Thomson Broadcast and Multimedia ULT-1K10K2 UHF Digital transmitter, for use with MediaFlo User Manual PREIMPAP

Thomson Broadcast & Multimedia, Inc. UHF Digital transmitter, for use with MediaFlo PREIMPAP

User Manual part 1

 Di5K2 DD, MEDIAFLO SMOperation and User Manual  gital Liquid Cooled UHF TV Equipment IRIUS  12089 45321648.01  108  B    E Numéro / Number Doc. Rev. Langu. : 33 (1) 34.90.32.55 Checked: hotline@thales-bm.com  27/06/2006 9932 V2
 Information contained is this document is confidential, is THOMSON property and cannot be disclosed in whatever form without prior written authorization of THOMSON. Table of content 1. Exploitation .......................................................................................................6 1.1. Navigating the PCLwindows ......................................................................... 6 1.2. Where to find operational parameters........................................................ 11 1.2.1. Transmitter configuration parameters........................................................ 11 1.2.2. Transmitter operational parameters .......................................................... 12 1.2.3. Adjustable parameters............................................................................... 12 1.2.4. Measurements ........................................................................................... 13 1.2.5. Status conditions of main transmitter elements......................................... 14 1.3. Procedure for changing configuration parameters................................... 15 1.4. Procedure for inserting Ethernet network parameters ............................. 19 1.5. Procedure to activate  "SNMP" or "WEB" agent ....................................... 21 1.6. Procedures for adjusting or changing operational parameters............... 23 1.6.1. Procedure to call the maintenance mode .................................................. 23 1.6.2. Procedure for adjusting the calibrated transmitter power.......................... 23 1.6.3. Procedure for adjusting the required transmitter power ............................ 24 1.6.4. Procedure for changing the modulator input ............................................. 25 1.6.5. Procedure for changing the configuration of the Adaptation parameters (ALE and LUT)........................................................................................... 26 1.6.6. Procedure for changing the configuration parameters of the OLDC card .26 1.6.7. Procedure for changing the frequency of the RF synthesiser ................... 27 1.6.8. Procedure for changing ripple and shoulder threshold settings in maintenance mode .................................................................................... 27 1.6.9. Procedure for changing the threshold settings of the OLDC card............. 28 1.6.10. Procedure for changing RF digital power threshold settings for triggering alarm and fault signals............................................................................... 28 1.6.11. Procedures for changing quality thresholds .............................................. 29 1.6.12. Procedure for setting the time and the date .............................................. 29 1.7. Procedure for changing the PCL password............................................... 30 1.8. Procedures for changing a status condition or transmitter operating mode .............................................................................................................. 31 1.8.1. Procedure for lock to unlock the PCL ........................................................ 31 1.8.2. Selection of transmitter operation mode.................................................... 32 1.8.3. Manuel change over of exciter .................................................................. 32 9932 V2  45321648.01  108  B    E  Checked  ii  Numéro / Number Doc. Rev. Langu. 27/06/2006 Page
 Information contained is this document is confidential, is THOMSON property and cannot be disclosed in whatever form without prior written authorization of THOMSON. 1.8.4. Selection of exciter changeover mode ...................................................... 33 1.8.5. Selection of user interface ......................................................................... 33 1.9. Procedure for switching on and off ............................................................ 34 1.9.1. Switching on-air and switching off-air ........................................................ 34 1.9.2. Switching the reserve exciter on and off.................................................... 34 1.10. Procedure for adjusting PCL screen contrast ........................................... 35 1.11. Procedure for transmitter reset................................................................... 36 1.12. Procedure for using maintenance information.......................................... 37 1.12.1. Display of faults and status conditions ...................................................... 37 1.12.2. Access to logbook...................................................................................... 39 2. Use of commands and description of indicators .........................................40 2.1. Use and description of control panel screens........................................... 40 2.1.1. Outline........................................................................................................ 40 2.1.2. Installation windows................................................................................... 42 2.1.3. Warning windows....................................................................................... 53 2.1.4. "TRANSMITTER STATUS" window .......................................................... 57 2.1.5. "STATUS" window ..................................................................................... 61 2.1.6. "IDENTIFICATION" window....................................................................... 63 2.1.7. "MODULATOR IDENTIFICATION, Type I" window .................................. 65 2.1.8. "MODULATOR IDENTIFICATION, type II" window................................... 67 2.1.9. "CONTROL Level 1" window..................................................................... 69 2.1.10. "CONTROL MAINT Level 2" window for Maintenance mode.................... 72 2.1.11. "CONTROL MAINT Level 3" window for Maintenance mode.................... 74 2.1.12. "CONTROL MAINT Level 4" window for Maintenance mode (MODAP version ONLY) ........................................................................................... 76 2.1.13. "CONTROL OPER Level 2" window for Normal Mode.............................. 78 2.1.14. "NUMERICAL VALUE" window ................................................................. 80 2.1.15. "RF LEVEL" window .................................................................................. 82 2.1.16. "REQUIRED POWER" window.................................................................. 85 2.1.17. "HOUR COUNTER" window...................................................................... 87 2.1.18. DATE & TIME" window.............................................................................. 89 2.1.19. "RF THRESHOLD" window ....................................................................... 91 2.1.20. "QUALITY THRESHOLD SETTINGS" window ......................................... 93 2.1.21. "COFDM or 8VSB PARAMETERS" window.............................................. 95 2.1.22. "FLO 1 PARAMETERS" window ............................................................... 98 2.1.23. "FLO 2 PARAMETERS" window ............................................................. 100 9932 V2  45321648.01  108  B    E  Checked  iii  Numéro / Number Doc. Rev. Langu. 27/06/2006 Page
 Information contained is this document is confidential, is THOMSON property and cannot be disclosed in whatever form without prior written authorization of THOMSON. 2.1.24. "MISCELLANEOUS" window................................................................... 102 2.1.25. "LOGBOOK" window ............................................................................... 105 2.1.26. "EXCITER Level 1" window, or "EXCITER PANEL" window, MODAP version ONLY .......................................................................................... 107 2.1.27. "EXCITER Level 2" window, MODAP version ONLY .............................. 111 2.1.28. "EXCITER Level 1" window, or "EXCITER PANEL" window, SIRIUS version ONLY .......................................................................................... 113 2.1.29. "EXCITER Level 2" window, SIRIUS version ONLY ............................... 116 2.1.30. "FLO 1  MODULATOR" window .............................................................. 119 2.1.31. "FLO 2  MODULATOR" window .............................................................. 122 2.1.32. "COFDM MODULATOR" window............................................................ 124 2.1.33. "ADAPT PARAMETERS" window ........................................................... 126 2.1.34. "DASI STATUS" window.......................................................................... 129 2.1.35. "OLDC STATUS" window, MODAP version ONLY ................................. 132 2.1.36. "SETTINGS" window, SIRIUS version ONLY.......................................... 134 2.1.37. "RESERVE ADAPTATIVITY SETTINGS" window, SIRIUS version ONLY 136 2.1.38. "PREAMPLI SETTING" window, SIRIUS version ONLY......................... 138 2.1.39. "AGC SETTING" window, SIRIUS version ONLY ................................... 140 2.1.40. "LOCAL/IMAGE REJECT" window, SIRIUS version ONLY .................... 142 2.1.41. "10 MHz ADJUSTEMENT" window, SIRIUS version ONLY ................... 144 2.1.42. "LINEAR CORRECTION CALIBRATION" window, SIRIUS version ONLY 146 2.1.43. "SFN DELAY" window ............................................................................. 148 2.1.44. "MODULATOR CONFIG" window ........................................................... 150 2.1.45. "MODULATOR STATUS" window........................................................... 152 2.1.46. "MODULATOR - MIP" window................................................................. 154 2.1.47. "RF AMPLIFIERS" window, 6 current values (OPTIMUN / ULTIMATE FAMILY) 155 2.1.48. "RF AMPLIFIERS" window, 8 current values (OPTIMUM FAMILY ONLY) 157 2.1.49. "PA LEVELS" window (OPTIMUM AND ULTIMATE FAMILIES ONLY) . 159 2.1.50. "AIR INTERLOCK" window (OPTIMUM AND ULTIMATE FAMILIES ONLY) 161 2.1.51. "LIQUIDE INTERLOCK" window (OPTIMUM AND ULTIMATE FAMILIES ONLY) 164 2.1.52. "POWER SUPPLY" window (OPTIMUM AND ULTIMATE FAMILIES ONLY) 166 2.1.53. "AFFINITY" window (AFFINITY FAMILY ONLY)..................................... 168 2.1.54. "GO HOME AND VIEW INSTALL. PARAMETERS" window .................. 170 2.1.55. "VIEW TRANSMITTER INTERFACE INSTALLATION PARAMETERS" window 173 9932 V2  45321648.01  108  B    E  Checked  iv  Numéro / Number Doc. Rev. Langu. 27/06/2006 Page
