RELM Communications RPV516A VHF FM Transceiver User Manual RPV516A SAR Test Report revised 121901
RELM Communications Inc VHF FM Transceiver RPV516A SAR Test Report revised 121901
Contents
- 1. Users Manual
 - 2. Revised Manual 121901
 - 3. Revised Manual 010402
 
Revised Manual 121901

CELLTECH RESEARCH INC.                                                                 Test Report S/N: 092601-169ARU 
1955 Moss Court, Kelowna                                                                                                Date of Tests: October 16, 2001 
B.C. Canada V1Y 9L3                                                                                                                  FCC SAR Evaluation 
_________________________________________________________________________________________________________ 
© 2001 Celltech Research Inc.   
CERTIFICATE OF COMPLIANCE 
SAR EVALUATION 
This wireless portable device has been shown to be compliant for localized Specific Absorption Rate (SAR) 
for controlled environment/occupational exposure limits specified in ANSI/IEEE Std. C95.1-1992 and had 
been tested in accordance with the measurement procedures specified in ANSI/IEEE Std. C95.3-1999. 
I attest to the accuracy of data.  All measurements were performed by me or were made under my 
supervision and are correct to the best of my knowledge and belief. I assume full responsibility for the 
completeness of these measurements and vouch for the qualifications of all persons taking them. 
Celltech Research Inc. certifies that no party to this application has been denied FCC benefits pursuant to Section 5301 of the Anti-Drug 
Abuse Act of 1988, 21 U.S.C. 853(a). 
Shawn McMillen 
General Manager 
Celltech Research Inc. 
Test Lab: 
CELLTECH RESEARCH INC. 
Testing and Engineering Lab 
1955 Moss Court 
Kelowna, B.C. 
Canada V1Y 9L3  
Phone:       250 - 860-3130 
Fax:           250 - 860-3110 
Toll Free:  1-877-545-6287 
e-mail:       info@celltechlabs.com 
web site:    www.celltechlabs.com 
Applicant Information: 
RELM WIRELESS CORPORATION 
7100 Technology Drive 
West Melbourne, FL 32904 
   FCC Rule Part(s):    2.1093; ET Docket 96-326 
FCC ID:   ARURPV516A 
Model(s):   RPV516A 
   EUT Type:   Portable VHF PTT Radio Transceiver 
   Modulation:   FM 
Tx Frequency Range: 150.05 - 173.95 MHz 
Conducted Power Tested: 5.3 Watts 
 Antenna Type:    Helical Whip 
   Battery Type:   7.2VDC, 1100mAh, Ni-Cd 
   Body-Worn Accessory: 1.4cm Belt-Clip 

CELLTECH RESEARCH INC.                                                                 Test Report S/N: 092601-169ARU 
1955 Moss Court, Kelowna                                                                                                Date of Tests: October 16, 2001 
B.C. Canada V1Y 9L3                                                                                                                  FCC SAR Evaluation 
_________________________________________________________________________________________________________ 
© 2001 Celltech Research Inc.   
TABLE OF CONTENTS 
 1.0 INTRODUCTION…………………………………………………………   1  
2.0 DESCRIPTION OF EQUIPMENT UNDER TEST…………………….   1 
3.0 SAR MEASUREMENT SYSTEM ………………………………………   2 
4.0 SAR MEASUREMENT SUMMARY…………………………………… 3-4 
5.0 DETAILS OF SAR EVALUATION………………………………….….   5 
6.0 EVALUATION PROCEDURES……..…………………………………..   5 
7.0 SYSTEM VALIDATION………………………………………………....   6 
8.0 TISSUE PARAMETERS…………………………………………………   6 
9.0 SIMULATED TISSUES…………………………….…………………….   7 
10.0 SAR SAFETY LIMITS…….…..…………………………………………   7 
11.0 ROBOT SYSTEM SPECIFICATIONS.…………………………………   8 
12.0 PROBE SPECIFICATION………………………………………………   9 
13.0 SAM PHANTOM…………………………………….….………………...   9 
14.0 DEVICE HOLDER……………………………………..…………………   9 
15.0 TEST EQUIPMENT LIST………………………………………..………  10 
16.0 MEASUREMENT UNCERTAINTIES………………………………….   11 
17.0 REFERENCES…………………………………………………………….   12 
APPENDIX A - SAR MEASUREMENT DATA…………...…………………….  13 
APPENDIX B - DIPOLE VALIDATION………………………………………...  14 
APPENDIX C - PROBE CALIBRATION……………………………………….. 15 
APPENDIX D – DETERMINATION OF PROBE CONVERSION FACTORS 16 
APPENDIX E – SAR SENSITIVITIES…………………………………………... 17 
APPENDIX F - SAR TEST SETUP PHOTOGRAPHS………………...………. 18 

CELLTECH RESEARCH INC.                                                                 Test Report S/N: 092601-169ARU 
1955 Moss Court, Kelowna                                                                                                Date of Tests: October 16, 2001 
B.C. Canada V1Y 9L3                                                                                                                  FCC SAR Evaluation 
_________________________________________________________________________________________________________ 
© 2001 Celltech Research Inc.         RELM WIRELESS CORP. FCC ID: ARURPV516A    1 
                             Portable VHF PTT Radio Transceiver (150-174MHz) 
1.0  INTRODUCTION 
This measurement report shows compliance of the RELM WIRELESS CORP. Model: RPV516A 
Portable VHF PTT Radio Transceiver FCC ID: ARURPV516A with the regulations and 
procedures specified in FCC Part 2.1093, ET Docket 96-326 Rules (controlled exposure). The 
test procedures, as described in American National Standards Institute C95.1-1992 (1), and FCC 
OET Bulletin 65, Supplement C (Edition 01-01) (2) were employed.  A description of the 
product and operating configuration, detailed summary of the test results, methodology and 
procedures used in the evaluation, equipment used, and the various provisions of the rules are 
included within this test report.  
2.0  DESCRIPTION OF EQUIPMENT UNDER TEST (EUT) 
Rule Part(s) FCC 2.1093 
 ET Docket 96.326 Modulation FM 
EUT Type Portable VHF PTT 
Radio Transceiver Tx Frequency 
Range (MHz) 150.05 – 173.95 
FCC ID ARURPV516A Conducted Power 
Tested 5.3 Watts 
Model No.(s) RPV516A Antenna Type(s) Helical Whip 
Serial No. Pre-production Power Supply Ni-Cd Battery  
(DC 7.2V 1100mAh) 
Front of EUT
Back of EUT
Left Side 
of EUT 
Right Side 
of EUT 
EUT with Speaker/Mic

CELLTECH RESEARCH INC.                                                                 Test Report S/N: 092601-169ARU 
1955 Moss Court, Kelowna                                                                                                Date of Tests: October 16, 2001 
B.C. Canada V1Y 9L3                                                                                                                  FCC SAR Evaluation 
_________________________________________________________________________________________________________ 
© 2001 Celltech Research Inc.         RELM WIRELESS CORP. FCC ID: ARURPV516A    2 
                             Portable VHF PTT Radio Transceiver (150-174MHz) 
3.0  SAR MEASUREMENT SYSTEM 
Celltech Research SAR measurement facility utilizes the Dosimetric Assessment System (DASY™) 
manufactured by Schmid & Partner Engineering AG (SPEAG™) of Zurich, Switzerland.  The 
DASY system is comprised of the robot controller, computer, near-field probe, probe alignment 
sensor, and the SAM phantom containing brain or body equivalent material.  The robot is a six-axis 
industrial robot performing precise movements to position the probe to the location (points) of 
maximum electromagnetic field (EMF).  A cell controller system contains the power supply, robot 
controller, teach pendant (Joystick), and remote control, is used to drive the robot motors.  The 
Staubli robot is connected to the cell controller to allow software manipulation of the robot.  A data 
acquisition electronic (DAE) circuit performs the signal amplification, signal multiplexing, AD-
conversion, offset measurements, mechanical surface detection, collision detection, etc. is connected 
to the Electro-optical coupler (EOC).  The EOC performs the conversion from the optical into digital 
electric signal of the DAE and transfers data to the PC plug-in card.  The DAE3 utilizes a highly 
sensitive electrometer-grade preamplifier with auto-zeroing, a channel and gain-switching 
multiplexer, a fast 16-bit AD-converter and a command decoder and control logic unit.  
Transmission to the PC-card is accomplished through an optical downlink for data and status 
information and an optical uplink for commands and clock lines. The mechanical probe-mounting 
device includes two different sensor systems for frontal and sidewise probe contacts.  They are also 
used for mechanical surface detection and probe collision detection. The robot uses its own controller 
with a built in VME-bus computer. 
   DASY3 SAR Measurement System with SAM phantom 

