MMB Research BSB03PA1X EFR32 802.15.4 Module User Manual
MMB Research Inc. EFR32 802.15.4 Module Users Manual
Users Manual

Page 1Rev 0.7 © MMB Networks 2018 BSB03PA1x Module Data Sheet
Pre-loaded with RapidConnect firmware Ensures compatibility with latest Zigbee and Thread
specifications
MMB Networks EFR32 Zigbee / Thread Module
BSB03PA10 / PA11 / PA12 Document Rev 0.7
The MMB Networks BSB03PA1x family is the latest generation
Zigbee and Thread capable module. Based on the EFR32 multi-
protocol IC from Silicon Labs, the BSB03PA1x are drop-in Zigbee 3.0
solutions. Preloaded with MMB Networks’ RapidSE Zigbee Smart
Energy application or RapidHA Home Automation application,
it offers hardware vendors an easy way to integrate a fully-
implemented, automated Zigbee Smart Energy or Zigbee Home
Automation platform into their existing devices.
MMB Networks offers a variety of hardware and software
development tools to facilitate integration. For more information,
please visit
http://www.mmbnetworks.com
Features Benefits
+19.5, +16.5, and +8 dBm transmit power options Power and price optimized to meet end product
transmit power requirements
Built on Silicon Labs EFR32 Wireless Gecko Family Industry leading 802.15.4 MCU ensures best-in-class
performance
Certified application layer, onboard stack, antenna and
regulatory approvals
Provides rapid time-to-market and short
implementation time
Up to 118 dB link budget Delivers unmatched range for difficult installations
SMD Chip Antenna or U.FL RF connector options Allows for external antennas where required
15.88mm x 12.6mm x 2.0mm module size Tiny module size will fit in the most miniature
applications
15 GPIO (General Purpose Input/Output) connections Flexibility to drive simple to complex devices
Preliminary Information

Page 2Rev 0.7 © MMB Networks 2018 BSB03PA1x Module Data Sheet
Contents
1 | General Information ...................................................................................................................................3
2 | Memory ........................................................................................................................................................3
3 | Module Pinout .............................................................................................................................................3
3.1 | Debug and Programming Interface ..........................................................................................................................................4
4 | Electrical Specications .............................................................................................................................4
4.1 | Absolute Maximum Ratings ...........................................................................................................................................................4
4.2 | Recommended Operating Conditions ....................................................................................................................................4
4.3 | DC Electrical Characteristics ...........................................................................................................................................................5
5 | RF Specications .........................................................................................................................................5
5.1 | Receive Specifications ........................................................................................................................................................................5
5.2 | Transmit Specifications ......................................................................................................................................................................5
5.2.1 | Typical Transmit Performance Curves (Tx Current vs. Tx Power) ..........................................................................6
5.2.2 | Typical Transmit Performance Curves (Output Power vs. Tx Power) ..................................................................7
6 | Functional Specications ..........................................................................................................................7
6.1 | Serial Ports .................................................................................................................................................................................................7
7 | Mechanical Specications .........................................................................................................................8
7.1 | Physical Dimensions ............................................................................................................................................................................8
7.2 | Recommended Land Pattern (Surface Mount) ..................................................................................................................9
7.3 | RF Connector Dimensions ............................................................................................................................................................ 10
7.4 | Label Drawings ....................................................................................................................................................................................10
8 | Soldering Temperature Time Prole for reow soldering (Lead-free solder)............................... 11
9 | Regulatory Approvals ............................................................................................................................. 11
9.1 | Federal Communications Commission (FCC - US) .........................................................................................11
9.2 | Industry Canada (IC) ........................................................................................................................................................................ 12
9.3 | EU .................................................................................................................................................................................................................13
9.4 | RoHS Compliance ..............................................................................................................................................................13
10 | Revision History ..................................................................................................................................... 13
11 | Ordering Information ........................................................................................................................... 14
Preliminary Information

