/2012
Behaviors used in video playback
Video behaviors provide one way to control video playback. Behaviors are prewritten ActionScript scripts that you add
to a triggering object to control another object. Behaviors add the power, control, and flexibility of ActionScript coding
to your document without having to create the ActionScript code. Video behaviors play, stop, pause, rewind, fast-
forward, show, and hide a video clip.
To control a video clip with a behavior, use the Behaviors panel to apply the behavior to a triggering object, such as a
movie clip. Specify the event that triggers the behavior (such as releasing the movie clip), select a target object (the
video that is affected by the behavior), and when necessary, select settings for the behavior, such as the number of
frames to rewind.
Note: The triggering object must be a movie clip. You cannot attach video playback behaviors to button symbols or button
components.
The following behaviors in Flash Pro control embedded video:
Control video playback using behaviors
1Select the movie clip to trigger the behavior.
2In the Behaviors panel (Window > Behaviors), click the Add (+) button, and select the desired behavior from the
Embedded Video submenu.
3Select the video to control.
4Select a Relative or Absolute path.
5If required, select settings for the behavior parameters and click OK.
6In the Behaviors panel under Event, click On Release (the default event) and select a mouse event. To use the On
Release event, leave the option unchanged.
More Help topics
“Controlling instances with behaviors” on page 176
“Control video playback using the Timeline” on page 320
Behavior Purpose Parameters
Play Video Plays a video in the current document. Instance name of target video
Stop Video Stops the video. Instance name of target video
Pause Video Pauses the video. Instance name of target video
Rewind Video Rewinds the video by the specified number of frames. Instance name of target video
Number of frames
Fast Forward Video Fast-forwards the video by the specified number of frames. Instance name of target video
Number of frames
Hide Video Hides the video. Instance name of target video
Show Video Shows the video. Instance name of target video

327
USING FLASH PROFESSIONAL
Video
Last updated 1/16/2012
The FLVPlayback component
The FLVPlayback component lets you include a video player in your Flash application to play progressively
downloaded video (FLV or F4V) files over HTTP, or play streaming FLV files from Flash Media Server (FMS) or a
Flash Video Streaming Service (FVSS).
The FLVPlayback component does the following:
•Provides a set of prefabricated skins to customize playback controls and the look and feel of the user interface.
•Lets advanced users create their own custom skins.
•Provides cue points to synchronize your video with the animation, text, and graphics in your Flash Pro application.
•Provides live preview of customizations.
•Maintains a reasonably sized SWF file for easy download.
The FLVPlayback component is the display area in which you view video. The FLVPlayback component includes
the FLV Custom UI controls, a set of control buttons that play, stop, pause, and control playback the video.
Configure the FLVPlayback component
1With the FLVPlayback component selected on the stage, open the Property inspector (Window > Properties) and
enter an instance name.
2Select Parameters in the Property inspector or open the Component inspector (Window > Components).
3Enter values for parameters or use default settings.
For each FLVPlayback component instance you can set the following parameters in the Property inspector or in the
Component inspector:
Note: In most instances, it is not necessary to alter the settings in the FLVPlayback component unless you want to change
the appearance of a video skin. The Video Import wizard sufficiently configures the parameters for most deployments.
autoPlay Boolean value that determines how to play the FLV or F4V. If true, the video plays immediately when it is
loaded. If false, loads the first frame and pauses. The default value is true.
autoRewind Boolean value that determines whether the video is automatically rewound. If true, the FLVPlayback
component automatically rewinds the video to the beginning when the playhead reaches the end or when the user
clicks the stop button. If false, the component does not automatically rewind the video. The default value is true.
autoSize Boolean value that, if true, resizes the component at runtime to use the source video dimensions. The
default value is false.
Note: The encoded frame size of the video is not the same as the default dimensions of the FLVPlayback component.
bufferTime Number of seconds to buffer before beginning playback. The default value is 0.
contentPath (AS2 files) String that specifies the URL to an FLV, F4V, or to an XML file that describes how to play the
video. Double-click the Value cell for this parameter to activate the Content Path dialog box. The default is an empty
string. If you do not specify a value for the contentPath parameter, nothing happens when Flash Pro executes the
FLVPlayback instance.
source (AS3 files) String that specifies the URL to an FLV, F4V, or to an XML file that describes how to play the video.
Double-click the Value cell for this parameter to activate the Content Path dialog box. The default is an empty string.
If you do not specify a value for the contentPath parameter, nothing happens when Flash Pro executes the
FLVPlayback instance.
isLive Boolean value that, if true, specifies that the video is streaming live from FMS. The default value is false.

328
USING FLASH PROFESSIONAL
Video
Last updated 1/16/2012
cuePoints A string that specifies the cue points for the video. Cue points allow you to synchronize specific points in
the video with Flash Pro animation, graphics, or text. The default value is an empty string.
maintainAspectRatio A Boolean value that, if true, resizes the video player in the FLVPlayback component to retain
the source video aspect ratio; the source video is still scaled and the FLVPlayback component itself is not resized. The
autoSize parameter takes precedence over this parameter. The default value is true.
skin A parameter that opens the Select Skin dialog box and allows you to choose a skin for the component. The default
value is None. If you choose None, the FLVPlayback instance does not have control elements that allow the user to
play, stop, or rewind the video, or take other actions that the controls make possible. If the autoPlay parameter is set
to true, the video plays automatically. For more information, see “Customizing the FLVPlayback component” in Using
ActionScript 3.0 Components or ActionScript 2.0 Components Language Reference.
totalTime Total number of seconds in the source video. The default value is 0. If you use progressive download, Flash
Pro uses this number if it is set to a value greater than zero (0). Otherwise, Flash Pro tries to take the time from
metadata.
Note: If you’re using FMS or FVSS, this value is ignored; the total time of the video is taken from the server.
volume A number from 0 to 100 that represents the percentage of maximum volume at which to set the volume.
Specify the contentPath or source parameter
If you imported a local video clip into Flash Pro for use with progressively downloaded or streaming video content,
update the contentPath (AS2 FLA files) or source (AS3 FLA files) parameter of the FLVPlayback component before
uploading your content to a web server or Flash Media Server. The contentPath or source parameter specifies the
name and location of the video file on the server, and implies the playback method (for example, progressively
downloading using HTTP, or streaming from Flash Media Server using RTMP).
1With the FLVPlayback component selected on the Stage, open the Property inspector (Window > Properties) and
select Parameters in the Property inspector, or open the Component inspector (Window
> Component Inspector).
2Enter values for parameters, or use the default settings as appropriate. For the contentPath or source parameter,
do the following:
aDouble-click the Value cell for the contentPath or source parameter to activate the Content Path dialog box.
bEnter the URL or local path to the FLV or F4V file, or the XML file (for Flash Media Server or FVSS) that describes
how to play the video.
If you do not know the location of the video or XML file, click the folder icon to navigate to the correct location. When
browsing for an video file, if it is at or below the location of the target SWF file, Flash Pro automatically makes the path
relative to that location so that it is ready for serving from a web server. Otherwise, it is an absolute Windows or
Macintosh file path.
If you specify an HTTP URL, the video file is a progressive download FLV or F4V file. If you specify a URL that is a
Real-Time Messaging Protocol (RTMP) URL, the video streams from a Flash Media Server (FMS). A URL to an XML
file could also be a streaming video file from FMS or from a FVSS.
Note: When you click OK on the Content Path dialog box, Flash Pro updates the value of the
cuePoints
parameter, too,
because you might have changed the
contentPath
parameter so that the
cuePoints
parameter no longer applies to the
current content path. As a result, you lose any disabled cue points, although not ActionScript cue points. For this reason,
you may want to disable non-ActionScript cue points through ActionScript, rather than through the Cue Points dialog box.

329
USING FLASH PROFESSIONAL
Video
Last updated 1/16/2012
When you specify the contentPath or source parameter, Flash Pro attempts to verify that the video you specified is
compatible with Flash Player. If you see a warning dialog box, try re-encoding the video to FLV or F4V format with
Adobe Media Encoder.
You can also specify the location of an XML file that describes how to play multiple video streams for multiple
bandwidths. The XML file uses Synchronized Multimedia Integration Language (SMIL) to describe the video files. For
a description of the XML SMIL file, see “Using a SMIL file” in the ActionScript 2.0 Components Language Reference.
Media components (Flash Player 6 and 7)
Note: The media components were introduced in Macromedia Flash MX Professional 2004 and are intended for use with
Flash Player 6 or 7. If you are developing video content to use with Flash Player 8, instead use the FLVPlayback
component introduced in Macromedia Flash Professional 8. The FLVPlayback component provides improved
functionality, giving you more control over video playback in the Flash Pro environment.
The media component suite consists of three components: MediaDisplay, MediaController, and MediaPlayback. With
the MediaDisplay component, to add media to your Flash Pro documents, drag the component to the Stage and
configure it in the Component inspector. In addition to setting the parameters in the Component inspector, you can
add cue points to trigger other actions. The MediaDisplay component has no visual representation during playback;
only the video clip is visible.
The MediaController component provides user interface controls that let the user interact with streaming media. The
Controller features Play, Pause, and Rewind to Start buttons and a volume control. It also includes playbars that show
how much of the media has loaded and how much has played. A playhead slider can be dragged forward and backward
on the playbar to navigate quickly to different parts of the video. Using behaviors or ActionScript, you can easily link
this component to the MediaDisplay component to show streaming video and provide user control.
The MediaPlayback component provides the easiest and quickest way to add video and a controller to your Flash Pro
documents. The MediaPlayback component combines the MediaDisplay and MediaController components into a
single, integrated component. The MediaDisplay and MediaController component instances are automatically linked
to each other for playback control.
To configure parameters for playback, size, and layout for all three components, use the Component inspector or the
Parameters tab in the Property inspector. All the media components work equally well with mp3 audio content.
For more information on the media components, “Media components,” in the ActionScript 2.0 Components Language
Reference.
Export QuickTime video files
Using Flash Pro, you can create QuickTime® movies (MOV files) that can be played back by users who have the
QuickTime plug-in installed on their computers. This is often done when people use Flash Pro to create title sequences
or animation for use as video content. The published QuickTime file can be distributed as a DVD, or incorporated into
other applications such as Adobe® Director® or Adobe® Premiere® Pro.
If you are creating a QuickTime video using Flash Pro, set your publish setting to Flash Pro 3, 4, or 5.
Note: The QuickTime Player does not support Flash Player files later than version 5.

331
Last updated 1/16/2012
Chapter 12: Creating accessible content
Creating accessible content
About accessible content
Accessibility overview
You can create content that is accessible to all users, including those with disabilities, using the accessibility features
that Adobe®
Flash® Professional CS5 provides in the authoring environment user interface, taking advantage of
ActionScript® designed to implement accessibility. As you design accessible Flash Pro applications, consider how users
might interact with the content and follow recommended design and development practices.
For a tutorial about accessible content, see Create Accessible Flash Content on the Flash Tutorials page at
www.adobe.com/go/learn_fl_tutorials.
For a sample of accessible rich media content, see the Flash Samples page at www.adobe.com/go/learn_fl_samples.
Download and decompress the Samples zip file and navigate to the Accessibility\AccessibleApplications folder to
access the sample.
For the latest information on creating and viewing accessible Flash Pro content, including supported platforms, screen
reader compatibility, articles, and accessible examples, see the Flash Pro Accessibility web page at
www.adobe.com/go/learn_flash_accessibility_en/.
Worldwide accessibility standards
Many countries have adopted accessibility standards based on the standards developed by the World Wide Web
Consortium (W3C). The W3C publishes the Web Content Accessibility Guidelines, a document that prioritizes actions
designers should take to make web content accessible. For information about the Web Accessibility Initiative, see the
W3C website at w3.org.
In the United States, the law that governs accessibility is commonly known as Section 508, which is an amendment to
the U.S. Rehabilitation Act.
For additional information about Section 508, see the following websites:
•The US government-sponsored website at section508.gov
•The Adobe accessibility site at www.adobe.com/accessibility/
Understanding screen reader technology
Screen readers are software applications that visually impaired users can use to navigate a website and read the web
content aloud. To enable a screen reader to read nontextual objects in your application, such as vector art and
animations, use the Accessibility panel to associate a name and description with the object. The keyboard shortcuts
you define can allow users to use the screen reader to navigate through your document with ease.
To expose graphic objects, use the Accessibility panel or ActionScript to provide a description.

332
USING FLASH PROFESSIONAL
Creating accessible content
Last updated 1/16/2012
You cannot control how any screen reader behaves; you can control only the content, which you can mark up in your
Flash Pro applications to expose the text and ensure that screen reader users can activate the controls. You decide
which objects in the Flash Pro application are exposed to screen readers, provide descriptions for them, and decide the
order in which they are exposed to screen readers. You cannot force screen readers to read specific text at specific times
or control the manner in which that content is read. Test your applications with a variety of screen readers to ensure
that they perform as you expect.
Sound is the most important medium for most screen reader users. Consider how any sound in your document
interacts with the text spoken aloud by screen readers. It might be difficult for screen reader users to hear what their
screen readers are saying if your Flash Pro application contains loud sounds.
Platform requirements
You can only create Flash Pro content designed for use with screen readers with Windows platforms. Viewers of Flash
Pro content must have Macromedia Flash® Player 6 from Adobe or later and Internet Explorer on Windows 98 or later.
More Help topics
“Create a keyboard shortcut to an object for screen readers” on page 340
“Using Flash to enter accessibility information for screen readers” on page 334
Flash and Microsoft Active Accessibility (Windows only)
Flash Player is optimized for Microsoft Active Accessibility (MSAA), which provides a descriptive and standardized
way for applications and screen readers to communicate. MSAA is available only for Windows operating systems. For
more information on Microsoft Accessibility Technology, visit the Microsoft Accessibility website at
www.microsoft.com/enable/default.aspx.
The Windows ActiveX (Internet Explorer plug-in) version of Flash Player 6 supports MSAA, but Windows Netscape
and Windows stand-alone players do not.
Important: MSAA is currently not supported in the opaque windowless and transparent windowless modes. (These
modes are options in the HTML Publish Settings panel, available for use with the Windows version of Internet Explorer
4.0 or later, with the Flash ActiveX control.) To make your Flash Pro content accessible to screen readers, avoid using
these modes.
Flash Player makes information about the following types of accessibility objects available to screen readers that use
MSAA.
Dynamic or static text The principal property of a text object is its name. To comply with MSAA conventions, the
name is equal to the contents of the text string. A text object can also have an associated description string. Flash Pro
uses the static or dynamic text immediately above or to the left of an input text field as a label for that field.
Note: Any text that is a label is not passed to a screen reader, but is used as the name of the object that it labels. Labels
are never assigned to buttons or text fields that have author-supplied names.
Input text fields Have a value, an optional name, a description string, and a keyboard shortcut string. An input text
object’s name can come from a text object that is above or to the left of it.
Buttons Have a state (pressed or not pressed), support a programmatic default action that causes the button to depress
momentarily, and optionally have a name, a description string, and a keyboard-shortcut string. Flash Pro uses any text
entirely inside a button as a label for that button.
Note: For accessibility purposes, Flash Player considers movie clips used as buttons with button event handlers such as
onPress to be buttons, not movie clips.
Components Provide special accessibility implementation.

333
USING FLASH PROFESSIONAL
Creating accessible content
Last updated 1/16/2012
Movie clips Exposed to screen readers as graphic objects when they do not contain any other accessible objects, or
when you use the Accessibility panel to provide a name or a description for a movie clip. When a movie clip contains
other accessible objects, the clip itself is ignored, and the objects inside it are made available to screen readers.
Note: All Flash Pro Video objects are treated as simple movie clips.
More Help topics
“Using Flash to enter accessibility information for screen readers” on page 334
“Using accessible components” on page 343
“Creating accessibility with ActionScript” on page 341
Basic accessibility support in Flash Player
By default, the following objects are defined as accessible in all Flash Pro documents and are included in the
information that Flash Player provides to screen reader software. This generic support for documents that do not use
any accessibility features includes the following:
Dynamic or static text Text is transferred to the screen reader program as a name, but with no description.
Input text fields Text is transferred to the screen reader. No names are transferred, except where a labeling
relationship is found for the input text, such as a static text field positioned close to the input text field. No descriptions
or keyboard shortcut strings are transferred.
Buttons The state of the button is transferred to the screen reader. No names are transferred, except where labeling
relationships are found, and no descriptions or keyboard shortcut strings are transferred.
Documents The document state is transferred to the screen reader, but with no name or description.
Accessibility for hearing-impaired users
Include captions for audio content that is integral to comprehending the material. A video of a speech, for example,
might require captions for accessibility, but a quick sound associated with a button probably wouldn’t.
Methods to add captions to a Flash Pro document include the following:
•Add text as captions, ensuring that the captions are synchronized with the audio in the Timeline.
•Use Hi-Caption Viewer, a component available from Hi Software that works with Hi-Caption SE for use with Flash
Pro (see www.adobe.com/go/accessible_captions). Captioning
Macromedia Flash Movies with Hi-Caption SE, a white paper, explains how to use Hi-Caption SE and Flash Pro
together to create a captioned document (see www.adobe.com/go/accessibility_papers).
Provide animation accessibility for the visually impaired
You can change the property of an accessible object during SWF file playback. For example, to indicate changes that
take place on a keyframe in an animation. However, different vendor’s screen readers treat new objects on frames
differently. Some screen readers might read only the new object, whereas other screen readers might re-read the entire
document.
To reduce the chance of causing a screen reader to emit extra “chatter” that can annoy users, avoid animating the text,
buttons, and input text fields in your document. Also, avoid making your content loop.

334
USING FLASH PROFESSIONAL
Creating accessible content
Last updated 1/16/2012
Flash Player can’t determine the actual text content of features such as Text Break Apart to animate text. Screen readers
can only provide accurate accessibility to information-carrying graphics such as icons and gestural animation, if you
provide names and descriptions for these objects in your document or for the entire Flash Pro application. You can
also add supplementary text to your document or shift important content from graphics to text.
1Select the object for which you want to change the accessibility properties.
2Select Window > Other Panels > Accessibility.
3Change the properties for the object.
Alternatively, use ActionScript to update accessibility properties.
More Help topics
“Make an entire SWF application accessible” on page 337
“Creating accessibility with ActionScript” on page 341
Testing accessible content
When you test your accessible Flash Pro applications, follow these recommendations:
•Download several screen readers and test your application by playing it in a browser with the screen reader enabled.
Check that the screen reader is not attempting to “talk over” places in your document where you inserted separate
audio. Several screen reader applications provide a demonstration version of the software as a free download; test
as many screen readers as you can to ensure compatibility across screen readers.
•Test interactive content and verify that users can navigate your content effectively using only the keyboard.
Different screen readers work in different ways when processing input from the keyboard; your Flash Pro content
might not receive keystrokes as you intended. Test all keyboard shortcuts.
Using Flash to enter accessibility information for screen readers
Flash for screen readers and accessibility
Screen readers read aloud a description of the content, read text, and assist users as they navigate through the user
interfaces of traditional applications such as menus, toolbars, dialog boxes, and input text fields.
By default, the following objects are defined as accessible in all Flash Pro documents and are included in the
information that Flash Player provides to screen reader software:
•Dynamic text
•Input text fields
•Buttons
•Movie clips
•Entire Flash Pro applications
Flash Player automatically provides names for static and dynamic text objects, which are the contents of the text.
For each of these accessible objects, you can set descriptive properties for screen readers to read aloud. You can also
control how Flash Player decides which objects to expose to screen readers—for example, you can specify that
certain accessible objects are not exposed to screen readers at all.

335
USING FLASH PROFESSIONAL
Creating accessible content
Last updated 1/16/2012
The Flash Accessibility panel
The Flash Accessibility panel (Window > Other Panels > Accessibility) lets you provide accessibility information to
screen readers and set accessibility options for individual Flash Pro objects or entire Flash Pro applications.
Note: Alternatively, use ActionScript code to enter accessibility information.
If you select an object on the Stage, you can make that object accessible and specify options and tab order for the object.
For movie clips, you can specify whether child object information is passed to the screen reader (the default when you
make an object accessible).
With no objects selected on the Stage, use the Accessibility panel to assign accessibility options for an entire Flash Pro
application. You can make the entire application accessible, make child objects accessible, have Flash Pro label objects
automatically, and give specific names and descriptions to objects.
All objects in Flash Pro documents must have instance names for you to apply accessibility options to them. Create
instance names for objects in the Property inspector. The instance name is used to refer to the object in ActionScript.
The following options are available in the Accessibility panel:
Make Object Accessible (Default) Instructs Flash Player to pass the accessibility information for an object to a screen
reader. When the option is disabled, accessibility information for the object is not passed to screen readers. Disabling
this option as you test content for accessibility can be useful because some objects might be extraneous or decorative
and making them accessible could produce confusing results in the Screen Reader. You can then apply a name
manually to the labeled object, and hide the labeling text by deselecting Make Object Accessible. When Make Object
Accessible is disabled, all other controls on the Accessibility panel are disabled.
Make Child Objects Accessible (Movie clips only; Default) Instructs Flash Player to pass child object information to
the screen reader. Disabling this option for a movie clip causes that movie clip to appear as a simple clip in the
accessible object tree, even if the clip contains text, buttons, and other objects. All objects in the movie clip are then
hidden from the object tree. This option is useful mainly for hiding extraneous objects from screen readers.
Note: If a movie clip is used as a button—it has a button event handler assigned to it, such as onPress or onRelease—
the Make Child Objects Accessible option is ignored because buttons are always treated as simple clips, and their children
are never examined, except in the case of labels.
Auto Label Instructs Flash Pro to automatically label objects on the Stage with the text associated with them.
Name Specifies the object name. Screen readers identify objects by reading these names aloud. When accessible
objects don’t have specified names, a screen reader might read a generic word, such as Button, which can be confusing.
Important: Do not confuse object names specified in the Accessibility panel with instance names specified in the Property
inspector. Giving an object a name in the Accessibility panel does not give it an instance name.
Description Lets you enter a description of the object to the screen reader. The screen reader reads this description.
Shortcut Describes keyboard shortcuts to the user. The screen reader reads the text in this text field. Entering
keyboard shortcut text here does not create a keyboard shortcut for the selected object. You must provide ActionScript
keyboard handlers to create shortcut keys.
Tab Index (Adobe® Flash® Professional CS5 only) Creates a tab order in which objects are accessed when the user
presses the tab key. The tab index feature works for keyboard navigation through a page, but not for screen reader
reading order.
For more information, see the Flash Pro Accessibility web page at www.adobe.com/go/learn_flash_accessibility_en/.
For a tutorial about accessible content, see Create Accessible Flash Content on the Flash Tutorials page at
www.adobe.com/go/learn_fl_tutorials.

336
USING FLASH PROFESSIONAL
Creating accessible content
Last updated 1/16/2012
For a sample of accessible rich media content, see the Flash Samples page at www.adobe.com/go/learn_fl_samples.
Download and decompress the Samples zip file and navigate to the Accessibility\AccessibleApplications folder to
access the sample.
More Help topics
“Creating accessibility with ActionScript” on page 341
“Create a keyboard shortcut to an object for screen readers” on page 340
“Turn off automatic labeling and specify an object name for screen readers” on page 339
Selecting names for buttons, text fields, and entire SWF applications
Use the Accessibility panel in the following ways to assign names to buttons and input text fields so that the screen
reader identifies them appropriately:
•Use the auto label feature to assign text adjacent or in the object as a label.
•Enter a specific label in the Accessibility panel name field.
Flash Pro automatically applies the name that you place on top of, in, or near a button or text field as a text label.
Labels for buttons must appear within the bounding shape of the button. For the button in the following example,
most screen readers would first read the word button, then read the text label Home. The user can press Return or
Enter to activate the button.
A form might include an input text field where users enter their names. A static text field, with the text Name
appears next to the input text field. When Flash Player discovers such an arrangement, it assumes that the static text
object serves as a label for the input text field.
For example, when the following part of a form is encountered, a screen reader reads “Enter your name here.”
A. Static text B. Input text field
In the Accessibility panel, turn off automatic labeling if it is not appropriate for your document. You can also turn
off automatic labeling for specific objects in your document.
More Help topics
“Turn off automatic labeling and specify an object name for screen readers” on page 339
Provide a name for an object
You can turn off automatic labeling for part of an application and provide names for the objects in the Accessibility
panel. If you have automatic labeling turned on, you can select specific objects and provide names for the objects in
the Name text field in the Accessibility panel so that the name is used instead of the object text label.
When a button or input text field doesn’t have a text label, or when the label is in a location that Flash Player can’t
detect, you can specify a name for the button or text field. You can also specify a name if the text label is near a button
or text field, but you don’t want that text to be used as that object’s name.
A B

337
USING FLASH PROFESSIONAL
Creating accessible content
Last updated 1/16/2012
In the following example, the text that describes the button appears outside and to the right of the button. In this
location, Flash Player does not detect the text, and the screen reader does not read it.
To correct this situation, open the Accessibility panel, select the button, and enter the name and description. To
prevent repetition, make the text object inaccessible.
Note: An object’s accessibility name is unrelated to the ActionScript instance name or ActionScript variable name
associated with the object. (This information generally applies to all objects.) For information on how ActionScript
handles instance names and variable names in text fields, see About text field instance and variable names in Learning
ActionScript 2.0 in Adobe Flash at www.adobe.com/go/learn_cs5_learningas2_en.
Specify a name and description for a button, text field, or entire SWF application
1Do one of the following:
•To provide a name for a button or text field, select the object on the Stage.
•To provide a name for an entire Flash Pro application, deselect all objects on the Stage.
2Select Window > Other Panels > Accessibility.
3Select either Make Object Accessible (for buttons or text fields) or the default, Make Movie Accessible (for entire
Flash Pro applications).
4Enter a name and description for the button, text field, or Flash Pro application.
Define accessibility for a selected object in a SWF application
1Select Window > Other Panels > Accessibility.
2Do one of the following:
•Select Make Object Accessible (the default setting) to expose the object to screen readers and to enable other
options in the panel.
•Deselect Make Object Accessible to hide the object from screen readers and disable the other options in the panel.
3Enter a name and a description for the selected object as needed:
Dynamic text To provide a description for static text, you must convert it to dynamic text.
Input text fields or buttons Enter a keyboard shortcut.
Movie clips Select Make Child Objects Accessible to expose the objects inside the movie clip to screen readers.
Note: If you can describe your application in a simple phrase that a screen reader can easily convey, turn off Make
Children Accessible, and type a suitable description.
Make an entire SWF application accessible
After a Flash Pro document is complete and ready to be published or exported, make the entire Flash Pro application
accessible.
1Deselect all elements in the document.
2Select Window > Other Panels > Accessibility.
3Select Make Movie Accessible (the default setting) to expose the document to screen readers.

338
USING FLASH PROFESSIONAL
Creating accessible content
Last updated 1/16/2012
4Select or deselect Make Children Accessible to expose or omit any accessible objects in the document to screen
readers.
5If you selected Make Movie Accessible in step 2, enter a name and description for the document as needed.
6Select Auto Label (the default setting) to use text objects as automatic labels for accessible buttons or input text
fields contained in the document. Deselect this option to turn off automatic labeling and expose text objects to
screen readers as text objects.
Viewing and creating tab order and reading order
The two aspects to tab indexing order are the tab order in which a user navigates through the web content and the order
in which things are read by the screen reader, called the reading order.
Flash Player uses a tab index order from left to right and top to bottom. Customize both the tab and reading order by
using the tabIndex property in ActionScript (in ActionScript, the tabIndex property is synonymous with the reading
order).
Note: Flash Player no longer requires that you add all of the objects in a FLA file to a list of tab index values. Even if you
do not specify a tab index for all objects, a screen reader reads each object correctly.
Tab order The order in which objects receive input focus when users press the Tab key. Use ActionScript to create the
tab order, or if you have Adobe®
Flash® Professional CS5, use the Accessibility panel. The tab index that you assign in
the Accessibility panel does not necessarily control the reading order.
Reading order The order in which a screen reader reads information about the object. To create a reading order, use
ActionScript to assign a tab index to every instance. Create a tab-order index for every accessible object, not just the
focusable objects. For example, dynamic text must have tab indexes, even though a user cannot tab to dynamic text. If
you do not create a tab index for every accessible object in a given frame, Flash Player ignores all tab indexes for that
frame whenever a screen reader is present, and uses the default tab ordering instead.
More Help topics
“Use ActionScript to create a tab order for accessible objects” on page 343
Create a tab-order index for keyboard navigation in the Accessibility panel
You can create a custom tab-order index in the Accessibility panel for keyboard navigation for the following objects:
•Dynamic text
•Input text
•Buttons
•Movie clips, including compiled movie clips
•Components
•Screens
Note: You can also use ActionScript code to create a tab-order index for keyboard navigation.
Tab focus occurs in numerical order, starting from the lowest index number. After tab focus reaches the highest tab
index, focus returns to the lowest index number.
When you move tab-indexed objects that are user-defined in your document, or to another document, Flash Pro
retains the index attributes. Check for and resolve index conflicts (for example, two different objects on the Stage
with the same tab-index number).

339
USING FLASH PROFESSIONAL
Creating accessible content
Last updated 1/16/2012
Important: If two or more objects have the same tab index in any given frame, Flash Pro follows the order in which
the objects were placed on the Stage.
1Select the object in which to assign a tab order.
2Select Window > Other Panels > Accessibility.
3If you’re providing an index for the selected object only, in the Tab Index text field, enter a positive integer (up to
65535) that reflects the order in which the selected object should receive focus.
4To view a tab order, select View > Show Tab Order. Tab index numbers for individual objects appear in the upper-
left corner of the object.
Tab index numbers
Note: Tab indexes created with ActionScript code do not appear on the Stage when the Show Tab Order option is enabled.
Specifying advanced accessibility options for screen readers
Turn off automatic labeling and specify an object name for screen readers
1On the Stage, select the button or input text field for which you want to control labeling.
2Select Window > Other Panels > Accessibility.
3Select Make Object Accessible (the default setting).
4Enter a name for the object. The name is read as the label for the button or text field.
5To turn off accessibility for the automatic label (and hide it from screen readers), select the text object on the Stage.
6If the text object is static text, convert it to dynamic text (in the Property inspector, select Text type > Dynamic
Text).
7Deselect Make Object Accessible.
Hide an object from the screen reader
You can hide a selected object from screen readers, and you can decide to hide accessible objects that are contained
inside a movie clip or Flash Pro application and expose only the movie clip or Flash Pro application to screen readers.
Note: Only hide objects that are repetitive or convey no content.
When an object is hidden, the screen reader ignores the object.
1On the Stage, select the button or input text field to hide from the screen reader.
2Select Window > Other Panels > Accessibility.

340
USING FLASH PROFESSIONAL
Creating accessible content
Last updated 1/16/2012
3In the Accessibility panel, do one of the following:
•If the object is a movie clip, button, text field, or another object, deselect Make Object Accessible.
•If the object is the child of a movie clip, deselect Make Child Objects Accessible.
Create a keyboard shortcut to an object for screen readers
You can create a keyboard shortcut for an object, such as a button, so users can navigate to it without listening to the
contents of an entire page. For example, you can create a keyboard shortcut to a menu, a toolbar, the next page, or a
submit button.
To create a keyboard shortcut, write ActionScript code for an object. If you provide a keyboard shortcut for an input
text field or button, you must also use the ActionScript Key class to detect the key the user presses during Flash Pro
content playback. See Key in the ActionScript 2.0 Language Reference. See Capturing keypresses in Learning
ActionScript 2.0 in Adobe Flash at www.adobe.com/go/learn_cs5_learningas2_en.
Select the object and add the name of the keyboard shortcut to the Accessibility panel so the screen reader can read it.
Test your Flash Pro content with multiple screen readers. Keyboard shortcut functionality also depends on the screen
reader software used. The key combination Control+F, for example, is a reserved keystroke for both the browser and
the screen reader. The screen reader reserves the arrow keys. Generally, you can use the 0 to 9 keys on the keyboard
for keyboard shortcuts, however, screen readers increasingly use even these keys.
More Help topics
“Testing accessible content” on page 334
Create a keyboard shortcut
1On the Stage, select the button or input text field to create a keyboard shortcut for.
2Select Window > Other Panels > Accessibility.
3In the Shortcut field, type the name of the keyboard shortcut, using the following conventions:
•Spell out key names, such as Control or Alt.
•Use capital letters for alphabetic characters.
•Use a plus sign (+) between key names, with no spaces (for example, Control+A).
Important: Flash Pro does not check that the ActionScript to code the keyboard shortcut was created.
Map a keyboard shortcut to a button instance Control+7 to myButton instance
1Select the object on the Stage, display the Accessibility panel, and in the Shortcut field, type the key combination of
the shortcut. For example, Control+7.
2Enter the following ActionScript 2.0 code in the Actions panel:
Note: In this example the shortcut is Control+7.

341
USING FLASH PROFESSIONAL
Creating accessible content
Last updated 1/16/2012
function myOnPress() {
trace( "hello" );
}
function myOnKeyDown() {
if (Key.isDown(Key.CONTROL) && Key.getCode() == 55) // 55 is key code for 7
{
Selection.setFocus(myButton);
myButton.onPress();
}
}
var myListener = new Object();
myListener.onKeyDown = myOnKeyDown;
Key.addListener(myListener);
myButton.onPress = myOnPress;
myButton._accProps.shortcut = "Ctrl+7"
Accessibility.updateProperties();
Note: The example assigns the Control+7 keyboard shortcut to a button with an instance name of myButton and makes
information about the shortcut available to screen readers. In this example, when you press Control+7, the myOnPress
function displays the text “hello” in the Output panel. See addListener (IME.addListener method) in ActionScript 2.0
Language Reference at www.adobe.com/go/learn_cs5_as2lr_en.
Creating accessibility with ActionScript
About ActionScript and accessibility
You can create accessible documents with ActionScript® code. For accessibility properties that apply to the entire
document, you can create or modify a global variable called _accProps. See the _accProps property in ActionScript
2.0 Language Reference at www.adobe.com/go/learn_cs5_as2lr_en.
For properties that apply to a specific object, you can use the syntax instancename._accProps. The value of
_accProps is an object that can include any of the following properties:
Property Type Equivalent selection in the Accessibility panel Applies to
.silent Boolean Make Movie Accessible/Make Object Accessible
(inverse logic)
Entire documents
Buttons
Movie clips
Dynamic text
Input text
.forceSimple Boolean Make Child Objects Accessible (inverse logic) Entire documents
Movie clips

342
USING FLASH PROFESSIONAL
Creating accessible content
Last updated 1/16/2012
Note: With inverse logic, a value of true in ActionScript corresponds to a check box that is not selected in the Accessibility
panel, and a value of false in ActionScript corresponds to a selected check box in the Accessibility panel.
Modifying the _accProps variable has no effect by itself. You must also use the Accessibility.updateProperties
method to inform screen reader users of Flash Pro content changes. Calling the method causes Flash Player to
re-examine all accessibility properties, update property descriptions for the screen reader, and, if necessary, send
events to the screen reader that indicate changes have occurred.
When updating accessibility properties of multiple objects at once, include only a single call to
Accessiblity.updateProperties (too frequent updates to the screen reader can cause some screen readers to
become too verbose).
See the Accessibility.updateProperties method in the ActionScript 2.0 Language Reference at
www.adobe.com/go/learn_cs5_as2lr_en.
Implementing screen reader detection with the Accessibility.isActive() method
To create Flash Pro content that behaves in a specific way if a screen reader is active, use the
Accessibility.isActive() ActionScript method, which returns a value of true if a screen reader is present, and
false otherwise. You can then design your Flash Pro content to perform so that it’s compatible with screen reader use
(for example, by hiding child elements from the screen reader). For more information, see the
Accessibility.isActive method in the ActionScript 2.0 Language Reference at
www.adobe.com/go/learn_cs5_as2lr_en.
For example, you could use the Accessibility.isActive() method to decide whether to include unsolicited
animation. Unsolicited animation happens without the screen reader doing anything, which can be confusing for
screen readers.
The Accessibility.isActive() method provides asynchronous communication between the Flash Pro content
and Flash Player; a slight real-time delay can occur between the time the method is called and the time when Flash
Player becomes active, returning an incorrect value of false. To ensure that the method is called correctly, do one of
the following:
•Instead of using the Accessibility.isActive() method when the Flash Pro content first plays, call the method
whenever you need to make a decision about accessibility.
.name string Name Entire documents
Buttons
Movie clips
Input text
.description string Description Entire documents
Buttons
Movie clips
Dynamic text
Input text
.shortcut string Shortcut Buttons
Movie clips
Input text
Property Type Equivalent selection in the Accessibility panel Applies to

343
USING FLASH PROFESSIONAL
Creating accessible content
Last updated 1/16/2012
•Introduce a short delay of one or two seconds at the beginning of your document to give the Flash Pro content
enough time to contact Flash Player.
For example, you can use an onFocus event to attach this method to a button. This approach generally gives the
SWF file enough time to load and you can assume a screen reader user will tab to the first button or object on the
Stage.
Use ActionScript to create a tab order for accessible objects
To create the tab order with ActionScript® code, assign the tabIndex property to the following objects:
•Dynamic text
•Input text
•Buttons
•Movie clips, including compiled movie clips
•Timeline frames
•Screens
Provide a complete tab order for all accessible objects. If you create a tab order for a frame and you don’t specify a tab
order for an accessible object in the frame, Flash Player ignores all the custom tab-order assignments. Additionally, all
objects assigned to a tab order, except frames, must have an instance name specified in the Instance Name text field of
the Property inspector. Even items that are not tab stops, such as text, need to be included in the tab order if they are
to be read in that order.
Because static text cannot be assigned an instance name, it cannot be included in the list of the tabIndex property
values. As a result, a single instance of static text anywhere in the SWF file causes the reading order to revert to the
default.
To specify a tab order, assign an order number to the tabIndex property, as the following example shows:
_this.myOption1.btn.tabIndex = 1
_this.myOption2.txt.tabIndex = 2
See tabIndex in Button, MovieClip, and TextField in the ActionScript 2.0 Language Reference at
www.adobe.com/go/learn_cs5_as2lr_en.
You can also use the tabChildren() or tabEnabled() methods to assign custom tab order. See
MovieClip.tabChildren, MovieClip.tabEnabled, and TextField.tabEnabled in the ActionScript 2.0 Language
Reference at www.adobe.com/go/learn_cs5_as2lr_en.
More Help topics
“Create a tab-order index for keyboard navigation in the Accessibility panel” on page 338
Using accessible components
A core set of UI components accelerates building accessible applications. These components automate many of the
most common accessibility practices related to labeling, keyboard access, and testing and help ensure a consistent user
experience across rich applications. Flash Pro includes the following set of accessible components:
•SimpleButton
•CheckBox
•RadioButton
•Label

344
USING FLASH PROFESSIONAL
Creating accessible content
Last updated 1/16/2012
•TextInput
•TextArea
•ComboBox
•ListBox
•Window
•Alert
•DataGrid
Accessible Flash Pro components must contain ActionScript that defines their accessible behavior. For information on
which accessible components work with screen readers, see the Flash Pro Accessibility web page at
www.adobe.com/go/learn_flash_accessibility_en/.
For general information about components, see “About Components” in Using ActionScript 2.0 Components at
www.adobe.com/go/learn_cs5_usingas2components_en.
For each accessible component, enable the accessible portion of the component with the enableAccessibility()
command. This command includes the accessibility object with the component as the document is compiled. Because
no simple way exists to remove an object after it is added to the component, these options are disabled by default.
Therefore, it’s important that you enable accessibility for each component. Perform this step only once for each
component; you do not need to enable accessibility for each instance of a component for a given document. See
“Button component”, “CheckBox component”, “ComboBox component”, “Label component”, “List component”,
“RadioButton component”, and “Window component” in the ActionScript 2.0 Components Language Reference at
www.adobe.com/go/learn_cs5_as2lr_en.

345
Last updated 1/16/2012
Chapter 13: ActionScript
Working with ActionScript
Getting started with ActionScript
The ActionScript® scripting language lets you add complex interactivity, playback control, and data display to your
application. You can add ActionScript in the authoring environment by using the Actions panel, Script window, or an
external editor.
ActionScript follows its own rules of syntax, reserved keywords, and lets you use variables to store and retrieve
information. ActionScript includes a large library of built-in classes that let you create objects to perform many useful
tasks. For more information on ActionScript, see the following Help titles:
•Learning ActionScript 3.0 at www.adobe.com/go/learn_flcs5_learnas3_en
•Learning ActionScript 2.0 in Adobe Flash at www.adobe.com/go/learn_cs5_learningas2_en
You don’t need to understand every ActionScript element to begin scripting; if you have a clear goal, you can start
building scripts with simple actions.
ActionScript and JavaScript are both rooted in the ECMA-262 standard, the international standard for the
ECMAScript scripting language. For this reason, developers who are familiar with JavaScript should find ActionScript
immediately familiar. For more information about ECMAScript, go to ecma-international.org.
Which version of ActionScript should you use?
Flash includes more than one version of ActionScript to meet the needs of different kinds of developers and playback
hardware. ActionScript 3.0 and 2.0 are not compatible with each other.
•ActionScript 3.0 executes extremely fast. This version requires somewhat more familiarity with object-oriented
programming concepts than the other ActionScript versions. ActionScript 3.0 is fully compliant with the
ECMAScript specification, offers better XML processing, an improved event model, and an improved architecture
for working with onscreen elements. FLA files that use ActionScript 3.0 cannot include earlier versions of
ActionScript.
•ActionScript 2.0 is simpler to learn than ActionScript 3.0. Although Flash Player runs compiled ActionScript 2.0
code slower than compiled ActionScript 3.0 code, ActionScript 2.0 is still useful for many kinds of projects that are
not computationally intensive; for example, more design-oriented content. ActionScript 2.0 is also based on the
ECMAScript spec, but is not fully compliant.
•ActionScript 1.0 is the simplest form of ActionScript, and is still used by some versions of the Flash Lite Player.
ActionScript 1.0 and 2.0 can coexist in the same FLA file.
•Flash Lite 2.x ActionScript is a subset of ActionScript 2.0 that is supported by Flash Lite 2.x running on mobile
phones and devices.
•Flash Lite 1.x ActionScript is a subset of ActionScript 1.0 that is supported by Flash Lite 1.x running on mobile
phones and devices.
Using the ActionScript documentation
Because there are multiple versions of ActionScript (2.0 and 3.0), and multiple ways of incorporating it into your FLA
files, there are several different ways to learn ActionScript.

346
USING FLASH PROFESSIONAL
ActionScript
Last updated 1/16/2012
This chapter describes the graphical user interface for working with ActionScript. This interface includes the Actions
panel, Script window, Script Assist mode, Behaviors panel, Output panel, and Compiler Errors panel. These topics
apply to all versions of ActionScript.
Other ActionScript documentation from Adobe will help you learn about the individual versions of ActionScript; see
Programming ActionScript 3.0, Learning ActionScript 2.0 in Adobe Flash, Developing Flash Lite 1.x Applications or
Developing Flash Lite 2.x Applications. For information about the ActionScript vocabulary, see the ActionScript
Language Reference for the version you are working with.
Ways of working with ActionScript
There are several ways to work with ActionScript.
•Script Assist mode lets you add ActionScript to your FLA file without writing the code yourself. You select actions,
and the software presents you with a user-interface for entering the parameters required for each one. You must
know a little about what functions to use to accomplish specific tasks, but you don’t have to learn syntax. Many
designers and non-programmers use this mode.
•Behaviors also let you add code to your file without writing it yourself. Behaviors are prewritten scripts for common
tasks. You can add a behavior and then easily configure it in the Behaviors panel. Behaviors are available only for
ActionScript 2.0 and earlier.
•Writing your own ActionScript gives you the greatest flexibility and control over your document, but it requires
you to become familiar with the ActionScript language and conventions.
•Components are prebuilt movie clips that help you implement complex functionality. A component can be a simple
user interface control, such as a check box, or it can be a complicated control, such as a scroll pane. You can
customize a component’s functionality and appearance, and you can download components created by other
developers. Most components require you to write some ActionScript code of your own to trigger or control a
component. For more information, see Using ActionScript 3.0 Components.
Writing ActionScript
When you write ActionScript code in the authoring environment, you use the Actions panel or Script window. The
Actions panel and Script window contain a full-featured code editor that includes code hinting and coloring, code
formatting, syntax highlighting, syntax checking, debugging, line numbers, word wrapping, and support for Unicode.
•Use the Actions panel to write scripts that are part of your Flash document (that is, scripts that are embedded in the
FLA file). The Actions panel provides features such as the Actions toolbox, which gives you quick access to the core
ActionScript language elements, and Script Assist mode, in which you are prompted for the elements needed to
create scripts.
•Use the Script window if you want to write external scripts—that is, scripts or classes that are stored in external files.
(You can also use a text editor to create an external AS file.) The Script window includes code-assistance features
such as code hinting and coloring, syntax checking, and auto-formatting.
Additional recommended community content
The following additional videos provide detailed demonstrations of using ActionScript 3.0, the Flash Pro workflow,
and using components. Some videos show Flash Pro CS3 or CS4, but still apply to Flash Pro CS5 and CS5.5. Some
videos may also show Adobe® Flex®, but ActionScript® 3.0 is the same language in both Flash Pro and Flex® and Flash
Builder.
•ActionScript 3.0 (3:00)
•Flash Downunder – ActionScript 3.0 101 (31:51)
•Flash in a Flash - Episode 5: Basic interactivity and ActionScript 3.0 (44:50)

347
USING FLASH PROFESSIONAL
ActionScript
Last updated 1/16/2012
•Layers TV – Episode 20: Buttons in Flash (14:23)
•Getting started with ActionScript 3.0 (CS3) (3:25)
•Optimizing animations and FLA files (7:24) (CS3)
•Creating a Document class using ActionScript 3.0 (CS3) (2:38)
•Creating an effective workflow between design and development (CS3) (3:41)
•Using components (CS3) (1:47)
•Pixel Bender: Custom Filters (9:20)
•E4X – EcmaScript for XML (56:04)
•Double feature on Alchemy (9:08) (Convert C/C++ code to ActionScript 3.0)
•Flash Downunder – Pixel Bender filters (15:07)
•Using the Bitmap Data API in Flash (7:30)
•Advanced ActionScript APIs (67:40)
•JavaScript to Flash and Back (18:18)
•An introduction to AlivePDF (7:14) (Create PDFs from ActionScript 3.0)
•An introduction to WiiFlash (7:26) (Use the Wii controller with AIR, Flash and Flex)
•Lynda.com Training for Developers – ActionScript 3.0 – Ch.3 Create an image gallery (4:51)
•Lynda.com Training for Developers – ActionScript 3.0 – Ch.4 Responding to mouse events (4:07)
•YouTube.com list of ActionScript channels
The following articles and tutorials provide additional detailed information about working with ActionScript:
•Introduction to ActionScript 3.0 (Slekx.com)
•Tips for learning ActionScript 3 (Adobe.com)
•Introduction to event handling in ActionScript 3 (Adobe.com)
•ActionScript 3.0 Migration Resources for Flash (Adobe.com)
•Migrating to ActionScript 3: Key concepts and changes (Adobe.com)
•Top five misperceptions about ActionScript 3 (Adobe.com)
•ActionScript 3 migration cookbook (Adobe.com)
•ActionScript 3 migration table (Adobe.com)
•Flash and ActionScript components learning guide (Adobe.com)
•Flash ActionScript 2.0 Learning Guide (Adobe.com)
More Help topics
“Symbols and ActionScript” on page 175
“Timelines and ActionScript” on page 188
“Sound and ActionScript” on page 307
“Controlling external video playback with ActionScript” on page 325
“Multilanguage text and ActionScript” on page 296
“Creating accessibility with ActionScript” on page 341

348
USING FLASH PROFESSIONAL
ActionScript
Last updated 1/16/2012
“Best practices - Organizing ActionScript in an application” on page 464
“Debugging ActionScript 1.0 and 2.0” on page 373
“Debugging ActionScript 3.0” on page 369
“Script Assist mode and behaviors” on page 355
The Actions panel
More Help topics
“Pin scripts in the Actions panel” on page 364
Looking for the Language Reference?
To find reference documentation for a specific ActionScript language element, do one of the following:
•Open the ActionScript 3.0 Language Reference, and search for the language element.
•Open the ActionScript 2.0 Language Reference, and search for the language element.
•Type the language element in the Actions panel, select it, then press F1. (You must press F1 immediately, or this
topic opens instead.)
Note: To open the Help in a web browser instead of the Community Help application, see this article:
http://kb2.adobe.com/community/publishing/916/cpsid_91609.html.
Learning ActionScript
This article is about using the functionality of the Actions panel in Flash Professional, not about writing ActionScript
code.
To learn about writing ActionScript, use these resources:
•Learning ActionScript 3.0
•ActionScript 3.0 Language and Components Reference
•Introduction to ActionScript 3.0 (Slekx.com)
•Learning ActionScript 2.0 in Adobe Flash
•ActionScript 2.0 Language Reference
Note: ActionScript 3.0 and 2.0 are not compatible with each other. You must choose only one version to use in each FLA
file you create.
Overview of the Actions panel
To create scripts embedded in a FLA file, enter ActionScript directly into the Actions panel (Window > Actions or
press F9).