CELLTECH RESEARCH INC.                                                                 Test Report S/N: 092601-169ARU 
1955 Moss Court, Kelowna                                                                                                Date of Tests: October 16, 2001 
B.C. Canada V1Y 9L3                                                                                                                  FCC SAR Evaluation 
_________________________________________________________________________________________________________ 
© 2001 Celltech Research Inc.         RELM WIRELESS CORP. FCC ID: ARURPV516A    3 
                             Portable VHF PTT Radio Transceiver (150-174MHz) 
4.0  SAR MEASUREMENT SUMMARY 
The measurement results were obtained with the EUT tested in the conditions described in this 
report.  Detailed measurement data and plots showing the maximum SAR location of the EUT 
are reported in Appendix A.     
Face-Held SAR Measurements 
Notes: 1. The SAR values found were below the maximum limit of 8.0 w/kg (controlled exposure). 
2. The highest face-held SAR value found was 0.374 w/kg (100% duty cycle). 
3. The EUT was tested for face-held SAR with a 2.5 cm separation distance between the front 
of the EUT and the outer surface of the planar phantom. 
4. Ambient TEMPERATURE:  23.1 °C 
Relative HUMIDITY:  57.3 % 
Atmospheric PRESSURE:  100.2 kPa 
5. Fluid Temperature ≈ 23 °C 
6. During the entire test the conducted power was 
maintained to within 5% of the initial conducted 
power. 
SAR 
(w/kg) 
Freq. 
(MHz) Channel Mode 
Conducted 
Power 
(W) 
Antenna 
Position 
Separation 
Distance 
(cm) 100% 
Duty Cycle 50% 
Duty Cycle 
150.05 Low CW 5.3 Fixed 2.5 0.374 0.187 
162.50 Mid CW 5.3 Fixed 2.5 0.251 0.126 
173.95 High CW 5.3 Fixed 2.5 0.138 0.069 
Mixture Type: Brain 
Dielectric Constant:  52.6 
Conductivity:  0.76 
ANSI / IEEE C95.1 1992 - SAFETY LIMIT 
Spatial Peak Controlled Exposure/Occupational 
BRAIN: 8.0 W/kg (averaged over 1 gram) 
Face-held SAR Test Setup 
2.5cm Separation Distance 

CELLTECH RESEARCH INC.                                                                 Test Report S/N: 092601-169ARU 
1955 Moss Court, Kelowna                                                                                                Date of Tests: October 16, 2001 
B.C. Canada V1Y 9L3                                                                                                                  FCC SAR Evaluation 
_________________________________________________________________________________________________________ 
© 2001 Celltech Research Inc.         RELM WIRELESS CORP. FCC ID: ARURPV516A    4 
                             Portable VHF PTT Radio Transceiver (150-174MHz) 
Body-Worn SAR Measurements 
Notes: 1. The SAR values found were below the maximum limit of 8.0 w/kg (controlled exposure). 
2. The highest body-worn SAR value found was 0.965 w/kg (100% duty cycle). 
3. The EUT was tested for body-worn SAR with the attached belt-clip providing a 1.4cm 
separation distance between the back of the EUT and the outer surface of the planar phantom. 
4. Ambient TEMPERATURE:  23.1 °C 
Relative HUMIDITY:  57.3 % 
Atmospheric PRESSURE:  100.2 kPa 
5. Fluid Temperature ≈ 23 °C 
6. During the entire test the conducted power was 
maintained to within 5% of the initial conducted 
power. 
SAR 
(w/kg) 
Freq. 
(MHz) Channel Mode 
Conducted 
Power 
(W) 
Antenna 
Position 
Belt-Clip 
Separation 
Distance 
(cm) 100% 
Duty Cycle 50% 
Duty Cycle 
150.05 Low CW 5.3 Fixed 1.4 0.965 0.483 
162.50 Mid CW 5.3 Fixed 1.4 0.645 0.323 
173.95 High CW 5.3 Fixed 1.4 0.138 0.069 
Mixture Type: Body 
Dielectric Constant:  62.2 
Conductivity:  0.80 
ANSI / IEEE C95.1 1992 - SAFETY LIMIT 
Spatial Peak Controlled Exposure/Occupational 
BODY: 8.0 W/kg (averaged over 1 gram) 
Body-worn SAR Test Setup 
with 1.4cm Belt-Clip 
CELLTECH RESEARCH INC.                                                                 Test Report S/N: 092601-169ARU 
1955 Moss Court, Kelowna                                                                                                Date of Tests: October 16, 2001 
B.C. Canada V1Y 9L3                                                                                                                  FCC SAR Evaluation 
_________________________________________________________________________________________________________ 
© 2001 Celltech Research Inc.         RELM WIRELESS CORP. FCC ID: ARURPV516A    5 
                             Portable VHF PTT Radio Transceiver (150-174MHz) 
5.0  DETAILS OF SAR EVALUATION 
The RELM WIRELESS CORP. Model: RPV516A Portable VHF PTT Radio Transceiver FCC ID: 
ARURPV516A was found to be compliant for localized Specific Absorption Rate (Controlled Exposure) 
based on the following test provisions and conditions:  
1. The EUT was tested in a face-held configuration with the front of the device placed parallel to the 
outer surface of the planar phantom and with a 2.5cm separation distance. 
2. The EUT was tested in a body-worn configuration with the attached belt-clip touching the outer 
surface of the planar phantom and providing a 1.4cm separation distance between the back of the 
EUT and the outer surface of the planar phantom. 
3. The EUT was evaluated for SAR at maximum power and the unit was operated for an appropriate 
period prior to the evaluation in order to minimize drift.  The conducted power level was checked 
before and after each test. 
4. The conducted power was measured according to the procedures described in FCC Part 2.1046. 
5. The location of the maximum spatial SAR distribution (Hot Spot) was determined relative to the 
device and its antenna.  
6. The EUT was tested with a fully charged battery.  
Note: Under continuous transmission the antenna became very warm and began to droop slightly.  
The device was cooled for brief periods during the evaluation in order to stabilize the antenna.  The 
lower than expected SAR values reported for this particular EUT operating at the rated power levels 
can be attributed to excessive heating in the plastic antenna housing. 
6.0  EVALUATION PROCEDURES 
The Specific Absorption Rate (SAR) evaluation was performed in the following manner: 
a. (i) The evaluation was performed in the applicable area of the phantom depending on the type of 
device being tested.  For devices held to the ear during normal operation, both the left and right ear 
positions were evaluated in accordance with FCC OET Bulletin 65, Supplement C (Edition 01-01). 
(ii) For body-worn and face-held devices the planar section of the phantom was used. 
b. The SAR was determined by a pre-defined procedure within the DASY3 software.  Upon 
completion of a reference and optical surface check, the exposed region of the phantom was 
scanned near the inner surface with a grid spacing of 20mm x 20mm.  
c. For frequencies below 500MHz a 4x4x7 matrix was performed around the greatest spatial SAR 
distribution found during the area scan of the applicable exposed region.  For frequencies above 
500MHz a 5x5x7 matrix was performed.  SAR values were then calculated using a 3-D spline 
interpolation algorithm and averaged over spatial volumes of 1 and 10 grams. 
d. If the EUT had any appreciable drift over the course of the evaluation, then the EUT was re-
evaluated.  Any unusual anomalies over the course of the test also warranted a re-evaluation. 
e. The E-field probe conversion factors outside the calibrated points were determined as follows: 
• In brain and body tissue between 750MHz and 1GHz, the conversion factor decreases 
approximately 1.3% per 100MHz frequency increase. 
•  In brain and body tissue between 1.6GHz and 2GHz, the conversion factor decreases 
approximately 1% per 100MHz frequency increase. 
For body tissue around 900MHz (permittivity about 30% higher and conductivity about 15% 
higher than brain tissue): 
•   The conversion factor in body tissue is approximately 3% lower than for brain tissue for the 
same frequency. 