Page 3Rev 0.7 © MMB Networks 2018 BSB03PA1x Module Data Sheet
1 | General Information
Note that some of the specifications refer to either the “EFR32” chip or the “Module”. Specifications cited as EFR32 are taken
from the EFR32 datasheet (this should also be noted where referred to). Module means measurements taken with our
production module.
2 | Memory
3 | Module Pinout
RAM (kB) On-Chip Flash (kB)
32 256
Module Pad Function EFR32 Pin Name (number) ADC Capable
1 2.4GHz antenna line out 2G4RF_IOP (12)
2 Module Ground
3 EFR32 GPIO, Port D #13 PD13 (14) Yes
4 EFR32 GPIO, Port D #14 PD14 (15) Yes
5 EFR32 GPIO, Port D #15 PD15 (16) Yes
6 EFR32 GPIO, Port A #1 PA1 (18) Yes
7 EFR32 GPIO, Port A #0 PA0 (17) Yes
8 Digital I/O Power Supply IOVDD (30)
9 EFR32 GPIO, Port B #11 PB11 (19) Yes
10 EFR32 GPIO, Port B #12 PB12 (20) Yes
11 Module Ground
12 Module Ground
13 Module Ground
14 EFR32 GPIO, Port B #13 PB13 (21) Yes
15 EFR32 GPIO, Port B #14 PB14 (23) Yes
16 EFR32 GPIO, Port B #15 PB15 (24) Yes
17 Module Ground
18 Module Main Power
19 Module Ground
20 EFR32 GPIO, Port C #10 PC10 (31) Yes
21 EFR32 GPIO, Port C #11 PC11 (32) Yes
22 Module Ground
23 Reset input, active low RESETn (8)
24 EFR32 GPIO, Port F #0 PF0 (1) Yes
25 EFR32 GPIO, Port F #1 PF1 (2) Yes
26 EFR32 GPIO, Port F #2 PF2 (3) Yes
27 Module Ground
Preliminary Information

Page 4Rev 0.7 © MMB Networks 2018 BSB03PA1x Module Data Sheet
3.1 | Debug and Programming Interface
In order to access the EFR32 for programming and debug purposes, it is recommended that the designer incorporate
Silcon Labs 10-pin Mini Simplicity connector.
The following table shows a pin mapping between Silicon Labs 10-pin Mini Simplicity connector and the module, and the
graphic to the right displays the layout of the Mini Simplicity connector.
4 | Electrical Specications
4.1 | Absolute Maximum Ratings
Parameter Minimum Maximum Units
Supply Voltage (VCC) 0 3.6 V
Voltage on any GPIO -0.3 VCC + 0.3 V
Voltage on any GPIO pin when used as an input to the general purpose ADC
with the low voltage range selected -0.3 2 V
Ambient Operating Temperature (standard version) -40 85 °C
Storage Temperature -50 150 °C
4.2 | Recommended Operating Conditions
Silicon Labs
Simplicity
Studio Port Pin Module Pad
1 18 (Module Main Power)
2 17 (Module Ground)
3 23 (Reset input, active low)
4 6 (EFR32 GPIO, Port A #1)
5 7 (EFR32 GPIO, Port A #0)
6 26 (EFR32 GPIO, Port F #2)
7 25 (EFR32 GPIO, Port F #1)
8 24 (EFR32 GPIO, Port F #0)
9 14 (EFR32 GPIO, Port B #13)
10 10 (EFR32 GPIO, Port B #12)
Parameter Minimum Typical Maximum Units
Supply Voltage (VCC) 2.0 3.3 3.6 V
Temperature Range -40 85 °C
1 2
3 4
5 6
7 8
9 10
VAEM
RST
VCOM_TX
SWDIO
PTI_FRAME
GND
VCOM_RX
SWO
SWCLK
PTI_DATA
Preliminary Information

Page 5Rev 0.7 © MMB Networks 2018 BSB03PA1x Module Data Sheet
4.3 | DC Electrical Characteristics
5 | RF Specications
5.1 | Receive Specifications
Note: The Typical number indicates one standard deviation above the mean, measured at room temperature (25°C). The
Min and Max numbers were measured over process corners at room temperature.
5.2 | Transmit Specifications
Frequency range 2400 2483.5 MHz
Sensitivity
1% PER, 20 byte packet defined by
IEEE 802.15.4-2003 -98 dBm
Output Power at highest power
setting
BSB03PA10 module 19.5 dBm
BSB03PA11 module 16.5 dBm
BSB03PA12 module 8.5 dBm
Parameter Test Condition Minimum Typical Maximum Units
Operating Current
At 25 °C, VCC = 3.3v, normal
mode, 19.5 dBm 140 mA
At 25 °C, VCC = 3.3v, normal
mode, 16.5 dBm 95 mA
At 25 °C, VCC = 3.3v, normal
mode, 8 dBm 30 mA
RX Current
At 25 °C, VCC = 3.3v, normal
mode, 2.4 GHz 8.7 mA
Deep Sleep Current
At 25 °C, VCC = 3.3v, shutdown
mode. Full RAM retention and
RTCC running from LFXO 2 μA
Preliminary Information

