Prodrive Technologies SC2MCSIO SC2MCSIO RFID User Manual

Prodrive Technologies B.V. SC2MCSIO RFID Users Manual

Users Manual

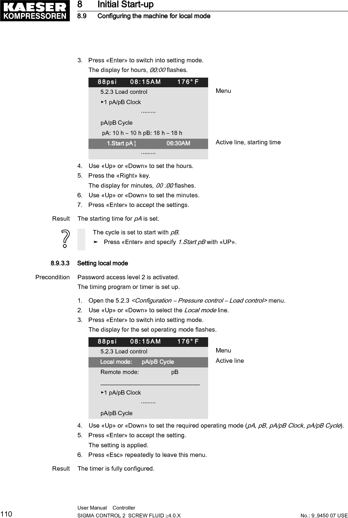
 User Manual Controller  SIGMA CONTROL 2   SCREW FLUID ≥4.0.X No.: 9_9450 07 USEManufacturer:KAESER KOMPRESSOREN SE96410 Coburg • PO Box 2143 • GERMANY • Tel. +49-(0)9561-6400 • Fax +49-(0)9561-640130http://www.kaeser.com
/KKW/SSC 2.08 en Z1 IBA-SIGMA CONTROL FLUID/KKW/SSC 2.08 Z120170413 074810
1 SIGMA CONTROL 2 Quick installation guide1.1 Operating elements .......................................................................................................... 11.2 Display elements .............................................................................................................. 21.3 Main menu ....................................................................................................................... 21.4 Functions – Overview ....................................................................................................... 32 Regarding this Document2.1 Using this document ......................................................................................................... 52.2 Copyright .......................................................................................................................... 52.2.1 Software .............................................................................................................. 52.3 Approvals ......................................................................................................................... 62.4 Updating the user manual ................................................................................................ 62.5 Symbols and labels .......................................................................................................... 62.5.1 Warnings ............................................................................................................. 72.5.2 Potential damage warnings ................................................................................ 72.5.3 Other alerts and their symbols ............................................................................ 83 Technical Data3.1 SIGMA CONTROL 2 Controller ....................................................................................... 93.1.1 Versions and options .......................................................................................... 93.1.2 User interface with display, CPU and interfaces ................................................. 93.1.3 Inputs and outputs with MCSIO .......................................................................... 123.1.4 Input/output modules .......................................................................................... 123.1.5 Sensors ............................................................................................................... 144 Safety and Responsibility4.1 Basic instructions ............................................................................................................. 164.2 Specified use .................................................................................................................... 164.3 Improper use .................................................................................................................... 165 Design and Function5.1 The controller ................................................................................................................... 175.2 Operating panel ................................................................................................................ 195.2.1 Indicating and operating elements ...................................................................... 195.2.2 Display elements ................................................................................................ 205.2.3 RFID reader ........................................................................................................ 215.3 Display  ............................................................................................................................ 215.3.1 Operating mode .................................................................................................. 225.3.2 Main menu .......................................................................................................... 235.3.3 Setting parameters ............................................................................................. 235.3.4 Activating keys with check boxes ....................................................................... 245.4 Access rights .................................................................................................................... 245.5 KAESER CONNECT ........................................................................................................ 255.6 Menus – overview ............................................................................................................ 265.6.1 Operating mode .................................................................................................. 265.6.2 Menu structure .................................................................................................... 275.7 Operating modes and control modes ............................................................................... 425.7.1 Operating modes ................................................................................................ 425.7.2 Control modes .................................................................................................... 435.7.3 Frequency-controlled drive (SFC) ....................................................................... 445.7.4 MODULATING control ........................................................................................ 456 Installation and Operating Conditions6.1 Maintaining ambient conditions ........................................................................................ 466.2 Installation conditions ....................................................................................................... 46ContentsNo.: 9_9450 07 USEUser Manual    Controller  SIGMA CONTROL 2  SCREW FLUID ≥4.0.X i
7 Installation7.1 Reporting Transport Damage ........................................................................................... 477.2 Machine identification ....................................................................................................... 478 Initial Start-up8.1 Outline .............................................................................................................................. 488.2 Configuring the controller ................................................................................................. 488.2.1 Selecting menu options ...................................................................................... 498.2.2 Setting the language ........................................................................................... 508.2.3 Noting the number of the KAESER Equipment Card ......................................... 518.2.4 User log-in with KAESER Equipment Card ........................................................ 528.2.5 Generating a password ....................................................................................... 538.2.6 Manual user log-in .............................................................................................. 548.2.7 Checking and setting time and date ................................................................... 558.2.8 Set the time zone ................................................................................................ 578.2.9 Setting display formats ....................................................................................... 578.2.10 Setting the display illumination ........................................................................... 608.2.11 Setting the contrast and the brightness .............................................................. 618.2.12 Activating the remote control .............................................................................. 618.2.13 IP configuration  .................................................................................................. 628.2.14 Setting the e-mail function  ................................................................................. 638.2.15 Configuring the time server  ................................................................................ 658.3 Using KAESER CONNECT .............................................................................................. 668.3.1 Open KAESER CONNECT ................................................................................. 678.3.2 System status menu ........................................................................................... 688.3.3 Graphs menu ...................................................................................................... 698.3.4 Messages menu ................................................................................................. 718.3.5 I/O display menu ................................................................................................. 728.3.6 User management menu .................................................................................... 738.3.7 Settings ............................................................................................................... 768.3.8 Backup menu ...................................................................................................... 778.3.9 Closing KAESER CONNECT ............................................................................. 778.4 Adjusting the pressure parameters of the machine  ......................................................... 788.4.1 Displaying pressure parameters ......................................................................... 798.4.2 Configuring the pressure parameters ................................................................. 798.4.3 Activating/deactivating the «LOAD/IDLE» key .................................................... 828.5 Configuring machine start and stop ................................................................................. 838.5.1 Automatic start/stop in timer mode  .................................................................... 838.5.2 Setting up the holiday period .............................................................................. 878.5.3 Starting the machine remotely (Remote ON/OFF) ............................................. 888.5.4 Activating the remote control  ............................................................................. 908.5.5 Activating/deactivating the idle period "Venting period" function  ....................... 918.5.6 Activating/deactivating and adjusting the "Autostart" function ............................ 918.6 Activating and adjusting the control modes ...................................................................... 948.6.1 Selecting a control mode .................................................................................... 948.6.2 Adjusting the idle time of DUAL control mode .................................................... 958.6.3 Adjusting the minimum running and unloaded period in QUADRO controlmode ...................................................................................................................968.7 Electronic Thermal Management  .................................................................................... 978.7.1 Activating the heat recovery for machine type 2 ................................................. 978.7.2 Activating the heat recovery for machine type 3 ................................................. 998.7.3 Deactivating heat recovery ................................................................................. 1008.8 Refrigerated dryer  ........................................................................................................... 1018.8.1 Setting the operating mode ................................................................................. 1018.8.2 Output messages ................................................................................................ 102Contentsii User Manual    Controller  SIGMA CONTROL 2  SCREW FLUID ≥4.0.X No.: 9_9450 07 USE
8.8.3 Fault in the refrigerated dryer – compressed air quality has priority ................... 1038.8.4 Fault in the refrigerated dryer – compressed air quantity has priority ................. 1048.9 Configuring the machine for local mode  .......................................................................... 1058.9.1 Load control menu .............................................................................................. 1058.9.2 Configuring the system setpoint pressure changeover using the clock .............. 1068.9.3 Configuring the system setpoint pressure changeover using the timer .............. 1098.10 Configuring the machine for master control ..................................................................... 1118.10.1 List of the different master controllers ................................................................. 1118.10.2 SAM 4.0 mode  ................................................................................................... 1118.10.3 Configuring PROFIBUS mode (SIGMA AIR MANAGER) ................................... 1148.10.4 Configuring the master control of two machines in master/slave operation  ...... 1228.10.5 Configuring master control using the LOAD remote contact (e.g.,SIGMA AIR MANAGER BASIC)  ........................................................................1288.10.6 Configuring the master control with local/LOAD remote contact  ....................... 1308.10.7 Setting the setpoint pressure pre-selection via remote contact  ......................... 1338.10.8 Configuring master control of compressors regulated by pressure switch  ........ 1348.10.9 Examples of time settings for equal overall load  ............................................... 1408.11 Configuring input and output signals ................................................................................ 1418.11.1 Outputting important operational states of the machine ..................................... 1418.11.2 Output input signals on the display ..................................................................... 1438.11.3 Output measured values on the display ............................................................. 1478.12 Activating remote acknowledgement  .............................................................................. 1528.12.1 Setting the remote acknowledgement function ................................................... 1538.12.2 Activating the remote control .............................................................................. 1538.12.3 Assigning an input .............................................................................................. 1548.13 Linking to an external pressure transducer  ..................................................................... 1558.13.1 Pressure control menu ........................................................................................ 1558.13.2 Assigning an input to an external pressure transducer ...................................... 1558.14 Commissioning the machine  ........................................................................................... 1569 Operation9.1 Switching on and off ......................................................................................................... 1589.1.1 Switching on ....................................................................................................... 1589.1.2 Switching off ....................................................................................................... 1599.2 Switching off in an emergency and switching on again .................................................... 1599.3 Acknowledging alarm and warning messages ................................................................. 1609.4 Displaying messages  ...................................................................................................... 1619.4.1 Selecting the status menu .................................................................................. 1629.5 Displaying the current operating mode  ........................................................................... 1639.6 Adjusting the working pressure ........................................................................................ 1649.7 Displaying analog data  .................................................................................................... 1649.8 Displaying operating data  ................................................................................................ 1659.8.1 Checking the operating hours ............................................................................. 1669.8.2 Checking the switching cycles ............................................................................ 1679.9 Displaying the frequency converter settings  ................................................................... 1689.10 Setting the maintenance interval  ..................................................................................... 1689.11 Checking the safety relief valve  ...................................................................................... 1709.12 Checking the temperature sensor and overheating shutdown function ........................... 1729.13 Save data  ........................................................................................................................ 17410 Fault Recognition and Rectification10.1 Basic instructions ............................................................................................................. 17510.2 Interpreting alarm messages ............................................................................................ 17510.3 Interpreting warning messages ........................................................................................ 18410.4 Interpreting operation messages ...................................................................................... 197ContentsNo.: 9_9450 07 USEUser Manual    Controller  SIGMA CONTROL 2  SCREW FLUID ≥4.0.X iii
10.5 Interpreting diagnostic messages .................................................................................... 20110.6 Interpreting system messages ......................................................................................... 20211 Maintenance11.1 Changing the buffer battery .............................................................................................. 20312 Spares, Operating Materials, Service12.1 Note the nameplate .......................................................................................................... 20412.2 KAESER AIR SERVICE ................................................................................................... 20412.3 Service Addresses ........................................................................................................... 20412.4 Displaying the version number, machine model, part number and serial number  .......... 20413 Decommissioning, Storage and Transport13.1 De-commissioning ............................................................................................................ 20613.2 Packing ............................................................................................................................ 20613.3 Storage ............................................................................................................................. 20613.4 Transporting ..................................................................................................................... 20613.5 Disposal ........................................................................................................................... 20613.5.1 Battery disposal .................................................................................................. 206Contentsiv User Manual    Controller  SIGMA CONTROL 2  SCREW FLUID ≥4.0.X No.: 9_9450 07 USE
Fig. 1 Operating elements .................................................................................................................... 1Fig. 2 Display elements ........................................................................................................................ 2Fig. 3 MCS interfaces ........................................................................................................................... 10Fig. 4 MCSIO interfaces ....................................................................................................................... 11Fig. 5 MCS system design with IOM .................................................................................................... 18Fig. 6 MCSIO system design ................................................................................................................ 18Fig. 7 Indicating and operating elements ............................................................................................. 19Fig. 8 Display elements ........................................................................................................................ 20Fig. 9 RFID reader ................................................................................................................................ 21Fig. 10 KAESER CONNECT for SIGMA CONTROL 2 ........................................................................... 25Fig. 11 Back of the KAESER Equipment Card ....................................................................................... 52Fig. 12 User log-in with KAESER Equipment Card ................................................................................ 52Fig. 13 User log-in with KAESER Equipment Card ................................................................................ 53Fig. 14 Manual user log-in ...................................................................................................................... 55Fig. 15 Login window .............................................................................................................................. 67Fig. 16 KAESER CONNECT for SIGMA CONTROL 2 ........................................................................... 67Fig. 17 Select language: window ............................................................................................................ 68Fig. 18System status menu ................................................................................................................... 68Fig. 19 Main menu .................................................................................................................................. 69Fig. 20Graphs (illustration similar) ......................................................................................................... 70Fig. 21 Arrow keys .................................................................................................................................. 70Fig. 22Messages  .................................................................................................................................. 72Fig. 23I/O display (illustration similar) ................................................................................................... 73Fig. 24User management menu ............................................................................................................ 74Fig. 25Log on for write access: window ................................................................................................ 74Fig. 26User management menu ............................................................................................................ 75Fig. 27Settings  ..................................................................................................................................... 76Fig. 28Backup menu ............................................................................................................................. 77Fig. 29 PROFIBUS plug wiring ............................................................................................................... 115Fig. 30 Electrical diagram example with SIGMA AIR MANAGER .......................................................... 116Fig. 31 Communication interface ............................................................................................................ 117Fig. 32 Inserting the communication module .......................................................................................... 118Fig. 33 Front plate of the PROFIBUScommunication module ................................................................ 118Fig. 34 Direct connection of two SIGMA CONTROL 2 ........................................................................... 123Fig. 35 LOAD remote contact ................................................................................................................. 128Fig. 36 Wiring diagram for local/LOAD remote contact: ......................................................................... 131Fig. 37 Machine with pressure switch regulation .................................................................................... 136Fig. 38 Function diagram ........................................................................................................................ 139Fig. 39 Switching on and off ................................................................................................................... 158Fig. 40 Switching off in an emergency ................................................................................................... 159Fig. 41 Acknowledging messages .......................................................................................................... 160Fig. 42 Battery disposal .......................................................................................................................... 206List of IllustrationsNo.: 9_9450 07 USEUser Manual    Controller  SIGMA CONTROL 2  SCREW FLUID ≥4.0.X v
List of Illustrationsvi User Manual    Controller  SIGMA CONTROL 2  SCREW FLUID ≥4.0.X No.: 9_9450 07 USE
Tab. 1 Operating elements .................................................................................................................... 1Tab. 2 Display elements ........................................................................................................................ 2Tab. 3 Main menu .................................................................................................................................. 2Tab. 4 Functions – Overview ................................................................................................................. 3Tab. 5 Danger levels and their definition (personal injury) .................................................................... 7Tab. 6 Danger levels and their definition (damage to property) ............................................................ 7Tab. 7 Formatting options ...................................................................................................................... 8Tab. 8 Versions and options .................................................................................................................. 9Tab. 9 User interface ............................................................................................................................. 9Tab. 10 Display data ................................................................................................................................ 10Tab. 11 MCS interfaces ........................................................................................................................... 10Tab. 12 MCSIO interfaces ....................................................................................................................... 11Tab. 13 RFID ........................................................................................................................................... 11Tab. 14 MCSIO inputs and outputs ......................................................................................................... 12Tab. 15 Cable lengths ............................................................................................................................. 12Tab. 16 IOM 1 .......................................................................................................................................... 13Tab. 17 IOM 2 .......................................................................................................................................... 13Tab. 18 IOM 3 .......................................................................................................................................... 13Tab. 19 Power supply specifications ....................................................................................................... 14Tab. 20 Cable lengths ............................................................................................................................. 14Tab. 21 IOM degree of protection ............................................................................................................ 14Tab. 22 IOM dimensions ......................................................................................................................... 14Tab. 23 Pressure transducer ................................................................................................................... 14Tab. 24 Resistance thermometer ............................................................................................................ 15Tab. 25 Operating elements .................................................................................................................... 19Tab. 26 Display elements ........................................................................................................................ 20Tab. 27 RFID reader ................................................................................................................................ 21Tab. 28 Header ........................................................................................................................................ 22Tab. 29 Reset check box status .............................................................................................................. 24Tab. 30 Check box status ........................................................................................................................ 24Tab. 31 KAESER CONNECT functions ................................................................................................... 25Tab. 32 Menu structure  .......................................................................................................................... 27Tab. 33Status menu ............................................................................................................................... 30Tab. 34Configuration menu .................................................................................................................... 32Tab. 35Pressure control menu ............................................................................................................... 34Tab. 36I/O periphery menu ..................................................................................................................... 36Tab. 37Communication menu ................................................................................................................ 38Tab. 38Connections menu ..................................................................................................................... 39Tab. 39Components menu ..................................................................................................................... 40Tab. 40Power switching menu ............................................................................................................... 41Tab. 41 Machine identification ................................................................................................................. 47Tab. 42 Remote control identification ...................................................................................................... 47Tab. 43 Machine identification ................................................................................................................. 47Tab. 44 Display languages ...................................................................................................................... 50Tab. 45 Date formats ............................................................................................................................... 57Tab. 46 Time formats .............................................................................................................................. 58Tab. 47 Units of pressure ........................................................................................................................ 59Tab. 48 Units of temperature ................................................................................................................... 59Tab. 49 Display illumination ..................................................................................................................... 60Tab. 50 Network parameters ................................................................................................................... 63Tab. 51 E-mail parameters ...................................................................................................................... 64Tab. 52 Arrow key functions .................................................................................................................... 70Tab. 53 Compressor pressure parameters .............................................................................................. 78Tab. 54 Setting limits for the system setpoint pressure (* Cut-in pressure min) ...................................... 79List of TablesNo.: 9_9450 07 USEUser Manual    Controller  SIGMA CONTROL 2  SCREW FLUID ≥4.0.X vii
Tab. 55 Pressure condition for LOAD ...................................................................................................... 80Tab. 56 Pressure conditions for IDLE ...................................................................................................... 80Tab. 57 Example: activated output .......................................................................................................... 80Tab. 58 Displaying and adjusting parameters ......................................................................................... 81Tab. 59 Settings for machine start and stop ............................................................................................ 83Tab. 60 User-defined clock program machine ON/OFF .......................................................................... 84Tab. 61 Example of a machine ON/OFF clock program .......................................................................... 85Tab. 62 Autostart delay period ................................................................................................................ 92Tab. 63 Machine type and ETM design ................................................................................................... 97Tab. 64 Local operating mode (local mode) ............................................................................................ 105Tab. 65 User-defined clock program  ...................................................................................................... 106Tab. 66 Example of system pressure changeover switching points ........................................................ 107Tab. 67 Master control – overview ........................................................................................................... 111Tab. 68 Parameters for monitoring for communication malfunction ........................................................ 114Tab. 69 PROFIBUS DP pin connection ................................................................................................... 115Tab. 70 Master-slave configuration procedure ........................................................................................ 122Tab. 71 Function diagram ........................................................................................................................ 138Tab. 72 Example for a clock program for equal duty cycling during the day ........................................... 140Tab. 73 Example for a clock program for equal duty cycling during the week ........................................ 140Tab. 74 Assigned output signals ............................................................................................................. 141Tab. 75 Logic settings ............................................................................................................................. 145Tab. 76 Assigned analog measured values ............................................................................................ 147Tab. 77 Transmitting a pressure transducer value .................................................................................. 155Tab. 78 Check list for commissioning the machine ................................................................................. 156Tab. 79 Message sequence 1 ................................................................................................................. 160Tab. 80 Message sequence 2 ................................................................................................................. 160Tab. 81 Information of a message ........................................................................................................... 161Tab. 82 Message abbreviations .............................................................................................................. 161Tab. 83 Operating mode display ............................................................................................................. 163Tab. 84 Abbreviation of operating modes ................................................................................................ 164Tab. 85 Check box status ........................................................................................................................ 170Tab. 86 Fault messages, possible causes and remedies ........................................................................ 175Tab. 87 Warning messages and remedies .............................................................................................. 185Tab. 88 Operational messages ............................................................................................................... 198Tab. 89 System messages and remedies ............................................................................................... 202List of Tablesviii User Manual    Controller  SIGMA CONTROL 2  SCREW FLUID ≥4.0.X No.: 9_9450 07 USE
1  SIGMA CONTROL 2 Quick installation guide1.1  Operating elementsFig. 1 Operating elementsItem Description Function1«Up» Scrolls up the menu options. Increases a parameter value.2«Left» Jumps to the left.Moves the cursor position to the next left field.3«Right» Jumps to the right.Moves the cursor position to the next right field.4«Down» Scrolls down the menu options.Reduces a parameter value.5«Escape» Returns to the next higher menu option level.Exits the edit mode without saving.6«Enter» Jumps to the selected submenu option.Exits the edit mode and saves.7«ON» Switches the machine on.8«OFF» Switches the machine off.10 RFID RFID reader for user log-in with RFID Equipment Card.11 «Timer control» Switches the timer control on and off.12 «Remote control» Switches the remote control on and off.13 «LOAD/IDLE» Toggles between the LOAD and IDLE modes.19 «Information» Displays the event memory.21 «Acknowledgement» Confirms/acknowledges alarms and warning messages.If permissible: Resets the fault counter (RESET).Tab. 1 Operating elements1 SIGMA CONTROL 2 Quick installation guide1.1 Operating elementsNo.: 9_9450 07 USEUser Manual    Controller  SIGMA CONTROL 2  SCREW FLUID ≥4.0.X 1
1.2  Display elementsFig. 2 Display elementsItem Description Function7ONDisplay illuminates green when the machine switched on.9DisplayGraphic display with 8 lines and 30 characters per line.11Timer controlContinuous green light when the machine is controlled by the timer.12Remote controlContinuous green light when the machine is in remote control.14IDLEContinuous green light when the machine is running in IDLE. Flasheswhen the «LOAD/IDLE» toggle key is pressed.15LOADContinuous green light when the machine is running in LOAD.16Controller voltageContinuous green light when voltage is applied to the controller.17WarningFlashes in yellow in the following events:■ Maintenance work due■ Warning messageContinuous yellow light after acknowledgement.18CommunicationserrorContinuous red light to indicate a defective communication connection,or an external alarm message without machine shutdown.20AlarmFlashes red to indicate a machine alarm.Continuous red light after acknowledgement.Tab. 2 Display elements1.3  Main menuPress «Up» / «Down» / «Enter» to open the main menu.Menu No. Menu designation Function1 Status Displays messages, statistics and status information.1 SIGMA CONTROL 2 Quick installation guide1.2 Display elements2User Manual    Controller  SIGMA CONTROL 2  SCREW FLUID ≥4.0.X No.: 9_9450 07 USE
Menu No. Menu designation Function2 Performance data Displays measured data of the machine and its components (e.g.,motors).3 Operating data Displays operating hours, switching cycles and energy data.4 Maintenance Displays maintenance data of the machine and its components.5 Configuration Setting of machine parameters, compressed air system and acces‐sories.6 Compressor clock Setting the timer control.7 User Manual user log-in and password administration.8 Communication Setting the Ethernet interface, COM modules and control centerconnection.9 Machine test Safety relief valve and temperature sensor test and shutdown at ex‐cessive temperature.10 Components Display of settings on machine components, e.g. the power switch‐ing unit.Tab. 3 Main menuSee Chapter 5.6.2 for the complete menu structure.1.4  Functions – OverviewFunction MenuNo.Action steps ChapterSetting the contrast MainmenuPress and hold «Information» – «Up» / «Down». 8.2.11Setting the brightness MainmenuPress and hold «Information» – «Left» / «Right». 8.2.11Setting the language Mainmenu«Enter» – «Up» – «Enter» – «Up» / «Down». 8.2.2Setting date, time andtime zone5.1<Configuration – General>. 8.2.7Identification withRFID Equipment Card– 8.2.4Setting pressure pa‐rameters5.2.2<Configuration – Pressure control – Pressure settings –pA/pB>.8.4Setting the«Timer control»6<Compressor clock – Setting timing program>. 8.5.1Activating the«Timer control» key6<Compressor clock – Key clock – ☑>. 8.5.1.3Activating«Timer control»– Activate the «Timer control» key – Press«Timer control».8.5.1.41 SIGMA CONTROL 2 Quick installation guide1.4 Functions – OverviewNo.: 9_9450 07 USEUser Manual    Controller  SIGMA CONTROL 2  SCREW FLUID ≥4.0.X 3
