5V1.25A ERP UL REV1.1 US Power Adapter
2016-04-11
: Pdf Us Power Adapter 5V1.25A Erp Ul Rev1.1 US_power_adapter_5V1.25A_ERP_UL_REV1.1 CertsReports 506526 ProductFiles
Open the PDF directly: View PDF
.
Page Count: 12

APPROVAL SHEET
RoHS compliant
APPROVAL SIGNATURES:
CUSTOMER : 源拓光电
PART NAME : 5V 1.25A ADAPTER UL
MODEL NO. : BSW0127-5012502W
ISSUE DATE : 2010-8-3
VERSION NO. : REV1.1
EFFICIENCY STANDARDS: ERP ⅴ
ACEPOWER ELECTRONICS CO.,LTD.
Add.:No.312 Hongfa Road,South Bridge Area,Xiaoshan,
Hangzhou,P.R.China P.C.:311231
Tel: +86-571-22868352
Fax: +86-571-22868512
E-mail: jennyking@acepower.com.cn
http://www.acepower.com.cn
Please fax back after your confirming.

Approved
by
Checked
by
Designed
by
Prepared
by
ACEPOWER ELECTRONICS CO., LTD.
Specification Department R&D
Page 1
Type BSW0127-5012502W ADAPTER Date 2010-8-3
Document History
Change Information
Date Revision No. Previous version Current version
2010-8-3 REV1.1 / DC cord is changed.

Approved
by
Checked
by
Designed
by
Prepared
by
ACEPOWER ELECTRONICS CO., LTD.
Specification Department R&D
Page 2
Type BSW0127-5012502W ADAPTER Date 2010-8-3
LIST
1. Scope
2. Model No.
3. Referenced standard
4. Electrical characteristics
5. Circuit diagram
6. Use guide
7. Caution
8. Attachments
8.1 Label
8.2 DC cord drawing
8.3 Appearance drawing
8.4 Assembly drawing
8.5 Pack drawing
8.6 Test report

Approved
by
Checked
by
Designed
by
Prepared
by
ACEPOWER ELECTRONICS CO., LTD.
Specification Department R&D
Page 3
Type BSW0127-5012502W ADAPTER Date 2010-8-3
1.Scope:This specification is applied to 5V 1.25A ADAPTER
2.Model No.: BSW0127-5012502W ADAPTER
3.Referenced standard:UL60950-1.
4.Electrical characteristics
4.1 Operating conditions:
Operating temperature:0℃~40℃
Storage temperature:-20℃~70℃
Relative humidity:≤95%
Air pressure:70~106KPa
4.2 Performance and measurement conditions:
No Item Specifications Test Conditions
1 Appearance
The color of the case is accordant. Pour
is not distinctly deficient, no markedly
air bubbles, sinking, and so on. The top
and bottom case is tie in, no clearance,
displacement≤1mm, lax≤1mm and so
on. After free drop, the case is close.
Visual Inspection
2 Size See Appearance drawing Vernier caliper
3 Power supply voltage 100-240VAC 50/60Hz
4 Input current 500mA
5 Output voltage Vout=5±5%VDC 0A≤IO≤1.25A
6 Ripple&Noise ≤100mVp-p
Measurement is done by 20MHz
bandwidth oscilloscope and
terminated each output with a
0.1uF ceramic capacitor and a
10uF electrolytic capacitor.
(Vin=220VAC)
7 Average efficiency ≥69.8%
Measurement is done by
25%load, 50%load, 75%load ,
100%load ,at 115VAC and
230VAC.
8 Input power
consumption ≤0.3W No load

Approved
by Checked by Designed
by
Prepared
by
ACEPOWER ELECTRONICS CO., LTD.
Specification Department R&D
Page 4
Type BSW0127-5012502W ADAPTER Date 2010-8-3
No. Item Specifications Test conditions
9 Over voltage protection Use the Zener diode to protect the output.
10
Short circuit protection
The adapter will shut
down and will not been
damaged.
If short circuit occurs, all the output should be
protected. After the fault, the adapter
automatically recovers.
11 Dielectric Strength
Without damage such
as insulation break
down.
Primary and secondary: AC3000(50Hz)
Vrms,5mA, 1 minute for type test,1 second for
production test.
DC500V shall be applied for 1min. between
Primary and Secondary, Primary and case
12 Insulation resistance ≥20MΩ DC500V shall be applied for 1min. between
Secondary and case.
13 Cord bending test ≥1000 times
The DC cord shall withstand weight of 500g,it
swing from left to right at angle of 120 degree, 40
times per min.
14 Strain relief test No damaged after the
test
Fix the main part of the adapter, Plug and cord at
their normal position applied a weight of 5 Kg to
output for 15 seconds.
15 High temperature
storage test
The adapter shall be storaged at temperature of
40±2℃,for 24hours.
16 Low temperature storage
test
The adapter shall be storaged at temperature of
0±2 for 24℃hours.
17
High temperature and
high humidity operation
test
Clause 4.2.1, 4.2.5,
4.2.6, 4.2.11, 4.2.12
shall be satisfied. The adapter shall be storaged at temperature of
40±2℃ with relative of 90%-95% for 48hours.
18 M.T.B.F ≥50,000 hours At 25℃
19 Vibration test
Frequency:10-55Hz
Amplitude:0.15mm,
Time: 10times per directions (X,Y,and Z)
20 Free drop test
No breakage should be
observed; Mechanical
and electronic
characteristic meet
design request
Dropping from a height of 60cm to a wood plate
of 20mm thickness. And 1 time each side total 6
times.

