Siemens Canada Siemens Milltronics Process Instruments LR560 SITRANS LR560 Tank Level Probing Radar User Manual LY01 LR560FF
Siemens Canada Ltd. - Siemens Milltronics Process Instruments SITRANS LR560 Tank Level Probing Radar LY01 LR560FF
Contents
User Manual 3

Radar Transmitters
Operating Instructions 10/2010
SITRANS LR560 (Foundation Fieldbus)
SITRANS
Draft_Rev. 1.0-02
Firmware 1.00.00-32

© Siemens AG 2010
Safety Guidelines: Warning notices must be observed to ensure personal safety as well as that of
others, and to protect the product and the connected equipment. These warning notices are
accompanied by a clarification of the level of caution to be observed.
Qualified Personnel: This device/system may only be set up and operated in conjunction with this
manual. Qualified personnel are only authorized to install and operate this equipment in accordance with
established safety practices and standards.
Unit Repair and Excluded Liability:
• The user is responsible for all changes and repairs made to the device by the user or the user’s
agent.
• All new components are to be provided by Siemens Milltronics Process Instruments.
• Restrict repair to faulty components only.
• Do not reuse faulty components.
Warning: Cardboard shipping package provides limited humidity and moisture protection. This product
can only function properly and safely if it is correctly transported, stored, installed, set up, operated, and
maintained.
This product is intended for use in industrial areas. Operation of this equipment in a residential area
may cause interference to several frequency based communications.
Note: Always use product in accordance with specifications.
Copyright Siemens AG 2010. All Rights
Reserved
Disclaimer of Liability
This document is available in bound version and in
electronic version. We encourage users to purchase
authorized bound manuals, or to view electronic
versions as designed and authored by Siemens
Milltronics Process Instruments. Siemens Milltronics
Process Instruments will not be responsible for the
contents of partial or whole reproductions of either
bound or electronic versions.
While we have verified the contents of this
manual for agreement with the
instrumentation described, variations remain
possible. Thus we cannot guarantee full
agreement. The contents of this manual are
regularly reviewed and corrections are
included in subsequent editions. We welcome
all suggestions for improvement.
Technical data subject to change.
MILLTRONICS®is a registered trademark of Siemens Milltronics Process Instruments.
Contact SMPI Technical Publications European Authorized Representative
at the following address:
Technical Publications Siemens AG
Siemens AG Industry Sector
Siemens Milltronics Process Instruments 76181 Karlsruhe
1954 Technology Drive, P.O. Box 4225 Deutschland
Peterborough, Ontario, Canada, K9J 7B1
Email: techpubs.smpi@siemens.com
• For a selection of Siemens Milltronics level measurement manuals, go to:
www. siemens.com/processautomation. Under Process Instrumentation, select
Level
Measurement
and then go to the manual archive listed under the product family.
• For a selection of Siemens Milltronics weighing manuals, go to:
www. siemens.com/processautomation. Under Weighing Technology, select
Continuous
Weighing Systems
and then go to the manual archive listed under the product family.

i
mmmmm
Table of Contents
Table of Contents
Safety Notes .............................................................................................................................................1
Safety marking symbols ..............................................................................................................1
FCC Conformity ........................................................................................................................................1
CE Electromagnetic Compatibility (EMC) Conformity ....................................................................2
Industry Canada ......................................................................................................................................2
The Manual ...............................................................................................................................................3
Application Example .....................................................................................................................3
Technical Support ....................................................................................................................................4
Abbreviations and Identifications .............................................................................................4
SITRANS LR560 Overview ................................................................................................. 6
Programming ............................................................................................................................................6
Local Display Interface (LDI) ......................................................................................................7
Versions .....................................................................................................................................................7
Applications ..............................................................................................................................................7
Approvals and Certificates ...................................................................................................................7
Specifications ......................................................................................................................8
Dimensions ............................................................................................................................................12
Universal Slotted Flange ...........................................................................................................16
Installation ......................................................................................................................... 17
Pressure Equipment Directive, PED, 97/23/EC ...............................................................................17
Mounting location .................................................................................................................................18
Nozzle location .............................................................................................................................18
Aimer Adjustment .......................................................................................................................19
Air Purging System ...............................................................................................................................20
Purge Connection ........................................................................................................................21
Removable Display ...............................................................................................................................22
Wiring ..................................................................................................................................23
Power .......................................................................................................................................................23
Connecting SITRANS LR560 ...............................................................................................................23
Basic Configuration with Foundation Fieldbus (H1) ...........................................................25
Wiring Setups for hazardous area installations ...........................................................................26
Configuration with Foundation Fieldbus for hazardous areas ........................................26
Instructions specific to hazardous area installations ........................................................29
Local Operation .................................................................................................................30
Activating SITRANS LR560 .................................................................................................................30
The LCD Display ...........................................................................................................................31
Handheld Programmer ..............................................................................................................32
Programming SITRANS LR560 .................................................................................................32
To configure a device via the local user interface ........................................................................35
Quick Start Wizard via the LDI push buttons .......................................................................36
Quick Start Wizard via the handheld programmer .............................................................36
Requesting an Echo Profile ................................................................................................................39
Device Address ......................................................................................................................................39

ii
mmmmm
Table of Contents
Level application example ...................................................................................................................40
Operating via AMS Device Manager ............................................................................41
Functions in AMS Device Manager .................................................................................................41
Key Features of AMS Device Manager version 9.0. ...........................................................42
Block location of features .........................................................................................................42
Programming via AMS Device Manager ........................................................................................43
Navigating through the parameters .......................................................................................43
Pull-down menu access ............................................................................................................43
Changing parameter settings ...................................................................................................43
Adding a new device ............................................................................................................................44
Electronic Device Description (EDD) ......................................................................................44
Startup .....................................................................................................................................................44
Configuring a new device ...................................................................................................................46
Quick Start Wizard via AMS Device Manager ....................................................................46
Changing Block Modes ........................................................................................................................49
Configure/Setup Parameters ..............................................................................................................49
Transducer Block Parameters ..................................................................................................49
Level Transducer Block Parameters .......................................................................................51
Configure/Setup (Liquid Crystal Display Block-LCD) ..........................................................59
Configure/Setup (Diagnostic Transducer Block-DIAG) .....................................................61
Configure/Setup (Resource Block - RESOURCE) ................................................................61
Device Diagnostics (Level Transducer Block - LTB) ...........................................................68
Device Diagnostics (Level Control Device Block - LCD) ....................................................70
Device Diagnostics (Diagnostic Transducer Block - DIAG) ..............................................70
Device Diagnostics (Resource Block - RESOURCE) ...........................................................70
Password Protection ............................................................................................................................74
User Manager utility ...................................................................................................................74
AMS Menu Structure ......................................................................................................75
Parameter Reference ......................................................................................................86
Quick Start .................................................................................................................................. 86
Quick Start Wizard.......................................................................................................... 86
AFES (Auto False Echo Suppression) Wizard .......................................................... 87
Copy Parameters to Display......................................................................................... 88
Copy Parameters from Display.................................................................................... 88
Copy Firmware to Display ............................................................................................. 88
Copy Firmware from Display ........................................................................................ 89
Setup ............................................................................................................................................ 89
Identification..................................................................................................................... 89
Device ................................................................................................................................ 90
Sensor................................................................................................................................ 90
Signal Processing............................................................................................................ 94
AIFB 1.............................................................................................................................. 103
AIFB 2.............................................................................................................................. 107
Measured Values......................................................................................................... 107
Filtering ........................................................................................................................... 107
Diagnostics.............................................................................................................................. 108
Echo Profile.................................................................................................................... 108
Fault Reset ..................................................................................................................... 109

iii
mmmmm
Table of Contents
Trend ............................................................................................................................... 109
Electronics Temperature............................................................................................ 109
Peak Values................................................................................................................... 109
Service...................................................................................................................................... 110
Master Reset................................................................................................................. 110
Remaining Device Lifetime ........................................................................................ 111
Remaining Sensor Lifetime........................................................................................ 113
Service Schedule ......................................................................................................... 115
Calibration Schedule ................................................................................................... 117
Powered Hours............................................................................................................. 119
Power-on Resets.......................................................................................................... 119
Menu Timeout............................................................................................................... 119
LCD Backlight................................................................................................................ 119
LCD Contrast.................................................................................................................. 119
Secondary Value .......................................................................................................... 120
Simulate Enable............................................................................................................ 120
Demo Mode................................................................................................................... 120
Communication....................................................................................................................... 120
Tag ................................................................................................................................... 120
Device Address............................................................................................................. 121
Manufacturer ................................................................................................................ 121
Device Type Identification.......................................................................................... 121
Device Revision ............................................................................................................ 121
ITK Version..................................................................................................................... 121
Security..................................................................................................................................... 121
Remote Access............................................................................................................. 121
Local Access ................................................................................................................. 122
Language.................................................................................................................................. 122
Appendix A: Alphabetical Parameter List .................................................................. 123
Appendix B: Troubleshooting ....................................................................................... 128
Communication Troubleshooting ....................................................................................................128
Device Status Icons ............................................................................................................................129
General Fault Codes ...........................................................................................................................130
Operation Troubleshooting ...............................................................................................................134
..................................................................................................................................................................135
Appendix C: Maintenance ............................................................................................ 136
Unit Repair and Excluded Liability ..................................................................................................136
Appendix D: Technical Reference ............................................................................... 137
Principles of Operation ......................................................................................................................137
Process Variables ......................................................................................................................137
Echo Processing ..................................................................................................................................138
Process Intelligence .................................................................................................................138
Echo Selection ...........................................................................................................................138
Measurement Range .........................................................................................................................143
Measurement Response ...................................................................................................................144
Damping .................................................................................................................................................144
Loss of Echo (LOE) ...............................................................................................................................144

iv
mmmmm
Table of Contents
Loss of Echo (LOE) Timer (2.3.4.) ............................................................................................145
Temperature derating curves ...........................................................................................................145
Appendix E: Communications ..................................................................................... 147
Foundation Fieldbus (FF) Protocol .........................................................................................147
Field Communicator 375 (FC375) ............................................................................................147
Appendix F: Firmware Revision History ..................................................................... 148
Glossary ............................................................................................................................ 149
Index .................................................................................................................................. 153
LCD menu structure ....................................................................................................... 155

7ML19985LY01 SITRANS LR560 (FF) – OPERATING INSTRUCTIONS Page 1
mmmmm
SITRANS LR560 (FF)
Safety Notes
Special attention must be paid to warnings and notes highlighted from the rest of the text
by grey boxes.1)
Safety marking symbols
FCC Conformity
US Installations only: Federal Communications Commission (FCC) rules
WARNING symbol relates to a caution symbol on the product, and
means that failure to observe the necessary precautions can result
in death, serious injury, and/or considerable material damage.
WARNING symbol, used when there is no corresponding caution
symbol on the product, means that failure to observe the necessary
precautions can result in death, serious injury, and/or considerable
material damage.
Note: means important information about the product or that part of the operating
manual.
1) This symbol is used when there is no corresponding caution symbol on the product.
In manual On
product Description
Earth (ground) Terminal
Protective Conductor Terminal
(Label on product: yellow background.) WARNING: refer
to accompanying documents (manual) for details.
WARNING: Changes or modifications not expressly approved by
Siemens Milltronics could void the user’s authority to operate the
equipment.
Notes:
• This equipment has been tested and found to comply with the limits for a Class B
digital device, pursuant to Part 15 of the FCC Rules. These limits are designed to
provide reasonable protection against harmful interference when the equipment is
operated in a commercial environment.
• This equipment generates, uses, and can radiate radio frequency energy and, if not
installed and used in accordance with the instruction manual, may cause harmful
interference to radio communications. Operation of this equipment in a residential
area is likely to cause harmful interference to radio communications, in which case
the user will be required to correct the interference at his own expense.

Page 2 SITRANS LR560 (FF) – OPERATING INSTRUCTIONS 7ML19985LY01
mmmmm
SITRANS LR560 (FF)
CE Electromagnetic Compatibility (EMC) Conformity
This equipment has been tested and found to comply with the following EMC Standards:
Industry Canada
a) Operation is subject to the following two conditions: (1) this device may not cause
interference, and (2) this device must accept any interference, including
interference that may cause undesired operation of the device.
b) This device shall be installed and operated in a completely enclosed container to
prevent RF emission which otherwise can interfere with aeronautical navigation.
Installation shall be done by trained installers, in strict compliance with the
manufacturer’s instructions.
c) The use of this device is on a “no-interference, no-protection” basis. That is, the
user shall accept operations of high-powered radar in the same frequency band
which may interfere with or damage this device. On the other hand, level probing
devices found to interfere with primary licensing operations will be required to be
removed at the user’s expense.
EMC Standard Title
CISPR 11:2004/EN
55011:1998+A1:1999&A2:2002, CLASS B
Limits and methods of measurements of radio
disturbance characteristics of industrial, scientific,
and medical (ISM) radio-frequency equipment.
EN 61326:1997+A1:1998+A2:2001+A3:2003
(IEC 61326:2002)
Electrical Equipment for Measurement, Control and
Laboratory Use – Electromagnetic Compatibility.
EN61000-4-2:2001
Electromagnetic Compatibility (EMC) Part 4-2:Testing
and measurement techniques – Electrostatic
discharge immunity test.
EN61000-4-3:2002
Electromagnetic Compatibility (EMC) Part 4-3:
Testing and measurement techniques – Radiated,
radio-frequency, electromagnetic field immunity test.
EN61000-4-4:2004
Electromagnetic Compatibility (EMC) Part 4-4:
Testing and measurement techniques – Electrical
fast transient/burst immunity test.
EN61000-4-5:2001
Electromagnetic Compatibility (EMC) Part 4-5:
Testing and measurement techniques – Surge
immunity test.
EN61000-4-6:2004
Electromagnetic Compatibility (EMC) Part 4-6:
Testing and measurement techniques – Immunity to
conducted disturbances, induced by radio-frequency
fields.
EN61000-4-8:2001
Electromagnetic Compatibility (EMC) Part 4-8:
Testing and measurement techniques – Power
frequency magnetic field immunity test.

7ML19985LY01 SITRANS LR560 (FF) – OPERATING INSTRUCTIONS Page 3
mmmmm
SITRANS LR560 (FF)
d) This level probing device is only permitted for installation inside enclosed
containers. The installer/user of this device shall ensure that it is at least 10 km from
the Penticton radio astronomy station (British Columbia latitude: 49° 19' 12" N,
longitude: 119° 37'12" W). For devices not meeting this 10 km separation (e.g. the
Okanagan Valley, British Columbia) the installer/ user must coordinate with and
obtain the written concurrence of the Director of the Penticton radio astronomy
station before the equipment can be installed or operated. The Penticton contact is
Tel: 250-493-2277/ fax: 250-493-7767. (In case of difficulty, the Manager, Radio
Equipment Standards, Industry Canada, may also be contacted.)
The Manual
This manual will help you set up your SITRANS LR560 for optimum performance.
Foundation Fieldbus for Level instruments (7ML19985MP01)
manual provides details on
FF communication. 1)
We always welcome suggestions and comments about manual content, design, and
accessibility. Please direct your comments to techpubs.smpi@siemens.com.
For other Siemens Milltronics level measurement manuals, go to:
www.siemens.com/level, and look under Level Measurement.
Application Example
The application example used in this manual illustrates a typical installation using
SITRANS LR560. (See
Level application example
on page 40.) Because there is often a
range of ways to approach an application, other configurations may also apply.
In all examples, substitute your own application details. If the example does not apply to
your application, check the applicable parameter reference for the available options.
Notes:
• This product is intended for use in industrial areas. Operation of this equipment in a
residential area may cause interference to several frequency based
communications.
• Please follow the installation and operating procedures for a quick, trouble-free
installation and to ensure the maximum accuracy and reliability of your SITRANS LR560.
• This manual applies to the SITRANS LR560 (FOUNDATION™ Fieldbus)1) only.
1) FOUNDATION™ Fieldbus is a trademark of Fieldbus Foundation.

Page 4 SITRANS LR560 (FF) – OPERATING INSTRUCTIONS 7ML19985LY01
mmmmm
SITRANS LR560 (FF)
Technical Support
Support is available 24 hours a day.
To find your local Siemens Automation Office address, phone number and fax number go
to:
www.siemens.com/automation/partner
• Click on the tab Contact, select Service, then click Service again to find your
product group (+Automation Technology > +Sensor Systems >+Process
Instrumentation > +Level Measurement > +Continous). Select Radar.
• Select the country followed by the City/Region.
• Select Technical Support under Service.
For on-line technical support go to:
www.siemens.com/automation/support-request
• Enter the device name (SITRANS LR560) or order number, then click on Search,
and select the appropriate product type. Click on Next.
• You will be prompted to enter a keyword describing your issue. Then either
browse the relevant documentation, or click on Next to email a detailed
description of your issue to Siemens Technical Support staff.
Siemens IA/DT Technical Support Center: phone +49 (0)911 895 7 222
Abbreviations and Identifications
Short
form Long Form Description Units
AIFB Analog Input Function Block
CE / FM /
CSA
Conformité Européenne /
Factory Mutual / Canadian
Standards Association
safety approval
DCS Distributed Control System process control
DD See EDD
DIAG TB Diagnostic Transducer
Block
dK dielectric constant
EDD Electronic Device
Description (also referred to as DD)
FF Foundation Fieldbus communication protocol
FMCW Frequency Modulated
Continous Wave radar principle

7ML19985LY01 SITRANS LR560 (FF) – OPERATING INSTRUCTIONS Page 5
mmmmm
SITRANS LR560 (FF)
H1 31.25 kbps 2-wire fieldbus
protocol
HSE High Speed Ethernet communication protocol
ITK Interoperability Test Kit
IiInput current mA
IoOutput current mA
LAS Link Active Scheduler
LCD Liquid Crystal Display
LDI Local Display Interface removable display with push
buttons
LTB Level Transducer Block
LUI Local User Interface
view outputs via LCD display;
make modifications via push
buttons or handheld programmer
μsmicrosecond 10-6 Second
PED Pressure Equipment
Directive safety approval
PID FB Proportional Integral
Derivative Function Block
ppm parts per million
PV Primary Value measured value
RES Resource Block
SELV Safety extra low voltage
SV Secondary Value equivalent value
TVT Time Varying Threshold sensitivity threshold
UiInput voltage V
UoOutput voltage V
Short
form Long Form Description Units
(cont’d)

Page 6 SITRANS LR560 (FF) – OPERATING INSTRUCTIONS 7ML19985LY01
mmmmm
SITRANS LR560 (FF)
SITRANS LR560 Overview
SITRANS LR560 is a 2-wire, 78 GHz FMCW radar level transmitter for continuous
monitoring of solids in vessels to a range of 100 m (329 ft). The plug and play performance
is ideal for all solids applications, including those with extreme dust and high
temperatures to +200 °C (+392 °F). The device consists of an electronic circuit coupled to
a lens antenna and flange for quick and easy positioning.
The main benefits of using 78 GHz over devices using lower frequency are:
• very narrow beam, so device is insensitive to mounting nozzle interference and
vessel obstructions.
• short wavelength yields very good reflection properties on sloped solids, so aiming
towards material angle of repose is usually not necessary.
The technology is very tolerant of buildup on the lens antenna, however an air purge inlet
is provided for periodic cleaning if required.
SITRANS LR560 supports Foundation Fieldbus communication protocol, and AMS Device
Manager software. Signals are processed using Process Intelligence which has been
field-proven in over 1,000,000 applications worldwide (ultrasonic and radar). This device
can be configured as an FF (H1) Link Master.
Programming
SITRANS LR560 is very easy to install and configure via an optional graphical local
display interface (LDI). You can modify the built-in parameters either locally, using the
control buttons or the infrared handheld programmer, or from a remote location using one
of the following options:
•PROFIBUS PA [using SIMATIC PDM, or FDT (such as PACTware). See SITRANS
LR560 (PROFIBUS PA) Instruction Manual for more information.]
•HART [using handheld 375 Field Communicator, SIMATIC PDM, AMS, or FDT (such
as PACTware). See SITRANS LR560 (mA/HART) Instruction Manual for more
information.]
•Foundation Fieldbus (FF) [using handheld 375 Field Communicator, an FF host
system, or AMS].
Once programmed, the graphic Local Display Interface (LDI) can be removed if desired
and used to transfer parameters to multiple SITRANS LR560s.

7ML19985LY01 SITRANS LR560 (FF) – OPERATING INSTRUCTIONS Page 7
mmmmm
SITRANS LR560 (FF)
Local Display Interface (LDI)
• LDI may be ordered installed or added later as an
option
• can be mounted in 1 of 4 positions at 90 degree
intervals, for easy viewing after installation
• displays level and diagnostic information
including echo profile and trend over time
• backlit for easy viewing in dimly lit areas
• allows you to copy parameters from one device
to another
• provides high speed firmware transfer capabilities for future upgrades
Versions
Two different versions of the LR560 are available:
• 40 m range, 100 °C maximum process temperature
• 100 m range, 200 °C maximum process temperature
Applications
• cement powder, plastic powder/pellets, grain, flour, coal, and other applications
• solids bulk storage vessels
Approvals and Certificates
SITRANS LR560 is available with General Purpose or Hazardous approvals. For details
see
Approvals
on page 10.
Application
Type
LR560
Version Approval Rating Valid for: Wiring
Non-
hazardous
General
Purpose CSAUS/C, FM, CE, C-TICK N. America,
Europe
See
page 23
Hazardous
Non-Sparking/
Energy Limited ATEX II 3G Ex nA/nL IIC T4 Gc Europe See
page 28
Dust Ignition
Proof
ATEX II 1D, 1/2D, 2D
IECEx SIR 09.0149X
Ex ta IIIC T139 oC Da
Europe and
International
See
page 28
FM/CSA:
Class II, Div. 1, Groups E, F, G
Class III T4
US/Canada See
page 28
Non-incendive FM/CSA:
Class I, Div. 2, Groups A, B, C, D T4 US/Canada See
page 28

Page 8 SITRANS LR560 (FF) – OPERATING INSTRUCTIONS 7ML19985LY01
mmmmm
Specifications
Specifications
Power
Bus powered 9 to 32 V DC, per IEC 61158-2 (Foundation Fieldbus)
Current consumed 13.5 mA
Performance
Reference operating conditions according to IEC 60770-1
• ambient temperature +15 to +25 oC (+59 to +77 oF)
• humidity 45% to 75% relative humidity
• ambient pressure 860 to 1060 mbar g (86,000 to 106,000 N/m2 g)
Measurement Accuracy1) (measured in accordance with IEC 60770-1)
• Maximum measured error Greater of 25 mm (1") or 0.25% of range from
minimum detectable distance to full range
Frequency 78 to 79 GHz FMCW
Max. measurement range2)
• 40 m version 40 m (131 ft)
• 100 m version 100 m (328 ft)
Min. detectable distance 300 mm (11.8") from sensor reference point
Update time3) Maximum 10 seconds, depending on setting for
Response Rate (2.3.6.1.)
Influence of ambient temperature <0.003%/K (average over full temperature range,
referenced to maximum range)
Dielectric constant of material measured
• Minimum dK = 1.6 for ranges to 20 m (65.6 ft) range
= 2.5 for ranges to 100 m (328 ft) range
Memory
• non-volatile EEPROM
• no battery required
Notes:
• Siemens Milltronics makes every attempt to ensure the accuracy of these
specifications but reserves the right to change them at any time.
1) Reference conditions: Position Detect (2.4.5.2.) set to Center and Algorithm
(2.4.5.1.) set to True First Echo.
2) From sensor reference point.
3) Reference conditions: Response Rate (2.3.6.1.) set to FAST.

7ML19985LY01 SITRANS LR560 (FF) – OPERATING INSTRUCTIONS Page 9
mmmmm
Specifications
Interface
Communication
• Foundation Fieldbus
• ITK version 5 Blocks supported:
RESOURCE, LTB, AIFB1, AIFB2, PID, LCD, DIAG
Block execution time:
AIFB - 30 ms, PID - 100 ms
Configuration
• remote FF host system or Emerson AMS version 9.0 (PC)
• local Siemens Milltronics infrared handheld programmer
[see
Programmer (infrared keypad)
on page 11],
or Field Communicator 375 [see
Field Communicator
375 (FC375)
on page 147],
or local control buttons
Optional removable
local display interface (LDI)1) graphic LCD, with bar graph representing level
Mechanical
Process Connections:
• universal flat-faced flanges2)
3"/80 mm, 4"/100 mm, 6"/150 mm
- materials stainless steel 316L (1.4404 or 1.4435), or 304
• Aimer flanges2) 3"/80 mm, 4"/100 mm, 6"/150 mm
- material polyurethane powder-coated cast aluminum
Enclosure
• construction 316L/1.4404 stainless steel
• conduit entry M20x1.5, or ½" NPT
• conduit entry connector M12 connector (shipped with M20 to M12 adaptor)
(optional) or 7/8" connector (shipped with 1/2" NPT to 7/8"
adaptor)
• ingress protection Type 4X/NEMA 4X, Type 6/NEMA 6, IP68
• lid with window polycarbonate (window material)
Lens antenna material
•construction
- 40 m version PEI
- 100 m version PEEK
1) Display quality will be degraded in temperatures below –20 °C (–4 °F) and above
+65°C (+149 °F).
2) Universal flange mates with EN 1092-1 (PN16)/ASME B16.5 (150 lb)/JIS 2220 (10K) bolt
hole pattern.

Page 10 SITRANS LR560 (FF) – OPERATING INSTRUCTIONS 7ML19985LY01
mmmmm
Specifications
Air Purge Connection
• equipped with female 1/8" NPT fitting
Weight
• 3" stainless steel flange model 3.15 kg (6.94 lb)
Environmental
• location indoor/ outdoor
• altitude 5000 m (16,404 ft) max.
• ambient temperature −40 to +80 °C (−40 to +176 °F)
• relative humidity suitable for outdoor
Type 4, 4X/NEMA 4, 4X, Type 6/NEMA 6, IP68
enclosure (see note above)
• installation category I
• pollution degree 4
Process
• temperature and pressure1)
Approvals
•General CSA
US/C, FM, CE
• Radio R&TTE (Europe), FCC, Industry Canada, C-TICK
Note: Use appropriate conduit seals to maintain IP or NEMA rating.
Versions Stainless steel
flange
Aimer flange
0.5 bar max.
Aimer flange
3.0 bar max
40 m –40 to +100 °C
(–40 to +212 °F)
–40 to +100 °C
(–40 to +212 °F)
–40 to +100 °C
(–40 to +212 °F)
100 m –40 to +200 °C
(–40 to +392 °F)
–40 to +200 °C
(–40 to +392 °F)
–40 to +120 °C
(–40 to +248 °F)
1) Maximum and minimum process temperatures are dependent on the process con-
nection, O-ring materials, and vessel pressure. Use of the Easy Aimer limits maximum
temperature.
Note: The device nameplate lists the approvals that apply to your device.