 Information contained is this document is confidential, is THOMSON property and cannot be disclosed in whatever form without prior written authorization of THOMSON. 2.1.56. "VIEW CABINET CONFIGURATION INSTALLATION PARAMETERS" window 174 2.1.57. "VIEW ADAPT INSTALLATION PARAMETERS" window ...................... 175 2.1.58. "VIEW ETHERNET INSTALLATION PARAMETERS" window............... 177 2.1.59. Navigating the PCL windows................................................................... 179 2.2. Exciter, SIRIUS............................................................................................ 184 2.2.1. Front panel............................................................................................... 184 2.3. Local control panel..................................................................................... 186 2.3.1. Indicator lamps and message displays.................................................... 186 2.3.2. Adjustment controls ................................................................................. 186 2.3.3. Test points ............................................................................................... 186 2.4. TH860 CPU Card ......................................................................................... 187 2.4.1. Indicator lamps and message displays.................................................... 187 2.4.2. Controls.................................................................................................... 187 2.5. RF amplifier unit ......................................................................................... 188 2.5.1. Indicator lamps and message displays.................................................... 188 2.5.2. Test points ............................................................................................... 189 2.5.3. Adjustment controls ................................................................................. 189 2.6. Power supply unit....................................................................................... 190 2.6.1. Using the commands............................................................................... 190 2.6.2. Indicator lamps and message displays.................................................... 190 2.6.3. Test points ............................................................................................... 190 2.6.4. Adjustment controls ................................................................................. 190 2.7. 860 Cabinet Mains distribution ................................................................. 191 2.7.1. Indicator lamps and message displays.................................................... 191 2.7.2. Test points and adjustment controls........................................................ 191   9932 V2  45321648.01  108  B    E  Checked  v  Numéro / Number Doc. Rev. Langu. 27/06/2006 Page
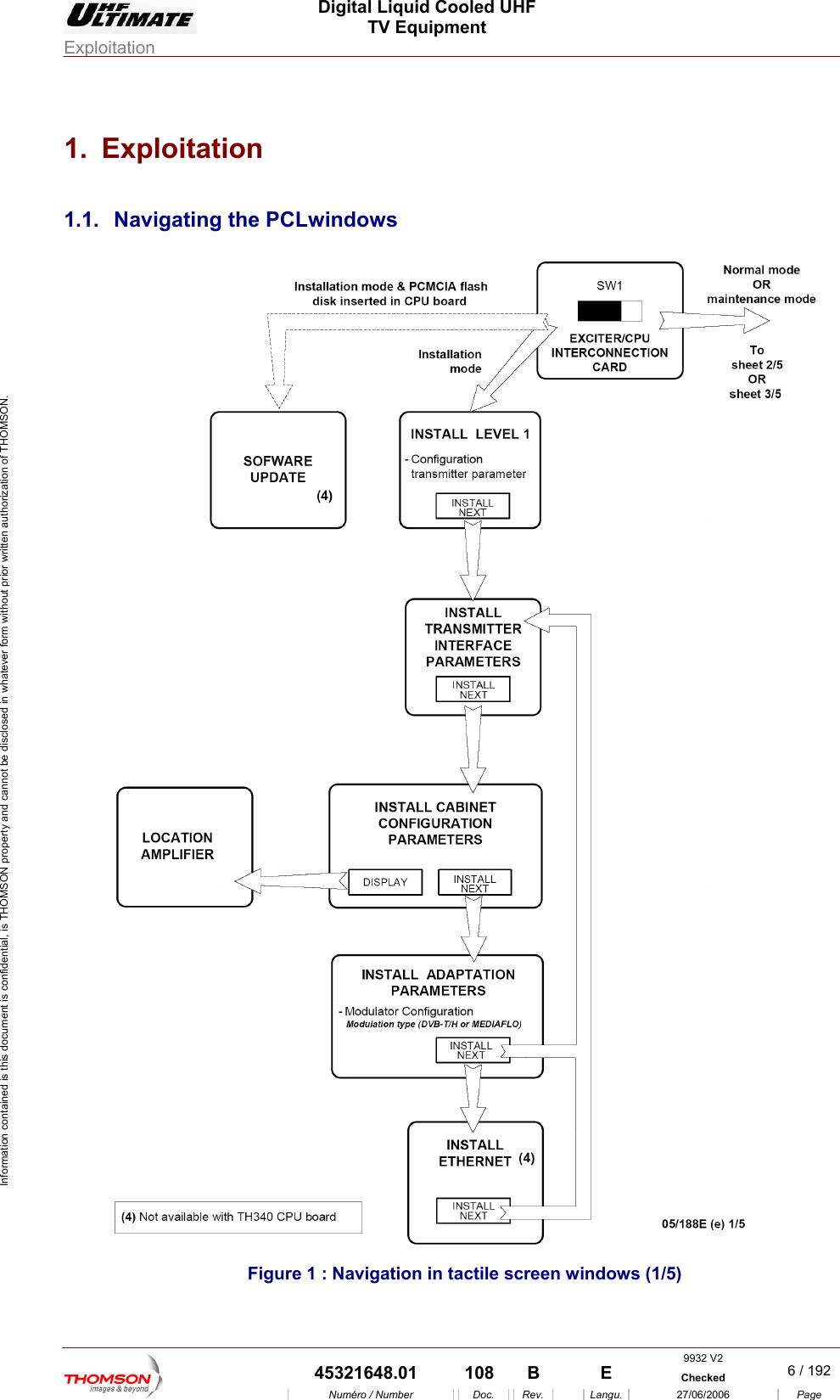
 Digital Liquid Cooled UHF TV Equipment Exploitation  Information contained is this document is confidential, is THOMSON property and cannot be disclosed in whatever form without prior written authorization of THOMSON. 1. Exploitation 1.1.  Navigating the PCLwindows  Figure 1 : Navigation in tactile screen windows (1/5) 9932 V2  45321648.01  108  B    E  Checked  6 / 192 Numéro / Number Doc. Rev. Langu. 27/06/2006 Page
 Digital Liquid Cooled UHF TV Equipment Exploitation  Information contained is this document is confidential, is THOMSON property and cannot be disclosed in whatever form without prior written authorization of THOMSON.  Figure 2 : Navigation in tactile screen windows (2/5) 9932 V2  45321648.01  108  B    E  Checked  7 / 192 Numéro / Number Doc. Rev. Langu. 27/06/2006 Page
 Digital Liquid Cooled UHF TV Equipment Exploitation  Information contained is this document is confidential, is THOMSON property and cannot be disclosed in whatever form without prior written authorization of THOMSON.  Figure 3 : Navigation in tactile screen windows (3/5) 9932 V2  45321648.01  108  B    E  Checked  8 / 192 Numéro / Number Doc. Rev. Langu. 27/06/2006 Page
 Digital Liquid Cooled UHF TV Equipment Exploitation  Information contained is this document is confidential, is THOMSON property and cannot be disclosed in whatever form without prior written authorization of THOMSON.  Figure 4 :: Navigation in tactile screen windows (4/5)  9932 V2  45321648.01  108  B    E  Checked  9 / 192 Numéro / Number Doc. Rev. Langu. 27/06/2006 Page
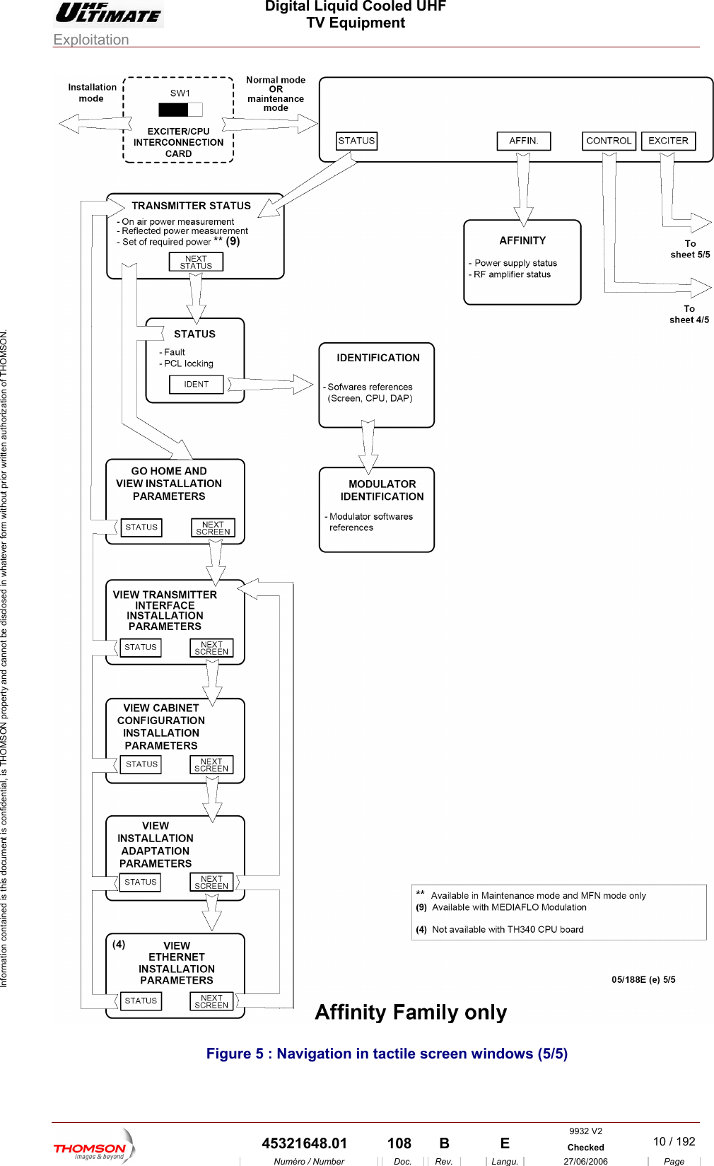
 Digital Liquid Cooled UHF TV Equipment Exploitation  Information contained is this document is confidential, is THOMSON property and cannot be disclosed in whatever form without prior written authorization of THOMSON.  F in tactile scigure 5 : Navigation  reen windows (5/5) 9932 V2  45321648.01  108  B    E  Checked  10 / 192Numéro / Number Doc. Rev. Langu. 27/06/2006 Page
 Digital Liquid Cooled UHF TV Equipment Exploitation  Information contained is this document is confidential, is THOMSON property and cannot be disclosed in whatever form without prior written authorization of THOMSON. 1.2.  Where to find operational parameters  titles of the various PCL windows in wh h the various operational para rator can be found. The commands for accessing these windows are ven in other paragraph. onfiguration parameters The following tables give themeters available to the opeicgi1.2.1.  Transmitter cPARAMETERS  PCL WINDOWS RF synthesiser frequency  "INSTALLAT l 1" window "GO HOME AND VIEW INSTALLATION PARAMETERS" window "CONTROL MAINT Level 3" window ION PARAMETERS LeveFrequency range (VHF/UHF) Maximum power Calibrated power Cooling  e of the transmitter typTransmitter type (S uble Drive, Passive Reserve, Active Reserimple Drive, Dove, N+1) Modulation type of the transmitter (Analog /Digital) Language selected Type of display used (dB or %) "INSTALLATION PARAMETERS Level 1" window "GO HOME AND VIEW INSTALLATION PARAMETERS" window Type of remote operation (via serial link or hard wired) Type of protocol operation for remote control (JBUS or ASCII) Transmitter Identification number with RS232 / RS 485 "TRANSMITT TALLATION P w "VIEW TRAN TALLATION PARAMETERS " window ER INTERFACE INSARAMETERS" windoSMITTER INTERFACE INSType of bay used,  Current measurement number by amplifier unit Amplifier number detected by cabinet "CABINET CONFIGURATION PARAMETERS" window "VIEW CABINET CONFIGU ION RATION INSTALLATPARAMETERS" window Amplifier location in each cabinet  "LOCAT ndow ION AMPLIFIER " wiOLDC parameters (1) DASI parameters (1) ADAPT parameters Type of modulator (COFDM / 8VSB) "ADAPT INSTALLATION PARAMETERS" window "VIEW ADA RS " window PT INSTALLATION PARAMETEWeb activation code SNMP activation code "ETHERNET INSTALLATION PARAMETERS" window "VIEW ETHERNET METERS "  INSTALLATION PARAwindow Network administrator configuration (IP address, sub-net mask number)  Quality thresholds used forparameters power, shoulder and  the notation of the ripple "QUALITY THRESHOLD SETTINGS" window ATSC parameters*** COFDM parameters** SFN data** "COFDM or 8VSB PARAMETERS" window Mediaflo modulator parameters **** (General / Timing / Data SRC / Clock / Input)(Modulation / channalizer) "FLO 1 PARAMETERS" window and "FLO 2 PARAMETERS" window 9932 V2  45321648.01  108  B    E  Checked  11 / 192Numéro / Number Doc. Rev. Langu. 27/06/2006 Page
 Digital Liquid Cooled UHF TV Equipment Exploitation  Information contained is this document is confidential, is THOMSON property and cannot be disclosed in whatever form without prior written authorization of THOMSON. PARAMETERS  PCL WINDOWS Mediaflo modulator parameters ****    Current ADAPT parameters  "ADAPT PARAMETERS" window COFDM current parameters**  "MODULATOR CONFIGURATION" window MediaFLO current parameters****  "FLO 1 MODULATOR" window and  "FLO   2 MODULATOR" windowSFN current delays**  "SFN DELAYS" window ** Parameters used in DVB-T Transmitters only. . ransmitters only. s *** Parameters used in ATSC Transmitters only**** Parameters used in Mediaflo T(1) MODAP version only 1.2.2.  Transmitter operational parameterPARAMETERS  PCL WINDOWS Current operating mode (maintenance mode or normal  "TRANSMITTER STATUS" window "CONTROL" window mode) "STATUS" window PCL control – unlocked or locked "Unlock" indicator lamp "STATUS" window Correction and transmitter operating mode (Fixed or RBS or Mute) "MISCELLANEOUS" window adaptative / Mute or Not Mute / PLast three faults to appear "STATUS" window Selected User interface  "CONTROL MAINT Level 1" window Selected exciter * Selected mode for exciter changeover * Status of automatic exciter changeover * (Done, Not done, impossible) "TRANSMITTER STATUS" window "EXCITER Level 1" window Selected mode for the reflected (reserve) power control  "TRANSMI  TTER STATUS" windowSelected mode f r control gain of the transmitter (2)  "AGC SEo TTING" window "G tatus "GO HOME AND VIEW INSTALL TERS" "Go Home" indicator lamp O HOME" s ATION PARAMEwindow Actual transmitter on-air time since going into service "HOUR COUNTER" window *: Only in Double Drive Version (2):  SIRIUS version only 1.2.3. Adjustable parameters PARAMETERS  PCL WINDOWS Amount of power reduction "REQUIRED POWER" window Calibrated power  "INSTALLATION  indow PARAMETERS Level 1" wHigh level Power alarm threshold  «RF THRESHOLD» window 9932 V2  45321648.01  108  B    E  Checked  12 / 192Numéro / Number Doc. Rev. Langu. 27/06/2006 Page