349
USING FLASH PROFESSIONAL
ActionScript
Last updated 1/16/2012
A. Script pane B. Panel menu C. Actions toolbox D. Script navigator
The Actions panel consists of three panes:
Script pane Lets you type ActionScript code, which is associated with the currently selected frame (or, for ActionScript
2 only, the currently selected object).
To keep a particular script displayed in the Script pane, pin the script by clicking the Pin button at the bottom of the pane.
Actions toolbox Groups ActionScript elements by category and provides an alphabetical index. To insert an
ActionScript element into the Script pane, double-click it or drag it directly into place in your code in the Script pane..
Script navigator Lists the scripts in your Flash document, and lets you move quickly between them. Click an item in
the Script navigator to view the script in the Script pane.
To pin a script in the Actions panel, double-click it in the Script navigator. Pinned scripts remain in the Script pane
even when a different frame or object is selected in the Timeline or on the Stage.
To hide the Actions toolbox and Script navigator, click the Show/Hide Toolbox button at the top of the Actions
panel. When the Actions toolbox is hidden, you can still use the Add (+) button to access its items.
Print ActionScript
1From the Actions panel pop-up menu, select Print.
2Select Options and click Print.
Because the printed copy won’t include information about file it came from, you should include information such as
the name of the FLA file in a comment in the script.
Script window overview
The Script window lets you create external script files that you import into your application. These scripts can be
ActionScript, Flash Communication, or Flash JavaScript files. The Add (+) menu lists the language elements available
for the type of script you create.
C
D
A B

350
USING FLASH PROFESSIONAL
ActionScript
Last updated 1/16/2012
Script window
If you have more than one external file open, filenames are displayed on tabs across the top of the Script window.
In the Script window, you can use the following features: the Add (+) menu (which is like the Actions toolbox), find
and replace, syntax checking, syntax coloring, auto format, code hinting, code commenting, code collapse, debug
options (ActionScript files only), and word wrap. The Script window also lets you display line numbers and hidden
characters.
The Script window does not include code-assistance features such as the Script navigator, Script Assist mode, and
behaviors. These features are useful only in the context of creating a FLA file, not an external script file.
More Help topics
“Writing and managing scripts” on page 358
Create an external file in the Script window
1Select File > New.
2Select the type of external file you want to create (ActionScript file, ActionScript Communication file, or Flash
JavaScript file).
Edit an existing file in the Script window
•To open an existing script, select File > Open, and then open an existing AS file.
•To edit a script that is already open, click the document tab that shows the script’s name.
Tools in the Actions panel and Script window
The Actions panel and Script window toolbars let you access the code-assistance features that help simplify and
streamline coding in ActionScript. The tools are different depending on whether you are using the Actions panel or
the Script window.
Add A New Item To The Script Displays the language elements that are also in the Actions toolbox. Select an item
to add it to the script.
Find Finds and replaces text in your script.
Insert Target Path (Actions panel only) Helps you set an absolute or relative target path for an action in the script.
Check Syntax Checks for syntax errors in the current script. Syntax errors are listed in the Output panel.
Auto Format Formats your script for proper coding syntax and improved readability. Set autoformatting
preferences in the Preferences dialog box, which is available from the Edit menu or from the Actions Panel menu.

351
USING FLASH PROFESSIONAL
ActionScript
Last updated 1/16/2012
Show Code Hint If you’ve turned off automatic code hinting, use Show Code Hint to display a code hint for the
line of code you’re working on.
Debug Options (Actions panel only) Sets and removes breakpoints so that you can proceed line by line through
your script when debugging. You can use debug options only for ActionScript files, not ActionScript Communication
or Flash JavaScript files.
Collapse Between Braces Collapses code that appears between the curly braces or parentheses that currently
contain the insertion point.
Collapse Selection Collapses the currently selected code block.
Expand All Expands all collapsed code in the current script.
Apply Block Comment Adds comment markers to the beginning and end of the selected code block.
Apply Line Comment Adds a single-line comment marker at the insertion point, or at the beginning of each line of
code in a multiline selection.
Remove Comment Removes comment markers from the current line or all lines of the current selection.
Show/Hide Toolbox Displays or hides the Actions Toolbox.
Script Assist (Actions panel only) In Script Assist mode, you are presented with a user-interface for entering the
elements needed to create scripts.
Help Displays reference information for the ActionScript element that is selected in the Script pane. For example,
if you click an import statement and then click Help, the reference information for import appears in the Help panel.
Panel menu (Actions panel only) Contains the commands and preferences that apply to the Actions panel. For
example, you can set line numbers and word wrapping, access ActionScript preferences, and import or export scripts.
More Help topics
“Writing and managing scripts” on page 358
“Debugging ActionScript 3.0” on page 369
“Debugging ActionScript 1.0 and 2.0” on page 373
Access context-sensitive Help from the Actions panel
1To select an item for reference, do any of the following:
•Select an ActionScript term in the Actions panel toolbox pane (on the left side of the Actions panel).
•Select an ActionScript term in the Actions panel in the Script pane.
•Place the insertion point before an ActionScript term in the Actions panel in the Script pane.
2To open the Help panel reference page for the selected item, do one of the following:
•Press F1.
•Right-click the item and select View Help.
•Click Help above the Script pane.

352
USING FLASH PROFESSIONAL
ActionScript
Last updated 1/16/2012
Set ActionScript preferences
Whether you edit code in the Actions panel or the Script window, you can set and modify a single set of preferences.
1Select Edit > Preferences (Windows) or Flash > Preferences (Macintosh), and then click ActionScript in the
Category list.
2Set any of these preferences:
Automatic Indentation When automatic indentation is turned on, the text you type after an opening parenthesis “(“
or opening curly brace “{“ is automatically indented according to the Tab Size setting.
Tab Size Specifies the number of characters a new line is indented.
Code Hints Enables code hinting in the Script pane.
Delay Specifies the delay (in seconds) before code hints are displayed.
Font Specifies the font used for your script.
Use Dynamic Font Mapping Checks to ensure that the selected font family can render each character. If not, Flash
substitutes a font family that contains the necessary characters.
Open/Import Specifies the character encoding used when you open or import ActionScript files.
Save/Export Specifies the character encoding used when you save or export ActionScript files.
Reload Modified Files Specifies what happens when a script file is modified, moved, or deleted. Select Always, Never,
or Prompt.
•Always No warning is displayed, and the file is automatically reloaded.
•Never No warning is displayed, and the file remains in the current state.
•Prompt (Default) A warning is displayed, and you can choose whether to reload the file.
When you build applications with external scripts, this preference helps you avoid overwriting a script that a team
member has modified since you opened the application, or avoid publishing the application with older versions of
scripts. The warnings let you automatically close a script and reopen the newer, modified version.
Syntax Colors Specifies code coloring in your scripts.
Language These buttons open the ActionScript Settings dialog boxes, where you can set a classpath for ActionScript
2.0, or a source path, library path, and external library path for ActionScript 3.0.
More Help topics
“Set the source path for ActionScript 3.0” on page 395
“Set the classpath for ActionScript 2.0” on page 395
“Import and export scripts” on page 363
“Format code” on page 358
“Use code hints” on page 365

353
USING FLASH PROFESSIONAL
ActionScript
Last updated 1/16/2012
Add interactivity with code snippets
The Code Snippets panel is designed to make it easy for non-programmers to start using simple ActionScript 3.0
quickly. It lets you add ActionScript 3.0 code to your FLA file to enable common functionality. Using the Code
Snippets panel does not require knowledge of ActionScript 3.0.
With the Code Snippets panel, you can:
•Add code that affects the behavior of an object on the Stage
•Add code that controls the movement of the playhead in the Timeline
•(CS5.5 only) - Add code that allows touchscreen user-interaction
•Add new code snippets that you create to the panel
Using the code snippets included with Flash is also a good way to begin learning ActionScript 3.0. By looking at the
code in the snippets and following the snippet instructions, you can begin understanding code structure and
vocabulary.
Before you begin
When working with the Code Snippets panel, it is important to understand these fundamentals of Flash:
•Many of the code snippets require you to customize a few items in the code. In Flash Pro CS5, you do this in the
Actions panel. In Flash Pro CS5.5, you can do this by dragging the cursor from code elements in the HUD to the
object you want the code to control. Each snippet contains specific instructions for this task.
•All of the included code snippets are ActionScript 3.0. ActionScript 3.0 is not compatible with ActionScript 2.0.
•Some snippets affect the behavior of an object, allowing it to be clicked or causing it to move or disappear. You
apply these snippets to the object on the Stage.
•Some snippets cause an action to occur immediately when the playhead enters the frame that contains the snippet.
You apply these snippets to a Timeline frame.
•When you apply a code snippet, the code is added to the current frame of the Actions layer in the Timeline. If you
have not created an Actions layer yourself, Flash adds one above all other layers in the Timeline.
•For ActionScript to control an object on the Stage, the object must have an instance name assigned in the Property
inspector.
•In Flash Pro CS5, each code snippet has a tool tip that describes what the snippet does. In Flash Pro CS5.5, you can
click the Show Description and Show Code buttons that appear when you select a snippet in the panel.
Additional videos and tutorials
•Video: Creating an application with the Code Snippets panel (12:11, Adobe TV)
•Video: Creating a zoom in and spin custom snippet (10:20, flashandmath.com)
•Tutorial: Code snippets for beginning ActionScript 3 programmers and designers - Flash Pro CS5

354
USING FLASH PROFESSIONAL
ActionScript
Last updated 1/16/2012
(Flash CS5) Add a code snippet to an object or Timeline frame
To add an action that affects an object or the playhead:
1Select an object on the Stage or a frame in the Timeline.
If you select an object that is not a symbol instance or a TLF text object, Flash converts the object to a movie clip
symbol when you apply the snippet.
If you select an object that does not already have an instance name, Flash adds one when you apply the snippet.
2In the Code Snippets panel (Window > Code Snippets), double-click the snippet you want to apply.
If you selected an object on the Stage, Flash adds the snippet to the Actions panel in the frames containing the
selected object.
If you selected a Timeline frame, Flash adds the snippet to just that frame.
3In the Actions panel, view the newly added code and replace any necessary items according to the instructions at
the top of the snippet.
(Flash CS5.5) Add a code snippet to an object or Timeline frame
To add an action that affects an object or the playhead:
1Select the snippet you want to apply in the Code Snippets panel (Window > Code Snippets).
2To display a description of the snippet, click the Show Description button that appears to the right of the selected
snippet.
3To display the code within the snippet, click the Show Code button to the right of the snippet.
4If the snippet contains the text “instance_name_here”, drag from that text to the instance on the Stage that you want
to the code to control. To drag-and-drop, the symbol instance must be a movie clip or a button.
If the instance does not yet have a name, a dialog box appears to allow you to enter a name for the instance.
You can also click the text and enter the instance name directly in the code. Use this method of you are working
with a shape or graphic symbol instance.
5If the snippet contains other colored text, select the text and enter the correct information according to the
instructions inside the code snippet.
6When you finish editing the code snippet, click the Insert button.
Flash adds the code to the Actions layer. If no Actions layer exists, Flash creates one.
If you selected an object on the Stage, Flash adds the snippet to the Actions panel in the frames containing the
selected object.
If you selected a Timeline frame, Flash adds the snippet to the Actions layer in just that frame.
7(Optional) To view the inserted code, open the Actions panel (Window > Actions).
Add new snippets to the Code Snippets panel
You can add new code snippets to the Code Snippets panel in two ways:
•Enter a snippet in the Create New Code Snippet dialog box.
•Import a code snippet XML file.

355
USING FLASH PROFESSIONAL
ActionScript
Last updated 1/16/2012
To use the Create New Code Snippet dialog box:
1In the Code Snippets panel, choose Create New Code Snippet from the panel menu.
2In the dialog box, Enter the Title, Tool tip text, and ActionScript 3.0 code for your snippet.
You can add any code that is currently selected in the Actions panel by clicking the Auto-Fill button.
3Select the Automatically replace instance_name_here check box if your code includes the string
“instance_name_here” and you want Flash to replace it with the correct instance name when the snippet is applied.
Flash adds the new snippet to the Code Snippets panel in a folder called Custom.
To import a code snippet in XML format:
1In the Code Snippets panel, choose Import Code Snippets XML from the panel menu.
2Select the XML file you want to import and click Open
To see the correct XML format for code snippets, choose Edit Code Snippets XML from the panel menu.
To delete a code snippet, right-click the snippet in the panel and choose Delete Code Snippet from the context menu.
Script Assist mode and behaviors
About Script Assist mode
If you are new to ActionScript, or if you want to add simple interactivity without having to learn the ActionScript
language and its syntax, you can use Script Assist in the Actions panel to help you add ActionScript to your FLA files.
Script Assist lets you build scripts by selecting items from the Actions toolbox. When you click an item once, its
description appears at the upper right of the panel. When you double-click an item, it adds the item to the Actions
panel Script pane.
In Script Assist mode, you can add, delete, or change the order of statements in the Script pane; enter parameters for
actions in boxes above the Script pane; find and replace text; and view script line numbers. You can also pin a script—
that is, keep a script in the Script pane when you click away from the object or frame.
Script Assist helps you avoid the syntax and logic errors a novice user might make. However, to use Script Assist you
must become familiar with ActionScript, and know what methods, functions, and variables to use when creating your
scripts. To learn about ActionScript, see Learning ActionScript 2.0 in Adobe Flash or Programming ActionScript 3.0.
For a video tutorial about Script Assist mode, see www.adobe.com/go/vid0131.
For a text tutorial about Script Assist mode, see Use Script Assist Mode on the Flash Tutorials page at
www.adobe.com/go/learn_fl_tutorials.
Use Script Assist to write ActionScript
To add an ActionScript 3.0 action to a Flash document, you must attach it to a frame. To add an ActionScript 2.0 (or
earlier) action to a Flash document, attach it to a button or movie clip, or to a frame in the timeline.
For a video tutorial about Script Assist mode, see www.adobe.com/go/vid0131.
For a text tutorial about Script Assist mode, see Use Script Assist Mode on the Flash Tutorials page at
www.adobe.com/go/learn_fl_tutorials.

356
USING FLASH PROFESSIONAL
ActionScript
Last updated 1/16/2012
Start Script Assist mode
1Select Window > Actions.
2In the Actions panel, click Script Assist .
In Script Assist mode, the Actions panel changes in the following ways:
• Add (+) functions differently in Script Assist mode. When you select an item from the Actions toolbox or the Add
menu
, the item is added after the currently selected text block.
• Delete (-) lets you remove the current selection in the Script pane.
•
The up and down arrows let you move the current selection in the Script pane upward or downward within the code.
•The Check Syntax , Auto Format , Show Code Hint , and Debug Options buttons and menu items
normally visible in the Actions panel are disabled, as they do not apply to Script Assist mode.
• The Insert Target button is disabled unless you are typing in a box. Clicking Insert Target places the resulting
code in the current box.
Note: If the Actions panel contains ActionScript code when you click Script Assist, Flash compiles the code. If there are
errors in the code, you cannot use Script Assist until you fix the current code selection. The errors are described in detail
in the Compiler Errors panel.
View a description of an action
•Click a category in the Actions toolbox to display the actions in that category, and click an action.
•Select a line of code in the Script pane.
The description appears at the top of the Actions panel.
Add an action to the Script pane
•Click a category in the Actions toolbox to display the actions in that category, and then either double-click an action
or drag it to the Script pane.
•Click Add (+) and select an action from the pop-up menu.
•Press Escape and a shortcut key. (To view a list of shortcut keys, select Esc Shortcut Keys in the Actions panel
pop-up menu; select this option again to hide the list.)
Delete an action
1Select a statement in the Script pane.
2Click Delete (-) or press the Delete key.
Move a statement up or down in the Script pane
1Select a statement in the Script pane.
2Click the up or down arrow.
Work with parameters
1Add an action to, or select a statement in, the Script pane.
Relevant parameter options appear above the Script pane.
2Enter values in the boxes above the Script pane.

357
USING FLASH PROFESSIONAL
ActionScript
Last updated 1/16/2012
Search for text in a script
•To go to a specific line in a script, choose Go To Line from the Actions panel pop-up menu or press Control+G
(Windows) or Command+G (Macintosh); then enter the line number.
•To find text, click Find , select Find from the Actions panel pop-up menu, or press Control+F (Windows) or
Command+F (Macintosh).
•To find text again, press F3 or select Find Again from the Actions panel pop-up menu.
•To replace text, click Find, or press Control+H (Windows) or Command+H (Macintosh).
In Script Assist mode, Replace searches and replaces text only in the parameter box of each action, not in the entire
script. For example, in Script Assist mode you cannot replace all gotoAndPlay actions with gotoAndStop.
About behaviors
Behaviors are predefined scripts that you can attach to objects in your FLA file. Behaviors provide functionality such
as frame navigation, loading external SWF and JPEG files, controlling the stacking order of movie clips, and movie clip
dragging.
Behaviors provide a convenient way to avoid writing ActionScript and can help you learn how ActionScript works.
Behaviors are available only for ActionScript 2.0 and earlier, and only when you work in the Actions panel, not in an
external script file. Typically, you select a triggering object in your document (such as a movie clip or a button), select
Add in the Behaviors panel, and then select behavior, as the following example shows:
Selecting a behavior from the Behaviors panel
The behavior is added to the object and is displayed in the Actions panel.
The ActionScript of a behavior
For a sample about behaviors, see the Flash Samples page at www.adobe.com/go/learn_fl_samples. Download and
decompress the Samples zip file and navigate to the Behaviors\BehaviorsScrapbook folder to access the sample.
More Help topics
“Controlling instances with behaviors” on page 176
“Add and configure a behavior” on page 177
“Create custom behaviors” on page 177

358
USING FLASH PROFESSIONAL
ActionScript
Last updated 1/16/2012
Writing and managing scripts
Format code
Your code can be formatted and indented automatically or manually. If you use dynamic font mapping, you ensure
that the correct fonts are used for multilingual text.
Set Auto Format options
1Do one of the following:
• From the panel menu (at the upper-right corner of the Actions panel), select Preferences.
•In the Script window, select Edit > Preferences (Windows) or Flash > Preferences (Macintosh).
2In the Preferences dialog box, select Auto Format.
3Select any of the Auto Format options.
After you set Auto Format options, your settings are applied automatically to the code you write, but not to existing
code; you must apply your settings to existing code manually.
Format code according to Auto Format settings
•Click Auto Format in the Actions panel or Script window toolbar.
•From the panel menu (at the upper-right corner of the Actions panel), select Auto Format.
•Press Control+Shift+F (Windows) or Command+Shift+F (Macintosh).
•In the Script window, select Tools > Auto Format.
Use dynamic font mapping
❖
To turn dynamic font mapping on or off, select or deselect Use Dynamic Font Mapping in the Preferences dialog box.
Dynamic font mapping is turned off by default because it increases performance time when you are scripting. If you are
working with multilingual text, turn on dynamic font mapping because it helps to ensure that the correct fonts are used.
Use automatic indentation
❖To turn automatic indentation on or off, select or deselect Automatic Indentation in the Preferences dialog box.
When automatic indentation is turned on, the text you type after an opening parenthesis “(“ or opening curly brace
“{“ is automatically indented according to the Tab Size setting in ActionScript preferences.
In your scripts, you can indent a line by selecting it and pressing Tab. To remove the indent, select the line and press
Shift+Tab.
Comment sections of code
Code comments are parts of code that the ActionScript compiler ignores. A comment lines explains what your code is
doing, or temporarily deactivates code that you don’t want to delete. Comment a line of code by beginning it with a
double slash (//). The compiler ignores all text on that line after the double slash. You can also comment larger blocks
of code by placing a slash and asterisk (/*) at the beginning of the block and an asterisk and slash (*/) at the end of the
block.
You can type these comment markers manually, or you can use buttons at the top of the Actions panel or Script
window to add them.

359
USING FLASH PROFESSIONAL
ActionScript
Last updated 1/16/2012
Comment a line of code
1Place the insertion point at the beginning of the line or at the character where you want the comment to begin.
2Click Apply Line Comment at the top of the Actions panel or Script window.
A double slash (//) is placed at the insertion point.
Comment multiple lines of code
1Select the lines to comment. (The first and last lines of the selection can be partial lines.)
2Click Apply Block Comment at the top of the Actions panel or Script window.
Block comment characters are placed at the beginning (/*) and end (*/) of the selection.
Remove a comment
1Place the insertion point in the line that contains the comment, or select the block of code that is commented.
2Click Remove Comment .
Use syntax coloring
In ActionScript, as in any language, syntax is the way elements are put together to create meaning. If you use incorrect
ActionScript syntax, your scripts cannot work.
To highlight syntax errors, set a color-code for parts of your scripts. For example, suppose you set the syntax coloring
preference to make keywords appear in blue. When you type var, the word var appears in blue. However, if you
mistakenly type vae, the word vae remains black, which shows that you made a typing error.
Do one of the following:
•Select Edit > Preferences (Windows) or Flash > Preferences (Macintosh), click ActionScript in the Category list,
and specify Syntax Coloring settings.
• From the panel menu (at the upper-right corner of the Actions panel), select Preferences and specify Syntax
Coloring settings.
•With the insertion point in the Script pane, press Control-U (Windows) or Command-U (Macintosh).
Note: When you write scripts in the Actions panel, commands that are not supported by the version of the player you are
targeting appear in yellow in the Actions toolbox. For example, if the Flash Player SWF file version is set to Flash 7,
ActionScript that only Flash Player 8 supports appears in yellow in the Actions toolbox.
More Help topics
“Set ActionScript preferences” on page 352
Use line numbers and word wrap
When you edit or modify code, line numbers make code easier to scroll and parse. Word wrap helps you avoid
horizontally scrolling long lines of code (especially when you work in the authoring environment, or at low screen
resolutions).
Enable or disable line numbers
•From the panel menu (at the upper-right corner of the Actions panel), select Line Numbers.
•In the Script window, select View > Line Numbers.

360
USING FLASH PROFESSIONAL
ActionScript
Last updated 1/16/2012
•Press Control+Shift+L (Windows) or Command+Shift+L (Macintosh).
Highlight a specific line
•From the panel menu (at the upper-right corner of the Actions panel), select Go To Line.
•In the Script window, select Edit > Go To Line.
Enable or disable line word wrap
•From the panel menu (at the upper-right corner of the Actions panel), select Word Wrap.
•In the Script window, select View > Word Wrap.
•Press Control+Shift+W (Windows) or Command+Shift+W (Macintosh).
Collapse sections of code
To make your code more readable and easier to navigate during programming and debugging, collapse sections of
code into a single line. By collapsing sections that you don’t need to look at, you can focus on the code you are writing
or debugging.
Collapse selected code
1Select the code to collapse.
2Click Collapse Selection .
Collapse code between braces or parentheses
1Place the insertion point inside the braces or parentheses.
2Click Collapse Between Braces .
Expand collapsed code
❖Click the plus sign (+) that appears to the left of the collapsed code. (To recollapse the code block, click the minus
sign (-) that appears.)
Expand all collapsed code in the current script
❖Click Expand All .
Adding ActionScript with shortcut keys
To add elements to a script, use Escape shortcut keys (pressing the Escape key, and then two other keys). For example,
if you are working in the Script pane and press Escape+d+o, the following code is placed in your script:
do {
} while ();
The insertion point is placed after the word while, so you can begin typing your condition. Similarly, if you press
Escape+c+h, the following code is placed in your script, and the insertion point is placed between the parentheses (),
so you can begin typing your condition:
catch () {
}
To learn which commands have Escape shortcut keys, display them in the Actions toolbox by selecting Escape Shortcut
Keys from the Actions Panel menu.

361
USING FLASH PROFESSIONAL
ActionScript
Last updated 1/16/2012
Escape shortcut keys
Display hidden characters
Characters such as spaces, tabs, and line breaks are hidden in ActionScript code. You may need to display these
characters; for example, you must find and remove double-byte spaces that are not part of a string value, because they
cause compiler errors.
•From the panel menu (at the upper-right corner of the Actions panel), Select Hidden Characters.
•Press Control+Shift+8 (Windows) or Command+Shift+8 (Macintosh).
The following symbols are used to display hidden characters.
Find text in a script
The Find tool lets you find and replace text strings in your scripts.
Note: To search through text in every script in a Flash document, use the Movie Explorer.
More Help topics
“Use the Movie Explorer” on page 23
Find text
1In the Actions panel or Script window, click Find or press Control+F (Windows) or Command+F (Macintosh).
2Enter the search string.
3Click Find Next.
Find and replace text in a script
1In the Actions panel or Script window, click Find or press Control+F (Windows) or Command+F (Macintosh).
Hidden character Symbol
Single-byte space .
Double-byte space l
Tab >>
line break

362
USING FLASH PROFESSIONAL
ActionScript
Last updated 1/16/2012
2Enter the search string.
3In the Replace box, enter the new string.
4Click Find Next.
5To replace the string, click Replace; to replace all occurrences of the string, click Replace All.
Repeat a search in the Actions panel
❖ From the panel menu (at the upper-right corner of the Actions panel), select Find Again.
Repeat a search in the Script window
❖Select Edit > Find Again.
Check syntax and punctuation
You can do a quick check of your ActionScript code without publishing the FLA file.
When you check syntax, the current script is checked. If the current script calls ActionScript classes, those classes are
also checked. Other scripts that might be in the FLA file are not checked.
For ActionScript 2.0 files, Check Syntax runs the code through the compiler, generating syntax and compiler errors.
For ActionScript 3.0 files, Check Syntax generates only syntax errors. To generate compiler errors, such as type
mismatches, improper return values, and variable or method name misspellings, you must use the Control
> Test
Movie
> Test command.
More Help topics
Compiling and exporting classes (ActionScript 2.0)
Check syntax
To check syntax, do one of the following:
•In the Actions panel or Script window, click Check Syntax .
•From the panel menu (at the upper-right corner of the Actions panel), select Check Syntax.
•Click in the Script pane, and then press Control+T (Windows) or Command+T (Macintosh). Clicking or typing in
the Script pane gives it the focus. If an object on the Stage has the focus, the Transform panel opens instead.
Syntax errors are listed in the Compiler Errors panel.
Note: In an external ActionScript class file in the Script window, the global classpath (AS2) or source path (AS3) affects
the syntax check. Even if the global classpath or source path is set correctly, you might generate errors, because the
compiler is not aware that this class is being compiled.
Check for punctuation balance
1Click between braces {}, brackets [], or parentheses () in your script.
2In Windows, press Control+' (single quote); on the Macintosh, press Command+' (single quote). The text between
braces, brackets, or parentheses is highlighted, and you can check that opening punctuation has corresponding
closing punctuation.

363
USING FLASH PROFESSIONAL
ActionScript
Last updated 1/16/2012
Import and export scripts
You can import a script into the Actions panel or Script window. You can also export your scripts from the Actions
panel to external ActionScript files. (When you use the Script window, exporting is unnecessary because you can
instead save the AS file.)
If text in your scripts doesn’t look as expected when you open or import a file, change the import encoding preference.
Import an external AS file
1In the Script pane, place the insertion point where you want to locate the first line of the external script.
2Do one of the following:
•In the Actions panel, select Import Script from the panel menu, or press Control+Shift+I (Windows) or
Command+Shift+I (Macintosh).
•In the Script window, select File > Import Script or press Control+Shift+I (Windows) or Command+Shift+I
(Macintosh).
Export a script from the Actions panel
1Select the script to export. Then select Export Script from the Actions Panel menu, or press Control+Shift+X
(Windows) or Command+Shift+X (Macintosh).
2Save the ActionScript (AS) file.
Set text encoding options
1
Select Edit > Preferences (Windows) or Flash > Preferences (Macintosh), and select ActionScript in the Category list.
2Set any of these options:
Open/Import Select UTF-8 Encoding to open or import using Unicode encoding, or select Default Encoding to open
or import using the encoding form of the language currently used by your system.
Save/Export Select UTF-8 Encoding to save or export using Unicode encoding, or select Default Encoding to save or
export using the encoding form of the language currently used by your system.
Turn the export encoding warning off or on
1Select Edit > Preferences (Windows) or Flash > Preferences (Macintosh), and select Warnings in the Category list.
2Select or deselect Warn On Encoding Conflicts When Exporting ActionScript Files.
Encoding for imported and exported scripts
You can set ActionScript preferences to specify the type of encoding to use in imported or exported ActionScript files.
UTF-8 Encoding is 8-bit Unicode format, which lets you include text in multiple languages in your file; Default
Encoding is the encoding supported by the language your system is currently using, also called the traditional code
page.
Important: When you use a non-English application on an English system, the Test Movie command fails if any part of
the SWF file path has characters that cannot be represented by using the Multibyte Character Sets (MBCS) encoding
scheme. For example, Japanese paths, which work on a Japanese system, won’t work on an English system. Be sure to use
English-only path names on English systems. All areas of the application that use the Test Movie player are subject to this
limitation.

364
USING FLASH PROFESSIONAL
ActionScript
Last updated 1/16/2012
Pin scripts in the Actions panel
If you don’t organize the code within your FLA file into one central location, or if you’re using behaviors, you can pin
individual scripts in the Actions panel to move among them more easily. To pin a script means that you can keep the
location of the code open in the Actions panel, and easily click between open scripts. This can be especially useful when
debugging.
In the following figure, the script associated with the current location on the timeline is on Frame 1 of the layer named
Cleanup. (The tab at the far left always follows your location along the timeline.) That script is also pinned (it is shown
as the rightmost tab). Two other scripts are pinned: one on Frame 1 and the other on Frame 15 of the layer named
Intro. You can move among the pinned scripts by clicking the tabs or by using keyboard shortcuts. Moving among
pinned scripts does not change your current position on the timeline.
A pinned script
If the content in the Script pane doesn’t change to reflect the location you select on the timeline, the Script pane is
probably showing a pinned script. Click the tab at the lower left of the Script pane to show the script associated with
your location along the timeline.
More Help topics
“Debugging ActionScript 3.0” on page 369
“Debugging ActionScript 1.0 and 2.0” on page 373
Pin a script
1Click the Timeline so the script appears in a tab at the lower left of the Script pane in the Actions panel.
2Do one of the following:
•Click the Pushpin icon to the right of the tab.
•Right-click (Windows) or Control-click (Macintosh) the tab, and select Pin Script.
•From the panel menu (at the upper-right corner of the Actions panel), select Pin Script.
Unpin a script
•If a pinned script appears in a tab at the lower left of the Script pane in the Actions panel, click the Pushpin icon on
the right of the tab.
•Right-click (Windows) or Control-click (Macintosh) a tab, and select Close Script or Close All Scripts.
•From the panel menu (at the upper-right corner of the Actions panel), select Close Script or Close All Scripts.
Keyboard shortcuts for pinned scripts
When the insertion point is in the Script pane, use the following keyboard shortcuts to work with pinned scripts.
Action Windows shortcut key Macintosh shortcut key
Pin script Control+= (equal sign) Command+=
Unpin script Control+- (minus sign) Command+-

365
USING FLASH PROFESSIONAL
ActionScript
Last updated 1/16/2012
Insert target paths
Many script actions are meant to affect movie clips, buttons, and other symbol instances. In your code, you can
reference symbol instances on a timeline by inserting a target path—the address of the instance you want to target. You
can set either an absolute or relative target path. An absolute path contains the entire address of the instance. A relative
path contains only the part of the address that is different from the address of the script itself in the FLA file, and will
no longer work if the script is moved to another location.
1In the Actions panel, click an action in your script.
2Click Target Path .
3Enter the path to the target instance, or select the target from the list.
4Select either the Absolute or Relative path option.
Use code hints
When you work in the Actions panel or Script window, the software can detect what action you are entering and
display a code hint. There are two types of code hint: a tooltip that contains the complete syntax for that action, and a
pop-up menu that lists possible ActionScript elements, such as method or property names (sometimes referred to as
a form of code completion).
Code hints are enabled by default. By setting preferences, you can disable code hints or determine how quickly they
appear. When code hints are disabled in preferences, you can still manually display a code hint for a specific command.
Note: If you cannot display code hints for a variable or object you created in ActionScript 2.0, but code hints are enabled
in ActionScript preferences, make sure you named your variable or object with the proper suffix or that you used strict
typing for your variable or object.
Enabling code hinting
You can trigger code hints in various ways.
Strict typing for objects
When you use ActionScript 2.0 and use strict typing for a variable that is based on a built-in class (such as Button,
Array, and so on), the Script pane displays code hints for the variable. For example, suppose you enter the following
two lines of code:
var foo:Array = new Array();
foo.
As soon as you enter the period (.), Flash displays a list of methods and properties available for Array objects in a pop-
up menu, because you typed the variable as an array.
Move focus to tab on the right Control+Shift+. (period) Command+Shift+.
Move focus to tab on the left Control+Shift+, (comma) Command+Shift+,
Unpin all scripts Control+Shift+- (minus sign) Command+Shift+-
Action Windows shortcut key Macintosh shortcut key

366
USING FLASH PROFESSIONAL
ActionScript
Last updated 1/16/2012
Suffixes and code hints
If you use ActionScript 1.0 or you want to display code hints for objects without strictly typing them, add a suffix to
the name of each object when you create it. For example, the suffix that triggers code hinting for the Camera class is
_cam. Suppose you type the following code:
var my_array = new Array();
var my_cam = Camera.get();
If you then enter my_cam followed by a period, code hints for the Camera object appear.
For objects that appear on the Stage, use the suffix in the Instance Name box in the Property inspector. For example,
to display code hints for MovieClip objects, use the Property inspector to assign instance names with the _mc suffix to
all MovieClip objects. Then, whenever you type the instance name followed by a period, code hints appear.
Although suffixes are not required for triggering code hints when you use strict typing for an object, using suffixes
consistently helps make your code understandable.
The following table lists the suffixes that trigger code hints in ActionScript 2.0:
Object type Variable suffix
Array _array
Button _btn
Camera _cam
Color _color
ContextMenu _cm
ContextMenuItem _cmi
Date _date
Error _err
LoadVars _lv
LocalConnection _lc
Microphone _mic
MovieClip _mc
MovieClipLoader _mcl
PrintJob _pj
NetConnection _nc
NetStream _ns
SharedObject _so
Sound _sound
String _str
TextField _txt
TextFormat _fmt
Video _video

367
USING FLASH PROFESSIONAL
ActionScript
Last updated 1/16/2012
Comments and code hints
You can also use ActionScript comments to specify an object’s class for code hints. In the following example, a
comment tells ActionScript that the class of the theObject instance is Object, and so on.
// Object theObject;// Array theArray;// MovieClip theMC;
If you subsequently enter theMC followed by a period, code hints that display the list of MovieClip methods and
properties appear. If you enter theArray followed by a period, code hints that display the list of Array methods and
properties appear, and so on.
Instead of this technique, however, Adobe recommends that you use strict data typing or suffixes, because these
techniques enable code hints automatically and make your code more understandable.
Specify preference settings for automatic code hints
•In the Actions panel or Script window, select Edit > Preferences (Windows) or Flash > Preferences (Macintosh),
click ActionScript in the Category list, and then enable or disable Code Hints.
•Select Preferences from the panel menu (at the upper right of the Actions panel), and enable or disable Code
Hints in the ActionScript preferences.
Specify a delay for code hints
1In the Actions panel or Script window, select Edit > Preferences (Windows) or Flash > Preferences (Macintosh).
2Click ActionScript in the Category list.
3Use the slider to select an amount of delay, in seconds.
Use tooltip-style code hints
1Display the code hint by typing an opening parenthesis “(“ after an element that requires parentheses (for example,
after a method name, a command such as if or do..while, and so on).
Opening parentheses invoke the code hints
2Enter a value for the parameter.
For multiple parameters, separate the values with commas. For functions or statements, such as the for loop, separate
the parameters with semicolons.
Overloaded commands (functions or methods that can be invoked with different sets of parameters) such as
gotoAndPlay() or for display an indicator that lets you select the parameter you want to set. To select the parameter,
click the small arrows or press Control+Left Arrow and Control+Right Arrow.
XML _xml
XMLNode _xmlnode
XMLSocket _xmlsocket
Object type Variable suffix

368
USING FLASH PROFESSIONAL
ActionScript
Last updated 1/16/2012
A code hint with multiple sets of parameters
3To dismiss the code hint, do one of the following:
•Type a closing parenthesis “)”.
•Click outside the statement.
•Press Escape.
Use menu-style code hints:
1Display the code hint by typing a period after a variable or object name.
Menu-style code hints
2To navigate through the code hints, use the Up and Down Arrow keys.
3To select an item in the menu, press Enter or Tab, or double-click the item.
4To dismiss the code hint, do one of the following:
•Select one of the menu items.
•Click above or below the menu window.
•Type a closing parenthesis “)” if you’ve already typed an opening parenthesis “(“.
•Press Escape.
Manually display a code hint
1Click in a code location where code hints can appear, such as in the following locations:
•After the dot (.) following a statement or command, where a property or method must be entered
•Between parentheses [()] in a method name
2Do one of the following:
•Click Show Code Hint in the Actions panel or Script window toolbar.
•Press Control+Spacebar (Windows) or Command+Spacebar (Macintosh).
•From the panel menu (at the upper-right corner of the Actions panel), select Show Code Hint.
Reload code hints without restarting the software
❖From the panel menu (at the upper-right corner of the Actions panel), select Reload Code Hints.
You might need to do this if you customize Script Assist mode by writing custom methods.

369
USING FLASH PROFESSIONAL
ActionScript
Last updated 1/16/2012
Code hinting for custom classes
When you create custom ActionScript 3.0 classes, Flash parses the classes and determines the objects, properties, and
methods included in them. Flash can then provide code hinting when you write code that refers to the custom classes.
Custom class code completion is automatic for any class that you link to any other code with the import command.
Code hinting allows developers to work faster because they don’t have to remember all of the objects, methods, and
properties used by the class. Designers can work with classes they did not write themselves because they don’t have to
have first hand knowledge of how to work with the class.
Code hinting includes the following:
•Code hinting for nested class references
When you write nested references, the continued assistance of code hints is helpful.
•Code hinting for “this”
When you type “this” in a class file, you get code hints for that same class.
•Code hinting for “new+<space>”
When you type “new+<space>”, Flash displays a list of available classes and packages.
•Code hinting for “import”
When you type “import + <space>”, Flash displays a list of all the built-in packages and custom packages.
•Code hinting for SWC libraries
When you add a SWC library to the library path or the external library path, Flash enables code hinting for all the
classes included in the SWC file.
Debugging ActionScript 3.0
About the ActionScript 3.0 debugger
Flash includes a separate debugger for ActionScript 3.0 that operates somewhat differently from the ActionScript 2.0
debugger. The ActionScript 3.0 debugger only works with ActionScript 3.0 FLA and AS files. FLA files must have
publish settings set to Flash Player 9. When you initiate an ActionScript 3.0 debugging session, Flash launches the
stand-alone debug version of Flash Player to play the SWF file. The debug Flash player plays the SWF in a separate
window from the Flash authoring application window.
The ActionScript 3.0 debugger converts the Flash workspace to a debug workspace that displays panels that are used
for debugging, including the Actions panel and/or Script window, the Debug console, and the Variables panel. The
Debug console displays the call stack and contains tools for stepping through scripts. The Variables panel displays the
variables in the current scope with their values and allows you to update those values yourself.
Additional resources
The following resources provide additional detailed information about debugging ActionScript 3.0:
•Article: Understanding ActionScript 3 debugging in Flash (Adobe.com)
•Article: Introducing the ActionScript 3 debugger (Adobe.com)
•Video: Mobile device debugging via USB (Adobe.com)

370
USING FLASH PROFESSIONAL
ActionScript
Last updated 1/16/2012
Enter debugging mode
The way you begin a debugging session depends on the type of file you are working on. During a debugging session,
Flash interrupts the execution of ActionScript when it encounters a breakpoint or a runtime error.
When Flash initiates a debug session, it adds special information to the SWF file that it exports for the session. This
information allows the debugger to provide the specific line numbers in the code where errors are encountered.
You can include this special debugging information in all SWF files created from a specific FLA file in the Publish
settings. This allows you to debug the SWF file even if you do not explicitly initiate a debug session. This debugging
information makes the SWF file slightly larger.
Choose a default debugging environment
•Choose Debug Debug Movie and then choose one of the following:
•Flash Professional
•Device Central
•AIR Debug Launcher (Desktop)
•AIR Debug Launcher (Mobile)
•on Device via USB (CS5.5 only)
All debug sessions will take place in the environment you choose. You can change the default environment at any time.
Start debugging from a FLA file
❖Select Debug > Debug Movie > Debug.
Start debugging from an ActionScript 3.0 AS file
1With the ActionScript file open in the Script window, select the FLA file that the ActionScript file should be
compiled with from the Target menu at the top of the Script window. The FLA file must also be open in Flash to
appear in this menu.
2Select Debug > Debug Movie > Debug.
Add debugging information to all SWF files created from a FLA file
1With the FLA file open, select File > Publish Settings.
2In the Publish Settings dialog box, click the Flash tab (CS5) or Flash category (CS5.5).
3Select Permit Debugging.
Exit debugging mode
❖Click the End Debug Session button in the Debug Console.
Set and remove breakpoints
Add breakpoints to ActionScript code to interrupt the execution of the code. After execution is interrupted, you can
step through and execute the code line by line, view different sections of your ActionScript, view the values of variables
and expressions, and edit variable values.
Note: Breakpoints cannot be added to ASC (ActionScript for Communication) or JSFL (Flash JavaScript) files.

371
USING FLASH PROFESSIONAL
ActionScript
Last updated 1/16/2012
Set a breakpoint
❖In the Actions panel or Script window, click in the left margin next to the line of code where you want the
breakpoint to appear.
Remove a breakpoint
❖In the Actions panel or Script window, click on the breakpoint to remove.
Step through lines of code
After the ActionScript execution is interrupted at a breakpoint or runtime error, you can step through the code line by
line, choosing to step into function calls or step over them. You can also choose to continue executing the code without
stepping.
Step into code line by line
❖Click the Step In button in the Debug Console.
Step over a function call
❖Click the Step Over button in the Debug Console.
Step out of a function call
❖Click the Step Out button in the Debug Console.
Resume normal code execution
❖Click the Continue button in the Debug Console.
Display and examine scripts in the call stack
When code execution stops in the debugger, you can view the call stack in the Debug Console and display the scripts
containing the functions in the call stack. The call stack shows the current list of nested function calls that are waiting
to complete execution.
You can view the individual scripts that contain each function.
❖In the Debug Console panel, double click the name of the script in the call stack.
Display and modify variable values
View and edit the values of variables and properties in the Variables panel.
View a variable value
1In the Variables panel, select the types of variables to display from the Panel menu.
•Show Constants displays the values constants (variables having a fixed value).
•Show Statics displays variables that belong to the class, rather than to instances of the class.
•Show Inaccessible Member Variables displays variables that are not accessible to other classes or namespaces.
This includes variables that are protected, private or internal to the namespace.
•Show Additional Hexadecimal Display adds hexadecimal values wherever decimal values are displayed. This is
mainly useful for color values. Hexadecimal values are not displayed for decimal values from 0 through 9.
•Show Qualified Names displays variables types with both the package name and the class name.

372
USING FLASH PROFESSIONAL
ActionScript
Last updated 1/16/2012
2Expand the tree view of the object structure of the FLA until you see the variable to view.
Edit the value of a variable
1In the Variables panel, double click on the value of the variable.
2Enter the new value for the variable and press Enter. The new value is used during subsequent code execution.
Control compiler warnings
Control the types of compiler warnings that the ActionScript compiler generates in the Compiler Errors panel. When
the compiler reports an error, double click the error to navigate to the line of code that caused the error.
1Select File > Publish Settings.
2Click Flash.
3Click the ActionScript Settings button.
4Select among the Errors options:
•Strict Mode reports warnings as errors, which means that compilation will not succeed if those errors exist.
•Warnings Mode reports extra warnings that are useful for discovering incompatibilities when updating
ActionScript 2.0 code to ActionScript 3.0.
Navigate to errors in code
When Flash encounters an error in ActionScript code, either during compiling or execution, it reports the error in the
Compiler Errors panel. Navigate to the line of code that caused the error from the Compiler Errors panel.
❖Double click the error in the Compiler Errors panel.
Debug a remote ActionScript 3.0 SWF file
With ActionScript 3.0, you can debug a remote SWF file by using the stand-alone, ActiveX, or plug-in version of the
Debug Flash Player, which you can find in the Flash install directory/Players/Debug/ directory. However, in the
ActionScript 3.0 Debugger, remote debugging is limited to files located on the same localhost as the Flash authoring
application, being played in the stand alone debug player, ActiveX control, or plugin.
To permit remote debugging of the file, enable debugging in the Publish settings. You can also publish your file with
a debugging password to ensure that only trusted users can debug it.
As in JavaScript or HTML, users can view client-side variables in ActionScript. To store variables securely, send them to
a server-side application instead of storing them in your file. However, as a developer, you may have other trade secrets,
such as movie clip structures, that you do not want to reveal. You can use a debugging password to protect your work.
Enable remote debugging of a SWF file and set a debugging password
In ActionScript 3.0 FLA files, code in frame scripts cannot be debugged. Only code in external AS files can be debugged
with the ActionScript 3.0 Debugger.
1Open the FLA file.
2Select File > Publish Settings.
3In the Publish Settings dialog box, click the Flash tab (CS5) or Flash category (CS5.5), and then select Permit
Debugging.

373
USING FLASH PROFESSIONAL
ActionScript
Last updated 1/16/2012
4Close the Publish Settings dialog box, and select one of the following commands:
•File > Export > Export Movie
•File > Publish
5Leave the SWF file on the local machine to perform a remote debug session on the localhost, or upload it to your
web server.
The SWF file contains no breakpoint information, so if you upload the file to a remote server you will not be able
to step through code. Use the localhost to perform this task.
6In Flash, select Debug > Begin Remote Debug Session > ActionScript 3.0.
Flash opens the ActionScript 3.0 Debugger and waits for a debug Flash Player to connect. You have 2 minutes to
start the debug Flash Player. If more than 2 minutes elapse, repeat this step.
7Open the SWF file in the debug version of the Flash Player plugin, ActiveX control, or stand-alone player. The
debug stand-alone player is located in the Flash install directory/Players/Debug/ directory. Do not connect to a file
on another machine, as debugger will not be able to receive any breakpoint information.
The debug session begins when the debug player connects to the Flash ActionScript 3.0 Debugger panel.
Activate the Debugger from a remote location
1Open the Flash authoring application if it is not already open.
2Select Debug > Begin Remote Debug Session > ActionScript 3.0.
3In a browser or in the debugger version of the stand-alone player, open the published SWF file from the remote
location.
If the Remote Debug dialog box does not appear, right-click (Windows) or Control-click (Macintosh) in the SWF
file to display the context menu, and select Debugger.
4In the Remote Debug dialog box, select Localhost and select the file to open.
The display list of the SWF file appears in the Debugger. If the SWF file doesn’t play, the Debugger might be paused,
so click Continue to start it.
Debugging ActionScript 1.0 and 2.0
Debugging your ActionScript 1.0 and 2.0 scripts
The ActionScript 2.0 debugger helps you find ActionScript 1.0 and 2.0 errors while your SWF file runs in Flash Player.
When using Flash to debug ActionScript 1.0 and 2.0, you view your SWF files in the debugger version of Flash Player,
which is installed automatically with Flash. To install a stand-alone debugger version of Flash Player, run the installer
in the /Flash installed directory/Players/Debug/ directory.
The ActionScript 2.0 Debugger shows a hierarchical display list of movie clips currently loaded in Flash Player. Using
the ActionScript 2.0 Debugger, you can display and modify variable and property values as the SWF file plays, and you
can use breakpoints to stop the SWF file and step through ActionScript code line by line. You can then go back to your
scripts and edit them so that they produce the correct results.