7ML19985LY01 SITRANS LR560 (FF) – OPERATING INSTRUCTIONS Page 11
mmmmm
Specifications
• Hazardous
Non-sparking/
Energy Limited1) (Europe) ATEX II 3G Ex nA/nL IIC T4 Gc
Dust Ignition Proof 1) (Europe/International) ATEX II 1D, 1/2D, 2D
IECEx SIR 09.0149X
Ex tD A20 IP67 T100 oC
Dust Ignition Proof 2) (US/Canada) FM/CSA:
Class II, Div. 1, Groups E, F, G
Class III T4
Non-incendive 2) (US/Canada) FM/CSA Class I, Div. 2,
Groups A, B, C, D, T4
Programmer (infrared keypad)
Siemens Milltronics Infrared IS (Intrinsically Safe) Hand Programmer for hazardous and
all other locations (battery is non-replaceable)
• approval FM/CSA Class I, II, III, Div. 1, Gr. A to G T6
CE
ATEX II 1GD Ex ia IIC T4 Ga
Ex iaD 20 T135 °C
IECEx SIR 09.0073 Ex ia IIC T4 Ga
Ex iaD 20 T135 °C
INMETRO Br-Ex ia IIC T4
• ambient temperature −20 to +50 °C (−5 to +122 °F)
• interface proprietary infrared pulse signal
• power 3 V lithium battery
• weight 150 g (0.3 lb)
• color black
• Part Number 7ML1930-1BK
1) See
Non-Sparking/Energy Limited wiring (Europe) and Dust Ignition Proof wiring
(Europe/International)
on page 28 for more details.
2) See
Non-incendive and Dust Ignition Proof wiring (US/Canada)
on page 28
Notes:
• Battery is non-replaceable with a lifetime expectancy of 10 years in normal use.
• To estimate the lifetime expectancy, check the nameplate on the back for the serial
number. The first six numbers show the production date (mmddyy), for example,
serial number 032608101V.

Page 12 SITRANS LR560 (FF) – OPERATING INSTRUCTIONS 7ML19985LY01
mmmmm
Specifications
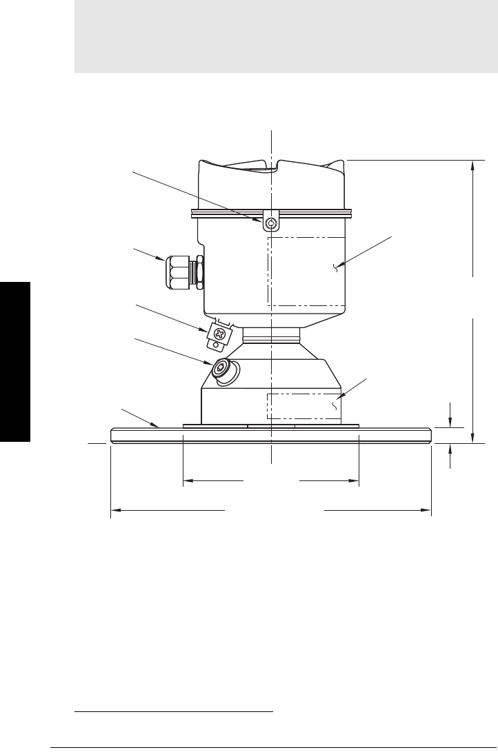
Dimensions
SITRANS LR560 with stainless steel universal flat flange
1)
Notes:
• Process temperature and pressure capabilities are dependent upon information
displayed on the process device markings.
• Refer to
Universal Slotted Flange
on page 16 for bolt hole pattern and dimensions.
1) Shipped with product, packed in a separate bag.
grounding
lug
purge inlet
process
connection:
flat flange
cable
gland1)
110 mm
(4.33")
176 mm
(6.93")
9.6 mm
(0.38")
lid lock
sensor
reference
point
3": 200 mm (7.87")
4": 229 mm (9.02")
6": 285 mm (11.22")
pressure-related
information
device label

7ML19985LY01 SITRANS LR560 (FF) – OPERATING INSTRUCTIONS Page 13
mmmmm
Specifications
SITRANS LR560 with 3" Aimer Flange
Notes:
• Process temperature and pressure capabilities are dependent upon information
displayed on the process device markings.
• Refer to
Universal Slotted Flange
on page 16 for bolt hole pattern and dimensions.
grounding
lug
purge
inlet
process
connection:
aimer flange
cable
gland
110 mm
(4.33")
166.1 mm
(6.54")
200 mm
(7.87")
23.3 mm
(0.92")
sensor
reference
point
lid lock
pressure-related
information
device label

Page 14 SITRANS LR560 (FF) – OPERATING INSTRUCTIONS 7ML19985LY01
mmmmm
Specifications
SITRANS LR560 with 4" and 6" Aimer Flange
C Spanner
Notes:
• Process temperature and pressure capabilities are dependent upon information
displayed on the process device markings.
• Refer to
Universal Slotted Flange
on page 16 for bolt hole pattern and dimensions.
grounding
lug
purge inlet
process
connection:
aimer
flange
cable
gland
110 mm
(4.33")
166.1 mm
(6.54")
sensor
reference
point
9.6 mm
(0.38")
4": 229 mm (9.02")
6": 285 mm (11.22")
4": 53.2 mm (2.09")
6": 60.0 mm (2.36)
pressure-related
information
lid lock
device label
A C spanner, used to loosen the aimer
locking ring, is shipped with the device.

7ML19985LY01 SITRANS LR560 (FF) – OPERATING INSTRUCTIONS Page 15
mmmmm
Specifications
Process Connection Label (Pressure Rated Versions)
For pressure-rated versions only, the process connection label lists the following
information:
Item Sample Text Comments/Explanation
CONNECTION SERIES ASME B16.5 / EN 1092-1
/ JIS B 2220
Flange Series: dimensional pattern based on
ASME B16.5/EN 1092-1/JIS B 2220 flange
standards
NOM. PIPE SIZE (DN) 4 INCH / 100mm Nominal Pipe Size: based on 150#/PN16/10K
flange pressure classes
MAWP (PS) 3BAR Maximum Allowable Working Pressure at
Design Temperature
DESIGN TEMP. (TS) 100 ºC Maximum Allowable Working Temperature
MIN. PROCESS 3BAR AT -40 ºC Minimum Wetted Process Conditions
0F13589.5 Canadian Registration Number (CRN)
TEST PRESSURE (PT) 5.2 BAR Production Test Pressure
TEST DATE 10/01/04 Date of Pressure Test (Year/Month/Day)
PROCESS SERIES 25785 Pressure Tag Family Series
WETTED NON-METALLIC PEI Sensor Lens Material
WETTED METALLICS 304L Process Connection Material(s)
WETTED SEALS FKM / VQM Seal Material(s)

Page 16 SITRANS LR560 (FF) – OPERATING INSTRUCTIONS 7ML19985LY01
mmmmm
Specifications
Universal Slotted Flange
Slotted Flange Dimensions and Aimer1)
WARNING: The user is responsible for the selection of bolting and
gasket materials which will fall within the limits of the flange and its
intended use and which are suitable for the service conditions.
Pipe
Size
Flange
O.D.
Thick-
ness (s)
Bolt Hole
Circle Max Ø
Bolt Hole
Circle Min Ø
Bolt Hole
radius
No. of
Slotted
Holes
3" or
80 mm
7.87"
(200 mm)
0.38"
(9.65 mm)
6.30"
(160 mm)
5.91"
(150 mm)
0.38"
(9.65 mm)
8
4" or
100 mm
9.00"
(229 mm)
0.38"
(9.65 mm)
7.52"
(191 mm)
6.89"
(175 mm)
0.38"
(9.65 mm)
8
6" or
150 mm
11.22"
(285 mm)
0.38"
(9.65 mm)
9.53"
(242 mm)
9.45"
(240 mm)
0.45"
(11.5 mm)
8
1) Universal flange mates with EN 1092-1 (PN16)/ASME B16.5 (150 lb)/JIS 2220 (10K) bolt
hole pattern.
bolt hole circle
max. diameter
slotted bolt hole
section A-A
thickness
bolt hole radius
bolt hole circle
min. diameter
flange O.D.
45 °

7ML19985LY01 SITRANS LR560 (FF) – OPERATING INSTRUCTIONS Page 17
mmmmm
Installation
Installation
Pressure Equipment Directive, PED, 97/23/EC
SITRANS LR560 Radar Level Measurement instrument falls below the limits of Article 3,
sections 1 & 2 of the Pressure Equipment Directive (PED, 97/23/EC) as a category I pres-
sure accessory. However, in accordance with PED, 97/23/EC, Article 3, section 3, this
equipment has been designed and manufactured in accordance with Sound Engineering
Practice (SEP) (see EU Commission Guideline 1/5).
WARNINGS:
• Installation shall be performed only by qualified personnel and in
accordance with local governing regulations.
• SITRANS LR560 is to be used only in the manner outlined in this manual,
otherwise protection provided by the device may be impaired.
• Never attempt to loosen, remove, or disassemble process connection
or instrument housing while vessel contents are under pressure.
• The user is responsible for the selection of bolting and gasket materials
which will fall within the limits of the flange and its intended use and
which are suitable for the service conditions.
• Improper installation may result in loss of process pressure.
Notes:
• For European Union and member countries, installation must be according to ETSI
EN 302372.
• Refer to the device nameplate for approval information.
• Pressure rated versions of the SITRANS LR560 are pressure tested, meeting or
exceeding the requirements of the ASME Boiler and Pressure Vessel Code and the
European Pressure Equipment Directive.
• The serial numbers stamped in each process connection body provide a unique
identification number indicating date of manufacture.
Example: MMDDYY – XXX (where MM = month, DD = day, YY = year, and
XXX= sequential unit produced)
Further markings (space permitting) indicate flange configuration, size, pressure
class, material, and material heat code.

Page 18 SITRANS LR560 (FF) – OPERATING INSTRUCTIONS 7ML1998KL01
mmmmm
Installation
Mounting location
Nozzle location
Beam angle
• Beam angle is the width of the cone
where the energy density is half of
the peak energy density
• Peak energy density is directly in
front of and in line with the antenna.
• Signal is transmitted outside the
beam angle; therefore false targets
may be detected.
Emission cone
• Keep emission cone free of
interference from ladders, pipes,
I-beams or filling streams.
• Avoid central locations on tall,
narrow vessels.
• LR560 uses circular polarization.
Rotation of device is not required to
optimize signal.
Environment
• Provide easy access for
viewing the display and
programming via the
handheld programmer.
• Provide an environment
suitable to the ambient
temperature rating.
• Use a sunshield if the
instrument will be
mounted in direct
sunlight.
Notes:
• Correct location is key to a successful application.
• Avoid reflective interference from vessel walls and obstructions by following the
guidelines below.
Notes:
• For details on avoiding false echoes, see
Auto False Echo Suppression (2.4.8.1.)
on
page 142.
emission
cone
min. 1 m (39")
4°
ambient temperature
–40 °C to +80 °C
(–40 °F to +176 °F)
process temperature
–40 to +100 °C (–40 to +212 °F) or
–40 to +200 °C (–40 to +392 °F)
(version dependent)

7ML19985LY01 SITRANS LR560 (FF) – OPERATING INSTRUCTIONS Page 19
mmmmm
Installation
Sunshield
The LR560 display can be protected by an optional sunshield if the instrument will be
mounted in direct sunlight.
Aimer Adjustment
3" flange 4 and 6" flange
Note: Aiming will assist in measuring material in the cone.
1
2
3
10°
5°

Page 20 SITRANS LR560 (FF) – OPERATING INSTRUCTIONS 7ML1998KL01
mmmmm
Installation
1) For 4" and 6" Aimer: loosen the set screws in the locking ring.
Holding the electronics enclosure firmly, loosen the Aimer locking ring using the C
spanner supplied, until the LR560 drops down slightly. The enclosure can then be
turned freely.
2) Direct SITRANS LR560 so the antenna is pointed at an angle perpendicular to the
material surface, if possible.
3) When the desired position is reached, re-tighten the locking ring using the
C spanner, and tighten set screws.
4) For the 3" Aimer flange, tapered split washers with pressure rated versions are
provided to keep nuts and bolts perpendicular to the flange surface.
Air Purging System
For convenient cleaning, a purging inlet is provided above the antenna. The system pro-
vides an 1/8" inlet (female thread) above the antenna where clean, dry air passes to the
face of the antenna lens to clean it. The customer will supply the purging air by a manual
or automatic valve system.
Notes:
• Purge duration, pressure, and interval, will vary with each application. It is the user’s
responsibility to determine the requirements depending on the application and
cleaning required.
• Short duration bursts of high pressure provide more effective cleaning than
continuous low pressure air.
• It is the customer’s responsibility to ensure that any vacuum or pressure in the
measured vessel is maintained, considering the hole that passes through the
process connection and SITRANS LR560 antenna system.
Aiming is not required
for signal optimization
with 78 GHz
frequency.
Aiming will assist in
measuring material
in the cone.
Aimer

7ML19985LY01 SITRANS LR560 (FF) – OPERATING INSTRUCTIONS Page 21
mmmmm
Installation
Purge Connection
• The purge connection is closed
by the manufacturer, using a 1/8"
plug.
• When the plug is removed to
connect a purging system, the
operator is responsible for
ensuring that the purging circuit
conforms to "Ex" requirements:
for example, by fitting an NRV
valve. 1)
Purge airflow
• The purge airflow is designed to create a strong vortex of air that rapidly cleans the
face of the lens.
• The air purge system can clean both dust and moisture off the lens.
• It can be used for periodic cleaning.
Air Consumption (Flow rate versus applied pressure)
Air Pressure (psi) Approx. inlet volume flow rate (SCFM)a)
20 5
40 10
50 15
80 20
100 25
110 30
Recommended 90 to 110 psi for effective cleaning..
a) SCFM (standard cubic feet/minute) referenced to 14.7 psia, +68 °F and 36% rel-
ative humidity (RH).
1) Air pressure in vessel can affect purge operation.
purged process
connection with
factory-installed
1/8" NPT plug
angled holes
direct air flow

Page 22 SITRANS LR560 (FF) – OPERATING INSTRUCTIONS 7ML1998KL01
mmmmm
Installation
Removable Display
• The optional display can be rotated as required, to one of 4 positions, 90 degrees
apart (see
Connecting SITRANS LR560
on page 23 for instructions).
• It can also be used to transfer parameters from one device to another (see
Copy
Parameters to Display1.3.
on page 88.)

7ML19985LY01 SITRANS LR560 (FF) – INSTRUCTION MANUAL Page 23
Wiring
Wiring
Power
Connecting SITRANS LR560
1) Loosen locking screw.
2) Remove LR560 lid.
3) Remove optional display by gently turning
the display a quarter turn
counter-clockwise until it is free.
4) Strip the cable jacket for approximately
70 mm (2.75") from the end of the shielded
fieldbus cable, and thread the wires
through the gland1).
WARNINGS:
The DC input terminals shall be supplied from a source providing
electrical isolation between the input and output, in order to meet
the applicable safety requirements of IEC 61010-1.
All field wiring must have insulation suitable for rated voltages.
WARNINGS:
• Check the device label on your instrument, to verify the approval
rating.
• Use appropriate conduit seals to maintain IP or NEMA rating.
•Read
Wiring Setups for hazardous area installations
on page 26.
Notes:
• Separate cables and conduits may be required to conform to standard
instrumentation wiring practices or electrical codes.
• The optional display can be rotated as required, to 1 of 4 positions at 90 degree
intervals.
1) If cable is routed through conduit, use only approved suitable-size hubs for
waterproof applications.
1.
2.
3. ¼ turn

Page 24 SITRANS LR560 (FF) – INSTRUCTION MANUAL 7ML19985LY01
Wiring
5) Connect the wires to the terminals as shown (SITRANS LR560 FF is not polarity-
sensitive).1) 2)
6) Ground the instrument according to local regulations.
7) Tighten the gland to form a good seal.
8) Replace optional display. .
9) After programming and device configuration, secure the locking screw and replace
device lid.
1) May be shipped with the device.
2) The instrument shield connection is internally connected to the external ground
lug.
Notes:
• Foundation Fieldbus (HI) must be terminated at both extreme ends of the cable for
it to work properly.
• Please refer to the
Foundation Fieldbus System Engineering Guidelines (AG-181)
Revision 2.0
, available from www.fieldbus.org, for information on installing FF (H1)
devices.
cable gland1)
(or NPT cable entry)
cable shield
instrument
shield
connection2)

7ML19985LY01 SITRANS LR560 (FF) – INSTRUCTION MANUAL Page 25
Wiring
Basic Configuration with Foundation Fieldbus (H1)
controller
Rosemount
3420 HSE/H1
Gateway
DeltaV
and/or
AMS
LR560 FF LR560 FF
PC/laptop
FF (H1)
Configuration via
Gateway
FF (HSE)
FC375 FC375
controller
HSE/H1
Linking Device
NI-FBUS
Configurator
LR560 FF LR560 FF
PC/laptop
FF (H1)
Configuration via
Linking Device
FF (HSE)
FC375
FC375

Page 26 SITRANS LR560 (FF) – INSTRUCTION MANUAL 7ML19985LY01
Wiring
Wiring Setups for hazardous area installations
The following wiring options are available for hazardous area installations:
•
Non-Sparking/Energy Limited wiring (Europe) and Dust Ignition Proof wiring
(Europe/International)
on page 28
•
Non-incendive and Dust Ignition Proof wiring (US/Canada)
on page 28
In all cases, check the nameplate on your instrument, and confirm the approval rating.
Configuration with Foundation Fieldbus for hazardous
areas
H1 Interface
LR560 FF LR560 FF
PC/laptop
FF (H1)
Configuration via
PCI/PCMCIA Card
PCI/PCMCIA bus
FC375 FC375
NI-FBUS
Configurator
Hazardous Area
Non-hazardous Area
controller
HSE/H1 Gateway
DeltaV
and/or
AMS
LR560 FF LR560 FF
PC/laptop
FF (H1)
Configuration via
Gateway
FF (HSE)
FC375 FC375

7ML19985LY01 SITRANS LR560 (FF) – INSTRUCTION MANUAL Page 27
Wiring
Configuration for hazardous areas (continued)
Hazardous Area
Non-hazardous Area
controller
HSE/H1 Linking Device
AMS or
NI-FBUS
Configurator
LR560 FF LR560 FF
PC/laptop
FF (H1)
Configuration via
Linking Device
Hazardous Area
Non-hazardous Area H1 Interface
NI-FBUS
Configurator
LR560 FF LR560 FF
PC/laptop
FF (H1)
Configuration via
PCI/PCMCIA Card
FF (HSE)
PCI/PCMCIA bus
FC375 FC375
FC375 FC375

Page 28 SITRANS LR560 (FF) – INSTRUCTION MANUAL 7ML19985LY01
Wiring
1. Non-Sparking/Energy Limited wiring (Europe) and
Dust Ignition Proof wiring (Europe/International)
• For power demands see
Temperature De-Rating
on page 146.
• For wiring requirements follow local regulations.
•See also
Instructions specific to hazardous area installations
on page 29.
2. Non-incendive and Dust Ignition Proof wiring (US/
Canada)
• For power demands see
Temperature De-Rating
on page 146.
The ATEX certificate listed on the nameplate can be downloaded from the product page of
our website at: www.siemens.com/LR560. Go to Support > Approvals/Certificates.
The IECEx certificate listed on the nameplate can be viewed on the IECEx website. Go to:
http://iecex.iec.ch and click on Ex Equipment Certificates of Conformity then enter the
certificate number IECEx SIR 09.0149X.
Device label (ATEX/IECEx/C-TICK)
FM/CSA Class 1, Div 2 installation drawing number A5E02795836.
can be downloaded from the product page of our website at: www.siemens.com/LR560 under
Support.
Device label (FM/CSA)

7ML19985LY01 SITRANS LR560 (FF) – INSTRUCTION MANUAL Page 29
Wiring
Instructions specific to hazardous area installations
(Reference European ATEX Directive 94/9/EC, Annex II, 1.0.6)
The following instructions apply to equipment covered by certificate numbers Sira
09ATEX9356X and Sira 09ATEX4357X:
1) For use and assembly and details of marking/coding, refer to the main instructions.
2) The equipment is certified for use as Category 1D, 1/2D and 2D equipment per
certificate Sira 09ATEX9356X and may be used in hazardous zones 20, 21 and 22. The
equipment is also certified for use as Category 3G equipment per certificate Sira
09ATEX4357X and may be used in hazardous zone 2.
3) This equipment has a maximum surface temperature of 139 °C (in an 80 °C ambient).
Refer to the applicable code of practice for selection of this equipment with respect
to specific dust ignition temperatures.
4) The equipment is certified for use in an ambient temperature range of –40 °C to
80 °C.
5) The equipment has not been assessed as a safety related device (as referred to by
Directive 94/9/EC Annex II, clause 1.5).
6) Installation and inspection of this equipment shall be carried out by suitably trained
and authorized personnel in accordance with the applicable code of practice.
7) The equipment shall be installed such that the supply cable is protected from
mechanical damage. The cable shall not be subjected to tension or torque. The
equipment manufacturer is not responsible for providing the supply cable.
8) Repair of this equipment shall be carried out by suitably trained and authorized
personnel in accordance with the applicable code of practice.
Special Conditions for Safe Use
The ‘X’ suffix to the certificate number relates to the following special condition(s) for
safe use:
• Parts of the enclosure may be non-conducting and may generate an ignition-
capable level of electrostatic charge under certain extreme conditions. The user
should ensure that the equipment is not installed in a location where it may be
subjected to external conditions (such as high-pressure steam), which might cause
a build-up of electrostatic charge on non-conducting surfaces.
• The end user must ensure that an ingress protection of at least IP65 is maintained
at each entry to the enclosure by use of a blanking element or cable entry device
that meets the requirements of the protection concepts type ‘n’ or increased safety
‘e’ or flameproof ‘d’.
• The supply to the equipment shall be rated for a prospective short-circuit current of
not more than 10 kA and shall be protected by a suitably-rated fuse
Note: Installation shall be performed only by qualified personnel and in accordance
with local governing regulations.

Page 30 SITRANS LR560 (FF) – OPERATING INSTRUCTIONS 7ML19985LY01
mmmmm
Quick Start: local
Local Operation
SITRANS LR560 carries out its level measurement tasks according to settings made via
parameters. The settings can be modified locally using the Local Display Interface (LDI)
which consists of an LCD display with push buttons, or using the LDI in combination with
an infrared handheld programmer.
A Quick Start Wizard provides an easy step-by-step procedure to help you configure the
device for a simple application. There are two ways to access the wizard:
• locally (see
Quick Start Wizard via the LDI push buttons
on page 36 or
Quick Start
Wizard via the handheld programmer
on page 36)
• from a remote location (See
Quick Start Wizard via AMS Device Manager
on
page 46)
See
Level application example
on page 40 for an illustration, and for the complete range
of parameters, see
Parameter Reference
on page 86.
Activating SITRANS LR560
Power up the device. At initial startup, SITRANS LR560 will not begin measurements and
all blocks will be Out of Service until the instrument has been configured1). Completing
the Quick Start Wizard or writing any configuration parameter via the local user interface
causes the device to begin measuring. The Resource Block (RES) and Level Transducer
Block (LTB) will move to Automatic mode2).
A transition screen showing first the Siemens logo and then the current firmware revision
is displayed while the first measurement is being processed.
The first time the device is configured you will be prompted to select a language (English,
German, French, Spanish or Chinese). To change the language again, see Language (7.)
on page 122.
Notes:
• To enter Program mode using the push buttons, press . Press to return to
Measurement mode.
• To toggle between Measurement and Program Mode using the handheld
programmer, press Mode .
1) See
To configure a device via the local user interface
on page 35. (To configure using
a network configuration tool see
Quick Start Wizard via AMS Device Manager
on
page 46.)
2) AIFB 1 and AIFB 2 will remain Out of Service (as displayed on the LCD). These blocks
can only be configured and scheduled using a network configuration tool. For more
details, see System Integration in manual
Foundation Fieldbus for Level Instruments
(7ML19985MP01).
push buttons

7ML19985LY01 SITRANS LR560 (FF) – OPERATING INSTRUCTIONS Page 31
mmmmm
Quick Start: local
The LCD Display
Measurement mode
Normal operation 1) 2)
Fault present
Program mode
Navigation view
• A visible menu bar indicates the
menu list is too long to display all
items.
• The depth of the item band on the
menu bar indicates the length of
the menu list: a deeper band
indicates fewer items.
• The position of the item band indicates the approximate position of the current item
in the list. A band halfway down the menu bar indicates the current item is halfway
down the list.
1) Press UP or DOWN arrow to switch.
2) In response to a key press request. For details, see
Key functions in Measurement
mode
on page 32.
M
[]
FB 1
21.40 °C
NO DATA EXCH.
18.91
6
7
8
1342
5
1 – toggle indicator1) to switch between AIFB 1/
AIFB 2 (displayed as FB1/FB2)
2 – identifies which block is source of displayed
value
3 – measured value (level, distance)
4 – units
5 – bar graph indicates level
6 – secondary region indicates on request2)
electronics temperature, echo confidence, or
distance
7 – text area displays status messages
8 – device status indicator
7 – text area displays a fault code and an error message
8 – service required icon appears
S: 0 LOE
current
item
number
current
item
current
menu
item
band
menu
bar
parameter
value/
selection
parameter
name
Parameter view Edit view
parameter
number

Page 32 SITRANS LR560 (FF) – OPERATING INSTRUCTIONS 7ML19985LY01
mmmmm
Quick Start: local
Handheld Programmer
Key functions in Measurement mode
Programming SITRANS LR560
Change parameter settings and set operating conditions to suit your specific application.
(For remote operation see
Operating via AMS Device Manager
on page 41.)
Key Function
Displays internal enclosure
temperature reading. New value is displayed in LCD secondary region.
Displays echo confidence
value2).
Displays distance measure-
ment. New value is displayed in LCD secondary region
Mode opens PROGRAM
mode.
Opens the menu level last displayed in this power
cycle, unless power has been cycled since exiting
PROGRAM mode or more than 10 minutes have
elapsed since PROGRAM mode was used.
Then top level menu will be displayed.
RIGHT arrow
opens PROGRAM mode. Opens the top level menu.
UP or DOWN arrow
toggles between AIFB 1 and
AIFB 2.
Identifies which AIFB is the source of the displayed
value.
Notes:
• While the device is in PROGRAM mode the output remains active and continues to
respond to changes in the device.
• SITRANS LR560 automatically returns to Measurement mode after a period of
inactivity in PROGRAM mode (between 15 seconds and 10 minutes, depending on
the menu level).
C
(Part No. 7ML1930-1BK)
The programmer is ordered separately.