Page 6Rev 0.7 © MMB Networks 2018 BSB03PA1x Module Data Sheet
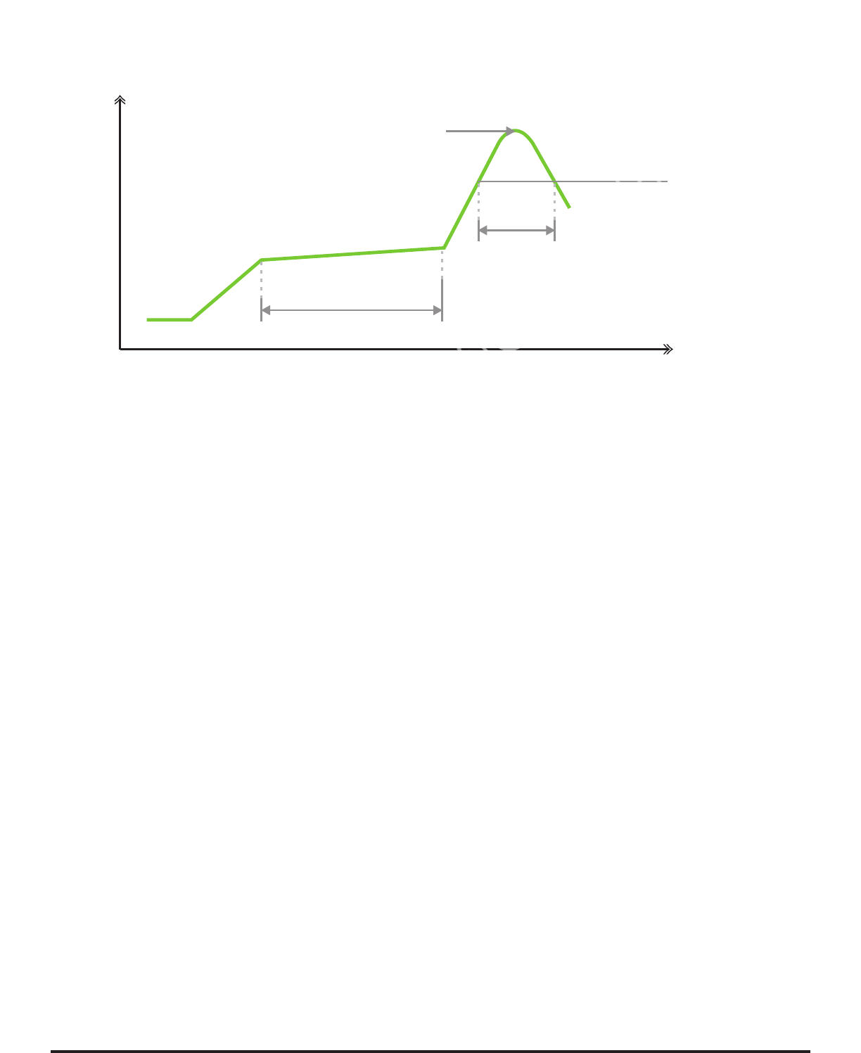
5.2.1 | Typical Transmit Performance Curves (Tx Current vs. Tx Power)
Note: The graph above is for the PA10 variant. For PA11 and PA12 modules, the maximum output power is limited by the
chosen SKU (16.5dBm or 8dBm respectively)
Preliminary Information

Page 7Rev 0.7 © MMB Networks 2018 BSB03PA1x Module Data Sheet
5.2.2 | Typical Transmit Performance Curves (Output Power vs. Tx Power)
Note: The graph above is for the PA10 variant. For PA11 and PA12 modules, the maximum output power is limited by
the chosen SKU (16.5dBm or 8dBm respectively)
6 | Functional Specications
6.1 | Serial Ports
Refer to the EFR32 data sheet for functionality and associated GPIO pinouts.
Note: The module pinout table in section 3 of this document provides a cross reference between the MMB module pins
and the EFR32 GPIO.
Note 2: The RapidConnect firmware supports UART communication with a baud rate of 115.2kbps. However, MMB can
modify this configuration as necessary through a Non-Recurring Engineering engagement.
Preliminary Information