CELLTECH RESEARCH INC.                                                                 Test Report S/N: 092601-169ARU 
1955 Moss Court, Kelowna                                                                                                Date of Tests: October 16, 2001 
B.C. Canada V1Y 9L3                                                                                                                  FCC SAR Evaluation 
_________________________________________________________________________________________________________ 
© 2001 Celltech Research Inc.         RELM WIRELESS CORP. FCC ID: ARURPV516A    6 
                             Portable VHF PTT Radio Transceiver (150-174MHz) 
7.0  SYSTEM VALIDATION 
Prior to the assessment, the system was verified in the planar section of the phantom with a 900MHz 
dipole for devices operating below 1GHz, and an 1800MHz dipole for devices operating above 1GHz.  A 
forward power of 250mW was applied to the dipole and system was verified to a tolerance of +10%.  The 
applicable verifications are as follows (see Appendix B for validation test plot): 
8.0  TISSUE PARAMETERS 
The dielectric parameters of the fluids were verified prior to the SAR evaluation using an 85070C 
Dielectric Probe Kit and an 8753E Network Analyzer. The dielectric parameters of the fluid are as 
follows: 
Dipole Validation Kit Target SAR 1g (w/kg) Measured 
SAR 1g (w/kg) 
D900V2 2.78 2.76 
TISSUE PARAMETERS FOR DIPOLE VALIDATION 
Brain Equivalent Tissue  Dielectric Constant 
εεr Conductivity 
σσ (mho/m) ρρ (Kg/m3) 
900MHz (Target) 41.5 ±5% 0.97 ±5% 1000 
900MHz (Measured) 
10/16/01 42.4 0.97 1000 
BRAIN TISSUE PARAMETERS - EUT EVALUATION 
Equivalent Tissue  Dielectric Constant 
εεr Conductivity 
σσ (mho/m) ρρ (Kg/m3) 
150MHz Brain 
(Target) 52.3 ±5% 0.76 ±5% 1000 
150MHz Brain  
(Measured: 10/16/01) 52.6 0.76 1000 
BODY TISSUE PARAMETERS - EUT EVALUATION 
Equivalent Tissue Dielectric Constant 
εεr Conductivity 
σσ (mho/m) ρρ (Kg/m3) 
150MHz Body 
(Target) 61.9 ±5% 0.80 ±5% 1000 
150MHz Body  
(Measured: 10/16/01) 62.2 0.80 1000 

CELLTECH RESEARCH INC.                                                                 Test Report S/N: 092601-169ARU 
1955 Moss Court, Kelowna                                                                                                Date of Tests: October 16, 2001 
B.C. Canada V1Y 9L3                                                                                                                  FCC SAR Evaluation 
_________________________________________________________________________________________________________ 
© 2001 Celltech Research Inc.         RELM WIRELESS CORP. FCC ID: ARURPV516A    7 
                             Portable VHF PTT Radio Transceiver (150-174MHz) 
9.0  SIMULATED TISSUES  
The brain and body mixtures consist of a viscous gel using hydroxethylcellulose (HEC) gelling agent 
and saline solution.  Preservation with a bactericide is added and visual inspection is made to ensure air 
bubbles are not trapped during the mixing process.  The fluid was prepared according to standardized 
procedures and measured for dielectric parameters (permitivity and conductivity).    
10.0  SAR SAFETY LIMITS 
Notes:   
1. Uncontrolled environments are defined as locations where there is potential exposure of 
individuals who have no knowledge or control of their potential exposure. 
2. Controlled environments are defined as locations where there is potential exposure of 
individuals who have knowledge of their potential exposure and can exercise control over 
their exposure. 
SAR (W/Kg) 
EXPOSURE LIMITS (General Population / 
Uncontrolled Exposure 
Environment) 
(Occupational / 
Controlled Exposure 
Environment) 
Spatial Average 
(averaged over the whole body) 0.08 0.4 
Spatial Peak 
(averaged over any 1g of tissue) 1.60 8.0 
Spatial Peak 
(hands/wrists/feet/ankles 
averaged over 10g) 4.0 20.0 
MIXTURE % 
INGREDIENT 900MHz Brain 
(Validation) 150MHz Brain 150MHz Body 
Water 51.07 38.35 46.6 
Sugar 47.31 55.5 49.7 
Salt 1.15 5.15 2.6 
HEC 0.23 0.9 1.0 
Bactericide 0.24 0.1 0.1 

CELLTECH RESEARCH INC.                                                                 Test Report S/N: 092601-169ARU 
1955 Moss Court, Kelowna                                                                                                Date of Tests: October 16, 2001 
B.C. Canada V1Y 9L3                                                                                                                  FCC SAR Evaluation 
_________________________________________________________________________________________________________ 
© 2001 Celltech Research Inc.         RELM WIRELESS CORP. FCC ID: ARURPV516A    8 
                             Portable VHF PTT Radio Transceiver (150-174MHz) 
11.0  ROBOT SYSTEM SPECIFICATIONS 
Specifications 
 POSITIONER: Stäubli Unimation Corp. Robot Model: RX60L 
 Repeatability: 0.02 mm    
 No. of axis:    6  
Data Acquisition Electronic (DAE) System 
 Cell Controller 
Processor:    Pentium III 
 Clock Speed:   450 MHz 
 Operating System: Windows NT  
Data Card:    DASY3 PC-Board 
 Data Converter  
 Features:    Signal Amplifier, multiplexer, A/D converter, and control logic 
 Software:    DASY3 software 
 Connecting Lines: Optical downlink for data and status info.   
     Optical uplink for commands and clock 
PC Interface Card 
Function:    24 bit (64 MHz) DSP for real time processing 
   Link to DAE3 
   16-bit A/D converter for surface detection system 
   serial link to robot 
   direct emergency stop output for robot  
E-Field Probe      
 Model:    ET3DV6 
 Serial No.:    1590 
 Construction:   Triangular core fiber optic detection system 
 Frequency:    10 MHz to 6 GHz 
 Linearity:    ± 0.2 dB (30 MHz to 3 GHz)     
Phantom      
 Type:     SAM V4.0C       
 Shell Material: Fiberglass 
Thickness:    2.0 ± 0.1 mm 
Volume:    Approx. 20 liters 

CELLTECH RESEARCH INC.                                                                 Test Report S/N: 092601-169ARU 
1955 Moss Court, Kelowna                                                                                                Date of Tests: October 16, 2001 
B.C. Canada V1Y 9L3                                                                                                                  FCC SAR Evaluation 
_________________________________________________________________________________________________________ 
© 2001 Celltech Research Inc.         RELM WIRELESS CORP. FCC ID: ARURPV516A    9 
                             Portable VHF PTT Radio Transceiver (150-174MHz) 
ET3DV6 E-Field Probe 
12.0  PROBE SPECIFICATION (ET3DV6) 
Construction: Symmetrical design with triangular core 
  Built-in shielding against static charges 
  PEEK enclosure material (resistant to organic solvents, e.g. glycol) 
Calibration: In air from 10 MHz to 2.5 GHz 
  In brain simulating tissue at frequencies of 900 MHz 
     and 1.8 GHz (accuracy ± 8%) 
Frequency: 10 MHz to > 6 GHz; Linearity: ± 0.2 dB 
  (30 MHz to 3 GHz) 
Directivity: ± 0.2 dB in brain tissue (rotation around probe axis) 
  ± 0.4 dB in brain tissue (rotation normal to probe axis) 
Dynam. Rnge: 5 µW/g to > 100 mW/g; Linearity: ± 0.2 dB 
Srfce. Detect. ± 0.2 mm repeatability in air and clear liquids over 
     diffuse reflecting surfaces 
Dimensions: Overall length: 330 mm 
  Tip length: 16 mm 
  Body diameter: 12 mm 
  Tip diameter: 6.8 mm 
  Distance from probe tip to dipole centers: 2.7 mm 
Application: General dosimetry up to 3 GHz 
     Compliance tests of mobile phone  
13.0  SAM PHANTOM V4.0C 
The SAM phantom V4.0C is a fiberglass shell phantom with a 2.0mm 
shell thickness for left and right head and flat planar area integrated in a 
wooden table.  The shape of the fiberglass shell corresponds to the 
phantom defined by SCC34-SC2.  The device holder positions are 
adjusted to the standard measurement positions in the three sections. 
14.0  DEVICE HOLDER 
The DASY3 device holder has two scales for device rotation (with respect 
to the body axis) and the device inclination (with respect to the line 
between the ear openings).  The plane between the ear openings and the 
mouth tip has a rotation angle of 65°.  The bottom plate contains three pair 
of bolts for locking the device holder.  The device holder positions are 
adjusted to the standard measurement positions in the three sections. 
SAM Phantom 
Device Holder 