7ML19985LY01 SITRANS LR560 (FF) – OPERATING INSTRUCTIONS Page 33
mmmmm
Quick Start: local
Parameter menus
Parameters are identified by name and organized into function groups, then arranged in a
5-level menu structure (see
LCD menu structure
on page 155).
1. Enter PROGRAM mode
• Point the programmer at the display from a
maximum distance of 300 mm (1 ft).
•RIGHT arrow activates PROGRAM mode
and opens menu level 1.
•Mode opens the menu level last displayed
in PROGRAM mode within the last 10 minutes, or
menu level 1 if power has been cycled since then.
2. Navigating: key functions in Navigation mode
Note: For the complete list of parameters see
Parameter Reference
on page 86.
Notes:
• In Navigation mode, ARROW keys move to the next menu item in the direction of the
arrow.
• For Quick Access to parameters via the handheld programmer, press Home , and
then enter the menu number. For example, to access parameter Temperature Units
(2.3.3.), press 2.3.3.
1. QUICK START
2. SETUP
2.1. IDENTIFICATION
2.2. DEVICE
..................
2.5. AIFB 1
2.5.1. STATIC REV. NO.
2.5.2. MODE
2.5.3. CHANNEL
2.5.4. INPUT SCALING
2.5.4. 1. LOWER VALUE
display
handheld
programmer
max. 300 mm
(1.0 ft)

Page 34 SITRANS LR560 (FF) – OPERATING INSTRUCTIONS 7ML19985LY01
mmmmm
Quick Start: local
3. Editing in PROGRAM mode
Selecting a listed option
a) Navigate to the desired parameter.
b) Press RIGHT arrow to open parameter
view.
c) Press RIGHT arrow again to open Edit
mode. The current selection is highlighted.
d) Scroll to a new selection.
e) Press RIGHTarrow to accept it.
The LCD returns to parameter view and displays
the new selection.
Changing a numeric value
a) Navigate to the desired parameter.
b) Press RIGHT arrow to open parameter
view. The current value is displayed.
c) Press RIGHT arrow again to open Edit
mode. The current value is highlighted.
d) Key in a new value.
e) Press RIGHT arrow to accept it. The LCD
returns to parameter view and displays the new
selection.
Key Name Menu level Function in Navigation Mode
UP or DOWN
arrow
menu or
parameter Scroll to previous or next menu or parameter.
RIGHT
arrow
menu Go to first parameter in the selected menu, or
open next menu.
parameter Open Edit mode.
LEFT
arrow menu or
parameter Open parent menu.
Mode menu or
parameter Change to MEASUREMENT mode.
Home menu or
parameter Open top level menu: menu 1.
parameter name
current
selection
parameter
number
current
value
parameter name parameter
number

7ML19985LY01 SITRANS LR560 (FF) – OPERATING INSTRUCTIONS Page 35
mmmmm
Quick Start: local
Key functions in Edit mode
To configure a device via the local user interface
Configure the device via the Quick Start Wizard.
•See
Quick Start Wizard via the LDI push buttons
on page 36
•See
Quick Start Wizard via the handheld programmer
on page 36
Key Name Function
UP or
DOWN
arrow
Selecting
options Scrolls to item.
Alpha-
Numeric
editing
- Increments or decrements digits
- Toggles plus and minus sign
RIGHT
arrow
Selecting
options
- Accepts the data (writes the parameter)
- Changes from Edit to Navigation mode
Numeric
editing
- Moves cursor one space to the right
- or with cursor on Enter sign, accepts the data and changes
from Edit to Navigation mode
LEFT
arrow
Selecting
options Cancels Edit mode without changing the parameter
Numeric
editing
- Moves cursor to plus/minus sign if this is the first key pressed
- or moves cursor one space to the left.
- or with cursor on Enter sign, cancels the entry
Clear Numeric
editing Erases the display.
Decimal
point
Numeric
editing
- In Edit mode, enters a decimal point.
- In Parameter View, press to store menu path to that
parameter, and create custom Secondary Value to be dis-
played in secondary region of LCD.
Plus or
minus sign
Numeric
editing Changes the sign of the entered value.
to
Numeral Numeric
editing Enters the corresponding character.
Notes:
• Completing the last step of the Quick Start via the local user interface places the
RESOURCE block (RES) and Level Transducer Block (LTB) in
Automatic
mode.
• AIFB 1 and AIFB 2 will remain Out of Service (as displayed on the LCD). These blocks
can only be configured and scheduled using a network configuration tool. For more
details, refer to manual
Foundation Fieldbus for Level instruments (7ML19985MP01)
.

Page 36 SITRANS LR560 (FF) – OPERATING INSTRUCTIONS 7ML19985LY01
mmmmm
Quick Start: local
Quick Start Wizard via the LDI push buttons
1) Press to enter Program mode.
2) Choose Quick Start (1.), and then Quick Start Wizard (1.1.).
3) Follow the steps then choose Finish to save Quick Start parameter changes and
return to Program menu, or press to return to Measurement mode.
To add or delete digits using the push buttons:
1) Navigate to the parameter you wish to modify and press
to edit it. The value will be highlighted.
2) Press or to delete the highlighted value, or to
modify the value from the left-most digit, starting with the
plus/minus sign.
3) With the plus or minus sign highlighted, press or to
change it. Press to highlight the next digit to the right.
4) Use or to modify the highlighted digit. Scroll past 9 to reach the decimal point.
5) When the value is complete, press until the Enter icon is highlighted , then
press to accept the value.
To modify a text string:
1) Navigate to the parameter you wish to modify and press to edit it. The string will
be highlighted.
2) Follow the same steps as above, to add, delete, or modify characters.
Quick Start Wizard via the handheld programmer
Note: When the Enter icon is highlighted, press to insert a digit on the right,
to delete the right-most digit, to accept the value, or to cancel.
Notes:
• Default settings in the Quick Start Wizard are indicated with an asterisk (*) unless
explicitly stated.
• When using the handheld programmer, the Quick Start wizard settings are inter-
related and changes apply only after you select FINISH in Wizard Complete.
• Do not use the Quick Start wizard to modify individual parameters: see instead
Parameter Reference
on page 86. (Perform customization only after the Quick Start
has been completed.)

7ML19985LY01 SITRANS LR560 (FF) – OPERATING INSTRUCTIONS Page 37
mmmmm
Quick Start: local
1. Quick Start
1.1. Quick Start Wizard
a) Point the programmer at the display from a maximum distance of 300 mm (1 ft) and
press RIGHT arrow to activate PROGRAM mode and open menu level 1.
b) Press RIGHT arrow twice, to navigate to menu item 1.1
and open the Quick Start Wizard.
c) At each step, press DOWN arrow to accept default
values and move directly to the next item,
or RIGHT arrow to open Edit mode: the current
selection is highlighted.
d) Scroll to desired item and press RIGHT arrow to store the change, then press
DOWN arrow to continue.
e) At any time you can press UP arrow to go back, or LEFT arrow to cancel
and return to Measurement mode.
Vessel
Select vessel construction material
.
• Selecting either STEEL or CONCRETE
does a functional reset (see Master
Reset (4.1.) on page 110).
• Selecting STEEL changes the setting
for Position Detect (2.4.5.2.) to Rising
Edge, and for Algorithm (2.4.5.1.) to F.
• Selecting CONCRETE changes the setting for Position Detect (2.4.5.2.) to Rising Edge
and for Algorithm (2.4.5.1.) to ALF.
Response Rate
Use a setting just faster than the maximum filling or emptying rate (whichever is greater).
Options * STEEL
CONCRETE
Response Rate Fill Rate/Min (2.3.6.2.)/Empty rate/Min (2.3.6.3.)
SLOW 0.1 m/min (0.32 ft/min)
MED * 1.0 m/min (3.28 ft/min)
FAST 10.0 m/min (32.8 ft/min)
Parameter View Edit mode
Sets the reaction speed of the device
to measurement changes in the target
range.
Selecting SLOW changes setting for
Average amount (2.8.3.) to 0.9.

Page 38 SITRANS LR560 (FF) – OPERATING INSTRUCTIONS 7ML19985LY01
mmmmm
Quick Start: local
Units
Low Calibration Point
High Calibration Point
Wizard Complete
To transfer Quick Start values to the device and return to Program menu, press
DOWN arrow (Finish). Then press LEFT arrow to return to Measurement mode.
Options BACK, CANCEL, FINISH (Display returns to 1.1 Quick Start Wizard menu when
Quick Start is successfully completed.)
Sensor measurement units.
Options M, CM, MM, FT, IN
Default: M
Distance from Sensor Reference Point to
Low Calibration Point: usually process
empty level
Values
Range: 0.000 to 40.000 m or
0.000 to 100.000 m
Default: 100.000 m
sensor reference point
(flange face: see
Dimensions
on page
12)
High Calibration Point
Low Calibration Point
Distance from Sensor Reference Point to
High Calibration Point: usually process full
level.
Values
Range: 0.000 to 40.000 m or
0.000 to 100.000 m
Default: 0.000 m

7ML19985LY01 SITRANS LR560 (FF) – OPERATING INSTRUCTIONS Page 39
mmmmm
Quick Start: local
Requesting an Echo Profile
• In PROGRAM mode, navigate to: Level Meter >
Diagnostics (3.) > Echo Profile (3.1.).
• Press RIGHT arrow to request a profile.
•Use UP or DOWN arrow to scroll to an icon. When an icon is highlighted
that feature becomes active.
• To move a cross-hair, press RIGHT arrow to increase the value, LEFT arrow
to decrease.
• To Zoom into an area, position the intersection of the cross-hairs at the center of
that area, select Zoom, and press RIGHT arrow . Press LEFT arrow to Zoom
out.
• To update the profile, select Measure and press RIGHT arrow .
• To return to the previous menu, select Exit then press RIGHT arrow
Device Address
Read only. The unique address of the device on the network.
• In PROGRAM mode, navigate to: Level Meter > Communication (5.) > Device
Address (5.2.) to view the device address.
• Press Mode to return to Measurement mode.
Note: The address can only be changed from a remote master such as NI-FBUS
Configurator or DeltaV. For further details see Addressing in the manual,
Foundation
Fieldbus for Level instruments (7ML19985MP01)
.
algorithm: tF (trueFirst)
confidence distance from flange face to target
TVT
echo
measure
exit
distance from Low Calibration Point to vertical cross-hair
zoom
pan left/right - selected
pan up/down
Echo amplitude (in dB)

Page 40 SITRANS LR560 (FF) – OPERATING INSTRUCTIONS 7ML19985LY01
mmmmm
Quick Start: local
Level application example
The application is a vessel that takes an average 3 hours (180 minutes) to fill and 3 weeks
to empty.
Fill rate = 0.08 m/minute [(Low Cal Pt. minus High Cal Pt.) / fastest of fill or empty time]
= (15.5 m – 1 m) / 180 min.
= 14.5 m /180 min. = 0.08 m/min.
Therefore SLOW response rate (0.1 m/minute) can be selected.
Quick Start
Parameter Setting Description
Vessel STEEL
Response Rate SLOW Resets Fill Rate and Empty Rate to 0.1 m/minute.
Units M
Low Calibration Point 15.5 Process empty level.
High Calibration Point 1.0 Process full level.
Wizard Complete FINISH Save new settings and exit Wizard
Sensor Reference
Point
level
Low Calibration Point
High Calibration Point
15.5 m
1.0 m
SITRANS LR560

7ML19985LY01 SITRANS LR560 (FF) – INSTRUCTION MANUAL Page 41
mmmmm
AMS Device Manager
Operating via AMS Device Manager
AMS Device Manager is a software package used to commission and maintain SITRANS
LR560 and other process devices. Please consult the operating instructions or online help
for details on using AMS Device Manager version 9.0. (You can find more information at
http://www.emersonprocess.com/AMS/.)
Functions in AMS Device Manager
AMS Device Manager monitors the process values, alarms and status signals of the
device. It allows you to display, compare, adjust, verify, and simulate process device data.
Device configuration and monitoring is performed via parameters organized into three
function groups:
• Configure/Setup
• Device Diagnostics
•Process Variables
The way the device handles these parameters is described in terms of a Block Model. See
the manual,
Foundation Fieldbus for Level instruments (7ML19985MP01)
,
for details.
Four blocks have responsibility for handling these parameters:
• Level Transducer Block (LTB)
• LCD Transducer Block (LCD)
• Diagnostic Transducer Block (DIAG)
• Resource Block (RES)
Within each function group, parameters are associated with a particular Function Block.
button access
to function
groups
active
function group
(highlighted)
active function
block (LTB)
active parameter tab parameter dialog
window

Page 42 SITRANS LR560 (FF) – INSTRUCTION MANUAL 7ML19985LY01
mmmmm
AMS Device Manager
Key Features of AMS Device Manager version 9.0.
Block location of features
Notes:
• For details on using the features below, see the page listed.
• In the table below, (LTB) or (RESOURCE) following the parameter name indicates
which block handles the feature in question.
Feature Page Description
Quick Start Wizard via AMS Device Manager 46 Device configuration for simple
applications
Echo Profile 56 Echo profile viewing
TVT (Auto False Echo Suppression) 54 Screen out false echoes
automatically
Maintenance & Diagnostics (LTB) 56 Set schedules and reminders
for sensor maintenance and
service
Maintenance & Diagnostics (RESOURCE) 65 Set schedules and reminders
for device maintenance and
calibration
Security (RESOURCE) 67 Protect security and
communication parameters
from modification by the
maintenance user
Alarms & Errors (LTB) 68 Monitor process errors and
alarms
Alarms & Errors (RESOURCE) 70 Monitor device errors and
alarms
Process Variables (Level Transducer Block - LTB) 73 Monitor process variables and
level trend
Feature Function
Group Block
Quick Start Wizard via AMS Device Manager Configure/setup RESOURCE
Echo Profile LTB
TVT (Auto False Echo Suppression) LTB
Maintenance & Diagnostics (LTB) LTB
Maintenance & Diagnostics (RESOURCE) RESOURCE
Security (RESOURCE) RESOURCE
Alarms & Errors (LTB) Device
Diagnostics
LTB
Alarms & Errors (RESOURCE) RESOURCE
Process Variables (Level Transducer Block - LTB) Process
Variables
LTB

7ML19985LY01 SITRANS LR560 (FF) – INSTRUCTION MANUAL Page 43
mmmmm
AMS Device Manager
Programming via AMS Device Manager
Navigating through the parameters
• A navigation window on the left-hand side of the screen allows you to navigate
through the parameter menu structure (see
AMS Menu Structure
on page 75.)
• Some parameters are accessed from within the dialog window that opens when you
click on an icon in the navigation window.
• In general, process parameters are accessed through the Level Transducer Block,
and device parameters are accessed through the Resource Block.
Pull-down menu access
A pull-down menu under Actions provides alternative access to several features.
Changing parameter settings
1) Modify parameter values in the parameter value field in Configure/Setup view, then
click Apply to write the new values to the device. (The Apply button is activated
when a parameter is modified.) The parameter field will display in yellow until the
value has been written to the device.
2) Click OK if you wish to update all parameters and exit to Device Connection View.
Click CANCEL to exit without saving changes.
Notes:
• While the device is in PROGRAM mode the output remains active and continues to
respond to changes in the device.
• Do not use the handheld programmer at the same time as AMS Device Manager, or
erratic operation may result. (To disable operation via the handheld programmer,
see Local Operation (6.2.2.) on page 122.)
Notes:
• For a complete list of parameters accessible via AMS, see
AMS Menu Structure
on
page 75.
• For parameters followed by a reference number, additional information is available
in
Parameter Reference
on page 86.
Action menu items

Page 44 SITRANS LR560 (FF) – INSTRUCTION MANUAL 7ML19985LY01
mmmmm
AMS Device Manager
Adding a new device
Electronic Device Description (EDD)
Check the product page of our website at: www.siemens.com/LR560, under Support >
Software Downloads, for the latest version of EDD: SITRANS LR560 FF - Foundation
Fieldbus - AMS V9.0.
1) Check that you have the latest version of the EDD for AMS Device Manager that
matches the firmware revision of your device. (See Firmware Revision (2.2.2.) on
page 90 to access it via the local user interface). If necessary download the EDD
from the product page listed above.
2) Save the files to your computer, and extract the zipped file to an easily accessed
location.
3) Launch AMS Device Manager – Add Device Type, browse to the unzipped EDD file
and select it.
4) If desired, enter a new device tag. The device is shipped with a unique tag,
consisting of a manufacturer id and serial number1). It is not necessary to change
the device tag to make the device operational.
To change Device Tag:
a) Launch AMS Device Manager – AMS Device Manager.
b) From Device Connection View, right click on the FF Network icon and select
Rebuild Hierarchy.
c) Right click on the device icon, and choose Rename from the menu.
d) Enter a device tag and press Enter.
Startup
1) Launch AMS Device Manager
a) Launch AMS Device Manager – AMS Device Manager.
b) From Device Connection View, right click on the FF Network icon and select
Rebuild Hierarchy.
c) If you wish to rename the device, right-click on the device icon and select
Rename from the menu, enter a new device tag, and click Enter.
d) Double-click the device icon. The Configure/Setup menu opens at the device
Identification dialog window. At initial startup, the Block Status is Out of
Service.
Note: SITRANS LR560 requires the EDD for AMS Device Manager version 9.0.
1) The device tag is read-only via local operation.
Note: The Device Tag described above is distinct from the Tag that describes each block
type (located in the
Identification
folder of each block).

7ML19985LY01 SITRANS LR560 (FF) – INSTRUCTION MANUAL Page 45
mmmmm
AMS Device Manager
2) Master Reset
a) Navigate to Configure/Setup > Resource Block > Operation and click Methods
to open the dialog window.
b) In the General field, click Master Reset then click Next to perform a reset to
factory defaults. Click Next to accept the default reset to Factory Defaults.
c) Click FINISH, then scan the device (see step 3).
After a master reset is performed, the device will stop measuring, the Resource and Level
Transducer Blocks will go to Out of Service, and the LCD will display the Quick Start
Wizard until the device is configured.
3) Scan Device
Scan Device uploads parameters from the device to AMS Device Manager. This
synchronizes parameters between the device and AMS.
a) From the menu bar, open the pull-down menu Actions – Scan Device.
b) If you are adding a new device, configure the device via the Quick Start wizard.
Notes:
• We recommend performing a Master Reset before configuring a new device.
• RESOURCE and LTB Blocks must be in Out of Service Mode before a Master Reset
can be performed.
Master Reset

Page 46 SITRANS LR560 (FF) – INSTRUCTION MANUAL 7ML19985LY01
mmmmm
AMS Device Manager
Configuring a new device
Configure a new device using the Quick Start Wizard. The Quick Start Wizard provides an
easy step-by-step procedure that configures the device for a simple application.
Please consult the operating instructions or online help for details on using AMS Device
Manager.
Quick Start Wizard via AMS Device Manager
Quick Start Wizard steps
Launch AMS Device Manager and double-click the device icon from Device Connection
View to open the startup screen.1)
Navigate to Configure/Setup > Resource Block > Wizards > Quick Start.
• In the navigation window, click on the Quick Start steps in order.
• At each step, if you do not wish to change the default values in the dialog window
that opens, click on the icon for the next Quick Start step.
• If you modify a parameter in any step, the Apply button is activated. Click Apply to
write changes to the device.
Notes:
• The LR560 FF is shipped with RESOURCE and LTB blocks in Out of Service mode.
• If you complete the Quick Start Wizard via local operation the first time it is used, it
will automatically put the RESOURCE and LTB blocks into AUTO mode. (See
Quick
Start Wizard via the LDI push buttons
on page 36.)
• Except for the first time it is used, after completing the Quick Start wizard via local
operation, you must manually put the RESOURCE and LTB blocks into AUTO mode.
• After completing the Quick Start Wizard via AMS, you must manually put the
RESOURCE and LTB blocks into AUTO mode.
Notes:
• When performing a Quick Start via AMS, the Resource and LTB blocks must be in
Out of Service mode before any configuration changes1) can be written. (See
Changing Block Modes
on page 49.)
• After completing the Quick Start wizard via AMS, you must manually place the
RESOURCE block in Automatic mode. This will also change LTB to Automatic mode.
• Values set using the Quick Start Wizard via AMS are saved and recalled each time it
is initiated.
1) Changes to parameters that affect the block output.

7ML19985LY01 SITRANS LR560 (FF) – INSTRUCTION MANUAL Page 47
mmmmm
AMS Device Manager
Step 1 – Identification
Click Step 1 - Identification.
If you wish to accept the default values, go directly to Step 2 (Descriptor, Message, and
Date fields can be left blank). Or if desired, make changes then click Apply.
Step 2 – Application
Click Step 2 - Application. If you wish to accept the default values, go directly to Step 3.
Or select a different vessel type (steel or concrete). [This changes the setting for Position
Detect (2.4.5.2.) to Rising Edge.] Then click Apply.
Notes:
• Selecting either STEEL or CONCRETE does a functional reset (see Master Reset (4.1.)
on page 110).
• Selecting STEEL changes the setting for Position Detect (2.7.3.3.) to Rising Edge. and
for Algorithm (2.7.3.1.) to F.
• Selecting CONCRETE changes the setting for Position Detect (2.7.3.3.) to Rising Edge
and for Algorithm (2.7.3.1.) to ALF.

Page 48 SITRANS LR560 (FF) – INSTRUCTION MANUAL 7ML19985LY01
mmmmm
AMS Device Manager
Step 3 – Ranges
Click Step 3 - Ranges. If you wish to accept the default values, go directly to step 4. Or
make changes as desired, then click Apply.
Step 4 – Summary
Click Step 4 - Summary. Check parameter settings. Return to individual steps if further
changes are necessary.
The Quick Start is now complete. Put Resource Block into Automatic Mode (see
Changing Block Modes
on page 49.)
Note: Selecting SLOW Response Rate changes setting for
Average amount (2.8.3.)
to
0.9.

7ML19985LY01 SITRANS LR560 (FF) – INSTRUCTION MANUAL Page 49
mmmmm
AMS Device Manager
Changing Block Modes
To change any block mode follow the same procedure as for changing Resource Block
mode.
To change Resource Block mode
1) Navigate to Configure/Setup > Resource Block > Operation > Block Mode and click
Block Mode to open the dialog window.
2) Select the desired Target mode and deselect the other option. Click Apply (the Apply
button is activated when a change is made).
3) Return to the main menu.
Configure/Setup Parameters
Transducer Block Parameters
Identification and Operation are common to all three Transducer Blocks: Level
Transducer Block, LCD Transducer Block, and Diagnostic Transducer Block.
Identification (LTB, LCD, DIAG)
Navigate to Configure/Setup > LTB and click Identification to open the dialog window for
access to:
Identification:
•TAG
Read only. Description for the associated block: device tag prefixed by block
type.
Note: Resource Block overrides Level Transducer Block. Changing Resource Block
mode will also change Level Transducer Block mode.
Target Mode deselect ed
Target Mode selected
Apply

Page 50 SITRANS LR560 (FF) – INSTRUCTION MANUAL 7ML19985LY01
mmmmm
AMS Device Manager
• Descriptor
Text that can be used in any way. Limited to 32 ASCII characters. No specific
recommended use.
• Transducer Block Type
Read only. Identifies the type of transducer block.
• Strategy
Used to identify grouping of blocks.
• Plant Unit
The identification number of the plant unit. For example, can be used in the host
for sorting alarms.
Operation (LTB, LCD, DIAG)
Navigate to Configure/Setup > LTB > Operation and click Block Modes to open the dialog
window for access to:
Block Modes:
• Actual Mode
(read only)
This is the current mode of the block, which may differ from the target based on
operating conditions. Its value is calculated as part of the block execution.
• Target Mode
Used to request an operating mode.
• Permitted Mode
Defines the modes that are allowed. The permitted mode is configured based
on application requirements.
• Normal Mode
This is the mode that the block should be set to during normal operating
conditions.

7ML19985LY01 SITRANS LR560 (FF) – INSTRUCTION MANUAL Page 51
mmmmm
AMS Device Manager
Level Transducer Block Parameters
Operation (LTB)
Navigate to Configure/Setup > LTB > Operation and click Simulation to open the dialog
window for access to:
Simulation (Input)
Allows you to simulate the sensor value which is input to the Level Transducer Block. This
tests everything between the Level Transducer Block and Output.
• Simulation
• Simulation Value
1) Set Simulation to Fixed value or Ramp, and click Apply.
2) If you select Fixed value, enter a Simulation Value and click Apply.
3) Or select Ramp, enter the RAMP start, end, number of steps, and step length,
and click Apply.
4) After simulation is complete, set Simulation to OFF and click Apply.
Notes:
• To activate simulation via AMS Device Manager or the 375 Field Communicator,
simulation must also be set to Enabled on the device. See Simulate Enable (4.12.) on
page 120.
• Before enabling or disabling Simulation, put LTB Block into OOS mode (see
Changing Block Modes
on page 49).
• After changes have been made, LTB must be returned to AUTO mode.
Ramp start Range: –999999 to 999999. Default: 0 m
Ramp end Range: –999999 to 999999. Default: 0 m
Number of steps Range: 1 to 65535. Default: 10
Step length Range: 1 to 65535. Default: 5 s

Page 52 SITRANS LR560 (FF) – INSTRUCTION MANUAL 7ML19985LY01
mmmmm
AMS Device Manager
Setup (LTB)
Sensor (LTB)
Navigate to Configure/Setup > LTB > Setup and click Sensor for access to:
General
•Unit
• Level Units
• Temperature Unit
• Loss of Echo Timer
Calibration
• Low Calibration Point
• High Calibration Point
• Sensor Offset
• Low Level Point
• High Level Point
• Level Offset
Rate
• Response Rate
• Fill Rate per Minute
•Empty Rate per Minute
Note: See
AMS Menu Structure
on page 75 and for parameters followed by a
reference number, more detailed descriptions can be found in
Parameter Reference
on
page 86.
Note: Selecting SLOW Response Rate changes setting for
Average amount (2.8.3.)
to
0.9.

7ML19985LY01 SITRANS LR560 (FF) – INSTRUCTION MANUAL Page 53
mmmmm
AMS Device Manager
Signal Processing (LTB)
General
Navigate to Configure/Setup > LTB > Setup > Signal Processing and click on General for
access to:
Range
• Near Range
• Far Range
• Minimum Sensor Value
• Maximum Sensor Value
Echo Select
• Algorithm
•Position Detect
• Echo Threshold
• CLEF Range
•Echo Marker
Sampling
•Echo Lock
• Sampling Up
• Sampling Down
• Echo Lock Window
Echo Quality
• Confidence
• Echo Strength
Filtering
• Narrow Echo Filter
• Reform Echo
Note: See
AMS Menu Structure
on page 75 and for parameters followed by a
reference number, more detailed descriptions can be found in
Parameter Reference
on
page 86.

Page 54 SITRANS LR560 (FF) – INSTRUCTION MANUAL 7ML19985LY01
mmmmm
AMS Device Manager
TVT A custom Time Varying Threshold (TVT) allows you to screen out false echoes, for
example, in a tank with obstructions. See
Auto False Echo Suppression (2.4.8.1.)
on page
142 for more information.
There are two options:
• Auto False Echo Suppression automatically calculates the position of the TVT.
• TVT shaper breakpoints allow you to manually modify the TVT
TVT (Auto False Echo Suppression)
Navigate to Configure/Setup > LTB > Setup > Signal Processing > TVT.
TVT Setup
Click TVT Setup to access:
• Auto False Echo Suppression
For more details see TVT (Auto False Echo Suppression) Setup (2.4.8.) on page
100.
• Auto False Echo Suppression Range
• Hover Level
• Shaper Mode
Allows you to modify breakpoints under the TVT Shaper tabs, and view Manual
TVT-Curve.
1) Turn Shaper Mode On and turn Auto False Echo Suppression Off.
2) Click the appropriate TVT Shaper tab and modify breakpoints as desired.
3) Click Apply.
Notes:
• We recommend using the Auto False Echo Suppression Wizard. See
AFES (Auto
False Echo Suppression) Wizard
on page 87.
• Put LTB Block into OOS Mode before changing settings, then back into AUTO mode
to display TVT.

7ML19985LY01 SITRANS LR560 (FF) – INSTRUCTION MANUAL Page 55
mmmmm
AMS Device Manager
TVT Shaper 1
• Shaper breakpoints 1 to 40
TVT Shaper 2
• Shaper breakpoints 41 to 80
TVT Shaper 3
• Shaper breakpoints 81 to 120
Manual TVT-Curve
Displays the effects of the TVT shaper modifications. (Shaper Mode must be On.)
Navigate to Configure/Setup > LTB > Setup > Signal Processing > Manual TVT-Curve.
Note: Put LTB Block into OOS Mode before changing settings, then back into AUTO
mode to display TVT.