Page 8Rev 0.7 © MMB Networks 2018 BSB03PA1x Module Data Sheet
7 | Mechanical Specications
7.1 | Physical Dimensions
Antenna
A
B
D
C
L
W
Symbol Description Distance
L Length of the module 15.88 mm
W Width of the module 12.60 mm
H Height of the module 2.88 mm
A Length of keep-out zone 5.50 mm
B Width of keep-out zone 8.50 mm
C Keep-out zone from corner of PCB 5.0 mm
D Keep-out zone from corner of PCB 5.0 mm
Note: The above table and recommendation apply to BSB03PA1x-CHP products only.
The BSB03PA1x family of devices use a System on Module (SOM) package process technology.
Preliminary Information

Page 9Rev 0.7 © MMB Networks 2018 BSB03PA1x Module Data Sheet
7.2 | Recommended Land Pattern (Surface Mount)
The diagram below shows the recommended dimensions and arrangement of the pads for the module. The daughtercard
upon which the module will be mounted should not include any traces or vias directly under the module, because they
may come in contact with the module’s traces and cause unexpected behavior. If it is absolutely necessary to include traces
and/or vias under the module due to space constraints, then a customer can elect to do so at their own risk. MMB can
provide a Hardware Designer Package to show the module’s footprint and drill locations, which must not line up with the
daughtercard’s drill locations.
F6
F1
F2
F4
F5
F7
Top and Bottom
Pad Dimensions
0.64 mm
1.14 mm
1 13
27 22
21
14
Right Side
Pad Dimensions
1.14 mm
0.64 mm
F5
F3
Symbol Description Distance
F1 Distance pad centre to pad centre 2.68 mm
F2 Distance pad centre to pad centre 1.40 mm
F3 Distance pad centre to pad centre 3.52 mm
F4 Distance pad centre to pad centre 1.48 mm
F5 Pitch 1.02 mm
F6 Module silkscreen outline 12.60 mm
F7 Module silkscreen outline 15.88 mm
Preliminary Information

Page 10Rev 0.7 © MMB Networks 2018 BSB03PA1x Module Data Sheet
7.3 | RF Connector Dimensions
The diagram below shows the dimensions for the RF connector. This connector appears on the -RFC variants only.
7.4 | Label Drawings
Preliminary Information

Page 11Rev 0.7 © MMB Networks 2018 BSB03PA1x Module Data Sheet
8 | Soldering Temperature Time Prole for reow soldering (Lead-free solder)
150˚C - 190˚C
220˚C
30 +20/-10s
90 ±30s
230˚C - 240˚C max
Temp
[ ˚C ]
Time [ s ]
Maximum reflow cycles: 2
Opposite-side reflow is prohibited due to the module weight. You must not place the module on the bottom / underside
of your PCB and re-flow.
9 | Regulatory Approvals
9.1 | Federal Communications Commission (FCC - US)
Note: this section applies to BSB03PA1x-CHP and BSB03PA1x-RFC devices only.
9.1.1 | Approved Antennae
For the BSB03PA1x-CHP modules using the onboard chip antenna, the approved power level settings are -2 dBm for
channels 11-25 and -20 dBm for channel 26. The onboard chip antenna is Inpaq ACA-2012-A1-CC-S.
For the BSB03PA1x-RFC modules using the approved external antenna, the approved power level settings are -11 dBm for
channels 11-25 and -26 dBm for channel 26. The BSB03PA1x-RFC devices have been approved with the following external
FCC approved antennas: Mag Layers EDA-1713-2G4C1-A2, and Bondale G-RA0K13200284-SZ478.
9.1.2 | FCC Notice
The BSB03PA1x-CHP and BSB03PA1x-RFC devices comply with Part 15 of the FCC rules. Operation is subject to the following
two conditions:
(1) This device may not cause harmful interference, and
(2) This device must accept any interference received, including interference that may cause undesired operation.
To comply with FCC RF Exposure requirements, users of this device must ensure that the module be installed and/or
configured to operate with a separation distance of 20cm or more from all persons.
Usage of Channel 26 at full power will result in non-compliance to FCC standards. MMB recommends avoiding use of
channel 26 and if necessary only use with a reduced power setting. For further details please contact MMB.
Preliminary Information