374
USING FLASH PROFESSIONAL
ActionScript
Last updated 1/16/2012
A. Display list B. Properties list C. Tool bar D. Code view
You can resize the regions of the Debugger panel. When your pointer changes between each region, drag to resize the
Display list, Watch list, and code view. You can also click the vertical bar to expand either side of the Debugger to full size.
After it’s activated, the Debugger status bar displays the URL or local path of the file, tells whether the file is running
in the test environment or from a remote location, and shows a live view of the movie clip display list. When movie
clips are added to or removed from the file, the display list reflects the changes immediately.
Note: The ActionScript 2.0 and 3.0 debuggers have significant differences. For more information about the ActionScript
3.0 debugger, see “Debugging ActionScript 3.0” on page 369.
The Test Movie command and keyboard controls
When you use the Control > Test Movie > Test command to test SWF files that implement keyboard controls (tabbing,
keyboard shortcuts created using Key.addListener(), and so on), select Control > Disable Keyboard Shortcuts in
the Test Movie window. Selecting this option prevents the authoring environment from “grabbing” keystrokes, and
lets them pass through to the player. For example, in the authoring environment, Control+U opens the Preferences
dialog box. If your script assigns Control+U to an action that underlines text onscreen, when you use Test Movie,
pressing Control+U opens the Preferences dialog box instead of running the action that underlines text. To let the
Control+U command pass through to the player, you must select Control
> Disable Keyboard Shortcuts in the Test
Movie window.
Important: When you use a non-English application on an English system, the Test Movie command fails if any part of
the SWF file path has characters that cannot be represented with the MBCS encoding scheme. For example, Japanese
paths on an English system do not work.
Other debugging tools
Flash also provides the following debugging tools:
•The Compiler Errors panel, which shows errors encountered when Flash compiles your scripts
•The Output panel, which shows runtime error messages, and lists of variables and objects
•The trace() statement, which sends programming notes and values of expressions to the Output panel
•The throw and try..catch..finally statements, which let you test and respond to runtime errors from within
your script
C
D
A
B

375
USING FLASH PROFESSIONAL
ActionScript
Last updated 1/16/2012
Debug a local SWF file
1Open the FLA document.
2Select Debug > Debug Movie > Debug.
This command exports the SWF file with debugging information (the SWD file). It opens the Debugger and opens the
SWF file in the test environment. The SWD file is used to debug ActionScript, and contains information that lets you
use breakpoints and step through code.
Debug a remote ActionScript 2.0 SWF file
You can debug a remote SWF file by using the stand-alone, ActiveX, or plug-in version of the Debug Flash Player,
which you can find in the Flash install directory/Players/Debug/ directory.
To permit remote debugging of the file, enable debugging in the Publish settings. You can also publish your file with
a debugging password to ensure that only trusted users can debug it.
As in JavaScript or HTML, users can view client-side variables in ActionScript. To store variables securely, send them to
a server-side application instead of storing them in your file. However, as a developer, you may have other trade secrets,
such as movie clip structures, that you do not want to reveal. You can use a debugging password to protect your work.
Enable remote debugging of a SWF file and set a debugging password
1Open the FLA file.
2Select File > Publish Settings.
3In the Publish Settings dialog box, click the Flash tab (CS5) or Flash category (CS5.5), and then select Permit
Debugging.
4To set a password, enter a password in the Password box.
After you set this password, no one can download information to the Debugger without the password.
5Close the Publish Settings dialog box, and select one of the following commands:
•Debug > Debug Movie > Debug
•File > Export > Export Movie
•File > Publish
Flash creates a debugging file, with the extension .swd, and saves it in the same directory as the SWF file. The SWD file
is used to debug ActionScript, and contains information that lets you use breakpoints and step through code.
6Upload the SWF file and the SWD file to the same directory on your web server, or leave it on the local machine to
perform a remote debug session on the localhost.
If the SWD file is not in the same directory as the SWF file, you can still debug remotely; however, the Debugger has
no breakpoint information, so you can’t step through code.
7In Flash, select Debug > Begin Remote Debug Session > ActionScript 2.0.
Flash opens the ActionScript 2.0 Debugger panel and waits for a debug Flash Player to connect. You have 2 minutes
to start the debug Flash Player. If more than 2 minutes elapse, repeat this step.
8Open the SWF file in the debug version of the Flash Player plugin, ActiveX control, or stand-alone player. The
debug stand-alone player is located in the Flash install directory/Players/Debug/ directory.
The debug session begins when the debug player connects to the Flash ActionScript 2.0 Debugger panel.

376
USING FLASH PROFESSIONAL
ActionScript
Last updated 1/16/2012
Activate the Debugger from a remote location
1Open the Flash authoring application if it is not already open.
2Select Debug > Begin Remote Debug Session > ActionScript 2.0.
3In a browser or in the debugger version of the stand-alone player, open the published SWF file from the remote
location. Be sure the SWD file is in the same folder as the SWF file.
If the Remote Debug dialog box does not appear, right-click (Windows) or Control-click (Macintosh) in the SWF file
to display the context menu, and select Debugger.
4In the Remote Debug dialog box, select Localhost or Other Machine:
•Select Localhost if the debugger version of Flash Player and the Flash authoring application are on the same
computer.
•Select Other Machine if the debugger version of Flash Player and the Flash authoring application are not on the
same computer. Enter the IP address of the computer running the Flash authoring application.
•Select Don't show this dialog at launch to prevent the Remote Debug dialog box from prompting the user for a
debugger location if one cannot be found. This option is selected by default.
5Enter your debugging password if you set one.
The display list of the SWF file appears in the Debugger. If the SWF file doesn’t play, the Debugger might be paused,
so click Continue to start it.
Display and modify the values of variables in the Debugger
The Variables tab in the Debugger shows the names and values of any global and timeline variables that are selected
in the SWF file’s display list. If you change the value of a variable on the Variables tab, the change is reflected in the
SWF file while it runs. For example, to test collision detection in a game, you can enter the variable value to position a
ball in the correct location next to a wall.
The Locals tab in the Debugger shows the names and values of any local variables that are available in the line of
ActionScript where the SWF file is currently stopped, at a breakpoint or anywhere else within a user-defined function.
More Help topics
“List a SWF file’s objects and variables” on page 378
Display a variable and its value
1In the Debugger’s display list, select the movie clip containing the variable. (To display global variables, select the
_global clip in the display list.)
2Click the Variables tab.
The display list updates automatically as the SWF file plays.
Note: If a movie clip is removed from the SWF file at a specific frame, that movie clip, along with its variable and variable
name, is also removed from the display list in the Debugger. However, if its variable is marked for the Watch list, you can
still view it in the Watch tab.
Modify a variable value
❖On the Debugger panel Variables tab, double-click the value, and enter a new value.

377
USING FLASH PROFESSIONAL
ActionScript
Last updated 1/16/2012
Enter a string (any value surrounded by quotation marks), a number, or a Boolean value (true or false). You cannot
enter an expression (for example, eval("name:"
+i) or x + 2).
Note: To write the value of an expression to the Output panel in the test environment, use the trace() statement.
Use the Watch list
To monitor a set of critical variables, you can mark them for the Watch list. The Watch list shows the absolute path to
the variable and the value. You can also enter a new variable value in the Watch list. The Watch list shows only
variables that you access by using an absolute target path, such as _global or _root.
If you add a local variable to the Watch list, its value appears only when Flash Player stops at a line of ActionScript that
is within the variable’s scope. All other variables appear while the SWF file is playing. If the Debugger can’t find the
value of the variable, the value is listed as undefined.
Variables marked for the Watch list and variables in the Watch list
Add variables to the Watch list
•On the Variables or Locals tab, right-click (Windows) or Control-click (Macintosh) a selected variable; then select
Watch from the context menu. A blue dot appears next to the variable.
•On the Watch tab, right-click (Windows) or Control-click (Macintosh) and select Add from the context menu.
Double-click in the name column, and enter the target path to the variable name.
Remove variables from the Watch list
❖On the Watch tab or the Variables tab, right-click (Windows) or Control-click (Macintosh) and select Remove
from the context menu.
Display movie clip properties and change editable properties
The Debugger’s Properties tab shows all the property values of any movie clip on the Stage. If you change a value, you
can see its effect in the SWF file while it runs. (Some movie clip properties are read-only and cannot be changed.)
Display a movie clip’s properties in the Debugger
1Select a movie clip from the display list.
2Click the Properties tab in the Debugger.

378
USING FLASH PROFESSIONAL
ActionScript
Last updated 1/16/2012
Modify a property value
❖In the Debugger’s Properties tab, double-click the value, and enter a new value.
Enter a string (any value surrounded by quotation marks), a number, or a Boolean value (true or false). You cannot
enter an expression (for example, x + 50), or object or array values (for example, {id: "rogue"} or [1,
2, 3]).
Note: To write the value of an expression to the Output panel in the test environment, use the trace() statement.
List a SWF file’s objects and variables
To list a SWF file’s objects, use the List Objects command, which is useful for finding the correct target path and
instance names. To list a SWF file’s variables, use the List Variables command, with which you can find a variable’s
name and target path.
Selecting the List Objects or List Variables command clears the contents of the Output panel. If you do not want to lose
this information, select Save to File from the Output Panel menu before selecting the command.
List a SWF file’s objects
In the test environment, the List Objects command shows the level, frame, object type (shape, movie clip, or button),
target paths, and instance names of movie clips, buttons, and text fields in a hierarchical list in the Output panel. (It
does not show all ActionScript data objects.)
1If your SWF file is not running in the test environment, select Control > Test Movie > Test.
2Select Debug > List Objects.
A list of all the objects currently on the Stage appears in the Output panel. The list does not update automatically as
the SWF file plays; you must select the List Objects command each time you want to send the information to the
Output panel.
List a SWF file’s variables in the Output panel
In the test environment, the List Variables command shows a list of all the variables in the SWF file. Global variables
(those declared with the _global identifier) appear at the top of the List Variables output in a Global Variables section,
and each variable has a _global prefix.
In addition, the List Variables command shows getter/setter properties—properties that are created with the
Object.addProperty() method and start get or set methods. In the Output panel, the value of a getter/setter
property is prefixed with [getter/setter]. The software determines the value that appears for a getter/setter
property by evaluating the get function.
The list does not update automatically as the SWF file plays; you must select the List Variables command each time
you want to send the information to the Output panel.
1Create a new FLA document. For example, you might call it listvariables.fla.
2Add the following ActionScript 2.0 in the Actions panel:
_global.myName = "Buster";
var myCatSays:String = "meow";
var myNum:Number = 313;
var myArray:Array = ["one", "two", "three"];
3Select Control > Test Movie > Test.
4Select Debug > List Variables in the test environment.

379
USING FLASH PROFESSIONAL
ActionScript
Last updated 1/16/2012
A list of all the variables currently in the SWF file appears in the Output panel. The following example shows the
variables that would be output from the code listed above in step 2:
Global Variables:
Variable _global.myName = "Buster"
Level #0:
Variable _level0.$version = "WIN 9,0,29,3"
Variable _level0.myCatSays = "meow"
Variable _level0.myNum = 313
Variable _level0.myArray = [object #1, class 'Array'] [0:"one",
1:"two",
2:"three"
]
Set and remove breakpoints
A breakpoint lets you stop an application at a specific line of ActionScript. You can use breakpoints to test possible
trouble spots in your code. For example, if you’ve written a set of if..else
if statements and can’t determine which one is executing, you can add a breakpoint before the statements and
examine them one by one (step through them) in the Debugger.
You can set breakpoints in the Actions panel, Script window, or Debugger. Breakpoints set in the Actions panel are
saved with the FLA file. Breakpoints set in the Debugger and Script window are not saved in the FLA file and are valid
only for the current debugging session.
Important: If you set breakpoints in the Actions panel or Script window and click Auto Format, check your breakpoints.
If the Auto Format command removed empty lines, your ActionScript might be moved to a different line. It’s a good idea
to autoformat your scripts before you set breakpoints.
You can view breakpoints in both the Debugger and the Script window by setting them in either one of those windows.
For this to work, the path to the AS file must be the same in both windows.
Do not set breakpoints on comments or empty lines; these breakpoints are ignored.
Set or remove a breakpoint in the Actions panel or Script window
During a debugging session, do one of the following:
•Click in the left margin of the Script pane. A red dot indicates a breakpoint.
•Click Debug Options button.
•Right-click (Windows) or Control-click (Macintosh) to display the context menu, and select Set Breakpoint,
Remove Breakpoint, or Remove Breakpoints In This File. (In the Script window, you can also select Remove
Breakpoints In All AS Files.)
•Press Control+Shift+B (Windows) or Command+Shift+B (Macintosh).
Note: In some previous versions of Flash, clicking in the left margin of the Script pane selected the line of code; now it
adds or removes a breakpoint. To select a line of code, use Control-click (Windows) or Command-click (Macintosh).
Set and remove breakpoints in the Debugger
•Click in the left margin of the code pane. A red dot indicates a breakpoint.
•Click Toggle Breakpoint or Remove All Breakpoints above the code view.
•Right-click (Windows) or Control-click (Macintosh) to display the context menu, and select Set Breakpoint,
Remove Breakpoint, or Remove All Breakpoints in the File.

380
USING FLASH PROFESSIONAL
ActionScript
Last updated 1/16/2012
•Press Control+Shift+B (Windows) or Command+Shift+B (Macintosh).
The breakpoints XML file
When you work with breakpoints in the Script window, the AsBreakpoints.xml file lets you store breakpoint
information. This file is written to the Local Settings directory, in the following locations:
Windows Hard Disk\Documents and Settings\User\Local Settings\Application Data\Adobe\Flash
CS3\language\Configuration\Debugger\
Macintosh Macintosh HD/Users/User/Library/Application Support/Adobe Flash CS3/Configuration/Debugger/
Here is an example of an AsBreakpoints.xml file:
<?xml version="1.0"?>
<flash_breakpoints version="1.0">
<file name="c:\tmp\myscript.as">
<breakpoint line="10"></breakpoint>
<breakpoint line="8"></breakpoint>
<breakpoint line="6"></breakpoint>
</file>
<file name="c:\tmp\myotherscript.as">
<breakpoint line="11"></breakpoint>
<breakpoint line="7"></breakpoint>
<breakpoint line="4"></breakpoint>
</file>
</flash_breakpoints>
The XML file consists of the following tags:
flash_breakpoints
This node has a
version
attribute, which specifies the version of the XML file. Flash 8 is version 1.0.
file A child node of flash_breakpoints. This node has a name attribute, which specifies the name of the file that
contains breakpoints.
breakpoint A child node of file. This node has a line attribute, which specifies the line number that contains the
breakpoint.
The AsBreakpoints.xml file is read when you start Flash, and regenerated when you quit. AsBreakpoints.xml is used
to keep track of the breakpoints between development sessions.
Stepping through lines of code
After you set breakpoints in a script and click Continue in the Debugger, you can step through lines of code—that is,
control how the Debugger moves through statements and functions.
For example, in the following ActionScript 2.0 code, suppose a breakpoint is set inside a button on the
myFunction()
line:
on(press){
myFunction();
}
When you click the button, Flash Player reaches the breakpoint and pauses. You can now bring the Debugger to the
first line of myFunction() wherever it is defined in the document. You can also continue through or exit out of the
function.

381
USING FLASH PROFESSIONAL
ActionScript
Last updated 1/16/2012
As you step through lines of code, the values of variables and properties change in the Variables, Locals, Properties,
and Watch tabs. A yellow arrow on the left side of the Debugger’s code view indicates the line at which the Debugger
stopped. Use the following buttons along the top of the code view:
Step In Advances the Debugger into a function. (If a line does not contain a user-defined function, Step In
advances to the next line.)
In the following example, if you place a breakpoint at line 7 and click Step In, the Debugger advances to line 2, and
another click of Step In advances you to line 3.
1 function myFunction() {
2 x = 0;
3 y = 0;
4 }
5
6 mover = 1;
7 myFunction();
8 mover = 0;
Note: The numbers in this code snippet denote line numbers. They are not part of the code.
Step Out Advances the Debugger out of a function. This button works only if you are currently stopped in a user-
defined function; it moves the yellow arrow to the line that follows the function call. In the previous example, if you
place a breakpoint at line 3 and click Step Out, the Debugger moves to line 8. Clicking Step Out at a line that is not
within a user-defined function is the same as clicking Continue. For example, if you stop at line 6 and click Step Out,
the player continues to execute the script until it encounters a breakpoint.
Step Over Advances the Debugger over a line of code. This button moves the yellow arrow to the next line in the
script. In the previous example, if you are stopped at line 7 and click Step Over, you advance directly to line 8 without
stepping through myFunction(), although the myFunction() code still executes.
Continue Leaves the line at which the player is stopped and continues playing until a breakpoint is reached.
End Debug Session Makes the Debugger inactive but continues to play the SWF file in Flash Player.
Control compiler warnings
You can control the types of compiler warnings that the ActionScript compiler generates in the Compiler Errors panel.
When the compiler reports an error, you can double click on the error to navigate to the line of code that caused the
error.
1Select File > Publish Settings.
2Click the Flash tab.
3Click the ActionScript Settings button.
4Select among the Errors options:
•Strict Mode causes warnings to be reported as errors, which means that compilation will not succeed if those errors
exist.
•Warnings Mode causes extra warnings to be reported that are useful for discovering incompatibilities when
updating ActionScript 2.0 code to ActionScript 3.0.
Output panel overview
When you test a SWF file, the Output panel can show information to help you troubleshoot your SWF file. To show
this information, add trace() statements to your code or use the List Objects and List Variables commands.

382
USING FLASH PROFESSIONAL
ActionScript
Last updated 1/16/2012
If you use the trace() statement in your scripts, you can send specific information to the Output panel as the SWF
file runs. This could include notes about the SWF file’s status or the value of an expression. For more information, see
the trace() function in the ActionScript 2.0 Language Reference at www.adobe.com/go/learn_cs5_as2lr_en.
Display or hide the Output panel
❖Select Window > Output or press F2.
Work with the contents of the Output panel
❖In the Output Panel menu , select a command. Here is a partial list:
Copy Copies all the contents of the Output panel to the computer's Clipboard. To copy a selected portion of the
output, select the area you want to copy and then select Copy.
Save To File Saves the Output panel contents to a text file.
Filter Level Select None to prevent any information from appearing in the Output panel; select Verbose to send all
information to the Output panel.
Use the trace statement
A trace() statement sends specific information to the Output panel. For example, while testing a SWF file, you can
send results to the Output panel when a button is pressed or a frame plays. The trace() statement is similar to the
JavaScript alert statement.
When you use the trace() statement in a script, you can use expressions as parameters. The value of an expression
appears in the Output panel in the test environment.
1Select a frame in the Timeline and add a trace() statement. For example, you might select Frame 1 and add the
following ActionScript 2.0 code:
this.createEmptyMovieClip("img_mc", 10);
var mclListener:Object = new Object();
mclListener.onLoadInit = function(target_mc:MovieClip) {
trace(target_mc+" loaded in "+getTimer()+" ms");
};
mclListener.onLoadError = function(target_mc:MovieClip, errorCode:String,
httpStatus:Number) {
trace(">> error downloading image into "+target_mc);
trace(">>\t errorCode="+errorCode+", httpStatus="+httpStatus);
};
var img_mcl:MovieClipLoader = new MovieClipLoader();
img_mcl.addListener(mclListener);
img_mcl.loadClip("http://www.helpexamples.com/flash/images/404.jpg", img_mc);
2Select Control > Test Movie > Test to test the SWF file.
The Output panel displays the results of the trace() statement. For example, the panel might display the following
message:

383
USING FLASH PROFESSIONAL
ActionScript
Last updated 1/16/2012
Output panel
Navigate to errors in code
When Flash encounters an error in ActionScript code, either during compiling or execution, it reports the error in the
Compiler Errors panel. From the Compiler Errors panel, you can navigate to the line of code that caused the error.
❖Double click the error in the Compiler Errors panel.
Debugging text field objects
To obtain debugging information about TextField objects, you can use the Debug > List Variables command or the
Debug
> List Objects command in the test environment. When you use Debug > List Variables, the Output panel uses
the following conventions to show TextField properties:
•No more than four properties appear on a line.
•A property with a string value appears on a separate line.
•Color properties appear as hexadecimal numbers (0x00FF00).
•The properties appear in the following order: variable, text, htmlText, html, textWidth, textHeight,
maxChars, borderColor, backgroundColor, textColor, border, background, wordWrap, password,
multiline, selectable, scroll, hscroll, maxscroll, maxhscroll, bottomScroll, type, embedFonts,
restrict, length, tabIndex, autoSize.
The Debug > List Objects command lists TextField objects. If an instance name is specified for a text field, the
Output panel shows the full target path including the instance name in the following form:
Target = "target path"
More Help topics
“Control compiler warnings” on page 381
Working with Flash Pro and Flash Builder
Adobe® Flash® Professional CS5 and Flex® can be used together in a variety of ways, including creating custom graphics
and components in Flash Pro for use in Flex®. The following tutorials demonstrate several of the ways Flash® and Flex®
can be used together.
•Video: Flash Professional CS5.5 - Working with Flash Builder (2:52) (Adobe TV)
•Tutorial: Sharing projects between Flash Pro and Flash Builder (Adobe.com)
•Video: Create custom Flex components with Flash CS3 (7:10)
•Video: Creating Flex containers in Flash (4:33)

384
USING FLASH PROFESSIONAL
ActionScript
Last updated 1/16/2012
•Video: Creating custom skins for Flex applications (4:58)
•Video: Custom Flash graphics in Flex components (6:42)
•Video: Use the Flex webservice component in Flash (8:53)
•Video: Using and animating filters in Flex apps (4:35)
•Video: Exploring the Flash timer (4:28)
Editing and debugging ActionScript with Flash Professional and Flash Builder
Flash Professional CS5 offers enhanced workflows between Flash Pro and Flash Builder 4.
The enabled workflows include:
•Edit ActionScript 3.0 in Flash Builder 4 and test, debug, or publish in Flash Pro CS5.
•Launch ActionScript 3.0 files from Flash Professional for edit in Flash Builder 4.
A video tutorial about the Flash Pro/Flash Builder workflows is available at www.adobe.com/go/lrvid5303_fl_en.
Before you begin
In order to enable these Flash Pro/Flash Builder workflows, ensure that the following conditions are true:
•Both Flash Professional CS5 and Flash Builder 4 are installed.
•To launch a FLA file from Flash Builder, your project must be assigned the Flash Professional project nature in the
Package Explorer panel.
For more information about assigning project natures in Flash Builder, see Flash Builder Help.
•To launch a FLA file Flash Builder, your project must have a FLA file assigned to be used for testing and debugging
in the Flash Professional properties of the project.
Additional resources
•Tutorial: Create a Flash Professional Project in Flash Builder - Part 1 (flashauthoring.blogspot.com)
•Tutorial: Create a Flash Professional Project in Flash Builder - Part 2 (flashauthoring.blogspot.com)
•Tutorial: Using the Flash Builder 4 Debugger to Debug Flash Professional Projects (flashauthoring.blogspot.com)
Testing, debugging, and publishingin Flash Pro from Flash Builder
To perform testing or debugging in Flash Pro with a file you are editing in Flash Builder 4:
•From the Flash Builder development perspective, choose Run > Test Movie or Run > Debug Movie. Note that each
menu item has a Flash Pro icon next to it. Once the SWF window or debug session is closed, focus will return to
Flash Builder unless there are compiler errors in frame scripts inside the FLA file associated with the project.
Information about all errors is sent to the Errors panel in Flash Builder.
To publish the FLA file associated with the current project in Flash Builder:
•From the Flash Builder development perspective, choose Project > Publish Movie. Note the Flash Pro icon next to
the menu command.
Editing AS files in Flash Builder from Flash Pro
To create a new ActionScript 3.0 class or interface and assign Flash Builder as the editor:
1Choose File > New.

385
USING FLASH PROFESSIONAL
ActionScript
Last updated 1/16/2012
2In the New Document dialog box, choose ActionScript 3.0 class or ActionScript 3.0 interface.
3In the Create ActionScxript 3.0 dialog box, select Flash Builder as the application to create the file and click OK.
Flash Builder opens.
4In Flash Builder, choose a FLA file or XFL file to be associated with the ActionScript file and click Finish.
To open and edit an AS file in Flash Builder from Flash Pro:
1In the Library panel, right-click a symbol associated with the class or interface and choose Properties.
2In the Symbol Properties dialog box, click Edit Class Definition.
3In the Edit ActionScript 3.0 dialog box that appears, verify that the editor assigned to the AS file is Flash Builder
and click OK.
If Flash Builder is not assigned to edit the file, select Flash Builder as the application to edit the class file and click OK.
Flash Builder opens to edit the file.
Creating components for Flex
In Adobe® Flash® Professional CS5, you can create content for use as components in Adobe® Flex® applications. This
content can include both visual elements and Adobe® ActionScript® 3.0 code.
Creating components in Flash Pro for use in Flex allows you to take advantage of the flexible graphic design capabilities
of Flash Pro while still utilizing the capabilities of Flex.
In order to create Flex components in Flash Pro, you must install the Flex Component Kit for Flash Pro. You install
the component kit using Adobe Extension Manager. Some versions of the component kit may not support all features
of Adobe®
Flash® Professional CS5, so be sure to download the latest version of the component kit from
www.adobe.com/go/flex_ck_en.
For more information about using Flex and Flash Pro together, refer to the Flex documentation on the Adobe web site
at www.adobe.com/go/learn_flexresources_en.
To create a Flex component in Flash:
1Be sure you have Adobe Extension Manager installed. To download Extension Manager, visit the Extension
Manager download page at www.adobe.com/go/extension_manager_dl_en.
By default, Extension Manager is installed with the Adobe Creative Suite applications.
2Download and install the Flex Component Kit, available at www.adobe.com/go/flex_ck_en. Be sure to quit Flash
Pro before installing the component kit. For information about installing extensions with Adobe Extension
Manager, see www.adobe.com/go/learn_extension_manager_en.
3Launch Flash Pro. Two new commands appear in the Commands menu, Convert Symbol to Flex Component and
Convert Symbol to Flex Container.
4In Flash Pro, create a movie clip symbol containing the artwork and ActionScript 3.0 code you want to include in
the Flex component. The content must be contained in a movie clip symbol before conversion to a Flex component.
5Before converting the movie clip to a Flex component, be sure that it meets the following requirements for
compatibility with Flex:
•The frame rate of the FLA file should be 24 fps and should match the frame rate of any Flex projects that will
make use of the component.
•The registration point should be located at the 0, 0 point in the movie clip.

386
USING FLASH PROFESSIONAL
ActionScript
Last updated 1/16/2012
Note: To ensure that all content in the movie clip has a registration point of 0, 0, click the Edit Multiple Frames
button at the bottom of the Timeline, select all frames in the movie clip timeline, select all of your content in all the
frames, and move it to 0, 0 in the Property inspector.
6Select the movie clip in the Library panel and choose Commands > Convert Symbol to Flex Component.
Flash Pro converts the movie clip to a Flex component, changes its icon to a Flex icon in the Library, and imports
the FlexComponentBase class compiled clip to the Library. Flash Pro embeds the FlexComponentBase into the Flex
component SCW file created in the next step.
Note the progress messages displayed in the Output panel while Flash Pro converts the movie clip.
7Choose File > Publish to create a SWC file containing the compiled Flex component. Flash Pro also creates a SWF
file from the main FLA file, but you can ignore the SWF file if you choose. The published component SWC file is
now ready for use in Flex.
8To use the SWC file in Flex, do one of the following:
•Copy the SWC file from Flash Pro and paste it into the bin folder of your Flex project.
•Add the SWC file to library path of your Flex project. For more information, see the Flex Builder documentation
at www.adobe.com/go/learn_flexresources_en.
Using Flex metadata
If you are writing ActionScript 3.0 code to be used in Flex, you can place metadata in the code to embed external files
in any published SWF that includes the ActionScript code. Usually, these [Embed] metadata declarations are used to
embed image files, fonts, individual symbols, or other SWF files into the SWF.
Remember that metadata is “data about data.” You add metadata to ActionScript on the line immediately preceding
the line of code that the metadata applies to. The compiler then takes the metadata into account when compiling the
line of code that follows it.
For example, to embed an image called button_up.png that is stored in the directory one level above the ActionScript
file, you would use the following ActionScript:
[Embed("../button_up.png")]
private var buttonUpImage:Class;
The [Embed] metadata tag tells the compiler to embed the file named button_up.png in the SWF file and that the file
should be associated with the variable named buttonUpImage.
For more information about embedding assets with metadata in Flex, see Embedding Assets in the Flex 3 Developer
Guide at www.adobe.com/go/learn_flexresources_en.
If you use a feature that requires the Flex SDK, such as [Embed] metadata, at compile time Flash Pro prompts you to
add the Flex.SWC file to the Library path of your FLA file. The Flex.SWC file contains compiled classes needed to
support Flex metadata. Click Update Library Path in the dialog box to add Flex.SWC to the Library path. You can also
add the Flex.SWC file to the Library path in the ActionScript publish settings later.
Additional resources
The following resources provide additional information and examples about integrating Flash Pro with Flash Builder:
•Site: http://jessewarden.com/

387
USING FLASH PROFESSIONAL
ActionScript
Last updated 1/16/2012
Printing at runtime
Printing at runtime using ActionScript 3.0
For information about printing at runtime with ActionScript 3.0, see these resources:
•Printing in the ActionScript 3.0 Developer’s Guide (Adobe.com)
Printing at runtime using ActionScript 2.0
You can add printing functionality to Flash documents that lets users print from Flash Player. You can use the
ActionScript® PrintJob class, or you can use the print() or printAsBitmap() ActionScript functions. Users can also
access the Flash Player context menu and select the Print command there. Additionally, users can print from a
browser, rather than from Flash Player, by selecting a command such as File
> Print from the browser window.
However, printing from Flash Player directly, rather than from a browser window Print menu, offers several
advantages, including the following:
•Users can print all frames or certain frames that you’ve labeled as printable from Flash Player. Additionally, you
can set the print area of a frame.
•You can specify that content print as vector graphics (to take advantage of higher resolution) or as bitmaps (to
preserve transparency and color effects).
•The ActionScript PrintJob object improves upon the print() and printAsBitmap() functions by adding the ability
to print dynamically rendered pages as a single print job. The PrintJob object also provides the user’s printer
settings, which can be used to format reports specifically for the user.
•Flash Player versions earlier than 4.0.25 (Windows) or 4.0.20 (Macintosh) do not support printing frames directly.
Flash Player 7 and later supports the PrintJob class.
Note: For information on printing from SWF files at runtime using ActionScript 3.0, see Printing in the ActionScript 3.0
Developer’s Guide.
Controlling runtime printing
To control what users can print, remember the following items as you set up documents and movie clips for printing:
•Adjust the page layout in any frames that you designate as printable to match the desired printed output. Using
Flash Player, you can print all shapes, symbols, bitmaps, text blocks, and text fields. Levels in a SWF file are not
composited on print output.
•The printer driver uses the HTML settings for dimension, scale, and alignment in the Publish Settings dialog box.
Use these settings to control the print layout.
•The selected frames print as they appear in the movie clip symbol. Let users print a movie clip that is not visible in
a browser by using the Actions panel to set the movie clip’s _visible property to false. Changing the property
of a movie clip with the setProperty action, tweening, or any transformation tool does not affect how a movie clip
prints.
•For a movie clip to be printable, it must be on the Stage or pasteboard and it must be given an instance name.
•All elements must be fully loaded to print. Use the movie clip _framesloaded property to check whether the
printable content is loaded. For more information, see _framesloaded (MovieClip._framesloaded property) in the
ActionScript 2.0 Language Reference at www.adobe.com/go/learn_cs5_as2lr_en.

388
USING FLASH PROFESSIONAL
ActionScript
Last updated 1/16/2012
Using the ActionScript 2.0 PrintJob class
The ActionScript PrintJob class, in addition to improving print functionality available with the print() method, lets
you render dynamic content at runtime, prompt users with a single print dialog box, and print an unscaled document
with proportions that map to the proportions of the content. This capability is useful for rendering and printing
external dynamic content, such as database content and dynamic text.
Additionally, with properties populated by the PrintJob.start()method, your document can access your user’s
printer settings, such as page height, width, and orientation, and you can configure your document to dynamically
format Flash Pro content that is appropriate for the printer settings.
Note: When you use the PrintJob class, users must have Flash Player 7 or later.
Note: For information on printing from SWF files at runtime using ActionScript 2.0, see Learning ActionScript 2.0 in
Adobe Flash.
Build a print job
Because you are spooling a print job to the user’s operating system between your calls to the PrintJob.start() and
PrintJob.send() methods, and because the PrintJob functions might temporarily affect the Flash Player internal
view of onscreen Flash Pro content, implement print-specific activities only between your calls to PrintJob.start()
and PrintJob.send(). For example, the Flash Pro content should not interact with the user between
PrintJob.start() and PrintJob.send(). Instead, complete formatting of your print job, add pages to the print job,
and send the print job to the printer.
1Create an instance of the print job object: new
PrintJob().
2Start the print job and display the print dialog box for the operating system: PrintJob.start().
3Add pages to the print job (call once per page to add to the print job): PrintJob.addPage().
4Send the print job to the printer: PrintJob.send().
5Delete the print job: delete PrintJob.
The following example shows ActionScript code that creates a print job for a button:
myButton.onRelease = function()
{
var my_pj = new PrintJob();
var myResult = my_pj.start();
if(myResult){
myResult = my_pj.addPage (0, {xMin : 0, xMax: 400, yMin: 0,
yMax: 400});
myResult = my_pj.addPage ("myMovieClip", {xMin : 0, xMax: 400,
yMin: 400, yMax: 800},{printAsBitmap:true}, 1);
myResult = my_pj.addPage (1, null,{printAsBitmap:false}, 2);
myResult = my_pj.addPage (0);
my_pj.send();
}
delete my_pj;
}
Only one print job can run at any given time. A second print job cannot be created until one of the following events
occurs with the previous print job:
•The print job is entirely successful and the PrintJob.send() method is called.
•The PrintJob.start() method returns a value of false.

389
USING FLASH PROFESSIONAL
ActionScript
Last updated 1/16/2012
•The PrintJob.addPage() method returns a value of false.
•The delete PrintJob method is called.
Starting a print job
Calling the ActionScript 2.0 PrintJob.start() method spools the print job to the user’s operating system and
prompts the user’s operating system print dialog box to appear.
If the user selects an option to begin printing, the PrintJob.start() method returns a value of true. (The value is
false if the user cancels the print job, in which case the script should call only delete). If successful, the
PrintJob.start() method sets values for the paperHeight, paperWidth, pageHeight, pageWidth, and
orientation properties.
Depending on the user’s operating system, an additional dialog box might appear until spooling is complete and the
PrintJob.send function is called: Make calls to PrintJob.addPage() and PrintJob.send() expeditiously. If ten
seconds elapse between the PrintJob.start() function call and the PrintJob.send() function call, which sends
the print job to the printer, Flash Player effectively calls PrintJob.send(), causing any pages that are added by using
PrintJob.addPage() to be printed and spooling to stop.
When a new print job is constructed, the PrintJob() properties are initialized to 0. When PrintJob.start() is
called, after the user selects the print option in the operating system print dialog box, Flash Player retrieves the print
settings from the operating system. The PrintJob.start() function populates the following properties:
Adding pages to a print job
You add pages to your print job with the ActionScript 2.0 PrintJob.addPage() method. Although the method can
include as many as four parameters, the only required parameter is target/level. The three optional parameters are
printArea, options, and frameNum.
If you are not using a particular optional parameter but are using other optional parameters, use NULL in place of the
excluded optional parameter.
With all four parameters, the function uses the following syntax:
MyPrintJob.addPage(target[,printArea:Object, options:Object, frameNum:Number]):boolean;
If you provide an invalid parameter, the print job uses default parameter values.
Each call to add a new page is unique, which lets you modify parameters without affecting previously set parameters.
For example, you can specify that one page print as a bitmap image and another page print as a vector graphic. You
can add as many new pages to your print job as the print job requires. One call to add a page equals one printed page.
Property Type Unit Notes
PrintJob.paperHeight number points Overall paper height
PrintJob.paperWidth number points Overall paper width
PrintJob.pageHeight number points Height of actual printable area on the page; does not
include any user-set margins
PrintJob.pageWidth number points Width of actual printable area on the page; does not
include any user-set margins
PrintJob.orientation string n/a Portrait or landscape orientation

390
USING FLASH PROFESSIONAL
ActionScript
Last updated 1/16/2012
Note: Any ActionScript code that needs to be called to change a resulting printout must run before the
PrintJob.addPage() method is called. The ActionScript can, however, run before or after a new PrintJob()method.
If a frame has a call to PrintJob.addPage(), the call itself does not guarantee that the ActionScript script on that frame
will run when that frame is printed.
Specifying a target
The ActionScript 2.0 target parameter can be either a number that represents a level (such as 0 for the _root
document), or a string that represents the instance name of a movie clip ("myMovieClip").
Specifying a print area
The optional printArea parameter includes the following values:
{xMin:Number, xMax:Number, yMin:Number, yMax:Number}
The xMin, xMax, yMin, and yMax values represent screen pixels relative to the target level or movie clip registration
point. The print area orientation is from the upper-left corner of the printable area on the page. If the print area is
larger than the printable area on the page, the print data that exceeds the right and bottom edge of the page is clipped.
A. Paper rectangle B. Page rectangle C. (594,774) D. (576,756) E. (0,0) F. (-18,-18)
If you don’t specify a print area, or if you specify an invalid print area, the print area defaults to the Stage area of the
root document.
Scaling, points, and pixels
A print job using the PrintJob class prints Flash Pro content, by default, without scaling it. For example, an object that
is 144 pixels wide on screen prints as 144 points, or 2 inches wide.
One point equals one pixel. In the authoring tool, 72 pixels equals one inch; on paper, 72 points equals one inch.
To understand how Flash Pro screen content maps to the printed page, it helps to understand screen and print units
of measure. Pixels are a screen measurement and points are a print measurement. Both pixels and points equal 1/72 of
an inch. A twip is 1/20 of a point and pixel.
The following list further illustrates the relationship between units of measure.
•1 pixel = 20 twips
•1 point = 20 twips
•72 pixels = 1 inch
C
D
F
E
A B

391
USING FLASH PROFESSIONAL
ActionScript
Last updated 1/16/2012
•72 points = 1 inch
•567 twips = 1 cm
•1440 twips = 1 inch
To scale a movie clip before printing, set its MovieClip.xscale and MovieClip.yscale properties before calling
this method, and set them back to their original values afterward. If you scale a movie clip and also pass a value for
the printArea property, the pixel values passed to printAreareflect the original size of the movie clip. That is, if
you set a movie clip’s scale to 50% and specify a print area of 500 x 500 pixels, the content that prints is identical to
the content that would print if you didn’t scale the movie clip; however, it prints at half the size. For more
information, see the addPage (PrintJob.addPage method)method of the printjob class in the ActionScript 2.0
Language Reference.
Specifying printing as a vector image or bitmap graphic
The options parameter lets you specify whether to print as a vector graphic or bitmap image. When using this
optional parameter, use the following syntax:
{printAsBitmap:boolean}
The default value is false, which represents a request for vector printing. Remember the following suggestions when
determining which value to use:
•If the content that you’re printing includes a bitmap image, specify that the print job print as a bitmap to include
any transparency and color effects.
•Conversely, if the content does not include bitmap images, specify that the print job print as vector graphics to take
advantage of the higher image quality.
Specifying a frame to print
The frameNum parameter lets you specify a frame to print. If you do not specify a frame number parameter, by default
the current frame of the target or level that you specify as the first parameter when you add a page prints.
Print or delete a print job
1To send a print job to the printer after using the ActionScript 2.0 addPage() calls, use the PrintJob.send()
method, which causes Flash Player to stop spooling the print job so that the printer starts printing.
2To delete the print job after you send the print job to a printer, use the delete PrintJob() ActionScript function
to delete the PrintJob object, which frees memory.
Printing frames independent of the PrintJob class
The ActionScript 2.0 PrintJob class, available for Flash Player 7 and later, offers many advantages over the print()
and printAsBitmap() methods for printing. However, to print targeting Flash Player 6 and earlier versions, back to
Flash Player 4.0.25 (Windows) and 4.0.20 (Macintosh), use print() and printAsBitmap() functions and frame
labels.
To set up printing from Flash Player independent of the PrintJob class, specify frames to print and set their print area.
Specifying a print area when not using the PrintJob object
By default, when frames are printed, the document file’s Stage determines the print area. Any object that extends off
the Stage is clipped and does not print. Loaded movies use their own Stage size for the print area, not the main SWF
file’s Stage size.

392
USING FLASH PROFESSIONAL
ActionScript
Last updated 1/16/2012
As an alternative to using a document’s Stage size, set the following print areas:
•For either the Flash Player context menu or the ActionScript 2.0 print() function, designate the bounding box for
SWF content as the print area for all frames by selecting an object in one frame as the bounding box. This option
is useful, for example, to print a full-page data sheet from a web banner.
•The print() function lets you use the composite bounding box of all printable frames in a Timeline as the print
area—for example, to print multiple frames that share a registration point. To use the composite bounding box, use
the bMax parameter, as shown in the following example:
print ("myMovie", "bmax")
•The print() function lets you change the print area for each frame, scaling objects to fit the print area—for
example, to have objects of different sizes in each frame fill the printed page. To change the bounding box per frame,
use the Frame parameter in the Print action parameters, as shown in the following example:
print ("myMovie", "bframe")
•The print() function lets you designate the bounding box of a specific frame in a document as the print area for
all printable frames in the document, as shown in the following example:
print ("myMovie", "bmovie")
You use the frame label #b to designate a frame to be used to designate the print area. The label #b must be on the
same layer as a frame labeled #p.
For more information about print() function parameters, see “print function” in the ActionScript 2.0 Language
Reference.
Using the print() function when not using the PrintJob object
The basic syntax for the ActionScript 2.0 print() function, which you can associate with a button or other trigger in
your document to activate printing, is as follows:
print (target, "Bounding box");
The target parameter specifies the location of the frames that print, and the bounding box parameter specifies the print area.
Assign a print() function to a button, frame, or movie clip in your document to let users print Flash Pro content. If
you assign a print() function to a frame, the action executes when the playhead reaches the designated frame.
The print() function lets you print frames in other movie clips in addition to the main Timeline. Each print()
function sets only one Timeline for printing, but the action lets you specify any number of frames in the Timeline to
print. If you attach more than one print() function to a single button or frame, the Print dialog box appears for each
action executed.
See also “print function” in the ActionScript 2.0 Language Reference.
ActionScript publish settings (CS5)
Modify ActionScript publish settings (CS5)
When you create a new FLA document, Flash asks you which version of ActionScript you want to use. You can change
this setting if you decide later to write your scripts in a different version of ActionScript.

393
USING FLASH PROFESSIONAL
ActionScript
Last updated 1/16/2012
Note: ActionScript 3.0 is not compatible with ActionScript 2.0. The ActionScript 2.0 compiler can compile all
ActionScript 1.0 code, except for the slash (/) syntax used to indicate movie clip paths (for example,
parentClip/testMC:varName= "hello world"). To avoid this problem, either rewrite your code using dot (.)
notation, or select the ActionScript 1.0 compiler.
1Select File > Publish Settings and then select the Flash tab.
2Select the ActionScript version from the pop-up menu.
Class files and configuration files (CS5)
When you install Flash Pro, several ActionScript-related configuration folders and files are placed on your system. If
you modify these files to customize the authoring environment, back up the original files.
ActionScript classes folder Contains all of the built-in ActionScript 2.0 classes (AS files). Typical paths to this folder
are as follows:
•Windows XP: Hard Disk\Documents and Settings\user\Local Settings\Application Data\Adobe\Flash
CS5\language\Configuration\Classes
•Windows Vista: Hard Disk\Users\user\Local Settings\Application Data\Adobe\Flash
CS5\language\Configuration\Classes
•Macintosh: Hard Disk/Users/user/Library/Application Support/Adobe/Flash
CS5/language/Configuration/Classes
The Classes folder is organized into classes for Flash Player 7 (FP7), classes for Flash Player 8 (FP8), classes for Plash
Player 9 (FP9), and the mx package, which is used in both players and in ASO files. For more information on the
organization of this directory, see the Read Me file in the Classes folder.
Include class folder Contains all of the global ActionScript include files. Locations are as follows:
•Windows XP: Hard Disk\Documents and Settings\user\Local Settings\Application Data\Adobe\Flash
CS5\language\Configuration\Include
•Windows Vista: Hard Disk\Users\user\Local Settings\Application Data\Adobe\Flash
CS5\language\Configuration\Include
•Macintosh: Hard Disk/Users/user/Library/Application Support/Adobe/Flash
CS5/language/Configuration/Include
ActionsPanel.xml configuration file Includes the configuration file for ActionScript code hinting. Separate files
provide configuration for each version of ActionScript and Flash Lite, and for JavaScript. Locations are as follows:
•Windows XP: Hard Disk\Documents and Settings\user\Local Settings\Application Data\Adobe\Flash
CS5\language\Configuration\ActionsPanel
•Windows Vista: Hard Disk\Users\user\Local Settings\Application Data\Adobe\Flash
CS5\language\Configuration\ActionsPanel
•Macintosh: Hard Disk/Users/user/Library/Application Support/Adobe/Flash
CS5/language/Configuration/ActionsPanel
AsColorSyntax.xml configuration file The configuration file for ActionScript code color syntax highlighting.
Locations are as follows:
•Windows XP: Hard Disk\Documents and Settings\user\Local Settings\Application Data\Adobe\Flash
CS5\language\Configuration\ActionsPanel\
•Windows Vista: Hard Disk\Users\user\Local Settings\Application Data\Adobe\Flash
CS5\language\Configuration\ActionsPanel\

394
USING FLASH PROFESSIONAL
ActionScript
Last updated 1/16/2012
•Macintosh: Hard Disk/Users/user/Library/Application Support/Adobe/Flash
CS5/language/Configuration/ActionsPanel
Declare an ActionScript 3.0 document class (CS5)
When you use ActionScript 3.0, a SWF file may have a top-level class associated with it. This class is called the
document class. When the SWF is loaded by Flash Player, an instance of this class is created to be the SWF file's top-
level object. This object of a SWF file can be an instance of any custom class you choose.
For example, a SWF file that implements a calendar component can associate its top level with a Calendar class, with
methods and properties appropriate to a calendar component. When the SWF is loaded, Flash Player creates an
instance of this Calendar class.
1Deselect all objects on the Stage and in the Timeline by clicking a blank area of the Stage. This displays the
Document properties in the Property inspector.
2Enter the filename of the ActionScript file for the class in the Document Class text box in the Property inspector.
Do not include the .as filename extension.
Note: You can also enter the Document Class information in the Publish Settings dialog box.
Set the location of ActionScript files (CS5)
To use an ActionScript class that you’ve defined, Flash Pro must locate the external ActionScript files that contain the
class definition. The list of folders in which Flash Pro searches for class definitions is called the classpath for
ActionScript 2.0 and the source path for ActionScript 3.0. Classpaths and source paths exist at the application (global)
and document level. For more information about classpaths, see Classes in Learning ActionScript 2.0 in Adobe Flash
or “Packages” in Learning ActionScript 3.0.
You can set the following ActionScript locations in Flash Pro:
•ActionScript 2.0
•Application level (available to all AS2 FLA files):
•Classpath (set in ActionScript preferences)
•Document level (available only to the FLA file that specifies this path):
•Classpath (set in Publish Settings)
•ActionScript 3.0
•Application level (available to all AS3 FLA files):
•Source path (set in ActionScript preferences)
•Library path (set in ActionScript preferences)
•External library path (set in ActionScript preferences)
•Document level (available only to the FLA file that specifies these paths):
•Source path (set in Publish Settings)
•Library path (set in Publish Settings)
•Document class (set in Document Property inspector)

395
USING FLASH PROFESSIONAL
ActionScript
Last updated 1/16/2012
The Library path specifies the location of pre-compiled ActionScript code which resides in SWC files you have created.
The FLA file that specifies this path loads every SWC file at the top level of this path and any other code resources that
are specified within the SWC files themselves. If you use the Library path, be sure none of the compiled code in the
SWC files is duplicated in uncompiled AS files in the Source path. The redundant code will slow down compilation of
your SWF file.
You can specify more than one path for Flash Pro to look in. Resources found in any of the paths specified will be used.
When you add or modify a path, you can add absolute directory paths (for example, C:/my_classes) and relative
directory paths (for example, ../my_classes or ".").
Set the classpath for ActionScript 2.0
To set the document-level classpath:
1Select File > Publish Settings, and click Flash.
2Verify that ActionScript 2.0 is selected in the ActionScript Version pop-up menu, and click Settings.
3Specify the frame where the class definition should reside in the Export Frame for Classes text field.
4To add paths to the classpath list, do any of the following:
•To add a folder to the classpath, click the Browse to Path button , browse to the folder to add, and click OK.
•To add a new line to the Classpath list, click the Add New Path button. Double-click the new line, type a relative
or absolute path, and click OK.
•To edit an existing classpath folder, select the path in the Classpath list, click the Browse to Path button, browse to
the folder to add, and click OK. Alternatively, double-click the path in the Classpath list, type the desired path, and
click OK.
•To delete a folder from the classpath, select the path in the Classpath list and click the Remove Selected Path
button
.
To set the application-level classpath:
1Choose Edit Preferences (Windows) or Flash > Preferences (Macintosh) and click the ActionScript category.
2Click the ActionScript 2.0 Settings button and add the path(s) to the Classpath list
Set the source path for ActionScript 3.0
To set the document-level source path:
1Select File > Publish Settings, and click Flash.
2Verify that ActionScript 3.0 is selected in the ActionScript Version pop-up menu, and click Settings. Your Flash
Player version must be set to Flash Player 9 or later to use ActionScript 3.0.
3Specify the frame where the class definition should reside in the Export Classes in Frame text field.
4Specify the Errors settings. You can select Strict Mode and Warnings Mode. Strict Mode reports compiler warnings
as errors, which means that compilation will not succeed if those types of errors exist. Warnings Mode reports extra
warnings that are useful for discovering incompatibilities when updating ActionScript 2.0 code to ActionScript 3.0.
5(Optional) Select Stage to automatically declare stage instances.
6Specify ActionScript 3.0 or ECMAScript as the dialect to use. ActionScript 3.0 is recommended.
7To add paths to the source path list, do any of the following:
•To add a folder to the source path, click the Source path tab and then click the Browse To Path button , browse
to the folder to add, and click OK.