Page 56 SITRANS LR560 (FF) – INSTRUCTION MANUAL 7ML19985LY01
mmmmm
AMS Device Manager
Echo Profile
Navigate to Configure/Setup > LTB > Setup > Signal Processing > Echo Profile to view the
current echo profile and to access Echo Profile Parameters (view only).
Echo Profile Parameters (view only)
• Level Measurement
• Distance Measurement
• Confidence
• Near Range
For an illustration showing Level and Distance see Channel (2.5.3.) on page 104. For an
explanation of the use of offsets, see
Level Transducer Block (LTB) on page 6
of
Foundation Fieldbus for Level Instruments manual.
To view a previous profile:
Click the drop-down arrow on the Time field and select the desired profile, (available only
using AMS version 10.1 or later)
Maintenance & Diagnostics (LTB)
Remaining Sensor Lifetime
Navigate to Configure/Setup > LTB > Maintenance and Diagnostics > Remaining Sensor
Lifetime.
Sensor Lifetime
Click Sensor Lifetime tab for access to:
• Lifetime (Expected)
• Time in Operation
• Remaining Lifetime
• Activation of Reminders
• Reminder 1 before Lifetime (Required)
• Reminder 2 before Lifetime (Demanded)
Note: Maintenance parameters are listed in
AMS Menu Structure
on page 75. The
parameter reference number allows you to locate more detailed information in
Parameter Reference
, starting on page 86.
Time field

7ML19985LY01 SITRANS LR560 (FF) – INSTRUCTION MANUAL Page 57
mmmmm
AMS Device Manager
• Click Sensor Replaced to reset Time in Operation to 0 hours
• Click Snooze for 1 Year to add a year to the Expected Sensor Lifetime.
• Click Apply to write changes to the device.
Service Schedule
Navigate to Configure/Setup > LTB > Maintenance and Diagnostics > Service Schedule.
Service Schedule
Click Service Schedule tab for access to
•Service Interval
• Time Since Last Service
• Time Until Next Service
• Activation of Reminders
• Reminder 1 before Lifetime (Required)
• Reminder 2 before Lifetime (Demanded)
• Click on Service Performed to reset Time Since Last Service to 0 hours.
• Click Apply to write changes to the device.

Page 58 SITRANS LR560 (FF) – INSTRUCTION MANUAL 7ML19985LY01
mmmmm
AMS Device Manager
Electronics Temperature
• Electronics Temperature
Displays the current internal temperature of the device
• Minimum Value
•Maximum Value
Communication (LTB)
Navigate to Configure/Setup > LTB > Communication for access to:
Communication:
• Static Revision No.
[see Static Revision Number (2.5.1.) on page 103]

7ML19985LY01 SITRANS LR560 (FF) – INSTRUCTION MANUAL Page 59
mmmmm
AMS Device Manager
Configure/Setup (Liquid Crystal Display Block-LCD)
Identification (LCD)
(see
Identification (LTB, LCD, DIAG)
on page 49):
Operation (LCD)
(see
Operation (LTB, LCD, DIAG)
on page 50):
Block Modes
Navigate to Configure/Setup > LCD > Operation and click Block Modes to open the dialog
window for access to:
• Actual Mode
(read only)
• Target Mode
• Permitted Mode
• Normal Mode
See
Block Modes:
on page 50 for more detail.
To remotely disable updating of the LCD:
LCD Transducer Block must be put into Out of Service mode.
1) Select Target Mode Out of Service and deselect Automatic.
2) Click Apply.
Setup (LCD)
Navigate to Configure/Setup > LCD > Setup for access to:
Local Display
•Language
•LCD Contrast
• LCD Backlight
(continued on next page)

Page 60 SITRANS LR560 (FF) – INSTRUCTION MANUAL 7ML19985LY01
mmmmm
AMS Device Manager
Local Display (continued)
• Local Operation
If local operation is disabled remotely and no communication activity exists for 30
seconds, the parameter is made visible again locally.
Communication (LCD)
Navigate to Configure/Setup > LCD > Communication for access to:
Communication:
• Static Revision No.
[see Static Revision Number (2.5.1.) on page 103]

7ML19985LY01 SITRANS LR560 (FF) – INSTRUCTION MANUAL Page 61
mmmmm
AMS Device Manager
Configure/Setup (Diagnostic Transducer Block-DIAG)
Identification (DIAG)
Navigate to Configure/Setup > DIAG > Identification.
Identification (see
Identification (LTB, LCD, DIAG)
on page 49):
Operation (DIAG)
Navigate to Configure/Setup > DIAG > Operation. (See
Operation (LTB, LCD, DIAG)
on
page 50.)
Communication (DIAG)
Navigate to Configure/Setup > DIAG > Communication.
Communication:
• Static Revision No.
[see Static Revision Number (2.5.1.) on page 103]
Configure/Setup (Resource Block - RESOURCE)
Identification (RESOURCE)
Navigate to Configure/Setup > RESOURCE > Identification for access to:
Identification
•TAG
Read only. Description for the associated block: device tag prefixed by block
type.
• Descriptor
• Message
• Date (Installation Date)
The user entered date on which the device was installed in the system.
• Strategy
Used to identify grouping of blocks.
• Plant Unit
The identification number of the plant unit. For example, can be used in the host
for sorting alarms.
Note: Parameters in the Diagnostic Transducer Block used solely by factory personnel.
Notes:
• For a complete list of parameters accessible via AMS, see
AMS Menu Structure
on
page 75.
• For parameters followed by a reference number, additional information is available
in
Parameter Reference
on page 86.

Page 62 SITRANS LR560 (FF) – INSTRUCTION MANUAL 7ML19985LY01
mmmmm
AMS Device Manager
Device
(read only)
• Manufacturer
•Product Name
The manufacturer’s product name for this device.
• Order Number
The manufacturer’s order number (MLFB) for this device.
•Range Mode
Measuring range of the device.
• Serial Number
The manufacturer’s unique serial number for this device.
• Hardware Revision
• Firmware Revision
•Loader Revision
• EDD Version
Revision of the EDD associated with this device.
• Date of Manufacturing
Wizards (RESOURCE)
Navigate to Configure/Setup > RESOURCE > Wizards > Quick Start for access to Quick
Start steps (see
Quick Start Wizard via AMS Device Manager on page 46
.)
Operation (RESOURCE)
Navigate to Configure/Setup > RESOURCE > Operation.
Click on Block Modes to open the dialog window for access to:
Block Modes

7ML19985LY01 SITRANS LR560 (FF) – INSTRUCTION MANUAL Page 63
mmmmm
AMS Device Manager
Block Modes (continued) [see
Block Modes:
on page 50]
• Actual Mode
• Target Mode
• Permitted Mode
• Normal Mode
Methods
Click Methods to open the dialog window for access to:
Master Reset
1)(continued on next page)
NOTE: If the RESOURCE block is set to Out of Service, the LTB, and AIFB blocks are
forced to Out of Service also, but the LCD and DIAG blocks remain in Automatic mode.
Notes:
• RESOURCE and LTB Block Status must be Out of Service before a Master Reset can
be performed (see
Changing Block Modes
on page 49).
• The following parameters are not reset by any reset type: Write Protection, Auto
False Echo Suppression Range, Learned TVT.
• While an FF Object Dictionary Reset is in progress, the Master Reset Parameter
View showing PREVIOUS/NEXT/BACK/EDIT options will be displayed. Do not
perform an action using the local display interface until the reset is complete1). This
could cause a temporary loss of communications.
1) FF Object Dictionary reset completes with an automatic power cycle.

Page 64 SITRANS LR560 (FF) – INSTRUCTION MANUAL 7ML19985LY01
mmmmm
AMS Device Manager
Master Reset (continued)
1) Click the Master Reset button, then click Next to perform a reset.
2) Select the Reset Type:
RESET TYPE RESULT
Factory
Defaultsa)
a) The only difference between Factory Defaults and Functional reset is that Fac-
tory Defaults resets maintenance parameters, such as device and sensor wear,
calibration and maintenance timers. Functional reset does not reset these
parameters.
Default. Resets all user parameters to the manufacturer’s default
settings. Following this type of reset, complete reprogramming is
required.
Standard
Defaults
Resets all parameters to standard default settings.
Informational Resets parameters such as Block Descriptor, Strategy, Device
Install Date, Device Message.
Functionala) Resets parameters that control device behavior and functionality
(such as Low Calibration Point).
Warm Start Has the same effect as recycling power to the device.
FF Object
Dictionaryb)
b) FF Object Dictionary reset completes with an automatic power cycle.
Resets all user parameters except for calibration to Factory
Defaults. This option also clears any function block parameters
and device schedulec) set by the user.
c) See the manual
Foundation Fieldbus for Level instruments (7ML19985MP01)
,
Data Transmission, for more details.
Master Reset

7ML19985LY01 SITRANS LR560 (FF) – INSTRUCTION MANUAL Page 65
mmmmm
AMS Device Manager
3) Click Next, then FINISH to complete the Master Reset.
After a master reset is performed, the device will stop measuring, the Resource and Level
Transducer Blocks will go to Out of Service, and the LCD will display the Quick Start
Wizard until the device is configured.
Maintenance & Diagnostics (RESOURCE)
Navigate to Configure/Setup > RESOURCE > Maintenance & Diagnostics for access to:
Remaining Device Lifetime
• Lifetime (Expected)
• Remaining Lifetime
(read only)
• Time in Operation
(read only)
• Activation of Reminders
• Reminder 1 before Lifetime (Required)
• Reminder 2 before Lifetime (Demanded)
1) Open the window Remaining Device Lifetime
2) After modifying values/units as required, click Apply to accept the change.
3) Click on Snooze for 1 Year to add a year to the Total Expected Device Life

Page 66 SITRANS LR560 (FF) – INSTRUCTION MANUAL 7ML19985LY01
mmmmm
AMS Device Manager
Calibration Schedule
• Calibration Interval
• Time Since Last Calibration
• Time Until Next Calibration
• Activation of Reminders
• Reminder 1 before Calibration (Required)
• Reminder 2 before Calibration (Demanded)
Click on Calibration Performed to reset Time Since Last Calibration to 0 hours. Click Apply
to accept the change.
Wear • Powered Days
(read only)
• Power-on resets
(read only)

7ML19985LY01 SITRANS LR560 (FF) – INSTRUCTION MANUAL Page 67
mmmmm
AMS Device Manager
Communication (RESOURCE)
Navigate to Configure/Setup > RESOURCE > Communication to read the following:
• Manufacturer
• Device Type
Manufacturer’s model number associated with the device
• Device Revision
•DD Revision
Revision of the DD (also called EDD) associated with this device.
•ITK Version
• Static Revision No.
[see Static Revision Number (2.5.1.) on page 103]
Security (RESOURCE)
Navigate to Configure/Setup > RESOURCE > Security to access:
Security
• Write Protection
[see
Security (continued)
on page 68]
See also
Password Protection
on page 74.
(continued on next page)

Page 68 SITRANS LR560 (FF) – INSTRUCTION MANUAL 7ML19985LY01
mmmmm
AMS Device Manager
Security (continued)
Device Diagnostics (Level Transducer Block - LTB)
Alarms & Errors (LTB)
Navigate to Device Diagnostics > LTB > Alarms & Errors.
Block Error
Click on Block Error to open the dialog window to read the following:
Failures
• Input Failure
• Output Failure
• Memory Failure
• Lost Static Data
• Lost Non-Volatile Data
•Readback Check
• Device Fault State
• Block Configuration
• Link Configuration
• Other
Maintenance
• Maintenance Required
• Maintenance Demanded
Information
• Simulation Active
• Local Override
• Power Up
• Out of Service
Note: For explanations of the alarms and errors listed below, see Parameter
Description charts for the respective block in the manual
Foundation Fieldbus for Level
instruments (7ML19985MP01)
.

7ML19985LY01 SITRANS LR560 (FF) – INSTRUCTION MANUAL Page 69
mmmmm
AMS Device Manager
XD Error
• Transducer Error
Block Alarm
Click on Block Alarm to open the dialog window to read the following:
Unacknowledged
• Unacknowledged
Alarm State
•Alarm State
Subcode
•Subcode
Value
•Value
1) From the Block Error tab, check the Maintenance window to display the level of
maintenance alarm that is active.
2) From the Block Alarm tab, check the Alarm State window to display the level of
maintenance alarm that has been acknowledged.
3) From the Block Alarm tab, in the Unacknowledged window, select Acknowledged to
acknowledge an alert.
Note: Acknowledging a maintenance reminder from the device [see Acknowledge
(4.2.9.), Acknowledge (4.3.9.), Acknowledge (4.4.9.), Acknowledge (4.5.9.)], will not set
the Block Alarm to
Acknowledged
in AMS. The maintenance alarm will cause an FF
block alert, and the block alert can only be acknowledged via a remote host such as
NI-FBUS-Configurator or AMS Device Manager (as in step 3 above).

Page 70 SITRANS LR560 (FF) – INSTRUCTION MANUAL 7ML19985LY01
mmmmm
AMS Device Manager
Extended Diagnostics (LTB)
Navigate to Device Diagnostics > LTB > Extended Diagnostics to read the following:
Detailed Error Info
• Loss of Echo
• No Tech Power
• Sensor Lifetime Reminder 1
• Sensor Lifetime Reminder 2
• Service Schedule Reminder 1
• Service Schedule Reminder 2
• LTB Scale
• Internal Temperature Sensor
• Internal Temperature High
• Internal Temperature Calibration
• Velocity Calibration
• Transducer Temperature Sensor
• Transducer Temperature High
• Transducer Temperature Low
Device Diagnostics (Level Control Device Block - LCD)
Alarms & Errors (LCD)
Navigate to Device Diagnostics > LCD > Alarms & Errors to read Block and Alarm errors.
[Errors displayed are the same for each block (LTB, LCD, DIAG, RESOURCE). See
Alarms &
Errors (LTB) on page 68
for full listing.]
Device Diagnostics (Diagnostic Transducer Block - DIAG)
Alarms & Errors (DIAG)
Navigate to Device Diagnostics > DIAG > Alarms & Errors to read Block and Alarm errors.
[Errors displayed are the same for each block (LTB, LCD, DIAG, RESOURCE). See
Alarms &
Errors (LTB) on page 68
for full listing. See AMS Device Manager instruction manual to
work with alarms and errors.]
Device Diagnostics (Resource Block - RESOURCE)
Alarms & Errors (RESOURCE)
Navigate to Device Diagnostics > RESOURCE > Alarms & Errors.
Block Error
Click Block Error tab to read:
Failures
• Input Failure
• Output Failure
• Memory Failure
Failures

7ML19985LY01 SITRANS LR560 (FF) – INSTRUCTION MANUAL Page 71
mmmmm
AMS Device Manager
Failures (continued)
• Lost Static Data
• Lost Non-Volatile Data
•Readback Check
• Device Fault State
• Block Configuration
• Link Configuration
• Other
Maintenance
• Maintenance Required
• Maintenance Demanded
Information
• Simulation Active
• Local Override
• Power Up
• Out of Service
Block Alarm
Click Block Alarm tab to read:
Unacknowledged
• Unacknowledged
Alarm State
•Alarm State
Subcode
•Subcode
Value
•Value
Write Alarm
Values available on Block Alarm tab are also available for Write Alarm with one
exception: the Value parameter on the Write Alarm tab is a Discrete Value.
Alarm Summary
Click on Alarm Summary tab to open the dialog window to read:
Current
• Discrete Alarm
•Block Alarm
Unacknowledged
• Discrete Alarm Unacknowledged
• Block Alarm Unacknowledged
Unreported
• Discrete Alarm Unreported
•Block Alarm Unreported
Disabled
•Write Alarm Disabled
•Block Alarm Disabled

Page 72 SITRANS LR560 (FF) – INSTRUCTION MANUAL 7ML19985LY01
mmmmm
AMS Device Manager
Alarm Summary (continued)
Extended Diagnostics (RESOURCE)
Navigate to Device Diagnostics > RESOURCE > Extended Diagnostics to read:
Detailed Error Info
• Device Lifetime Reminder 1
• Device Lifetime Reminder 2
• Calibration Schedule Reminder 1
• Calibration Schedule Reminder 2
• Internal Error
•External RAM
•Memory RAM
• Memory EEPROM
• Memory EEPROM Flags
• Memory Flash
• Invalid Loader

7ML19985LY01 SITRANS LR560 (FF) – INSTRUCTION MANUAL Page 73
mmmmm
AMS Device Manager
Process Variables (Level Transducer Block - LTB)
To compare outputs in real time navigate to Process Variables > LTB > Process Variables.
Values
Click Values tab to view:
• Primary Variable
View a chart showing level value.
•Value
The primary variable and the channel 1 output from the transducer block as a
number.
For level applications, chart range is affected by High and Low Level Point values set
in Configure/Setup > LTB > Setup > Sensor.
Trend View
Click Trend View tab to view:
• Trend Values
• Trend View
The primary variable and the channel 1 output from the transducer block.

Page 74 SITRANS LR560 (FF) – INSTRUCTION MANUAL 7ML19985LY01
mmmmm
AMS Device Manager
Echo Profile
Click Echo Profile to read:
Echo Profile Parameters
• Level Measurement
• Distance Measurement
• Confidence
• Near Range
Password Protection
An AMS Device Manager administrator can configure the user to require a password.
The use of passwords is recommended. A password should be assigned to the ’admin’
username immediately after installing AMS Device Manager.
Each user is given an AMS Device Manager username and password and required to
enter them when they start AMS Device Manager. Access to functions depends on the
level of permissions granted.
Login types
• standard, local, or domain
A standard user can change their password in AMS Device Manager. A Local or Domain
Windows user cannot change their password using AMS Device Manager and must
request their network administrator to do so.
User Manager utility
Usernames, passwords, and permissions, are assigned to users by an AMS Device
Manager administrator, using the User Manager utility on the Server Plus Station. Only a
user with AMS Device Manager System Administration rights can log in to User
Manager.
To configure a new user/edit existing user:
1) From the Windows taskbar select: Start > AMS Device Manager > User Manager.
2) In the User Manager window click on Add User.
The Add User Wizard dialog allows you to:
• select a user type, Standard User
(AMS Device Manager) or Window
User
• enter the username and password,
and set permissions
• edit existing users

7ML19985LY01 SITRANS LR560 (FF) – INSTRUCTION MANUAL Page 75
mmmmm
AMS Device Manager
AMS Menu Structure
Note: Where a parameter number is listed, more information is available for that parameter
in
Parameter Reference
on page 86.
Configure/Setup Function Group parameter
number
LEVEL TRANSDUCER BLOCK
IDENTIFICATION
Identification
Identification (tab)
TAG
Descriptor 2.1.2
Transducer Block Type
Strategy
Plant Unit
OPERATION
Block Modes
Block Modes (tab)
Actual Mode
Target Mode 2.5.2
Permitted Mode
Normal Mode
Simulation
Simulation (Input) (tab)
Sensor Value Simulation
Simulation
Simulation value
RAMP start
RAMP end
RAMP No. of step
RAMP step length
SETUP
Sensor 2.3
Sensor (tab)
General
Unit 2.3.1
Level Units 2.3.2
Temperature Unit 2.3.3
Loss of Echo Timer 2.3.4
Calibration 2.3.5
Low Cal. Point 2.3.5.1
High Cal. Point 2.3.5.2
Sensor Offset 2.3.5.3

Page 76 SITRANS LR560 (FF) – INSTRUCTION MANUAL 7ML19985LY01
mmmmm
AMS Device Manager
LEVEL TRANSDUCER BLOCK (CONTINUED)
Calibration (continued)
Low Level Point 2.3.5.4
High Level Point 2.3.5.5
Level Offset 2.3.5.6
Rate 2.3.6
Response Rate 2.3.6.1
Fill Rate per Minute 2.3.6.2
Empty Rate per Minute 2.3.6.3
Signal Processing 2.4
General
General (tab)
Range
Near Range 2.4.1
Far Range 2.4.2
Min. Sensor Value 2.4.3
Max. Sensor Value 2.4.4
Echo Select 2.4.5
Algorithm 2.4.5.1
Position Detect 2.4.5.2
Echo Threshold 2.4.5.3
CLEF Range 2.4.5.4
Echo Marker 2.4.5.5
Sampling 2.4.6
Echo Lock 2.4.6.1
Sampling Up 2.4.6.2
Sampling Down 2.4.6.3
Echo Lock Window 2.4.6.4
Echo Quality 2.4.7
Confidence 2.4.7.1
Echo Strength 2.4.7.2
TVT 2.4.8
TVT Setup (tab)
Auto False Echo Suppression 2.4.8.1
Auto False Echo Suppression
Range
2.4.8.2
Hover Level 2.4.8.3
Shaper Mode 2.4.8.4
TVT Shaper 1 (tab)
2.4.9
Breakpoints 1-40
TVT Shaper 2 (tab)
Breakpoints 41 - 80
Configure/Setup Function Group (continued) parameter
number

7ML19985LY01 SITRANS LR560 (FF) – INSTRUCTION MANUAL Page 77
mmmmm
AMS Device Manager
LEVEL TRANSDUCER BLOCK (CONTINUED)
TVT Shaper 3 (tab)
Breakpoint s 81 -120
Manual TVT-Curve
Manual TVT-Diagram (tab)
MAINTENANCE & DIAGNOSTICS
Remaining Sensor Lifetime 4.3
Sensor Lifetime (tab)
Lifetime (Expected) 4.3.1
Time in Operation 4.3.2
Remaining Lifetime 4.3.3
Activation of Reminders 4.3.4
Reminder 1 before Lifetime (Required) 4.3.5
Reminder 2 before Lifetime (Demanded) 4.3.6
Service Schedule 4.4
Service Schedule (tab)
Service Interval 4.4.1
Time Since Last Service 4.4.2
Time Until Next Service 4.4.3
Activation of Reminders 4.4.4
Reminder 1 before Service (Required) 4.4.5
Reminder 2 before Service (Demanded) 4.4.6
Electronics Temperature 3.4
Electronics Temperature (tab)
Electronics Temperature
Minimum Value 3.4.1
Maximum Value 3.4.2
COMMUNICATION
Communication
Communication (tab)
Static Revision No. 2.5.1
Configure/Setup Function Group (continued) parameter
number

Page 78 SITRANS LR560 (FF) – INSTRUCTION MANUAL 7ML19985LY01
mmmmm
AMS Device Manager
LCD TRANSDUCER BLOCK
IDENTIFICATION
Identification
Identification (tab)
TAG
Descriptor 2.1.2
Transducer Block Type
Strategy
Plant Unit
OPERATION
Block Modes
Block Modes (tab)
Actual Mode
Target Mode
Permitted Mode
Normal Mode
SETUP
Local Display
Local Display (tab)
Language 7
LCD Contrast 4.10
LCD Backlight 4.9
Local Operation
COMMUNICATION
Communication
Communication (tab)
Static Revision No. 2.5.1
DIAGNOSTIC TRANSDUCER BLOCK
IDENTIFICATION
Identification
Identification (tab)
TAG
Descriptor 2.1.2
Transducer Block Type
Strategy
Plant Unit
OPERATION
Block Modes
Block Modes (tab)
Actual Mode
Target Mode
Permitted Mode
Configure/Setup Function Group (continued) parameter
number

7ML19985LY01 SITRANS LR560 (FF) – INSTRUCTION MANUAL Page 79
mmmmm
AMS Device Manager
DIAGNOSTIC TRANSDUCER BLOCK (CONTINUED)
OPERATION Block Modes (continued)
Normal Mode
Communication
Communication (tab)
Static Revision No. 2.5.1
RESOURCE BLOCK
IDENTIFICATION
Identification
Identification (tab)
Identification
TAG
Descriptor 2.1.2
Message 2.1.3
Date 2.1.4
Strategy
Plant Unit
Device
Manufacturer 5.3
Product Name
Order Number
Range Mode
Serial Number
Hardware Revision 2.2.1
Firmware Revision 2.2.2
Loader Revision 2.2.3
EDD Version
Date of Manufacturing 2.2.4
WIZARDS
Quick Start
Step 1 - Identification
Step 2 - Application
Step 3 - Ranges
Step 4 - Summary
OPERATION
Block Modes
Block Modes (tab)
Actual Mode
Target Mode
Permitted Mode
Normal Mode
Configure/Setup Function Group (continued) parameter
number

Page 80 SITRANS LR560 (FF) – INSTRUCTION MANUAL 7ML19985LY01
mmmmm
AMS Device Manager
Methods
Methods (tab)
General
Master Reset 4.1
RESOURCE BLOCK (CONTINUED)
MAINTENANCE & DIAGNOSTICS
Remaining Device Lifetime 4.2
Device Lifetime (tab)
Lifetime (Expected) 4.2.1
Remaining Lifetime 4.2.3
Time in Operation 4.2.2
Activation of Reminders 4.2.4
Reminder 1 before Lifetime (Required) 4.2.5
Reminder 2 before Lifetime (Demanded) 4.2.6
Calibration Schedule 4.5
Calibration Schedule (tab)
Calibration Interval 4.5.1
Time Since Last Calibration 4.5.2
Time Until Next Calibration 4.5.3
Activation of Reminders 4.5.4
Reminder 1 before Calibration (Required) 4.5.5
Reminder 2 before Calibration (Demanded) 4.5.6
Wear
Wear (tab)
Powered Days 4.6
Poweron Resets 4.7
COMMUNICATION
Communication
Communication (tab)
Manufacturer 5.3
Device Type
Device Revision 5.5
DD Revision
ITK Version 5.6
Static Revision No. 2.5.1
SECURITY
Security
Security (tab)
Write Protection
Write Protection 6.2.1
Configure/Setup Function Group (continued) parameter
number

7ML19985LY01 SITRANS LR560 (FF) – INSTRUCTION MANUAL Page 81
mmmmm
AMS Device Manager
Device Diagnostics Function Group
LEVEL TRANSDUCER BLOCK
ALARMS & ERRORS
Block Error
Block Error (tab)
Failures
Input Failure
Output Failure
Memory Failure
Lost Static Data
Lost Non-Volatile Data
Readback Check
Device Fault State
Block Configuration
Link Configuration
Other
Maintenance
Maintenance Required
Maintenance Demanded
Information
Simulation Active
Local Override
Power Up
Out Of Service
XD Error
Transducer Error
Block Alarm
Block Alarm (tab)
Unacknowledged
Alarm State
Subcode
Value
EXTENDED DIAGNOSTICS
Extended Diagnostics
Extended Diagnostics (tab)
Detailed Error Info
Loss of Echo
No Tech Power
Sensor Lifetime Reminder 1
Sensor Lifetime Reminder 2
Service Schedule Reminder 1
Service Schedule Reminder 2
LTB Scale
Internal Temp Sensor

Page 82 SITRANS LR560 (FF) – INSTRUCTION MANUAL 7ML19985LY01
mmmmm
AMS Device Manager
LEVEL TRANSDUCER BLOCK (CONTINUED)
Detailed Error Info (continued)
Internal Temp High
Internal Temperature Calibration
Velocity Calibration
Transducer Temperature Sensor
Transducer Temperature High
Transducer Temperature Low
LCD TRANSDUCER BLOCK
ALARMS & ERRORS
Block Error
Block Error (tab)
Failures
Input Failure
Output Failure
Memory Failure
Lost Static Data
Lost Non-Volatile Data
Readback Check
Device Fault State
Block Configuration
Link Configuration
Other
Maintenance
Maintenance Required
Maintenance Demanded
Information
Simulation Active
Local Override
Power Up
Out Of Service
XD Error
Transducer Error
Block Alarm
Block Alarm (tab)
Unacknowledged
Alarm State
Device Diagnostics Function Group (continued)