CELLTECH RESEARCH INC.                                                                 Test Report S/N: 092601-169ARU 
1955 Moss Court, Kelowna                                                                                                Date of Tests: October 16, 2001 
B.C. Canada V1Y 9L3                                                                                                                  FCC SAR Evaluation 
_________________________________________________________________________________________________________ 
© 2001 Celltech Research Inc.         RELM WIRELESS CORP. FCC ID: ARURPV516A    10 
                             Portable VHF PTT Radio Transceiver (150-174MHz) 
15.0  TEST EQUIPMENT LIST 
SAR MEASUREMENT SYSTEM 
EQUIPMENT 
SERIAL NO. 
CALIBRATION DATE 
DASY3 System 
-Robot 
-ET3DV6 E-Field Probe 
-DAE 
-900MHz Validation Dipole 
-1800MHz Validation Dipole 
-SAM Phantom V4.0C 
599396-01 
1590 
370 
054 
247 
N/A 
N/A 
Mar 2001 
Sept 1999 
June 2001 
June 2001 
N/A 
85070C Dielectric Probe Kit 
N/A  
N/A 
Gigatronics 8652A Power Meter 
-Power Sensor 80701A 
-Power Sensor 80701A 
1835272 
1833535 
1833542 
Oct 1999 
Jan 2001 
Feb 2001 
E4408B Spectrum Analyzer 
US39240170  
Nov 1999 
8594E Spectrum Analyzer 
3543A02721  
Mar 2000 
8753E Network Analyzer 
US38433013  
Nov 1999 
8648D Signal Generator 
3847A00611  
N/A 
5S1G4 Amplifier Research Power Amplifier 
26235  
N/A 

CELLTECH RESEARCH INC.                                                                 Test Report S/N: 092601-169ARU 
1955 Moss Court, Kelowna                                                                                                Date of Tests: October 16, 2001 
B.C. Canada V1Y 9L3                                                                                                                  FCC SAR Evaluation 
_________________________________________________________________________________________________________ 
© 2001 Celltech Research Inc.         RELM WIRELESS CORP. FCC ID: ARURPV516A    11 
                             Portable VHF PTT Radio Transceiver (150-174MHz) 
16.0  MEASUREMENT UNCERTAINTIES 
Uncertainty Description Error Distribution Weight Standard 
Deviation Offset 
Probe Uncertainty          
Axial isotropy  ±0.2 dB U-Shaped 0.5 ±2.4 %  
Spherical isotropy ±0.4 dB U-Shaped 0.5 ±4.8 %  
Isotropy from gradient ±0.5 dB U-Shaped 0 ±  
Spatial resolution ±0.5 % Normal 1 ±0.5 %  
Linearity error ±0.2 dB Rectangle 1 ±2.7 %  
Calibration error ±3.3 % Normal 1 ±3.3 %  
SAR Evaluation Uncertainty          
Data acquisition error ±1 % Rectangle 1 ±0.6 %  
ELF and RF disturbances ±0.25 % Normal  1 ±0.25 %  
Conductivity assessment ±5 % Rectangle 1 ±5.8 %  
Spatial Peak SAR Evaluation 
Uncertainty          
Extrapolated boundary effect ±3 % Normal 1 ±3 % ±5 % 
Probe positioning error ±0.1 mm Normal 1 ±1 %  
Integrated and cube orientation ±3 % Normal 1 ±3 %  
Cube Shape inaccuracies ±2 % Rectangle 1 ±1.2 %  
Device positioning ±6 % Normal 1 ±6 %  
Combined Uncertainties       ±11.7 % ±5 % 
Measurement uncertainties in SAR measurements are difficult to quantify due to several 
variables including biological, physiological, and environmental. 
According to ANSI/IEEE C95.3, the overall uncertainties are difficult to assess and will vary 
with the type of meter and usage situation.  However, accuracy’s of ± 1 to 3 dB can be expected 
in practice, with greater uncertainties in near-field situations and at higher frequencies (shorter 
wavelengths), or areas where large reflecting objects are present. Under optimum measurement 
conditions, SAR measurement uncertainties of at least ± 2dB can be expected. 
According to CENELEC, typical worst-case uncertainty of field measurements is ± 5 dB. 
For well-defined modulation characteristics the uncertainty can be reduced to ± 3 dB.
CELLTECH RESEARCH INC.                                                                 Test Report S/N: 092601-169ARU 
1955 Moss Court, Kelowna                                                                                                Date of Tests: October 16, 2001 
B.C. Canada V1Y 9L3                                                                                                                  FCC SAR Evaluation 
_________________________________________________________________________________________________________ 
© 2001 Celltech Research Inc.         RELM WIRELESS CORP. FCC ID: ARURPV516A    12 
                             Portable VHF PTT Radio Transceiver (150-174MHz) 
17.0  REFERENCES 
(1) ANSI, ANSI/IEEE C95.1: IEEE Standard for Safety Levels with Respect to Human Exposure 
to Radio Frequency Electromagnetic Fields, 3kHz to 300 Ghz, The Institute of Electrical and 
Electronics Engineers, Inc., New York, NY: 1992. 
(2) Federal Communications Commission, “Evaluating Compliance with FCC Guidelines for 
Human Exposure to Radio frequency Electromagnetic Fields”, OET Bulletin 65, Supplement C 
(Edition 01-01), FCC, Washington, D.C. 20554: June 2001. 
(3) Thomas Schmid, Oliver Egger, and Neils Kuster, “Automated E-field scanning system for 
dosimetric assessments”, IEEE Transaction on Microwave Theory and Techniques, Vol. 44, pp. 
105 – 113: January 1996. 
(4) Niels Kuster, Ralph Kastle, and Thomas Schmid, “Dosimetric evaluation of mobile 
communications equipment with know precision”, IEICE Transactions of Communications, vol. 
E80-B, no. 5, pp. 645 – 652: May 1997. 
CELLTECH RESEARCH INC.                                                                 Test Report S/N: 092601-169ARU 
1955 Moss Court, Kelowna                                                                                                Date of Tests: October 16, 2001 
B.C. Canada V1Y 9L3                                                                                                                  FCC SAR Evaluation 
_________________________________________________________________________________________________________ 
© 2001 Celltech Research Inc.         RELM WIRELESS CORP. FCC ID: ARURPV516A    13 
                             Portable VHF PTT Radio Transceiver (150-174MHz) 
APPENDIX A - SAR MEASUREMENT DATA 

RELM Wireless Corporation FCC ID: ARURPV516A
SAM Phantom; Flat Section; Position: (90°,90°)
Probe: ET3DV6 - SN1590; ConvF(7.71,7.71,7.71); Crest factor: 1.0
150 MHz Brain : 
σ
 = 0.76 mho/m ε
r
 = 52.3 
ρ
 = 1.00 g/cm3
Coarse: Dx = 20.0, Dy = 20.0, Dz = 10.0
Cube 4x4x7
SAR (1g): 0.374  mW/g, SAR (10g): 0.282  mW/g
Face SAR at 2.5 cm Separation Distance
Relm Wireless Model: RPV516A
Continuous Wave Mode
Low Channel (150.05 MHz)
Conducted Power: 5.3 Watts
Date Tested: October 16, 2001
SARTot [mW/g]
2.81E-2
8.42E-2
1.40E-1
1.97E-1
2.53E-1
3.09E-1
3.65E-1
Celltech Research Inc.
Celltech Research Inc.