 Digital Liquid Cooled UHF TV Equipment Exploitation  Information contained is this document is confidential, is THOMSON property and cannot be disclosed in whatever form without prior written authorization of THOMSON. PARAMETERS  PCL WINDOWS Low level Power alarm threshold Fault power threshold  Ripple threshold for EXCITER correction Shoulder threshold for EXCITER correction Group Delay threshold for EXCITER correction (3) "CONTROL MAINT Level 3" window  MGC gain value (2)Limitor gain value (2) "AGC SETTING" window Adaptativity setting of the reserve exciter (2)  "RESERVE ADAPTATIVITY SETTINGS" window Calibrates of the linear correction feedback for exciter (2)  "LINEAR CORRECTION CALIBRATION" window Fault RF threshold fo r (2)  "PREAMP S" window r RF preamplifie LIFIER SETTINGCancel the level of the llateral band (2) ocal frequency and of the unwanted GE REJECT" window  "LOCAL/IMAAdjust the value of the PLL 10Mhz frequency (2).  STEMENT" window "10 MHz ADJUThresholds beyond which the OLDC performs a correction  ROL MAINT Level 4" window (1) "CONTQuality thresholds used for the notation of the parameterspower, shoulder and ripple TTINGS" window  "QUALITY THRESHOLD SEInput signal type of the modulator Clock type of the EXCITER “COFDM or 8VSB PARAMETERS” window or AMETERS“ window “FLO 1 PARPID number values (3) Timing Values (3) Modulation parameters values (3) Channelizer parameters values (3) ARAMETERS“ window and TERS“ window “FLO 1 P“FLO 2 PARAME (1) MODAP version only (2) SIRIUS version only (3) MediaFLO SIRIUS version only 1.2.4. Measureme ts nPARAMETERS  PCL WINDOWS RF power Reflected power "TRANSMITTER STATUS" window RF power Reflected power Antenna SWR Shoulder level Ripple level Goup Delay level (3) Transmitter gain  Overall quality assessment of the transmitter "RF LEVEL" window Reference AGC value (2) Current AGC value (2) "AGC SETTING" window AGC voltages for power amplifiers  “PA LEVELS” window 9932 V2  45321648.01  108  B    E  Checked  13 / 192Numéro / Number Doc. Rev. Langu. 27/06/2006 Page
 Digital Liquid Cooled UHF TV Equipment Exploitation  Information contained is this document is confidential, is THOMSON property and cannot be disclosed in whatever form without prior written authorization of THOMSON. PARAMETERS  PCL WINDOWS RF transistor currents in the power amplifiers "AMPLIFIERS" window Central frequency rejection level (1) "OLDC PARAMETERS" window I/Q amplitude error level (1) "OLDC PARAMETERS" window (1) MODAP version only (2) SIRIUS version only  (3) MediaF ly 1.2.5.  Status conditions of main transmitter elements LO SIRIUS version onPARAMETERS  PCL WINDOWS Status of exciter cards "EXCITER PANEL" window or "EXCITER Level 2" window * Status of reserve exciter (on or off) * "CONTROL" window Status of exciter signals "EXCITER PANEL" window "EXCITER Level 1" window *or  Power amplifier status parameters "AMPLIFIERS" window Sta "POWER SUPPLY" window tus of amplifier power supplies Status of protection system surveillance devices  "INTERLOCK" window Status of the COFDM modulator** "MODULATOR STATUS" window or "MODULATOR CONFIGURATION" window Status of the 8VSB modulator***  "MODULATOR CONFIGURATION" window Status of the MediaFLO configuration for the modulator  "MODULATOR FLO 1" window and "MODULATOR FLO 2" window  Status of the ADAPT exciter "ADAPT PARAMETERS" window Status of the DASI card “DASI STATUS” window Status of the OLDC card (1) "OLDC STATUS" window Status of the current gain control mode (2)  "AGC SETTING" window * : Only in Double Drive Version. ** : Parameters used in DVB-T Transmitters only. (2) SIRIUS version only (3) MediaFLO SIRIUS version only *** : Parameters used in ATSC Transmitters only. (1) MODAP version only 9932 V2  45321648.01  108  B    E  Checked  14 / 192Numéro / Number Doc. Rev. Langu. 27/06/2006 Page
 Digital Liquid Cooled UHF TV Equipment Exploitation  Information contained is this document is confidential, is THOMSON property and cannot be disclosed in whatever form without prior written authorization of THOMSON. 1.3.  Procedure for changing configuration parameters The configuration parame ined in the "INSTALLATION PARAMETERS Le and "TR e PC  mode. Th  parameters bePARAMETERS" window of theters of the transmitter can be defANSMITTER INTERFACE INST L of the ADAPT exciter can  PCL. vel 1" window L in installatione configurationA LATION PARAMETERS" window of th defined in the "ADAPT INSTALLATION Nota :  ♦  MODAP Version To set up a new parameter configuration of the modulator, the three corrections (ALE, LUT and OLDC) should be  the only  set to FIXED mode. The control keys can be defined" windows.  in the "MISCELLANEOUS" windows and "CONTROL MAINT Level 4 ♦  SIRIUS VeTo set up a he two corrections (ALE, and LUT) should be set to the FIXED rsion only   new parameter configuration of the modulator,mode t. The control keys can be defined in the "MI CELLANEOUS" windows. SThe configuration pa n be defined in the "ETHERNET INSTALLATION PARAMETERS" winDVB-T Transmitter c♦  The configuration be defined in the "COFDM PARAMETTERS " window of the PC♦  The configuratio    of the PCL in maint ODE. DVB-T/H Transmitter confi♦  The configuration parameters of the COFDM can bewindow and "DVB-H PARAMETTERS " window of the PC . ediaFLO Transmit♦  The configuration ERS" window and " FLO CL in maintenance MODE.  The is confi♦  "INSTALLATION A 1", ♦R♦  "A TAL♦  INSTA♦  "COFDM and SFN PARAMETERS" (if internal modu twindows or "FLO dows of the PCL. rameters of the ETHERNET cadow of the PCL. onfiguration only:  parameters of the COFDM can L in maintenance MODE. n parameters of the SFN can be definenance Med in the "COFDM PARAMETERS" windowguration only:  defined in the "COFDM PARAMETTERS " L in maintenance MODEM ter configuration only:  parameters of the MediaFLO can b 2 PARAMETTERS " window of the Pe defined in the "FLO 1 PARAMETT transmitter  gured in the:  P RAMETERS Level  "TRANSMITTE  INTERFACE INSTALLATION PARAMETERS", DAPT INS"ETHERNET LATION PARAMETERS", LLATION PARAMETERS", la or) windows or "8VSB PARAMETERS"  PARAMETERS" win9932 V2  45321648.01  108  B    E  Checked  15 / 192Numéro / Number Doc. Rev. Langu. 27/06/2006 Page
 Digital Liquid Cooled UHF TV Equipment Exploitation  Information contained is this document is confidential, is THOMSON property and cannot be disclosed in whatever form without prior written authorization of THOMSON. The transmitter configuration can be defined via the tactile screen of PCL  ACTIONS  RESULT To call up the "INSTALLATION PARAMETERS Level 1" window a)  Set switch SW1, situated in the exciter/CPU in♦  The transmitter is switched to installation mode. terconnection card on the side of the sub-units behind the CPU card, such that the dot is visible. ♦  The "INSTALLATION PARAMETERS Level 1" window appears on the PCL and displays the current transmitter configuration parameters. ♦  Press reset button in front of CPU board. Changing a parameter: ♦  Press on the control keys corresponding to the parameter to be changed and then press repeatedly until the required configuration appears. ♦  The names of the available configurations for the parameter in question will appear one after the other on the control keys.  Special case of changing the external synthesiser frequency: PORTANIM T : freRF r, RF combiner, new frequency. Before validating a new synthesiser quency, make sure that the settings of all  filters (ex. output RF filte...) are consistent with the   ♦  Press on the "FREQ SYNTHE (Hz)" key, ♦  s:Enter the frequency value on the window keyboard, ♦  Press "ENTER" to validate the entry. Note♦  The "NUMERICAL VALUE" window appears. ♦  The "INSTALLATION PARAMETERS Level 1" window appears. ♦  The new frequency value is displayed in the "FREQ SYNTHE (Hz)" key. The value is displayed under the window title. ♦  To cancel an entry press the "CANCEL" key. The f y must also be entered on the thum . Alternatively, the thumb wheels must be set to "0", except for the last ♦  The "INSTALLATION PARAMETERS Level 1" window appears. ♦  The frequency value remains unchanged. requencb wheelsone (LSB), which must be set to "1". Validation of the new  ♦  Check that the data displayed in the window are correct, ♦  Press the "VALID" key. ♦ configuration The transmitter stores the new configuration parameters. Cancelling the new configuration ♦  Leave the installation mode without touching the "VALID" key.  Leaving the installation mode  rconnection card, such  the CPU board. ♦  et the CPU board  The system is initialised with the new status ♦  ER STATUS" window ♦  Set switch SW1, situated in the exciter/CPU intethat the dot is not visible and resetRes♦and operational parameters. The "TRANSMITTappears and indicates that the system is in normal operating mode.  The configuration parameters of the ADAPT exciter can be in the "ADAPT INSTALLATION PARAMETERS" window of the PCL.  defined ACTIONS  RESULT To call up the "ADAPT INSTALLATION PARAMETERS" window of the PCL ♦  Press "SCREEN NEXT" in the "INSTALL CABINET CONFIGURATION PARAMETERS " window. ♦  The "ADAPT INSTALLATION PARAMETERS" window appears on the PCL and displays the current DAP configuration parameters. Changing a parameter ♦  Press on the control keys corresponding to the parameter to be changed and then ♦  The names of the available configurations for the parameter in question will appear one after the 9932 V2  45321648.01  108  B    E  Checked  16 / 192Numéro / Number Doc. Rev. Langu. 27/06/2006 Page