Function MenuNo.Action steps ChapterActivatethe «Remote control»key5.2.35.4.15.5<Configuration – Compressor start – Compressor on –Key remote – ☑>.8.2.12Activating the«Remote control»– Activate the «Remote control» key – Press«Remote control».8.2.12Setting the controlmode5.3 Select <Configuration – Control mode – Local mode –Control mode>.8.6.1Setting up the holidayperiod5.4.2<Configuration – Compressor start – Compressor off –Holidays – Start/End/☑>.8.5.2Displaying operatingdata3<Operating data – Operating hours / Switching cycles>. 9.8Setting the mainte‐nance interval4<Maintenance – Select/set component>. 9.10Checking the safety re‐lief valve9.1 For the test process, see Chapter. 9.11High temperature shut‐down test9.1 For the test process, see Chapter. 9.12Alarm messages 1.1.1 An alarm message causes the machine to shut down.The Alarm LED flashes red. Alarm messages are identi‐fied with the letter A. Example:<0002 S k 31/12/2017 13:14:15 Motor temperature ⇞> .10.2Warning messages 1.1.1 If maintenance work is to be carried out or if the warningis displayed before an alarm, the yellow Warning LEDflashes. Warning messages are identified with the let‐ter W.10.3Operational messages 1.1.1 Operational messages provide information about thecurrent operational state of the machine. Operationalmessages are identified with the letter O.10.4Diagnostic messages 1.1.1 A diagnostic message causes the machine to shutdown. They provide information on the status of the con‐troller, the connected input and output modules and sup‐port an authorized KAESER service representative introubleshooting. Diagnostic messages are identified withthe letter D.10.5System messages 1.1.1 A system message causes the machine to shut down.System messages are identified with the letter Y.10.6Tab. 4 Functions – OverviewSettings can be made after log-in with the RFID Equipment Card and password access level2.1 SIGMA CONTROL 2 Quick installation guide1.4 Functions – Overview4User Manual    Controller  SIGMA CONTROL 2  SCREW FLUID ≥4.0.X No.: 9_9450 07 USE
2  Regarding this Document2.1  Using this documentThe user manual contains important information to the entire life cycle of SIGMA CONTROL 2.The user manual is a component of the product.➤ Keep the user manual in a safe place throughout the life of SIGMA CONTROL 2.➤ Pass the user manual on to the next owner/user of the machine.➤ Ensure that all amendments received are inserted into the user manual.2.2  CopyrightThis user manual is protected by copyright. Any queries regarding the use or duplication of thisdocumentation should be referred to KAESER. Correct use of information will be fully supported.2.2.1  SoftwareThe software used in SIGMA CONTROL 2 contains copyright-protected software packages whichare licensed as Open Source.A copy of these licenses is contained in SIGMA CONTROL 2.Display the licenses by pointing your browser to the "COPYING" file in the root directory ofSIGMA CONTROL 2.URL:http:// <Hostname>/COPYINGThe licenses can also be found under these addresses:http://www.gnu.org/licenseshttp://code.google.com/p/curve25519-donna/Within three years from receipt of SIGMA CONTROL 2, you may obtain the complete source codeby sending a corresponding order to the following address:Technical Office Electrical DesignKAESER KOMPRESSOREN SE96450 Coburg, Postfach 2143GermanyThis offer is valid for anybody having this information.2 Regarding this Document2.1 Using this documentNo.: 9_9450 07 USEUser Manual    Controller  SIGMA CONTROL 2  SCREW FLUID ≥4.0.X 5
2.3  ApprovalsThe product has the following approvals:■ This equipment has been tested and found to comply with the limits for a Class B digital de‐vice, pursuant to Part 15 of the FCC Rules. These limits are designed to provide reasonableprotection against harmful interference in a residential installation. This equipment generates,uses and can radiate radio frequency energy and, if not installed and used in accordance withthe instructions, may cause harmful interference to radio communications. However, there isno guarantee that interference will not occur in a particular installation. If this equipment doescause harmful interference to radio or television reception, which can be determined by turningthe equipment off and on, the user is encouraged to try to correct the interference by one of thefollowing measures:─ Reorient or Relocate the receiving antenna─ Increase the separation between the equipment and receiver─ Connect the equipment into an outlet on a circuit different from that to which the receiver isconnected─ Consult the dealer or an experienced radio/TV technician for help■ To assure continued compliance, any changes or modifications not expressly approved by theparty responsible for compliance could void the user's authority to operate this equipment. (Ex‐ample - use only shielded interface cables when connecting to computer or peripheral devi‐ces).■ This device complies with Part 15 of the FCC Rules. Operation is subject to the following twoconditions:─ This device may not cause harmful interference, and─ This device must accept any interference received, including interference that may causeundesired operation■ This device complies with Industry Canada licence-exempt RSS standard(s). Operation is sub‐ject to the following two conditions:─ This device may not cause interference and─ This device must accept any interference, including interference that may cause undesiredoperation of the device■ Le présent appareil est conforme aux CNR d'Industrie Canada applicables aux appareils radioexempts de licence. L'exploitation est autorisée aux deux conditions suivantes :─ l'appareil ne doit pas produire de brouillage, et─ l'utilisateur de l'appareil doit accepter tout brouillage radioélectrique subi, même si le brouil‐lage est susceptible d'en compromettre le fonctionnement2.4  Updating the user manualThe page http://www.kaeser.com/int-en/manuals/response.aspx of our website provides frequentlyupdated versions of this user manual.➤ Download the user manual in your language.2.5  Symbols and labels➤ Please note the symbols and labels used in this document.2 Regarding this Document2.3 Approvals6User Manual    Controller  SIGMA CONTROL 2  SCREW FLUID ≥4.0.X No.: 9_9450 07 USE
2.5.1  WarningsWarning notices indicate dangers that may result in injury when disregarded.Warning notices indicate three levels of danger identified by the corresponding signal word:Signal term Meaning Consequences of non-complianceDANGER Warns of an imminent danger Will result in death or severe injuryWARNING Warns of a potentially imminent danger May result in death or severe injuryCAUTION Warns of a potentially dangerous situation May result in a moderate physical injuryTab. 5 Danger levels and their definition (personal injury)Warning notices preceding a chapter apply to the entire chapter, including all sub-sections.Example:The type and source of the imminent danger is shown here!The possible consequences of ignoring a warning are shown here.If you ignore the warning notice, the "DANGER" signal word indicates a lethal or severe in‐jury will occur.➤ The measures required to protect yourself from danger are shown here.Warning notes referring to a sub-section or the subsequent action are integrated into the procedureand numbered as an action.Example:1. The type and source of the imminent danger is shown here!The possible consequences of ignoring a warning are shown here.If you ignore the warning notice, the "WARNING" signal word indicates that a lethal or severeinjury may occur.➤ The measures required to protect yourself from danger are shown here.2. Always read and comply with warning instructions.2.5.2  Potential damage warningsContrary to the warnings shown above, damage warnings do not indicate a potential personal in‐jury.Warning notices for damages are identified by their signal term.Signal term Meaning Consequences of non-complianceNOTE Warns of a potentially dangerous situation Damage to property is possibleTab. 6 Danger levels and their definition (damage to property)Example:2 Regarding this Document2.5 Symbols and labelsNo.: 9_9450 07 USEUser Manual    Controller  SIGMA CONTROL 2  SCREW FLUID ≥4.0.X 7
The type and source of the imminent danger is shown here!Potential effects when ignoring the warning are indicated here.➤ The protective measures against the damages are shown here.➤ Carefully read and fully comply with warnings against damages.2.5.3  Other alerts and their symbolsThe meaning of names is emphasized by different formatting. Depending on the font, not all for‐matting options can be realized.Name Formatting ExampleOperating state UPPER CASE LOADItem number ... Open valve  4Indication italic ON LEDKey « ... » «ON» keyMenu option< ... > <Configuration>Menu path<Menu 1 – Menu 2 – ...> <Configuration – Pressure control>activated  ...  The minutes display flashes. 00:00:00Tab. 7 Formatting optionsThis symbol identifies particularly important information.Material Here you will find details on special tools, operating materials or spare parts.Precondition Here you will find conditional requirements necessary to carry out the task.The conditions relevant to safety shown here will help you to avoid dangerous situations.➤ This symbol denotes lists of actions comprising one stage of a task.Operating instructions with several steps are numbered in the sequence of the operating steps.Information referring to potential problems are identified by a question mark.The cause is named in the help text ...➤ ... as is a solution.This symbol identifies important information or measures regarding the protection of the envi‐ronment.Further information Further subjects are introduced here.2 Regarding this Document2.5 Symbols and labels8User Manual    Controller  SIGMA CONTROL 2  SCREW FLUID ≥4.0.X No.: 9_9450 07 USE
3  Technical Data3.1  SIGMA CONTROL 2 ControllerIndustrial computer■ Internal temperature monitoring■ Internal low voltage monitoring■ Battery-buffered real-time clock─ Battery service span more than 10 years─ Battery replaceable3.1.1  Versions and optionsSIGMA CONTROL 2 is offered in different designs.Type Prepared for connection to control center Connection to control technology notprovidedOption C3 C48Compo‐nentsMain Control System (MCS): Slot for anoptional communication module (to con‐nect to a control center)Main Control System Input Output(MCSIO): Digital and analog inputs andoutputs integratedInput-Output-Module (IOM): Modules withdigital and analog inputs and outputs.Tab. 8 Versions and options3.1.2  User interface with display, CPU and interfacesUser interfaceFeature MCS MCSIOMaterial PlasticsWidth [in.] 7.5Height [in.] 5.1Depth [in.] 1.8 2.4Number of membrane keys 13Number of LEDs 9Degree of protection, control cabinet exterior IP 54Degree of protection, control cabinet interior IP 20Voltage [V] 24Current [A] 0.3 2.5Voltage source Input/output module ExternalTab. 9 User interface3 Technical Data3.1 SIGMA CONTROL 2 ControllerNo.: 9_9450 07 USEUser Manual    Controller  SIGMA CONTROL 2  SCREW FLUID ≥4.0.X 9
DisplayFeature ValueGraphical display [px] 255 x 128Width [in.] 3.2Height [in.] 1.6Maximum number of lines/characters 8/30Colors Black/white with grey scaleLighting LED backlitpx = pixelTab. 10 Display dataFig. 3 MCS interfacesIdentification Interface ConnectionX1 Ethernet 10/100 Base T RJ 45 socketX2 I/O bus 9-pole SUB-D pinsX3 RS485–FC (USS interface) 9-pole SUB-D socketX4 Com modules,slot for communications moduleModule optional for:PROFIBUS, PROFINET,Modbus RTU, Modbus TCP,DeviceNetX5 SD card, SD card slot SD/SDHC cardX6 FG Functional ground (FG)The positions of the interfaces X1–X6 are marked on the rear of the controller.Tab. 11 MCS interfaces3 Technical Data3.1 SIGMA CONTROL 2 Controller10 User Manual    Controller  SIGMA CONTROL 2  SCREW FLUID ≥4.0.X No.: 9_9450 07 USE
Fig. 4 MCSIO interfacesMarking Interface ConnectionX1 Ethernet 10/100 Base T RJ 45 socketX3 RS485–FC (USS interface) 9-pole SUB-D socketX5 SD card, SD card slot SD/SDHC cardX6 FG Functional ground (FG)X7 24 VDC, DII Power supply 24 VDCDigital inputs DII1.00–DII1.05X8 DII/DOT Digital inputs DII1.06–DII1.07Digital outputs DOT1.00–DOT1.01X9 AII/AIR Analog input current 0–20 mA,AII1.00–AII1.01Analog input resistor AIR1.00–AIR1.01X10 DOR Digital output relay 250 VAC, 4 ADOR1.00–DOR1.04The positions of the interfaces X1–X10 are marked on the rear of the controller.Tab. 12 MCSIO interfacesIdentification with RFID Equipment CardFeature ValueHardware on the SIGMA CONTROL 2 controller RFID  write/read deviceHardware (external) RFID Equipment CardRecognition distance [in.] Max. 23 Technical Data3.1 SIGMA CONTROL 2 ControllerNo.: 9_9450 07 USEUser Manual    Controller  SIGMA CONTROL 2  SCREW FLUID ≥4.0.X 11
Feature ValueFrequency [MHz] 13.56Tab. 13 RFID3.1.3  Inputs and outputs with MCSIOIntegrated inputs and outputs with MCSIO type controllerInput/Output NumberDigital input (DI), 24 VDC 8Digital output transistor (DOT), 24 VDC, 0.5 A 2Analog input current (AII), 0–20 mA 2Analog input resistor (AIR), PT100 2Digital output relay (DOR), 250 VAC, 4 A 5Tab. 14 MCSIO inputs and outputs3.1.3.1 Maximum cable lengthsInput/Output Cable length [ft.]Analog input current (AII),Analog input resistor (AIR)Analog output current (AOI)< 100Digital input (DI),Digital output relay (DOR)< 330Digital output transistor (DOT) < 100Tab. 15 Cable lengths3.1.4  Input/output modulesIOM modules only in combination with the MCS controller typeThere are three different types of input/output modules with different numbers of inputs and out‐puts.The number of input/output modules actually available depends on the machine type and the avail‐able options.Refer to the machine's wiring diagram for the input/output modules installed in your equipment.The input/output module features:■ Internal temperature monitoring■ Internal low voltage monitoring■ LED indication of operational status3 Technical Data3.1 SIGMA CONTROL 2 Controller12 User Manual    Controller  SIGMA CONTROL 2  SCREW FLUID ≥4.0.X No.: 9_9450 07 USE
IOM 1Input/Output Input/output module 1Internal, intothe controlcabinetAvailable inparallel onboth sidesExternal, intothe compres‐sor interiorDigital input (DI), 24 VDC 4 10 2Analog input current (AII), 0–20 mA – 1 2Analog input resistor (AIR), PT100 – 1 3Digital output relay (DOR), 250 VAC, 8 A 8 – –Digital output transistor (DOT), 24 VDC, 0.5 A – 2 1Analog output current (AOI), 0–20 mA – – –Tab. 16 IOM 1IOM 2Input/Output Input/output module 2Internal, intothe controlcabinetAvailable inparallel onboth sidesExternal, intothe compres‐sor interiorDigital input (DI), 24 VDC 6 – 2Analog input current (AII), 0–20 mA – 1 2Analog input resistor (AIR), PT100 – 3 –Digital output relay (DOR), 250 VAC, 8 A 4 – –Digital output transistor (DOT), 24 VDC, 0.5 A – 2 2Analog output current (AOI), 0–20 mA – 1 –Tab. 17 IOM 2IOM 3Input/Output Input/output module 3Internal, intothe controlcabinetAvailable inparallel onboth sidesExternal, intothe compres‐sor interiorDigital input (DI), 24 VDC 6 – 2Analog input current (AII), 0–20 mA – 1 3Analog input resistor (AIR), PT100 – 3 8Digital output relay (DOR), 250 VAC, 8 A 8 – –Digital output transistor (DOT), 24 VDC, 0.5 A – 1 1Analog output current (AOI), 0–20 mA – 1 –Tab. 18 IOM 33 Technical Data3.1 SIGMA CONTROL 2 ControllerNo.: 9_9450 07 USEUser Manual    Controller  SIGMA CONTROL 2  SCREW FLUID ≥4.0.X 13
3.1.4.1 Electrical connection specifications IOMPower is provided by the power supply unit within the machine.Feature ValueRated power supply (stabilized) [V DC] 24Current consump‐tion SIGMA CONTROL 2 with IOM 1 [A]2.4Current consumption IOM 2 [A] 2.5Current consumption IOM 3 [A] 1.6IOM = Input/Output moduleTab. 19 Power supply specifications3.1.4.2 Maximum cable lengthsInput/Output Conductor length [ft.]Analog input current (AII),Analog input resistor (AIR)Analog output current (AOI)< 100Digital input (DI),Digital output relay (DOR)< 330Digital output transistor (DOT) < 100Tab. 20 Cable lengths3.1.4.3 Input/output module – degree of protectionFeature ValueDegree of protection within the machine IP 54Degree of protection within the control cabinet IP 20Tab. 21 IOM degree of protection3.1.4.4 Input/output modules – dimensionsFeature ValueWidth [in.] 4.9Height [in.] 9.8Depth [in.] 1.7Tab. 22 IOM dimensions3.1.5  SensorsPressure transducerFeature ValueOutput signal [mA] 0/4–203 Technical Data3.1 SIGMA CONTROL 2 Controller14 User Manual    Controller  SIGMA CONTROL 2  SCREW FLUID ≥4.0.X No.: 9_9450 07 USE
Feature ValueConnection Twin cableTab. 23 Pressure transducerResistance thermometerFeature ValueSensing resistance PT100Connection Twin cableTab. 24 Resistance thermometer3 Technical Data3.1 SIGMA CONTROL 2 ControllerNo.: 9_9450 07 USEUser Manual    Controller  SIGMA CONTROL 2  SCREW FLUID ≥4.0.X 15
4  Safety and Responsibility4.1  Basic instructionsThis equipment has been tested and found to comply with the limits for a Class B digital de‐vice, pursuant to part 15 of the FCC Rules.These limits are designed to provide reasonable protection against harmful interference in aresidential installation. This equipment generates, uses and can radiate radio frequency ener‐gy and, if not installed and used in accordance with the instructions, may cause harmful inter‐ference to radio communications.However, there is no guarantee that interference will not occur in a particular installation.If this equipment does cause harmful interference to radio or television reception, which canbe determined by turning the equipment off and on, the user is encouraged to try to correctthe interference by one or more of the following measures:➤ Close and lock the door of the equipment properly.➤ Place the equipment as far as possible from the interfered radio or television receiver.Changes or modifications not expressly approved by KAESER could void the user's authorityto operate the equipment.This device complies with Industry Canada licence-exempt RSS standard(s).Operation is subject to the following two conditions:■ this device may not cause interference and■ this device must accept any interference, including interference that may cause unde‐sired operation of the deviceSIGMA CONTROL 2 is manufactured to the latest engineering standards and acknowledged safetyregulations.The safety regulations of the machine in which SIGMA CONTROL 2 is installed apply.4.2  Specified useSIGMA CONTROL 2 is solely intended for the control of machines in which SIGMA CONTROL 2 isfactory-installed. Any other use is considered incorrect. The manufacturer is not liable for any dam‐ages that may result from incorrect use. The user alone is liable for any risks incurred.➤ Adhere to the specifications given in this user manual and the machine's operator manual.➤ Operate the machine only within its performance limits and under the permitted ambient condi‐tions.4.3  Improper useImproper usage can cause damage to property and/or (severe) injuries.➤ Use SIGMA CONTROL 2 only as intended.➤ Do not use SIGMA CONTROL 2 to control other machines or products for whichSIGMA CONTROL 2 is not intended.4 Safety and Responsibility4.1 Basic instructions16 User Manual    Controller  SIGMA CONTROL 2  SCREW FLUID ≥4.0.X No.: 9_9450 07 USE
5  Design and Function5.1  The controllerSIGMA CONTROL 2 controls, regulates, monitors, and protects the machine.All parameters needed to operate KAESER rotary screw compressors can be set and displayedusing the controller. Various user-dependent password mechanisms protect the parameters.ComponentsSIGMA CONTROL 2 has the following components:■Main Control System (MCS):─ Industrial PC.─ Software for the control, regulation, and monitoring of the machine, for the display and mod‐ification of settings and for communication.─ User interface with backlit display, touch keys, LEDs, and interfaces.─Radio Frequency Idenfication (RFID):Identification with RFID Equipment Card.─ Slot for customer interface; optional communications module.─ SD card slot for SD/SDHC cards:Manual loading of updates with an SC card, reading or recording process data.■Main Control System Input Output (MCSIO):─ As with MCS, but with:─ Integrated digital and analog inputs and outputs.─ Without slot for customer interface.■Input-Output-Module (IOM):For SIGMA CONTROL 2 (Prepared for connection to control center): modules with digital andanalog inputs and outputs with autonomous power supply.5 Design and Function5.1 The controllerNo.: 9_9450 07 USEUser Manual    Controller  SIGMA CONTROL 2  SCREW FLUID ≥4.0.X 17
Fig. 5 MCS system design with IOM1Machine enclosure2Control cabinet3SIGMA CONTROL 2 (Prepared for con‐nection to control center)4Input-Output-Module (IOM):5I/O bus6Inputs/outputs in the interior of the controlcabinet7Inputs/outputs in the interior of the com‐pressor8Inputs/outputs for external sensors9CompressorFig. 6 MCSIO system design1Machine enclosure2Control cabinet3SIGMA CONTROL 2 (Connection to con‐trol technology not provided)6Inputs/outputs in the interior of the controlcabinet7Inputs/outputs in the interior of the com‐pressor8Inputs/outputs for external sensors9CompressorFunctionThe control and regulating function allows:■ Automatic changeover of the machine from LOAD to IDLE or READY.■ Optimum utilization of the drive motor in relation to the user's actual air demand.■ Automatic restart of the machine after a power failure (can be deactivated).5 Design and Function5.1 The controller18 User Manual    Controller  SIGMA CONTROL 2  SCREW FLUID ≥4.0.X No.: 9_9450 07 USE
The monitoring function allows:■ Supervision of all maintenance-relevant components via the maintenance interval counters.■ Display of warning and maintenance messages for due maintenance on the displayof SIGMA CONTROL 2.The protective function allows:■ Automatic machine shutdown on alarms that may lead to damage to the machine, e.g. highcurrent, high pressure or high temperature.5.2  Operating panel5.2.1  Indicating and operating elementsFig. 7 Indicating and operating elementsItem Description Function1«Up» Scrolls up the menu options. Increases a parameter value.2«Left» Jumps to the left.Moves the cursor position to the next left field.3«Right» Jumps to the right.Moves the cursor position to the next right field.4«Down» Scrolls down the menu options.Reduces a parameter value.5«Escape» Returns to the next higher menu option level.Exits the edit mode without saving.6«Enter» Jumps to the selected menu option.Exits the edit mode and saves.7«ON» Switches the machine on.8«OFF» Switches the machine off.10 RFID RFID reader for user log-in with RFID Equipment Card.11 «Timer control» Switches the timer control on and off.5 Design and Function5.2 Operating panelNo.: 9_9450 07 USEUser Manual    Controller  SIGMA CONTROL 2  SCREW FLUID ≥4.0.X 19
Item Description Function12 «Remote control» Switches the remote control on and off.13 «LOAD/IDLE» Toggles between the LOAD and IDLE modes.19 «Information & Events» Displays the event memory.21 «Acknowledgement» Confirms/acknowledges alarms and warning messages.If permissible: Resets the fault counter (RESET).Tab. 25 Operating elements5.2.2  Display elementsFig. 8 Display elementsItem Description Function7ONContinuous green light when the machine switched on.9DisplayGraphic display with 8 lines and 30 characters per line.11Timer controlContinuous green light when the machine is controlled by the timer.12Remote controlContinuous green light when the machine is in remote control.14IDLEContinuous green light when the machine is running in IDLE. Flasheswhen the «LOAD/IDLE» toggle key is pressed.15LOADContinuous green light when the machine is running in LOAD.16Controller voltageContinuous green light when voltage is applied to the controller.17WarningFlashes in yellow in the following events:■ Maintenance necessary■ Warning messageContinuous yellow light after acknowledgement.18CommunicationserrorContinuous red light to indicate a defective communication connection,or an external alarm message without machine shutdown.5 Design and Function5.2 Operating panel20 User Manual    Controller  SIGMA CONTROL 2  SCREW FLUID ≥4.0.X No.: 9_9450 07 USE
Item Description Function20AlarmFlashes red to indicate a machine alarm.Continuous red light after acknowledgement.Tab. 26 Display elements5.2.3  RFID readerRFID is the abbreviation for “Radio Frequency Identification” and makes possible to identify per‐sons and objects.Placing a suitable transponder in front of the RFID reader of the controller will automatically acti‐vate the communication between transponder and SIGMA CONTROL 2.A suitable transponder is the RFID Equipment Card. Two of them have been provided with the ma‐chine.Typical application:■ Operators log on at the machine.(Manual input of the password not required)The RFID Equipment Cards are carefully packed in a plastic sleeve.This plastic sleeve is attached to the rear of the controller in the control cabinet.Fig. 9 RFID readerItem Description Function24 RFID RFID reader for the communication with a RFID Equipment Card or RFID Key.Tab. 27 RFID reader5.3  DisplayUse the display to read information and to enter data. The display comprises 8 lines, each of 30characters.During operation, the display will indicate the operating mode.Pressing «Enter» or one of the arrow keys opens the main menu. Here, you can set the languageto be used for the display of texts or open the various submenus.5 Design and Function5.3 DisplayNo.: 9_9450 07 USEUser Manual    Controller  SIGMA CONTROL 2  SCREW FLUID ≥4.0.X 21
5.3.1  Operating mode88psi     08:15AM      176° F Header__________________________________Load Current operating mode__________________________________Key     –     on     ¦     pA     –     on Operating parameters__________________________________Run          2500h  Load          2490h Operating parametersMaintenance in                              500h Maintenance indicatorHeaderThe header is the topmost line on the display. It is always shown as white text on a black back‐ground.Important information and values are displayed in the header.The displayed data varies depending on the machine type:Type Header, left Header, center Header, rightSIGMA CONTROL 2FLUIDWorking pressure Time Airend discharge temperatureSIGMA CONTROL 2DRYWorking pressure Time Airend discharge temperatureSIGMA CONTROL 2VACWorking pressure Time Airend discharge temperatureSIGMA CONTROL 2BOOSTERPressure at the com‐pressed air inlet p1Temperature at thecompressed airoutlet T2Pressure at the compressedair outlet p4Tab. 28 HeaderLines 3 and 5: Operational stateDepending on the settings, either the current state of the machine or a menu text is shown in line 3.The following parameters with their current values are displayed in line 5:■ Remote control yes/no■ Timer control yes/no■ Pressure controlLines 7 and 8: Machine stateThe following parameters with their current values are displayed in lines 7 and 8:■ The hours during which the machine was activated.■ The hours during which the machine ran in operating mode LOAD.■ Remaining working hours of the machine before the next maintenance.5 Design and Function5.3 Display22 User Manual    Controller  SIGMA CONTROL 2  SCREW FLUID ≥4.0.X No.: 9_9450 07 USE
5.3.2  Main menu88psi     08:15AM      176° FMain menu----------------English US---------------- Language▶1 Status Active line▶2 Performance data Submenu▶3 Operating data Submenu▶4 Maintenance Submenu▶5 Configuration SubmenuDescriptionThe main menu is the top menu level. You open the individual submenus in the main menu.A scrollbar appears at the right side of the display if you open a menu with more than 6 lines. Itrepresents the currently visible portion of the menu. A short scrollbar thus indicates that the openedmenu is very long as only a small portion can be displayed.The image above provides an example for the appearance of the main menu (without scrollbar).NumberingEach menu is numbered.Not all menus may be displayed because the access to certain menus is restricted by the accesslevel, and some menus are displayed or hidden due to specific settings or options.For example, you can recognize subordinate menus in the menu structure by the number preced‐ing their designation. The menu structure is explained in chapter 5.6.2.Active lineThe active line is always shown as white text on a dark background. Do not confuse this with theheader which is also shown with white lettering on a black background.Press «Enter» to open a menu in the active line. This opens the selected menu.Here, you can change parameters.5.3.3  Setting parametersIn order to set a parameter in the active line of the selected menu, you must always switch tosetting mode.Changing parametersPress «Enter». The value of the parameter will flash indicating that it can be changed.The «Enter» key affects only the active line.In some lines, you can change more than a single parameter.In this case, you must first select the specific parameter with the «Left» or «Right» keys.5 Design and Function5.3 DisplayNo.: 9_9450 07 USEUser Manual    Controller  SIGMA CONTROL 2  SCREW FLUID ≥4.0.X 23
Resetting current parametersIn order to reset current parameters to zero, activate the check box for Reset in the active line ofthe display.First, press «Enter» to switch into setting mode. The check box Reset will flash.You then press «Up». The check box is activated and flashes.Press «Enter» to save the settings.The parameters no longer flash and are reset. The check box for Reset is again deactivated.Check box ResetStatus☒ activated☐ deactivatedTab. 29 Reset check box status5.3.4  Activating keys with check boxesCertain keys of the SIGMA CONTROL 2 are locked by default. Activate the corresponding checkboxes in the active line of the display to unlock these keys.First, press «Enter» to switch into setting mode. The check box will flash.You then press «Up». The check box is activated and flashes.Press «Enter» again to save the settings.The display line no longer flashes and the key is activated.Proceed correspondingly to deactivate a key.Check box Status☑ activated☐ deactivatedTab. 30 Check box status5.4  Access rightsAccess to the controller is governed by the user name combined with a password.Users log on using an RFID Equipment Card by default. Alternatively, you can manually enter theuser name and the password.When the controller is switched on, the lowest level of access (level 0) is activated.You have access to a further level: Access level 2Access level 2 allows you to display and adjust further parameters.The access level will automatically return to level 0 after 10 minutes without any key being pressed.Secure storage of the RFID Equipment CardsYou will receive 2 RFID Equipment Cards with each machine.They are stored in a plastic sleeve.This plastic sleeve is attached at the rear of the controller in the control cabinet.If you lose both RFID Equipment Cards, you can register a new RFID Equipment Card only afterhaving entered the user name and the password. A new RFID Equipment Card may be registeredby KAESER service subject to a fee, if the user name and the password are lost.5 Design and Function5.4 Access rights24 User Manual    Controller  SIGMA CONTROL 2  SCREW FLUID ≥4.0.X No.: 9_9450 07 USE
5.5  KAESER CONNECTUsing an Internet-capable device with web browser, you can open a visualization of the controller.This enables remote checking of, for example, the operating and energy efficiency of your ma‐chine. For this purpose, you must once generate a password (see Chapter 8.2.5). KAESERCONNECT does not require additional software to do so. The display language of KAESERCONNECT can be set independently to the language used with SIGMA CONTROL 2.Fig. 10 KAESER CONNECT for SIGMA CONTROL 2KAESER CONNECT functions:Operating element Meaningread => write Switching from read-only to read/write modeTo create users and acknowledge messageswrite => read Switching from read/write to read-only modeLogout User log-outContact/Service Displaying the contact information for an authorized KAESER service repre‐sentativeSelect language: Setting the display language for KAESER CONNECTSystem status Mapping of the local menuGraphs ■ Pressures and temperatures are displayed in different graphs■ Graphic representation of the machine status (STOP, IDLE, LOAD) andRPM along the time axisMessages ■ Current messages■ Message history (event memory)I/O display Assignment of the input/output modules5 Design and Function5.5 KAESER CONNECTNo.: 9_9450 07 USEUser Manual    Controller  SIGMA CONTROL 2  SCREW FLUID ≥4.0.X 25
Operating element MeaningUser management ■ Creating and activating new user accounts■ Modifying or deactivating existing user accounts■ Changing passwordsSettings ■ Unit display format■ Date display format■ Time display formatBackup Saving the SIGMA CONTROL 2 data to a PCTab. 31 KAESER CONNECT functionsFurther information For opening KAESER CONNECT, login and other procedures, please see chapter 8.3.5.6  Menus – overview5.6.1  Operating modeWhen the machine is switched on, details of the software are displayed, for example:Compressor Machine modelPN: SN: Part number and serial number of the machineEN: Equipment number of the machine SIGMA CONTROL 2 – MCS MCS: Main Control SystemPN: SN: Part number and serial number of the controllerSoftware: Software version Subsequently, the software is loaded and the current operating mode is displayed, for example:88psi 08:15AM 176° F Header__________________________________Load Current operating mode__________________________________Key – on ¦ pA – on Operating parameters__________________________________Run 2500h Load 2490h Operating parametersMaintenance in 500h Maintenance indicatorThe following parameters are displayed:■ Current operating mode of the machine■ On the left-hand side of "¦" you can see from where the compressor is switched on (in the illus‐trated example via the green «ON» key) and what the current status is (in the example "on").■ On the right-hand side of "¦", you can see the mode of the load control (in the illustrated exam‐ple, the network nominal pressure pA is active) and the mode of the compressor (in the exam‐ple it is switched on).■ Number of operating hours and hours of the machine being in LOAD mode.5 Design and Function5.6 Menus – overview26 User Manual    Controller  SIGMA CONTROL 2  SCREW FLUID ≥4.0.X No.: 9_9450 07 USE
5.6.2  Menu structurePress «Enter» or one of the arrow keys to open the main menu.In the main menu, you can:■ Retrieve displayed information■ Enter customer-specific settingsThe menus shown require password access level 2.Main menuNavigation Function/Submenu1 Status ■ Messages■ Statistics■ Current pressure control■ Current operating mode■ DI/DO status■ pN/ADT curve■pN/n curve 1)For details of the Status menu, please see ta‐ble 33.1) Power switching with frequency converter3) SIGMA CONTROL 2 (Prepared for connection to control technology)5 Design and Function5.6 Menus – overviewNo.: 9_9450 07 USEUser Manual    Controller  SIGMA CONTROL 2  SCREW FLUID ≥4.0.X 27
Navigation Function/Submenu2 Performance data ■ Compressor─ System pressure pNloc─ Internal pressure pi─ ADT─ Oil separator─ Starting temperature─ Inlet temperature─ PD temperature─ Air filter■ Compressor motor─ Motor temperature (if available)─Speed 1)─Current 1)─UzK 1)─Torque 1)■ Fan─Speed 1)─Current 1)─UzK 1)─Torque 1)■ Analogue values■ SIGMA CONTROL 23 Operating data ■ Operating hours─ Compressor─ On load─ Motor─ Compressor block─ SIGMA CONTROL 2─ Partial load valves■ Switching cycles─ Load valve on─ Mains contactor on■ kWh counter1) Power switching with frequency converter3) SIGMA CONTROL 2 (Prepared for connection to control technology)5 Design and Function5.6 Menus – overview28 User Manual    Controller  SIGMA CONTROL 2  SCREW FLUID ≥4.0.X No.: 9_9450 07 USE
Navigation Function/Submenu4 Maintenance Oil filterOil separatorOil changeAir filterValve inspectionBelt/coupling inspectionCompressor motorBearing lubeBearing changeFan motor(s)Bearing lubeBearing changeElectrical equipmentAnnual maintenance due5 Configuration For details of the Configuration menu, pleasesee table 34.6 Compressor clock Key clockResetSwitching point 01:Switching point 02:Switching point 03:Switching point 04:Switching point 05:Switching point 06:Switching point 07:Switching point 08:Switching point 09:Switching point 10:7 User NamePasswordCurrent access level:8 Communication ■ Ethernet/SIGMA NETWORK■Com-Module 3)Key remoteFor details of the Communication menu, pleasesee table 37.9 Machine test ■ TÜV inspection1) Power switching with frequency converter3) SIGMA CONTROL 2 (Prepared for connection to control technology)5 Design and Function5.6 Menus – overviewNo.: 9_9450 07 USEUser Manual    Controller  SIGMA CONTROL 2  SCREW FLUID ≥4.0.X 29
Navigation Function/Submenu10 Components ■ Compressor motor─ Power switchingFor details of the Components menu, pleasesee table 39.1) Power switching with frequency converter3) SIGMA CONTROL 2 (Prepared for connection to control technology)Tab. 32 Menu structure5.6.2.1Status menuNavigation Function/Submenu1.1 Messages ■ Current messages■ Message history─ Compressor messages─ Diagnostic messages─ System messages■ Address error─Incorrect parameterisation in 2)Status reportcurrent Alarmscurrent Warnings1.2 Statistics Load (hours)since/Reset:Load (speed) 1)since/Reset:Network actual pressure pNlocMotor startssince/Reset:Motor starts /dMotor starts /hMotor starts T↓Last load runLast idle runLast motor off1) Power switching with frequency converter2) Only visible in the event of parameterization error3) SIGMA CONTROL 2 (Prepared for connection to control technology)5 Design and Function5.6 Menus – overview30 User Manual    Controller  SIGMA CONTROL 2  SCREW FLUID ≥4.0.X No.: 9_9450 07 USE
Navigation Function/Submenu1.3 Current pressure control SIGMA CONTROL 2Cut-out pressureSP/SDNetwork actual pressureFrequency converter 1)Setpoint pressure 1)Actual pressure 1)Speed nominal value 1)Speed actual value 1)Speed limits 1)1.4 Current operating mode Compressor onLoad controlControl modeIdle periodAcknowledgementWaste heat recovery (if available)1.5 DI/DO status 1st I/O moduleDI/DO display2nd I/O moduleDI/DO display3rd I/O moduleDI/DO display1.6 pN/ADT curve Diagram:Nominal pressure/Discharge temperature1.7 pN/n curve 1) Diagram:Nominal pressure/Speed1) Power switching with frequency converter2) Only visible in the event of parameterization error3) SIGMA CONTROL 2 (Prepared for connection to control technology)Tab. 33Status menu5 Design and Function5.6 Menus – overviewNo.: 9_9450 07 USEUser Manual    Controller  SIGMA CONTROL 2  SCREW FLUID ≥4.0.X 31
5.6.2.2Configuration menuNavigation Function/Submenu5.1 General ■ System information─SIGMA CONTROL 2 MCS 3)─ Software─ KAESER:PN/SN─ Controller manufacturer:PN/SN─ MFGDT (Manufacturing date)─ Compressor─ EN (Equipment number)─ PN (Part number)─ SN ( Serial number)─ I/O modules─ First IOM─Second IOM (if available) 3)─FC information 1)─ Compressor motor─ Oil-/air cooler fan─ Oil cooler fanModel:Date/timeTime zone■ Time server─ active:─ IP addressDate formatTime formatPressure unitTemperature unitDisplay lighting5.2 Pressure control ■ Pressure sensors■ Pressure settings■ Load control■ Network actual pressureFor details of the Pressure control menu, pleasesee table 35.1) Power switching with frequency converter3) SIGMA CONTROL 2 (Prepared for connection to control technology)5 Design and Function5.6 Menus – overview32 User Manual    Controller  SIGMA CONTROL 2  SCREW FLUID ≥4.0.X No.: 9_9450 07 USE
Navigation Function/Submenu5.3 Control mode Local mode:■ Venting period■ DUAL■ QUADRO■ Partial load valves5.4 Compressor start ■ Compressor on■ Compressor offAutostart:Start inhibit:Starting temperature5.5 Acknowledgement Remote mode:RC ackKey remote5.6 ETM Waste heat recoveryLocal mode:Remote mode:currentRC DIKey remote■ Oil cooler■ Waste heat recovery5.7 I/O periphery ■ DO functions■ Analogue values■ External messages■ SwitchFor details of the I/O periphery menu, pleasesee table 36.5.8 Timer onoffDOR1) Power switching with frequency converter3) SIGMA CONTROL 2 (Prepared for connection to control technology)5 Design and Function5.6 Menus – overviewNo.: 9_9450 07 USEUser Manual    Controller  SIGMA CONTROL 2  SCREW FLUID ≥4.0.X 33
Navigation Function/Submenu5.9 Refrigeration dryer (if available) Control modeCompressor ready:Compressor Clk/RC/RB off:Temperature ↑DORDOTTemperature ⇟DORDOTSafe compressed air supply/Safe compressedair qualityError operation without RDactive:Run time max.:Reset Alarm:1) Power switching with frequency converter3) SIGMA CONTROL 2 (Prepared for connection to control technology)Tab. 34Configuration menuPressure control menuNavigation Function/Submenu5.2.1 Pressure sensors System pressure pNlocInternal pressure pi5.2.2 Pressure settings pRV (Safety relief valve opening pressure)Pressure risepE SP/SDΔpFC 1)Nominal pressureSetpoint pressurepA SP/SDpB SP/SDSystem pressure lowCut-in pressure min1) Power switching with frequency converter5 Design and Function5.6 Menus – overview34 User Manual    Controller  SIGMA CONTROL 2  SCREW FLUID ≥4.0.X No.: 9_9450 07 USE
Navigation Function/Submenu5.2.3 Load control ■ pA/pB Clock(Menu see Remote mode)Local modeRemote modepA/pB CyclepA/pB RCpA/pB DOLoad RCloc.-load RCKey remoteKey idle5.2.4 Network actual pressure pNloc (locale network pressure)/FC USS 1)/AIIAIIFor sensor error:Type of message:WarningAlarm1) Power switching with frequency converterTab. 35Pressure control menu5 Design and Function5.6 Menus – overviewNo.: 9_9450 07 USEUser Manual    Controller  SIGMA CONTROL 2  SCREW FLUID ≥4.0.X 35
I/O periphery menuNavigation Function/Submenu5.7.1 DO functions Controller onDORDOTCompressor onDORDOTMotor runningDORDOTIdleDORDOTOn loadDORDOTGroup alarmDORDOTGroup warningDORDOTRemote modeDORDOTClock activeDORDOT■ Clock contactDORDOTEMERGENCY STOPDORDOT1) Power switching with frequency converter5 Design and Function5.6 Menus – overview36 User Manual    Controller  SIGMA CONTROL 2  SCREW FLUID ≥4.0.X No.: 9_9450 07 USE
Navigation Function/Submenu5.7.2 Analogue values ■ AnMod (Analog modules)─ AnMod_p_1─ AnMod_p_2─ AnMod_p_3─ AnMod_p_4─ AnMod_T_1─ AnMod_T_2─ AnMod_T_3─ AnMod_T_4─ AnMod_I_1─ AnMod_I_2■ AI (Analog inputs)─ AI_p_1─ AI_p_2─ AI_T_1─ AI_T_2─ AI_I_1─ AI_I_1■ AO (Analog outputs)─ AO_p_1─ AO_p_2─ AO_T_1─ AO_T_2─ AO_I_1─ AO_I_2─AO_n_1 1)■ PD (Process data)─ PD_p_1─ PD_p_2─ PD_T_1─ PD_T_2─ PD_I_1─ PD_I_25.7.3 External messages ■ External message 1■ External message 2■ External message 3■ External message 4■ External message 5■ External message 61) Power switching with frequency converter5 Design and Function5.6 Menus – overviewNo.: 9_9450 07 USEUser Manual    Controller  SIGMA CONTROL 2  SCREW FLUID ≥4.0.X 37
Navigation Function/Submenu5.7.4 Switch ■ System pressure pNloc■ Internal pressure pi■ ADT■ Inlet temperature■ PD temperature1) Power switching with frequency converterTab. 36I/O periphery menu5.6.2.3Communication menuNavigation Function/Submenu8.1 Ethernet/SIGMA NETWORK ■ IP configuration─ IP address─ Subnet mask─ Gateway─ DNS Server 1─ DNS Server 2─ Restart network■ Connections─ SIGMA CONTROL 2─ SAM 4.0RestartTimeoutCycle timeFor details of the Connections menu, please seetable 38.■ E-mail─ active:Compressor number:Language:Repeat cut-off time:─ Sender address:Sender name:Contact telephone:Receiver address:─ SMTP Server:User name:Password:─ Port/TimeoutResend after:MAC: MAC address3) SIGMA CONTROL 2 (Prepared for connection to control technology)5 Design and Function5.6 Menus – overview38 User Manual    Controller  SIGMA CONTROL 2  SCREW FLUID ≥4.0.X No.: 9_9450 07 USE