396
USING FLASH PROFESSIONAL
ActionScript
Last updated 1/16/2012
•To add a new line to the Source path list, click the Add New Path button. Double-click the new line, type a
relative or absolute path, and click OK.
•To edit an existing Source path folder, select the path in the Source path list, click the Browse To Path button,
browse to the folder to add, and click OK. Alternatively, double-click the path in the Source path list, type the
desired path, and click OK.
•To delete a folder from the source path, select the path in the Source path list and click the Remove From Path
button
.
To set the application-level source path:
1Choose Edit Preferences (Windows) or Flash > Preferences (Macintosh) and click the ActionScript category.
2Click the ActionScript 3.0 Settings button and add the path(s) to the Source path list.
Set the Library path for ActionScript 3.0 files
To set the document-level Library path, the procedure is similar to setting the Source path:
1Choose File Publish Settings and click the Flash tab.
2Make sure ActionScript 3.0 is specified in the Script menu and click Settings.
3In the Advanced ActionScript 3.0 Settings dialog box, click the Library path tab.
4Add the library path to the Library path list. You can add folders or individual SWC files to the path list.
5
To set the Link Type property, double-click Link Type in the property tree of the path. The choices for Link Type are:
•Merged into code: The code resources found in the path are merged into the published SWF file.
•External: The code resources found in the path are not added to the published SWF file, but the compiler verifies
that they are in the locations you specified.
•Runtime shared library (RSL): Flash Player downloads the resources at runtime.
To set the Application-level Library path:
1Choose Edit Preferences (Windows) or Flash > Preferences (Macintosh) and click the ActionScript category.
2Click the ActionScript 3.0 Settings button and add the path(s) to the Library path list.
Compiling ActionScript conditionally (CS5)
You can use conditional compilation in ActionScript 3.0 in the same way that it has been used in C++ and other
programming languages. For example, you can use conditional compilation to turn blocks of code throughout a
project on of off, such as code that implements a certain feature or code used for debugging.
Using config constants that you define in the publish settings, you can specify whether certain lines of ActionScript
code are compiled or not. Each constant takes the following form:
CONFIG::SAMPLE_CONSTANT
In this form, CONFIG is the config namespace and SAMPLE_CONSTANT is the constant that you will set to true or false in
the publish settings. When the value of the constant is true, the line of code that follows the constant in ActionScript
is compiled. When the value is false, the line of code that follows the constant is not compiled.
For example, the following function has 2 lines of code that are compiled only if the value of the constant that precedes
them is set to true in the publish settings:

397
USING FLASH PROFESSIONAL
ActionScript
Last updated 1/16/2012
public function CondCompTest() {
CONFIG::COMPILE_FOR_AIR {
trace("This line of code will be compiled when COMPILE_FOR_AIR=true.");
}
CONFIG::COMPILE_FOR_BROWSERS {
trace("This line of code will be compiled when COMPILE_FOR BROWSERS=true.");
}
}
To define a config constant using the Publish Settings dialog box:
1Choose File > Publish Settings.
2In the Publish Settings dialog box, click the Flash tab.
3Ensure that the value for Script is set to ActionScript 3.0 and click the Settings button next to the value.
4In the Advanced ActionScript 3.0 Settings dialog box, click the Config Constants tab.
5To add a constant, click the Add button.
6Type the name of the constant you want to add. The default config namespace is CONFIG and the default constant
name is CONFIG_CONST.
Note: The config namespace CONFIG is declared by the Flash Pro compiler automatically. You can add your own
config namespaces by entering them with a constant name in the publish settings and adding them to your
ActionScript code using the following syntax:
config namespace MY_CONFIG;
7Enter the value you want for the constant, either true or false. You change this value in order to turn on or off
compilation of specific lines of code.
Customizing context menus in Flash documents (CS5)
You can customize the standard context menu and the text-editing context menu that appears with SWF files in Flash
Player 7 and later.
•The standard context menu appears when a user right-clicks (Windows) or Control-clicks (Macintosh) on a SWF
file in Flash Player, in any area except an editable text field. You can add custom items to the menu, and hide any
built-in items in the menu except Settings and Debugger.
•The editing context menu appears when a user right-clicks (Windows) or Control-clicks (Macintosh) in an editable
text field in a SWF file in Flash Player. You can add custom items to this menu. You cannot hide any built-in items.
Note: Flash Player also displays an error context menu when a user right-clicks (Windows) or Control-clicks (Macintosh)
in Flash Player and no SWF file is loaded. You cannot customize this menu.
Customize context menus in Flash Player 7 by using the ContextMenu and ContextMenuItem objects in ActionScript
2.0. For more information on using these objects, see ContextMenu in the ActionScript 2.0 Language Reference.
Remember the following conditions when creating custom context menu items for Flash Player:
•Custom items are added to a context menu in the order in which they are created. You cannot modify this order
after the items are created.
•You can specify the visibility and enabling of custom items.
•Custom context menu items are automatically encoded using Unicode UTF-8 text encoding.

398
USING FLASH PROFESSIONAL
ActionScript
Last updated 1/16/2012
Configuration folders installed with Flash (CS5)
Flash Pro places several configuration folders on your system when you install the application. The configuration
folders organize files associated with the application into appropriate levels of user access. You may want to view the
contents of these folders when you are working with ActionScript® or components. The configuration folders for Flash
Pro are as follows:
Application-level configuration folder
Because it is in the application level, non-administrative users do not have write access to this directory. Typical paths
to this folder are as follows:
•In Microsoft Windows XP or Microsoft Windows Vista, browse to boot drive\Program Files\Adobe\Adobe Flash
CS3\language\Configuration\.
•On the Macintosh, browse to Macintosh HD/Applications/Adobe Flash CS3/Configuration/.
First Run folder
This sibling to the application-level configuration folder facilitates sharing configuration files among users of the same
computer. Folders and files in the First Run folder are automatically copied to the user-level configuration folder. Any
new files placed in the First Run folder are copied to the user-level configuration folder when you start the application.
Typical paths to the First Run folder are as follows:
•In Windows XP or Vista, browse to boot drive\Program Files\Adobe\Adobe Flash CS3\language\First Run\.
•On the Macintosh, browse to Macintosh HD/Applications/Adobe Flash CS3/First Run/.
User-level configuration folder
Found in the user profile area, this folder is always writable by the current user. Typical paths to this folder are as
follows:
•In Windows XP or Vista, browse to boot drive\Documents and Settings\username\Local Settings\Application
Data\Adobe\Flash CS3\language\Configuration.
•On the Macintosh, browse to Macintosh HD/Users/username/Library/Application Support/Adobe/Flash
CS3/language/Configuration/.
All-user-level configuration folder
Found in the common user profile area, this folder is part of the standard Windows and Macintosh operating system
installations and is shared by all users of a particular computer. The operating system makes available to all users of
the computer any files placed in this folder. Typical paths to this folder are as follows:
•In Windows XP or Vista, browse to boot drive\Documents and Settings\All Users\Application Data\Adobe\Flash
CS3\language\Configuration\.
•On the Macintosh, browse to Macintosh HD/Users/Shared/Application Support/Adobe/Flash
CS3/language/Configuration/.
Restricted Users configuration folder
For users with restricted privileges on a workstation, typically, in a networked environment, only system
administrators have administrative access to workstations. All other users are given restricted access, which usually
means that these users can’t write to application-level files (such as the Program Files directory in Windows or the
Applications folder in Macintosh OS X).

399
USING FLASH PROFESSIONAL
ActionScript
Last updated 1/16/2012
ActionScript publish settings (CS5.5)
Modify ActionScript publish settings (CS5.5)
When you create a new FLA document, Flash asks you which version of ActionScript you want to use. You can change
this setting if you decide later to write your scripts in a different version of ActionScript.
Note: ActionScript 3.0 is not compatible with ActionScript 2.0. The ActionScript 2.0 compiler can compile all
ActionScript 1.0 code, except for the slash (/) syntax used to indicate movie clip paths (for example,
parentClip/testMC:varName= "hello world"). To avoid this problem, either rewrite your code using dot (.)
notation, or select the ActionScript 1.0 compiler.
1Select File > Publish Settings.
2Select the ActionScript version from the Script menu.
Class files and configuration files (CS5.5)
When you install Flash Pro, several ActionScript-related configuration folders and files are placed on your system. If
you modify these files to customize the authoring environment, back up the original files.
ActionScript classes folder Contains all of the built-in ActionScript 2.0 classes (AS files). Typical paths to this folder
are as follows:
•Windows XP: Hard Disk\Documents and Settings\user\Local Settings\Application Data\Adobe\Flash
CS5.5\language\Configuration\Classes
•Windows Vista: Hard Disk\Users\user\Local Settings\Application Data\Adobe\Flash
CS5.5\language\Configuration\Classes
•Macintosh: Hard Disk/Users/user/Library/Application Support/Adobe/Flash
CS5.5/language/Configuration/Classes
The Classes folder is organized into classes for Flash Player 7 (FP7), classes for Flash Player 8 (FP8), classes for Plash
Player 9 (FP9), and the mx package, which is used in both players and in ASO files. For more information on the
organization of this directory, see the Read Me file in the Classes folder.
Include class folder Contains all of the global ActionScript include files. Locations are as follows:
•Windows XP: Hard Disk\Documents and Settings\user\Local Settings\Application Data\Adobe\Flash
CS5.5\language\Configuration\Include
•Windows Vista: Hard Disk\Users\user\Local Settings\Application Data\Adobe\Flash
CS5.5\language\Configuration\Include
•Macintosh: Hard Disk/Users/user/Library/Application Support/Adobe/Flash
CS5.5/language/Configuration/Include
ActionsPanel.xml configuration file Includes the configuration file for ActionScript code hinting. Separate files
provide configuration for each version of ActionScript and Flash Lite, and for JavaScript. Locations are as follows:
•Windows XP: Hard Disk\Documents and Settings\user\Local Settings\Application Data\Adobe\Flash
CS5.5\language\Configuration\ActionsPanel
•Windows Vista: Hard Disk\Users\user\Local Settings\Application Data\Adobe\Flash
CS5.5\language\Configuration\ActionsPanel
•Macintosh: Hard Disk/Users/user/Library/Application Support/Adobe/Flash
CS5.5/language/Configuration/ActionsPanel

400
USING FLASH PROFESSIONAL
ActionScript
Last updated 1/16/2012
AsColorSyntax.xml configuration file The configuration file for ActionScript code color syntax highlighting.
Locations are as follows:
•Windows XP: Hard Disk\Documents and Settings\user\Local Settings\Application Data\Adobe\Flash
CS5.5\language\Configuration\ActionsPanel\
•Windows Vista: Hard Disk\Users\user\Local Settings\Application Data\Adobe\Flash
CS5.5\language\Configuration\ActionsPanel\
•Macintosh: Hard Disk/Users/user/Library/Application Support/Adobe/Flash
CS5.5/language/Configuration/ActionsPanel
Declare an ActionScript 3.0 document class (CS5.5)
When you use ActionScript 3.0, a SWF file may have a top-level class associated with it. This class is called the
document class. When the SWF is loaded by Flash Player, an instance of this class is created to be the SWF file's top-
level object. This object of a SWF file can be an instance of any custom class you choose.
For example, a SWF file that implements a calendar component can associate its top level with a Calendar class, with
methods and properties appropriate to a calendar component. When the SWF is loaded, Flash Player creates an
instance of this Calendar class.
1Deselect all objects on the Stage and in the Timeline by clicking a blank area of the Stage. This displays the
Document properties in the Property inspector.
2Enter the filename of the ActionScript file for the class in the Document Class text box in the Property inspector.
Do not include the .as filename extension.
Note: You can also enter the Document Class information in the Publish Settings dialog box.
Set the location of ActionScript files (CS5.5)
To use an ActionScript class that you’ve defined, Flash Pro must locate the external ActionScript files that contain the
class definition. The list of folders in which Flash Pro searches for class definitions is called the classpath for
ActionScript 2.0 and the source path for ActionScript 3.0. Classpaths and source paths exist at the application (global)
and document level. For more information about classpaths, see Classes in Learning ActionScript 2.0 in Adobe Flash
or “Packages” in Learning ActionScript 3.0.
You can set the following ActionScript locations in Flash Pro:
•ActionScript 2.0
•Application level (available to all AS2 FLA files):
•Classpath (set in ActionScript preferences)
•Document level (available only to the FLA file that specifies this path):
•Classpath (set in Publish Settings)
•ActionScript 3.0
•Application level (available to all AS3 FLA files):
•Source path (set in ActionScript preferences)
•Library path (set in ActionScript preferences)
•External library path (set in ActionScript preferences)

401
USING FLASH PROFESSIONAL
ActionScript
Last updated 1/16/2012
•Document level (available only to the FLA file that specifies these paths):
•Source path (set in Publish Settings)
•Library path (set in Publish Settings)
•Document class (set in Document Property inspector)
The Library path specifies the location of pre-compiled ActionScript code which resides in SWC files you have created.
The FLA file that specifies this path loads every SWC file at the top level of this path and any other code resources that
are specified within the SWC files themselves. If you use the Library path, be sure none of the compiled code in the
SWC files is duplicated in uncompiled AS files in the Source path. The redundant code will slow down compilation of
your SWF file.
You can specify more than one path for Flash Pro to look in. Resources found in any of the paths specified will be used.
When you add or modify a path, you can add absolute directory paths (for example, C:/my_classes) and relative
directory paths (for example, ../my_classes or ".").
Set the classpath for ActionScript 2.0
To set the document-level classpath:
1Select File > Publish Settings, and click Flash.
2Verify that ActionScript 2.0 is selected in the ActionScript Version pop-up menu, and click Settings.
3Specify the frame where the class definition should reside in the Export Frame for Classes text field.
4To add paths to the classpath list, do any of the following:
•To add a folder to the classpath, click the Browse to Path button , browse to the folder to add, and click OK.
•To add a new line to the Classpath list, click the Add New Path button. Double-click the new line, type a relative
or absolute path, and click OK.
•To edit an existing classpath folder, select the path in the Classpath list, click the Browse to Path button, browse to
the folder to add, and click OK. Alternatively, double-click the path in the Classpath list, type the desired path, and
click OK.
•To delete a folder from the classpath, select the path in the Classpath list and click the Remove Selected Path
button
.
To set the application-level classpath:
1Choose Edit Preferences (Windows) or Flash > Preferences (Macintosh) and click the ActionScript category.
2Click the ActionScript 2.0 Settings button and add the path(s) to the Classpath list
Set the source path for ActionScript 3.0
To set the document-level source path:
1Select File > Publish Settings, and click Flash.
2Verify that ActionScript 3.0 is selected in the ActionScript Version pop-up menu, and click Settings. Your Flash
Player version must be set to Flash Player 9 or later to use ActionScript 3.0.
3Specify the frame where the class definition should reside in the Export Classes in Frame text field.
4Specify the Errors settings. You can select Strict Mode and Warnings Mode. Strict Mode reports compiler warnings
as errors, which means that compilation will not succeed if those types of errors exist. Warnings Mode reports extra
warnings that are useful for discovering incompatibilities when updating ActionScript 2.0 code to ActionScript 3.0.
5(Optional) Select Stage to automatically declare stage instances.

402
USING FLASH PROFESSIONAL
ActionScript
Last updated 1/16/2012
6Specify ActionScript 3.0 or ECMAScript as the dialect to use. ActionScript 3.0 is recommended.
7To add paths to the source path list, do any of the following:
•To add a folder to the source path, click the Source path tab and then click the Browse To Path button , browse
to the folder to add, and click OK.
•To add a new line to the Source path list, click the Add New Path button. Double-click the new line, type a
relative or absolute path, and click OK.
•To edit an existing Source path folder, select the path in the Source path list, click the Browse To Path button,
browse to the folder to add, and click OK. Alternatively, double-click the path in the Source path list, type the
desired path, and click OK.
•To delete a folder from the source path, select the path in the Source path list and click the Remove From Path
button
.
To set the application-level source path:
1Choose Edit Preferences (Windows) or Flash > Preferences (Macintosh) and click the ActionScript category.
2Click the ActionScript 3.0 Settings button and add the path(s) to the Source path list.
Set the Library path for ActionScript 3.0 files
To set the document-level Library path, the procedure is similar to setting the Source path:
1Choose File Publish Settings.
2Make sure ActionScript 3.0 is specified in the Script menu and click the ActionScript Settings button.
3In the Advanced ActionScript 3.0 Settings dialog box, click the Library path tab.
4Add the library path to the Library path list. You can add folders or individual SWC files to the path list.
5
To set the Link Type property, double-click Link Type in the property tree of the path. The choices for Link Type are:
•Merged into code: The code resources found in the path are merged into the published SWF file.
•External: The code resources found in the path are not added to the published SWF file, but the compiler verifies
that they are in the locations you specified.
•Runtime shared library (RSL): Flash Player downloads the resources at runtime.
To set the Application-level Library path:
1Choose Edit Preferences (Windows) or Flash > Preferences (Macintosh) and click the ActionScript category.
2Click the ActionScript 3.0 Settings button and add the path(s) to the Library path list.
Compiling ActionScript conditionally (CS5.5)
You can use conditional compilation in ActionScript 3.0 in the same way that it has been used in C++ and other
programming languages. For example, you can use conditional compilation to turn blocks of code throughout a
project on of off, such as code that implements a certain feature or code used for debugging.
Using config constants that you define in the publish settings, you can specify whether certain lines of ActionScript
code are compiled or not. Each constant takes the following form:
CONFIG::SAMPLE_CONSTANT
In this form, CONFIG is the config namespace and SAMPLE_CONSTANT is the constant that you will set to true or false in
the publish settings. When the value of the constant is true, the line of code that follows the constant in ActionScript
is compiled. When the value is false, the line of code that follows the constant is not compiled.

403
USING FLASH PROFESSIONAL
ActionScript
Last updated 1/16/2012
For example, the following function has 2 lines of code that are compiled only if the value of the constant that precedes
them is set to true in the publish settings:
public function CondCompTest() {
CONFIG::COMPILE_FOR_AIR {
trace("This line of code will be compiled when COMPILE_FOR_AIR=true.");
}
CONFIG::COMPILE_FOR_BROWSERS {
trace("This line of code will be compiled when COMPILE_FOR BROWSERS=true.");
}
}
To define a config constant using the Publish Settings dialog box:
1Choose File > Publish Settings.
2Ensure that the Script menu set to ActionScript 3.0 and click the Settings button next to the menu.
3In the Advanced ActionScript 3.0 Settings dialog box, click the Config Constants tab.
4To add a constant, click the Add button.
5Type the name of the constant you want to add. The default config namespace is CONFIG and the default constant
name is CONFIG_CONST.
Note: The config namespace CONFIG is declared by the Flash Pro compiler automatically. You can add your own
config namespaces by entering them with a constant name in the publish settings and adding them to your
ActionScript code using the following syntax:
config namespace MY_CONFIG;
6Enter the value you want for the constant, either true or false. You change this value in order to turn on or off
compilation of specific lines of code.
Customizing context menus in Flash documents (CS5.5)
You can customize the standard context menu and the text-editing context menu that appears with SWF files in Flash
Player 7 and later.
•The standard context menu appears when a user right-clicks (Windows) or Control-clicks (Macintosh) on a SWF
file in Flash Player, in any area except an editable text field. You can add custom items to the menu, and hide any
built-in items in the menu except Settings and Debugger.
•The editing context menu appears when a user right-clicks (Windows) or Control-clicks (Macintosh) in an editable
text field in a SWF file in Flash Player. You can add custom items to this menu. You cannot hide any built-in items.
Note: Flash Player also displays an error context menu when a user right-clicks (Windows) or Control-clicks (Macintosh)
in Flash Player and no SWF file is loaded. You cannot customize this menu.
Customize context menus in Flash Player 7 by using the ContextMenu and ContextMenuItem objects in ActionScript
2.0. For more information on using these objects, see ContextMenu in the ActionScript 2.0 Language Reference.
Remember the following conditions when creating custom context menu items for Flash Player:
•Custom items are added to a context menu in the order in which they are created. You cannot modify this order
after the items are created.
•You can specify the visibility and enabling of custom items.
•Custom context menu items are automatically encoded using Unicode UTF-8 text encoding.

404
USING FLASH PROFESSIONAL
ActionScript
Last updated 1/16/2012
Configuration folders installed with Flash (CS5.5)
Flash Pro places several configuration folders on your system when you install the application. The configuration
folders organize files associated with the application into appropriate levels of user access. You may want to view the
contents of these folders when you are working with ActionScript® or components. The configuration folders for Flash
Pro are as follows:
Application-level configuration folder
Because it is in the application level, non-administrative users do not have write access to this directory. Typical paths
to this folder are as follows:
•In Microsoft Windows XP or Microsoft Windows Vista, browse to boot drive\Program Files\Adobe\Adobe Flash
CS3\language\Configuration\.
•On the Macintosh, browse to Macintosh HD/Applications/Adobe Flash CS3/Configuration/.
First Run folder
This sibling to the application-level configuration folder facilitates sharing configuration files among users of the same
computer. Folders and files in the First Run folder are automatically copied to the user-level configuration folder. Any
new files placed in the First Run folder are copied to the user-level configuration folder when you start the application.
Typical paths to the First Run folder are as follows:
•In Windows XP or Vista, browse to boot drive\Program Files\Adobe\Adobe Flash CS3\language\First Run\.
•On the Macintosh, browse to Macintosh HD/Applications/Adobe Flash CS3/First Run/.
User-level configuration folder
Found in the user profile area, this folder is always writable by the current user. Typical paths to this folder are as
follows:
•In Windows XP or Vista, browse to boot drive\Documents and Settings\username\Local Settings\Application
Data\Adobe\Flash CS3\language\Configuration.
•On the Macintosh, browse to Macintosh HD/Users/username/Library/Application Support/Adobe/Flash
CS3/language/Configuration/.
All-user-level configuration folder
Found in the common user profile area, this folder is part of the standard Windows and Macintosh operating system
installations and is shared by all users of a particular computer. The operating system makes available to all users of
the computer any files placed in this folder. Typical paths to this folder are as follows:
•In Windows XP or Vista, browse to boot drive\Documents and Settings\All Users\Application Data\Adobe\Flash
CS3\language\Configuration\.
•On the Macintosh, browse to Macintosh HD/Users/Shared/Application Support/Adobe/Flash
CS3/language/Configuration/.
Restricted Users configuration folder
For users with restricted privileges on a workstation, typically, in a networked environment, only system
administrators have administrative access to workstations. All other users are given restricted access, which usually
means that these users can’t write to application-level files (such as the Program Files directory in Windows or the
Applications folder in Macintosh OS X).

405
Last updated 1/16/2012
Chapter 14: Publishing and Exporting
Publishing Flash documents
Publishing overview
You can play content in the following ways:
•In Internet browsers that are equipped with Flash Player
•As a stand-alone application called a projector
•With the Flash ActiveX control in Microsoft Office and other ActiveX hosts
•With Flash Xtra in Director® and Authorware® from Adobe®
By default, the Publish command creates a Flash Pro SWF file and an HTML document that inserts your Flash Pro
content in a browser window. The Publish command also creates and copies detection files for Macromedia Flash 4
from Adobe and later. If you change publish settings, Flash Pro saves the changes with the document. After you create
a publish profile, export it to use in other documents or for others working on the same project to use.
When you use the Publish, Test Movie, or Debug Movie commands, Flash creates a SWF file from your FLA file. You
can view the sizes of all the SWF files created from the current FLA file in the Document Property inspector.
Flash® Player 6 and later support Unicode text encoding. With Unicode support, users can view multilanguage text,
regardless of the language that the operating system running the player uses.
You can publish the FLA file in alternative file formats—GIF, JPEG, and PNG —with the HTML needed to display
them in the browser window. Alternative formats allow a browser to show your SWF file animation and interactivity
for users who don’t have the targeted Adobe Flash Player installed. When you publish a Flash Pro document (FLA file)
in alternative file formats, the settings for each file format are stored with the FLA file.
You can export the FLA file in several formats, similar to publishing FLA files in alternative file formats, except that
the settings for each file format are not stored with the FLA file.
Alternatively, create a custom HTML document with any HTML editor and include the tags required to display a SWF
file.
To test how the SWF file works before you publish your SWF file, use Test Movie (Control > Test Movie > Test) and
Test Scene (Control
> Test Scene).
Note: In Flash Professional CS5, when you set the Flash Player target to Flash Player 10 in the Publish Settings, the target
is actually Flash Player 10.1.
The following video tutorials describe the Flash Pro publishing and deployment process. Some videos show Flash Pro
CS3 or CS4, but still apply to Flash Pro CS5.
•Creating a Flash web movie (1:58)
•Flash in a Flash – Episode 6: Publishing (27:41)
•Publishing FLA files with Flash Player version detection (4:55) (CS3) (This video mentions the Active Content issue
that arose with Microsoft Internet Explorer 6. This issue was resolved in Internet Explorer 7.)
•Optimizing animations and FLA files (7:24) (CS3)
•Introducing Adobe Device Central CS4 (3:55)

406
USING FLASH PROFESSIONAL
Publishing and Exporting
Last updated 1/16/2012
•Google Analytics for Adobe Flash (4:11)
•Tracking Flash CS4 applications with Google Analytics (41:13)
More Help topics
“Using publish profiles (CS5)” on page 424
“Publish settings (CS5)” on page 410
“Configure a server for Flash Player” on page 408
“Creating multilanguage text” on page 289
HTML documents
You need an HTML document to play a SWF file in a web browser and specify browser settings. To display a SWF file
in a web browser, an HTML document must use the object and embed tags with the proper parameters.
Note: You can generate an HTML document using the correct object and embed tags using the Publish Settings dialog
box, and selecting the HTML option. For more information, see “Specify publish settings for HTML wrapper files (CS5)”
on page 412.
Flash Pro can create the HTML document automatically when you publish a SWF file.
Detecting whether Flash Player is present
In order for your published Flash Pro content to be seen by Web users, Flash Player must be installed in their Web
browser.
The following resources and articles provide up-to-date information about how to add code to your web pages to
determine if Flash Player is installed and provide alternative content in the page if it is not.
•Flash Player Developer Center: Detection, installation, and administration (Adobe.com)
•Flash Player Detection Kit (Adobe.com)
•Adobe Flash Player version checking protocol (Adobe.com)
•Future-Proofing Flash Player Detection Scripts (Adobe.com)
•Experiencing Flash Player Express Install (Adobe.com)
Publishing for mobile devices
Adobe® Flash® Lite® lets Flash Pro users create engaging content for mobile phones using the ActionScript® scripting
language, drawing tools, and templates. For detailed information on authoring for mobile devices, see Developing Flash
Lite Applications and the Content Development Kits on the Mobile and Devices Development Center at
www.adobe.com/go/devnet_devices.
Note: Depending on the mobile device for which you are developing, certain restrictions can apply as to which
ActionScript commands and sound formats are supported. For more details, see Mobile Articles on the Mobile and
Devices Development Center.
Adobe also provides Adobe Device Central, a new way to test content created with Adobe products on emulated
mobile devices. When creating a new mobile document of any kind, start the creation process from Device Central.
Device Central lets you select a target device from the beginning of the development process, and have a clear idea what
a device’s limitations are.

407
USING FLASH PROFESSIONAL
Publishing and Exporting
Last updated 1/16/2012
Publishing secure Flash documents
Flash Player 8 and later contain the following features that help you ensure the security of your Flash Pro documents:
Buffer overrun protection
Enabled automatically, this feature prevents the intentional misuse of external files in a Flash Pro document to
overwrite a user’s memory or insert destructive code such as a virus. This prevents a document from reading or writing
data outside the document’s designated memory space on a user’s system.
Exact domain matching for sharing data between Flash documents
Flash Player 7 and later enforce a stricter security model than earlier versions. The security model changed in two
primary ways between Flash Player 6 and Flash Player 7:
Exact domain matching Flash Player 6 lets SWF files from similar domains (for example, www.adobe.com and
store.adobe.com) communicate freely with each other and with other documents. In Flash Player 7, the domain of
the data to be accessed must match the data provider’s domain exactly for the domains to communicate.
HTTPS/HTTP restriction A SWF file that loads by using nonsecure (non-HTTPS) protocols cannot access content
loaded by using a secure (HTTPS) protocol, even when both protocols are in exactly the same domain.
For more information about ensuring that content performs as expected with the new security model, see
Understanding security in Learning ActionScript 2.0 in Adobe Flash.
Local and network playback security
Flash Player 8 and later include a security model that lets you determine the local and network playback security for
SWF files that you publish. By default, SWF files are granted read access to local files and networks. However, a SWF
file with local access cannot communicate with the network, and the SWF file cannot send files or information to any
networks.
Allow SWF files to access network resources, letting the SWF file send and receive data. If you grant the SWF file access
to network resources, local access is disabled, protecting information on the local computer from potentially being
uploaded to the network.
To select the local or network playback security model for your published SWF files, use the Publish Settings dialog box.
More Help topics
“Specify publish settings for SWF files (CS5)” on page 410
Flash Player
Flash Player plays Flash Pro content in the same way as it appears in a web browser or an ActiveX host application.
Flash Pro Player is installed with the Flash Pro application. When you double-click Flash Pro content, the operating
system starts Flash Player, which then plays the SWF file. Use the player to make Flash Pro content viewable for users
who aren’t using a web browser or an ActiveX host application.
To control Flash Pro content in Flash Player, use menu commands and the fscommand() function. For more
information, see Sending messages to and from Flash Player in Learning ActionScript 2.0 in Adobe Flash.
Use the Flash Player context menu to print Flash Pro content frames.
❖Do one of the following:
•To open a new or existing file, select File > New, or Open.
•To change your view of the application, select View > Magnification and make a selection.

408
USING FLASH PROFESSIONAL
Publishing and Exporting
Last updated 1/16/2012
•To control Flash Pro content playback, select Control > Play, Rewind, or Loop Playback.
Reinstall Flash Player
If you are having trouble with your Flash Player installation, you can reinstall it.
1Close your browser.
2Remove any currently installed version of the player.
For instructions, see TechNote 14157 on the Adobe® Flash® Support Center at www.adobe.com/go/tn_14157.
3To begin the installation, visit http://www.adobe.com/go/getflashplayer.
Follow the on-screen instructions to install the player.
You can also run one of the following installers in your Players folder. However, the installer on the Adobe website is
usually more up to date than those in the Players folder.
•For the ActiveX control for Windows® (Internet Explorer or AOL), run the Install Flash Player 9 AX.exe file.
•For the plug-in for Windows (Firefox, Mozilla, Netscape, Safari, or Opera), run the Install Flash Player 9.exe file.
•For the plug-in for Macintosh® (AOL, Firefox, Internet Explorer for Macintosh, Netscape, Opera, or Safari), run
Install Flash Player 10 (Mac
OS 9.x) or Install Flash Player 10 OS X (Mac OS X.x).
Note: To verify the installation visit http://www.adobe.com/shockwave/welcome/ from within your web browser.
Configure a server for Flash Player
For users to view your Flash Pro content on the web, the web server must be properly configured to recognize SWF
files.
Your server may already be configured properly. To test server configuration, see TechNote 4151 on the Adobe Flash
Support Center at www.adobe.com/go/tn_4151.
Configuring a server establishes the appropriate Multipart Internet Mail Extension (MIME) types so that the server
can identify files with the .swf extension as Flash Pro files.
A browser that receives the correct MIME type can load the appropriate plug-in, control, or helper application to
process and properly display the incoming data. If the MIME type is missing or not properly delivered by the server,
the browser might display an error message or a blank window with a puzzle-piece icon.
•If your site is established through an Internet service provider (ISP), ask the ISP to add this MIME type to the server:
application/x-shockwave-flash with the .swf extension.
•If you are administering your own server, see your web server documentation for instructions on adding or
configuring MIME types.
•Corporate and enterprise system administrators can configure Flash Pro to restrict Flash Player access to resources
in the local file system. Create a security configuration file that limits Flash Player functionality on the local system.
The security configuration file is a text file placed in the same folder as the Flash Player installer. The Flash Player
installer reads the configuration file during installation and follows its security directives. Flash Player uses the System
object to expose the configuration file to ActionScript.
With the configuration file, disable Flash Player access to the camera or microphone, limit the amount of local storage
Flash Player can use, control the auto-update feature, and block Flash Player from reading anything from the user’s
local hard disk.
For more information about security, see System in ActionScript 2.0 Language Reference.

409
USING FLASH PROFESSIONAL
Publishing and Exporting
Last updated 1/16/2012
Adding MIME Types
When a web server accesses files, the server must properly identify the files as Flash Pro content to display them. If the
MIME type is missing or not properly delivered by the server, the browser can show error messages or a blank window
with a puzzle-piece icon.
If your server is not properly configured, you (or your server’s administrator) must add the SWF file MIME types to
the server’s configuration files and associate the following MIME types with the SWF file extensions:
•MIME type application/x-shockwave-flash has the .swf file extension.
•MIME type application/futuresplash has the .spl file extension.
If you are administering a server, consult your server software documentation for instructions on adding or
configuring MIME types. If you are not administering a server, contact your Internet service provider, web master, or
server administrator to add the MIME type information.
If your site is on a Mac OS server, you must also set the following parameters: Action: Binary; Type: SWFL; and
Creator: SWF2.
Search engine optimization for Flash content
In mid-2008, Adobe announced a significant advance in Flash Player technology that allows the text content inside
SWF files to be indexed by search engines such as Google and Yahoo!. There are a variety of strategies you can employ
to optimize the visibility of your SWF content to search engines. These practices as a whole are referred to as search
engine optimization (SEO).
Adobe has added a SEO Technology Center to the Developer Connection section of Adobe.com. The SEO Technology
Center contains the following articles that detail some of the techniques you can use to increase the visibility of your
SWF files to internet searches:
•Search optimization techniques for RIAs
•Search optimization checklist for RIAs
About Omniture and Flash
Flash content can be integrated with Omniture SiteCatalyst and Omniture Test&Target. SiteCatalyst helps marketers
quickly identify the most profitable paths through their website, determine where visitors are navigating away from
their site, and identify critical success metrics for online marketing campaigns. Test&Target gives marketers the
capability to continually make their online content more relevant to their customers. Test&Target provides an
interface for designing and executing tests, creating audience segments and targeting content.
Omniture customers can use SiteCatalyst and Test&Target with Flash by downloading and installing the Omniture
Extension pack.
•To download the Omniture extensions and access instructions for using them, choose Help > Omniture.

410
USING FLASH PROFESSIONAL
Publishing and Exporting
Last updated 1/16/2012
Publish settings (CS5)
Specify publish settings for SWF files (CS5)
1Select File > Publish Settings, click the Flash category, and select a Player version from the Player pop-up menu.
Not all Adobe®
Flash® Professional CS5 features work in published SWF files that target Flash Player versions
earlier than Flash Player 10. To specify Flash Player detection, click the HTML tab and select Detect Flash Version
and enter Flash Player version to detect.
Note: In Flash Professional CS5, when you set the Flash Player target to Flash Player 10 in the Publish Settings, the target
is actually Flash Player 10.1.
2Select the ActionScript® version from the Script pop-up menu. If you select ActionScript 2.0 or 3.0 and you’ve
created classes, click Settings to set the relative classpath to class files that differ from the default directory path set
in Preferences.
3To control bitmap compression, adjust the JPEG Quality slider or enter a value. Lower image quality produces
smaller files; higher image quality produces larger files. Try different settings to determine the best trade-off
between size and quality; 100 provides the highest quality and least compression.
To make highly compressed JPEG images look smoother, select Enable JPEG Deblocking. This option reduces typical
artifacts resulting from JPEG compression, such as the common appearance of 8x8-pixel blocking of the image. Some
JPEG images may lose a small amount of detail when this option is selected.
4To set the sample rate and compression for all streaming sounds or event sounds in the SWF file, click Set next to
Audio Stream or Audio Event and select options as needed.
Note: A streaming sound plays as soon as enough data for the first few frames downloads; it is synchronized to the
Timeline. An event sound does not play until it downloads completely, and it continues to play until explicitly stopped.
5To override settings for individual sounds specified in the Sound section of the Property inspector, select Override
Sound Settings. To create a smaller, low-fidelity version of a SWF file, select this option.
Note: If the Select Override Sound Settings option is deselected, Flash Pro scans all streaming sounds in the document
(including sounds in imported video) and publishes all stream sounds at the highest individual setting. This can increase
file size if one or more stream sounds has a high export setting.
6To export sounds suitable for mobile devices, instead of the original library sound, select Export Device Sounds.
Click OK.
7To set SWF settings, select any of the following options:
Compress Movie (Default) Compresses the SWF file to reduce file size and download time. Most beneficial when a file
is text- or ActionScript-intensive. A compressed file plays only in Flash Player 6 or later.
Include Hidden Layers (Default) Exports all hidden layers in the Flash document. Deselecting Export Hidden Layers
prevents all layers (including layers nested inside movie clips) marked as hidden from being exported in the resulting
SWF. This lets you easily test different versions of Flash documents by making layers invisible.
Include XMP metadata (Default) Exports all metadata entered in the File Info dialog box. Click the File Info button to
open the dialog box. You can also open the File Info dialog box by choosing File
> File Info. The metadata is viewable
when the SWF file is selected in Adobe® Bridge.
Export SWC Exports a .swc file, which is used for distributing components. The .swc file contains a compiled clip, the
component's ActionScript class file, and other files that describe the component.

411
USING FLASH PROFESSIONAL
Publishing and Exporting
Last updated 1/16/2012
8To use advanced settings or enable debugging of the published Flash Pro SWF file, select any of the following
options:
Generate Size Report Generates a report listing the amount of data in the final Flash Pro content by file.
Protect From Import Prevents others from importing a SWF file and converting it back into a FLA document. Lets you
use password protection with your Flash Pro SWF file.
Omit Trace Actions Causes Flash Pro to ignore ActionScript trace statements in the current SWF file. When you
select this option, information from trace statements does not appear in the Output panel. For more information, see
“Output panel overview” on page 381.
Permit Debugging Activates the Debugger and allows remote debugging of a Flash Pro SWF file. Lets you use
password protection with your SWF file.
9If you are using ActionScript 2.0, and selected either Permit Debugging or Protect From Import, enter a password
in the Password text field. If you add a password, other users must enter the password before they can debug or
import the SWF file. To remove the password, clear the Password text field. For more information on the Debugger,
see “Debugging ActionScript 1.0 and 2.0” on page 373. If you are using ActionScript 3.0, see “Debugging
ActionScript 3.0” on page 369.
10 Select the Flash Pro security model to use from the Local Playback Security pop-up menu. Specify whether to grant
your published SWF file local or network security access. Local Access Only lets the published SWF file interact
with files and resources on the local system but not on the network. Access Network Only lets the published SWF
file interact with files and resources on the network but not on the local system.
11 To enable the SWF file to use hardware acceleration, select one of the following options from the Hardware
Acceleration menu:
Level 1 - Direct Direct mode improves playback performance by allowing Flash Player to draw directly on the screen
instead of letting the browser do the drawing.
Level 2 - GPU In GPU mode, Flash Player utilizes the available computing power of the graphics card to perform video
playback and compositing of layered graphics. This provides another level of performance benefit depending on the
user's graphics hardware. Use this option when you expect that your audience will have high-end graphics cards.
If the playback system does not have sufficient hardware to enable acceleration, Flash Player reverts to normal drawing
mode automatically. For best performance on web pages containing multiple SWF files, enable hardware acceleration
for only one of the SWF files. Hardware acceleration is not used in Test Movie mode.
When you publish your SWF file, the HTML file that embeds it contains a wmode HTML parameter. Choosing Level
1 or Level 2 hardware acceleration sets the wmode HTML parameter to "direct" or "gpu" respectively. Turning on
hardware acceleration overrides the Window Mode setting you may have chosen in the HTML tab of the Publish
Settings dialog box, because it is also stored in the wmode parameter in the HTML file.
12 To set a maximum time that scripts can take to execute in the SWF file, enter a value for the Script Time Limit. Flash
Player cancels execution of any scripts that exceed the limit.
More Help topics
“Using publish profiles (CS5)” on page 424
“Sound” on page 299
“Using sounds in Flash Lite” on page 304

412
USING FLASH PROFESSIONAL
Publishing and Exporting
Last updated 1/16/2012
Specify publish settings for HTML wrapper files (CS5)
Playing Flash Pro content in a web browser requires an HTML document that activates the SWF file and specifies
browser settings. The Publish command automatically generates this document from HTML parameters in a template
document.
The template document can be any text file that contains the appropriate template variables—including a plain HTML
file, a file that includes code for special interpreters such as ColdFusion® or Active Server Pages (ASP), or a template
included with Flash Pro.
To manually enter HTML parameters for Flash Pro or customize a built-in template, use an HTML editor.
HTML parameters determine where the content appears in the window, the background color, the size of the SWF file,
and so on, and set attributes for the object and embed tags. Change these and other settings in the HTML panel of the
Publish Settings dialog box. Changing these settings overrides options you’ve set in the SWF file.
More Help topics
“Publishing overview” on page 405
“Configure a server for Flash Player” on page 408
“HTML publishing templates” on page 451
“Using publish profiles (CS5)” on page 424
Specify the settings
1Select File > Publish Settings and click Formats. The HTML file type is selected by default.
2 Use the default filename, which matches the name of your document, or enter a unique name, including the .html
extension.
3To show HTML settings and select an installed template to use, from the Template pop-up menu, click HTML. To
show a description of the selected template, click Info. The default selection is Flash Only.
4If you selected an HTML template other than Image Map or QuickTime, and on the Flash tab you set the Version
to Flash Player 4 or later, select Flash Version Detection.
Note: Flash Version Detection configures your document to detect the version of Flash Player that the user has and sends
the user to an alternative HTML page if the user does not have the targeted player.
5Select a Dimensions option to set the values of the width and height attributes in the object and embed tags:
Match Movie (Default) Uses the size of the SWF file.
Pixels Enters the number of pixels for the width and height.
Percent Specifies the percentage of the browser window that the SWF file occupies.
6To control the SWF file’s playback and features, select Playback options:
Paused At Start Pauses the SWF file until a user clicks a button or selects Play from the shortcut menu. (Default) The
option is deselected and the content begins to play as soon as it is loaded (the PLAY parameter is set to true).
Loop Repeats the content when it reaches the last frame. Deselect this option to stop the content when it reaches the
last frame. (Default) The LOOP parameter is on.
Display Menu Shows a shortcut menu when users right-click (Windows) or Control-click (Macintosh) the SWF file.
To show only About Flash in the shortcut menu, deselect this option. By default, this option is selected (the MENU
parameter is set to true).

413
USING FLASH PROFESSIONAL
Publishing and Exporting
Last updated 1/16/2012
Device Font (Windows only) Substitutes anti-aliased (smooth-edged) system fonts for fonts not installed on the user’s
system. Using device fonts increases the legibility of type at small sizes and can decrease the SWF file’s size. This option
affects only SWF files that contain static text (text that you create when authoring a SWF file and that does not change
when the content appears) set to display with device fonts.
7To determine the trade-off between processing time and appearance, as described in the following list, select
Quality options. These options set the QUALITY parameter’s value in the object and embed tags.
Low Favors playback speed over appearance and does not use anti-aliasing.
Auto Low Emphasizes speed at first but improves appearance whenever possible. Playback begins with anti-aliasing
turned off. If Flash Player detects that the processor can handle it, anti-aliasing is automatically turned on.
Auto High Emphasizes playback speed and appearance equally at first but sacrifices appearance for playback speed if
necessary. Playback begins with anti-aliasing turned on. If the actual frame rate drops below the specified frame rate,
anti-aliasing is turned off to improve playback speed. To emulate the View
> Antialias setting, use this setting.
Medium Applies some anti-aliasing but does not smooth bitmaps. Medium produces a better quality than the Low
setting but lower quality than the High setting.
High (Default) Favors appearance over playback speed and always uses anti-aliasing. If the SWF file does not contain
animation, bitmaps are smoothed; if the SWF file contains animation, bitmaps are not smoothed.
Best Provides the best display quality and does not consider playback speed. All output is anti-aliased and bitmaps are
always smoothed.
8Select a Window Mode option, which controls the HTML wmode attribute in the object and embed tags. The
window mode modifies the relationship of the content bounding box or virtual window with content in the HTML
page as described in the following list:
Window (Default) Does not embed any window-related attributes in the object and embed tags. The background of
the content is opaque and uses the HTML background color. The HTML code cannot render above or below the Flash
Pro content.
Opaque Windowless Sets the background of the Flash Pro content to opaque, obscuring anything under the content.
Lets HTML content appear above or on top of content.
Transparent Windowless Sets the background of the Flash Pro content to transparent, allowing the HTML content to
appear above and below the content. For browsers that support windowless modes, see “Parameters and attributes for
object and embed tags” on page 414.
If you turn on Hardware Acceleration in the Flash tab of the Publish Settings dialog box, the Window Mode you select
is ignored and defaults to Window.
For a demonstration of setting the Window Mode, see the TechNote titled How to make a Flash movie with a
transparent background.
Note: In some instances, complex rendering in Transparent Windowless mode can result in slower animation when the
HTML images are also complex.
9To position the SWF file window in the browser window, select one of the following HTML Alignment options:
Default Centers the content in the browser window and crops edges if the browser window is smaller than the
application.
Left, Right, or Top Align SWF files along the corresponding edge of the browser window and crop the remaining three
sides as needed.