RELM Wireless Corporation FCC ID: ARURPV516A
SAM Phantom; Flat Section; Position: (90°,90°)
Probe: ET3DV6 - SN1590; ConvF(7.71,7.71,7.71); Crest factor: 1.0
150 MHz Brain : 
σ
 = 0.76 mho/m ε
r
 = 52.3 
ρ
 = 1.00 g/cm3
Coarse: Dx = 20.0, Dy = 20.0, Dz = 10.0
Cube 4x4x7
SAR (1g): 0.251  mW/g , SAR (10g): 0.187  mW/g
Face SAR at 2.5 cm Separation Distance
Relm Wireless Model: RPV516A
Continuous Wave Mode
Mid Channel (162.50 MHz)
Conducted Power: 5.3 Watts
Date Tested: October 16, 2001
SARTot [mW/g]
1.89E-2
5.66E-2
9.43E-2
1.32E-1
1.70E-1
2.07E-1
2.45E-1
Celltech Research Inc.
Celltech Research Inc.

RELM Wireless Corporation FCC ID: ARURPV516A
SAM Phantom; Flat Section; Position: (90°,90°)
Probe: ET3DV6 - SN1590; ConvF(7.71,7.71,7.71); Crest factor: 1.0
150 MHz Brain : 
σ
 = 0.76 mho/m ε
r
 = 52.3 
ρ
 = 1.00 g/cm3
Coarse: Dx = 20.0, Dy = 20.0, Dz = 10.0
Cube 4x4x7
SAR (1g): 0.138  mW/g, SAR (10g): 0.104  mW/g
Face SAR at 2.5 cm Separation Distance
Relm Wireless Model: RPV516A
Continuous Wave Mode
High Channel (173.95 MHz)
Conducted Power: 5.3 Watts
Date Tested: October 16, 2001
SARTot [mW/g]
9.29E-3
2.79E-2
4.64E-2
6.50E-2
8.36E-2
1.02E-1
1.21E-1
Celltech Research Inc.
Celltech Research Inc.

RELM Wireless Corporation FCC ID: ARURPV516A
SAM Phantom; Flat Section
Probe: ET3DV6 - SN1590; ConvF(7.71,7.71,7.71); Crest factor: 1.0
150 MHz Brain : 
σ
 = 0.76 mho/m ε
r
 = 52.3 
ρ
 = 1.00 g/cm3
Cube 4x4x7
Z-Axis Extrapolation at Peak SAR Location
Face SAR at 2.5 cm Separation Distance
Relm Wireless Model: RPV516A
Continuous Wave Mode
Low Channel (150.05 MHz)
Conducted Power: 5.3 Watts
Date Tested: October 16, 2001
10/16/01
Celltech Research Inc.
0.00
0.10
0.20
0.30
0.40
0 10 20 30 40
SAR tot [mW/g]
[mm]

RELM Wireless Corporation FCC ID: ARURPV516A
SAM Phantom; Flat Section; Position: (270°,270°)
Probe: ET3DV6 - SN1590; ConvF(7.65,7.65,7.65); Crest factor: 1.0
150 MHz Muscle: 
σ
 = 0.80 mho/m ε
r
 = 61.9 
ρ
 = 1.00 g/cm3
Coarse: Dx = 20.0, Dy = 20.0, Dz = 10.0
Cube 4x4x7
SAR (1g): 0.965  mW/g, SAR (10g): 0.612  mW/g
Body SAR with 1.4 cm Belt-Clip Separation
Relm Wireless Model: RPV516A
Continuous Wave Mode
Low Channel (150.05 MHz)
Conducted Power: 5.3 Watts
Date Tested: October 16, 2001
SARTot [mW/g]
6.86E-2
2.06E-1
3.43E-1
4.80E-1
6.17E-1
7.54E-1
8.91E-1
Celltech Research Inc.
Celltech Research Inc.

RELM Wireless Corporation FCC ID: ARURPV516A
SAM Phantom; Flat Section; Position: (270°,270°)
Probe: ET3DV6 - SN1590; ConvF(7.65,7.65,7.65); Crest factor: 1.0
150 MHz Muscle: 
σ
 = 0.80 mho/m ε
r
 = 61.9 
ρ
 = 1.00 g/cm3
Coarse: Dx = 20.0, Dy = 20.0, Dz = 10.0
Cube 4x4x7
SAR (1g): 0.645  mW/g, SAR (10g): 0.468  mW/g
Body SAR with 1.4 cm Belt-Clip Separation
Relm Wireless Model: RPV516A
Continuous Wave Mode
Mid Channel (162.50 MHz)
Conducted Power: 5.3 Watts
Date Tested: October 16, 2001
SARTot [mW/g]
4.89E-2
1.47E-1
2.45E-1
3.42E-1
4.40E-1
5.38E-1
6.36E-1
Celltech Research Inc.
Celltech Research Inc.

RELM Wireless Corporation FCC ID: ARURPV516A
SAM Phantom; Flat Section; Position: (270°,270°)
Probe: ET3DV6 - SN1590; ConvF(7.65,7.65,7.65); Crest factor: 1.0
150 MHz Muscle: 
σ
 = 0.80 mho/m ε
r
 = 61.9 
ρ
 = 1.00 g/cm3
Coarse: Dx = 20.0, Dy = 20.0, Dz = 10.0
Cube 4x4x7
SAR (1g): 0.138  mW/g  , SAR (10g): 0.103  mW/g
Body SAR with 1.4 cm Belt-Clip Separation
Relm Wireless Model: RPV516A
Continuous Wave Mode
High Channel (173.95 MHz)
Conducted Power: 5.3 Watts
Date Tested: October 16, 2001
SARTot [mW/g]
1.01E-2
3.04E-2
5.07E-2
7.10E-2
9.13E-2
1.12E-1
1.32E-1
Celltech Research Inc.
Celltech Research Inc.

RELM Wireless Corporation FCC ID: ARURPV516A
SAM Phantom; Flat Section
Probe: ET3DV6 - SN1590; ConvF(7.65,7.65,7.65); Crest factor: 1.0;
150 MHz Muscle: 
σ
 = 0.80 mho/m ε
r
 = 61.9 
ρ
 = 1.00 g/cm3
Cube 4x4x7
Z-Axis Extrapolation at Peak SAR Location
Body SAR with 1.4 cm Belt-Clip Separation
Relm Wireless Model: RPV516A
Continuous Wave Mode
Low Channel (150.05 MHz)
Conducted Power: 5.3 Watts
Date Tested: October 16, 2001
11/16/01
Celltech Research Inc.
0.0
0.2
0.4
0.6
0.8
1.0
1.2
1.4
1.6
1.8
0 10 20 30 40
SAR tot [mW/g]
[mm]
CELLTECH RESEARCH INC.                                                                 Test Report S/N: 092601-169ARU 
1955 Moss Court, Kelowna                                                                                                Date of Tests: October 16, 2001 
B.C. Canada V1Y 9L3                                                                                                                  FCC SAR Evaluation 
_________________________________________________________________________________________________________ 
© 2001 Celltech Research Inc.         RELM WIRELESS CORP. FCC ID: ARURPV516A    14 
                             Portable VHF PTT Radio Transceiver (150-174MHz) 
APPENDIX B - DIPOLE VALIDATION 

Dipole 900 MHz
SAM Phantom; Flat Section; - Validation Date: October 16, 2001
Probe: ET3DV6 - SN1590; ConvF(6.83,6.83,6.83); Crest factor: 1.0; Brain 900 MHz: 
σ
 = 0.97 mho/m ε
r
 = 42.4 
ρ
 = 1.00 g/cm3
Cubes (2): Peak: 4.47   mW/g ± 0.00 dB, SAR (1g): 2.76   mW/g ± 0.00 dB, SAR (10g): 1.74   mW/g ± 0.00 dB, (Worst-case extrapolation)
Penetration depth: 11.5 (10.4, 12.9) [mm]
Powerdrift: -0.02 dB
SARTot [mW/g]
2.96E-1
5.93E-1
8.91E-1
1.17E+0
1.478E+0
1.77E+0
2.06E+0
2.36E+0
2.66E+0
2.96E+0
Celltech Research Inc.
Celltech Research Inc.