Navigation Function/Submenu8.2 Com-Module 3) The content of the menu depends on the type ofthe communication module identified.The following KAESER communications mod‐ules may be used:■ PROFIBUS■ Modbus■ Modbus TCP■ DeviceNet■ PROFINET3) SIGMA CONTROL 2 (Prepared for connection to control technology)Tab. 37Communication menu5.6.2.4Connections menuNavigation Function/Submenu8.1.2 Connections ■ SIGMA CONTROL 2─ Status─ Mode─ Port─ Communication partner─ IP address─ Communication errorStart tdTimeout■ SAM 4.0─ Status─ SAM 4.0 active:Send/receiveSend─ IP address─ Port─ Communication errorStart tdTimeoutRestartTimeoutCycle timeTab. 38Connections menu5 Design and Function5.6 Menus – overviewNo.: 9_9450 07 USEUser Manual    Controller  SIGMA CONTROL 2  SCREW FLUID ≥4.0.X 39
5.6.2.5Components menu Navigation Function/Submenu10.1 Compressor motor USS status: Run/Error■ Power switching─ Star-delta start─ DOL start─High-voltage cell 3)─SFC USS 1)─Softstart 3)─Customer-provided 3)For details of the Power switching menu, pleasesee table 40.1) Power switching with frequency converter3) SIGMA CONTROL 2 (Prepared for connection to control technology)Tab. 39Components menu5 Design and Function5.6 Menus – overview40 User Manual    Controller  SIGMA CONTROL 2  SCREW FLUID ≥4.0.X No.: 9_9450 07 USE
5.6.2.6Power switching menu Navigation Function/Submenu10.1.1 Power switching ■ Star-delta start─ Temp. warm start─ Star time T↑─ Star time T↓─ Υ/Δ switching time─ Overload relay─ Mains contactor─ Star contactor─ Delta contactor■ DOL start─ Run-up period:─ Overload relay─ Mains contactor─ Delta contactor■High-voltage cell 3)─ Run-up period:─ Overload relay─ Mains contactor■SFC USS 1)USS status: Run/Error─ Run-up period:─ Service operation─ Heavy load monitoring─ Mains contactor─ STO channel A─ STO channel B■Softstart 3)─ ready─ Motor running─ Start-up ended─ Start─ Reset─ Mains contactor■Customer-provided 3)─ Temp. warm start─ Run-up period T↑─ Run-up period T↓─ ready─ Mains contactor/Alarm td─ Redundancy contactor/Alarm td1) Power switching with frequency converter3) SIGMA CONTROL 2 (Prepared for connection to control technology)5 Design and Function5.6 Menus – overviewNo.: 9_9450 07 USEUser Manual    Controller  SIGMA CONTROL 2  SCREW FLUID ≥4.0.X 41
10.1.1 Power switching If there is a power switching unit with a frequen‐cy converter, the further content of the menu isdetermined by the type of frequency converterand the settings available for it.Tab. 40Power switching menu5.7  Operating modes and control modes5.7.1  Operating modesSTOPThe machine is connected to the power supply.The Controller voltage LED lights green.The machine is switched off. The On LED is extinguished.READYThe machine has been activated with the «ON» key:■ The On LED lights green.■ The drive motor is stopped.■ The inlet valve is closed.■ The minimum pressure check valve isolates the oil separator tank from the air system.■ The venting valve is open.The compressor motor starts as soon as system pressure is lower than the network nominal pres‐sure (cut-off pressure).In addition, timing and/or remote control may affect the start of the motor.LOADThe compressor motor runs under load.■ The inlet valve is open.■ The airend delivers compressed air to the air system.IDLEThe compressor motor runs unloaded with low power consumption.■ The inlet valve is closed.■ The minimum pressure check valve isolates the oil separator tank from the air system.■ The venting valve is open.A small volume of air circulates through the bleed hole in the inlet valve, through the airend andback to the inlet valve via the venting line.5 Design and Function5.7 Operating modes and control modes42 User Manual    Controller  SIGMA CONTROL 2  SCREW FLUID ≥4.0.X No.: 9_9450 07 USE
5.7.2  Control modesUsing the selected control mode, the controller switches the machine between its various opera‐tional states in order to compensate for air being drawn off by consumers, and to maintain the sys‐tem pressure between the set minimum and maximum values. The control mode also rules the de‐gree of energy efficiency of the machine.The machine-dependant venting phase between the LOAD and READY operating modes ensuresload changes at minimum material stresses.The controller SIGMA CONTROL 2 can operate in the following modes:■ DUAL■ QUADRO■ VARIO■ CONTINUOUS■ DYNAMIC■ MODULATING controlDUALIn the DUAL control mode, the machine is switched back and forth between LOAD and IDLE tomaintain the machine working pressure between the preset minimum and maximum values. Whenmaximum pressure is reached, the machine switches to IDLE. When the preset idling time haselapsed, the machine switches to READY.The idling time is factory preset according to the maximum starting frequency of the compressormotor. The shorter the idling time setting, the sooner (and more frequently) the drive motor is stop‐ped.QUADROUnlike the DUAL regulating mode, the machine will switch from LOAD to READY in QUADROmode after periods with low compressed air consumption.After periods with a high compressed air consumption, the machine will switch from LOAD toREADY after passing through IDLE.In this control mode, the controller requires two specified times: The running time and the idling/standstill time.The shorter these times are set, the sooner (and more frequently) the motor is stopped.VARIOThe VARIO mode is based on the DUAL control mode. Unlike the DUAL regulating mode, theidling time is automatically lengthened or shortened to compensate for higher or lower machinestarting frequencies.CONTINUOUSUnlike the DUAL control mode, the machine is switched back and forth between LOAD and IDLE,to maintain the machine working pressure between the preset minimum and maximum values.When maximum pressure is reached, the machine switches to IDLE. However, the machine doesnot switch to READY.5 Design and Function5.7 Operating modes and control modesNo.: 9_9450 07 USEUser Manual    Controller  SIGMA CONTROL 2  SCREW FLUID ≥4.0.X 43Option C1
DYNAMICUnlike the DUAL regulating mode, the machine will switch from LOAD to READY in DYNAMICmode at low drive motor temperature.And from LOAD via IDLE to READY at a high drive motor temperature.The lower the drive motor temperature, the sooner (and, therefore, more often and longer) it isstopped.MODULATING controlThe MODULATING control is an additional mechanical regulation. It continuously changes the de‐livery volume within the machine's control range.A control valve, the proportional controller, changes the degree of opening of the inlet valve whenthe machine transports compressed air into the air network (LOAD).The load and power consumption of the drive motor rises and falls with the air demand.5.7.3  Frequency-controlled drive (SFC)If the machine runs in LOAD , the frequency converter compares the ACTUAL value with the TAR‐GET value of the system pressure and regulates, depending on the difference, the speed of thecompressor motor and the airend.The speed of the airend determines the rate of compressed air delivery and the working pressure.If air consumption rises, the frequency converter increases motor speed and therefore increasesthe volume of air delivered.If air consumption drops, the converter reduces motor speed and therefore reduces the volume ofair delivered.The network pressure remains constant – within the control range of the converter – regardless offluctuating air demand.If the network pressure exceeds the TARGET value:Outside the frequency converter's range of control the machine reverts to the selected controlmode.DUAL:The minimum controllable speed is reached and the machine switches to IDLE . The drive motorruns unloaded with low power consumption.When the preset idling time has elapsed, the machine switches to READY.VARIO/QUADRO/CONTINUOUS:The minimum controllable speed is reached and, depending on the air demand at the time, the ma‐chine switches either to READY or to IDLE. The machine remains in IDLE at least for the durationof the venting time, before it switches to READY.DYNAMIC:The minimum controllable speed is reached and, depending on the air temperature of the drive mo‐tor the machine switches either to READY or to IDLE. The machine remains in IDLE at least for theduration of the venting time, before it switches to READY.If the network pressure falls below the TARGET value:The frequency converter runs the motor up to a speed at which air delivery matches the air de‐mand.5 Design and Function5.7 Operating modes and control modes44 User Manual    Controller  SIGMA CONTROL 2  SCREW FLUID ≥4.0.X No.: 9_9450 07 USEOption C1
The inlet valve opens and the machine delivers compressed air.The frequency converter varies the speed of the drive motor according to the air demand. Thepower consumption of the drive motor rises and falls according to air demand.5.7.4  MODULATING controlWith the help of a mechanical control valve (the proportional controller), the opening and closing ofthe inlet valve is continuously varied in relation to the actual air demand. The airend delivers com‐pressed air to the distribution network.The load and power consumption of the drive motor rises and falls with the air demand.To ensure optimal control on large compressors, the control air for the proportional controller is tak‐en from an external air receiver.5 Design and Function5.7 Operating modes and control modesNo.: 9_9450 07 USEUser Manual    Controller  SIGMA CONTROL 2  SCREW FLUID ≥4.0.X 45
6  Installation and Operating Conditions6.1  Maintaining ambient conditions➤ Follow the instructions in the machine's operator manual.6.2  Installation conditionsThe installation and operating conditions depend the machine into which the controller is installed.UV radiation!Direct sunlight (UV radiation) can destroy the display screen.➤ Do not allow the display screen to be subjected to direct sunlight.➤ See the machine's operator manual for required conditions.6 Installation and Operating Conditions6.1 Maintaining ambient conditions46 User Manual    Controller  SIGMA CONTROL 2  SCREW FLUID ≥4.0.X No.: 9_9450 07 USE
7  Installation7.1  Reporting Transport Damage1. Check the machine for visible and hidden transport damage.2. Inform the carrier and the manufacturer in writing of any damage without delay.7.2  Machine identificationIf the machine is run in sequenced operation its identification as detailed in the installation diagramis to be taken into account.Identifying the machine for operation in remote mode.➤ Attach the following notice to warn of remote machine operation (suggestion):Remote control: danger of unexpected starting!➤ Make sure the power supply disconnecting device is switched off before commencing anywork on the machine.Tab. 41 Machine identification➤ Label the starting device in the remote control center as follows (suggestions):Remote control: danger of unexpected starting!➤ Before starting, make sure that no one is working on the machine and that it can be safelystarted.Tab. 42 Remote control identificationIdentifying the machine for clock control mode operation➤ Attach the following notice to warn of remote machine operation (suggestion):Clock control: Risk of injury caused by unexpected starting!➤ Make sure the power supply disconnecting device is switched off before commencing anywork on the machine.Tab. 43 Machine identification7 Installation7.1 Reporting Transport DamageNo.: 9_9450 07 USEUser Manual    Controller  SIGMA CONTROL 2  SCREW FLUID ≥4.0.X 47
8  Initial Start-up8.1  OutlineSIGMA CONTROL 2 was designed and developed for a number of applications. Potential settingsare correspondingly varied.It is possible that only a few of these settings are needed for the initial start-up. This depends onthe application .The following sections explain the large number of practical applications, but only one configurationis relevant for a specific use.8.2: Configuring the controller (display format, units, languages, etc.)8.3: Using KAESER CONNECT8.4: Pressure parameters of the machine8.5: Machine start and stop8.6: Control modes8.7: Electronic Thermal Management8.8: Refrigerated dryer8.9: Configuring the machine for local mode8.10: Configuring the machine for master control operation8.11: Configuring input and output signals8.12: Activating remote acknowledgement8.13: Linking to an external pressure transducer8.14: Commissioning the machine8.2  Configuring the controllerThe following chapters describe in detail the basic settings for the SIGMA CONTROL 2. Thequick installation guide at the beginning of this operating manual provides an overview of theessential displays and operating elements, the main menu and important functions.8 Initial Start-up8.1 Outline48 User Manual    Controller  SIGMA CONTROL 2  SCREW FLUID ≥4.0.X No.: 9_9450 07 USE
➤ Carry out settings as required:■ 8.2.1: Selecting menu options (introduction)■ 8.2.2: Setting the language■ 8.2.3: Noting number of the KAESER Equipment Card■ 8.2.4: User log-in with RFID Equipment Card■ 8.2.5: Generating a password■ 8.2.6: Manual user log-in■ 8.2.7: Checking and setting time and date■ 8.2.8: Setting the time zone (summer and winter time)■ 8.2.9: Setting display formats (date, time, units of pressure and temperature)■ 8.2.10: Setting the display illumination■ 8.2.11: Setting the contrast and the brightness■ 8.2.12: Activating the remote control■ 8.2.13: IP configuration■ 8.2.14: Configuring the e-mail function■ 8.2.15: Setting the time server■ 8.3.6: Creating a user account8.2.1  Selecting menu optionsAll menu options can be selected with the «Down», «Up» and «Enter» keys.Example: Selecting the < Configuration – General > menu1. Switch on the machine and wait for SIGMA CONTROL 2 to start.The operating mode is displayed.88psi     08:15AM      176° F Header__________________________________Load Current operating mode__________________________________Key     –     on     ¦     pA     –     on Operating parameters__________________________________Run            2500h   Load            2490h Operating parametersMaintenancein                                    500hMaintenance indicator8 Initial Start-up8.2 Configuring the controllerNo.: 9_9450 07 USEUser Manual    Controller  SIGMA CONTROL 2  SCREW FLUID ≥4.0.X 49
2. Press «Enter».The main menu is displayed.88psi     08:15AM      176° FMain menu----------------English US---------------- Current language▶1 Status Submenu▶2 Performance data Submenu▶3 Operating data Submenu▶4 Maintenance Submenu▶5 Configuration Active line3. Use «Up» or «Down» to select the Configuration line.4. Press «Enter».The Configuration menu is displayed.5. Use «Up» or «Down» to select the General line.6. Press «Enter».The General menu is displayed.88psi     08:15AM      176° F5.1 General Menu▶1 System information Submenu                         ·········Model:      XXXXXX Set machine type (SC2 FLUID)                         ·········Date/time 04/13/16                          08:15:37AM Current date and time7. Use «Up» or «Down» to select a menu item in the General submenu such as Systeminformation.8. Press «Escape» repeatedly to leave this menu.8.2.2  Setting the languageThe controller can display text messages in the following languages:Arabic Estonian Italian Norwegian SpanishBulgarian Finnish Japanese Polish Spanish(South America)Chinese French Korean Portuguese CzechDanish French(Canada)Croatian Romanian TurkishGerman Greek Latvian Russian HungarianEnglish Hebrew Lithuanian Swedish ...English (USA) Indonesian Dutch Slovenian ...Tab. 44 Display languages8 Initial Start-up8.2 Configuring the controller50 User Manual    Controller  SIGMA CONTROL 2  SCREW FLUID ≥4.0.X No.: 9_9450 07 USE
Some of the units, as well as clock and date format, will be adjusted according to the lan‐guage selected. You can manually change these settings (see chapter 8.2.9).Precondition The operating mode is displayed.1. Press «Enter».The main menu is displayed.88psi     08:15AM      176° FMain menu----------------English US---------------- Current language▶1 Status Active line▶2 Performance data Submenu▶3 Operating data Submenu▶4 Maintenance Submenu▶5 Configuration Submenu2. Press the «Up» key.The currently set language is displayed as the active line.88psi     08:15AM      176° FMain menu----------------English US---------------- Active line with currently set language▶1 Status Submenu▶2 Performance data Submenu▶3 Operating data Submenu▶4 Maintenance Submenu▶5 Configuration Submenu3. Press «Enter».The currently set language flashes.4. Use «Up» or «Down» to select the desired language.5. Press «Enter».Result The user interface is displayed in the set language.8.2.3  Noting the number of the KAESER Equipment CardThe number of your KAESER Equipment Card is identical with the user name displayed onSIGMA CONTROL 2 after you have successfully logged on using your KAESER Equip‐ment Card.8 Initial Start-up8.2 Configuring the controllerNo.: 9_9450 07 USEUser Manual    Controller  SIGMA CONTROL 2  SCREW FLUID ≥4.0.X 51
Fig. 11 Back of the KAESER Equipment Card1Back of the KAESER Equipment Card2Number of the KAESER Equipment Card1. Note the user name (= number of the KAESER Equipment Card).2. Keep the note at a secure location.If your KAESER Equipment Card gets damaged or can no longer be found?➤ If you know your user name and password, you can manually log on toSIGMA CONTROL 2 (see chapter 8.2.5).8.2.4  User log-in with KAESER Equipment CardUse the KAESER Equipment Card to quickly and easily check the advanced access rights to theSIGMA CONTROL 2 controller.Advanced access rights let you:■ Read additional data■ Change other settingsFig. 12 User log-in with KAESER Equipment Card8 Initial Start-up8.2 Configuring the controller52 User Manual    Controller  SIGMA CONTROL 2  SCREW FLUID ≥4.0.X No.: 9_9450 07 USE
1. Hold the KAESER Equipment Card in front of the RFID reader.Your user name and access level will be displayed.88psi     08:15AM      176° FLog-in successful MenuButton to change password    Prompt, whether the password is to be changed__________________________________  Name:         E00019895                Level:           22. Press «Enter» to confirm the access right.The access right is confirmed.The KAESER Equipment Card is damaged or lost?➤ Manually enter the user name and password, see chapter 8.2.6.8.2.5  Generating a passwordIn the event that your KAESER Equipment Card is damaged or lost, you must manually log on toSIGMA CONTROL 2. A password is also required to use KAESER CONNECT to log on atSIGMA CONTROL 2 (see chapter 8.3).Prerequisite for this is that you know your■ Name■ PasswordYou have noted your user name and stored it at a suitable location (see chapter 8.2.3). You nowgenerate a password at the SIGMA CONTROL 2. Note this generated password as well, and storeit in a suitable location. If your KAESER Equipment Card is damaged or lost, the card won't be nec‐essary to manually log on to SIGMA CONTROL 2 when you have these two pieces of information.Precondition Any menu is displayedFig. 13 User log-in with KAESER Equipment Card8 Initial Start-up8.2 Configuring the controllerNo.: 9_9450 07 USEUser Manual    Controller  SIGMA CONTROL 2  SCREW FLUID ≥4.0.X 53
1. Hold the KAESER Equipment Card in front of the controller’s RFID reader.Users are always logged on with password access level 2.88psi     08:15AM      176° FLog-in successful MenuButton to change password    Prompt, whether the password is to be changed__________________________________  Name:         E00019895                Level:           22. Press the «Right» key within five seconds.The new Password is displayed.88psi     08:15AM      176° FPassword changed Menu__________________________________Please take note of your newpassword:xFNDQRCnDn New password                                                             3. Note the new password.4. Store the password at a suitable location, if it should become necessary to manually log-onwithout KAESER Equipment Card.5. Press «Enter».The setting is applied.8.2.6  Manual user log-inIn the event that your KAESER Equipment Card is damaged or lost, you can manually log on toSIGMA CONTROL 2.Precondition The user name (see chapter 8.2.3) and password (see chapter 8.2.5) are known.The operating mode is displayed.1. Open the 7 User menu.2. Use «Up» or «Down» to select the Name line.3. Press «Enter».The setting mode is active.A column with alphanumeric characters is displayed.The selected character flashes.8 Initial Start-up8.2 Configuring the controller54 User Manual    Controller  SIGMA CONTROL 2  SCREW FLUID ≥4.0.X No.: 9_9450 07 USE
Fig. 14 Manual user log-in4. Select the required character with the «Up» or «Down» keys.5. Press the «Right» key.The cursor jumps to the next position of the user name.6. Enter the remaining characters of the user name in the same manner.7. Press «Enter».The user name is entered.8. Use «Up» or «Down» to select the Password line.9. Press «Enter».Enter the remaining letters and digits of the password in the same manner.The password is case sensitive!10. Press «Enter».The password is entered.11. Use «Up» or «Down» to select the [Login] line.12. Press «Enter».Current access level: 2 is displayed.Result You are now logged on to SIGMA CONTROL 2 with password access level 2, having manually in‐put your user name and the password.8.2.7  Checking and setting time and datePrecondition Password access level 2 is activated.Checking and setting time➤ When operating the machine with a timer program, check the time settings at least oncea year.➤ You can automatically synchronize date and time using a time server. Manual setting ofthe time is no longer required in this case. See chapter 8.2.15.1. Open the 5.1 <Configuration – General> menu.2. Use the «Up» or «Down» keys to select the Date/time line.8 Initial Start-up8.2 Configuring the controllerNo.: 9_9450 07 USEUser Manual    Controller  SIGMA CONTROL 2  SCREW FLUID ≥4.0.X 55
3. Press the «DOWN» key.88psi     08:15AM      176° F5.1 General Menu▶1 System information                         ·········Model:      XXXXXX Set machine type (SC2 FLUID)                         ·········Date/time 04/13/16                          08:15:37AM Date and time4. Press the «Right» key.5. Press «Enter».The display for hours 00:00:00 flashes.6. Use «Up» or «Down» to set the hours.7. Press the «Right» key.The display for minutes 00:00:00 flashes.8. Use «Up» or «Down» to set the minutes.9. Press the «Right» key.The display for seconds 00:00:00 flashes.10. Use «Up» or «Down» to set the seconds.11. Press «Enter» to accept all settings.The setting is applied.12. Press «Escape» repeatedly to return to the main menu.Checking and setting the datePrecondition Password access level 2 is activated.1. Open the 5.1 <Configuration – General> menu.2. Use the «Up» or «Down» keys to select the Date/time line.3. Press the «DOWN» key.88psi     08:15AM      176° F5.1 General Menu▶1 System information                         ·········Model:      XXXXXX Set machine type (SC2 FLUID)                         ·········Date/time 04/13/16                          08:15:37AM Date and time4. Press «Enter».The display for days 00.00.00 flashes.5. Use «Up» or «Down» to set the day.6. Press the «Right» key.The display for months 00.00.00 flashes.8 Initial Start-up8.2 Configuring the controller56 User Manual    Controller  SIGMA CONTROL 2  SCREW FLUID ≥4.0.X No.: 9_9450 07 USE
7. Use «Up» or «Down» to set the month.8. Press the «Right» key.The display for years 00.00.00 flashes.9. Use the «Up» or «Down» keys to set the years.10. Press «Enter».The setting is applied.11. Press «Escape» repeatedly to return to the main menu.8.2.8  Set the time zoneSet the time zone for the SIGMA CONTROL 2 to ensure the timely automatic conversion from win‐ter time (standard time) to daylight savings time, for example.Precondition Password access level 2 is activated.1. Open the 5.1 <Configuration – General> menu.2. Use the «Up» or «Down» keys to select the Date/time line.3. Press «Down» twice.88psi     08:15AM      176° F5.1 General MenuModel:      XXXXXX Set machine type (SC2 FLUID)                         ·········Date/time 04/13/16                          08:15:37AM                        US/Central Time zone                         ·········4. Press «Enter».The time zone display flashes.5. Use «Up» or «Down» to set the time zone.6. Press «Enter».The setting is applied.7. Press «Escape» repeatedly to leave this menu.8.2.9  Setting display formatsWhen setting the language, the system automatically sets the units and the time and date formats.You can manually change these settings.Setting the date formatSelect your preferred format:Format ExampleDD.MM.YY 30.07.16YY-MM-DD 16–07–30MM/DD/YY 07/30/16Tab. 45 Date formats8 Initial Start-up8.2 Configuring the controllerNo.: 9_9450 07 USEUser Manual    Controller  SIGMA CONTROL 2  SCREW FLUID ≥4.0.X 57
Precondition Password access level 2 is activated.1. Open the 5.1 <Configuration – General> menu.2. Use the «Up» or «Down» keys to select the Date format line.88psi     08:15AM      176° F5.1 General Menu                        US/Central                         ·········▶2 Time server                         ·········Date format               MM/DD/YY Date formatTime format                hh:mm:ssAM/PM3. Press «Enter».The MM/DD/YY display flashes.4. Use the «Up» or «Down» keys to set the date format.5. Press «Enter».The setting is applied.6. Press «Escape» repeatedly to leave this menu.Setting the time formatSelect your preferred format for the time display:Format Examplehh:mm:ss 13:33:45hh:mm 13:33hh:mm:ssAM/PM 01:33:45PMhh:mmAM/PM 01:33PMTab. 46 Time formatsPrecondition Password access level 2 is activated.1. Open the 5.1 <Configuration – General> menu.2. Use the «Up» or «Down» keys to select the Time format line.88psi     08:15AM      176° F5.1 General Menu                        US/Central                         ·········▶2 Time server                         ·········Date format               MM/DD/YYTime format                hh:mm:ssAM/PM Time format3. Press «Enter».The hh:mm:ssAM/PM indication flashes.8 Initial Start-up8.2 Configuring the controller58 User Manual    Controller  SIGMA CONTROL 2  SCREW FLUID ≥4.0.X No.: 9_9450 07 USE
4. Use the «Up» or «Down» keys to set the time format.5. Press «Enter».The setting is applied.6. Press «Escape» repeatedly to leave this menu.Setting the pressure display unitsSelect your preferred display of the pressure unit:Format Examplebar 5.5barhPa 5523hPaMPa 0.55MPapsi 80psiat 5.6atTab. 47 Units of pressurePrecondition Password access level 2 is activated.1. Open the 5.1 <Configuration – General> menu.2. Use the «Up» or «Down» keys to select the Pressure unit line.88psi     08:15AM      176° F5.1 General MenuTimeformat                     hh:mm:ssAM/PM                         ·········Pressure unit                       psi Unit of pressureTemperature unit               °F Unit of temperature                         ·········Display lighting3. Press «Enter».The display for the set unit flashes.4. Use the «Up» or «Down» keys to set the unit.5. Press «Enter».The setting is applied.6. Press «Escape» repeatedly to leave this menu.Setting the temperature display unitsSelect your preferred display of the temperature unit:Format Example°C 46°CK 319K°F 114°FTab. 48 Units of temperature8 Initial Start-up8.2 Configuring the controllerNo.: 9_9450 07 USEUser Manual    Controller  SIGMA CONTROL 2  SCREW FLUID ≥4.0.X 59
Precondition Password access level 2 is activated.1. Open the 5.1 <Configuration – General > menu.2. Use the «Up» or «Down» keys to select the Temperature unit line.88psi     08:15AM      176° F5.1 General MenuTimeformat                     hh:mm:ssAM/PM                         ·········Pressure unit                       psi Unit of pressureTemperature unit               °F Unit of temperature                         ·········Display lighting3. Press «Enter».The display for the set unit flashes.4. Use the «Up» or «Down» keys to set the unit.5. Press «Enter».The setting is applied.6. Press «Escape» repeatedly to leave this menu.8.2.10  Setting the display illuminationSelect your personal mode for the display illumination:Mode 1 2 3Indicationautomatic on offFunction The illumination extin‐guishes after the time-out has elapsed.Permanent settingIllumination "on"Permanent settingIllumination "off"Tab. 49 Display illuminationPrecondition Access level 2 is activated.1. Open the 5.1 <Configuration – General > menu.2. Use the «Up» or «Down» keys to select the Display lighting line.3. Press the «DOWN» key.The Mode line is displayed.88psi     08:15AM      176° F5.1 General Menu                         ·········Pressure unit                       psiTemperature unit               °F                         ·········Display lightingMode:          auto. ¦ Timeout:       1min Active line8 Initial Start-up8.2 Configuring the controller60 User Manual    Controller  SIGMA CONTROL 2  SCREW FLUID ≥4.0.X No.: 9_9450 07 USE
4. Press «Enter».The display for the set mode flashes.5. Use the «Up» or «Down» keys to set the auto. mode.6. Press «Enter».The setting is applied.7. Press the «Right» key.8. Set the value for the Timeout in the same manner, e.g. 1 min.9. Press «Enter».10. Press «Escape» repeatedly to leave this menu.Result The display illumination is set for automatic operation with deactivation following one minute with‐out user intervention.8.2.11  Setting the contrast and the brightnessThe display settings for contrast and brightness are set to the highest possible values by default.Change the settings if adverse lighting conditions make it difficult to read the displayed information.Precondition The operating mode is displayed.1. Press and hold the «Information» key.2. Use «Up» or «Down» to adjust the contrast.3. Use «Left» or «Right» to adjust the brightness.Result The settings for contrast and brightness have been adjusted.8.2.12  Activating the remote controlThe «Remote control» key on the operating panel of the SIGMA CONTROL 2 can be activated ordeactivated. Various menus offer check boxes for this setting.Precondition Password access level 2 is activated.The operating mode is displayed.1. Open the 8 Communication menu.2. Use «Up» or «Down» to select the Key remote line.3. Press «Enter».The check box Key remote flashes.88psi     08:15AM      176° F8 Communication Menu▶1 Ethernet/SIGMA NETWORK▶2 Com-ModuleKey remote                             ☐ Active line with deactivated check box   8 Initial Start-up8.2 Configuring the controllerNo.: 9_9450 07 USEUser Manual    Controller  SIGMA CONTROL 2  SCREW FLUID ≥4.0.X 61
4. Press the «Up» key.The check box Key remote is activated.88psi     08:15AM      176° F8 Communication Menu▶1 Ethernet/SIGMA NETWORK▶2 Com-ModuleKey remote                             ☑ Active line with activated check box   5. Press «Enter».The «Remote control» key is activated.6. Press «Escape» repeatedly to leave this menu.Proceed in the same manner to deactivate the «Remote control» key.7. Press the «Remote control» key on the operating panel of SIGMA CONTROL 2.Result SIGMA CONTROL 2 Remote control is activated.8.2.13  IP configurationFor the SIGMA CONTROL 2 to be connected to the network, you must set the IP configuration (forKAESER CONNECT for example).If you use SIGMA CONTROL 2 as the master control of two machines, you set other networkparameters in the IP configuration menu (see chapter 8.10.4).The network parameters for the IP configuration must be specified manually. You cannot useDHCP for an automatic IP configuration.Precondition Password access level 2 is activated.The network parameters are known. Request the required information from your IT department.1. SIGMA CONTROL 2 Connect to the network using an Ethernet cable.2. Select the 8.1.1 <Communication – Ethernet/SIGMA NETWORK – IP configuration> menu.3. Use «Up» or «Down» to select the IP address line.88psi     08:15AM      176° F8.1.1 IP configuration MenuIP address            169.254.100.101 Active line, factory settingSubnet mask      255.255.000.000Gateway                169.254.100.97DNS Server 1        169,254,100.97DNS Server 2        169,254,100.97Restart network                    ☐4. Press «Enter» to switch into setting mode.The first group of numbers of the IP address flashes 169.254.100.101.8 Initial Start-up8.2 Configuring the controller62 User Manual    Controller  SIGMA CONTROL 2  SCREW FLUID ≥4.0.X No.: 9_9450 07 USE
5. Use «Up» or «Down» to set the first group of numbers of the IP address.6. Press the «Right» key.The SECOND group of numbers of the IP address flashes 192.168.100.101.7. Use «Up» or «Down» to set the second, third and fourth group of numbers of the IP address.The IP address is correctly set.8. Press «Enter» to accept the setting.The setting is applied.9. Press «Down».The Subnet mask line is displayed.10. Set the remaining network parameters as described above:Parameters Setting value MeaningIP address IP address of the interface X1 EthernetSubnet mask Subnet mask of the networkGateway Gateway address of the networkDNS Server 1 DNS server 1 addressDNS Server 2 DNS server 2 addressRestart network – Activate the changed network parametersTab. 50 Network parameters11. Use the «Up» or «Down» keys to select the Restart network line.88psi     08:15AM      176° F8.1.1 IP configuration MenuIP address             192.168.001.010 Example addressSubnet mask       255.255.255.000 Example addressGateway                 192.168.001.001 Example addressDNS Server 1        008.008.008.008 Example addressDNS Server 2        008.008.004.004 Example addressRestart network                    ☐ Active line12. Press «Enter».The check box Restart network will flash.13. Press «Up» key.The check box is activated.14. Press «Enter».Result The network is restarted.The set network parameters are active.8.2.14  Setting the e-mail functionSIGMA CONTROL 2 uses e-mail to send information (messages) to an e-mail address.For this purpose, an Ethernet connection with an SMTP server is required.8 Initial Start-up8.2 Configuring the controllerNo.: 9_9450 07 USEUser Manual    Controller  SIGMA CONTROL 2  SCREW FLUID ≥4.0.X 63
Setting e-mail parametersPrecondition Password access level 2 is activated.IP configuration is set; see chapter 8.2.13An SMTP server is active in the network.The e-mail parameters are known. Request the required information from your IT department.1. Open the 8.1.3 <Communication – Ethernet/SIGMA NETWORK – E-mail> menu.2. Use the «Up» or «Down» keys to select the active: line.88psi     08:15AM      176° F8.1.3 E-mail Menuactive:                                             ☐ Activating/deactivating the e-mail functionCompressor number:                   1Language:                    English US Setting the languageRepeat cut-off time:               5min__________________________________Sender address:3. Press «Enter».The check box active: will flash.4. Press «Up» key.The check box is deactivated.5. Press «Enter».The e-mail function is deactivated.6. Set the e-mail parameters as described above:Parameters SettingvalueMeaningCompressornumber:This field displays the machine number that appears as the sender ofe-mails. The recipient is thus able to recognize the different machinessending mails.Language: Use this field to define the language for the message texts. This settingin independent from the language setting in SIGMA CONTROL 2 (seechapter 8.2.2).Repeat cut-offtime:In this field, enter the time in minutes (repeat block time) that the sys‐tem must wait in order not send multiple recurring messages in shorttime intervals.Sender address: Enter the e-mail address of the sender in this field.Sender name: Enter the name of the sender in this field.Contacttelephone:In this field, enter a telephone number under which the system operatorcan be reached. This telephone number is sent with each e-mail.Receiveraddress:The e-mail address of the recipient.SMTP Server: IP address of the SMTP server receiving and forwarding the e-mails.User name: Log-in user name for logging on to the SMTP server.Password Log-in password for logging on to the SMTP server.8 Initial Start-up8.2 Configuring the controller64 User Manual    Controller  SIGMA CONTROL 2  SCREW FLUID ≥4.0.X No.: 9_9450 07 USE
Parameters SettingvalueMeaningPort Port address of the SMTP server.Timeout In this field, enter the seconds for SIGMA CONTROL 2 to wait for a re‐ply by the SMTP server before e-mail sending is cancelled.Resend after: In this field enter, the time in seconds for the system to wait after afailed e-mail sending operation before it again attempts to send themail.Tab. 51 E-mail parameters7. Activating the e-mail function: Activate the active: check box as described above.8. Press «Esc» repeatedly to leave this menu.Result The e-mail parameters are set and the e-mail function is activated.8.2.15  Configuring the time serverIf SIGMA CONTROL 2 is connected to the network, you can set the access to an SNTP serveravailable in the Internet or a local Intranet. SIGMA CONTROL 2 then automatically imports thedate and time settings and ensures continuous synchronization of the internal clock with the exter‐nal time server.Precondition Password access level 2 is activated.IP configuration is set; see chapter 8.2.13.The time server's IP address is known. Request the required information from your IT department.1. Open the 5.1.2 <Configuration – General – Time server> menu.2. Use the «Up» or «Down» keys to select the IP address line.88psi     08:15AM      176° F5.1.2 Time server Menuactive:                                             ☐ Activating/deactivating the time server functionIP address            192.053.103.103 Example address, time server    3. Press «Enter».The first group of numbers of the IP address flashes 192.053.103.103.4. Use «Up» or «Down» to set the first group of numbers of the IP address.5. Press the «Right» key.The second group of numbers of the IP address flashes 192.053.103.103.6. Use «Up» or «Down» to set the second, third and fourth group of numbers of the IP address.The IP address is correctly set.7. Press «Enter» to accept the setting.The setting is applied.8. Use «Up» or «Down» to select the active: line.8 Initial Start-up8.2 Configuring the controllerNo.: 9_9450 07 USEUser Manual    Controller  SIGMA CONTROL 2  SCREW FLUID ≥4.0.X 65
9. Press «Enter».The check box active: will flash.10. Press «Up» key.The check box is activated.88psi     08:15AM      176° F5.1.2 Time server Menuactive:                                             ☑ The time server function is activatedIP address            192.053.103.103 Example address, time server    11. Press «Enter».12. Press «Escape» repeatedly to return to the main menu.Result Access to the selected time server is active.The internal clock of SIGMA CONTROL 2 is permanently synchronized.8.3  Using KAESER CONNECTUsing an Internet-capable device with web browser, you can use KAESER CONNECT to remotelydisplay these SIGMA CONTROL 2 menus:■ System status■ Graphs■ Messages■ I/O display■ User management■ Settings■ Backup■ Data recordingThus, KAESER CONNECT provides an excellent option for an easy and quick check of the econo‐my and energy efficiency of your machines.The following functions are not available with KAESER CONNECT:■ Remotely starting the machine■ Remotely setting parametersFor KAESER CONNECT to be able to use the Internet-capable device, it must be registeredin the same network as SIGMA CONTROL 2.To be able to use KAESER CONNECT, the browser installed on the Internet-capable devicemust be able to display HTML5 content. For security reasons, we strongly recommend to useonly up-to-date browser versions.8 Initial Start-up8.3 Using KAESER CONNECT66 User Manual    Controller  SIGMA CONTROL 2  SCREW FLUID ≥4.0.X No.: 9_9450 07 USE
8.3.1  Open KAESER CONNECTPrecondition The user name (see chapter 8.2.3) and password (see chapter 8.2.5) are known.The IP address of your controller is known, see chapters 8.2.13 and 8.10.4.1. Use an Ethernet cable to connect SIGMA CONTROL 2 to the Internet-capable device or net‐work.2. In the web browser, enter the controller's IP address.The Login window is displayed.Fig. 15 Login window3. Enter your user name in the User name: field.4. Enter your password in the Password: field.5. Click Login.KAESER CONNECT for SIGMA CONTROL 2 is displayed.Fig. 16 KAESER CONNECT for SIGMA CONTROL 28 Initial Start-up8.3 Using KAESER CONNECTNo.: 9_9450 07 USEUser Manual    Controller  SIGMA CONTROL 2  SCREW FLUID ≥4.0.X 67
6. Click the arrow key  1 to open Select language:.The Select language: window is displayed.Fig. 17 Select language: window1«Arrow key» Select language:2Select language: window3Select a language4Selected language7. Select the required language  3.Result KAESER CONNECT is displayed in the selected language.8.3.2  System status menuPrecondition KAESER CONNECT for SIGMA CONTROL 2 is displayed.Fig. 18System status menu1. Click the System status menu element.The System status menu is displayed8 Initial Start-up8.3 Using KAESER CONNECT68 User Manual    Controller  SIGMA CONTROL 2  SCREW FLUID ≥4.0.X No.: 9_9450 07 USE
Fig. 19 Main menu2. Click in the SIGMA CONTROL 2 display.The Main menu is displayed.3. Click the numbered lines.The system displays the corresponding sub-menus.4. Press ESC repeatedly to leave this menu.8.3.3  Graphs menuWhen starting the Graphs menu, the recorded data from the last 60 minutes are loaded. The last20 minutes are displayed in a graph. The system updates the graph every ten seconds whilst thecurrent time is displayed.If an SD card is provided in the X5 SD card slot, you can retrieve and display the automatically-recorded machine data for any time in the past.Moving the mouse pointer across the graph calls up a ruler. The time selected with the ruler andthe associated values are displayed in the legend above the graph. When the ruler is hidden, thetime and associated values are displayed at the right edge of the graph.The graph content depends on the machine type.The Speed display is implemented only for machines with frequency converter.Precondition KAESER CONNECT for SIGMA CONTROL 2 is displayed.1. Click the Graphs menu element.8 Initial Start-up8.3 Using KAESER CONNECTNo.: 9_9450 07 USEUser Manual    Controller  SIGMA CONTROL 2  SCREW FLUID ≥4.0.X 69
Fig. 20Graphs (illustration similar)2. Check the displayed data.8.3.3.1 Zoom functionUse the Zoom function to enlarge significant curve developments:Highlight a specific area within the graph by drawing a rectangle with the mouse pointer pressed.The selected area will be enlarged as soon as the mouse pointer is released.Fig. 21 Arrow keysItem Description Function1 «Start» Display the oldest data in the cache memory or load the data from the previ‐ous 20 minutes from the SD card2 «Scroll left» Shift the display area by 1/3 to the left3 «Zoom-out» Time range is enlarged4 «Scroll right» Shift the display area by 1/3 to the right5 «End» Display of newest data6 «Refresh» Load and display the entered machine data from start time to end timeTab. 52 Arrow key functions8 Initial Start-up8.3 Using KAESER CONNECT70 User Manual    Controller  SIGMA CONTROL 2  SCREW FLUID ≥4.0.X No.: 9_9450 07 USE