 Digital Liquid Cooled UHF TV Equipment Exploitation  Information contained is this document is confidential, is THOMSON property and cannot be disclosed in whatever form without prior written authorization of THOMSON. ACTIONS  RESULT press repeatedly until the required configuration appears. other on the control keys. Calls up the "INSTALLATION PARAMETERS Level 1" for validation ♦  Pr ssively on "INSTALL NEXT" in the "INSTALLATION PARAMETERS" ♦  The "INSTALLAT 1" window appears on the PCL. ess succewindows. ION PARAMETERS Level  L a neaving the install tio  mode: When the PCL displays thllows : e "INSTALLATION PARAMETERS Level 1" window, proceed as fo ACTIONS  RESULT Leaving the installation mode ♦  Press the valid key in the "INSTALLATION PARAMETERS Level 1" ♦  h SW1, situated in the  ♦  Reset the CPU board arameters. perational parameters. window Set switcexciter/CPU interconnection card, suchthat the dot is not visible. ♦  The transmitter stores the new configuration p♦  The system is initialised with the new status and o♦  The "STATUS" window appears and indicates that the system is in normal operating mode.  The following operating quality threshold parameters of the ADAPT exciter can be defined in the “QUALITY THRESHOLD SETTINGS” window of the PCL : ♦  ripple threshold, ♦  shoulder threshold, ♦. power threshold  A  CTIONS RESULT To call up the of the PCL ♦  Press "QUALITY THRESHOLD" in the  ♦  The  “QUALITY THRESHOLD SETTINGS” “QUALITY THRESHOLD SETTINGS” window "CONTROL MAINT Level 2" window.  window appears on the PCL and displays the current threshold value. To change a rameter valupa e ♦  Note♦  Press on the control keys of the parameter to be changed, Enter the required value on the window keyboard, ♦  Press "ENTER" to validate the entry. :   ♦  The "CONTROL MAINT Level 2" window appears. ♦  The new value is displayed on the parameter control keys. ♦  The "NUMERICAL VALUE" window appears.    The value is displayed under the window title. ♦  To cancel an entry press the "CANCEL" key.  ♦  The "CONTROL MAINT Level 2" window appears. ♦  The value remains unchanged.  9932 V2  45321648.01  108  B    E  Checked  17 / 192Numéro / Number Doc. Rev. Langu. 27/06/2006 Page
 Digital Liquid Cooled UHF TV Equipment Exploitation  Information contained is this document is confidential, is THOMSON property and cannot be disclosed in whatever form without prior written authorization of THOMSON. The configuration parameters of the COFDM and SFN can be defined in the "COFDM PARAMETERS" window of the PCL in maintenance mode.These parameters are used in DVB-T Transmitters only. ACTIONS  RESULT To call up the "COFDM ♦  Press "MOMAINT Level 2" PARAMETERS" window of the PCL DUL" in the "CONTROL window. ♦  The "COFDM PARAMETERS" window appears on the PCL and displays the current COFDM configuration parameters. Changing a COFDM  ♦  Press on the coparameter ntrol keys corresponding to the parameter to be changed and then press repeatedly until the required configuration appears. ♦  Press the valid key for validation the new ♦  The names of the available configurations for the parameter in question will appear one after the other on the control keys. entry Changing a SFN parameter ♦ ue on the window keyboard ♦ ♦  The value is displayed under the window title. Press on the control key corresponding to the parameter to be changed ♦  Enter the required valPress "ENTER" to validate the entry.  ♦ keys. ♦  The "NUMERICAL VALUE" window appears. The "COFDM PARAMETERS" window appears. The value is displayed on the parameter control  T and "F ARAMET CL in maintenance mode.he configuration pLO2 Parameters of the MediaFLO can be deERS" window of the Pfined in the "FLO1 PARAMETERS" windowThese parameters are used in MediaFLO Transmitters only. ACTIONS  RESULT To call up the "FLO1 PARAMETERS" window of the PCL UL" in the "CONTROL ♦  ARAMETERS" window appears on the PCL and displays the current MediaFLO configuration parameters (GENERAL / DATA SRC / Clock / TIMING / INPUT). ♦  Press "MODMAINT Level 2" window. The "FLO1 PTo call up the "FLO2 PARAMETERS" window of the PCL ♦  ♦  The "FLO2 PARAMETERS" window appears on the PCL and displays the current MediaFLO configuration parameters. (MODULATION / CHANNELIZER) Press "NEXT SCREEN" in the "FLO1 PARAMETERS" window. Changing a FLO parameter tedly until the required configuration appears.  other on the control keys. ♦  Press on the control keys corresponding to the parameter to be changed and then press repea♦  Press the valid key for validation the new entry ♦  The names of the available configurations for the parameter in question will appear one after the  9932 V2  45321648.01  108  B    E  Checked  18 / 192Numéro / Number Doc. Rev. Langu. 27/06/2006 Page
 Digital Liquid Cooled UHF TV Equipment Exploitation  Information contained is this document is confidential, is THOMSON property and cannot be disclosed in whatever form without prior written authorization of THOMSON. 1.4.  Procedure for inserting Ethernet network parameters The following parameters of the Ethernet network can be inserted in the “ETHERNET INSTALLATION PARAMETERS” window L : ♦  IP f the a♦  Sub-net mask numb♦  IP address of the a  of the PC address o  tr nsmitter, er,  g teway. ACTIONS  RESULT To call up the "INSTALLATION PARAMETERS Level 1" window ♦  Set switch SW1, situated in the exciter/CPU interconnection card on the side of the sub-units behind the CPU card, such that the dot is visible. ♦  Reset the CPU Board ♦  The transmitter is switched to installation mode. ♦  The "INSTALLATION PARAMETERS Level 1" window appears on the PCL and displays the current transmitter configuration parameters. To call up the "ETHERNET INSTALLATION PARAMETERS" window of the PCL ♦  Press "INSTALL NEXT" in the "TRANSMITTER INTERFACE INSTALLATION PARAMETERS", "CABINET CONFIGURATION PARAMETERS" and "INSTALLATION ADAPT PARAMETERS" window. ♦  The "ETHERNET INSTALLATION PARAMETERS" window appears on the PCL and displays the current configuration parameters. To insert a parameter value ♦  Press on the control keys of the parameter to be inserted, ♦  Enter the required value on the window keyboard, ♦  Press "ENTER" to validate the entry IMPORTANT : •  The network parameter must be furnished by your network administrator. •  Setting bad parameter disturbs the network. ♦  The "NUMERICAL VALUE" window appears. ♦  The value is displayed under the window title. ♦  The "INSTALLATION PARAMETERS" window appears. The value is displayed on the parameter control keys.  Note: ♦  To cancel and entry press the "CANCEL" key.  ♦  The "INSTALLATION PARAMETERS" window appears. The value remains unchanged. Calls up the "INSTALLATION PARAMETERS Level 1" for validation ♦  Press "INSTALL NEXT" in the "ETHERNET INSTALLATION PARAMETERS" window. ♦  The "INSTALLATION PARAMETERS Level 1" window appears on the PCL.  9932 V2  45321648.01  108  B    E  Checked  19 / 192Numéro / Number Doc. Rev. Langu. 27/06/2006 Page
 Digital Liquid Cooled UHF TV Equipment Exploitation  Information contained is this document is confidential, is THOMSON property and cannot be disclosed in whatever form without prior written authorization of THOMSON. Leaving the installation mode: When the PCL displays the "INSTALLATION PARAMETERS Level 1" window, proceed as follows :  ACTIONS  RESULT Leaving the installation mode ♦  Press the valid key in the "INSTALLATION P♦  The transmitter stores the new configuration ARAMETERS Level 1" window ♦  Set switch SW1, situated in the exciter/CPU interconnection card, such that the dot is not visible. parameters. ♦  The system is initialised with the new status and operational parameters. ♦  The "STATUS" w pears and indicates ♦  Reset the CPU board indow apthat the system is in normal operating mode.  9932 V2  45321648.01  108  B    E  Checked  20 / 192Numéro / Number Doc. Rev. Langu. 27/06/2006 Page