414
USING FLASH PROFESSIONAL
Publishing and Exporting
Last updated 1/16/2012
10 To place the content within specified boundaries if you’ve changed the document’s original width and height, select
a Scale option. The Scale option sets the SCALE parameter in the object and embed tags.
Default (Show All) Shows the entire document in the specified area without distortion while maintaining the original
aspect ratio of the SWF files. Borders can appear on two sides of the application.
No Border Scales the document to fill the specified area and keeps the SWF file’s original aspect ratio without
distortion, cropping the SWF file if needed.
Exact Fit Shows the entire document in the specified area without preserving the original aspect ratio, which can cause
distortion.
No Scale Prevents the document from scaling when the Flash Player window is resized.
11 To set how the content is placed within the application window and how it is cropped, select the Flash Alignment
option. This option sets the SALIGN parameter of the object and embed tags.
12 To show error messages if tag settings conflict—for example, if a template has code referring to an alternative image
that was not specified—select Show Warning Messages.
13 To save the settings with the current file, click OK.
Parameters and attributes for object and embed tags
The following tag attributes and parameters describe the HTML code that the Publish command creates. Refer to this
list as you write custom HTML to show Flash Pro content. Unless noted, all items apply to both the object and embed
tags. Optional entries are noted. Internet Explorer recognizes parameters used with the object tag; Netscape
recognizes the embed tag. Attributes are used with both the object and embed tags. When you customize a template,
you can substitute a template variable (identified in the Value section for each parameter in the following list) for the
value.
Note: The attributes and parameters listed in this section are shown in lowercase to comply with the XHTML standard.
devicefont attribute/parameter (Optional) Specifies whether static text objects are rendered in device fonts, even if
the Device Font option is not selected. This attribute applies when the necessary fonts are available from the operating
system.
Value: true | false
Template variable: $DE
src attribute Specifies the name of the SWF file to be loaded. Applies to the embed tag only.
Value: movieName.swf
Template variable: $MO
movie parameter Specifies the name of the SWF file to be loaded. Applies to the object tag only.
Value: movieName.swf
Template variable: $MO
classid attribute Identifies the ActiveX control for the browser. The value must be entered exactly as shown. Applies
to the object tag only.
Value: clsid:d27cdb6e-ae6d-11cf-96b8-444553540000
width attribute Specifies the width of the application either in pixels or as a percentage of the browser window.
Value: n or n%
Template variable: $WI

415
USING FLASH PROFESSIONAL
Publishing and Exporting
Last updated 1/16/2012
height attribute Specifies the height of the application either in pixels or as a percentage of the browser window.
Note: Because Flash Pro applications are scalable, quality doesn’t degrade at different sizes if the aspect ratio is
maintained. (For example, the following sizes all have a 4:3 aspect ratio: 640
x 480 pixels, 320 x 240 pixels, and 240 x 180
pixels.)
Value: n or n%
Template variable: $HE
codebase attribute Identifies the location of the Flash Player ActiveX control so that the browser can automatically
download it if it is not already installed. The value must be entered exactly as shown. Applies to the object tag only.
Value: http://fpdownload.adobe.com/pub/shockwave/cabs/flash/swflash.cab#version=7,0,0,0
pluginspage attribute Identifies the location of the Flash Player plug-in so that the user can download it if it is not
already installed. The value must be entered exactly as shown. Applies to the embed tag only.
Value: http://www.adobe.com/shockwave/download/index.cgi?P1_Prod_Version=ShockwaveFlash
swliveconnect attribute (Optional) Specifies whether the browser should start Java™ when loading Flash Player for the
first time. The default value is false if this attribute is omitted. If you use JavaScript and Flash Pro on the same page,
Java must be running for the fscommand() function to work. However, if you use JavaScript only for browser detection
or another purpose unrelated to fscommand() actions, you can prevent Java from starting by setting SWLIVECONNECT
to false. To force Java to start when you are not using JavaScript, explicitly set the SWLIVECONNECT attribute to true.
Starting Java substantially increases the startup time for a SWF file; set this tag to true only when necessary. Applies
to the embed tag only.
Use the fscommand() action to start Java from a stand-alone projector file.
Value: true | false
play attribute/parameter (Optional) Specifies whether the application begins playing immediately on loading in the
web browser. If your Flash Pro application is interactive, let the user initiate play by clicking a button or performing
another task. In this case, set the play attribute to false to prevent the application from starting automatically. The
default value is true if this attribute is omitted.
Value: true | false
Template variable: $PL
loop attribute/parameter (Optional) Specifies whether the content repeats indefinitely or stops when it reaches the
last frame. The default value is true if this attribute is omitted.
Value: true | false
Template variable: $LO
quality attribute/parameter (Optional) Specifies the level of anti-aliasing to be used. Because anti-aliasing requires a
faster processor to smooth each frame of the SWF file before it is rendered on the viewer’s screen, select one of the
following values based on whether your priority is speed or appearance:
•Low Favors playback speed over appearance and never uses anti-aliasing.
•Autolow Emphasizes speed at first but improves appearance whenever possible. Playback begins with anti-aliasing
turned off. If Flash Player detects that the processor can handle it, anti-aliasing is turned on. Note: SWF files authored
using ActionScript 3.0 do not recognize the autolow value.
•Autohigh Initially emphasizes playback speed and appearance equally, but sacrifices appearance for playback
speed if necessary. Playback begins with anti-aliasing turned on. If the frame rate drops below the specified frame rate,

416
USING FLASH PROFESSIONAL
Publishing and Exporting
Last updated 1/16/2012
anti-aliasing is turned off to improve playback speed. Use this setting to emulate the Antialias command (View >
Preview Mode
> Antialias).
•Medium Applies some anti-aliasing and does not smooth bitmaps. It produces a better quality than the Low setting
but a lower quality than the High setting.
•High Favors appearance over playback speed and always applies anti-aliasing. If the SWF file does not contain
animation, bitmaps are smoothed; if the SWF file has animation, bitmaps are not smoothed.
•Best Provides the best display quality and does not consider playback speed. All output is anti-aliased, and all
bitmaps are smoothed.
The default value for quality is high if this attribute is omitted.
Value: low | medium | high | autolow | autohigh | best
Template variable: $QU
bgcolor attribute/parameter (Optional) Specifies the background color of the application. Use this attribute to
override the background color setting that the SWF file specifies. This attribute does not affect the background color
of the HTML page.
Value: #RRGGBB (hexadecimal RGB value)
Template variable: $BG
scale attribute/parameter (Optional) Defines how the application is placed in the browser window when width and
height values are percentages.
•Showall (Default) Makes the entire content visible in the specified area without distortion while maintaining the
original aspect ratio of the application. Borders can appear on two sides of the application.
•Noborder Scales the content to fill the specified area, without distortion but possibly with some cropping, while
maintaining the original aspect ratio of the application.
•Exactfit Makes the entire content visible in the specified area without trying to preserve the original aspect ratio.
Distortion can occur.
The default value is showall if this attribute is omitted (and width and height values are percentages).
Value: showall | noborder | exactfit
Template variable: $SC
align attribute Specifies the align value for the object, embed, and img tags and determines how the SWF file is
positioned within the browser window.
•Default Centers the application in the browser window and crops edges if the browser window is smaller than the
application.
•L, R, and T Align the application along the left, right, or top edge, respectively, of the browser window and crop the
remaining three sides as needed.
Value: Default | L | R | T
Template variable: $HA
salign parameter (Optional) Specifies where a scaled SWF file is positioned in the area that the width and height
settings define.
•L, R, and T Align the application along the left, right, or top edge, respectively, of the browser window and crop the
remaining three sides as needed.

417
USING FLASH PROFESSIONAL
Publishing and Exporting
Last updated 1/16/2012
•TL and TR Align the application to the top-left and top-right corner, respectively, of the browser window and crop
the bottom and remaining right or left side as needed.
If this attribute is omitted, the content is centered in the browser window.
Value: L | R | T | B | TL | TR
Template variable: $SA
base attribute (Optional) Specifies the base directory or URL used to resolve all relative path statements in the SWF
file. This attribute is helpful when you keep SWF files in a different folder from your other files.
Value: base directory or URL
menu attribute or parameter (Optional) Specifies what type of menu appears when the viewer right-clicks (Windows)
or Command-clicks (Macintosh) the application area in the browser.
•true shows the full menu, which gives the user several options to enhance or control playback.
•false shows a menu that contains only the About Adobe Flash Player 6 option and the Settings option.
The default value is true if this attribute is omitted.
Value: true | false
Template variable: $ME
wmode attribute or parameter (Optional) Lets you use the transparent Flash Pro content, absolute positioning, and
layering capabilities available in Internet Explorer 4.0. For a list of browsers this attribute/parameter supports, see
“Publishing Flash documents” on page 405. The wmode paramater is also used for hardware acceleration in Flash
Player 9 and later.
•Window Plays the application in its own rectangular window on a web page. Window indicates that the Flash Pro
application has no interaction with HTML layers and is always the top-most item.
•Opaque Makes the application hide everything behind it on the page.
•Transparent Makes the background of the HTML page show through all the transparent portions of the
application and can slow animation performance.
•Opaque windowless and Transparent windowless Both interact with HTML layers, letting layers above the SWF
file block out the application. Transparent allows transparency so that HTML layers below the SWF file can be seen
through the background of the SWF file; opaque does not.
•Direct Level 1 - Direct mode hardware acceleration is turned on. The other window mode settings apply only when
hardware acceleration is turned off.
•GPU Level 2 - GPU mode hardware acceleration is turned on. The other window mode settings apply only when
hardware acceleration is turned off.
For more information about hardware acceleration, see “Specify publish settings for SWF files (CS5)” on page 410.
The default value is Window if this attribute is omitted. Applies to object only.
Value: Window | Opaque | Transparent | Direct | GPU
Template variable: $WM
allowscriptaccess attribute or parameter Use allowscriptaccess to let your Flash Pro application communicate
with the HTML page hosting it. The fscommand() and getURL() operations can cause JavaScript to use the

418
USING FLASH PROFESSIONAL
Publishing and Exporting
Last updated 1/16/2012
permissions of the HTML page, which can be different from the permissions of your Flash Pro application. This has
important implications for cross-domain security.
•always Permits scripting operations at all times.
•never Forbids all scripting operations.
•samedomain Permits scripting operations only if the Flash Pro application is from the same domain as the HTML
page.
The default value that all HTML publish templates use is samedomain.
Value: always | never | samedomain
SeamlessTabbing parameter (Optional) Lets you set the ActiveX control to perform seamless tabbing, so that the user
can tab out of a Flash Pro application. This parameter works only in Windows with the Flash Player ActiveX control,
version 7 and higher.
•true (or omitted) Sets the ActiveX control to perform seamless tabbing: After users tab through the Flash Pro
application, the next tab keypress moves the focus out of the Flash Pro application and into the surrounding HTML
content or to the browser status bar if nothing can have focus in the HTML following the Flash Pro application.
•false Sets the ActiveX control to behave as it did in version 6 and earlier: After users tab through the Flash Pro
application, the next tab keypress wraps the focus around to the beginning of the Flash Pro application. In this mode,
you cannot use the tab key to advance the focus past the Flash Pro application.
Value: true | false
Examples using object and embed tags
For object, four settings (height, width, classid, and codebase) are attributes that appear in the object tag; all
others are parameters that appear in separate, named param tags, as shown in the following example:
<object classid="clsid:d27cdb6e-ae6d-11cf-96b8-444553540000" width="100"
height="100"
codebase="http://fpdownload.adobe.com/pub/shockwave/cabs/flash/swflash.cab#version=9,0,0,0">
<param name="movie" value="moviename.swf">
<param name="play" value="true">
<param name="loop" value="true">
<param name="quality" value="high">
</object>
For the embed tag, all settings (such as height, width, quality, and loop) are attributes that appear between the angle
brackets of the opening embed tag, as shown in the following example:
<embed src="moviename.swf" width="100" height="100" play="true"
loop="true" quality="high"
pluginspage="http://www.adobe.com/shockwave/download/index.cgi?P1_Prod_Version=ShockwaveFlas
h">
</embed>
To use both tags, position the embed tag before the closing object tag, as shown in the following example:

419
USING FLASH PROFESSIONAL
Publishing and Exporting
Last updated 1/16/2012
<object classid="clsid:d27cdb6e-ae6d-11cf-96b8-444553540000" width="100"
height="100"
codebase="http://fpdownload.adobe.com/pub/shockwave/cabs/flash/swflash.cab#version=9,0,0,0">
<param name="movie" value="moviename.swf">
<param name="play" value="true">
<param name="loop" value="true">
<param name="quality" value="high">
<embed src="moviename.swf" width="100" height="100" play="true"
loop="true" quality="high"
pluginspage="http://www.adobe.com/shockwave/download/index.cgi?P1_Prod_Version=ShockwaveFlas
h">
</embed>
</object>
Note: If you use the object and embed tags, use identical values for each attribute or parameter to ensure consistent
playback across browsers. The swflash.cab#version=9,0,0,0 parameter is optional; only omit this parameter if you
don’t want to check for the version number.
Browsers that support windowless modes
For detailed information about web browser support for the WMODE attribute, see the table in TechNote 12701: Flash
OBJECT Tag Attributes.
Specify publish settings for Flash Player detection (CS5)
Flash Version Detection configures your document to detect the version of Flash Player that the user has and sends
the user to an alternative HTML page if the user does not have the targeted player. The alternative HTML page
contains a link to download the latest version of Flash Player
Flash Player detection is available only for publish settings set to Flash Player 4 or later (CS5) or Flash Player 5 or later
(CS5.5), and for SWF files embedded in the Flash Only or Flash HTTPS templates.
Note: Flash Player 5 and later are installed on 98% of Internet-connected computers, making Flash Player detection a
reasonable method to ensure that end users have the correct version of Flash Pro installed to view your content.
The following HTML templates do not support Flash Player detection because the JavaScript in these templates
conflicts with the JavaScript used to detect the Flash Player:
•Flash Pro for PocketPC 2003
•Flash Pro with AICC Tracking
•Flash Pro with FSCommand
•Flash Pro with Named Anchors
•Flash Pro with SCORM Tracking
Note: Image Map HTML template does not support Player detection because it does not embed the Flash Player.
1Select File > Publish Settings, and click HTML.
2Select either the Flash Only or Flash HTTPS template from the Template pop-up menu. These templates support
the single-page HTML detection kit. Either of these templates enables the Detect Flash Version check box and the
version number text fields.
3Select the Detect Flash Version check box. Your SWF file is embedded in a web page that includes Flash Player
detection code. If the detection code finds an acceptable version of Flash Player installed on the end user’s
computer, the SWF file plays as designed.

420
USING FLASH PROFESSIONAL
Publishing and Exporting
Last updated 1/16/2012
4(Optional) To specify precise revisions of Flash Player, use the Major Revision and Minor Revision text fields. For
example, specify Flash Player version 7.0.2 if it provides a feature specific to displaying your SWF file.
When you publish your SWF file, Flash Pro creates a single HTML page in which to embed the SWF file and the Flash
Player detection code. If an end user does not have the version of Flash Pro you’ve specified to view the SWF file, an
HTML page appears with a link to download the latest version of Flash Player.
Specify publish settings for GIF files (CS5)
Use GIF files to export drawings and simple animations for use in web pages. Standard GIF files are compressed
bitmaps.
An animated GIF file (sometimes referred to as a GIF89a) offers a simple way to export short animation sequences.
Flash Pro optimizes an animated GIF file, storing only frame-to-frame changes.
Flash Pro exports the first frame in the SWF file as a GIF file, unless you mark a different keyframe for export by
entering the #Static frame label in the Property inspector. Flash Pro exports all the frames in the current SWF file to
an animated GIF file unless you specify a range of frames for export by entering the #First and #Last frame labels in
the appropriate keyframes.
Flash Pro can generate an image map for a GIF file to maintain URL links for buttons in the original document. Use
the Property inspector to place the frame label #Map in the keyframe in which to create the image map. If you don’t
create a frame label, Flash Pro creates an image map using the buttons in the last frame of the SWF file. Create an image
map only if the $IM template variable is present in the template you select.
1Select File > Publish Settings, click Formats, and select GIF Image.
2For the GIF filename, use the default filename or enter a new filename with the .gif extension.
3Click GIF.
Dimensions Enter values for width and height in pixels for the exported bitmap image, or select Match Movie to make
the GIF the same size as the SWF file and maintain the aspect ratio of your original image.
Playback Determines whether Flash Pro creates a still (Static) image or an animated GIF (Animation). If you select
Animation, select Loop Continuously or enter the number of repetitions.
4To specify a range of appearance settings for the exported GIF file, select one of the following options:
Optimize Colors Removes any unused colors from a GIF file’s color table. This option reduces the file size without
affecting image quality, but slightly increases the memory requirements. This option has no effect on an adaptive
palette. (An adaptive palette analyzes the colors in the image and creates a unique color table for the selected GIF file.)
Interlace Incrementally shows the exported GIF file in a browser as it downloads. Lets the user see basic graphic
content before the file completely downloads and can download the file faster over a slow network connection. Do not
interlace an animated GIF image.
Smooth Applies anti-aliasing to an exported bitmap to produce a higher-quality bitmap image and improve text
display quality. However, smoothing might cause a halo of gray pixels to appear around an anti-aliased image placed
on a colored background, and it increases the GIF file size. Export an image without smoothing if a halo appears or if
you’re placing a GIF transparency on a multicolored background.
Dither Solids Applies dithering to solid colors as well as gradients.
Remove Gradients (Default is off) Converts all gradient fills in the SWF file to solid colors using the first color in the
gradient. Gradients increase the size of a GIF file and are often poor quality. To prevent unexpected results, select the
first color of your gradients carefully if you use this option.

421
USING FLASH PROFESSIONAL
Publishing and Exporting
Last updated 1/16/2012
5To determine the transparency of the application’s background and the way alpha settings are converted to GIF,
select one of the following Transparent options:
Opaque Makes the background a solid color.
Transparent Makes the background transparent.
Alpha Sets partial transparency. Enter a Threshold value between 0 and 255. A lower value results in greater
transparency. A value of 128 corresponds to 50% transparency.
6To specify how pixels of available colors are combined to simulate colors not available in the current palette, select
a Dither option. Dithering can improve color quality, but it increases the file size.
None Turns off dithering and replaces colors not in the basic color table with the solid color from the table that most
closely approximates the specified color. Turning dithering off can result in smaller files but unsatisfactory colors.
Ordered Provides good-quality dithering with the smallest increase in file size.
Diffusion Provides the best-quality dithering but increases file size and processing time. Works only with the web 216-
color palette selected.
7To define the image’s color palette, select one of the following Palette types:
Web 216 Uses the standard 216-color, web-safe palette to create the GIF image, for good image quality and the fastest
processing on the server.
Adaptive Analyzes the colors in the image and creates a unique color table for the selected GIF file. Best for systems
displaying thousands or millions of colors; it creates the most accurate color for the image but increases file size. To
reduce the size of a GIF file with an adaptive palette, use the Max Colors option to decrease the number of colors in
the palette.
Web Snap Adaptive Is the same as the Adaptive palette option except it converts similar colors to the web 216-color
palette. The resulting color palette is optimized for the image, but when possible Flash Pro uses colors from the web
216-color palette. This produces better colors for the image when the web 216-color palette is active on a 256-color
system.
Custom Specifies a palette that you optimized for the selected image. The custom palette is processed at the same speed
as the web 216-color palette. To use this option, know how to create and use custom palettes. To select a custom palette,
click the Palette folder icon (the folder icon that appears at the end of the Palette text field), and select a palette file.
Flash Pro supports palettes saved in the ACT format that some graphics applications export.
8To set the number of colors used in the GIF image, if you selected the Adaptive or Web Snap Adaptive palette, enter
a value for Max Colors. A smaller number of colors can produce a smaller file but can degrade the colors in the
image.
9Click OK.
More Help topics
“Create an image map to substitute for a SWF file” on page 454
“Using publish profiles (CS5)” on page 424
“Import and export color palettes” on page 133
Specify publish settings for JPEG files (CS5)
The JPEG format lets you save an image as a highly compressed, 24-bit bitmap. Generally, GIF format is better for
exporting line art, and JPEG format is better for images with continuous tones, such as photographs, gradients, or
embedded bitmaps.

422
USING FLASH PROFESSIONAL
Publishing and Exporting
Last updated 1/16/2012
Flash Pro exports the first frame in the SWF file as a JPEG, unless you mark a different keyframe for export by entering
the #Static frame label.
1Select File > Publish Settings, click Formats, and select JPEG Image.
2For the JPEG filename, either use the default filename, or enter a new filename with the .jpg extension.
3Click the JPEG tab.
Dimensions Enter values for width and height in pixels for the exported bitmap image, or select Match Movie to make
the JPEG image the same size as the Stage and maintain the aspect ratio of your original image.
Quality Drag the slider or enter a value to control the amount of JPEG file compression. The lower the image quality,
the smaller the file size, and the reverse. To determine the best compromise between size and quality, try different
settings.
Note: To change the object’s compression setting, use the Bitmap Properties dialog box to set the bitmap export quality
per object. The default compression option in the Bitmap Properties dialog box applies the Publish Settings JPEG Quality
option.
Progressive Show Progressive JPEG images incrementally in a web browser, which makes images appear faster when
loading with a slow network connection. Similar to interlacing in GIF and PNG images.
4Click OK.
More Help topics
“Using publish profiles (CS5)” on page 424
“Set bitmap properties” on page 65
Specify publish settings for PNG files (CS5)
PNG is the only cross-platform bitmap format that supports transparency (an alpha channel). It is also the native file
format for Adobe® Fireworks®.
Flash Pro exports the first frame in the SWF file as a PNG file, unless you mark a different keyframe for export by
entering the #Static frame label.
1Select File > Publish Settings, click Formats, and select PNG Image.
2For the PNG filename, either use the default filename, or enter a new filename with the .png extension.
3Click PNG.
Dimensions Enter values for width and height in pixels for the exported bitmap image, or select Match Movie to make
the PNG image the same size as the SWF file and maintain the aspect ratio of your original image.
Bit depth Set the number of bits per pixel and colors to use in creating the image. The higher the bit depth, the larger
the file.
•8-bits per channel (bpc) for a 256-color image
•24-bpc for thousands of colors
•24-bpc with Alpha for thousands of colors with transparency (32 bpc)
4To specify appearance settings for the exported PNG, select from the following options:
Optimize Colors Removes any unused colors from a PNG file’s color table, reducing the file size by 1000 to 1500 bytes
without affecting image quality but increasing the memory requirements slightly. Has no effect on an adaptive palette.

423
USING FLASH PROFESSIONAL
Publishing and Exporting
Last updated 1/16/2012
Interlace Incrementally shows the exported PNG in a browser as it downloads. Lets the user see basic graphic content
before the file completely downloads and might download the file faster over a slow network connection. Do not
interlace an animated PNG file.
Smooth Applies anti-aliasing to an exported bitmap to produce a higher-quality bitmap image and improve text
display quality. However, smoothing might cause a halo of gray pixels to appear around an anti-aliased image placed
on a colored background, and it increases the PNG file size. Export an image without smoothing if a halo appears or
if you’re placing a PNG transparency on a multicolored background.
Dither Solids Applies dithering to solid colors and gradients.
Remove Gradients (Default is off) Converts all gradient fills in the application to solid colors using the first color in
the gradient. Gradients increase the size of a PNG and are often poor quality. To prevent unexpected results, select the
first color of your gradients carefully if you use this option.
5If you selected 8-bpc for Bit Depth, select a Dither option to specify how pixels of available colors are mixed to
simulate colors not available in the current palette. Dithering can improve color quality, but it increases file size.
Select from the following options:
None Turns off dithering and replaces colors not in the basic color table with the solid color from the table that most
closely approximates the specified color. Turning dithering off can produce smaller files but unsatisfactory colors.
Ordered Provides good-quality dithering with the smallest increase in file size.
Diffusion Provides the best-quality dithering but increases file size and processing time. It also works only with the
Web 216-color palette selected.
6Select one of the following Palette Types to define the color palette for the PNG image:
Web 216 Uses the standard 216-color, web-safe palette to create the PNG image, for good image quality and the fastest
processing on the server.
Adaptive Analyzes the colors in the image and creates a unique color table for the selected PNG file. Best for systems
showing thousands or millions of colors; it creates the most accurate color for the image but results in a file size larger
than a PNG created with the web-safe 216-color palette.
Web Snap Adaptive Is the same as the Adaptive palette option except that it converts colors similar to the web-safe
216-color palette. The resulting color palette is optimized for the image, but when possible, Flash Pro uses colors from
the web-safe 216-color palette. This produces better colors for the image when the web-safe 216-color palette is active
on a 256-color system. To reduce the size of a PNG file with an adaptive palette, use the Max Colors option to decrease
the number of palette colors.
Custom Specifies a palette that you optimized for the selected image. The custom palette is processed at the same speed
as the web-safe 216-color palette. To use this option, know how to create and use custom palettes. To select a custom
palette, click the Palette folder icon (the folder icon that appears at the end of the Palette text field), and select a palette
file. Flash Pro supports palettes saved in the ACT format that leading graphics applications export.
7If you selected the Adaptive or Web Snap Adaptive palette, enter a value for Max Colors to set the number of colors
used in the PNG image. A smaller number of colors can produce a smaller file but might degrade the colors in the
image.
8To select a line-by-line filtering method to make the PNG file more compressible and experiment with the different
options for a particular image, select one of the following Filter options:
None Turns off filtering.
Sub Transmits the difference between each byte and the value of the corresponding byte of the previous pixel.
Up Transmits the difference between each byte and the value of the corresponding byte of the pixel immediately
above.

424
USING FLASH PROFESSIONAL
Publishing and Exporting
Last updated 1/16/2012
Average Uses the average of the two neighboring pixels (left and above) to predict the value of a pixel.
Path Computes a simple linear function of the three neighboring pixels (left, above, upper left), and selects the
neighboring pixel closest to the computed value as a predictor of the color.
Adaptive Analyzes the colors in the image and creates a unique color table for the selected PNG file. Best for systems
showing thousands or millions of colors; it creates the most accurate color for the image but results in a file size larger
than a PNG created with the web 216-color palette. Reduce the size of a PNG created with an adaptive palette by
decreasing the number of colors in the palette.
9Click OK.
More Help topics
“Using publish profiles (CS5)” on page 424
“Import and export color palettes” on page 133
Preview the publishing format and settings (CS5)
The Publish Preview command exports the file and opens the preview in the default browser. If you preview a
QuickTime video, Publish Preview starts the QuickTime video Player. If you preview a projector, Flash Pro starts the
projector.
❖Select File > Publish Preview, and select the file format to preview.
Using the current Publish Settings values, Flash Pro creates a file of the specified type in the same location as the FLA
file. This file remains in this location until you overwrite or delete it.
More Help topics
“Publishing overview” on page 405
Using publish profiles (CS5)
Publish profiles let you:
•Save a publish settings configuration, export it, and import the publish profile to other documents or for others to use.
•Import publish profiles to use in your document.
•Create profiles to publish in several media formats.
•Create a publish profile for in-house use that differs from the way you’d publish the files for a client.
•Create a standard publish profile for your company to ensure files are published uniformly.
Publish profiles are saved at the document rather than application level.
More Help topics
“Publishing overview” on page 405
Create a publish profile
1In the Publish Settings dialog box, click the Create New Profile button .
2Name the publish profile, and click OK.
3Specify the publish settings for your document, and click OK.

425
USING FLASH PROFESSIONAL
Publishing and Exporting
Last updated 1/16/2012
Duplicate, modify, or delete a publish profile
❖From the Current Profile pop-up menu (File > Publish Settings), select the publish profile to use:
•To create a duplicate profile, click the Duplicate Profile button . Enter the profile name in the Duplicate Name
text field, and click OK.
•To modify a publish profile, specify the new publish settings for your document, and click OK.
•To delete a publish profile, click the Delete Profile button , and click OK.
Export a publish profile
1From the Current Profile pop-up menu (File > Publish Settings), select the publish profile to export.
2Click the Import/Export Profile button , and select Export. Export a publish profile as an XML file for import
into other documents.
3Either accept the default location in which to save the publish profile or browse to a new location, and click Save.
Import a publish profile
Other users can create and export publish profiles, which you can import and select as a publish settings option.
1Select File > Publish Settings, click Import/Export Profile , and select Import.
2Browse to the publish profile XML file, and click Open.
Publish settings (CS5.5)
Specify publish settings for Flash (.swf) files (CS5.5)
Note: CS5.5 only - You can also specify the Publish settings for Player version and ActionScript version in the Property
inspector. Deselect all items on Stage to display the Document properties in the Property inspector.
1Select File > Publish Settings, and select a Player version from the Player pop-up menu. Not all
Adobe®
Flash® Professional CS5 features work in published SWF files that target Flash Player versions earlier than
Flash Player 10. To specify Flash Player detection, click the HTML Wrapper category in the left column and select
Detect Flash Version and enter Flash Player version to detect.
Note: In Flash Pro CS5.5, the Flash Player 10.2 setting creates a SWF file using version 11 of the SWF format. The Flash
Player 10 & 10.1 setting creates a SWF file using version 10 of the format.
2Select the ActionScript® version from the Script pop-up menu. If you select ActionScript 2.0 or 3.0 and you’ve
created classes, click the ActionScript Settings button to set the relative classpath to class files that differ from the
default directory path set in Preferences.
3To control bitmap compression, click the Flash category in the left column and adjust the JPEG Quality value.
Lower image quality produces smaller files; higher image quality produces larger files. Try different settings to
determine the best trade-off between size and quality; 100 provides the highest quality and least compression.
To make highly compressed JPEG images look smoother, select Enable JPEG Deblocking. This option reduces typical
artifacts resulting from JPEG compression, such as the common appearance of 8x8-pixel blocking of the image. Some
JPEG images may lose a small amount of detail when this option is selected.
4To set the sample rate and compression for all streaming sounds or event sounds in the SWF file, click the values
next to Audio Stream or Audio Event and select options as needed.

426
USING FLASH PROFESSIONAL
Publishing and Exporting
Last updated 1/16/2012
Note: A streaming sound plays as soon as enough data for the first few frames downloads; it is synchronized to the
Timeline. An event sound does not play until it downloads completely, and it continues to play until explicitly stopped.
5To override settings for individual sounds specified in the Sound section of the Property inspector, select Override
Sound Settings. To create a smaller, low-fidelity version of a SWF file, select this option.
Note: If the Select Override Sound Settings option is deselected, Flash Pro scans all streaming sounds in the document
(including sounds in imported video) and publishes all stream sounds at the highest individual setting. This can increase
file size if one or more stream sounds has a high export setting.
6To export sounds suitable for mobile devices, instead of the original library sound, select Export Device Sounds.
Click OK.
7To set Advanced settings, select any of the following options:
Compress Movie (Default) Compresses the SWF file to reduce file size and download time. Most beneficial when a file
is text- or ActionScript-intensive. A compressed file plays only in Flash Player 6 or later.
Include Hidden Layers (Default) Exports all hidden layers in the Flash document. Deselecting Export Hidden Layers
prevents all layers (including layers nested inside movie clips) marked as hidden from being exported in the resulting
SWF. This lets you easily test different versions of Flash documents by making layers invisible.
Include XMP metadata (Default) Exports all metadata entered in the File Info dialog box. Click the Modify XMP
Metadata button to open the dialog box. You can also open the File Info dialog box by choosing File
> File Info. The
metadata is viewable when the SWF file is selected in Adobe® Bridge.
Generate Size Report Generates a report listing the amount of data in the final Flash Pro content by file.
Omit Trace Statements Causes Flash Pro to ignore ActionScript trace statements in the current SWF file. When you
select this option, information from trace statements does not appear in the Output panel. For more information, see
“Output panel overview” on page 381.
Permit Debugging Activates the Debugger and allows remote debugging of a Flash Pro SWF file. Lets you use
password protection with your SWF file.
Protect From Import Prevents others from importing a SWF file and converting it back into a FLA document. Lets you
use password protection with your Flash Pro SWF file.
8If you are using ActionScript 2.0, and selected either Permit Debugging or Protect From Import, enter a password
in the Password text field. If you add a password, other users must enter the password before they can debug or
import the SWF file. To remove the password, clear the Password text field and re-publish. For more information
on the Debugger, see “Debugging ActionScript 1.0 and 2.0” on page 373. If you are using ActionScript 3.0, see
“Debugging ActionScript 3.0” on page 369.
9To set a maximum time that scripts can take to execute in the SWF file, enter a value for the Script Time Limit. Flash
Player cancels execution of any scripts that exceed the limit.
10 Select the Flash Pro security model to use from the Local Playback Security pop-up menu. Specify whether to grant
your published SWF file local or network security access.
Local Access Only Lets the published SWF file interact with files and resources on the local system but not on the
network.
Access Network Only Lets the published SWF file interact with files and resources on the network but not on the local
system

427
USING FLASH PROFESSIONAL
Publishing and Exporting
Last updated 1/16/2012
11 To enable the SWF file to use hardware acceleration, select one of the following options from the Hardware
Acceleration menu:
Level 1 - Direct Direct mode improves playback performance by allowing Flash Player to draw directly on the screen
instead of letting the browser do the drawing.
Level 2 - GPU In GPU mode, Flash Player utilizes the available computing power of the graphics card to perform video
playback and compositing of layered graphics. This provides another level of performance benefit depending on the
user's graphics hardware. Use this option when you expect that your audience will have high-end graphics cards.
If the playback system does not have sufficient hardware to enable acceleration, Flash Player reverts to normal drawing
mode automatically. For best performance on web pages containing multiple SWF files, enable hardware acceleration
for only one of the SWF files. Hardware acceleration is not used in Test Movie mode.
When you publish your SWF file, the HTML file that embeds it contains a wmode HTML parameter. Choosing Level
1 or Level 2 hardware acceleration sets the wmode HTML parameter to "direct" or "gpu" respectively. Turning on
hardware acceleration overrides the Window Mode setting you may have chosen in the HTML tab of the Publish
Settings dialog box, because it is also stored in the wmode parameter in the HTML file.
More Help topics
“Using publish profiles (CS5)” on page 424
“Sound” on page 299
“Using sounds in Flash Lite” on page 304
Specify publish settings for SWC files and projectors (CS5.5)
A SWC file is used for distributing components. The SWC file contains a compiled clip, the component's ActionScript
class file, and other files that describe the component.
Projectors are Flash files that contain both the published SWF and Flash Player. Projectors can play like an ordinary
application, without the need for a web browser, the Flash Player plugin, or Adobe AIR.
•To publish a SWC file, select SWC from the left column of the Publish Settings dialog and click Publish.
•To publish a Windows Projector, select Win Projector from the left column and click Publish.
•To publish a Macintosh Projector, select Mac Projector from the left column and click Publish.
To save the SWC file or projector with a different file name that the original FLA file, enter a name for the Output File.
Specify publish settings for HTML wrapper files (CS5.5)
Playing Flash Pro content in a web browser requires an HTML document that activates the SWF file and specifies
browser settings. The Publish command automatically generates this document from parameters in an HTML
template document.
The template document can be any text file that contains the appropriate template variables—including a plain HTML
file, a file that includes code for special interpreters such as ColdFusion® or Active Server Pages (ASP), or a template
included with Flash Pro.
To manually enter HTML parameters for Flash Pro or customize a built-in template, use an HTML editor.
HTML parameters determine where the content appears in the window, the background color, the size of the SWF file,
and so on, and set attributes for the object and embed tags. Change these and other settings in the HTML panel of the
Publish Settings dialog box. Changing these settings overrides options you’ve set in the SWF file.

428
USING FLASH PROFESSIONAL
Publishing and Exporting
Last updated 1/16/2012
More Help topics
“Publishing overview” on page 405
“Configure a server for Flash Player” on page 408
“HTML publishing templates” on page 451
“Using publish profiles (CS5)” on page 424
Specify the settings
1Select File > Publish Settings and click the HTML Wrapper category from the left column of the dialog box.
2 Use the default filename, which matches the name of your document, or enter a unique name, including the .html
extension.
3To select an installed template to use, choose one from the Template pop-up menu. To show a description of the
selected template, click Info. The default selection is the Flash Only template.
4If you selected any HTML template other than Image Map, and you set the Flash Player version to 4 or later, select
Flash Version Detection. For more information, see “Specify publish settings for Flash Player detection (CS5.5)” on
page 435.
Note: Flash Version Detection configures your document to detect the version of Flash Player that the user has and sends
the user to an alternative HTML page if the user does not have the targeted player. The alternative HTML page contains
a link to download the latest version of Flash Player.
5Select a Size option to set the values of the width and height attributes in the HTML object and embed tags:
Match Movie (Default) Uses the size of the SWF file.
Pixels Uses the Width and Height you specify. Enter the number of pixels for the width and height.
Percent The SWF file occupies the percentage of the browser window that you specify. Enter the percentages for width
and height that you want to use.
6To control the SWF file’s playback and features, select Playback options:
Paused At Start Pauses the SWF file until a user clicks a button or selects Play from the shortcut menu. (Default) The
option is deselected and the content begins to play as soon as it is loaded (the PLAY parameter is set to true).
Loop Repeats the content when it reaches the last frame. Deselect this option to stop the content when it reaches the
last frame. (Default) The LOOP parameter is on.
Display Menu Shows a shortcut menu when users right-click (Windows) or Control-click (Macintosh) the SWF file.
To show only About Flash in the shortcut menu, deselect this option. By default, this option is selected (the MENU
parameter is set to true).
Device Font (Windows only) Substitutes anti-aliased (smooth-edged) system fonts for fonts not installed on the user’s
system. Using device fonts increases the legibility of type at small sizes and can decrease the SWF file’s size. This option
affects only SWF files that contain static text (text that you create when authoring a SWF file and that does not change
when the content appears) set to display with device fonts.
7To determine the trade-off between processing time and appearance, as described in the following list, select
Quality options. These options set the QUALITY parameter’s value in the object and embed tags.
Low Favors playback speed over appearance and does not use anti-aliasing.
Auto Low Emphasizes speed at first but improves appearance whenever possible. Playback begins with anti-aliasing
turned off. If Flash Player detects that the processor can handle it, anti-aliasing is automatically turned on.

429
USING FLASH PROFESSIONAL
Publishing and Exporting
Last updated 1/16/2012
Auto High Emphasizes playback speed and appearance equally at first but sacrifices appearance for playback speed if
necessary. Playback begins with anti-aliasing turned on. If the actual frame rate drops below the specified frame rate,
anti-aliasing is turned off to improve playback speed. To emulate the View
> Antialias setting, use this setting.
Medium Applies some anti-aliasing but does not smooth bitmaps. Medium produces a better quality than the Low
setting but lower quality than the High setting.
High (Default) Favors appearance over playback speed and always uses anti-aliasing. If the SWF file does not contain
animation, bitmaps are smoothed; if the SWF file contains animation, bitmaps are not smoothed.
Best Provides the best display quality and does not consider playback speed. All output is anti-aliased and bitmaps are
always smoothed.
8Select a Window Mode option, which controls the HTML wmode attribute in the object and embed tags. The
window mode modifies the relationship of the content bounding box or virtual window with content in the HTML
page as described in the following list:
Window (Default) Does not embed any window-related attributes in the object and embed tags. The background of
the content is opaque and uses the HTML background color. The HTML code cannot render above or below the Flash
Pro content.
Opaque Windowless Sets the background of the Flash Pro content to opaque, obscuring anything under the content.
Lets HTML content appear above or on top of content.
Transparent Windowless Sets the background of the Flash Pro content to transparent, allowing the HTML content to
appear above and below the content. For browsers that support windowless modes, see “Parameters and attributes for
object and embed tags” on page 414.
If you turn on Hardware Acceleration in the Flash tab of the Publish Settings dialog box, the Window Mode you select
is ignored and defaults to Window.
For a demonstration of setting the Window Mode, see the TechNote titled How to make a Flash movie with a
transparent background.
Note: In some instances, complex rendering in Transparent Windowless mode can result in slower animation when the
HTML images are also complex.
9To show error messages if tag settings conflict—for example, if a template has code referring to an alternative image
that was not specified—select Show Warning Message.
10 To place the content within specified boundaries if you’ve changed the document’s original width and height, select
a Scale option. The Scale option sets the SCALE parameter in the HTML object and embed tags.
Default (Show All) Shows the entire document in the specified area without distortion while maintaining the original
aspect ratio of the SWF files. Borders can appear on two sides of the application.
No Border Scales the document to fill the specified area and keeps the SWF file’s original aspect ratio without
distortion, cropping the SWF file if needed.
Exact Fit Shows the entire document in the specified area without preserving the original aspect ratio, which can cause
distortion.
No Scale Prevents the document from scaling when the Flash Player window is resized.
11 To position the SWF file window in the browser window, select one of the following HTML Alignment options:
Default Centers the content in the browser window and crops edges if the browser window is smaller than the
application.
Left, Right, or Top Align SWF files along the corresponding edge of the browser window and crop the remaining three
sides as needed.

430
USING FLASH PROFESSIONAL
Publishing and Exporting
Last updated 1/16/2012
12 To set how the content is placed within the application window and how it is cropped, select the Flash Horizontal
Alignment and Flash Vertical Alignment options. These options set the SALIGN parameter of the HTML object
and embed tags.
Parameters and attributes for object and embed tags
The following tag attributes and parameters describe the HTML code that the Publish command creates. Refer to this
list as you write custom HTML to show Flash Pro content. Unless noted, all items apply to both the object and embed
tags. Optional entries are noted. Internet Explorer recognizes parameters used with the object tag; Netscape
recognizes the embed tag. Attributes are used with both the object and embed tags. When you customize a template,
you can substitute a template variable (identified in the Value section for each parameter in the following list) for the
value.
Note: The attributes and parameters listed in this section are shown in lowercase to comply with the XHTML standard.
devicefont attribute/parameter (Optional) Specifies whether static text objects are rendered in device fonts, even if
the Device Font option is not selected. This attribute applies when the necessary fonts are available from the operating
system.
Value: true | false
Template variable: $DE
src attribute Specifies the name of the SWF file to be loaded. Applies to the embed tag only.
Value: movieName.swf
Template variable: $MO
movie parameter Specifies the name of the SWF file to be loaded. Applies to the object tag only.
Value: movieName.swf
Template variable: $MO
classid attribute Identifies the ActiveX control for the browser. The value must be entered exactly as shown. Applies
to the object tag only.
Value: clsid:d27cdb6e-ae6d-11cf-96b8-444553540000
width attribute Specifies the width of the application either in pixels or as a percentage of the browser window.
Value: n or n%
Template variable: $WI
height attribute Specifies the height of the application either in pixels or as a percentage of the browser window.
Note: Because Flash Pro applications are scalable, quality doesn’t degrade at different sizes if the aspect ratio is
maintained. (For example, the following sizes all have a 4:3 aspect ratio: 640
x 480 pixels, 320 x 240 pixels, and 240 x 180
pixels.)
Value: n or n%
Template variable: $HE
codebase attribute Identifies the location of the Flash Player ActiveX control so that the browser can automatically
download it if it is not already installed. The value must be entered exactly as shown. Applies to the object tag only.
Value: http://fpdownload.adobe.com/pub/shockwave/cabs/flash/swflash.cab#version=7,0,0,0

431
USING FLASH PROFESSIONAL
Publishing and Exporting
Last updated 1/16/2012
pluginspage attribute Identifies the location of the Flash Player plug-in so that the user can download it if it is not
already installed. The value must be entered exactly as shown. Applies to the embed tag only.
Value: http://www.adobe.com/shockwave/download/index.cgi?P1_Prod_Version=ShockwaveFlash
swliveconnect attribute (Optional) Specifies whether the browser should start Java™ when loading Flash Player for the
first time. The default value is false if this attribute is omitted. If you use JavaScript and Flash Pro on the same page,
Java must be running for the fscommand() function to work. However, if you use JavaScript only for browser detection
or another purpose unrelated to fscommand() actions, you can prevent Java from starting by setting SWLIVECONNECT
to false. To force Java to start when you are not using JavaScript, explicitly set the SWLIVECONNECT attribute to true.
Starting Java substantially increases the startup time for a SWF file; set this tag to true only when necessary. Applies
to the embed tag only.
Use the fscommand() action to start Java from a stand-alone projector file.
Value: true | false
play attribute/parameter (Optional) Specifies whether the application begins playing immediately on loading in the
web browser. If your Flash Pro application is interactive, let the user initiate play by clicking a button or performing
another task. In this case, set the play attribute to false to prevent the application from starting automatically. The
default value is true if this attribute is omitted.
Value: true | false
Template variable: $PL
loop attribute/parameter (Optional) Specifies whether the content repeats indefinitely or stops when it reaches the
last frame. The default value is true if this attribute is omitted.
Value: true | false
Template variable: $LO
quality attribute/parameter (Optional) Specifies the level of anti-aliasing to be used. Because anti-aliasing requires a
faster processor to smooth each frame of the SWF file before it is rendered on the viewer’s screen, select one of the
following values based on whether your priority is speed or appearance:
•Low Favors playback speed over appearance and never uses anti-aliasing.
•Autolow Emphasizes speed at first but improves appearance whenever possible. Playback begins with anti-aliasing
turned off. If Flash Player detects that the processor can handle it, anti-aliasing is turned on. Note: SWF files authored
using ActionScript 3.0 do not recognize the autolow value.
•Autohigh Initially emphasizes playback speed and appearance equally, but sacrifices appearance for playback
speed if necessary. Playback begins with anti-aliasing turned on. If the frame rate drops below the specified frame rate,
anti-aliasing is turned off to improve playback speed. Use this setting to emulate the Antialias command (View
>
Preview Mode
> Antialias).
•Medium Applies some anti-aliasing and does not smooth bitmaps. It produces a better quality than the Low setting
but a lower quality than the High setting.
•High Favors appearance over playback speed and always applies anti-aliasing. If the SWF file does not contain
animation, bitmaps are smoothed; if the SWF file has animation, bitmaps are not smoothed.
•Best Provides the best display quality and does not consider playback speed. All output is anti-aliased, and all
bitmaps are smoothed.
The default value for quality is high if this attribute is omitted.
Value: low | medium | high | autolow | autohigh | best

432
USING FLASH PROFESSIONAL
Publishing and Exporting
Last updated 1/16/2012
Template variable: $QU
bgcolor attribute/parameter (Optional) Specifies the background color of the application. Use this attribute to
override the background color setting that the SWF file specifies. This attribute does not affect the background color
of the HTML page.
Value: #RRGGBB (hexadecimal RGB value)
Template variable: $BG
scale attribute/parameter (Optional) Defines how the application is placed in the browser window when width and
height values are percentages.
•Showall (Default) Makes the entire content visible in the specified area without distortion while maintaining the
original aspect ratio of the application. Borders can appear on two sides of the application.
•Noborder Scales the content to fill the specified area, without distortion but possibly with some cropping, while
maintaining the original aspect ratio of the application.
•Exactfit Makes the entire content visible in the specified area without trying to preserve the original aspect ratio.
Distortion can occur.
The default value is showall if this attribute is omitted (and width and height values are percentages).
Value: showall | noborder | exactfit
Template variable: $SC
align attribute Specifies the align value for the object, embed, and img tags and determines how the SWF file is
positioned within the browser window.
•Default Centers the application in the browser window and crops edges if the browser window is smaller than the
application.
•L, R, and T Align the application along the left, right, or top edge, respectively, of the browser window and crop the
remaining three sides as needed.
Value: Default | L | R | T
Template variable: $HA
salign parameter (Optional) Specifies where a scaled SWF file is positioned in the area that the width and height
settings define.
•L, R, and T Align the application along the left, right, or top edge, respectively, of the browser window and crop the
remaining three sides as needed.
•TL and TR Align the application to the top-left and top-right corner, respectively, of the browser window and crop
the bottom and remaining right or left side as needed.
If this attribute is omitted, the content is centered in the browser window.
Value: L | R | T | B | TL | TR
Template variable: $SA
base attribute (Optional) Specifies the base directory or URL used to resolve all relative path statements in the SWF
file. This attribute is helpful when you keep SWF files in a different folder from your other files.
Value: base directory or URL

433
USING FLASH PROFESSIONAL
Publishing and Exporting
Last updated 1/16/2012
menu attribute or parameter (Optional) Specifies what type of menu appears when the viewer right-clicks (Windows)
or Command-clicks (Macintosh) the application area in the browser.
•true shows the full menu, which gives the user several options to enhance or control playback.
•false shows a menu that contains only the About Adobe Flash Player 6 option and the Settings option.
The default value is true if this attribute is omitted.
Value: true | false
Template variable: $ME
wmode attribute or parameter (Optional) Lets you use the transparent Flash Pro content, absolute positioning, and
layering capabilities available in Internet Explorer 4.0. For a list of browsers this attribute/parameter supports, see
“Publishing Flash documents” on page 405. The wmode paramater is also used for hardware acceleration in Flash
Player 9 and later.
•Window Plays the application in its own rectangular window on a web page. Window indicates that the Flash Pro
application has no interaction with HTML layers and is always the top-most item.
•Opaque Makes the application hide everything behind it on the page.
•Transparent Makes the background of the HTML page show through all the transparent portions of the
application and can slow animation performance.
•Opaque windowless and Transparent windowless Both interact with HTML layers, letting layers above the SWF
file block out the application. Transparent allows transparency so that HTML layers below the SWF file can be seen
through the background of the SWF file; opaque does not.
•Direct Level 1 - Direct mode hardware acceleration is turned on. The other window mode settings apply only when
hardware acceleration is turned off.
•GPU Level 2 - GPU mode hardware acceleration is turned on. The other window mode settings apply only when
hardware acceleration is turned off.
For more information about hardware acceleration, see “Specify publish settings for SWF files (CS5)” on page 410.
The default value is Window if this attribute is omitted. Applies to object only.
Value: Window | Opaque | Transparent | Direct | GPU
Template variable: $WM
allowscriptaccess attribute or parameter Use allowscriptaccess to let your Flash Pro application communicate
with the HTML page hosting it. The fscommand() and getURL() operations can cause JavaScript to use the
permissions of the HTML page, which can be different from the permissions of your Flash Pro application. This has
important implications for cross-domain security.
•always Permits scripting operations at all times.
•never Forbids all scripting operations.
•samedomain Permits scripting operations only if the Flash Pro application is from the same domain as the HTML
page.
The default value that all HTML publish templates use is samedomain.
Value: always | never | samedomain

434
USING FLASH PROFESSIONAL
Publishing and Exporting
Last updated 1/16/2012
SeamlessTabbing parameter (Optional) Lets you set the ActiveX control to perform seamless tabbing, so that the user
can tab out of a Flash Pro application. This parameter works only in Windows with the Flash Player ActiveX control,
version 7 and higher.
•true (or omitted) Sets the ActiveX control to perform seamless tabbing: After users tab through the Flash Pro
application, the next tab keypress moves the focus out of the Flash Pro application and into the surrounding HTML
content or to the browser status bar if nothing can have focus in the HTML following the Flash Pro application.
•false Sets the ActiveX control to behave as it did in version 6 and earlier: After users tab through the Flash Pro
application, the next tab keypress wraps the focus around to the beginning of the Flash Pro application. In this mode,
you cannot use the tab key to advance the focus past the Flash Pro application.
Value: true | false
Examples using object and embed tags
For object, four settings (height, width, classid, and codebase) are attributes that appear in the object tag; all
others are parameters that appear in separate, named param tags, as shown in the following example:
<object classid="clsid:d27cdb6e-ae6d-11cf-96b8-444553540000" width="100"
height="100"
codebase="http://fpdownload.adobe.com/pub/shockwave/cabs/flash/swflash.cab#version=9,0,0,0">
<param name="movie" value="moviename.swf">
<param name="play" value="true">
<param name="loop" value="true">
<param name="quality" value="high">
</object>
For the embed tag, all settings (such as height, width, quality, and loop) are attributes that appear between the angle
brackets of the opening embed tag, as shown in the following example:
<embed src="moviename.swf" width="100" height="100" play="true"
loop="true" quality="high"
pluginspage="http://www.adobe.com/shockwave/download/index.cgi?P1_Prod_Version=ShockwaveFlas
h">
</embed>
To use both tags, position the embed tag before the closing object tag, as shown in the following example:
<object classid="clsid:d27cdb6e-ae6d-11cf-96b8-444553540000" width="100"
height="100"
codebase="http://fpdownload.adobe.com/pub/shockwave/cabs/flash/swflash.cab#version=9,0,0,0">
<param name="movie" value="moviename.swf">
<param name="play" value="true">
<param name="loop" value="true">
<param name="quality" value="high">
<embed src="moviename.swf" width="100" height="100" play="true"
loop="true" quality="high"
pluginspage="http://www.adobe.com/shockwave/download/index.cgi?P1_Prod_Version=ShockwaveFlas
h">
</embed>
</object>
Note: If you use the object and embed tags, use identical values for each attribute or parameter to ensure consistent
playback across browsers. The swflash.cab#version=9,0,0,0 parameter is optional; only omit this parameter if you
don’t want to check for the version number.