Validation Dipole D900V2 SN:054, d = 15 mm
Frequency: 900 MHz; Antenna Input Power: 250 [mW]
Generic Twin Phantom; Flat Section; Grid Spacing:Dx = 15.0, Dy = 15.0, Dz = 10.0
Probe: ET3DV6 - SN1507; ConvF(6.27,6.27,6.27); Crest factor: 1.0; IEEE1528 900 MHz: σ = 0.97 mho/m ε
r
 = 42.4 ρ = 1.00 g/cm3
Cubes (2): Peak: 4.47   mW/g ± 0.05 dB, SAR (1g): 2.78   mW/g ± 0.04 dB, SAR (10g): 1.76   mW/g ± 0.02 dB, (Worst-case extrapolation)
Penetration depth: 11.5 (10.3, 13.2) [mm]
Powerdrift: -0.00 dB
SARTot [mW/g]
2.50E-1
5.00E-1
7.50E-1
1.00E+0
1.25E+0
1.50E+0
1.75E+0
2.00E+0
2.25E+0
2.50E+0
06/19/01
Schmid & Partner Engineering AG, Zurich, Switzerland
CELLTECH RESEARCH INC.                                                                 Test Report S/N: 092601-169ARU 
1955 Moss Court, Kelowna                                                                                                Date of Tests: October 16, 2001 
B.C. Canada V1Y 9L3                                                                                                                  FCC SAR Evaluation 
_________________________________________________________________________________________________________ 
© 2001 Celltech Research Inc.         RELM WIRELESS CORP. FCC ID: ARURPV516A    15 
                             Portable VHF PTT Radio Transceiver (150-174MHz) 
APPENDIX C - PROBE CALIBRATION 
Probe  ET3DV6
SN:1590
Manufactured: March 19, 2001
Calibrated: March 26, 2001
Calibrated for System DASY3
Page 1 of 8
ET3DV6 SN:1590
DASY3 - Parameters of Probe: ET3DV6 SN:1590
Sensitivity in Free Space Diode Compression
NormX 1.77 µV/(V/m)2DCP X 100 mV
NormY 1.91 µV/(V/m)2DCP Y 100 mV
NormZ 1.67 µV/(V/m)2DCP Z 100 mV
Sensitivity in Tissue Simulating Liquid
Head 450 MHz  ε
r 
=43.5 ± 5%  σ  =0.87 ± 10% mho/m
ConvF X 7.36  extrapolated Boundary effect:
ConvF Y 7.36  extrapolated Alpha 0.29
ConvF Z 7.36  extrapolated Depth 2.72
Head 900 MHz  ε
r 
=42 ± 5%  σ  =0.97 ± 10% mho/m
ConvF X 6.83  ± 7% (k=2) Boundary effect:
ConvF Y 6.83  ± 7% (k=2) Alpha 0.37
ConvF Z 6.83  ± 7% (k=2) Depth 2.48
Head 1500 MHz  ε
r 
=40.4 ± 5%  σ  =1.23 ± 10% mho/m
ConvF X 6.13  interpolated Boundary effect:
ConvF Y 6.13  interpolated Alpha 0.47
ConvF Z 6.13  interpolated Depth 2.17
Head 1800 MHz  ε
r 
=40 ± 5%  σ  =1.40 ± 10% mho/m
ConvF X 5.78  ± 7% (k=2) Boundary effect:
ConvF Y 5.78  ± 7% (k=2) Alpha 0.53
ConvF Z 5.78  ± 7% (k=2) Depth 2.01
Sensor Offset
Probe Tip to Sensor Center 2.7 mm
Optical Surface Detection 1.2 ± 0.2 mm
Page 2 of 8

ET3DV6 SN:1590
Receiving Pattern (φ), θ = 0°
f = 30 MHz, TEM cell ifi110
010 20 30
40
50
60
70
80
90
100
110
120
130
140
150
160
170
180
190
200
210
220
230
240
250
260
270
280
290
300
310
320
330 340 350
XYZTot
f = 100 MHz, TEM cell ifi110
010 20 30
40
50
60
70
80
90
100
110
120
130
140
150
160
170
180
190
200
210
220
230
240
250
260
270
280
290
300
310
320
330 340 350
XYZTot
f = 300 MHz, TEM cell ifi110
010 20 30
40
50
60
70
80
90
100
110
120
130
140
150
160
170
180
190
200
210
220
230
240
250
260
270
280
290
300
310
320
330 340 350
XYZTot
f = 900 MHz, TEM cell ifi110
010 20 30
40
50
60
70
80
90
100
110
120
130
140
150
160
170
180
190
200
210
220
230
240
250
260
270
280
290
300
310
320
330 340 350
XYZTot
Page 3 of 8

ET3DV6 SN:1590
Isotropy Error (φ ), θ = 0°
-1.00
-0.80
-0.60
-0.40
-0.20
0.00
0.20
0.40
0.60
0.80
1.00
0 60 120 180 240 300 360
error[dB]
30 MHz
100 MHz
300 MHz
900 MHz
1800 MHz
2500 MHz
f = 1800 MHz, WG R22
010 20 30
40
50
60
70
80
90
100
110
120
130
140
150
160
170
180
190
200
210
220
230
240
250
260
270
280
290
300
310
320
330 340 350
XYZTot
f = 2500 MHz, WG R26
010 20 30
40
50
60
70
80
90
100
110
120
130
140
150
160
170
180
190
200
210
220
230
240
250
260
270
280
290
300
310
320
330 340 350
XYZTot
Page 4 of 8

ET3DV6 SN:1590
Frequency Response of E-Field
( TEM-Cell:ifi110, Waveguide R22)
0.50
0.60
0.70
0.80
0.90
1.00
1.10
1.20
1.30
1.40
1.50
0 500 1000 1500 2000 2500 3000
f [MHz]
frequency response
TEM R22
Page 5 of 8

ET3DV6 SN:1590
Dynamic Range f(SAR
brain
)
( TEM-Cell:ifi110 )
ET3DV6 SN:1590
1.E+0
1.E+1
1.E+2
1.E+3
1.E+4
1.E+5
1.E+6
1.E+7
0.0001 0.001 0.01 0.1 1. 10. 100.
mW/cm3
µV
not compensated compensated
-2.0
-1.0
0.0
1.0
0.001 0.01 0.1 1 10 100
mW/cm3
errror[dB]
Page 6 of 8

Conversion Factor Assessment
Head 900 MHz  ε
r 
=42 ± 5%  σ  =0.97 ± 10% mho/m
ConvF X 6.83  ± 7% (k=2) Boundary effect:
ConvF Y 6.83  ± 7% (k=2) Alpha 0.37
ConvF Z 6.83  ± 7% (k=2) Depth 2.48
Head 1800 MHz  ε
r 
=40 ± 5%  σ  =1.40 ± 10% mho/m
ConvF X 5.78  ± 7% (k=2) Boundary effect:
ConvF Y 5.78  ± 7% (k=2) Alpha 0.53
ConvF Z 5.78  ± 7% (k=2) Depth 2.01
ET3DV6 SN:1590
f = 900 MHz, WG R9 (head)
0.00
0.10
0.20
0.30
0.40
0.50
0.60
0.70
0.80
0.90
0 20 40 60
z[mm]
SAR[mW/cm3] / W
Analytical Measuremets
f = 1800 MHz, WG R22 (head)
0.00
1.00
2.00
3.00
4.00
5.00
6.00
7.00
0 20 40 60
z[mm]
SAR[mW/cm3] / W
Analytical Measuremets
Page 7 of 8

Deviation from Isotropy in HSL
Error (θ,φ ), f = 900 MHz
0
40
80
120
160
200
240
280
320
010 20 30 40 50 60
-1.00
-0.80
-0.60
-0.40
-0.20
0.00
0.20
0.40
0.60
0.80
1.00
Error [dB]
θ
φ
-1.00--0.80 -0.80--0.60 -0.60--0.40 -0.40--0.20 -0.20-0.00
0.00-0.20 0.20-0.40 0.40-0.60 0.60-0.80 0.80-1.00
Page 8 of 8
CELLTECH RESEARCH INC.                                                                 Test Report S/N: 092601-169ARU 
1955 Moss Court, Kelowna                                                                                                Date of Tests: October 16, 2001 
B.C. Canada V1Y 9L3                                                                                                                  FCC SAR Evaluation 
_________________________________________________________________________________________________________ 
© 2001 Celltech Research Inc.         RELM WIRELESS CORP. FCC ID: ARURPV516A    16 
                             Portable VHF PTT Radio Transceiver (150-174MHz) 
APPENDIX D - DETERMINATION OF E-FIELD PROBE CONVERSION NUMBERS 