 Digital Liquid Cooled UHF TV Equipment Exploitation  Information contained is this document is confidential, is THOMSON property and cannot be disclosed in whatever form without prior written authorization of THOMSON. 1.5.  Procedure to activate  "SNMP" or "WEB" agent Each option is associated with an activation code. Each code is single and associated with one CPU board. The identification r of the CPU board is given on the “ET  INSTALLATION PARAMETERS” win oW  (  numbe HERNETd w. With this number you can get theask for THALES).  activation code of the SNMP agent and/or EB agent optionACTIONS  RESULT To call up the "INSTALLATION PARAMETERS Level 1" window situated in the ction card on the side of the sub-units behind the CPU card, such that the dot is visible. ♦  Reset the CPU board ♦  e. ♦  The "INSTALLATION PARAMETERS Level 1" window appears on the PCL and displays the current transmitter configuration parameters. ♦  Set switch SW1, exciter/CPU interconneThe transmitter is switched to installation modTo call up the "ETHERNET INSTALLATION PARAMETERS" window of the PCL ♦  Press "INSTALL NEXT" in the "TRANSMITTER INTERFACE INSTALLATION PARAMETERS", "CABINET CONFIGURATION PARAMETERS" and "INSTALLATION ADAPT PARAMETERS" window. ♦  The "ETHERNET INSTALLATION PARAMETERS" window appears on the PCL and displays the current configuration parameters. Set the Ethernet network parameters ♦  IP address of the transmitter, ♦  Sub-net mask number, ♦  IP address of the gateway. ♦  Refer to procedure § “Procedure for inserting Ethernet network parameters” IMPORTANT : •  The NetWare parameters must be furnished by your network administrator. •  Setting bad parameter disturbs the network.  To insert the activation code ♦  Press on the control keys of the code to be inserted, ♦  Enter the required value on the window keyboard, ♦  Press "ENTER" to validate the entry. IMPORTANT : •  Enter a bad code leads the control keys display to cone back to “0”. ♦  The "NUMERICAL VALUE" window appears.  ♦  The value is displayed under the window title. ♦  The "INSTALLATION PARAMETERS" window appears. ♦  The value is displayed on the control keys. ♦  The "INSTALLATION PARAMETERS" window appears.  Note: To cancel and entry press the "CANCEL" key.  ♦  The value remains unchanged Calls up the "INSTALLATION PARAMETERS Level 1" for validation ♦  Press "INSTALL NEXT" in the "ETHERNET INSTALLATION PARAMETERS" window. ♦  The "INSTALLATION PARAMETERS Level 1" window appears on the PCL.  9932 V2  45321648.01  108  B    E  Checked  21 / 192Numéro / Number Doc. Rev. Langu. 27/06/2006 Page
 Digital Liquid Cooled UHF TV Equipment Exploitation  Information contained is this document is confidential, is THOMSON property and cannot be disclosed in whatever form without prior written authorization of THOMSON. Leaving the installation mode: When the PCL displays the "INSTALLATION PARAMETERS Level 1" window, proceed as follows :  ACTIONS  RESULT Leaving the installation mode ♦  Press the valid key in the "INSTALLATION PARAMETERS Level 1" windo♦  The transmitter stores the new configuration parameters. w xciter/CPU interconnection card, such  visible. ♦  Reset the CPU board ♦  The system is initialised with the new status and ♦  The "STATUS" window appears and indicates that the system is in normal operating mode. ♦  Set switch SW1, situated in the ethat the dot is notoperational parameters.  9932 V2  45321648.01  108  B    E  Checked  22 / 192Numéro / Number Doc. Rev. Langu. 27/06/2006 Page
 Digital Liquid Cooled UHF TV Equipment Exploitation  Information contained is this document is confidential, is THOMSON property and cannot be disclosed in whatever form without prior written authorization of THOMSON. 1.6. 1.6.1.  Procedure to call the maintenance mode Adjustments or change ly  intenance mode and when the PCL is unlocked.s locked (disabled), unlock it (refer to procedure for unlocking the PCL, § procedure ck or unlock the PCL.  Procedures for adjusting or changing operational parameters s to operational parameters can on be carried out in maIf the PCL screen iloACTIONS  RESULT To call up the "CONTROL" window ♦  Press the "CONTROL" key.  ♦  The PCL "CONTROL appears. of the PCL: Level 1" window If the transmitter is in normal mode, switch to maintenance mode ♦  Press on the «MODE» key in the PCL "C Level 1" window. ♦  The "NORMAL" message window above the «MODE» key is replaced by a flashing "MAINT MODE" message window. ♦  ystem is now in maintenance mode. ONTROL ♦  Press the "VALID" key. ♦  The "MAINT" message window stops flashing and remains lit. The sTo call up the "CONTROL MAINT Level 2" window ♦  NTROL LEVEL 2" in the "CONTROL Level 1" window. ♦  ROL MAINT Level 2" window Press "CO The "CONTappears.  1.6.2.  Procedure for adjusting the calibrated transmitter power Adjustments or changes to ca  power can only be carried out in installation mode. The calibrated trans  the “ INSTALLATION PARAMETERS Level 1” window of the PCL. The RF according to RF feedba librated transmittermitter can be inserted inprobes of the transmitter are adjusteck input value. d depending on required power value and ACTIONS  CONSEQUENCES To call up the "INSTALLATION PARAMETERS Level 1" window ♦  interconnection card on the side of the sub-units behind the CPU ♦ ♦  hed to installation mode.  1" Set switch SW1, situated in the exciter/CPUcard, such that the dot is visible, Reset CPU board. The transmitter is switc♦  The "INSTALLATION PARAMETERS Levelwindow appears on the PCL and displays the current transmitter configuration parameters. Select the required power value ♦  In the "INSTALLATION PARAMETERS LEVEL 1" window, press on the "CAL PWR" key.  To insert a parameter value ♦  Enter the calibrated value on the window keyboard, ♦  Press "ENTER" to validate the entry. Note: ♦  The value is displayed under the window title. ♦  The "INSTALLATION PARAMETERS" window appears. ♦  The "NUMERICAL VALUE" window appears.   To cancel an entry press on the "EXIT" key.  ♦  The "INSTALLATION PARAMETERS Level 1" window reappears. ♦  The calibrated power value remains unchanged 9932 V2  45321648.01  108  B    E  Checked  23 / 192Numéro / Number Doc. Rev. Langu. 27/06/2006 Page
 Digital Liquid Cooled UHF TV Equipment Exploitation  Information contained is this document is confidential, is THOMSON property and cannot be disclosed in whatever form without prior written authorization of THOMSON. ACTIONS  CONSEQUENCES Leaving the installation mode ♦  Press the valid key in the "INSTALLATION PARAMETERS Level 1" window, ♦  The transmitter stores the new configuration parameters. ♦  Set switch SW1, situated in the exciter/CPU interconnection card, such that the dot is not visible, ♦  The system is initialised with the new status and operational parameters. ♦  Reset the CPU board.  ♦  The "STATUS" window appears and indicates that the system is in normal operating mode.  1.6.3.  ProHaving alre d n maintenance mode and also having unlocked the PCL and called up the  cedure for adjusting the required transmitter power a y configured the system i"TRANSMITTER STATUS" window, carry out the following operations : ACTIONS  RESULT Select the required  ♦  In NSMITTER STATUS" ♦  The "REQUIRED  indow appears. power value  the "TRAwindow, press on the "REQUIR POWER" key  ♦POWER" w The current value is displayed under the window title. 1 - To insert the required p er value ♦  Enter the required value on the window ♦ Pow keyboard, Press "ENTER" to validate the entry. IM ORTANT : Range of variation: 0.25 *Cal Pwr < REQ Pwr < 1.12 Cal Pwr and REQ Pwr < MAX Pwr ncelling the selection: Cander the The system activates the new power reduction value. ♦  The new current value is displayed uwindow title  ♦  QUIRED  ♦ ♦  res the new power reduction ♦  Press “CANCEL” key in the "REPOWER" window. The "TRANSMITTER STATUS" or "RF LEVEL” window appears. The system ignovalue. 2 - Select the reduction value: ♦  In the "POWER REQUIRED" window, y successively uction value is displayed ♦   values of power reduction appear the ♦  m activates the new power reduction value. required power  press on the     "x dB" keuntil the required power red♦  Press the "ENTER" key for Validation of selection: Cancelling the selection: The availablesuccessively on the key. he key flashes until selection is validated. ♦  The "x DB" key stops flashing and remains lit. The syste ♦  ♦  The "TRANSMITTER STATUS" or "RF LEVEL” window appears. ♦  The system ignores the new power reduction value. Press “CANCEL” key in the "REQUIRED POWER" window.  9932 V2  45321648.01  108  B    E  Checked  24 / 192Numéro / Number Doc. Rev. Langu. 27/06/2006 Page
 Digital Liquid Cooled UHF TV Equipment Exploitation  Information contained is this document is confidential, is THOMSON property and cannot be disclosed in whatever form without prior written authorization of THOMSON. 1.6.4.   for changing the modulator input eady configured the system in local control, maintenance mode, and also having unlocked d called up the “COFDM PARAMETERS” window. ProcedureThis procedure describes how to change the input signal type of the modulator unit and the clock type of ADAPT exciter in DVB-T Transmitter only. Having alrthe PCL anNote :  ♦  MODAP Version only  To set up a new parameter configuration of the modulator, the three corrections (ALE, LUT and OLDC) should be set to the FIXED mode. The control keys can be defined in the "MISCELLANEOUS" window and "CONTROL MAINT Level 4" window.  ♦  SIRIUS Version only  To set up a rameter configuration of the modulator, the  ections (ALE, and  new pa two corrLUT) should be set to the FIXED mode.LANEOUS" window.  The control keys can be defined in the EL"MISC ACTIONS  RESULT Set the corrections of A  ♦  ing the s of the ADAPT In FIXE position, the correction parameters are not ALDAPT exciter toFIXE MODE : Refer to procedure for changconfiguration parameterexciter. continuously adjusted. E and LUT corrections are FIXE MODE.  ♦  Refer to procedure for changing the configuration parameters of the OLDC  card (Available in MODAP version only). ♦  OLDC correction is in FIXE MODE. Select the required parameters input ♦  In the “COFDM PARAMETERS” window, press on the “DATA XXXX” key ♦  The available values of input parameterssuccessively on the key. successively until the required input signal type is displayed.   ♦  In the “COFDM PARAMETERS” window, press on the “CLOCK XX” key ♦  The key flashes until the selection is validated. successively until the required clock type is displayed.  appear Validation of selection  ♦  Press the “VALID” key.  ♦  The “DATA” oand remains lit.r “LOCK” keys stops flashing  ♦  The system activates the new input parameter Cancelling the selection ♦  Press the “CANCEL” key.  ♦  The system ignores the new input parameter. Set the corrections of ADAPT exciter to ADAPTIVE MODE ♦  Refer to changing the configuration parameters of the ADAPT exciter. ♦  ALE and LUT corrections are ADAPT MODE.  ♦  Refer to for changing the configuration parameters of the OLDC  card (Available in MODAP version only).. ♦  OLDC correction is in ADAPT MODE.  9932 V2  45321648.01  108  B    E  Checked  25 / 192Numéro / Number Doc. Rev. Langu. 27/06/2006 Page