Page 12Rev 0.7 © MMB Networks 2018 BSB03PA1x Module Data Sheet
This equipment has been tested and found to comply with the limits for a Class B digital device, pursuant to Part 15 of
the FCC Rules. These limits are designed to provide reasonable protection against harmful interference in a residential
installation. This equipment generates, uses and can radiate radio frequency energy and, if not installed and used in
accordance with the instructions, may cause harmful interference to radio communications. However, there is no
guarantee that interference will not occur in a particular installation. If this equipment does cause harmful interference to
radio or television reception, which can be determined by turning the equipment off and on, the user is encouraged to try
to correct the interference by one of the following measures:
• Reorient or relocate the receiving antenna.
• Increase the separation between the equipment and receiver.
• Connect the equipment into an outlet on a circuit different from that to which the receiver is connected.
• Consult the dealer or an experienced radio/TV technician for help.
9.1.3 | Modular Approval
The BSB03PA1x-CHP and BSB03PA1x-RFC devices meet the requirements for modular transmitter approval as detailed in the
FCC public notice DA 00-1407.
It should be noted that:
“While the applicant for a device into which an authorized module is installed is not required to obtain a new authorization
for the module, this does not preclude the possibility that some other form of authorization or testing may be required for
the device (e.g., a WLAN into which an authorized module is installed must still be authorized as a PC peripheral, subject to
the appropriate equipment authorization).”
-- FCC Public Notice DA 00-1407
Caution:
Changes or modifications not expressly approved by the party responsible for compliance could void the user’s authority
to operate the equipment.
NOTE:
This module is intended for an OEM integrator. The OEM integrator is responsible for the compliance to all the rules that
apply to the product into which this certified RF module is integrated. Additional testing and certification may be necessary
when multiple modules are used.
A 20cm minimum distance has to be able to be maintained between the antenna and the users for the host this module
is integrated into. Under such configuration, the FCC radiation exposure limits set forth for a population/uncontrolled
environment can be satisfied.
Further RF exposure shall be re-evaluated to the scenario of portable, and collocated use.
USER MANUAL OF THE END PRODUCT:
In the user manual of the end product, the end user has to be informed to keep at least 20cm separation with the antenna
while this end product is installed and operated. The end user has to be informed that the FCC radio-frequency exposure
guidelines for an uncontrolled environment can be satisfied.
The end user has to also be informed that any changes or modifications not expressly approved by the manufacturer could
void the user’s authority to operate this equipment.
Preliminary Information

Page 13Rev 0.7 © MMB Networks 2018 BSB03PA1x Module Data Sheet
9.1.4 | Labeling Requirements
The user of this device is responsible for meeting the FCC labeling requirements. A clearly visible label on the exterior
enclosure of an incorporating device must list the MMB Research Inc. FCC ID “XFF-BSB03PA1X” and the FCC Notice above
(section 9.1.1).
The exterior label should use the wording “Contains” or “Contains Transmitter Module”. For example:
Contains FCC ID: XFF-BSB03PA1X
or
Contains Transmitter Module FCC ID: XFF-BSB03PA1X
Any similar wording that expresses the same meaning may be used.
If the labelling area is smaller than the palm of the hand, then additional FCC part 15.19 statement is required to be
available in the users manual: This device complies with Part 15 of FCC rules. Operation is subject to the following two
conditions: (1) this device may not cause harmful interference and (2) this device must accept any interference received,
including interference that may cause undesired operation.
LABEL OF THE END PRODUCT:
The final end product must be labeled in a visible area with the following “Contains TX FCC ID: XFF-BSB03PA1X”.
If the labelling area is larger than the palm of the hand, then the following FCC part 15.19 statement has to also be
available on the label: This device complies with Part 15 of FCC rules. Operation is subject to the following two conditions:
(1) this device may not cause harmful interference and (2) this device must accept any interference received, including
interference that may cause undesired operation.
9.2 | Industry Canada (IC)
Note: this section applies to BSB03PA1x-CHP and BSB03PA1x-RFC devices only.
9.2.1 | Approved Antennae
For the BSB03PA1x-CHP modules using the onboard chip antenna, the approved power level settings are -2 dBm for
channels 11-25 and -20 dBm for channel 26.
For the BSB03PA1x-RFC modules using the approved external antenna, the approved power level settings are -11 dBm for
channels 11-25 and -26 dBm for channel 26.
9.2.2 | IC Notice
This device complies with Industry Canada licence-exempt RSS standard(s).
Operation is subject to the following two conditions:
(1) this device may not cause interference, and
(2) this device must accept any interference, including interference that may cause undesired operation of the device.
Le présent appareil est conforme aux CNR d’Industrie Canada applicables aux appareils radio exempts de licence.
L’exploitation est autorisée aux deux conditions suivantes :
(1) l’appareil ne doit pas produire de brouillage, et
(2) l’utilisateur de l’appareil doit accepter tout brouillage radioélectrique subi, même si le brouillage est susceptible d’en
compromettre le fonctionnement.
Preliminary Information