Approved
by
Checked
by
Designed
by
Prepared
by
ACEPOWER ELECTRONICS CO., LTD.
Specification Department R&D
Page 5
Type BSW0127-5012502W ADAPTER Date 2010-8-3
5.Circuit diagram
6.Use guide
Input:100-240VAC 50/60Hz (500mA)
Output:5VDC 1.25A
I/O connector Pin description:in(+),out(-)
7.Caution
7.1 Risk of electric shock
7.2 For indoor use only
7.3 Do not open the unit
7.4 Dry location use only
8. Attachments
8.1 Label
8.1.1 Material:PC (granulation);
8.1.2 Thickness:< 0.3mm;
8.1.3 Color:Black grounding, argent font;
8.1.4 L/No.:CY1028 is the track date,
“10”means year, “28” means week;
8.1.5 Size & Content:
Transformer Stabilize
Voltage
Voltage
Output
Control
Voltage
100-240VAC

8.2 DC cord drawing

8.3 Appearance drawing

8.4 Assembly drawing

8.5 Pack drawing

8.6 Test report
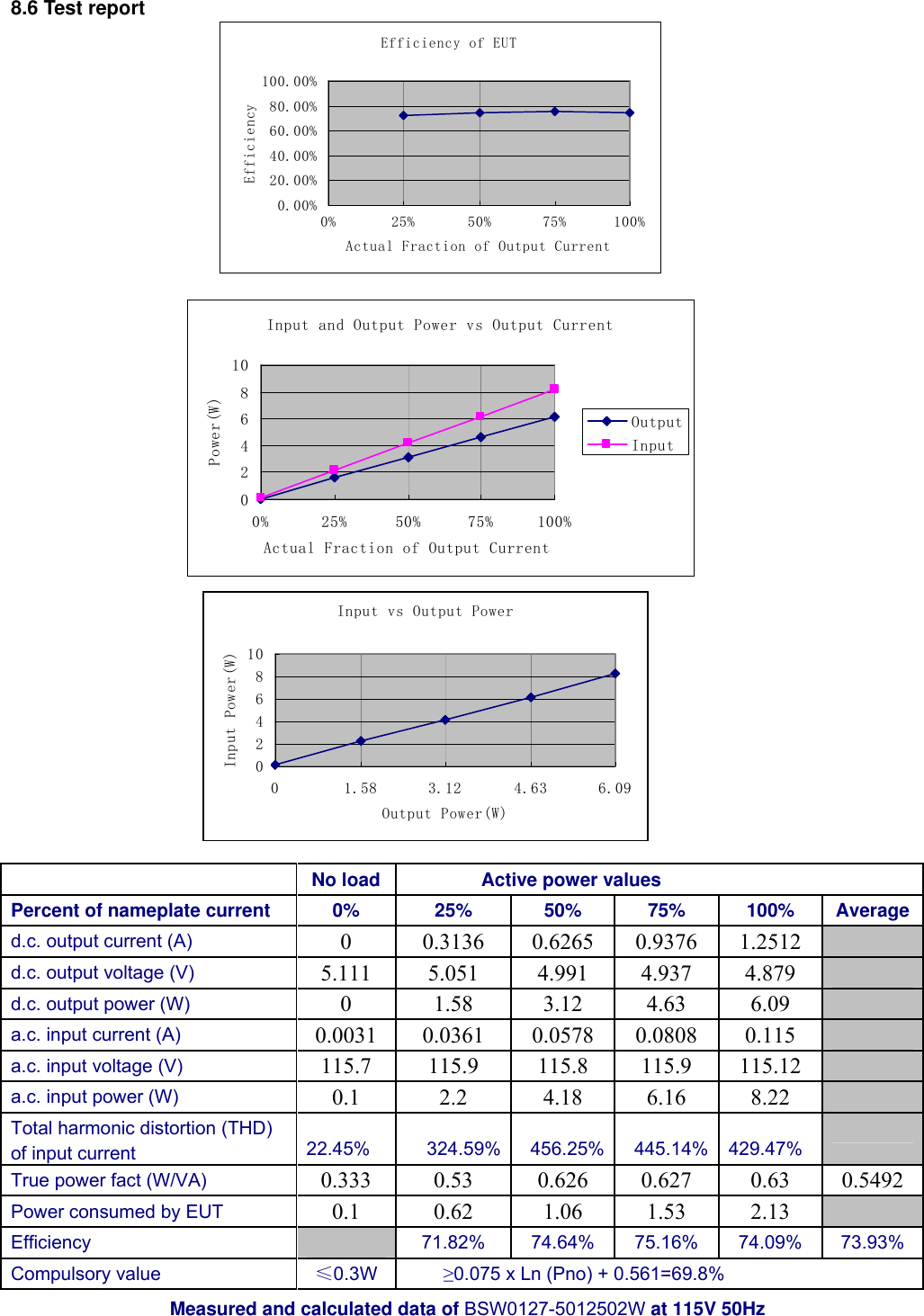
No load Active power values
Percent of nameplate current 0% 25% 50% 75% 100% Average
d.c. output current (A) 0 0.3136 0.6265 0.9376 1.2512
d.c. output voltage (V) 5.111 5.051 4.991 4.937 4.879
d.c. output power (W) 0 1.58 3.12 4.63 6.09
a.c. input current (A) 0.0031 0.0361 0.0578 0.0808 0.115
a.c. input voltage (V) 115.7 115.9 115.8 115.9 115.12
a.c. input power (W) 0.1 2.2 4.18 6.16 8.22
Total harmonic distortion (THD)
of input current
22.45%
324.59%
456.25%
445.14%
429.47%
True power fact (W/VA) 0.333 0.53 0.626 0.627 0.63 0.5492
Power consumed by EUT 0.1 0.62 1.06 1.53 2.13
Efficiency 71.82% 74.64% 75.16% 74.09% 73.93%
Compulsory value ≤0.3W ≥0.075 x Ln (Pno) + 0.561=69.8%
Measured and calculated data of BSW0127-5012502W at 115V 50Hz
Efficiency of EUT
0.00%
20.00%
40.00%
60.00%
80.00%
100.00%
0% 25% 50% 75% 100%
Actual Fraction of Output Current
Efficiency
Input and Output Power vs Output Current
0
2
4
6
8
10
0% 25% 50% 75% 100%
Actual Fraction of Output Current
Power(W)
Output
Input
Input vs Output Power
0
2
4
6
8
10
0 1.58 3.12 4.63 6.09
Output Power(W)
Input Power(W)