435
USING FLASH PROFESSIONAL
Publishing and Exporting
Last updated 1/16/2012
Browsers that support windowless modes
For detailed information about web browser support for the WMODE attribute, see the table in TechNote 12701: Flash
OBJECT Tag Attributes.
Specify publish settings for Flash Player detection (CS5.5)
Flash Version Detection configures your document to detect the version of Flash Player that the user has and sends
the user to an alternative HTML page if the user does not have the targeted player. The alternative HTML page
contains a link to download the latest version of Flash Player
Flash Player detection is available only for publish settings set to Flash Player 4 or later, and for SWF files embedded
in the Flash Only or Flash HTTPS templates.
Note: Flash Player 5 and later are installed on 98% of Internet-connected computers, making Flash Player detection a
reasonable method to ensure that end users have the correct version of Flash Pro installed to view your content.
The following HTML templates do not support Flash Player detection because the JavaScript in these templates
conflicts with the JavaScript used to detect the Flash Player:
•Flash Pro for PocketPC 2003
•Flash Pro with AICC Tracking
•Flash Pro with FSCommand
•Flash Pro with Named Anchors
•Flash Pro with SCORM Tracking
Note: Image Map HTML template does not support Player detection because they do not embed the Flash Player.
1Select File > Publish Settings, and click the HTML Wrapper category in the left column.
2Select one of the Flash Only templates or the Flash HTTPS template from the Template pop-up menu. These
templates support the single-page HTML detection kit. Any of these templates enable the Detect Flash Version
check box and the version number text fields.
3Select the Detect Flash Version check box. Your SWF file is embedded in a web page that includes Flash Player
detection code. If the detection code finds an acceptable version of Flash Player installed on the end user’s
computer, the SWF file plays as designed.
4(Optional) To specify precise revisions of Flash Player, use the Major Revision and Minor Revision text fields. For
example, specify Flash Player version 10.1.2 if it provides a feature specific to displaying your SWF file.
When you publish your SWF file, Flash Pro creates a single HTML page in which to embed the SWF file and the Flash
Player detection code. If an end user does not have the version of Flash Pro you’ve specified to view the SWF file, an
HTML page appears with a link to download the latest version of Flash Player.
Specify publish settings for GIF files (CS5.5)
Use GIF files to export drawings and simple animations from Flash Pro for use in web pages. Standard GIF files are
compressed bitmaps.
An animated GIF file (sometimes referred to as a GIF89a) offers a simple way to export short animation sequences.
Flash Pro optimizes an animated GIF file, storing only frame-to-frame changes.

436
USING FLASH PROFESSIONAL
Publishing and Exporting
Last updated 1/16/2012
Flash Pro exports the first frame in the SWF file as a GIF file, unless you mark a different keyframe for export by
entering the #Static frame label in the Property inspector. Flash Pro exports all the frames in the current SWF file to
an animated GIF file unless you specify a range of frames for export by entering the #First and #Last frame labels in
the appropriate keyframes.
Flash Pro can generate an image map for a GIF file to maintain URL links for buttons in the original document. Use
the Property inspector to place the frame label #Map in the keyframe in which to create the image map. If you don’t
create a frame label, Flash Pro creates an image map using the buttons in the last frame of the SWF file. Create an image
map only if the $IM template variable is present in the template you select.
1Select File > Publish Settings, and click GIF Image in the left column of the dialog box.
2For the GIF filename, use the default filename or enter a new filename with the .gif extension.
3Select options for the GIF file:
Size Select Match Movie to make the GIF the same size as the SWF file and maintain the aspect ratio of your original
image or enter values for width and height in pixels for the exported bitmap image.
Playback Determines whether Flash Pro creates a still (Static) image or an animated GIF (Animation). If you select
Animation, select Loop Continuously or enter the number of repetitions.
4To specify additional appearance settings for the exported GIF file, expand the Colors section and select one of the
following options:
Optimize Colors Removes any unused colors from a GIF file’s color table. This option reduces the file size without
affecting image quality, but slightly increases the memory requirements. This option has no effect on an adaptive
palette. (An adaptive palette analyzes the colors in the image and creates a unique color table for the selected GIF file.)
Interlace Incrementally shows the exported GIF file in a browser as it downloads. Lets the user see basic graphic
content before the file completely downloads and can download the file faster over a slow network connection. Do not
interlace an animated GIF image.
Smooth Applies anti-aliasing to an exported bitmap to produce a higher-quality bitmap image and improve text
display quality. However, smoothing might cause a halo of gray pixels to appear around an anti-aliased image placed
on a colored background, and it increases the GIF file size. Export an image without smoothing if a halo appears or if
you’re placing a GIF transparency on a multicolored background.
Dither Solids Applies dithering to solid colors as well as gradients.
Remove Gradients (Default is off) Converts all gradient fills in the SWF file to solid colors using the first color in the
gradient. Gradients increase the size of a GIF file and are often poor quality. To prevent unexpected results, select the
first color of your gradients carefully if you use this option.
5To determine the transparency of the application’s background and the way alpha settings are converted to GIF,
select one of the following Transparent options:
Opaque Makes the background a solid color.
Transparent Makes the background transparent.
Alpha Sets partial transparency. Enter a Threshold value between 0 and 255. A lower value results in greater
transparency. A value of 128 corresponds to 50% transparency.
6To specify how pixels of available colors are combined to simulate colors not available in the current palette, select
a Dither option. Dithering can improve color quality, but it increases the file size.
None Turns off dithering and replaces colors not in the basic color table with the solid color from the table that most
closely approximates the specified color. Turning dithering off can result in smaller files but unsatisfactory colors.
Ordered Provides good-quality dithering with the smallest increase in file size.

437
USING FLASH PROFESSIONAL
Publishing and Exporting
Last updated 1/16/2012
Diffusion Provides the best-quality dithering but increases file size and processing time. Works only with the web 216-
color palette selected.
7To define the image’s color palette, select one of the following Palette types:
Web 216 Uses the standard 216-color, web-safe palette to create the GIF image, for good image quality and the fastest
processing on the server.
Adaptive Analyzes the colors in the image and creates a unique color table for the selected GIF file. Best for systems
displaying thousands or millions of colors; it creates the most accurate color for the image but increases file size. To
reduce the size of a GIF file with an adaptive palette, use the Max Colors option to decrease the number of colors in
the palette. To set the number of colors used in the GIF image, enter a value for Max Colors. A smaller number of colors
can produce a smaller file but can degrade the colors in the image
Web Snap Adaptive Is the same as the Adaptive palette option except it converts similar colors to the web 216-color
palette. The resulting color palette is optimized for the image, but when possible Flash Pro uses colors from the web
216-color palette. This produces better colors for the image when the web 216-color palette is active on a 256-color
system. To set the number of colors used in the GIF image, enter a value for Max Colors. A smaller number of colors
can produce a smaller file but can degrade the colors in the image
Custom Specifies a palette that you optimized for the selected image. The custom palette is processed at the same speed
as the web 216-color palette. To use this option, know how to create and use custom palettes. To select a custom palette,
click the Palette folder icon (the folder icon that appears at the end of the Palette text field), and select a palette file.
Flash Pro supports palettes saved in the ACT format that some graphics applications export.
More Help topics
“Create an image map to substitute for a SWF file” on page 454
“Using publish profiles (CS5)” on page 424
“Import and export color palettes” on page 133
Specify publish settings for JPEG files (CS5.5)
The JPEG format lets you publish a FLA file as a highly compressed, 24-bit bitmap. Generally, GIF format is better for
exporting line art, and JPEG format is better for images with continuous tones, such as photographs, gradients, or
embedded bitmaps.
Flash Pro exports the first frame in the SWF file as a JPEG, unless you mark a different keyframe for export by entering
the #Static frame label in the Timeline.
1Select File > Publish Settings, and select JPEG Image in the left column.
2For the JPEG filename, either use the default filename, or enter a new filename with the .jpg extension.
3Select options for the JPEG file:
Size Select Match Movie to make the JPEG image the same size as the Stage and maintain the aspect ratio of your
original image, or enter values for width and height in pixels for the exported bitmap image.
Quality Drag the slider or enter a value to control the amount of JPEG file compression. The lower the image quality,
the smaller the file size, and the reverse. To determine the best compromise between size and quality, try different
settings.
Note: To change the object’s compression setting, use the Bitmap Properties dialog box to set the bitmap export quality
per object. The default compression option in the Bitmap Properties dialog box applies the Publish Settings JPEG Quality
option.

438
USING FLASH PROFESSIONAL
Publishing and Exporting
Last updated 1/16/2012
Progressive Show Progressive JPEG images incrementally in a web browser, which makes images appear faster when
loading with a slow network connection. Similar to interlacing in GIF and PNG images.
4Click OK.
More Help topics
“Using publish profiles (CS5)” on page 424
“Set bitmap properties” on page 65
Specify publish settings for PNG files (CS5.5)
PNG is the only cross-platform bitmap format that supports transparency (an alpha channel). It is also the native file
format for Adobe® Fireworks®.
Flash Pro exports the first frame in the SWF file as a PNG file, unless you mark a different keyframe for export by
entering the #Static frame label in the Timeline.
1Select File > Publish Settings, and select PNG Image in the left column.
2For the PNG filename, either use the default filename, or enter a new filename with the .png extension.
3For Size, select Match Movie to make the PNG image the same size as the SWF file and maintain the aspect ratio of
your original image, or enter values for Width and Height in pixels for the exported bitmap.
4For Bit Depth, set the number of bits per pixel and colors to use in creating the image. The higher the bit depth, the
larger the file.
8-bit per channel (bpc) for a 256-color image
24-bit for thousands of colors
24 bit with Alpha for thousands of colors with transparency (32 bpc)
5To specify appearance settings for the exported PNG, select from the following options:
Optimize Colors Removes any unused colors from a PNG file’s color table, reducing the file size by 1000 to 1500 bytes
without affecting image quality but increasing the memory requirements slightly. Has no effect on an adaptive palette.
Interlace Incrementally shows the exported PNG in a browser as it downloads. Lets the user see basic graphic content
before the file completely downloads and might download the file faster over a slow network connection. Do not
interlace an animated PNG file.
Smooth Applies anti-aliasing to an exported bitmap to produce a higher-quality bitmap image and improve text
display quality. However, smoothing might cause a halo of gray pixels to appear around an anti-aliased image placed
on a colored background, and it increases the PNG file size. Export an image without smoothing if a halo appears or
if you’re placing a PNG transparency on a multicolored background.
Dither Solids Applies dithering to solid colors and gradients.
Remove Gradients (Default is off) Converts all gradient fills in the application to solid colors using the first color in
the gradient. Gradients increase the size of a PNG and are often poor quality. To prevent unexpected results, select the
first color of your gradients carefully if you use this option.
6If you selected 8-bpc for Bit Depth, select a Dither option to specify how pixels of available colors are mixed to
simulate colors not available in the current palette. Dithering can improve color quality, but it increases file size.
Select from the following options:
None Turns off dithering and replaces colors not in the basic color table with the solid color from the table that most
closely approximates the specified color. Turning dithering off can produce smaller files but unsatisfactory colors.

439
USING FLASH PROFESSIONAL
Publishing and Exporting
Last updated 1/16/2012
Ordered Provides good-quality dithering with the smallest increase in file size.
Diffusion Provides the best-quality dithering but increases file size and processing time. It also works only with the
Web 216-color palette selected.
7If you selected 8-bpc for Bit Depth, select one of the following Palette Types to define the color palette for the PNG
image:
Web 216 Uses the standard 216-color, web-safe palette to create the PNG image, for good image quality and the fastest
processing on the server.
Adaptive Analyzes the colors in the image and creates a unique color table for the selected PNG file. Best for systems
showing thousands or millions of colors; it creates the most accurate color for the image but results in a file size larger
than a PNG created with the web-safe 216-color palette.
Web Snap Adaptive Is the same as the Adaptive palette option except that it converts colors similar to the web-safe
216-color palette. The resulting color palette is optimized for the image, but when possible, Flash Pro uses colors from
the web-safe 216-color palette. This produces better colors for the image when the web-safe 216-color palette is active
on a 256-color system. To reduce the size of a PNG file with an adaptive palette, use the Max Colors option to decrease
the number of palette colors.
Custom Specifies a palette that you optimized for the selected image. The custom palette is processed at the same speed
as the web-safe 216-color palette. To use this option, know how to create and use custom palettes. To select a custom
palette, click the Palette folder icon (the folder icon that appears at the end of the Palette text field), and select a palette
file. Flash Pro supports palettes saved in the ACT format that leading graphics applications export.
8If you selected the Adaptive or Web Snap Adaptive palette, enter a value for Max Colors to set the number of colors
used in the PNG image. A smaller number of colors can produce a smaller file but might degrade the colors in the
image.
9To select a line-by-line filtering method to make the PNG file more compressible and experiment with the different
options for a particular image, select one of the following Filter Options:
None Turns off filtering.
Sub Transmits the difference between each byte and the value of the corresponding byte of the previous pixel.
Up Transmits the difference between each byte and the value of the corresponding byte of the pixel immediately
above.
Average Uses the average of the two neighboring pixels (left and above) to predict the value of a pixel.
Path Computes a simple linear function of the three neighboring pixels (left, above, upper left), and selects the
neighboring pixel closest to the computed value as a predictor of the color.
Adaptive Analyzes the colors in the image and creates a unique color table for the selected PNG file. Best for systems
showing thousands or millions of colors; it creates the most accurate color for the image but results in a file size larger
than a PNG created with the web 216-color palette. Reduce the size of a PNG created with an adaptive palette by
decreasing the number of colors in the palette.
More Help topics
“Using publish profiles (CS5)” on page 424
“Import and export color palettes” on page 133

440
USING FLASH PROFESSIONAL
Publishing and Exporting
Last updated 1/16/2012
Preview the publishing format and settings (CS5.5)
The Publish Preview command exports the file and opens the preview in the default browser. If you preview a
QuickTime video, Publish Preview starts the QuickTime video Player. If you preview a projector, Flash Pro starts the
projector.
❖Select File > Publish Preview, and select the file format to preview.
Using the current Publish Settings values, Flash Pro creates a file of the specified type in the same location as the FLA
file. This file remains in this location until you overwrite or delete it.
More Help topics
“Publishing overview” on page 405
Using publish profiles (CS5.5)
Publish profiles let you:
•Save a publish settings configuration, export it, and import the publish profile to other documents or for others to use.
•Import publish profiles to use in your document.
•Create profiles to publish in several media formats.
•Create a publish profile for in-house use that differs from the way you’d publish the files for a client.
•Create a standard publish profile for your company to ensure files are published uniformly.
Publish profiles are saved at the document rather than application level.
More Help topics
“Publishing overview” on page 405
Create a publish profile
1In the Publish Settings dialog box, click the Profile Options menu and choose Create Profile.
2Name the publish profile, and click OK.
3Specify the publish settings for your document, and click OK.
Duplicate, modify, or delete a publish profile
❖From the Profile pop-up menu in the Publish Settings dialog box (File > Publish Settings), select the publish profile
to use:
•To create a duplicate profile, click the Profile Options menu and choose Duplicate Profile. Enter the profile name
in the Duplicate Name text field, and click OK.
•To modify a publish profile, select it from the Profile menu, specify the new publish settings for your document,
and click OK.
•To delete a publish profile, click the Profile Options menu and choose Delete Profile. Then click OK.
Export a publish profile
1From the Profile pop-up menu in the Publish Settings dialog (File > Publish Settings), select the publish profile to
export.

441
USING FLASH PROFESSIONAL
Publishing and Exporting
Last updated 1/16/2012
2Click the Profile Options menu and choose Export Profile. Export the publish profile as an XML file for import into
other documents.
3Either accept the default location in which to save the publish profile or browse to a new location, and click Save.
Import a publish profile
Other users can create and export publish profiles, which you can import and select as a publish settings option.
1In the Publish Settings dialog box (File > Publish Settings), click the Profile Options menu and choose Import
Profile.
2Browse to the publish profile XML file, and click Open.
Publishing for Adobe AIR for desktop
About Adobe AIR
Adobe® AIR™ is a cross-operating system runtime that allows you to leverage your existing web development skills
(Adobe® Flash® Professional, Adobe® Flex™,Adobe® Flash Builder™ HTML, JavaScript®, Ajax) to build and deploy Rich
Internet Applications (RIAs) to the desktop. AIR enables you to work in familiar environments, to leverage the tools
and approaches you find most comfortable, and by supporting Flash, Flex, HTML, JavaScript, and Ajax, to build the
best possible experience that meets your needs.
Users interact with AIR applications in the same way that they interact with native desktop applications. The runtime
is installed once on the user's computer, and then AIR applications are installed and run just like any other desktop
application. The runtime provides a consistent cross-operating system platform and framework for deploying
applications and therefore eliminates cross-browser testing by ensuring consistent functionality and interactions
across desktops. Instead of developing for a specific operating system, you target the runtime.
AIR dramatically changes how applications can be created, deployed, and experienced. You gain more creative control
and can extend your Flash, Flex, HTML, and Ajax-based applications to the desktop, without learning traditional
desktop development technologies.
For information about hardware and software requirements for desktop and mobile AIR applications, see AIR system
requirements.
For complete information about developing Adobe AIR™ applications, see Building Adobe AIR Applications.
Videos, tutorials and other resources
The following video tutorials describe how to create AIR™ applications in Flash Pro:
•Video: Converting a Flash Project to AIR (8:32)
•Video: Building Adobe AIR applications with Flash CS3 (5:33)
•Video: Lynda.com Training for Developers – AIR Essential Training – Ch.5 Convert Flash content to AIR in Flash
CS3 (4:57)
•Video: Designing an AIR application (8:51)
•Video: Creating custom chrome for AIR apps with Flash (6:24)
•Blog/Video: One Application, Five Screens (Christian Cantrell, Adobe blogs)

442
USING FLASH PROFESSIONAL
Publishing and Exporting
Last updated 1/16/2012
•Article: Developing a Mobile Application with Flash (John Hattan, gamedev.net)
•TechNote: Overlaying AIR 2.7 SDK for Flash Professional CS5.5
Create an Adobe AIR file
You can create Adobe AIR Flash documents using the Flash Welcome screen, or the File > New command, or you can
create an ActionScript® 3.0 Flash File and convert it to an Adobe AIR file through the Publish Settings dialog box.
To create an Adobe AIR file, do one of the following:
•Start Flash. The Welcome screen appears. If you have already started Flash, close any open documents to return to
the Welcome screen. In the Welcome screen, select Adobe AIR 2 (CS5) or AIR (CS5.5).
Note: If you’ve disabled the Flash Welcome screen, you can display it again by selecting Edit > Preferences and
selecting Welcome Screen from the On Launch pop-up menu in the General category.
•Choose File > New and select Adobe AIR 2 (CS5) or AIR (CS5.5) and click OK.
•Open an existing Flash file and convert it to an AIR file by selecting Adobe AIR from the Player menu in the Flash
tab of the Publish Settings dialog box (File
> Publish Settings).
Note: (Flash CS5 only) If you save a Flash CS5 AIR file in Flash CS4 format, set the Player version to AIR 1.5 manually
in the Publish Settings dialog box when opening the file in Flash CS4. Flash CS4 only supports publishing to AIR 1.5.
Preview or publish an Adobe AIR application
You can preview a Flash AIR SWF file as it would appear in the AIR application window. Previewing is useful when
you want to see what the visible aspects of the application look like without packaging and installing the application.
1Make sure you’ve set the Player setting in the Flash tab of the Publish Settings dialog box to Adobe AIR.
2Select Control > Test Movie > Test or press Control+Enter.
If you have not set application settings through the AIR - Application And Installer Settings dialog box, Flash generates
a default application descriptor file (swfname-app.xml) for you in the same folder where the SWF file is written. If you
have set application settings using the AIR Application & Installer Settings dialog box, the application descriptor file
reflects those settings.
To publish an AIR file, do one of the following:
•Click the Publish button in the Publish Settings dialog box.
•Click the Publish button in the AIR Application & Installer Settings dialog box.
•Choose File > Publish.
•Choose File >Publish Preview.
When you Publish an AIR file, Flash Pro creates a SWF file and XML application descriptor file and packages copies
of both, along with any other files you have added to your application, into an AIR installer file (swfname.air).
Creating AIR application and installer files
After you’ve finished developing your application, specify the settings for the AIR application descriptor and installer
files required to deploy it. Flash Pro creates the descriptor and installer files along with the SWF file when you publish
an AIR file.

443
USING FLASH PROFESSIONAL
Publishing and Exporting
Last updated 1/16/2012
You specify the settings for these files in the AIR - Application & Installer Settings dialog box. Once you have created
an AIR file, this dialog box can be opened from either the document Property inspector or the Player menu Settings
button in the Flash tab of the Publish Settings dialog box.
Create the Adobe AIR application and installer files
1In Flash, open the FLA file or set of files that make up your Adobe AIR application.
2Save the Adobe AIR FLA file before you open the AIR Application & Installer Settings dialog box.
3Select File > AIR 2 Settings.
4Complete the AIR Application & Installer Settings dialog box, and then click Publish.
When you click the Publish button, the following files are packaged: the SWF file, the application descriptor file,
the application icon files, and the files listed in the Included Files text box. If you have not already created a digital
certificate, Flash displays the Digital Signature dialog box when you click the Publish button.
The AIR Application And Installer Settings dialog box is divided into 4 tabs: General, Signature, Icons, and Advanced.
For more information on these settings, see the following sections.
General settings
The General tab of the AIR Application And Installer Settings dialog box contains the following options:
Output file The name and location of the .air file to create when using the Publish command.
Windows Installer Select this option to compile a native, platform specific Windows installer (.exe) instead of a
platform-independent AIR installer (.air).
File Name The name of the main file of the application. Defaults to the name of the FLA file.
App Name
The name used by the AIR application installer to generate the application filename and the application
folder. The name must contain only valid characters for filenames or folder names. Defaults to the name of the SWF file.
Version Optional. Specifies a version number for your application. Defaults to 1.0.
App ID Identifies your application with a unique ID. You can change the default ID if you prefer. Do not use spaces or
special characters in the ID. The only valid characters are 0-9, a-z, A-Z, . (dot), and - (dash), from 1 to 212 characters
in length. Defaults to com.adobe.example.applicationName.
Description Optional. Lets you enter a description of the application to display in the installer window when the user
installs the application. Defaults to blank.
Copyright Optional. Lets you enter a copyright notice. Defaults to blank.
Window Style Specifies what window style (or chrome) to use for the user interface when the user runs the application
on their computer. You can specify System Chrome (the default), which refers to the standard window visual style that
the operating system uses. You can also specify Custom Chrome (opaque) or Custom Chrome (transparent). To
display your application without the system chrome, select None. System Chrome surrounds the application with the
operating-system standard window control. Custom Chrome (opaque) eliminates the standard system chrome and
lets you create a chrome of your own for the application. (You build the custom chrome directly in the FLA file.)
Custom Chrome (transparent) is like Custom Chrome (opaque), but it adds transparent capabilities to the edges of the
page. These capabilities allow for application windows that are not square or rectangular in shape.
Profiles Which profiles to include when building the AIR file. To limit your AIR application to a specific profile,
deselect the unneeded profiles. For more information about AIR profiles, see Application profiles.
Included Files Specifies which additional files and folders to include in your application package. Click the Plus (+)
button to add files, and the folder button to add folders. To delete a file or folder from your list, select the file or folder
and click the Minus (-) button.

444
USING FLASH PROFESSIONAL
Publishing and Exporting
Last updated 1/16/2012
By default, the application descriptor file and the main SWF file are automatically added to the package list. The
package list shows these files even if you have not yet published the Adobe AIR FLA file. The package list displays the
files and folders in a flat structure. Files in a folder are not listed, and full path names to files are shown but are
truncated if necessary.
Icon files are not included in the list. When Flash packages the files, it copies the icon files to a temporary folder that
is relative to the location of the SWF file. Flash deletes the folder after packaging is complete.
Signature settings
The Signature tab of the AIR Application & Installer Settings dialog box allows you to specify a code signing certificate
for your application.
For more information about digital signatures, see “Signing your application” on page 446 and Digitally signing an
AIR file.
Icons settings
The Icons tab of the AIR Application And Installer Settings dialog box lets you specify an icon for the application. The
icon is shown after you install the application and run it in the Adobe AIR runtime. You can specify four different sizes
for the icon (128, 48, 32, and 16 pixels) to allow for the different views in which the icon appears. For example, the icon
can appear in the file browser in thumbnail, detail, and tile views. It can also appear as a desktop icon and in the title
of the AIR application window, as well as in other places.
The icon image defaults to a sample AIR application icon if no other icon files are specified (Flash CS5 only).
To specify an icon, click an icon size at the top of the Icons tab and then navigate to the file you want to use for that
size. The files must be in PNG (Portable Network Graphics) format.
If you do specify an image, it must be the exact size (either 128x128, 48x48, 32x32, or 16x16). If you do not supply an
image for a particular icon size, Adobe AIR scales one of the supplied images to create the missing icon image.
Advanced settings
The Advanced tab allows you to specify additional settings for the application descriptor file.
You can specify any associated file types that your AIR application should handle. For example, if you wanted your
application to be the principal application for handling HTML files, you would specify that in the Associated File Types
text box.
You can also specify settings for the following aspects of the application:
•The size and placement of the initial window
•The folder in which the application is installed
•The Program menu folder in which to place the application.
The dialog box has the following options:
Associated file types Lets you specify associated file types that the AIR application will handle. Click the Plus (+)
button to add a new file type to the text box. Clicking the Plus button displays the File Type Settings dialog box.
Clicking the Minus (-) button removes an item that is selected in the text box. Clicking the Pencil button displays the
File Type Settings dialog box and allows you to edit an item that you’ve selected in the text box. By default, the Minus
(-) and Pencil buttons are dimmed. Selecting an item in the text box enables the Minus (-) and Pencil buttons, allowing
you to remove or edit the item. The default value in the text box is None.

445
USING FLASH PROFESSIONAL
Publishing and Exporting
Last updated 1/16/2012
Initial window settings Lets you specify size and placement settings for the initial application window.
•Width: Specifies the initial width of the window in pixels. The value is blank by default.
•Height: Specifies the initial height of the window in pixels. The value is blank by default.
•X: Specifies the initial horizontal position of the window in pixels. The value is blank by default.
•Y: Specifies the initial vertical position of the window in pixels. The value is blank by default.
•Maximum Width and Maximum Height: Specify the maximum size of the window in pixels. These values are blank
by default.
•Minimum Width and Minimum Height: Specify the minimum size of the window in pixels. These values are blank
by default.
•Maximizable: Lets you specify whether the user can maximize the window. This option is selected (or true) by
default.
•Minimizable: Lets you specify whether the user can minimize the window. This option is selected (or true) by
default.
•Resizable: Lets you specify whether the user can resize the window. If this option is not selected, Maximum Width,
Maximum Height, Minimum Width, and Minimum Height are dimmed. This option is selected (or true) by
default.
•Visible: Lets you specify whether the application window is visible initially. The option is selected (or true) by
default.
Other Settings Lets you specify the following additional information regarding the installation:
•Install Folder: Specifies the folder in which the application is installed.
•Program Menu Folder (Windows only): Specifies the name of the program menu folder for the application.
•Use Custom UI for Updates: Specifies what happens when a user opens an AIR installer file for an application that’s
already installed. By default, AIR displays a dialog box that allows the user to update the installed version with the
version in the AIR file. If you don’t want the user to make that decision and you want the application to have
complete control over its updates, select this option. Selecting this option overrides the default behavior and gives
the application control over its own updates.
File type settings
Flash displays the File Type Settings dialog box if you click the Plus (+) button or the Pencil button in the Associated
File Types section of the Advanced tab to add or edit associated file types for the AIR application.
The only two required fields in this dialog box are Name and Extension. If you click OK and either of those fields is
blank, Flash displays an error dialog box.
You can specify the following settings for an associated file type:
Name The name of the file type (for example, Hypertext Markup Language, Text File, or Example).
Extension The filename extension (for example, html, txt, or xmpl), up to 39 basic alphanumeric characters, (A-Za-
z0-9), and without a leading period.
Description Optional. A description of the file type (for example, Adobe Video File).
Content type Optional. Specifies the MIME type for the file.
File Type Icon Settings Optional. Lets you specify an icon that’s associated with the file type. You can specify four
different sizes for the icon (128x128, 48x48, 32x32, and 16x16 pixels) to allow for the different views in which the icon
appears. For example, the icon can appear in the file browser in thumbnail, detail, and tile views.

446
USING FLASH PROFESSIONAL
Publishing and Exporting
Last updated 1/16/2012
If you specify an image, it must be of the size that you specify. If you do not specify a file for a particular size, AIR uses
the image of the closest size and scales it to fit for the given occurrence.
To specify an icon, either click the folder for the icon size and select an icon file to use or enter the path and filename
for the icon file in the text box next to the prompt. The icon file must be in PNG format.
After a new file type is created, it is shown in the File Type list box in the Advanced Settings dialog box.
Failure to create application and installer files
The application and installer files fail to be created in the following instances:
•The application ID string has an incorrect length or contains invalid characters. The application ID string can be
from 1 to 212 characters and can include the following characters: 0-9, a-z, A-Z, . (dot), - (hyphen).
•Files in the Included Files list do not exist.
•The sizes of custom icon files are incorrect.
•The AIR destination folder does not have write access.
•You have not signed the application or have not specified that it is an Adobe AIRI application that will be signed
later.
Signing your application
All Adobe AIR applications must be signed to be installed on another system. Flash provides the ability, however, to
create unsigned Adobe AIR installer files so that the application can be signed later. These unsigned Adobe AIR
installer files are called an AIRI (AIR Intermediate) package. This capability provides for cases in which the certificate
is on a different machine or signing is handled separately from application development.
Sign an Adobe AIR application with a pre-purchased digital certificate from a root certificate authority
1Choose File > AIR 2 Settings and then click on the Signature tab.
This tab has two radio buttons that allow you to either sign your Adobe AIR application with a digital certificate or
prepare an AIRI package. If you sign your AIR application, you can either use a digital certificate granted by a root
certificate authority or create a self-signed certificate. A self-signed certificate is easy to create but is not as
trustworthy as a certificate granted by a root certificate authority.
2Select a certificate file from the pop-up menu or click the Browse button to locate a certificate file.
3Select the certificate.
4Enter a password.
5Click OK.
For more information on signing your AIR application, see Digitally signing an AIR file.
Create a self-signed digital certificate
1Click the Create button. The Self-Signed Digital Certificate dialog box opens.
2Complete the entries for Publisher Name, Organization Unit, Organization Name, Country, Password, and
Confirm Password. For Country, you can select from the menu or enter a 2-letter country code that does not appear
in the menu. For a list of valid country codes, see http://www.iso.org/iso/country_codes.
3Specify the type of certificate.
The Type option refers to the level of security that the certificate carries: 1024-RSA uses a 1024-bit key (less secure),
and 2048-RSA uses a 2048-bit key (more secure).

447
USING FLASH PROFESSIONAL
Publishing and Exporting
Last updated 1/16/2012
4Save the information in a certificate file by completing the Save As entry or clicking the Browse button to browse
to a folder location.
5Click OK.
6
In the Digital Signature dialog box, enter the password you assigned in the second step of this procedure and click OK.
To have Flash remember the password you used for this session, click Remember Password For This Session.
If the Timestamp option is unselected when you click OK, a dialog box warns that the application will fail to install
when the digital certificate expires. If you click Yes in response to the warning, time stamping is disabled. If you click
No, the Timestamp option is automatically selected and time stamping is enabled.
For more information on creating a self-signed digital certificate, see Digitally signing an AIR file.
You can also create an AIR Intermediate (AIRI) application without a digital signature. A user cannot install the
application on a desktop, however, until you add a digital signature.
Prepare an AIRI package that will be signed later
❖In the Signature tab, select Prepare An AIR Intermediate (AIRI) File That Will Be Signed Later, and click OK.
The digital signature status changes to indicate that you have chosen to prepare an AIRI package that will be signed
later, and the Set button changes to a Change button.
If you choose to sign the application later, you will need to use the command-line AIR Developer Tool included with
Flash Pro and with the AIR SDK. For more information, see Building Adobe AIR Applications.
Publishing AIR for Android applications
Beginning with Flash Professional CS5.5, you can publish content for Adobe® AIR™ for Android, a mobile device
operating system from Google.
This article describes configuring the AIR for Android publish settings in Flash Professional. For complete
information about developing Adobe AIR™ applications, see Building Adobe AIR Applications.
For information about hardware and software requirements for desktop and mobile AIR applications, see AIR system
requirements.
Videos and tutorials
The following video tutorials describe how to create AIR™ for Android applications in Flash Pro:
•Video: Flash Professional CS5.5 - Publishing an AIR for Android app (6:13, Adobe TV)
•Video: AIR for Android - Part 1: Set up your development environment (GotoAndLearn.com, 18:49)
•Video: AIR for Android - Part 2: Access the camera on an Android device (GotoAndLearn.com, 13:35)
•Video: AIR for Android GPU Acceleration (GotoAndLearn.com, 15:55)
•Blog/Video: One Application, Five Screens (Christian Cantrell, Adobe blogs)
•Article: Developing a Mobile Application with Flash (John Hattan, gamedev.net)
Create an Adobe AIR for Android file
You can create Adobe AIR for Android documents in Flash using the File > New command. You can also create an
ActionScript® 3.0 FLA file and convert it to an AIR for Android file through the Publish Settings dialog box.

448
USING FLASH PROFESSIONAL
Publishing and Exporting
Last updated 1/16/2012
To create an AIR for Android file, do one of the following:
•Choose AIR for Android from the Welcome screen or the New Document dialog box (File > New).
•Open an existing FLA file and convert it to an AIR for Android file. Select AIR for Android from the Player menu
in the Flash tab of the Publish Settings dialog box (File
> Publish Settings).
Preview or publish an AIR for Android application
You can preview a Flash AIR for Android SWF file as it would appear in the AIR application window. Previewing is
useful when you want to see what the visible aspects of the application look like without packaging and installing the
application.
1Make sure you’ve set the Player setting in the Publish Settings dialog box to AIR for Android.
2Select Control > Test Movie > Test or press Control+Enter.
If you have not set application settings through the Application & Installer Settings dialog box, Flash generates a
default application descriptor file (swfname-app.xml) for you. Flash creates the file in the same folder where the SWF
file is written. If you have set application settings using the Application & Installer Settings dialog box, the application
descriptor file reflects those settings.
To publish an AIR for Android file, do one of the following:
•Click the Publish button in the Publish Settings dialog box.
•Click the Publish button in the Application & Installer Settings dialog box.
•Choose File > Publish.
•Choose File >Publish Preview.
When you Publish an AIR file, Flash Pro creates a SWF file and XML application descriptor file. Then Flash packages
copies of both, along with any other files you have added to your application, into an AIR installer file (swfname.apk).
Creating AIR for Android applications
After you’ve finished developing your application, specify the settings for the AIR for Android application descriptor
and installer files required to deploy it. Flash Pro creates the descriptor and installer files along with the SWF file when
you publish an AIR for Android file.
You specify the settings for these files in the AIR for Android - Application & Installer Settings dialog box. Once you
have created an AIR for Android file, this dialog box can be opened from the document Property inspector. You can
also access it from the Player menu Settings button in the Flash tab of the Publish Settings dialog box.
Create the Adobe AIR application file
1In Flash, open the FLA file or set of files that make up your Adobe AIR application.
2Save the AIR for Android FLA file before you open the AIR Application & Installer Settings dialog box.
3Select File > AIR for Android Settings.
4Complete the AIR for Android Application & Installer Settings dialog box, and then click Publish.
When you click the Publish button, the following files are packaged:
•The SWF file
•The application descriptor file
•The application icon files

449
USING FLASH PROFESSIONAL
Publishing and Exporting
Last updated 1/16/2012
•The files listed in the Included Files text box
The AIR for Android Application and Installer Settings dialog box is divided into four tabs: General, Deployment,
Icons, and Permissions.
General settings
The General tab of the AIR for Android Application and Installer Settings dialog box contains the following options:
Output file The name and location of the AIR file to create when using the Publish command. The output filename
extension is APK.
App Name
The name used by the AIR application installer to generate the application filename and the application
folder. The name must contain only valid characters for filenames or folder names. Defaults to the name of the SWF file.
App ID Identifies your application with a unique ID. You can change the default ID if you prefer. Do not use spaces or
special characters in the ID. The only valid characters are 0-9, a-z, A-Z, and . (dot), from 1 to 212 characters in length.
Defaults to com.adobe.example.applicationName.
Version Optional. Specifies a version number for your application. Defaults to 1.0.
Version label Optional. A string to describe the version.
Aspect Ratio Allows you to select Portrait, Landscape, or Auto orientation for the application. When Auto is selected
along with Auto orientation, the application launches on the device depending on its current orientation.
Full Screen Sets the application to run in full screen mode. This setting is deselected by default.
Auto orientation Allows the application to switch from portrait to landscape mode, depending on the current
orientation of the device. This setting is deselected by default.
Included Files Specifies which additional files and folders to include in your application package. Click the Plus (+)
button to add files, and the folder button to add folders. To delete a file or folder from your list, select the file or folder
and click the Minus (-) button.
By default, the application descriptor file and the main SWF file are automatically added to the package list. The
package list shows these files even if you have not yet published the Adobe AIR FLA file. The package list displays the
files and folders in a flat structure. Files in a folder are not listed, and full paths to files are shown but are truncated if
necessary.
Icon files are not included in the list. When Flash packages the files, it copies the icon files to a temporary folder that
is relative to the location of the SWF file. Flash deletes the folder after packaging is complete.
Deployment settings
The Deployment tab of the AIR for Android Application and Installer Settings dialog box lets you specify the following
settings.
Certificate The digital certificate for the application. You can browse to a certificate or create a new one. For
information about creating a digital certificate, see “Signing your application” on page 446. Note certificates for
Android applications must have a validity period set to at least 25 years.
Password The password for the selected digital certificate.
Android deployment type The Device debugging deployment type allows you to do on-device debugging, including
setting breakpoints in Flash and remote debugging the application running on the Android device.
The Release setting allows you to create packages for the marketplace or any other distribution medium such as a
website.

450
USING FLASH PROFESSIONAL
Publishing and Exporting
Last updated 1/16/2012
After publish Allows you to specify whether to install the application on a currently connected Android device, and
whether to immediately launch the application after the installation.
Icons settings
The Icons tab of the AIR for Android Application And Installer Settings dialog box lets you specify an icon for the
Android application. The icon is shown after you install the application and run it in the AIR for Android runtime.
You can specify three different sizes for the icon (72, 48, and 36 pixels) to allow for the different views in which the
icon appears. The icons you choose for Android do not have to strictly adhere to these sizes.
To specify an icon, click an icon size in the Icons tab and then navigate to the file you want to use for that size. The files
must be in PNG (Portable Network Graphics) format.
If you do not supply an image for a particular icon size, Adobe AIR scales one of the supplied images to create the
missing icon image.
Permissions settings
The Permissions tab allows you to specify which services and data the application has access to on the device.
•To apply a permission, select its checkbox.
•To see a description of a permission, click the permission name. The description appears below the permission list.
•To manually manage permissions instead of using the dialog box, select “Manually manage permissions and
manifest additions in the application descriptor file”.
Packaging applications for AIR for iOS
Flash Professional includes support for publishing applications for AIR for iOS. AIR for iOS applications can run on
the Apple iPhone and iPad. When you publish for iOS, Flash converts your FLA files into native iPhone applications.
For information about hardware and software requirements for desktop and mobile AIR applications, see AIR system
requirements.
For detailed instructions about packaging Flash applications for the iPhone, see Building Adobe AIR Applications with
the Packager for iPhone
Videos and tutorials
•Video: Flash Professional CS5.5 - Publishing content to iOS devices (8:08, Adobe TV)
•Article: Developing for the Apple iPhone using Flash
•Adobe Labs: Applications for iPhone
•Blog/Video: One Application, Five Screens (Christian Cantrell, Adobe blogs)
•Article: Developing a Mobile Application with Flash (John Hattan, gamedev.net)
•Article: Compiling big Flash/AIR projects with lot of SWFs for iOS (Tom Krcha, flashrealtime.com)

451
USING FLASH PROFESSIONAL
Publishing and Exporting
Last updated 1/16/2012
HTML publishing templates
About HTML publishing templates
A Flash Pro HTML template is a file that contains static HTML code and flexible template code consisting of a special
type of variables (which differ from ActionScript variables). When you publish a SWF file, Flash Pro replaces these
variables with the values you select in the HTML tab of the Publish Settings dialog box and produces an HTML page
with your SWF file embedded.
Flash Pro includes templates, suitable for most users’ needs, that eliminate the need to manually create an HTML page
that displays the SWF file. For example, the Flash Only template is useful for testing your files in a browser. It places
the SWF file on the HTML page so that you can view it through a web browser with the Flash Player installed.
To publish a new HTML page, use the same template and change the settings. You can create custom templates using
any HTML editor. Creating a template is the same as creating a standard HTML page, except that you replace specific
values pertaining to a SWF file with variables that begin with a dollar sign ($).
Flash Pro HTML templates have the following special characteristics:
•A one-line title that appears on the Template pop-up menu on the HTML tab of the Publish Settings dialog box.
•A longer description that appears when you click Info on the HTML tab of the Publish Settings dialog box.
•Template variables beginning with a dollar sign ($) that specify where parameter values should be substituted when
Flash Pro generates the output file.
Note: Use a backslash and dollar sign (\$) combination to use a dollar sign for another purpose in the document.
•HTML object and embed tags that follow the tag requirements of Microsoft Internet Explorer and Netscape®
Communicator® or Navigator®, respectively. To display a SWF file properly on an HTML page, follow these tag
requirements. Internet Explorer uses the object HTML tag to open a SWF file; Netscape uses the embed tag.
More Help topics
“Examples using object and embed tags” on page 418
Customize HTML publishing templates
Modify HTML template variables to create an image map, a text report, or a URL report, or to insert custom values for
some of the most common Flash Pro HTML object and embed tag parameters (for browsers that use ActiveX controls
and plug-ins, respectively).
Flash Pro templates can include any HTML content for your application or even code for interpreters such as
ColdFusion and ASP.
1Using an HTML editor, open the Flash Pro HTML template to change. These templates are in the following
locations:
•Windows XP or Vista: boot drive:\Documents and Settings\user\Local Settings\Application Data\Adobe\Flash
CS5\language\Configuration\HTML\. The Application Data folder is usually a hidden folder; you might need to
change your Windows Explorer settings to see this folder.
•Mac OS X 10.3 and later: Macintosh HD/Applications/Adobe Flash CS5/language/First Run/HTML.
The boot drive is the drive from which the Windows operating system boots (usually C:). The user is the name of the
person logged in to the Windows operating system. The language is set to an abbreviated language name. For example,
in the US, language is set to “en” for English.

452
USING FLASH PROFESSIONAL
Publishing and Exporting
Last updated 1/16/2012
2Edit the template.
3Save the template in the same folder that you retrieved it from.
4To apply the template settings to your SWF file, select File > Publish Settings, click HTML, and select the template
you modified. Flash Pro changes only the template variables in the template selected.
5Select your remaining publish settings, and click OK.
More Help topics
“Publishing overview” on page 405
HTML template variables
The following table lists the template variables that Flash Pro recognizes:
Attribute/parameter Template variable
Template title $TT
Template description start $DS
Template description finish $DF
Flash
Pro (SWF file) title
$T1
Flash
Pro (SWF file) title for search engine metadata
$TL
Description for search engine metadata $DC
Metadata XML string for use with search engines $MD
Width $WI
Height $HE
Movie $MO
HTML alignment $HA
Looping $LO
Parameters for object $PO
Parameters for embed $PE
Play $PL
Quality $QU
Scale $SC
Salign $SA
Wmode $WM
Devicefont $DE
Bgcolor $BG
Movie text (area to write movie text) $MT
Movie URL (location of SWF file URL) $MU

453
USING FLASH PROFESSIONAL
Publishing and Exporting
Last updated 1/16/2012
Using shorthand template variables
The $PO (for object tags) and $PE (for embed tags) template variables are useful shorthand elements. Each variable
causes Flash Pro to insert into a template any nondefault values for some of the most common object and embed
parameters, including PLAY ($PL), QUALITY ($QU), SCALE ($SC), SALIGN ($SA), WMODE ($WM), DEVICEFONT ($DE), and
BGCOLOR ($BG).
Sample HTML template
The following Default.HTML template file in Flash Pro includes many of the commonly used template variables:
Image width (unspecified image type) $IW
Image height (unspecified image type) $IH
Image filename (unspecified image type) $IS
Image map name $IU
Image map tag location $IM
QuickTime width $QW
QuickTime height $QH
QuickTime filename $QN
GIF width $GW
GIF height $GH
GIF filename $GN
JPEG width $JW
JPEG height $JH
JPEG filename $JN
PNG width $PW
PNG height $PH
PNG filename $PN
Attribute/parameter Template variable

454
USING FLASH PROFESSIONAL
Publishing and Exporting
Last updated 1/16/2012
$TTFlash Only
$DS
Display Adobe SWF file in HTML.
$DF
<!DOCTYPE html PUBLIC "-//W3C//DTD XHTML 1.0 Transitional//EN"
"http://www.w3.org/TR/xhtml1/DTD/xhtml1-transitional.dtd">
<html xmlns="http://www.w3.org/1999/xhtml" xml:lang="en" lang="en">
<head>
$CS
<title>$TI</title>
</head>
<body bgcolor="$BG">
<!--url's used in the movie-->
$MU
<!--text used in the movie-->
$MT
<object classid="clsid:d27cdb6e-ae6d-11cf-96b8-444553540000"
codebase="http://fpdownload.adobe.com/pub/shockwave/cabs/flash/swflash.cab#version=7,0,0,0"
width="$WI" height="$HE" id="$TI" align="$HA">
<param name="allowScriptAccess" value="sameDomain" />
$PO
<embed $PEwidth="$WI" height="$HE" name="$TI" align="$HA" allowScriptAccess="sameDomain"
type="application/x-shockwave-flash" pluginspage="http://www.adobe.com/go/getflashplayer" />
</object>
</body>
</html>
More Help topics
“Specify publish settings for HTML wrapper files (CS5)” on page 412
Create an image map to substitute for a SWF file
Flash Pro can generate an image map to show any image and maintain the function of buttons that link to URLs. When
an HTML template includes the $IM template variable, Flash Pro inserts the image map code. The $IU variable
identifies the name of the GIF, JPEG, or PNG file.
1In your document, select the keyframe to use for the image map and label it #Map in the frame Property inspector
(Window
> Properties). Use any keyframe with buttons that have attached ActionScript 1.0 or 2.0 getURL actions.
If you don’t create a frame label, Flash Pro creates an image map using the buttons in the last frame of the SWF file.
This option generates an embedded image map, not an embedded SWF file.
2To select the frame to show the image map, do one of the following:
•For PNG or GIF files, label the frame to appear as #Static.
•For JPEG, during the publish operation, place the playhead on the frame to be used for display.
3In an HTML editor, open the HTML template you’ll modify.
4Save your template.
5Select File > Publish Settings, click Format, select a format for the image map, and click OK.
For example, insert the following code in a template:
$IM
<img src=$IS usemap=$IU width=$IW height=$IH BORDER=0>

455
USING FLASH PROFESSIONAL
Publishing and Exporting
Last updated 1/16/2012
This might produce the following code in the HTML document that the Publish command creates:
<map name="mymovie">
<area coords="130,116,214,182" href="http://www.adobe.com">
</map>
<img src="mymovie.gif" usemap="#mymovie" width=550 height=400 border=0>
Creating text and URL reports
The $MT template variable causes Flash Pro to insert all the text from the current SWF file as a comment in the HTML
code. This is useful for indexing the content of a SWF file and making it visible to search engines.
The $MU template variable makes Flash Pro generate a list of the URLs that actions in the current SWF file refer to and
insert the list at the current location as a comment. This action lets link verification tools detect and verify the links in
the SWF file.
Embedding search metadata
The $TL (SWF file title) and $DC (description metadata) template variables let you include search metadata in the
HTML. This ability can make the SWF file more visible to search engines, and provide meaningful search results. Use
the $MD template variable to include the search metadata as an XML string.
About exporting from Flash
Export SWF files
The Flash Export commands do not store export settings separately with each file, as does the Publish command. (To
create all the files you need to put Flash Pro content on the web, use the Publish command.)
Export Movie exports a Flash Pro document to a still-image format, creates a numbered image file for every frame in
the document, and exports the sound in a document to a WAV file (Windows only).
1Open the Flash Pro document to export, or select the frame or image to export in the current document.
2Select File > Export > Export Movie, or File > Export > Export Image.
3Enter a name for the output file.
4Select the file format and click Save. If the format you selected requires more information, an Export dialog box
appears.
5Set the export options for the format you selected. See “About export file formats” on page 455.
6Click OK, and then click Save.
More Help topics
“Publishing Flash documents” on page 405
“Creating multilanguage text” on page 289
About export file formats
Remember the following:
•If the format you selected requires more information, an Export dialog box appears.