1. Click the «Start»  1 arrow key.The oldest data in the cache memory or the data of the last 20 minutes are loaded form the SDcard and displayed2. Click the «Scroll right»  4 arrow key.The display area is shifted to the right by 1/3.3. With the mouse button pressed, draw a rectangle around the selected area.4. Release the mouse button.The selected area is enlarged (zoom-in function).5. Click the «Zoom-out»  3 arrow key.The time range is enlarged (zoom-out function).8.3.3.2 Displaying past machine dataYou can display the automatically-recorded machine data for any time in the past.Precondition An SD card with sufficient free memory is inserted in the X5 SD card slotThe SD card was inserted for the entire operating time of the machine.The SIGMA CONTROL 2 data recorder function is activated.1. Enter the date and time for the start time in the required time period in Start:.2. Enter the date and time for the end time in the required time period in End:.3. Click  6.The machine data for the specified time interval are loaded and displayed.8.3.4  Messages menuThe following messages are shown:■ Current messages■ Compressor messages■ System messages■ Diagnostic messagesPrecondition KAESER CONNECT for SIGMA CONTROL 2 is displayed.8 Initial Start-up8.3 Using KAESER CONNECTNo.: 9_9450 07 USEUser Manual    Controller  SIGMA CONTROL 2  SCREW FLUID ≥4.0.X 71
Fig. 22Messages1. Open the Messages menu.The Messages menu is displayed.2. Click the required message type.3. Check messages.8.3.5  I/O display menuThe measured values of the analog inputs and the states of the digital inputs and outputs are dis‐played in the I/O display menu. Depending on the machine options, you may select from furtherIOM module tabs.Precondition KAESER CONNECT for SIGMA CONTROL 2 is displayed.8 Initial Start-up8.3 Using KAESER CONNECT72 User Manual    Controller  SIGMA CONTROL 2  SCREW FLUID ≥4.0.X No.: 9_9450 07 USE
Fig. 23I/O display (illustration similar)➤ Click the I/O display menu element.The current measured data and states of the input/output modules are displayed.8.3.6  User management menuUse the User management menu to create additional user accounts for other employees.In order to be able to create user accounts, you must activate the write mode. The system willprompt you to enter and confirm your user name and your password. Subsequently, the writemode is activated (see Chapter 8.2.5).The write mode is granted only to one person at a time.If a second user attempts to log on in write mode, he will be refused by the system.The system will return an error message.String length for personally created user names and passwords:■ User name: 6 to 16 characters, the second character must not be a number■ Password: 6 to 16 charactersPrecondition The generated password is available.KAESER CONNECT for SIGMA CONTROL 2 is displayed.8 Initial Start-up8.3 Using KAESER CONNECTNo.: 9_9450 07 USEUser Manual    Controller  SIGMA CONTROL 2  SCREW FLUID ≥4.0.X 73
Fig. 24User management menu1. Select the User management menu element.2. Click read => write to activate the read/write mode.The Log on for write access: window is displayed.Fig. 25Log on for write access: window3. Enter your user name in the User name: field.4. Enter your password in the Password: field.5. Click OK.The User management menu is displayed.8 Initial Start-up8.3 Using KAESER CONNECT74 User Manual    Controller  SIGMA CONTROL 2  SCREW FLUID ≥4.0.X No.: 9_9450 07 USE
Fig. 26User management menu6. Enter a new user name in the User name: field.7. Enter a new password in the Password: field.8. Re-enter the same new password in the Repeat password: field.9. Set Level 2 in the Access level: field.10. Set the State: option in the Enabled field.11. Click Add.The new user name has been added to the user list.Result A new user account has been created and activated.Editing a user accountYou can edit existing user accounts:■ Changing the password■ Changing the access level■ Changing the statusExample: Change the password for an existing user account.Precondition The User management menu is displayed.Write mode is activated.1. Click the required user account in the list.2. Enter a new password in the Password: field.3. Re-enter the same new password in the Repeat password: field.4. Click Update user.8 Initial Start-up8.3 Using KAESER CONNECTNo.: 9_9450 07 USEUser Manual    Controller  SIGMA CONTROL 2  SCREW FLUID ≥4.0.X 75
Result The password for the existing user account is changed.8.3.7  SettingsSettings via KAESER CONNECT apply only to your PC and your Browser.The following settings are available.■ Units■ Date format■ Time formatFig. 27SettingsConverting units to US values:Precondition KAESER CONNECT for SIGMA CONTROL 2 is displayed.1. Select the Settings menu.2. Click the arrow key for the unit of pressure.A selection list of units of pressure is displayed.3. Select the desired unit.4. Click the arrow key for the unit of temperature.A selection list of units of temperature is displayed.5. Select the desired unit.6. Set additional units and date and time formats.8 Initial Start-up8.3 Using KAESER CONNECT76 User Manual    Controller  SIGMA CONTROL 2  SCREW FLUID ≥4.0.X No.: 9_9450 07 USE
8.3.8  Backup menuThe Backup menu allows you to download data from SIGMA CONTROL 2 to the Internet-capabledevice.The following backup types are available:■ Backup all■ Log files■ Settings■ User informationPrecondition KAESER CONNECT for SIGMA CONTROL 2 is displayed.1. Click the Backup menu element.Fig. 28Backup menu2. Set the required backup type in the Select source: option.3. Click Backup.Result The data are downloaded to the Internet-capable device.8.3.9  Closing KAESER CONNECTIn order to close KAESER CONNECTfor SIGMA CONTROL 2, click Logout in the header.➤ Click Logout.The system displays a message confirming the successful logout.8 Initial Start-up8.3 Using KAESER CONNECTNo.: 9_9450 07 USEUser Manual    Controller  SIGMA CONTROL 2  SCREW FLUID ≥4.0.X 77
8.4  Adjusting the pressure parameters of the machineThis section contains instructions for how to display and adjust the pressure parameters of the ma‐chine.The section is divided into the following sections:■ 8.4.1: Displaying pressure parameters■ 8.4.2: Configuring the pressure parameters"Display" means that the parameter will only be shown."Setting" means that the parameter can also be changed.Parameters ExplanationpRV Display:Activating pressure of the safety relief valve on the oil separator tank.pE Pressure increase.Setting:■ pE SP: Switching point for pressure increase; upper safety limit for machinemaximum pressure; in an external LOAD control, this value is used to switchthe machine from LOAD to IDLE in the event of a fault.■ pE SD: Switching differential of pressure increase.ΔpFC Limiting value for machines with frequency-controlled drive (SFC).Setting:■ dp FC: Limit of the lowest delivery quantity. When the value [switching pointsystem setpoint pressure +dp FC] is exceeded, the compressor switches fromLOAD to IDLE.NominalpressureDisplay:The compressor is designed for this pressure (maximum system pressure set‐point).SetpointpressureSetpoint pressure can be regulated to two values: pA and pB.Setting:■ Switching point pA or control pressure pA in machines with frequency convert‐er (SFC).■ Switching point pB or control pressure pB in machines with frequency convert‐er (SFC).Systempressure lowA warning message is displayed when the limit value for the system pressure isreached.Setting:■ SD: Switching differential for system pressure low.↓: Switching point for system pressure low.■ Option: Configure the output signal.Warning message displayed or an additional output signal is sent, e.g., to acontrol center.8 Initial Start-up8.4 Adjusting the pressure parameters of the machine78 User Manual    Controller  SIGMA CONTROL 2  SCREW FLUID ≥4.0.X No.: 9_9450 07 USE
Parameters ExplanationCut-inpressure minDisplay:For design reasons, pressure can only be built up above this value.Tab. 53 Compressor pressure parameters➤ Parameters correspond to the following specifications.8.4.1  Displaying pressure parametersPrecondition Password access level 2 is activated.Opening the menu for pressure parameters1. Open the 5.2.2 <Configuration – Pressure control – Pressure settings> menu.2. Press «Enter».The Pressure settings menu is displayed.88psi     08:15AM      176° F5.2.2 Pressure settings MenuSetpoint pressure  pA SP:  116psi ¦ SD:     −7.3psi Active line  pB SP:  109psi ¦ SD:     −5.8 psi                         ·········System pressure low                         ☐ ↓   <  72.5psi ¦ SD:          7.2psiDisplaying further parameters1. Use the «Up» or «Down» keys to select the Cut-in pressure min line.88psi     08:15AM      176° F5.2.2 Pressure settings MenuSystem pressure low                         ☐ ↓   <  72.5psi ¦ SD:          7.2psi                        ta:               600s  DOR1.03          ☐ ¦ Logic:          +__________________________________Cut-in pressure min     :     72.5psi Active line2. Display further parameters with the «Up» and «Down» keys.8.4.2  Configuring the pressure parameters8.4.2.1 Adjusting the system setpoint pressure: pA and pBThe pressure parameters can only be set within certain limits:Rated machine pressure ≥ SP: pA pB / ≥ Min. cut-in pressure* + switching differentialTab. 54 Setting limits for the system setpoint pressure (* Cut-in pressure min)8 Initial Start-up8.4 Adjusting the pressure parameters of the machineNo.: 9_9450 07 USEUser Manual    Controller  SIGMA CONTROL 2  SCREW FLUID ≥4.0.X 79
The machine switches to LOAD under the following condition:System pressure ≤ SP: pA /pB - switching differentialTab. 55 Pressure condition for LOADThe machine switches to IDLE under the following conditions:System pressure = System setpoint pressureTab. 56 Pressure conditions for IDLEPrecondition Password access level 2 is activated.1. Select the 5.2.2 <Configuration – Pressure control – Pressure settings> menu.2. Use «Up» or «Down» to select the pASP line.88psi     08:15AM      176° F5.2.2 Pressure settings Menu                         ·········Setpoint pressure  pA SP:  116psi ¦ SD:     −7.3psi Active line with current value for system setpointpressure pA  pB SP:  109psi ¦ SD:     −5.8 psi                         ·········System pressure low                         ☐3. Press «Enter».The setting mode is active.4. Use «Up» or «Down» to adjust the pA SP value.5. Press «Enter» to accept the setting.The setting is applied.6. Adjust the SD switching differential in the same way.7. Adjust the pB SP and the SD switching differential in the same manner, if necessary.8. Press «Escape» repeatedly to return to the main menu.Result The settings for the system setpoint pressure pA and pB are adjusted.8.4.2.2 Adjusting the value for "System pressure low"If the system pressure falls to the System pressure lowvalue, SIGMA CONTROL 2 will display awarning message for the system pressure being too low.Be generous when setting the time value for the display of the warning message.If the time interval is set too short, the system will display a warning message despite the machinedelivering compressed air and approaching the preset value for the system setpoint pressure.The switching differential influences the pressure level at which the message can be acknowledgedor the optionally activated output can switch again:Message Output72.5 psi message appears Active80.0 psi message disappears InactiveTab. 57 Example: activated output8 Initial Start-up8.4 Adjusting the pressure parameters of the machine80 User Manual    Controller  SIGMA CONTROL 2  SCREW FLUID ≥4.0.X No.: 9_9450 07 USE
Precondition Password access level 2 is activated.1. Select the 5.2.2 <Configuration – Pressure control – Pressure settings> menu.2. Use «Up» or «Down» to select the ↓< line.88psi     08:15AM      176° F5.2.2 Pressure settings Menu                         ·········System pressure low                         ☐ ↓   <  72.5psi ¦ SD:          7.2psi Current system pressure low point                        ta:               600s  DOR1.03          ☐ ¦ Logic:          +__________________________________3. Press «Enter» to switch into setting mode.The setting mode is active.4. Use «Up» or «Down» to adjust the value for System pressure low.5. Press «Enter» to accept the setting.The setting is applied.6. Adjust the SD switching differential in the same way, if necessary.7. Press «Escape» repeatedly to leave this menu.8.4.2.3 Adjusting the SD switching differential of the pressure increaseThe value for pressure rise pE SP serves as a safety limit value when the machine is externallycontrolled. When the system setpoint pressure reaches the value pE SP (for example, when theexternal control functions incorrectly) the machine switches to IDLE. The warning messageExternal load signal? is displayed.The parameter for pE SP pressure increase is preset and cannot be changed. You can, however,adjust the SD switching differential.Displaying and adjusting the pressure increase parameters:Pressure increase Display parameters Setting parametersSwitching point pE SPx –Switching differential SDx xx = fitted, − = not fittedTab. 58 Displaying and adjusting parametersPrecondition Password access level 2 is activated.1. Select the 5.2.2 <Configuration – Pressure control – Pressure settings> menu.8 Initial Start-up8.4 Adjusting the pressure parameters of the machineNo.: 9_9450 07 USEUser Manual    Controller  SIGMA CONTROL 2  SCREW FLUID ≥4.0.X 81
2. Use «Up» or «Down» to select the pESP line.88psi     08:15AM      176° F5.2.2 Pressure settings Menu     pRV:                                      232psi__________________________________Pressure rise  pE SP:     122psi ¦ SD:     −8.7psi Active line     ΔpFC:     2.9psi                         ·········3. Press «Enter» to switch into setting mode.The setting mode is active.4. Use «UP» or «DOWN» to adjust the required value for SD.5. Press «Enter» to accept the setting.The setting is applied.6. Press «Escape» repeatedly to return to the main menu.8.4.3  Activating/deactivating the «LOAD/IDLE» keyIn order to prevent unauthorized users from switching the machine to IDLE, you can deactivate the«LOAD/IDLE» key on the SIGMA CONTROL 2 operating panel.Precondition Password access level 2 is activated.1. Select the 5.2.3 <Configuration – Pressure control – Load control> menu.2. Use «Up» or «Down» to select the Key idle line.3. Press «Enter» to switch into setting mode.The check box Key idle will flash.88psi     08:15AM      176° F5.2.3 Load control Menu                               Logic :            +loc.-load RC         DI1.07              ☑                               Logic :            +                         ·········Key remote:                                      ☐Key idle:                                 ☑ Active line with activated check box4. Press the «Up» key.The deactivated check box is displayed.8 Initial Start-up8.4 Adjusting the pressure parameters of the machine82 User Manual    Controller  SIGMA CONTROL 2  SCREW FLUID ≥4.0.X No.: 9_9450 07 USE
5. Press «Enter» to save the setting.The «IDLE» key is deactivated.88psi     08:15AM      176° F5.2.3 Load control Menu                               Logic :            +loc.-load RC         DI1.07              ☑                               Logic :            +                         ·········Key remote:                                      ☐Key idle:                                 ☐ Active line with deactivated check box6. Press «Escape» repeatedly to return to the main menu.Result Thus, it is ensured that unauthorized users can press the «IDLE» key without the machine switch‐ing to IDLE.8.5  Configuring machine start and stop➤ In addition to manually starting the machine locally, you have the following alternatives:Function State on delivery, setting SeeAutomatic start/stop in timer mode No clock (time) program set 8.5.1Holidays Not set 8.5.2Remote start, e.g. from a control center Deactivated 8.5.3"Venting" function Activated 8.5.5"Autostart" function Activated 8.5.6Tab. 59 Settings for machine start and stop8.5.1  Automatic start/stop in timer modeOverview■ Selecting the Compressor clock menu■ Setting/adjusting the time program■ Activating the «Clock» key■ Activating timer control8.5.1.1 Compressor clockPrecondition Password access level 2 is activated.8 Initial Start-up8.5 Configuring machine start and stopNo.: 9_9450 07 USEUser Manual    Controller  SIGMA CONTROL 2  SCREW FLUID ≥4.0.X 83
1. Open the 6 Compressor clock menu.The Compressor clock menu is displayed.88psi     08:15AM      176° F6 Compressor clock MenuKey clock                                 : ☐ The Timer control key is activatedReset                                       : ☐ All current switching points are reset                         ·········01         n.a.          00:00AM         off Active line02         n.a.          00:00AM         off03         n.a.          00:00AM         offUser-defined clock program:No.: Day Time Function01020304050607080910Tab. 60 User-defined clock program machine ON/OFF8.5.1.2 Setting/adjusting the clock program (example)When setting a clock program for the first time, note the switching times on the "User-definedclock program" table.In addition to individual weekdays, the controller has the following cycles:■ Mon-Thu■ Mon-Fri■ Mon-Sat■ Mon-Sun■ Sat-ThuYou can also program an OFF time (plant vacation shutdown, for example) (see Sec‐tion 8.5.2).Example■ Machine ON: On weekdays 06:30AM – 05:00PM, Fridays 06:30AM – 03:00PM■ Machine OFF: Sat – Sun and during midday break 12:00PM – 01:00PM8 Initial Start-up8.5 Configuring machine start and stop84 User Manual    Controller  SIGMA CONTROL 2  SCREW FLUID ≥4.0.X No.: 9_9450 07 USE
The following switching points result:No.: Day Time Function01 Mon-Fri 06:30AM on02 Mon-Fri 12:00PM off03 Mon-Fri 01:00PM on04 Mon-Thu 05:00PM off05 Fri 03:00PM offTab. 61 Example of a machine ON/OFF clock programPrecondition Password access level 2 is activated.1. Select the 6Compressor clock menu.2. Use «Up» or «Down» to select the  01 line.88psi     08:15AM      176° F6 Compressor clock Menu                         ·········01       n.a.       00:00AM       off Active line with switching point 0102       n.a.       00:00AM       off Switching point 0203       n.a.       00:00AM       off Switching point 0304       n.a.       00:00AM       off Switching point 0405       n.a.       00:00AM       off Switching point 053. Press «Enter» to switch into setting mode.The n.a. column flashes in the active line.4. Use the «Up» or «Down» keys to specify the settings for the weekdays.5. Press «Enter» to accept the setting.The setting is applied.6. Press the «Right» key.7. Press «Enter» to switch into setting mode.The column time, display for hours, 00:00 flashes in the active line.8. Use «Up» or «Down» to specify the settings for the hours.9. Press the «Right» key.10. The column time, display for minutes, 00:00 flashes in the active line.11. Use «Up» or «Down» to specify the settings for the minutes.8 Initial Start-up8.5 Configuring machine start and stopNo.: 9_9450 07 USEUser Manual    Controller  SIGMA CONTROL 2  SCREW FLUID ≥4.0.X 85
12. Press «Enter» to accept the setting.The setting is applied.88psi     08:15AM      176° F6 Compressor clock Menu                         ·········01       Mon-Fri       06:30AM       on Switching point 01 is set02       Mon-Fri       12:00PM       off Switching point 02 is set03       Mon-Fri       01:00PM       on Switching point 03 is set04       Mon-Thu      05:00PM       off Switching point 04 is set05       Fri              03:00PM       off Switching point 05 is set13. Press the «Right» key.14. Press «Enter» to switch into setting mode.The on/off indicator flashes.15. Use «Up» or «Down» to specify the settings for the action Compressor On.16. Press «Enter» to accept the setting.The setting is applied.The action Compressor ON is set for the first switching point.17. Specify further switching points in the same manner.Result Weekdays, time and the Compressor ON/Compressor OFF actions are set for all switching pointsof the user-defined clock program.8.5.1.3 Activating the «Timer control» key1. Use «Up» or «Down» to select the Key clock line.2. Press «Enter» to switch into setting mode.The check box Key clock flashes in the active line.88psi     08:15AM      176° F6 Compressor clock MenuKey clock                                 : ☑ Active line with deactivated check boxReset                                       : ☐                         ·········01       Mon-Fri       06:30AM       on Switching point 0102       Mon-Fri       12:00PM       off Switching point 0203       Mon-Fri       01:00PM       on Switching point 033. Press the «Up» key to activate the check box.The check box is activated.4. Press «Enter» to accept the setting.The setting is applied.5. Press «Escape» repeatedly to return to the main menu.Result The «Timer control» key is activated.The activated key «Timer control» can be used for activating the timer control.8 Initial Start-up8.5 Configuring machine start and stop86 User Manual    Controller  SIGMA CONTROL 2  SCREW FLUID ≥4.0.X No.: 9_9450 07 USE
8.5.1.4 Activating timer controlPrecondition The «Timer control» key is activated; see chapter 8.5.1.3.➤ Press the «Timer control» key on the SIGMA CONTROL 2 operating panel to activate the timecontrol.Result The Timer control LED on the operating panel of the SIGMA CONTROL 2 signalizes with greencontinuous light that the machine is operated with activated timer control.The timer control of SIGMA CONTROL 2 switches the machine according to the defined switchingpoints of the timer program.8.5.2  Setting up the holiday periodIn addition to the fixed cycles of a timing program or timer, you can also specify a longer lastingstandstill time. For example, you may specify a standstill period for vacation shutdown by definingthe following:Precondition Password access level 2 is activated.1. Select the 5.4.2 <Configuration – Compressor start – Compressor off> menu.2. Use «Up» or «Down» to select the Start line.88psi     08:15AM      176° F5.4.2 Compressor off Menu                         ·········Holidays  :                         ☐Start              :                01/01/16 Active line                                          00:00AMEnd              :                01/01/16                                          03:00AM3. Press «Enter» to switch into setting mode.The display for days 00.00.00 flashes.4. Use «Up» or «Down» to set the day.5. Press the «Right» key.The display for months 00.00.00 flashes.6. Use «Up» or «Down» to set the month.7. Press the «Right» key.The display for years 00.00.00 flashes.8. Use the «Up» or «Down» keys to set the year.9. Press «Enter» to accept the setting.The setting is applied.10. Press «Down».11. Press «Enter» to switch into setting mode.The display for hours 00:00:00 flashes.12. Use «Up» or «Down» to set the hours.13. Press the «Right» key.The display for minutes 00:00:00 flashes.8 Initial Start-up8.5 Configuring machine start and stopNo.: 9_9450 07 USEUser Manual    Controller  SIGMA CONTROL 2  SCREW FLUID ≥4.0.X 87
14. Use «Up» or «Down» to set the minutes.15. Press «Enter» to accept the setting.The date and time for the start of the company shutdown are set.16. Adjust the date and time for the end of the company shutdown in the same manner.88psi     08:15AM      176° F5.4.2 Compressor off Menu                         ·········Holidays  :                         ☐Start               :                12/23/16 Date for start                                           05:00PM Time for startEnd               :                01/04/17 Date for end                                           06:30AM Time for end17. Use «Up» or «Down» to select the Holidays line.88psi     08:15AM      176° F5.4.2 Compressor off Menu                         ·········Holidays  :                         ☐ Active lineStart               :                12/23/16                                           05:00PMEnd               :                01/04/17                                           06:30AM18. Press «Enter» to switch into setting mode.The check box Holidays will flash.19. Press the «UP» key to activate the check box.The check box is activated.88psi     08:15AM      176° F5.4.2 Compressor off Menu                         ·········Holidays  :                         ☑ Active line with activated check boxStart               :                12/23/16 Date for start                                           05:00PM Time for startEnd               :                01/04/17 Date for end                                           06:30AM Time for end20. Press «Enter» to accept the setting.Result In this example, a company shutdown (standstill time) for the time between 12/23/16 / 05:00PMuntil 01/04/17 / 06:30AM has been set for the machine.8.5.3  Starting the machine remotely (Remote ON/OFF)If the machine is to be started and stopped remotely, the following settings have to be set:8 Initial Start-up8.5 Configuring machine start and stop88 User Manual    Controller  SIGMA CONTROL 2  SCREW FLUID ≥4.0.X No.: 9_9450 07 USE
Overview■ Making the electrical connection (a spare input for the remote contact can be found in the elec‐trical wiring diagram for the machine, DI 1.07 being preferred).■ Switching machine start to remote mode.■ Activating the «Remote control» key.■ Activating the «Timer control» key and configuring the clock program (see chapter 8.5.1.2), ifnecessary.■ Assigning a different input for the remote contact RC, if required.■ Pressing the «Remote control» key.8.5.3.1 Switching machine start to Remote modeTwo methods are available to start the machine remotely from a control center:■ Variant A: Starting the machine with the input signal from the remote control center.■ Variant B: Starting the machine from the remote control center in addition to a configuredON/OFF clock program.The machine can be started from the remote control center even though the timer control isactivated and the ON/OFF program has selected OFF at this point in time.Precondition The electrical connection has been made.Password access level 2 is activated.The operating mode is displayed.1. Open the 5.4.1 <Configuration – Compressor start – Compressor on> menu.2. Use «Up» or «Down» to select the Remote mode line.3. Press the «DOWN» key.4. Press «Enter» to switch into setting mode.The currently active operating mode flashes.88psi     08:15AM      176° F5.4.1 Compressor on MenuLocal mode:                                 KeyRemote mode:                                 Key Active line__________________________________RC                         DI1.07     ok  ☑5. Use «Up» or «Down» to set the Key + remote contact input.8 Initial Start-up8.5 Configuring machine start and stopNo.: 9_9450 07 USEUser Manual    Controller  SIGMA CONTROL 2  SCREW FLUID ≥4.0.X 89
6. Press «Enter» to accept the setting.The setting is applied.88psi     08:15AM      176° F5.4.1 Compressor on MenuLocal mode:                                 KeyRemote mode:                    Key + remote contact Active line__________________________________RC                         DI1.07     ok  ☑Result The machine start is set to Remote mode Key + remote contact.8.5.3.2 Assigning another inputInputs already assigned cannot be further assigned.1. Use «Up» or «Down» to select the RC line.88psi     08:15AM      176° F5.4.1 Compressor on Menu__________________________________RC                         DI1.07     ok  ☑ Remote contact DI 1.07 (default)                               Logic :            +                         ·········Key remote                                : ☑Key clock                                  : ☐2. Press «Enter» to switch into setting mode.The display for the currently set input flashes.3. Select another input with the «Up» or «Down» keys.4. Press «Enter» to accept the setting.The input has now been assigned.5. Press the «Remote control» key to enable the machine to be started from the remote controlcenter.If an input is rejected it means it is already assigned.➤ Select a different input.8.5.4  Activating the remote control➤ Activating remote control, see chapter 8.2.12.Result SIGMA CONTROL 2 remote control is activated.8 Initial Start-up8.5 Configuring machine start and stop90 User Manual    Controller  SIGMA CONTROL 2  SCREW FLUID ≥4.0.X No.: 9_9450 07 USE
8.5.5  Activating/deactivating the idle period "Venting period" functionPrior to the machine's transition from the operating modes LOAD to READY you can also activatean IDLE period ("Venting period" function). The duration of the IDLING period can be timed and/orregulated by internal pressure. The machine-dependent venting period between the LOAD andREADY operating modes ensures load changes at minimum material stresses and is therefore ac‐tivated at the factory (default setting). If this function is not required, you can deactivate it.Precondition Password access level 2 is activated.1. Open the 5.4.2 <Configuration – Compressor start – Compressor off> menu.2. Use «Up» or «Down» to select the Start line.88psi     08:15AM      176° F5.4.2 Compressor off MenuVenting period  :                           ☑ Factory setting: "Venting period” activated                         ·········Holidays  :                         ☐Start              :                01/01/16                                          00:00AMEnd              :                01/01/163. Press «Enter» to switch into setting mode.The check box Venting period will flash.4. Press the «UP» key.The check box is deactivated.88psi     08:15AM      176° F5.4.2 Compressor off MenuVenting period  :                           ☐ Active line with deactivated check box                         ········· Date for startHolidays  :                         ☐ Time for startStart              :                01/01/16 Date for end                                          00:00AM Time for endEnd              :                01/01/165. Press «Enter» to accept the setting.The setting is applied.Apart from the discontinuation of the pressure or load requirement, venting of the machine is alsoexecuted when the «OFF» key is pressed.Press the «OFF» key twice to immediately shut the machine off.➤ Press the «OFF» key twice.Result The machine is switched off without venting (IDLE time).8.5.6  Activating/deactivating and adjusting the "Autostart" functionThe Autostart: function is activated (default setting).To avoid overloading the power supply through several machines starting simultaneously, a delayperiod determining the restart of each machine can be entered.8 Initial Start-up8.5 Configuring machine start and stopNo.: 9_9450 07 USEUser Manual    Controller  SIGMA CONTROL 2  SCREW FLUID ≥4.0.X 91
Precondition Password access level 2 is activated.1. Select the 5.4 <Configuration – Compressor start> menu.2. Press «Enter».The Compressor start menu is displayed.88psi     08:15AM      176° F5.4 Compressor start Menu▶1 Compressor on Active line▶2 Compressor off                         ·········Autostart:                                       ☑ Autostart activated  Target               10 s ¦ Actual               0 s                         ·········Setting up the Autostart delay periodIf you operate several machines, it is better to start them in sequence.Use the "Delay time for Autostart" table to plan the time-delayed machine start. In the "Startperiod" column, enter for each individual machine the real time required for the first possibleLOAD. Cumulatively add these values in the "Delay time" column. Enter the value of the de‐lay time of each machine in the corresponding controller.The first machine may start immediately and does not require a delay time.Machine number Start time [sec] Delay time [sec]1 –– ––2345678910111213141516Tab. 62 Autostart delay periodPrecondition Password access level 2 is activated.8 Initial Start-up8.5 Configuring machine start and stop92 User Manual    Controller  SIGMA CONTROL 2  SCREW FLUID ≥4.0.X No.: 9_9450 07 USE
1. Select the 5.4 Compressor start menu.2. Use «Up» or «Down» to select the Target line.88psi     08:15AM      176° F5.4 Compressor start Menu▶1 Compressor on▶2 Compressor off                         ·········Autostart:                                       ☑ Autostart is activated  Target               10 s ¦ Actual               0 sSet/expiring delay time                         ·········3. Press «Enter» to switch into setting mode.The Target display flashes.4. Use «Up» or «Down» to set the time delay in seconds.88psi     08:15AM      176° F5.4 Compressor start Menu▶1 Compressor on▶2 Compressor off                         ·········Autostart:                                       ☑  Target               12 s ¦ Actual               0 sActive line                         ·········5. Press «Enter» to accept the setting.The setting is applied.6. Press «Escape» repeatedly to return to the main menu.Result The delay time for an Autostart after a power failure has been adjusted from 10 s to 12 s.Deactivate/activate the Autostart function1. Use «Up» or «Down» to select the Autostart: line.88psi     08:15AM      176° F5.4 Compressor start Menu▶1 Compressor on▶2 Compressor off                         ·········Autostart:                                       ☐ Autostart deactivated  Target               10 s ¦ Actual               0 sSet/expiring delay time                         ·········2. Press «Enter» to switch into setting mode.The check box Autostart: will flash.8 Initial Start-up8.5 Configuring machine start and stopNo.: 9_9450 07 USEUser Manual    Controller  SIGMA CONTROL 2  SCREW FLUID ≥4.0.X 93
3. Press the «Up» key.The check box Autostart: is deactivated.4. Press «Enter» to accept the setting.The Autostart: function can be activated in the same manner.The setting is applied.5. Press «Escape» repeatedly to return to the main menu.Result Autostart after a power failure is deactivated.8.6  Activating and adjusting the control modesThe controller is provided with various control modes that can bring about different capacity utiliza‐tion depending on machine application. Chapter 5.7 provides a comprehensive description of allcontrol modes.8.6.1  Selecting a control modeThe following control modes are possible:■ DUAL■ QUADRO■ VARIO■ DYNAMIC■ Continuous■ The standard setting of the control mode depends on the machine type.■ The machine-dependant venting period between the LOAD and READY operating modesensures load changes at minimum material stresses.Precondition Password access level 2 is activated.1. Select the 5.3 <Configuration – Control mode > menu.2. Use «Up» or «Down» to select the Local mode line.88psi     08:15AM      176° F5.3 Control mode MenuLocal mode: Active line                                          DUAL__________________________________▶1 Venting period Venting period menu                         ·········▶2 DUAL3. Press «Down».The currently set control mode is displayed.8 Initial Start-up8.6 Activating and adjusting the control modes94 User Manual    Controller  SIGMA CONTROL 2  SCREW FLUID ≥4.0.X No.: 9_9450 07 USE
4. Press «Enter» to switch into setting mode.The currently active control mode flashes.88psi     08:15AM      176° F5.3 Control mode MenuLocal mode:                                          DUAL Active line__________________________________▶1 Venting period Venting period menu                         ·········▶2 DUAL5. Use «Up» or «Down» to set the control mode.6. Press «Enter» to accept the setting.The setting is applied.7. Press «Escape» repeatedly to return to the main menu.8.6.2  Adjusting the idle time of DUAL control modeThe machine is READY when the specified idle time has elapsed.The shorter the period, the more often the machine will switch from IDLE to READY.SIGMA CONTROL 2 will take into account the maximum motor switching capacity.Depending on the machine type, the machine's motor may not fall below a minimum idling orstandstill time.Precondition Password access level 2 is activated.The DUAL control mode is set.The operating mode is displayed.1. Select the 5.3.2 <Configuration – Control mode – DUAL> menu.88psi     08:15AM      176° F5.3.2 DUAL MenuIdle periodTarget        240 s ¦ Actual                    0 s Active line    8 Initial Start-up8.6 Activating and adjusting the control modesNo.: 9_9450 07 USEUser Manual    Controller  SIGMA CONTROL 2  SCREW FLUID ≥4.0.X 95
2. Use «Up» or «Down» to select the Target line.88psi     08:15AM      176° F5.3.2 DUAL MenuIdle periodTarget        300 s ¦ Actual                    0 s Active line with increased idle time, (example:300 seconds)    3. Press «Enter» to switch into setting mode.The seconds display flashes.4. Use «Up» or «Down» to set the seconds.5. Press «Enter» to accept the setting.The setting is applied.6. Press «Escape» repeatedly to return to the main menu.8.6.3  Adjusting the minimum running and unloaded period in QUADRO controlmodeWhen the minimum running period has elapsed, the machine switches from IDLE to READY. De‐pending on the setting for the unloaded period, the machine switches from LOAD to IDLE or direct‐ly to READY.Precondition Password access level 2 is activated.The QUADRO control mode is set.1. Select the 5.3.3 <Configuration – Control mode – QUADRO> menu.88psi     08:15AM      176° F5.3.3 QUADRO MenuMin. run periodTarget        240 s ¦ Actual                    0 s Active line setpoint value for minimum run time                         ·········Unloaded periodTarget        240 s ¦ Actual                    100 s 2. Use the «Up» or «Down» keys to select the Min. run period line.3. Press the «DOWN» key.4. Press «Enter».The seconds display flashes.8 Initial Start-up8.6 Activating and adjusting the control modes96 User Manual    Controller  SIGMA CONTROL 2  SCREW FLUID ≥4.0.X No.: 9_9450 07 USE
5. Use «Up» or «Down» to set the seconds.88psi     08:15AM      176° F5.3.3 QUADRO MenuMin. run periodTarget        260 s ¦ Actual                    0 s Active line with changed setpoint value for minimumrun time                         ·········Unloaded periodTarget        260 s ¦ Actual                    0 s Changed setpoint value for unloaded period 6. Press «Enter» to accept the setting.The setting is applied.7. Adjust the target value for the Unloaded period switching differential in the same way, if neces‐sary.8. Press «Escape» repeatedly to return to the main menu.Further information See chapter 5.7 for an overview of the control modes.8.7  Electronic Thermal ManagementThe design of the electronic thermal management (ETM) is determined by your machine's design.Model Electronic thermal management (ETM)Machine type 1 Without heat recoveryMachine type 2 Heat recovery without electrically controlled valveMachine type 3 Heat recovery with adjustable airend discharge temperature for theregulator of the electrically controlled heat recovery valveTab. 63 Machine type and ETM designNote:■ The machine runs with increased airend discharge temperature when heat recover is set to ac‐tive.■ An increased airend discharge temperature causes poor efficiency of the compressed air gen‐eration.1. Check whether your machine is fitted with an electronic thermal management.2. Check whether the setpoint value of the airend discharge temperature for the regulator of theelectrically controlled heat recovery valve can be adjusted.3. Set the heat recovery to "active" if you can use the machine's exhaust heat.4. Set the heat recovery to "inactive" if you cannot use the machine's exhaust heat.8.7.1  Activating the heat recovery for machine type 2The heat recovery can be set for local operation, as well as for remote operation. In remote opera‐tion, the heat recovery can be controlled by means of a load remote contact.8 Initial Start-up8.7 Electronic Thermal ManagementNo.: 9_9450 07 USEUser Manual    Controller  SIGMA CONTROL 2  SCREW FLUID ≥4.0.X 97
Example: Heat recovery for machines in "remote operation".Precondition Password access level 2 is activated.1. Select the 5.6 <Configuration – ETM> menu.2. Use the «Up» or «Down» keys to select the Remote mode: line.88psi     08:15AM      176° F5.6 ETM MenuWaste heat recoveryLocal mode:                                        inactiveRemote mode:                                        inactive Active line current                            inactive Status of heat recovery3. Press the «DOWN» key.4. Press «Enter» to switch into setting mode.The currently active operating mode flashes.5. Use «Up» or «Down» key to set the active option.6. Press «Enter» to accept the setting.The setting is applied.88psi     08:15AM      176° F5.6 ETM MenuWaste heat recoveryLocal mode:                                        inactiveRemote mode:                                        active Active line current                            active Status of heat recovery7. If a load remote contact controls the remote control, set the remote contact option.88psi     08:15AM      176° F5.6 ETM MenuRemote mode:                              remote contact current                            active__________________________________RC                         DI1.07     ok  ☑ Active lineKey remote:                                 ☑8. Subsequently, set the requested digital input DI in line RC and activate the correspondingcheck box.9. Activate the «Remote control» key (see chapter 8.2.12).Result The heat recovery system in "remote operation" has been activated.8 Initial Start-up8.7 Electronic Thermal Management98 User Manual    Controller  SIGMA CONTROL 2  SCREW FLUID ≥4.0.X No.: 9_9450 07 USE
The «Remote control» key is activated.No other settings are required.The current status for the heat recovery is displayed in the current line.8.7.2  Activating the heat recovery for machine type 3Example: Heat recovery with adjustable setpoint value for the airend discharge temperaturefor the regulator of the electrically controlled heat recovery valve for machines in "local opera‐tion".Precondition Password access level 2 is activated.1. Select the 5.6 <Configuration – ETM> menu.2. Use the «Up» or «Down» keys to select the Local mode: line.88psi     08:15AM      176° F5.6 ETM MenuWaste heat recoveryLocal mode:                                        inactive Active lineRemote mode:                                        inactive current                            inactive Status of heat recovery3. Press the «DOWN» key.4. Press «Enter» to switch into setting mode.The currently active operating mode flashes.5. Use «Up» or «Down» key to set the active option.6. Press «Enter» to accept the setting.The setting is applied.88psi     08:15AM      176° F5.6 ETM MenuWaste heat recoveryLocal mode:                                        active Active lineRemote mode:                                        inactive current                            active Status of heat recoveryResult The heat recovery system has been activated.Further information The setpoint value for the airend discharge temperature for the regulator of the electrically control‐led heat recovery valve can be set manually; see chapter 8.7.2.1.8 Initial Start-up8.7 Electronic Thermal ManagementNo.: 9_9450 07 USEUser Manual    Controller  SIGMA CONTROL 2  SCREW FLUID ≥4.0.X 99