Page 14Rev 0.7 © MMB Networks 2018 BSB03PA1x Module Data Sheet
9.2.3 | Labeling Requirements
The host device shall be properly labelled to identify the modules within the host device. The Industry Canada certification
label of a module shall be clearly visible at all times when installed in the host device, otherwise the host device must be
labelled to display the Industry Canada certification number of the module, preceded by the words “Contains transmitter
module”, or the word “Contains”, or similar wording expressing the same meaning, as follows:
Contains transmitter module IC: 8365A-BSB03PA1X
Contient le émetteur radio IC: 8365A-BSB03PA1X
9.3 | EU
Note: this section applies to BSB03PA1x-CHP and BSB03PA1x-RFC devices only.
BSB03PA1x-CHP and BSB03PA1x-RFC devices are compliant with the following EU standards: ETSI EN 300 328 (v1.9.1), ETSI
EN 301 489 1 (v1.9.2) and ETSI EN 301 489 17 (v2.2.1), provided that the transmit power level is set to -2 dBm (if on-board
antenna is used) or -11 dBm (if whip antenna is used).
These devices are also compliant with 2014/53/EU.
9.4 | RoHS Compliance
The BSB03PA1X devices do not contain any substances in excess of the maximum concentration allowed by Directive
2002/95/EC. The module is RoHS compliant.
10 | Revision History
Revision Date Comments
0.7 2018/02/13
Added Debug and Programming
Section, Updated FCC/IC section
0.6 2017/11/21
Updated dimensions, package type,
and ordering information
0.5 2017/10/04 Regulatory Information added
0.4 2017/09/15 New SKU names, minor updates
0.3 2017/08/24 Added PA11 and PA12 variants
0.2 2017/07/10 Minor updates
0.1 2017/05/29 Initial draft
Preliminary Information

Page 15Rev 0.7 © MMB Networks 2018 BSB03PA10x Module Data Sheet
Copyright © 2018 MMB Research Inc. All rights reserved.
The information in this document is subject to change without notice. This document
is believed to be accurate and reliable, but the statements contained herein are
presented without expressed or implied warranty.
MMB Networks is a division of MMB Research Inc
RapidSE, RapidHA, and RapidConnect are trademarks of MMB Research Inc.
All other trademarks are the property of their respective holders.
February 2018
500 -243 College Street
Toronto, Ontario, Canada
M5T 1R5
416.636.3145
info@mmbnetworks.com
www.mmbnetworks.com
11 | Ordering Information
HW SKU
Max Output
Power (dBm)
RF Output
Option Status
BSB03PA10-CHP 19.5 Chip Antenna Engineering Samples
BSB03PA10-RFC 19.5 RF Connector Engineering Samples
BSB03PA10-PIN 19.5 Module Pad 1 Engineering Samples
BSB03PA11-CHP 16.5 Chip Antenna Engineering Samples
BSB03PA11-RFC 16.5 RF Connector Engineering Samples
BSB03PA11-PIN 16.5 Module Pad 1 Engineering Samples
BSB03PA12-CHP 8 Chip Antenna Engineering Samples
BSB03PA12-RFC 8 RF Connector Engineering Samples
BSB03PA12-PIN 8 Module Pad 1 Engineering Samples
Note: The above table provides the HW SKU which forms the first part of the complete part number. The complete part
number takes the format: BSB03PA1x-yyy-r-zzz.
Where r is the regulatory region (E=Europe, N=North America), and zzz represents a three digit programming code.
Contact your local MMB sales representative to determine the correct programming code for your application.
Preliminary Information