7ML19985LY01 SITRANS LR560 (FF) – INSTRUCTION MANUAL Page 83
mmmmm
AMS Device Manager
LCD TRANSDUCER BLOCK (CONTINUED)
Block Alarm (tab) continued
Subcode
Value
DIAGNOSTIC TRANSDUCER BLOCK
ALARMS & ERRORS
Block Error
Block Error (tab)
Failures
Input Failure
Output Failure
Memory Failure
Lost Static Data
Lost Non-Volatile Data
Readback Check
Device Fault State
Block Configuration
Link Configuration
Other
Maintenance
Maintenance Required
Maintenance Demanded
Information
Simulation Active
Local Override
Power Up
Out Of Service
XD Error
Transducer Error
Block Alarm
Block Alarm (tab)
Unacknowledged
Alarm State
Subcode
Value
RESOURCE BLOCK
ALARMS & ERRORS
Block Error
Block Error (tab)
Failures
Input Failure
Output Failure
Device Diagnostics Function Group (continued)

Page 84 SITRANS LR560 (FF) – INSTRUCTION MANUAL 7ML19985LY01
mmmmm
AMS Device Manager
RESOURCE BLOCK (CONTINUED)
Failures (continued)
Memory Failure
Lost Static Data
Lost Non-Volatile Data
Readback Check
Device Fault State
Block Configuration
Link Configuration
Other
Maintenance
Maintenance Required
Maintenance Demanded
Information
Simulation Active
Local Override
Power Up
Out Of Service
Block Alarm
Block Alarm (tab)
Unacknowledged
Alarm State
Subcode
Value
Write Alarm
Write Alarm (tab)
Unacknowledged
Alarm State
Subcode
Value
Alarm Summary
Alarm Summary (tab)
Current
Discrete Alarm
Block Alarm
Unacknowledged
Discrete Alarm Unacknowledged
Block Alarm Unacknowledged
Unreported
Discrete Alarm Unreported
Block Alarm Unreported
Device Diagnostics Function Group (continued)

7ML19985LY01 SITRANS LR560 (FF) – INSTRUCTION MANUAL Page 85
mmmmm
AMS Device Manager
RESOURCE BLOCK (CONTINUED)
Alarm Summary (tab) continued
Disabled
Write Alarm Disabled
Block Alarm Disabled
EXTENDED DIAGNOSTICS
Extended Diagnostics
Extended Diagnostics (tab)
Detailed Error Info
Device Lifetime Reminder 1
Device Lifetime Reminder 2
Calibration Schedule Reminder 1
Service Schedule Reminder 2
Internal Error
External RAM
Memory RAM
Memory EEPROM
Memory EEPROM Flags
Memory Flash
Invalid Loader
Process Variables Function Group parameter
number
LEVEL TRANSDUCER BLOCK
PROCESS VARIABLES
Process Variables
Process Variables (tab)
Primary Variable 2.7.1
Value
Trend View (tab)
Trend Values
Value
Echo Profile
Echo Profile (tab)
Echo Profile Parameters
Level Measurement 2.7.2
Distance
Measurement
2.7.3
Confidence 2.4.7.1
Near Range 2.4.1
Device Diagnostics Function Group (continued)

Page 86 SITRANS LR560 (FF) – INSTRUCTION MANUAL 7ML19985LY01
mmmmm
Parameters
Parameter Reference
Parameters are identified by name and organized into function groups. See
LCD menu
structure
on page 155 for a chart.
Parameters noted as
Read Only
in this section of the manual cannot be written via the
local user interface, however they may be accessible via other tools. For those
accessible via AMS Device Manager, directions are shown in the section
Operating via
AMS Device Manager
on the pages referenced.
1. Quick Start
Wizards provide step-by step procedures to configure the device, filter out false echoes,
and upload and download parameters and firmware to the optional display for easy
configuration of multiple LR560s.
Press RIGHT arrow twice to open the Wizards menu. Select a wizard, press RIGHT
arrow to open the first step, and follow the instructions.
1.1. Quick Start Wizard
The Quick Start wizard provides an easy step-by-step procedure to configure the
device for a simple application.
•See
Quick Start Wizard via the LDI push buttons on page 36
.
•See
Quick Start Wizard via the handheld programmer on page 36
.
•See
Quick Start Wizard via AMS Device Manager on page 46
.
Notes:
• Most parameters are common to both local and remote operation, and are listed below.
For a complete list of AMS parameters, see
AMS Menu Structure
on page 75.
• Default settings in the parameter tables are indicated with an asterisk (*) unless
explicitly stated.
• To enter Program mode using the device buttons, press . Press to return to
Measurement mode. Do not use the handheld programmer or local control buttons at the
same time as AMS Device Manager, or erratic operation may result.
• For Quick Access to parameters via the handheld programmer, press Home , then
enter the menu number, for example: 2.3.5.
• In Navigation mode, ARROW keys navigate the menu in the direction of
the arrow.
• Press RIGHT Arrow to open Edit Mode, or to save a modification.

7ML19985LY01 SITRANS LR560 (FF) – INSTRUCTION MANUAL Page 87
mmmmm
Parameters
1.2. AFES (Auto False Echo Suppression) Wizard
If you have a vessel with known obstructions, we recommend using AFES to prevent
false echo detection.
This feature can also be used if SITRANS LR560 displays a false high level, or the
reading is fluctuating between the correct level and a false high level.
a) Make sure the material level is below all known obstructions.
b) Navigate to Level Meter >
Diagnostics (3.) > Echo Profile (3.1.)
and press RIGHT arrow to
request a profile.
c) Determine a range that includes the
false echo but not the true echo: in
the example, 3.3 m.
d) Open the AFES wizard and press
DOWN arrow to continue.
e) Press RIGHT arrow to edit Auto
False Echo Suppression Range.
f) Enter the new range value and press
RIGHT arrow to transfer it.
(continued on next page)
Notes:
• Before using AFES wizard, configure the device via the Quick Start wizard.
• Make sure material level is below all known obstructions at the moment Auto
False Echo Suppression is used to learn a custom TVT (Time Varying
Threshold). We recommend an empty or almost empty vessel.
• Note the distance to material level when the environment is learned, and set
Auto False Echo Suppression Range to a shorter distance to avoid the material
echo being screened out.
false
echo
true
echo
AFES range

Page 88 SITRANS LR560 (FF) – INSTRUCTION MANUAL 7ML19985LY01
mmmmm
Parameters
g) Press DOWN arrow to initiate
Learn. A transition screen appears,
followed by the message Wizard
Complete.
h) Press DOWN arrow (Finish) to save AFES parameter changes and return to
Program menu, then press LEFT arrow twice to return to Measurement mode.
1.3. Copy Parameters to Display
Transfers parameter settings from a device to the local display interface.
PARAM UPLOAD is displayed, then the device returns to Measurement mode.
1.4. Copy Parameters from Display
Transfers parameter settings from the local display interface to a device.
PARAM DOWNLOAD is displayed, then the device returns to Measurement mode.
1.5. Copy Firmware to Display
Transfers firmware from a device to the local display interface.
SW UPLOAD is displayed, then the device returns to Measurement mode.
See
Connecting SITRANS LR560
on page 23 for instructions on
removing the local display interface.
Press RIGHT arrow to Edit.
Press DOWN arrow to select
Start and RIGHT arrow to begin
the transfer.
Press RIGHT arrow to Edit.
Press DOWN arrow to select
Start and RIGHT arrow to begin
the transfer.
Press RIGHT arrow to Edit.
Press DOWN arrow to select
Start and RIGHT arrow to begin
the transfer.

7ML19985LY01 SITRANS LR560 (FF) – INSTRUCTION MANUAL Page 89
mmmmm
Parameters
1.6. Copy Firmware from Display
Transfers firmware from the local display interface to a device.
SW DOWNLOAD is displayed at the beginning of the transfer. This is followed first by
a blank screen (for approximately 2 minutes), then by a progress indicator, and then
by the Siemens logo with the LOE icon. When the transfer is complete,the device
returns to Measurement mode.
2. Setup
2.1. Identification
2.1.1. Tag
Read only. Text that can be used in any way. A recommended use is as a unique
label for a field device in a plant. Limited to 32 ASCII characters.
To access this parameter via AMS Device Manager see Identification under
Identification (RESOURCE) on page 61
.
2.1.2. Descriptor
Read only. Text that can be used in any way. Limited to 32 ASCII characters. No
specific recommended use.
To access this parameter via AMS Device Manager see Identification under
Identification (RESOURCE)
on page 61.
2.1.3. Message
Read only. Text that can be used in any way. Limited to 32 ASCII characters. No
specific recommended use.
To access this parameter via AMS Device Manager see Identification under
Identification (RESOURCE) on page 61
.
2.1.4. Installation date
Read only locally; can be written remotely. The date the device is first
commissioned. (Local display format: YY-MM-DD hh:mm:ss)
Notes:
• See
Local Operation
on page 30 or
Operating via AMS Device Manager
on page 41
for instructions.
• Default settings in the parameter tables are indicated with an asterisk (*) unless
explicitly stated.
• Values shown in the following tables can be entered via the handheld programmer
or local control buttons.
Press RIGHT arrow to Edit.
Press DOWN arrow to select
Start and RIGHT arrow to begin
the transfer.

Page 90 SITRANS LR560 (FF) – INSTRUCTION MANUAL 7ML19985LY01
mmmmm
Parameters
2.2. Device
2.2.1. Hardware Revision
Read only. Revision corresponding to the electronics hardware of the Field
Device.
2.2.2. Firmware Revision
Read only. Revision corresponding to the software or firmware that is
embedded in the LR560.
2.2.3. Loader Revision
Read only. Revision corresponding to the software used to update the LR560.
2.2.4. Manufacture Date
Read only. The date of manufacture of the SITRANS LR560. (Local display
format: YY-MM-DD hh:mm:ss)
2.3. Sensor
2.3.1. Unit
Sensor measurement unit.
2.3.2. Level Unit
The engineering unit used for Level. High Level Point corresponds to High
Calibration Point (2.3.5.2.) and Low Level Point corresponds to Low Calibration
Point (2.3.5.1.).
1)
2.3.3. Temperature Units
Selects the engineering unit to be displayed with the value representing
temperature.
Values m, cm, mm, ft, in
Default: m
Options m, cm, mm, ft, in, %
*%
1) The point on the sensor from which measurements are referenced (see
Dimensions
on page 12
).
Options K, DEGC, DEGF, DEGR
*DEG C
High Level Point
(default: 100%)
Low Level Point
(default: 0%)
Level Low
Calibration
Point
High
Calibration
Point
sensor
reference
point1)
(flange face)

7ML19985LY01 SITRANS LR560 (FF) – INSTRUCTION MANUAL Page 91
mmmmm
Parameters
2.3.4. Loss of Echo (LOE) Timer
Sets the time to elapse since the last valid reading, before a fault code is
reported.
2.3.5. Calibration
2.3.5.1. Low Calibration Point
Distance from sensor reference point
1)
to Low Calibration Point
(corresponding to Low Level Point). Unit is defined in Unit (2.3.1.)
2.3.5.2. High Calibration Point
Distance from sensor reference point
1)
to High Calibration Point
(corresponding to High Level Point). Unit is defined in Unit (2.3.1.).
2.3.5.3. Sensor Offset
A constant offset (negative or positive) that can be added to the sensor
value
2)
to compensate if the sensor reference point has shifted. (For
example, this could result from adding a thicker gasket or reducing the
standoff/nozzle height.) The units are defined in Unit (2.3.1.).
For more details see How the LTB works: in the manual, Foundation
Fieldbus for Level instruments (7ML19985MP01).
Note: See
Loss of Echo (LOE) Timer (2.3.4.)
on page 145 for more detail.
Values Range: 0 to 720 s
Default: 100.000 s
1) The point on the sensor from which measurements are referenced (see
SITRANS
LR560 with stainless steel universal flat flange
on page 12 and
SITRANS LR560 with
3" Aimer Flange
on page 13).
Values Range: 0.000 to 40.000 m or 0.000 to 100.000 m.
Default: 100.00 m
Related
parameters
Unit (2.3.1.)
Far Range (2.4.2.)
Values Range: 0.000 to 40.000 m or 0.000 to 100.000 m.
Default: 100.00 m
2) See Minimum Sensor Value (2.4.3.) for an illustration.
Values Range: -999999 to 999999 m. Default: 0.00 m
Related
parameters
Unit (2.3.1.)

Page 92 SITRANS LR560 (FF) – INSTRUCTION MANUAL 7ML19985LY01
mmmmm
Parameters
2.3.5.4. Low Level Point
The level when the material is at Low Calibration Point. The unit is defined
in Level Unit (2.3.2.).
2.3.5.5. High Level Point
The level when the material is at High Calibration Point. The unit is defined
in Level Unit (2.3.2.).
2.3.5.6. Level Offset
A constant offset that can be added to Level. The unit is defined in Level
Unit (2.3.2.).
2.3.6. Rate
2.3.6.1. Response Rate
Sets the reaction speed of the device to measurement changes.
Use a setting just faster than the maximum filling or emptying rate
(whichever is faster).
Values Range: -999999 to 999999
Default: 0%
Values Range: -999999 to 999999
Default: 100%
Values Range: -999999 to 999999
Default: 0%
Notes:
• Changing Response Rate resets Fill Rate/Min (2.3.6.2.), and Empty
rate/Min (2.3.6.3.).
• Selecting SLOW Response Rate changes setting for
Average amount
(2.8.3.)
to 0.9.
Response Rate
(2.3.6.1.)
Fill Rate/Min (2.3.6.2.)/
Empty rate/Min (2.3.6.3.)
slow 0.1 m/min (0.32 ft/min)
*medium 1.0 m/min (3.28 ft/min)
fast 10.0 m/min (32.8 ft/min)

7ML19985LY01 SITRANS LR560 (FF) – INSTRUCTION MANUAL Page 93
mmmmm
Parameters
2.3.6.2. Fill Rate/Min
Defines the maximum rate at which the reported sensor value
1)
is allowed
to increase. Allows you to adjust the SITRANS LR560 response to increases
in the actual material level. Fill Rate is automatically updated whenever
Response Rate (2.3.6.1.) is altered.
Enter a value slightly greater than the maximum vessel-filling rate, in units
per minute.
2.3.6.3. Empty rate/Min
Defines the maximum rate at which the reported sensor value
1)
is allowed
to decrease. Adjusts the SITRANS LR560 response to decreases in the
actual material level. Empty Rate is automatically updated whenever
Response Rate (2.3.6.1.) is altered.
Enter a value slightly greater than the vessel’s maximum emptying rate, in
units per minute.
1) The value produced by the echo processing which represents the distance from sen-
sor reference point to the target (see Minimum Sensor Value (2.4.3.) on page 95 for an
illustration).
Options
Range: 0 to 999 999 m / min.
Response Rate (2.3.6.1.) Fill Rate
Slow 0.1 m/min (0.32 ft/min)
*Medium 1.0 m/min (3.28 ft/min)
Fast 10.0 m/min (32.8 ft/min)
Related
parameters
Level Unit (2.3.2.)
Options
Range: 0 to 999 999 m / min.
Response Rate (2.3.6.1.) Empty Rate
Slow 0.1 m/min (0.32 ft/min)
*Medium 1.0 m/min (3.28 ft/min)
Fast 10.0 m/min (32.8 ft/min)
Related
parameters
Level Unit (2.3.2.)

Page 94 SITRANS LR560 (FF) – INSTRUCTION MANUAL 7ML19985LY01
mmmmm
Parameters
2.4. Signal Processing
In AMS Device Manager, see the General tab under Signal Processing (LTB)
on page 53.
2.4.1. Near Range
The range in front of the device (measured from the sensor reference point
1)
)
within which any echoes will be ignored. (This is sometimes referred to as
"Blanking" or "Dead Zone".)
2.4.2. Far Range
Allows the material level to drop below Low Calibration Point without
generating a Loss of Echo (LOE) state. See CLEF Range (2.4.5.4.) for an
illustration.
Use this feature if the measured surface can drop below the Low Cal. Point in
normal operation. For more detail see
Far Range (2.4.2.)
on page 143.
1) See
SITRANS LR560 with stainless steel universal flat flange
on page 12.
Values
Range:
Min = 0
Max. = 45 m (40 m device)
= 105 m (100 m device)
Default: 0.278 m (0.91 ft)
Related
parameters
Unit (2.3.1.)
Notes:
• Far Range can extend beyond the bottom of the vessel.
• When Low Calibration is updated, Far Range will be updated to Low
Calibration Pt. + 5 m (16.40 ft).
Values
Range:
Min. = 0
Max. = 45 m (40 m device)
= 105 m (100 m device)
Default = Low Calibration Pt. + 5 m (16.40 ft)
Related
Parameters
Unit (2.3.1.)
CLEF Range (2.4.5.4.)

7ML19985LY01 SITRANS LR560 (FF) – INSTRUCTION MANUAL Page 95
mmmmm
Parameters
2.4.3. Minimum Sensor Value
Read only. Defines the minimum usable value for the measuring range, in units
defined in Unit (2.3.1.).
(Default = 0.0 m)
For access via AMS Device Manager see Range under Signal Processing (LTB)
on page 53
.
2.4.4. Maximum Sensor Value
Read only. Defines the maximum usable value for the measuring range, in units
defined in Unit (2.3.1.).
Default depends on device:
40 m device default = 45.0 m
100 m device default = 105 m)
For access via AMS Device Manager see Range under Signal Processing (LTB)
on page 53
.
2.4.5. Echo Select
2.4.5.1. Algorithm
Selects the algorithm to be applied to the echo profile to extract the true
echo.
Options
ALF Area Largest First
AEcho Area
LLargest Echo
*F
First Echo
AL Area Largest
AF Area First
LF Largest First
BLF Best of First or Largest echo
BL Best Largest
BF Best First
LAST
TF True First
sensor value (distance from sensor reference point
to the target)
sensor reference point (flange face)
Level

Page 96 SITRANS LR560 (FF) – INSTRUCTION MANUAL 7ML19985LY01
mmmmm
Parameters
2.4.5.2. Position Detect
Defines where on the echo the distance measurement is determined. (See
Position Detect (2.4.5.2.) on page 139 for more detail.)
If the vessel bottom is being reported as the level instead of the actual
material level (at low level conditions), we recommend setting Position
Detect to Hybrid and using it in combination with CLEF Range (2.4.5.4.).
2.4.5.3. Echo Threshold
Sets the minimum echo confidence that the echo must meet in order to
prevent a Loss of Echo condition and the expiration of the LOE timer. When
Confidence (2.4.7.1.) exceeds Echo Threshold (2.4.5.3.), the echo is
accepted as a valid echo and is evaluated.
Use this feature when an incorrect material level is reported.
Note: Selecting Steel or Concrete vessel type in the Quick Start wizard
changes the setting for Position Detect (2.4.5.2.) to Rising Edge.
Options
Rising Edge (yields highest stability on sloped
targets)
*Center (yields higher accuracy on flat, non-
sloped targets)
Hybrid (Center and CLEF)
CLEF (Constrained Leading Edge Fit)
Related
parameters
CLEF Range (2.4.5.4.)
Values Range: 0 to 99
Default: 5
Related
Parameters
Loss of Echo (LOE) Timer (2.3.4.)

7ML19985LY01 SITRANS LR560 (FF) – INSTRUCTION MANUAL Page 97
mmmmm
Parameters
2.4.5.4. CLEF Range
The CLEF (Constrained Leading Edge Fit) algorithm is used mainly to allow
correct level reporting for low dK materials which may otherwise cause an
incorrect reading in an empty or almost empty vessel.
It is used from Far Range up to the level defined by CLEF Range (see
illustration below). Above that point the Center algorithm is used. For more
detail see CLEF Range (2.4.5.4.) on page 141.
2.4.5.5. Echo Marker
The point on the primary echo on which the measured value is based.
Use this feature if the reported material level fluctuates slightly, due to a
variable rise in the leading edge of the true echo on the Echo Profile.
Enter the value (in percent of echo height) to ensure the Echo Lock
Window intersects the Echo Profile at the sharpest rising portion of the
Echo Profile representing the true echo. This value is preset to 70%.
Notes:
• CLEF Range is referenced from Far Range.
• The value for CLEF Range must include the difference between Far
Range and Low Calibration Point, plus any level above the Low
Calibration Point to be managed by the CLEF algorithm.
Values
Range: 0 to 45 m (40 m device)
0 to 105 m (100 m device)
Default: 0.0 m
Related
parameters
Position Detect (2.4.5.2.)
Far Range (2.4.2.)
Values Range: 5 to 95%
Default: 70%
sensor
reference
point
CLEF Range Low Calibration
Point
Far
Range

Page 98 SITRANS LR560 (FF) – INSTRUCTION MANUAL 7ML19985LY01
mmmmm
Parameters
2.4.6. Sampling
Provides a method of checking the reliability of a new echo before accepting it
as the valid reading, based on numbers of samples above or below the
currently selected echo.
2.4.6.1. Echo Lock
Selects the measurement verification process. See Position Detect
(2.4.5.2.) on page 139 for more details.
For radar applications, Material Agitator is the most often used setting, to
avoid agitator blade detection.
2.4.6.2. Sampling Up
Specifies the number of consecutive echoes that must appear above the
echo currently selected, before the measurement is accepted as valid.
2.4.6.3. Sampling Down
Specifies the number of consecutive echoes that must appear below the
echo currently selected, before the measurement is accepted as valid.
Echo Lock
Options
0Lock Off (no verification)
1Maximum Verification
2*Material Agitator
3Total Lock
Related
parameters
Fill Rate/Min (2.3.6.2.)
Empty rate/Min (2.3.6.3.)
Sampling Up (2.4.6.2.)
Sampling Down (2.4.6.3.)
Algorithm (2.4.5.1.)
Values Range: 1 to 50
Default: 5
Values Range: 1 to 50
Default: 2
Related
parameters
Echo Lock (2.4.6.1.) If Echo Lock set to any value
other than its default (2), then Down Sampling
default = 5.

7ML19985LY01 SITRANS LR560 (FF) – INSTRUCTION MANUAL Page 99
mmmmm
Parameters
2.4.6.4. Echo Lock Window
A “distance window” centered on the echo
1)
is used to derive the reading.
When a new measurement is in the window, the window is re-centered
and the reading is calculated.
When the value is 0, the window is automatically calculated after each
measurement.
• For slower Measurement Response values, the window is narrow.
• For faster Measurement Response values, the window becomes
progressively wider.
2.4.7. Echo Quality
2.4.7.1. Confidence
Read only. Indicates echo reliability: higher values represent better echo
quality. The display shows the echo confidence of the last measurement.
Echo Threshold (2.4.5.3.) defines the minimum criterion for echo
confidence.
2.4.7.2. Echo Strength
Displays the absolute strength (in dB above 1 μV rms) of the echo selected
as the measurement echo.
1) See Echo Lock (2.4.6.1.) on page 118 for more detail.
Values
Range: 0 to 45 m (40 m device)
or 0 to 105 m (100 m device)
Default: 0 m
Note: The Echo Lock window is stored as a standard sample, but
displayed in sensor units. Any value entered for the Echo Lock window
will be rounded to the nearest sample.
Values (view only) 0 to 99
----
Related Parameters Echo Threshold (2.4.5.3.)
Values (view only) –20 to 99

Page 100 SITRANS LR560 (FF) – INSTRUCTION MANUAL 7ML19985LY01
mmmmm
Parameters
2.4.8. TVT (Auto False Echo Suppression) Setup
2.4.8.1. Auto False Echo Suppression
Used together with Auto False Echo Suppression Range (2.4.8.2.) to screen
out false echoes in a vessel with known obstructions.
A ’learned TVT’ (time
varying threshold) replaces the default TVT over a specified range.
a) Make sure material level is below all known obstructions when
Auto False Echo Suppression is used to learn the echo profile. (An
empty or almost empty vessel is recommended.)
b) Determine Auto False Echo Suppression Range. Measure the actual
distance from the sensor reference point to the material surface
using a rope or tape measure.
c) Subtract 0.5 m (20") from this distance, and enter the resulting value
in Auto False Echo Suppression Range.
Notes:
• Default settings in the parameter tables are indicated with an asterisk (*)
unless explicitly stated.
• We recommend using AFES Wizard. See
AFES (Auto False Echo
Suppression) Wizard1.2.
on page 87.
Before Auto False
Echo Suppression
default TVT
TVT Hover
Level
Level (db)
echo marker
material
level
false echo

7ML19985LY01 SITRANS LR560 (FF) – INSTRUCTION MANUAL Page 101
mmmmm
Parameters
To use Auto False Echo Suppression via AMS Device Manager:
Note value calculated in step b) and see
TVT Setup
on page 54.
To set Auto False Echo Suppression via local operation:
See
AFES (Auto False Echo Suppression) Wizard1.2.
on page 87.
2.4.8.2. Auto False Echo Suppression Range
Defines the endpoint of the Learned TVT distance. Units are defined in Unit
(2.3.1.)
2.4.8.3. Hover Level
Defines how high the TVT (Time Varying Threshold) curve is placed above
the noise floor of the echo profile, as a percentage of the difference between
the peak of the largest echo in the profile and the noise floor. (See Before
Auto False Echo Suppression on page 100 for an illustration.)
When SITRANS LR560 is located in the center of the vessel, the TVT hover
level may be lowered to increase the confidence level of the largest echo.
Note: Note the distance to material level when Auto False Echo learns
the environment. Set Auto False Echo Suppression Range to a shorter
distance to avoid the material echo being screened out.
Values
Range: 0.00 to 45.00 m (40 m device)
or 0.00 to 105.00 m (100 m device)
Default: 1.00 m
Values Range: 0 to 100%
Default: 40%
After Auto False Echo
Suppression
learned TVT
material level
false echo
Auto False Echo
Suppression Range
echo marker
Level (db)
default
TVT

Page 102 SITRANS LR560 (FF) – INSTRUCTION MANUAL 7ML19985LY01
mmmmm
Parameters
2.4.8.4. Shaper Mode
Enables/disables TVT Shaper (2.4.9.).
2.4.9. TVT Shaper
Adjusts the TVT (Time Varying Threshold) at a specified range (breakpoint
on the TVT). This allows you to reshape the TVT to avoid unwanted echoes.
There are 120 breakpoints arranged in 14 groups.
To access TVT shaper via AMS Device Manager see
TVT Shaper 1
on
page 55.
To use TVT shaper via local operation:
a) Go to Shaper Mode (2.4.8.4.) and select option ON.
b) In TVT shaper, go to Shaper 1-9 (2.4.9.1.).
c) Open Shaper 1 and enter the TVT Offset value (between –50 and
+50 dB).
d) Go to the next Shaper point and repeat step (c) till all desired
breakpoint values have been entered.
2.4.9.1. Shaper 1-9
2.4.9.2. Shaper 10-18
2.4.9.3. Shaper 19-27
2.4.9.4. Shaper 28-36
2.4.9.5. Shaper 37-45
2.4.9.6. Shaper 46-54
2.4.9.7. Shaper 55-63
2.4.9.8. Shaper 64-72
2.4.9.9. Shaper 73-81
2.4.9.10. Shaper 82-90
2.4.9.11. Shaper 91-99
2.4.9.12. Shaper 100-108
2.4.9.13. Shaper 109-117
2.4.9.14. Shaper 118-120
Options ON
*OFF
Notes:
•Shaper Mode (2.4.8.4.) must be turned ON in order for TVT shaper
breakpoints to be transferred
• We recommend using AMS Device Manager to access this feature.
• Put LTB Block into OOS Mode before changing settings, then back
into AUTO mode to display TVT.
Values Range: –50 to +50 dB
Default: 0