456
USING FLASH PROFESSIONAL
Publishing and Exporting
Last updated 1/16/2012
•When you save a Flash Pro image as a bitmap GIF, JPEG, PICT (Macintosh), or BMP (Windows) file, the image
loses its vector information and is saved with pixel information only. You can edit images exported as bitmaps in
image editors such as Adobe® Photoshop®, but you can no longer edit them in vector-based drawing programs.
•When you export a Flash Pro file in the SWF format, text is encoded as Unicode, providing support for
international character sets, including double-byte fonts. Flash Pro Player 6 and later versions support Unicode
encoding.
Flash Pro content is exported as sequences and images are exported as individual files. PNG is the only cross-platform
bitmap format that supports transparency (as an alpha channel). Some non-bitmap export formats do not support
alpha (transparency) effects or mask layers.
The following table lists the formats that you can export Flash Pro content and images to:
Update SWF files for Dreamweaver
To add the content to your page, export SWF files directly to an Adobe® Dreamweaver® site. Dreamweaver generates
all the needed HTML code. You can start Flash Pro from Dreamweaver to update the content. In Dreamweaver, you
can update the Flash Pro document (FLA file) and re-export the updated content automatically.
For more information on working with Dreamweaver, see Using Dreamweaver in Dreamweaver Help.
1In Dreamweaver, open the HTML page that contains the Flash Pro content.
2Do one of the following:
•Select the Flash Pro content within the HTML page, and click Edit.
•In Design view, press Control (Windows) or Command (Macintosh), and double-click the Flash Pro content.
•In Design view, right-click (Windows) or Control-click (Macintosh) the Flash Pro content, and select Edit with
Flash.
•In Design view, in the Site panel, right-click (Windows) or Control-click (Macintosh) the Flash Pro content, and
select Open with Flash.
3If the FLA file for the exported file does not open, the Open File dialog box appears. Navigate to the FLA file, and
click Open.
4If the user used the Change Link Sitewide feature in Dreamweaver, a warning appears. To apply link changes to the
SWF file, click OK. To prevent the warning message from appearing when you update the SWF file, click Don’t
Warn Me Again.
File type Extension Windows Macintosh
“Animated GIF, GIF Sequence, and GIF Image” on page 458 .gif • •
“Bitmap (BMP) image” on page 459 .bmp •
“Flash document (SWF)” on page 459 .swf • •
“JPEG Sequence and JPEG Image” on page 458 .jpg • •
PICT Sequence and PICT Image (Macintosh) .pct •
“PNG Sequence and PNG Image” on page 458 .png • •
“Export QuickTime” on page 460 .mov • •
“WAV audio (Windows)” on page 461 .wav •
“Windows AVI (Windows)” on page 461 .avi •

457
USING FLASH PROFESSIONAL
Publishing and Exporting
Last updated 1/16/2012
5Update the FLA file as needed in Flash Pro.
6To save the FLA file and reexport it to Dreamweaver, do one of the following:
•To update the file and close Flash Pro, click the Done button above the upper-left corner of the Stage.
•To update the file and keep Flash Pro open, select File > Update for Dreamweaver.
Exporting
Exporting images and graphics
FXG graphic interchange format
About FXG files
The FXG format is a graphic interchange file format for the Flash Platform. FXG is based on a subset of MXML, the
XML-based programming language used by the Flex framework. The FXG format helps designers and developers
collaborate more efficiently by enabling them to exchange graphic content with high fidelity. Designers can create
graphics using Adobe design tools and export them into the FXG format. You can then use the FXG file in tools such
as Adobe Flash Builder and Adobe Flash Catalyst to develop rich Internet experiences and applications.
You can work with the FXG file format in the following Adobe applications:
•Fireworks CS5 (export)
•Photoshop CS5 (export)
•Illustrator (export)
•Flash Professional CS5 (import and export)
•Flash Catalyst (import and export)
•Flash Builder 4 (import and export)
When creating an FXG file, vector graphics are stored directly within the file. Elements for which there is no
corresponding tag in FXG are exported as bitmap graphics which are then referenced in the FXG file. These include
bitmaps, some filters, some blend modes, gradients, masks, and 3D. Some of these effects may be able to be exported
as FXG, but may not be able to imported by the application that opens the FXG file.
When you export a file containing vector and bitmap images using FXG export, a separate folder is created along with
the FXG file. This folder has the name <filename.assets> and contains the bitmap images associated with the FXG file.
For more information about the FXG file format, see the FXG 2.0 Specification.
FXG export constraints
Flash allows single or multiple selection of any objects on the stage for export to FXG. Object and layer names are
preserved when exporting to FXG format.
The following items are constrained when saving to an FXG file:
•Scale-9 grids: exported, but readable only by Adobe Illustrator.
•Sound and video: not exported.
•Components: not exported.

458
USING FLASH PROFESSIONAL
Publishing and Exporting
Last updated 1/16/2012
•Tweens and animation with multiple frames: not exported, but a selected frame will be exported as a static object.
•Embedded fonts: not exported.
•Button symbols: Flash exports only the Up state of buttons.
•3D properties: not exported.
•Inverse Kinematics (IK) properties: not exported.
•Text attributes: some attributes may not be exported.
Export Flash content in FXG format
In Flash, you can export content in FXG format in two ways:
•To export objects on the Stage as FXG, select the objects and choose Export > Export Selection. Then select FXG
format from the File Type menu.
•To save the entire Stage as FXG, choose Export > Export Image and select Adobe FXG from the File Type menu.
JPEG Sequence and JPEG Image
These options match the JPEG Publish Settings options with one exception: Match Screen matches the exported image
to the size of the Flash Pro content as it appears on your screen. Match Movie matches the JPEG image to the Flash
Pro content and maintains the aspect ratio of the original image.
More Help topics
“Specify publish settings for JPEG files (CS5)” on page 421
PNG Sequence and PNG Image
The PNG export settings options are similar to the PNG Publish Settings options (which you can apply as well), with
the following exceptions:
Dimensions Sets the size of the exported bitmap image to the number of pixels you enter in the Width and Height
fields.
Resolution Enter a resolution in dpi. To use the screen resolution and maintain the aspect ratio of your original image,
select Match Screen.
Colors The same as the Bit Depth option in the PNG Publish Settings tab and sets the number of bits per pixel to use
in creating the image. For a 256-color image, select 8-bit; for thousands of colors, select 24-bpc; for thousands of colors
with transparency (32 bpc) select 24-bpc with Alpha. The higher the bit depth, the larger the file.
Include Select to export the minimum image area or specify the full document size.
Filter Options match those in the PNG Publish Settings tab.
More Help topics
“Specify publish settings for PNG files (CS5)” on page 422
Animated GIF, GIF Sequence, and GIF Image
The settings are the same as those on the GIF tab in the Publish Settings dialog box, with the following exceptions:
Resolution Set in dots per inch (dpi). To use the screen resolution, enter a resolution or click Match Screen.
Include Export the minimum image area or the full document size.

459
USING FLASH PROFESSIONAL
Publishing and Exporting
Last updated 1/16/2012
Colors Set the number of colors that can be used to create the exported image. The color choices are: black and white,
4, 6, 16, 32, 64, 128, or 256 colors; or Standard Color (the standard 216-color, web-safe palette).
Animation Available for the Animated GIF export format only. Enter the number of repetitions, where 0 repeats
endlessly.
More Help topics
“Specify publish settings for Flash Player detection (CS5)” on page 419
Bitmap (BMP) image
Create bitmap images for use in other applications. The Export Bitmap dialog box has the following options:
Dimensions Sets the size of the exported bitmap image in pixels. The size you specify always has the same aspect ratio
as your original image.
Resolution Sets the resolution of the exported bitmap image in dots per inch (dpi) and automatically calculates width
and height based on the size of your drawing. To set the resolution to match your monitor, select Match Screen.
Color Depth Specifies the bit depth of the image. Some Windows applications do not support the newer 32-bit per
channel (bpc) depth for bitmap images; if you have problems using a 32-bpc format, use the 24-bpc format.
Smooth Applies anti-aliasing to the exported bitmap. Anti-aliasing produces a higher-quality bitmap image, but it can
create a halo of gray pixels around an image placed on a colored background. Deselect if a halo appears.
Flash document (SWF)
To place the Flash Pro content in another application, such as Dreamweaver, export the entire document as a SWF file.
Flash Pro exports the SWF file using the current settings from the Flash tab of the Publish Settings for the FLA file.
More Help topics
“Publishing Flash documents” on page 405
Exporting video and sound
About Video for Adobe Flash Player (FLV)
With Flash Pro, you can import or export video with encoded audio. Flash can import FLV video and export FLV or
QuickTime (MOV). Use video with communications applications, such as video conferencing or files that contain
screen-share encoded data exported from Adobe’s Flash Media Server.
When you export video clips from Flash in FLV format with streaming audio, the Streaming Sound dialog box settings
compress the audio.
Files in the FLV format are compressed with the Sorensen codec.
More Help topics
“Specify publish settings for SWF files (CS5)” on page 410
“Video formats and Flash” on page 311
Export a copy of an FLV file from the Library
1Right-click the FLV video clip in the Library panel.
2Choose Properties from the context menu.

460
USING FLASH PROFESSIONAL
Publishing and Exporting
Last updated 1/16/2012
3In the Video Properties dialog box, click Export.
4Enter a name for the exported file. Select a location to save it to, click Save, and click OK.
About QuickTime
Flash Pro provides two methods of exporting Flash Pro documents as QuickTime:
QuickTime export Exports a QuickTime file that can be distributed as streaming video, on a DVD, or used in a video
editing application such as Adobe® Premiere Pro®. QuickTime export is intended for users who want to distribute Flash
Pro content, such as animation, in the QuickTime video format.
Be aware that the performance of the computer used to export QuickTime video may affect the quality of the video. If
Flash is unable to export each frame, it will drop frames, resulting in poor video quality. If you encounter dropped
frames, try using a faster computer with more memory or reduce the frames per second of the Flash document.
Publish as QuickTime Creates an application with a Flash Pro track in the same QuickTime format installed on your
computer. This lets you combine the interactive features of Flash Pro with the multimedia and video features of
QuickTime in a single QuickTime 4 movie, which anyone with QuickTime 4 or later can view.
If you import a video clip (in any format) into a document as an embedded file, you can publish the document as a
QuickTime movie. If you import a video clip in QuickTime format into a document as a linked file, you can also
publish the document as a QuickTime movie.
Exports all layers in the Flash Pro document as a single Flash Pro track, unless the document contains an imported
QuickTime movie. The imported QuickTime movie remains in QuickTime format in the exported application.
Export QuickTime
1Select File > Export > Export Movie.
2Specify settings for the QuickTime movie to export. By default, QuickTime export creates a movie file using the
same dimensions as the source Flash document and exports the Flash document in its entirety. The Export
QuickTime Video dialog box contains the following options:
Dimensions The width and height in pixels for the frames of the QuickTime movie. You can specify only the width or
the height; the other dimension is automatically set to maintain the aspect ratio of your original document. To set both
the width and the height independently of each other, deselect Maintain Aspect Ratio.
Note: If the dimensions of the video are particularly large (for example, 740 x 480 pixels), you may need to change the
frame rate of the movie to avoid dropping frames.
Note: The Dimensions option you set in the QuickTime Export Settings dialog is for the width and height of the FLA file
exported as video. The dimensions you set in the QuickTime Settings dialog specify the size of the exported QuickTime
movie. If you do not change the size in the later dialog, it remains as “current” so you do not need to change it.
Ignore stage color Creates an alpha channel using the stage color. The alpha channel is encoded as a transparent track,
letting you overlay the exported QuickTime movie on top of other content to alter the background color or scene.
To create a QuickTime video with an alpha channel, you must select a video Compression Type that supports 32-bit
encoding with an alpha channel. Codecs that support this are Animation, PNG, Planar RGB, JPEG 2000, TIFF, or
TGA. You must also select Million of Color+ from the Compressor/Depth setting. To set the compression type and
color depth, click the Settings button in the Video category of the Movie Settings dialog box.
When last frame is reached Exports the entire Flash document as a movie file.
After time has elapsed The duration of the Flash document to export in hours:minutes:seconds:milliseconds.
QuickTime Settings Opens the advanced QuickTime settings dialog box. The Advanced settings let you specify
custom QuickTime settings. In general, use the default QuickTime settings, as they provide optimal playback

461
USING FLASH PROFESSIONAL
Publishing and Exporting
Last updated 1/16/2012
performance for most applications. To modify the QuickTime settings, see the documentation provided with Apple
QuickTime Pro for information on the available video parameters.
3Click export.
The following video tutorials demonstrate exporting QuickTime video from Flash Pro. Some videos may show the
Flash Pro CS3 or CS4 interface, but are still applicable to Flash Pro CS5.
•Exporting QuickTime files (4:42)
•Flash plays well with others - Part 1: QuickTime (12:45) Tonyteach.com. This video goes a little slowly, but is worth it.
Windows AVI (Windows)
Exports a document as a Windows video but discards any interactivity. Good for opening a Flash Pro animation in a
video-editing application. Because AVI is a bitmap-based format, documents that contain long or high-resolution
animations can quickly become very large.
The Export Windows AVI dialog box has the following options:
Dimensions Specifies a width and height, in pixels, for the frames of an AVI movie. Specify only the width or the
height; the other dimension is automatically set to maintain the aspect ratio of your original document. To set both
the width and the height, deselect Maintain Aspect Ratio.
Video Format Selects a color depth. Some applications do not yet support the Windows 32-bpc image format. If this
format presents problems, use the older 24-bpc format.
Compress Video Select standard AVI compression options.
Smooth Applies anti-aliasing to the exported AVI movie. Anti-aliasing produces a higher-quality bitmap image, but
it can cause a halo of gray pixels to appear around images when placed over a colored background. Deselect if a halo
appears.
Sound Format Set the sample rate and size of the sound track, and whether to export in mono or stereo. The smaller
the sample rate and size, the smaller the exported file, with a possible trade-off in sound quality.
More Help topics
“About compressing sounds for export” on page 304
WAV audio (Windows)
Exports only the sound file of the current document to a single WAV file. You can specify the sound format of the new
file.
To determine the sampling frequency, bit rate, and stereo or mono setting of the exported sound, select Sound Format.
To exclude events sounds from the exported file, select Ignore Event Sounds.

462
Last updated 1/16/2012
Chapter 15: Best practices
Best practices - Structuring FLA files
Organizing timelines and the library
Frames and layers on a timeline show you where assets are placed and determine how your document works. How a
timeline and the library are set up and used affect the entire FLA file and its overall usability. The following guidelines
help you author content efficiently, and let other authors who use your FLA documents have a greater understanding
of how the document is structured.
•Give each layer an intuitive layer name, and place related assets together in the same location. Avoid using the
default layer names (such as Layer 1, Layer 2).
Clearly describe the purpose or content of each layer or folder when you name them.
If applicable, place your layers that include ActionScript and a layer for frame labels at the top of the layer stack in
the timeline. For example, name the layer that contains your ActionScript actions.
•Use layer folders to group and organize similar layers, to facilitate locating the layers that include code and labels.
•Lock layers that you are not using or do not want to modify. Lock your ActionScript layer immediately so that
symbol instances or media assets are not placed on that layer.
•Never put any instances or assets on a layer that includes ActionScript. Because this can potentially cause conflicts
between assets on the Stage and ActionScript that references them, keep all of your code on its own actions layer,
and lock it after you create it.
•Use frame labels in a FLA file instead of using frame numbers in your ActionScript code if you reference frames in
your code. If those frames change later when you edit the timeline, and you use frame labels and move them on the
timeline, you do not have to change any references in your code.
•Use library folders.
Use folders in the library to organize similar elements (such as symbols and media assets) in a FLA file. If you name
library folders consistently each time you create a file, it is easier to remember where you put assets. Commonly
used folder names are Buttons, MovieClips, Graphics, Assets, Components, and, sometimes, Classes.
Using scenes
Using scenes is similar to using several SWF files to create a larger presentation. Each scene has a timeline. When the
playhead reaches the final frame of a scene, the playhead progresses to the next scene. When you publish a SWF file,
the timeline of each scene combines into a single timeline in the SWF file. After the SWF file compiles, it behaves as if
you created the FLA file using one scene. Because of this behavior, avoid using scenes for the following reasons:
•Scenes can make documents confusing to edit, particularly in multiauthor environments. Anyone using the FLA
document might have to search several scenes within a FLA file to locate code and assets. Consider loading content
or using movie clips instead.
•Scenes often result in large SWF files.

463
USING FLASH PROFESSIONAL
Best practices
Last updated 1/16/2012
•Scenes force users to progressively download the entire SWF file, instead of loading the assets they actually want to
see or use. If you avoid scenes, the user can control what content they download as they progress through your SWF
file. The user has more control over how much content they download, which is better for bandwidth management.
One drawback is the requirement for managing a greater number of FLA documents.
•Scenes combined with ActionScript might produce unexpected results. Because each scene timeline is compressed
onto a single timeline, you might encounter errors involving your ActionScript and scenes, which typically requires
extra, complicated debugging.
If you create lengthy animations, you might find it advantageous to use scenes. If disadvantages apply to your
document, consider using multiple FLA files, or movie clips to build an animation instead of using scenes.
Saving files and version control
When you save your FLA files, use a consistent naming scheme for your documents. This is particularly important if
you save multiple versions of a single project.
Some problems might occur if you only work with one FLA file and do not save versions when you create the file. Files
might become larger because of the history that’s saved in the FLA file, or become corrupt (as with any software you
use) while you are working on the file.
If you save multiple versions while developing, you have an earlier version available if you need to revert.
Use intuitive names for your files that are easy to read, not cryptic, and work well online:
•Do not use spaces, capitalization, or special characters.
•Only use letters, numbers, dashes, and underscores.
•If you save multiple versions of the same file, devise a consistent numbering system such as menu01.swf,
menu02.swf and so on.
•Consider using all lowercase characters in your naming schemes, because some server software is case sensitive.
•Consider a naming system that uses a noun-verb or adjective-noun combination for naming files, for instance,
classplanning.swf and myproject.swf.
Use the following methods to save new versions of a FLA file when you build an extensive project:
•Select File > Save As, and save a new version of your document.
•Use version control software or the Project panel to control your Flash Pro documents.
If you are not using version control software to create backups of your FLA file, use Save As and type a new file
name for your document after every milestone in your project.
Many software packages allow users to use version control with their files, which enables teams to work efficiently
and reduce errors (such as overwriting files or working on old versions of a document). As with other documents,
you can use these programs to organize the Flash Pro documents outside Flash Pro.

464
USING FLASH PROFESSIONAL
Best practices
Last updated 1/16/2012
Best practices - Organizing ActionScript in an
application
Keeping actions together
Whenever possible, put your ActionScript® in a single location. Organizing your code in one place helps you edit
projects more efficiently, because you can avoid searching in different places when you debug or modify the
ActionScript. If you put code in a FLA file, put ActionScript on Frame 1 or Frame 2 in a layer called actions on the
topmost layer in the Timeline. Alternatively, you might put all of your code in ActionScript files. Some Flash Pro
applications do not always put all code in a single place (in particular, ActionScript 2.0-based applications that use
screens or behaviors).
You can usually put all your code in the same location (on a frame, or in ActionScript files), with the following
advantages:
•Code is easy to find in a potentially complex source file.
•Code is easy to debug.
More Help topics
“Attaching code to objects” on page 464
“Best practices - Behaviors conventions” on page 465
“Using the MVC design pattern” on page 471
“Organizing files and storing code” on page 471
Attaching code to objects
Avoid attaching ActionScript to objects in a FLA file, even in simple SWF files. (Only ActionScript 1.0 and 2.0. can be
attached to objects; ActionScript 3.0 cannot.) Attaching code to an object means that you select a movie clip,
component, or button instance; open the Actions panel; and add ActionScript using the on() or onClipEvent()
handler functions.
Attaching ActionScript code to objects is strongly discouraged for the following reasons:
•It is difficult to locate, and the FLA files are difficult to edit.
•It is difficult to debug.
•ActionScript that is written on the timeline or in classes is more elegant and easier to build upon.
•It encourages poor coding style.
•The contrast between two styles of coding can be confusing to people learning ActionScript; it forces students and
readers to learn different coding styles, additional syntax, and a poor and limited coding style.
Avoid attaching ActionScript 2.0 to a button called myButton_btn, which looks like the following:
on (release) {
//do something
}
However, placing ActionScript 2.0 with the same purpose on the timeline (which is encouraged), looks like the
following code:

465
USING FLASH PROFESSIONAL
Best practices
Last updated 1/16/2012
myButton_btn.onRelease = function() {
//do something
};
Note: Different practices apply when using behaviors, which sometimes involves attaching code to objects.
More Help topics
“Comparing timeline code with object code” on page 465
Best practices - Behaviors conventions
About behaviors conventions
Behaviors are prewritten ActionScript 2.0 code that you can add to parts of a FLA file. Many developers enter
ActionScript code either into one or several frames on the main Timeline or in external ActionScript files. However,
when you use behaviors, sometimes code is placed directly on symbol instances (such as buttons, movie clips, or
components) instead of being placed on the timeline.
Behaviors are not supported by ActionScript 3.0.
Comparing timeline code with object code
To avoid problems that decentralized ActionScript 2.0 code creates, carefully plan a document that uses behaviors.
Many developers do not place ActionScript on symbol instances, and instead place their code on the Timeline
(timeline code) or in classes. Because behaviors add code to many locations in a FLA file, your ActionScript is not
centralized and can be difficult to locate. When code is not centralized, it is difficult to understand interactions
between the snippets of code, and it is impossible to write elegant code. Decentralized code can potentially lead to
problems debugging code or editing files.
If you use behaviors, try the following features to facilitate working with behaviors and decentralized ActionScript:
Script Navigator Makes your timeline code or code on individual objects easy to find and edit in the Actions panel.
Find And Replace Lets you search for strings and replace them in a FLA file.
Script Pinning Lets you pin multiple scripts from various objects and work with them simultaneously in the Actions
panel. This method works best with the Script navigator.
Movie Explorer Lets you view and organize the contents of a FLA file, and select elements (including scripts) for
further modification.
When to use behaviors
The main difference between a FLA file with behaviors and a FLA file without behaviors is the workflow you must use
for editing the project. If you use behaviors, you must select each instance on the Stage, or select the Stage, and open
the Actions or Behaviors panel to make modifications. If you write your own ActionScript and put all your code on
the main Timeline, you only have to make your changes on the Timeline.
If you have a FLA file with symbols, you can select one of the instances on the Stage, and use the Add menu on the
Behaviors panel to add a behavior to that instance. The behavior you select automatically adds code that attaches to
the instance, using “object code” such as the on() handler. You can also select a frame on a timeline, and add different
behaviors to a frame using the Behaviors panel.

466
USING FLASH PROFESSIONAL
Best practices
Last updated 1/16/2012
Decide how to structure your FLA file. Examine how and where to use behaviors and ActionScript in your FLA file.
Consider the following questions:
•What code do the behaviors contain?
•Do you have to modify the behavior code? If so, by how much? To modify the behavior code to any extent, do not
use behaviors. You usually cannot edit behaviors by using the Behaviors panel if you make modifications to the
ActionScript. To significantly edit the behaviors in the Actions panel, it is usually easier to write all of the
ActionScript yourself in a centralized location.
•What other ActionScript do you need, and does other ActionScript have to interact with the behavior code?
Debugging and modifications are easier to make from a central location. For example, if code on a timeline interacts
with behaviors placed on objects, avoid behaviors.
•How many behaviors do you have to use, and where do you plan to put them in the FLA file? If your behaviors are
all placed on a timeline, they might work well in your document. Or, your workflow might not be affected if you
use only a small number of behaviors. However, if you use many behaviors on a lot of object instances, writing your
own code on the Timeline or in external ActionScript files might be more efficient.
Remember, ActionScript 3.0 does not support behaviors.
Using behaviors consistently
Use behaviors consistently throughout a document when they are your main or only source of ActionScript. Use
behaviors when you have little or no additional code in the FLA file, or have a consistent system in place for managing
the behaviors that you use.
If you add ActionScript to a FLA file, put code in the same locations where behaviors are added, and document how
and where you add code.
For example, if you place code on instances on the Stage (object code), on the main Timeline (frame scripts), and also
in external AS files, examine your file structure. Your project will be difficult to manage if you have code in all of these
places. However, if you logically use behaviors and structure your code to work in a particular way surrounding those
behaviors (place everything on object instances), at least your workflow is consistent. The document will be easier to
modify later.
Sharing files that use behaviors
If you plan to share your FLA file with other users and you use ActionScript placed on or inside objects (such as movie
clips), it can be difficult for those users to find your code’s location, even when they use the Movie Explorer to search
through the document.
Document the use of behaviors if you are working with a complex document. Depending on the size of the application,
create a flow chart, list, or use good documentation comments in a central location on the main Timeline.
If you are creating a FLA file with code placed in many locations throughout the document and plan to share the file,
leave a comment on Frame 1 on the main Timeline to tell users where to find the code and how the file is structured.
The following example shows a comment (on Frame 1) that tells users the location of the ActionScript:
/*
ActionScript placed on component instances and inside movie clips using behaviors.
Use the Movie Explorer to locate ActionScript
*/
Note: This technique is not necessary if your code is easy to find, the document is not shared, or all of your code is placed
on frames of the main Timeline.

467
USING FLASH PROFESSIONAL
Best practices
Last updated 1/16/2012
Best practices - Video conventions
About video conventions
Many options are available to edit video before you import it into a FLA document, or load an FLV file into a SWF file.
Flash Pro and Adobe Media Encoder have greater controls for video compression. Compressing video carefully is
important because it controls the quality of the video footage and the size of the file. Video files, even when
compressed, are large in comparison with most other assets in your SWF file.
Note: Provide the user with control over the media in a SWF file. For example, if you add audio to a document with video
(or even a looping background sound), let the user control the sound.
Using video in an application
Before you import video into Flash Pro, consider what video quality you need, what video format to use with the FLA
file, and how to download it. When you import video into a FLA file (called embedded video), it increases the size of
the SWF file that you publish. This video starts progressively downloading to the user’s computer whether or not they
view the video.
You can also progressively download or stream the video at runtime from an external FLV file on your server. When
it starts downloading depends on how you structure your application.
Note: Video progressively downloads from the server like SWF files, which is not actually streaming. Dynamically loading
content has distinct advantages over keeping all your content in a single SWF file. For example, you will have smaller files
and quicker loading, and the user only downloads what they want to see or use in your application.
You can display external FLV video using a component or a video object. A component makes developing applications
with FLV video easy, because the video controls are prebuilt, and you only need to specify an FLV file path to play the
content. To keep your SWF file as small as possible, display video in a video object and create your own assets and code
to control the video. Also consider using the FLVPlayback component in Adobe®
Flash® Professional CS5, which has
a smaller file size than Media components (Flash MX Professional 2004 and later).
It is a good idea to give users some control (such as the ability to stop, pause, play, and resume the video, and control
volume) over the video in a SWF file.
To gain certain kinds of flexibility over your video, such as manipulating the video with animation, or syncing various
parts of it with the timeline, embed the video in the SWF file rather than loading it using ActionScript or one of the
Media components.
For more control over a video instance than the Video class allows, place video inside a movie clip instance. The video’s
timeline plays independently from a Flash Pro timeline, and you can place the content inside a movie clip to control
timelines. You do not have to extend your main Timeline by many frames to accommodate for the video, which can
make working with your FLA file difficult.
More Help topics
“Video” on page 309

468
USING FLASH PROFESSIONAL
Best practices
Last updated 1/16/2012
Troubleshooting video
You can create an application and then encounter problems after you upload it to your server.
•Check that your Flash Player version is correct.
For example, if you encoded your files using On2 codec, you need Flash Player 8 or later installed for the browsers
you use to view your Flash Pro content.
Note: For Flash Player and FLV compatibility, see About Using FLV Video in Learning ActionScript 2.0 in Adobe
Flash.
•Check that your server supports the mime type for the video files you are using, FLV or F4V. For more information
on video files on a server, see Configuring your server for FLV files in Learning ActionScript 2.0 in Adobe Flash.
•Check security guidelines.
If you load FLV files from another server, make sure that you have the proper files or code in place to load from
that external server. For information on policy files, see Server-side policy files for permitting access to data in
Learning ActionScript 2.0 in Adobe Flash. For information about loading and security, see Understanding security
in Learning ActionScript 2.0 in Adobe Flash.
•Check your target paths to your video are correct. If you use relative paths (such as /video/water.flv), try using
absolute paths (such as http://www.helpexamples.com/flash/video/water.flv). If your application doesn’t work as a
relative path, but does work as an absolute path, correct the relative path.
•Check that the version of Flash Player you specified in the Publish Settings supports the type of video files you are
using, either FLV or F4V (H.264).
Best practices - SWF application authoring guidelines
About SWF application guidelines
The best way to create Flash Pro applications depends on the application you create and the technology that you are
using to build the application.
An online application lets a user influence a website by interacting with it. For example, the application might collect
information from the user (such as a username and password for a registration), information might be added to the
site (such as in a forum), or the user might interact in real time with other site visitors (such as a chat room or
interactive white board). Results from the server often appear in the SWF file, depending on the interaction. These
examples are applications that involve the user and different kinds of server interaction. A website that does not use
visitor information or data is not an application (for example, a portfolio, cartoon animation, or static informational
site). Flash Pro applications involve an interactive process between the user, a web application, and a server. The basic
process is as follows:
1A user enters information into a SWF file.
2The information is converted into data.
3The data is formatted and sent to a web server.
4The data is collected by the web server and sent to an application server (for example, ColdFusion, PHP, or ASP).
5The data is processed and sent back to the web server.
6The web server sends the results to the SWF file.
7The SWF file receives the formatted data.

469
USING FLASH PROFESSIONAL
Best practices
Last updated 1/16/2012
8Your ActionScript processes the data so the application can use it.
When you build an application, you must select a protocol for transferring data. The protocol alerts the application
when data is sent or received, in what format the data is transferred, and how it handles a server’s response. After data
is received in the SWF file, it must be manipulated and formatted. If you use a protocol, you do not have to worry about
data being in an unexpected format. When you transfer data using name-value pairs, you can check how the data is
formatted. Check that the data is formatted correctly, so you do not receive XML formatted data and so the SWF file
knows what data to expect and work with.
Collecting and formatting data
Applications depend on user interaction with the SWF file. Frequently, it depends on the user entering data into forms.
Flash Pro provides many ways you can enter and format data in Flash Pro applications. This flexibility exists because
of the capabilities you have with animation and creative control over the interface, and error checking and validation
you can perform using ActionScript.
Benefits from using Flash Pro to build forms to collect data include the following:
•Increased design control.
•Decreased or no need for page refreshing.
•Reuse of common assets.
To save information that you collect from the user, save it in a shared object on the user’s computer. Shared objects
let you store data on a user’s computer, which is similar to using a cookie. For more information on Shared objects,
see the sharedObject class in ActionScript 2.0 Language Reference or ActionScript 3.0 Language and Components
Reference.
Sending and processing data
You must typically process information before you send it to the server, so it’s formatted in a way that the server
understands. When the server receives the data, it can be manipulated in any number of ways and sent back to the SWF
file in a format that it can accept, which can range from name-value pairs to complex objects.
Note: Your application server must have the MIME type of its output set to application/x-www-urlform-encoded.
If that MIME type is missing, the result is usually unusable when it reaches Flash Pro.
The following table shows you several options for sending data to a server and receiving data using Flash Pro:
Send data Description
LoadVars.send and LoadVars.sendAndLoad Sends name-value pairs to a server-side script for processing. LoadVars.send
sends variables to a remote script and ignores any response.
LoadVar.sendAndLoad sends name-value pairs to a server and loads or parses
the response into a target LoadVars object.
XML.send and XML.sendAndLoad Similar to LoadVars, but XML.send and XML.sendAndLoad send XML packets
instead of name-value pairs.

470
USING FLASH PROFESSIONAL
Best practices
Last updated 1/16/2012
Adding data loading and validation
Validate any information you retrieve before you send that data to a server. This reduces strain on the remote server,
because it does not handle as many requests when users do not fill in required fields. Never rely solely on client-side
validation in any application; server-side validation must also occur.
Even if you build a simple registration or login form, check that the user has entered their name and password. Perform
this validation before sending the request to the remote server-side script and waiting for a result. Do not rely only on
server-side validation. If a user enters only a username, the server-side script must receive the request, validate the data
being sent, and return an error message to the Flash Pro application, stating that it requires both the username and
password. Likewise, if validation is performed only on the client side (within the SWF file), a user might hack the SWF
file, bypass the validation, and send data to your server in an attempt to post the bad data.
Client-side validation can be as simple as making sure that a form field is at least one character long, or that the user
entered a numeric value and not a string. To validate an e-mail address, for example, check that the text field in Flash
Pro isn’t empty and contains at least the at sign (@) and dot (.) characters. For the server-side validation, add more
complex validation and check that the e-mail address belongs to a valid domain.
You must write ActionScript to handle the data that loads into the SWF file from the server. After you finish loading
data into a SWF file, the data can be accessed from that location. Use ActionScript to check whether the data is fully
loaded. You can use callback functions or listeners to send a signal that the data is loaded into the document.
When you load data, it can be formatted in several ways:
•You might load XML, in which case you use the XML class methods and properties to parse the data and use it. If
you use name-value pairs, the pairs turn into variables and you can manipulate them as variables.
•You might receive data from a web service or from Flash Remoting.
In both cases, you could receive complex data structures, such as arrays, objects, or record sets, which you must parse
and bind appropriately.
Using error handling and debugging
Your application needs to be robust enough to anticipate certain errors and handle them accordingly.
getURL Using the getURL() function or MovieClip.getURL method, you can send
variables from Flash Pro to a frame or pop-up window.
Flash Remoting Lets you easily exchange complex information between Flash Pro and
ColdFusion, ASP.NET, Java, and more. You can also use Flash Remoting to
consume web services.
Web services Adobe® Flash® Professional CS5 includes the WebServiceConnector component
that lets you connect to remote web services, send and receive data, and bind
results to components. This lets Flash Pro developers quickly create Rich Internet
Applications without having to write a single line of ActionScript.
You can consume remote web services by using WebServiceClasses, which can
require writing complex ActionScript.
Send data Description

471
USING FLASH PROFESSIONAL
Best practices
Last updated 1/16/2012
One of the best ways to perform error handling in ActionScript 2.0 is to use the try-catch-finally blocks that let
you throw and catch custom errors. By creating custom error classes, you can reuse code throughout your application
without having to rewrite error handling code. For more information on throwing custom errors, see the Error class
in ActionScript
2.0 Language Reference. For more information on try-catch-finally blocks, see try..catch..finally in
ActionScript 2.0 Language
Reference.
In ActionScript 3.0, use the flash.errors class to catch errors.
For more information, see “Handling synchronous errors in an application” in Programming ActionScript 3.0.
Organizing files and storing code
Consider the following guidelines before you start organizing files and storing code:
•Do you divide the SWF file into multiple SWF files, and, if so, how should they interact?
•What assets can you share across SWF files?
•What files do you dynamically load?
•How and where do you store ActionScript?
When you develop an application, store your server-side code and files in a logical directory structure, similar to
those in an ActionScript package. Arrange your code this way to keep it well organized and reduce the risk of the
code being overwritten.
For larger applications, encapsulate client-server communication and services in classes. When you use classes, you
benefit in the following ways:
•You can reuse the code in more than one SWF file.
•You can edit code in a central place, and update all SWF files by republishing them.
•You can create a single API that can manipulate different UI elements or other assets that perform similar
functions.
Using the MVC design pattern
The MVC design pattern is used to separate the information, output, and data processing in the application. The
application is divided into three elements: model, view, and controller; each element handles a different part of the
process.
The model Incorporates the data and rules of the application. Much of the application’s processing occurs in this part
of the design pattern. The model also contains any components (such as CFCs, EJBs, and web services), and the
database. Data returned is not formatted for the interface (or front end) of the application in this part of the process.
The returned data can be used for different interfaces (or views).
The view Handles the front end of the application (the interface with which the user interacts), and renders the
model’s contents. The interface specifies how the model’s data is presented and outputs the view for the user to use,
and lets the user access or manipulate the application’s data. If the model changes, the view updates to reflect those
changes by either pushing or pulling data (sending or requesting data). If you create a hybrid web application (for
example, one that includes Flash Pro interacting with other applications on the page), consider the multiple interfaces
as part of the view in the design pattern. The MVC design pattern supports handling a variety of views.
The controller Handles the requirements of the model and view to process and display data, and typically contains a
lot of code. It calls any part of the model, depending on user requests from the interface (or view), and contains code

472
USING FLASH PROFESSIONAL
Best practices
Last updated 1/16/2012
that’s specific to the application. Because this code is specific to the application, it is usually not reusable. However, the
other components in the design pattern are reusable. The controller does not process or output any data, but it takes
the request from the user and decides what part of the model or view components it needs to call, and determines
where to send the data and what formatting is applied to the returned data. The controller ensures that views have
access to parts of the model data that they must display. The controller typically transmits and responds to changes
that involve the model and view.
Each part of the model is built as a self-contained component in the overall process. If you change one part of the model
(for example, you might rework the interface), the other parts of the process do not usually need modification, which
reduces problems. If your design pattern is created correctly, you can change the view without reworking the model
or controller. If your application does not use MVC, making changes anywhere can cause a rippling effect across all
your code, which requires many more changes than if you were using a specific design pattern.
An important reason to use the MVC pattern is to separate data and logic from the user interface. By separating these
parts of the process, you can have several different graphical interfaces that use the same model and unformatted data.
This means that you can use your application with different Flash Pro interfaces, such as an interface for the web, one
for Pocket PC, a version for cell phones, and perhaps an HTML version that doesn’t use Flash Pro at all. Separating
data from the rest of the application can greatly reduce the time it takes to develop, test, and even update more than
one client interface. Similarly, adding new front ends for the same application is easier if you have an existing model
to use.
Only use MVC if you build a large or complex application, such as an e-commerce website or an e-learning application.
Using the architecture requires planning and understanding how Flash Pro and this design pattern work. Carefully
consider how the different pieces interact with each other; this typically involves testing and debugging. When you use
MVC, testing and debugging are more involved and difficult than in typical Flash Pro applications. If you build an
application in which you need the additional complexity, consider using MVC to organize your work.
Creating secure applications
Dishonest users might try to hack your application, whether you build a small portal site where users can log in and
read articles or a large e-commerce store. For this reason, consider the following steps to secure your application.
•Post data to HTTPS for data that needs to be secured. Encrypt values in Flash Pro before sending them to a remote
server to be processed.
Important: Never store any information or code in a SWF file that you don't want users to see. It is easy to disassemble
SWF files and view their contents using third-party software.
•Add a cross-domain policy, which prevents unauthorized domains from accessing your assets.
Best practices - Accessibility guidelines
About accessibility guidelines
Screen readers are complex, and you can easily encounter unexpected results in FLA files developed for use with screen
readers, which is software that visually impaired users run to read websites aloud. Text is read aloud using specially
designed software. A screen reader can only interpret textual content. However, any descriptions that you provide for
the overall SWF file, movie clips, images, or other graphical content are also read aloud. Write descriptions for the
important images and animations so that the screen reader can also interpret these assets in your SWF file. This is the
SWF file equivalent to alt text in an HTML web page.

473
USING FLASH PROFESSIONAL
Best practices
Last updated 1/16/2012
Note: Flash Pro applications must be viewed in Internet Explorer on Windows, because Microsoft Active Accessibility
(MSAA) support is limited to this browser.
Flash Player uses Microsoft Active Accessibility (MSAA) to expose Flash Pro content to screen readers. MSAA is a
Windows-based technology that provides a standardized platform for information exchange between assistive
technologies, such as screen readers, and other applications. Events (such as a change in the application) and objects
are visible to screen readers by using MSAA.
Note: Flash Player 7 (and later) does not work with all screen-reader technologies. The third-party software provider must
handle the information that MSAA provides.
Creating accessible sites
Making a website accessible involves several different criteria:
Expose the information to screen readers Make text or images realizable Some visitors might have difficulty reading
small text or seeing small graphics. Allow users to zoom in on these elements, taking advantage of scalable vector
graphics in SWF files.
Provide audio narration Consider providing an audio narration for visitors without a screen reader, or where screen
readers might not work, such as with video content.
Provide captions for audio narrations Some visitors might not be able to hear an audio narration for your site or a
video. Consider providing captions for these visitors.
Do not rely on color to communicate information Many visitors might be color blind. If you rely on color to
communicate information (such as: Click the green button to go to page 1, click the red button to go to page 2), provide
text or speech equivalents.
Historically, many online presentations (such as videos) provide alternative ways for visually impaired visitors to
access the content, for instance, a textual description of a video. However, Flash Pro provides textual information
directly to the screen reader. Although this usually means you need to make additional settings or ActionScript in a
FLA file, you do not have to create a completely separate version.
Parts of your SWF file can be exposed to screen readers. Text elements (such as text fields, static text, and dynamic
text), buttons, movie clips, components, and the entire SWF file can be interpreted by MSA-compliant screen readers.
Section 508 is United States legislation that provides guidelines for making information accessible to people with
disabilities. Section 508 specifically addresses the need for websites to be accessible in several ways. Some websites,
including all federal websites, must comply with these guidelines. If a SWF file does not communicate all of the
information to the screen reader, the SWF file is no longer Section 508-compliant. For more information, see the
Section 508 website.
Many nations have specified guidelines to follow to create accessible web sites, or follow guidelines established by other
organizations. For more information on accessibility and web standards, see the World Wide Web Consortium (W3C)
Web Accessibility Initiative website. These standards and guidelines describe what factors you must address when you
create accessible HTML websites, and some of this information applies to Flash Pro.
Exposing SWF file structure and navigation
Because of the visual nature of some SWF files, the layout and navigation of the page can be complex and difficult for
screen readers to translate. An overall description of the SWF file is important to communicate information about its
structure and how to navigate through the site’s structure. You can provide this description by clicking the Stage and
entering a description into the Accessibility panel. You can also create a separate area of the site to provide this
description or overview.

474
USING FLASH PROFESSIONAL
Best practices
Last updated 1/16/2012
Note: If you enter a description for the main SWF file, this description is read each time the SWF file refreshes. You can
avoid this redundancy by creating a separate informational page.
Inform the user about any navigational elements that change in the SWF file. Perhaps an extra button is added, or the
text on the face of a button changes, and this change is read aloud by the screen reader. Flash Player 7 and later supports
updating these properties by using ActionScript. You can update the accessibility information in your applications if
the content changes at runtime.
More Help topics
“Creating accessibility with ActionScript” on page 341
Controlling descriptions and repetition
Designers and developers can assign descriptions for the animations, images, and graphics in a SWF file. Provide
names for graphics so the screen reader can interpret them. If a graphic or animation does not communicate vital
information to the SWF file (perhaps it is decorative or repetitive), or you outlined the element in the overall SWF file
description, do not provide a separate description for that element. Providing unnecessary descriptions can be
confusing to users who use screen readers.
Note: If you divide text or use images for text in your SWF files, provide either a name or description for these elements.
If you have several nested movie clips that serve a single purpose or convey one idea, ensure that you do the following:
•Group these elements in your SWF file.
•Provide a description for the parent movie clip.
•Make all the child movie clips inaccessible.
This is extremely important, or the screen reader tries to describe all the irrelevant nested movie clips, which will
confuse the user, and might cause the user to leave your website. Make this decision whenever you have more than
one object, such as many movie clips, in a SWF file. If the overall message is best conveyed using a single
description, provide a description on one of the objects, and make all the other objects inaccessible to the screen
reader.
Looping SWF files and applications cause screen readers to constantly refresh because the screen reader detects new
content on the page. Because the reader thinks the content is updated, it returns to the top of the web page and starts
rereading the content. Make inaccessible to screen readers any looping or refreshing objects that do not have to be
reread.
Note: Do not type a description in the Description field of the Accessibility panel for instances (such as text) that the
screen reader reads aloud.
More Help topics
“Using Flash to enter accessibility information for screen readers” on page 334

475
USING FLASH PROFESSIONAL
Best practices
Last updated 1/16/2012
Using color
You must make decisions about using colors in an accessible file. You must not rely only on color to communicate
particular information or directives to users. A color-blind user cannot operate a page if it asks to click on the blue area
to launch a new page or the red area to hear music. Offer text equivalents on the page or in an alternate version to make
your site accessible. Also, check that significant contrast exists between foreground and background colors to enhance
readability. If you place light gray text on a white background, users cannot easily read it. Similarly, small text is
difficult for many visitors to read. Using high-contrast and large or resizable text benefits most users, even those
without impairments.
Ordering, tabbing, and the keyboard
Reading order and tabbing are important considerations for making accessible Flash Pro websites. When you design
an interface, the order that it appears on the page might not match the order in which the screen reader describes each
instance. You can control and test reading order, as well as control tabbing in the SWF file.
Controlling reading order
The default reading order is not predictable and does not always match the placement of your assets or the visual layout
of the page. Keeping the layout simple can help create a logical reading order without using ActionScript. However,
you have more control over reading order if you use ActionScript and test the reading order in your SWF files.
Important: Do not miss ordering a single instance in your SWF file, or the reading order reverts to the default (and
unpredictable) reading order.
Controlling tabbing and content
Visitors who rely on screen readers to describe a site’s content typically use tabbing and keyboard controls to navigate
the operating system and web pages, because using the mouse is not useful when the screen cannot be seen. Use the
tabIndex and tabEnabled properties with the movie clip, button, text field, or component instances to offer
intelligent tabbing control in accessible SWF files. In addition to tabbing, you can use any key-press actions to navigate
through the SWF file, but you must communicate that information using the Accessibility panel. Use the Key class in
ActionScript to add key-press scripts to the SWF file. Select the object for which you want to use the key-press script,
and add the shortcut key in the Shortcut field on the Accessibility panel. Add keyboard shortcuts to essential and
frequently used buttons in your SWF file.
Note: In ActionScript 3.0, tabIndex and tabEnabled are properties of the InteractiveObject class. In ActionScript
2.0, they do not require a class reference.
Note: Avoid invisible buttons in accessible SWF files, because screen readers do not recognize these buttons. (Invisible
buttons are buttons for which you define only a hit area, the clickable region, for the button.)
Many SWF files have a rapid succession of information, and screen readers frequently cannot keep up with this pace.
Provide controls for the SWF file, letting the user use buttons to navigate through the file at their own pace, and letting
them pause the process if necessary.
More Help topics
“Creating accessibility with ActionScript” on page 341
Handling audio, video, and animation
When you provide audio narrations or video that contains speech, provide captions for those users who cannot hear.
You can use text fields in Flash Pro, import video that contains captions, or even use an XML caption file. You can use
video cue points to specify when a text field should update text information at runtime.