Determination of Probe Conversion Factors for 150MHz 
Since at this time there exists no experimental method in determining E-field probe 
conversion factors for frequencies below 800MHz, the following procedure was carried 
out to give an approximation of the probe conversion factors for 150MHz. 
The accuracy of the system was determined based on the two calibrated test frequencies 
of 900 and 1800MHz, using validation dipoles as supplied by the manufacturer.  The 
measured results were found to be within the specified tolerances.  For conversion factors 
outside these two frequencies a linear extrapolation was performed as per the 
manufacturer’s recommendations.  In order to determine the accuracy of the conversion 
factors, 300 and 450MHz dipoles were constructed in accordance with IEEE Std. P1528.  
The two dipoles were then characterized for SAR using the appropriate head simulating 
fluid for the given frequencies in a planar phantom as prescribed in IEEE Std. P1528.  
The table below indicates the analytical target values for each dipole with the associated 
measured results.   
Frequency 
(MHz) 
Analytical SAR 
@ 1W input 
averaged over 
1 gram 
Measured SAR 
@ 1W input 
averaged over 
1 gram 
Delta 
∆∆ Fluid Parameters 
εr=45.3  
300  3.0  3.51  17.0% σ=0.87  
εr=43.5  
450  4.9  5.77  17.8% σ=0.87  
The extrapolated head conversion factors determined for 300 and 450MHz resulted in 
SAR values being 17.0% and 17.8% greater than expected for each frequency 
respectively.  It is assumed that as this extrapolation is extended down to 150MHz, the 
resulting SAR will again be overestimated by at least 17%.  
The body conversion factors were determined based on a combination of the obtained 
data from the validations, and numerical modeling results from an identical probe from 
the same manufacturer.   
The following two pages show examples of the conversion factors that were derived 
through numerical modeling for a probe of similar properties.

Dosimetric E-Field Probe ET3DV6      E
E
EX
X
XA
A
AM
M
MP
P
PL
L
LE
E
E 
Head Tissue Conversion Factor (+ standard deviation) 
400 MHz ConvF   7.64 + 8%     
835 MHz ConvF   6.54 + 8%     
900 MHz ConvF   6.41 + 8%     
350 MHz ConvF   7.76 + 8% 
450 MHz ConvF   7.52 + 8%   
835 MHz ConvF   6.53 + 8%   
925 MHz ConvF   6.37 + 8% 
1500 MHz ConvF   6.04 + 8%   
1900 MHz ConvF   5.41 + 8%   
2450 MHz ConvF   5.18 + 8%   
2450 MHz ConvF   5.40 + 8%     
ε
r = 44.4 
σ = 0.87 mho/m 
CENELEC Head Tissue 
ε
r = 42.5 
σ = 0.98 mho/m 
CENELEC Head Tissue 
ε
r = 42.3 
σ = 0.99 mho/m 
CENELEC Head Tissue 
ε
r = 44.7 
σ = 0.87 mho/m 
IEEE Head Tissue 
ε
r = 43.5 
σ = 0.87 mho/m 
IEEE Head Tissue 
ε
r = 41.5 
σ = 0.90 mho/m 
IEEE Head Tissue 
ε
r = 41.45 
σ = 0.98 mho/m 
IEEE Head Tissue 
ε
r = 40.43 
σ = 1.23 mho/m 
IEEE Head Tissue 
ε
r = 40.0 
σ = 1.40 mho/m 
IEEE Head Tissue 
ε
r = 39.2 
σ = 1.8 mho/m 
IEEE Head Tissue 
ε
r = 37.2 
σ = 2.09 mho/m 
H1800 at 2450 MHz 

Dosimetric E-Field Probe ET3DV6     E
E
EX
X
XA
A
AM
M
MP
P
PL
L
LE
E
E 
Body Tissue Conversion Factor (+ standard deviation) 
35 MHz ConvF   8.77 + 15%     
75 MHz ConvF   8.68 + 10%     
150 MHz ConvF   8.51 + 8%     
350 MHz ConvF   7.64 + 8% 
450 MHz ConvF   7.40 + 8%   
784 MHz ConvF   6.38 + 8%   
835 MHz ConvF   6.28 + 8% 
925 MHz ConvF   6.10 + 8%   
1500 MHz ConvF   5.44 + 8%   
1900 MHz ConvF   4.82 + 8%   
2450 MHz ConvF   4.53 + 8%   
ε
r = 85.19 
σ = 0.69 mho/m 
FCC Body Tissue 
ε
r = 69.93 
σ = 0.72 mho/m 
FCC Body Tissue 
ε
r = 62.68 
σ = 0.75 mho/m 
FCC Body Tissue 
ε
r = 58.41 
σ = 0.80 mho/m 
FCC Body Tissue 
ε
r = 57.62 
σ = 0.83 mho/m 
FCC Body Tissue 
ε
r = 56.25 
σ = 0.93 mho/m 
FCC Body Tissue 
ε
r = 56.11 
σ = 0.95 mho/m 
FCC Body Tissue 
ε
r = 55.9 
σ = 0.98 mho/m 
FCC Body Tissue 
ε
r = 54.87 
σ = 1.23 mho/m 
FCC Body Tissue 
ε
r = 54.3 
σ = 1.45 mho/m 
FCC Body Tissue 
ε
r = 53.57 
σ = 1.81 mho/m 
FCC Body Tissue 

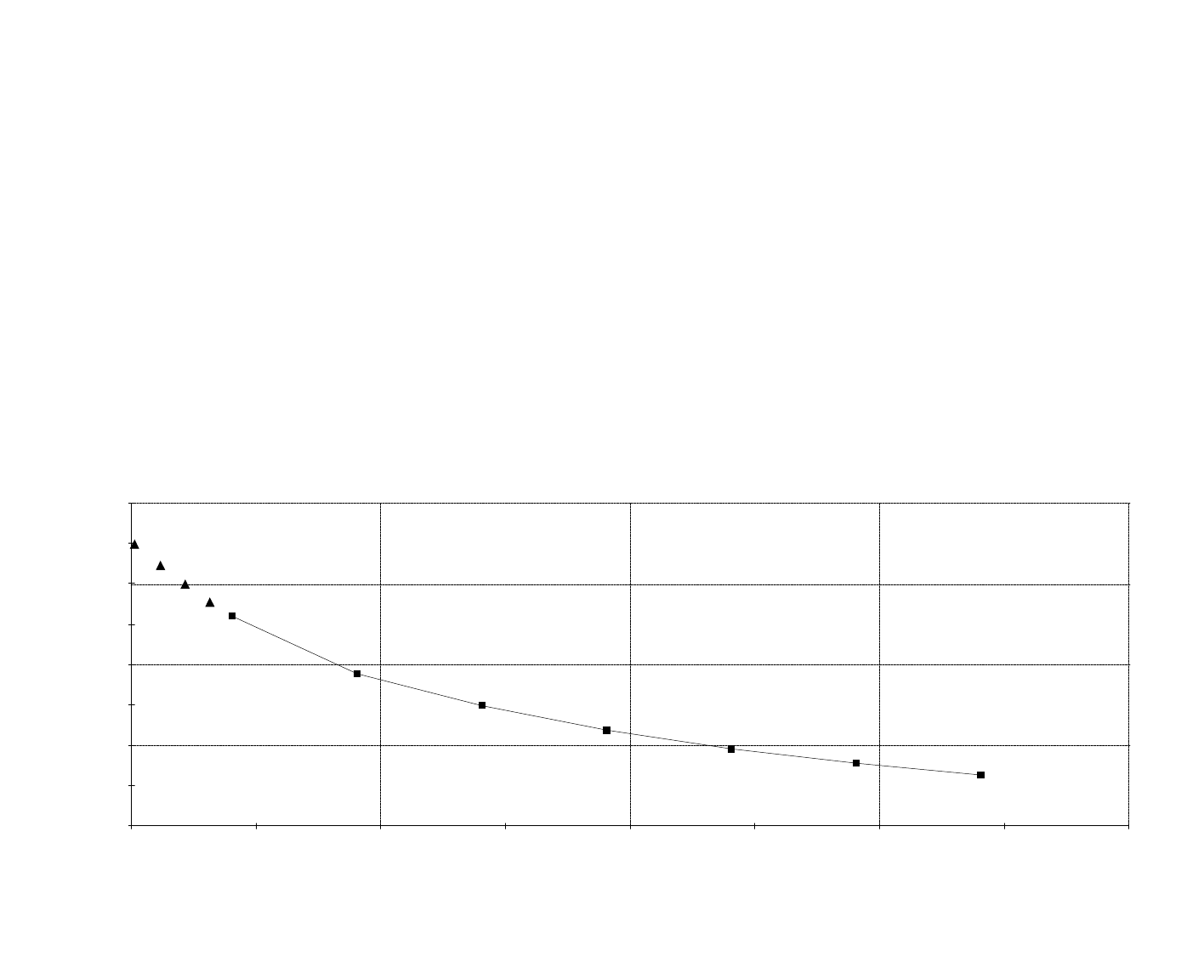
Body Conversion Factor a given Frequency
0
1
2
3
4
5
6
7
8
9
10
0500 1000 1500 2000 2500 3000
Frequency (MHz)
Conversion Factor
Head and Body Conversion Factors
0
1
2
3
4
5
6
7
8
0 500 1000 1500 2000 2500 3000
Frequency (MHz)
Conversion Factor
Head CF
Body CF