7ML19985LY01 SITRANS LR560 (FF) – INSTRUCTION MANUAL Page 103
mmmmm
Parameters
2.5. AIFB 1
2.5.1. Static Revision Number
The revision level of the static data associated with Analog Input Function
Block 1. The Static Revision No. is updated whenever a configuration
parameter is changed.
2.5.2. Mode
Used to request an operating mode from the Analog Input Function Block. It
allows you to put SITRANS LR560 into Manual mode (used in conjunction with
Simulation) or Out-of-Service mode for maintenance purposes.
Manual Mode can be used when simulating output.
Notes:
• All AIFB parameters are
read only
via local operation, and not visible to AMS
Device Manager. They can be changed only by a remote host such as DeltaV or
NI-FBUS-Configurator.
• AIFB 1 and AIFB 2 are not active upon initial startup. These blocks will show Out
of Service on the LCD at startup. If these blocks are needed for an FF
application, use a tool such as DeltaV or NI-FBUS-Configurator to configure and
schedule the blocks. See the manual
Foundation Fieldbus for Level instruments
(7ML19985MP01)
for details.
• Default settings in the parameter tables are indicated with an asterisk (*) unless
explicitly stated.
Note: Ensure that Mode is returned to AUTO when simulation or
maintenance are completed.
Setting Description Output value
AUTO automatic the automatically-recorded measured value
MAN manual a manually-set fixed simulation value
O/S function block
disabled
the preset safety value

Page 104 SITRANS LR560 (FF) – INSTRUCTION MANUAL 7ML19985LY01
mmmmm
Parameters
2.5.3. Channel
Used to select the Transducer Block output. See the manual, Foundation
Fieldbus for Level instruments (7ML19985MP01) for more detail.
2.5.4. Input Scaling
Input scaling should match the XD_scale from the Level Transducer Block. See
the manual
Foundation Fieldbus for Level instruments (7ML19985MP01)
for
more detail.
2.5.4.1. Lower Value
Defines the operational lower range value of the input value (Process Value
Scale) in Level Units. Process Value Scale normalizes the input value to a
customer-defined range.
2.5.4.2. Upper Value
Defines the operational upper range value of the input value (Process
Value Scale) in Level Units. Process Value Scale normalizes the input value
to a customer-defined range.
Options Reference Point
* Level (SV1 - Secondary Value 1) Low Calibration Point
Distance (SV2 - Secondary Value 2) sensor reference point
Values Range: -999999 to 999999
Default: 0 %
Values Range: -999999 to 999999
Default: 100 %
Low Calibration Point
(process empty level)
Level (SV1)
Distance (SV2)
sensor reference point1)
High Calibration
Point
(process full level)
Process Value Scale Input
(typically 0 to 100%)
Output Scale
Provides Output values
(Out) to AIFB 1 or AIFB 2

7ML19985LY01 SITRANS LR560 (FF) – INSTRUCTION MANUAL Page 105
mmmmm
Parameters
2.5.4.3. Unit
Engineering unit to be displayed with the output value
.
2.5.4.4. Decimal Point
Read only. The number of digits to display after the decimal point (fixed to
one).
2.5.5. Output Scaling
Scales the Process Variable. The function block parameter OUT SCALE
contains the values of the lower limit and upper limit effective range in AIFB 1
units.
2.5.5.1. Lower Value
Defines the operational lower range value of the output value in AIFB 1
units.
2.5.5.2. Upper Value
Defines the operational upper range value of the output value in AIFB 1
units.
2.5.5.3. Unit
Engineering unit to be displayed with the output value
2.5.5.4. Decimal Point
Read only. The number of digits to display after the decimal point (fixed to
two).
Options m, cm, mm, ft, in, %, Not Used, Unknown, Special
*%
Values Range: -999999 to 999999
Default: 0 %
Values Range: -999999 to 999999
Default: 100 %
Options m, cm, mm, ft, in, %, Not Used, Unknown, Special
*%

Page 106 SITRANS LR560 (FF) – INSTRUCTION MANUAL 7ML19985LY01
mmmmm
Parameters
2.5.6. Alarms & Warnings
2.5.6.1. High Limit Alarm
The setting for the upper alarm limit in AIFB 1 units. (Corresponds to
HI_HI_ALM.
)
2.5.6.2. High Limit Warning
The setting for the upper warning limit in AIFB 1 units.
(Corresponds to
HI_ALM.
)
2.5.6.3. Low Limit Warning
The setting for the lower warning limit in AIFB 1 units.
(Corresponds to
LO_ALM.)
2.5.6.4. Low Limit Alarm
The setting for the lower alarm limit in AIFB 1 units.
(Corresponds to
LO_LO_ALM.
)
2.5.6.5. Limit Hysteresis
Hysteresis is used to adjust the sensitivity of the trigger for alarm
messages. It is used to compensate when a process variable fluctuates
around the same value as a limit. A high level alarm occurs when a value
exceeds an upper limit. The alarm’s status remains true until the value
drops below the limit minus the alarm hysteresis. The directions are
reversed for low limit detection.
Enter a value for the hysteresis here, to be used for all warnings and
alarms. The units are always %.
Options Range: -999999 to 999999
Default: – – – – – –
Options Range: -999999 to 999999
Default: – – – – – –
Options Range: -999999 to 999999
Default: – – – – – –
Options Range: -999999 to 999999
Default: – – – – – –
Options Range: 0 to 50%
Default: 0.50%

7ML19985LY01 SITRANS LR560 (FF) – INSTRUCTION MANUAL Page 107
mmmmm
Parameters
2.5.7. Display
2.5.7.1. Filter Time Constant
The time constant for the damping filter. The damping filter smooths out the
response to a sudden change in level. This is a first order filter and the
engineering unit is always in seconds. See Damping on page 144 for more
detail.)
2.6. AIFB 2
See AIFB 1 (2.5.): the parameters for AIFB 2 are identical to AIFB 1.
2.7. Measured Values
(for diagnostic purposes)
Read only. Allows you to view measured values for diagnostic purposes.
2.7.1. Main Output (PV– Primary Value)
The value for Level.
In AMS Device Manager, see
Process Variables (Level Transducer Block - LTB)
on page 73.
2.7.2. Output, no linearization (SV1 – Secondary Value 1)
The value for Level.
2.7.3. Output, no level offsets (SV2 – Secondary Value 2)
The value for Distance.
2.8. Filtering
2.8.1. Narrow Echo Filter
Filters out echoes of a specific width.
To remove a false echo from the Echo Profile, take its width in mm and multiply
it by 0.013. Enter the result.
For example, to filter out a spike with 500 mm width, enter 6 or 7 (the closest
integer product of 500 x 0.013).
When a value is keyed in, the nearest acceptable value is entered.
Values
Range: Any non-negative number can be entered
Unit: s
Default: 0 a)
a) To meet accuracy specification, Filter Time Constant (PV_FTIME)
must be changed from default of 0.0 s to a minimum of 10.0 seconds.
(See
Performance
on page 8.)
Values
Range: 0 to 255. Default: 0
0 = OFF
greater = wider

Page 108 SITRANS LR560 (FF) – INSTRUCTION MANUAL 7ML19985LY01
mmmmm
Parameters
2.8.2. Reform Echo
Smooths jagged peaks in the echo profile. Reforms fragmented echoes into one
echo.
2.8.3. Average amount
The fraction of the old shot data that is kept for averaging purposes. A higher
value will give a smoother profile at the expense of a slower echo profile
response.
3. Diagnostics
3.1. Echo Profile
Allows you to request the current echo profile either via the handheld programmer,
the local buttons, or via AMS Device Manager. For more detail see Echo Processing
on page 138.
(continued on next page)
To request a profile via AMS Device Manager:
• see
Echo Profile
on page 56.
To request a profile via the handheld programmer or local control buttons:
In PROGRAM mode, navigate to Echo Profile (3.1.). (See
Requesting an Echo Profile
on page 39 for more details.)
Values
Range: 0 to 255 samples.
Default: 0 (reset to 10 after a Quick Start has been completed)
0 = OFF
greater = wider
Recommended: 5 to 20 samples. Wider is not recommended.
Values 0.0 to 1.0
Default: 0.75
Notes:
• LTB Block must be put back to AUTO mode to display Echo Profile.
• Selected icon is highlighted.
exit icon,
selected
exit icon,
deselected
exit
pan up/down
distance from flange face to target
Algorithm selection (trueFirst echo)
TVT
curve
material
level
confidence
value
distance from Low Calibration Point to vertical cross-hair
measure
zoom in/out
pan left/right - selected/highlighted
Measurement Range (0 to 50 m for example purposes)
Echo Amplitude (dB)

7ML19985LY01 SITRANS LR560 (FF) – INSTRUCTION MANUAL Page 109
mmmmm
Parameters
3.2. Fault Reset
Clears faults (see chart below).
Clearing a fault in one parameter of a ’maintenance pair’, automatically clears a fault
in the second parameter of the pair. For example, entering S3 or S4 will clear a fault
on Device (Maintenance Required), and on Device (Maintenance Demanded). This
applies when clearing faults via the handheld programmer, or the 375 Field Communi-
cator.
To clear a fault using the handheld programmer:
• Enter the fault code number then press RIGHT arrow.
3.3. Trend
Displays the trend of the Process Variables: sensor value, and outputs from AIFB 1/
AIFB 2. Samples are saved every minute up to 3200 samples.
In AMS Device Manager, see
Trend Values•
on page 73.
3.4. Electronics Temperature
To access the following parameters via AMS Device Manager see Electronics
Temperature on page 58 under
Maintenance & Diagnostics (LTB)
.
3.4.1. Minimum Value
The minimum recorded internal electronics temperature, reported in units
defined in Temperature Units (2.3.3.).
3.4.2. Maximum Value
The maximum recorded internal electronics temperature, reported in units
defined in Temperature Units (2.3.3.).
3.5. Peak Values
3.5.1. Minimum Measured Value
The minimum recorded Sensor value, reported in units defined in Unit (2.3.1.).
3.5.2. Maximum Measured Value
The maximum recorded Sensor value, reported in units defined in Unit (2.3.1.).
Fault Code Description
S3 Device Lifetime Reminder 1 (Maintenance Required)
S4 Device Lifetime Reminder 2 (Maintenance Demanded)
S6 Sensor Lifetime Reminder 1 (Maintenance Required)
S7 Sensor Lifetime Reminder 2 (Maintenance Demanded)
S8 Device Service Reminder 1 (Maintenance Required)
S9 Device Service Reminder 2 (Maintenance Demanded)
S12 Internal Temperature High
S17 Calibration Schedule Reminder 1 (Maintenance Required)
S18 Calibration Schedule Reminder 2 (Maintenance Demanded)

Page 110 SITRANS LR560 (FF) – INSTRUCTION MANUAL 7ML19985LY01
mmmmm
Parameters
4. Service
4.1. Master Reset
To perform a reset via AMS Device Manager:
• see Master Reset on page 63 under
Operation (RESOURCE)
on page 62.
To perform a reset via local operation:
a) Press RIGHT Arrow to open Edit Mode then scroll down to the desired reset
type and press RIGHT Arrow to select it.
b) Press LEFT Arrow to exit.
After a master reset is performed, the device will stop measuring, the Resource and
Level Transducer Blocks will go to Out of Service, and the LCD will display the Quick
Start Wizard until the device is configured.
Note: Default settings in the parameter tables are indicated with an asterisk (*) unless
explicitly stated.
Notes:
• The following parameters are not reset by any reset type: Write Protection, Auto
False Echo Suppression Range, Learned TVT.
• While an FF Object Dictionary Reset is in progress, the Master Reset Parameter
View showing PREVIOUS/NEXT/BACK/EDIT options will be displayed. Do not
perform an action using the local display interface until the reset is completeb).
This could cause a temporary loss of communications.
Reset Type Result
Factory
Defaultsa)
a) The only difference between Factory Defaults and Functional reset is that Fac-
tory Defaults resets maintenance parameters, such as device and sensor wear,
calibration and maintenance timers. Functional reset does not reset these
parameters.
Default. Resets all user parameters to the manufacturer’s default
settings. Following this type of reset, complete reprogramming is
required.
Standard
Defaults
Resets all parameters to standard default settings.
Informational Resets parameters such as Block Descriptor, Strategy, Device
Install Date, Device Message.
Functionala) Resets parameters that control device behavior and functionality
(such as Low Calibration Point).
Warm Start Has the same effect as recycling power to the device.
FF Object
Dictionaryb)
b) FF Object Dictionary reset completes with an automatic power cycle.
Resets all user parameters except for calibration to Factory
Defaults. This option also clears any function block parameters
and device schedulec) set by the user.
c) See the manual
Foundation Fieldbus for Level instruments (7ML19985MP01)
,
Data Transmission, for more details.

7ML19985LY01 SITRANS LR560 (FF) – INSTRUCTION MANUAL Page 111
mmmmm
Parameters
4.2. Remaining Device Lifetime
The device tracks itself based on operating hours and monitors its predicted lifetime.
You can modify the expected device lifetime, set up schedules for maintenance alerts,
and acknowledge them.
The maintenance warnings and alarms are communicated to the end user through
status information. This information can be integrated into any Asset Management
system.
To access these parameters via AMS Device Manager see Remaining Device
Lifetime on page 65 under
Maintenance & Diagnostics (RESOURCE)
.
4.2.1. Lifetime Expected
Allows you to override the factory default.
4.2.2. Time in Operation
Read only. The amount of time the device has been operating.
4.2.3. Remaining Lifetime
Read only. Lifetime Expected (4.2.1.) less Time in Operation (4.2.2.).
Notes:
• Default settings in the parameter tables are indicated with an asterisk (*) unless
explicitly stated.
• Four sets of parameters allow you to monitor the Device/Sensor Lifetimes and
set up Maintenance/Service schedules, based on operating hours instead of a
calendar-based schedule. See also Remaining Sensor Lifetime (4.3.), Service
Schedule (4.4.), and Calibration Schedule (4.5.).
• Performing a reset to Factory Defaults will reset all the Maintenance Schedule
parameters to their factory defaults.
• The device operates in years. To view Remaining Device Lifetime parameters in
hours (via AMS Device Manager only) see
Remaining Device Lifetime
on page
65.
Values
Units: years
Range: 0 to 20 years
Default: 10.00 years

Page 112 SITRANS LR560 (FF) – INSTRUCTION MANUAL 7ML19985LY01
mmmmm
Parameters
4.2.4. Reminder Activation
Allows you to enable a maintenance reminder.
a) First set the reminder values in Reminder 1 (Required) (4.2.5.)/Reminder 2
(Demanded) (4.2.6.).
b) Select the desired Reminder Activation option.
4.2.5. Reminder 1 (Required)
If Remaining Lifetime (4.2.3.) is equal to or less than this value, the device
generates a Maintenance Required reminder.
a) Modify limit values as required.
b) Set Reminder Activation (4.2.4.) to the desired option.
4.2.6. Reminder 2 (Demanded)
If Remaining Lifetime (4.2.3.) is equal to or less than this value, the device
generates a Maintenance Demanded reminder.
a) Modify limit values as required.
b) Set Reminder Activation (4.2.4.) to the desired option.
4.2.7. Maintenance Status
Indicates which level of maintenance reminder is active.
To display the level of maintenance reminder that is active in AMS Device
Manager see Extended Diagnostics (RESOURCE) on page 72 under
Device
Diagnostics (Resource Block - RESOURCE)
.
4.2.8. Acknowledge Status
Indicates which level of maintenance reminder has been acknowledged.
Options
REMinder 1 (Maintenance REQuired)
REMinder 2 (Maintenance DEManded)
REMinders 1 AND 2 (Maintenance Required and
Maintenance Demanded)
*OFF
Values Range: 0 to 20 years
Default: 0.164 years
Values Range: 0 to 20 years
Default: 0.019 years

7ML19985LY01 SITRANS LR560 (FF) – INSTRUCTION MANUAL Page 113
mmmmm
Parameters
4.2.9. Acknowledge
Acknowledges the current maintenance reminder.
To acknowledge an alert via the handheld programmer:
a) Press RIGHT arrow twice to open parameter view and activate Edit
Mode.
b) Press RIGHT arrow to acknowledge the alert.
4.3. Remaining Sensor Lifetime
The device monitors the predicted lifetime of the sensor (the components exposed to
the vessel environment). You can modify the expected sensor lifetime, set up schedules
for maintenance alerts, and acknowledge them.
To access these parameters via AMS Device Manager see Remaining Sensor
Lifetime on page 56 under
Maintenance & Diagnostics (LTB)
.
4.3.1. Lifetime Expected
Allows you to override the factory default.
4.3.2. Time in Operation
The amount of time the sensor has been operating. Can be reset to zero after
performing a service or replacing the sensor.
To reset to zero:
• Via the handheld programmer, manually reset Time in Operation (4.3.2.) to
zero.
Notes:
• Default settings in the parameter tables are indicated with an asterisk (*) unless
explicitly stated.
• Four sets of parameters allow you to monitor the Device/Sensor Lifetimes and
set up Maintenance/Service schedules, based on operating hours instead of a
calendar-based schedule. See also Remaining Device Lifetime (4.2.), Service
Schedule (4.4.), and Calibration Schedule (4.5.).
• Performing a reset to Factory Defaults will reset all the Maintenance Schedule
parameters to their factory defaults.
• The device operates in years. To view Remaining Sensor Lifetime parameters in
hours (via AMS Device Manager only) see
Remaining Sensor Lifetime
on page
56.
Values
Units: years
Range: 0 to 20 years
Default: 10.00 years

Page 114 SITRANS LR560 (FF) – INSTRUCTION MANUAL 7ML19985LY01
mmmmm
Parameters
4.3.3. Remaining Lifetime
Read only. Lifetime Expected (4.3.1.) less Time in Operation (4.3.2.).
4.3.4. Reminder Activation
Allows you to enable a maintenance reminder.
a) First set the limit values in Reminder 1 (Required) (4.3.5.)/Reminder 2
(Demanded) (4.3.6.).
b) Select the desired Reminder Activation option.
4.3.5. Reminder 1 (Required)
If Remaining Lifetime (4.3.3.) is equal to or less than this value, the device
generates a Maintenance Required reminder.
a) Modify limit values as required.
b) Set Reminder Activation (4.3.4.) to the desired option.
4.3.6. Reminder 2 (Demanded)
If Remaining Lifetime (4.3.3.) is equal to or less than this value, the device
generates a Maintenance Demanded reminder.
a) Modify limit values as required.
b) Set Reminder Activation (4.3.4.) to the desired option.
4.3.7. Maintenance Status
Indicates which level of maintenance reminder is active.
To display the level of maintenance reminder in AMS Device Manager see
Extended Diagnostics (LTB) on page 70 under
Device Diagnostics (Level
Transducer Block - LTB)
.
4.3.8. Acknowledge Status
Indicates which level of maintenance reminder has been acknowledged.
Options
REMinder 1 (Maintenance REQuired)
REMinder 2 (Maintenance DEManded)
REMinders 1 AND 2 (Maintenance Required and
Maintenance Demanded)
*OFF
Values Range: 0 to 20 years
Default: 0.164 years
Values Range: 0 to 20 years
Default: 0.019 years

7ML19985LY01 SITRANS LR560 (FF) – INSTRUCTION MANUAL Page 115
mmmmm
Parameters
4.3.9. Acknowledge
Acknowledges the current maintenance reminder.
To acknowledge an alert via the handheld programmer:
a) Press RIGHT arrow twice to open parameter view and activate Edit
Mode.
b) Press RIGHT arrow to acknowledge the alert.
4.4. Service Schedule
The device tracks service intervals based on operating hours and monitors the
predicted lifetime to the next service. You can modify the Total Service Interval, set
schedules for Maintenance Alerts, and acknowledge them.
The maintenance warnings and alarms are communicated to the end user through
status information. This information can be integrated into any Asset Management
system.
To access these parameters via AMS Device Manager see Service Schedule on
page 57 under
Maintenance & Diagnostics (LTB)
.
4.4.1. Service Interval
User-configurable recommended time between product inspections
.
4.4.2. Time Last Serviced
Time elapsed since last service. Can be reset to zero after performing a service.
To reset to zero:
• Via the handheld programmer, manually reset Time Last Serviced (4.4.2.) to
zero.
Notes:
• Default settings in the parameter tables are indicated with an asterisk (*) unless
explicitly stated.
• Four sets of parameters allow you to monitor the Device/Sensor Lifetimes and
set up Maintenance/Service schedules, based on operating hours instead of a
calendar-based schedule. See also Remaining Device Lifetime (4.2.), Remaining
Sensor Lifetime (4.3.), and Calibration Schedule (4.5.).
• Performing a reset to Factory Defaults will reset all the Maintenance Schedule
parameters to their factory defaults.
• The device operates in years. To view Service Interval parameters in hours (via
AMS Device Manager only) see
Service Schedule
on page 57.
Values
Units: years
Range: 0 to 20 years
Default: 1.0 year

Page 116 SITRANS LR560 (FF) – INSTRUCTION MANUAL 7ML19985LY01
mmmmm
Parameters
4.4.3. Time Next Serviced
Read only. Service Interval (4.4.1.) less Time Last Serviced (4.4.2.).
4.4.4. Reminder Activation
Allows you to enable a maintenance reminder.
a) First set the limit values in Reminder 1 (Required) (4.4.5.)/Reminder 2
(Demanded) (4.4.6.).
b) Select the desired Reminder Activation option.
4.4.5. Reminder 1 (Required)
If Time Next Serviced (4.4.3.) is equal to or less than this value, the device
generates a Maintenance Required reminder.
a) Modify limit values as required.
b) Set Reminder Activation (4.4.4.) to the desired option.
4.4.6. Reminder 2 (Demanded)
If Time Next Serviced (4.4.3.) is equal to or less than this value, the device
generates a Maintenance Demanded reminder.
a) Modify limit values as required.
b) Set Reminder Activation (4.4.4.) to the desired option.
4.4.7. Maintenance Status
Indicates which level of maintenance reminder is active.
To display the level of maintenance reminder in AMS Device Manager see
Extended Diagnostics (LTB) on page 70 under
Device Diagnostics (Level
Transducer Block - LTB)
.
4.4.8. Acknowledge Status
Indicates which level of maintenance reminder has been acknowledged.
Values
* TIMER OFF
ON NO LIMITS
ON REMinder 1 (Maintenance Required) checked
ON REMinders 1 - 2 checked
ON - REMinder 2 (Maintenance Demanded)
checked
Values Range: 0 to 20 years
Default: 0.164 years
Values Range: 0 to 20 years
Default: 0.019 years

7ML19985LY01 SITRANS LR560 (FF) – INSTRUCTION MANUAL Page 117
mmmmm
Parameters
4.4.9. Acknowledge
Acknowledges the current maintenance reminder.
To acknowledge an alert via the handheld programmer:
a) Press RIGHT arrow twice to open parameter view and activate Edit
Mode.
b) Press RIGHT arrow to acknowledge the alert.
4.5. Calibration Schedule
The device tracks calibration intervals based on operating hours and monitors the
predicted lifetime to the next calibration. You can modify the Total Calibration Interval,
set schedules for Maintenance Alerts, and acknowledge them.
To access these parameters via AMS Device Manager see Calibration Schedule on
page 66 under
Maintenance & Diagnostics (RESOURCE)
.
4.5.1. Calibration Interval
User-configurable recommended time between product calibrations.
4.5.2. Time Last Calibrated
Time elapsed since last calibration. Can be reset to zero after performing a
calibration.
To reset to zero:
• Via the handheld programmer, manually reset Time Last Calibrated (4.5.2.)
to zero.
4.5.3. Time Next Calibrated
Read only. Calibration Interval (4.5.1.) less Time Last Calibrated (4.5.2.).
Notes:
• Default settings in the parameter tables are indicated with an asterisk (*) unless
explicitly stated.
• Four sets of parameters allow you to monitor the Device/Sensor Lifetimes and
set up Maintenance/Service schedules, based on operating hours instead of a
calendar-based schedule. See also Remaining Device Lifetime (4.2.), Remaining
Sensor Lifetime (4.3.), and Service Schedule (4.4.).
• Performing a reset to Factory Defaults will reset all the Maintenance Schedule
parameters to their factory defaults.
• The device operates in years. To view Calibration Interval parameters in hours
(via AMS Device Manager only) see
Calibration Schedule
on page 66.
Values
Units: years
Range: 0 to 20 years
Default: 1.0 year

Page 118 SITRANS LR560 (FF) – INSTRUCTION MANUAL 7ML19985LY01
mmmmm
Parameters
4.5.4. Reminder Activation
Allows you to enable a maintenance reminder.
a) First set the limit values in Reminder 1 (Required) (4.5.5.)/Reminder 2
(Demanded) (4.5.6.).
b) Select the desired Reminder Activation option.
4.5.5. Reminder 1 (Required)
If Time Next Calibrated (4.5.3.) is equal to or less than this value, the device
generates a Maintenance Required reminder.
a) Modify limit values as required.
b) Set Reminder Activation (4.5.4.) to the desired option.
4.5.6. Reminder 2 (Demanded)
If Time Next Calibrated (4.5.3.) is equal to or less than this value, the device
generates a Maintenance Demanded reminder.
a) Modify limit values as required.
b) Set Reminder Activation (4.5.4.) to the desired option.
4.5.7. Maintenance Status
Indicates which level of maintenance reminder is active.
To display the level of maintenance reminder that is active in AMS Device
Manager see Extended Diagnostics (RESOURCE) on page 72 under
Device
Diagnostics (Resource Block - RESOURCE)
.
4.5.8. Acknowledge Status
Indicates which level of maintenance reminder has been acknowledged.
Values
*TIMER OFF
ON NO LIMITS
ON REMinder 1 (Maintenance Required) checked
ON REMinders 1 - 2 checked
ON - REMinder 2 (Maintenance Demanded)
checked
Values Range: 0 to 20 years
Default: 0.164 years
Values Range: 0 to 20 years
Default: 0.019 years

7ML19985LY01 SITRANS LR560 (FF) – INSTRUCTION MANUAL Page 119
mmmmm
Parameters
4.5.9. Acknowledge
Acknowledges the current maintenance reminder.
To acknowledge an alert via the handheld programmer:
a) Press RIGHT arrow twice to open parameter view and activate Edit
Mode.
b) Press RIGHT arrow to acknowledge the alert.
4.6. Powered Hours
Displays the number of hours the unit has been powered up since manufacture.
To view via AMS Device Manager see Wear on page 66 under
Maintenance &
Diagnostics (RESOURCE)
.
4.7. Power-on Resets
The number of power cycles that have occurred since manufacture.
To view via AMS Device Manager see Wear
on page 66
under
Maintenance &
Diagnostics (RESOURCE)
.
4.8. Menu Timeout
Time menu stays visible before switching back to Measurement view if no key is
pressed.
4.9. LCD Backlight
Time the backlight remains on.
4.10. LCD Contrast
The factory setting is for optimum visibility at room temperature and in average light
conditions. Extremes of temperature will lessen the contrast.
Adjust the value to improve visibility in different temperatures and light conditions.
Change the value in small steps to ensure you can continue to read the display.
Values Range: 15 s to 65535 s. Default: 120 s
Values Range: 0 (backlight off) to 128 seconds (backlight always on)
Default: 128 seconds
Values Range: 0 to 20
Default: 8
Contrast setting will depend on ambient
temperature.