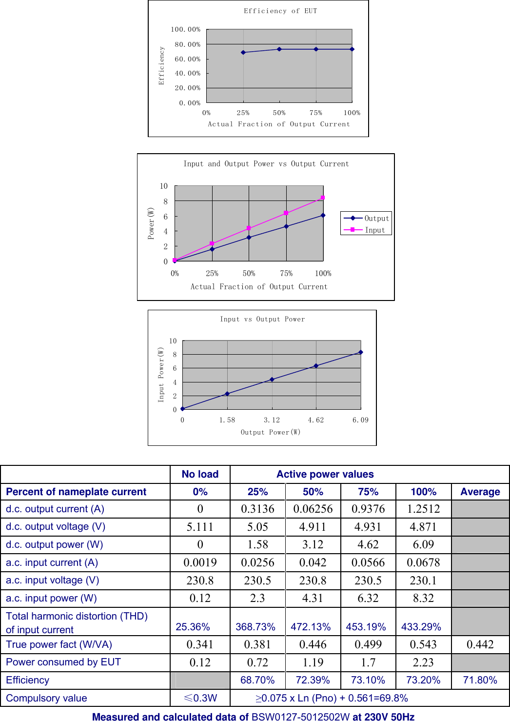
Efficiency of EUT
0.00%
20.00%
40.00%
60.00%
80.00%
100.00%
0% 25% 50% 75% 100%
Actual Fraction of Output Current
Efficiency
Input and Output Power vs Output Current
0
2
4
6
8
10
0% 25% 50% 75% 100%
Actual Fraction of Output Current
Power(W)
Output
Input
Input vs Output Power
0
2
4
6
8
10
0 1.58 3.12 4.62 6.09
Output Power(W)
Input Power(W)
No load Active power values
Percent of nameplate current 0% 25% 50% 75% 100% Average
d.c. output current (A) 0 0.3136 0.06256 0.9376 1.2512
d.c. output voltage (V) 5.111 5.05 4.911 4.931 4.871
d.c. output power (W) 0 1.58 3.12 4.62 6.09
a.c. input current (A) 0.0019 0.0256 0.042 0.0566 0.0678
a.c. input voltage (V) 230.8 230.5 230.8 230.5 230.1
a.c. input power (W) 0.12 2.3 4.31 6.32 8.32
Total harmonic distortion (THD)
of input current
25.36%
368.73%
472.13%
453.19%
433.29%
True power fact (W/VA) 0.341 0.381 0.446 0.499 0.543 0.442
Power consumed by EUT 0.12 0.72 1.19 1.7 2.23
Efficiency 68.70% 72.39% 73.10% 73.20% 71.80%
Compulsory value ≤0.3W ≥0.075 x Ln (Pno) + 0.561=69.8%
Measured and calculated data of BSW0127-5012502W at 230V 50Hz