8.7.2.1 Setting the setpoint value for the airend discharge temperatureThe airend discharge temperature and the water outlet temperature are related. To increasethe value for the water outlet temperature, you must increase the setpoint value for the airenddischarge temperature.Maximum setting = 198 °F.The specific value of the discharge temperature depends on the respective application for theheat recovery at the customer's.Precondition Password access level 2 is activated.1. Select the 5.6 <Configuration – ETM> menu.2. Use the «Up» or «Down» keys to select the ADT controller line.88psi     08:15AM      176° F5.6 ETM Menu                         ·········Oil cooler  ADT controller               ΔT:     176 °F Active line                         ·········         ▶1 Oil cooler Indication▶2 ADT controller Indication3. Press «Enter» to switch into setting mode.The setting mode is active.4. Use «Up» or «Down» to set the setpoint for the ADT controller.88psi     08:15AM      176° F5.6 ETM Menu                         ·········Oil cooler  ADT controller               ΔT:     194 °F Active line                         ·········         ▶1 Oil cooler Indication▶2 ADT controller Indication5. Press «Enter» to accept the setting.The setting is applied.Result The setpoint value of the airend discharge temperature for the regulator of the electrically control‐led heat recovery valve is set.8.7.3  Deactivating heat recoveryIf the heat recovery is set to inactive, you have improved efficiency in compressed air genera‐tion.➤ Set the heat recovery to "inactive" if you cannot use the machine's exhaust heat.8 Initial Start-up8.7 Electronic Thermal Management100 User Manual    Controller  SIGMA CONTROL 2  SCREW FLUID ≥4.0.X No.: 9_9450 07 USE
8.8  Refrigerated dryerOverview:■ Setting the operating mode■ Output messages■ Procedures following a fault of the refrigerated dryer:─ The quality of the compressed air has priority:Immediately contact an authorized KAESER service representative.■ Procedures following a fault of the refrigerated dryer:─ Compressed air quality has priority:Activate fault mode without refrigerated dryer.➤ It is mandatory to follow the procedures indicated according to the priorities established for thecompressed air quality or compressed air quantity!8.8.1  Setting the operating modeThe CONTINUOUS or TIMER modes can be activated for the refrigerated dryer.If the TIMER setting is used, the refrigerated dryer is shut down under timing control whenevercompressed air is not required.The operating temperature in the refrigerated dryer is kept constant within narrow limits under thismethod of control by cycling the refrigerant circulation.Precondition Password access level 2 is activated.1. Select the 5.9 <Configuration – Refrigeration dryer> menu.2. Use the «Up» or «Down» keys to select the Compressor ready: line.3. Press the «DOWN» key.88psi     08:15AM      176° F5.9 Refrigeration dryer MenuControl modeCompressor ready:                                   Continuous Active lineCompressor Clk/RC/RB off:                                        off                         ·········4. Press «Enter» to switch into setting mode.The currently active operating mode flashes.8 Initial Start-up8.8 Refrigerated dryerNo.: 9_9450 07 USEUser Manual    Controller  SIGMA CONTROL 2  SCREW FLUID ≥4.0.X 101
5. Use «Up» or «Down» to set the Timer operating mode.88psi     08:15AM      176° F5.9 Refrigeration dryer MenuControl modeCompressor ready:                         Timer Active lineCompressor Clk/RC/RB off:                                        off                         ·········6. Press «Enter» to accept the setting.The setting is applied.7. Press «Escape» repeatedly to leave this menu.Result The CONTINUOUS operating mode has been switched to the TIMER operating mode.8.8.2  Output messagesIf required, you can activate messages regarding the operating temperature of the refrigerated dry‐er as a binary signal.You can assign to DOR or DOT.If you have correctly parameterized, ok will be displayed.Precondition Password access level 2 is activated.1. Select the 5.9 <Configuration – Refrigeration dryer> menu.2. Use «Up» or «Down» to select the Temperature line.88psi     08:15AM      176° F5.9 Refrigeration dryer MenuTemperature ↑ Active line, temperature high  DOR1.07          ☐ ¦ Logic     :          +  DOT1.01          ☐ ¦ Logic     :          +Temperature⇟  DOR1.03          ☐ ¦ Logic     :          +  DOT2.01          ☐ ¦ Logic     :          +3. Press the «DOWN» key.4. Press «Enter» to switch into setting mode.The setting mode is active.8 Initial Start-up8.8 Refrigerated dryer102 User Manual    Controller  SIGMA CONTROL 2  SCREW FLUID ≥4.0.X No.: 9_9450 07 USE
5. Select a free input DOR with the «Up» or «Down» key.88psi     08:15AM      176° F5.9 Refrigeration dryer MenuTemperature↑ Temperature high  DOR1.05          ☐ ¦ Logic     :          + Active line, example: DOR selected  DOT1.01          ☐ ¦ Logic     :          +Temperature⇟  DOR1.03          ☐ ¦ Logic     :          +  DOT2.01          ☐ ¦ Logic     :          +6. Press «Enter» .The setting is applied.7. Press the «Right» key.8. Press «Enter».The setting mode is active.9. Press «UP».88psi     08:15AM      176° F5.9 Refrigeration dryer MenuTemperature↑ Temperature high  DOR1.05    ok  ☑ ¦ Logic     :          + Active line  DOT1.01          ☐ ¦ Logic     :          +Temperature⇟ Temperature low  DOR1.03          ☐ ¦ Logic     :          +  DOT2.01          ☐ ¦ Logic     :          +10. Press «Enter».ok is displayed as the active line.11. Set the Temperature ⇟ message if necessary in the same way.Upon activation of the check box, err is displayed.➤ The parameterization is incorrect.➤ Deactivate the check box.➤ Assign another and/or free output.8.8.3  Fault in the refrigerated dryer – compressed air quality has priorityAfter a fault occurs in the refrigerated dryer, the SIGMA CONTROL 2 shuts the machine down.No compressed air is delivered.Because compressed air quality (dried compressed air) is crucial, you must contact an authorizedKAESER service representative immediately.Precondition The operator decides: Compressed air quality has a higher priority than the compressed air quanti‐ty.1. Keep machine shut down because the required compressed air quality is no longer delivered.8 Initial Start-up8.8 Refrigerated dryerNo.: 9_9450 07 USEUser Manual    Controller  SIGMA CONTROL 2  SCREW FLUID ≥4.0.X 103
2. Immediately contact an authorized KAESER service representative.An authorized KAESER service representative eliminates the fault and executes a reset.The machine is ready for the delivery of high-quality, dried compressed air.8.8.4  Fault in the refrigerated dryer – compressed air quantity has priorityHigher residual humidity in the compressed air!Higher residual humidity in the compressed air encourages corrosion.➤ Carefully assess a "Fault mode without refrigerated dryer" in respect to the further use ofthe compressed air.After a fault occurs in the refrigerated dryer, the SIGMA CONTROL 2 shuts the machine down.In order to ensure compressed air delivery for a defined period of time, the operator can activatethe Error operation without RD function. The quality of the compressed air (dried compressed air)is compromised in this case. The 0069 Error operation without RD→ Call service! warning message is displayed. The 0069 warning message remains active for theentire time of operation in fault mode.Precondition The operator decides: Compressed air quantity has a higher priority than the compressed air quali‐ty.Password access level 2 is activated.1. Open the 5.9 <Configuration – Refrigeration dryer> menu.2. Use the «Up» or «Down» keys to select the Error operation without RD line.3. Press the «DOWN» key.88psi     08:15AM      176° F5.9 Refrigeration dryer Menu                         ·········Safe compressed air quality                         ·········Error operation without RD  active:                                          ☐ Active line  Run time max.:                    8h Running time (fixed)4. Press «Enter» to switch into setting mode.The setting mode is active.8 Initial Start-up8.8 Refrigerated dryer104 User Manual    Controller  SIGMA CONTROL 2  SCREW FLUID ≥4.0.X No.: 9_9450 07 USE
5. Press «Up» key.The check box is activated.88psi     08:15AM      176° F5.9 Refrigeration dryer Menu                         ·········Safe compressed air quality                         ·········Error operation without RD  active:                                          ☑ Active line  Run time max.:                    8h Running time (fixed)6. Press «Enter» to accept the setting.The setting is applied.Result "Fault mode without refrigerated dryer" function is activated.The compressor provides compressed air for connected consumers.The compressed air delivered in this mode contains a higher residual humidity because the func‐tion of the refrigerated dryer is defective.8.9  Configuring the machine for local modeIn local mode, the machine is regulated with the system setpoint pressure pA or pB. The controlleris equipped with the following modes of operation:OperatingmodeDescription SeechapterpAThe machine is controlled by the system setpoint pressure pA. 8.9.3.3pBThe machine is controlled by the system setpoint pressure pB.pA/pB ClockThe changeover between the pA and pB system setpoint pressuresis regulated by a clock program.8.9.2pA/pB CycleThe changeover between the pA and pB system setpoint pressure isregulated by a programmed time pulse.8.9.3Tab. 64 Local operating mode (local mode)➤ Adjusting the system setpoint pressure as described in chapter 8.4.Overview■ Open the Configuration menu■ Setting the clock program (see chapter 8.9.2)or Setting the timer (see chapter 8.9.3)■ Setting local operating mode8.9.1  Load control menuPrecondition Password access level 2 is activated.1. Select the 5.2.3 <Configuration – Pressure control – Load control> menu.The Load control menu is displayed.8 Initial Start-up8.9 Configuring the machine for local modeNo.: 9_9450 07 USEUser Manual    Controller  SIGMA CONTROL 2  SCREW FLUID ≥4.0.X 105
8.9.2  Configuring the system setpoint pressure changeover using the clockNote the configuration sequence:➤ First, determine the clock program.➤ Then select the operating mode.Overview■ Deleting an existing clock program■ Entering the weekday for the first switching point■ Entering the time of the first switching point■ Configuring the system setpoint pressure for the first switching point pA or pB■ Setting up any further switching points■ Setting the operating mode pA/pB Clock: see chapter 8.9.3.3User-defined clock programNo.: Day Time System setpointpressure01020304050607080910Tab. 65 User-defined clock programWhen setting a clock program for the first time, note first the switching times on the "User-defined clock program" table for example.In addition to individual weekdays, the controller has the following cycles:■ Mon-Thu■ Mon-Fri■ Mon-Sat■ Mon-Sun■ Sat-ThuExample■ Peak load period: On weekdays from 06:30AM–05:00PM, Fridays 06:30AM–03:00PM■ Low load period: Midday from 12:00PM–01:00PM and the remaining period.The clock program is established with the following switching points (maximum 10 switching pointsavailable):8 Initial Start-up8.9 Configuring the machine for local mode106 User Manual    Controller  SIGMA CONTROL 2  SCREW FLUID ≥4.0.X No.: 9_9450 07 USE
No.: Weekday Time System setpoint pres‐sure01 Mon-Fri 06:30AMpA on02 Mon-Fri 12:00PMpB on03 Mon-Fri 01:00PMpA on04 Mon-Thu 05:00PMpB on05 Fri 03:00PMpB onTab. 66 Example of system pressure changeover switching pointsDeleting an existing clock programTake the following steps to delete an existing clock program:Precondition Password access level 2 is activated.1. Open the 5.2.3 <Configuration – Pressure control – Load control> menu.2. Use «Up» or «Down» to select the pA/pB Clock line.3. Press «Enter».The Clock program menu is displayed.4. Use «Up» or «Down» to select the Reset line.88psi     08:15AM      176° F5.2.3.1 pA/pB Clock MenuReset                                        : ☐ Active line                         ·········01       Mon-Fri       06:30AM       pA02       Mon-Fri       12:00PM       pB03       Mon-Fri       01:00PM       pA04       Mon-Thu       05:00PM       pB5. Press «Enter» to switch into setting mode.The check box Reset: will flash.6. Press «UP».The check box is activated.7. Press «Enter» to accept the settings.The clock program is now deleted.Setting the switching pointPrecondition Password access level 2 is activated.8 Initial Start-up8.9 Configuring the machine for local modeNo.: 9_9450 07 USEUser Manual    Controller  SIGMA CONTROL 2  SCREW FLUID ≥4.0.X 107
1. Open the 5.2.3.1 <Configuration – Pressure control – Load control – pA/pB Clock> menu.The Clock program menu is displayed.88psi     08:15AM      176° F5.2.3.1 pA/pB Clock MenuReset                                        : ☐                         ·········01       n.a.       00:00AM       pA02       n.a.       00:00AM       pA03       n.a.       00:00AM       pA04       n.a.       00:00AM       pA2. Press «Enter» to switch into setting mode.The display for the set operating mode flashes.88psi     08:15AM      176° F5.2.3.1 pA/pB Clock MenuReset                                        : ☐                         ·········01       Mon-Fri       06:30AM       pA Settings for weekdays, time, pA02       Mon-Fri       12:00PM       pB Settings for weekdays, time, pB03       Mon-Fri       01:00PM       pA04       Mon-Thu      05:00PM       pB3. Use «Up» or «Down» to set the weekdays.4. Press «Enter» to accept the setting.The setting is applied.5. Press the «Right» arrow.6. Press «Enter».The display for hours, 00:00 flashes.7. Use «Up» or «Down» to set the hours.8. Press the «Right» key.9. The display for minutes, 00:00 flashes.10. Use «Up» or «Down» to set the minutes.11. Press «Enter».The setting is applied.12. Press the «Right» arrow.13. Press «Enter».The pA/pBindication flashes.14. Use «Up» or «Down» to set  pA or pB.15. Press «Enter».The setting is applied.16. Set the other switching points in the same manner.The clock program is now finished.17. Setting the operating mode pA/pB Clock: see chapter 8.9.3.38 Initial Start-up8.9 Configuring the machine for local mode108 User Manual    Controller  SIGMA CONTROL 2  SCREW FLUID ≥4.0.X No.: 9_9450 07 USE
8.9.3  Configuring the system setpoint pressure changeover using the timerOverview■ Deleting the old timer configuration, if necessary■ Setting timer periods pA and pB■ Setting starting time for pA or pB■ Setting the operating mode pA/pB Cycle: See chapter 8.9.3.38.9.3.1 Setting timer periods pA and pBKeep to the order of the configuration. The pA/pB Cycle operating mode must not be activa‐ted when configuring the timer period.➤ Configure the timer first and then select the operating mode or select another operatingmode first.Precondition Password access level 2 is activated.1. Open the 5.2.3 <Configuration – Pressure control – Load control> menu.2. Use «Up» or «Down» to select the pA/pB Cycle line.3. Press the «DOWN» key.The pA line is displayed.4. Press «Enter» to switch into setting mode.The display for the cycle duration in hours, 00 flashes.5. Use «Up» or «Down» to set the hours.6. Press «Enter» to accept the setting.The setting is applied.88psi     08:15AM      176° F5.2.3 Load control Menu▶1 pA/pB Clock                         ·········pA/pB Cycle pA: 10 h – 10 h pB: 18 h – 18 h Active line, manually set setpoint value – automati‐cally elapsing value (example)    1.Start pA ¦                   00:00                         ·········7. Press the «Right» arrow.8. Set the cycle duration for pB in the same manner.9. Press «Enter».The timer period for the system setpoint pressure pA and pB is set.8.9.3.2 Setting the starting time for pA or pB1. Use «Up» or «Down» to select the 1.Start pA line.2. Press the «Right» arrow.8 Initial Start-up8.9 Configuring the machine for local modeNo.: 9_9450 07 USEUser Manual    Controller  SIGMA CONTROL 2  SCREW FLUID ≥4.0.X 109
3. Press «Enter» to switch into setting mode.The display for hours, 00:00 flashes.88psi     08:15AM      176° F5.2.3 Load control Menu▶1 pA/pB Clock                         ·········pA/pB Cycle pA: 10 h – 10 h pB: 18 h – 18 h    1.Start pA ¦                   06:30AM Active line, starting time                         ·········4. Use «Up» or «Down» to set the hours.5. Press the «Right» key.The display for minutes, 00 :00 flashes.6. Use «Up» or «Down» to set the minutes.7. Press «Enter» to accept the settings.Result The starting time for pA is set.The cycle is set to start with pB.➤ Press «Enter» and specify 1.Start pB with «UP».8.9.3.3 Setting local modePrecondition Password access level 2 is activated.The timing program or timer is set up.1. Open the 5.2.3 <Configuration – Pressure control – Load control> menu.2. Use «Up» or «Down» to select the Local mode line.3. Press «Enter» to switch into setting mode.The display for the set operating mode flashes.88psi     08:15AM      176° F5.2.3 Load control MenuLocal mode:      pA/pB Cycle Active lineRemote mode:                    pB__________________________________▶1 pA/pB Clock                         ·········pA/pB Cycle4. Use «Up» or «Down» to set the required operating mode (pA, pB, pA/pB Clock, pA/pB Cycle).5. Press «Enter» to accept the setting.The setting is applied.6. Press «Esc» repeatedly to leave this menu.Result The timer is fully configured.8 Initial Start-up8.9 Configuring the machine for local mode110 User Manual    Controller  SIGMA CONTROL 2  SCREW FLUID ≥4.0.X No.: 9_9450 07 USE
8.10  Configuring the machine for master control8.10.1  List of the different master controllersThe machine controller is equipped with several methods of working under other controllers.Method Description SectionMaster control with SAM 4.0. You must modify the settings in SIGMACONTROL 2 for the operation viaSIGMA NETWORK using the KAESERSIGMA AIR MANAGER 4.0.8.10.2Master control via PROFIBUS(only available with SIGMACONTROL 2 - requires an additionalmodule).The controller (and therefore the compressor) re‐ceives the instruction LOAD, IDLE or local opera‐tion via the PROFIBUS Master (e. g.SIGMA AIR MANAGER). The system setpointpressures pA and pB are irrelevant for the LOAD/IDLE signals.8.10.3Master control of two compressorswith SIGMA CONTROL 2 via Ethernetinterface.The two SIGMA CONTROL 2 controllers operateas master and slave. The slave receives thecommand to switch between the two system set‐point pressures pA and pB from the master.8.10.4Master control via LOAD remote con‐tact.Master control via a LOAD remotecontact is another method of control‐ling the machine externally.There are two possibilities:LOAD remote contact:An input signal from a superordinate controllerswitches the machine to LOAD or IDLE. The set‐point pressure settings pA and pB have no rele‐vance.8.10.5Local/LOAD remote contact:Using two inputs, a master controller (e.g.MVS 8000) switches the machine betweenLOAD/IDLE and local operation.8.10.6Setpoint pressure preselection. pA/pB remote contact:An input contact provides the signal to switchfrom the system setpoint pressure pA to pB.8.10.7Master control of machines regulatedby pressure switch.On machines with the same FAD,SIGMA CONTROL 2 controls the pressure switchvia a floating relay output.8.10.8.1On machines supplying an unequal FAD, thepressure ranges are matched to each other.8.10.8.2Tab. 67 Master control – overviewFurther information Examples of timing programs for equal machine loading are given in section 8.10.9.8.10.2  SAM 4.0 modeYou must modify the settings in SIGMA CONTROL 2 for the operation via SIGMA NETWORK us‐ing, for example, the KAESER SIGMA AIR MANAGER 4.0 (SAM 4.0).8 Initial Start-up8.10 Configuring the machine for master controlNo.: 9_9450 07 USEUser Manual    Controller  SIGMA CONTROL 2  SCREW FLUID ≥4.0.X 111
Precondition SIGMA CONTROL 2 is connected to SAM 4.0 via SIGMA NETWORK and ready for operation (seethe SAM 4.0 operating manual in the chapter “Installation”)System pressure pB is set as the pressure for the “SAM 4.0 manual mode".Password access level 2 is activated.The remote control is activated (see chapter 8.2.12)Setting the IP configuration1. Open the 8.1.1 <Communication – Ethernet/SIGMA NETWORK – IP configuration> menu.2. Use «Up» or «Down» to select the IP address line.88psi     08:15AM      176° F Header8.1.1 IP configuration MenuIP address            169.254.100.103 Active lineSubnet mask      255.255.000.000Gateway                169.254.100.97DNS Server 1        169,254,100.97DNS Server 2        169,254,100.97Restart network                    ☐3. Set the IP address for SIGMA CONTROL 2 using the following pattern:169.254.100.(SAM 4.0 machine number +102)(for the setting see chapter 8.2.13).Setting the SAM 4.0 modeThe IP address for SAM 4.0 has been set on SIGMA CONTROL 2 at the factory:169.254.100.100 and must not be changed. The same applies to Port 2000.1. Open the 8.1.2.2 <Communication – Ethernet/SIGMA NETWORK – Connections – SAM 4.0>menu.2. Use «Up» or «Down» to select the SAM 4.0active line.88psi     08:15AM      176° F Header8.1.2.2 SAM 4.0 MenuStatus                    Counter 0                              No error__________________________________SAM 4.0 active   :                           ☑ Active line                         SendIP address            169.254.100.1003. Press «Enter» to switch into setting mode.The SAM 4.0 active check box flashes.4. Press the «UP» key.The check box is activated.5. Press «Enter» to accept the setting.The setting is applied.6. Press the «DOWN» key.8 Initial Start-up8.10 Configuring the machine for master control112 User Manual    Controller  SIGMA CONTROL 2  SCREW FLUID ≥4.0.X No.: 9_9450 07 USE
7. Press «Enter» to switch into setting mode.The currently active operating mode flashes.8. Use «Up» or «Down» to set the Send/receive value.88psi     08:15AM      176° F Header8.1.2.2 SAM 4.0 MenuStatus                    Counter 0                              No error__________________________________SAM 4.0 active   :                           ☑                         Send/receive Active lineIP address            169.254.100.1009. Press «Enter» to accept the setting.The setting is applied.10. Use «Up» or «Down» to select the Starttd line.88psi     08:15AM      176° F Header8.1.2.2 SAM 4.0 MenuIP address            169.254.100.100Port                     :                    2000__________________________________Communication error         :       ☑ Start td                  15s Active line Timeout :                 5s                  ☑11. Press «Enter» to switch into setting mode.The setting mode is active.12. Use «Up» or «Down» to set the Start td value to 30 s.88psi     08:15AM      176° F Header8.1.2.2 SAM 4.0 MenuIP address            169.254.100.100Port                     :                    2000__________________________________Communication error         :       ☑ Start td                  30s Active line Timeout :                 5s                  ☑13. Press «Enter» to accept the setting.The setting is applied.Result SIGMA CONTROL 2 communicates with SAM 4.0 via SIGMA NETWORK.The communication is working smoothly when neither SIGMA CONTROL 2 nor SAM 4.0 report anycommunication fault.8 Initial Start-up8.10 Configuring the machine for master controlNo.: 9_9450 07 USEUser Manual    Controller  SIGMA CONTROL 2  SCREW FLUID ≥4.0.X 113
8.10.2.1 Reaction in the event of a communication malfunctionAfter switching on the power supply, monitoring for communication malfunctions is suppressed fora period of time which can be defined by means of the Start td parameter. The setting depends onthe time passing at the bus master between return of power and start of communication via thebus.For the communication with SAM 4.0, the value of Start td must be set to 30 s.SIGMA CONTROL 2 can monitor the bus communication at user level. For this purpose, the busmaster reads a value ("toggle bit") that changes with every bus cycle and returns it without change.SIGMA CONTROL 2 returns a communication malfunction if the value does not change for a timelonger than set (Timeout).Monitoring for communication malfunction can be activated if needed. For this purpose, theSend/receive option must be set for the data exchange. Activate the Communication errorcheck box to enable monitoring for communication malfunctions.88psi     08:15AM      176° F Header8.1.2.2 SAM 4.0 MenuIP address            169.254.100.100Port                     :                    2000__________________________________Communication error         :       ☑ Active line Start td                  30s Timeout :                 5s                  ☑Settings for connection to SAM 4.0.Parameters Factory setting Set valueCheck box Communication error Check box ☑ activated 1)Start td 30 sTimeout 5 sCheck box Timeout Check box ☑ activated1) Prerequisite: The Send/receive option has been set.Tab. 68 Parameters for monitoring for communication malfunction8.10.3  Configuring PROFIBUS mode (SIGMA AIR MANAGER)Only possible with SIGMA CONTROL 2 (prepared for connection to control center)Overview:■ Establishing the electrical connection■ Setting the remote operating mode pB■ Configuring the PROFIBUS interface■ Activating the «Remote control» keyPrecondition Retrofit kit PROFIBUS required8 Initial Start-up8.10 Configuring the machine for master control114 User Manual    Controller  SIGMA CONTROL 2  SCREW FLUID ≥4.0.X No.: 9_9450 07 USE
Establishing the electrical connectionPin Assignment1 Spare2 Spare3 PROFIBUS connection B4 TTL signal RTS5 Ground6 +5 V for bus terminal7 Spare8 PROFIBUS connection A9 SpareTab. 69 PROFIBUS DP pin connectionInterface plug wiringFig. 29 PROFIBUS plug wiring1Terminal 1A2Terminal 1B3Terminal 2A4Terminal 2B5Slide switch, terminating resistor8 Initial Start-up8.10 Configuring the machine for master controlNo.: 9_9450 07 USEUser Manual    Controller  SIGMA CONTROL 2  SCREW FLUID ≥4.0.X 115
Electrical diagram example with SIGMA AIR MANAGERFig. 30 Electrical diagram example with SIGMA AIR MANAGER8 Initial Start-up8.10 Configuring the machine for master control116 User Manual    Controller  SIGMA CONTROL 2  SCREW FLUID ≥4.0.X No.: 9_9450 07 USE
1. Connect the bus subscribers one after the other according to the pin assignment below.2. Connect the screening to the plug housings at both ends.3. Set the terminating resistor in the plug to ON for the first and last subscribers to thePROFIBUS .Result The terminals for the remaining bus conduit (2A/2B) are switched off.8.10.3.1 Inserting the communication moduleThe SIGMA CONTROL 2 communication interface is sealed with a plastic cover when shippedfrom the factory. Before you can insert the communication module in the X4 interface, you mustremove the plastic cover from the SIGMA CONTROL 2 . The designation of the interfaces is provi‐ded on the rear of the SIGMA CONTROL 2.Material Small screwdriverTorx screwdriver, size 9Precondition The machine is disconnected from the power supply.The absence of voltage has been verified.➤ Work with caution.Removing the plastic coverFig. 31 Communication interface1Designation of the interfaces2Rear side of the SIGMA CONTROL 2 con‐troller3Ethernet interface X14IO BUS X25RS485–FC (USS interface) X36Communication interface X4 (customer in‐terface)7Plastic cover8Fin9Communication interface X4 without plasticcover1. Place the screwdriver next to the fin.2. Insert the tip into the slot between the plastic cover and the enclosure of theSIGMA CONTROL 2.3. Press the screwdriver down until the fin breaks.8 Initial Start-up8.10 Configuring the machine for master controlNo.: 9_9450 07 USEUser Manual    Controller  SIGMA CONTROL 2  SCREW FLUID ≥4.0.X 117
4. Break the other fins in the same manner.5. Remove the plastic cover  7.Inserting and fixing the communication moduleAlign the communication module until both cable connectors are at the same height.Precondition The plastic cover is removed.Fig. 32 Inserting the communication module1Bay, interface X42Cable connector, interface X43Guiding plate4Recess, module bay5Cable connector, communication module6Communication module7Front plate1. Align the communication module  6.2. Insert the communication module into the bay of interface X4  1 until it latches (see Fig. 32).The module is correctly installed when its front plate  7 is seated solidly in the recess of themodule bay  4.3. Use the Torx T9 screwdriver to screw in the fixing screws.8.10.3.2 Activating operation via PROFIBUSOverview:■ Activating the communications module■ Setting the slave address■ Setting reaction for a communication malfunction■ Activating the remote controlPrecondition The communication module is plugged and screwed into the X4 interface.The electrical connection to the bus master is made.The machine's power supply is activated.The machine is parametrized as a slave in the bus master.The bus master is operational.Fig. 33 Front plate of the PROFIBUScommunication module1PROFIBUS communication module2Operation LED3Status LED4PROFIBUSinterface8 Initial Start-up8.10 Configuring the machine for master control118 User Manual    Controller  SIGMA CONTROL 2  SCREW FLUID ≥4.0.X No.: 9_9450 07 USE
➤ Proceed as shown.Activating the communications module1. Select the 8.2 <Communication – Com-Module> menu.The Com-Module menu is displayed2. Use «Up» or «Down» to select the Com-Moduleactive line.3. Press «Enter» to switch into setting mode.The Com-Module active check box flashes.88psi 08:15AM 176° F8.2 Com-Module MenuCom-Module deactivated__________________________________Type NoneSend/receiveCom-Module active : ☐ Active lineReset : ☐4. Press the «Up» key.The check box is activated.5. Press «Enter» to accept the setting.The communication module is activated.88psi 08:15AM 176° F8.2 Com-Module MenuNo error__________________________________Type PROFIBUSSend/receiveCom-Module active : ☑ Active lineReset : ☐6. Press «Escape» repeatedly to return to the main menu.Setting the slave addressYou only need to set the slave address for the communication with theSIGMA AIR MANAGER.The other parameters do not require adjustment. When connected to aSIGMA AIR MANAGER, the slave address is determined as follows:Compressor number used at SIGMA AIR MANAGER +102.Precondition Password access level 2 is activated.8 Initial Start-up8.10 Configuring the machine for master controlNo.: 9_9450 07 USEUser Manual    Controller  SIGMA CONTROL 2  SCREW FLUID ≥4.0.X 119
1. Select the 8.2 <Communication – Com-Module> menu.The Com-Module menu is displayed88psi 08:15AM 176° F8.2 Com-Module MenuSend/receiveCom-Module active : ☑ Active lineReset : ☐SlaveNo.: 103·········Communication error : ☑2. Use «Up» or «Down» to select the SlaveNo. line.88psi 08:15AM 176° F8.2 Com-Module MenuSend/receiveCom-Module active : ☑Reset : ☐SlaveNo.: 103 Active line·········Communication error : ☑3. Press «Enter» to switch into setting mode.The display for the slave address flashes.4. Use «Up» or «Down» to set the slave address 104.5. Press «Enter» to accept the setting.The setting is applied.88psi 08:15AM 176° F8.2 Com-Module MenuSend/receiveCom-Module active : ☑Reset : ☐SlaveNo.: 104 Active line·········Communication error : ☑ Monitoring for communication malfunction is active.Result Slave address 104 is set.Setting reaction for a PROFIBUS communication malfunctionExchange of data with a PROFIBUS connection takes place in fixed cycles. The PROFIBUScon‐nection can be monitored with the help of the cycle time:The bus connection is considered to be interrupted if no data is exchanged between the bus mas‐ter and the controller (as bus subscriber) after expiry of a set time period (time-out).Time-out monitoring is activated. You may neither adjust nor deactivate time-out forSIGMA AIR MANAGER.8 Initial Start-up8.10 Configuring the machine for master control120 User Manual    Controller  SIGMA CONTROL 2  SCREW FLUID ≥4.0.X No.: 9_9450 07 USE
After switching on the power supply, the communication malfunction can be suppressed tem‐porarily.Monitoring for communication malfunction can be deactivated if needed. For this purpose, theSend option must be selected for the data exchange.■ Settings for SIGMA AIR MANAGER without SIGMA AIR CONTROL PLUS─ Start: 30 seconds■ Settings for SIGMA AIR MANAGER with SIGMA AIR CONTROL PLUS─ Start: 40 seconds1. Use «Up» or «Down» to select the Communication error line.2. Press «Enter» to switch into setting mode.The check box Communication error will flash.88psi 08:15AM 176° F8.2 Com-Module MenuReset : ☐SlaveNo.: 104·········Communication error : ☐ Active line Start td: 30 s Timeout : 5 s ☑3. Press the «Up» key.The check box is activated.The monitoring for communication malfunctions is active.4. Use «Up» or «Down» to select the Starttd line.88psi 08:15AM 176° FCom-Module active : ☑Reset : ☐SlaveNo.: 104·········Communication error : ☑ Monitoring for communication malfunctions is active Start td: 30 s Active line Timeout : 5 s ☑5. Press «Enter» to switch into setting mode.The 00 seconds display flashes.6. Use «Up» or «Down» to set the seconds.7. Press «Enter» to accept the setting.The setting is applied.Activating the remote control➤ Activate remote control see chapter 8.2.12.Result SIGMA CONTROL 2 remote control is activated.The bus master now remotely controls the SIGMA CONTROL 2.8 Initial Start-up8.10 Configuring the machine for master controlNo.: 9_9450 07 USEUser Manual    Controller  SIGMA CONTROL 2  SCREW FLUID ≥4.0.X 121
8.10.4  Configuring the master control of two machines in master/slave operationTwo machines with SIGMA CONTROL 2 work as master/slave in the same air network. The mas‐ter controls the machine configured as a slave and provides the signal for the pA and pB setpointpressures.Example: Two machines with different delivery quantitiesLocal operating mode of the master: Local mode pA/pB Clock.■ Toggles between system pressure setpoints pA and pB by a clock program.■ At peak load times, pressure is regulated to system setpoint pressure pA .During periods of low air demand, pressure is regulated to system setpoint pressure pB (e. g.at weekends).■ The machine with the lesser air delivery is the slave.In times with lower air demand, the machine with the smaller delivery is used more frequently.Example: Two machines with equal delivery quantities■ Local operating mode of the master: Local mode pA/pB Cycle.(Toggles between system pressure setpoints pA and pB target pressure by a clock).The timer ensures even loading of both machines. The system pressure setpoints are set thesame for both machines.■ During timer period 1, the master regulates to pA and signals the slave for pB.During timer period 2, the master regulates to pB and signals the slave to pA.If two machines with SIGMA CONTROL 2 are to work in master-slave mode, their controllersmust have the same software version.➤ Follow the configuration steps as described in table 70:Controller Procedure ChapterBoth Making the electrical connection 8.10.4.1Both Set the system pressure setpoints for both, pA and pB. The pressurefor switching points pA and pB is measured directly at the compressor.Pressure losses in the network do not need to be taken into account.8.10.4.2 and8.10.4.3Master Either set up switching times for the clock program 8.10.4.2Or, set switching times for the clock 8.10.4.2Master Set the type of LOAD control (clock program or clock) in local mode 8.10.4.2Slave Set remote mode pA/pB SC28.10.4.3Slave  Activate the «Remote control» key 8.10.4.3Both Set IP addresses for Ethernet 8.10.4.2 and8.10.4.3Both Activate controller as master or slave 8.10.4.2 and8.10.4.3Tab. 70 Master-slave configuration procedure8.10.4.1 Making the electrical connectionYou need the following accessories to create the network connection with SIGMA NETWORK orEthernet:8 Initial Start-up8.10 Configuring the machine for master control122 User Manual    Controller  SIGMA CONTROL 2  SCREW FLUID ≥4.0.X No.: 9_9450 07 USE
■ SIGMA NETWORK cable (7.9679.0) or Ethernet cable with a maximum connection length of328 ft. each.■ For each machine with SIGMA CONTROL 2:─ Retrofit kit LAN RJ45 (7.5250.01870)■ For connecting the machines to a network (LAN) or switch:─ 2x RJ45 plug (7.7628.1)➤ Make the electrical connection according to the local condition. For more information, see theinstallation manual for the Retrofit kit LAN RJ45 (7.5250.01870)Installing the Ethernet cableUse a cross-link Ethernet cable for the direct connection of two machines.Fig. 34 Direct connection of two SIGMA CONTROL 21Controller machine 1 (Master mode)2Ethernet interface X13Ethernet cable, cross-link4Controller machine 2 (Slave mode)5Ethernet interface X1➤ Install the Ethernet cable between the two machines.For connecting the machines to a network (LAN) or switch (when using KAESER CONNECT forexample).➤ Install the Ethernet cable from each machine to the LAN connection or switch.Connecting the Ethernet cable with the machineFor each machine:1. Insert the Ethernet cable into the machine and the machine's control cabinet, using an EMCconnection.2. Feed the Ethernet cable through the cable ducts to SIGMA CONTROL 2. Use the wiring pathin the 24V range (blue wiring) of the ducts.8 Initial Start-up8.10 Configuring the machine for master controlNo.: 9_9450 07 USEUser Manual    Controller  SIGMA CONTROL 2  SCREW FLUID ≥4.0.X 123
3. Install the Ethernet bus plug at the cable end.4. Push the bus plug into the Ethernet interface X1 of the SIGMA CONTROL 2 until it latches.For connecting the machines to a network (LAN) or switchConnect the Ethernet cable for each machine to the LAN connection or switch.1. Install the Ethernet bus plug to the cable end.2. Push the bus plug into the LAN socket until it latches.8.10.4.2 Configure the controller of machine 1 as masterPrecondition The electrical connection is made.Password access level 2 is activated.Setting the switching points pA and pB1. Select the 5.2.2 <Configuration – Pressure control – Pressure settings> menu.The pA line is displayed.2. Press «Enter» to switch into setting mode.The value for pA flashes.88psi     08:15AM      176° F5.2.2 Pressure settings MenuSetpoint pressurepA SP:  123psi ¦ SD:     −7.3psi Active linepB SP:  119psi ¦ SD:     −7.3 psi                         ·········System pressure low               ☐↓<  72.5psi ¦ SD:          7.2psi3. Use «Up» or «Down» to set the pA value.4. Press «Enter» to accept the setting.The setting is applied.5. Press «Down».The pB line is displayed.6. Adjust the value for pB in the same manner, If necessary,Setting the timesSIGMA CONTROL 2 provides the following options for selecting times:■ 1: Clock program■ 2: Timer1. Decide your desired method.2. Follow the instructions below for the settings required.8 Initial Start-up8.10 Configuring the machine for master control124 User Manual    Controller  SIGMA CONTROL 2  SCREW FLUID ≥4.0.X No.: 9_9450 07 USE
Alternative 1: Setting the clock programPrecondition The electrical connection is made.Password access level 2 is activated.➤ Setting the target pressure change with a clock program; see chapter 8.9.2.Alternative 2: Setting the timerPrecondition The electrical connection is made.Password access level 2 is activated.1. Setting clock periods pA and pB see chapter 8.9.3.12. Setting the starting time for pA or pB; see chapter 8.9.3.2.Master IP configurationIf the controllers of both machines are linked directly, they must be given different IP addresses.Example:■ IP address of the machine 1 controller (Master mode): 169.254.100.101■ IP address of the machine 2 controller (Slave): 169.254.100.102Precondition The electrical connection is made.Password access level 2 is activated.1. IP address set for the master: For instructions, see chapter 8.2.13, IP address for the aboveexample.The IP address of machine 1 (master) is set correctly.2. Open the 8.1.2.1 <Communication – Ethernet/SIGMA NETWORK – Connections – SIGMACONTROL 2> menu.3. Use «Up» or «Down» to select the Mode line.4. Press «Enter» to switch into setting mode.The setting mode is active.88psi     08:15AM      176° F Header8.1.2.1 SIGMA CONTROL 2 MenuStatus     Run     0 ¦Error     0__________________________________Mode          :               Master Active linePort               :               2.001                         ·········Communication partner5. Use «Up» or «Down» to set Machine 1 Master operating mode.6. Press «Enter» to accept the setting.The setting is applied.7. Use «Up» or «Down» to select the IP address line.8. Press «Enter» to switch into setting mode.The setting mode is active.8 Initial Start-up8.10 Configuring the machine for master controlNo.: 9_9450 07 USEUser Manual    Controller  SIGMA CONTROL 2  SCREW FLUID ≥4.0.X 125
9. Set the IP address of the communication partner (slave, see above example).10. Press «Enter» to accept the setting.The IP address of machine 2 (slave) is set correctly.The setting is applied.Result The controller of machine 1 is set as master.8.10.4.3 Configuring the machine 2 controller as slavePrecondition The electrical connection is made.Password access level 2 is activated.Setting the switching points pA and pB1. Open the 5.2.2 <Configuration – Pressure control – Pressure settings> menu.The pA line is displayed.2. Press «Enter» to switch into setting mode.The value for pA flashes.88psi     08:15AM      176° F5.2.2 Pressure settings MenuSetpoint pressurepA SP:  123psi ¦ SD:     −7.3psi Active linepB SP:  119psi ¦ SD:     −7.3 psi                         ·········System pressure low               ☐↓<  72.5psi ¦ SD:          7.2psi3. Use «Up» or «Down» to set the pA value.4. Press «Enter» to accept the setting.The setting is applied.5. Press «Down».The pB line is displayed.6. If necessary, adjust the value for the pB switching differential in the same manner.Activating the remote control➤ Activating Remote control see chapter 8.2.12.Result SIGMA CONTROL 2 Remote control is activated.Setting the remote operating modePrecondition The electrical connection is made.Password access level 2 is activated.1. Open the 5.2.3 <Configuration – Pressure control – Load control> menu.2. Use «Up» or «Down» to select the Remote mode line.8 Initial Start-up8.10 Configuring the machine for master control126 User Manual    Controller  SIGMA CONTROL 2  SCREW FLUID ≥4.0.X No.: 9_9450 07 USE
3. Press «Enter» to switch into setting mode.The setting mode is active.88psi     08:15AM      176° F5.2.3 Load control MenuLocal mode:      pA/pB CycleRemote mode:          pA/pB SC2 Active line, current operating mode__________________________________▶1 pA/pB Clock                         ·········pA/pB Cycle4. Use «Up» or «Down» to set the pA/pB SC2 input.5. Press «Enter» to accept the setting.The setting is applied.Specifying machine 2 with Slave IP addressIf the controllers of both machines are linked directly, they must be given different IP addresses.Example:■ IP address of the machine 1 controller (Master mode): 169.254.100.101■ IP address of the machine 1 controller (Slave mode): 169.254.100.102Precondition The electrical connection is made.Password access level 2 is activated.1. IP address set for the master: For instructions, see chapter 8.2.13, IP address for the aboveexample.The IP address of machine 2 (slave) is set correctly.2. Open the 8.1.2.1 <Communication – Ethernet/SIGMA NETWORK – Connections – SIGMACONTROL 2> menu.3. Use «Up» or «Down» to select the Mode line.4. Press «Enter» to switch into setting mode.The setting mode is active.5. Use «Up» or «Down» to set Machine 2 Slave operating mode.6. Press «Enter» to accept the setting.The setting is applied.7. Use «Up» or «Down» to select the IP address line.8. Press «Enter» to switch into setting mode.The setting mode is active.9. Set the IP address of the communication partner (master, see above example).10. Press «Enter» to accept the setting.The setting is applied.Result The controller of machine 2 is set as slave.8 Initial Start-up8.10 Configuring the machine for master controlNo.: 9_9450 07 USEUser Manual    Controller  SIGMA CONTROL 2  SCREW FLUID ≥4.0.X 127