 Digital Liquid Cooled UHF TV Equipment Exploitation  Information contained is this document is confidential, is THOMSON property and cannot be disclosed in whatever form without prior written authorization of THOMSON. 1.6.5.  Procedure for changing the configuration of the Adaptation parameters (ALE S card (SIRIUS ersion). Summaryand LUT) This procedure provides for changing the type of linearity "ALE" and non linearity "LUT" signal correction (fixed or adaptive) performed by the DAP card (MODAP version) or Tv In fixed position, the corre meters are not continuously adjusted. Hav g unlocked the PCL and called up  ELLANEOUS" window (refer to procedures which are necessary prior to adjusting or changin   ction paraing already configured the system in local control, mainthe "MISCtenance modes, and also having an operational parameter), carry out the following operations : ACTIONS  RESULT To change the type of correction  (or "FIXED MODE") in the "MISCELLANEOUS" window. ♦  The control keys flashes and displays the new selection in reverse video.  ♦  Press "N. LIN COR ADAPTIVE MODE" (or "FIXED MODE") in the “MISCELLANEOUS” window. ♦  Press " LIN COR ADAPTIVE MODE" ♦  The control keys flashes and displays the new selection in reverse video. Validation of selection ♦  Press the "VALID" key.  ♦  The control keys label stops flashing and displaythe new selection picked up the system in nos rmal video.  1.6.6.  Procedure for changing the configuration parameters of the OLDC card Note :  T edure is achieve in COFDM MODAP version only his procThis procedure provides for changing the type of signal correction (fixed or adaptive) performed by the OLDC card. Remember In fixed position, the correction parameters are not continuously adjusted. Having already configured the system in local control, maintenance modes, and also having unlocked e PCL and called up the "CONTROL MAINTENANCE Level 4" window (refer to procedures which cessary prior to adjusting or changing an operational parameter), carry out the following operations :  thare neACTIONS  RESULT To change the type of  ♦  ELECT MODE" in the ♦  The message window above the control correction Press "S"CONTROL MAINT Level 4" window  keys flashes while displaying the newly selected operating mode (OLDC ADAPT or OLDC FIXE). Val on  ly selected operating mode. idation of selecti ♦  Press the "VALID" key.  ♦  The message window above the "SELECT dMODE" control keys stops flashing anremains lit while displaying the newCancelling the selection ♦  Press the "CANCEL" key.  ♦  The message window above the "SELECT MODE" control keys stops flashing and remains lit while displaying the operating mode which had been previously selected.  9932 V2  45321648.01  108  B    E  Checked  26 / 192Numéro / Number Doc. Rev. Langu. 27/06/2006 Page
 Digital Liquid Cooled UHF TV Equipment Exploitation  Information contained is this document is confidential, is THOMSON property and cannot be disclosed in whatever form without prior written authorization of THOMSON. 1.6.7.  Procedure for changing the frequency of the RF synthesiser Having a so having unlocked the PCL and lready configured the system in maintenance mode and alcalled up the "CONTROL MAINT Level 3" window (refer to procedures which are necessary prior to adjusting or changing an operational parameter), carry out the following operations :  ACTIONS  CONSEQUENCES To change the frequency ♦  In the "CONTROL MAINT Level 3"  The "NUMERICAL VALUE" appears. window, press on the "FREQ SYNTHE (Hz)" key. ♦  Enter the f ncy value on the window kBe  synthesiser F...) are consistent with the new frequency.  ♦  The value is displayed under the window title. requeeyboard. IMPORTANT : fore validating a newfrequency, make sure that the settings of all R  filters (ex. output RF filter, RF combiner, Validation of selection  ♦  Press "ENTER" to validate the entry.    The "CONTROL MAINT Level 3" window reappears. The new frequency value is displayed in the "FREQ SYNTHE (Hz)" key.Cancelling the selection ♦  Press the "CANCEL" key. ♦  The frequency value remains unchanged. ♦  The "CONTROL MAINT" window reappears.  1.6.8.   ripple and shoulder threshold settings in maintenance oulder thresholds beyond which the ADAPT rocedures which re necessary prior to adjusting or changing an operational parameter), carry out the following perations :  Procedure for changingmode This procedure describes how to change the ripple and shexciter performs a correction. Having already configured the system in local control, maintenance modes, and also having unlocked the PCL and called up the "CONTROL MAINTENANCE Level 3" window (refer to paoACTIONS  RESULT Changing thr ♦  Press on the message window of the ♦  on the window The "NUMERICAL VALUE" window appears. esholds threshold to be changed. Enter the required value keyboard. The value is displayed under the window title. Validation of selection  ♦  o validate the entry.  Th TROL MAINT Level 3" window reappears.  Press "ENTER" t e "CONThe new threshold value is displayed on thecorresponding key. Cancelling the  ♦  Press the "CANCEL" key. Th evel 3" window reappears. . selection e "CONTROL MAINT L♦  The threshold value remains unchanged 9932 V2  45321648.01  108  B    E  Checked  27 / 192Numéro / Number Doc. Rev. Langu. 27/06/2006 Page
 Digital Liquid Cooled UHF TV Equipment Exploitation  Information contained is this document is confidential, is THOMSON property and cannot be disclosed in whatever form without prior written authorization of THOMSON. 1.6.9.  Procedure for changing the threshold settings of the OLDC card Note :  This procedure is achieve in COFDM MODAP version only This procedure describes how to change the central frequency rejection threshold and the I/Q amplitude error threshold beyond which the OLDC card performs a correction. Having already configured the system in local control, maintenance modes, and also having unlocked the PCL and called up the "CONTROL MAINTENANCE Level 4" window (refer to procedures which cessary prior to adjusting or changing an operational parameter), carry out the followinare ne g  operations : ACTIONS  RESULT Changing thresholds  ♦  Press on the message window of the  The "NUMERICAL VALUE"threshold to be changed. ♦  Enter the required value on the window  window appears. The value is displayed under the window title. keyboard. Vali on  ♦  date the entry.  hThe new threshold value is displayed on the dation of selecti Press "ENTER" to vali T e "CONTROL MAINT Level 4" window reappears. corresponding key. Cancelling the selection ♦  y. he "CONTROL MAINT Level 4" window reappears. Press the "CANCEL" ke T♦  The threshold value remains unchanged.  1.6.10.  Procedure for changing RF digital power ralarm and fault signals This p scribes how to change digital power thre ings for triggering alarm and fault signals on the PCL (three-colour "Alarm" indicator lamp). aving already configured the system in maintenance mode and also having unlocked the PCL and called up the "CONTROL MAINT Level 2" window (refer to procedures which are necessary prior to perations :  th eshold settings for triggering rocedure de shold settHadjusting or changing an operational parameter), carry out the following o ACTIONS  RESULT To call up the «RF  ♦  In the "CONTROL MAINT Level 2" ♦  The «RF THRESHOLD» THRESHOLD» window of the PCL wi w, press on the "RFTHRES" key. window appears. ndoChanging thresholds  ♦  Press on the message window of the threshold to be changed. ♦  Enter the required value on the window  ♦  r the window keyboard. ♦  The "NUMERICAL VALUE" window appears. The value is displayed undetitle. Validation of séle ♦  ♦ ♦ ding key. ction  Press "ENTER" to validate the entry.  The «RF THRESHOLD» window reappears.The new threshold value is displayed on the corresponCancelling the selection ♦  Press the "CANCEL" key. ♦  The «RF THRESHOLD» window reappears. ♦  The threshold value remains unchanged.  9932 V2  45321648.01  108  B    E  Checked  28 / 192Numéro / Number Doc. Rev. Langu. 27/06/2006 Page
 Digital Liquid Cooled UHF TV Equipment Exploitation  Information contained is this document is confidential, is THOMSON property and cannot be disclosed in whatever form without prior written authorization of THOMSON. 1.6.11.  Procedures for changing quality thresholds  (in dB) from a set point before the ♦  The set point (Shoulder, Ripple) is the parameter threshold beyond which the ADAPT exciter performs a correctio points can be defined in the "CONTR  window.  The power set poperator in the "INS " Having already configu mode and also having unlocked the PCL and c Nadju in aThe quality threshold is the maximum permissible deviationoccurrence of a major fault (overall quality assessment of 13/20), which produces a transmitter changeover in an N+1 or Passive Reserve system. In SD or DD systems, no changeover is performed. n. The set  OL MAINT Level 3"♦oint is the calibrated RF power of the TALLATION PARAMETERS Level 1red the system in maintenance transmitter, it is fixed and is available to the window. alled up the "COsting or changTROL MAINT Level 2" window (refer g  n operational parameter), carry out the following oto procedures which are necessary prior to perations : ACTIONS  RESULT To call up the "QUALITY THRESHOLD SETTINGS" window ♦  In the "CONTROL MAINT Level 2" window, press on the "QUALITY THRESHOLDS" key. ♦  The "QUALITY THRESHOLD SETTINGS" window appears on the PCL and displays the current quality thresholds. Changing quality thresholds ♦   message window of the ♦  required value on the window  w title. Press on thethreshold to be changed. Enter the keyboard. The "NUMERICAL VALUE" window appears.