Page 120 SITRANS LR560 (FF) – INSTRUCTION MANUAL 7ML19985LY01
mmmmm
Parameters
4.11. Secondary Value
The value displayed in the secondary region of the LCD, in Measurement Mode . [See
The LCD Display on page 31, area (6) under Normal operation.]
Use Secondary Value to capture the menu navigation path to a selected parameter,
and store a custom secondary value [for example, Echo Strength (2.4.7.2.)].
While in Parameter View1) mode of the selected parameter, press the decimal point
key. This stores the path to the selected parameter in Secondary Value, and displays
that value in the secondary region of the LCD display when in Measurement Mode.
4.12. Simulate Enable
Replaces a physical jumper switch found on some FF devices to enable simulation
when set to ON. (Available only via local operation.)
For more information on Simulation, see
Simulation (Input)
on page 51 in AMS
Device Manager, or the manual,
Foundation Fieldbus for Level instruments
(7ML19985MP01)
.
4.13. Demo Mode
Reduces the time between measurements and the accuracy for demonstration
purposes.
5. Communication
5.1. Tag
The user-defined description for the device.
To access this parameter via AMS Device Manager see Identification under
Identification (RESOURCE)
on page 61.
1) See
Parameter view
on page 31, under
Program mode
.
Options * OFF Simulation Disabled
ON Simulation Enabled
Note: Default settings in the parameter tables are indicated with an asterisk (*) unless
explicitly stated.

7ML19985LY01 SITRANS LR560 (FF) – INSTRUCTION MANUAL Page 121
mmmmm
Parameters
5.2. Device Address
Read only. The unique address of the device on the network.
5.3. Manufacturer
Device manufacturer: Siemens.
5.4. Device Type Identification
Hexadecimal integer defined by Siemens to uniquely identify each product with
manufacturer’s Id. (LR560 FF device= 00D7.)
5.5. Device Revision
Manufacturer’s revision number associated with this device.
5.6. ITK Version
Major revision number of the interoperability test case used to register this device.
6. Security
6.1. Remote Access
6.1.1. Remote Lockout
Enables or disables programming via the network and AMS Device Manager.
Note: The address can only be changed from a remote master such as NI-FBUS-
Configurator or DeltaV. See the manual
Foundation Fieldbus for Level instruments
(7ML19985MP01)
for more details.
Values
Temporary range during initial commissioning: 248 - 251.
Permanent range after commissioning complete (written to non-
volatile memory in the device): 16-247
Note: Default settings in the parameter tables are indicated with an asterisk (*) unless
explicitly stated.
Note: If remote lockout control is changed to limit remote access, it can be
reset only via the handheld programmer.
Options * OFF Remote operation enabled
ON Remote operation disabled

Page 122 SITRANS LR560 (FF) – INSTRUCTION MANUAL 7ML19985LY01
mmmmm
Parameters
6.2. Local Access
6.2.1. Write Protection
Prevents any changes to parameters via remote or local access.
• To turn Lock On, key in any value other than the Unlock Value.
• To turn Lock Off, key in the Unlock Value.
To access this parameter via AMS Device Manager see Write Protection on
page 67 under
Security (RESOURCE)
.
6.2.2. Local Operation
Enables or disables programming via the handheld programmer.
To access this parameter via AMS Device Manager see Local Display on page
59 under
Setup (LCD)
.
7. Language
Selects the language to be used on the LCD.
To access this parameter via AMS Device Manager, see
Local Display
on page 59.
Options
Range: 0 to 9999
* Unlock value 2457 Lock Off
Any other value Lock On
Options DISABLED
* ENABLED
Note: Once disabled via the handheld programmer, the parameter is no
longer visible on the local display and can only be reset using AMS Device
Manager. However, if no communication activity exists for 30 seconds, the
parameter will again be visible on the local display.
Options
*ENGLISH
DEUTSCH
FRANÇAIS
ESPAÑOL
简体中文

7ML19985LY01 SITRANS LR560 (FF) – INSTRUCTION MANUAL Page 123
mmmmm
A: Parameter List
Appendix A: Alphabetical Parameter
List
Parameter Name (Parameter Number) Page Number
Acknowledge (4.2.9.) 113
Acknowledge (4.3.9.) 115
Acknowledge (4.4.9.) 117
Acknowledge (4.5.9.) 119
Acknowledge Status (4.2.8.) 112
Acknowledge Status (4.3.8.) 114
Acknowledge Status (4.4.8.) 116
Acknowledge Status (4.5.8.) 118
AFES (Auto False Echo Suppression) Wizard (1.2.) 87
AIFB 1 (2.5.) 103
AIFB 2 (2.6.) 107
Alarms & Warnings (2.5.6.) 106
Algorithm (2.4.5.1.) 95
Auto False Echo Suppression (2.4.8.1.) 100
Auto False Echo Suppression Range (2.4.8.2.) 101
Average amount (2.8.3.) 108
Calibration (2.3.5.) 91
Calibration Interval (4.5.1.) 117
Calibration Schedule (4.5.) 117
Channel (2.5.3.) 104
CLEF Range (2.4.5.4.) 97
Communication (5.) 120
Confidence (2.4.7.1.) 99
Copy Firmware from Display (1.6.) 89
Copy Firmware to Display (1.5.) 88
Copy Parameters from Display (1.4.) 88
Copy Parameters to Display (1.3.) 88
Decimal Point (2.5.4.4.) 105
Decimal Point (2.5.5.4.) 105
Demo Mode (4.13.) 120
Descriptor (2.1.2.) 89
Device (2.2.) 90
Device Address (5.2.) 121
Device Revision (5.5.) 121
Device Type Identification (5.4.) 121
Diagnostics (3.) 108
Display (2.5.7.) 107

Page 124 SITRANS LR560 (FF) – INSTRUCTION MANUAL 7ML19985LY01
mmmmm
A: Parameter List
Echo Lock (2.4.6.1.) 98
Echo Profile (3.1.) 108
Echo Quality (2.4.7.) 99
Echo Select (2.4.5.) 95
Echo Strength (2.4.7.2.) 99
Echo Threshold (2.4.5.3.) 96
Electronics Temperature (3.4.) 109
Empty rate/Min (2.3.6.3.) 93
Far Range (2.4.2.) 94
Fault Reset (3.2.) 109
Fill Rate/Min (2.3.6.2.) 93
Filter Time Constant (2.5.7.1.) 107
Firmware Revision (2.2.2.) 90
Hardware Revision (2.2.1.) 90
High Calibration Point (2.3.5.2.) 91
High Level Point (2.3.5.5.) 92
High Limit Alarm (2.5.6.1.) 106
High Limit Warning (2.5.6.2.) 106
Hover Level (2.4.8.3.) 101
Identification (2.1.) 89
Input Scaling (2.5.4.) 104
Installation date (2.1.4.) 89
ITK Version (5.6.) 121
Language (7.) 122
LCD Backlight (4.9.) 119
LCD Contrast (4.10.) 119
Level Offset (2.3.5.6.) 92
Level Unit (2.3.2.) 90
Lifetime Expected (4.2.1.) 111
Lifetime Expected (4.3.1.) 113
Limit Hysteresis (2.5.6.5.) 106
Loader Revision (2.2.3.) 90
Local Access (6.2.) 122
Local Operation (6.2.2.) 122
Loss of Echo (LOE) Timer (2.3.4.) 91
Low Calibration Point (2.3.5.1.) 91
Low Level Point (2.3.5.4.) 92
Low Limit Alarm (2.5.6.4.) 106
Low Limit Warning (2.5.6.3.) 106
Lower Value (2.5.4.1.) 104
Lower Value (2.5.5.1.) 105
Parameter Name (Parameter Number) Page Number

7ML19985LY01 SITRANS LR560 (FF) – INSTRUCTION MANUAL Page 125
mmmmm
A: Parameter List
Main Output (PV– Primary Value) (2.7.1.) 107
Maintenance Status (4.2.7.) 112
Maintenance Status (4.3.7.) 114
Maintenance Status (4.4.7.) 116
Maintenance Status (4.5.7.) 118
Manufacture Date (2.2.4.) 90
Manufacturer (5.3.) 121
Master Reset (4.1.) 110
Maximum Measured Value (3.5.2.) 109
Maximum Sensor Value (2.4.4.) 95
Maximum Value (3.4.2.) 109
Measured Values (2.7.) 107
Menu Timeout (4.8.) 119
Message (2.1.3.) 89
Minimum Measured Value (3.5.1.) 109
Minimum Sensor Value (2.4.3.) 95
Minimum Value (3.4.1.) 109
Mode (2.5.2.) 103
Narrow Echo Filter (2.8.1.) 107
Near Range (2.4.1.) 94
Output Scaling (2.5.5.) 105
Output, no level offsets (SV2 – Secondary Value 2) (2.7.3.) 107
Output, no linearization (SV1 – Secondary Value 1) (2.7.2.) 107
Peak Values (3.5.) 109
Position Detect (2.4.5.2.) 96
Powered Hours (4.6.) 119
Power-on Resets (4.7.) 119
Quick Start (1.) 86
Quick Start Wizard (1.1.) 86
Rate (2.3.6.) 92
Reform Echo (2.8.2.) 108
Remaining Device Lifetime (4.2.) 111
Remaining Lifetime (4.2.3.) 111
Remaining Lifetime (4.3.3.) 114
Remaining Sensor Lifetime (4.3.) 113
Reminder 1 (Required) (4.2.5.) 112
Reminder 1 (Required) (4.3.5.) 114
Reminder 1 (Required) (4.4.5.) 116
Reminder 1 (Required) (4.5.5.) 118
Reminder 2 (Demanded) (4.2.6.) 112
Reminder 2 (Demanded) (4.3.6.) 114
Parameter Name (Parameter Number) Page Number

Page 126 SITRANS LR560 (FF) – INSTRUCTION MANUAL 7ML19985LY01
mmmmm
A: Parameter List
Reminder 2 (Demanded) (4.4.6.) 116
Reminder 2 (Demanded) (4.5.6.) 118
Reminder Activation (4.2.4.) 112
Reminder Activation (4.3.4.) 114
Reminder Activation (4.4.4.) 116
Reminder Activation (4.5.4.) 118
Remote Access (6.1.) 121
Remote Lockout (6.1.1.) 121
Response Rate (2.3.6.1.) 92
Sampling (2.4.6.) 98
Sampling Down (2.4.6.3.) 98
Sampling Up (2.4.6.2.) 98
Secondary Value (4.11.) 120
Security (6.) 121
Sensor (2.3.) 90
Sensor Offset (2.3.5.3.) 91
Service (4.) 110
Service Interval (4.4.1.) 115
Service Schedule (4.4.) 115
Setup (2.) 89
Shaper 1-9 (2.4.9.1.) 102
Shaper 10-18 (2.4.9.2.) 102
Shaper 19-27 (2.4.9.3.) 102
Shaper 28-36 (2.4.9.4.) 102
Shaper 37-45 (2.4.9.5.) 102
Shaper 46-54 (2.4.9.6.) 102
Shaper 55-63 (2.4.9.7.) 102
Shaper 64-72 (2.4.9.8.) 102
Shaper 73-81 (2.4.9.9.) 102
Shaper 82-90 (2.4.9.10.) 102
Shaper 91-99 (2.4.9.11.) 102
Shaper 100-108 (2.4.9.12.) 102
Shaper 109-117 (2.4.9.13.) 102
Shaper 118-120 (2.4.9.14.) 102
Shaper Mode (2.4.8.4.) 102
Signal Processing (2.4.) 94
Simulate Enable (4.12.) 120
Static Revision Number (2.5.1.) 103
Tag (2.1.1.) 89
Tag (5.1.) 120
Temperature Units (2.3.3.) 90
Parameter Name (Parameter Number) Page Number

7ML19985LY01 SITRANS LR560 (FF) – INSTRUCTION MANUAL Page 127
mmmmm
A: Parameter List
Time in Operation (4.2.2.) 111
Time in Operation (4.3.2.) 113
Time Last Calibrated (4.5.2.) 117
Time Last Serviced (4.4.2.) 115
Time Next Calibrated (4.5.3.) 117
Time Next Serviced (4.4.3.) 116
Trend (3.3.) 109
TVT (Auto False Echo Suppression) Setup (2.4.8.) 100
TVT Shaper (2.4.9.) 102
Unit (2.3.1.) 90
Unit (2.5.4.3.) 105
Unit (2.5.5.3.) 105
Upper Value (2.5.4.2.) 104
Upper Value (2.5.5.2.) 105
Write Protection (6.2.1.) 122
Parameter Name (Parameter Number) Page Number

Page 128 SITRANS LR560 (FF)– INSTRUCTION MANUAL 7ML19985LY01
mmmmm
B: Troubleshooting
Appendix B: Troubleshooting
Communication Troubleshooting
1. Check the following:
• There is power at the instrument.
• The LCD shows the relevant data.
• The device can be programmed using the handheld programmer.
• If any fault codes are being displayed see
General Fault Codes
on page 130 for a
detailed list.
2. Verify that the wiring connections are correct.
3. See the table below for specific symptoms (continued on next page).
Symptom Corrective action
The device cannot be pro-
grammed via the handheld
programmer.
Make sure Write Protection (6.2.1.) is set to the unlock
value, and that Local Operation (6.2.2.) is enabled.
You try to set a SITRANS
LR560 parameter via remote
communications but the
parameter remains
unchanged.
•Ensure Remote Lockout (6.1.1.) on page 121 is disabled.
•Ensure Write Protection (6.2.1.) on page 122 is set to
the unlock value.
The controller value equals
the display value but does
not correspond to actual
material level.
•Ensure Scaling in AIFB 1 is correctly entered.
• Ensure High Calibration Point is correctly entered.
• View the echo profile to see if the wrong echo is
being selected. If so, see
Operation Troubleshooting
on page 134 for possible causes and corrective
action.
The controller value is not
equal to the displayed value
(regardless of actual material
level).
• Confirm you are looking at the right spot in the con-
troller.
• Ensure scaling has not been programmed into the
controller: all scaling should be performed by the
LR560.
• Check the network to ensure the controller is com-
municating with the LR560.
Only the AIFB 1 and AIFB 2
parameters are displayed via
LUI
•Ensure Local Operation (6.2.2.) on page 122 is enabled

7ML19985LY01 SITRANS LR560 (FF) – INSTRUCTION MANUAL Page 129
mmmmm
B: Troubleshooting
If you continue to experience problems, go to our website at:
http://www.siemens.com/LR560, and check the FAQs for SITRANS LR560, or contact
your Siemens Milltronics representative.
Device Status Icons
Not able to change parame-
ters, such as low calibration
point
• Ensure block is set to Out of Service (O/S)
Icon Priority
Level Meaning
1 • Maintenance alarm
• Measurement values are not valid
2 • Maintenance warning: maintenance demanded immediately
• Measured signal still valid
3 • Maintenance required
• Measured signal still valid
1 • Process value has reached an alarm limit
2 • Process value has reached a warning limit
3 • Process value has reached a tolerance limit
1 • Configuration error
• Device will not work because one or more parameters/components
is incorrectly configured
2 • Configuration warning
• Device can work but one or more parameters/components is
incorrectly configured
3 • Configuration changed
• Device parameterization not consistent with parameterization in
project. Look for info text.
1 • Manual operation (local override)
• Communication is good; device is in manual mode.
Symptom Corrective action (cont’d)

Page 130 SITRANS LR560 (FF)– INSTRUCTION MANUAL 7ML19985LY01
mmmmm
B: Troubleshooting
General Fault Codes
2 • Simulation or substitute value
• Communication is good; device is in simulation mode or works with
substitute values.
3 • Out of operation
• Communication is good; device is out of action.
• No data exchange
• Write access enabled
• Write access disabled
Notes:
•If more than one fault is present, the device status indicator and text for each fault
alternate at 2 second intervals.
General Fault Codes
Code
/Icon Meaning Corrective Action
S: 0 The device was unable to get a mea-
surement within the LOE Timer period.
Possible causes: faulty installation,
antenna material buildup, foaming/
other adverse process conditions,
invalid calibration range.
• Ensure installation details are cor-
rect.
• Ensure no material buildup. Clean if
necessary.
• Adjust process conditions to mini-
mize foam or other adverse condi-
tions.
• Correct range calibration.
• If fault persists, contact your local
Siemens representative.
S: 2 Unable to collect profile because of a
power condition that is outside the
operating range of the device.
Repair required. Contact your local
Siemens representative.
Icon Priority
Level Meaning (cont’d)

7ML19985LY01 SITRANS LR560 (FF) – INSTRUCTION MANUAL Page 131
mmmmm
B: Troubleshooting
S: 3 Device is nearing its lifetime limit as
defined in Remaining Lifetime (4.2.3.)
and has triggered Reminder 1
(Required) (4.2.5.).
Replacement is recommended.
S: 4 Device is nearing its lifetime limit as
defined in Remaining Lifetime (4.2.3.)
and has triggered Reminder 2
(Demanded) (4.2.6.).
Replacement is recommended.
S: 6 Sensor is nearing its lifetime limit as
defined in Remaining Lifetime (4.3.3.)
and has triggered Reminder 1
(Required) (4.3.5.).
Replacement is recommended.
S: 7 Sensor is nearing its lifetime limit as
defined in
4.3.3.Remaining Lifetime
and
has triggered a Maintenance
Demanded reminder
(4.3.6.)
.
Replacement is recommended.
S: 8 Service interval as defined in
4.4.1.
has
expired and has triggered a Mainte-
nance Required reminder
(4.4.5.)
.
Perform service.
S: 9 Service interval as defined in
4.4.1.
has
expired and has triggered a Mainte-
nance Demanded reminder
(4.4.6.)
.
Perform service.
S: 10 Input parameters Low Calibration Point
(2.3.5.1.) and High Calibration Point
(2.3.5.2.) are the same.
• Check calibration settings of
device.
• Ensure settings for High Calibration
Point and Low Calibration Point are
different.
S: 11 Internal temperature sensor failure. Repair required: contact your local
Siemens representative.
General Fault Codes (cont’d)
Code
/Icon Meaning Corrective Action

Page 132 SITRANS LR560 (FF)– INSTRUCTION MANUAL 7ML19985LY01
mmmmm
B: Troubleshooting
S: 12 Internal temperature of device has
exceeded specifications: it is operating
outside its temperature range.
• Relocate device and/or lower pro-
cess temperature enough to cool
device.
• Inspect for heat-related damage
and contact your local Siemens
representative if repair is required.
• Fault code will persist until a man-
ual reset is performed using AMS
or the LCD interface.
S: 17 Calibration interval as defined in
4.5.1.
has expired and has triggered a Main-
tenance Required reminder
(4.5.5.)
.
Perform calibration.
S: 18 Calibration interval as defined in
4.5.1.
has expired and has triggered a Main-
tenance Demanded reminder
(4.5.6.)
.
Perform calibration.
S: 25 Internal device error. Reset power. If fault persists, contact
your local Siemens representative.
S: 27
Internal device failure caused by an
External RAM memory error.
Repair required: contact your local
Siemens representative.
S: 28 Internal device failure caused by a RAM
memory error.
Repair required: contact your local
Siemens representative.
S: 29 EEPROM damaged. Repair required: contact your local
Siemens representative.
S: 30 EEPROM corrupt. Reset power. If fault persists, contact
your local Siemens representative.
General Fault Codes (cont’d)
Code
/Icon Meaning Corrective Action

7ML19985LY01 SITRANS LR560 (FF) – INSTRUCTION MANUAL Page 133
mmmmm
B: Troubleshooting
S: 31 Flash error. Repair required: contact your local
Siemens representative.
S: 33 Factory calibration for the internal tem-
perature sensor has been lost.
Repair required: contact your local
Siemens representative.
S: 34 Factory calibration for the device has
been lost.
Repair required: contact your local
Siemens representative.
S:39 Transducer temperature sensor failure. Repair required: contact your local
Siemens representative.
S:40 Transducer temperature too high. Relocate device and/or lower
process temperature enough to cool
device. Inspect for heat-related
damage and contact your local
Siemens representative if repair is
required.
S: 41 Transducer temperature too low. Relocate device and/or raise process
temperature enough to warm device.
Inspect for temperature-related
damage and contact your local
Siemens representative if repair is
required.
S:64 Device error.
NOTE: Fault text and icon appear only
on LCD.
Repair required. Contact your local
Siemens representative.
S:66 to
S:83
Device error.
NOTE: Fault text and icons appear only
on LCD.
Repair required. Contact your local
Siemens representative.
General Fault Codes (cont’d)
Code
/Icon Meaning Corrective Action

Page 134 SITRANS LR560 (FF)– INSTRUCTION MANUAL 7ML19985LY01
mmmmm
B: Troubleshooting
Operation Troubleshooting
Operating symptoms, probable causes, and resolutions (continued on next page).
S:94 to
S:97
Device error.
NOTE: Fault text and icons appear only
on LCD.
Repair required. Contact your local
Siemens representative.
S:98 to
S:108
Device error.
NOTE: Fault text and icons appear only
on LCD.
Repair required. Contact your local
Siemens representative.
Operation Troubleshooting
Symptom Cause Action
Display shows
S: 0 LOE
Level or target is out of
range
• check specifications
•check Low Calibration Point (2.3.5.1.)
Display shows
S: 0 LOE
Material build-up on
antenna
• use the air purge feature to clean the
antenna
• re-locate SITRANS LR560
Display shows
S: 0 LOE
Location or aiming:
• poor installation
• flange not level
• Auto False Echo
Suppression may be
incorrectly applied
• check to ensure nozzle is vertical
• ensure end of antenna protrudes
from end of nozzle
• review Auto False Echo Suppression
(2.4.8.1.) on page 100
• ensure Auto Suppression Range is
set correctly
Display shows
S: 0 LOE
Antenna malfunction:
• temperature too high
• physical damage
• check temperature in Maximum
Value (3.4.2.)
•relocate
General Fault Codes (cont’d)
Code
/Icon Meaning Corrective Action

7ML19985LY01 SITRANS LR560 (FF) – INSTRUCTION MANUAL Page 135
mmmmm
B: Troubleshooting
Reading does not
change, but the level
does
SITRANS LR560 process-
ing wrong echo, i.e. vessel
wall, or structural member
• re-locate SITRANS LR560
• check nozzle for internal burrs or
welds
•use Auto False Echo Suppression
(2.4.8.1.) if necessary: see Auto False
Echo Suppression (2.4.8.1.) on page
100
Measurement is con-
sistently off by a con-
stant amount
• setting for Low
Calibration Point (2.3.5.1.)
not correct
• setting for Sensor Offset
(2.3.5.3.) not correct
• check distance from sensor
reference point to Low Calibration
Point (2.3.5.1.)
•check Sensor Offset (2.3.5.3.)
Screen blank
Power error • check nameplate rating against
voltage supply
• check power wiring or source
Reading erratic Echo confidence weak • refer to Confidence (2.4.7.1.)
•use Auto False Echo Suppression
(2.4.8.1.) and Auto False Echo
Suppression Range (2.4.8.2.)
• use foam deflector or stillpipe
Material filling • re-locate SITRANS LR560
Reading response
slow
Fill Rate/Min (2.3.6.2.) set-
ting is incorrect
• increase measurement response if
possible
Reads correctly but
occasionally reads
high when vessel is
not full
• detecting close range
echo
• build up near top of
vessel or nozzle
• nozzle problem
• use the air purge feature to clean the
antenna
•use Auto False Echo Suppression
(2.4.8.1.) and Auto False Echo
Suppression Range (2.4.8.2.)
Level reading lower
than material level
• material is within Near
Range zone
• multiple echoes
processed
• decrease Near Range (2.4.1.):
minimum value depends on antenna
type
• raise SITRANS LR560
• ensure Algorithm (2.4.5.1.) is set to tF
(trueFirst echo)
• vessel near empty and
low dK material
•set Position Detect (2.4.5.2.) to Hybrid
• check the setting for CLEF Range
(2.4.5.4.)
Operation Troubleshooting (cont’d)
Symptom Cause Action

Page 136 SITRANS LR560 (FF)– INSTRUCTION MANUAL 7ML19985LY01
mmmmm
C: Maintenance
Appendix C: Maintenance
SITRANS LR560 requires no maintenance or cleaning under normal operating conditions.
Under severe operating conditions, the antenna may require periodic cleaning. If
cleaning becomes necessary:
• Note the antenna material and the process medium, and select a cleaning
solution that will not react adversely with either.
• Remove the instrument from service and wipe the antenna clean using a cloth
and suitable cleaning solution.
Unit Repair and Excluded Liability
All changes and repairs must be done by qualified personnel, and applicable safety
regulations must be followed. Please note the following:
• The user is responsible for all changes and repairs made to the device.
• All new components must be provided by Siemens Milltronics Process Instruments
Inc.
• Restrict repair to faulty components only.
• Do not re-use faulty components.

7ML19985LY01 SITRANS LR560 (FF) – INSTRUCTION MANUAL Page 137
mmmmm
D: Technical Reference
Appendix D: Technical Reference
Principles of Operation
SITRANS LR560 is a 2-wire 78 GHz FMCW radar level transmitter for continuous
monitoring of solids in vessels1). Radar level measurement uses the time of flight
principle to determine distance to a material surface.
FMCW radar transmits a continuous wave. The frequency of the wave is constantly
increasing: this is known as the sweep. By the time the first part of the wave has been
reflected off the target and returned to the device, the part of the wave that is just being
emitted is at a higher frequency. The difference in frequency between the transmitted and
received signals is proportional to time of flight.
Electromagnetic wave propagation is virtually unaffected by temperature or pressure
changes, or by changes in the vapor levels inside a vessel. Electromagnetic waves are
not attenuated by dust.
SITRANS LR560 consists of an enclosed electronic circuit coupled to an antenna and
process connection. The electronic circuit generates a radar signal (78 GHz) that is
directed to the antenna.
The signal is emitted from the antenna, and the reflected echoes are digitally converted
to an echo profile. The profile is analyzed to determine the distance from the sensor
reference point2) to the material surface. This value (sensor value) is used as a basis for
calculating the display of material level.
Process Variables
The Process Variables are sensor value and measured value. Sensor value is the
distance from the sensor reference point (flange face) to the material surface. Since
LR560 does not support Volume, the Measured value can be either Level (distance from
low calibration point to material surface), or Distance (distance from sensor reference
point to the material surface).
Note: Where the number follows the parameter name [for example, Algorithm (2.4.5.1.)]
this is the parameter access number via the handheld programmer. See
Parameter
Reference
on page 86 for a complete list of parameters.
1) The microwave output level is significantly less than that emitted from cellular phones.
2) See
Dimensions
on page 12.