8.10.5  Configuring master control using the LOAD remote contact (e.g.,SIGMA AIR MANAGER BASIC)Overview■ Making the electrical connection for LOAD remote contact■ Setting the LOAD remote contact operating mode and assigning the input■ Adjusting the pressure increase pE, if necessary■ Activating the «Remote control» key➤ Configure master control as described below.8.10.5.1 Making the electrical connection for LOAD remote contact (excerpt)Machine (example)Fig. 35 LOAD remote contact1Electrical connection DI 1.122LOAD remote contact open (IDLE)3Electrical connection DI 1.124LOAD remote contact closed (LOAD)5SIGMA AIR MANAGER BASIC contacts➤ Establish the electrical connection for DI 1.12 according to the diagram.8.10.5.2 Setting the LOAD remote contact operating mode and assigning the input for LOAD remote contactPrecondition Password access level 2 is activated.Setting the LOAD remote contact operating mode1. Select the 5.2.3 <Configuration – Pressure control – Load control> menu.2. Use «Up» or «Down» to select the Remote mode line.8 Initial Start-up8.10 Configuring the machine for master control128 User Manual    Controller  SIGMA CONTROL 2  SCREW FLUID ≥4.0.X No.: 9_9450 07 USE
3. Press «Enter» to switch into setting mode.The currently active operating mode Remote mode flashes.88psi     08:15AM      176° F5.2.3 Load control MenuLocal mode:      pA/pB CycleRemote mode:          Load RC Active line__________________________________▶1 pA/pB Clock                         ·········pA/pB Cycle4. Use «Up» or «Down» to set the Load RC input.5. Press «Enter» to accept the setting.The LOAD remote contact operating mode is set.Assigning the input for LOAD remote contactThe input for the LOAD remote contact is pre-assigned.Setting is only necessary if you deliberately want to use a different input.1. Use «Up» or «Down» to select the Load RC line.2. Press «Enter» to switch into setting mode.The DI display flashes.88psi     08:15AM      176° F5.2.3 Load control MenupA/pB DO             DOR1.03          ☐                               Logic :             +                         ·········Load RC             DI1.13             ok ☑ Active line; standard DI 1.13                               Logic :             +loc.-load RC         DI1.09              ☐3. Use «Up» or «Down» to select the input for the LOAD remote contact.4. Press «Enter» to accept the setting.The setting is applied.5. Press the «Right» arrow.6. Press «Enter».The check box Load RC will flash.7. Press «Up» key.The check box is activated.8. Press «Enter».ok is displayed to the left of the check box.The operating mode is set.8 Initial Start-up8.10 Configuring the machine for master controlNo.: 9_9450 07 USEUser Manual    Controller  SIGMA CONTROL 2  SCREW FLUID ≥4.0.X 129
8.10.5.3 Setting the SD switching differential of the pressure increase➤ Set the SD switching differential of the pressure increase as described in chapter 8.4.2.3.Further information Detailed information on the pressure parameters is provided in chapter 8.4.2.8.10.5.4 Activating the remote control➤ Activate remote control see chapter 8.2.12.Result SIGMA CONTROL 2 remote control is activated.8.10.6  Configuring the master control with local/LOAD remote contactOverview■ Making the electrical connection■ Setting the local/LOAD remote contact operating mode and assigning the input■ Setting local operating mode, if necessary■ Activating the «Remote control» key➤ Configure master control as described below.8.10.6.1 Making the electrical connectionUse the input “Controller On for the "alarm machine X" message (DOR1.03) to prevent linebreaks!➤ Wire the "motor running” and "Controller on” (DOR1.03) messages from the compressorto the MVS 8000.■ Contact A open: SIGMA CONTROL 2controls with pB system setpoint pressure.■ Contact A closed: SIGMA CONTROL 2 controls via external LOAD mode contact.■ DI 1.13: LOAD/IDLE external.■ DI 1.09: LOAD control – switchover local/LOAD remote contact.8 Initial Start-up8.10 Configuring the machine for master control130 User Manual    Controller  SIGMA CONTROL 2  SCREW FLUID ≥4.0.X No.: 9_9450 07 USE
Fig. 36 Wiring diagram for local/LOAD remote contact:AChangeover between automatic and manual modesBLOAD/IDLE contact➤ Make the electrical connection according to the diagram.8.10.6.2 Setting the local/LOAD remote contact operating mode and assigning the inputPrecondition Password access level 2 is activated.Setting local/LOAD remote contact operating mode1. Select the 5.2.3 <Configuration – Pressure control – Load control> menu.2. Use «Up» or «Down» to select the Remote mode line.3. Press «Enter».The currently active operating mode Remote mode flashes.88psi     08:15AM      176° F5.2.3 Load control MenuLocal mode:      pA/pB CycleRemote mode:          loc.-load RC Active line__________________________________▶1 pA/pB Clock                         ·········pA/pB Cycle4. Use «Up» or «Down» to set the loc.-load RC input.5. Press «Enter».The local/LOAD remote contact operating mode is set.Assigning an input for the local/LOAD remote contact for switching the pressure control1. Use «Up» or «Down» to select the loc.-load RC line.8 Initial Start-up8.10 Configuring the machine for master controlNo.: 9_9450 07 USEUser Manual    Controller  SIGMA CONTROL 2  SCREW FLUID ≥4.0.X 131
2. Press «Enter».The DI display flashes.88psi     08:15AM      176° F5.2.3 Load control MenupA/pB DO             DOR1.03          ☐ No input assigned                                Logic :            +                         ·········Load RC                 DI1.13          ok ☑                                Logic :            +loc.-load RC       DI1.09                ☑ Active line3. Use «Up» or «Down» to select a new input for local/LOAD remote contact.4. Press «Enter».The input for local/LOAD remote contact is assigned.8.10.6.3 Setting local operating mode pBThe pB system setpoint pressure is normally set for local operation.➤ When setting the pB system setpoint pressure, bear in mind that, under certain circum‐stances, more than one compressor may be operating in local mode (see section 8.4 foradjusting the system setpoint pressure).Precondition Password access level 2 is activated.1. Select the 5.2.3 <Configuration – Pressure control – Load control> menu.2. Use «Up» or «Down» to select the Local mode line.3. Press «Enter» to switch into setting mode.The operating mode display flashes.88psi     08:15AM      176° F5.2.3 Load control MenuLocal mode :      pB Active line, current operating modeRemote mode:          loc.-load RC__________________________________▶1 pA/pB Clock                         ·········pA/pB Cycle4. Use «Up» or «Down» to set the pB input.5. Press «Enter» to accept the setting.The setting is applied.6. Adjust the pB system setpoint pressure, if necessary (see section 8.4).The local operating mode pB is set.8.10.6.4 Activating the remote control➤ Activate remote control see chapter 8.2.12.Result SIGMA CONTROL 2 remote control is activated.8 Initial Start-up8.10 Configuring the machine for master control132 User Manual    Controller  SIGMA CONTROL 2  SCREW FLUID ≥4.0.X No.: 9_9450 07 USE
8.10.6.5 Assigning an input for the LOAD remote contact for switching the pressure controlPrecondition Password access level 2 is activated.1. Open the 5.2.3 <Configuration – Pressure control – Load control> menu.2. Use «Up» or «Down» to select the Load RC line.3. Press «Enter» to switch into setting mode.The DI display flashes.88psi     08:15AM      176° F5.2.3 Load control MenupA/pB RC              DI1.05             ☐                               Logic :            +pA/pB DO             DOR1.04         ☐                               Logic :            +                         ·········Load RC                 DI1.13        ok ☑ Active line4. Use «Up» or «Down» to select the input for the LOAD remote contact.5. Press «Enter» to accept the setting.The input for LOAD remote contact is assigned.8.10.7  Setting the setpoint pressure pre-selection via remote contactThe signal to changeover from setpoint pressure pA to setpoint pressure pB comes from an inputcontact. If there is a signal at the input then system pressure is regulated on setpoint pressure pB.Overview■ Setting up remote contact mode pA/pB■ Assigning the remote contact input■ Activating the remote control➤ Configure the setpoint pressure pre-selection as described.8.10.7.1 Setting up remote contact mode pA/pBPrecondition The electrical connection is made.Password access level 2 is activated.1. Open the 5.2.3 <Configuration – Pressure control – Load control> menu.2. Use «Up» or «Down» to select the Remote mode line.8 Initial Start-up8.10 Configuring the machine for master controlNo.: 9_9450 07 USEUser Manual    Controller  SIGMA CONTROL 2  SCREW FLUID ≥4.0.X 133
3. Press «Enter».The currently active operating mode flashes.88psi     08:15AM      176° F5.2.3 Load control MenuLocal mode:      pBRemote mode :          pA/pB RC Active line__________________________________▶1 pA/pB Clock                         ·········pA/pB Cycle4. Use «Up» or «Down» to set the pA/pB RC input.5. Press «Enter».Result The pA/pB RC operating mode is set.8.10.7.2 Assigning the remote contact inputA spare input can be found in the machine circuit diagram.1. Use «Up» or «Down» to select the pA/pB RC line.2. Press «Enter».The DI display flashes.88psi     08:15AM      176° F5.2.3 Load control MenupA/pB RC              DI1.05             ☑ Active line                               Logic :            +pA/pB DO             DOR1.04          ☐                               Logic :            +                         ·········Load RC                  DI1.13        ok ☑3. Use «Up »or «Down» to set the DI input.4. Press «Enter».Result The input for remote contact has now been assigned.8.10.7.3 Activating the remote control➤ Activating the remote control see chapter 8.2.12.Result SIGMA CONTROL 2 remote control is activated.8.10.8  Configuring master control of compressors regulated by pressure switch➤ Configure the master control as described below.8 Initial Start-up8.10 Configuring the machine for master control134 User Manual    Controller  SIGMA CONTROL 2  SCREW FLUID ≥4.0.X No.: 9_9450 07 USE
8.10.8.1 Configuring master control via floating relay contactRequirement:A machine with SIGMA CONTROL 2 (e.g. series BSD) and a conventional machine withoutSIGMA CONTROL 2 of the same capacity are to run in sequence as base load or peak load ma‐chines.Proposal:■ Set/adjust the clock program or clock on SIGMA CONTROL 2.■ Select local mode with time control pA/pB Clock or clock pA/pB Cycle.■ Set the system setpoint pressures pA and pB analogous to the required values. They must beidentical to the pressure switch settings on the machine without SIGMA CONTROL 2.■ To make the system setpoint pressure changeover between the two machines possible, afloating relay contact must be assigned to the selected local operating mode. An auxiliary con‐tactor can be energized via this contact to activate the pressure switches for pA and pB on thecompressor without SIGMA CONTROL 2. See the example wiring diagram below.Overview■ Making the electrical connection■ Setting the system setpoint pressure pA and pB.■ Setting operating mode in local operating mode■ Assigning the floating relay contact■ Setting local operating modeMaking the electrical connection■ Contact A open: SIGMA CONTROL 2 controls with system setpoint pressure pB■ Contact A closed: SIGMA CONTROL 2 controls with system setpoint pressure pA■ B 1.1: Pressure switch for system setpoint pressure pB■ B 1.2: Pressure switch for system setpoint pressure pA8 Initial Start-up8.10 Configuring the machine for master controlNo.: 9_9450 07 USEUser Manual    Controller  SIGMA CONTROL 2  SCREW FLUID ≥4.0.X 135
07-S0629A-K3 A1A2Fig. 37 Machine with pressure switch regulationAfloating relay contact SIGMA CONTROL 2➤ Make the electrical connection according to the diagram.Setting the system setpoint pressure pA and pB.Precondition Password access level 2 is activated.The electrical connection is made.1. Select the <5.2.2 – Pressure control – Pressure settings> menu (see chapter 8.4.1).2. Use «Up» or «Down» to select the pASP line.3. Press «Enter» to switch into setting mode.The setting mode is active.The Setpoint pressure pAdisplay flashes.88psi     08:15AM      176° F5.2.2 Pressure settings MenuSetpoint pressurepA SP:  123psi ¦ SD:     −7.3psi Active linepB SP:  119psi ¦ SD:     −7.3 psi                         ·········System pressure low               ☐↓<  72.5psi ¦ SD:          7.2psi4. Use «Up» or «Down» to set the value for pA.5. Press «Enter» to accept the setting.The setting is applied.6. Adjust the value for the SD switching differential in the same way, if necessary.7. Adjust the value for pB/SD in the same manner, if necessary.8. Press «Esc» repeatedly to leave this menu.8 Initial Start-up8.10 Configuring the machine for master control136 User Manual    Controller  SIGMA CONTROL 2  SCREW FLUID ≥4.0.X No.: 9_9450 07 USE
Configuring local mode➤ Set the clock program or clock as described in section 8.9.Assigning the floating relay contact (activate)Precondition Password access level 2 is activated.The electrical connection made (select spare contact from the machine's electrical diagram).1. Select the 5.2.3 <Configuration – Pressure control – Load control> menu.2. Use «Up» or «Down» to select the pA/pB DO line.88psi     08:15AM      176° F5.2.3 Load control MenupA/pB RC              DI1.10              ☐                               Logic :            +pA/pB DO             DOR1.03          ☐ Active line, no output assigned                               Logic :            +                         ·········Load RC                  DI1.03         ok ☑3. Press «Enter» .The setting mode is active.4. Use «Up» or «Down» to set the required output.5. Press «Enter».The setting is applied.Result This output can now be used for the changeover between the two pressure switches.Setting local modePrecondition Password access level 2 is activated.1. Select the 5.2.3 <Configuration – Pressure control – Load control> menu.2. Use «Up» or «Down» to select the Local mode line.88psi     08:15AM      176° F5.2.3 Load control MenuLocal mode:      pA Active line, current operating modeRemote mode:          pA__________________________________▶1 pA/pB Clock                         ·········pA/pB Cycle3. Press «Enter» to switch into setting mode.The setting mode is active.4. Use «Up» or «Down» to set the pA/pB Clock or pA/pB Cycle operating mode.5. Press «Enter» to accept the setting.The setting is applied.8 Initial Start-up8.10 Configuring the machine for master controlNo.: 9_9450 07 USEUser Manual    Controller  SIGMA CONTROL 2  SCREW FLUID ≥4.0.X 137
8.10.8.2 Configuring the master control without an electrical connectionRequirement:A high-capacity machine with SIGMA CONTROL 2 (e. g. BSD) is to work as base load machine. Asecond machine (e.g., SK) without SIGMA CONTROL 2 is to supply air in times of low demand.Proposal:■ Select the system setpoint pressures pA and pB of the BSD machine for the switching point ofthe SK machine's pressure switch to be in between. When pB is activated for the periods oflow demand, the SK machine automatically functions as the base load machine.■ Set the required values for a clock program on SIGMA CONTROL 2.■ Select local mode pA/pB SC2Clk.■ Activate the compressor timer.Function diagramPeriod t1–t7: high compressed air demand Period t8–t14: low compressed air demandt1Air demand rises.System pressure pNloc drops.t8:Air demand rises.System pressure pNloc drops.t2BSD switches to LOAD.t9:SK switches to LOAD.t3:System setpoint pressure pA reached.BSD switches to IDLE.t10:System setpoint pressure pB reached.SK switches to IDLE.t4:BSD switches to LOAD.Air demand not covered.t11:BSD switches to LOAD.Air demand not covered.t5:SK also switches to LOAD.System pressure pNloc begins to rise.t12:SK switches to LOAD.System pressure pNloc begins to rise.t6:SK switches to IDLE.t13:SK switches to IDLE.t7:BSD switches to IDLE.t14:BSD switches to IDLE.Tab. 71 Function diagram8 Initial Start-up8.10 Configuring the machine for master control138 User Manual    Controller  SIGMA CONTROL 2  SCREW FLUID ≥4.0.X No.: 9_9450 07 USE
Fig. 38 Function diagramSD Switching differentialpPressuretTimeSetting the system setpoint pressure pA and pBPrecondition Password access level 2 is activated.1. Select the <5.2.2 – Pressure control – Pressure settings> menu (see chapter 8.4.1).2. Use «Up» or «Down» to select the pASP line.88psi     08:15AM      176° F5.2.2 Pressure settings MenuSetpoint pressurepA SP:  123psi ¦ SD:     −7.3psi Active linepB SP:  119psi ¦ SD:     −7.3 psi                         ·········System pressure low               ☐↓<  72.5psi ¦ SD:          7.2psi3. Press «Enter» to switch into setting mode.The pA display flashes.4. Use «Up» or «Down» to set the pA value.5. Press «Enter» to accept the setting.The setting is applied.6. If necessary, adjust the value for SD/ in the same manner.7. If necessary, adjust the value for pB/SD in the same manner.8. Press «Esc» repeatedly to leave this menu.Configuring the clock program➤ Configure the clock program as described in chapter 8.9.2.8 Initial Start-up8.10 Configuring the machine for master controlNo.: 9_9450 07 USEUser Manual    Controller  SIGMA CONTROL 2  SCREW FLUID ≥4.0.X 139
8.10.9  Examples of time settings for equal overall loadRequirement:Two machines of the same capacity are to be equally loaded. Versions A, B and C describe thedifferent possibilities of achieving this requirement.A detailed description for configuring a clock or timing program can be found in Chapter 8.9.Variant A: Daily switch between system setpoint pressure pA and system setpoint pressure pB af‐ter 24 hoursThe compressors start with a system setpoint pressure pB at 0:00 hours. A timer triggers theswitch between system setpoint pressure pA and system setpoint pressure pB (local operatingmode: pA/pB Cycle local mode).Precondition The setpoint pressure pA/pB is configured the same for both machines.➤ Establish a cycle with the following switching points:■ Cycle time pA: 24 h■ Cycle time pB: 24 h ■ Start pB: 00:00AMVariant B: Equal duty cycle during the dayA timer triggers the switch between system setpoint pressure pA and system setpoint pressure pB(local operating mode pA/pB Clock.Precondition The system setpoint pressure pA/pB is configured the same for both machines.➤ The clock program is set up using the following switching points:No.: Weekday Time Network nominal pressure01 Mon-Sun 00:00AMpA On02 Mon-Sun 06:30AMpB On03 Mon-Sun 12:00PMpA On04 Mon-Sun 05:00PMpB OnTab. 72 Example for a clock program for equal duty cycling during the dayVariant C: Equal duty cycle during the weekA timer triggers the switch between system setpoint pressure pA and system setpoint pressure pB(local operating mode: pA/pB SC2Clk).Precondition The system setpoint pressure pA/pB is configured the same for both machines.➤ The clock program is set up using the following switching points:No.: Weekday Time Network nominal pressure01 Mon 00:00AMpA On02 Mon 09:00PMpB On03 Tue 05:00PMpA On8 Initial Start-up8.10 Configuring the machine for master control140 User Manual    Controller  SIGMA CONTROL 2  SCREW FLUID ≥4.0.X No.: 9_9450 07 USE
No.: Weekday Time Network nominal pressure04 Wed 03:00PMpB On05 Thu 12:00PMpA On06 Fri 09:00AMpB On07 Sat 06:30AMpA On08 Sun 03:00AMpB OnTab. 73 Example for a clock program for equal duty cycling during the week8.11  Configuring input and output signalsThe controller's analog and digital inputs and outputs can be used for customized messages and/orother functions.This chapter deals with the various options in the following sections:■ 8.11.1: Outputting operational states of machine on digital outputs■ 8.11.2: Outputting input signals on the display■ 8.11.3: Outputting measured values on the displayThe controller only allows assignment of spare inputs and outputs.If an occupied input or output is assigned this will be rejected by the controller.When delivered from the factory, the outputs DO0.3 to DO0.5 are available for assignment.Further spare outputs can be found in the machine circuit diagram.➤ Configure the inputs and outputs as described in the following.8.11.1  Outputting important operational states of the machineImportant operational machine states can be made available as digital signals via floating contacts.Each output can be assigned only once.The following messages can be output:Message Explanation OutputController on Controller is powered upCompressor on The machine is switched onMotor running Compressor motor runningIDLE The machine is running in IDLE modeON LOAD The machine is running in LOAD modeGroup alarm Fault has occurredGroup warning Warning message has appearedRemote mode Remote mode is activatedClock active Clock is activatedClock contact The clock contact is closedEMERGENCY STOP The EMERGENCY STOP push button has been pressedTab. 74 Assigned output signals8 Initial Start-up8.11 Configuring input and output signalsNo.: 9_9450 07 USEUser Manual    Controller  SIGMA CONTROL 2  SCREW FLUID ≥4.0.X 141
8.11.1.1 DO functions menuThe requested message can be assigned to a free digital output (DOR orDOT).Precondition Password access level 2 is activated.1. Select the 5.7.1 <Configuration – I/O periphery – DO functions> menu.A list of available messages and their assigned outputs is displayed.88psi     08:15AM      176° F5.7.1 DO functions MenuController on Active line DOR1.05         ☐ ¦ Logic :          + DOT1.02          ☐ ¦ Logic :          +Compressor on DOR1.03          ☐ ¦ Logic :          + DOT1.02          ☐ ¦ Logic :          +8.11.1.2 Assigning a message to an output1. Select the required message with the «Up» or «Down» keys.2. Press the «Down» key once.Output DOR has been selected.3. Press «Down» twice.Output DOT has been selected.4. Press «Enter».The output of the selected message flashes.88psi     08:15AM      176° F5.7.1 DO functions MenuController on DOR1.05  ok    ☑ ¦ Logic :          + Active line with assigned output DOT1.02          ☐ ¦ Logic :          +Compressor on DOR1.03          ☐ ¦ Logic :          + DOT1.02          ☐ ¦ Logic :          +5. Select a free output with the «Up» or «Down» key.6. Press «Enter».The setting is applied.7. Press the «Right» key.8. Press «Enter».The check box will flash.9. Press «Up» key.The check box associated to the output is activated.10. Press «Enter».If the message is correctly assigned to the output and activated, ok is displayed.11. If necessary, set the Logic option.8 Initial Start-up8.11 Configuring input and output signals142 User Manual    Controller  SIGMA CONTROL 2  SCREW FLUID ≥4.0.X No.: 9_9450 07 USE
Result A message about the operational state is now sent via the assigned output.You are missing an organized display of assigned output signals?➤ Enter the selected output in table 74.8.11.2  Output input signals on the displayAs well as the defined fault and warning messages there are 6 additional freely selectable inputsignals that can be used to display messages. A list of the alarm and warning messages is provi‐ded in chapters 10.2 and 10.3. Information on spare inputs is given in the machine circuit diagram.An input signal can be classified as either an alarm, a warning or an operational message. To sup‐press any possible contact bounce or similar problems, the input signal can be delayed by an ad‐justable period. This ensures that the signal must be apparent for a minimum period before it canbe processed as a message.If an input signal is classified as an alarm, the controller goes into the alarm state and shutsdown the machine.OverviewUse the External messages menu for specifying the settings.■ Entering the message text■ Assigning and activate the input■ Setting the time delay■ Setting the logic■ Assigning and activate the output■ Selecting the message type■ Activating the message.8.11.2.1 External messages menuPrecondition The electrical connection has been made.Access level 2 is activated.1. Open the 5.7.3 <Configuration – I/O periphery – External messages> menu.The External messages menu is displayed88psi     08:15AM      176° F5.7.3 External messages Menu▶1 External message 1 Active line with external message No. 1▶2 External message 2▶3 External message 3▶4 External message 4▶5 External message 5▶6 External message 68.11.2.2 Entering the message textIn the below example we select External message 1.1. Use «Up» or «Down» to select the External message 1 line.8 Initial Start-up8.11 Configuring input and output signalsNo.: 9_9450 07 USEUser Manual    Controller  SIGMA CONTROL 2  SCREW FLUID ≥4.0.X 143
2. Press «Enter».The External message 1 menu is displayed.88psi     08:15AM      176° F5.7.3.1 External message 1 MenuExternal message 1 Active line, message textDI1.11                   ☐ No input assigned td:               0 s ¦ Logic               + Logic                      DOR1.04              ☐                      Warning               ☑ Message type (operational, alarm, warning) 3. Press «Enter».The cursor is located at the first character of the message text.A column with alphanumeric characters is displayed.The selected character flashes.4. Select the required character with the «Up» or «Down» keys.5. Press the «Right» key.The cursor jumps to the next position of the message text.6. Enter the remaining characters of the message text in the same manner.7. Press «Enter».The message text has been entered.8. Press «Enter».The setting is applied.8.11.2.3 Assigning and activating the input1. Use «Up» or «Down» to select the DI line.2. Press «Enter».The display for the currently set input flashes.3. Use «Up» or «Down» to select the input.4. Press «Enter».The setting is applied.88psi     08:15AM      176° F5.7.3.1 External message 1 MenuExternal message 1 Message nameDI1.14                   ☐ The output has been selected td:               0 s ¦ Logic               + Logic                      DOR1.04              ☑                      Warning               ☑ Example: Warning message type 5. Press the «Right» arrow.6. Press «Enter».The check box assigned to the input flashes.8 Initial Start-up8.11 Configuring input and output signals144 User Manual    Controller  SIGMA CONTROL 2  SCREW FLUID ≥4.0.X No.: 9_9450 07 USE
7. Press «Up» key.The check box is activated.88psi     08:15AM      176° F5.7.3.1 External message 1 MenuExternal message 1 Message nameDI1.14                 ok  ☑ Active line, Input is selected and activated td:               0 s ¦ Logic               + Logic                      DOR1.04              ☑                      Warning               ☑ Example: Warning message type 8. Press «Enter».ok is displayed.The input is assigned and activated.8.11.2.4 Setting the time delayThe delay time can be set in the range between 0 and 600 seconds. The delay is counteddown from 600 in 1 second increments with the «DOWN» key and counted upwards fromzero in 1 second increments with the «UP» key.1. Use «Up» or «Down» to select the td line.2. Press «Enter».The td delay time flashes.88psi     08:15AM      176° F5.7.3.1 External message 1 MenuExternal message 1 Message nameDI1.14                 ok  ☑ td:               0 s ¦ Logic               + Active line, set time delay td                      DOR1.04              ☐                      Warning               ☑ 3. Use «Up» or «Down» to set the time delay in seconds.4. Press «Enter».Result The td delay time has been set.8.11.2.5 Setting the logicPossible logic settingsMessage at Sign24 V +0 V -Tab. 75 Logic settings1. Use «Up» or «Down» to select the td line.8 Initial Start-up8.11 Configuring input and output signalsNo.: 9_9450 07 USEUser Manual    Controller  SIGMA CONTROL 2  SCREW FLUID ≥4.0.X 145
2. Press the «Right» arrow.3. Press «Enter».The control field Logic flashes.4. Use «UP» or «Down» to set the desired behavior, see table 75.88psi     08:15AM      176° F5.7.3.1 External message 1 MenuExternal message 1 Message nameDI1.14                 ok  ☑ td:               0 s ¦ Logic               + Active line, set logic control field                      DOR1.04              ☐                      Warning               ☑ Example: Warning message type 5. Press «Enter».Result For messages at 24 V, the logic is set with the + symbol.8.11.2.6 Setting the message type1. Select the message type line with the «Up» and «Down» keys.2. Press «Enter».The display for the message type flashes.3. Use «Up» or «Down» to set the message type.88psi     08:15AM      176° F5.7.3.1 External message 1 MenuExternal message 1 Message nameDI1.14                 ok  ☑ td:               0 s ¦ Logic               + Logic                      DOR1.04              ☐                      Warning               ☑ Example: Warning message type 4. Press «Enter».The message type is set.8.11.2.7 Assigning and activating the output1. Use «Up» or «Down» to select the DOR line.2. Press «Enter».The DOR display flashes.3. Select the output with the «Up» and «Down» keys.8 Initial Start-up8.11 Configuring input and output signals146 User Manual    Controller  SIGMA CONTROL 2  SCREW FLUID ≥4.0.X No.: 9_9450 07 USE
4. Press «Enter» .The setting is applied.88psi     08:15AM      176° F5.7.3.1 External message 1 MenuExternal message 1 Message nameDI1.14                 ok  ☑ td:               0 s ¦ Logic               + Logic                      DOR1.01              ☑ Active line, output is selected and activated                      Warning               ☑ Example: Warning message type 5. Press the «Right» arrow.6. Press «Enter».The check box assigned to the output flashes.7. Press «Up» key.The check box is activated.8. Press «Enter».The output is assigned and activated.Result The signal at the DI digital input is available as External message 1 and as output signal at theselected DOR output.8.11.3  Output measured values on the displayFor analog measured values you can define customized messages.The message can be classified as either a fault, a warning or an operational message.If exceeding the switching point is classified as a fault, the controller goes into the fault statewhen the signal continues and shuts down the machine.The following messages can be output:Message Explanation MeasuredvalueOutputAnMod_p_1 Customized monitoring of the pressure value p1AnMod_p_2 Customized monitoring of the pressure value p2AnMod_p_3 Customized monitoring of the pressure value p3AnMod_p_4 Customized monitoring of the pressure value p4AnMod_T_1 Customized monitoring of the temperature value T1AnMod_T_2 Customized monitoring of the temperature value T2AnMod_T_3 Customized monitoring of the temperature value T3AnMod_T_4 Customized monitoring of the temperature value T4AnMod_I_1 Customized monitoring of the current value I1AnMod_I_2 Customized monitoring of the current value I2T-Switch inlettemperatureCustomized monitoring of the intake temperature8 Initial Start-up8.11 Configuring input and output signalsNo.: 9_9450 07 USEUser Manual    Controller  SIGMA CONTROL 2  SCREW FLUID ≥4.0.X 147
Message Explanation MeasuredvalueOutputp-Switch pi Customized monitoring of internal pressure pi in the oil sep‐arator tankT-Switch ADT Customized monitoring of the airend discharge temperatureADTp-Switch pN Customized monitoring of local network pressure pNloc atcompressor outputT-Switch PDT Customized monitoring of the compressed air dischargetemperatureTab. 76 Assigned analog measured valuesOverviewUse the Analogue values or Switch menus for specifying the settings.■ Entering the message text■ Selecting and activating measured value■ Setting the time delay■ Setting the logic■ Selecting the message type■ Assigning and activating the outputBelow, the settings are displayed based on an example in the Analogue values menu. Use theSwitch menu analogously for specifying the settings.8.11.3.1 Analogue values menuPrecondition The electrical connection has been made.Password access level 2 is activated.1. Open the 2.4 <Configuration – I/O periphery – Analogue values> menu.The Analogue values menu is displayed.88psi     08:15AM      176° F2.4 Analogue values Menu▶1 AnMod Analog modules▶2 AI Analog inputs▶3 AO Analog outputs▶4 PD Process Data  8.11.3.2 Entering the message textIn the following example, a message from the analog module is defined by pressure value p1.1. Use «Up» or «Down» to select the AnMod line.8 Initial Start-up8.11 Configuring input and output signals148 User Manual    Controller  SIGMA CONTROL 2  SCREW FLUID ≥4.0.X No.: 9_9450 07 USE
2. Press «Enter».The 5.7.2.1 AnMod menu is displayed.88psi     08:15AM      176° F5.7.2.1 AnMod Menu▶1 AnMod_p_1 AnMod_p_1 measured value▶2 AnMod_p_2▶3 AnMod_p_3▶4 AnMod_p_4▶5 AnMod_T_1▶6 AnMod_T_23. Use «Up» or «Down» to select the AnMod_p_1 line.4. Press «Enter».The 5.7.2.1.1 AnMod_p_1 menu is displayed.88psi     08:15AM      176° F5.7.2.1.1 AnMod_p_1 MenuAnMod_p_1 Title                    0.0 psi Message text  pNloc                                            ☐ Analog measured value                         ·········SP:           116psi ¦ SD:           −7.3psi Switching point (SP) and switching differential (SD)                                td:                  0 s Time delay (td)                          ·········5. Press «Enter».The cursor is located at the first character of the message text.A column with alphanumeric characters is displayed.The selected character flashes.6. Select the required character with the «Up» or «Down» keys.7. Press the «Right» key.The cursor jumps to the next position of the message text.8. Enter the remaining characters of the message text in the same manner.9. Press «Enter».The message text has been entered.10. Press «Enter».The setting is applied.8.11.3.3 Selecting and activating measured value1. Press the «DOWN» key.2. Press «Enter».The display for the currently set measured value flashes.3. Use «Up» or «Down» to select the measured value.8 Initial Start-up8.11 Configuring input and output signalsNo.: 9_9450 07 USEUser Manual    Controller  SIGMA CONTROL 2  SCREW FLUID ≥4.0.X 149
4. Press «Enter».88psi     08:15AM      176° F5.7.2.1.1 AnMod_p_1 MenuAnMod_p_1 Title                    0.0 psi Message text  pNloc                                            ☐ Selected analog measured value                         ·········SP:           116psi ¦ SD:           −7.3psi Switching point (SP) and switching differential (SD)                                td:                  0 s Time delay (td)                          ·········5. Press the «Right» key.6. Press «Enter».The check box assigned to the input flashes.7. Press «Up» key.The check box is activated.88psi     08:15AM      176° F5.7.2.1.1 AnMod_p_1 MenuAnMod_p_1 Title                    0.0 psi Message text  pNloc                                            ☑ Selected analog measured value, activated                         ·········SP:           116psi ¦ SD:           −7.3psi Switching point (SP) and switching differential (SD)                                td:                  0 s Time delay (td)                          ·········8. Press «Enter».The measured value is assigned and activated.8.11.3.4 Setting the switching point and switching differential1. Use «Up» or «Down» to select the SP line.88psi     08:15AM      176° F5.7.2.1.1 AnMod_p_1 MenuAnMod_p_1 Title                    0.0 psi Message text  pNloc                                            ☑ Selected analog measured value                         ·········SP:           116psi ¦ SD:           −7.3psi Switching point (SP) and switching differential (SD)                                td:                  0 s Time delay (td)                          ·········2. Press «Enter».The display for the current value of the switching point flashes.3. Use «Up» or «Down» to set the SP value.4. Press «Enter».The setting is applied.5. If necessary, adjust the value for SD in the same manner.8 Initial Start-up8.11 Configuring input and output signals150 User Manual    Controller  SIGMA CONTROL 2  SCREW FLUID ≥4.0.X No.: 9_9450 07 USE
Result The threshold value for the SP switching point and the SD switching differential are set.8.11.3.5 Setting the time delayThe period can be set between 0 and 600 seconds. The delay is counted down from 600 withthe «DOWN» key and counted upwards from zero in 0.01 second increments with the «UP»key.1. Use «Up» or «Down» to select the td line.2. Press «Enter».The td delay time flashes.88psi     08:15AM      176° F5.7.2.1.1 AnMod_p_1 MenuAnMod_p_1 Title                    0.0 psi Message text  pNloc                                            ☑ selected analog measured value                         ·········SP:           116psi ¦ SD:           −7.3psi Switching point (SP) and switching differential (SD)                                td:                  0 s Time delay (td)                          ·········3. Use «Up» or «Down» to set the time delay in seconds.4. Press «Enter».Result The td delay time has been set.8.11.3.6 Setting the message type1. Select the message type line with the «Up» and «Down» keys.2. Press «Enter».The display for the message type flashes.3. Use «Up» or «Down» to set the message type.88psi     08:15AM      176° F5.7.2.1.1 AnMod_p_1 Menu                                td:                  0 s Time delay (td)                         ·········Warning                                      ☐ Set message type, in the example: Warning                          ·········DOR1.02            ☐ ¦ Logic:           +DOR1.03            ☐ ¦ Logic:           +4. Press «Enter».5. Press the «Right» arrow.6. Press «Enter».The check box assigned to the message type flashes.7. Press «Up» key.The check box is activated.8. Press «Enter».8 Initial Start-up8.11 Configuring input and output signalsNo.: 9_9450 07 USEUser Manual    Controller  SIGMA CONTROL 2  SCREW FLUID ≥4.0.X 151
Result The message type is set and activated.8.11.3.7 Assigning and activating the outputBy triggering the message one or two digital DOR outputs can be switched.1. Use «Up» or «Down» to select the DOR line.2. Press «Enter».The DOR display flashes.3. Use «Up» or «Down» to select the output.4. Press «Enter».The setting is applied.88psi     08:15AM      176° F5.7.2.1.1 AnMod_p_1 Menu                                td:                  0 s Time delay (td)                         ·········Warning                                      ☑ Set message type, in the example: Warning                          ·········DOR1.02            ☐ ¦ Logic:           + Active line (DOR output)DOR1.03            ☐ ¦ Logic:           +5. Press the «Right» arrow.6. Press «Enter».The check box assigned to the output flashes.7. Press «Up» key.The check box is activated.8. Press «Enter».The output is assigned and activated.9. Press the «Right» arrow.10. Press «Enter».The control field Logic flashes.11. Use «UP» or «Down» to set the desired behavior, see table 75.12. Press «Enter».Result For messages at 24 V, the logic is set with the + symbol.Result The pNloc measured value at the analog AnMod_p_1 input is available as a message and as out‐put signal at the selected DOR output.8.12  Activating remote acknowledgementWhen warning or alarm messages are routed to a remote control center via an output it makessense to have these messages acknowledged by the control center.Acknowledging the message without correcting the cause, however, can lead to machinedamage.Safety-relevant "EMERGENCY STOP push button" and "Maintenance door limit switch" mes‐sages cannot be acknowledged remotely.8 Initial Start-up8.12 Activating remote acknowledgement152 User Manual    Controller  SIGMA CONTROL 2  SCREW FLUID ≥4.0.X No.: 9_9450 07 USE
The following conditions must be fulfilled:■ The remote control of the compressor is set (see chapter 8.5.3 Controlling machine from a re‐mote location)■ Remote control is activated (see chapter 8.2.12 Activating remote control)■ A controller input has been assigned for the acknowledgement signal.Overview■ Selecting the <Configuration – Acknowledgement> menu■ Setting the "Remote acknowledgement" function■ Activating the remote control■ Assigning an input■ Press the «Remote control» keyMachine damage can result from acknowledging a fault message without remedying itscause!➤ Find the failure cause.➤ Decide to acknowledge or not.8.12.1  Setting the remote acknowledgement functionPrecondition Password access level 2 is activated.1. Open the 5.5 <Configuration – Acknowledgement> menu.2. Use the «Up» or «Down» keys to select the Remote mode line.3. Press the «DOWN» key.4. Press «Enter» to switch into setting mode.The currently active operating mode flashes.5. Use «Up» or «Down» to set the Key + remote contact input.88psi     08:15AM      176° F5.5 Acknowledgement MenuRemote mode:          Key + remote contact Active line with "Key + remote contact" setting__________________________________RC ack                 DI1.11         ☐Key remote                                ☑ 6. Press «Enter» to accept the setting.The setting is applied.Result The Remote acknowledgement function is set.8.12.2  Activating the remote control➤ Activating remote control see chapter 8.2.12.8 Initial Start-up8.12 Activating remote acknowledgementNo.: 9_9450 07 USEUser Manual    Controller  SIGMA CONTROL 2  SCREW FLUID ≥4.0.X 153
Result SIGMA CONTROL 2 remote control is activated.8.12.3  Assigning an input1. Use «Up» or «Down» to select the RCack line.88psi     08:15AM      176° F5.5 Acknowledgement MenuRemote mode:          Key + remote contact__________________________________RC ack                 DI1.11         ☐ Active lineKey remote                                ☑ 2. Press «Enter».The DI display flashes.3. Use «Up» or «Down» to set the input.4. Press «Enter» to accept the setting.The input has now been assigned.5. Press the «Right» arrow.6. Press «Enter» to switch into setting mode.The check box assigned to the input flashes.7. Press the «Up» key.The check box is activated.8. Press «Enter» to accept the setting.The input is assigned and activated.88psi     08:15AM      176° F5.5 Acknowledgement MenuRemote mode:          Key + remote contact__________________________________RC ack                DI1.13  ok    ☑ Active line, input for remote contact assigned andactivatedKey remote                                ☑ 9. Press the «Remote control» key to enable remote acknowledgement.Result Should a message occur, it can now be acknowledged from a control center.8 Initial Start-up8.12 Activating remote acknowledgement154 User Manual    Controller  SIGMA CONTROL 2  SCREW FLUID ≥4.0.X No.: 9_9450 07 USE