♦  The value is displayed under the windoValidation of selection  ♦  ER" to validate the entry.  ♦  ALITY THRESHOLD SETTINGS" ♦ Press "ENT The "QUwindow reappears. The new threshold value is displayed on the corresponding key. Cancelling the selection hrea♦  Press the "CANCEL" key.  T e "QUALITY THRESHOLD SETTINGS" window ppears. ♦  The threshold value remains unchanged.  1.6.12.  Procedure for setting the time and the date Having already configured the system in maintenance modecalled up the "CONTROL MAINT Level 2" window (refer to  s which are necessary prior to adjusting or changing an operational parameter), carry out the and also having unlocked the PCL and procedure following operations: ACTIONS  RESULT To call up the "DATE & TIME" window of the PCL ♦  Press on the "DATE" key in the "CONTROL MAINT Level 2" window. ♦  e time s are frozen to the time instant e w was called up. The "DATE & TIME" window appears; thand date valuewh n the windoChanging the time and date values  the time and date values using the  The changed parameter values appear in the control keys ("+" ♦  Setincrementation and decrementation keys ("+" and "-"). ♦ corresponding message windows. The number resulting from the increment or decrement is being displayed between the two and "-") . Validation of selection  ♦  Press "VALID" to validate the entry.  ♦  The new values appear under the title of window "DATE & TIME".  Cancelling the selaction ♦  press on the "EXIT" key.  ♦  The "CONTROL MAINT Level 2" window reappears. ♦  The time and date settings have not been changed. If the "VALID" key of the  "DATE & TIME" window was not selected.  9932 V2  45321648.01  108  B    E  Checked  29 / 192Numéro / Number Doc. Rev. Langu. 27/06/2006 Page
 Digital Liquid Cooled UHF TV Equipment Exploitation  Information contained is this document is confidential, is THOMSON property and cannot be disclosed in whatever form without prior written authorization of THOMSON. 1.7.  Procedure for changing the PCL password For this procedure the system can be either in maintenance mode or normal mode. With the PCL   or "CONTROL OPER Level 2" window already enabled and the "CONTROL MAINT Level 2" window called up, carry out the following operations : ACTIONS  CONSEQUENCES  ♦  Press on the "MODIFY PASSWORD" message window in the "CONTROL MAINT Level 2" window or in the ♦  The "NUMERICAL VALUE" window appears showing the "ENTER NEW PASSWORD" prompt."CONTROL OPER Level 2" window. ♦  ord on the window keyboard. Enter the current passw ♦  Asterisks are displayed in order to hide the password. ♦  Press "ENTER" to validate the entry. ♦ SWORD" is displayed in the ♦  If the password is correct: the "ENTER NEW PASSWORD" prompt is displayed. If the password is incorrect: the message "INVALID PASwindow; try again. Insertion of current password Note: he "CANCEL" ♦  The "CONTROL MAINT Level 2" or "CONTROL OPER Level 2" window appears. ♦  The password has not been changed. ♦  To cancel an entry press tkey. ♦  Enter the new password on the window keyboard. ♦  Press "ENTER" to validate the entry.   on the ♦  te the entry. ♦  Asterisks are dis  order to hide the password  the password. ♦  If the second password entry is correct: PER Level 2" window ♦  password is incorrect: the message el 2" window or 2" window •  The password has not been changed. •  Try again. ♦  Enter the new password againwindow keyboard. Press "ENTER" to validaplayed in♦  The user is prompted to confirm the newpassword: "CONFIRM NEW PASSWORD" is displayed in the window. ♦  Asterisks are displayed in order to hide •  The "CONTROL MAINT Level 2" window or the "CONTROL Oreappears. •  The password has been changed. If the "INVALID PASSWORD" is displayed in the window : •  The "CONTROL MAINT Levthe "CONTROL OPER Level reappears. Insertion of new password Note:   ♦  To cancel an entry press the "CANCEL" key. ♦  The "CONTROL MAINT Level 2" or "CONTROL OPER Level 2" window appears. ♦  The password has not been changed.  9932 V2  45321648.01  108  B    E  Checked  30 / 192Numéro / Number Doc. Rev. Langu. 27/06/2006 Page
 Digital Liquid Cooled UHF TV Equipment Exploitation  Information contained is this document is confidential, is THOMSON property and cannot be disclosed in whatever form without prior written authorization of THOMSON. 1.8.  Procedures for changing a status condition or transmitter operating mode 1.8.1.  Procedure for lock to unlock the PCL 1.8.1.1.  CL Procedure for lock the PACTION  RESULT With thunlocked nlock" indicator lamp lights up. ♦  Message "LOCK PCL" displayed in the "STATUS" window. ♦  In the "STATUS" the message "LOCK PCL" displayed in normal video is replaced by the ♦ e PCL  ♦  Press on "LOCK PCL" key in the "STATUS" window. ♦  The PCL "U window: message "PCL LOCKED" displayed in reverse video. The PCL "Unlock" indicator lamp is extinguished. 1.8.1.2.  u  Proced re for unlock the PCLACTION  RESULT With the PCL locked ♦  ♦  The PCL "Unlock" indicator lamp is extinguished. "PCL LOCKED" message is displayed in the "STATUS" window in reverse video. ♦  Enter the user password:  ♦  The "NUMERICAL VALUE" window appears ♦  Press on "PASSWORD" control keys in the "STATUS" window.   ♦  Enter the password on the window . Asterisks are displayed under the window title in order to hide the password. ♦  The "STATUS" window appears: the message ♦  The PCL "Unlock" indicator lamp lights up. If not the inserted password is not valid. keyboard"PCL LOCKED" in reverse video is replaced by the message "LOCK PCL" displayed in normal video.  Note: ♦  To cancel an entry press the "CANCEL" ♦  The "STATUS" window appears. ♦  The PCL screen is still lokey. cked.  9932 V2  45321648.01  108  B    E  Checked  31 / 192Numéro / Number Doc. Rev. Langu. 27/06/2006 Page
 Digital Liquid Cooled UHF TV Equipment Exploitation  Information contained is this document is confidential, is THOMSON property and cannot be disclosed in whatever form without prior written authorization of THOMSON. 1.8.2.  Selection of transmitter operation mode ating mode (maintenance mode or normal modeSelecting the transmitter oper ) is carried out in the  possible if the PCL is unlocked (see § Procedure to Unlock the PCL). PCL "CONTROL Level 1" window. This operation is onlyNote:  In normal mode all transmitter functions are operational. No settings or parameters can beadjusted by the operator.  ocessing facilities are not operational, In maintenance mode : ♦  The fault pr♦  The operator can adjust some settings and parameters.  ACTIONS  RESULT Selectionm(NORMAL/M rating mode which can be either the l mode.  of operating ode AINT) ♦  Press the «MODE» control keys in the "CONTROL Level 1" window. ♦  The message window above the control keys flashes indicating the newly selected opemaintenance mode or normaValidation of sele ♦  The message window above the "MODE" control keys stops flashing and remains lit while displaying the newly selected operating mode.ction  ♦  Press the "VALID" key.  Cancelling the selection ♦  Press the "CANCEL" key.  ♦  The message window above the "MODE" control keys stops flashing and remains lit while displaying the operating mode which had been previously selected.  1.8.3. Only i  Drive Version The procedure for manual changeover of exciter is only po e PCL is unlocked, and if the system is in local control mode. It consists of changing the exciter already selected. l 1" window. Manuel change over of exciter n Doublessible if thIt can be carried out in the "EXCITER Leve ACTION  RESULT Changing the selected exciter ♦  Press on "EXCITER" control keys in the "EXCITER Level 1" window. ♦  The «EXC A (or B)» message window flashes while displaying the reserve exciter. Validation of selection  ♦  Press the "VALID" key.  ♦  The «EXC A (or B)» message window stops flashing and remains lit while displaying the newly selected exciter. Cancelling the  ♦  Press the "CANCEL" key.  ♦  The «EXC A (or B)» message window stops selection  flashing and remains lit while displaying the previously selected exciter.  Exciter changeover override Switches SW4 and SW5 on the exciter/CPU interconnection   (SW 5) t available or mcard provide for switching exciter A4) or B (SW o air if the CPU card is un issing. 9932 V2  45321648.01  108  B    E  Checked  32 / 192Numéro / Number Doc. Rev. Langu. 27/06/2006 Page
 Digital Liquid Cooled UHF TV Equipment Exploitation  Information contained is this document is confidential, is THOMSON property and cannot be disclosed in whatever form without prior written authorization of THOMSON. 1.8.4.  Selection of exciter changeover mode Only in Double Drive Version ec ssible if the PCL is unlocked, i.e. enabled (see sing the "EXCITER Level 1" window independently of the transmitter operating mode The sel tion of the exciter changeover mode is only porelevant procedure). It is carried out u(normal mode or maintenance mode). Note:  The changeover switch between the two exciters can take place automaticalmanual control. ly or under ♦  In the autom geoveratic chan  mode the facilities for an automati between the two ers lt appears   led; in this mode it is p initiate thIn the automatic changeover mode the identity ofis not the case with manual changeover. ♦  In the manual changeover modec switch excitenab (A → B or B → A) if a fauossible to on the selected exciter channel have been e changeover switch manually.  the selected exciter is not changed; this  the switch ca a result of a command  a u r  user inteThe manual changeover switch changes the id tn only take place as from se  interface (PCL or remote rface) en ity of the selected exciter.  ACTIONS  RESULT ♦  Press on "CH OVER" control keys in the "EXCITER Level 1" window. ♦  The «MAN (or AUTO)» message window flashes while displaying the newly selected Selection of changeover mode changeover mode (manual or automatic). Validation of selection  ♦  Press the "VALID" key.  ♦  The «MAN (or AUTO)» message window stops flashing and remains lit while displaying the newly selected changeover mode. Cancelling the  ♦  Press theselection  stops flashing and remains lit while displaying the changeover mode previously  "CANCEL" key.  ♦  The «MAN (or AUTO)» message window selected. 1.8.5.  Selection of user interface The selection of a local (PCL) or remote user interface can only be carried out at the PCL. For this selection it is not necessary to enable the PCL. It is carried out using th L Level 1" window independently of the transmitter operating mode mode e "CONTRO (normal   or maintenance mode). ACTION  RESULT Selection of user interface ♦  Press on "CTRL" control keys in the "CONTROL ♦  The message window above the "CTRL" control keys flashes and displays the newly selected user interface (remote or local). Validation of selection  ♦  Press the "VALID" key.  ♦  The message window above the "CTRL" control keys stops flashing and remains lit while displaying the newly selected user interface. Cancelling the selection ♦  Press the "CANCEL" key.  ♦  The message window above the "CTRL" control keys stops flashing and remains lit while displaying the previously selected user interface. 9932 V2  45321648.01  108  B    E  Checked  33 / 192Numéro / Number Doc. Rev. Langu. 27/06/2006 Page