476
USING FLASH PROFESSIONAL
Best practices
Last updated 1/16/2012
For information on using Hi-Caption SE and the Hi-Caption Viewer component, see
www.adobe.com/go/flash_extensions. This third-party extension lets you create captions that you save in an XML file
and load into the SWF file at runtime, among other advanced controls. Alternatively, you can use cue points and a text
field to display caption information.
More Help topics
“Accessibility for hearing-impaired users” on page 333
Accessibility and extending Flash
With the extensibility layer in Flash Pro, developers can create extensions that enable advanced authoring. This lets
third-party companies develop extensions that involve accessibility. You have several options for validating your SWF
files or adding captions.
For example, a validation tool can examine your SWF file for missing descriptions. It checks to see if a description is
added for a group of instances, or if text has a label for the instance, and tells you about any problems. The tool also
examines the reading order in your SWF file, and finds all instances that must be specified. You can specify reading
order by using a dialog box after the SWF file is analyzed.
For information on the currently available third-party extensions, see www.adobe.com/go/flash_extensions.
Testing files and making changes
Test any SWF file that is intended for use with screen readers. Test your SWF files when each new version of Flash
Player is released, including minor revisions, and test it with the following scenarios:
•Using the Window Eyes and JAWS for Windows screen readers. These each handle SWF files differently, so you
could get different results.
•In a browser without a screen reader, and navigate through your site without using the mouse.
•Turn off your monitor and use only the screen reader to navigate your website.
•If you use audio narration, test your site without speakers.
•With several users who are representative of your target web site visitors.
Note: You do not have to test different browsers, because the technology used to expose SWF files to screen readers
(MSAA) is supported only by Internet Explorer on Windows.
When listening to your SWF file using a screen reader, check the following points:
•Is the reading order correct?
•Do you have descriptions for shortcuts in your SWF file?
•Do you have adequate and complete descriptions for the elements in the interface?
•Do you have adequate descriptions for navigating the site’s structure?
•Is the SWF file content read when it is updated or refreshed?
•If you change the context of any elements on the Stage (such as a button that changes from Play to Pause), is that
change announced by the screen reader?
No official tool is available for validating SWF files, unlike HTML validation. However, some third-party tools exist
to help you validate the file. For more information on these extensions, see www.adobe.com/go/flash_extensions.

477
USING FLASH PROFESSIONAL
Best practices
Last updated 1/16/2012
Best practices - Advertising with Flash
Using recommended dimensions
Use the Interactive Advertising Bureau (IAB) guidelines to set dimensions for your Flash Pro advertisements. The
following table lists the recommended Interactive Marketing Unit (IMU) ad formats measurements:
When you create a FLA file from a template (Select File > New, and click the Templates tab), you see many of these
sizes.
Creating SWF file advertisements
Use these guidelines when you create advertisements:
•Optimize your graphics. Make SWF file banner advertisements 15K or smaller.
•Create a GIF banner advertisement in Flash Pro that is 12K or smaller.
•Limit looping banner advertisements to three repetitions. Many websites adopt the standardized file size
recommendations as advertising specifications.
•Use the GET command to pass data between an advertisement and a server, and do not use the POST command. For
more information on GET and POST, see the getURL function in ActionScript
2.0 Language Reference.
Note: Provide control to the user. If you add sound to an advertisement, also add a mute button. If you create a
transparent Flash Pro ad that hovers over a web page, provide a button to close the advertisement for its duration.
Type of advertisement Dimensions (pixels)
Wide skyscraper 160 x 600
Skyscraper 120 x 600
Half-page ad 300 x 600
Full banner 468 x 60
Half banner 234 x 60
Micro bar 88 x 31
Button 1 120 x 90
Button 2 120 x 60
Vertical banner 120 x 240
Square button 125 x 125
Leaderboard 728 x 90
Medium rectangle 300 x 250
Square pop-up 250 x 250
Vertical rectangle 240 x 400
Large rectangle 336 x 280
Rectangle 180 x 150

478
USING FLASH PROFESSIONAL
Best practices
Last updated 1/16/2012
More Help topics
“Optimizing graphics and animation” on page 480
Tracking advertisements
Several leading advertising networks now support standardized tracking methods in Flash Pro SWF files. The
following guidelines describe the supported tracking methodology:
Create a button or movie clip button Use standardized dimensions outlined by the IAB. For a list of standardized
dimensions, see the IAB website. For more information on creating a button in Flash Pro, see “Creating buttons” on
page 168.
Add a script to the button Executes when a user clicks the banner. You might use the getURL() function to open a
new browser window. The following code snippets are two examples of ActionScript 2.0 code you might add to Frame
1 of the Timeline:
myButton_btn.onRelease = function(){
getURL(clickTAG, "_blank");
};
You might add the following code to Frame 1 of the Timeline:
myButton_btn.onRelease = function() {
if (clickTAG.substr(0, 5) == "http:") {
getURL(clickTAG);
}
};
The getURL() function adds the variable passed in the object and embed tags, and then sends the browser that is
launched to the specified location. The server hosting the ad can track clicks on the advertisement. For more
information on using the getURL() function, see ActionScript 2.0 Language Reference.
Assign clickTAG code for tracking Tracks the advertisement and helps the network serving the ad to track where the
ad appears and when it is clicked.
The process is the standard way of creating an advertising campaign for a typical Flash Pro advertisement. If you assign
the getURL() function to the banner, you can use the following process to add tracking to the banner. The following
example lets you append a variable to a URL string to pass data, which lets you set dynamic variables for each banner,
instead of creating a separate banner for each domain. You can use a single banner for the entire campaign, and any
server that is hosting the ad can track the clicks on the banner.
In the object and embed tags in your HTML, you would add code similar to the following example (where
www.helpexamples.com is the ad network, and adobe.com is the company with an advertisement):
<EMBED src="your_ad.swf?clickTAG= http://helpexamples.com/tracking?http://www.adobe.com">
Add the following code in your HTML:
<PARAM NAME=movie VALUE="your_ad.swf?clickTAG =http:
//helpexamples.com/tracking?http://www.adobe.com">
For more information on advanced tracking techniques, see the Rich Media Advertising Center at
www.adobe.com/go/rich_media_ads.
To download the Rich Media Tracking Kit, which includes examples and documentation, see
www.adobe.com/go/richmedia_tracking.
To learn more about and download the Flash Ad Kit, which helps you deliver integrated and sophisticated
advertisements, see www.adobe.com/go/learn_fl_flash_ad_kit.

479
USING FLASH PROFESSIONAL
Best practices
Last updated 1/16/2012
Testing your ads
Test your SWF file ad on the most common browsers, especially the browsers that your target audience uses. Some
users might not have Flash Player installed or they might have JavaScript disabled. Plan for these circumstances by
having a replacement (default) GIF image or other scenarios for these users. For more information on detecting Flash
Player, see “Specify publish settings for SWF files (CS5)” on page 410. Give the user control of the SWF file. Let the
user control any audio in the ad. If the advertisement is a borderless SWF file that hovers over a web page, let the user
close the advertisement immediately and for the duration of the ad.
For the latest information on Flash Player version penetration for different regions, go to
www.adobe.com/go/fp_version_penetration.
Best practices - Optimizing FLA files for SWF output
Optimize Flash documents
As your document file size increases, so does its download time and playback speed. You can take several steps to
prepare your document for optimal playback. As part of the publishing process, Flash Pro automatically performs
some optimization on documents. Before exporting a document, you can optimize it further by using various strategies
to reduce the file size. You can also compress a SWF file as you publish it. As you make changes, test your document
by running it on a variety of computers, operating systems, and Internet connections.
The following video tutorial describes several methods for optimizing FLA files. The video shows Flash Pro CS3, but
is still applicable to Flash Pro CS5.
•Optimizing animations and FLA files (7:24)
Optimize documents
•Use symbols, animated or otherwise, for every element that appears more than once.
•Use tweened animations whenever possible when creating animation sequences. Tweened animations use less file
space than a series of keyframes.
•Use movie clips instead of graphic symbols for animation sequences.
•Limit the area of change in each keyframe; make the action take place in as small an area as possible.
•Avoid animating bitmap elements; use bitmap images as background or static elements.
•Use mp3, the smallest sound format, whenever possible.
Optimize elements and lines
•Group elements.
•Use layers to separate elements that change during the animation from elements that do not.
•Use Modify > Shape > Optimize to minimize the number of separate lines that are used to describe shapes.
•Limit the number of special line types, such as dashed, dotted, ragged, and so on. Solid lines require less memory.
Lines created with the Pencil tool require less memory than brush strokes.
Optimize text and fonts
•Limit the number of fonts and font styles. Use embedded fonts sparingly because they increase file size.
•For Embed Fonts options, select only the characters needed instead of including the entire font.

480
USING FLASH PROFESSIONAL
Best practices
Last updated 1/16/2012
Optimize colors
•Use the Color menu in the Symbol Property inspector to create many instances of a single symbol in different
colors.
•Use the Color panel (Window > Color) to match the color palette of the document to a browser-specific palette.
•Use gradients sparingly. Filling an area with gradient color requires about 50 bytes more than filling it with solid
color.
•Use alpha transparency sparingly because it can slow playback.
Speed up document display
To speed up the document display, use commands in the View menu to turn off rendering-quality features that require
extra computing and slow down document display.
None of these commands have any effect on how Flash Pro exports a document. To specify the display quality of Flash
Pro documents in a web browser, use the object and embed parameters. The Publish command can do this for you
automatically.
❖Select View > Preview Mode, and select from the following options:
Outlines Displays only the outlines of the shapes in your scene and causes all lines to appear as thin lines. This makes
it easier to reshape your graphic elements and to display complex scenes quickly.
Fast Turns off anti-aliasing and displays all the colors and line styles of your drawing.
Antialias Turns on anti-aliasing for lines, shapes, and bitmaps and displays shapes and lines so that their edges appear
smoother on the screen. Draws more slowly than the Fast option. Anti-aliasing works best on video cards that provide
thousands (16-bit) or millions (24-bit) of colors. In 16- or 256-color mode, black lines are smoothed, but colors might
look better in Fast mode.
Antialias Text Smooths the edges of any text. Works best with large font sizes and can be slow with large amounts of
text. This is the most common mode in which to work.
Full Renders all content on the Stage fully. Might slow down display.
More Help topics
“Publishing overview” on page 405
Optimizing graphics and animation
Before you create optimized and streamlined animations or graphics, outline and plan your project. Make a target for
the file size and length of the animation, and test throughout the development process.
Follow these guidelines to optimize graphics and animation:
•Avoid using gradients, because they require many colors and calculations to be processed, which is more difficult
for a computer processor to render.
•For the same reason, keep the amount of alpha or transparency you use in a SWF file to a minimum.
Animating objects that include transparency is processor-intensive and should be kept to a minimum. Animating
transparent graphics over bitmaps is a particularly processor-intensive kind of animation, and must be kept to a
minimum or avoided completely.

481
USING FLASH PROFESSIONAL
Best practices
Last updated 1/16/2012
Note: The best bitmap format to import into Flash Pro is PNG, which is the native file format of Macromedia
Fireworks from Adobe. PNG files have RGB and alpha information for each pixel. If you import a Fireworks PNG file
into Flash Pro, you retain some ability to edit the graphic objects in the FLA file.
•Optimize bitmaps without overcompressing them. A 72-dpi resolution is optimal for the web. Compressing a
bitmap image reduces file size, but compressing it too much compromises the quality of the graphic. Check that the
settings for JPEG quality in the Publish Settings dialog box do not overcompress the image. Representing an image
as a vector graphic is preferable in most cases. Using vector images reduces file size, because the images are made
from calculations instead of many pixels. Limit the number of colors in your image while still retaining quality.
Note: Avoid scaling bitmaps larger than their original dimensions, because it reduces the quality of the image and is
processor intensive.
•Set the _visible property to false instead of changing the _alpha level to 0 or 1 in a SWF file. Calculating the
_alpha level for an instance on the Stage is processor intensive. If you disable the instance’s visibility, it saves CPU
cycles and memory, which can give your SWF files smoother animations. Instead of unloading and possibly
reloading assets, set the _visible property to false, which is less processor-intensive.
•Reduce the number of lines and points you use in a SWF file. Use the Optimize Curves dialog box (Modify >
Shape
> Optimize) to reduce the number of vectors in a drawing. Select the Use Multiple Passes option for more
optimization. Optimizing a graphic reduces file size, but compressing it too much compromises its quality.
However, optimizing curves reduces your file size and improves SWF file performance. Third-party options are
available for specialized optimization of curves and points that yield different results.
To get the best results, try different ways of producing animated content, and test each of the options.
A higher frame rate (measured in frames per second, or fps) produces smooth animation in a SWF file but it can be
processor-intensive, particularly on older computers. Test your animations at different frame rates to find the lowest
frame rate possible.
For a sample of scripted animation, see the Flash Samples web page at www.adobe.com/go/learn_fl_samples.
Download and decompress the Samples zip file and navigate to the ActionScript2.0/Animation folder to access the
sample.
More Help topics
“Animation frame rate and performance” on page 481
“Best practices - Video conventions” on page 467
Animation frame rate and performance
When you add animation to an application, consider the frame rate that you set your FLA file to. Frame rate can affect
the performance of your SWF file and the computer that plays it. Setting a frame rate too high can lead to processor
problems, especially when you use many assets or use ActionScript to create animation.
However, you also need to consider the frame rate setting, because it affects how smoothly your animation plays. For
example, an animation set to 12 frames per second (fps) in the Property inspector plays 12 frames each second. If the
document's frame rate is set to 24 fps, the animation appears to animate more smoothly than if it ran at 12 fps.
However, your animation at 24 fps also plays faster than it does at 12 fps, so the total duration (in seconds) is shorter.
Therefore, to make a 5-second animation using a higher frame rate, you must add additional frames to fill those five
seconds than at a lower frame rate (and thus, raises the total file size of your animation). A 5-second animation at 24
fps typically has a higher file size than a 5-second animation at 12 fps.

482
USING FLASH PROFESSIONAL
Best practices
Last updated 1/16/2012
Note: When you use an onEnterFrame event handler to create scripted animations, the animation runs at the document's
frame rate, similar to if you created a motion tween on a timeline. An alternative to the onEnterFrame event handler is
setInterval (see ActionScript 2.0 Language Reference). Instead of depending on frame rate, you call functions at a specified
interval. Like onEnterFrame, the more frequently you use setInterval to call a function, the more resource intensive the
animation is on your processor.
Use the lowest possible frame rate that makes your animation appear to play smoothly at runtime, which helps reduce
the strain on the end-user's processor. High frame rates (more than 30 to 40 fps) put a lot of stress on processors, and
do not change the appearance of the animation much or at all at runtime.
Select a frame rate for your animation as early as possible in the development process. When you test the SWF file,
check the duration, and the SWF file size, of your animation. The frame rate greatly affects the speed of the animation.
Filters and SWF file performance
If you use too many filters in an application, you can use large amounts of memory and cause Flash Player performance
to suffer. Because a movie clip with filters attached has two bitmaps that are both 32-bit, these bitmaps can cause your
application to use a significant amount of memory if you use many bitmaps. The computer's operating system might
generate an out-of-memory error. On a modern computer, out-of-memory errors should be rare, unless you are using
filter effects extensively in an application (for example, you have thousands of bitmaps on the Stage).
However, if you do encounter an out-of-memory error, the following occurs:
•The filters array is ignored.
•The movie clip is drawn using the regular vector renderer.
•No bitmaps are cached for the movie clip.
After an out-of-memory error occurs, a movie clip never attempts to use a filters array or a bitmap cache. Another
factor that affects player performance is the value that you use for the quality parameter for each filter that you
apply. Higher values require more CPU and memory for the effect to render, whereas setting the quality parameter
to a lower value requires fewer computer resources. Avoid using an excessive number of filters, and use a lower
quality setting when possible.
Important: If a 100 pixel by 100 pixel object is zoomed in once, it uses four times the memory since the content's
dimensions are now 200 pixels by 200 pixels. If you zoom another two times, the shape is drawn as an 800 pixel by 800
pixel object which uses 64 times the memory as the original 100 pixel by 100 pixel object. Whenever you use filters in
a SWF file, disable the zoom menu options from the SWF file's context menu.
You can encounter errors if you use invalid parameter types. Some filter parameters also have a particular valid
range. If you set a value that's outside of the valid range, the value changes to a valid value that's within the range.
For example, quality should be a value from 1 to 3 for a standard operation, and can only be set to 0 to 15. Anything
higher than 15 is set to 15.
Some constructors have restrictions on the length of arrays required as input parameters. If a convolution filter or
color matrix filter is created with an invalid array (not the right size), the constructor fails and the filter is not
created successfully. If the filter object is then used as an entry on a movie clip's filters array, it is ignored.
When using a blur filter, using values for blurX and blurY that are powers of 2 (such as 2, 4, 8, 16, and 32) can be
computed faster and give a 20% to 30% performance improvement.

483
USING FLASH PROFESSIONAL
Best practices
Last updated 1/16/2012
Bitmap caching and SWF file performance
Bitmap caching helps you enhance the performance of nonchanging movie clips in your applications. When you set
the MovieClip.cacheAsBitmap or Button.cacheAsBitmap property to true, Flash Player caches an internal bitmap
representation of the movie clip or button instance. This can improve performance for movie clips that contain
complex vector content. All of the vector data for a movie clip that has a cached bitmap is drawn to the bitmap, instead
of to the main Stage.
Note: The bitmap is copied to the main Stage as unstretched, unrotated pixels snapped to the nearest pixel boundaries.
Pixels are mapped one-to-one with the parent object. If the bounds of the bitmap change, the bitmap is re-created instead
of being stretched.
For detailed information on caching button or movie clip instances see the following topics:
•About caching and scrolling movie clips with ActionScript in Learning ActionScript 2.0 in Adobe Flash
•Caching a movie clip in Learning ActionScript 2.0 in Adobe Flash
Use the cacheAsBitmap property with movie clips with mostly static content and that do not scale and rotate
frequently. With such movie clips, using the cacheAsBitmap property can lead to performance improvements
when the movie clip is translated (when its x and y position is changed).
Enabling caching for a movie clip creates a surface, which has several advantages, such as helping complex vector
animations to render fast. In some situations, enabling caching does not improve performance, or even decrease it.
Overall performance of cached data depends on how complex the vector data of your instances are, how much of
the data you change, and whether or not you set the opaqueBackground property. If you are changing small regions,
the difference between using a surface and using vector data might be negligible. Test both scenarios with your
work before you deploy the application.
When to use bitmap caching
The following are typical scenarios in which you might see significant benefits when you enable bitmap caching by
optimizing vector graphics.
Complex background image An application that contains a detailed and complex background image of vector data.
To improve performance, select the content, store it in a movie clip, and set the opaqueBackground property to true.
The background is rendered as a bitmap and can be redrawn quickly, so that your animation plays faster.
Scrolling text field An application that displays a large amount of text in a scrolling text field. Place the text field in a
movie clip that you set as scrollable with scrolling bounds (the scrollRect property), enabling fast pixel scrolling for the
specified instance. When a user scrolls the movie clip instance, the scrolled pixels shift up and generate the newly
exposed region instead of regenerating the entire text field.
Windowing system An application with a complex system of overlapping windows. Each window can be open or
closed (for example, web browser windows). If you mark each window as a surface (set the cacheAsBitmap property
to true), each window is isolated and cached. Users can drag the windows so that they overlap each other, and each
window doesn't need to regenerate the vector content.
When to avoid using bitmap caching
Misusing bitmap caching can negatively affect your SWF file. When you develop a FLA file that uses surfaces,
remember the following guidelines:
•Do not overuse surfaces (movie clips with caching enabled). Each surface uses more memory than a regular movie
clip; only enable surfaces to improve rendering performance.

484
USING FLASH PROFESSIONAL
Best practices
Last updated 1/16/2012
•A cached bitmap can use significantly more memory than a regular movie clip instance. For example, if the movie
clip on the Stage is 250 pixels by 250 pixels, when cached it might use 250 KB instead of 1 KB when it's a regular
(uncached) movie clip instance.
•Avoid zooming in on cached surfaces. If you overuse bitmap caching, a large amount of memory is consumed (see
previous bullet), especially if you zoom in on the content.
•Use surfaces for movie clip instances that are largely static (nonanimating). You can drag or move the instance, but
the contents of the instance should not animate or change a lot. For example, if you rotate or transform an instance,
the instance changes between the surface and vector data, which is difficult to process and negatively affects your
SWF file.
•If you mix surfaces with vector data, it increases the amount of processing that Flash Player (and sometimes the
computer) needs to do. Group surfaces together; for example, when you create windowing applications.
Working with components in Flash Player
The component framework lets you add functionality to components, but it can potentially add considerable file size
to an application. Components inherit from each other. One component adds size to your Flash Pro document, but
subsequent components that use the same framework do not necessarily add more size. As you add components to the
Stage, the file size increases, but at some point, it levels off because components share classes and do not load new
copies of those classes.
If you use multiple components that do not share the same framework, they might add substantial file size to the SWF
file. For example, the XMLConnector component adds 17K to the SWF file, and TextInput components add 24K to
your document. If you add the ComboBox component, it adds 28K, because it is not part of the framework of either
previous component. Because the XMLConnector component uses data binding, the classes add 6K to the SWF file. A
document that uses all these components has 77K before you add anything else to the file. Carefully consider your SWF
file size when you add a new component to the document.
Components must exist in the parent SWF file’s library. For example, an application must have a copy of the
components it uses in its library, even if those components are required only by child SWF files that are loaded at
runtime. This is necessary to ensure that the components function properly, and slightly increases the download time
of the parent SWF file. However, the parent library isn’t inherited or shared in the SWF files that you load into the
parent. Each child SWF file must download to the application with its own copy of the same components.
When you are planning to publish a SWF file with backward compatibility, you must have a good understanding of
which components have that capability. The following table provides information about component availability in
different versions of Flash Player:
Deselect the Optimize for Flash Player 6r65 option in Publish Settings for the V2 UI components to work.
Components Flash Player 6 (6.0.65.0)
and earlier
Flash Player 6 (6.0.65.0) Flash Player 7 and 8 Flash Player 9
ActionScript 3.0 Not supported Not supported Not supported Supported
ActionScript 2.0 Supported Supported Supported Supported
V2 UI component set Not supported Supported Supported Supported
Media components Not supported Not supported Supported Supported
Data components Not supported Not supported Supported Supported

485
USING FLASH PROFESSIONAL
Best practices
Last updated 1/16/2012
Optimizing component styles and performance
When using ActionScript 2.0, one of the most processor-intensive calls in a component framework is the setStyle
call. The setStyle call executes efficiently, but the call is intensive because of the way it is implemented. The
setStyle call is not always necessary in all applications, but if you use it, consider its performance effect.
To enhance performance, you can change styles before they are loaded, calculated, and applied to the objects in your
SWF file. If you can change styles before the styles are loaded and calculated, you do not have to call setStyle.
To improve performance when using styles, set properties on each object as objects are instantiated. When you
dynamically attach instances to the Stage, set properties in initObj in the call that you make to
createClassObject(), as the following ActionScript shows:
createClassObject(ComponentClass, "myInstance", 0, {styleName:"myStyle", color:0x99CCFF});
For instances that you place directly on the Stage, you can use onClipEvent() for each instance, or you can use
subclasses (recommended). For information on subclasses, see About writing a subclass in Learning ActionScript 2.0
in Adobe Flash.
If you must restyle your components, you can improve efficiency in your application by using the Loader component.
To implement several styles in different components, place each component in its own SWF file. If you change styles
on the Loader component and reload the SWF file, the components in the SWF file are recreated. When the
component is recreated, the cache of styles is emptied, and the style for the component is reset and referenced again.
Note: To apply a single style to all instances of a component in your SWF file, change the style globally using
_global.styles.ComponentName.
Using runtime shared libraries
You can sometimes improve download time by using runtime shared libraries. These libraries are usually necessary
for larger applications or when numerous applications on a site use the same components or symbols. By externalizing
the common assets of your SWF files, you do not download classes repeatedly. The first SWF file that uses a shared
library has a longer download time, because both the SWF file and the library load. The library caches on the user’s
computer, and then all the subsequent SWF files use the library. This process can greatly improve download time for
some larger applications.
Displaying special characters
Computer operating systems have a specific code page that is regional. For example, a computer in Japan has a
different code page than a computer in England. Flash Player 5 and earlier versions relied on the code page to display
text; Flash Player 6 and later versions use Unicode to display text. Unicode is more reliable and standardized for
displaying text because it is a universal character set that contains characters for all languages. Most current
applications use Unicode.
You can use Unicode escape sequences to display special characters in Flash Player 6 and later. However, not all your
characters display correctly if you do not load text that is UTF-8 or UTF-16 encoded (Unicode) or if you do not use a
Unicode escape sequence to display the special character. For a set of Unicode code charts, see the Unicode web site at
Unicode.org. For a list of commonly used escape sequences, see the table that follows in this section.
A non-Unicode application uses the operating system’s code page to render characters on a page. In this case, the code
page specifies the characters you see, so the characters appear correctly only when the code page on the user’s operating
system matches the application’s code page. The code page that was used to create the SWF file needs to match the
code page on the end user’s computer. Using code pages is not a good idea for applications that an international
audience might use; in this case, use Unicode instead.

486
USING FLASH PROFESSIONAL
Best practices
Last updated 1/16/2012
Using System.useCodepage in your code forces the SWF file to use the system’s code page instead of Unicode.
Only use this process when you are loading non-Unicode encoded text from an external location and when this text is
encoded with the same code page as the user’s computer. If both these conditions are true, the text appears without a
problem. If both of these conditions are not true, use Unicode and a Unicode escape sequence to format your text. To
use an escape sequence, add the following ActionScript 2.0 on Frame 1 of the Timeline:
this.createTextField("myText_txt", 99, 10, 10, 200, 25);
myText_txt.text = "this is my text, \u00A9 2004";
This ActionScript creates a text field, and enters text that includes a copyright symbol (©) into the text field.
You can make a SWF file use the operating system’s code page, which is controlled by the useCodepage property.
When Flash Pro exports a SWF file, it defaults to exporting Unicode text and System.useCodepage is set to false.
You might encounter problems displaying special text, or text on international systems, where using the system’s code
page can seem to solve the problem of text incorrectly displaying. However, using System.useCodePage is always a
last resort.
To use the system’s code page, place the following line of ActionScript 2.0 code on Frame 1 of the Timeline:
System.useCodepage = true;
Important: A special character can appear only if the user’s computer has the character included in the font that is being
used. If you are not sure, embed the character or font in the SWF file.
The following table contains a number of commonly used Unicode escape sequences.
Test document download performance
Flash Player attempts to meet the frame rate you set; the actual frame rate during playback can vary on different
computers. If a document that is downloading reaches a particular frame before the frame’s required data is
downloaded, the document pauses until the data arrives.
To view downloading performance graphically, use the Bandwidth Profiler, which shows how much data is sent for
each frame according to the modem speed you specify.
Character description Unicode escape sequence
em-dash (—) \u2014
registered sign (®)\u00AE
copyright sign (©) \u00A9
trademark sign (™)\u2122
Euro sign (€)\u20AC
backslash (\) \u005C
forward slash (/) \u002F
open curly brace ({) \u007B
close curly brace (}) \u007D
greater than (<) \u003C
less than (>) \u003E
asterisk (*) \u002A

487
USING FLASH PROFESSIONAL
Best practices
Last updated 1/16/2012
In simulating the downloading speed, Flash Pro uses estimates of typical Internet performance, not the exact modem
speed. For example, if you select to simulate a modem speed of 28.8 Kbps, Flash Pro sets the actual rate to 2.3 Kbps to
reflect typical Internet performance. The profiler also compensates for the added compression support for SWF files,
which reduces the file size and improves streaming performance.
When external SWF files, GIF and XML files, and variables are streamed into a player by using ActionScript calls such
as loadMovie and getUrl, the data flows at the rate set for streaming. The stream rate for the main SWF file is reduced
based on the reduction of bandwidth that the additional data requests cause. Test your document at each speed and
on each computer that you plan to support to ensure that the document doesn’t overburden the slowest connection
and computer for which it is designed.
You can also generate a report of frames that are slowing playback and then optimize or eliminate some of the content
in those frames.
To change the settings for the SWF file created using the Test Movie and Test Scene commands, use File > Publish
Settings.
More Help topics
“Optimize Flash documents” on page 479
“Publishing overview” on page 405
“Debugging ActionScript 1.0 and 2.0” on page 373
“Debugging ActionScript 3.0” on page 369
Test download performance
1Do one of the following:
•Select Control > Test Scene or Control > Test Movie > Test.
If you test a scene or document, Flash Pro publishes the current selection as a SWF file using the settings in the Publish
Settings dialog box. The SWF file opens in a new window and begins playing immediately.
•Select File > Open, and select a SWF file.
2Select View > Download Settings, and select a download speed to determine the streaming rate that Flash Pro
simulates. To enter a custom user setting, select Customize.
3When viewing the SWF file, select View > Bandwidth Profiler to show a graph of the downloading performance.
The left side of the profiler displays information about the document, its settings, its state, and streams, if any are
included in the document.
The right section of the profiler shows the Timeline header and graph. In the graph, each bar represents an individual
frame of the document. The size of the bar corresponds to that frame’s size in bytes. The red line beneath the Timeline
header indicates whether a given frame streams in real time with the current modem speed set in the Control menu.
If a bar extends above the red line, the document must wait for that frame to load.
4Select View > Simulate Download to turn streaming off or on.
If you turn streaming off, the document starts over without simulating a web connection.
5Click a bar on the graph to show settings for the corresponding frame in the left window and stop the document.

488
USING FLASH PROFESSIONAL
Best practices
Last updated 1/16/2012
6If necessary, adjust the view of the graph by taking one of the following actions:
•Select View > Streaming Graph to show which frames cause pauses.
This default view displays alternating light and dark gray blocks that represent each frame. The side of each block
indicates its relative byte size. The first frame stores a symbol’s contents, so it is often larger than other frames.
•Select View > Frame by Frame Graph to display the size of each frame.
This view helps you see which frames contribute to streaming delays. If any frame block extends above the red line in
the graph, Flash Player stops playback until the entire frame downloads.
7Close the test window to return to the authoring environment.
After you set up a test environment using the Bandwidth Profiler, you can open any SWF file directly in the test
environment. The file opens in a Flash Player window, using the Bandwidth Profiler and other selected viewing
options.
Generate a final report
1Select File > Publish Settings, and click the Flash Pro tab.
2Select Generate Size Report.
3Click Publish.
Flash Pro generates a text file with the .txt extension. (If the document file is myMovie.fla, the text file is myMovie
Report.txt.) The report lists the size of each frame, shape, text, sound, video and ActionScript script by frame.
Best practices - Tips for creating content for mobile
devices
Creating Flash content for use on mobile devices
To create Flash content for mobile devices, follow some basic principles. For example, Flash developers often avoid
extremely complex artwork and excessive tweening or transparency.
Flash Lite developers face additional challenges because performance on mobile devices varies greatly. If content must
be published to many different devices, developers sometimes have to author for the lowest common denominator.
Optimizing mobile content requires making trade-offs. For example, one technique may make the content look better,
while another results in better performance. As you evaluate these trade-offs, you will be going back and forth
repeatedly between testing in the emulator and testing on the target device. You must see your content on the actual
device to evaluate the trueness of colors, text readability, physical interactions, UI responsiveness, and other aspects of
the real mobile experience.
For more tips and techniques for creating content for mobile phones and devices, see
www.adobe.com/go/learn_cs_mobilewiki_en.

489
USING FLASH PROFESSIONAL
Best practices
Last updated 1/16/2012
Flash Lite guidelines for animation in mobile devices
When creating animated content for a mobile devices, keep device CPU limitations in mind. Following these
guidelines can help preventFlash Lite content from running
slowly:
•When creating a new Flash Lite file, check that the document is set up correctly. Although Flash files scale smoothly,
performance can suffer if the file is not running at its native Stage size and has to scale in the player. Try to set the
document Stage size to match the resolution of the target device. Also set the Flash Player to the correct version of
Flash Lite and select an appropriate device profile in Device Central.
•Flash Lite can render vector graphics at low, medium, and high quality. The higher the rendering quality, the more
smoothly and accurately Flash Lite renders vector graphics and the greater the demand on the device’s CPU. To
provide complex animation, experiment with changing the player’s quality setting and then thoroughly test the
SWF file. To control the rendering quality of a SWF file, use the _quality property or the SetQuality command.
Valid values for the _quality property are LOW, MEDIUM, and HIGH.
•Limit the number of simultaneous tweens. Reduce the number of tweens, or sequence the animation so that one
begins when another ends.
•Use transparency (alpha) effects on symbols sparingly because they are CPU intensive. In particular, avoid
tweening symbols with alpha levels that are not fully opaque (less than 100%).
•Avoid CPU-intensive visual effects, such as large masks, extensive motion, alpha blending, extensive gradients, and
complex vectors.
•Experiment with combinations of tweens, keyframe animations, and ActionScript-driven movement to produce
the most efficient results.
•Rendering vector ovals and circles is much more memory intensive than rendering quadrangles. Using round and
oval strokes also greatly increases CPU use.
•Test animations frequently on actual target devices.
•When Flash draws an animated region, it defines a rectangular bounding box around the area. Optimize the
drawing by making that rectangle as small as possible. Avoid overlapping tweens, because Flash interprets the
merged area as a single rectangle, resulting in a larger total region. Use Flash's Show Redraw Region feature to
optimize the animation.
•Avoid using _alpha = 0 and _visible
= false to hide on-screen movie clips. If you simply turn a movie clip’s visibility off or change its alpha to zero, it
is still included in line-rendering calculations, which can affect performance.
•Similarly, do not try to hide a movie clip by obscuring it behind another piece of artwork. It will still be included in
the player’s calculations. Instead, move movie clips completely off the Stage or remove them by calling
removeMovieClip.
For more tips and techniques for creating content for mobile phones and devices, see
www.adobe.com/go/learn_cs_mobilewiki_en.
Flash Lite bitmap and vector graphics in mobile devices
Flash Lite can render both vector and bitmap graphics. Each type of graphic has its advantages and disadvantages. The
decision to use vector rather than bitmap graphics is not always clear and often depends on several factors.
Vector graphics are compactly represented in SWF files as mathematical equations and rendered at run time by the
Flash Lite player. In contrast, bitmap graphics are represented as arrays of picture elements (pixels), which require
more bytes of data. Therefore, using vector graphics in a file can help reduce file size and memory usage.

490
USING FLASH PROFESSIONAL
Best practices
Last updated 1/16/2012
Vector graphics also maintain their smooth shapes when scaled in size. Bitmap images can appear boxy, or pixelated,
when scaled.
Compared to bitmaps, vector graphics require more processing power to render, especially vector graphics that have
many complex shapes and fills. Consequently, heavy use of vector shapes can sometimes reduce overall file
performance. Because bitmap graphics do not require as much processing time to render as vector graphics, they are
better choice for some files, for example, a complex road map meant to be animated and scrolled on a mobile phone.
Keep these considerations in mind:
•Avoid using outlines on vector shapes. Outlines have an inner and outer edge (fills have only one) and are twice the
work to render.
•Corners are simpler to render than curves. When possible, use flat edges, especially with very small vector shapes.
•Optimization is especially helpful with small vector shapes such as icons. Complex icons may lose their details upon
rendering, and the work of rendering the details is wasted.
•As a general rule, use bitmaps for small, complex images (such as icons) and vector graphics for larger and simpler ones.
•Import bitmap graphics at the correct size; don’t import large graphics and scale them down in Flash, because this
wastes file size and run-time memory.
•The Flash Lite player does not support bitmap smoothing. If a bitmap is scaled or rotated, it will have a chunky
appearance. If it is necessary to scale or rotate a graphic, consider using a vector graphic instead.
•Text is essentially just a very complex vector shape. Of course, text is often critical, so it can rarely be avoided
entirely. When text is needed, avoid animating it or placing it over an animation. Consider using text as a bitmap.
For multiline dynamic and input text, the line break of the text string is not cached. Flash breaks lines at run time
and recalculates the breaks every time the text field needs to be redrawn. Static text fields are not problematic,
because the line breaking is precalculated at compile time. For dynamic content, using dynamic text fields is
unavoidable, but when possible, consider using static text fields instead.
•Minimize the use of transparency in PNG files; Flash must calculate redraws even for the transparent portions of
the bitmap. For example, with a transparent PNG file that represents a foreground element, don't export the
transparent PNG at the full size of the screen. Instead, export it at the actual size of the foreground element.
•Try to group bitmap layers together and vector layers together. Flash needs to implement different renderers for
bitmap and vector content, and switching between renderers takes time.
For more tips and techniques for creating content for mobile phones and devices, see
www.adobe.com/go/learn_cs_mobilewiki_en.
Set compression of Flash Lite bitmaps for mobile devices
When using bitmaps, you can set image-compression options (on a per-image basis or globally for all bitmap images)
that reduce SWF file size.
For more tips and tricks about using Adobe Device Central with other Adobe products, see
www.adobe.com/go/learn_cs_mobilewiki_en.
Set compression options for an individual bitmap file
1Start Flash and create a document.
2Select a bitmap in the Library window.
3Right-click (Windows) or Control-click (Macintosh) the bitmap icon in the Library window, and select Properties
from the context menu to open the Bitmap Properties dialog box.

491
USING FLASH PROFESSIONAL
Best practices
Last updated 1/16/2012
4In the Compression pop-up menu, select one of the following options:
•Select the Photo (JPEG) option for images with complex color or tonal variations, such as photographs or images
with gradient fills. This option produces a JPEG file. Select the Use Imported JPEG Data check box to use the default
compression quality specified for the imported image. To specify a new quality compression setting, deselect Use
Imported JPEG Data and enter a value between 1 and 100 in the Quality text box. A higher setting produces an
image of higher image, but also a larger file, so adjust the value accordingly.
•Select the Lossless (PNG/GIF) option for images with simple shapes and a few colors. This option compresses the
image using lossless compression, which discards no data.
5Click Test to determine the results of the file compression.
Compare the original file size to the compressed file size to decide whether the selected compression setting is
acceptable.
Set compression for all bitmap images
1Select File > Publish Settings, and then click the Flash tab to display compression options.
2Adjust the JPEG quality slider, or enter a value. A higher JPEG quality value produces an image of higher image
quality but a larger SWF file. A lower image quality produces a smaller SWF file. Try different settings to determine
the best trade-off between size and quality.
Optimizing Flash Lite frames for mobile devices
•Most devices that support Flash Liteplay back content at about 15 to 20 frames per second (fps). The frame rate can
be as low as 6 fps. During development, set the document frame rate to approximate the playback speed of the target
device. This shows how the content will run on a device with limited performance. Before publishing a final SWF
file, set the document frame rate to at least 20
fps or higher to avoid limiting performance in case the device
supports a higher frame rate.
•When using gotoAndPlay, remember that every frame between the current frame and the requested frame needs
to be initialized before Flash plays the requested frame. If many of these frames contain different content, it could
be more efficient to use different movie clips rather than using the Timeline.
•Although preloading all content by putting it at the beginning of the file makes sense on the desktop, preloading on
a mobile device can delay file startup. Space content throughout the file so that movie clips are initialized as they
are used.
For more tips and techniques for creating content for mobile phones and devices, see
www.adobe.com/go/learn_cs_mobilewiki_en.
Optimizing ActionScript for Flash Lite content on mobile devices
Because of the processing speed and memory limitations on most mobile devices, follow these guidelines when
developing ActionScript for Flash Lite content used on mobile devices:
•Keep the file and its code as simple as possible. Remove unused movie clips, delete unnecessary frame and code
loops, and avoid too many frames or extraneous frames.
•Using FOR loops can be expensive because of the overhead incurred while the condition is checked with each
iteration. When the costs of the iteration and the loop overhead are comparable, execute multiple operations
individually instead of using a loop. The code may be longer, but performance will improve.
•Stop frame-based looping as soon as it is no longer needed.
•When possible, avoid string and array processing because it can be CPU-intensive.

492
USING FLASH PROFESSIONAL
Best practices
Last updated 1/16/2012
•Always try to access properties directly rather than using ActionScript getter and setter methods, which have more
overhead than other method calls.
•Manage events wisely. Keep event listener arrays compact by using conditions to check whether a listener exists (is
not null) before calling it. Clear any active intervals by calling clearInterval, and remove any active listeners by
calling removeListener before removing content using unloadapplication or removeapplicationClip. Flash
does not re-collect SWF data memory (for example, from intervals and listeners) if any ActionScript functions are
still referring to the SWF data when a movie clip is unloaded.
•When variables are no longer needed, delete them or set them to null, which marks them for garbage collection.
Deleting variables helps optimize memory use during run time, because unneeded assets are removed from the
SWF file. It is better to delete variables than to set them to null.
•Explicitly remove listeners from objects by calling removeListener before garbage collection.
•If a function is being called dynamically and passing a fixed set of parameters, use call instead of apply.
•Make namespaces (such as paths) more compact to reduce startup time. Every level in the package is compiled to
an IF statement and causes a new Object call, so having fewer levels in the path saves time. For example, a path
with the levels com.xxx.yyy.aaa.bbb.ccc.funtionName causes an object to be instantiated for
com.xxx.yyy.aaa.bbb.ccc. Some Flash developers use preprocessor software to reduce the path to a unique
identifier, such as 58923409876.functionName, before compiling the SWF code.
•If a file consists of multiple SWF files that use the same ActionScript classes, exclude those classes from select SWF
files during compilation. This can help reduce file download time and run-time memory requirements.
•Avoid using Object.watch and Object.unwatch, because every change to an object property requires the player
to determine whether a change notification must be sent.
•If ActionScript code that executes on a keyframe in the timeline requires more than 1 second to complete, consider
splitting up that code to execute over multiple keyframes.
•Remove trace statements from the code when publishing the SWF file. To do this, select the Omit Trace Actions
check box on the Flash tab in the Publish Settings dialog box.
•Inheritance increases the number of method calls and uses more memory: a class that includes all the functionality
it needs is more efficient at run time than a class that inherits some of its functionality from a superclass. Therefore,
you may need to make a design trade-off between extensibility of classes and efficiency of code.
•When one SWF file loads another SWF file that contains a custom ActionScript class (for example,
foo.bar.CustomClass) and then unloads the SWF file, the class definition remains in memory. To save memory,
explicitly delete any custom classes in unloaded SWF files. Use the delete statement and specify the fully qualified
class name, such as: delete foo.bar.CustomClass.
•Limit the use of global variables, because they are not marked for garbage collection if the movie clip that defined
them is removed.
•Avoid using the standard user interface components (available in the Components panel in Flash). These
components are designed to run on desktop computers and are not optimized to run on mobile devices.
•Whenever possible, avoid deeply nested functions.
•Avoid referencing nonexistent variables, objects, or functions. Compared to the desktop version of Flash Player,
Flash Lite 2 looks up references to nonexistent variables slowly, which can significantly affect performance.
•Avoid defining functions using anonymous syntax. For example, myObj.eventName =
function{ ...}. Explicitly defined functions are more efficient, such as function myFunc { ...}; my
Obj.eventName = myFunc;.

493
USING FLASH PROFESSIONAL
Best practices
Last updated 1/16/2012
•Minimize the use of Math functions and floating-point numbers. Calculating these values slows performance. If
you must use the Math routines, consider precalculating the values and storing them in an array of variables.
Retrieving the values from a data table is much faster than having Flash calculate them at run time.
For more tips and techniques for creating content for mobile phones and devices, see
www.adobe.com/go/learn_cs_mobilewiki_en.
Managing Flash Lite file memory for mobile devices
Flash Lite regularly clears from memory any objects and variables that a file no longer references. This is known as
garbage collection. Flash Lite runs its garbage-collection process once every 60 seconds, or whenever usage of file
memory increases suddenly by 20% or more.
Although you cannot control how and when Flash Lite performs garbage collection, you can still free unneeded
memory deliberately. For timeline or global variables, use the delete statement to free the memory that ActionScript
objects use. For local variables—for example, a variable defined within a function definition—you can’t use the delete
statement to free an object’s memory, but you can set to null the variable that references the object. This frees the
memory that the object uses, provided there are no other references to that object.
The following two code examples show how to free memory that objects use by deleting the variable that references
those objects. The examples are identical, except that the first example creates a timeline variable and the second
creates a global variable.
// First case: variable attached to a movie or
// movie clip timeline
//
// Create the Date object.
var mcDateObject = new Date();
// Returns the current date as a string.
trace(mcDateObject);
// Delete the object.
delete mcDateObject;
// Returns undefined.
trace(mcDateObject);
//
// Second case: global variable attached to a movie or
// movie clip timeline
//
// Create the Date object.
_global.gDateObject = new Date();
// Returns the current date as a string.
trace(_global.gDateObject);
// Delete the object.
delete _global.gDateObject;
// Returns undefined.
trace(_global.gDateObject);
As mentioned previously, you can’t use the delete statement to free memory that a local function variable uses.
Instead, set the variable reference to null, which has the same effect as using delete.

494
USING FLASH PROFESSIONAL
Best practices
Last updated 1/16/2012
function func()
{
// Create the Date object.
var funcDateObject = new Date();
// Returns the current date as a string.
trace(funcDateObject);
// Delete has no effect.
delete funcDateObject;
// Still returns the current date.
trace(funcDateObject);
// Set the object reference to null.
funcDateObject = null;
// Returns null.
trace(funcDateObject);
}
// Call func() function.
func();
For more tips and techniques for creating content for mobile phones and devices, see
www.adobe.com/go/learn_cs_mobilewiki_en.
Loading data for mobile devices in Flash Lite
When developing files for mobile devices, minimize the amount of data you attempt to load at one time. If you are
loading external data into a Flash Lite file (for example, using XML.load), the device’s operating system may generate
a “memory failure” error if insufficient memory is allocated for the incoming data. This situation can occur even if the
total amount of remaining memory is sufficient.
For example, suppose a file attempts to load an XML file that’s 100 KB, but the device’s operating system has allocated
only 30 KB to handle that incoming data stream. In this case, Flash Litedisplays an error message to the user, indicating
that not enough memory is available.
To load large amounts of data, group the data in smaller pieces—for example, in several XML files—and make several
data-loading calls for each piece. The size of each piece of data, and therefore the number of data-loading calls you
need to make, varies by device and file. To determine an appropriate balance between the number of data requests and
the likelihood of a memory failure, test files on a variety of target devices.
For optimum performance, avoid loading and parsing XML files if possible. Instead, store data in simple name/value
pairs and load the data from a text file using loadVars or from precompiled SWF files.
For more tips and techniques for creating content for mobile phones and devices, see
www.adobe.com/go/learn_cs_mobilewiki_en.
Exclude classes from compilation for Flash Lite
To reduce the size of a SWF file, consider excluding classes from compilation but retaining the ability to access and use
them for type checking. For example, try this if you are developing a file that uses multiple SWF files or shared libraries,
especially those that access many of the same classes. Excluding classes helps avoid duplicating classes in those files.
1Create a new XML file.
2Name the XML file FLA_filename_exclude.xml, where FLA_filename is the name of the FLA file without the .fla
extension. For example, if the FLA file is sellStocks.fla, the XML filename must be sellStocks_exclude.xml.
3Save the file in the same directory as the FLA file.
4Place the following tags in the XML file:

495
USING FLASH PROFESSIONAL
Best practices
Last updated 1/16/2012
<excludeAssets>
<asset name="className1" />
<asset name="className2" />
</excludeAssets>
The values specified for the name attributes in the <asset> tags are the names of classes that should be excluded from
the SWF file. Add as many as required for the file. For example, the following XML file excludes the
mx.core.UIObject and mx.screens.Slide classes from the SWF file:
<excludeAssets>
<asset name="mx.core.UIObject" />
<asset name="mx.screens.Slide" />
</excludeAssets>
For more tips and techniques for creating content for mobile phones and devices, see
www.adobe.com/go/learn_cs_mobilewiki_en.