8.13  Linking to an external pressure transducerIf the air system is operated with an air receiver, the pressure in the receiver can be regulated byan external pressure transducer.Transmitting a pressure transducer value Assignment to an inputThe external pressure transducer is connected toSIGMA CONTROL 2.Assign AIIPressure transducer characteristics:■ 4–20 mA■ 0–232 psiTab. 77 Transmitting a pressure transducer valueThe controller processes the options in the following sequence:■ Pressure according to the assigned external transducer■ The local system pressure transducer (pNloc) remains activeOverviewExample: The external pressure transducer is connected to SIGMA CONTROL 2.■ Select the <Configuration – Pressure control> menu.■ Assigning an input8.13.1  Pressure control menuPrecondition Password access level 2 is activated.1. Select the 5.2.4 < Configuration – Pressure control – Network actual pressure> menu.The Network actual pressure menu is displayed.88psi     08:15AM      176° F5.2.4 Network actual pressure MenupNloc                                   88.0psi Active line (local pressure transducer) AII1.01           ☐                  0.0psi For sensor error:                                    Alarm  8.13.2  Assigning an input to an external pressure transducer1. Press «Enter» to switch into setting mode.The pNloc indication flashes.8 Initial Start-up8.13 Linking to an external pressure transducerNo.: 9_9450 07 USEUser Manual    Controller  SIGMA CONTROL 2  SCREW FLUID ≥4.0.X 155
2. Use «Up »or «Down» to set the AII input.88psi     08:15AM      176° F5.2.4 Network actual pressureAII                                          88.0psi Active line (external pressure transducer) AII1.01             ☐                  0.0psi For sensor error:                                    Alarm  3. Press «Enter» to accept the setting.The AII input is set.4. Press «Down».The line for activating the input is displayed.5. Press the «Right» key.6. Press «Enter» to switch into setting mode.The check box assigned to the input flashes.88psi     08:15AM      176° F5.2.4 Network actual pressureAII                                          88.0psi AII1.01     ok  ☑                     88.0psi Active line For sensor error:                                    Alarm  7. Press «UP».The check box is activated.ok is displayed.8. Press «Enter» to accept the setting.The setting is applied.Result The input for the external transducer is now activated.8.14  Commissioning the machineChecking the controller settings Section Complied?➤ Language correctly set? 8.2.2➤ Date and time correct? 8.2.7➤ Display format correctly set? 8.2.9➤ System pressure setpoint correctly set? 8.4Tab. 78 Check list for commissioning the machine8 Initial Start-up8.14 Commissioning the machine156 User Manual    Controller  SIGMA CONTROL 2  SCREW FLUID ≥4.0.X No.: 9_9450 07 USE
1. Check and confirm all the items in the checklist before commissioning the machine.When power is applied to the machine the controller boots and carries out a self test.The display and the Controller on LED illuminate.88psi     08:15AM      176° F Header__________________________________Load Current operating mode__________________________________Key     –     on     ¦     pA     –     on Operating parameters__________________________________Run          2500h  Load          2490h Operating parametersMaintenance in                              500h Maintenance indicator2. Continue the commissioning process as described in chapter "Commissioning" of the ma‐chine's operating manual.8 Initial Start-up8.14 Commissioning the machineNo.: 9_9450 07 USEUser Manual    Controller  SIGMA CONTROL 2  SCREW FLUID ≥4.0.X 157
9  Operation9.1  Switching on and offAlways switch the machine on with the «ON» key and off with the «OFF» key.Precondition A power supply disconnecting device has been installed by the user.Fig. 39 Switching on and off7«ON» key8«OFF» key13 «Load/Idle» toggle key14IDLE LED15LOAD LED16Controller voltage LED9.1.1  Switching onPrecondition No personnel are working on the machine.All access doors and panels are closed and secure.1. Switch on the power supply disconnecting device.2. Switch on the machine and wait for SIGMA CONTROL 2 to start.The Controller voltage LED  16  lights green.3. Press the «On»  7 key.The On LED lights green.If a power failure occurs, the machine is not prevented from restarting automatically whenpower is resumed.It can restart automatically as soon as power is restored (see chapter 8.5).Result The compressor motor starts as soon as system pressure is lower than the setpoint pressure (cut‐off pressure).9 Operation9.1 Switching on and off158 User Manual    Controller  SIGMA CONTROL 2  SCREW FLUID ≥4.0.X No.: 9_9450 07 USE
9.1.2  Switching off1. Press the «OFF» key.The machine switches to IDLE and the IDLE LED flashes. The SIGMA CONTROL 2 dis‐playsStopping. The ON LED extinguishes as soon as the automatic shut-off action is comple‐ted.2. Switch off and lock out the power supply disconnecting device.Result The Controller voltage LED extinguishes. The machine is switched off and disconnected from thepower supply.In rare cases, if you need to shut the machine down immediately and cannot wait until theautomatic shutdown process is finished:➤ Press «OFF» once again.9.2  Switching off in an emergency and switching on againThe EMERGENCY STOP push button is located below the control panel.Fig. 40 Switching off in an emergency22 EMERGENCY STOP push buttonSwitching off➤ Press the EMERGENCY STOP push button.Result The EMERGENCY STOP push button remains latched after actuation.The compressor's pressure system is vented and the machine is prevented from automatically re‐starting.Switching onPrecondition The fault has been rectified1. Turn the EMERGENCY STOP push button in the direction of the arrow to unlatch it.2. Acknowledge any existing alarm messages.Result The machine can now be started again.9 Operation9.2 Switching off in an emergency and switching on againNo.: 9_9450 07 USEUser Manual    Controller  SIGMA CONTROL 2  SCREW FLUID ≥4.0.X 159
9.3  Acknowledging alarm and warning messagesMessages are displayed on the "new value" principle: You can acknowledge warning or fault mes‐sages immediately after Message coming or Message going. However, warning and fault messag‐es can be acknowledged only following a successful elimination of the corresponding fault.Message sequence 1 IndicationMessage coming LED flashesMessage acknowledged LED illuminatesMessage going LED offTab. 79 Message sequence 1Message sequence 2 IndicationMessage coming LED flashesMessage going LED flashesMessage acknowledged LED offTab. 80 Message sequence 2Fig. 41 Acknowledging messages17Warning LED (yellow)20Alarm LED (red)21 Key «Acknowledge»Alarm messageAn alarm message shuts the machine down automatically.The red Alarm LED flashes.Precondition The fault has been rectified➤ Press «Ack» to acknowledge the fault message.Alarm LED extinguishes. The machine is again ready for operation.If the machine has been stopped with the EMERGENCY STOP push button.➤ First turn the EMERGENCY STOP push button in the direction of the arrow to unlatch it.➤ Then acknowledge the alarm message.Further information A list of possible alarm messages occurring during operation are shown in chapter 10.2.9 Operation9.3 Acknowledging alarm and warning messages160 User Manual    Controller  SIGMA CONTROL 2  SCREW FLUID ≥4.0.X No.: 9_9450 07 USE
Warning messageIf maintenance work is to be carried out or if the warning is displayed before an alarm, the yel‐low warning LED flashes.Precondition The danger of an alarm is eliminated.Maintenance has been carried out➤ Press «Ack» to acknowledge the warning message.The Maintenance LED extinguishes. The machine is again ready for operation.Further information A list of possible warning messages occurring during operation are shown in chapter 10.3.9.4  Displaying messagesThe following information can be accessed in the 1.1 <Status – Messages> menu:■ Current messages─ Last alarm─ Last warning─ Number of currently registered alarms and/or warnings■ Message history: The last 1000 events, these include alarm and warning messages─ Compressor messages─ Diagnostic messages─ System messages■ Address error: Display of incorrect parameterization in menu XThe information (message) is shown in three lines of the display.Line Submenu/Segment/Text1 Selected submenu:■ Compressor messages■ Diagnostic messages■ System messages2 Segment:■ Message number■ Message type■ Message status■ Message date■ Message time3 Text:■ Message text■ –Tab. 81 Information of a messageMessage type and status are shown abbreviated.Segment Indication MeaningMessage number0059 (example) Message 00599 Operation9.4 Displaying messagesNo.: 9_9450 07 USEUser Manual    Controller  SIGMA CONTROL 2  SCREW FLUID ≥4.0.X 161
Segment Indication MeaningMessage typeWWarning/service messageAAlarm messageMessage statuscMessage has comegMessage goneaMessage acknowledged (reset)Date04/13/16 (example) DateTime08:15:37AM (example) TimeTab. 82 Message abbreviations9.4.1  Selecting the status menu1. Open the 1.1 <Status – Messages> menu.The Messages menu is displayedThe number of current alarms and warnings is displayed in the two bottom lines.88psi     08:15AM      176° F1.1 Messages Menu▶1 Current messages Active line▶2 Message historyStatus report                    01:00 ☐__________________________________current               Alarms             2 Number of currently registered alarms                          Warnings           0 Number of currently registered warningsDisplaying the last alarm or warning1. Open the 1.1.1 <Status – Messages – Current messages> menu.The third line displays the last alarm or warning message.88psi     08:15AM      176° F1.1.1 Current messages Menu0300 W c 04/16/16 01:32:49PM Last message SD card write error0015 W a 04/16/16 01:06:43PM Second to last message Com-Module communication error0034 O c 04/13/16 08:15:37AM E-mail send unsuccessful!2. Press «Esc» repeatedly to leave this menu.9 Operation9.4 Displaying messages162 User Manual    Controller  SIGMA CONTROL 2  SCREW FLUID ≥4.0.X No.: 9_9450 07 USE
Displaying the message history1. Select the 1.1.2 <Status – Messages – Message history> menu.The Message history menu is displayed.88psi     08:15AM      176° F1.1.2 Message history Menu▶1 Compressor messages Active line with submenu: Compressor messages▶2 Diagnostic messages Diagnostic messages▶3 System messages System messages   2. Press «Enter».The 1.1.2.1 Compressor messages menu is displayed.The third line displays the last alarm or warning message.88psi     08:15AM      176° F1.1.2.1 Compressor messages Menu0300 W c 04/16/16 01:32:49PM Last message SD card write error Message text for message 03000015 W a 04/16/16 01:06:43PM Com-Module communication error Message text for message 00150034 O c 04/13/16 08:15:37AM E-mail send unsuccessful! Message text for message 00343. Press «Esc» repeatedly to leave this menu.9.5  Displaying the current operating modeThe operating mode is displayed in 2 segments (example):On/off switching via Load control viaKeypATab. 83 Operating mode display9 Operation9.5 Displaying the current operating modeNo.: 9_9450 07 USEUser Manual    Controller  SIGMA CONTROL 2  SCREW FLUID ≥4.0.X 163
1. Select the 1.4 <Status – Current operating mode> menu.The Current operating mode menu is displayed.88psi     08:15AM      176° F1.4 Current operating mode MenuCompressor on Active line                                                   KeyLoad control                                                      pA                         ·········Control modeAbbreviation of operating modesSegment Indication MeaningOn/off switching via Key «ON» key on the control panel of SIGMA CONTROL 2Key + clock Cycle ControlKey + remotecontactRemote contact (external LOAD signal)Key + remote bus Remote bus (external bus signal)LOAD control via pA System setpoint pressurepApB System setpoint pressurepBpA/pB Clock System setpoint pressure via time controlpA/pB Cycle System setpoint pressure via timerpA/pB SC2 System setpoint pressure via 2 machines working in mas‐ter-slave modepA/pB RC System setpoint pressure via remote contactpA/pB RB System setpoint pressure via remote busLoad RC LOAD remote contact (external LOAD signal)Load RB Remote bus (external bus signal)loc.-load RC Local/LOAD remote contactTab. 84 Abbreviation of operating modes9.6  Adjusting the working pressure➤ Adjust the pressure parameter to suit the compressor and application.Further information A detailed explanation of all pressure parameter settings is given in chapter 8.4.9.7  Displaying analog dataThe Performance data menu provides the following information:■ Compressor9 Operation9.6 Adjusting the working pressure164 User Manual    Controller  SIGMA CONTROL 2  SCREW FLUID ≥4.0.X No.: 9_9450 07 USE
■ Compressor motor■ Fan■ Analogue values■ SIGMA CONTROL 2Displaying analog dataPrecondition Password access level 2 is activated.The operating mode is displayed.1. Open the 2 Performance data menu.A list of the components is displayed.88psi     08:15AM      176° F2 Performance data Menu▶1 Compressor Active line▶2 Compressor motor▶3 Fan▶4 Analogue values▶5 SIGMA CONTROL 2 2. If necessary, repeatedly press «Up» or «Down» to select the required component.3. Press «Enter» access compressor measurement data.The system displays the measurement data for the compressor.88psi     08:15AM      176° F2.1 Compressor MenuSystem pressure pNloc          88.0 psi Local System pressure pNloc                         ·········ADT          T          176°F Airend discharge temperature               dT/dt      0.0°F/s Rise of airend discharge temperature                         ·········Oil separator     Δp     0.0psi Differential pressure, oil separator cartridge9.8  Displaying operating dataThe following information can be called up in the Operating data menu:■ Operating hours─ Compressor: Total machine running time─ On load: Machine running time in LOAD mode─ Motor: Motor running time (can be changed)─ Compressor block: Airend running time (can be changed)─ SIGMA CONTROL 2: Controller running time9 Operation9.8 Displaying operating dataNo.: 9_9450 07 USEUser Manual    Controller  SIGMA CONTROL 2  SCREW FLUID ≥4.0.X 165
■ Switching cycles─ Load valve on─ Mains contactor on (adjustable)■ kWh counter➤ Reset the run times after replacing the airend or the compressor motor.➤ Reset the main contactor switching cycle counter after replacing the main contactor.9.8.1  Checking the operating hoursDisplaying the operating hoursPrecondition Password access level 2 is activated.1. Open the 3 Operating data menu.88psi     08:15AM      176° F3 Operating data Menu▶1 Operating hours Active line▶2 Switching cycles▶3 kWh counter   Changing the operating hoursThe running times of the compressor motor and airend can be adjusted. This may be required aftera replacement, for example.Precondition Password access level 2 is activated.1. Open the 3.1 <Operating data – Operating hours> menu.88psi     08:15AM      176° F3.1 Operating hours MenuCompressor                           3050 h Active lineOn load                                  3030 hMotor                                     3050 hCompressor block                   3050 hSIGMA CONTROL 2              3050 h 2. Use «Up» or «Down» to select the Compressor block line.9 Operation9.8 Displaying operating data166 User Manual    Controller  SIGMA CONTROL 2  SCREW FLUID ≥4.0.X No.: 9_9450 07 USE
3. Press «Enter».The display of the running time flashes.88psi     08:15AM      176° F3.1 Operating hours MenuCompressor                           3050 hOn load                                  3030 hMotor                                     3050 hCompressor block                        0 h Active lineSIGMA CONTROL 2              3050 h 4. Use «Down» or «Up» key to set the value for operating hours to zero.5. Press «Enter».The setting is applied.6. Press «Esc» repeatedly to leave this menu.Result The operating hours for the new airend are set to 0 h.9.8.2  Checking the switching cyclesThe system monitors the usage times of safety-relevant components to ensure the propercondition of all safety-relevant functions. Depending on the component, the usage time maybe defined by run time or switching cycles. For the main contactor, the usage time is definedby the maximum permissible number of switching cycles.The main contactor switching cycle counter in SIGMA CONTROL 2 records the number ofswitching cycles and generates a warning message when the maximum permissible numberof switching cycles is exceeded.When this warning message is generated, the safety-relevant function is no longer ensured.The main contactor must be replaced!➤ Comply with all instructions.Displaying the switching cyclesPrecondition Password access level 2 is activated.1. Select the 3.2 <Operating data – Switching cycles> menu.2. Compare the maximum permissible number of switching cycles with the value displayed by theswitching cycle counter.88psi     08:15AM      176° F3.2 Switching cycles MenuLoad valve on                              3 Active line                         ·········Mains contactor on  max:     1100000 ¦                10227 Maximum value/switching cycle timer                         Reset:                ☐ Result The safety-relevant function is ensured.9 Operation9.8 Displaying operating dataNo.: 9_9450 07 USEUser Manual    Controller  SIGMA CONTROL 2  SCREW FLUID ≥4.0.X 167
The maximum permissible number of switching cycles have not exceeded.The main contactor can still be used.The safety-relevant function is not ensured.The maximum permissible number of switching cycles have exceeded.➤ Have the main contactor replaced.Replacing the main contactorIf the displayed value of the main contactor exceeds the maximum permissible number ofswitching cycles, SIGMA CONTROL 2 generates the warning message 0024 Mains contactoroperations ⇞.The main contactor must be replaced.➤ Have the main contactor replaced by an authorized KAESER service representative.Resetting the main contactor switching cycle counter➤ Have the main contactor replaced by an authorized KAESER service representative.9.9  Displaying the frequency converter settingsPrecondition The machine is fitted with the frequency converter option (example).The operating mode is displayed.1. Select the 10.1.1 <Components – Compressor motor – Power switching> menu.2. Use «Up» or «Down» to select the Local operating mode: line.In the two lines underneath Local operating mode:, the source for the speed setting and thesetting values for the minimal and maximum speed are shown.88psi     08:15AM      176° F10.1.1 Power switching▶4 SFC USS▶5 Softstart▶6 Customer-providedLocal operating mode:                         Speed sensor All Speed settingnMin =        0/min ¦ nMax =        0/min3. Press «Escape» repeatedly to return to the main menu.9.10  Setting the maintenance intervalMaintenance tasks are tasks to be completed to ensure the functionality of a technical instal‐lation.Time interval established by the manufacturer at which end a maintenance task must becompleted.Example: Changing the oil change service interval.9 Operation9.9 Displaying the frequency converter settings168 User Manual    Controller  SIGMA CONTROL 2  SCREW FLUID ≥4.0.X No.: 9_9450 07 USE
Precondition Password access level 2 is activated.The operating mode is displayed.Unauthorized extended maintenance intervalsProgressing damage to the machine up to functional incapacity.➤ Observe the maintenance intervals of the manufacturer.Selecting menu maintenance1. Open the 4 Maintenance menu.2. Use «Up» or «Down» to select the Oil change line.88psi     08:15AM      176° F4 MaintenanceOil change Active line, Description maintenance interval     3000 h ¦      0150 h Reset:     ☐ Preset interval 3000 h                         ·········Air filter     3000 h ¦      0150 h Reset:     ☐                         ·········3. Press the «DOWN» key.The maintenance interval for oil change is displayed as active line.88psi     08:15AM      176° F4 MaintenanceOil change Maintenance interval description     4000 h ¦      0150 h Reset:     ☐ Active line, factory-defined interval                         ·········Air filter     3000 h ¦      0150 h Reset:     ☐                         ·········4. Press «Enter».The setting mode is active.5. Use «Up» or «Down» to set the value for new value for the maintenance interval.Keep the «Up» key pressed to change the maintenance interval in increments of 10, 100 or1000.6. Press «Enter».The setting is applied.7. Press «Escape» repeatedly to return to the main menu.9 Operation9.10 Setting the maintenance intervalNo.: 9_9450 07 USEUser Manual    Controller  SIGMA CONTROL 2  SCREW FLUID ≥4.0.X 169
9.11  Checking the safety relief valveOverview■ Preparing the inspection■ Performing the inspection■ Correct conclusion of the test■ ResettingWhen the check mode is activated, monitoring of internal pressure (blow-off protection - ifprovided) and regulation of network pressure are deactivated.The measured value of the pi pressure value is used to describe the following check:Check box Status☑ activated☐ deactivatedTab. 85 Check box statusDanger of injury from pressurized components!➤ Perform the following actions in the sequence provided.Preparing the test1. Note the activating pressure of the safety relief valve from the machine's nameplate.2. Press the «OFF» key to shut down the machine.3. Close the user's shut-off valve between the machine and the pressure system.4. Log on with password access level 2.5. Open the 9.1 <Machine test – TÜV inspection> menu.88psi     08:15AM      176° F9.1 TÜV inspection MenuSafety valve:                         ☐ Active line with check box pRV:     232psi ¦   pi  ⇞      0.0psi Safety relief valve activating pressure (example)                       Reset            :       ☐                         ·········ADT ⇞                                   :      ☐ Offset          32°F ¦ ADT     ⇞      32.0°FPerforming the test successfully1. Use «Up» or «Down» to select the Safety valve: line.2. Press «Enter».The check box Safety valve: will flash.3. Press «Up» key.The check box is activated.9 Operation9.11 Checking the safety relief valve170 User Manual    Controller  SIGMA CONTROL 2  SCREW FLUID ≥4.0.X No.: 9_9450 07 USE
4. Press «Enter».The test mode is now activated.88psi     08:15AM      176° F9.1 TÜV inspection MenuSafety valve:                         ☑ Active line with check box pRV:     232psi ¦   pi  ⇞      36.0psi Safety relief valve activating pressure                       Reset            :       ☐                         ·········ADT ⇞                                   :      ☐ Offset          32°F ¦ ADT     ⇞      32.0°F5. Risk of hearing damage when safety relief valve blows off!➤ Close all access doors, replace and secure all removable panels.➤ Always wear ear protection.6. Risk of burns due to released cooling oil and compressed air when blowing offthe safety relief valve!➤ Close all access doors, replace and secure all removable panels.➤ Wear eye protection.7. Press the «ON» key. After the motor start is completed, keep the «LOAD/IDLE» key pressed.Otherwise, the machine remains in IDLE and is stopped after two minutes.The machine switches to LOAD and the machine's pi pressure rises.8. Monitor on the display the pi pressure rise during the TÜV check.9. If the pi pressure increases to 10 % above the set pressure of the safety relief valve, immedi‐ately release the «LOAD/IDLE» key.10. Shut down the machine with the «OFF» key and immediately replace the safety relief valve.If the alarm message pRV ⇞ appears, the safety relief valve is defective. pi pressure has ex‐ceeded the set pressure of the safety relief valve by 29.0 psi.➤ Have the safety relief valve replaced.Avoid oil mist:➤ Release the «LOAD/IDLE» key immediately when the safety relief valve responds, in or‐der to prevent unnecessary oil mist.Correct conclusion of the test1. Press «Enter» to switch into setting mode.The check box Safety valve: in the active line flashes.2. Press the «DOWN» key to deactivate the box.The check box is deactivated.3. Press «Enter».The test mode is deactivated and the test is completed.4. Press «Escape» repeatedly to return to the main menu.5. Open the user's shut-off valve between the machine and the air distribution network.Result The machine is ready for operation.9 Operation9.11 Checking the safety relief valveNo.: 9_9450 07 USEUser Manual    Controller  SIGMA CONTROL 2  SCREW FLUID ≥4.0.X 171
ResettingIf the test is cancelled when opening the safety relief valve, SIGMA CONTROL 2 will indicate thehighest measured value as internal pressure.To reset the saved value, activate the Reset check box.➤ Activate the Reset check box.9.12  Checking the temperature sensor and overheating shutdown func‐tionThe machine should shut down if the airend discharge temperature (ADT) reaches a maximum of230°F.SIGMA CONTROL 2 will simulate a higher temperature for checking this function.For this purpose, SIGMA CONTROL 2 automatically determines an offset value to be displayed.During the test mode, this offset is added to the actual compressor discharge temperature to causethe machine to shut down prematurely.No warning message is generated. However, the corresponding fault message "0015Airenddischarge temperature ADT ⇞" switches off the machine once the maximum discharge tempera‐ture has been reached.Overview■ Allow the machine to warm up, then shut it down and allow it to cool down slightly■ Performing the test■ Correct conclusion of the test■ ResettingPerforming the testThe offset value of 95°F displayed in activated test mode refers to the example dischargetemperature of 163°F as shown in the header of the display.Precondition Allow the machine to warm up. Shut down the machine as soon as the discharge temperature hasstabilized.Machine has cooled down by approximately 41°F (from discharge temperature of warmed up ma‐chine).Password access level 2 is activated.1. Open the 9.1 <Machine test – TÜV inspection> menu.2. Use the «Up» or «Down» keys to select the ADT line.88psi     08:15AM      176° F9.1 TÜV inspection MenuSafety valve:                         ☐ pRV:     232psi ¦   pi  ⇞      0.0psi Safety relief valve activating pressure (example)                       Reset            :       ☐                         ·········ADT ⇞                                   :      ☐ Active line with check box Offset        32°F ¦ ADT    ⇞     32.0°F9 Operation9.12 Checking the temperature sensor and overheating shutdown function172 User Manual    Controller  SIGMA CONTROL 2  SCREW FLUID ≥4.0.X No.: 9_9450 07 USE
3. Press «Enter».The ADT ⇞ check box flashes.4. Press «Up» key.The check box is activated.5. Press «Enter».The Offset display changes to 95°F.The ADT ⇞ display changes to 226°F.The test mode is now activated.88psi     08:15AM     16 3° F9.1 TÜV inspection MenuSafety valve:                         ☐ pRV:     232psi ¦   pi  ⇞      0.0psi Safety relief valve activating pressure (example)                       Reset            :       ☐                         ·········ADT ⇞                                   :      ☑ Active line with check box Offset        95°F ¦ ADT    ⇞     226°F6. Press the «ON» key.The machine is running in LOAD.The discharge temperature increases again.The machine will switch off as soon as the discharge temperature attains a value of 230°F.The machine does not shut down?➤ Abort the test and contact an authorized KAESER service representative soon as possi‐ble.Correct conclusion of the test1. Press «Enter» to switch into setting mode.The setting mode is active.The check box flashes in line ADT ⇞.2. Press the «DOWN» key.The check box is deactivated.3. Press «Enter» to accept the setting.The offset is reset to 32°F.Result The test mode is deactivated and the test is completed.ResettingSIGMA CONTROL 2 will display the highest measured value if the test for switching off at hightemperature is aborted.Activate the Reset check box in order to reset the stored value.➤ Activate the Reset check box.9 Operation9.12 Checking the temperature sensor and overheating shutdown functionNo.: 9_9450 07 USEUser Manual    Controller  SIGMA CONTROL 2  SCREW FLUID ≥4.0.X 173
9.13  Save dataSIGMA CONTROL 2 settings can be backed up to an SD card.Precondition An SD card with compatible file system (FAT32) and minimum 50 MB free memory is plugged intothe SD card slot X5 of SIGMA CONTROL 2The write protection of the SD card has been deactivated.Password access level 2 is activated.1. Open the 5.10 <Configuration – Save data> menu.2. Use «Up» or «Down» to select the Language: line.88psi     08:15AM      176° F Header5.10 Save data MenuLanguage:          en_US English Active line                         ·········Save data                              : ☐   3. Press «Enter» to switch into setting mode.The display for the set language flashes.4. Use «Up» or «Down» to select the desired language.5. Press «Enter» to accept the setting.The setting is applied.6. Use «Up» or «Down» to select the Save data line.88psi     08:15AM      176° F Header5.10 Save data MenuLanguage:          en_US English                         ·········Save data                              : ☑ Active line   7. Press «Enter».The check box Save data will flash.8. Press «Up» key.The check box is activated.9. Press «Enter».A security query is displayed.10. Press «Enter».Result The settings are saved on the SD card.9 Operation9.13 Save data174 User Manual    Controller  SIGMA CONTROL 2  SCREW FLUID ≥4.0.X No.: 9_9450 07 USE
10  Fault Recognition and Rectification10.1  Basic instructionsThe following tables are intended to assist in locating faults.SIGMA CONTROL 2 will indicate three types of faults:■ Fault on the machine:The red LED flashes, the machine is shut down, see chapters 10.2 and 10.5.■ Fault on the controller:The machine is shut down, see chapter 10.6.■ Warning:The yellow LED illuminates, the machine is not shut down, see chapter 10.3.The messages valid for your machine are dependent on the controller and individual equipment.1. Do not attempt fault rectification measures other than those given in this manual!2. In all other cases:Have the fault rectified by an authorized KAESER service representative.10.2  Interpreting alarm messagesIf an input signal is classified as an alarm, the controller will display the fault upon the signal'sarrival.Consequences:■ The red LED flashes:■ The controller switches the machine off.Alarm messages are identified with the letter A.The message numbers are not numbered consecutively.Meanings of designation of fault messaged within this table with "%d".1) Messages 0073–0078 and 0081–0096 are customer-specific and may differ from the suggestedvalues.Complete them with your defined message text, possible causes and remedies. (see chapter 8.11).Message Possible cause Remedy0001 ADirection of rotationThe compressor drive motor isturning in the wrong direction.Changeover phase lines L1 and L2.0002 AMotor temperature ⇞Compressor drive motor overhea‐ted.Keep ambient conditions withinspecified limits.Check the cooling air supply.Clean the motor.0003 ApRV ⇞The activating pressure of thesafety relief valve on the oil sepa‐rator tank has been exceeded.Change the safety relief valve.0004 AEMERGENCY STOPEMERGENCY STOP push buttonactuated.Unlatch the push button.10 Fault Recognition and Rectification10.1 Basic instructionsNo.: 9_9450 07 USEUser Manual    Controller  SIGMA CONTROL 2  SCREW FLUID ≥4.0.X 175
Message Possible cause Remedy0005 AOil separatorTemperature ⇞Maximum air temperature at theoil separator tank outlet is excee‐ded.Check the line to the trip relay.Check the oil separator cartridgefor damage.0007 APower supply monitorFault in main power supply. Have the main power supplychecked.0008 ADiagnostics group alarmA diagnostic message has occur‐red.For more details, see the text of thediagnostic message.0010 ABlow-off protection ⇞The activating pressure of thesafety relief valve on the oil sepa‐rator tank has been exceeded.Change the oil separator cartridge.Open the shut-off valve in the vent‐ing line.0011 AOil-/air cooler fanOvercurrentOverload shutdown of the fan mo‐tor.Investigate cause of shutdown.Reset the overload protection relay.0012 AAccess doorsDoor open / interlocked panel re‐moved while the machine is run‐ning.Fit and secure all panels and closeaccess doors.0013 ACompressor motorovercurrentOverload shutdown of the com‐pressor drive motor.Investigate cause of shutdown.Change the oil separator cartridge.0014 AOil cooler fan overcurrentOverload shutdown of the oilcooler fan motor.Investigate cause of shutdown.Reset the overload protection relay.0015 AAirend dischargetemperature ADT ⇞Maximum permissible airend dis‐charge temperature (ADT) excee‐ded.Keep ambient conditions withinspecified limits.Clean the cooler.Check the cooling oil level.0016 AAir cooler - FanOvercurrentOverload shutdown of the aircooler fan motor.Investigate cause of shutdown.Reset the overload protection relay.0017 ASafety shutdown ADTMaximum permissible airend dis‐charge temperature (ADT) excee‐ded.Keep ambient conditions withinspecified limits.Clean the cooler.Check the cooling oil level.0018 AInterior fan OvercurrentOverload shutdown of the aircooler fan motor.Investigate cause of shutdown.Reset the overload protection relay.0019 AInternal pressure pi ⇟Inlet valve defective. Contact an authorized KAESERservice representative.0021 ARefrigeration dryer T ⇟Refrigerated dryer:Compressed air temperature toolow.Contact an authorized KAESERservice representative.0022 AOil separator Δp ⇞Oil separator cartridge clogged. Change the oil separator cartridge.0033 AOil pressure ⇟Oil level too low.Defective oil pump (provided onlyin vacuum machines).Check the cooling oil level.If necessary, request that an au‐thorized KAESER service repre‐sentative replaces the oil pump.10 Fault Recognition and Rectification10.2 Interpreting alarm messages176 User Manual    Controller  SIGMA CONTROL 2  SCREW FLUID ≥4.0.X No.: 9_9450 07 USE
Message Possible cause Remedy0034 AMains contactor on?Main contactor of the compressormotor does not open.Check main contactor and wiring.0035 ACabinet fan I ⇞Overload shutdown of the controlcabinet fan motor.Contact an authorized KAESERservice representative.0038 APD temperature ⇟Package discharge (PD) temper‐ature too low.Contact an authorized KAESERservice representative.0039 APD temperature ⇞Package discharge (PD) temper‐ature too high.Check the cooling oil level.Clean the cooler.Check the fan motor.0040 AMains contactor off?Main contactor of the compressormotor does not deactivate.Check main contactor and wiring.0041 AMains voltage ⇟Second power failure. Check power supply voltage.Checking the door interlock switch.0042 ABack pressure stopBack pressure in the oil separatortank caused by defective venting.Check venting line.0043 AAirend dischargetemperature ADT risedT/dt⇞The rate of rise of the airend dis‐charge temperature (ADT) is toofast.Check the cooling oil level.0044 ANo pressure buildupThe machine does not producecompressed air.The working pressure does notrise above 50 psi within the speci‐fied time period.The machine does not enterLOAD mode.Minimum pressure check valvedefective.Check the machine for leaks.Check coupling and V-belt.Contact an authorized KAESERservice representative.0048 AHigh-voltage cellFault in the high voltage cell. Contact an authorized KAESERservice representative.0050 ACustomer-provided powerelementPower switching module notready or defective.Check power switching module.0051 AAggregate AAggregate A failed. Contact an authorized KAESERservice representative.0052 AAggregate BAggregate B failed. Contact an authorized KAESERservice representative.0056 ARD condensate drainRefrigerated dryer:Condensate drain defective.Refrigerated dryer:Check the condensate drain andconduits.0057 AModel?Compressor model uncertain. Contact an authorized KAESERservice representative.0058 ACondensate drainCondensate drain defective. Check the condensate drain andconduits.10 Fault Recognition and Rectification10.2 Interpreting alarm messagesNo.: 9_9450 07 USEUser Manual    Controller  SIGMA CONTROL 2  SCREW FLUID ≥4.0.X 177
Message Possible cause Remedy0059 ABack pressure runDrive belt or coupling broken. Drive belts:Replace drive belt.Coupling:Contact an authorized KAESERservice representative.0060 ASoftstartFault in the soft start equipment. Contact an authorized KAESERservice representative.0062 ARefrigeration dryer p ⇞Refrigerated dryer:Pressure too high in refrigerantcircuit.Safety pressure switch tripped.Clean the refrigerant condenser.Check the fan motor.Maintain operating conditions.0063 ARefrigeration dryer p ⇟Refrigerated dryer:Refrigerant lost; pressure in therefrigerant circuit too low.Inlet pressure switched tripped.Contact an authorized KAESERservice representative.0064 ARefrigeration dryercompressor motortemperature ⇞Permissible ambient tempera‐tures exceeded.Condenser cooling insufficient.Compressed air inlet temperatureis too high.Low refrigerant level.Check and lower ambient tempera‐tures.Clean the condenser.Check the fan.Check compressed air cooling atthe compressor.Clean the compressor cooler.Contact an authorized KAESERservice representative.0067 ASC2 <=> SC2communication errorThe electrical connection is inter‐rupted.IP configuration incorrect.Check the electrical connection.Check the IP configuration.0073 AExternal message 11)0074 AExternal message 21)0075 AExternal message 31)0076 AExternal message 41)0077 AExternal message 51)0078 AExternal message 61)0081 A AnMod_p_11)0082 A AnMod_p_21)0083 A AnMod_p_31)10 Fault Recognition and Rectification10.2 Interpreting alarm messages178 User Manual    Controller  SIGMA CONTROL 2  SCREW FLUID ≥4.0.X No.: 9_9450 07 USE
Message Possible cause Remedy0084 A AnMod_p_41)0085 A AnMod_T_11)0086 A AnMod_T_21)0087 A AnMod_T_31)0088A AnMod_T_41)0089A AnMod_I_11)0090 A AnMod_I_21)0092 A T-Switch inlettemperature1)0093 Ap-Switch pi1)0094 AT-Switch ADT1)0095 Ap-Switch pN1)0096 AT-Switch PDT1)0100 AStar contactor on?Star contactor of the compressormotor does not activate.Check star contactor and wiring.0101 AStar contactor off?Star contactor of the compressormotor does not deactivate.Check star contactor and wiring.0102 ADelta contactor on?Delta contactor of the compressormotor does not activate.Check delta contactor and wiring.0103 ADelta contactor off?Delta contactor of the compressormotor does not deactivate.Check delta contactor and wiring.0104 AHigh-voltage cell on?High-voltage cell does not acti‐vate.Contact an authorized KAESERservice representative.0105 AHigh-voltage cell off?High-voltage cell does not deacti‐vate.Contact an authorized KAESERservice representative.0106 ASoftstarter DI%.2dclosed?Soft start device does not acti‐vate.Contact an authorized KAESERservice representative.0107 ASoftstarter DI%.2d open?Soft start device does not deacti‐vate.Contact an authorized KAESERservice representative.0108 ASoftstarter DI%.2dclosed?Run-up of the soft start device isnot completed.Contact an authorized KAESERservice representative.10 Fault Recognition and Rectification10.2 Interpreting alarm messagesNo.: 9_9450 07 USEUser Manual    Controller  SIGMA CONTROL 2  SCREW FLUID ≥4.0.X 179
Message Possible cause Remedy0109 ASoftstarter DI%.2d open?Run-down of the soft start deviceis not completed.Contact an authorized KAESERservice representative.0111 AOil-/air cooler fan Mainscontactor on?Main contactor of the fan motordoes not activate.Check main contactor and wiring.0112 AOil-/air cooler fan Mainscontactor off?Main contactor of the fan motordoes not deactivate.Check main contactor and wiring.0113 AOil-/air cooler fan Speed↓ on?Main contactor of the fan motordoes not activate.Check main contactor and wiring.0114 AOil-/air cooler fan Speed↓ off?Main contactor of the fan motordoes not deactivate.Check main contactor and wiring.0115 AOil-/air cooler fan Speed↑ on?Main contactor of the fan motordoes not activate.Check main contactor and wiring.0116 AOil-/air cooler fan Speed↑ off?Main contactor of the fan motordoes not deactivate.Check main contactor and wiring.0121 AOil cooler fan Mainscontactor on?Main contactor of the fan motordoes not activate.Check main contactor and wiring.0122 AOil cooler fan Mainscontactor off?Main contactor of the fan motordoes not deactivate.Check main contactor and wiring.0131 AAir cooler - Fan Mainscontactor on?Main contactor of the fan motordoes not activate.Check main contactor and wiring.0132 AAir cooler - Fan Mainscontactor off?Main contactor of the fan motordoes not deactivate.Check main contactor and wiring.0141 AInterior fan Mainscontactor on?Main contactor of the fan motordoes not activate.Check main contactor and wiring.0142 AInterior fan Mainscontactor off?Main contactor of the fan motordoes not deactivate.Check main contactor and wiring.0150 ARedundancy contactoron?Redundancy contactor does notactivate.Check redundancy contactor andwiring.0151 ARedundancy contactoroff?Redundancy contactor does notdeactivate.Check redundancy contactor andwiring.0200 ACompressor motor USSalarmFrequency converter fault. Contact an authorized KAESERservice representative.10 Fault Recognition and Rectification10.2 Interpreting alarm messages180 User Manual    Controller  SIGMA CONTROL 2  SCREW FLUID ≥4.0.X No.: 9_9450 07 USE
Message Possible cause Remedy0201 ACompressor motor USSalarmFrequency converter fault. Contact an authorized KAESERservice representative.0202 ACompressor motor USSalarmFrequency converter fault. Contact an authorized KAESERservice representative.0203 ACompressor motor FCPKW failure P%d.E%dFrequency converter fault. Contact an authorized KAESERservice representative.0204 ACompressor motor FCPKW failure P%d.E%dFrequency converter fault. Contact an authorized KAESERservice representative.0205 ACompressor motor FCPKW failure P%d.E%dFrequency converter fault. Contact an authorized KAESERservice representative.0206 AUSS bus communicationerror %dFault caused by software driver. Contact an authorized Kaeser serv‐ice representative.0207 AUSS bus communicationerror %dFault caused by software driver. Contact an authorized KAESERservice representative.0208 AUSS bus communicationerror %dFault caused by software driver. Contact an authorized KAESERservice representative.0210 ACompressor motor FCOver temperature alarmCompressor motor temperaturetoo high.Keep ambient conditions withinspecified limits.Cooler maintenance.0211 ACompressor motor FCAlarm %dFault message of the frequencyconverter with message number(here: 50).Contact an authorized KAESERservice representative.0212 ACompressor motor FCAI2 errorSpeed sensor of the frequencyconverter (here: AI2).Contact an authorized KAESERservice representative.0220 ACompressor motor FCMotor overload alarmCompressor motor overload. Contact an authorized KAESERservice representative.0221 ACompressor motor FCAlarm %dFault message of the frequencyconverter with message number(here: 50).Contact an authorized KAESERservice representative.0230 ACompressor motor FCMotor overload alarmCompressor motor overload. Contact an authorized KAESERservice representative.0231 ACompressor motor FCAlarm %dFault message of the frequencyconverter with message number(here: 50).Contact an authorized KAESERservice representative.10 Fault Recognition and Rectification10.2 Interpreting alarm messagesNo.: 9_9450 07 USEUser Manual    Controller  SIGMA CONTROL 2  SCREW FLUID ≥4.0.X 181