 Digital Liquid Cooled UHF TV Equipment Exploitation  Information contained is this document is confidential, is THOMSON property and cannot be disclosed in whatever form without prior written authorization of THOMSON. 1.9.  Procedure for switching on and off 1.9.1.  Switching on-air and switching off-air Switching on (TX on) means switching the transmitter to air when mains has already been switched to Switching off (TX off) means taking the transmitter off-air while keeping the mains switched on. On-air and off-air sw   L. the transmitter. itching are carried out by using the "ON" and "OFF" keys of the PCACTION  RESULT Switching the transmitter on ♦  Press on the PCL "ON" key.  ♦  The PCL "On" indicator lamp lights up to indicate that the transmitter is on-air. ♦  The amplifier power supplies and cooling system are switched on. ♦  The system is on-air. Switching the transmitter off ♦  Press on the PCL "OFF" key.  ♦  The PCL "Off" indicator lamp lights up to indicate that the transmitter is off-air. ♦  The amplifier power supplies and cooling system are switched off. ♦  The system is off-air.  On/off override The SW2 and SW3 switches on the exciter/CPU interconnection card and RSCOM software can be used to switch the transmitter off (SW3) or on (SW2) if the CPU card is missing or faulty. 1.9.2.  Switching the reserve exciter on and off Only in Double Drive Version Switching the reserve exciter on and off is only possible if the PCL is unlocked, i.e. enabled (see relevant procedure). It is carried out using the "CONTROL Level 1" window independently of the transmitter operating mode (normal mode or maintenance mode). Note :  While the reserve exciter is on, automatic changeover of the exciters is impossible.  ACTION  RESULT Selection  ♦  Press the "STDBY" control keys in the "CONTROL Level 1" window. ♦  The message window above the control keys flashes while displaying the function (on or off) to be carried out. Validation of selection  ♦  Press the "VALID" key.  ♦  The message window above the "STDBY" control keys stops flashing and remains lit while displaying the status (on or off) of the reserve exciter. Cancelling the selection ♦  Press the "CANCEL" key.  ♦  The message window above the "STDBY" control keys stops flashing and remains lit while displaying the status (on or off) of the reserve exciter.  9932 V2  45321648.01  108  B    E  Checked  34 / 192Numéro / Number Doc. Rev. Langu. 27/06/2006 Page
 Digital Liquid Cooled UHF TV Equipment Exploitation  Information contained is this document is confidential, is THOMSON property and cannot be disclosed in whatever form without prior written authorization of THOMSON. 1.10. Procedure for adjusting PCL screen contrast ACTION  RESULT ♦  Press on the upper left and right corners of the screen. ♦  A range of contrast values appears in the bottom of the screen. ♦  Press on the tab which corresponds to the required contrast. ♦  The screen contrast changes. Adjusting the contrast ♦  Press in the centre of the screen.  ♦  The range of contrast values disappears.  9932 V2  45321648.01  108  B    E  Checked  35 / 192Numéro / Number Doc. Rev. Langu. 27/06/2006 Page
 Digital Liquid Cooled UHF TV Equipment Exploitation  Information contained is this document is confidential, is THOMSON property and cannot be disclosed in whatever form without prior written authorization of THOMSON. 1.11. Procedure for transmitter reset ACTIONS  CONSEQUENCES Transmitter re-initialisation ♦  Press on the PCL "RESET" key.  ♦  Faults will be erased and their consequences will be cancelled. ♦  Any power reduction carried out will be cancelled. ♦  Operator selections car will be cancelled. tomatic been carried out. ried out on the PCL ♦  Return to selected exciter if an auchangeover has  9932 V2  45321648.01  108  B    E  Checked  36 / 192Numéro / Number Doc. Rev. Langu. 27/06/2006 Page
 Digital Liquid Cooled UHF TV Equipment Exploitation  Information contained is this document is confidential, is THOMSON property and cannot be disclosed in whatever form without prior written authorization of THOMSON. 1.12. Procedure for using maintenance information 1.12.1.  Display of faults and status conditions 1.12.1.1.  Display of last three faults to appear ACTION  RESULT  Call up "STATUS" window of the PCL.  ♦ ♦  Last three faults to appear are displayed. Note:  her faults can be examined usingOt  the log book. 1.12.1.2.  Displaying power amplifier status conditions ACTION  RESULT  ♦  Call up "AMPLIFIERS" window of the PCL.  Selecting an amplifier  ♦  Select the bay which contains the amplifier using the "± CAB" keys *. ♦  The number of the selected bay is displayed on the key. ♦ y status is displayed in reverse video (on white background). ♦  Select the amplifier using the "± AMPLI" keys. ♦  The number of the selected amplifier is displayed on the key. Message windows show the status conditions of the amplifier selected. A faultDisplay the status conditions of the ♦  The amplifieother amplifiers by changing r using the "± AMPLI" keys. ♦  If necessary the bay using the "± CAB" ke ♦  Message windo s show the status conditions of the er. ys *.  w new amplifi* Only high-power tran .12.1.3.  Displaysmitters with more than one cabinet  1. ing amplifier power supply status conditions ACTION  RESULT  ♦  Call up the «POWER SUPPLY» window of the PCL. If necessary the status conditions of the powe  in another cabinet can be displa electing the other bay using ♦  splays the status conditions of the amplifier power supplies in the cabinet shown in the "± CAB" message window. A faulty status is displayed in reverse video (on white background).♦  A cabinet which has not been configured cannot be accessed using s. The window di  r suppliesyed by sthe "± CAB" keys *.  the ± key* Only high-power transmitters with more than one cabinet. 9932 V2  45321648.01  108  B    E  Checked  37 / 192Numéro / Number Doc. Rev. Langu. 27/06/2006 Page
 Digital Liquid Cooled UHF TV Equipment Exploitation  Information contained is this document is confidential, is THOMSON property and cannot be disclosed in whatever form without prior written authorization of THOMSON. 1.12.1.4.  Displaying protection system status conditions ACTION  RESULT  ♦  Call up thPCL. e "INTLOCK" window of the      necessary, the status conditions for the rotection system in another bay can be displayed by selecting the other cabinet using the "± CAB" keys *. ♦  This window has the facilities to display the status conditions of the protection system in the cabinet whose number appears on the "± CAB"  display. The data from the sensors are arranged in the the window trigger an emergency shutdown when the associated fault occurs; those to the right of the bar leave the transmitter in operation. A faulty status is displayed in reverse video (on white background).      order in which they physically appear in the actual cabinet. The data to the left of the vertical bar in Ifp♦  A cabinet which has not been configured cannot be accessed using the ± keys. * Only high-power transmitters with more than one cabinet. 1.1 aySingle Version 2.1.5.  Displ Drive ing exciter card status conditions ACTION  RESULT  ♦  w of  ♦  r status Call up the "EXCITER PANEL" windothe PCL. This window displays the exciteconditions. The message window for a fault is displayed in reverse video (on a white background).  Only in Double Drive Version ACTION  RESULT  ♦  Call up the "EXCITER Level 1" window of the PCL. This window provides the status conditions of the exciter cards. The message window for a faulty card is displayed in reverse video (on white background).  ♦  Press "EXCITER (2)" in the "EXCITER Level 1" window. ♦  The "EXCITER Level 2" window appears. ♦  This window shows the status conditions for signals processed by the exciters. A faulty status is displayed in reverse video (on white background). 1.12.1.6.  Check on signal quality ACTION  RESULT  ♦  To call up the "RF LEVEL" window  ♦  The "RF LEVEL" window is displayed.  ♦  Press "RF LEVEL" in the "CONTROL MAINT Level 2" window. ♦  This window displays the quality variables of the RF feedback signal (ripple level, shoulder level, gain and quality assessment), the power and the SWR of the output RF signal of the transmitter.  9932 V2  45321648.01  108  B    E  Checked  38 / 192Numéro / Number Doc. Rev. Langu. 27/06/2006 Page

Navigation menu