Page 138 SITRANS LR560 (FF)– INSTRUCTION MANUAL 7ML19985LY01
mmmmm
D: Technical Reference
Echo Processing
Process Intelligence
The signal processing technology embedded in Siemens radar level devices is known as
Process Intelligence.
Process intelligence provides high measurement reliability regardless of the dynamically
changing conditions within the vessel being monitored. The embedded Process
Intelligence dynamically adjusts to the constantly changing material surfaces within
these vessels.
Process Intelligence is able to differentiate between the true microwave reflections from
the surface of the material and unwanted reflections being returned from obstructions
such as seam welds or supports within a vessel. The result is repeatable, fast and
reliable measurement. This technology was developed as result of field data gained over
some twenty years from more than 1,000,000 installations in many industries around the
world.
Higher order mathematical techniques and algorithms are used to provide intelligent
processing of microwave reflection profiles. This “knowledge based” technique
produces superior performance and reliability.
Echo Selection
Time Varying Threshold (TVT)
A Time Varying Threshold (TVT) hovers
above the echo profile to screen out
unwanted reflections (false echoes).
In most cases the material echo is the
only one which rises above the default
TVT.
In a vessel with obstructions, a false
echo may occur. See
Auto False Echo
Suppression (2.4.8.1.)
on page 142 for
more details.
The device characterizes all echoes that
rise above the TVT as potential good echoes. Each peak is assigned a rating based on its
strength, area, height above the TVT, and reliability, amongst other characteristics.
Algorithm (2.4.5.1.)
The true echo is selected based on the setting for the Echo selection algorithm. Options
are Area Largest First, Echo Area, Largest Echo, True First, Area Largest, Area First,
Largest First, Best of First or Largest, Best Largest, Best First, or LAST.
default TVT
material
level
echo marker
echo profile

7ML19985LY01 SITRANS LR560 (FF) – INSTRUCTION MANUAL Page 139
mmmmm
D: Technical Reference
Position Detect (2.4.5.2.)
The echo position detection algorithm determines which point on the echo will be used to
calculate the precise time of flight, and calculates the range using the calibrated
propagation velocity. There are four options:
• Rising
•Center
•Hybrid
• CLEF (Constrained Leading Edge Fit)
Rising
Uses rising edge of the echo.
Center
Uses center of the echo.
Hybrid
Uses combination of Center and CLEF.
CLEF (Constrained Leading Edge Fit)
• Uses the leading edge of the echo.
• Is used mainly to process the echo from materials with a low dK value.
In an almost empty flat-bottomed vessel, a low dK material may reflect an echo weaker
than the echo from the vessel bottom. The echo profile shows these echoes merging. The
device may then report a material level equal to or lower than empty
The CLEF algorithm enables the device to report the level correctly.
See
Example: CLEF off: Position set to Hybrid
on page 140

Page 140 SITRANS LR560 (FF)– INSTRUCTION MANUAL 7ML19985LY01
mmmmm
D: Technical Reference
Example: CLEF off: Position set to Hybrid
Example: CLEF enabled
default TVT vessel
bottom
echo
selected
material
echo echo
marker
Vessel height: 5 m; CLEF range set to 0 (Center algorithm gives the same result.)
default TVT
vessel
bottom
echo
material
echo
selected
echo marker
Vessel height: 5 m; Far Range 5.5 m; CLEF range set to 1 m

7ML19985LY01 SITRANS LR560 (FF) – INSTRUCTION MANUAL Page 141
mmmmm
D: Technical Reference
CLEF Range (2.4.5.4.)
Determines the level below which the CLEF algorithm will be used. Above this level the
Center algorithm is used when Hybrid is selected in Position Detect (2.4.5.2.).
CLEF Range is referenced from Far Range.96
Echo Threshold (2.4.5.3.)
Confidence (2.4.7.1.) describes the quality of an echo. Higher values represent higher
quality. Echo Threshold defines the minimum confidence value required for an echo to be
accepted as valid and evaluated.
Echo Lock (2.4.6.1.)
If the echo selected by Algorithm is within the Echo Lock window, the window is centered
about the echo, which is used to derive the measurement. In radar applications, two
measurement verification options are used:
Lock Off
SITRANS LR560 responds immediately to a new selected echo (within the restrictions set
by the Maximum Fill / Empty Rate), but measurement reliability is affected.
Material Agitator
A new measurement outside the Echo Lock Window must meet the sampling criteria
before the window will move to include it.
The other available options, Maximum Verification and Total Lock are not recommended
for radar.
sensor
reference
point
CLEF Range Low Calibration
Point
Far
Range

Page 142 SITRANS LR560 (FF)– INSTRUCTION MANUAL 7ML19985LY01
mmmmm
D: Technical Reference
Auto False Echo Suppression (2.4.8.1.)
Auto False Echo Suppression is designed to learn a specific environment (for example, a
particular vessel with known obstructions), and in conjunction with Auto False Echo
Suppression Range to remove false echoes appearing in front of the material echo.
The material level should be below all known obstructions at the moment when Auto
False Echo Suppression learns the echo profile. Ideally the vessel should be empty or
almost empty, and if an agitator is present, it should be running.
The device learns the echo profile over the whole measurement range and the TVT is
shaped around all echoes present at that moment.
Auto False Echo Suppression Range (2.4.8.2.)
Auto False Echo Suppression Range specifies the range within which the learned TVT is
applied. Default TVT is applied over the remainder of the range.
The learned TVT screens out the false echoes caused by obstructions. The default TVT
allows the material echo to rise above it.
Auto False Echo Suppression Range must be set to a distance shorter than the distance
to the material level when the environment was learned, to avoid the material echo being
screened out.
Notes:
• To access this feature via AMS see
TVT
on page 54.
• For detailed instructions on using this feature via the handheld programmer see
Auto False Echo Suppression (2.4.8.1.) on page 100.
High Cal. Pt.
= 1
obstruction
at 1.9 m
material level at
3.9 m
false
echo material
echo
default
TVT
sensor reference point
Example before Auto False Echo Suppression

7ML19985LY01 SITRANS LR560 (FF) – INSTRUCTION MANUAL Page 143
mmmmm
D: Technical Reference
Measurement Range
Near Range (2.4.1.)
Near Range programs SITRANS LR560 to ignore the zone in front of the antenna. The
default blanking distance is 27.8 cm (0.91 ft) from the sensor reference point.
Near Range allows you to increase the blanking value from its factory default. But Auto
False Echo Suppression (2.4.8.1.) is generally recommended in preference to extending
the blanking distance from factory values.
Far Range (2.4.2.)
Far Range allows the echo processing to see and process signals that are lower than the
Low Calibration setting.
Potential uses are:
• In applications where the base of the vessel is conical or parabolic. A reliable echo
may be available below the vessel empty distance, due to an indirect reflection
path. Increasing Far Range to 30% or 40% can provide stable empty vessel readings.
• Where Low Calibration setting is above vessel empty level, but the vessel is emptied
occasionally. In this case the echo will be tracked below the Low Calibration setting
and the device will maintain a zero level reading.
Example after Auto False Echo Suppression
learned
TVT
material echo
false echo echo marker
Auto False Echo
Suppression
Range set to 2 m
Auto False Echo
Suppression Range
default
TVT

Page 144 SITRANS LR560 (FF)– INSTRUCTION MANUAL 7ML19985LY01
mmmmm
D: Technical Reference
Measurement Response
Response Rate (2.3.6.1.) limits the maximum rate at which the display and output respond
to changes in the measurement. There are three preset options: slow, medium, and fast.
Once the real process fill/empty rate (m/min by default) is established, a response rate
can be selected that is slightly higher than the application rate. Changing Response Rate
resets Fill Rate/Min (2.3.6.2.), and Empty rate/Min (2.3.6.3.).
Damping
Filter Time Constant (2.5.7.1.) smooths out the response to a sudden change in level. This
is an exponential filter and the engineering unit is always in seconds.
In 5 time constants the output rises exponentially: from 63.2% of the change in the first
time constant, to almost 100% of the change by the end of the 5th time constant.
Loss of Echo (LOE)
A loss of echo (LOE) occurs when the calculated measurement is judged to be unreliable
because the echo confidence value has dropped below the echo confidence threshold.
Confidence (2.4.7.1.) describes the quality of an echo. Higher values represent higher
quality.
Echo Threshold (2.4.5.3.) defines the minimum confidence value required for an echo to
be accepted as valid and evaluated.
Note: Units are defined in Unit (2.3.1.) and are in meters by default.
Response Rate
(2.3.6.1.) Fill Rate/Min (2.3.6.2.)/Empty rate/Min (2.3.6.3.)
Slow 0.1 m/min (0.32 ft/min)
*Medium 1.0 m/min (3.28 ft/min)
Fast 10.0 m/min (32.8 ft/min)
0
0.5
1
1.5
2
2.5
3
3.5
4
4.5
1234567
Series1 Series2
Level (m)
Time (s)
smoothed output
input (level)
Damping example
time constant = 2 seconds
input (level) change = 2 m

7ML19985LY01 SITRANS LR560 (FF) – INSTRUCTION MANUAL Page 145
mmmmm
D: Technical Reference
If the LOE condition persists beyond the time limit set in Loss of Echo (LOE) Timer
(2.3.4.) the LCD displays the Maintenance Alarm icon, and the text region displays the
fault code S: 0 and the text LOE.
If two faults are present at the same time, the fault code, error text, and error icon for
each fault are displayed alternately. For example, Loss of Echo and faulty power supply:
S: 0 LOE S: 2 NO TECH POWER
Upon receiving a reliable echo, the loss of echo condition is aborted, the Maintenance
Alarm icon and error message are cleared, and the reading returns to the current level.
Loss of Echo (LOE) Timer (2.3.4.)
LOE Timer determines the length of time a Loss of Echo (LOE) condition will persist
before the function block will show a status of BAD or UNCERTAIN. The default is
100.000 seconds.
Temperature derating curves
WARNINGS:
• Never attempt to loosen, remove or disassemble process connection
or instrument housing while vessel contents are under pressure.
• This product is not intended for use as a safety device per Directive
97/ 23 / EC
• The user is responsible for the selection of bolting and gasket
materials which will fall within the limits of the flange and its intended
use and which are suitable for the service conditions.
• Improper installation may result in loss of process pressure.
ambient temperature
–40 °C to 80 °C
(–40 °F to 176 °F)
process temperature:
–40 to +100 °C (–40 to +212 °F) or
–40 to +200 °C (–40 to +392 °F) depending on the version

Page 146 SITRANS LR560 (FF)– INSTRUCTION MANUAL 7ML19985LY01
mmmmm
D: Technical Reference
Temperature De-Rating
Process Temperature (°C)
Ambient Temperature (°C)
high temperature
version
standard
version

7ML19985LY01 SITRANS LR560 (FF) – INSTRUCTION MANUAL Page 147
mmmmm
Communications
Appendix E: Communications
Foundation Fieldbus (FF) Protocol
SITRANS LR560 (FF) is a class 3IPS, 32L FF (H1) device. It supports publish and subscribe
functionality as well as Backup LAS functionality. The full range of SITRANS LR560
functions is available only over an FF network.
Foundation Fieldbus is an open industrial protocol. Full details about FF can be obtained
from Fieldbus Foundation at www.fieldbus.org.
For details on the use of Foundation Fieldbus protocol with Siemens FF level instruments,
see
Foundation Fieldbus (FF) Communications Instruction Manual
(7ML19985MP01)
.
The
manual is available on the CD of Siemens manuals, included in the box with your Siemens
level instrument, or for other Siemens level measurement manuals, go to:
www.siemens.com/level, and look under Level Measurement.
Field Communicator 375 (FC375)
SITRANS LR560 (FF) supports Field Communicator 375 (FC375). The FC375 menu structure
is almost identical to the menu structure for AMS Device Manager (see
AMS Menu
Structure
on page 75.)

Page 148 SITRANS LR560 (FF) – INSTRUCTION MANUAL 7ML19985LY01
mmmmm
F: Firmtware Revision
Appendix F: Firmware Revision History
Firmware
Rev.
EDD
Rev.
Date
(EDD/MM/YYYY) Changes
1.00.00 1.00.00 21 June, 2010 • Initial release.

7ML19985LY01 SITRANS LR560 (FF) – INSTRUCTION MANUAL Page 149
mmmmm
Glossary
Glossary
accuracy: degree of conformity of a measure to a standard or a true value.
agitator: mechanical apparatus for mixing or aerating. A device for creating turbulence.
algorithm: a prescribed set of well-defined rules or processes for the solution of a problem in a
finite number of steps.
ambient temperature: the temperature of the surrounding air that comes in contact with the
enclosure of the device.
antenna: an aerial which sends out and receives a signal in a specific direction. There are four
basic types of antenna in radar level measurement, horn, parabolic, rod, and waveguide.
Auto False-Echo Suppression: a technique used to adjust the level of a custom TVT curve to
avoid the reading of false echoes. (See TVT.)
Auto False-Echo Suppression Range: defines the endpoint of the Learned TVT distance. (See
TVT.) This is used in conjunction with auto false echo suppression.
beam angle: the angle diametrically subtended by the one-half power limits (-3 dB) of the
microwave beam.
blanking: a blind zone extending away from the reference point plus any additional shield
length.The instrument is programmed to ignore this zone.
capacitance: the property of a system of conductors and dielectrics that permits the storage of
electricity when potential differences exist between the conductors. Its value is
expressed as the ratio of a quantity of electricity to a potential difference, and the unit is a
Farad.
confidence: see Echo Confidence
damping: term applied to the performance of an instrument to denote the manner in which the
measurement settles to its steady indication after a change in the value of the level.
dB (decibel): a unit used to measure the amplitude of signals.
derating: to decrease a rating suitable for normal conditions according to guidelines specified
for different conditions.
dielectric: a nonconductor of direct electric current.
dielectric constant (DK): the ability of a dielectric to store electrical potential energy under the
influence of an electric field. Also known as Relative Permittivity. An increase in the
dielectric constant is directly proportional to an increase in signal amplitude. The value is
usually given relative to a vacuum /dry air: the dielectric constant of air is 1.1)
echo: a signal that has been reflected with sufficient magnitude and delay to be perceived in
some manner as a signal distinct from that directly transmitted. Echoes are frequently
measured in decibels relative to the directly transmitted signal.

Page 150 SITRANS LR560 (FF) – INSTRUCTION MANUAL 7ML19985LY01
mmmmm
Glossary
Echo Confidence: describes the quality of an echo. Higher values represent higher quality.
Echo threshold defines the minimum value required for an echo to be accepted as valid
and evaluated.
Echo Lock Window: a window centered on an echo in order to locate and display the echo’s
position and true reading. Echoes outside the window are not immediately processed.
Echo Marker: a marker that points to the processed echo.
Echo Processing: the process by which the radar unit determines echoes.
Echo Strength: describes the strength of the selected echo in dB above 1 μV rms.
Echo Profile: a graphical display of a processed echo.
false echo: any echo which is not the echo from the desired target. Generally, false echoes are
created by vessel obstructions.
frequency: the number of periods occurring per unit time. Frequency may be stated in cycles
per second.
hertz (Hz): unit of frequency, one cycle per second. 1 Gigahertz (GHz) is equal to 109 Hz.
inductance: the property of an electric circuit by virtue of which a varying current induces an
electromotive force in that circuit or in a neighboring circuit. The unit is a Henry.
Local Display Interface (LDI): the removable LCD display with push buttons
local user interface (LUI): view outputs via LCD display and make modifications using either
the display push buttons or the handheld programmer
multiple echoes: secondary echoes that appear as double, triple, or quadruple echoes in the
distance from the target echo.
Near Blanking: see Blanking
nozzle: a length of pipe mounted onto a vessel that supports the flange.
parameters: in programming, variables that are given constant values for specific purposes or
processes.
polarization: the property of a radiated electromagnetic wave describing the time-varying
direction and amplitude of the electric field vector.
pulse radar: a radar type that directly measures distance using short microwave pulses.
Distance is determined by the return transit time.

7ML19985LY01 SITRANS LR560 (FF) – INSTRUCTION MANUAL Page 151
mmmmm
Glossary
radar: radar is an acronym for RAdio Detection And Ranging. A device that radiates
electromagnetic waves and utilizes the reflection of such waves from distant objects to
determine their existence or position.
range: distance between a transmitter and a target.
range extension: the distance below the zero percent or empty point in a vessel.
repeatability: the closeness of agreement among repeated measurements of the same
variable under the same conditions.
shot: one transmit pulse or measurement.
TVT (time varying threshold): a time-varying curve that determines the threshold level above
which echoes are determined to be valid.

Page 152 SITRANS LR560 (FF) – INSTRUCTION MANUAL 7ML19985LY01
mmmmm
Glossary
Notes

7ML19985LY01 SITRANS LR560 (FF) – INSTRUCTION MANUAL Page 153
mmmmm
Index
Index
A
abbreviations
list 4
access control
see security 121
activating LR560 30
Algorithm
use 138
Auto False Echo Suppression
explanation 142
setup 100
B
blanking (see Near Range) 143
C
cables
requirements 23
Calibration Schedule 117
cleaning
instructions 136
conduits
requirements 23
D
device address
viewing locally 39
device nameplate
Hazardous (ATEX/IECEx/C-TICK) 28
Hazardous (FM/CSA) 28
Device Reset 110
factory defaults 110
standard defaults 110
Diagnostics 108
E
echo profile viewing
locally 39
echo selection
Algorithm 138
Position Detect 139
edit mode
handheld programmer 34
key functions 35
enable/disable remote operation 121
F
factory defaults 110
Far Range
explanation 143
function keys
measurement mode 32
navigation mode 33
H
handheld programmer
edit mode 34
measurement mode 32
navigation 33
hazardous area installations
wiring requirements 26
I
identifications and abbreviations
list 4
installation
hazardous area requirements 26
requirements 17
warnings and notes 17
K
key functions
edit mode 35
L
LCD display
echo profile viewing 39
measurement mode 31
PROGRAM mode 31
LDI (Local Display Interface) 30
Local Display Interface (LDI) 30
benefits of 7
Loss of Echo (LOE)
explanation 144
M
maintenance
calibration schedule 117
cleaning 136
service schedule 115
maintenance settings 108
Master Reset
factory defaults via LUI 110
mounting
nozzle design 17
nozzle location 17
sunshield recommended 18
N
nameplate
Hazardous (ATEX/IECEx/C-TICK) 28
Hazardous (FM/CSA) 28
Near Range
explanation 143
O
operating principles 137

Page 154 SITRANS LR560 (FF) – INSTRUCTION MANUAL 7ML19985LY01
mmmmm
Index
P
password protection
via AMS 74
programmer
handheld 32
Q
Quick 36
Quick Start Wizard
locally 36
R
repair
cautions 136
excluded liability 136
resets
Device Reset 110
S
safety notes 1
Scan Device
synchronize parameters via AMS 43
security
local access control via AMS 67
password protection via AMS 74
remote access control 121
Service Schedule 115
settings
adjust parameters locally 32, 34
Simulation
input 51
SITRANS LR250
operating principles 137
SITRANS LR560
overview 6
startup
transition screen 30
Support
contact information 4
synchronize parameters
scan device via AMS 43
T
temperature de-Rating
curves 145
troubleshooting
operation 134
W
Wear
Powered Hours, Power-on Resets 119
wiring
cables 23
hazardous areas 26
Write Protection 122

SITRANS LR560 (FF) – INSTRUCTION MANUAL Page 155 SITRANS LR560 (FF) – INSTRUCTION MANUAL 7ML19985LY01
Appendix C: menu chart
LCD Menu Structure

Page 156 SITRANS LR560 (FF) – INSTRUCTION MANUAL SITRANS LR560 (FF) – INSTRUCTION MANUAL 7ML19985LY01
Appendix C: menu chart
LCD Menu Structure
LEVEL METER
1. QUICK START
1.1 QUICK START WIZ
VESSEL
RESPONSE RATE
UNITS
LOW CALIB. PT.
HIGH CALIB. PT.
1.2 AFES WIZ
AUTO SUPP RANGE
LEARN TVT
1.3 CPY PAR TO DISPL..
1.4 CPY PAR FROM DIS..
1.5 CPY FW TO DISPL..
1.6 CPY FW FROM DIS..
2. SETUP
2.1 IDENTIFICATION
2.1.1 TAG
2.1.2 DESCRIPTOR
2.1.3 MESSAGE
2.1.4 INSTAL. DATE
2.2 DEVICE
2.2.1 HARDWARE REV
2.2.2 FIRMWARE REV
2.2.3 LOADER REV
2.2.4 MANUF. DATE
2.3 SENSOR
2.3.1 UNIT
2.3.2 LEVEL UNIT
2.3.3 TEMP UNITS
2.3.4 LOE TIMER
2.3.5 CALIBRATION
2.3.5.1 LOW CALIB. PT.
2.3.5.2 HIGH CALIB. PT.
2.3.5.3 SENSOR OFFSET
2.3.5.4 LOW LEVEL POINT
2.3.5.5 HIGH LEVEL POINT
2.3.5.6 LEVEL OFFSET
2.3.6 RATE 2.3.6.1 RESPONSE RATE
2.3.6.2 FILL RATE/MIN
2.3.6.3 EMPTY RATE/MIN
2.4 SIGNAL PROC.
2.4.1 NEAR RANGE
2.4.2 FAR RANGE
2.4.3 MIN SENSOR VAL
2.4.4 MAX SENSOR VAL
2.4.5 ECHO SELECT
2.4.5.1 ALGORITHM
2.4.5.2 POS. DETECT
2.4.5.3 ECHO THRESHOLD
2.4.5.4 CLEF RANGE
2.4.5.5 ECHO MARKER
2.4.6 SAMPLING
2.4.6.1 ECHO LOCK
2.4.6.2 UP SAMP.
2.4.6.3 DOWN SAMP.
2.4.6.4 ECHO LOCK WINDOW
2.4.7 ECHO QUALITY
2.4.7.1 CONFIDENCE
2.4.7.2 ECHO STRENGTH
2.4.8 TVT SETUP
2.4.8.1 AUTO ECHO SUPP
2.4.8.2 AUTO SUPP RANGE
2.4.8.3 HOVER LEVEL
2.4.8.4 SHAPER MODE
2.4.9 TVT SHAPER
2.4.9.1 BRKPT. 1-9
2.4.9.2 BRKPT. 10-18
2.4.9.3 BRKPT. 19-27
2.4.9.4 BRKPT. 28-36
2.4.9.5 BRKPT. 37-45
2.4.9.6 BRKPT. 46-54
2.4.9.7 BRKPT. 55-63
2.4.9.8 BRKPT. 64-72
2.4.9.9 BRKPT. 73-81
2.4.9.10 BRKPT. 82-90
2.4.9.11 BRKPT. 91-99
2.4.9.12 BRKPT. 100-108
2.4.9.13 BRKPT. 109-117
2.4.9.14 BRKPT. 118-120
2.5 AIFB 1
2.5.1 STATIC REV. NO.
2.5.2 MODE
2.5.3 CHANNEL
2.5.4 INPUT SCALING
2.5.4.1 LOWER VALUE
2.5.4.2 UPPER VALUE
2.5.4.3 UNIT
2.5.4.4 DECIMAL POINT
2.5.5 OUTPUT SCALING
2.5.5.1 LOWER VALUE
2.5.5.2 UPPER VALUE
2.5.5.3 UNIT
2.5.5.4 DECIMAL POINT
2.5.6 ALARMS & WARNI..
2.5.6.1 HI LIMIT ALARM
2.5.6.2 HI LIMIT WARN
2.5.6.3 LO LIMIT WARN
2.5.6.4 LO LIMIT ALARM
2.5.6.5 LIMIT HYSTERESI..
2.5.7 DISPLAY2.5.7.1 FILTER TIME CONS..
Notes:
• In Navigation mode ARROW keys navigate the menu in the
direction of the arrow..
• See
Parameter Reference (LUI)
on page 92
for detailed
descriptions.
2. SETUP (cont’d)

SITRANS LR560 (FF) – INSTRUCTION MANUAL Page 157 SITRANS LR560 (FF) – INSTRUCTION MANUAL 7ML19985LY01
Appendix C: menu chart
2.6 AIFB 2 2.6.1 STATIC REV. NO.
2.6.2 MODE
2.6.3 CHANNEL
2.6.4 INPUT SCALING
2.6.4.1 LOWER VALUE
2.6.4.2 UPPER VALUE
2.6.4.3 UNIT
2.6.4.4 DECIMAL POINT
2.6.5 OUTPUT SCALING
2.6.5.1 LOWER VALUE
2.6.5.2 UPPER VALUE
2.6.5.3 UNIT
2.6.5.4 DECIMAL POINT
2.6.6 ALARMS & WARNI..
2.6.6.1 HI LIMIT ALARM
2.6.6.2 HI LIMIT WARN
2.6.6.3 LO LIMIT WARN
2.6.6.4 LO LIMIT ALARM
2.6.6.5 LIMIT HYSTERESI..
2.6.7 DISPLAY 2.6.7.1 FILTER TIME CONS..
2.7 MEAS. VALUES
2.7.1 MAIN OUTPUT
2.7.2 O/P NO LINEAR
2.7.3 O/P NO OFFSETS
2.8 FILTERING
2.8.1 NARROW ECHO FIL..
2.8.2 REFORM ECHO
2.8.3 AVG AMOUNT
3. DIAGNOSTICS
3.1 ECHO PROFILE
3.2 FAULT RESET
3.3 TREND
3.4 ELECT. TEMP.
3.4.1 MIN. VALUE
3.4.2 MAX. VALUE
3.5 PEAK VALUES
3.5.1 MIN MEAS. VALUE
3.5.2 MAX MEAS. VALUE
4. SERVICE
4.1 MASTER RESET
4.2 REMAIN. DEV. LIFE
4.2.1 LIFETIME EXPECT..
4.2.2 TIME IN OPER.
4.2.3 REMAIN. LIFETIM..
4.2.4 REMINDER ACTIV.
4.2.5 REMIND. 1 (REQ.)
4.2.6 REMIND. 2 (DEM.).
4.2.7 MAINT STAT
4.2.8 ACK STATUS
4.2.9 ACK
4.3 REMAIN SENS LIFE
4.3.1 LIFETIME EXPECT..
4.3.2 TIME IN OPER.
4.3.3 REMAIN. LIFETIM..
4.3.4 REMINDER ACTIV.
4.3.5 REMIND. 1 (REQ.)
4.3.6 REMIND. 2 (DEM.).
4.3.7 MAINT STAT
4.3.8 ACK STATUS
4.3.9 ACK
4.4 SERVICE SCHED.
4.4.1 SERV. INTERVAL
4.4.2 TIME LAST SERV
4.4.3 TIME NEXT SERVI..
4.4.4 REMINDER ACTIV.
4.4.5 REMIND. 1 (REQ.)
4.4.6 REMIND. 2 (DEM.)
4.4.7 MAINT STAT
4.4.8 ACK STATUS
4.4.9 ACK
4.5 CALIB. SCHED.
4.5.1 CALIB. INTERVAL
4.5.2 TIME LAST CALIB
4.5.3 TIME NEXT CALIB
4.5.4 REMINDER ACTIV.
4.5.5 REMIND. 1 (REQ.)
4.5.6 REMIND. 2 (DEM.)
4.5.7 MAINT STAT
4.5.8 ACK STATUS
4.5.9 ACK
4.6 POWERED HOURS
4.7 POWERON RESETS
4.8 MENU TIMEOUT
4.9 LCD BACKLIGHT
4.10 LCD CONTRAST
4.11 SECONDARY VALUE
4.12 SIMULATE ENABLE
4.13 DEMO MODE
5. COMMUNICATION
5.1 TAG
5.2 DEVICE ADDRESS
5.3 MANUFACTURER
5.4 DEVICE TYPE ID
5.5 DEVICE REVISION
5.6 ITK VERSION
6. SECURITY
6.1 REMOTE ACCESS
6.1.1 REMOTE LOCKOUT
6.2 LOCAL ACCESS
6.2.1 WRITE PROTECTION
6.2.2 LOCAL OPERATION
7. LANGUAGE
2. SETUP (cont’d) 4. SERVICE (cont’d)

SITRANS LR560 (FF) – INSTRUCTION MANUAL Page 158 SITRANS LR560 (FF) – INSTRUCTION MANUAL 7ML19985LY01
Appendix C: menu chart

www.siemens.com/processautomation
Printed in Canada
*7ml19985LY01*
www.siemens.com/continuous-weighing
www.siemens.com/level
For more information
www.siemens.com/processautomation
Siemens Milltronics Process Instruments Inc.
Industry Automation (IA)
1954 Technology Drive
P.O. Box 4225
Peterborough, ON
Canada K9J 7B1
Subject to change without prior notice
7ML19985LY01 Rev. 1.0-02
email: techpubs.smpi@siemens.com
© Siemens Milltronics Process Instruments Inc. 2010