Frequency Head Conversion 
Factors 
Body Conversion 
Factors 
Delta 
∆∆ 
450  7.52  7.40  1.62 
835  6.53  6.28  3.98 
925  6.37  6.10  4.43 
1500  6.04  5.44  11.02 
1900  5.41  4.82  12.24 
2450  5.18  4.53  14.35 
Conclusion: 
Based on the results from the 300 and 450MHz validations, the derived conversion 
factors should over-estimate the SAR for a device operating in the 150MHz band by 
approximately 17%.  In addition, the above graphs and tabular results show that the probe 
conversion factors vary only slightly between head and body as the frequency approaches 
450MHz.  It is therefore safe to assume that as the frequency is further extended to 
150MHz, the difference in the conversion factors between head and body will be less 
significant.  Therefore, for this reason only one conversion factor is reported for both 
head and body at 150MHz. 
CELLTECH RESEARCH INC.                                                                 Test Report S/N: 092601-169ARU 
1955 Moss Court, Kelowna                                                                                                Date of Tests: October 16, 2001 
B.C. Canada V1Y 9L3                                                                                                                  FCC SAR Evaluation 
_________________________________________________________________________________________________________ 
© 2001 Celltech Research Inc.         RELM WIRELESS CORP. FCC ID: ARURPV516A    17 
                             Portable VHF PTT Radio Transceiver (150-174MHz) 
APPENDIX E - SAR SENSITIVITIES 
Application Note: SAR Sensitivities
Schmid & Partner Engineering AG, Zurich, Switzerland
Application Note: SAR Sensitivities
Introduction
The measured SAR-values in homogeneous phantoms depend strongly on the electrical
parameters of the liquid. Liquids with exactly matching parameters are difficult to produce;
there is always a small error involved in the production or measurement of the liquid
parameters. The following sensitivities allow the estimation of the influence of small
parameter errors on the measured SAR values. The calculations are based on an
approximation formula [1]  for the SAR of an electrical dipole near the phantom surface and
a adapted plane wave approximation for the penetration depth. The sensitivities are given in
percent SAR change per percent change in the controlling parameter:
  d SAR / SAR
S(x)  = ———————
        d x / x
The controlling parameters x are:
• ε: permitivity
• σ: conductivity
• ρ: brain density (= one over integration volume)
For example: If The liquid permitivity increases by 2 percent and the sensitivity of the SAR
to permitivity is -0.6 then the SAR will decrease by 1.2 percent.
The sensitivities are given for surface SAR values and averaged SAR values for 1 g and 10
g cubes and for dipole distances d of 10mm (for frequencies below 1000 MHz) and 15mm
(for frequencies above 1000 MHz) from the liquid surface.
Liquid parameters are as proposed in the new standards (e.g., IEEE 1528).
References
[1] N. Kuster and Q. Balzano, “Energy absorption mechanism by biological bodies in the
near field of dipole antennas above 300 MHz”, IEEE  Transacions on Vehicular
Technology, vol. 41(1), pp. 17-23, 1992.

Application Note: SAR Sensitivities
Schmid & Partner Engineering AG, Zurich, Switzerland
Parameter εσ ρ
f=300 MHz (εr=45.3,  σ=0.87S/m,  ρ=1g/cm3)
d=15mm: Surface  - 0.41 + 0.48 —
1 g - 0.33 + 0.28 0.08
10 g - 0.26 + 0.09 0.16
f=450 MHz (εr=43.5,  σ=0.87S/m,  ρ=1g/cm3)
d=15mm: Surface - 0.56 + 0.67 —
1 g - 0.46 + 0.43 0.09
10 g - 0.37 + 0.22 0.17
f=835 MHz (εr=41.5,  σ=0.90S/m,  ρ=1g/cm3)
d=15mm: Surface - 0.70 + 0.86 —
1 g - 0.57 + 0.59 0.10
10 g - 0.45 + 0.35 0.18
f=900 MHz (εr=41.5,  σ=0.97S/m,  ρ=1g/cm3)
d=15mm: Surface - 0.69 + 0.86 —
1 g - 0.55 + 0.57 0.10
10 g - 0.44 + 0.32 0.19
f=1450 MHz (εr=40.5,  σ=1.20/m,  ρ=1g/cm3)
d=10mm: Surface - 0.73 + 0.91 —
1 g - 0.55 + 0.55 0.12
10 g - 0.42 + 0.27 0.22
f=1800 MHz (εr=40.0,  σ=1.40S/m,  ρ=1g/cm3)
d=10mm: Surface - 0.73 + 0.92 —
1 g - 0.52 + 0.51 0.14
10 g - 0.38 + 0.21 0.24
f=1900 MHz (εr=40.0,  σ=1.40S/m,  ρ=1g/cm3)
d=10mm: Surface - 0.73 + 0.93 —
1 g - 0.53 + 0.51 0.14
10 g - 0.39 + 0.22 0.24
f=2000 MHz (εr=40.0,  σ=1.40S/m,  ρ=1g/cm3)
d=10mm: Surface - 0.74 + 0.94 —
1 g - 0.53 + 0.52 0.14
10 g - 0.39 + 0.22 0.24
f=2450 MHz (εr=39.2,  σ=1.80S/m,  ρ=1g/cm3)
d=10mm: Surface - 0.74 + 0.93 —
1 g - 0.49 + 0.41 0.17
10 g - 0.34 + 0.12 0.28
f=3000 MHz (εr=38.5,  σ=2.40S/m,  ρ=1g/cm3)
d=10mm: Surface - 0.75 + 0.90 —
1 g - 0.45 + 0.28 0.21
10 g - 0.32 + 0.02 0.31
CELLTECH RESEARCH INC.                                                                 Test Report S/N: 092601-169ARU 
1955 Moss Court, Kelowna                                                                                                Date of Tests: October 16, 2001 
B.C. Canada V1Y 9L3                                                                                                                  FCC SAR Evaluation 
_________________________________________________________________________________________________________ 
© 2001 Celltech Research Inc.         RELM WIRELESS CORP. FCC ID: ARURPV516A    18 
                             Portable VHF PTT Radio Transceiver (150-174MHz) 
APPENDIX F - SAR TEST SETUP PHOTOGRAPHS 

CELLTECH RESEARCH INC.                                                     Test Report S/N: 092601-169ARU 
1955 Moss Court, Kelowna        Date of Tests: October 16, 2001 
 B.C. Canada V1Y 9L3                                                                                                                 FCC SAR Evaluation 
_________________________________________________________________________________________________________ 
© 2001 Celltech Research Inc.         RELM WIRELESS CORP. FCC ID: ARURPV516A     
                            Portable VHF PTT Radio Transceiver (150-174MHz) 
FACE-HELD SAR TEST SETUP PHOTOGRAPHS 
2.5cm Separation Distance 
2.5 cm 

CELLTECH RESEARCH INC.                                                     Test Report S/N: 092601-169ARU 
1955 Moss Court, Kelowna        Date of Tests: October 16, 2001 
 B.C. Canada V1Y 9L3                                                                                                                 FCC SAR Evaluation 
_________________________________________________________________________________________________________ 
© 2001 Celltech Research Inc.         RELM WIRELESS CORP. FCC ID: ARURPV516A     
                            Portable VHF PTT Radio Transceiver (150-174MHz) 
BODY-WORN SAR TEST SETUP PHOTOGRAPHS 
with 1.4cm Belt-Clip 
1.4 cm