Message Possible cause Remedy0232 ACompressor motor FCAI1 errorSpeed sensor of the frequencyconverter (here: AI1).Contact an authorized KAESERservice representative.0240 ACompressor motor USSalarmFault caused by software driver. Contact an authorized KAESERservice representative.0241 ACompressor motor FCPKW failure P%d.E%dFrequency converter fault. Contact an authorized KAESERservice representative.0242 AUSS bus communicationerror %dFault caused by software driver. Contact an authorized KAESERservice representative.0243 ACompressor motor FCAlarm %dFault message of the frequencyconverter with message number(here: 50).Contact an authorized KAESERservice representative.0244 ACompressor motor FCactivation failedFrequency converter incorrectlyactivated.Contact an authorized KAESERservice representative.0245 ACompressor motor FCrun-up time exceededMinimum speed not reached witha defined time (can be set).Check the set value.Contact an authorized KAESERservice representative.0246 ACompressor motor FCnMin undershotBelow minimum speed by a spe‐cific speed (can be set) for a spe‐cific time (can be set).Check the set value.Contact an authorized KAESERservice representative.0247 ACompressor motor FC:STO function inactiveParametrization error. Contact an authorized KAESERservice representative.0248 ACompressor motor FC off- STO?Parametrization error. Contact an authorized KAESERservice representative.0251 AOil-/air cooler fan USSalarmFault caused by software driver. Contact an authorized KAESERservice representative.0252 AOil-/air cooler fan FCPKW failure P%d.E%dFrequency converter fault. Contact an authorized KAESERservice representative.0253 AOil-/air cooler fan FCPKW failure P%d.E%dFrequency converter fault. Contact an authorized KAESERservice representative.0254 AUSS bus communicationerror %dFault caused by software driver. Contact an authorized KAESERservice representative.0255 AUSS bus communicationerror %dFault caused by software driver. Contact an authorized KAESERservice representative.10 Fault Recognition and Rectification10.2 Interpreting alarm messages182 User Manual    Controller  SIGMA CONTROL 2  SCREW FLUID ≥4.0.X No.: 9_9450 07 USE
Message Possible cause Remedy0260 AOil-/air cooler fan FCMotor overload alarmFan motor overload. Contact an authorized KAESERservice representative.0261 AOil-/air cooler fan FCAlarm %dFault message of the frequencyconverter with message number.Contact an authorized KAESERservice representative.0270 AOil-/air cooler fan FCMotor overload alarmFan motor overload. Contact an authorized KAESERservice representative.0271 AOil-/air cooler fan FCAlarm %dFault message of the frequencyconverter with message number(here: 50).Contact an authorized KAESERservice representative.0280 AOil-/air cooler fan USSalarmFault caused by software driver. Contact an authorized KAESERservice representative.0281 AOil-/air cooler fan FCPKW failure P%d.E%dFrequency converter fault. Contact an authorized KAESERservice representative.0282 AOil-/air cooler fan USSerror %dFault caused by software driver. Contact an authorized KAESERservice representative.0283 AOil-/air cooler fan FCAlarm %dFault message of the frequencyconverter with message number(here: 50).Contact an authorized KAESERservice representative.0284 AOil-/air cooler fan FCactivation failedFan frequency converter incor‐rectly activated.Contact an authorized KAESERservice representative.0287 AOil-/air cooler fan FC:STO function inactiveFrequency converter parametriz‐ing incorrect.Check frequency converter para‐metrizing.Contact an authorized KAESERservice representative.0288 AOil-/air cooler fan FC off -STO?Frequency converter parametriz‐ing incorrect.Check frequency converter para‐metrizing.Contact an authorized KAESERservice representative.0301 AOil cooler fan USS alarmFrequency converter fault. Contact an authorized KAESERservice representative.0303 AOil cooler fan FC PKWfailure P%d.E%dFrequency converter fault. Contact an authorized KAESERservice representative.0305 AUSS bus communicationerror %dFault caused by software driver. Contact an authorized KAESERservice representative.0320 AOil cooler fan FC Motoroverload alarmFan motor overload. Contact an authorized KAESERservice representative.10 Fault Recognition and Rectification10.2 Interpreting alarm messagesNo.: 9_9450 07 USEUser Manual    Controller  SIGMA CONTROL 2  SCREW FLUID ≥4.0.X 183
Message Possible cause Remedy0321 AOil cooler fan FCAlarm %dFault message of the frequencyconverter with message number(here: 50).Contact an authorized KAESERservice representative.0330 AOil cooler fan USS alarmFrequency converter fault. Contact an authorized KAESERservice representative.0331 AOil cooler fan FC PKWfailure P%d.E%dFrequency converter fault. Contact an authorized KAESERservice representative.0332 AUSS bus communicationerror %dFault caused by software driver. Contact an authorized KAESERservice representative.0333 AOil cooler fan FCAlarm %dFault message of the frequencyconverter with message number.Contact an authorized KAESERservice representative.0334 AOil cooler fan FCactivation failedFan frequency converter incor‐rectly activated.Contact an authorized KAESERservice representative.0337 AOil cooler fan FC: STOfunction inactiveFrequency converter parametriz‐ing incorrect.Check frequency converter para‐metrizing.Contact an authorized KAESERservice representative.0338 AOil cooler fan FC off -STO?Frequency converter parametriz‐ing incorrect.Check frequency converter para‐metrizing.Contact an authorized KAESERservice representative.0500 AI/O parameterisationincorrect in module %d!An I/O address has been as‐signed more than once.Display and correct the incorrectparameters in the 1.1.3Addresserror menu.Tab. 86 Fault messages, possible causes and remedies10.3  Interpreting warning messagesIf an input signal is classified as a warning, the controller will display the warning upon thesignal's arrival.Consequences:■ The yellow LED flashes.■ The controller does not switch off the machine.Warning messages are identified with the letter W.The message numbers are not numbered consecutively.In this table, you will see "%d" for a variable value, e.g. a number, duration or I/O address.10 Fault Recognition and Rectification10.3 Interpreting warning messages184 User Manual    Controller  SIGMA CONTROL 2  SCREW FLUID ≥4.0.X No.: 9_9450 07 USE
1) Messages 0073–0078 and 0081–0096 are customer-specific and may differ from the suggestedvalues.Complete them in the table below with your defined message text, possible causes and remedies(see chapter 8.11).Message Possible cause Remedy0001 WEquipment numberincompleteEquipment number entered incompletelyor not at all.Contact an authorizedKAESER service representa‐tive.0002 WMotor temperature ↑Drive motor overheating. Keep ambient conditions with‐in specified limits.Check the cooling air supply.Clean the motor.0004 WOil separator Δp ↑Increased differential pressure of the oilseparator cartridge.Oil separator cartridge clogged.Change the oil separator car‐tridge.0008 WAirend dischargetemperature ADT ↑Maximum airend discharge temperaturewill soon be reached.Clean the cooler.Check the cooling oil level.Replace the oil filter element.Ensure adequate ventilation.Keep surrounding tempera‐ture within recommended lim‐its.0011 WOil filter Δp ↑Increased pressure differential of the oilfilter.Oil filter clogged.Change the oil filter.0013 WAir filter Δp ↑Air filter clogged. Change the air filter.0015 WCom-Modulecommunication errorThe bus link via PROFIBUS interface isinterrupted.Check bus lines and plug.0021 WRefrigeration dryer T ⇟Refrigerated dryer:Compressed air temperature too low.Keep ambient conditions with‐in specified limits.Contact an authorizedKAESER service representa‐tive.0024 WMains contactoroperations ⇞The maximum permissible number ofswitching cycles has been exceeded.Have the main contactor re‐placed by an authorizedKAESER service representa‐tive.0025 WOil separator h ⇞Oil separator cartridge:Maintenance interval has elapsed.Change the oil separator car‐tridge.0026 WOil change h ⇞Cooling oil:Maintenance interval has elapsed.Change the cooling oil.0027 WOil filter h ⇞Oil filter:Maintenance interval has elapsed.Change the oil filter.10 Fault Recognition and Rectification10.3 Interpreting warning messagesNo.: 9_9450 07 USEUser Manual    Controller  SIGMA CONTROL 2  SCREW FLUID ≥4.0.X 185
Message Possible cause Remedy0028 WAir filter h ⇞Air filter:Maintenance interval has elapsed.Change the air filter.0029 WValve inspection h ⇞Valves:Maintenance interval has elapsed.Contact an authorizedKAESER service representa‐tive.0030 WBelt/coupling inspectionh ⇞Belt tension/coupling:Maintenance interval has elapsed.Carry out a visual inspection.Tension the drive belt.0031 WMotor bearing h ⇞Motor bearing of compressor motor:Maintenance interval has elapsed.Contact an authorizedKAESER service representa‐tive.0032 WElectrical equipment h⇞Electric components and electrical instal‐lation:Maintenance interval has elapsed.Inspect and reset the mainte‐nance interval counter.0033 WFan bearing h ⇞Motor bearing of fan motors:Maintenance interval has elapsed.Contact an authorizedKAESER service representa‐tive.0034 WPD temperature ↓Package discharge (PD) temperature toolow.Contact an authorizedKAESER service representa‐tive.0035 WPD temperature ↑Compressed air discharge temperaturetoo high.Clean the cooler.Check the cooling oil level.0036 WMotor starts/h ⇞The permissible number of motor startswas exceeded in the last 60 minutes.Extend the idle period.Increase the capacity of theair receiver.Increase the cross-section ofpiping between compressorand air receiver.0037 WMotor starts/d ⇞The permissible number of motor startswas exceeded in the last 24 hours.Extend the idle period.Increase the capacity of theair receiver.Increase the cross-section ofpiping between compressorand air receiver.0038 WBlow-off protection ↑The safety relief valve's activating pres‐sure will soon be reached.Change the oil separator car‐tridge.Open the shut-off valve in theventing line.0041 WMains voltage ↓1. Power failure:The machine is automatically restarted.Check power supply.0043 WExternal load signal?Ambiguous external load signal:Increased cut-out pressure exceeded.The external load control has not switch‐ed to IDLE.Check settings of the externalcontroller. Take into accountpressure drops across filtersand dryer.10 Fault Recognition and Rectification10.3 Interpreting warning messages186 User Manual    Controller  SIGMA CONTROL 2  SCREW FLUID ≥4.0.X No.: 9_9450 07 USE
Message Possible cause Remedy0044 WOil temperature ↓Cooling oil temperature too low. Check temperature switch,line and connection.Check the oil circuit.Increase room temperature.0045 WDO test activeTest operation for the manual actuation ofindividual outputs is active.Switch the power supply offand on again.0046 WSystem pressure ↓System pressure has fallen below the setsystem pressure low' value.Air consumption too high.Check air demand.Check cable runs and sensorconnections.Check the system pressurelow' warning value.0047 WNo pressure buildupThe machine does not produce com‐pressed air.The working pressure does not riseabove 50 psi bar within the pre-set timeperiod.The machine does not enter LOAD modeMinimum pressure check valve defective.Check the machine for leaks.Check coupling and V-belt.Contact an authorizedKAESER service representa‐tive.0048 WBearing lube h ⇞Re-grease the motor bearings.Maintenance interval has elapsed.Re-grease the motor bear‐ings.0049 WAnnual maintenanceLast maintenance was 1 year ago. Carry out the necessary main‐tenance and reset the corre‐sponding maintenance inter‐val counter.0050 WFan bearing lube h ⇞Maintenance interval has elapsed. Re-grease the fan bearing.0051 WDouble aggregateemergency operation!Last maintenance was 1 year ago. Carry out the necessary main‐tenance and reset the corre‐sponding maintenance inter‐val counter.0053 WCondensate drain 2Condensate drain defective.Too much condensate.Line interrupted.Condensate cannot be drained.Check the condensate drainand condensate lines.Check the lines.Check EcoDrain.Check inlet conditions.0058 WSC2 <=> SC2communication errorThe electrical connection is interrupted.IP configuration incorrectCheck the electrical connec‐tions.Check the IP configuration.0059 WStart temperature ↓↓The airend temperature is too low (<−50°F) for the machine to be operated.Keep ambient conditions with‐in specified limits.0060 WStart temperature ↓The airend temperature is too low(<+35°F).Keep ambient conditions with‐in specified limits.0061 WCompressor T ↓The airend discharge temperature (ADT)did not reach the minimum value withinthe specified time.Contact an authorizedKAESER service representa‐tive.10 Fault Recognition and Rectification10.3 Interpreting warning messagesNo.: 9_9450 07 USEUser Manual    Controller  SIGMA CONTROL 2  SCREW FLUID ≥4.0.X 187
Message Possible cause Remedy0062 WRefrigeration dryer p ⇞Refrigerated dryer:Pressure too high in the refrigerant circuit.Safety pressure switch tripped.Clean the refrigerant con‐denser.Check the fan motor.Maintain operating conditions.0063 WRefrigeration dryer p ⇟Refrigerated dryer:Refrigerant lost; pressure in the refriger‐ant circuit too low. Inlet pressure switchtripped.Contact an authorizedKAESER service representa‐tive.0064 WRefrigeration dryercompressor motortemperature ⇞Permissible ambient temperatures excee‐ded.Condenser cooling insufficientCompressed air inlet temperature is toohigh.Low refrigerant level.Check and lower ambienttemperatures.Clean the condenser.Check the fan.Check compressed air coolingat the compressor.Clean the compressor cooler.Contact an authorizedKAESER service representa‐tive.0065 WRefrigeration dryerexternal shut-offLow room temperature.Risk that refrigerated dryer freezes.Refrigerated dryer has automatically beendeactivated.Keep ambient conditions with‐in specified limits.Check temperature sensor.0067 WSystem pressure ↑System pressure is above the "systempressure high" value.Check cable runs and sensorconnections.Check the "system pressurehigh" warning setting.0068 WCondensate drainCondensate drain defective.Too much condensate.Line interrupted.Condensate cannot be drained.Check the condensate drainand condensate lines.Check the lines.Check EcoDrain.Check inlet conditions.0069 WError operation withoutRD → Call service!Refrigerated dryer defective.Compressed air supply with non-dried airis activated.Immediately contact an au‐thorized KAESER service rep‐resentative.0070 WRefrigeration dryer T ↑Refrigerated dryer:Compressed air temperature too high.Maintain operating conditions.Clean the refrigerant con‐denser.Clean the cooler.Install an extractor fan.0071 WOil level ↓Cooling oil level too low. Top off the cooling oil.0072 WRD condensate drainRefrigerated dryer:Condensate drain defective.Check the condensate drain.0073 WExternal message 11)10 Fault Recognition and Rectification10.3 Interpreting warning messages188 User Manual    Controller  SIGMA CONTROL 2  SCREW FLUID ≥4.0.X No.: 9_9450 07 USE
Message Possible cause Remedy0074 WExternal message 21)0075 WExternal message 31)0076 WExternal message 41)0077 WExternal message 51)0078 WExternal message 61)0081 W AnMod_p_11)0082 W AnMod_p_21)0083 W AnMod_p_31)0084 W AnMod_p_41)0085 W AnMod_T_11)0086 W AnMod_T_21)0087 W AnMod_T_31)0088 W AnMod_T_41)0089 W AnMod_I_11)0090 W AnMod_I_21)0092 W T-Switch inlettemperature1)0093 Wp-Switch pi1)0094 WT-Switch ADT1)0095 Wp-Switch pN1)0096 WT-Switch PDT1)0097 WSAM 4.0communication errorBus link via SIGMA NETWORK interrup‐ted.Check bus lines and plug.10 Fault Recognition and Rectification10.3 Interpreting warning messagesNo.: 9_9450 07 USEUser Manual    Controller  SIGMA CONTROL 2  SCREW FLUID ≥4.0.X 189
Message Possible cause Remedy0200 WCompressor motor FCService mode activeFrequency converter in service mode. Terminate service mode.0201 WCompressor motor FCService mode activeFrequency converter in service mode. Terminate service mode.0202 WCompressor motor FCService mode activeFrequency converter in service mode. Terminate service mode.0203 WCompressor motor FCService mode activeFrequency converter in service mode. Terminate service mode.0210 WCompressor motor FCAI1 errorPressure transducer of the frequencyconverter defective.Contact an authorizedKAESER service representa‐tive.0230 WCompressor motor FCAI0 errorPressure transducer of the frequencyconverter defective.Contact an authorizedKAESER service representa‐tive.0231 WCompressor motor FCAlarm %dMalfunction at compressor motor or itsfrequency converter.Contact an authorizedKAESER service representa‐tive.0240 WCompressor motor FCtest shut-off requiredRun time of the frequency converter sincelast shutdown too large.Temporarily fully disconnectthe machine from the powersupply. (Required for the safe‐ty functions.)0243 WCompressor motor FCAlarm %dMalfunction at compressor motor or itsfrequency converter.Contact an authorizedKAESER service representa‐tive.0251 WOil-/air cooler fan FCService mode activeFrequency converter in service mode. Terminate service mode.0253 WOil cooler fan FCService mode activeFrequency converter in service mode. Terminate service mode.0254 WOil cooler fan FCService mode activeFrequency converter in service mode. Terminate service mode.0255 WOil-/air cooler fan FCService mode activeFrequency converter in service mode. Terminate service mode.0260 WOil-/air cooler fan FCAlarm %dFault in fan frequency converter. Acknowledge message.Contact an authorizedKAESER service representa‐tive.10 Fault Recognition and Rectification10.3 Interpreting warning messages190 User Manual    Controller  SIGMA CONTROL 2  SCREW FLUID ≥4.0.X No.: 9_9450 07 USE
Message Possible cause Remedy0261 WOil-/air cooler fan FCAlarm %dFault in fan frequency converter. Acknowledge message.Contact an authorizedKAESER service representa‐tive.0262 WOil cooler fan FCAlarm %dFault in fan frequency converter. Acknowledge message.Contact an authorizedKAESER service representa‐tive.0263 WOil cooler fan FCAlarm %dFault in fan frequency converter. Acknowledge message.Contact an authorizedKAESER service representa‐tive.0300 WSD card write errorWrite protection activated?Memory card defective.Deactivate the write protec‐tion.Use a new memory card.0866 WAII%d.0%d - errorpower supplyPower supply for ext. sensor at analog in‐put defective.Check the power supply.0867 WAII%d.0%d - overloadfaultOverload in signal for ext. sensor at ana‐log input defective.Contact an authorizedKAESER service representa‐tive.0868 WAII%d.0%d - opencircuitNo continuity in line for ext. sensor at an‐alog input.Check cable runs and sensorconnections.0869 WAII%d.0%d - short-circuitShort circuit in line for ext. sensor at ana‐log input.Check cable runs and sensorconnections.0872 WAII%d.0%d - errorpower supplyPower supply for ext. sensor at analog in‐put defective.Check the power supply.0873 WAII%d.0%d - overloadfaultOverload in signal for ext. sensor at ana‐log input defective.Contact an authorizedKAESER service representa‐tive.0874 WAII%d.0%d - opencircuitNo continuity in line for ext. sensor at an‐alog input.Check cable runs and sensorconnections.0875 WAII%d.0%d - short-circuitShort circuit in line for ext. sensor at ana‐log input.Check cable runs and sensorconnections.0878 WAII%d.0%d - errorpower supplyPower supply for ext. sensor at analog in‐put defective.Check the power supply.0879 WAII%d.0%d - overloadfaultOverload in signal for ext. sensor at ana‐log input defective.Contact an authorizedKAESER service representa‐tive.10 Fault Recognition and Rectification10.3 Interpreting warning messagesNo.: 9_9450 07 USEUser Manual    Controller  SIGMA CONTROL 2  SCREW FLUID ≥4.0.X 191
Message Possible cause Remedy0880 WAII%d.0%d - opencircuitNo continuity in line for ext. sensor at an‐alog input.Check cable runs and sensorconnections.0881 WAII%d.0%d - short-circuitShort circuit in line for ext. sensor at ana‐log input.Check cable runs and sensorconnections.0884 WAII%d.0%d - errorpower supplyPower supply for ext. sensor at analog in‐put faulty.Check the power supply.0885 WAII%d.0%d - overloadfaultOverload in signal for ext. sensor at ana‐log input defective.Contact an authorizedKAESER service representa‐tive.0886 WAII%d.0%d - opencircuitNo continuity in line for ext. sensor at an‐alog input.Check cable runs and sensorconnections.0887 WAII%d.0%d - short-circuitShort circuit in line for ext. sensor at ana‐log input.Check cable runs and sensorconnections.1034 WAII%d.0%d - errorpower supplyPower supply for ext. sensor at analog in‐put defective.Check the power supply.1035 WAII%d.0%d - overloadfaultOverload in signal for ext. sensor at ana‐log input defective.Contact an authorizedKAESER service representa‐tive.1036 WAII%d.0%d - opencircuitNo continuity in line for ext. sensor at an‐alog input.Check cable runs and sensorconnections.1037 WAII%d.0%d - short-circuitShort circuit in line for ext. sensor at ana‐log input.Check cable runs and sensorconnections.1040 WAII%d.0%d - errorpower supplyPower supply for ext. sensor at analog in‐put defective.Check the power supply.1041 WAII%d.0%d - overloadfaultOverload in signal for ext. sensor at ana‐log input defective.Contact an authorizedKAESER service representa‐tive.1042 WAII%d.0%d - opencircuitNo continuity in line for ext. sensor at an‐alog input.Check cable runs and sensorconnections.1043 WAII%d.0%d - short-circuitShort circuit in line for ext. sensor at ana‐log input.Check cable runs and sensorconnections.1046 WAII%d.0%d - errorpower supplyPower supply for ext. sensor at analog in‐put defective.Check the power supply.10 Fault Recognition and Rectification10.3 Interpreting warning messages192 User Manual    Controller  SIGMA CONTROL 2  SCREW FLUID ≥4.0.X No.: 9_9450 07 USE
Message Possible cause Remedy1047 WAII%d.0%d - overloadfaultOverload in signal for ext. sensor at ana‐log input defective.Contact an authorizedKAESER service representa‐tive.1048 WAII%d.0%d - opencircuitNo continuity in line for ext. sensor at an‐alog input.Check cable runs and sensorconnections.1049 WAII%d.0%d - short-circuitShort circuit in line for ext. sensor at ana‐log input.Check cable runs and sensorconnections.1052 WAII%d.0%d - errorpower supplyPower supply for ext. sensor at analog in‐put faulty.Check the power supply.1053 WAII%d.0%d - overloadfaultOverload in signal for ext. sensor at ana‐log input defective.Contact an authorizedKAESER service representa‐tive.1054 WAII%d.0%d - opencircuitNo continuity in line for ext. sensor at an‐alog input.Check cable runs and sensorconnections.1055 WAII%d.0%d - short-circuitShort circuit in line for ext. sensor at ana‐log input.Check cable runs and sensorconnections.1202 WAII%d.0%d - errorpower supplyPower supply for ext. sensor at analog in‐put defective.Check the power supply.1203 WAII%d.0%d - overloadfaultOverload in signal for ext. sensor at ana‐log input defective.Contact an authorizedKAESER service representa‐tive.1204 WAII%d.0%d - opencircuitNo continuity in line for ext. sensor at an‐alog input.Check cable runs and sensorconnections.1205 WAII%d.0%d - short-circuitShort circuit in line for ext. sensor at ana‐log input.Check cable runs and sensorconnections.1208 WAII%d.0%d - errorpower supplyPower supply for ext. sensor at analog in‐put defective.Check the power supply.1209 WAII%d.0%d - overloadfaultOverload in signal for ext. sensor at ana‐log input defective.Contact an authorizedKAESER service representa‐tive.1210 WAII%d.0%d - opencircuitNo continuity in line for ext. sensor at an‐alog input.Check cable runs and sensorconnections.1211 WAII%d.0%d - short-circuitShort circuit in line for ext. sensor at ana‐log input.Check cable runs and sensorconnections.10 Fault Recognition and Rectification10.3 Interpreting warning messagesNo.: 9_9450 07 USEUser Manual    Controller  SIGMA CONTROL 2  SCREW FLUID ≥4.0.X 193
Message Possible cause Remedy1214 WAII%d.0%d - errorpower supplyPower supply for ext. sensor at analog in‐put faulty.Check the power supply.1215WAII%d.0%d - overloadfaultOverload in signal for ext. sensor at ana‐log input defective.Contact an authorizedKAESER service representa‐tive.1216 WAII%d.0%d - opencircuitNo continuity in line for ext. sensor at an‐alog input.Check cable runs and sensorconnections.1217 WAII%d.0%d - short-circuitShort circuit in line for ext. sensor at ana‐log input.Check cable runs and sensorconnections.1220 WAII%d.0%d - errorpower supplyPower supply for ext. sensor at analog in‐put faulty.Check the power supply.1221 WAII%d.0%d - overloadfaultOverload in signal for ext. sensor at ana‐log input defective.Contact an authorizedKAESER service representa‐tive.1222 WAII%d.0%d - opencircuitNo continuity in line for ext. sensor at an‐alog input.Check cable runs and sensorconnections.1223 WAII%d.0%d - short-circuitShort circuit in line for ext. sensor at ana‐log input.Check cable runs and sensorconnections.1370 WAII%d.0%d - errorpower supplyPower supply for ext. sensor at analog in‐put faulty.Check the power supply.1371 WAII%d.0%d - overloadfaultOverload in signal for ext. sensor at ana‐log input defective.Contact an authorizedKAESER service representa‐tive.1372 WAII%d.0%d - opencircuitNo continuity in line for ext. sensor at an‐alog input.Check cable runs and sensorconnections.1373 WAII%d.0%d - short-circuitShort circuit in line for ext. sensor at ana‐log input.Check cable runs and sensorconnections.1376 WAII%d.0%d - errorpower supplyPower supply for ext. sensor at analog in‐put faulty.Check the power supply.1377 WAII%d.0%d - overloadfaultOverload in signal for ext. sensor at ana‐log input defective.Contact an authorizedKAESER service representa‐tive.1378 WAII%d.0%d - opencircuitNo continuity in line for ext. sensor at an‐alog input.Check cable runs and sensorconnections.10 Fault Recognition and Rectification10.3 Interpreting warning messages194 User Manual    Controller  SIGMA CONTROL 2  SCREW FLUID ≥4.0.X No.: 9_9450 07 USE
Message Possible cause Remedy1379 WAII%d.0%d - short-circuitShort circuit in line for ext. sensor at ana‐log input.Check cable runs and sensorconnections.1382 WAII%d.0%d - errorpower supplyPower supply for ext. sensor at analog in‐put faulty.Check the power supply.1383 WAII%d.0%d - overloadfaultOverload in signal for ext. sensor at ana‐log input defective.Contact an authorizedKAESER service representa‐tive.1384 WAII%d.0%d - opencircuitNo continuity in line for ext. sensor at an‐alog input.Check cable runs and sensorconnections.1385 WAII%d.0%d - short-circuitShort circuit in line for ext. sensor at ana‐log input.Check cable runs and sensorconnections.1388 WAII%d.0%d - errorpower supplyPower supply for ext. sensor at analog in‐put defective.Check the power supply.1389 WAII%d.0%d - overloadfaultOverload in signal for ext. sensor at ana‐log input defective.Contact an authorizedKAESER service representa‐tive.1390 WAII%d.0%d - opencircuitNo continuity in line for ext. sensor at an‐alog input.Check cable runs and sensorconnections.1391 WAII%d.0%d - short-circuitShort circuit in line for ext. sensor at ana‐log input.Check cable runs and sensorconnections.1538 WAII%d.0%d - errorpower supplyPower supply for ext. sensor at analog in‐put defective.Check the power supply.1539 WAII%d.0%d - overloadfaultOverload in signal for ext. sensor at ana‐log input defective.Contact an authorizedKAESER service representa‐tive.1540 WAII%d.0%d - opencircuitNo continuity in line for ext. sensor at an‐alog input.Check cable runs and sensorconnections.1541 WAII%d.0%d - short-circuitShort circuit in line for ext. sensor at ana‐log input.Check cable runs and sensorconnections.1544 WAII%d.0%d - errorpower supplyPower supply for ext. sensor at analog in‐put defective.Check the power supply.1545 WAII%d.0%d - overloadfaultOverload in signal for ext. sensor at ana‐log input defective.Contact an authorizedKAESER service representa‐tive.10 Fault Recognition and Rectification10.3 Interpreting warning messagesNo.: 9_9450 07 USEUser Manual    Controller  SIGMA CONTROL 2  SCREW FLUID ≥4.0.X 195
Message Possible cause Remedy1546 WAII%d.0%d - opencircuitNo continuity in line for ext. sensor at an‐alog input.Check cable runs and sensorconnections.1547 WAII%d.0%d - short-circuitShort circuit in line for ext. sensor at ana‐log input.Check cable runs and sensorconnections.1550 WAII%d.0%d - errorpower supplyPower supply for ext. sensor at analog in‐put faulty.Check the power supply.1551 WAII%d.0%d - overloadfaultOverload in signal for ext. sensor at ana‐log input defective.Contact an authorizedKAESER service representa‐tive.1552 WAII%d.0%d - opencircuitNo continuity in line for ext. sensor at an‐alog input.Check cable runs and sensorconnections.1553 WAII%d.0%d - short-circuitShort circuit in line for ext. sensor at ana‐log input.Check cable runs and sensorconnections.1556 WAII%d.0%d - errorpower supplyPower supply for ext. sensor at analog in‐put defective.Check the power supply.1557 WAII%d.0%d - overloadfaultOverload in signal for ext. sensor at ana‐log input defective.Contact an authorizedKAESER service representa‐tive.1558 WAII%d.0%d - opencircuitNo continuity in line for ext. sensor at an‐alog input.Check cable runs and sensorconnections.1559 WAII%d.0%d - short-circuitShort circuit in line for ext. sensor at ana‐log input.Check cable runs and sensorconnections.1706 WAII%d.0%d - errorpower supplyPower supply for ext. sensor at analog in‐put defective.Check the power supply.1707 WAII%d.0%d - overloadfaultOverload in signal for ext. sensor at ana‐log input defective.Contact an authorizedKAESER service representa‐tive.1708 WAII%d.0%d - opencircuitNo continuity in line for ext. sensor at an‐alog input.Check cable runs and sensorconnections.1709 WAII%d.0%d - short-circuitShort circuit in line for ext. sensor at ana‐log input.Check cable runs and sensorconnections.1712 WAII%d.0%d - errorpower supplyPower supply for ext. sensor at analog in‐put defective.Check the power supply.10 Fault Recognition and Rectification10.3 Interpreting warning messages196 User Manual    Controller  SIGMA CONTROL 2  SCREW FLUID ≥4.0.X No.: 9_9450 07 USE
Message Possible cause Remedy1713 WAII%d.0%d - overloadfaultOverload in signal for ext. sensor at ana‐log input defective.Contact an authorizedKAESER service representa‐tive.1714 WAII%d.0%d - opencircuitNo continuity in line for ext. sensor at an‐alog input.Check cable runs and sensorconnections.1715 WAII%d.0%d - short-circuitShort circuit in line for ext. sensor at ana‐log input.Check cable runs and sensorconnections.1718 WAII%d.0%d - errorpower supplyPower supply for ext. sensor at analog in‐put defective.Check the power supply.1719 WAII%d.0%d - overloadfaultOverload in signal for ext. sensor at ana‐log input defective.Contact an authorizedKAESER service representa‐tive.1720 WAII%d.0%d - opencircuitNo continuity in line for ext. sensor at an‐alog input.Check cable runs and sensorconnections.1721 WAII%d.0%d - short-circuitShort circuit in line for ext. sensor at ana‐log input.Check cable runs and sensorconnections.1724 WAII%d.0%d - errorpower supplyPower supply for ext. sensor at analog in‐put defective.Check the power supply.1725 WAII%d.0%d - overloadfaultOverload in signal for ext. sensor at ana‐log input defective.Contact an authorizedKAESER service representa‐tive.1726 WAII%d.0%d - opencircuitNo continuity in line for ext. sensor at an‐alog input.Check cable runs and sensorconnections.1727 WAII%d.0%d - short-circuitShort circuit in line for ext. sensor at ana‐log input.Check cable runs and sensorconnections.Tab. 87 Warning messages and remedies10.4  Interpreting operation messagesThe controller will automatically display operation messages informing you about the current opera‐tional state of the machine.Operating messages are identified with the letter O.The message numbers are not numbered consecutively.In this table, you will see "%d" for a variable value, e.g. a number, duration or I/O address.10 Fault Recognition and Rectification10.4 Interpreting operation messagesNo.: 9_9450 07 USEUser Manual    Controller  SIGMA CONTROL 2  SCREW FLUID ≥4.0.X 197
1) Messages 0073–0078 and 0081–0096 are customer-specific and undefined.Complete them in the table below with your defined message text and interpretation (see alsochapter 8.11).Message Meaning0001 ODelayed start (%ds) activeTotal duration until the machine is ready to start after powerhas been restored or after a communication error to the mas‐ter controller (e.g. SAM 4.0) or after switching on the SAMmanual mode.0009 OCompressor onThe machine is switched on.0010 OController onThe controller is switched on with the «ON» key.0011 OCold start releaseThe machine can be switched on although the machine tem‐perature is below the permissible starting temperature.The machine can be switched on only as long as the mes‐sage is displayed.0027 OPower OFF → ONRequest:Switch the power supply off and on.0028 ODYNAMIC motor temperature ↑Control mode DYNAMIC:The temperature of the compressor motor is too high.0030 OVoltage restoredMain power supply returned after main failure.0033 OMachine reportMachine report sent by e-mail.0034 OE-mail send unsuccessful!No e-mail sending of machine information.0073 OExternal message 11)0074 OExternal message 21)0075 OExternal message 31)0076 OExternal message 41)0077 OExternal message 51)0078 OExternal message 61)0081 OAnMod_p_11)0082 OAnMod_p_21)10 Fault Recognition and Rectification10.4 Interpreting operation messages198 User Manual    Controller  SIGMA CONTROL 2  SCREW FLUID ≥4.0.X No.: 9_9450 07 USE
Message Meaning0083 OAnMod_p_31)0084 OAnMod_p_41)0085 OAnMod_T_11)0086 OAnMod_T_21)0087 OAnMod_T_31)0088 OAnMod_T_41)0089 OAnMod_I_11)0090 OAnMod_I_21)0092 OT-Switch inlet temperature1)0093 Op-Switch pi1)0094 OT-Switch ADT1)0095 Op-Switch pN1)0096 OT-Switch PDT1)0200 OIOSlot1 Undervoltage error %dThe internal voltage monitoring reports low voltage fault IO‐Slot1 (in the example 50 times).0201 OIOSlot2 Undervoltage error %dThe internal voltage monitoring reports low voltage fault IO‐Slot2 (in the example 50 times).0202 OIOSlot3 Undervoltage error %dThe internal voltage monitoring reports low voltage fault IO‐Slot3 (in the example 50 times).0203 OIOSlot4 Undervoltage error %dThe internal voltage monitoring reports low voltage fault IO‐Slot4 (in the example 50 times).0204 OIOSlot5 Undervoltage error %dThe internal voltage monitoring reports low voltage fault IO‐Slot5 (in the example 50 times).0205 OIOSlot6 Undervoltage error %dThe internal voltage monitoring reports low voltage fault IO‐Slot6 (in the example 50 times).0300 OCycle-exact data recording activeService information.10 Fault Recognition and Rectification10.4 Interpreting operation messagesNo.: 9_9450 07 USEUser Manual    Controller  SIGMA CONTROL 2  SCREW FLUID ≥4.0.X 199
Message Meaning0301 OFEZ-Prozessabbild aktivService information.0500 OSafety shutdown "IOMDiagnosis()"Service information.0501 OSafety shutdown "Safeguard()"Service information.0550 OADT channel error "currleak"detectedShort-term overload fault without shutdown occurred at ADT.0551 OADT channel error "channel open"detectedShort-term overload fault without shutdown occurred at ADT.0850 OIOSlot%d - bus errorIOM bus fault.0867 OAII%d.0%d - overload faultShort-term overload fault without shutdown occurred at All.0873 OAII%d.0%d - overload faultShort-term overload fault without shutdown occurred at All.0879 OAII%d.0%d - overload faultShort-term overload fault without shutdown occurred at All.0885 OAII%d.0%d - overload faultShort-term overload fault without shutdown occurred at All.1000 O2 RFID Equipment Cardssuccessfully registeredYou successfully registered 2 KAESER RFID EquipmentCards at the controller.1018 OIOSlot%d - bus errorIOM bus fault.1035 OAII%d.0%d - overload faultShort-term overload fault without shutdown occurred at All.1041 OAII%d.0%d - overload faultShort-term overload fault without shutdown occurred at All.1047 OAII%d.0%d - overload faultShort-term overload fault without shutdown occurred at All.1053 OAII%d.0%d - overload faultShort-term overload fault without shutdown occurred at All.1186 OIOSlot%d - bus errorIOM bus fault.1203 OAII%d.0%d - overload faultShort-term overload fault without shutdown occurred at All.1209 OAII%d.0%d - overload faultShort-term overload fault without shutdown occurred at All.10 Fault Recognition and Rectification10.4 Interpreting operation messages200 User Manual    Controller  SIGMA CONTROL 2  SCREW FLUID ≥4.0.X No.: 9_9450 07 USE
Message Meaning1215 OAII%d.0%d - overload faultShort-term overload fault without shutdown occurred at All.1221 OAII%d.0%d - overload faultShort-term overload fault without shutdown occurred at All.1354 OIOSlot%d - bus errorIOM bus fault.1371 OAII%d.0%d - overload faultShort-term overload fault without shutdown occurred at All.1377 OAII%d.0%d - overload faultShort-term overload fault without shutdown occurred at All.1383 OAII%d.0%d - overload faultShort-term overload fault without shutdown occurred at All.1389 OAII%d.0%d - overload faultShort-term overload fault without shutdown occurred at All.1522 OIOSlot%d - bus errorIOM bus fault.1539 OAII%d.0%d - overload faultShort-term overload fault without shutdown occurred at All.1545 OAII%d.0%d - overload faultShort-term overload fault without shutdown occurred at All.1551 OAII%d.0%d - overload faultShort-term overload fault without shutdown occurred at All.1557 OAII%d.0%d - overload faultShort-term overload fault without shutdown occurred at All.1690 OIOSlot%d - bus errorIOM bus fault.1707 OAII%d.0%d - overload faultShort-term overload fault without shutdown occurred at All.1713 OAII%d.0%d - overload faultShort-term overload fault without shutdown occurred at All.1719 OAII%d.0%d - overload faultShort-term overload fault without shutdown occurred at All.1725 OAII%d.0%d - overload faultShort-term overload fault without shutdown occurred at All.Tab. 88 Operational messages10.5  Interpreting diagnostic messagesA diagnostic message causes the machine to shut down.10 Fault Recognition and Rectification10.5 Interpreting diagnostic messagesNo.: 9_9450 07 USEUser Manual    Controller  SIGMA CONTROL 2  SCREW FLUID ≥4.0.X 201
Diagnostic messages are identified with the letter D.They provide information on the status of the controller, the connected input and output modules,and support KAESER service with troubleshooting.10.6  Interpreting system messagesA system message causes the machine to shut down. Contact an authorized KAESER serv‐ice representative.System messages are identified with the letter Y.The message numbers are not numbered consecutively.Message Possible cause Remedy0001 YHardware watchdog resetSystem error Contact an authorized KAESER service representa‐tive.0002 YInternal software errorSystem error Contact an authorized KAESER service representa‐tive.0003 YFilesystem Read/WritefailureSystem error Contact an authorized KAESER service representa‐tive.0004 YCPU load too highSystem error Contact an authorized KAESER service representa‐tive.0005 YRAM out of memorySystem error Contact an authorized KAESER service representa‐tive.1000 YRFID error: switch SIGMACONTROL power supplyOFF → ON!System error Contact an authorized KAESER service representa‐tive.Tab. 89 System messages and remedies10 Fault Recognition and Rectification10.6 Interpreting system messages202 User Manual    Controller  SIGMA CONTROL 2  SCREW FLUID ≥4.0.X No.: 9_9450 07 USE
11  Maintenance11.1  Changing the buffer batteryWhen SIGMA CONTROL 2 displays a warning message indicating that the integrated buffer bat‐tery has discharged and requires replacement, please contact an authorized KAESER service rep‐resentative.11 Maintenance11.1 Changing the buffer batteryNo.: 9_9450 07 USEUser Manual    Controller  SIGMA CONTROL 2  SCREW FLUID ≥4.0.X 203
12  Spares, Operating Materials, Service12.1  Note the nameplateThe nameplate contains all information to identify your machine. This information is essential to usin order to provide you with optimal service.➤ Please give the information from the nameplate with every inquiry and order for spare parts.12.2  KAESER AIR SERVICEKAESER AIR SERVICE offers:■ authorized KAESER service representatives with KAESER factory training,■ increased operational reliability ensured by preventive maintenance,■ energy savings achieved by avoidance of pressure losses,■ optimum conditions for operation of the compressed air system,■ the security of genuine KAESER spare parts,■ increased legal certainty as all regulations are kept to.➤ Why not sign a KAESER AIR SERVICE maintenance agreement!Result Your advantage:lower costs and higher compressed air availability.12.3  Service AddressesAddresses of KAESER representatives are given at the end of this manual.12.4  Displaying the version number, machine model, part number andserial number1. Open the 5.1.1 <Configuration – General – System information> menu.88psi     08:15AM      176° F5.1.1 System information Menu▶1 SIGMA CONTROL 2 MCS Active line▶2 Compressor▶3 I/O modules   12 Spares, Operating Materials, Service12.1 Note the nameplate204 User Manual    Controller  SIGMA CONTROL 2  SCREW FLUID ≥4.0.X No.: 9_9450 07 USE
2. Press «Enter».The system information is displayed.88psi     08:15AM      176° F5.1.1.1 SIGMA CONTROL 2 MCS MenuSoftware   fluid_4.0.X Software version                         ·········KAESER  PN                                       7.7601.0 Part number  SN                                          123456 Serial number                         ·········3. Press «Up» or «Down» repeatedly to display further information.88psi     08:15AM      176° F5.1.1.1 SIGMA CONTROL 2 MCS Menu  SN                                          123456                         ·········Prodrive ManufacturerPN                              6309.1000.7900 Part numberSN                                 10.34.000.961 Serial numberMFGDT                                   2016/08 Manufacturing date12 Spares, Operating Materials, Service12.4 Displaying the version number, machine model, part number and serial numberNo.: 9_9450 07 USEUser Manual    Controller  SIGMA CONTROL 2  SCREW FLUID ≥4.0.X 205
13  Decommissioning, Storage and Transport13.1  De-commissioning➤ Follow the instructions in the machine's operator manual.13.2  Packing➤ Follow the instructions in the machine's operator manual.13.3  Storage➤ Follow the instructions in the machine's operator manual.13.4  Transporting➤ Follow the instructions in the machine's operator manual.13.5  DisposalPrecondition SIGMA CONTROL 2 is decommissioned.1. Disconnect SIGMA CONTROL 2 from all connections.2. If necessary, use a tool to forcefully remove the rear enclosure panel.3. Use a suitable tool to remove the internally installed buffer battery.4. Properly dispose of the buffer batteries.5. Hand the SIGMA CONTROL 2 over to an authorized disposal expert.13.5.1  Battery disposalBatteries contain substances that are harmful to living beings and the environment. For this reason,batteries must not be disposed of with unsorted residential waste. They must be disposed of in ac‐cordance with local environmental regulations. This procedure facilitates the handling and recyclingof batteries.Fig. 42 Battery disposal1Do not dispose of batteries with residential waste2Battery contains lead (if applicable)➤ Dispose of batteries in accordance with local environmental regulations.13 Decommissioning, Storage and Transport13.1 De-commissioning206 User Manual    Controller  SIGMA CONTROL 2  SCREW FLUID ≥4.0.X No.: 9_9450 07 USE

Navigation menu